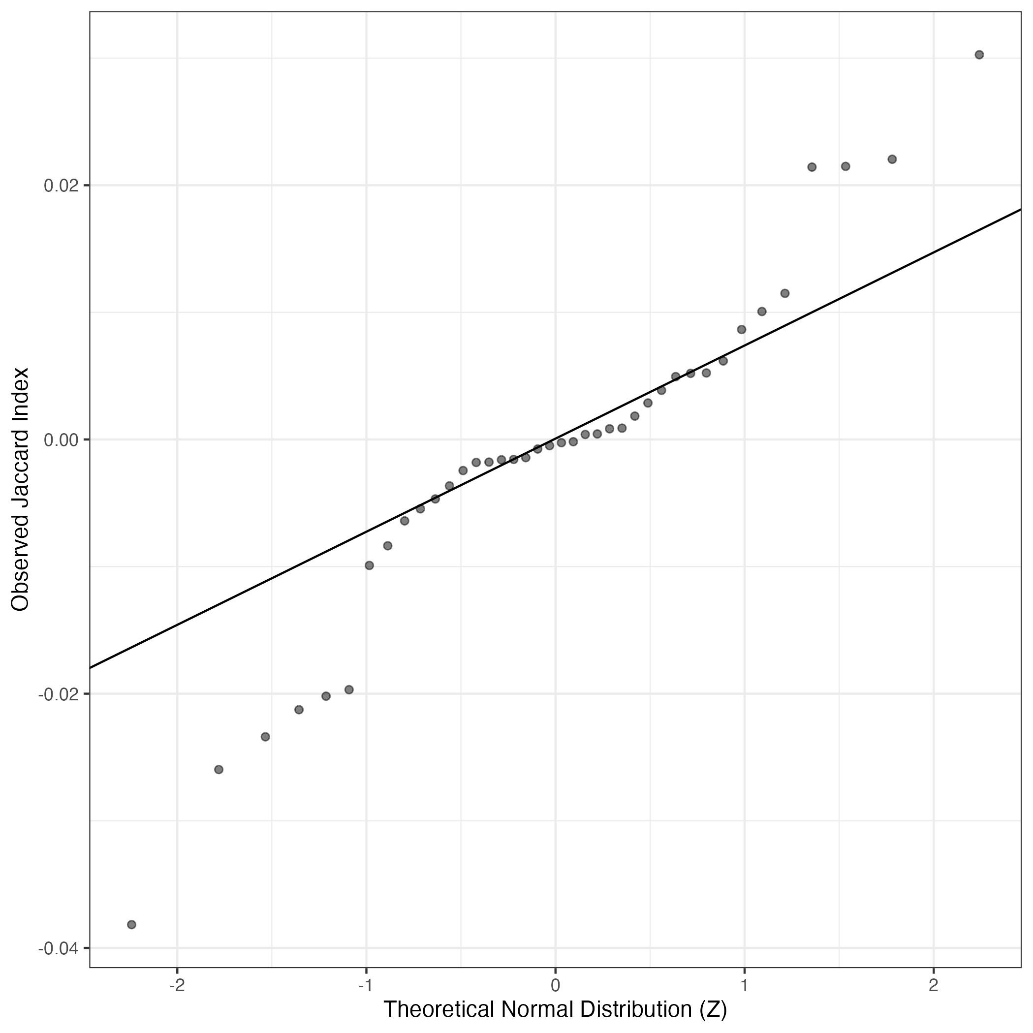
QQ-plot of gene loadings, averaged over both independent splits of the data
This plot highlights the relative contribution of each gene to the GEP
Top genes driving this program.
Note: Decartes website is buggy, try refreshing. Also, Decartes fetal adrenal data have been collected at specific time points (89-122 days), all possible cell types of interest may not be represented, do not overinterpret.
The Mean Count column shows the mean read count in cells scoring highly (H > 50) on this gene expression program.
Gene | Loading | Gene.Name | GTEx | DepMap | Descartes | Mean.Counts | Mean.Tpm | |
---|---|---|---|---|---|---|---|---|
1 | DBH | 0.0142399 | dopamine beta-hydroxylase | GTEx | DepMap | Descartes | 9.29 | 891.97 |
2 | RGS5 | 0.0127036 | regulator of G protein signaling 5 | GTEx | DepMap | Descartes | 18.34 | 771.53 |
3 | CACYBP | 0.0126874 | calcyclin binding protein | GTEx | DepMap | Descartes | 2.13 | 178.78 |
4 | JUN | 0.0125840 | Jun proto-oncogene, AP-1 transcription factor subunit | GTEx | DepMap | Descartes | 8.75 | 671.17 |
5 | UBB | 0.0124471 | ubiquitin B | GTEx | DepMap | Descartes | 14.20 | 3147.76 |
6 | BAG3 | 0.0122728 | BAG cochaperone 3 | GTEx | DepMap | Descartes | 0.30 | 32.73 |
7 | ZFAND2A | 0.0116716 | zinc finger AN1-type containing 2A | GTEx | DepMap | Descartes | 0.91 | 217.55 |
8 | CLU | 0.0116500 | clusterin | GTEx | DepMap | Descartes | 3.77 | 341.38 |
9 | UBC | 0.0114940 | ubiquitin C | GTEx | DepMap | Descartes | 10.73 | 691.05 |
10 | DDC | 0.0114268 | dopa decarboxylase | GTEx | DepMap | Descartes | 2.43 | 302.66 |
11 | CALM2 | 0.0112123 | calmodulin 2 | GTEx | DepMap | Descartes | 23.76 | 1284.24 |
12 | UCHL1 | 0.0103741 | ubiquitin C-terminal hydrolase L1 | GTEx | DepMap | Descartes | 11.15 | 1740.58 |
13 | FSCN1 | 0.0097354 | fascin actin-bundling protein 1 | GTEx | DepMap | Descartes | 3.65 | 319.17 |
14 | NTRK1 | 0.0094381 | neurotrophic receptor tyrosine kinase 1 | GTEx | DepMap | Descartes | 2.86 | 233.23 |
15 | DUSP1 | 0.0094199 | dual specificity phosphatase 1 | GTEx | DepMap | Descartes | 4.71 | 605.03 |
16 | TH | 0.0094191 | tyrosine hydroxylase | GTEx | DepMap | Descartes | 4.26 | 538.82 |
17 | HAND1 | 0.0093997 | heart and neural crest derivatives expressed 1 | GTEx | DepMap | Descartes | 1.74 | 253.43 |
18 | TMOD1 | 0.0093506 | tropomodulin 1 | GTEx | DepMap | Descartes | 5.22 | 405.00 |
19 | VSTM2A | 0.0093447 | V-set and transmembrane domain containing 2A | GTEx | DepMap | Descartes | 2.26 | 167.30 |
20 | GFRA3 | 0.0088654 | GDNF family receptor alpha 3 | GTEx | DepMap | Descartes | 1.53 | 187.02 |
21 | YWHAQ | 0.0088147 | tyrosine 3-monooxygenase/tryptophan 5-monooxygenase activation protein theta | GTEx | DepMap | Descartes | 7.34 | 814.20 |
22 | IER5 | 0.0086451 | immediate early response 5 | GTEx | DepMap | Descartes | 0.41 | 24.52 |
23 | PMP22 | 0.0086151 | peripheral myelin protein 22 | GTEx | DepMap | Descartes | 4.04 | 547.25 |
24 | TUBA1A | 0.0085795 | tubulin alpha 1a | GTEx | DepMap | Descartes | 45.78 | 5474.91 |
25 | CHGA | 0.0084810 | chromogranin A | GTEx | DepMap | Descartes | 3.36 | 390.59 |
26 | ACTB | 0.0084588 | actin beta | GTEx | DepMap | Descartes | 29.08 | 3012.26 |
27 | ELAVL4 | 0.0083843 | ELAV like RNA binding protein 4 | GTEx | DepMap | Descartes | 9.24 | 567.83 |
28 | HDAC2 | 0.0081772 | histone deacetylase 2 | GTEx | DepMap | Descartes | 3.61 | 91.48 |
29 | TFAP2B | 0.0078296 | transcription factor AP-2 beta | GTEx | DepMap | Descartes | 2.09 | 93.37 |
30 | YWHAE | 0.0077594 | tyrosine 3-monooxygenase/tryptophan 5-monooxygenase activation protein epsilon | GTEx | DepMap | Descartes | 7.52 | 805.58 |
31 | GNB2 | 0.0076264 | G protein subunit beta 2 | GTEx | DepMap | Descartes | 3.85 | 514.42 |
32 | CLK1 | 0.0075679 | CDC like kinase 1 | GTEx | DepMap | Descartes | 1.27 | 102.26 |
33 | SDC2 | 0.0075300 | syndecan 2 | GTEx | DepMap | Descartes | 0.76 | 57.03 |
34 | ALDOA | 0.0073728 | aldolase, fructose-bisphosphate A | GTEx | DepMap | Descartes | 4.51 | 307.84 |
35 | GATA2 | 0.0073056 | GATA binding protein 2 | GTEx | DepMap | Descartes | 3.26 | 232.42 |
36 | SLC18A2 | 0.0072982 | solute carrier family 18 member A2 | GTEx | DepMap | Descartes | 0.78 | 49.83 |
37 | SNAP25 | 0.0072947 | synaptosome associated protein 25 | GTEx | DepMap | Descartes | 2.02 | 221.13 |
38 | CCBE1 | 0.0072712 | collagen and calcium binding EGF domains 1 | GTEx | DepMap | Descartes | 0.36 | 15.34 |
39 | TMEM14A | 0.0072625 | transmembrane protein 14A | GTEx | DepMap | Descartes | 2.84 | 692.69 |
40 | CYB561 | 0.0072165 | cytochrome b561 | GTEx | DepMap | Descartes | 1.62 | 120.37 |
41 | TAGLN2 | 0.0070544 | transgelin 2 | GTEx | DepMap | Descartes | 3.05 | 463.45 |
42 | ATAT1 | 0.0069393 | alpha tubulin acetyltransferase 1 | GTEx | DepMap | Descartes | 2.05 | 185.99 |
43 | STMN3 | 0.0069018 | stathmin 3 | GTEx | DepMap | Descartes | 2.00 | 202.80 |
44 | CAMK2B | 0.0068664 | calcium/calmodulin dependent protein kinase II beta | GTEx | DepMap | Descartes | 1.73 | 91.49 |
45 | PLAGL1 | 0.0068191 | PLAG1 like zinc finger 1 | GTEx | DepMap | Descartes | 0.49 | 20.85 |
46 | SLC29A1 | 0.0067803 | solute carrier family 29 member 1 (Augustine blood group) | GTEx | DepMap | Descartes | 0.92 | 96.28 |
47 | SLC47A1 | 0.0067644 | solute carrier family 47 member 1 | GTEx | DepMap | Descartes | 0.12 | 10.99 |
48 | STMN2 | 0.0067308 | stathmin 2 | GTEx | DepMap | Descartes | 45.21 | 5658.90 |
49 | RAMP3 | 0.0066225 | receptor activity modifying protein 3 | GTEx | DepMap | Descartes | 0.76 | 147.44 |
50 | CPNE2 | 0.0065876 | copine 2 | GTEx | DepMap | Descartes | 1.03 | 71.84 |
UMAP plots showing activity of gene expression program identified in GEP 24. Neuroblastoma: Adrenergic #1:
CNV Data procured from inferCNV.
Outer tracks are putative CNV regions (gains = red, losses = blue) for each patient
Inner track is expression data representing:
The top cells expressing this GEP (purple)
Random cells (n =50) from the reference set used in inferCNV (orange)
Gene set Enrichments for this program, caculated from top 50 genes
mSigDB Cell Types Gene Set:
P-value | OR | Lower 95% CI | FDR | FWER | Genes Found | Gene Set Size | |
---|---|---|---|---|---|---|---|
DURANTE_ADULT_OLFACTORY_NEUROEPITHELIUM_GLOBOSE_BASAL_CELLS | 1.05e-05 | 34.98 | 8.63 | 6.43e-04 | 7.08e-03 | 4UCHL1, TUBA1A, ELAVL4, STMN2 |
35 |
HU_FETAL_RETINA_HORIZONTAL | 1.81e-05 | 30.14 | 7.49 | 9.47e-04 | 1.22e-02 | 4NTRK1, TUBA1A, TFAP2B, STMN2 |
40 |
TRAVAGLINI_LUNG_NEUROENDOCRINE_CELL | 6.32e-07 | 16.81 | 6.25 | 1.41e-04 | 4.24e-04 | 7DDC, UCHL1, GFRA3, ELAVL4, SNAP25, CAMK2B, STMN2 |
128 |
DURANTE_ADULT_OLFACTORY_NEUROEPITHELIUM_IMMATURE_NEURONS | 1.10e-06 | 15.41 | 5.74 | 1.47e-04 | 7.36e-04 | 7CALM2, UCHL1, TUBA1A, ELAVL4, GNB2, STMN3, STMN2 |
139 |
BUSSLINGER_GASTRIC_OXYNTIC_ENTEROCHROMAFFIN_LIKE_CELLS | 2.04e-05 | 17.34 | 5.24 | 9.47e-04 | 1.37e-02 | 5GFRA3, YWHAQ, CHGA, SLC18A2, CAMK2B |
85 |
DESCARTES_MAIN_FETAL_SYMPATHOBLASTS | 7.41e-05 | 20.48 | 5.17 | 2.62e-03 | 4.97e-02 | 4DBH, TH, CHGA, CYB561 |
57 |
FAN_OVARY_CL5_HEALTHY_SELECTABLE_FOLLICLE_THECAL_CELL | 3.16e-07 | 10.15 | 4.48 | 1.06e-04 | 2.12e-04 | 10CACYBP, JUN, UBB, BAG3, ZFAND2A, UBC, PMP22, CLK1, SDC2, PLAGL1 |
318 |
TRAVAGLINI_LUNG_BASOPHIL_MAST_1_CELL | 1.01e-06 | 10.28 | 4.35 | 1.47e-04 | 6.75e-04 | 9JUN, CLU, NTRK1, DUSP1, TMOD1, PMP22, TUBA1A, GATA2, SLC18A2 |
276 |
HU_FETAL_RETINA_RGC | 7.97e-08 | 9.16 | 4.33 | 5.35e-05 | 5.35e-05 | 12CALM2, UCHL1, NTRK1, YWHAQ, TUBA1A, ELAVL4, HDAC2, SNAP25, TMEM14A, ATAT1, STMN3, STMN2 |
443 |
BUSSLINGER_GASTRIC_X_CELLS | 8.83e-06 | 11.06 | 4.14 | 6.43e-04 | 5.93e-03 | 7JUN, CLU, DUSP1, TUBA1A, SNAP25, CAMK2B, STMN2 |
191 |
MANNO_MIDBRAIN_NEUROTYPES_HOMTN | 1.89e-06 | 8.25 | 3.65 | 2.11e-04 | 1.27e-03 | 10DBH, UCHL1, NTRK1, VSTM2A, TUBA1A, CHGA, ELAVL4, SNAP25, STMN3, STMN2 |
389 |
FAN_OVARY_CL10_PUTATIVE_EARLY_ATRESIA_GRANULOSA_CELL | 9.68e-06 | 8.95 | 3.59 | 6.43e-04 | 6.49e-03 | 8CALM2, FSCN1, TUBA1A, ACTB, HDAC2, YWHAE, ALDOA, TMEM14A |
274 |
DESCARTES_FETAL_HEART_VISCERAL_NEURONS | 3.79e-04 | 13.08 | 3.35 | 9.79e-03 | 2.54e-01 | 4DBH, DDC, TH, ELAVL4 |
87 |
DURANTE_ADULT_OLFACTORY_NEUROEPITHELIUM_MATURE_NEURONS | 8.59e-05 | 9.42 | 3.24 | 2.88e-03 | 5.76e-02 | 6CALM2, UCHL1, TUBA1A, CHGA, SNAP25, STMN2 |
187 |
FAN_OVARY_CL14_MATURE_SMOOTH_MUSCLE_CELL | 2.12e-05 | 7.99 | 3.21 | 9.47e-04 | 1.42e-02 | 8RGS5, JUN, UBB, CALM2, DUSP1, YWHAQ, TUBA1A, ACTB |
306 |
GAO_LARGE_INTESTINE_ADULT_CA_ENTEROENDOCRINE_CELLS | 2.42e-05 | 7.83 | 3.15 | 9.57e-04 | 1.63e-02 | 8TMOD1, GFRA3, TUBA1A, ELAVL4, SNAP25, STMN3, CAMK2B, STMN2 |
312 |
MANNO_MIDBRAIN_NEUROTYPES_HSERT | 6.63e-06 | 7.10 | 3.15 | 6.35e-04 | 4.45e-03 | 10DDC, UCHL1, VSTM2A, CHGA, GATA2, SLC18A2, SNAP25, TMEM14A, CAMK2B, STMN2 |
450 |
RUBENSTEIN_SKELETAL_MUSCLE_PERICYTES | 2.46e-04 | 9.99 | 3.05 | 6.89e-03 | 1.65e-01 | 5RGS5, UBB, CALM2, TUBA1A, ALDOA |
144 |
CUI_DEVELOPING_HEART_C5_VALVAR_CELL | 1.53e-04 | 8.44 | 2.91 | 4.66e-03 | 1.02e-01 | 6RGS5, BAG3, ZFAND2A, CLU, UCHL1, TUBA1A |
208 |
MANNO_MIDBRAIN_NEUROTYPES_HDA1 | 9.39e-06 | 6.16 | 2.83 | 6.43e-04 | 6.30e-03 | 11DDC, UCHL1, TH, VSTM2A, CHGA, ELAVL4, SLC18A2, SNAP25, CCBE1, CAMK2B, STMN2 |
584 |
Dowload full table
mSigDB Hallmark Gene Sets:
P-value | OR | Lower 95% CI | FDR | FWER | Genes Found | Gene Set Size | |
---|---|---|---|---|---|---|---|
HALLMARK_HYPOXIA | 7.71e-03 | 5.55 | 1.44 | 3.85e-01 | 3.85e-01 | 4JUN, DUSP1, SDC2, ALDOA |
200 |
HALLMARK_UV_RESPONSE_DN | 1.90e-02 | 5.66 | 1.11 | 4.75e-01 | 9.50e-01 | 3DUSP1, PMP22, SDC2 |
144 |
HALLMARK_TNFA_SIGNALING_VIA_NFKB | 4.35e-02 | 4.05 | 0.80 | 5.13e-01 | 1.00e+00 | 3JUN, DUSP1, IER5 |
200 |
HALLMARK_MYC_TARGETS_V1 | 4.35e-02 | 4.05 | 0.80 | 5.13e-01 | 1.00e+00 | 3YWHAQ, HDAC2, YWHAE |
200 |
HALLMARK_COAGULATION | 1.03e-01 | 3.83 | 0.45 | 5.13e-01 | 1.00e+00 | 2CLU, GNB2 |
138 |
HALLMARK_APOPTOSIS | 1.32e-01 | 3.28 | 0.38 | 5.13e-01 | 1.00e+00 | 2JUN, CLU |
161 |
HALLMARK_MITOTIC_SPINDLE | 1.83e-01 | 2.64 | 0.31 | 5.13e-01 | 1.00e+00 | 2FSCN1, YWHAE |
199 |
HALLMARK_ADIPOGENESIS | 1.85e-01 | 2.63 | 0.31 | 5.13e-01 | 1.00e+00 | 2UBC, ALDOA |
200 |
HALLMARK_ESTROGEN_RESPONSE_LATE | 1.85e-01 | 2.63 | 0.31 | 5.13e-01 | 1.00e+00 | 2TH, SLC29A1 |
200 |
HALLMARK_MYOGENESIS | 1.85e-01 | 2.63 | 0.31 | 5.13e-01 | 1.00e+00 | 2CLU, CAMK2B |
200 |
HALLMARK_APICAL_JUNCTION | 1.85e-01 | 2.63 | 0.31 | 5.13e-01 | 1.00e+00 | 2FSCN1, ACTB |
200 |
HALLMARK_COMPLEMENT | 1.85e-01 | 2.63 | 0.31 | 5.13e-01 | 1.00e+00 | 2CLU, GNB2 |
200 |
HALLMARK_MTORC1_SIGNALING | 1.85e-01 | 2.63 | 0.31 | 5.13e-01 | 1.00e+00 | 2CACYBP, ALDOA |
200 |
HALLMARK_EPITHELIAL_MESENCHYMAL_TRANSITION | 1.85e-01 | 2.63 | 0.31 | 5.13e-01 | 1.00e+00 | 2JUN, PMP22 |
200 |
HALLMARK_GLYCOLYSIS | 1.85e-01 | 2.63 | 0.31 | 5.13e-01 | 1.00e+00 | 2SDC2, ALDOA |
200 |
HALLMARK_P53_PATHWAY | 1.85e-01 | 2.63 | 0.31 | 5.13e-01 | 1.00e+00 | 2JUN, IER5 |
200 |
HALLMARK_PANCREAS_BETA_CELLS | 1.47e-01 | 6.54 | 0.16 | 5.13e-01 | 1.00e+00 | 1CHGA |
40 |
HALLMARK_WNT_BETA_CATENIN_SIGNALING | 1.54e-01 | 6.22 | 0.15 | 5.13e-01 | 1.00e+00 | 1HDAC2 |
42 |
HALLMARK_CHOLESTEROL_HOMEOSTASIS | 2.55e-01 | 3.49 | 0.09 | 6.71e-01 | 1.00e+00 | 1CLU |
74 |
HALLMARK_IL6_JAK_STAT3_SIGNALING | 2.93e-01 | 2.97 | 0.07 | 7.31e-01 | 1.00e+00 | 1JUN |
87 |
Dowload full table
KEGG Pathways:
P-value | OR | Lower 95% CI | FDR | FWER | Genes Found | Gene Set Size | |
---|---|---|---|---|---|---|---|
KEGG_NEUROTROPHIN_SIGNALING_PATHWAY | 9.51e-06 | 14.20 | 4.85 | 1.77e-03 | 1.77e-03 | 6JUN, CALM2, NTRK1, YWHAQ, YWHAE, CAMK2B |
126 |
KEGG_TYROSINE_METABOLISM | 6.07e-04 | 20.43 | 3.90 | 5.64e-02 | 1.13e-01 | 3DBH, DDC, TH |
42 |
KEGG_PATHOGENIC_ESCHERICHIA_COLI_INFECTION | 1.40e-03 | 15.04 | 2.91 | 6.28e-02 | 2.61e-01 | 3YWHAQ, TUBA1A, ACTB |
56 |
KEGG_OOCYTE_MEIOSIS | 1.01e-03 | 9.97 | 2.56 | 6.26e-02 | 1.88e-01 | 4CALM2, YWHAQ, YWHAE, CAMK2B |
113 |
KEGG_PARKINSONS_DISEASE | 1.69e-03 | 8.62 | 2.22 | 6.28e-02 | 3.14e-01 | 4UBB, UCHL1, TH, SLC18A2 |
130 |
KEGG_GNRH_SIGNALING_PATHWAY | 7.38e-03 | 8.14 | 1.59 | 2.29e-01 | 1.00e+00 | 3JUN, CALM2, CAMK2B |
101 |
KEGG_CELL_CYCLE | 1.31e-02 | 6.54 | 1.28 | 3.48e-01 | 1.00e+00 | 3YWHAQ, HDAC2, YWHAE |
125 |
KEGG_WNT_SIGNALING_PATHWAY | 2.15e-02 | 5.39 | 1.06 | 5.00e-01 | 1.00e+00 | 3CACYBP, JUN, CAMK2B |
151 |
KEGG_GLIOMA | 2.73e-02 | 8.26 | 0.95 | 5.65e-01 | 1.00e+00 | 2CALM2, CAMK2B |
65 |
KEGG_LONG_TERM_POTENTIATION | 3.13e-02 | 7.66 | 0.88 | 5.82e-01 | 1.00e+00 | 2CALM2, CAMK2B |
70 |
KEGG_ERBB_SIGNALING_PATHWAY | 4.64e-02 | 6.13 | 0.71 | 7.84e-01 | 1.00e+00 | 2JUN, CAMK2B |
87 |
KEGG_MELANOGENESIS | 6.04e-02 | 5.26 | 0.61 | 9.36e-01 | 1.00e+00 | 2CALM2, CAMK2B |
101 |
KEGG_MAPK_SIGNALING_PATHWAY | 8.58e-02 | 3.02 | 0.60 | 1.00e+00 | 1.00e+00 | 3JUN, NTRK1, DUSP1 |
267 |
KEGG_VASCULAR_SMOOTH_MUSCLE_CONTRACTION | 7.56e-02 | 4.61 | 0.54 | 1.00e+00 | 1.00e+00 | 2CALM2, RAMP3 |
115 |
KEGG_PATHWAYS_IN_CANCER | 1.32e-01 | 2.48 | 0.49 | 1.00e+00 | 1.00e+00 | 3JUN, NTRK1, HDAC2 |
325 |
KEGG_PHENYLALANINE_METABOLISM | 6.93e-02 | 14.99 | 0.35 | 9.91e-01 | 1.00e+00 | 1DDC |
18 |
KEGG_CALCIUM_SIGNALING_PATHWAY | 1.55e-01 | 2.96 | 0.35 | 1.00e+00 | 1.00e+00 | 2CALM2, CAMK2B |
178 |
KEGG_FOCAL_ADHESION | 1.83e-01 | 2.64 | 0.31 | 1.00e+00 | 1.00e+00 | 2JUN, ACTB |
199 |
KEGG_PENTOSE_PHOSPHATE_PATHWAY | 1.02e-01 | 9.80 | 0.23 | 1.00e+00 | 1.00e+00 | 1ALDOA |
27 |
KEGG_HISTIDINE_METABOLISM | 1.09e-01 | 9.11 | 0.22 | 1.00e+00 | 1.00e+00 | 1DDC |
29 |
Dowload full table
CHR Positional Gene Sets:
P-value | OR | Lower 95% CI | FDR | FWER | Genes Found | Gene Set Size | |
---|---|---|---|---|---|---|---|
chr7p22 | 1.20e-02 | 6.76 | 1.33 | 1.00e+00 | 1.00e+00 | 3ZFAND2A, FSCN1, ACTB |
121 |
chr7p13 | 1.67e-02 | 10.84 | 1.24 | 1.00e+00 | 1.00e+00 | 2CAMK2B, RAMP3 |
50 |
chr1q23 | 5.30e-02 | 3.73 | 0.74 | 1.00e+00 | 1.00e+00 | 3RGS5, NTRK1, TAGLN2 |
217 |
chr1q25 | 1.31e-01 | 3.30 | 0.38 | 1.00e+00 | 1.00e+00 | 2CACYBP, IER5 |
160 |
chr17p11 | 1.83e-01 | 2.64 | 0.31 | 1.00e+00 | 1.00e+00 | 2UBB, SLC47A1 |
199 |
chr4p13 | 1.16e-01 | 8.50 | 0.20 | 1.00e+00 | 1.00e+00 | 1UCHL1 |
31 |
chr16q13 | 1.47e-01 | 6.54 | 0.16 | 1.00e+00 | 1.00e+00 | 1CPNE2 |
40 |
chr6p21 | 7.00e-01 | 1.12 | 0.13 | 1.00e+00 | 1.00e+00 | 2ATAT1, SLC29A1 |
467 |
chr7p12 | 2.06e-01 | 4.47 | 0.11 | 1.00e+00 | 1.00e+00 | 1DDC |
58 |
chr1p33 | 2.13e-01 | 4.32 | 0.11 | 1.00e+00 | 1.00e+00 | 1ELAVL4 |
60 |
chr17p12 | 2.22e-01 | 4.11 | 0.10 | 1.00e+00 | 1.00e+00 | 1PMP22 |
63 |
chr6q24 | 2.49e-01 | 3.59 | 0.09 | 1.00e+00 | 1.00e+00 | 1PLAGL1 |
72 |
chr2p21 | 2.73e-01 | 3.23 | 0.08 | 1.00e+00 | 1.00e+00 | 1CALM2 |
80 |
chr7p11 | 2.78e-01 | 3.15 | 0.08 | 1.00e+00 | 1.00e+00 | 1VSTM2A |
82 |
chr20p12 | 3.39e-01 | 2.48 | 0.06 | 1.00e+00 | 1.00e+00 | 1SNAP25 |
104 |
chr5q33 | 3.52e-01 | 2.36 | 0.06 | 1.00e+00 | 1.00e+00 | 1HAND1 |
109 |
chr17q23 | 3.59e-01 | 2.30 | 0.06 | 1.00e+00 | 1.00e+00 | 1CYB561 |
112 |
chr2p25 | 3.72e-01 | 2.20 | 0.05 | 1.00e+00 | 1.00e+00 | 1YWHAQ |
117 |
chr6q21 | 3.72e-01 | 2.20 | 0.05 | 1.00e+00 | 1.00e+00 | 1HDAC2 |
117 |
chr10q25 | 3.94e-01 | 2.04 | 0.05 | 1.00e+00 | 1.00e+00 | 1SLC18A2 |
126 |
Dowload full table
Transcription Factor Targets:
P-value | OR | Lower 95% CI | FDR | FWER | Genes Found | Gene Set Size | |
---|---|---|---|---|---|---|---|
ALX4_01 | 1.80e-03 | 37.11 | 3.99 | 2.65e-01 | 1.00e+00 | 2JUN, SNAP25 |
16 |
PSMB5_TARGET_GENES | 2.38e-06 | 9.21 | 3.90 | 2.70e-03 | 2.70e-03 | 9UBB, UBC, CALM2, FSCN1, DUSP1, IER5, TUBA1A, ACTB, ALDOA |
307 |
ATCMNTCCGY_UNKNOWN | 1.20e-03 | 15.94 | 3.07 | 2.65e-01 | 1.00e+00 | 3UBC, CALM2, GNB2 |
53 |
PPARGC1A_TARGET_GENES | 6.41e-04 | 11.32 | 2.90 | 2.65e-01 | 7.26e-01 | 4CACYBP, UBB, BAG3, ZFAND2A |
100 |
ATF_B | 8.81e-04 | 7.47 | 2.29 | 2.65e-01 | 9.98e-01 | 5CALM2, DUSP1, TH, SLC18A2, SNAP25 |
191 |
LMO2COM_02 | 2.55e-03 | 5.81 | 1.78 | 2.65e-01 | 1.00e+00 | 5CLU, CALM2, VSTM2A, GFRA3, ELAVL4 |
244 |
HSF2_TARGET_GENES | 2.64e-03 | 5.76 | 1.77 | 2.65e-01 | 1.00e+00 | 5UBB, BAG3, ZFAND2A, UBC, IER5 |
246 |
ZNF524_TARGET_GENES | 2.38e-03 | 4.89 | 1.69 | 2.65e-01 | 1.00e+00 | 6UBB, UCHL1, DUSP1, HDAC2, GNB2, STMN3 |
355 |
CREBP1_Q2 | 3.33e-03 | 5.45 | 1.67 | 2.65e-01 | 1.00e+00 | 5CALM2, DUSP1, TH, SLC18A2, SNAP25 |
260 |
TAAWWATAG_RSRFC4_Q2 | 4.58e-03 | 6.47 | 1.67 | 3.05e-01 | 1.00e+00 | 4JUN, ELAVL4, ALDOA, SNAP25 |
172 |
NFY_01 | 3.39e-03 | 5.43 | 1.67 | 2.65e-01 | 1.00e+00 | 5UBB, CALM2, IER5, ACTB, ELAVL4 |
261 |
NRSF_01 | 6.61e-03 | 8.48 | 1.66 | 3.56e-01 | 1.00e+00 | 3CHGA, SNAP25, STMN2 |
97 |
ALPHACP1_01 | 3.50e-03 | 5.38 | 1.65 | 2.65e-01 | 1.00e+00 | 5UBB, DDC, CALM2, ELAVL4, GNB2 |
263 |
CREB_01 | 3.79e-03 | 5.28 | 1.62 | 2.68e-01 | 1.00e+00 | 5CALM2, DUSP1, TH, SLC18A2, SNAP25 |
268 |
OVOL3_TARGET_GENES | 3.03e-03 | 4.06 | 1.53 | 2.65e-01 | 1.00e+00 | 7RGS5, CACYBP, UBC, CALM2, GNB2, CCBE1, TAGLN2 |
508 |
KLF7_TARGET_GENES | 1.83e-03 | 3.42 | 1.52 | 2.65e-01 | 1.00e+00 | 10RGS5, UBB, UBC, CALM2, PMP22, TUBA1A, GNB2, ALDOA, TAGLN2, STMN3 |
925 |
TSHZ1_TARGET_GENES | 6.59e-03 | 5.81 | 1.50 | 3.56e-01 | 1.00e+00 | 4UBC, ALDOA, CCBE1, TAGLN2 |
191 |
ACAWYAAAG_UNKNOWN | 8.63e-03 | 7.67 | 1.50 | 3.75e-01 | 1.00e+00 | 3HAND1, ELAVL4, ATAT1 |
107 |
GTF2A2_TARGET_GENES | 3.50e-03 | 3.95 | 1.49 | 2.65e-01 | 1.00e+00 | 7UBB, UBC, CALM2, FSCN1, DUSP1, IER5, ACTB |
522 |
CHAF1B_TARGET_GENES | 2.74e-03 | 3.22 | 1.43 | 2.65e-01 | 1.00e+00 | 10RGS5, UBB, ZFAND2A, CALM2, FSCN1, DUSP1, IER5, ACTB, GNB2, TAGLN2 |
981 |
Dowload full table
GO Biological Processes:
P-value | OR | Lower 95% CI | FDR | FWER | Genes Found | Gene Set Size | |
---|---|---|---|---|---|---|---|
GOBP_NEUROTRANSMITTER_LOADING_INTO_SYNAPTIC_VESICLE | 3.28e-06 | 158.40 | 23.90 | 2.10e-02 | 2.45e-02 | 3DDC, TH, SLC18A2 |
8 |
GOBP_RESPONSE_TO_AMPHETAMINE | 5.61e-06 | 41.71 | 10.17 | 2.10e-02 | 4.20e-02 | 4DBH, TH, HDAC2, SLC18A2 |
30 |
GOBP_ALKALOID_METABOLIC_PROCESS | 3.22e-04 | 103.49 | 9.64 | 1.10e-01 | 1.00e+00 | 2DDC, TH |
7 |
GOBP_NOREPINEPHRINE_BIOSYNTHETIC_PROCESS | 3.22e-04 | 103.49 | 9.64 | 1.10e-01 | 1.00e+00 | 2DBH, TH |
7 |
GOBP_BEHAVIORAL_RESPONSE_TO_ETHANOL | 3.22e-04 | 103.49 | 9.64 | 1.10e-01 | 1.00e+00 | 2DBH, HDAC2 |
7 |
GOBP_CATECHOL_CONTAINING_COMPOUND_BIOSYNTHETIC_PROCESS | 6.44e-05 | 46.77 | 8.51 | 7.00e-02 | 4.82e-01 | 3DBH, DDC, TH |
20 |
GOBP_SYMPATHETIC_NERVOUS_SYSTEM_DEVELOPMENT | 7.49e-05 | 44.24 | 8.07 | 7.00e-02 | 5.60e-01 | 3NTRK1, GFRA3, TFAP2B |
21 |
GOBP_RESPONSE_TO_INSECTICIDE | 5.49e-04 | 74.10 | 7.33 | 1.28e-01 | 1.00e+00 | 2DDC, TH |
9 |
GOBP_FAT_CELL_PROLIFERATION | 5.49e-04 | 74.10 | 7.33 | 1.28e-01 | 1.00e+00 | 2VSTM2A, GATA2 |
9 |
GOBP_CELLULAR_RESPONSE_TO_NICOTINE | 5.49e-04 | 74.10 | 7.33 | 1.28e-01 | 1.00e+00 | 2NTRK1, TH |
9 |
GOBP_RESPONSE_TO_AMINE | 2.20e-05 | 28.56 | 7.12 | 4.53e-02 | 1.65e-01 | 4DBH, TH, HDAC2, SLC18A2 |
42 |
GOBP_SUBSTANTIA_NIGRA_DEVELOPMENT | 2.42e-05 | 27.83 | 6.94 | 4.53e-02 | 1.81e-01 | 4CALM2, YWHAQ, ACTB, YWHAE |
43 |
GOBP_REPRODUCTIVE_BEHAVIOR | 1.81e-04 | 31.85 | 5.95 | 9.65e-02 | 1.00e+00 | 3DBH, TH, HDAC2 |
28 |
GOBP_DOPAMINE_BIOSYNTHETIC_PROCESS | 8.35e-04 | 57.69 | 5.91 | 1.56e-01 | 1.00e+00 | 2DDC, TH |
11 |
GOBP_CHAPERONE_MEDIATED_PROTEIN_TRANSPORT | 8.35e-04 | 57.69 | 5.91 | 1.56e-01 | 1.00e+00 | 2BAG3, CLU |
11 |
GOBP_NEGATIVE_REGULATION_OF_TRANSCRIPTION_FROM_RNA_POLYMERASE_II_PROMOTER_IN_RESPONSE_TO_STRESS | 9.99e-04 | 51.89 | 5.39 | 1.74e-01 | 1.00e+00 | 2JUN, BAG3 |
12 |
GOBP_NOREPINEPHRINE_METABOLIC_PROCESS | 1.18e-03 | 47.19 | 4.96 | 1.80e-01 | 1.00e+00 | 2DBH, TH |
13 |
GOBP_NEURAL_NUCLEUS_DEVELOPMENT | 9.06e-05 | 19.39 | 4.91 | 7.00e-02 | 6.78e-01 | 4CALM2, YWHAQ, ACTB, YWHAE |
60 |
GOBP_RESPONSE_TO_WATER | 1.37e-03 | 43.30 | 4.59 | 1.89e-01 | 1.00e+00 | 2NTRK1, TH |
14 |
GOBP_G_PROTEIN_COUPLED_RECEPTOR_SIGNALING_PATHWAY_INVOLVED_IN_HEART_PROCESS | 1.37e-03 | 43.30 | 4.59 | 1.89e-01 | 1.00e+00 | 2CHGA, RAMP3 |
14 |
Dowload full table
Immunological Gene Sets:
P-value | OR | Lower 95% CI | FDR | FWER | Genes Found | Gene Set Size | |
---|---|---|---|---|---|---|---|
GSE6269_HEALTHY_VS_E_COLI_INF_PBMC_DN | 5.67e-04 | 8.27 | 2.53 | 5.26e-01 | 1.00e+00 | 5DBH, DDC, HAND1, TUBA1A, TAGLN2 |
173 |
GSE17974_CTRL_VS_ACT_IL4_AND_ANTI_IL12_6H_CD4_TCELL_UP | 9.44e-04 | 7.35 | 2.25 | 5.26e-01 | 1.00e+00 | 5JUN, BAG3, ZFAND2A, DUSP1, TAGLN2 |
194 |
GSE360_DC_VS_MAC_T_GONDII_UP | 1.03e-03 | 7.19 | 2.20 | 5.26e-01 | 1.00e+00 | 5UBB, FSCN1, PMP22, TUBA1A, SNAP25 |
198 |
GSE360_T_GONDII_VS_B_MALAYI_HIGH_DOSE_DC_UP | 1.03e-03 | 7.19 | 2.20 | 5.26e-01 | 1.00e+00 | 5DUSP1, PMP22, SNAP25, TAGLN2, CAMK2B |
198 |
GSE3982_MAST_CELL_VS_MAC_UP | 1.06e-03 | 7.16 | 2.19 | 5.26e-01 | 1.00e+00 | 5NTRK1, TMOD1, ACTB, CLK1, TMEM14A |
199 |
GSE3982_BASOPHIL_VS_TH1_UP | 1.06e-03 | 7.16 | 2.19 | 5.26e-01 | 1.00e+00 | 5DUSP1, PMP22, TFAP2B, CLK1, PLAGL1 |
199 |
GSE22025_UNTREATED_VS_PROGESTERONE_TREATED_CD4_TCELL_DN | 1.06e-03 | 7.16 | 2.19 | 5.26e-01 | 1.00e+00 | 5JUN, UBB, CALM2, YWHAQ, STMN2 |
199 |
GSE2405_HEAT_KILLED_LYSATE_VS_LIVE_A_PHAGOCYTOPHILUM_STIM_NEUTROPHIL_24H_UP | 1.08e-03 | 7.12 | 2.18 | 5.26e-01 | 1.00e+00 | 5RGS5, CLU, FSCN1, PMP22, PLAGL1 |
200 |
GSE37301_MULTIPOTENT_PROGENITOR_VS_CD4_TCELL_DN | 1.08e-03 | 7.12 | 2.18 | 5.26e-01 | 1.00e+00 | 5RGS5, UBC, DDC, PMP22, SLC29A1 |
200 |
GSE42021_CD24LO_TREG_VS_CD24LO_TCONV_THYMUS_UP | 1.08e-03 | 7.12 | 2.18 | 5.26e-01 | 1.00e+00 | 5CACYBP, JUN, YWHAQ, CLK1, PLAGL1 |
200 |
GSE9509_10MIN_VS_30MIN_LPS_AND_IL10_STIM_IL10_KO_MACROPHAGE_DN | 3.47e-03 | 7.01 | 1.81 | 8.73e-01 | 1.00e+00 | 4ZFAND2A, PMP22, CCBE1, TAGLN2 |
159 |
GSE6269_HEALTHY_VS_FLU_INF_PBMC_DN | 3.79e-03 | 6.83 | 1.77 | 8.73e-01 | 1.00e+00 | 4ACTB, YWHAE, ALDOA, TAGLN2 |
163 |
GSE37301_HEMATOPOIETIC_STEM_CELL_VS_RAG2_KO_NK_CELL_DN | 5.68e-03 | 6.07 | 1.57 | 8.73e-01 | 1.00e+00 | 4ZFAND2A, UBC, DUSP1, TUBA1A |
183 |
GSE17974_CTRL_VS_ACT_IL4_AND_ANTI_IL12_48H_CD4_TCELL_UP | 6.35e-03 | 5.87 | 1.52 | 8.73e-01 | 1.00e+00 | 4JUN, BAG3, ZFAND2A, DUSP1 |
189 |
GSE7219_UNSTIM_VS_LPS_AND_ANTI_CD40_STIM_NIK_NFKB2_KO_DC_DN | 6.47e-03 | 5.84 | 1.51 | 8.73e-01 | 1.00e+00 | 4JUN, BAG3, UBC, IER5 |
190 |
GSE17974_0H_VS_24H_IN_VITRO_ACT_CD4_TCELL_UP | 6.59e-03 | 5.81 | 1.50 | 8.73e-01 | 1.00e+00 | 4BAG3, ZFAND2A, DUSP1, CLK1 |
191 |
GSE17974_CTRL_VS_ACT_IL4_AND_ANTI_IL12_2H_CD4_TCELL_UP | 6.83e-03 | 5.75 | 1.49 | 8.73e-01 | 1.00e+00 | 4JUN, ZFAND2A, DUSP1, TAGLN2 |
193 |
GSE17974_CTRL_VS_ACT_IL4_AND_ANTI_IL12_4H_CD4_TCELL_UP | 6.95e-03 | 5.72 | 1.48 | 8.73e-01 | 1.00e+00 | 4JUN, DUSP1, TAGLN2, STMN3 |
194 |
GSE29618_BCELL_VS_PDC_UP | 7.07e-03 | 5.69 | 1.47 | 8.73e-01 | 1.00e+00 | 4JUN, DUSP1, IER5, TUBA1A |
195 |
GSE1460_CORD_VS_ADULT_BLOOD_NAIVE_CD4_TCELL_UP | 7.20e-03 | 5.66 | 1.47 | 8.73e-01 | 1.00e+00 | 4UBB, HDAC2, TAGLN2, PLAGL1 |
196 |
Top Ranked Transcription Factors for this Gene Expression Program:
Gene Symbol | TF Rank | DNA Binding Domain | Motif Status | IUPAC PWM | GTEx | DepMap | Decartes |
---|---|---|---|---|---|---|---|
JUN | 4 | Yes | Known motif | Monomer or homomultimer | High-throughput in vitro | None | None |
UBB | 5 | No | Unlikely to be sequence specific TF | Not a DNA binding protein | No motif | None | None |
CLU | 8 | No | Unlikely to be sequence specific TF | Not a DNA binding protein | No motif | None | Included only because GO says positive regulation of NF-kappaB transcription factor activity, but there is no DBD and no evidence of DNA binding. |
UBC | 9 | No | Unlikely to be sequence specific TF | Not a DNA binding protein | No motif | None | None |
NTRK1 | 14 | No | Unlikely to be sequence specific TF | Not a DNA binding protein | No motif | None | Membrane bound receptor protein |
HAND1 | 17 | Yes | Known motif | Obligate heteromer | In vivo/Misc source | Only known motifs are from Transfac or HocoMoco - origin is uncertain | Obligate heteromer (PMID: 10611232). |
HDAC2 | 28 | No | Unlikely to be sequence specific TF | Not a DNA binding protein | No motif | Only known motifs are from Transfac or HocoMoco - origin is uncertain | Histone deacetylase; likely to be a transcriptional cofactor |
TFAP2B | 29 | Yes | Known motif | Monomer or homomultimer | High-throughput in vitro | None | None |
GATA2 | 35 | Yes | Known motif | Monomer or homomultimer | High-throughput in vitro | None | None |
PLAGL1 | 45 | Yes | Known motif | Monomer or homomultimer | In vivo/Misc source | Only known motifs are from Transfac or HocoMoco - origin is uncertain | None |
CITED2 | 72 | No | Unlikely to be sequence specific TF | Not a DNA binding protein | No motif | None | None |
FOS | 84 | Yes | Known motif | Monomer or homomultimer | High-throughput in vitro | None | None |
PCBP1 | 94 | No | ssDNA/RNA binding | Not a DNA binding protein | No motif | None | Crystal structure shows it binds ssDNA (PDB: 1ZTG). |
HOXC9 | 101 | Yes | Known motif | Monomer or homomultimer | High-throughput in vitro | None | None |
SNRPC | 105 | No | Unlikely to be sequence specific TF | Not a DNA binding protein | No motif | None | Component of the spliceosomal U1 snRNP |
TERF2IP | 107 | No | Unlikely to be sequence specific TF | Not a DNA binding protein | No motif | None | Contains a single Myb-like domain. Forms a complex with TERF2, where it modulates the binding of TERF2 to telomeres (PMID: 25675958). Unclear if TERF2IP contacts DNA directly. |
GREM1 | 112 | No | Unlikely to be sequence specific TF | Not a DNA binding protein | No motif | None | None |
ATF3 | 117 | Yes | Known motif | Monomer or homomultimer | High-throughput in vitro | None | None |
MLLT11 | 125 | No | Unlikely to be sequence specific TF | Not a DNA binding protein | No motif | None | None |
TAF7 | 135 | No | Unlikely to be sequence specific TF | Not a DNA binding protein | No motif | None | Does not contact DNA in the structure (PDB: 5FUR) |
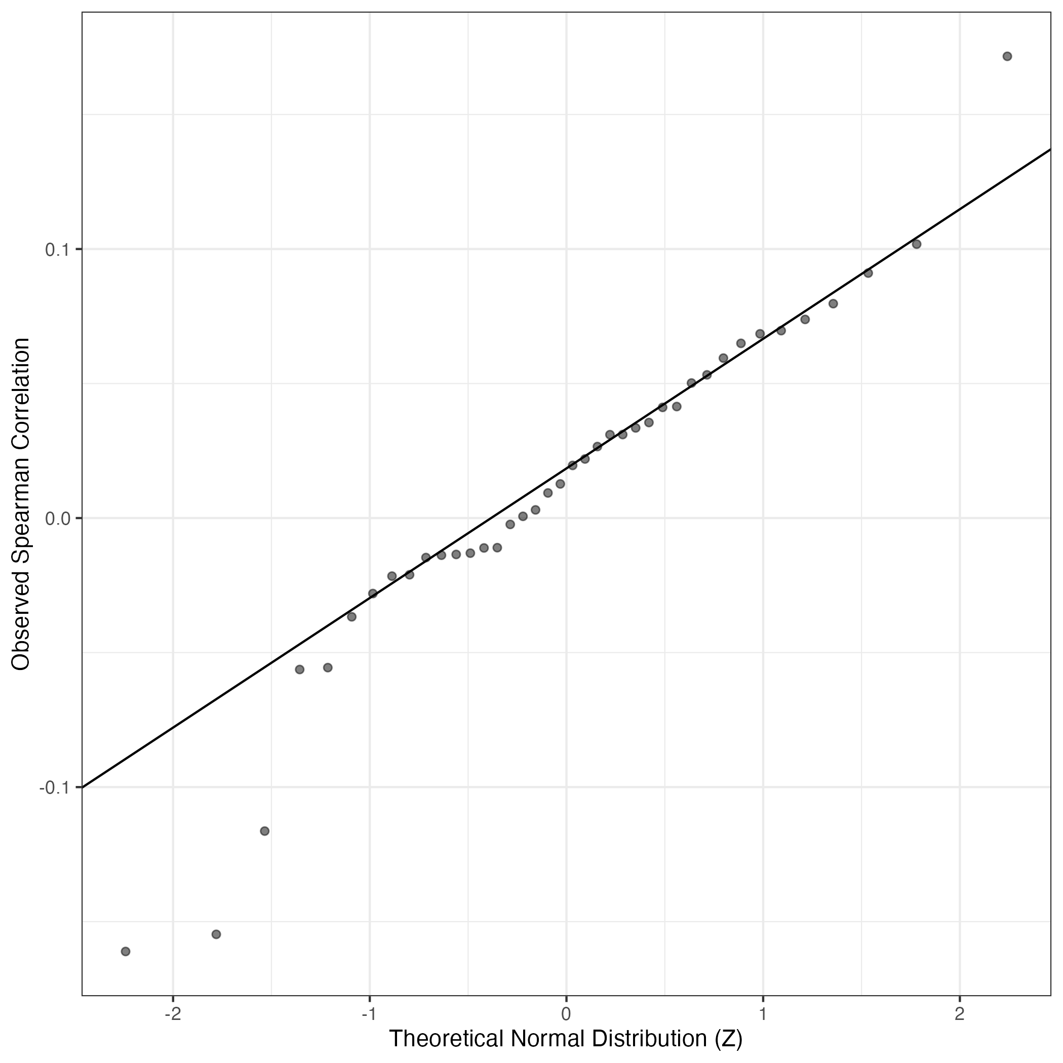
QQ Plot showing correlations with other GEPs in this dataset, calculated by Spearman correlation:
Interactive QQ-plot of gene loadings:
A similar QQ-plot as above, but only for instances where the H value is e.g. > 25, i.e. we are confident that the expression program is active above noise. Agreemenet between these binary vectors is tested using the Jaccard Index, with the P-values calculated by an exact test:
Interactive QQ-plot:
Singler cell type annotations for the top 50 cells on this program.
Cell ID | Singler label | Singler Delta | Activity Score | Top Singler Raw Scores |
---|---|---|---|---|
T44_GACGTTAGTTCTCATT.1 | Neurons:adrenal_medulla_cell_line | 0.16 | 575.59 | Raw ScoresNeurons:adrenal_medulla_cell_line: 0.32, Neuroepithelial_cell:ESC-derived: 0.26, Astrocyte:Embryonic_stem_cell-derived: 0.25, iPS_cells:CRL2097_foreskin-derived:undiff.: 0.23, Tissue_stem_cells:CD326-CD56+: 0.23, iPS_cells:PDB_2lox-22: 0.22, Embryonic_stem_cells: 0.22, iPS_cells:PDB_1lox-17Puro-5: 0.22, iPS_cells:PDB_2lox-21: 0.22, Neurons:ES_cell-derived_neural_precursor: 0.22 |
T40_GCAATCAAGACCGGAT.1 | Neurons:adrenal_medulla_cell_line | 0.14 | 539.96 | Raw ScoresNeurons:adrenal_medulla_cell_line: 0.34, Astrocyte:Embryonic_stem_cell-derived: 0.27, Neuroepithelial_cell:ESC-derived: 0.27, iPS_cells:PDB_1lox-21Puro-20: 0.25, iPS_cells:PDB_1lox-17Puro-5: 0.25, iPS_cells:PDB_1lox-17Puro-10: 0.24, iPS_cells:PDB_1lox-21Puro-26: 0.24, iPS_cells:PDB_2lox-22: 0.24, iPS_cells:PDB_2lox-17: 0.24, iPS_cells:iPS:minicircle-derived: 0.24 |
T40_AGGCCGTGTGCGAAAC.1 | Neurons:adrenal_medulla_cell_line | 0.08 | 380.47 | Raw ScoresNeurons:adrenal_medulla_cell_line: 0.28, NK_cell:CD56hiCD62L+: 0.24, T_cell:CD4+_central_memory: 0.24, T_cell:CD4+_effector_memory: 0.24, T_cell:CD4+_Naive: 0.24, T_cell:CD8+_effector_memory: 0.24, T_cell:CD8+_naive: 0.24, Astrocyte:Embryonic_stem_cell-derived: 0.23, Pro-B_cell_CD34+: 0.23, CMP: 0.23 |
T71_CTCTGGTAGGGATCTG.1 | Neurons:adrenal_medulla_cell_line | 0.16 | 370.72 | Raw ScoresNeurons:adrenal_medulla_cell_line: 0.33, Neuroepithelial_cell:ESC-derived: 0.27, Astrocyte:Embryonic_stem_cell-derived: 0.26, iPS_cells:CRL2097_foreskin-derived:undiff.: 0.24, iPS_cells:PDB_2lox-22: 0.24, iPS_cells:adipose_stem_cell-derived:lentiviral: 0.24, iPS_cells:PDB_1lox-17Puro-10: 0.24, iPS_cells:iPS:minicircle-derived: 0.24, iPS_cells:PDB_1lox-21Puro-20: 0.24, iPS_cells:PDB_2lox-17: 0.24 |
T40_CCGGTAGCAGTGGGAT.1 | Neurons:adrenal_medulla_cell_line | 0.13 | 351.16 | Raw ScoresNeurons:adrenal_medulla_cell_line: 0.33, Neuroepithelial_cell:ESC-derived: 0.28, Astrocyte:Embryonic_stem_cell-derived: 0.27, iPS_cells:iPS:minicircle-derived: 0.26, iPS_cells:adipose_stem_cell-derived:minicircle-derived: 0.26, iPS_cells:PDB_2lox-22: 0.26, iPS_cells:PDB_2lox-17: 0.25, iPS_cells:adipose_stem_cell-derived:lentiviral: 0.25, Embryonic_stem_cells: 0.25, iPS_cells:PDB_2lox-5: 0.25 |
T71_ACGCCGACATATGCTG.1 | Neurons:adrenal_medulla_cell_line | 0.14 | 344.97 | Raw ScoresNeurons:adrenal_medulla_cell_line: 0.32, Astrocyte:Embryonic_stem_cell-derived: 0.27, Neuroepithelial_cell:ESC-derived: 0.26, iPS_cells:iPS:minicircle-derived: 0.24, iPS_cells:adipose_stem_cell-derived:minicircle-derived: 0.24, iPS_cells:PDB_1lox-21Puro-20: 0.24, iPS_cells:adipose_stem_cell-derived:lentiviral: 0.23, iPS_cells:PDB_1lox-17Puro-10: 0.23, iPS_cells:PDB_2lox-22: 0.23, iPS_cells:PDB_1lox-17Puro-5: 0.23 |
T44_GACTAACGTAACGACG.1 | Neurons:adrenal_medulla_cell_line | 0.15 | 341.14 | Raw ScoresNeurons:adrenal_medulla_cell_line: 0.33, Neuroepithelial_cell:ESC-derived: 0.27, Astrocyte:Embryonic_stem_cell-derived: 0.27, iPS_cells:CRL2097_foreskin-derived:undiff.: 0.24, iPS_cells:PDB_2lox-22: 0.24, iPS_cells:PDB_2lox-17: 0.24, iPS_cells:PDB_2lox-21: 0.24, iPS_cells:PDB_1lox-21Puro-20: 0.24, iPS_cells:PDB_1lox-17Puro-5: 0.24, iPS_cells:PDB_2lox-5: 0.24 |
T40_TGGGCGTGTAAGTAGT.1 | Neurons:adrenal_medulla_cell_line | 0.13 | 338.78 | Raw ScoresNeurons:adrenal_medulla_cell_line: 0.35, Neuroepithelial_cell:ESC-derived: 0.31, Astrocyte:Embryonic_stem_cell-derived: 0.3, iPS_cells:iPS:minicircle-derived: 0.27, iPS_cells:PDB_1lox-21Puro-20: 0.27, iPS_cells:adipose_stem_cell-derived:minicircle-derived: 0.27, iPS_cells:adipose_stem_cell-derived:lentiviral: 0.27, iPS_cells:PDB_2lox-22: 0.27, iPS_cells:skin_fibroblast-derived: 0.27, iPS_cells:PDB_1lox-21Puro-26: 0.27 |
T40_ATCATGGCAACACCCG.1 | Neurons:adrenal_medulla_cell_line | 0.12 | 338.61 | Raw ScoresNeurons:adrenal_medulla_cell_line: 0.29, Astrocyte:Embryonic_stem_cell-derived: 0.25, Neuroepithelial_cell:ESC-derived: 0.25, iPS_cells:PDB_1lox-17Puro-10: 0.23, iPS_cells:PDB_1lox-17Puro-5: 0.23, iPS_cells:PDB_1lox-21Puro-20: 0.22, iPS_cells:PDB_1lox-21Puro-26: 0.22, iPS_cells:iPS:minicircle-derived: 0.22, iPS_cells:PDB_2lox-22: 0.22, iPS_cells:fibroblast-derived:Retroviral_transf: 0.22 |
T40_CACAGTACAATAAGCA.1 | Neurons:adrenal_medulla_cell_line | 0.13 | 335.48 | Raw ScoresNeurons:adrenal_medulla_cell_line: 0.3, Astrocyte:Embryonic_stem_cell-derived: 0.24, Neuroepithelial_cell:ESC-derived: 0.24, iPS_cells:PDB_1lox-21Puro-20: 0.21, Neurons:ES_cell-derived_neural_precursor: 0.21, iPS_cells:PDB_2lox-5: 0.21, iPS_cells:PDB_1lox-17Puro-10: 0.21, iPS_cells:PDB_2lox-17: 0.21, iPS_cells:PDB_2lox-22: 0.21, iPS_cells:PDB_1lox-17Puro-5: 0.21 |
T44_GCTGCGATCCGTTGCT.1 | Neurons:adrenal_medulla_cell_line | 0.15 | 329.80 | Raw ScoresNeurons:adrenal_medulla_cell_line: 0.32, Astrocyte:Embryonic_stem_cell-derived: 0.26, Neuroepithelial_cell:ESC-derived: 0.26, iPS_cells:CRL2097_foreskin-derived:undiff.: 0.23, Neurons:ES_cell-derived_neural_precursor: 0.22, iPS_cells:PDB_2lox-5: 0.22, iPS_cells:PDB_2lox-21: 0.22, iPS_cells:PDB_2lox-22: 0.22, iPS_cells:PDB_2lox-17: 0.22, iPS_cells:PDB_1lox-21Puro-20: 0.22 |
T19_TGTTCCGAGAGTAAGG.1 | Neurons:adrenal_medulla_cell_line | 0.14 | 323.40 | Raw ScoresNeurons:adrenal_medulla_cell_line: 0.34, Neuroepithelial_cell:ESC-derived: 0.28, Astrocyte:Embryonic_stem_cell-derived: 0.28, Neurons:Schwann_cell: 0.26, iPS_cells:adipose_stem_cell-derived:minicircle-derived: 0.26, iPS_cells:adipose_stem_cell-derived:lentiviral: 0.25, iPS_cells:PDB_2lox-22: 0.25, iPS_cells:PDB_1lox-21Puro-20: 0.25, iPS_cells:PDB_1lox-17Puro-10: 0.25, iPS_cells:PDB_2lox-5: 0.25 |
T71_ACGAGCCGTTGGACCC.1 | Neurons:adrenal_medulla_cell_line | 0.16 | 320.40 | Raw ScoresNeurons:adrenal_medulla_cell_line: 0.35, Neuroepithelial_cell:ESC-derived: 0.29, Astrocyte:Embryonic_stem_cell-derived: 0.28, iPS_cells:PDB_2lox-22: 0.26, iPS_cells:PDB_1lox-17Puro-10: 0.26, iPS_cells:PDB_2lox-17: 0.26, Embryonic_stem_cells: 0.26, iPS_cells:PDB_1lox-21Puro-20: 0.26, iPS_cells:PDB_2lox-5: 0.26, iPS_cells:adipose_stem_cell-derived:minicircle-derived: 0.26 |
T71_GTCGTAACACTCGACG.1 | Neurons:adrenal_medulla_cell_line | 0.18 | 320.36 | Raw ScoresNeurons:adrenal_medulla_cell_line: 0.36, Neuroepithelial_cell:ESC-derived: 0.29, Astrocyte:Embryonic_stem_cell-derived: 0.28, iPS_cells:adipose_stem_cell-derived:minicircle-derived: 0.26, iPS_cells:PDB_1lox-17Puro-10: 0.26, iPS_cells:PDB_1lox-17Puro-5: 0.26, iPS_cells:adipose_stem_cell-derived:lentiviral: 0.26, iPS_cells:iPS:minicircle-derived: 0.26, Embryonic_stem_cells: 0.26, iPS_cells:PDB_1lox-21Puro-20: 0.26 |
T71_TTGACTTTCAAACCGT.1 | Neurons:adrenal_medulla_cell_line | 0.17 | 317.30 | Raw ScoresNeurons:adrenal_medulla_cell_line: 0.36, Neuroepithelial_cell:ESC-derived: 0.29, Astrocyte:Embryonic_stem_cell-derived: 0.29, iPS_cells:PDB_1lox-17Puro-10: 0.27, iPS_cells:PDB_2lox-22: 0.27, iPS_cells:PDB_1lox-21Puro-26: 0.27, iPS_cells:PDB_1lox-21Puro-20: 0.27, iPS_cells:PDB_1lox-17Puro-5: 0.27, iPS_cells:PDB_2lox-21: 0.27, iPS_cells:PDB_2lox-17: 0.27 |
T71_CGTAGGCAGCGATTCT.1 | Neurons:adrenal_medulla_cell_line | 0.16 | 316.35 | Raw ScoresNeurons:adrenal_medulla_cell_line: 0.34, Neuroepithelial_cell:ESC-derived: 0.28, Astrocyte:Embryonic_stem_cell-derived: 0.27, iPS_cells:PDB_1lox-17Puro-10: 0.25, iPS_cells:PDB_1lox-21Puro-20: 0.25, iPS_cells:PDB_1lox-21Puro-26: 0.25, iPS_cells:PDB_2lox-22: 0.25, iPS_cells:adipose_stem_cell-derived:minicircle-derived: 0.25, iPS_cells:iPS:minicircle-derived: 0.25, iPS_cells:CRL2097_foreskin-derived:undiff.: 0.25 |
T71_CTTACCGTCCGCTGTT.1 | Neurons:adrenal_medulla_cell_line | 0.18 | 315.51 | Raw ScoresNeurons:adrenal_medulla_cell_line: 0.37, Neuroepithelial_cell:ESC-derived: 0.3, Astrocyte:Embryonic_stem_cell-derived: 0.3, iPS_cells:PDB_2lox-22: 0.27, iPS_cells:PDB_1lox-21Puro-20: 0.26, iPS_cells:PDB_1lox-17Puro-5: 0.26, iPS_cells:PDB_2lox-5: 0.26, iPS_cells:PDB_2lox-17: 0.26, iPS_cells:CRL2097_foreskin-derived:undiff.: 0.26, iPS_cells:PDB_1lox-17Puro-10: 0.26 |
T40_CGGACACGTAAATGTG.1 | Neurons:adrenal_medulla_cell_line | 0.14 | 314.55 | Raw ScoresNeurons:adrenal_medulla_cell_line: 0.36, Neuroepithelial_cell:ESC-derived: 0.3, Astrocyte:Embryonic_stem_cell-derived: 0.29, iPS_cells:adipose_stem_cell-derived:minicircle-derived: 0.26, iPS_cells:PDB_1lox-21Puro-20: 0.26, iPS_cells:CRL2097_foreskin-derived:undiff.: 0.26, iPS_cells:PDB_1lox-17Puro-5: 0.26, Embryonic_stem_cells: 0.26, iPS_cells:PDB_2lox-22: 0.26, iPS_cells:iPS:minicircle-derived: 0.26 |
T71_TACCTATCAGCCTTTC.1 | Neurons:adrenal_medulla_cell_line | 0.15 | 313.47 | Raw ScoresNeurons:adrenal_medulla_cell_line: 0.33, Neuroepithelial_cell:ESC-derived: 0.28, Astrocyte:Embryonic_stem_cell-derived: 0.27, iPS_cells:PDB_1lox-17Puro-5: 0.25, iPS_cells:PDB_1lox-17Puro-10: 0.25, iPS_cells:PDB_1lox-21Puro-20: 0.25, iPS_cells:PDB_2lox-22: 0.25, iPS_cells:PDB_2lox-17: 0.25, Neurons:ES_cell-derived_neural_precursor: 0.25, iPS_cells:PDB_1lox-21Puro-26: 0.25 |
T71_CATTATCAGGGCACTA.1 | Neurons:adrenal_medulla_cell_line | 0.17 | 312.94 | Raw ScoresNeurons:adrenal_medulla_cell_line: 0.34, Neuroepithelial_cell:ESC-derived: 0.28, Astrocyte:Embryonic_stem_cell-derived: 0.27, Neurons:ES_cell-derived_neural_precursor: 0.25, iPS_cells:PDB_1lox-21Puro-20: 0.25, iPS_cells:PDB_1lox-17Puro-10: 0.24, iPS_cells:PDB_1lox-17Puro-5: 0.24, iPS_cells:PDB_1lox-21Puro-26: 0.24, iPS_cells:PDB_2lox-22: 0.24, iPS_cells:PDB_2lox-5: 0.24 |
T44_CTCGGGAGTGACTCAT.1 | Neurons:adrenal_medulla_cell_line | 0.16 | 312.55 | Raw ScoresNeurons:adrenal_medulla_cell_line: 0.31, Neuroepithelial_cell:ESC-derived: 0.24, Astrocyte:Embryonic_stem_cell-derived: 0.23, iPS_cells:CRL2097_foreskin-derived:undiff.: 0.21, Tissue_stem_cells:CD326-CD56+: 0.21, Embryonic_stem_cells: 0.21, iPS_cells:PDB_2lox-22: 0.21, iPS_cells:PDB_2lox-17: 0.21, iPS_cells:PDB_2lox-21: 0.21, iPS_cells:PDB_2lox-5: 0.21 |
T71_GTACTCCCAGTGAGTG.1 | Neurons:adrenal_medulla_cell_line | 0.16 | 309.52 | Raw ScoresNeurons:adrenal_medulla_cell_line: 0.34, Neuroepithelial_cell:ESC-derived: 0.27, Astrocyte:Embryonic_stem_cell-derived: 0.26, iPS_cells:PDB_1lox-21Puro-20: 0.25, iPS_cells:PDB_2lox-22: 0.25, Tissue_stem_cells:CD326-CD56+: 0.25, iPS_cells:PDB_1lox-17Puro-10: 0.25, iPS_cells:PDB_1lox-21Puro-26: 0.24, iPS_cells:PDB_1lox-17Puro-5: 0.24, iPS_cells:CRL2097_foreskin-derived:undiff.: 0.24 |
T44_GATGCTATCAGAGGTG.1 | Neurons:adrenal_medulla_cell_line | 0.13 | 309.46 | Raw ScoresNeurons:adrenal_medulla_cell_line: 0.31, Neuroepithelial_cell:ESC-derived: 0.26, Astrocyte:Embryonic_stem_cell-derived: 0.25, iPS_cells:PDB_1lox-17Puro-10: 0.24, iPS_cells:PDB_1lox-17Puro-5: 0.24, iPS_cells:CRL2097_foreskin-derived:undiff.: 0.24, iPS_cells:PDB_1lox-21Puro-20: 0.24, iPS_cells:PDB_2lox-17: 0.24, iPS_cells:PDB_2lox-22: 0.24, iPS_cells:PDB_1lox-21Puro-26: 0.24 |
T71_TCTGGAACATAAAGGT.1 | Neurons:adrenal_medulla_cell_line | 0.18 | 308.23 | Raw ScoresNeurons:adrenal_medulla_cell_line: 0.36, Neuroepithelial_cell:ESC-derived: 0.31, Astrocyte:Embryonic_stem_cell-derived: 0.29, Neurons:ES_cell-derived_neural_precursor: 0.27, iPS_cells:PDB_1lox-17Puro-5: 0.27, iPS_cells:PDB_1lox-21Puro-20: 0.27, iPS_cells:PDB_1lox-17Puro-10: 0.27, iPS_cells:CRL2097_foreskin-derived:undiff.: 0.27, iPS_cells:PDB_2lox-22: 0.26, Embryonic_stem_cells: 0.26 |
T40_CTGCTGTTCTATCGCC.1 | Neurons:adrenal_medulla_cell_line | 0.12 | 308.21 | Raw ScoresNeurons:adrenal_medulla_cell_line: 0.32, Neuroepithelial_cell:ESC-derived: 0.26, Astrocyte:Embryonic_stem_cell-derived: 0.26, iPS_cells:PDB_1lox-21Puro-20: 0.25, iPS_cells:iPS:minicircle-derived: 0.25, iPS_cells:PDB_1lox-17Puro-10: 0.25, Embryonic_stem_cells: 0.25, iPS_cells:PDB_1lox-21Puro-26: 0.25, iPS_cells:PDB_2lox-22: 0.25, iPS_cells:PDB_1lox-17Puro-5: 0.25 |
T71_TTGTAGGGTCCAGTTA.1 | Neurons:adrenal_medulla_cell_line | 0.13 | 308.14 | Raw ScoresNeurons:adrenal_medulla_cell_line: 0.33, Neuroepithelial_cell:ESC-derived: 0.28, Astrocyte:Embryonic_stem_cell-derived: 0.28, iPS_cells:PDB_2lox-22: 0.25, iPS_cells:adipose_stem_cell-derived:minicircle-derived: 0.25, iPS_cells:PDB_1lox-21Puro-20: 0.25, iPS_cells:CRL2097_foreskin-derived:undiff.: 0.25, Tissue_stem_cells:CD326-CD56+: 0.25, iPS_cells:PDB_1lox-17Puro-5: 0.25, iPS_cells:PDB_1lox-17Puro-10: 0.25 |
T40_GGAAAGCCACTCTGTC.1 | Neurons:adrenal_medulla_cell_line | 0.12 | 307.35 | Raw ScoresNeurons:adrenal_medulla_cell_line: 0.3, Astrocyte:Embryonic_stem_cell-derived: 0.25, Neuroepithelial_cell:ESC-derived: 0.25, iPS_cells:CRL2097_foreskin-derived:undiff.: 0.23, iPS_cells:iPS:minicircle-derived: 0.23, iPS_cells:adipose_stem_cell-derived:lentiviral: 0.23, iPS_cells:PDB_1lox-17Puro-10: 0.23, iPS_cells:PDB_1lox-21Puro-20: 0.23, Neurons:Schwann_cell: 0.22, iPS_cells:PDB_2lox-22: 0.22 |
T71_GCGGGTTCATACTACG.1 | Neurons:adrenal_medulla_cell_line | 0.18 | 304.70 | Raw ScoresNeurons:adrenal_medulla_cell_line: 0.35, Neuroepithelial_cell:ESC-derived: 0.29, Astrocyte:Embryonic_stem_cell-derived: 0.28, iPS_cells:PDB_1lox-21Puro-20: 0.26, iPS_cells:PDB_1lox-17Puro-10: 0.26, iPS_cells:PDB_2lox-22: 0.26, iPS_cells:PDB_1lox-21Puro-26: 0.25, iPS_cells:CRL2097_foreskin-derived:undiff.: 0.25, iPS_cells:PDB_1lox-17Puro-5: 0.25, Embryonic_stem_cells: 0.25 |
T40_GACACGCCATTACGAC.1 | Neurons:adrenal_medulla_cell_line | 0.13 | 303.77 | Raw ScoresNeurons:adrenal_medulla_cell_line: 0.36, Neuroepithelial_cell:ESC-derived: 0.32, Astrocyte:Embryonic_stem_cell-derived: 0.3, iPS_cells:iPS:minicircle-derived: 0.29, iPS_cells:CRL2097_foreskin-derived:undiff.: 0.29, iPS_cells:PDB_1lox-21Puro-20: 0.29, iPS_cells:adipose_stem_cell-derived:lentiviral: 0.29, iPS_cells:adipose_stem_cell-derived:minicircle-derived: 0.29, iPS_cells:PDB_2lox-22: 0.29, Embryonic_stem_cells: 0.29 |
T71_CAGGTGCGTAATCGTC.1 | Neurons:adrenal_medulla_cell_line | 0.16 | 303.25 | Raw ScoresNeurons:adrenal_medulla_cell_line: 0.34, Neuroepithelial_cell:ESC-derived: 0.29, Astrocyte:Embryonic_stem_cell-derived: 0.27, Neurons:ES_cell-derived_neural_precursor: 0.25, iPS_cells:adipose_stem_cell-derived:minicircle-derived: 0.25, iPS_cells:CRL2097_foreskin-derived:undiff.: 0.25, iPS_cells:adipose_stem_cell-derived:lentiviral: 0.25, Embryonic_stem_cells: 0.25, iPS_cells:PDB_1lox-21Puro-20: 0.25, iPS_cells:PDB_2lox-22: 0.25 |
T40_GCACTCTCACTCTGTC.1 | Neurons:adrenal_medulla_cell_line | 0.11 | 302.21 | Raw ScoresNeurons:adrenal_medulla_cell_line: 0.31, Astrocyte:Embryonic_stem_cell-derived: 0.26, Neuroepithelial_cell:ESC-derived: 0.26, iPS_cells:CRL2097_foreskin-derived:undiff.: 0.23, iPS_cells:PDB_1lox-17Puro-10: 0.22, iPS_cells:PDB_1lox-21Puro-20: 0.22, iPS_cells:PDB_1lox-17Puro-5: 0.22, Embryonic_stem_cells: 0.22, iPS_cells:PDB_1lox-21Puro-26: 0.22, iPS_cells:PDB_2lox-22: 0.22 |
T71_CAAGGCCCAGGAATGC.1 | Neurons:adrenal_medulla_cell_line | 0.16 | 301.73 | Raw ScoresNeurons:adrenal_medulla_cell_line: 0.35, Neuroepithelial_cell:ESC-derived: 0.29, Astrocyte:Embryonic_stem_cell-derived: 0.28, iPS_cells:CRL2097_foreskin-derived:undiff.: 0.26, iPS_cells:PDB_2lox-22: 0.26, iPS_cells:PDB_1lox-17Puro-10: 0.26, iPS_cells:PDB_2lox-5: 0.26, iPS_cells:PDB_1lox-21Puro-20: 0.26, iPS_cells:fibroblast-derived:Retroviral_transf: 0.26, iPS_cells:PDB_1lox-17Puro-5: 0.26 |
T40_ATCATGGGTTGCGTTA.1 | Neurons:adrenal_medulla_cell_line | 0.12 | 301.55 | Raw ScoresNeurons:adrenal_medulla_cell_line: 0.32, Neuroepithelial_cell:ESC-derived: 0.27, Astrocyte:Embryonic_stem_cell-derived: 0.27, iPS_cells:CRL2097_foreskin-derived:undiff.: 0.25, iPS_cells:PDB_2lox-5: 0.25, iPS_cells:PDB_2lox-22: 0.25, iPS_cells:PDB_1lox-17Puro-5: 0.24, iPS_cells:PDB_2lox-17: 0.24, iPS_cells:PDB_1lox-17Puro-10: 0.24, iPS_cells:PDB_1lox-21Puro-20: 0.24 |
T71_TGGTTCCCAGTCGATT.1 | Neurons:adrenal_medulla_cell_line | 0.15 | 301.22 | Raw ScoresNeurons:adrenal_medulla_cell_line: 0.32, Neuroepithelial_cell:ESC-derived: 0.28, Astrocyte:Embryonic_stem_cell-derived: 0.27, iPS_cells:PDB_2lox-22: 0.25, iPS_cells:PDB_1lox-17Puro-10: 0.25, iPS_cells:PDB_1lox-17Puro-5: 0.25, iPS_cells:CRL2097_foreskin-derived:undiff.: 0.25, iPS_cells:PDB_1lox-21Puro-20: 0.25, iPS_cells:PDB_2lox-17: 0.25, iPS_cells:PDB_2lox-21: 0.25 |
T40_GAAACTCGTATCAGTC.1 | Neurons:adrenal_medulla_cell_line | 0.12 | 297.97 | Raw ScoresNeurons:adrenal_medulla_cell_line: 0.32, Neuroepithelial_cell:ESC-derived: 0.27, Astrocyte:Embryonic_stem_cell-derived: 0.26, iPS_cells:CRL2097_foreskin-derived:undiff.: 0.25, iPS_cells:PDB_2lox-22: 0.25, iPS_cells:PDB_2lox-5: 0.25, iPS_cells:PDB_2lox-17: 0.25, Embryonic_stem_cells: 0.24, iPS_cells:iPS:minicircle-derived: 0.24, iPS_cells:PDB_2lox-21: 0.24 |
T40_CGTCCATTCTCACATT.1 | Neurons:adrenal_medulla_cell_line | 0.09 | 296.41 | Raw ScoresNeurons:adrenal_medulla_cell_line: 0.28, Astrocyte:Embryonic_stem_cell-derived: 0.25, Neuroepithelial_cell:ESC-derived: 0.25, iPS_cells:CRL2097_foreskin-derived:undiff.: 0.22, iPS_cells:PDB_2lox-17: 0.22, iPS_cells:PDB_1lox-21Puro-20: 0.22, iPS_cells:fibroblast-derived:Retroviral_transf: 0.22, iPS_cells:PDB_1lox-17Puro-10: 0.22, iPS_cells:PDB_1lox-17Puro-5: 0.22, iPS_cells:PDB_2lox-5: 0.22 |
T71_CTAAGACCAGGAATGC.1 | Neurons:adrenal_medulla_cell_line | 0.16 | 293.16 | Raw ScoresNeurons:adrenal_medulla_cell_line: 0.35, Neuroepithelial_cell:ESC-derived: 0.3, Astrocyte:Embryonic_stem_cell-derived: 0.29, iPS_cells:PDB_2lox-22: 0.27, iPS_cells:PDB_1lox-21Puro-20: 0.27, iPS_cells:PDB_1lox-17Puro-5: 0.27, iPS_cells:PDB_1lox-17Puro-10: 0.27, iPS_cells:PDB_2lox-21: 0.27, iPS_cells:PDB_2lox-17: 0.27, iPS_cells:PDB_2lox-5: 0.27 |
T71_CGCCAAGAGACGCAAC.1 | Neurons:adrenal_medulla_cell_line | 0.15 | 289.30 | Raw ScoresNeurons:adrenal_medulla_cell_line: 0.36, Neuroepithelial_cell:ESC-derived: 0.31, Astrocyte:Embryonic_stem_cell-derived: 0.3, iPS_cells:CRL2097_foreskin-derived:undiff.: 0.28, Embryonic_stem_cells: 0.28, iPS_cells:PDB_2lox-22: 0.28, iPS_cells:PDB_1lox-17Puro-10: 0.27, iPS_cells:PDB_1lox-21Puro-20: 0.27, iPS_cells:PDB_1lox-17Puro-5: 0.27, iPS_cells:adipose_stem_cell-derived:minicircle-derived: 0.27 |
T40_TACGGTAGTAGGGACT.1 | Neurons:adrenal_medulla_cell_line | 0.14 | 287.94 | Raw ScoresNeurons:adrenal_medulla_cell_line: 0.34, Neuroepithelial_cell:ESC-derived: 0.28, Astrocyte:Embryonic_stem_cell-derived: 0.27, iPS_cells:CRL2097_foreskin-derived:undiff.: 0.25, iPS_cells:PDB_2lox-22: 0.25, iPS_cells:PDB_1lox-21Puro-20: 0.24, iPS_cells:PDB_1lox-17Puro-5: 0.24, iPS_cells:PDB_2lox-17: 0.24, iPS_cells:PDB_1lox-17Puro-10: 0.24, iPS_cells:PDB_2lox-21: 0.24 |
T44_CCGTACTTCAGCTCGG.1 | Neurons:adrenal_medulla_cell_line | 0.17 | 286.19 | Raw ScoresNeurons:adrenal_medulla_cell_line: 0.33, Astrocyte:Embryonic_stem_cell-derived: 0.27, Neuroepithelial_cell:ESC-derived: 0.27, iPS_cells:CRL2097_foreskin-derived:undiff.: 0.24, Tissue_stem_cells:CD326-CD56+: 0.23, Embryonic_stem_cells: 0.23, Neurons:ES_cell-derived_neural_precursor: 0.23, iPS_cells:PDB_1lox-17Puro-5: 0.23, iPS_cells:PDB_2lox-5: 0.23, iPS_cells:PDB_1lox-21Puro-20: 0.23 |
T71_ACTTACTCACCGCTAG.1 | Neurons:adrenal_medulla_cell_line | 0.16 | 284.82 | Raw ScoresNeurons:adrenal_medulla_cell_line: 0.35, Neuroepithelial_cell:ESC-derived: 0.29, Astrocyte:Embryonic_stem_cell-derived: 0.29, iPS_cells:PDB_1lox-17Puro-10: 0.26, Neurons:ES_cell-derived_neural_precursor: 0.26, iPS_cells:PDB_2lox-22: 0.26, iPS_cells:PDB_1lox-21Puro-20: 0.26, iPS_cells:PDB_1lox-21Puro-26: 0.26, iPS_cells:PDB_1lox-17Puro-5: 0.26, iPS_cells:adipose_stem_cell-derived:minicircle-derived: 0.25 |
T71_GATCGCGGTACCTACA.1 | Neurons:adrenal_medulla_cell_line | 0.17 | 284.47 | Raw ScoresNeurons:adrenal_medulla_cell_line: 0.33, Neuroepithelial_cell:ESC-derived: 0.28, Astrocyte:Embryonic_stem_cell-derived: 0.27, iPS_cells:CRL2097_foreskin-derived:undiff.: 0.24, Neurons:ES_cell-derived_neural_precursor: 0.23, iPS_cells:PDB_1lox-17Puro-10: 0.23, iPS_cells:PDB_2lox-22: 0.23, iPS_cells:PDB_1lox-17Puro-5: 0.23, iPS_cells:PDB_2lox-5: 0.23, iPS_cells:adipose_stem_cell-derived:minicircle-derived: 0.23 |
T40_AACCGCGAGTTCGCGC.1 | Neurons:adrenal_medulla_cell_line | 0.13 | 282.48 | Raw ScoresNeurons:adrenal_medulla_cell_line: 0.35, Neuroepithelial_cell:ESC-derived: 0.29, Astrocyte:Embryonic_stem_cell-derived: 0.28, iPS_cells:adipose_stem_cell-derived:minicircle-derived: 0.26, iPS_cells:adipose_stem_cell-derived:lentiviral: 0.26, iPS_cells:iPS:minicircle-derived: 0.26, iPS_cells:CRL2097_foreskin-derived:undiff.: 0.26, Tissue_stem_cells:CD326-CD56+: 0.26, Embryonic_stem_cells: 0.26, iPS_cells:PDB_2lox-17: 0.26 |
T71_TCCACACTCACAAACC.1 | Neurons:adrenal_medulla_cell_line | 0.16 | 280.29 | Raw ScoresNeurons:adrenal_medulla_cell_line: 0.32, Astrocyte:Embryonic_stem_cell-derived: 0.27, Neuroepithelial_cell:ESC-derived: 0.27, Neurons:ES_cell-derived_neural_precursor: 0.24, iPS_cells:PDB_1lox-17Puro-10: 0.24, iPS_cells:PDB_1lox-21Puro-20: 0.24, iPS_cells:PDB_1lox-17Puro-5: 0.24, iPS_cells:PDB_1lox-21Puro-26: 0.24, iPS_cells:PDB_2lox-22: 0.24, iPS_cells:CRL2097_foreskin-derived:undiff.: 0.24 |
T40_TACCTATAGAGGGCTT.1 | Neurons:adrenal_medulla_cell_line | 0.12 | 278.86 | Raw ScoresNeurons:adrenal_medulla_cell_line: 0.32, Neuroepithelial_cell:ESC-derived: 0.27, Astrocyte:Embryonic_stem_cell-derived: 0.26, iPS_cells:adipose_stem_cell-derived:minicircle-derived: 0.25, iPS_cells:CRL2097_foreskin-derived:undiff.: 0.25, iPS_cells:adipose_stem_cell-derived:lentiviral: 0.25, Embryonic_stem_cells: 0.25, Tissue_stem_cells:CD326-CD56+: 0.25, iPS_cells:PDB_1lox-21Puro-20: 0.25, iPS_cells:PDB_2lox-17: 0.25 |
T71_AATCGGTCACAGCCCA.1 | Neurons:adrenal_medulla_cell_line | 0.14 | 275.25 | Raw ScoresNeurons:adrenal_medulla_cell_line: 0.31, Astrocyte:Embryonic_stem_cell-derived: 0.28, Neuroepithelial_cell:ESC-derived: 0.28, iPS_cells:PDB_1lox-17Puro-5: 0.24, Neurons:ES_cell-derived_neural_precursor: 0.24, iPS_cells:PDB_2lox-22: 0.24, Embryonic_stem_cells: 0.24, iPS_cells:PDB_1lox-17Puro-10: 0.24, iPS_cells:PDB_1lox-21Puro-20: 0.24, iPS_cells:CRL2097_foreskin-derived:undiff.: 0.24 |
T40_ACTTTCAGTGTGACGA.1 | Neurons:adrenal_medulla_cell_line | 0.12 | 273.30 | Raw ScoresNeurons:adrenal_medulla_cell_line: 0.35, Neuroepithelial_cell:ESC-derived: 0.3, Astrocyte:Embryonic_stem_cell-derived: 0.3, iPS_cells:PDB_2lox-22: 0.28, iPS_cells:CRL2097_foreskin-derived:undiff.: 0.28, Embryonic_stem_cells: 0.28, iPS_cells:PDB_2lox-17: 0.28, iPS_cells:PDB_2lox-21: 0.28, iPS_cells:adipose_stem_cell-derived:minicircle-derived: 0.28, iPS_cells:adipose_stem_cell-derived:lentiviral: 0.28 |
T71_GTAGGCCTCTGGCGTG.1 | Neurons:adrenal_medulla_cell_line | 0.14 | 271.18 | Raw ScoresNeurons:adrenal_medulla_cell_line: 0.33, Neuroepithelial_cell:ESC-derived: 0.28, Astrocyte:Embryonic_stem_cell-derived: 0.27, iPS_cells:CRL2097_foreskin-derived:undiff.: 0.26, iPS_cells:PDB_1lox-21Puro-20: 0.26, iPS_cells:PDB_1lox-17Puro-10: 0.26, iPS_cells:PDB_1lox-17Puro-5: 0.25, iPS_cells:iPS:minicircle-derived: 0.25, Neurons:ES_cell-derived_neural_precursor: 0.25, iPS_cells:PDB_2lox-5: 0.25 |
T40_AAAGTAGAGTGAACAT.1 | Neurons:adrenal_medulla_cell_line | 0.12 | 270.65 | Raw ScoresNeurons:adrenal_medulla_cell_line: 0.29, Astrocyte:Embryonic_stem_cell-derived: 0.23, Neuroepithelial_cell:ESC-derived: 0.22, iPS_cells:PDB_1lox-21Puro-20: 0.21, iPS_cells:PDB_1lox-21Puro-26: 0.2, T_cell:CD4+_Naive: 0.2, iPS_cells:PDB_1lox-17Puro-5: 0.2, iPS_cells:PDB_1lox-17Puro-10: 0.2, iPS_cells:PDB_2lox-22: 0.2, iPS_cells:CRL2097_foreskin-derived:undiff.: 0.2 |
T71_GCTCTGTCATCACGAT.1 | Neurons:adrenal_medulla_cell_line | 0.15 | 264.40 | Raw ScoresNeurons:adrenal_medulla_cell_line: 0.35, Neuroepithelial_cell:ESC-derived: 0.29, Astrocyte:Embryonic_stem_cell-derived: 0.28, iPS_cells:iPS:minicircle-derived: 0.26, iPS_cells:CRL2097_foreskin-derived:undiff.: 0.26, Tissue_stem_cells:CD326-CD56+: 0.25, iPS_cells:skin_fibroblast-derived: 0.25, iPS_cells:PDB_2lox-22: 0.25, iPS_cells:adipose_stem_cell-derived:lentiviral: 0.25, Embryonic_stem_cells: 0.25 |
Below shows the significant enrichments of this GEP for literature curated gene lists
This data was procured from existing single cell RNA-seq maps of neuroblastoma or related relevant data.
High ranks indicate this gene is a driver of this GEP.
These curated gene list are ranked by the P-value (on this GEP) of their constituent genes.
The Mean Count column shows the mean read count in cells scoring highly (H > 50) on this gene expression program.
Genes | Weight | Rank | GTEx | DepMap | Decartes | Mean.Counts | Mean.TPM |
---|---|---|---|---|---|---|---|
DBH | 0.0142399 | 1 | GTEx | DepMap | Descartes | 9.29 | 891.97 |
RGS5 | 0.0127036 | 2 | GTEx | DepMap | Descartes | 18.34 | 771.53 |
UCHL1 | 0.0103741 | 12 | GTEx | DepMap | Descartes | 11.15 | 1740.58 |
TH | 0.0094191 | 16 | GTEx | DepMap | Descartes | 4.26 | 538.82 |
ELAVL4 | 0.0083843 | 27 | GTEx | DepMap | Descartes | 9.24 | 567.83 |
STMN2 | 0.0067308 | 48 | GTEx | DepMap | Descartes | 45.21 | 5658.90 |
RTN1 | 0.0051355 | 111 | GTEx | DepMap | Descartes | 9.43 | 678.21 |
MLLT11 | 0.0048821 | 125 | GTEx | DepMap | Descartes | 13.47 | 1272.42 |
MAP1B | 0.0019413 | 963 | GTEx | DepMap | Descartes | 9.40 | 182.58 |
ISL1 | 0.0017333 | 1141 | GTEx | DepMap | Descartes | 2.34 | 222.20 |
NRG1 | 0.0003447 | 4213 | GTEx | DepMap | Descartes | 0.15 | 2.97 |
Medulla (Hanemaaijer)
Marker genes obtained from Supplementary Table SD of Hanemaaijer et al (PMID 33500353). The authors generated single-cell RNA-seq data (sort-seq, 2,229 cells total) from mouse adrenal glads at E13.5, E14.5, E17.5, E18.5, P1 and P5. These were marker genes that matched with a similar dataset generated by Furlan et al (PMID 28684471). This particular set of markers are for genes defining the broad group labelled adrenal medulla, which included 7 subclusters (SCP, Bridge, Committed Progenitor, N Chromaffin, E Chromaffin, Neuroblast) - see UMAP on their Fig1B for cluster assignments.:
Wilcoxon ranksum test P-value for gene set overrepresentation: 7.02e-06
Mean rank of genes in gene set: 2343.81
Rank on gene expression program of genes in gene set:
Genes | Weight | Rank | GTEx | DepMap | Decartes | Mean.Counts | Mean.TPM |
---|---|---|---|---|---|---|---|
DBH | 0.0142399 | 1 | GTEx | DepMap | Descartes | 9.29 | 891.97 |
DDC | 0.0114268 | 10 | GTEx | DepMap | Descartes | 2.43 | 302.66 |
UCHL1 | 0.0103741 | 12 | GTEx | DepMap | Descartes | 11.15 | 1740.58 |
TH | 0.0094191 | 16 | GTEx | DepMap | Descartes | 4.26 | 538.82 |
CHGA | 0.0084810 | 25 | GTEx | DepMap | Descartes | 3.36 | 390.59 |
CYB561 | 0.0072165 | 40 | GTEx | DepMap | Descartes | 1.62 | 120.37 |
CHGB | 0.0048981 | 124 | GTEx | DepMap | Descartes | 5.19 | 486.28 |
SLC18A1 | 0.0046566 | 138 | GTEx | DepMap | Descartes | 0.39 | 33.09 |
GATA3 | 0.0019504 | 960 | GTEx | DepMap | Descartes | 4.02 | 311.05 |
MAP1B | 0.0019413 | 963 | GTEx | DepMap | Descartes | 9.40 | 182.58 |
NNAT | 0.0018847 | 1013 | GTEx | DepMap | Descartes | 3.02 | 512.61 |
HAND2 | 0.0012786 | 1704 | GTEx | DepMap | Descartes | 4.06 | 334.37 |
PHOX2A | 0.0004360 | 3843 | GTEx | DepMap | Descartes | 5.92 | 792.84 |
DISP2 | 0.0002229 | 4777 | GTEx | DepMap | Descartes | 0.18 | 3.29 |
EML5 | -0.0008006 | 11515 | GTEx | DepMap | Descartes | 0.23 | 5.40 |
PCSK1N | -0.0015575 | 12360 | GTEx | DepMap | Descartes | 8.93 | 1860.10 |
Broad sympathetic marker (Dong)
Obtained from Fig. 3c of Dong et al. (PMID 32946775).:
Wilcoxon ranksum test P-value for gene set overrepresentation: 4.36e-05
Mean rank of genes in gene set: 473.33
Rank on gene expression program of genes in gene set:
Genes | Weight | Rank | GTEx | DepMap | Decartes | Mean.Counts | Mean.TPM |
---|---|---|---|---|---|---|---|
DBH | 0.0142399 | 1 | GTEx | DepMap | Descartes | 9.29 | 891.97 |
TH | 0.0094191 | 16 | GTEx | DepMap | Descartes | 4.26 | 538.82 |
GATA2 | 0.0073056 | 35 | GTEx | DepMap | Descartes | 3.26 | 232.42 |
CHGB | 0.0048981 | 124 | GTEx | DepMap | Descartes | 5.19 | 486.28 |
GATA3 | 0.0019504 | 960 | GTEx | DepMap | Descartes | 4.02 | 311.05 |
HAND2 | 0.0012786 | 1704 | GTEx | DepMap | Descartes | 4.06 | 334.37 |
Below shows ranks on this GEP for literature curated gene lists for large gene sets
These include those reported as mesenchymal/adrenergic by Van Groningen et al.
High ranks indicate this gene is a driver of this GEP (note these results are not ordered).
The Mean Count column shows the mean read count in cells scoring highly (H > 50) on this gene expression program.
VanGroningen Adrenergic Genes
Adrenergic marker genes from Supplementary Table 2 of Van Groningen et al. Nature Genetics 2017. These genes were identified by differential expression analysis of mesenchymal-like and adrenergic-like neuroblastoma cell lines.
Wilcoxon ranksum test P-value for gene set overrepresentation: 1.54e-02
Mean rank of genes in gene set: 5832.44
Median rank of genes in gene set: 4656
Rank on gene expression program of top 30 genes in gene set:
Genes | Weight | Rank | GTEx | DepMap | Descartes | Mean.Counts | Mean.TPM |
---|---|---|---|---|---|---|---|
DBH | 0.0142399 | 1 | GTEx | DepMap | Descartes | 9.29 | 891.97 |
RGS5 | 0.0127036 | 2 | GTEx | DepMap | Descartes | 18.34 | 771.53 |
DDC | 0.0114268 | 10 | GTEx | DepMap | Descartes | 2.43 | 302.66 |
TH | 0.0094191 | 16 | GTEx | DepMap | Descartes | 4.26 | 538.82 |
HAND1 | 0.0093997 | 17 | GTEx | DepMap | Descartes | 1.74 | 253.43 |
TMOD1 | 0.0093506 | 18 | GTEx | DepMap | Descartes | 5.22 | 405.00 |
CHGA | 0.0084810 | 25 | GTEx | DepMap | Descartes | 3.36 | 390.59 |
ELAVL4 | 0.0083843 | 27 | GTEx | DepMap | Descartes | 9.24 | 567.83 |
TFAP2B | 0.0078296 | 29 | GTEx | DepMap | Descartes | 2.09 | 93.37 |
GATA2 | 0.0073056 | 35 | GTEx | DepMap | Descartes | 3.26 | 232.42 |
SNAP25 | 0.0072947 | 37 | GTEx | DepMap | Descartes | 2.02 | 221.13 |
STMN2 | 0.0067308 | 48 | GTEx | DepMap | Descartes | 45.21 | 5658.90 |
CRMP1 | 0.0064468 | 51 | GTEx | DepMap | Descartes | 3.73 | 286.02 |
DNER | 0.0063073 | 59 | GTEx | DepMap | Descartes | 0.66 | 50.14 |
TUBB2A | 0.0062364 | 60 | GTEx | DepMap | Descartes | 6.01 | 826.02 |
FKBP4 | 0.0060609 | 68 | GTEx | DepMap | Descartes | 1.57 | 98.93 |
GDI1 | 0.0059727 | 73 | GTEx | DepMap | Descartes | 2.50 | 141.61 |
ENO2 | 0.0057834 | 81 | GTEx | DepMap | Descartes | 2.83 | 231.22 |
NELL2 | 0.0055566 | 88 | GTEx | DepMap | Descartes | 1.26 | 84.70 |
TUBB2B | 0.0053917 | 97 | GTEx | DepMap | Descartes | 28.63 | 3384.20 |
RTN1 | 0.0051355 | 111 | GTEx | DepMap | Descartes | 9.43 | 678.21 |
CDKN2C | 0.0050483 | 115 | GTEx | DepMap | Descartes | 0.66 | 55.87 |
DLK1 | 0.0050335 | 116 | GTEx | DepMap | Descartes | 1.82 | 80.81 |
ATP6V1B2 | 0.0049852 | 118 | GTEx | DepMap | Descartes | 0.88 | 31.17 |
CHGB | 0.0048981 | 124 | GTEx | DepMap | Descartes | 5.19 | 486.28 |
QDPR | 0.0048563 | 126 | GTEx | DepMap | Descartes | 2.48 | 398.82 |
ACOT7 | 0.0048352 | 128 | GTEx | DepMap | Descartes | 1.37 | 128.99 |
TSPAN7 | 0.0047666 | 132 | GTEx | DepMap | Descartes | 1.04 | 131.46 |
CYGB | 0.0045781 | 143 | GTEx | DepMap | Descartes | 1.18 | 140.92 |
FOXO3 | 0.0043347 | 163 | GTEx | DepMap | Descartes | 2.03 | 68.64 |
VanGroningen Mesenchymal Genes
Mesenchymal marker genes from Supplementary Table 2 of Van Groningen et al. Nature Genetics 2017. These genes were identified by differential expression analysis of mesenchymal-like and adrenergic-like neuroblastoma cell lines.
Wilcoxon ranksum test P-value for gene set overrepresentation: 1.00e+00
Mean rank of genes in gene set: 7244.45
Median rank of genes in gene set: 8270
Rank on gene expression program of top 30 genes in gene set:
Genes | Weight | Rank | GTEx | DepMap | Descartes | Mean.Counts | Mean.TPM |
---|---|---|---|---|---|---|---|
BAG3 | 0.0122728 | 6 | GTEx | DepMap | Descartes | 0.30 | 32.73 |
SDC2 | 0.0075300 | 33 | GTEx | DepMap | Descartes | 0.76 | 57.03 |
PLAGL1 | 0.0068191 | 45 | GTEx | DepMap | Descartes | 0.49 | 20.85 |
TMEFF2 | 0.0063304 | 57 | GTEx | DepMap | Descartes | 1.20 | 92.42 |
ANXA2 | 0.0059829 | 71 | GTEx | DepMap | Descartes | 5.01 | 353.12 |
SERPINE2 | 0.0058836 | 77 | GTEx | DepMap | Descartes | 1.61 | 69.44 |
SERPINH1 | 0.0054646 | 92 | GTEx | DepMap | Descartes | 0.22 | 15.67 |
RHOC | 0.0051779 | 106 | GTEx | DepMap | Descartes | 1.01 | 114.61 |
GNAI1 | 0.0044236 | 160 | GTEx | DepMap | Descartes | 0.67 | 16.30 |
ITM2C | 0.0044054 | 161 | GTEx | DepMap | Descartes | 1.67 | 204.81 |
CTNNA1 | 0.0040438 | 190 | GTEx | DepMap | Descartes | 0.77 | 48.28 |
PDIA3 | 0.0040214 | 197 | GTEx | DepMap | Descartes | 1.33 | 89.03 |
KDELR2 | 0.0039473 | 204 | GTEx | DepMap | Descartes | 1.30 | 109.66 |
CBFB | 0.0037001 | 231 | GTEx | DepMap | Descartes | 0.82 | 66.33 |
SCPEP1 | 0.0034215 | 282 | GTEx | DepMap | Descartes | 0.71 | 92.88 |
LAMP1 | 0.0033566 | 296 | GTEx | DepMap | Descartes | 0.76 | 34.06 |
FAM3C | 0.0033066 | 305 | GTEx | DepMap | Descartes | 0.82 | 77.55 |
HIBADH | 0.0032132 | 336 | GTEx | DepMap | Descartes | 0.28 | 36.84 |
KLF6 | 0.0031474 | 351 | GTEx | DepMap | Descartes | 1.52 | 81.48 |
PDIA4 | 0.0029741 | 383 | GTEx | DepMap | Descartes | 0.46 | 37.13 |
NES | 0.0028853 | 414 | GTEx | DepMap | Descartes | 0.68 | 30.45 |
SDF4 | 0.0025716 | 534 | GTEx | DepMap | Descartes | 0.57 | 38.05 |
ACADVL | 0.0025644 | 536 | GTEx | DepMap | Descartes | 0.85 | 81.95 |
PTN | 0.0025420 | 545 | GTEx | DepMap | Descartes | 0.82 | 117.85 |
DKK3 | 0.0025317 | 549 | GTEx | DepMap | Descartes | 0.45 | 10.91 |
SQSTM1 | 0.0025224 | 560 | GTEx | DepMap | Descartes | 0.87 | 68.77 |
TMED9 | 0.0025158 | 562 | GTEx | DepMap | Descartes | 0.79 | 73.02 |
RBMS1 | 0.0023852 | 630 | GTEx | DepMap | Descartes | 1.12 | 61.11 |
PDIA6 | 0.0023819 | 633 | GTEx | DepMap | Descartes | 1.17 | 104.58 |
PLK2 | 0.0022916 | 694 | GTEx | DepMap | Descartes | 0.21 | 17.83 |
Descartes adrenocortical markers
Top 50 marker genes of adrenocortical cells in the Decartes fetal adrenal single cell map (https://atlas.brotmanbaty.org/bbi/human-gene-expression-during-development/cell/adrenocortical/in/adrenal)
Wilcoxon ranksum test P-value for gene set overrepresentation: 4.06e-01
Mean rank of genes in gene set: 6131.31
Median rank of genes in gene set: 6157.5
Rank on gene expression program of top 30 genes in gene set:
Genes | Weight | Rank | GTEx | DepMap | Descartes | Mean.Counts | Mean.TPM |
---|---|---|---|---|---|---|---|
CLU | 0.0116500 | 8 | GTEx | DepMap | Descartes | 3.77 | 341.38 |
DNER | 0.0063073 | 59 | GTEx | DepMap | Descartes | 0.66 | 50.14 |
GSTA4 | 0.0034624 | 277 | GTEx | DepMap | Descartes | 1.26 | 183.50 |
CYB5B | 0.0027036 | 477 | GTEx | DepMap | Descartes | 0.54 | 28.82 |
FDPS | 0.0026420 | 497 | GTEx | DepMap | Descartes | 1.17 | 131.89 |
INHA | 0.0025258 | 557 | GTEx | DepMap | Descartes | 0.03 | 5.74 |
POR | 0.0016200 | 1267 | GTEx | DepMap | Descartes | 0.29 | 26.37 |
MSMO1 | 0.0015372 | 1373 | GTEx | DepMap | Descartes | 0.39 | 42.41 |
SCARB1 | 0.0010042 | 2203 | GTEx | DepMap | Descartes | 0.11 | 4.04 |
SH3BP5 | 0.0007180 | 2944 | GTEx | DepMap | Descartes | 0.27 | 17.38 |
HMGCS1 | 0.0004148 | 3925 | GTEx | DepMap | Descartes | 0.35 | 14.24 |
SH3PXD2B | 0.0003517 | 4184 | GTEx | DepMap | Descartes | 0.06 | 1.54 |
LDLR | 0.0002092 | 4854 | GTEx | DepMap | Descartes | 0.08 | 3.52 |
SLC16A9 | 0.0001700 | 5059 | GTEx | DepMap | Descartes | 0.06 | 3.49 |
JAKMIP2 | 0.0001538 | 5141 | GTEx | DepMap | Descartes | 0.33 | 8.35 |
FDXR | 0.0001215 | 5336 | GTEx | DepMap | Descartes | 0.09 | 8.20 |
FRMD5 | 0.0000797 | 5567 | GTEx | DepMap | Descartes | 0.06 | 2.64 |
PDE10A | -0.0000043 | 6072 | GTEx | DepMap | Descartes | 0.06 | 1.56 |
ERN1 | -0.0000244 | 6243 | GTEx | DepMap | Descartes | 0.08 | 2.04 |
DHCR7 | -0.0000437 | 6393 | GTEx | DepMap | Descartes | 0.12 | 9.58 |
NPC1 | -0.0000688 | 6639 | GTEx | DepMap | Descartes | 0.04 | 1.82 |
STAR | -0.0000918 | 6860 | GTEx | DepMap | Descartes | 0.01 | 1.02 |
SCAP | -0.0001174 | 7100 | GTEx | DepMap | Descartes | 0.16 | 8.30 |
FREM2 | -0.0001508 | 7445 | GTEx | DepMap | Descartes | 0.00 | 0.00 |
DHCR24 | -0.0003401 | 9270 | GTEx | DepMap | Descartes | 0.17 | 6.34 |
PAPSS2 | -0.0004364 | 9961 | GTEx | DepMap | Descartes | 0.04 | 2.51 |
BAIAP2L1 | -0.0004419 | 9997 | GTEx | DepMap | Descartes | 0.00 | 0.11 |
HMGCR | -0.0004706 | 10169 | GTEx | DepMap | Descartes | 0.18 | 8.57 |
FDX1 | -0.0004803 | 10237 | GTEx | DepMap | Descartes | 0.31 | 22.30 |
GRAMD1B | -0.0005867 | 10815 | GTEx | DepMap | Descartes | 0.03 | 0.86 |
Descartes chromaffin markers
Top 50 marker genes of chromaffin cells in the Decartes fetal adrenal single cell map (https://atlas.brotmanbaty.org/bbi/human-gene-expression-during-development/cell/chromaffin/in/adrenal)
Wilcoxon ranksum test P-value for gene set overrepresentation: 1.69e-04
Mean rank of genes in gene set: 4250.78
Median rank of genes in gene set: 1496
Rank on gene expression program of top 30 genes in gene set:
Genes | Weight | Rank | GTEx | DepMap | Descartes | Mean.Counts | Mean.TPM |
---|---|---|---|---|---|---|---|
NTRK1 | 0.0094381 | 14 | GTEx | DepMap | Descartes | 2.86 | 233.23 |
TUBA1A | 0.0085795 | 24 | GTEx | DepMap | Descartes | 45.78 | 5474.91 |
STMN2 | 0.0067308 | 48 | GTEx | DepMap | Descartes | 45.21 | 5658.90 |
TMEFF2 | 0.0063304 | 57 | GTEx | DepMap | Descartes | 1.20 | 92.42 |
TUBB2A | 0.0062364 | 60 | GTEx | DepMap | Descartes | 6.01 | 826.02 |
TUBB2B | 0.0053917 | 97 | GTEx | DepMap | Descartes | 28.63 | 3384.20 |
CNTFR | 0.0053680 | 99 | GTEx | DepMap | Descartes | 1.94 | 226.11 |
GREM1 | 0.0051061 | 112 | GTEx | DepMap | Descartes | 0.12 | 2.57 |
MLLT11 | 0.0048821 | 125 | GTEx | DepMap | Descartes | 13.47 | 1272.42 |
IL7 | 0.0033224 | 304 | GTEx | DepMap | Descartes | 1.14 | 140.20 |
REEP1 | 0.0026620 | 489 | GTEx | DepMap | Descartes | 0.73 | 44.14 |
TMEM132C | 0.0023218 | 669 | GTEx | DepMap | Descartes | 0.26 | 11.94 |
CCND1 | 0.0022615 | 716 | GTEx | DepMap | Descartes | 7.46 | 414.20 |
RGMB | 0.0022165 | 740 | GTEx | DepMap | Descartes | 0.67 | 31.85 |
RBFOX1 | 0.0021968 | 749 | GTEx | DepMap | Descartes | 0.70 | 35.06 |
SLC6A2 | 0.0021300 | 806 | GTEx | DepMap | Descartes | 0.43 | 29.61 |
EYA1 | 0.0019592 | 953 | GTEx | DepMap | Descartes | 0.18 | 10.19 |
MAP1B | 0.0019413 | 963 | GTEx | DepMap | Descartes | 9.40 | 182.58 |
GAP43 | 0.0019293 | 979 | GTEx | DepMap | Descartes | 7.36 | 823.60 |
ISL1 | 0.0017333 | 1141 | GTEx | DepMap | Descartes | 2.34 | 222.20 |
NPY | 0.0014316 | 1496 | GTEx | DepMap | Descartes | 22.00 | 5982.11 |
BASP1 | 0.0013715 | 1572 | GTEx | DepMap | Descartes | 7.60 | 939.09 |
PLXNA4 | 0.0010407 | 2125 | GTEx | DepMap | Descartes | 0.34 | 5.41 |
ANKFN1 | 0.0004792 | 3700 | GTEx | DepMap | Descartes | 0.06 | 4.02 |
RPH3A | 0.0003215 | 4305 | GTEx | DepMap | Descartes | 0.04 | 2.00 |
HS3ST5 | 0.0002104 | 4841 | GTEx | DepMap | Descartes | 0.21 | 11.23 |
MAB21L1 | 0.0001913 | 4945 | GTEx | DepMap | Descartes | 1.02 | 78.76 |
EPHA6 | 0.0001758 | 5030 | GTEx | DepMap | Descartes | 0.02 | 1.11 |
SLC44A5 | 0.0001093 | 5404 | GTEx | DepMap | Descartes | 0.02 | 1.31 |
PTCHD1 | -0.0002820 | 8767 | GTEx | DepMap | Descartes | 0.12 | 2.25 |
Descartes Vascular_endothelial markers
Top 50 marker genes of Vascular_endothelial cells in the Decartes fetal adrenal single cell map (https://atlas.brotmanbaty.org/bbi/human-gene-expression-during-development/cell/vascular_endothelial/in/adrenal)
Wilcoxon ranksum test P-value for gene set overrepresentation: 9.95e-01
Mean rank of genes in gene set: 7779.74
Median rank of genes in gene set: 7885.5
Rank on gene expression program of top 30 genes in gene set:
Genes | Weight | Rank | GTEx | DepMap | Descartes | Mean.Counts | Mean.TPM |
---|---|---|---|---|---|---|---|
NOTCH4 | 0.0020254 | 898 | GTEx | DepMap | Descartes | 0.22 | 8.14 |
EFNB2 | 0.0009771 | 2265 | GTEx | DepMap | Descartes | 0.30 | 14.20 |
EHD3 | 0.0009285 | 2377 | GTEx | DepMap | Descartes | 0.04 | 1.80 |
ID1 | 0.0005436 | 3471 | GTEx | DepMap | Descartes | 0.12 | 20.79 |
GALNT15 | 0.0001577 | 5113 | GTEx | DepMap | Descartes | 0.00 | NA |
TEK | 0.0000524 | 5724 | GTEx | DepMap | Descartes | 0.01 | 0.26 |
SHE | -0.0000527 | 6480 | GTEx | DepMap | Descartes | 0.00 | 0.05 |
SHANK3 | -0.0000622 | 6579 | GTEx | DepMap | Descartes | 0.03 | 0.70 |
CHRM3 | -0.0000629 | 6585 | GTEx | DepMap | Descartes | 0.13 | 3.55 |
FLT4 | -0.0001007 | 6932 | GTEx | DepMap | Descartes | 0.00 | 0.00 |
ROBO4 | -0.0001156 | 7086 | GTEx | DepMap | Descartes | 0.00 | 0.21 |
NR5A2 | -0.0001282 | 7203 | GTEx | DepMap | Descartes | 0.00 | 0.04 |
SLCO2A1 | -0.0001421 | 7357 | GTEx | DepMap | Descartes | 0.00 | 0.00 |
PODXL | -0.0001590 | 7538 | GTEx | DepMap | Descartes | 0.03 | 0.98 |
KDR | -0.0001615 | 7567 | GTEx | DepMap | Descartes | 0.00 | 0.05 |
CEACAM1 | -0.0001661 | 7626 | GTEx | DepMap | Descartes | 0.02 | 1.04 |
MMRN2 | -0.0001786 | 7766 | GTEx | DepMap | Descartes | 0.00 | 0.24 |
CALCRL | -0.0001880 | 7855 | GTEx | DepMap | Descartes | 0.00 | 0.13 |
ESM1 | -0.0001900 | 7873 | GTEx | DepMap | Descartes | 0.00 | 0.00 |
F8 | -0.0001929 | 7898 | GTEx | DepMap | Descartes | 0.01 | 0.15 |
NPR1 | -0.0002043 | 8017 | GTEx | DepMap | Descartes | 0.00 | 0.00 |
PLVAP | -0.0002086 | 8056 | GTEx | DepMap | Descartes | 0.00 | 0.30 |
CLDN5 | -0.0002203 | 8172 | GTEx | DepMap | Descartes | 0.02 | 1.53 |
RASIP1 | -0.0002216 | 8187 | GTEx | DepMap | Descartes | 0.01 | 0.78 |
CDH5 | -0.0002305 | 8273 | GTEx | DepMap | Descartes | 0.00 | 0.00 |
BTNL9 | -0.0002386 | 8346 | GTEx | DepMap | Descartes | 0.00 | 0.03 |
KANK3 | -0.0003042 | 8957 | GTEx | DepMap | Descartes | 0.00 | 0.16 |
PTPRB | -0.0003200 | 9086 | GTEx | DepMap | Descartes | 0.00 | 0.05 |
MYRIP | -0.0003381 | 9257 | GTEx | DepMap | Descartes | 0.01 | 0.32 |
CRHBP | -0.0003660 | 9468 | GTEx | DepMap | Descartes | 0.01 | 0.93 |
Descartes stromal markers
Top 50 marker genes of stromal cells in the Decartes fetal adrenal single cell map (https://atlas.brotmanbaty.org/bbi/human-gene-expression-during-development/cell/stromal/in/adrenal)
Wilcoxon ranksum test P-value for gene set overrepresentation: 1.00e+00
Mean rank of genes in gene set: 8776.39
Median rank of genes in gene set: 9231.5
Rank on gene expression program of top 30 genes in gene set:
Genes | Weight | Rank | GTEx | DepMap | Descartes | Mean.Counts | Mean.TPM |
---|---|---|---|---|---|---|---|
ADAMTS2 | 0.0008651 | 2535 | GTEx | DepMap | Descartes | 0.04 | 1.17 |
LRRC17 | 0.0003532 | 4178 | GTEx | DepMap | Descartes | 0.02 | 2.01 |
LAMC3 | 0.0003405 | 4229 | GTEx | DepMap | Descartes | 0.00 | 0.04 |
GAS2 | 0.0000751 | 5591 | GTEx | DepMap | Descartes | 0.01 | 0.61 |
SFRP2 | 0.0000220 | 5893 | GTEx | DepMap | Descartes | 0.00 | 0.00 |
ABCC9 | -0.0001293 | 7211 | GTEx | DepMap | Descartes | 0.00 | 0.03 |
IGFBP3 | -0.0001381 | 7315 | GTEx | DepMap | Descartes | 0.02 | 1.03 |
ADAMTSL3 | -0.0001382 | 7316 | GTEx | DepMap | Descartes | 0.00 | 0.01 |
SCARA5 | -0.0001564 | 7510 | GTEx | DepMap | Descartes | 0.00 | 0.03 |
RSPO3 | -0.0001653 | 7619 | GTEx | DepMap | Descartes | 0.00 | NA |
PCOLCE | -0.0001703 | 7679 | GTEx | DepMap | Descartes | 0.57 | 87.98 |
POSTN | -0.0002142 | 8109 | GTEx | DepMap | Descartes | 0.00 | 0.08 |
C7 | -0.0002192 | 8155 | GTEx | DepMap | Descartes | 0.01 | 0.18 |
ACTA2 | -0.0002667 | 8623 | GTEx | DepMap | Descartes | 0.03 | 4.65 |
EDNRA | -0.0002780 | 8729 | GTEx | DepMap | Descartes | 0.00 | 0.07 |
GLI2 | -0.0002833 | 8776 | GTEx | DepMap | Descartes | 0.00 | 0.00 |
PRRX1 | -0.0002856 | 8797 | GTEx | DepMap | Descartes | 0.00 | 0.07 |
MGP | -0.0002948 | 8875 | GTEx | DepMap | Descartes | 0.02 | 1.63 |
DCN | -0.0002953 | 8879 | GTEx | DepMap | Descartes | 0.07 | 1.35 |
PAMR1 | -0.0002991 | 8912 | GTEx | DepMap | Descartes | 0.01 | 0.38 |
COL27A1 | -0.0003005 | 8924 | GTEx | DepMap | Descartes | 0.00 | 0.01 |
PRICKLE1 | -0.0003296 | 9177 | GTEx | DepMap | Descartes | 0.08 | 3.39 |
ITGA11 | -0.0003422 | 9286 | GTEx | DepMap | Descartes | 0.00 | 0.02 |
BICC1 | -0.0003529 | 9375 | GTEx | DepMap | Descartes | 0.02 | 0.72 |
LUM | -0.0003530 | 9376 | GTEx | DepMap | Descartes | 0.05 | 2.40 |
DKK2 | -0.0003617 | 9438 | GTEx | DepMap | Descartes | 0.00 | 0.00 |
FREM1 | -0.0003628 | 9447 | GTEx | DepMap | Descartes | 0.01 | 0.24 |
CCDC80 | -0.0003694 | 9493 | GTEx | DepMap | Descartes | 0.01 | 0.19 |
LOX | -0.0003705 | 9499 | GTEx | DepMap | Descartes | 0.00 | 0.03 |
ISLR | -0.0003785 | 9566 | GTEx | DepMap | Descartes | 0.00 | 0.34 |
Descartes sympathoblasts markers
Top 50 marker genes of sympathoblasts cells in the Decartes fetal adrenal single cell map (https://atlas.brotmanbaty.org/bbi/human-gene-expression-during-development/cell/sympathoblasts/in/adrenal)
Wilcoxon ranksum test P-value for gene set overrepresentation: 2.02e-01
Mean rank of genes in gene set: 5785.05
Median rank of genes in gene set: 5459.5
Rank on gene expression program of top 30 genes in gene set:
Genes | Weight | Rank | GTEx | DepMap | Descartes | Mean.Counts | Mean.TPM |
---|---|---|---|---|---|---|---|
CHGA | 0.0084810 | 25 | GTEx | DepMap | Descartes | 3.36 | 390.59 |
CHGB | 0.0048981 | 124 | GTEx | DepMap | Descartes | 5.19 | 486.28 |
SLC18A1 | 0.0046566 | 138 | GTEx | DepMap | Descartes | 0.39 | 33.09 |
SPOCK3 | 0.0039191 | 207 | GTEx | DepMap | Descartes | 0.14 | 11.85 |
PCSK2 | 0.0031993 | 339 | GTEx | DepMap | Descartes | 0.07 | 3.81 |
GCH1 | 0.0028299 | 437 | GTEx | DepMap | Descartes | 0.59 | 47.78 |
PACRG | 0.0027628 | 456 | GTEx | DepMap | Descartes | 0.27 | 38.54 |
HTATSF1 | 0.0023601 | 649 | GTEx | DepMap | Descartes | 0.70 | 54.76 |
KSR2 | 0.0018853 | 1010 | GTEx | DepMap | Descartes | 0.15 | 2.04 |
AGBL4 | 0.0015899 | 1309 | GTEx | DepMap | Descartes | 0.09 | 5.74 |
SLC24A2 | 0.0014220 | 1508 | GTEx | DepMap | Descartes | 0.03 | 0.68 |
EML6 | 0.0013818 | 1554 | GTEx | DepMap | Descartes | 0.04 | 0.94 |
GALNTL6 | 0.0013474 | 1609 | GTEx | DepMap | Descartes | 0.09 | 5.59 |
C1QL1 | 0.0009265 | 2381 | GTEx | DepMap | Descartes | 1.47 | 208.64 |
CDH18 | 0.0004779 | 3704 | GTEx | DepMap | Descartes | 0.03 | 1.63 |
UNC80 | 0.0002608 | 4586 | GTEx | DepMap | Descartes | 0.20 | 3.45 |
DGKK | 0.0002376 | 4707 | GTEx | DepMap | Descartes | 0.05 | 1.49 |
LAMA3 | 0.0001229 | 5324 | GTEx | DepMap | Descartes | 0.01 | 0.21 |
CDH12 | 0.0001221 | 5334 | GTEx | DepMap | Descartes | 0.04 | 2.14 |
FAM155A | 0.0000759 | 5585 | GTEx | DepMap | Descartes | 0.25 | 6.21 |
CNTN3 | -0.0000243 | 6241 | GTEx | DepMap | Descartes | 0.01 | 0.34 |
NTNG1 | -0.0000925 | 6865 | GTEx | DepMap | Descartes | 0.08 | 4.04 |
PENK | -0.0001486 | 7427 | GTEx | DepMap | Descartes | 0.00 | 0.24 |
ST18 | -0.0002487 | 8462 | GTEx | DepMap | Descartes | 0.00 | 0.00 |
GRM7 | -0.0002748 | 8696 | GTEx | DepMap | Descartes | 0.00 | 0.15 |
TENM1 | -0.0003385 | 9261 | GTEx | DepMap | Descartes | 0.05 | NA |
SORCS3 | -0.0003729 | 9514 | GTEx | DepMap | Descartes | 0.00 | 0.08 |
CCSER1 | -0.0003814 | 9594 | GTEx | DepMap | Descartes | 0.02 | NA |
SLC35F3 | -0.0004679 | 10152 | GTEx | DepMap | Descartes | 0.00 | 0.16 |
GRID2 | -0.0004971 | 10351 | GTEx | DepMap | Descartes | 0.09 | 3.81 |
Descartes erythroblasts markers
Top 50 marker genes of erythroblasts cells in the Decartes fetal adrenal single cell map (https://atlas.brotmanbaty.org/bbi/human-gene-expression-during-development/cell/erythroblasts/in/adrenal)
Wilcoxon ranksum test P-value for gene set overrepresentation: 8.97e-01
Mean rank of genes in gene set: 7123.03
Median rank of genes in gene set: 7453
Rank on gene expression program of top 30 genes in gene set:
Genes | Weight | Rank | GTEx | DepMap | Descartes | Mean.Counts | Mean.TPM |
---|---|---|---|---|---|---|---|
FECH | 0.0040875 | 183 | GTEx | DepMap | Descartes | 0.23 | 7.71 |
TSPAN5 | 0.0034702 | 275 | GTEx | DepMap | Descartes | 0.79 | 48.80 |
TRAK2 | 0.0005023 | 3603 | GTEx | DepMap | Descartes | 0.10 | 3.68 |
CPOX | 0.0004446 | 3809 | GTEx | DepMap | Descartes | 0.04 | 3.38 |
TMCC2 | 0.0003797 | 4064 | GTEx | DepMap | Descartes | 0.07 | 4.03 |
XPO7 | 0.0003526 | 4180 | GTEx | DepMap | Descartes | 0.14 | 6.15 |
MARCH3 | 0.0002100 | 4846 | GTEx | DepMap | Descartes | 0.04 | NA |
SOX6 | 0.0002016 | 4893 | GTEx | DepMap | Descartes | 0.24 | 6.21 |
ABCB10 | 0.0001158 | 5369 | GTEx | DepMap | Descartes | 0.06 | 3.70 |
ANK1 | 0.0000261 | 5865 | GTEx | DepMap | Descartes | 0.06 | 1.67 |
TFR2 | 0.0000115 | 5965 | GTEx | DepMap | Descartes | 0.07 | 5.30 |
SLC25A21 | 0.0000040 | 6014 | GTEx | DepMap | Descartes | 0.00 | 0.00 |
SNCA | -0.0001304 | 7232 | GTEx | DepMap | Descartes | 0.52 | 36.92 |
SLC4A1 | -0.0001436 | 7372 | GTEx | DepMap | Descartes | 0.01 | 0.16 |
RHD | -0.0001511 | 7453 | GTEx | DepMap | Descartes | 0.00 | 0.02 |
SLC25A37 | -0.0001597 | 7545 | GTEx | DepMap | Descartes | 0.30 | 13.94 |
RGS6 | -0.0001732 | 7710 | GTEx | DepMap | Descartes | 0.00 | 0.00 |
ALAS2 | -0.0001881 | 7857 | GTEx | DepMap | Descartes | 0.01 | 0.49 |
GCLC | -0.0001992 | 7969 | GTEx | DepMap | Descartes | 0.06 | 3.50 |
MICAL2 | -0.0002170 | 8128 | GTEx | DepMap | Descartes | 0.01 | 0.37 |
SPTB | -0.0002208 | 8178 | GTEx | DepMap | Descartes | 0.06 | 1.43 |
SELENBP1 | -0.0002400 | 8360 | GTEx | DepMap | Descartes | 0.00 | 0.22 |
CAT | -0.0003294 | 9175 | GTEx | DepMap | Descartes | 0.13 | 12.65 |
BLVRB | -0.0006153 | 10944 | GTEx | DepMap | Descartes | 0.14 | 18.57 |
RAPGEF2 | -0.0007194 | 11315 | GTEx | DepMap | Descartes | 0.13 | 3.62 |
SPECC1 | -0.0008882 | 11710 | GTEx | DepMap | Descartes | 0.02 | 0.43 |
DENND4A | -0.0010913 | 12032 | GTEx | DepMap | Descartes | 0.14 | 3.75 |
EPB41 | -0.0012629 | 12193 | GTEx | DepMap | Descartes | 0.23 | 7.86 |
GYPC | -0.0014968 | 12329 | GTEx | DepMap | Descartes | 0.13 | 13.68 |
NA | NA | NA | NA | NA | NA | NA | NA |
Descartes myeloid markers
Top 50 marker genes of myeloid cells in the Decartes fetal adrenal single cell map (https://atlas.brotmanbaty.org/bbi/human-gene-expression-during-development/cell/myeloid/in/adrenal)
Wilcoxon ranksum test P-value for gene set overrepresentation: 9.69e-01
Mean rank of genes in gene set: 7373.03
Median rank of genes in gene set: 7372.5
Rank on gene expression program of top 30 genes in gene set:
Genes | Weight | Rank | GTEx | DepMap | Descartes | Mean.Counts | Mean.TPM |
---|---|---|---|---|---|---|---|
RBPJ | 0.0021933 | 751 | GTEx | DepMap | Descartes | 0.94 | 38.97 |
CD163L1 | 0.0020191 | 905 | GTEx | DepMap | Descartes | 0.73 | 35.42 |
FMN1 | 0.0016083 | 1285 | GTEx | DepMap | Descartes | 0.13 | 2.44 |
HRH1 | 0.0007762 | 2772 | GTEx | DepMap | Descartes | 0.04 | 1.86 |
SLC1A3 | 0.0004892 | 3660 | GTEx | DepMap | Descartes | 0.03 | 1.59 |
FGL2 | 0.0004748 | 3714 | GTEx | DepMap | Descartes | 0.15 | 7.07 |
IFNGR1 | 0.0004725 | 3722 | GTEx | DepMap | Descartes | 0.24 | 22.31 |
MS4A4A | 0.0001890 | 4960 | GTEx | DepMap | Descartes | 0.12 | 15.33 |
RGL1 | 0.0001882 | 4963 | GTEx | DepMap | Descartes | 0.03 | 1.55 |
CTSB | 0.0000272 | 5856 | GTEx | DepMap | Descartes | 0.92 | 53.53 |
CD163 | -0.0000011 | 6044 | GTEx | DepMap | Descartes | 0.04 | 1.46 |
SLCO2B1 | -0.0000210 | 6207 | GTEx | DepMap | Descartes | 0.03 | 1.15 |
SLC9A9 | -0.0000232 | 6225 | GTEx | DepMap | Descartes | 0.02 | 0.86 |
CYBB | -0.0000239 | 6234 | GTEx | DepMap | Descartes | 0.05 | 2.25 |
ADAP2 | -0.0000360 | 6347 | GTEx | DepMap | Descartes | 0.04 | 3.00 |
FGD2 | -0.0000682 | 6633 | GTEx | DepMap | Descartes | 0.01 | 0.34 |
LGMN | -0.0000691 | 6640 | GTEx | DepMap | Descartes | 0.28 | 28.17 |
MERTK | -0.0000912 | 6854 | GTEx | DepMap | Descartes | 0.01 | 0.85 |
SFMBT2 | -0.0001302 | 7226 | GTEx | DepMap | Descartes | 0.02 | 0.42 |
CD14 | -0.0001574 | 7519 | GTEx | DepMap | Descartes | 0.22 | 24.84 |
CTSD | -0.0001707 | 7687 | GTEx | DepMap | Descartes | 0.86 | 84.75 |
HCK | -0.0002083 | 8052 | GTEx | DepMap | Descartes | 0.02 | 2.25 |
CSF1R | -0.0002573 | 8549 | GTEx | DepMap | Descartes | 0.05 | 2.26 |
WWP1 | -0.0003076 | 8989 | GTEx | DepMap | Descartes | 0.07 | 3.17 |
CPVL | -0.0003416 | 9282 | GTEx | DepMap | Descartes | 0.10 | 7.17 |
SPP1 | -0.0003767 | 9549 | GTEx | DepMap | Descartes | 0.51 | 53.33 |
ATP8B4 | -0.0003859 | 9629 | GTEx | DepMap | Descartes | 0.00 | 0.16 |
CTSS | -0.0004337 | 9945 | GTEx | DepMap | Descartes | 0.20 | 9.45 |
CTSC | -0.0004842 | 10265 | GTEx | DepMap | Descartes | 0.29 | 8.75 |
ITPR2 | -0.0005037 | 10402 | GTEx | DepMap | Descartes | 0.04 | 0.55 |
Descartes Schwann markers
Top 50 marker genes of Schwann cells in the Decartes fetal adrenal single cell map (https://atlas.brotmanbaty.org/bbi/human-gene-expression-during-development/cell/schwann/in/adrenal)
Wilcoxon ranksum test P-value for gene set overrepresentation: 1.00e+00
Mean rank of genes in gene set: 8247.7
Median rank of genes in gene set: 9298.5
Rank on gene expression program of top 30 genes in gene set:
Genes | Weight | Rank | GTEx | DepMap | Descartes | Mean.Counts | Mean.TPM |
---|---|---|---|---|---|---|---|
GFRA3 | 0.0088654 | 20 | GTEx | DepMap | Descartes | 1.53 | 187.02 |
PMP22 | 0.0086151 | 23 | GTEx | DepMap | Descartes | 4.04 | 547.25 |
SFRP1 | 0.0040406 | 192 | GTEx | DepMap | Descartes | 1.29 | 72.61 |
PTN | 0.0025420 | 545 | GTEx | DepMap | Descartes | 0.82 | 117.85 |
LAMA4 | 0.0013480 | 1608 | GTEx | DepMap | Descartes | 0.26 | 8.60 |
LRRTM4 | 0.0005863 | 3338 | GTEx | DepMap | Descartes | 0.07 | 4.79 |
XKR4 | 0.0003463 | 4207 | GTEx | DepMap | Descartes | 0.04 | 0.49 |
PAG1 | 0.0002367 | 4712 | GTEx | DepMap | Descartes | 0.32 | 6.78 |
SCN7A | 0.0002107 | 4839 | GTEx | DepMap | Descartes | 0.16 | 5.20 |
FIGN | 0.0000484 | 5744 | GTEx | DepMap | Descartes | 0.09 | 2.30 |
IL1RAPL2 | -0.0000033 | 6065 | GTEx | DepMap | Descartes | 0.00 | 0.00 |
EDNRB | -0.0000811 | 6750 | GTEx | DepMap | Descartes | 0.01 | 0.28 |
HMGA2 | -0.0001533 | 7477 | GTEx | DepMap | Descartes | 0.00 | 0.00 |
MDGA2 | -0.0001661 | 7627 | GTEx | DepMap | Descartes | 0.00 | 0.01 |
NRXN3 | -0.0001888 | 7862 | GTEx | DepMap | Descartes | 0.01 | 0.24 |
LAMB1 | -0.0001913 | 7881 | GTEx | DepMap | Descartes | 0.17 | 7.31 |
MARCKS | -0.0002138 | 8106 | GTEx | DepMap | Descartes | 6.15 | 328.69 |
ERBB4 | -0.0002421 | 8386 | GTEx | DepMap | Descartes | 0.00 | 0.05 |
TRPM3 | -0.0002692 | 8646 | GTEx | DepMap | Descartes | 0.01 | 0.19 |
ADAMTS5 | -0.0002952 | 8877 | GTEx | DepMap | Descartes | 0.00 | 0.00 |
PTPRZ1 | -0.0003181 | 9073 | GTEx | DepMap | Descartes | 0.00 | 0.01 |
ERBB3 | -0.0003290 | 9169 | GTEx | DepMap | Descartes | 0.01 | 0.31 |
MPZ | -0.0003603 | 9428 | GTEx | DepMap | Descartes | 0.05 | 4.13 |
IL1RAPL1 | -0.0003659 | 9465 | GTEx | DepMap | Descartes | 0.00 | 0.04 |
EGFLAM | -0.0003988 | 9707 | GTEx | DepMap | Descartes | 0.06 | 3.06 |
OLFML2A | -0.0004147 | 9823 | GTEx | DepMap | Descartes | 0.00 | 0.14 |
PLCE1 | -0.0004423 | 10001 | GTEx | DepMap | Descartes | 0.02 | 0.34 |
GRIK3 | -0.0004746 | 10194 | GTEx | DepMap | Descartes | 0.01 | 0.12 |
COL18A1 | -0.0004921 | 10322 | GTEx | DepMap | Descartes | 0.06 | 1.96 |
PLP1 | -0.0005243 | 10508 | GTEx | DepMap | Descartes | 0.02 | 0.91 |
Descartes Megakaryocytes markers
Top 50 marker genes of Megakaryocytes cells in the Decartes fetal adrenal single cell map (https://atlas.brotmanbaty.org/bbi/human-gene-expression-during-development/cell/megakaryocytes/in/adrenal)
Wilcoxon ranksum test P-value for gene set overrepresentation: 1.00e+00
Mean rank of genes in gene set: 8200.67
Median rank of genes in gene set: 9107
Rank on gene expression program of top 30 genes in gene set:
Genes | Weight | Rank | GTEx | DepMap | Descartes | Mean.Counts | Mean.TPM |
---|---|---|---|---|---|---|---|
ACTB | 0.0084588 | 26 | GTEx | DepMap | Descartes | 29.08 | 3012.26 |
CD9 | 0.0053501 | 100 | GTEx | DepMap | Descartes | 1.76 | 247.93 |
PRKAR2B | 0.0018219 | 1075 | GTEx | DepMap | Descartes | 0.62 | 39.31 |
ZYX | 0.0017130 | 1160 | GTEx | DepMap | Descartes | 0.45 | 45.92 |
TUBB1 | 0.0009791 | 2258 | GTEx | DepMap | Descartes | 0.02 | 1.23 |
ACTN1 | 0.0008486 | 2578 | GTEx | DepMap | Descartes | 0.43 | 20.34 |
ITGA2B | 0.0006527 | 3129 | GTEx | DepMap | Descartes | 0.02 | 1.38 |
INPP4B | 0.0003256 | 4287 | GTEx | DepMap | Descartes | 0.06 | 1.63 |
VCL | 0.0000919 | 5504 | GTEx | DepMap | Descartes | 0.12 | 3.50 |
MED12L | -0.0000315 | 6303 | GTEx | DepMap | Descartes | 0.01 | 0.18 |
TRPC6 | -0.0000958 | 6891 | GTEx | DepMap | Descartes | 0.00 | 0.00 |
GP1BA | -0.0001192 | 7118 | GTEx | DepMap | Descartes | 0.00 | 0.02 |
ITGB3 | -0.0001364 | 7297 | GTEx | DepMap | Descartes | 0.00 | 0.00 |
MMRN1 | -0.0001444 | 7379 | GTEx | DepMap | Descartes | 0.00 | 0.01 |
ARHGAP6 | -0.0002309 | 8277 | GTEx | DepMap | Descartes | 0.00 | 0.01 |
MCTP1 | -0.0002391 | 8350 | GTEx | DepMap | Descartes | 0.01 | 0.46 |
LTBP1 | -0.0002407 | 8370 | GTEx | DepMap | Descartes | 0.00 | 0.12 |
MYLK | -0.0002479 | 8449 | GTEx | DepMap | Descartes | 0.02 | 0.36 |
GSN | -0.0002486 | 8460 | GTEx | DepMap | Descartes | 0.16 | 4.96 |
ANGPT1 | -0.0002548 | 8524 | GTEx | DepMap | Descartes | 0.00 | 0.07 |
STOM | -0.0002751 | 8701 | GTEx | DepMap | Descartes | 0.11 | 7.61 |
DOK6 | -0.0002800 | 8749 | GTEx | DepMap | Descartes | 0.09 | 2.10 |
FLI1 | -0.0003223 | 9107 | GTEx | DepMap | Descartes | 0.01 | 0.46 |
SLC2A3 | -0.0003242 | 9126 | GTEx | DepMap | Descartes | 0.17 | 8.41 |
PSTPIP2 | -0.0003301 | 9181 | GTEx | DepMap | Descartes | 0.01 | 0.54 |
RAB27B | -0.0003377 | 9252 | GTEx | DepMap | Descartes | 0.07 | 2.14 |
HIPK2 | -0.0003383 | 9259 | GTEx | DepMap | Descartes | 0.35 | 4.89 |
SLC24A3 | -0.0003426 | 9287 | GTEx | DepMap | Descartes | 0.00 | 0.05 |
P2RX1 | -0.0003609 | 9431 | GTEx | DepMap | Descartes | 0.00 | 0.21 |
PDE3A | -0.0004790 | 10230 | GTEx | DepMap | Descartes | 0.02 | 0.69 |
Descartes Lyphoid markers
Top 50 marker genes of Lyphoid cells in the Decartes fetal adrenal single cell map (https://atlas.brotmanbaty.org/bbi/human-gene-expression-during-development/cell/lymphoid/in/adrenal)
Wilcoxon ranksum test P-value for gene set overrepresentation: 1.00e+00
Mean rank of genes in gene set: 9019.64
Median rank of genes in gene set: 10689
Rank on gene expression program of top 30 genes in gene set:
Genes | Weight | Rank | GTEx | DepMap | Descartes | Mean.Counts | Mean.TPM |
---|---|---|---|---|---|---|---|
FYN | 0.0023958 | 624 | GTEx | DepMap | Descartes | 1.63 | 107.28 |
SCML4 | 0.0018542 | 1036 | GTEx | DepMap | Descartes | 0.20 | 11.28 |
CD44 | 0.0015697 | 1339 | GTEx | DepMap | Descartes | 2.38 | 97.69 |
GNG2 | 0.0011241 | 1969 | GTEx | DepMap | Descartes | 1.03 | 63.97 |
CELF2 | 0.0010225 | 2171 | GTEx | DepMap | Descartes | 0.52 | 16.09 |
NCALD | 0.0007584 | 2817 | GTEx | DepMap | Descartes | 0.17 | 10.48 |
FOXP1 | 0.0005715 | 3377 | GTEx | DepMap | Descartes | 1.36 | 34.51 |
RAP1GAP2 | 0.0002886 | 4453 | GTEx | DepMap | Descartes | 0.39 | 12.51 |
TMSB10 | 0.0001506 | 5156 | GTEx | DepMap | Descartes | 75.35 | 36635.40 |
WIPF1 | -0.0001185 | 7110 | GTEx | DepMap | Descartes | 0.21 | 10.33 |
CCL5 | -0.0001545 | 7486 | GTEx | DepMap | Descartes | 0.31 | 45.82 |
TOX | -0.0002484 | 8456 | GTEx | DepMap | Descartes | 0.21 | 11.06 |
SORL1 | -0.0002579 | 8553 | GTEx | DepMap | Descartes | 0.22 | 4.44 |
MSN | -0.0003073 | 8981 | GTEx | DepMap | Descartes | 0.27 | 16.13 |
ITPKB | -0.0003375 | 9251 | GTEx | DepMap | Descartes | 0.02 | 0.49 |
BCL2 | -0.0003661 | 9469 | GTEx | DepMap | Descartes | 0.30 | 8.69 |
CCND3 | -0.0003874 | 9649 | GTEx | DepMap | Descartes | 0.20 | 19.34 |
LCP1 | -0.0004386 | 9977 | GTEx | DepMap | Descartes | 0.23 | 13.66 |
SAMD3 | -0.0004964 | 10344 | GTEx | DepMap | Descartes | 0.01 | 0.52 |
LEF1 | -0.0005378 | 10577 | GTEx | DepMap | Descartes | 0.05 | 2.66 |
PLEKHA2 | -0.0005514 | 10644 | GTEx | DepMap | Descartes | 0.04 | 1.43 |
DOCK10 | -0.0005703 | 10734 | GTEx | DepMap | Descartes | 0.06 | 1.88 |
STK39 | -0.0005830 | 10791 | GTEx | DepMap | Descartes | 0.40 | 26.43 |
RCSD1 | -0.0006080 | 10911 | GTEx | DepMap | Descartes | 0.02 | 0.63 |
ANKRD44 | -0.0006149 | 10941 | GTEx | DepMap | Descartes | 0.09 | 2.78 |
ABLIM1 | -0.0006776 | 11178 | GTEx | DepMap | Descartes | 0.15 | 4.37 |
SKAP1 | -0.0007740 | 11453 | GTEx | DepMap | Descartes | 0.02 | 2.89 |
ARHGAP15 | -0.0008053 | 11521 | GTEx | DepMap | Descartes | 0.04 | 2.42 |
MCTP2 | -0.0008116 | 11539 | GTEx | DepMap | Descartes | 0.01 | 0.14 |
PITPNC1 | -0.0008232 | 11571 | GTEx | DepMap | Descartes | 0.11 | 3.68 |
Below shows the ranks on this GEP for immune marker gene lists curated by CellTypist (https://www.celltypist.org/encyclopedia).
High ranks indicate this gene is a driver of this GEP.
These curated gene list are ranked by P-value (on this GEP) of their constituent genes.
The Mean Count column shows the mean read count in cells scoring highly (H > 50) on this gene expression program.
Genes | Weight | Rank | GTEx | DepMap | Decartes | Mean.Counts | Mean.TPM |
---|---|---|---|---|---|---|---|
GATA2 | 0.0073056 | 35 | GTEx | DepMap | Descartes | 3.26 | 232.42 |
ITGA2B | 0.0006527 | 3129 | GTEx | DepMap | Descartes | 0.02 | 1.38 |
HSC/MPP: Megakaryocyte-erythroid-mast cell progenitor (curated markers)
shared progenitors in the fetal liver which originate from common myeloid progenitors and differentiate into megakaryocytes:
Wilcoxon ranksum test P-value for gene set overrepresentation: 4.25e-02
Mean rank of genes in gene set: 35
Rank on gene expression program of genes in gene set:
Genes | Weight | Rank | GTEx | DepMap | Decartes | Mean.Counts | Mean.TPM |
---|---|---|---|---|---|---|---|
GATA2 | 0.0073056 | 35 | GTEx | DepMap | Descartes | 3.26 | 232.42 |
Macrophages: Hofbauer cells (model markers)
primitive placental resident macrophages with granules and vacuoles found in placenta particularly during early pregnancy:
Wilcoxon ranksum test P-value for gene set overrepresentation: 8.55e-02
Mean rank of genes in gene set: 1316
Rank on gene expression program of genes in gene set:
Genes | Weight | Rank | GTEx | DepMap | Decartes | Mean.Counts | Mean.TPM |
---|---|---|---|---|---|---|---|
PANX2 | 0.0015818 | 1316 | GTEx | DepMap | Descartes | 0.21 | 16.66 |