Program description and justification of annotation: 5.
Submit a comment on this gene expression program’s interpretation: CLICK
QQ-plot of gene loadings, averaged over both independent splits of the data
This plot highlights the relative contribution of each gene to the GEP
Top genes driving this program.
Note: Decartes website is buggy, try refreshing. Also, Decartes fetal adrenal data have been collected at specific time points (89-122 days), all possible cell types of interest may not be represented, do not overinterpret.
The Mean Count column shows the mean read count in cells scoring highly (H > 50) on this gene expression program.
Gene | Loading | Gene.Name | GTEx | DepMap | Descartes | Mean.Counts | Mean.Tpm | |
---|---|---|---|---|---|---|---|---|
1 | HIST1H1E | 0.0224187 | NA | GTEx | DepMap | Descartes | 103.95 | NA |
2 | HIST1H1B | 0.0220739 | NA | GTEx | DepMap | Descartes | 123.25 | NA |
3 | CALCB | 0.0197356 | calcitonin related polypeptide beta | GTEx | DepMap | Descartes | 5.29 | 83.27 |
4 | FAM49A | 0.0187073 | NA | GTEx | DepMap | Descartes | 7.36 | NA |
5 | HIST1H1C | 0.0166146 | NA | GTEx | DepMap | Descartes | 42.81 | NA |
6 | COL2A1 | 0.0162314 | collagen type II alpha 1 chain | GTEx | DepMap | Descartes | 3.37 | 24.43 |
7 | RANBP1 | 0.0151352 | RAN binding protein 1 | GTEx | DepMap | Descartes | 118.78 | 1924.60 |
8 | CSRP2 | 0.0146221 | cysteine and glycine rich protein 2 | GTEx | DepMap | Descartes | 32.71 | 223.91 |
9 | PRDX1 | 0.0141637 | peroxiredoxin 1 | GTEx | DepMap | Descartes | 120.64 | 3467.44 |
10 | YBX1 | 0.0136404 | Y-box binding protein 1 | GTEx | DepMap | Descartes | 253.29 | 3013.42 |
11 | HIST1H4C | 0.0129611 | NA | GTEx | DepMap | Descartes | 232.56 | NA |
12 | KDM1A | 0.0128969 | lysine demethylase 1A | GTEx | DepMap | Descartes | 34.52 | 414.53 |
13 | MIF | 0.0127133 | macrophage migration inhibitory factor | GTEx | DepMap | Descartes | 340.00 | 11852.05 |
14 | AIF1L | 0.0119812 | allograft inflammatory factor 1 like | GTEx | DepMap | Descartes | 2.32 | 23.26 |
15 | RPL13 | 0.0117019 | ribosomal protein L13 | GTEx | DepMap | Descartes | 494.91 | 3681.40 |
16 | TMEFF1 | 0.0113089 | transmembrane protein with EGF like and two follistatin like domains 1 | GTEx | DepMap | Descartes | 7.21 | 109.91 |
17 | LDHA | 0.0107432 | lactate dehydrogenase A | GTEx | DepMap | Descartes | 89.80 | 1430.32 |
18 | CKB | 0.0105518 | creatine kinase B | GTEx | DepMap | Descartes | 62.84 | 1605.80 |
19 | HIST2H2AC | 0.0104284 | NA | GTEx | DepMap | Descartes | 15.42 | NA |
20 | SLC3A2 | 0.0103620 | solute carrier family 3 member 2 | GTEx | DepMap | Descartes | 21.47 | 362.19 |
21 | HIST1H2AG | 0.0102010 | NA | GTEx | DepMap | Descartes | 7.55 | NA |
22 | DEF8 | 0.0101565 | differentially expressed in FDCP 8 homolog | GTEx | DepMap | Descartes | 17.86 | 132.70 |
23 | ENO1 | 0.0101504 | enolase 1 | GTEx | DepMap | Descartes | 73.55 | 1074.26 |
24 | TEX15 | 0.0101402 | testis expressed 15, meiosis and synapsis associated | GTEx | DepMap | Descartes | 5.34 | 18.01 |
25 | TMPO | 0.0099564 | thymopoietin | GTEx | DepMap | Descartes | 43.74 | 372.68 |
26 | CENPV | 0.0099339 | centromere protein V | GTEx | DepMap | Descartes | 35.27 | 679.39 |
27 | SAP30 | 0.0098075 | Sin3A associated protein 30 | GTEx | DepMap | Descartes | 27.65 | 885.81 |
28 | LDHB | 0.0097416 | lactate dehydrogenase B | GTEx | DepMap | Descartes | 118.67 | 2796.56 |
29 | EXOSC8 | 0.0097374 | exosome component 8 | GTEx | DepMap | Descartes | 19.16 | 283.16 |
30 | MARCKSL1 | 0.0096344 | MARCKS like 1 | GTEx | DepMap | Descartes | 64.23 | 1453.10 |
31 | COL9A1 | 0.0096158 | collagen type IX alpha 1 chain | GTEx | DepMap | Descartes | 0.45 | 3.61 |
32 | RAN | 0.0096060 | RAN, member RAS oncogene family | GTEx | DepMap | Descartes | 117.68 | 1633.50 |
33 | HIST1H3B | 0.0094992 | NA | GTEx | DepMap | Descartes | 8.71 | NA |
34 | PEBP1 | 0.0094106 | phosphatidylethanolamine binding protein 1 | GTEx | DepMap | Descartes | 79.31 | 1871.28 |
35 | ATP7A | 0.0093647 | ATPase copper transporting alpha | GTEx | DepMap | Descartes | 7.52 | 33.33 |
36 | PEG10 | 0.0093541 | paternally expressed 10 | GTEx | DepMap | Descartes | 28.60 | 148.87 |
37 | TRAPPC2L | 0.0092974 | trafficking protein particle complex subunit 2L | GTEx | DepMap | Descartes | 19.65 | 214.51 |
38 | PROSER2 | 0.0092956 | proline and serine rich 2 | GTEx | DepMap | Descartes | 0.80 | NA |
39 | KAZN | 0.0092473 | kazrin, periplakin interacting protein | GTEx | DepMap | Descartes | 4.66 | 24.95 |
40 | PSAT1 | 0.0091743 | phosphoserine aminotransferase 1 | GTEx | DepMap | Descartes | 11.64 | 203.93 |
41 | GCSH | 0.0090468 | glycine cleavage system protein H | GTEx | DepMap | Descartes | 30.78 | 406.87 |
42 | PAWR | 0.0090263 | pro-apoptotic WT1 regulator | GTEx | DepMap | Descartes | 8.14 | 32.60 |
43 | NUTF2 | 0.0090066 | nuclear transport factor 2 | GTEx | DepMap | Descartes | 27.43 | 374.75 |
44 | EIF4EBP1 | 0.0088585 | eukaryotic translation initiation factor 4E binding protein 1 | GTEx | DepMap | Descartes | 40.60 | 1627.96 |
45 | TARS | 0.0088174 | NA | GTEx | DepMap | Descartes | 20.02 | NA |
46 | H2AFZ | 0.0087849 | NA | GTEx | DepMap | Descartes | 159.50 | NA |
47 | LSM4 | 0.0087562 | LSM4 homolog, U6 small nuclear RNA and mRNA degradation associated | GTEx | DepMap | Descartes | 44.55 | 885.35 |
48 | SYDE2 | 0.0087079 | synapse defective Rho GTPase homolog 2 | GTEx | DepMap | Descartes | 0.77 | 5.04 |
49 | HIST2H2AB | 0.0086560 | NA | GTEx | DepMap | Descartes | 2.60 | NA |
50 | FOXC1 | 0.0086174 | forkhead box C1 | GTEx | DepMap | Descartes | 4.82 | 42.31 |
UMAP plots showing activity of gene expression program identified in community:5. NB Cell Line #5 (Mixed)
CNV Data procured from inferCNV.
Outer tracks are putative CNV regions (gains = red, losses = blue) for each patient
Inner track is expression data representing:
The top cells expressing this GEP (purple)
Random cells (n =50) from the reference set used in inferCNV (orange)
Gene set Enrichments for this program, caculated from top 50 genes
mSigDB Cell Types Gene Set:
P-value | OR | Lower 95% CI | FDR | FWER | Genes Found | Gene Set Size | |
---|---|---|---|---|---|---|---|
BUSSLINGER_ESOPHAGEAL_EARLY_SUPRABASAL_CELLS | 1.43e-05 | 18.75 | 5.65 | 1.92e-03 | 9.62e-03 | 5CSRP2, YBX1, ENO1, TMPO, RAN |
79 |
FAN_EMBRYONIC_CTX_BIG_GROUPS_GLIAL | 1.29e-05 | 13.41 | 4.59 | 1.92e-03 | 8.68e-03 | 6AIF1L, CKB, ENO1, LDHB, PSAT1, GCSH |
133 |
LAKE_ADULT_KIDNEY_C9_THIN_ASCENDING_LIMB | 7.91e-07 | 10.60 | 4.48 | 5.31e-04 | 5.31e-04 | 9PRDX1, YBX1, AIF1L, RPL13, LDHA, ENO1, LDHB, RAN, PEBP1 |
268 |
CUI_DEVELOPING_HEART_COMPACT_ATRIAL_CARDIOMYOCYTE | 1.58e-03 | 39.95 | 4.27 | 4.81e-02 | 1.00e+00 | 2YBX1, RPL13 |
15 |
LAKE_ADULT_KIDNEY_C18_COLLECTING_DUCT_PRINCIPAL_CELLS_MEDULLA | 3.49e-06 | 8.77 | 3.71 | 1.17e-03 | 2.34e-03 | 9PRDX1, YBX1, AIF1L, RPL13, LDHA, ENO1, LDHB, PEBP1, KAZN |
322 |
LAKE_ADULT_KIDNEY_C8_DECENDING_THIN_LIMB | 1.07e-05 | 8.82 | 3.54 | 1.92e-03 | 7.20e-03 | 8PRDX1, YBX1, RPL13, LDHA, ENO1, LDHB, RAN, PEBP1 |
278 |
MENON_FETAL_KIDNEY_1_EMBRYONIC_RED_BLOOD_CELLS | 1.33e-04 | 11.47 | 3.49 | 9.90e-03 | 8.91e-02 | 5RANBP1, YBX1, TMPO, MARCKSL1, RAN |
126 |
HAY_BONE_MARROW_CD34_POS_MULTILIN | 2.81e-03 | 28.89 | 3.17 | 7.27e-02 | 1.00e+00 | 2AIF1L, ENO1 |
20 |
FAN_OVARY_CL10_PUTATIVE_EARLY_ATRESIA_GRANULOSA_CELL | 8.57e-05 | 7.62 | 2.87 | 7.90e-03 | 5.75e-02 | 7RANBP1, CKB, LDHB, MARCKSL1, RAN, PEBP1, LSM4 |
274 |
LAKE_ADULT_KIDNEY_C10_THIN_ASCENDING_LIMB | 5.71e-05 | 6.90 | 2.78 | 6.38e-03 | 3.83e-02 | 8PRDX1, YBX1, RPL13, LDHA, ENO1, LDHB, RAN, PEBP1 |
353 |
HU_FETAL_RETINA_RPC | 8.25e-04 | 10.55 | 2.71 | 3.26e-02 | 5.53e-01 | 4COL2A1, CKB, COL9A1, RAN |
107 |
FAN_OVARY_CL17_PUTATIVE_APOPTOTIC_SMOOTH_MUSCLE_CELL | 2.67e-04 | 7.58 | 2.61 | 1.51e-02 | 1.79e-01 | 6CSRP2, PRDX1, YBX1, LDHA, SLC3A2, RAN |
231 |
FAN_OVARY_CL1_GPRC5A_TNFRS12A_HIGH_SELECTABLE_FOLLICLE_STROMAL_CELL | 9.42e-05 | 6.40 | 2.58 | 7.90e-03 | 6.32e-02 | 8PRDX1, YBX1, LDHA, SLC3A2, ENO1, RAN, PEG10, PAWR |
380 |
ZHONG_PFC_C1_MICROGLIA | 4.67e-04 | 6.79 | 2.34 | 2.24e-02 | 3.13e-01 | 6RANBP1, TMPO, SAP30, RAN, TRAPPC2L, NUTF2 |
257 |
BUSSLINGER_ESOPHAGEAL_PROLIFERATING_BASAL_CELLS | 2.66e-03 | 11.90 | 2.31 | 7.27e-02 | 1.00e+00 | 3YBX1, SLC3A2, ENO1 |
70 |
BUSSLINGER_DUODENAL_TRANSIT_AMPLIFYING_CELLS | 9.44e-04 | 7.35 | 2.25 | 3.52e-02 | 6.33e-01 | 5PRDX1, YBX1, RPL13, ENO1, RAN |
194 |
RUBENSTEIN_SKELETAL_MUSCLE_SMOOTH_MUSCLE_CELLS | 2.69e-04 | 5.45 | 2.20 | 1.51e-02 | 1.81e-01 | 8RANBP1, CSRP2, YBX1, LDHA, CKB, LDHB, RAN, PEBP1 |
445 |
LAKE_ADULT_KIDNEY_C12_THICK_ASCENDING_LIMB | 6.11e-04 | 5.44 | 2.05 | 2.64e-02 | 4.10e-01 | 7YBX1, AIF1L, RPL13, CKB, ENO1, LDHB, PEBP1 |
381 |
BUSSLINGER_DUODENAL_DIFFERENTIATING_STEM_CELLS | 1.12e-03 | 5.70 | 1.97 | 3.96e-02 | 7.53e-01 | 6YBX1, RPL13, ENO1, TMPO, RAN, LSM4 |
305 |
TRAVAGLINI_LUNG_PROLIFERATING_MACROPHAGE_CELL | 1.62e-04 | 4.13 | 1.96 | 1.09e-02 | 1.09e-01 | 12RANBP1, PRDX1, YBX1, LDHA, SLC3A2, ENO1, TMPO, LDHB, RAN, PEBP1, EIF4EBP1, LSM4 |
968 |
Dowload full table
mSigDB Hallmark Gene Sets:
P-value | OR | Lower 95% CI | FDR | FWER | Genes Found | Gene Set Size | |
---|---|---|---|---|---|---|---|
HALLMARK_HYPOXIA | 1.24e-04 | 8.78 | 3.02 | 6.18e-03 | 6.18e-03 | 6CSRP2, MIF, LDHA, ENO1, SAP30, ATP7A |
200 |
HALLMARK_MTORC1_SIGNALING | 7.71e-03 | 5.55 | 1.44 | 9.64e-02 | 3.85e-01 | 4PRDX1, LDHA, ENO1, PSAT1 |
200 |
HALLMARK_E2F_TARGETS | 7.71e-03 | 5.55 | 1.44 | 9.64e-02 | 3.85e-01 | 4RANBP1, TMPO, EXOSC8, RAN |
200 |
HALLMARK_GLYCOLYSIS | 7.71e-03 | 5.55 | 1.44 | 9.64e-02 | 3.85e-01 | 4MIF, LDHA, ENO1, SAP30 |
200 |
HALLMARK_UNFOLDED_PROTEIN_RESPONSE | 1.00e-02 | 7.25 | 1.42 | 1.00e-01 | 5.00e-01 | 3PSAT1, EIF4EBP1, LSM4 |
113 |
HALLMARK_MYC_TARGETS_V1 | 4.35e-02 | 4.05 | 0.80 | 3.11e-01 | 1.00e+00 | 3RANBP1, LDHA, RAN |
200 |
HALLMARK_KRAS_SIGNALING_DN | 4.35e-02 | 4.05 | 0.80 | 3.11e-01 | 1.00e+00 | 3CALCB, COL2A1, TEX15 |
200 |
HALLMARK_FATTY_ACID_METABOLISM | 1.28e-01 | 3.34 | 0.39 | 6.16e-01 | 1.00e+00 | 2MIF, LDHA |
158 |
HALLMARK_G2M_CHECKPOINT | 1.85e-01 | 2.63 | 0.31 | 6.16e-01 | 1.00e+00 | 2TMPO, SAP30 |
200 |
HALLMARK_ESTROGEN_RESPONSE_EARLY | 1.85e-01 | 2.63 | 0.31 | 6.16e-01 | 1.00e+00 | 2KAZN, FOXC1 |
200 |
HALLMARK_ESTROGEN_RESPONSE_LATE | 1.85e-01 | 2.63 | 0.31 | 6.16e-01 | 1.00e+00 | 2CKB, FOXC1 |
200 |
HALLMARK_OXIDATIVE_PHOSPHORYLATION | 1.85e-01 | 2.63 | 0.31 | 6.16e-01 | 1.00e+00 | 2LDHA, LDHB |
200 |
HALLMARK_P53_PATHWAY | 1.85e-01 | 2.63 | 0.31 | 6.16e-01 | 1.00e+00 | 2SLC3A2, LDHB |
200 |
HALLMARK_NOTCH_SIGNALING | 1.20e-01 | 8.23 | 0.20 | 6.16e-01 | 1.00e+00 | 1SAP30 |
32 |
HALLMARK_REACTIVE_OXYGEN_SPECIES_PATHWAY | 1.77e-01 | 5.31 | 0.13 | 6.16e-01 | 1.00e+00 | 1PRDX1 |
49 |
HALLMARK_PROTEIN_SECRETION | 3.17e-01 | 2.68 | 0.07 | 9.92e-01 | 1.00e+00 | 1ATP7A |
96 |
HALLMARK_PEROXISOME | 3.39e-01 | 2.48 | 0.06 | 9.96e-01 | 1.00e+00 | 1PRDX1 |
104 |
HALLMARK_SPERMATOGENESIS | 4.15e-01 | 1.90 | 0.05 | 1.00e+00 | 1.00e+00 | 1PEBP1 |
135 |
HALLMARK_UV_RESPONSE_UP | 4.66e-01 | 1.62 | 0.04 | 1.00e+00 | 1.00e+00 | 1COL2A1 |
158 |
HALLMARK_MYOGENESIS | 5.47e-01 | 1.28 | 0.03 | 1.00e+00 | 1.00e+00 | 1CKB |
200 |
Dowload full table
KEGG Pathways:
P-value | OR | Lower 95% CI | FDR | FWER | Genes Found | Gene Set Size | |
---|---|---|---|---|---|---|---|
KEGG_RNA_DEGRADATION | 1.63e-03 | 14.24 | 2.75 | 1.75e-01 | 3.04e-01 | 3ENO1, EXOSC8, LSM4 |
59 |
KEGG_GLYCOLYSIS_GLUCONEOGENESIS | 1.88e-03 | 13.52 | 2.62 | 1.75e-01 | 3.50e-01 | 3LDHA, ENO1, LDHB |
62 |
KEGG_PROPANOATE_METABOLISM | 7.55e-03 | 16.78 | 1.89 | 3.72e-01 | 1.00e+00 | 2LDHA, LDHB |
33 |
KEGG_CYSTEINE_AND_METHIONINE_METABOLISM | 8.00e-03 | 16.26 | 1.84 | 3.72e-01 | 1.00e+00 | 2LDHA, LDHB |
34 |
KEGG_PYRUVATE_METABOLISM | 1.10e-02 | 13.70 | 1.56 | 4.07e-01 | 1.00e+00 | 2LDHA, LDHB |
40 |
KEGG_PHENYLALANINE_METABOLISM | 6.93e-02 | 14.99 | 0.35 | 1.00e+00 | 1.00e+00 | 1MIF |
18 |
KEGG_GLYCINE_SERINE_AND_THREONINE_METABOLISM | 1.16e-01 | 8.50 | 0.20 | 1.00e+00 | 1.00e+00 | 1PSAT1 |
31 |
KEGG_TYROSINE_METABOLISM | 1.54e-01 | 6.22 | 0.15 | 1.00e+00 | 1.00e+00 | 1MIF |
42 |
KEGG_MTOR_SIGNALING_PATHWAY | 1.87e-01 | 5.00 | 0.12 | 1.00e+00 | 1.00e+00 | 1EIF4EBP1 |
52 |
KEGG_ARGININE_AND_PROLINE_METABOLISM | 1.94e-01 | 4.81 | 0.12 | 1.00e+00 | 1.00e+00 | 1CKB |
54 |
KEGG_ACUTE_MYELOID_LEUKEMIA | 2.03e-01 | 4.55 | 0.11 | 1.00e+00 | 1.00e+00 | 1EIF4EBP1 |
57 |
KEGG_LEISHMANIA_INFECTION | 2.49e-01 | 3.59 | 0.09 | 1.00e+00 | 1.00e+00 | 1MARCKSL1 |
72 |
KEGG_PEROXISOME | 2.67e-01 | 3.31 | 0.08 | 1.00e+00 | 1.00e+00 | 1PRDX1 |
78 |
KEGG_ECM_RECEPTOR_INTERACTION | 2.84e-01 | 3.07 | 0.08 | 1.00e+00 | 1.00e+00 | 1COL2A1 |
84 |
KEGG_ERBB_SIGNALING_PATHWAY | 2.93e-01 | 2.97 | 0.07 | 1.00e+00 | 1.00e+00 | 1EIF4EBP1 |
87 |
KEGG_RIBOSOME | 2.95e-01 | 2.93 | 0.07 | 1.00e+00 | 1.00e+00 | 1RPL13 |
88 |
KEGG_FC_GAMMA_R_MEDIATED_PHAGOCYTOSIS | 3.17e-01 | 2.68 | 0.07 | 1.00e+00 | 1.00e+00 | 1MARCKSL1 |
96 |
KEGG_SPLICEOSOME | 3.96e-01 | 2.02 | 0.05 | 1.00e+00 | 1.00e+00 | 1LSM4 |
127 |
KEGG_INSULIN_SIGNALING_PATHWAY | 4.20e-01 | 1.88 | 0.05 | 1.00e+00 | 1.00e+00 | 1EIF4EBP1 |
137 |
KEGG_FOCAL_ADHESION | 5.45e-01 | 1.29 | 0.03 | 1.00e+00 | 1.00e+00 | 1COL2A1 |
199 |
Dowload full table
CHR Positional Gene Sets:
P-value | OR | Lower 95% CI | FDR | FWER | Genes Found | Gene Set Size | |
---|---|---|---|---|---|---|---|
chr16q24 | 1.45e-02 | 6.28 | 1.23 | 1.00e+00 | 1.00e+00 | 3RPL13, DEF8, TRAPPC2L |
130 |
chr12q21 | 9.06e-02 | 4.13 | 0.48 | 1.00e+00 | 1.00e+00 | 2CSRP2, PAWR |
128 |
chr1p36 | 7.38e-01 | 1.22 | 0.24 | 1.00e+00 | 1.00e+00 | 3KDM1A, ENO1, KAZN |
656 |
chr1p34 | 2.91e-01 | 1.91 | 0.22 | 1.00e+00 | 1.00e+00 | 2PRDX1, YBX1 |
275 |
chr22q11 | 6.61e-01 | 1.36 | 0.16 | 1.00e+00 | 1.00e+00 | 2RANBP1, MIF |
384 |
chr12q24 | 6.63e-01 | 1.34 | 0.16 | 1.00e+00 | 1.00e+00 | 2RAN, PEBP1 |
390 |
chr10p14 | 1.71e-01 | 5.54 | 0.13 | 1.00e+00 | 1.00e+00 | 1PROSER2 |
47 |
chr6q13 | 2.00e-01 | 4.64 | 0.11 | 1.00e+00 | 1.00e+00 | 1COL9A1 |
56 |
chr8p12 | 2.34e-01 | 3.86 | 0.09 | 1.00e+00 | 1.00e+00 | 1TEX15 |
67 |
chr13q13 | 2.67e-01 | 3.31 | 0.08 | 1.00e+00 | 1.00e+00 | 1EXOSC8 |
78 |
chr6p25 | 2.78e-01 | 3.15 | 0.08 | 1.00e+00 | 1.00e+00 | 1FOXC1 |
82 |
chr8p11 | 3.15e-01 | 2.71 | 0.07 | 1.00e+00 | 1.00e+00 | 1EIF4EBP1 |
95 |
chr16q23 | 3.39e-01 | 2.48 | 0.06 | 1.00e+00 | 1.00e+00 | 1GCSH |
104 |
chr12p12 | 3.46e-01 | 2.41 | 0.06 | 1.00e+00 | 1.00e+00 | 1LDHB |
107 |
chr9q31 | 3.99e-01 | 2.01 | 0.05 | 1.00e+00 | 1.00e+00 | 1TMEFF1 |
128 |
chr1p22 | 4.01e-01 | 1.99 | 0.05 | 1.00e+00 | 1.00e+00 | 1SYDE2 |
129 |
chr1p35 | 4.03e-01 | 1.98 | 0.05 | 1.00e+00 | 1.00e+00 | 1MARCKSL1 |
130 |
chrXq21 | 4.17e-01 | 1.89 | 0.05 | 1.00e+00 | 1.00e+00 | 1ATP7A |
136 |
chr12q23 | 4.38e-01 | 1.77 | 0.04 | 1.00e+00 | 1.00e+00 | 1TMPO |
145 |
chr7q21 | 4.78e-01 | 1.56 | 0.04 | 1.00e+00 | 1.00e+00 | 1PEG10 |
164 |
Dowload full table
Transcription Factor Targets:
P-value | OR | Lower 95% CI | FDR | FWER | Genes Found | Gene Set Size | |
---|---|---|---|---|---|---|---|
ETF_Q6 | 1.15e-02 | 6.88 | 1.35 | 1.00e+00 | 1.00e+00 | 3YBX1, KDM1A, MARCKSL1 |
119 |
EPC1_TARGET_GENES | 1.03e-02 | 5.08 | 1.32 | 1.00e+00 | 1.00e+00 | 4RANBP1, YBX1, SLC3A2, LDHB |
218 |
HIF1_Q3 | 1.34e-02 | 4.69 | 1.21 | 1.00e+00 | 1.00e+00 | 4YBX1, LDHA, ENO1, GCSH |
236 |
HIF1_Q5 | 1.60e-02 | 4.44 | 1.15 | 1.00e+00 | 1.00e+00 | 4YBX1, LDHA, ENO1, MARCKSL1 |
249 |
PCGF1_TARGET_GENES | 1.71e-02 | 3.16 | 1.09 | 1.00e+00 | 1.00e+00 | 6RANBP1, LDHA, CKB, DEF8, GCSH, SYDE2 |
546 |
ATXN7L3_TARGET_GENES | 2.36e-02 | 3.92 | 1.02 | 1.00e+00 | 1.00e+00 | 4RPL13, LDHA, SLC3A2, ENO1 |
281 |
E2F_01 | 2.97e-02 | 7.89 | 0.91 | 1.00e+00 | 1.00e+00 | 2RANBP1, MARCKSL1 |
68 |
MYC_Q2 | 3.69e-02 | 4.34 | 0.86 | 1.00e+00 | 1.00e+00 | 3COL2A1, YBX1, LDHA |
187 |
NR1I2_TARGET_GENES | 4.31e-02 | 3.22 | 0.84 | 1.00e+00 | 1.00e+00 | 4CSRP2, KDM1A, SLC3A2, ENO1 |
342 |
GTF2A2_TARGET_GENES | 4.84e-02 | 2.69 | 0.83 | 1.00e+00 | 1.00e+00 | 5PRDX1, RPL13, LDHA, SLC3A2, TMPO |
522 |
JDP2_TARGET_GENES | 1.43e-01 | 1.66 | 0.74 | 1.00e+00 | 1.00e+00 | 10RANBP1, MIF, LDHA, SLC3A2, ENO1, SAP30, EXOSC8, RAN, ATP7A, NUTF2 |
1891 |
UBN1_TARGET_GENES | 2.78e-01 | 1.55 | 0.66 | 1.00e+00 | 1.00e+00 | 9PRDX1, KDM1A, RPL13, LDHA, ENO1, SAP30, PSAT1, LSM4, FOXC1 |
1779 |
E2F_Q6_01 | 6.85e-02 | 3.34 | 0.66 | 1.00e+00 | 1.00e+00 | 3RANBP1, MARCKSL1, NUTF2 |
242 |
KAT5_TARGET_GENES | 1.49e-01 | 1.89 | 0.66 | 1.00e+00 | 1.00e+00 | 6RANBP1, PRDX1, RPL13, SLC3A2, LDHB, RAN |
910 |
E2F_03 | 7.32e-02 | 3.24 | 0.64 | 1.00e+00 | 1.00e+00 | 3RANBP1, MARCKSL1, NUTF2 |
249 |
KDM7A_TARGET_GENES | 2.85e-01 | 1.50 | 0.64 | 1.00e+00 | 1.00e+00 | 9RANBP1, YBX1, MIF, SLC3A2, ENO1, SAP30, LDHB, TRAPPC2L, PAWR |
1840 |
USF2_Q6 | 7.66e-02 | 3.18 | 0.63 | 1.00e+00 | 1.00e+00 | 3COL2A1, YBX1, LDHA |
254 |
ZIC3_01 | 7.73e-02 | 3.17 | 0.63 | 1.00e+00 | 1.00e+00 | 3CALCB, MARCKSL1, KAZN |
255 |
TATA_01 | 7.80e-02 | 3.15 | 0.62 | 1.00e+00 | 1.00e+00 | 3PRDX1, CKB, TMPO |
256 |
T3R_Q6 | 7.80e-02 | 3.15 | 0.62 | 1.00e+00 | 1.00e+00 | 3RANBP1, LDHB, FOXC1 |
256 |
Dowload full table
GO Biological Processes:
P-value | OR | Lower 95% CI | FDR | FWER | Genes Found | Gene Set Size | |
---|---|---|---|---|---|---|---|
GOBP_POSITIVE_REGULATION_OF_CELL_SIZE | 6.85e-04 | 64.86 | 6.55 | 1.00e+00 | 1.00e+00 | 2KDM1A, ATP7A |
10 |
GOBP_NEGATIVE_REGULATION_OF_DNA_DAMAGE_RESPONSE_SIGNAL_TRANSDUCTION_BY_P53_CLASS_MEDIATOR | 1.58e-03 | 39.95 | 4.27 | 1.00e+00 | 1.00e+00 | 2KDM1A, MIF |
15 |
GOBP_REGULATION_OF_INTRINSIC_APOPTOTIC_SIGNALING_PATHWAY_IN_RESPONSE_TO_DNA_DAMAGE_BY_P53_CLASS_MEDIATOR | 2.03e-03 | 34.68 | 3.75 | 1.00e+00 | 1.00e+00 | 2KDM1A, MIF |
17 |
GOBP_COLLAGEN_FIBRIL_ORGANIZATION | 1.26e-03 | 15.63 | 3.02 | 1.00e+00 | 1.00e+00 | 3COL2A1, ATP7A, FOXC1 |
54 |
GOBP_NEGATIVE_REGULATION_OF_INTRINSIC_APOPTOTIC_SIGNALING_PATHWAY_BY_P53_CLASS_MEDIATOR | 3.10e-03 | 27.37 | 3.01 | 1.00e+00 | 1.00e+00 | 2KDM1A, MIF |
21 |
GOBP_REGULATION_OF_CELL_AGING | 1.71e-03 | 13.99 | 2.71 | 1.00e+00 | 1.00e+00 | 3YBX1, MIF, PAWR |
60 |
GOBP_CELLULAR_RESPONSE_TO_OXYGEN_RADICAL | 4.39e-03 | 22.60 | 2.52 | 1.00e+00 | 1.00e+00 | 2PRDX1, ATP7A |
25 |
GOBP_REPLACEMENT_OSSIFICATION | 5.48e-03 | 20.00 | 2.24 | 1.00e+00 | 1.00e+00 | 2COL2A1, FOXC1 |
28 |
GOBP_NEGATIVE_REGULATION_OF_CELL_AGING | 5.48e-03 | 20.00 | 2.24 | 1.00e+00 | 1.00e+00 | 2YBX1, MIF |
28 |
GOBP_REGULATION_OF_INTRINSIC_APOPTOTIC_SIGNALING_PATHWAY_BY_P53_CLASS_MEDIATOR | 5.48e-03 | 20.00 | 2.24 | 1.00e+00 | 1.00e+00 | 2KDM1A, MIF |
28 |
GOBP_RESPONSE_TO_OXYGEN_RADICAL | 5.87e-03 | 19.27 | 2.16 | 1.00e+00 | 1.00e+00 | 2PRDX1, ATP7A |
29 |
GOBP_NEGATIVE_REGULATION_OF_INTRINSIC_APOPTOTIC_SIGNALING_PATHWAY_IN_RESPONSE_TO_DNA_DAMAGE | 6.27e-03 | 18.58 | 2.09 | 1.00e+00 | 1.00e+00 | 2KDM1A, MIF |
30 |
GOBP_NEGATIVE_REGULATION_OF_SIGNAL_TRANSDUCTION_BY_P53_CLASS_MEDIATOR | 6.69e-03 | 17.94 | 2.02 | 1.00e+00 | 1.00e+00 | 2KDM1A, MIF |
31 |
GOBP_REGULATION_OF_DNA_DAMAGE_RESPONSE_SIGNAL_TRANSDUCTION_BY_P53_CLASS_MEDIATOR | 8.00e-03 | 16.26 | 1.84 | 1.00e+00 | 1.00e+00 | 2KDM1A, MIF |
34 |
GOBP_NUCLEAR_TRANSCRIBED_MRNA_CATABOLIC_PROCESS_EXONUCLEOLYTIC | 8.47e-03 | 15.77 | 1.78 | 1.00e+00 | 1.00e+00 | 2EXOSC8, LSM4 |
35 |
GOBP_NEGATIVE_REGULATION_OF_INTRINSIC_APOPTOTIC_SIGNALING_PATHWAY | 6.24e-03 | 8.67 | 1.70 | 1.00e+00 | 1.00e+00 | 3KDM1A, MIF, ENO1 |
95 |
GOBP_TRNA_TRANSPORT | 9.43e-03 | 14.87 | 1.69 | 1.00e+00 | 1.00e+00 | 2YBX1, RAN |
37 |
GOBP_REGULATION_OF_INTRINSIC_APOPTOTIC_SIGNALING_PATHWAY_IN_RESPONSE_TO_DNA_DAMAGE | 9.43e-03 | 14.87 | 1.69 | 1.00e+00 | 1.00e+00 | 2KDM1A, MIF |
37 |
GOBP_METENCEPHALON_DEVELOPMENT | 7.38e-03 | 8.14 | 1.59 | 1.00e+00 | 1.00e+00 | 3CKB, ATP7A, FOXC1 |
101 |
GOBP_POSITIVE_REGULATION_OF_PROTEIN_IMPORT | 1.10e-02 | 13.70 | 1.56 | 1.00e+00 | 1.00e+00 | 2RAN, NUTF2 |
40 |
Dowload full table
Immunological Gene Sets:
P-value | OR | Lower 95% CI | FDR | FWER | Genes Found | Gene Set Size | |
---|---|---|---|---|---|---|---|
GSE2405_0H_VS_9H_A_PHAGOCYTOPHILUM_STIM_NEUTROPHIL_DN | 1.19e-05 | 10.54 | 3.95 | 5.79e-02 | 5.79e-02 | 7PRDX1, YBX1, RPL13, LDHA, LDHB, RAN, NUTF2 |
200 |
GSE12845_IGD_NEG_BLOOD_VS_DARKZONE_GC_TONSIL_BCELL_DN | 1.20e-04 | 8.83 | 3.04 | 8.61e-02 | 5.86e-01 | 6RANBP1, YBX1, KDM1A, MARCKSL1, PEG10, NUTF2 |
199 |
GSE28726_NAIVE_VS_ACTIVATED_CD4_TCELL_DN | 1.20e-04 | 8.83 | 3.04 | 8.61e-02 | 5.86e-01 | 6PRDX1, MIF, LDHA, ENO1, SAP30, LSM4 |
199 |
GSE15930_NAIVE_VS_48H_IN_VITRO_STIM_CD8_TCELL_DN | 1.24e-04 | 8.78 | 3.02 | 8.61e-02 | 6.03e-01 | 6PRDX1, TMPO, MARCKSL1, PEBP1, PSAT1, NUTF2 |
200 |
GSE28726_NAIVE_CD4_TCELL_VS_NAIVE_VA24NEG_NKTCELL_UP | 1.24e-04 | 8.78 | 3.02 | 8.61e-02 | 6.03e-01 | 6PRDX1, MIF, LDHA, ENO1, SAP30, EIF4EBP1 |
200 |
GSE24574_BCL6_HIGH_VS_LOW_TFH_CD4_TCELL_DN | 1.24e-04 | 8.78 | 3.02 | 8.61e-02 | 6.03e-01 | 6PRDX1, MIF, LDHA, ENO1, TMPO, NUTF2 |
200 |
GSE41978_ID2_KO_VS_ID2_KO_AND_BIM_KO_KLRG1_LOW_EFFECTOR_CD8_TCELL_DN | 1.24e-04 | 8.78 | 3.02 | 8.61e-02 | 6.03e-01 | 6YBX1, MIF, RPL13, LDHA, ENO1, PEBP1 |
200 |
GSE21360_SECONDARY_VS_QUATERNARY_MEMORY_CD8_TCELL_DN | 4.46e-04 | 8.73 | 2.67 | 2.71e-01 | 1.00e+00 | 5MIF, TMEFF1, LDHA, ENO1, EIF4EBP1 |
164 |
GSE3982_EOSINOPHIL_VS_TH2_DN | 1.03e-03 | 7.19 | 2.20 | 3.09e-01 | 1.00e+00 | 5LDHA, ENO1, EXOSC8, RAN, LSM4 |
198 |
GSE37301_LYMPHOID_PRIMED_MPP_VS_RAG2_KO_NK_CELL_UP | 1.06e-03 | 7.16 | 2.19 | 3.09e-01 | 1.00e+00 | 5LDHA, CKB, ENO1, LDHB, RAN |
199 |
GSE13306_RA_VS_UNTREATED_MEM_CD4_TCELL_DN | 1.08e-03 | 7.12 | 2.18 | 3.09e-01 | 1.00e+00 | 5SLC3A2, ENO1, EXOSC8, MARCKSL1, EIF4EBP1 |
200 |
GSE20366_TREG_VS_NAIVE_CD4_TCELL_HOMEOSTATIC_CONVERSION_UP | 1.08e-03 | 7.12 | 2.18 | 3.09e-01 | 1.00e+00 | 5RANBP1, CSRP2, MIF, EXOSC8, FOXC1 |
200 |
GSE3337_4H_VS_16H_IFNG_IN_CD8POS_DC_UP | 1.08e-03 | 7.12 | 2.18 | 3.09e-01 | 1.00e+00 | 5LDHA, RAN, PEBP1, EIF4EBP1, LSM4 |
200 |
GSE3982_EOSINOPHIL_VS_TH1_DN | 1.08e-03 | 7.12 | 2.18 | 3.09e-01 | 1.00e+00 | 5PRDX1, ENO1, LDHB, RAN, LSM4 |
200 |
GSE21927_SPLEEN_C57BL6_VS_EL4_TUMOR_BALBC_MONOCYTES_DN | 1.08e-03 | 7.12 | 2.18 | 3.09e-01 | 1.00e+00 | 5YBX1, MIF, DEF8, PSAT1, LSM4 |
200 |
GSE28726_NAIVE_VS_ACTIVATED_VA24NEG_NKTCELL_UP | 1.08e-03 | 7.12 | 2.18 | 3.09e-01 | 1.00e+00 | 5PRDX1, YBX1, MIF, ENO1, NUTF2 |
200 |
GSE24574_NAIVE_VS_TCONV_CD4_TCELL_DN | 1.08e-03 | 7.12 | 2.18 | 3.09e-01 | 1.00e+00 | 5MIF, SLC3A2, ENO1, EXOSC8, NUTF2 |
200 |
GSE14415_INDUCED_TREG_VS_FAILED_INDUCED_TREG_UP | 5.90e-03 | 6.00 | 1.55 | 6.95e-01 | 1.00e+00 | 4RANBP1, PRDX1, LDHA, TEX15 |
185 |
GSE17974_0.5H_VS_72H_IL4_AND_ANTI_IL12_ACT_CD4_TCELL_DN | 7.20e-03 | 5.66 | 1.47 | 6.95e-01 | 1.00e+00 | 4CSRP2, LDHA, ENO1, RAN |
196 |
GSE37416_CTRL_VS_6H_F_TULARENSIS_LVS_NEUTROPHIL_DN | 7.20e-03 | 5.66 | 1.47 | 6.95e-01 | 1.00e+00 | 4MIF, LDHA, ENO1, SAP30 |
196 |
Top Ranked Transcription Factors for this Gene Expression Program:
Gene Symbol | TF Rank | DNA Binding Domain | Motif Status | IUPAC PWM | GTEx | DepMap | Decartes |
---|---|---|---|---|---|---|---|
HIST1H1E | 1 | No | Unlikely to be sequence specific TF | Low specificity DNA-binding protein | No motif | None | Binds DNA as heteromultimeric complex |
HIST1H1B | 2 | No | Unlikely to be sequence specific TF | Low specificity DNA-binding protein | No motif | None | Linker histone. To my knowledge there has been no demonstration of sequence specificity of linker histones, so I think this one should be called unlikely. |
HIST1H1C | 5 | No | Unlikely to be sequence specific TF | Low specificity DNA-binding protein | No motif | None | None |
YBX1 | 10 | Yes | Known motif | Monomer or homomultimer | High-throughput in vitro | None | Might also bind RNA |
KDM1A | 12 | No | Unlikely to be sequence specific TF | Low specificity DNA-binding protein | No motif | None | Affects transcription by histone modification |
ENO1 | 23 | No | Unlikely to be sequence specific TF | Not a DNA binding protein | No motif | Only known motifs are from Transfac or HocoMoco - origin is uncertain | Enolase - DNA binding not shown to be direct |
PAWR | 42 | No | Unlikely to be sequence specific TF | Not a DNA binding protein | No motif | None | Protein that binds to several TFs such as PITX2 (PMID: 19801652) and appears to inactivate them |
FOXC1 | 50 | Yes | Known motif | Monomer or homomultimer | High-throughput in vitro | None | None |
LEF1 | 55 | Yes | Known motif | Monomer or homomultimer | High-throughput in vitro | None | None |
PARK7 | 60 | No | Unlikely to be sequence specific TF | Not a DNA binding protein | No motif | None | Operates upstream in the signaling cascade |
ID3 | 64 | No | Unlikely to be sequence specific TF | Not a DNA binding protein | No motif | None | ID bHLH proteins lack the basic region and should not be able to bind DNA. The HT-SELEX motif for ID4 is likely by a co-precipitated protein or it is a contamination |
SMARCB1 | 65 | No | Unlikely to be sequence specific TF | Low specificity DNA-binding protein | No motif | None | Alias INI1 is a minor groove DNA-binding protein (PMID: 19398554) |
UBE2V1 | 80 | No | Unlikely to be sequence specific TF | Not a DNA binding protein | No motif | None | Ubiquitin ligase |
HNRNPDL | 96 | No | ssDNA/RNA binding | Not a DNA binding protein | No motif | None | Protein is a well established RBP |
HIST1H1D | 100 | No | Unlikely to be sequence specific TF | Low specificity DNA-binding protein | No motif | None | Linker histone that binds DNA as heteromeric complex with the other histone proteins |
HMGN3 | 102 | Yes | Likely to be sequence specific TF | Low specificity DNA-binding protein | No motif | None | None |
CDKN2A | 105 | No | Unlikely to be sequence specific TF | Not a DNA binding protein | No motif | None | Protein binds to and inactivates NFKB1 (PMID: 10353611) |
PA2G4 | 109 | Yes | Likely to be sequence specific TF | Monomer or homomultimer | No motif | None | Binds CGGCAAAAAGG repeats based on EMSA performed with recombinant E.Coli expressed protein (PMID: 1507318) |
TBX3 | 112 | Yes | Known motif | Monomer or homomultimer | High-throughput in vitro | None | None |
ID4 | 113 | No | Unlikely to be sequence specific TF | Not a DNA binding protein | No motif | None | ID bHLH proteins lack the basic region and should not be able to bind DNA. The HT-SELEX motif for ID4 is likely by a co-precipitated protein or it is a contamination |
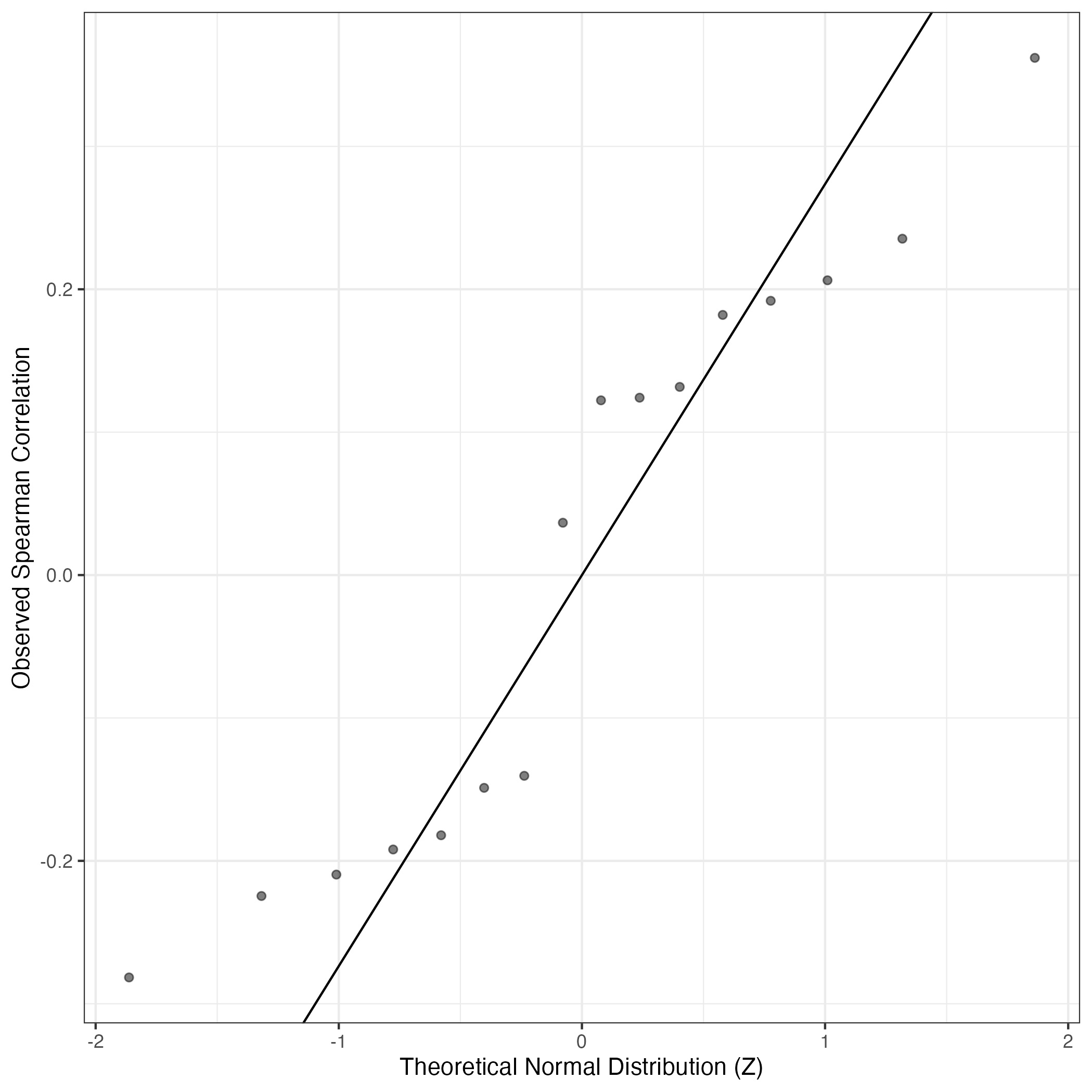
QQ Plot showing correlations with other Gene Expression Programs in this dataset, calculated by Spearman correlation:
Interactive QQ-plot of gene loadings:
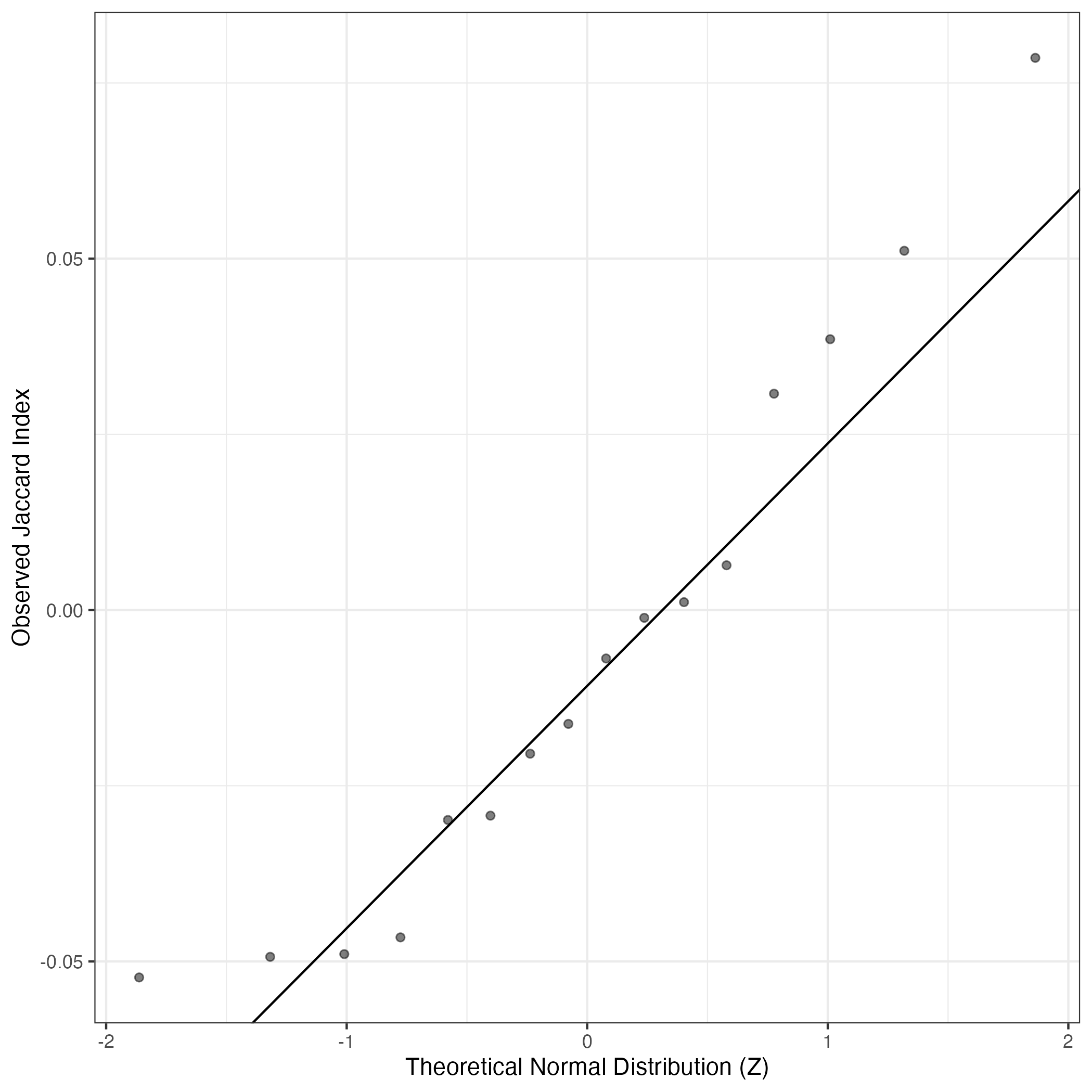
A similar QQ-plot as above, but only for instances where the H value is e.g. > 25, i.e. we are confident that the expression program is active above noise. Agreemenet between these binary vectors is tested using the Jaccard Index, with the P-values calculated by an exact test:
Interactive QQ-plot:
Singler cell type annotations for the top 50 cells on this program.
Cell ID | Singler label | Singler Delta | Activity Score | Top Singler Raw Scores |
---|---|---|---|---|
TGW_TCAGTCCGTCAAGCCC-1 | Neurons | 0.28 | 398.56 | Raw ScoresNeurons:adrenal_medulla_cell_line: 0.64, Neuroepithelial_cell:ESC-derived: 0.6, iPS_cells:PDB_1lox-21Puro-20: 0.58, iPS_cells:PDB_1lox-21Puro-26: 0.58, iPS_cells:PDB_1lox-17Puro-10: 0.57, iPS_cells:PDB_2lox-22: 0.57, iPS_cells:PDB_1lox-17Puro-5: 0.57, iPS_cells:PDB_2lox-21: 0.56, iPS_cells:PDB_2lox-17: 0.56, Embryonic_stem_cells: 0.56 |
TGW_CACGGGTGTCAGTCCG-1 | Neurons | 0.27 | 395.22 | Raw ScoresNeurons:adrenal_medulla_cell_line: 0.64, Neuroepithelial_cell:ESC-derived: 0.61, iPS_cells:PDB_1lox-21Puro-20: 0.58, iPS_cells:PDB_1lox-21Puro-26: 0.58, iPS_cells:PDB_1lox-17Puro-10: 0.58, iPS_cells:PDB_2lox-22: 0.57, iPS_cells:PDB_1lox-17Puro-5: 0.57, iPS_cells:PDB_2lox-17: 0.57, iPS_cells:PDB_2lox-21: 0.57, Embryonic_stem_cells: 0.56 |
TGW_TCCTCTTCACACGCCA-1 | Neurons | 0.28 | 348.35 | Raw ScoresNeurons:adrenal_medulla_cell_line: 0.64, Neuroepithelial_cell:ESC-derived: 0.6, iPS_cells:PDB_1lox-21Puro-20: 0.57, iPS_cells:PDB_1lox-21Puro-26: 0.57, iPS_cells:PDB_1lox-17Puro-10: 0.57, iPS_cells:PDB_2lox-22: 0.56, iPS_cells:PDB_1lox-17Puro-5: 0.56, iPS_cells:PDB_2lox-21: 0.56, iPS_cells:PDB_2lox-17: 0.56, Embryonic_stem_cells: 0.56 |
TGW_CGGACACTCCTACCAC-1 | Neurons | 0.28 | 342.91 | Raw ScoresNeurons:adrenal_medulla_cell_line: 0.65, Neuroepithelial_cell:ESC-derived: 0.6, iPS_cells:PDB_1lox-21Puro-20: 0.59, iPS_cells:PDB_1lox-21Puro-26: 0.59, iPS_cells:PDB_1lox-17Puro-10: 0.59, iPS_cells:PDB_2lox-22: 0.58, iPS_cells:PDB_1lox-17Puro-5: 0.58, iPS_cells:PDB_2lox-21: 0.58, iPS_cells:PDB_2lox-17: 0.58, Embryonic_stem_cells: 0.57 |
TGW_ACATGCAAGCGCCTCA-1 | Neurons | 0.30 | 342.18 | Raw ScoresNeurons:adrenal_medulla_cell_line: 0.66, Neuroepithelial_cell:ESC-derived: 0.61, iPS_cells:PDB_1lox-21Puro-20: 0.58, iPS_cells:PDB_1lox-21Puro-26: 0.58, iPS_cells:PDB_1lox-17Puro-10: 0.58, iPS_cells:PDB_1lox-17Puro-5: 0.57, iPS_cells:PDB_2lox-22: 0.57, iPS_cells:PDB_2lox-21: 0.56, iPS_cells:PDB_2lox-17: 0.56, Embryonic_stem_cells: 0.56 |
TGW_GGGACCTGTGCACAAG-1 | Neurons | 0.29 | 334.82 | Raw ScoresNeurons:adrenal_medulla_cell_line: 0.66, Neuroepithelial_cell:ESC-derived: 0.61, iPS_cells:PDB_1lox-21Puro-20: 0.59, iPS_cells:PDB_1lox-21Puro-26: 0.59, iPS_cells:PDB_2lox-22: 0.59, iPS_cells:PDB_1lox-17Puro-10: 0.59, iPS_cells:PDB_1lox-17Puro-5: 0.58, iPS_cells:PDB_2lox-21: 0.58, iPS_cells:PDB_2lox-17: 0.58, iPS_cells:PDB_2lox-5: 0.57 |
TGW_TTGACCCGTCGTACTA-1 | Neurons | 0.28 | 333.36 | Raw ScoresNeurons:adrenal_medulla_cell_line: 0.64, Neuroepithelial_cell:ESC-derived: 0.59, iPS_cells:PDB_1lox-21Puro-20: 0.57, iPS_cells:PDB_1lox-21Puro-26: 0.56, iPS_cells:PDB_2lox-22: 0.56, iPS_cells:PDB_1lox-17Puro-10: 0.56, iPS_cells:PDB_1lox-17Puro-5: 0.56, iPS_cells:PDB_2lox-17: 0.56, iPS_cells:PDB_2lox-21: 0.56, iPS_cells:PDB_2lox-5: 0.55 |
TGW_TGATGGTTCCTACTGC-1 | Neurons | 0.29 | 308.19 | Raw ScoresNeurons:adrenal_medulla_cell_line: 0.65, Neuroepithelial_cell:ESC-derived: 0.6, iPS_cells:PDB_1lox-21Puro-20: 0.58, iPS_cells:PDB_1lox-21Puro-26: 0.58, iPS_cells:PDB_1lox-17Puro-10: 0.57, iPS_cells:PDB_2lox-22: 0.57, iPS_cells:PDB_1lox-17Puro-5: 0.57, iPS_cells:PDB_2lox-21: 0.57, iPS_cells:PDB_2lox-17: 0.57, Embryonic_stem_cells: 0.56 |
TGW_TAACCAGAGACTCTAC-1 | Neurons | 0.29 | 291.22 | Raw ScoresNeurons:adrenal_medulla_cell_line: 0.65, Neuroepithelial_cell:ESC-derived: 0.61, iPS_cells:PDB_1lox-21Puro-20: 0.59, iPS_cells:PDB_1lox-21Puro-26: 0.59, iPS_cells:PDB_1lox-17Puro-10: 0.58, iPS_cells:PDB_2lox-22: 0.58, iPS_cells:PDB_1lox-17Puro-5: 0.58, iPS_cells:PDB_2lox-17: 0.57, iPS_cells:PDB_2lox-21: 0.57, Embryonic_stem_cells: 0.57 |
TGW_ATTTACCAGCGTATAA-1 | Neurons | 0.28 | 282.99 | Raw ScoresNeurons:adrenal_medulla_cell_line: 0.64, Neuroepithelial_cell:ESC-derived: 0.6, iPS_cells:PDB_1lox-21Puro-20: 0.58, iPS_cells:PDB_1lox-21Puro-26: 0.57, iPS_cells:PDB_1lox-17Puro-10: 0.57, iPS_cells:PDB_2lox-22: 0.57, iPS_cells:PDB_1lox-17Puro-5: 0.57, iPS_cells:PDB_2lox-17: 0.56, iPS_cells:PDB_2lox-21: 0.56, Embryonic_stem_cells: 0.56 |
TGW_TGCTGAACAAACTGCT-1 | Neurons | 0.28 | 275.51 | Raw ScoresNeurons:adrenal_medulla_cell_line: 0.64, Neuroepithelial_cell:ESC-derived: 0.6, iPS_cells:PDB_1lox-21Puro-20: 0.58, iPS_cells:PDB_1lox-21Puro-26: 0.58, iPS_cells:PDB_1lox-17Puro-10: 0.57, iPS_cells:PDB_2lox-22: 0.57, iPS_cells:PDB_1lox-17Puro-5: 0.57, iPS_cells:PDB_2lox-17: 0.57, iPS_cells:PDB_2lox-21: 0.56, Embryonic_stem_cells: 0.56 |
TGW_TGCGGCACACAGCCTG-1 | Neurons | 0.29 | 270.44 | Raw ScoresNeurons:adrenal_medulla_cell_line: 0.65, Neuroepithelial_cell:ESC-derived: 0.61, iPS_cells:PDB_1lox-21Puro-20: 0.59, iPS_cells:PDB_1lox-21Puro-26: 0.58, iPS_cells:PDB_1lox-17Puro-10: 0.58, iPS_cells:PDB_2lox-22: 0.58, iPS_cells:PDB_1lox-17Puro-5: 0.58, iPS_cells:PDB_2lox-21: 0.57, iPS_cells:PDB_2lox-17: 0.57, Embryonic_stem_cells: 0.57 |
TGW_GAGGCAAAGTCCTGCG-1 | Neurons | 0.29 | 257.64 | Raw ScoresNeurons:adrenal_medulla_cell_line: 0.65, Neuroepithelial_cell:ESC-derived: 0.6, iPS_cells:PDB_1lox-21Puro-20: 0.57, iPS_cells:PDB_1lox-21Puro-26: 0.57, iPS_cells:PDB_1lox-17Puro-10: 0.57, iPS_cells:PDB_2lox-22: 0.57, iPS_cells:PDB_1lox-17Puro-5: 0.56, iPS_cells:PDB_2lox-17: 0.56, iPS_cells:PDB_2lox-21: 0.56, iPS_cells:PDB_2lox-5: 0.56 |
TGW_CATCGTCTCCTTCTAA-1 | Neurons | 0.27 | 255.50 | Raw ScoresNeurons:adrenal_medulla_cell_line: 0.62, Neuroepithelial_cell:ESC-derived: 0.58, iPS_cells:PDB_1lox-21Puro-20: 0.56, iPS_cells:PDB_1lox-21Puro-26: 0.56, iPS_cells:PDB_2lox-22: 0.55, iPS_cells:PDB_1lox-17Puro-10: 0.55, iPS_cells:PDB_1lox-17Puro-5: 0.55, iPS_cells:PDB_2lox-17: 0.55, iPS_cells:PDB_2lox-21: 0.55, Embryonic_stem_cells: 0.54 |
TGW_CGCATGGGTTCCGCGA-1 | Neurons | 0.29 | 255.42 | Raw ScoresNeurons:adrenal_medulla_cell_line: 0.64, Neuroepithelial_cell:ESC-derived: 0.6, iPS_cells:PDB_1lox-21Puro-20: 0.58, iPS_cells:PDB_1lox-21Puro-26: 0.58, iPS_cells:PDB_1lox-17Puro-10: 0.57, iPS_cells:PDB_2lox-22: 0.57, iPS_cells:PDB_1lox-17Puro-5: 0.57, iPS_cells:PDB_2lox-21: 0.56, iPS_cells:PDB_2lox-17: 0.56, Embryonic_stem_cells: 0.55 |
TGW_GAAGAATTCAGGACGA-1 | Neurons | 0.28 | 251.29 | Raw ScoresNeurons:adrenal_medulla_cell_line: 0.64, Neuroepithelial_cell:ESC-derived: 0.6, iPS_cells:PDB_1lox-21Puro-20: 0.57, iPS_cells:PDB_1lox-21Puro-26: 0.57, iPS_cells:PDB_1lox-17Puro-10: 0.57, iPS_cells:PDB_2lox-22: 0.57, iPS_cells:PDB_1lox-17Puro-5: 0.56, iPS_cells:PDB_2lox-17: 0.56, iPS_cells:PDB_2lox-21: 0.56, iPS_cells:PDB_2lox-5: 0.55 |
TGW_TAACCAGCACCATATG-1 | Neurons | 0.28 | 247.25 | Raw ScoresNeurons:adrenal_medulla_cell_line: 0.64, Neuroepithelial_cell:ESC-derived: 0.59, iPS_cells:PDB_1lox-21Puro-20: 0.58, iPS_cells:PDB_1lox-21Puro-26: 0.57, iPS_cells:PDB_1lox-17Puro-10: 0.57, iPS_cells:PDB_2lox-22: 0.57, iPS_cells:PDB_1lox-17Puro-5: 0.57, iPS_cells:PDB_2lox-17: 0.56, iPS_cells:PDB_2lox-21: 0.56, Embryonic_stem_cells: 0.56 |
TGW_AACGGGAAGTGGACTG-1 | Neurons | 0.26 | 244.24 | Raw ScoresNeurons:adrenal_medulla_cell_line: 0.64, Neuroepithelial_cell:ESC-derived: 0.6, iPS_cells:PDB_1lox-21Puro-20: 0.58, iPS_cells:PDB_1lox-21Puro-26: 0.58, iPS_cells:PDB_1lox-17Puro-10: 0.58, iPS_cells:PDB_2lox-22: 0.57, iPS_cells:PDB_1lox-17Puro-5: 0.57, iPS_cells:PDB_2lox-21: 0.57, iPS_cells:PDB_2lox-17: 0.57, Embryonic_stem_cells: 0.56 |
TGW_TTAGTCTTCGCCACTT-1 | Neurons | 0.28 | 243.57 | Raw ScoresNeurons:adrenal_medulla_cell_line: 0.64, Neuroepithelial_cell:ESC-derived: 0.6, iPS_cells:PDB_1lox-21Puro-20: 0.58, iPS_cells:PDB_1lox-21Puro-26: 0.58, iPS_cells:PDB_1lox-17Puro-10: 0.57, iPS_cells:PDB_2lox-22: 0.57, iPS_cells:PDB_1lox-17Puro-5: 0.57, iPS_cells:PDB_2lox-21: 0.57, iPS_cells:PDB_2lox-17: 0.56, Embryonic_stem_cells: 0.56 |
TGW_GCATCGGGTCAATGGG-1 | Neurons | 0.27 | 243.45 | Raw ScoresNeurons:adrenal_medulla_cell_line: 0.63, Neuroepithelial_cell:ESC-derived: 0.59, iPS_cells:PDB_1lox-21Puro-20: 0.57, iPS_cells:PDB_1lox-21Puro-26: 0.56, iPS_cells:PDB_2lox-22: 0.56, iPS_cells:PDB_1lox-17Puro-10: 0.56, iPS_cells:PDB_1lox-17Puro-5: 0.56, iPS_cells:PDB_2lox-21: 0.56, iPS_cells:PDB_2lox-17: 0.55, Embryonic_stem_cells: 0.55 |
TGW_CAACGATCATGCCGGT-1 | Neurons | 0.28 | 242.50 | Raw ScoresNeurons:adrenal_medulla_cell_line: 0.63, Neuroepithelial_cell:ESC-derived: 0.59, iPS_cells:PDB_1lox-21Puro-20: 0.57, iPS_cells:PDB_1lox-21Puro-26: 0.57, iPS_cells:PDB_1lox-17Puro-10: 0.57, iPS_cells:PDB_2lox-22: 0.56, iPS_cells:PDB_1lox-17Puro-5: 0.56, iPS_cells:PDB_2lox-17: 0.56, Embryonic_stem_cells: 0.56, iPS_cells:PDB_2lox-21: 0.56 |
TGW_TGGGAGAAGGGAGGAC-1 | Neurons | 0.26 | 242.40 | Raw ScoresNeurons:adrenal_medulla_cell_line: 0.61, Neuroepithelial_cell:ESC-derived: 0.59, iPS_cells:PDB_1lox-21Puro-26: 0.57, iPS_cells:PDB_1lox-21Puro-20: 0.57, iPS_cells:PDB_1lox-17Puro-10: 0.57, iPS_cells:PDB_2lox-22: 0.56, iPS_cells:PDB_1lox-17Puro-5: 0.56, iPS_cells:PDB_2lox-17: 0.56, iPS_cells:PDB_2lox-21: 0.56, iPS_cells:PDB_2lox-5: 0.55 |
TGW_CGGGTCATCGTGACTA-1 | Neurons | 0.28 | 241.73 | Raw ScoresNeurons:adrenal_medulla_cell_line: 0.64, Neuroepithelial_cell:ESC-derived: 0.61, iPS_cells:PDB_1lox-21Puro-20: 0.58, iPS_cells:PDB_1lox-21Puro-26: 0.58, iPS_cells:PDB_1lox-17Puro-10: 0.58, iPS_cells:PDB_2lox-22: 0.58, iPS_cells:PDB_1lox-17Puro-5: 0.57, iPS_cells:PDB_2lox-17: 0.57, iPS_cells:PDB_2lox-21: 0.57, Embryonic_stem_cells: 0.57 |
TGW_CATTCTAGTACGAGCA-1 | Neurons | 0.27 | 239.90 | Raw ScoresNeurons:adrenal_medulla_cell_line: 0.63, Neuroepithelial_cell:ESC-derived: 0.6, iPS_cells:PDB_1lox-21Puro-20: 0.58, iPS_cells:PDB_1lox-21Puro-26: 0.57, iPS_cells:PDB_1lox-17Puro-10: 0.57, iPS_cells:PDB_2lox-22: 0.57, iPS_cells:PDB_1lox-17Puro-5: 0.57, iPS_cells:PDB_2lox-17: 0.56, iPS_cells:PDB_2lox-21: 0.56, Embryonic_stem_cells: 0.56 |
TGW_TATGTTCAGTATGCAA-1 | Neurons | 0.26 | 239.72 | Raw ScoresNeurons:adrenal_medulla_cell_line: 0.6, Neuroepithelial_cell:ESC-derived: 0.57, iPS_cells:PDB_1lox-21Puro-20: 0.55, iPS_cells:PDB_1lox-21Puro-26: 0.55, iPS_cells:PDB_1lox-17Puro-10: 0.54, iPS_cells:PDB_2lox-22: 0.54, iPS_cells:PDB_1lox-17Puro-5: 0.54, iPS_cells:PDB_2lox-17: 0.54, iPS_cells:PDB_2lox-21: 0.53, iPS_cells:PDB_2lox-5: 0.53 |
TGW_GGTTAACTCTAAACGC-1 | Neurons | 0.29 | 235.94 | Raw ScoresNeurons:adrenal_medulla_cell_line: 0.65, Neuroepithelial_cell:ESC-derived: 0.61, iPS_cells:PDB_1lox-21Puro-20: 0.59, iPS_cells:PDB_1lox-21Puro-26: 0.59, iPS_cells:PDB_1lox-17Puro-10: 0.58, iPS_cells:PDB_2lox-22: 0.58, iPS_cells:PDB_1lox-17Puro-5: 0.58, iPS_cells:PDB_2lox-17: 0.57, iPS_cells:PDB_2lox-21: 0.57, Embryonic_stem_cells: 0.57 |
TGW_TGATGGTCACGTTGGC-1 | Neurons | 0.28 | 235.66 | Raw ScoresNeurons:adrenal_medulla_cell_line: 0.62, Neuroepithelial_cell:ESC-derived: 0.59, iPS_cells:PDB_1lox-21Puro-20: 0.56, iPS_cells:PDB_1lox-21Puro-26: 0.56, iPS_cells:PDB_1lox-17Puro-10: 0.56, iPS_cells:PDB_2lox-22: 0.56, iPS_cells:PDB_1lox-17Puro-5: 0.55, iPS_cells:PDB_2lox-17: 0.55, iPS_cells:PDB_2lox-21: 0.55, Embryonic_stem_cells: 0.55 |
TGW_CTCAGTCGTGATCGTT-1 | Neurons | 0.25 | 234.42 | Raw ScoresNeurons:adrenal_medulla_cell_line: 0.61, Neuroepithelial_cell:ESC-derived: 0.58, iPS_cells:PDB_1lox-21Puro-20: 0.56, iPS_cells:PDB_1lox-21Puro-26: 0.56, iPS_cells:PDB_1lox-17Puro-10: 0.56, iPS_cells:PDB_2lox-22: 0.56, iPS_cells:PDB_1lox-17Puro-5: 0.55, iPS_cells:PDB_2lox-17: 0.55, iPS_cells:PDB_2lox-21: 0.55, Embryonic_stem_cells: 0.54 |
TGW_CCCTCAAGTGCACGCT-1 | Neurons | 0.27 | 234.21 | Raw ScoresNeurons:adrenal_medulla_cell_line: 0.63, Neuroepithelial_cell:ESC-derived: 0.59, iPS_cells:PDB_1lox-21Puro-20: 0.57, iPS_cells:PDB_1lox-21Puro-26: 0.57, iPS_cells:PDB_1lox-17Puro-10: 0.57, iPS_cells:PDB_2lox-22: 0.57, iPS_cells:PDB_1lox-17Puro-5: 0.56, iPS_cells:PDB_2lox-21: 0.56, iPS_cells:PDB_2lox-17: 0.56, Embryonic_stem_cells: 0.55 |
TGW_ACGGTTATCCCAGGAC-1 | Neurons | 0.29 | 233.82 | Raw ScoresNeurons:adrenal_medulla_cell_line: 0.65, Neuroepithelial_cell:ESC-derived: 0.61, iPS_cells:PDB_1lox-21Puro-20: 0.58, iPS_cells:PDB_1lox-21Puro-26: 0.58, iPS_cells:PDB_1lox-17Puro-10: 0.58, iPS_cells:PDB_2lox-22: 0.58, iPS_cells:PDB_1lox-17Puro-5: 0.57, iPS_cells:PDB_2lox-21: 0.57, iPS_cells:PDB_2lox-17: 0.57, Embryonic_stem_cells: 0.56 |
TGW_CGGAATTTCCTGTTGC-1 | Neurons | 0.27 | 233.34 | Raw ScoresNeurons:adrenal_medulla_cell_line: 0.61, Neuroepithelial_cell:ESC-derived: 0.57, iPS_cells:PDB_1lox-21Puro-20: 0.56, iPS_cells:PDB_1lox-21Puro-26: 0.55, iPS_cells:PDB_2lox-22: 0.55, iPS_cells:PDB_1lox-17Puro-10: 0.55, iPS_cells:PDB_1lox-17Puro-5: 0.55, iPS_cells:PDB_2lox-17: 0.54, iPS_cells:PDB_2lox-21: 0.54, Embryonic_stem_cells: 0.54 |
TGW_CGGCAGTCAGTCTTCC-1 | Neurons | 0.29 | 231.55 | Raw ScoresNeurons:adrenal_medulla_cell_line: 0.66, Neuroepithelial_cell:ESC-derived: 0.61, iPS_cells:PDB_1lox-21Puro-20: 0.58, iPS_cells:PDB_1lox-21Puro-26: 0.58, iPS_cells:PDB_1lox-17Puro-10: 0.58, iPS_cells:PDB_2lox-22: 0.57, iPS_cells:PDB_1lox-17Puro-5: 0.57, iPS_cells:PDB_2lox-21: 0.57, iPS_cells:PDB_2lox-17: 0.57, Embryonic_stem_cells: 0.56 |
TGW_AAGATAGTCGTTCTCG-1 | Neurons | 0.27 | 228.55 | Raw ScoresNeurons:adrenal_medulla_cell_line: 0.62, Neuroepithelial_cell:ESC-derived: 0.58, iPS_cells:PDB_1lox-21Puro-20: 0.56, iPS_cells:PDB_1lox-21Puro-26: 0.56, iPS_cells:PDB_1lox-17Puro-10: 0.55, iPS_cells:PDB_2lox-22: 0.55, iPS_cells:PDB_1lox-17Puro-5: 0.55, iPS_cells:PDB_2lox-17: 0.55, iPS_cells:PDB_2lox-21: 0.54, Embryonic_stem_cells: 0.54 |
TGW_TGAGTCATCCGAGCTG-1 | Neurons | 0.28 | 226.98 | Raw ScoresNeurons:adrenal_medulla_cell_line: 0.64, Neuroepithelial_cell:ESC-derived: 0.59, iPS_cells:PDB_1lox-21Puro-20: 0.57, iPS_cells:PDB_1lox-21Puro-26: 0.57, iPS_cells:PDB_1lox-17Puro-10: 0.57, iPS_cells:PDB_2lox-22: 0.56, iPS_cells:PDB_1lox-17Puro-5: 0.56, iPS_cells:PDB_2lox-21: 0.56, iPS_cells:PDB_2lox-17: 0.56, Embryonic_stem_cells: 0.55 |
TGW_GAGACTTCATACTTTC-1 | Neurons | 0.27 | 226.55 | Raw ScoresNeurons:adrenal_medulla_cell_line: 0.61, Neuroepithelial_cell:ESC-derived: 0.58, iPS_cells:PDB_1lox-21Puro-20: 0.55, iPS_cells:PDB_1lox-21Puro-26: 0.55, iPS_cells:PDB_1lox-17Puro-10: 0.55, iPS_cells:PDB_2lox-22: 0.55, iPS_cells:PDB_1lox-17Puro-5: 0.54, iPS_cells:PDB_2lox-17: 0.54, iPS_cells:PDB_2lox-21: 0.54, Embryonic_stem_cells: 0.54 |
TGW_TCCTCCCGTGCCCAGT-1 | Neurons | 0.29 | 225.61 | Raw ScoresNeurons:adrenal_medulla_cell_line: 0.64, Neuroepithelial_cell:ESC-derived: 0.6, iPS_cells:PDB_1lox-21Puro-20: 0.57, iPS_cells:PDB_1lox-21Puro-26: 0.57, iPS_cells:PDB_1lox-17Puro-10: 0.57, iPS_cells:PDB_2lox-22: 0.56, iPS_cells:PDB_1lox-17Puro-5: 0.56, iPS_cells:PDB_2lox-21: 0.56, iPS_cells:PDB_2lox-17: 0.56, Embryonic_stem_cells: 0.55 |
TGW_GCAACCGCACTGAGTT-1 | Neurons | 0.28 | 224.17 | Raw ScoresNeurons:adrenal_medulla_cell_line: 0.65, Neuroepithelial_cell:ESC-derived: 0.61, iPS_cells:PDB_1lox-21Puro-20: 0.59, iPS_cells:PDB_1lox-21Puro-26: 0.58, iPS_cells:PDB_1lox-17Puro-10: 0.58, iPS_cells:PDB_2lox-22: 0.58, iPS_cells:PDB_1lox-17Puro-5: 0.57, iPS_cells:PDB_2lox-21: 0.57, iPS_cells:PDB_2lox-17: 0.57, Embryonic_stem_cells: 0.57 |
TGW_CAACAGTTCCAAGAGG-1 | Neurons | 0.28 | 223.28 | Raw ScoresNeurons:adrenal_medulla_cell_line: 0.63, Neuroepithelial_cell:ESC-derived: 0.59, iPS_cells:PDB_1lox-21Puro-20: 0.57, iPS_cells:PDB_1lox-21Puro-26: 0.57, iPS_cells:PDB_1lox-17Puro-10: 0.57, iPS_cells:PDB_2lox-22: 0.57, iPS_cells:PDB_1lox-17Puro-5: 0.56, iPS_cells:PDB_2lox-21: 0.56, iPS_cells:PDB_2lox-17: 0.56, Embryonic_stem_cells: 0.55 |
TGW_GTAATGCCAGACAAGC-1 | Neurons | 0.27 | 222.22 | Raw ScoresNeurons:adrenal_medulla_cell_line: 0.64, Neuroepithelial_cell:ESC-derived: 0.6, iPS_cells:PDB_1lox-21Puro-20: 0.57, iPS_cells:PDB_1lox-21Puro-26: 0.57, iPS_cells:PDB_1lox-17Puro-10: 0.57, iPS_cells:PDB_2lox-22: 0.57, iPS_cells:PDB_1lox-17Puro-5: 0.56, Embryonic_stem_cells: 0.56, iPS_cells:PDB_2lox-21: 0.56, iPS_cells:PDB_2lox-17: 0.56 |
TGW_ATCGGCGGTAGTCTGT-1 | Neurons | 0.24 | 219.13 | Raw ScoresNeurons:adrenal_medulla_cell_line: 0.6, Neuroepithelial_cell:ESC-derived: 0.56, iPS_cells:PDB_1lox-21Puro-20: 0.54, iPS_cells:PDB_1lox-21Puro-26: 0.54, iPS_cells:PDB_2lox-22: 0.54, iPS_cells:PDB_1lox-17Puro-10: 0.54, iPS_cells:PDB_2lox-17: 0.53, iPS_cells:PDB_2lox-21: 0.53, iPS_cells:PDB_1lox-17Puro-5: 0.53, iPS_cells:PDB_2lox-5: 0.53 |
TGW_TGATGCACATGCGTGC-1 | Neurons | 0.27 | 216.65 | Raw ScoresNeurons:adrenal_medulla_cell_line: 0.6, Neuroepithelial_cell:ESC-derived: 0.56, iPS_cells:PDB_1lox-21Puro-20: 0.55, iPS_cells:PDB_1lox-21Puro-26: 0.55, iPS_cells:PDB_1lox-17Puro-10: 0.54, iPS_cells:PDB_2lox-22: 0.54, iPS_cells:PDB_1lox-17Puro-5: 0.54, iPS_cells:PDB_2lox-21: 0.53, iPS_cells:PDB_2lox-17: 0.53, Embryonic_stem_cells: 0.53 |
TGW_GGAACCCCAGTACTAC-1 | Neurons | 0.27 | 216.26 | Raw ScoresNeurons:adrenal_medulla_cell_line: 0.63, Neuroepithelial_cell:ESC-derived: 0.59, iPS_cells:PDB_1lox-21Puro-20: 0.56, iPS_cells:PDB_1lox-21Puro-26: 0.56, iPS_cells:PDB_2lox-22: 0.56, iPS_cells:PDB_1lox-17Puro-10: 0.56, iPS_cells:PDB_1lox-17Puro-5: 0.55, iPS_cells:PDB_2lox-21: 0.55, iPS_cells:PDB_2lox-17: 0.55, iPS_cells:PDB_2lox-5: 0.54 |
TGW_AATCACGCATTCAGCA-1 | Neurons | 0.29 | 216.20 | Raw ScoresNeurons:adrenal_medulla_cell_line: 0.65, Neuroepithelial_cell:ESC-derived: 0.61, iPS_cells:PDB_1lox-21Puro-20: 0.58, iPS_cells:PDB_1lox-21Puro-26: 0.58, iPS_cells:PDB_1lox-17Puro-10: 0.58, iPS_cells:PDB_2lox-22: 0.58, iPS_cells:PDB_1lox-17Puro-5: 0.57, iPS_cells:PDB_2lox-21: 0.57, Embryonic_stem_cells: 0.57, iPS_cells:PDB_2lox-17: 0.57 |
TGW_TCTGTCGAGACTCTTG-1 | Neurons | 0.27 | 215.46 | Raw ScoresNeurons:adrenal_medulla_cell_line: 0.65, Neuroepithelial_cell:ESC-derived: 0.61, iPS_cells:PDB_1lox-21Puro-20: 0.59, iPS_cells:PDB_1lox-21Puro-26: 0.59, iPS_cells:PDB_1lox-17Puro-10: 0.58, iPS_cells:PDB_2lox-22: 0.58, iPS_cells:PDB_1lox-17Puro-5: 0.58, iPS_cells:PDB_2lox-21: 0.57, iPS_cells:PDB_2lox-17: 0.57, Embryonic_stem_cells: 0.57 |
TGW_TTGGATGTCTATGTGG-1 | Neurons | 0.27 | 215.44 | Raw ScoresNeurons:adrenal_medulla_cell_line: 0.63, Neuroepithelial_cell:ESC-derived: 0.59, iPS_cells:PDB_1lox-21Puro-20: 0.57, iPS_cells:PDB_1lox-21Puro-26: 0.56, iPS_cells:PDB_1lox-17Puro-10: 0.56, iPS_cells:PDB_2lox-22: 0.56, iPS_cells:PDB_1lox-17Puro-5: 0.56, iPS_cells:PDB_2lox-17: 0.56, iPS_cells:PDB_2lox-21: 0.55, iPS_cells:PDB_2lox-5: 0.55 |
TGW_CCGATGGCACCTATCC-1 | Neurons | 0.28 | 215.26 | Raw ScoresNeurons:adrenal_medulla_cell_line: 0.65, Neuroepithelial_cell:ESC-derived: 0.61, iPS_cells:PDB_1lox-21Puro-20: 0.58, iPS_cells:PDB_1lox-21Puro-26: 0.58, iPS_cells:PDB_1lox-17Puro-10: 0.58, iPS_cells:PDB_2lox-22: 0.58, iPS_cells:PDB_1lox-17Puro-5: 0.57, iPS_cells:PDB_2lox-17: 0.57, iPS_cells:PDB_2lox-21: 0.57, iPS_cells:PDB_2lox-5: 0.57 |
TGW_ACTACGACAACCTATG-1 | Neurons | 0.28 | 215.15 | Raw ScoresNeurons:adrenal_medulla_cell_line: 0.64, Neuroepithelial_cell:ESC-derived: 0.6, iPS_cells:PDB_1lox-21Puro-20: 0.57, iPS_cells:PDB_1lox-21Puro-26: 0.57, iPS_cells:PDB_1lox-17Puro-10: 0.57, iPS_cells:PDB_2lox-22: 0.56, iPS_cells:PDB_1lox-17Puro-5: 0.56, iPS_cells:PDB_2lox-17: 0.56, iPS_cells:PDB_2lox-21: 0.56, Embryonic_stem_cells: 0.56 |
TGW_GTTGCTCAGCATTTCG-1 | Neurons | 0.30 | 214.48 | Raw ScoresNeurons:adrenal_medulla_cell_line: 0.64, Neuroepithelial_cell:ESC-derived: 0.58, iPS_cells:PDB_1lox-21Puro-20: 0.56, iPS_cells:PDB_1lox-21Puro-26: 0.56, iPS_cells:PDB_1lox-17Puro-10: 0.56, iPS_cells:PDB_2lox-22: 0.55, iPS_cells:PDB_1lox-17Puro-5: 0.55, iPS_cells:PDB_2lox-21: 0.55, iPS_cells:PDB_2lox-17: 0.54, Embryonic_stem_cells: 0.54 |
TGW_GGGCCATCAAGCGCTC-1 | Neurons | 0.27 | 212.76 | Raw ScoresNeurons:adrenal_medulla_cell_line: 0.64, Neuroepithelial_cell:ESC-derived: 0.6, iPS_cells:PDB_1lox-21Puro-20: 0.58, iPS_cells:PDB_1lox-21Puro-26: 0.58, iPS_cells:PDB_1lox-17Puro-10: 0.58, iPS_cells:PDB_1lox-17Puro-5: 0.57, iPS_cells:PDB_2lox-22: 0.57, iPS_cells:PDB_2lox-17: 0.57, iPS_cells:PDB_2lox-21: 0.57, iPS_cells:PDB_2lox-5: 0.56 |
TGW_TGTGTGACAACCAACT-1 | Neurons | 0.28 | 212.28 | Raw ScoresNeurons:adrenal_medulla_cell_line: 0.64, Neuroepithelial_cell:ESC-derived: 0.59, iPS_cells:PDB_1lox-21Puro-20: 0.57, iPS_cells:PDB_1lox-21Puro-26: 0.57, iPS_cells:PDB_1lox-17Puro-10: 0.57, iPS_cells:PDB_2lox-22: 0.56, iPS_cells:PDB_1lox-17Puro-5: 0.56, iPS_cells:PDB_2lox-17: 0.56, iPS_cells:PDB_2lox-21: 0.56, Embryonic_stem_cells: 0.55 |
Below shows the significant enrichments of this GEP for literature curated gene lists
This data was procured from existing single cell RNA-seq maps of neuroblastoma or related relevant data.
High ranks indicate this gene is a driver of this GEP.
These curated gene list are ranked by the P-value (on this GEP) of their constituent genes.
The Mean Count column shows the mean read count in cells scoring highly (H > 50) on this gene expression program.
Genes | Weight | Rank | GTEx | DepMap | Decartes | Mean.Counts | Mean.TPM |
---|---|---|---|---|---|---|---|
MIF | 0.0127133 | 13 | GTEx | DepMap | Descartes | 340.00 | 11852.05 |
TPI1 | 0.0082863 | 56 | GTEx | DepMap | Descartes | 86.34 | 1656.19 |
NPM1 | 0.0034028 | 515 | GTEx | DepMap | Descartes | 171.34 | 3474.67 |
TK1 | 0.0006849 | 3418 | GTEx | DepMap | Descartes | 4.66 | 96.67 |
Bridge region SCP-adrenergic transition (Olsen)
As above but for cells in the mesenchymal transitioning to SCP-adrenergic region:
Wilcoxon ranksum test P-value for gene set overrepresentation: 6.79e-03
Mean rank of genes in gene set: 1805
Rank on gene expression program of genes in gene set:
Genes | Weight | Rank | GTEx | DepMap | Decartes | Mean.Counts | Mean.TPM |
---|---|---|---|---|---|---|---|
MDK | 0.0068885 | 94 | GTEx | DepMap | Descartes | 80.69 | 2028.00 |
HMGB1 | 0.0058080 | 147 | GTEx | DepMap | Descartes | 167.08 | 1027.01 |
PCBP2 | 0.0038911 | 403 | GTEx | DepMap | Descartes | 28.83 | 306.69 |
SRP14 | -0.0000635 | 6576 | GTEx | DepMap | Descartes | 55.39 | 1624.56 |
Chromaffin cell development (Dong)
Markers obtained in computationally inferred meta program (by NMF applied to their neuroblastoma sc-RNA-seq data) from Fig. 5(a) of Dong et al. (PMID 32946775).:
Wilcoxon ranksum test P-value for gene set overrepresentation: 2.16e-02
Mean rank of genes in gene set: 1094.5
Rank on gene expression program of genes in gene set:
Genes | Weight | Rank | GTEx | DepMap | Decartes | Mean.Counts | Mean.TPM |
---|---|---|---|---|---|---|---|
GATA3 | 0.0063031 | 115 | GTEx | DepMap | Descartes | 22.24 | 250.32 |
HAND2 | 0.0013387 | 2074 | GTEx | DepMap | Descartes | 29.01 | 379.97 |
Below shows ranks on this GEP for literature curated gene lists for large gene sets
These include those reported as mesenchymal/adrenergic by Van Groningen et al.
High ranks indicate this gene is a driver of this GEP (note these results are not ordered).
The Mean Count column shows the mean read count in cells scoring highly (H > 50) on this gene expression program.
VanGroningen Adrenergic Genes
Adrenergic marker genes from Supplementary Table 2 of Van Groningen et al. Nature Genetics 2017. These genes were identified by differential expression analysis of mesenchymal-like and adrenergic-like neuroblastoma cell lines.
Wilcoxon ranksum test P-value for gene set overrepresentation: 2.02e-02
Mean rank of genes in gene set: 5854.86
Median rank of genes in gene set: 4533
Rank on gene expression program of top 30 genes in gene set:
Genes | Weight | Rank | GTEx | DepMap | Descartes | Mean.Counts | Mean.TPM |
---|---|---|---|---|---|---|---|
RANBP1 | 0.0151352 | 7 | GTEx | DepMap | Descartes | 118.78 | 1924.60 |
KDM1A | 0.0128969 | 12 | GTEx | DepMap | Descartes | 34.52 | 414.53 |
CKB | 0.0105518 | 18 | GTEx | DepMap | Descartes | 62.84 | 1605.80 |
CENPV | 0.0099339 | 26 | GTEx | DepMap | Descartes | 35.27 | 679.39 |
LSM4 | 0.0087562 | 47 | GTEx | DepMap | Descartes | 44.55 | 885.35 |
CCNI | 0.0081962 | 57 | GTEx | DepMap | Descartes | 47.03 | 589.60 |
MCM7 | 0.0074467 | 72 | GTEx | DepMap | Descartes | 19.08 | 228.66 |
TMEM97 | 0.0074417 | 73 | GTEx | DepMap | Descartes | 13.94 | 195.36 |
PPP1R9A | 0.0072760 | 79 | GTEx | DepMap | Descartes | 2.71 | 9.55 |
ELAVL4 | 0.0070141 | 90 | GTEx | DepMap | Descartes | 25.79 | 225.92 |
KIF5C | 0.0067001 | 104 | GTEx | DepMap | Descartes | 16.78 | 86.86 |
PRIM1 | 0.0064954 | 110 | GTEx | DepMap | Descartes | 8.50 | 168.12 |
GATA3 | 0.0063031 | 115 | GTEx | DepMap | Descartes | 22.24 | 250.32 |
BMP7 | 0.0061673 | 121 | GTEx | DepMap | Descartes | 4.29 | 36.61 |
KLHL13 | 0.0053743 | 192 | GTEx | DepMap | Descartes | 9.01 | 64.78 |
GLDC | 0.0045954 | 282 | GTEx | DepMap | Descartes | 2.02 | 19.49 |
H1FX | 0.0043612 | 313 | GTEx | DepMap | Descartes | 31.93 | NA |
ANP32A | 0.0042383 | 330 | GTEx | DepMap | Descartes | 26.15 | 253.01 |
DTD1 | 0.0040830 | 357 | GTEx | DepMap | Descartes | 13.02 | 112.67 |
GNB1 | 0.0040554 | 363 | GTEx | DepMap | Descartes | 12.83 | 138.70 |
OLA1 | 0.0040349 | 371 | GTEx | DepMap | Descartes | 13.94 | 118.20 |
KIF2A | 0.0040173 | 373 | GTEx | DepMap | Descartes | 12.34 | 54.61 |
CCP110 | 0.0037446 | 434 | GTEx | DepMap | Descartes | 5.49 | 36.41 |
RRM2 | 0.0036963 | 446 | GTEx | DepMap | Descartes | 9.08 | 88.43 |
CLGN | 0.0036035 | 468 | GTEx | DepMap | Descartes | 3.46 | 45.48 |
EIF1B | 0.0035701 | 474 | GTEx | DepMap | Descartes | 10.95 | 380.39 |
UBE2C | 0.0035180 | 486 | GTEx | DepMap | Descartes | 37.28 | 1317.05 |
CCND1 | 0.0034963 | 492 | GTEx | DepMap | Descartes | 44.86 | 377.21 |
LMO3 | 0.0034803 | 502 | GTEx | DepMap | Descartes | 1.29 | 12.52 |
KIF21A | 0.0034602 | 507 | GTEx | DepMap | Descartes | 39.10 | 207.82 |
VanGroningen Mesenchymal Genes
Mesenchymal marker genes from Supplementary Table 2 of Van Groningen et al. Nature Genetics 2017. These genes were identified by differential expression analysis of mesenchymal-like and adrenergic-like neuroblastoma cell lines.
Wilcoxon ranksum test P-value for gene set overrepresentation: 1.00e+00
Mean rank of genes in gene set: 8145.12
Median rank of genes in gene set: 9933
Rank on gene expression program of top 30 genes in gene set:
Genes | Weight | Rank | GTEx | DepMap | Descartes | Mean.Counts | Mean.TPM |
---|---|---|---|---|---|---|---|
RCN1 | 0.0084760 | 53 | GTEx | DepMap | Descartes | 10.63 | 150.33 |
ID3 | 0.0076671 | 64 | GTEx | DepMap | Descartes | 41.72 | 1498.56 |
PRDX4 | 0.0069408 | 92 | GTEx | DepMap | Descartes | 31.88 | 1140.27 |
SPCS3 | 0.0065902 | 108 | GTEx | DepMap | Descartes | 14.82 | 120.59 |
CNN3 | 0.0056227 | 156 | GTEx | DepMap | Descartes | 23.09 | 422.62 |
ABRACL | 0.0051443 | 211 | GTEx | DepMap | Descartes | 6.61 | NA |
ATP2B1 | 0.0050788 | 221 | GTEx | DepMap | Descartes | 10.14 | 51.63 |
FAT1 | 0.0050627 | 223 | GTEx | DepMap | Descartes | 3.16 | 8.10 |
GPX8 | 0.0049764 | 230 | GTEx | DepMap | Descartes | 1.89 | 17.89 |
TJP1 | 0.0049706 | 233 | GTEx | DepMap | Descartes | 7.99 | 34.97 |
CLIC4 | 0.0049561 | 236 | GTEx | DepMap | Descartes | 6.78 | 60.59 |
CD164 | 0.0044015 | 306 | GTEx | DepMap | Descartes | 7.25 | 54.42 |
COL11A1 | 0.0043337 | 317 | GTEx | DepMap | Descartes | 0.78 | 4.06 |
NFIA | 0.0042014 | 334 | GTEx | DepMap | Descartes | 7.32 | 6.03 |
GNAI1 | 0.0041354 | 349 | GTEx | DepMap | Descartes | 5.50 | 20.76 |
REST | 0.0039934 | 379 | GTEx | DepMap | Descartes | 4.80 | 23.78 |
MBTPS1 | 0.0037008 | 443 | GTEx | DepMap | Descartes | 5.60 | 45.98 |
RGS10 | 0.0036662 | 455 | GTEx | DepMap | Descartes | 4.57 | 158.30 |
SLC38A2 | 0.0033783 | 522 | GTEx | DepMap | Descartes | 8.94 | 70.79 |
WLS | 0.0033448 | 531 | GTEx | DepMap | Descartes | 4.67 | 64.54 |
FBN2 | 0.0032531 | 559 | GTEx | DepMap | Descartes | 1.02 | 3.42 |
PROM1 | 0.0031547 | 603 | GTEx | DepMap | Descartes | 0.78 | 7.01 |
PDIA3 | 0.0029992 | 666 | GTEx | DepMap | Descartes | 21.27 | 216.23 |
DDOST | 0.0027724 | 774 | GTEx | DepMap | Descartes | 8.68 | 149.59 |
MOB1A | 0.0025578 | 879 | GTEx | DepMap | Descartes | 5.00 | 36.98 |
JAM3 | 0.0024788 | 917 | GTEx | DepMap | Descartes | 3.07 | 30.66 |
DSE | 0.0024733 | 921 | GTEx | DepMap | Descartes | 1.46 | 5.07 |
TXNDC12 | 0.0024219 | 967 | GTEx | DepMap | Descartes | 6.48 | 158.94 |
AMMECR1 | 0.0022511 | 1089 | GTEx | DepMap | Descartes | 2.06 | 14.14 |
NANS | 0.0021435 | 1167 | GTEx | DepMap | Descartes | 4.91 | 57.39 |
Descartes adrenocortical markers
Top 50 marker genes of adrenocortical cells in the Decartes fetal adrenal single cell map (https://atlas.brotmanbaty.org/bbi/human-gene-expression-during-development/cell/adrenocortical/in/adrenal)
Wilcoxon ranksum test P-value for gene set overrepresentation: 5.25e-01
Mean rank of genes in gene set: 6313.5
Median rank of genes in gene set: 6377
Rank on gene expression program of top 30 genes in gene set:
Genes | Weight | Rank | GTEx | DepMap | Descartes | Mean.Counts | Mean.TPM |
---|---|---|---|---|---|---|---|
HMGCS1 | 0.0047304 | 263 | GTEx | DepMap | Descartes | 8.06 | 58.51 |
CYB5B | 0.0028858 | 713 | GTEx | DepMap | Descartes | 6.33 | 52.95 |
HMGCR | 0.0022797 | 1071 | GTEx | DepMap | Descartes | 5.73 | 47.40 |
SLC1A2 | 0.0019079 | 1384 | GTEx | DepMap | Descartes | 0.62 | 2.01 |
PEG3 | 0.0017532 | 1524 | GTEx | DepMap | Descartes | 1.23 | NA |
PDE10A | 0.0015167 | 1805 | GTEx | DepMap | Descartes | 1.17 | 4.87 |
MSMO1 | 0.0014866 | 1831 | GTEx | DepMap | Descartes | 4.20 | 68.91 |
SH3BP5 | 0.0012673 | 2171 | GTEx | DepMap | Descartes | 2.42 | 27.09 |
SH3PXD2B | 0.0011190 | 2440 | GTEx | DepMap | Descartes | 0.99 | 4.59 |
DHCR24 | 0.0008610 | 2971 | GTEx | DepMap | Descartes | 3.69 | 23.56 |
FDPS | 0.0007306 | 3304 | GTEx | DepMap | Descartes | 15.93 | 282.78 |
FDX1 | 0.0006235 | 3603 | GTEx | DepMap | Descartes | 2.76 | 28.69 |
DHCR7 | 0.0005954 | 3693 | GTEx | DepMap | Descartes | 1.40 | 19.05 |
GSTA4 | 0.0002517 | 4896 | GTEx | DepMap | Descartes | 2.45 | 48.98 |
STAR | 0.0001337 | 5388 | GTEx | DepMap | Descartes | 0.07 | 0.72 |
ERN1 | 0.0001045 | 5526 | GTEx | DepMap | Descartes | 0.31 | 1.54 |
TM7SF2 | 0.0000734 | 5686 | GTEx | DepMap | Descartes | 1.78 | 30.69 |
GRAMD1B | -0.0000119 | 6181 | GTEx | DepMap | Descartes | 0.35 | 1.51 |
NPC1 | -0.0000633 | 6573 | GTEx | DepMap | Descartes | 0.28 | 2.08 |
FREM2 | -0.0001747 | 7681 | GTEx | DepMap | Descartes | 0.00 | 0.00 |
IGF1R | -0.0002092 | 7982 | GTEx | DepMap | Descartes | 2.13 | 6.17 |
SCARB1 | -0.0002660 | 8471 | GTEx | DepMap | Descartes | 1.12 | 6.61 |
FRMD5 | -0.0002905 | 8651 | GTEx | DepMap | Descartes | 0.26 | 1.61 |
PAPSS2 | -0.0003323 | 8951 | GTEx | DepMap | Descartes | 0.25 | 2.28 |
DNER | -0.0003516 | 9082 | GTEx | DepMap | Descartes | 0.00 | 0.02 |
SGCZ | -0.0003547 | 9098 | GTEx | DepMap | Descartes | 0.01 | 0.06 |
LDLR | -0.0003830 | 9277 | GTEx | DepMap | Descartes | 1.79 | 11.18 |
INHA | -0.0003844 | 9281 | GTEx | DepMap | Descartes | 0.02 | 0.38 |
BAIAP2L1 | -0.0005585 | 10139 | GTEx | DepMap | Descartes | 0.01 | 0.11 |
POR | -0.0005919 | 10284 | GTEx | DepMap | Descartes | 1.09 | 14.88 |
Descartes chromaffin markers
Top 50 marker genes of chromaffin cells in the Decartes fetal adrenal single cell map (https://atlas.brotmanbaty.org/bbi/human-gene-expression-during-development/cell/chromaffin/in/adrenal)
Wilcoxon ranksum test P-value for gene set overrepresentation: 7.64e-01
Mean rank of genes in gene set: 6681.66
Median rank of genes in gene set: 7530
Rank on gene expression program of top 30 genes in gene set:
Genes | Weight | Rank | GTEx | DepMap | Descartes | Mean.Counts | Mean.TPM |
---|---|---|---|---|---|---|---|
FAT3 | 0.0068762 | 95 | GTEx | DepMap | Descartes | 1.70 | 3.46 |
TUBA1A | 0.0061193 | 128 | GTEx | DepMap | Descartes | 108.92 | 2082.94 |
CCND1 | 0.0034963 | 492 | GTEx | DepMap | Descartes | 44.86 | 377.21 |
ISL1 | 0.0032388 | 568 | GTEx | DepMap | Descartes | 9.52 | 140.39 |
CNKSR2 | 0.0020400 | 1253 | GTEx | DepMap | Descartes | 1.39 | 6.15 |
RBFOX1 | 0.0018678 | 1414 | GTEx | DepMap | Descartes | 0.53 | 4.06 |
EYA4 | 0.0018612 | 1423 | GTEx | DepMap | Descartes | 1.32 | 8.86 |
BASP1 | 0.0017440 | 1537 | GTEx | DepMap | Descartes | 19.26 | 381.36 |
TMEFF2 | 0.0012635 | 2176 | GTEx | DepMap | Descartes | 0.39 | 4.47 |
ELAVL2 | 0.0012382 | 2219 | GTEx | DepMap | Descartes | 2.94 | 28.28 |
TUBB2B | 0.0012281 | 2233 | GTEx | DepMap | Descartes | 16.43 | 312.95 |
MAB21L2 | 0.0012028 | 2281 | GTEx | DepMap | Descartes | 5.30 | 73.94 |
RGMB | 0.0011827 | 2322 | GTEx | DepMap | Descartes | 1.80 | 14.48 |
EPHA6 | 0.0010459 | 2570 | GTEx | DepMap | Descartes | 0.18 | 1.90 |
REEP1 | 0.0008606 | 2974 | GTEx | DepMap | Descartes | 0.36 | 3.35 |
GAL | 0.0008457 | 3017 | GTEx | DepMap | Descartes | 55.64 | 2587.23 |
PTCHD1 | 0.0006680 | 3462 | GTEx | DepMap | Descartes | 0.10 | 0.28 |
SLC44A5 | 0.0002041 | 5087 | GTEx | DepMap | Descartes | 0.40 | 3.36 |
SYNPO2 | -0.0001000 | 6941 | GTEx | DepMap | Descartes | 6.98 | 16.13 |
MAB21L1 | -0.0001342 | 7289 | GTEx | DepMap | Descartes | 7.58 | 95.43 |
ALK | -0.0001592 | 7530 | GTEx | DepMap | Descartes | 0.39 | 2.19 |
TMEM132C | -0.0002481 | 8316 | GTEx | DepMap | Descartes | 0.00 | 0.02 |
MAP1B | -0.0003369 | 8978 | GTEx | DepMap | Descartes | 39.15 | 117.89 |
ANKFN1 | -0.0003504 | 9072 | GTEx | DepMap | Descartes | 0.00 | 0.02 |
KCNB2 | -0.0004093 | 9410 | GTEx | DepMap | Descartes | 0.23 | 2.47 |
MLLT11 | -0.0004512 | 9643 | GTEx | DepMap | Descartes | 16.80 | 227.44 |
CNTFR | -0.0004716 | 9736 | GTEx | DepMap | Descartes | 1.44 | 23.89 |
PLXNA4 | -0.0005814 | 10229 | GTEx | DepMap | Descartes | 0.57 | 1.35 |
HS3ST5 | -0.0006137 | 10366 | GTEx | DepMap | Descartes | 0.18 | 1.57 |
TUBB2A | -0.0006485 | 10489 | GTEx | DepMap | Descartes | 3.50 | 76.10 |
Descartes Vascular_endothelial markers
Top 50 marker genes of Vascular_endothelial cells in the Decartes fetal adrenal single cell map (https://atlas.brotmanbaty.org/bbi/human-gene-expression-during-development/cell/vascular_endothelial/in/adrenal)
Wilcoxon ranksum test P-value for gene set overrepresentation: 8.88e-01
Mean rank of genes in gene set: 6988.58
Median rank of genes in gene set: 7010.5
Rank on gene expression program of top 30 genes in gene set:
Genes | Weight | Rank | GTEx | DepMap | Descartes | Mean.Counts | Mean.TPM |
---|---|---|---|---|---|---|---|
RAMP2 | 0.0012123 | 2264 | GTEx | DepMap | Descartes | 2.42 | 94.92 |
CLDN5 | 0.0011785 | 2329 | GTEx | DepMap | Descartes | 0.13 | 2.01 |
EFNB2 | 0.0009115 | 2848 | GTEx | DepMap | Descartes | 1.64 | 11.90 |
SHANK3 | 0.0007350 | 3289 | GTEx | DepMap | Descartes | 0.19 | 0.85 |
F8 | 0.0003517 | 4487 | GTEx | DepMap | Descartes | 0.08 | 0.31 |
FLT4 | 0.0003495 | 4499 | GTEx | DepMap | Descartes | 0.06 | 0.39 |
IRX3 | 0.0003332 | 4561 | GTEx | DepMap | Descartes | 0.22 | 2.88 |
SHE | 0.0003018 | 4695 | GTEx | DepMap | Descartes | 0.01 | 0.07 |
MYRIP | 0.0001795 | 5197 | GTEx | DepMap | Descartes | 0.68 | 4.79 |
RASIP1 | 0.0001342 | 5386 | GTEx | DepMap | Descartes | 0.04 | 0.46 |
NOTCH4 | 0.0001001 | 5553 | GTEx | DepMap | Descartes | 0.20 | 0.96 |
HYAL2 | 0.0000430 | 5859 | GTEx | DepMap | Descartes | 2.41 | 20.67 |
TIE1 | 0.0000282 | 5948 | GTEx | DepMap | Descartes | 0.00 | 0.01 |
KANK3 | -0.0000097 | 6163 | GTEx | DepMap | Descartes | 0.01 | 0.06 |
BTNL9 | -0.0000368 | 6343 | GTEx | DepMap | Descartes | 0.00 | 0.00 |
ROBO4 | -0.0000519 | 6467 | GTEx | DepMap | Descartes | 0.01 | 0.08 |
ID1 | -0.0000964 | 6888 | GTEx | DepMap | Descartes | 12.14 | 340.15 |
TEK | -0.0000994 | 6934 | GTEx | DepMap | Descartes | 0.00 | 0.00 |
CRHBP | -0.0001007 | 6951 | GTEx | DepMap | Descartes | 0.00 | 0.00 |
MMRN2 | -0.0001124 | 7070 | GTEx | DepMap | Descartes | 0.00 | 0.00 |
ARHGAP29 | -0.0001219 | 7166 | GTEx | DepMap | Descartes | 2.75 | 10.08 |
PLVAP | -0.0001319 | 7273 | GTEx | DepMap | Descartes | 0.00 | 0.00 |
CYP26B1 | -0.0001455 | 7407 | GTEx | DepMap | Descartes | 0.00 | 0.00 |
ESM1 | -0.0001774 | 7711 | GTEx | DepMap | Descartes | 0.00 | 0.00 |
CEACAM1 | -0.0001830 | 7757 | GTEx | DepMap | Descartes | 0.00 | 0.03 |
KDR | -0.0002226 | 8103 | GTEx | DepMap | Descartes | 0.00 | 0.01 |
NR5A2 | -0.0002302 | 8181 | GTEx | DepMap | Descartes | 0.00 | 0.00 |
GALNT15 | -0.0002446 | 8297 | GTEx | DepMap | Descartes | 0.00 | NA |
CDH5 | -0.0002606 | 8415 | GTEx | DepMap | Descartes | 0.00 | 0.00 |
PODXL | -0.0002791 | 8567 | GTEx | DepMap | Descartes | 0.26 | 1.67 |
Descartes stromal markers
Top 50 marker genes of stromal cells in the Decartes fetal adrenal single cell map (https://atlas.brotmanbaty.org/bbi/human-gene-expression-during-development/cell/stromal/in/adrenal)
Wilcoxon ranksum test P-value for gene set overrepresentation: 1.00e+00
Mean rank of genes in gene set: 9328.36
Median rank of genes in gene set: 10384
Rank on gene expression program of top 30 genes in gene set:
Genes | Weight | Rank | GTEx | DepMap | Descartes | Mean.Counts | Mean.TPM |
---|---|---|---|---|---|---|---|
HHIP | 0.0024268 | 965 | GTEx | DepMap | Descartes | 1.77 | 6.17 |
BICC1 | 0.0011615 | 2358 | GTEx | DepMap | Descartes | 1.12 | 7.08 |
GLI2 | 0.0006075 | 3654 | GTEx | DepMap | Descartes | 0.60 | 3.13 |
ISLR | 0.0004031 | 4303 | GTEx | DepMap | Descartes | 0.12 | 1.67 |
CDH11 | 0.0003558 | 4476 | GTEx | DepMap | Descartes | 1.38 | 7.23 |
PAMR1 | 0.0002359 | 4966 | GTEx | DepMap | Descartes | 0.01 | 0.11 |
EDNRA | 0.0000763 | 5671 | GTEx | DepMap | Descartes | 0.36 | 3.11 |
ADAMTSL3 | -0.0000103 | 6168 | GTEx | DepMap | Descartes | 0.00 | 0.00 |
COL12A1 | -0.0000675 | 6603 | GTEx | DepMap | Descartes | 0.24 | 0.75 |
GAS2 | -0.0001190 | 7135 | GTEx | DepMap | Descartes | 0.12 | 1.93 |
ABCA6 | -0.0001305 | 7264 | GTEx | DepMap | Descartes | 0.00 | 0.00 |
SCARA5 | -0.0001322 | 7276 | GTEx | DepMap | Descartes | 0.00 | 0.00 |
OGN | -0.0001386 | 7327 | GTEx | DepMap | Descartes | 0.00 | 0.01 |
RSPO3 | -0.0001473 | 7424 | GTEx | DepMap | Descartes | 0.00 | NA |
SFRP2 | -0.0001514 | 7455 | GTEx | DepMap | Descartes | 0.00 | 0.00 |
LAMC3 | -0.0001621 | 7560 | GTEx | DepMap | Descartes | 0.00 | 0.02 |
CLDN11 | -0.0002856 | 8614 | GTEx | DepMap | Descartes | 0.02 | 0.21 |
ADAMTS2 | -0.0003170 | 8851 | GTEx | DepMap | Descartes | 0.15 | 0.80 |
POSTN | -0.0003735 | 9222 | GTEx | DepMap | Descartes | 0.00 | 0.00 |
COL27A1 | -0.0005288 | 9992 | GTEx | DepMap | Descartes | 0.02 | 0.08 |
ABCC9 | -0.0005481 | 10088 | GTEx | DepMap | Descartes | 0.09 | 0.31 |
FREM1 | -0.0005694 | 10180 | GTEx | DepMap | Descartes | 0.01 | 0.05 |
ELN | -0.0006750 | 10588 | GTEx | DepMap | Descartes | 0.02 | 0.16 |
PCDH18 | -0.0006775 | 10594 | GTEx | DepMap | Descartes | 0.24 | 1.47 |
ACTA2 | -0.0009774 | 11388 | GTEx | DepMap | Descartes | 0.09 | 1.63 |
PRICKLE1 | -0.0009814 | 11393 | GTEx | DepMap | Descartes | 1.47 | 8.53 |
LOX | -0.0010810 | 11568 | GTEx | DepMap | Descartes | 0.34 | 2.25 |
DKK2 | -0.0013635 | 11923 | GTEx | DepMap | Descartes | 0.13 | 1.07 |
ITGA11 | -0.0013638 | 11924 | GTEx | DepMap | Descartes | 0.05 | 0.12 |
CD248 | -0.0013948 | 11960 | GTEx | DepMap | Descartes | 0.14 | 1.47 |
Descartes sympathoblasts markers
Top 50 marker genes of sympathoblasts cells in the Decartes fetal adrenal single cell map (https://atlas.brotmanbaty.org/bbi/human-gene-expression-during-development/cell/sympathoblasts/in/adrenal)
Wilcoxon ranksum test P-value for gene set overrepresentation: 9.87e-01
Mean rank of genes in gene set: 7585.11
Median rank of genes in gene set: 8823
Rank on gene expression program of top 30 genes in gene set:
Genes | Weight | Rank | GTEx | DepMap | Descartes | Mean.Counts | Mean.TPM |
---|---|---|---|---|---|---|---|
PCSK2 | 0.0071513 | 85 | GTEx | DepMap | Descartes | 0.40 | 3.45 |
CHGA | 0.0033324 | 536 | GTEx | DepMap | Descartes | 42.28 | 753.95 |
HTATSF1 | 0.0032235 | 579 | GTEx | DepMap | Descartes | 13.32 | 155.31 |
NTNG1 | 0.0019100 | 1382 | GTEx | DepMap | Descartes | 0.98 | 7.78 |
TIAM1 | 0.0016047 | 1701 | GTEx | DepMap | Descartes | 2.16 | 11.34 |
SPOCK3 | 0.0015120 | 1809 | GTEx | DepMap | Descartes | 0.78 | 9.57 |
TBX20 | 0.0014112 | 1962 | GTEx | DepMap | Descartes | 0.35 | 7.65 |
C1QL1 | 0.0011961 | 2297 | GTEx | DepMap | Descartes | 4.01 | 88.25 |
GRID2 | 0.0001873 | 5160 | GTEx | DepMap | Descartes | 0.35 | 2.21 |
GALNTL6 | 0.0000059 | 6058 | GTEx | DepMap | Descartes | 0.21 | 2.09 |
CNTN3 | 0.0000025 | 6084 | GTEx | DepMap | Descartes | 0.04 | 0.31 |
KSR2 | -0.0000499 | 6448 | GTEx | DepMap | Descartes | 0.00 | 0.01 |
LAMA3 | -0.0000530 | 6475 | GTEx | DepMap | Descartes | 0.01 | 0.02 |
CDH12 | -0.0000625 | 6560 | GTEx | DepMap | Descartes | 0.01 | 0.08 |
AGBL4 | -0.0000781 | 6714 | GTEx | DepMap | Descartes | 0.08 | 0.62 |
PENK | -0.0000969 | 6898 | GTEx | DepMap | Descartes | 0.00 | 0.00 |
SLC24A2 | -0.0001533 | 7474 | GTEx | DepMap | Descartes | 0.00 | 0.01 |
PACRG | -0.0001721 | 7655 | GTEx | DepMap | Descartes | 0.02 | 0.40 |
SORCS3 | -0.0002249 | 8125 | GTEx | DepMap | Descartes | 0.00 | 0.00 |
DGKK | -0.0004282 | 9521 | GTEx | DepMap | Descartes | 0.05 | 0.19 |
CDH18 | -0.0004427 | 9598 | GTEx | DepMap | Descartes | 0.05 | 0.36 |
ST18 | -0.0005122 | 9921 | GTEx | DepMap | Descartes | 0.00 | 0.02 |
KCTD16 | -0.0005318 | 10016 | GTEx | DepMap | Descartes | 0.11 | 0.28 |
GRM7 | -0.0005536 | 10109 | GTEx | DepMap | Descartes | 0.01 | 0.06 |
CCSER1 | -0.0005780 | 10213 | GTEx | DepMap | Descartes | 0.09 | NA |
ARC | -0.0006800 | 10605 | GTEx | DepMap | Descartes | 0.08 | 0.78 |
FAM155A | -0.0006881 | 10624 | GTEx | DepMap | Descartes | 1.36 | 4.92 |
EML6 | -0.0006921 | 10638 | GTEx | DepMap | Descartes | 0.55 | 2.04 |
MGAT4C | -0.0006954 | 10647 | GTEx | DepMap | Descartes | 0.06 | 0.06 |
SLC35F3 | -0.0007842 | 10916 | GTEx | DepMap | Descartes | 0.01 | 0.01 |
Descartes erythroblasts markers
Top 50 marker genes of erythroblasts cells in the Decartes fetal adrenal single cell map (https://atlas.brotmanbaty.org/bbi/human-gene-expression-during-development/cell/erythroblasts/in/adrenal)
Wilcoxon ranksum test P-value for gene set overrepresentation: 7.64e-01
Mean rank of genes in gene set: 6758.07
Median rank of genes in gene set: 6843
Rank on gene expression program of top 30 genes in gene set:
Genes | Weight | Rank | GTEx | DepMap | Descartes | Mean.Counts | Mean.TPM |
---|---|---|---|---|---|---|---|
EPB41 | 0.0055232 | 174 | GTEx | DepMap | Descartes | 10.05 | 58.16 |
GCLC | 0.0021373 | 1173 | GTEx | DepMap | Descartes | 1.87 | 18.67 |
SLC25A37 | 0.0016519 | 1645 | GTEx | DepMap | Descartes | 4.77 | 36.90 |
TFR2 | 0.0010340 | 2591 | GTEx | DepMap | Descartes | 0.33 | 3.61 |
XPO7 | 0.0008407 | 3033 | GTEx | DepMap | Descartes | 1.79 | 13.32 |
TMCC2 | 0.0004443 | 4174 | GTEx | DepMap | Descartes | 0.21 | 1.82 |
RAPGEF2 | 0.0003511 | 4492 | GTEx | DepMap | Descartes | 1.36 | 5.99 |
SOX6 | 0.0003254 | 4602 | GTEx | DepMap | Descartes | 0.32 | 1.28 |
ABCB10 | 0.0003026 | 4690 | GTEx | DepMap | Descartes | 0.52 | 5.03 |
TSPAN5 | 0.0002269 | 5009 | GTEx | DepMap | Descartes | 2.99 | 25.07 |
GYPC | 0.0001950 | 5134 | GTEx | DepMap | Descartes | 0.00 | 0.00 |
SLC4A1 | -0.0000110 | 6177 | GTEx | DepMap | Descartes | 0.00 | 0.00 |
DENND4A | -0.0000190 | 6229 | GTEx | DepMap | Descartes | 0.70 | 2.88 |
ALAS2 | -0.0000912 | 6831 | GTEx | DepMap | Descartes | 0.00 | 0.00 |
SLC25A21 | -0.0000924 | 6843 | GTEx | DepMap | Descartes | 0.00 | 0.00 |
RGS6 | -0.0001219 | 7164 | GTEx | DepMap | Descartes | 0.00 | 0.00 |
RHD | -0.0001358 | 7300 | GTEx | DepMap | Descartes | 0.00 | 0.00 |
CPOX | -0.0002032 | 7938 | GTEx | DepMap | Descartes | 0.38 | 5.18 |
ANK1 | -0.0002522 | 8347 | GTEx | DepMap | Descartes | 0.12 | 0.46 |
CAT | -0.0002637 | 8449 | GTEx | DepMap | Descartes | 0.98 | 15.53 |
FECH | -0.0002834 | 8598 | GTEx | DepMap | Descartes | 0.32 | 1.40 |
TRAK2 | -0.0004076 | 9403 | GTEx | DepMap | Descartes | 1.01 | 5.41 |
SPTB | -0.0005302 | 10005 | GTEx | DepMap | Descartes | 0.03 | 0.09 |
MARCH3 | -0.0005670 | 10171 | GTEx | DepMap | Descartes | 0.47 | NA |
SNCA | -0.0006019 | 10318 | GTEx | DepMap | Descartes | 0.75 | 8.10 |
SELENBP1 | -0.0006791 | 10601 | GTEx | DepMap | Descartes | 0.02 | 0.17 |
MICAL2 | -0.0007957 | 10943 | GTEx | DepMap | Descartes | 0.90 | 4.69 |
BLVRB | -0.0013424 | 11900 | GTEx | DepMap | Descartes | 0.97 | 20.56 |
SPECC1 | -0.0014937 | 12050 | GTEx | DepMap | Descartes | 0.20 | 0.72 |
NA | NA | NA | NA | NA | NA | NA | NA |
Descartes myeloid markers
Top 50 marker genes of myeloid cells in the Decartes fetal adrenal single cell map (https://atlas.brotmanbaty.org/bbi/human-gene-expression-during-development/cell/myeloid/in/adrenal)
Wilcoxon ranksum test P-value for gene set overrepresentation: 9.26e-01
Mean rank of genes in gene set: 7124.42
Median rank of genes in gene set: 7212.5
Rank on gene expression program of top 30 genes in gene set:
Genes | Weight | Rank | GTEx | DepMap | Descartes | Mean.Counts | Mean.TPM |
---|---|---|---|---|---|---|---|
SLC1A3 | 0.0028681 | 724 | GTEx | DepMap | Descartes | 1.13 | 10.55 |
FMN1 | 0.0027743 | 773 | GTEx | DepMap | Descartes | 2.54 | 7.18 |
CPVL | 0.0022070 | 1114 | GTEx | DepMap | Descartes | 2.13 | 36.97 |
RBPJ | 0.0021718 | 1139 | GTEx | DepMap | Descartes | 8.60 | 49.72 |
FGD2 | 0.0018148 | 1459 | GTEx | DepMap | Descartes | 0.00 | 0.02 |
MS4A4A | 0.0013402 | 2072 | GTEx | DepMap | Descartes | 0.00 | 0.00 |
IFNGR1 | 0.0012623 | 2179 | GTEx | DepMap | Descartes | 1.50 | 22.54 |
LGMN | 0.0007975 | 3129 | GTEx | DepMap | Descartes | 1.24 | 20.99 |
SLC9A9 | 0.0007925 | 3144 | GTEx | DepMap | Descartes | 0.12 | 1.24 |
ATP8B4 | 0.0007396 | 3282 | GTEx | DepMap | Descartes | 0.01 | 0.06 |
ABCA1 | 0.0003878 | 4359 | GTEx | DepMap | Descartes | 0.24 | 0.86 |
CD163 | 0.0000277 | 5952 | GTEx | DepMap | Descartes | 0.00 | 0.00 |
ITPR2 | -0.0000056 | 6135 | GTEx | DepMap | Descartes | 2.23 | 6.34 |
SLCO2B1 | -0.0000296 | 6290 | GTEx | DepMap | Descartes | 0.00 | 0.00 |
MERTK | -0.0000418 | 6380 | GTEx | DepMap | Descartes | 0.11 | 1.09 |
SPP1 | -0.0000666 | 6596 | GTEx | DepMap | Descartes | 0.06 | 1.06 |
CYBB | -0.0001078 | 7021 | GTEx | DepMap | Descartes | 0.00 | 0.00 |
ADAP2 | -0.0001079 | 7023 | GTEx | DepMap | Descartes | 0.00 | 0.03 |
CD14 | -0.0001251 | 7203 | GTEx | DepMap | Descartes | 0.02 | 0.31 |
HCK | -0.0001268 | 7222 | GTEx | DepMap | Descartes | 0.00 | 0.00 |
CSF1R | -0.0001665 | 7597 | GTEx | DepMap | Descartes | 0.00 | 0.00 |
FGL2 | -0.0001703 | 7639 | GTEx | DepMap | Descartes | 0.00 | 0.00 |
MSR1 | -0.0002028 | 7935 | GTEx | DepMap | Descartes | 0.01 | 0.09 |
WWP1 | -0.0002937 | 8669 | GTEx | DepMap | Descartes | 0.60 | 4.19 |
CD74 | -0.0003754 | 9241 | GTEx | DepMap | Descartes | 0.01 | 0.08 |
CTSC | -0.0004239 | 9496 | GTEx | DepMap | Descartes | 5.81 | 33.07 |
MARCH1 | -0.0004330 | 9541 | GTEx | DepMap | Descartes | 0.05 | NA |
CTSS | -0.0005732 | 10195 | GTEx | DepMap | Descartes | 0.00 | 0.04 |
CTSD | -0.0008695 | 11143 | GTEx | DepMap | Descartes | 2.59 | 42.48 |
RGL1 | -0.0008860 | 11186 | GTEx | DepMap | Descartes | 0.47 | 3.36 |
Descartes Schwann markers
Top 50 marker genes of Schwann cells in the Decartes fetal adrenal single cell map (https://atlas.brotmanbaty.org/bbi/human-gene-expression-during-development/cell/schwann/in/adrenal)
Wilcoxon ranksum test P-value for gene set overrepresentation: 1.00e+00
Mean rank of genes in gene set: 8358.16
Median rank of genes in gene set: 9970
Rank on gene expression program of top 30 genes in gene set:
Genes | Weight | Rank | GTEx | DepMap | Descartes | Mean.Counts | Mean.TPM |
---|---|---|---|---|---|---|---|
PTPRZ1 | 0.0077198 | 62 | GTEx | DepMap | Descartes | 1.54 | 7.35 |
SLC35F1 | 0.0047132 | 266 | GTEx | DepMap | Descartes | 1.07 | 7.86 |
IL1RAPL1 | 0.0040402 | 367 | GTEx | DepMap | Descartes | 0.69 | 7.23 |
SOX5 | 0.0039431 | 390 | GTEx | DepMap | Descartes | 1.30 | 6.88 |
VCAN | 0.0034846 | 499 | GTEx | DepMap | Descartes | 8.63 | 26.09 |
MDGA2 | 0.0029699 | 675 | GTEx | DepMap | Descartes | 0.16 | 1.09 |
FIGN | 0.0014743 | 1854 | GTEx | DepMap | Descartes | 2.26 | 8.62 |
ADAMTS5 | 0.0004413 | 4184 | GTEx | DepMap | Descartes | 1.10 | 4.24 |
PPP2R2B | 0.0004248 | 4240 | GTEx | DepMap | Descartes | 2.15 | 7.23 |
NRXN3 | 0.0001616 | 5273 | GTEx | DepMap | Descartes | 0.03 | 0.12 |
PAG1 | -0.0000036 | 6124 | GTEx | DepMap | Descartes | 0.44 | 1.55 |
ERBB3 | -0.0000310 | 6305 | GTEx | DepMap | Descartes | 0.02 | 0.18 |
PLP1 | -0.0001381 | 7322 | GTEx | DepMap | Descartes | 0.01 | 0.09 |
XKR4 | -0.0001656 | 7589 | GTEx | DepMap | Descartes | 0.00 | 0.00 |
IL1RAPL2 | -0.0002195 | 8071 | GTEx | DepMap | Descartes | 0.00 | 0.00 |
COL25A1 | -0.0002805 | 8574 | GTEx | DepMap | Descartes | 0.00 | 0.00 |
SORCS1 | -0.0002895 | 8643 | GTEx | DepMap | Descartes | 1.06 | 5.22 |
MPZ | -0.0002937 | 8668 | GTEx | DepMap | Descartes | 0.01 | 0.13 |
SCN7A | -0.0003051 | 8767 | GTEx | DepMap | Descartes | 0.02 | 0.09 |
GFRA3 | -0.0003309 | 8945 | GTEx | DepMap | Descartes | 0.02 | 0.35 |
LRRTM4 | -0.0003859 | 9288 | GTEx | DepMap | Descartes | 0.00 | 0.00 |
GAS7 | -0.0004627 | 9695 | GTEx | DepMap | Descartes | 0.00 | 0.00 |
OLFML2A | -0.0005866 | 10245 | GTEx | DepMap | Descartes | 0.02 | 0.07 |
EGFLAM | -0.0006138 | 10367 | GTEx | DepMap | Descartes | 0.00 | 0.03 |
DST | -0.0006469 | 10485 | GTEx | DepMap | Descartes | 10.52 | 16.81 |
LAMC1 | -0.0006511 | 10504 | GTEx | DepMap | Descartes | 1.81 | 7.89 |
EDNRB | -0.0006778 | 10596 | GTEx | DepMap | Descartes | 0.00 | 0.04 |
SFRP1 | -0.0008436 | 11080 | GTEx | DepMap | Descartes | 15.85 | 113.66 |
STARD13 | -0.0008616 | 11124 | GTEx | DepMap | Descartes | 0.17 | 0.80 |
LAMA4 | -0.0008919 | 11201 | GTEx | DepMap | Descartes | 0.06 | 0.21 |
Descartes Megakaryocytes markers
Top 50 marker genes of Megakaryocytes cells in the Decartes fetal adrenal single cell map (https://atlas.brotmanbaty.org/bbi/human-gene-expression-during-development/cell/megakaryocytes/in/adrenal)
Wilcoxon ranksum test P-value for gene set overrepresentation: 1.00e+00
Mean rank of genes in gene set: 8389.27
Median rank of genes in gene set: 9503
Rank on gene expression program of top 30 genes in gene set:
Genes | Weight | Rank | GTEx | DepMap | Descartes | Mean.Counts | Mean.TPM |
---|---|---|---|---|---|---|---|
PRKAR2B | 0.0058404 | 144 | GTEx | DepMap | Descartes | 8.01 | 78.04 |
ACTB | 0.0022006 | 1121 | GTEx | DepMap | Descartes | 116.43 | 1769.36 |
HIPK2 | 0.0014142 | 1956 | GTEx | DepMap | Descartes | 4.06 | 9.35 |
DOK6 | 0.0011817 | 2325 | GTEx | DepMap | Descartes | 1.19 | 4.96 |
RAP1B | 0.0011094 | 2458 | GTEx | DepMap | Descartes | 11.30 | 30.60 |
STON2 | 0.0009425 | 2773 | GTEx | DepMap | Descartes | 0.68 | 5.65 |
MED12L | 0.0008608 | 2973 | GTEx | DepMap | Descartes | 0.55 | 1.97 |
PLEK | 0.0007873 | 3158 | GTEx | DepMap | Descartes | 0.01 | 0.07 |
CD84 | 0.0007598 | 3231 | GTEx | DepMap | Descartes | 0.01 | 0.02 |
INPP4B | 0.0005034 | 3967 | GTEx | DepMap | Descartes | 0.27 | 1.05 |
PSTPIP2 | 0.0002193 | 5031 | GTEx | DepMap | Descartes | 0.22 | 2.46 |
CD9 | 0.0000851 | 5622 | GTEx | DepMap | Descartes | 7.44 | 152.01 |
ITGB3 | 0.0000591 | 5776 | GTEx | DepMap | Descartes | 0.02 | 0.13 |
UBASH3B | 0.0000303 | 5939 | GTEx | DepMap | Descartes | 0.16 | 0.73 |
TRPC6 | -0.0000386 | 6358 | GTEx | DepMap | Descartes | 0.00 | 0.00 |
GP1BA | -0.0000945 | 6872 | GTEx | DepMap | Descartes | 0.01 | 0.12 |
TUBB1 | -0.0001530 | 7467 | GTEx | DepMap | Descartes | 0.00 | 0.02 |
MMRN1 | -0.0002400 | 8268 | GTEx | DepMap | Descartes | 0.00 | 0.00 |
ITGA2B | -0.0002580 | 8390 | GTEx | DepMap | Descartes | 0.01 | 0.05 |
MYH9 | -0.0002642 | 8457 | GTEx | DepMap | Descartes | 3.37 | 15.38 |
P2RX1 | -0.0003100 | 8805 | GTEx | DepMap | Descartes | 0.00 | 0.00 |
SPN | -0.0004199 | 9468 | GTEx | DepMap | Descartes | 0.01 | 0.02 |
MCTP1 | -0.0004248 | 9503 | GTEx | DepMap | Descartes | 0.14 | 0.78 |
PDE3A | -0.0005893 | 10264 | GTEx | DepMap | Descartes | 0.08 | 0.37 |
SLC24A3 | -0.0007420 | 10792 | GTEx | DepMap | Descartes | 0.03 | 0.25 |
LIMS1 | -0.0008446 | 11084 | GTEx | DepMap | Descartes | 3.95 | 30.56 |
ARHGAP6 | -0.0009321 | 11277 | GTEx | DepMap | Descartes | 0.02 | 0.07 |
ANGPT1 | -0.0009440 | 11309 | GTEx | DepMap | Descartes | 0.12 | 0.75 |
GSN | -0.0009836 | 11398 | GTEx | DepMap | Descartes | 0.47 | 2.39 |
RAB27B | -0.0010174 | 11457 | GTEx | DepMap | Descartes | 0.18 | 0.75 |
Descartes Lyphoid markers
Top 50 marker genes of Lyphoid cells in the Decartes fetal adrenal single cell map (https://atlas.brotmanbaty.org/bbi/human-gene-expression-during-development/cell/lymphoid/in/adrenal)
Wilcoxon ranksum test P-value for gene set overrepresentation: 9.91e-01
Mean rank of genes in gene set: 7603.36
Median rank of genes in gene set: 8360
Rank on gene expression program of top 30 genes in gene set:
Genes | Weight | Rank | GTEx | DepMap | Descartes | Mean.Counts | Mean.TPM |
---|---|---|---|---|---|---|---|
LEF1 | 0.0083341 | 55 | GTEx | DepMap | Descartes | 1.41 | 15.19 |
CELF2 | 0.0021699 | 1144 | GTEx | DepMap | Descartes | 1.21 | 5.52 |
PDE3B | 0.0018148 | 1460 | GTEx | DepMap | Descartes | 1.49 | 9.52 |
EVL | 0.0017322 | 1551 | GTEx | DepMap | Descartes | 5.95 | 58.75 |
STK39 | 0.0016752 | 1614 | GTEx | DepMap | Descartes | 2.34 | 26.04 |
SORL1 | 0.0015896 | 1715 | GTEx | DepMap | Descartes | 0.85 | 2.93 |
FOXP1 | 0.0014586 | 1893 | GTEx | DepMap | Descartes | 4.17 | 16.04 |
TMSB10 | 0.0009709 | 2718 | GTEx | DepMap | Descartes | 203.56 | 14113.10 |
PITPNC1 | 0.0006483 | 3530 | GTEx | DepMap | Descartes | 1.52 | 9.05 |
BACH2 | 0.0005985 | 3685 | GTEx | DepMap | Descartes | 0.32 | 1.22 |
ABLIM1 | 0.0004309 | 4219 | GTEx | DepMap | Descartes | 2.76 | 12.74 |
BCL2 | 0.0003328 | 4562 | GTEx | DepMap | Descartes | 1.20 | 5.74 |
CCND3 | 0.0001857 | 5166 | GTEx | DepMap | Descartes | 0.97 | 14.29 |
ARHGAP15 | 0.0001161 | 5466 | GTEx | DepMap | Descartes | 0.00 | 0.03 |
NCALD | 0.0000620 | 5756 | GTEx | DepMap | Descartes | 0.61 | 5.55 |
CCL5 | -0.0000756 | 6677 | GTEx | DepMap | Descartes | 0.00 | 0.08 |
DOCK10 | -0.0001291 | 7251 | GTEx | DepMap | Descartes | 0.40 | 2.03 |
SKAP1 | -0.0001978 | 7890 | GTEx | DepMap | Descartes | 0.00 | 0.00 |
SCML4 | -0.0002232 | 8112 | GTEx | DepMap | Descartes | 0.00 | 0.01 |
IKZF1 | -0.0002291 | 8168 | GTEx | DepMap | Descartes | 0.00 | 0.00 |
SAMD3 | -0.0002500 | 8332 | GTEx | DepMap | Descartes | 0.00 | 0.00 |
FYN | -0.0002578 | 8388 | GTEx | DepMap | Descartes | 2.15 | 21.20 |
MCTP2 | -0.0002743 | 8531 | GTEx | DepMap | Descartes | 0.00 | 0.00 |
GNG2 | -0.0002794 | 8568 | GTEx | DepMap | Descartes | 2.20 | 20.38 |
ETS1 | -0.0003400 | 9000 | GTEx | DepMap | Descartes | 0.68 | 4.34 |
RCSD1 | -0.0003536 | 9091 | GTEx | DepMap | Descartes | 0.00 | 0.02 |
PRKCH | -0.0003979 | 9353 | GTEx | DepMap | Descartes | 0.04 | 0.39 |
LCP1 | -0.0006335 | 10436 | GTEx | DepMap | Descartes | 0.07 | 0.47 |
ANKRD44 | -0.0007455 | 10805 | GTEx | DepMap | Descartes | 0.33 | 1.64 |
ITPKB | -0.0008089 | 10979 | GTEx | DepMap | Descartes | 0.04 | 0.25 |
Below shows the ranks on this GEP for immune marker gene lists curated by CellTypist (https://www.celltypist.org/encyclopedia).
High ranks indicate this gene is a driver of this GEP.
These curated gene list are ranked by P-value (on this GEP) of their constituent genes.
The Mean Count column shows the mean read count in cells scoring highly (H > 50) on this gene expression program.
Genes | Weight | Rank | GTEx | DepMap | Decartes | Mean.Counts | Mean.TPM |
---|---|---|---|---|---|---|---|
CKB | 0.0105518 | 18 | GTEx | DepMap | Descartes | 62.84 | 1605.8 |
B-cell lineage: Large pre-B cells (model markers)
proliferative B lymphocyte precursors derived from Pro-B cells and expressing membrane μ chains with surrogate light chains in their receptors:
Wilcoxon ranksum test P-value for gene set overrepresentation: 5.15e-02
Mean rank of genes in gene set: 367
Rank on gene expression program of genes in gene set:
Genes | Weight | Rank | GTEx | DepMap | Decartes | Mean.Counts | Mean.TPM |
---|---|---|---|---|---|---|---|
IL1RAPL1 | 0.0040402 | 367 | GTEx | DepMap | Descartes | 0.69 | 7.23 |
DC: DC1 (model markers)
conventional type 1 dendritic cells which constitute a rare dendritic cell population with superior cross-presentation ability:
Wilcoxon ranksum test P-value for gene set overrepresentation: 5.15e-02
Mean rank of genes in gene set: 367
Rank on gene expression program of genes in gene set:
Genes | Weight | Rank | GTEx | DepMap | Decartes | Mean.Counts | Mean.TPM |
---|---|---|---|---|---|---|---|
IL1RAPL1 | 0.0040402 | 367 | GTEx | DepMap | Descartes | 0.69 | 7.23 |