QQ-plot of gene loadings, averaged over both independent splits of the data
This plot highlights the relative contribution of each gene to the GEP
Top genes driving this program.
Note: Decartes website is buggy, try refreshing. Also, Decartes fetal adrenal data have been collected at specific time points (89-122 days), all possible cell types of interest may not be represented, do not overinterpret.
The Mean Count column shows the mean read count in cells scoring highly (H > 50) on this gene expression program.
Gene | Loading | Gene.Name | GTEx | DepMap | Descartes | Mean.Counts | Mean.Tpm | |
---|---|---|---|---|---|---|---|---|
1 | FDCSP | 0.0421803 | follicular dendritic cell secreted protein | GTEx | DepMap | Descartes | 0.13 | 73.99 |
2 | CCL21 | 0.0405716 | C-C motif chemokine ligand 21 | GTEx | DepMap | Descartes | 26.39 | 5497.92 |
3 | TFF3 | 0.0401989 | trefoil factor 3 | GTEx | DepMap | Descartes | 12.29 | NA |
4 | CCL19 | 0.0272156 | C-C motif chemokine ligand 19 | GTEx | DepMap | Descartes | 1.36 | 583.76 |
5 | AL583785.1 | 0.0199793 | NA | GTEx | DepMap | Descartes | 1.04 | NA |
6 | PTX3 | 0.0168054 | pentraxin 3 | GTEx | DepMap | Descartes | 2.12 | 196.52 |
7 | AC007998.3 | 0.0158939 | NA | GTEx | DepMap | Descartes | 0.26 | NA |
8 | MMRN1 | 0.0152990 | multimerin 1 | GTEx | DepMap | Descartes | 8.81 | 307.47 |
9 | TBX1 | 0.0138007 | T-box transcription factor 1 | GTEx | DepMap | Descartes | 0.87 | 99.18 |
10 | CXCL13 | 0.0136096 | C-X-C motif chemokine ligand 13 | GTEx | DepMap | Descartes | 0.03 | 6.31 |
11 | NFIA-AS2 | 0.0130712 | NFIA antisense RNA 2 | GTEx | DepMap | Descartes | 0.40 | NA |
12 | UBD | 0.0124445 | ubiquitin D | GTEx | DepMap | Descartes | 0.00 | 0.00 |
13 | NTS | 0.0122610 | neurotensin | GTEx | DepMap | Descartes | 44.22 | 5133.95 |
14 | CTHRC1 | 0.0109667 | collagen triple helix repeat containing 1 | GTEx | DepMap | Descartes | 1.87 | 241.87 |
15 | MPP7 | 0.0109331 | MAGUK p55 scaffold protein 7 | GTEx | DepMap | Descartes | 1.04 | 47.64 |
16 | SPHK1 | 0.0102605 | sphingosine kinase 1 | GTEx | DepMap | Descartes | 1.19 | 84.77 |
17 | PARD6G | 0.0099726 | par-6 family cell polarity regulator gamma | GTEx | DepMap | Descartes | 1.23 | 64.47 |
18 | ELMOD1 | 0.0097438 | ELMO domain containing 1 | GTEx | DepMap | Descartes | 0.57 | 60.88 |
19 | SCNN1B | 0.0087283 | sodium channel epithelial 1 subunit beta | GTEx | DepMap | Descartes | 0.10 | 9.34 |
20 | STAB2 | 0.0087175 | stabilin 2 | GTEx | DepMap | Descartes | 2.05 | 53.56 |
21 | PROX1 | 0.0076048 | prospero homeobox 1 | GTEx | DepMap | Descartes | 2.30 | 63.57 |
22 | RSPH4A | 0.0074861 | radial spoke head component 4A | GTEx | DepMap | Descartes | 0.22 | 8.81 |
23 | VWF | 0.0070241 | von Willebrand factor | GTEx | DepMap | Descartes | 6.18 | 172.48 |
24 | LBHD2 | 0.0070090 | LBH domain containing 2 | GTEx | DepMap | Descartes | 0.00 | NA |
25 | PKHD1L1 | 0.0068186 | PKHD1 like 1 | GTEx | DepMap | Descartes | 0.66 | 8.42 |
26 | AP001636.3 | 0.0068113 | NA | GTEx | DepMap | Descartes | 0.03 | NA |
27 | TNFRSF11A | 0.0067017 | TNF receptor superfamily member 11a | GTEx | DepMap | Descartes | 0.44 | 14.52 |
28 | ZNF831 | 0.0066773 | zinc finger protein 831 | GTEx | DepMap | Descartes | 0.16 | 1.52 |
29 | PPFIBP1 | 0.0065391 | PPFIA binding protein 1 | GTEx | DepMap | Descartes | 5.92 | 200.33 |
30 | PGM5 | 0.0065125 | phosphoglucomutase 5 | GTEx | DepMap | Descartes | 2.18 | 94.56 |
31 | BMX | 0.0064580 | BMX non-receptor tyrosine kinase | GTEx | DepMap | Descartes | 0.27 | 15.88 |
32 | RASSF9 | 0.0064250 | Ras association domain family member 9 | GTEx | DepMap | Descartes | 1.38 | 42.16 |
33 | TFPI | 0.0063950 | tissue factor pathway inhibitor | GTEx | DepMap | Descartes | 19.91 | 537.90 |
34 | SEMA3A | 0.0063327 | semaphorin 3A | GTEx | DepMap | Descartes | 0.96 | 19.54 |
35 | KBTBD11 | 0.0059584 | kelch repeat and BTB domain containing 11 | GTEx | DepMap | Descartes | 1.71 | 51.20 |
36 | RELN | 0.0058658 | reelin | GTEx | DepMap | Descartes | 2.04 | 30.89 |
37 | PDPN | 0.0058576 | podoplanin | GTEx | DepMap | Descartes | 0.74 | 46.43 |
38 | C17orf64 | 0.0055219 | chromosome 17 open reading frame 64 | GTEx | DepMap | Descartes | 0.01 | 0.92 |
39 | AC090409.2 | 0.0054022 | NA | GTEx | DepMap | Descartes | 0.00 | NA |
40 | S100A10 | 0.0053900 | S100 calcium binding protein A10 | GTEx | DepMap | Descartes | 22.30 | 5796.84 |
41 | CLDN5 | 0.0053733 | claudin 5 | GTEx | DepMap | Descartes | 14.51 | 1119.29 |
42 | HAPLN3 | 0.0053331 | hyaluronan and proteoglycan link protein 3 | GTEx | DepMap | Descartes | 0.87 | 55.17 |
43 | ATP5F1E | 0.0052881 | ATP synthase F1 subunit epsilon | GTEx | DepMap | Descartes | 30.27 | NA |
44 | OMG | 0.0050365 | oligodendrocyte myelin glycoprotein | GTEx | DepMap | Descartes | 0.21 | 28.77 |
45 | RHOJ | 0.0050353 | ras homolog family member J | GTEx | DepMap | Descartes | 1.52 | 85.32 |
46 | AC100797.4 | 0.0049926 | NA | GTEx | DepMap | Descartes | 0.03 | NA |
47 | TRMT9B | 0.0048250 | tRNA methyltransferase 9B (putative) | GTEx | DepMap | Descartes | 0.69 | NA |
48 | AC004862.1 | 0.0047402 | NA | GTEx | DepMap | Descartes | 0.01 | 0.61 |
49 | RRAD | 0.0046923 | RRAD, Ras related glycolysis inhibitor and calcium channel regulator | GTEx | DepMap | Descartes | 1.43 | 155.84 |
50 | AL354993.1 | 0.0046722 | NA | GTEx | DepMap | Descartes | 0.01 | 1.11 |
UMAP plots showing activity of gene expression program identified in GEP 42. Endothelial VI:
Gene set Enrichments for this program, caculated from top 50 genes
mSigDB Cell Types Gene Set:
P-value | OR | Lower 95% CI | FDR | FWER | Genes Found | Gene Set Size | |
---|---|---|---|---|---|---|---|
DESCARTES_FETAL_STOMACH_LYMPHATIC_ENDOTHELIAL_CELLS | 7.85e-17 | 307.35 | 107.15 | 5.85e-15 | 5.27e-14 | 8CCL21, MMRN1, NTS, PARD6G, STAB2, AP001636.3, RASSF9, TFPI |
24 |
DESCARTES_FETAL_PANCREAS_LYMPHATIC_ENDOTHELIAL_CELLS | 7.76e-26 | 194.93 | 91.85 | 2.60e-23 | 5.21e-23 | 14MMRN1, TBX1, NTS, CTHRC1, MPP7, PARD6G, ELMOD1, STAB2, AP001636.3, TNFRSF11A, PGM5, RASSF9, TFPI, TRMT9B |
65 |
DESCARTES_FETAL_HEART_LYMPHATIC_ENDOTHELIAL_CELLS | 5.12e-19 | 194.12 | 79.97 | 5.73e-17 | 3.44e-16 | 10CCL21, TFF3, PTX3, TBX1, NTS, MPP7, SPHK1, PARD6G, STAB2, PROX1 |
43 |
DESCARTES_FETAL_INTESTINE_LYMPHATIC_ENDOTHELIAL_CELLS | 2.76e-17 | 194.13 | 76.02 | 2.32e-15 | 1.85e-14 | 9CCL21, MMRN1, TBX1, MPP7, PARD6G, ELMOD1, STAB2, PROX1, TFPI |
38 |
DESCARTES_FETAL_MUSCLE_LYMPHATIC_ENDOTHELIAL_CELLS | 1.30e-20 | 130.85 | 59.33 | 1.74e-18 | 8.72e-18 | 12CCL21, TFF3, PTX3, TBX1, NFIA-AS2, NTS, PARD6G, STAB2, PROX1, PPFIBP1, RASSF9, KBTBD11 |
74 |
DESCARTES_MAIN_FETAL_LYMPHATIC_ENDOTHELIAL_CELLS | 7.43e-22 | 123.30 | 57.78 | 1.25e-19 | 4.99e-19 | 13PTX3, TBX1, NTS, SPHK1, PARD6G, STAB2, TNFRSF11A, PPFIBP1, PGM5, RASSF9, TFPI, KBTBD11, RHOJ |
86 |
TRAVAGLINI_LUNG_LYMPHATIC_CELL | 1.97e-31 | 98.87 | 52.71 | 1.32e-28 | 1.32e-28 | 21CCL21, TFF3, PTX3, MMRN1, TBX1, NFIA-AS2, NTS, MPP7, SPHK1, PARD6G, SCNN1B, STAB2, PROX1, PKHD1L1, PPFIBP1, PGM5, SEMA3A, RELN, PDPN, S100A10, RHOJ |
209 |
DESCARTES_FETAL_THYMUS_VASCULAR_ENDOTHELIAL_CELLS | 3.00e-23 | 94.95 | 46.94 | 6.72e-21 | 2.01e-20 | 15CCL21, MMRN1, MPP7, STAB2, PROX1, VWF, PKHD1L1, TNFRSF11A, PPFIBP1, PGM5, TFPI, SEMA3A, RELN, CLDN5, RHOJ |
131 |
DESCARTES_FETAL_LUNG_LYMPHATIC_ENDOTHELIAL_CELLS | 1.17e-16 | 105.01 | 44.95 | 7.87e-15 | 7.87e-14 | 10CCL21, PTX3, NFIA-AS2, NTS, CTHRC1, PARD6G, STAB2, PPFIBP1, RELN, HAPLN3 |
71 |
LAKE_ADULT_KIDNEY_C25_ENDOTHELIAL_CELLS_UNASSIGNED | 1.05e-08 | 86.56 | 25.22 | 5.90e-07 | 7.08e-06 | 5MMRN1, PROX1, PPFIBP1, TFPI, SEMA3A |
38 |
FAN_OVARY_CL16_LYMPHATIC_ENDOTHELIAL_CELL | 9.43e-18 | 45.89 | 22.53 | 9.04e-16 | 6.33e-15 | 14CCL21, TFF3, PTX3, MMRN1, NTS, CTHRC1, PROX1, VWF, PPFIBP1, TFPI, PDPN, S100A10, CLDN5, ATP5F1E |
232 |
DESCARTES_FETAL_PANCREAS_CCL19_CCL21_POSITIVE_CELLS | 1.66e-07 | 47.61 | 14.26 | 8.57e-06 | 1.11e-04 | 5FDCSP, CCL21, CCL19, CXCL13, UBD |
65 |
AIZARANI_LIVER_C29_MVECS_2 | 7.39e-09 | 18.61 | 7.88 | 4.50e-07 | 4.96e-06 | 9MMRN1, NTS, VWF, PGM5, BMX, TFPI, S100A10, CLDN5, RHOJ |
313 |
CUI_DEVELOPING_HEART_C4_ENDOTHELIAL_CELL | 9.08e-06 | 20.30 | 6.19 | 4.06e-04 | 6.09e-03 | 5MMRN1, CTHRC1, VWF, BMX, TFPI |
146 |
DESCARTES_FETAL_PLACENTA_VASCULAR_ENDOTHELIAL_CELLS | 4.53e-05 | 22.86 | 5.86 | 1.60e-03 | 3.04e-02 | 4NTS, RASSF9, CLDN5, RHOJ |
102 |
AIZARANI_LIVER_C13_LSECS_2 | 1.10e-06 | 15.19 | 5.72 | 5.27e-05 | 7.37e-04 | 7NTS, STAB2, PPFIBP1, PGM5, TFPI, RELN, CLDN5 |
283 |
GAO_LARGE_INTESTINE_24W_C2_MKI67POS_PROGENITOR | 6.75e-05 | 20.54 | 5.28 | 2.16e-03 | 4.53e-02 | 4MMRN1, VWF, TFPI, CLDN5 |
113 |
AIZARANI_LIVER_C32_MVECS_3 | 9.97e-05 | 18.51 | 4.76 | 3.04e-03 | 6.69e-02 | 4VWF, PPFIBP1, BMX, TFPI |
125 |
AIZARANI_LIVER_C10_MVECS_1 | 1.24e-05 | 13.35 | 4.61 | 5.19e-04 | 8.30e-03 | 6MMRN1, NTS, VWF, PGM5, CLDN5, RHOJ |
269 |
DESCARTES_FETAL_LIVER_VASCULAR_ENDOTHELIAL_CELLS | 1.63e-04 | 16.23 | 4.19 | 4.75e-03 | 1.09e-01 | 4NTS, STAB2, BMX, RASSF9 |
142 |
Dowload full table
mSigDB Hallmark Gene Sets:
P-value | OR | Lower 95% CI | FDR | FWER | Genes Found | Gene Set Size | |
---|---|---|---|---|---|---|---|
HALLMARK_APICAL_JUNCTION | 6.73e-03 | 8.34 | 1.65 | 1.68e-01 | 3.37e-01 | 3PARD6G, VWF, CLDN5 |
200 |
HALLMARK_P53_PATHWAY | 6.73e-03 | 8.34 | 1.65 | 1.68e-01 | 3.37e-01 | 3SPHK1, S100A10, RRAD |
200 |
HALLMARK_TNFA_SIGNALING_VIA_NFKB | 5.67e-02 | 5.42 | 0.63 | 4.05e-01 | 1.00e+00 | 2PTX3, SPHK1 |
200 |
HALLMARK_EPITHELIAL_MESENCHYMAL_TRANSITION | 5.67e-02 | 5.42 | 0.63 | 4.05e-01 | 1.00e+00 | 2PTX3, CTHRC1 |
200 |
HALLMARK_INFLAMMATORY_RESPONSE | 5.67e-02 | 5.42 | 0.63 | 4.05e-01 | 1.00e+00 | 2SPHK1, PDPN |
200 |
HALLMARK_ALLOGRAFT_REJECTION | 5.67e-02 | 5.42 | 0.63 | 4.05e-01 | 1.00e+00 | 2CCL19, CXCL13 |
200 |
HALLMARK_KRAS_SIGNALING_UP | 5.67e-02 | 5.42 | 0.63 | 4.05e-01 | 1.00e+00 | 2TFPI, RELN |
200 |
HALLMARK_IL6_JAK_STAT3_SIGNALING | 1.55e-01 | 6.11 | 0.15 | 9.42e-01 | 1.00e+00 | 1CXCL13 |
87 |
HALLMARK_COAGULATION | 2.34e-01 | 3.84 | 0.09 | 9.42e-01 | 1.00e+00 | 1VWF |
138 |
HALLMARK_UV_RESPONSE_DN | 2.43e-01 | 3.68 | 0.09 | 9.42e-01 | 1.00e+00 | 1TFPI |
144 |
HALLMARK_FATTY_ACID_METABOLISM | 2.63e-01 | 3.35 | 0.08 | 9.42e-01 | 1.00e+00 | 1S100A10 |
158 |
HALLMARK_UV_RESPONSE_UP | 2.63e-01 | 3.35 | 0.08 | 9.42e-01 | 1.00e+00 | 1RRAD |
158 |
HALLMARK_ESTROGEN_RESPONSE_EARLY | 3.20e-01 | 2.64 | 0.07 | 9.42e-01 | 1.00e+00 | 1TFF3 |
200 |
HALLMARK_ESTROGEN_RESPONSE_LATE | 3.20e-01 | 2.64 | 0.07 | 9.42e-01 | 1.00e+00 | 1TFF3 |
200 |
HALLMARK_MYOGENESIS | 3.20e-01 | 2.64 | 0.07 | 9.42e-01 | 1.00e+00 | 1SPHK1 |
200 |
HALLMARK_OXIDATIVE_PHOSPHORYLATION | 3.20e-01 | 2.64 | 0.07 | 9.42e-01 | 1.00e+00 | 1ATP5F1E |
200 |
HALLMARK_GLYCOLYSIS | 3.20e-01 | 2.64 | 0.07 | 9.42e-01 | 1.00e+00 | 1TFF3 |
200 |
HALLMARK_HYPOXIA | 1.00e+00 | 0.00 | 0.00 | 1.00e+00 | 1.00e+00 | 0 |
200 |
HALLMARK_CHOLESTEROL_HOMEOSTASIS | 1.00e+00 | 0.00 | 0.00 | 1.00e+00 | 1.00e+00 | 0 |
74 |
HALLMARK_MITOTIC_SPINDLE | 1.00e+00 | 0.00 | 0.00 | 1.00e+00 | 1.00e+00 | 0 |
199 |
Dowload full table
KEGG Pathways:
P-value | OR | Lower 95% CI | FDR | FWER | Genes Found | Gene Set Size | |
---|---|---|---|---|---|---|---|
KEGG_CYTOKINE_CYTOKINE_RECEPTOR_INTERACTION | 1.66e-03 | 8.58 | 2.23 | 3.09e-01 | 3.09e-01 | 4CCL21, CCL19, CXCL13, TNFRSF11A |
265 |
KEGG_COMPLEMENT_AND_COAGULATION_CASCADES | 7.90e-03 | 16.01 | 1.85 | 4.90e-01 | 1.00e+00 | 2VWF, TFPI |
69 |
KEGG_CHEMOKINE_SIGNALING_PATHWAY | 5.77e-03 | 8.84 | 1.74 | 4.90e-01 | 1.00e+00 | 3CCL21, CCL19, CXCL13 |
189 |
KEGG_ECM_RECEPTOR_INTERACTION | 1.15e-02 | 13.08 | 1.52 | 5.35e-01 | 1.00e+00 | 2VWF, RELN |
84 |
KEGG_TIGHT_JUNCTION | 2.68e-02 | 8.26 | 0.96 | 9.99e-01 | 1.00e+00 | 2PARD6G, CLDN5 |
132 |
KEGG_FOCAL_ADHESION | 5.62e-02 | 5.45 | 0.64 | 1.00e+00 | 1.00e+00 | 2VWF, RELN |
199 |
KEGG_SPHINGOLIPID_METABOLISM | 7.28e-02 | 13.83 | 0.33 | 1.00e+00 | 1.00e+00 | 1SPHK1 |
39 |
KEGG_ALDOSTERONE_REGULATED_SODIUM_REABSORPTION | 7.81e-02 | 12.81 | 0.31 | 1.00e+00 | 1.00e+00 | 1SCNN1B |
42 |
KEGG_TASTE_TRANSDUCTION | 9.58e-02 | 10.31 | 0.25 | 1.00e+00 | 1.00e+00 | 1SCNN1B |
52 |
KEGG_VEGF_SIGNALING_PATHWAY | 1.37e-01 | 7.01 | 0.17 | 1.00e+00 | 1.00e+00 | 1SPHK1 |
76 |
KEGG_FC_GAMMA_R_MEDIATED_PHAGOCYTOSIS | 1.70e-01 | 5.53 | 0.14 | 1.00e+00 | 1.00e+00 | 1SPHK1 |
96 |
KEGG_LEUKOCYTE_TRANSENDOTHELIAL_MIGRATION | 2.01e-01 | 4.57 | 0.11 | 1.00e+00 | 1.00e+00 | 1CLDN5 |
116 |
KEGG_AXON_GUIDANCE | 2.21e-01 | 4.11 | 0.10 | 1.00e+00 | 1.00e+00 | 1SEMA3A |
129 |
KEGG_PARKINSONS_DISEASE | 2.22e-01 | 4.08 | 0.10 | 1.00e+00 | 1.00e+00 | 1ATP5F1E |
130 |
KEGG_OXIDATIVE_PHOSPHORYLATION | 2.25e-01 | 4.01 | 0.10 | 1.00e+00 | 1.00e+00 | 1ATP5F1E |
132 |
KEGG_CELL_ADHESION_MOLECULES_CAMS | 2.27e-01 | 3.98 | 0.10 | 1.00e+00 | 1.00e+00 | 1CLDN5 |
133 |
KEGG_ALZHEIMERS_DISEASE | 2.74e-01 | 3.19 | 0.08 | 1.00e+00 | 1.00e+00 | 1ATP5F1E |
166 |
KEGG_CALCIUM_SIGNALING_PATHWAY | 2.91e-01 | 2.97 | 0.07 | 1.00e+00 | 1.00e+00 | 1SPHK1 |
178 |
KEGG_ENDOCYTOSIS | 2.95e-01 | 2.92 | 0.07 | 1.00e+00 | 1.00e+00 | 1PARD6G |
181 |
KEGG_HUNTINGTONS_DISEASE | 2.96e-01 | 2.90 | 0.07 | 1.00e+00 | 1.00e+00 | 1ATP5F1E |
182 |
Dowload full table
CHR Positional Gene Sets:
P-value | OR | Lower 95% CI | FDR | FWER | Genes Found | Gene Set Size | |
---|---|---|---|---|---|---|---|
chr12q21 | 2.54e-02 | 8.52 | 0.99 | 1.00e+00 | 1.00e+00 | 2NTS, RASSF9 |
128 |
chr9p13 | 4.25e-02 | 6.39 | 0.75 | 1.00e+00 | 1.00e+00 | 2CCL21, CCL19 |
170 |
chr8p23 | 6.58e-02 | 4.97 | 0.58 | 1.00e+00 | 1.00e+00 | 2KBTBD11, AC100797.4 |
218 |
chr18q23 | 7.28e-02 | 13.83 | 0.33 | 1.00e+00 | 1.00e+00 | 1PARD6G |
39 |
chr22q11 | 1.67e-01 | 2.81 | 0.33 | 1.00e+00 | 1.00e+00 | 2TBX1, CLDN5 |
384 |
chr20q13 | 1.77e-01 | 2.70 | 0.32 | 1.00e+00 | 1.00e+00 | 2ZNF831, ATP5F1E |
400 |
chr8q23 | 8.17e-02 | 12.22 | 0.30 | 1.00e+00 | 1.00e+00 | 1PKHD1L1 |
44 |
chr8p22 | 8.35e-02 | 11.94 | 0.29 | 1.00e+00 | 1.00e+00 | 1TRMT9B |
45 |
chr4q22 | 1.27e-01 | 7.62 | 0.19 | 1.00e+00 | 1.00e+00 | 1MMRN1 |
70 |
chr12p11 | 1.39e-01 | 6.91 | 0.17 | 1.00e+00 | 1.00e+00 | 1PPFIBP1 |
77 |
chr11q22 | 1.73e-01 | 5.42 | 0.13 | 1.00e+00 | 1.00e+00 | 1ELMOD1 |
98 |
chr2q32 | 1.89e-01 | 4.91 | 0.12 | 1.00e+00 | 1.00e+00 | 1TFPI |
108 |
chr17q23 | 1.95e-01 | 4.74 | 0.12 | 1.00e+00 | 1.00e+00 | 1C17orf64 |
112 |
chr6q22 | 2.06e-01 | 4.46 | 0.11 | 1.00e+00 | 1.00e+00 | 1RSPH4A |
119 |
chr14q23 | 2.13e-01 | 4.27 | 0.11 | 1.00e+00 | 1.00e+00 | 1RHOJ |
124 |
chr10p12 | 2.30e-01 | 3.92 | 0.10 | 1.00e+00 | 1.00e+00 | 1MPP7 |
135 |
chr12q23 | 2.44e-01 | 3.65 | 0.09 | 1.00e+00 | 1.00e+00 | 1STAB2 |
145 |
chr3q25 | 2.55e-01 | 3.48 | 0.09 | 1.00e+00 | 1.00e+00 | 1PTX3 |
152 |
chr8q22 | 2.56e-01 | 3.46 | 0.09 | 1.00e+00 | 1.00e+00 | 1CTHRC1 |
153 |
chr17q11 | 2.67e-01 | 3.29 | 0.08 | 1.00e+00 | 1.00e+00 | 1OMG |
161 |
Dowload full table
Transcription Factor Targets:
P-value | OR | Lower 95% CI | FDR | FWER | Genes Found | Gene Set Size | |
---|---|---|---|---|---|---|---|
IRF2_01 | 1.13e-04 | 17.92 | 4.61 | 1.01e-01 | 1.28e-01 | 4TBX1, UBD, PROX1, PGM5 |
129 |
AREB6_01 | 1.78e-04 | 10.64 | 3.27 | 1.01e-01 | 2.01e-01 | 5CTHRC1, PROX1, VWF, CLDN5, RRAD |
274 |
IRF1_01 | 1.45e-03 | 8.92 | 2.32 | 5.47e-01 | 1.00e+00 | 4TBX1, UBD, PROX1, PGM5 |
255 |
CTTTAAR_UNKNOWN | 2.35e-03 | 4.25 | 1.61 | 6.64e-01 | 1.00e+00 | 7PROX1, SEMA3A, PDPN, S100A10, HAPLN3, OMG, TRMT9B |
994 |
CAGNWMCNNNGAC_UNKNOWN | 1.26e-02 | 12.48 | 1.45 | 1.00e+00 | 1.00e+00 | 2CCL21, OMG |
88 |
SYATTGTG_UNKNOWN | 1.01e-02 | 7.18 | 1.42 | 1.00e+00 | 1.00e+00 | 3SEMA3A, CLDN5, OMG |
232 |
CREL_01 | 1.32e-02 | 6.47 | 1.28 | 1.00e+00 | 1.00e+00 | 3UBD, S100A10, CLDN5 |
257 |
AREB6_02 | 1.35e-02 | 6.42 | 1.27 | 1.00e+00 | 1.00e+00 | 3PROX1, SEMA3A, OMG |
259 |
IRF1_Q6 | 1.40e-02 | 6.32 | 1.25 | 1.00e+00 | 1.00e+00 | 3TBX1, UBD, PROX1 |
263 |
TGAYRTCA_ATF3_Q6 | 2.01e-02 | 4.11 | 1.07 | 1.00e+00 | 1.00e+00 | 4NTS, PPFIBP1, RHOJ, RRAD |
549 |
TGGAAA_NFAT_Q4_01 | 2.14e-02 | 2.55 | 1.03 | 1.00e+00 | 1.00e+00 | 8UBD, CTHRC1, ELMOD1, PPFIBP1, BMX, SEMA3A, S100A10, TRMT9B |
1934 |
GRE_C | 2.57e-02 | 8.45 | 0.98 | 1.00e+00 | 1.00e+00 | 2SEMA3A, TRMT9B |
129 |
PR_02 | 2.80e-02 | 8.07 | 0.94 | 1.00e+00 | 1.00e+00 | 2PROX1, SEMA3A |
135 |
TTANTCA_UNKNOWN | 3.37e-02 | 2.98 | 0.92 | 1.00e+00 | 1.00e+00 | 5PROX1, SEMA3A, S100A10, OMG, TRMT9B |
967 |
ZNF596_TARGET_GENES | 3.51e-02 | 3.44 | 0.90 | 1.00e+00 | 1.00e+00 | 4ELMOD1, PROX1, SEMA3A, AC100797.4 |
656 |
AAAYRNCTG_UNKNOWN | 3.48e-02 | 4.42 | 0.88 | 1.00e+00 | 1.00e+00 | 3BMX, CLDN5, OMG |
375 |
YNGTTNNNATT_UNKNOWN | 3.50e-02 | 4.41 | 0.87 | 1.00e+00 | 1.00e+00 | 3ELMOD1, SEMA3A, OMG |
376 |
YTATTTTNR_MEF2_02 | 4.54e-02 | 3.15 | 0.82 | 1.00e+00 | 1.00e+00 | 4NTS, CTHRC1, MPP7, OMG |
715 |
SMTTTTGT_UNKNOWN | 4.26e-02 | 4.07 | 0.81 | 1.00e+00 | 1.00e+00 | 3PROX1, BMX, OMG |
407 |
CTTTGA_LEF1_Q2 | 7.93e-02 | 2.31 | 0.71 | 1.00e+00 | 1.00e+00 | 5CTHRC1, PROX1, PKHD1L1, SEMA3A, PDPN |
1247 |
Dowload full table
GO Biological Processes:
P-value | OR | Lower 95% CI | FDR | FWER | Genes Found | Gene Set Size | |
---|---|---|---|---|---|---|---|
GOBP_POSITIVE_REGULATION_OF_DENDRITIC_CELL_ANTIGEN_PROCESSING_AND_PRESENTATION | 7.67e-05 | 213.09 | 19.86 | 4.78e-02 | 5.74e-01 | 2CCL21, CCL19 |
7 |
GOBP_NEGATIVE_REGULATION_OF_DENDRITIC_CELL_APOPTOTIC_PROCESS | 7.67e-05 | 213.09 | 19.86 | 4.78e-02 | 5.74e-01 | 2CCL21, CCL19 |
7 |
GOBP_LYMPHATIC_ENDOTHELIAL_CELL_DIFFERENTIATION | 1.02e-04 | 177.85 | 17.16 | 4.78e-02 | 7.64e-01 | 2PROX1, PDPN |
8 |
GOBP_ENDOTHELIAL_CELL_FATE_COMMITMENT | 1.02e-04 | 177.85 | 17.16 | 4.78e-02 | 7.64e-01 | 2PROX1, PDPN |
8 |
GOBP_POSITIVE_REGULATION_OF_ANTIGEN_PROCESSING_AND_PRESENTATION | 1.31e-04 | 152.29 | 15.11 | 5.77e-02 | 9.81e-01 | 2CCL21, CCL19 |
9 |
GOBP_LYMPH_VESSEL_DEVELOPMENT | 1.72e-05 | 71.33 | 13.27 | 2.14e-02 | 1.29e-01 | 3TBX1, PROX1, PDPN |
26 |
GOBP_REGULATION_OF_DENDRITIC_CELL_ANTIGEN_PROCESSING_AND_PRESENTATION | 2.00e-04 | 118.87 | 12.19 | 6.80e-02 | 1.00e+00 | 2CCL21, CCL19 |
11 |
GOBP_DENDRITIC_CELL_APOPTOTIC_PROCESS | 2.00e-04 | 118.87 | 12.19 | 6.80e-02 | 1.00e+00 | 2CCL21, CCL19 |
11 |
GOBP_ESTABLISHMENT_OF_LYMPHOCYTE_POLARITY | 2.83e-04 | 97.16 | 10.22 | 7.55e-02 | 1.00e+00 | 2CCL21, CCL19 |
13 |
GOBP_IMMUNOLOGICAL_SYNAPSE_FORMATION | 2.83e-04 | 97.16 | 10.22 | 7.55e-02 | 1.00e+00 | 2CCL21, CCL19 |
13 |
GOBP_DENDRITIC_CELL_ANTIGEN_PROCESSING_AND_PRESENTATION | 3.80e-04 | 82.36 | 8.80 | 8.87e-02 | 1.00e+00 | 2CCL21, CCL19 |
15 |
GOBP_EPITHELIAL_CELL_FATE_COMMITMENT | 3.80e-04 | 82.36 | 8.80 | 8.87e-02 | 1.00e+00 | 2PROX1, PDPN |
15 |
GOBP_REGULATION_OF_T_CELL_CHEMOTAXIS | 4.33e-04 | 76.37 | 8.22 | 9.16e-02 | 1.00e+00 | 2CCL21, CXCL13 |
16 |
GOBP_PARASYMPATHETIC_NERVOUS_SYSTEM_DEVELOPMENT | 4.33e-04 | 76.37 | 8.22 | 9.16e-02 | 1.00e+00 | 2TBX1, SEMA3A |
16 |
GOBP_LYMPHANGIOGENESIS | 4.90e-04 | 71.39 | 7.72 | 9.16e-02 | 1.00e+00 | 2PROX1, PDPN |
17 |
GOBP_LYMPH_NODE_DEVELOPMENT | 4.90e-04 | 71.39 | 7.72 | 9.16e-02 | 1.00e+00 | 2TNFRSF11A, PDPN |
17 |
GOBP_REGULATION_OF_ANTIGEN_PROCESSING_AND_PRESENTATION | 6.82e-04 | 59.53 | 6.52 | 1.08e-01 | 1.00e+00 | 2CCL21, CCL19 |
20 |
GOBP_POSITIVE_REGULATION_OF_LYMPHOCYTE_CHEMOTAXIS | 6.82e-04 | 59.53 | 6.52 | 1.08e-01 | 1.00e+00 | 2CCL21, CXCL13 |
20 |
GOBP_POSITIVE_REGULATION_OF_CELL_ADHESION_MEDIATED_BY_INTEGRIN | 7.53e-04 | 56.41 | 6.20 | 1.08e-01 | 1.00e+00 | 2CCL21, CXCL13 |
21 |
GOBP_LYMPH_VESSEL_MORPHOGENESIS | 7.53e-04 | 56.41 | 6.20 | 1.08e-01 | 1.00e+00 | 2PROX1, PDPN |
21 |
Dowload full table
Immunological Gene Sets:
P-value | OR | Lower 95% CI | FDR | FWER | Genes Found | Gene Set Size | |
---|---|---|---|---|---|---|---|
GSE35543_IN_VIVO_NTREG_VS_IN_VITRO_ITREG_UP | 3.99e-05 | 14.75 | 4.52 | 1.95e-01 | 1.95e-01 | 5CCL21, CCL19, RSPH4A, RELN, HAPLN3 |
199 |
GSE9509_LPS_VS_LPS_AND_IL10_STIM_IL10_KO_MACROPHAGE_10MIN_UP | 5.81e-04 | 11.49 | 2.97 | 6.43e-01 | 1.00e+00 | 4PTX3, PROX1, PKHD1L1, RHOJ |
199 |
GSE19198_CTRL_VS_IL21_TREATED_TCELL_24H_UP | 5.92e-04 | 11.43 | 2.96 | 6.43e-01 | 1.00e+00 | 4UBD, SPHK1, SEMA3A, RHOJ |
200 |
GSE14415_INDUCED_TREG_VS_FOXP3_KO_INDUCED_TREG_UP | 4.45e-03 | 9.73 | 1.92 | 6.43e-01 | 1.00e+00 | 3TFPI, KBTBD11, CLDN5 |
172 |
GSE43863_NAIVE_VS_MEMORY_TH1_CD4_TCELL_D150_LCMV_DN | 5.28e-03 | 9.13 | 1.80 | 6.43e-01 | 1.00e+00 | 3CCL21, ELMOD1, AC100797.4 |
183 |
GSE21546_UNSTIM_VS_ANTI_CD3_STIM_SAP1A_KO_DP_THYMOCYTES_DN | 5.36e-03 | 9.08 | 1.79 | 6.43e-01 | 1.00e+00 | 3CCL21, TBX1, ELMOD1 |
184 |
GSE9988_LPS_VS_LOW_LPS_MONOCYTE_UP | 6.11e-03 | 8.65 | 1.71 | 6.43e-01 | 1.00e+00 | 3ELMOD1, SCNN1B, BMX |
193 |
GSE16450_CTRL_VS_IFNA_12H_STIM_IMMATURE_NEURON_CELL_LINE_DN | 6.11e-03 | 8.65 | 1.71 | 6.43e-01 | 1.00e+00 | 3TNFRSF11A, TFPI, RHOJ |
193 |
GSE17974_CTRL_VS_ACT_IL4_AND_ANTI_IL12_4H_CD4_TCELL_UP | 6.19e-03 | 8.61 | 1.70 | 6.43e-01 | 1.00e+00 | 3MPP7, ZNF831, BMX |
194 |
GSE16385_UNTREATED_VS_12H_IFNG_TNF_TREATED_MACROPHAGE_UP | 6.19e-03 | 8.61 | 1.70 | 6.43e-01 | 1.00e+00 | 3NTS, ELMOD1, TNFRSF11A |
194 |
GSE21927_SPLEEN_MONOCYTE_VS_GMCSF_GCSF_BONE_MARROW_DN | 6.37e-03 | 8.52 | 1.68 | 6.43e-01 | 1.00e+00 | 3ELMOD1, PKHD1L1, S100A10 |
196 |
GSE9006_1MONTH_VS_4MONTH_POST_TYPE_1_DIABETES_DX_PBMC_UP | 6.46e-03 | 8.47 | 1.67 | 6.43e-01 | 1.00e+00 | 3PTX3, RASSF9, KBTBD11 |
197 |
GSE2585_AIRE_KO_VS_WT_CD80_LOW_MTEC_UP | 6.46e-03 | 8.47 | 1.67 | 6.43e-01 | 1.00e+00 | 3CXCL13, VWF, OMG |
197 |
GSE17721_POLYIC_VS_CPG_24H_BMDC_UP | 6.55e-03 | 8.43 | 1.66 | 6.43e-01 | 1.00e+00 | 3UBD, TNFRSF11A, S100A10 |
198 |
GSE27786_BCELL_VS_CD8_TCELL_DN | 6.55e-03 | 8.43 | 1.66 | 6.43e-01 | 1.00e+00 | 3MPP7, VWF, RRAD |
198 |
GSE32423_CTRL_VS_IL7_MEMORY_CD8_TCELL_UP | 6.55e-03 | 8.43 | 1.66 | 6.43e-01 | 1.00e+00 | 3RSPH4A, VWF, SEMA3A |
198 |
GSE22611_UNSTIM_VS_2H_MDP_STIM_NOD2_TRANSDUCED_HEK293T_CELL_DN | 6.55e-03 | 8.43 | 1.66 | 6.43e-01 | 1.00e+00 | 3NTS, SCNN1B, VWF |
198 |
GSE22501_PERIPHERAL_BLOOD_VS_CORD_BLOOD_TREG_UP | 6.55e-03 | 8.43 | 1.66 | 6.43e-01 | 1.00e+00 | 3NTS, TFPI, RELN |
198 |
GSE360_L_DONOVANI_VS_M_TUBERCULOSIS_MAC_DN | 6.64e-03 | 8.39 | 1.66 | 6.43e-01 | 1.00e+00 | 3CCL19, CXCL13, RRAD |
199 |
GSE360_T_GONDII_VS_B_MALAYI_HIGH_DOSE_MAC_UP | 6.64e-03 | 8.39 | 1.66 | 6.43e-01 | 1.00e+00 | 3KBTBD11, PDPN, S100A10 |
199 |
Top Ranked Transcription Factors for this Gene Expression Program:
Gene Symbol | TF Rank | DNA Binding Domain | Motif Status | IUPAC PWM | GTEx | DepMap | Decartes |
---|---|---|---|---|---|---|---|
TBX1 | 9 | Yes | Known motif | Monomer or homomultimer | High-throughput in vitro | None | None |
SPHK1 | 16 | No | Unlikely to be sequence specific TF | Not a DNA binding protein | No motif | None | None |
PROX1 | 21 | Yes | Known motif | Monomer or homomultimer | High-throughput in vitro | None | None |
PKHD1L1 | 25 | No | Unlikely to be sequence specific TF | Not a DNA binding protein | No motif | None | Membrane receptor (PMID: 12620974) |
TNFRSF11A | 27 | No | Unlikely to be sequence specific TF | Not a DNA binding protein | No motif | None | None |
ZNF831 | 28 | Yes | Likely to be sequence specific TF | Monomer or homomultimer | No motif | None | None |
RELN | 36 | No | Unlikely to be sequence specific TF | Not a DNA binding protein | No motif | None | Protein is a large secreted extracellular matrix protein |
TNFSF11 | 51 | No | Unlikely to be sequence specific TF | Not a DNA binding protein | No motif | None | None |
WFS1 | 54 | No | Unlikely to be sequence specific TF | Not a DNA binding protein | No motif | None | None |
NFATC1 | 64 | Yes | Known motif | Monomer or homomultimer | High-throughput in vitro | None | None |
ELK3 | 67 | Yes | Known motif | Monomer or homomultimer | High-throughput in vitro | None | None |
ADGRG3 | 90 | No | Unlikely to be sequence specific TF | Not a DNA binding protein | No motif | None | None |
LTF | 97 | Yes | Known motif | Monomer or homomultimer | In vivo/Misc source | Only known motifs are from Transfac or HocoMoco - origin is uncertain | None |
DSP | 102 | No | Unlikely to be sequence specific TF | Not a DNA binding protein | No motif | None | None |
TP63 | 116 | Yes | Known motif | Monomer or homomultimer | High-throughput in vitro | None | None |
LHX6 | 122 | Yes | Known motif | Monomer or homomultimer | High-throughput in vitro | None | None |
NFIB | 131 | Yes | Known motif | Monomer or homomultimer | High-throughput in vitro | None | None |
BMP2 | 140 | No | Unlikely to be sequence specific TF | Not a DNA binding protein | No motif | None | None |
POLR2L | 142 | No | Unlikely to be sequence specific TF | Not a DNA binding protein | No motif | None | Does not contact DNA in the structure (PDB: 5FLM) |
JUP | 144 | No | Unlikely to be sequence specific TF | Not a DNA binding protein | No motif | None | None |
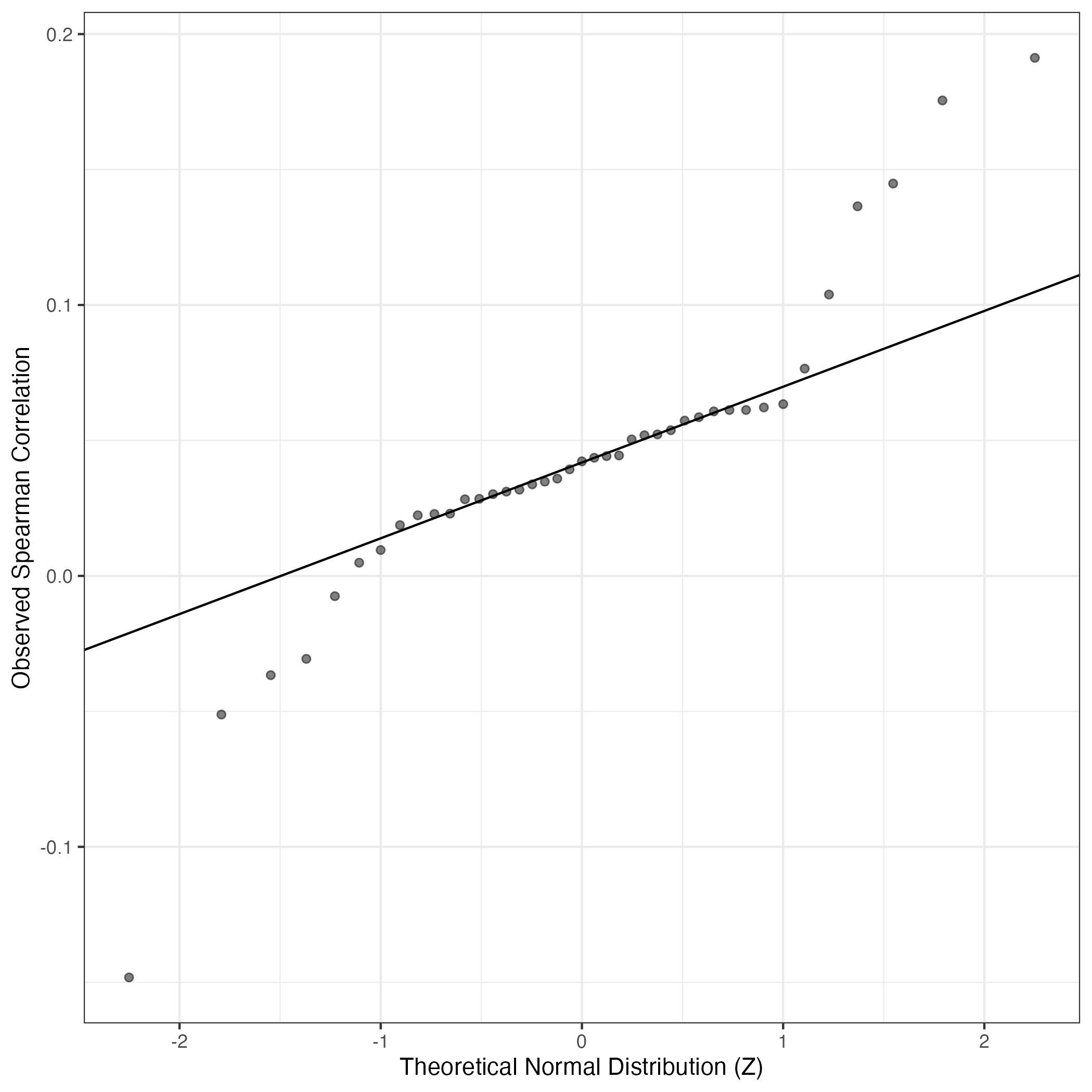
QQ Plot showing correlations with other GEPs in this dataset, calculated by Spearman correlation:
Interactive QQ-plot of gene loadings:
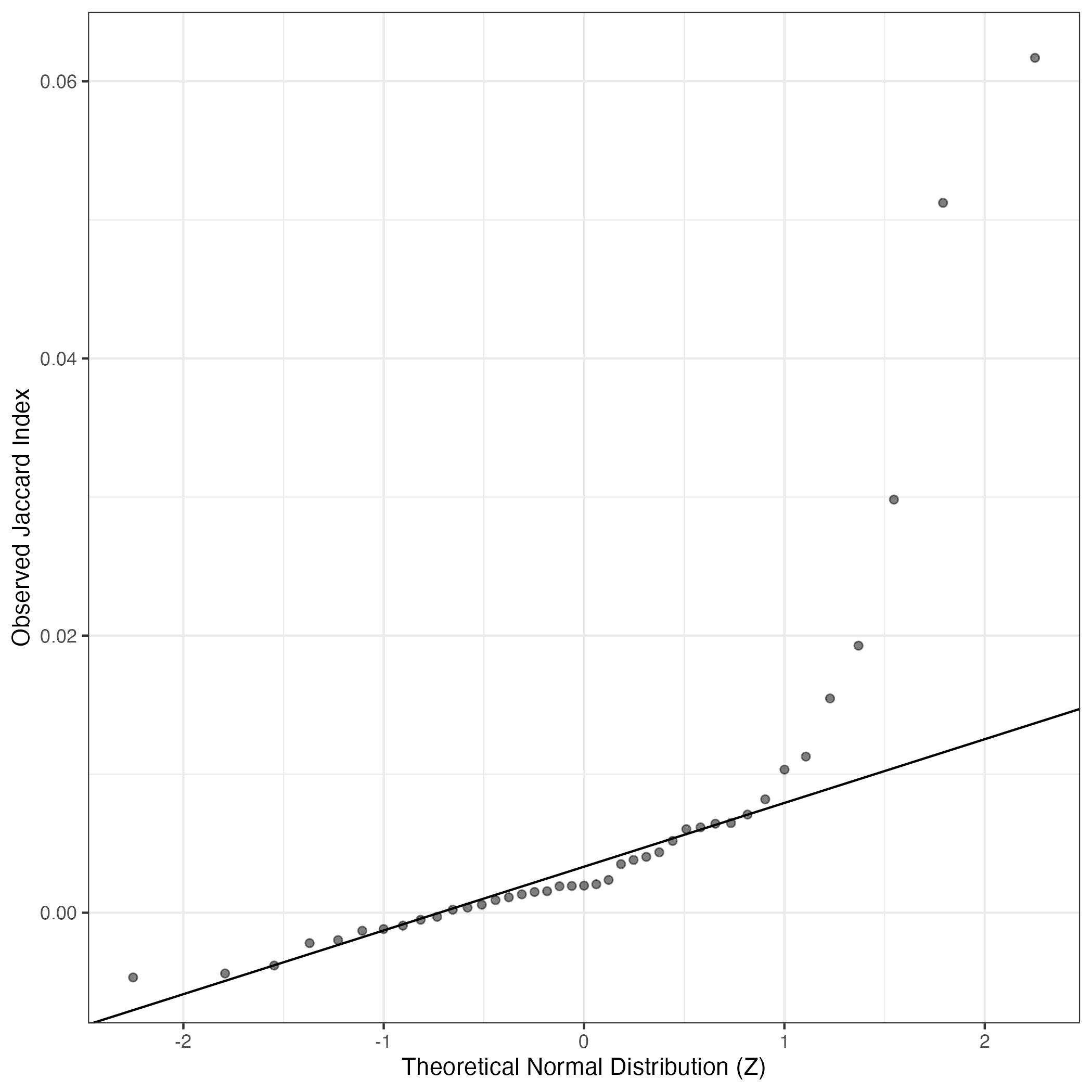
A similar QQ-plot as above, but only for instances where the H value is e.g. > 25, i.e. we are confident that the expression program is active above noise. Agreemenet between these binary vectors is tested using the Jaccard Index, with the P-values calculated by an exact test:
Interactive QQ-plot:
Singler cell type annotations for the top 50 cells on this program.
Cell ID | Singler label | Singler Delta | Activity Score | Top Singler Raw Scores |
---|---|---|---|---|
R53a_w9.5_ACTTAGGTCGCCTATC-1 | Endothelial_cells:lymphatic | 0.21 | 1567.53 | Raw ScoresEndothelial_cells:lymphatic: 0.56, Endothelial_cells:lymphatic:TNFa_48h: 0.55, Endothelial_cells:HUVEC: 0.51, Endothelial_cells:HUVEC:VEGF: 0.51, Endothelial_cells:HUVEC:Serum_Amyloid_A: 0.5, Endothelial_cells:lymphatic:KSHV: 0.5, Endothelial_cells:HUVEC:IL-1b: 0.5, Endothelial_cells:blood_vessel: 0.5, Endothelial_cells:HUVEC:B._anthracis_LT: 0.5, Endothelial_cells:HUVEC:FPV-infected: 0.49 |
R53b_w11.5_AACAAGAGTGGCACTC-1 | Endothelial_cells:lymphatic:TNFa_48h | 0.21 | 1116.62 | Raw ScoresEndothelial_cells:lymphatic:TNFa_48h: 0.53, Endothelial_cells:lymphatic: 0.53, Endothelial_cells:HUVEC:VEGF: 0.49, Endothelial_cells:HUVEC: 0.49, Endothelial_cells:lymphatic:KSHV: 0.49, Endothelial_cells:HUVEC:FPV-infected: 0.49, Endothelial_cells:HUVEC:IL-1b: 0.48, Endothelial_cells:HUVEC:B._anthracis_LT: 0.48, Endothelial_cells:HUVEC:Serum_Amyloid_A: 0.48, Endothelial_cells:HUVEC:H5N1-infected: 0.48 |
R53b_w11.5_GATTCTTAGCCGCTTG-1 | Endothelial_cells:lymphatic | 0.22 | 960.54 | Raw ScoresEndothelial_cells:lymphatic: 0.53, Endothelial_cells:lymphatic:TNFa_48h: 0.53, Endothelial_cells:lymphatic:KSHV: 0.48, Endothelial_cells:HUVEC:VEGF: 0.48, Endothelial_cells:HUVEC: 0.47, Endothelial_cells:blood_vessel: 0.47, Endothelial_cells:HUVEC:FPV-infected: 0.47, Endothelial_cells:HUVEC:Serum_Amyloid_A: 0.47, Endothelial_cells:HUVEC:B._anthracis_LT: 0.46, Endothelial_cells:HUVEC:H5N1-infected: 0.46 |
R53a_w9.5_TACACCCCAAGATGGC-1 | Endothelial_cells:lymphatic | 0.21 | 775.08 | Raw ScoresEndothelial_cells:lymphatic: 0.52, Endothelial_cells:lymphatic:TNFa_48h: 0.51, Endothelial_cells:lymphatic:KSHV: 0.47, Endothelial_cells:blood_vessel: 0.46, Endothelial_cells:HUVEC: 0.46, Endothelial_cells:HUVEC:IL-1b: 0.46, Endothelial_cells:HUVEC:VEGF: 0.45, Endothelial_cells:HUVEC:Serum_Amyloid_A: 0.45, Endothelial_cells:HUVEC:B._anthracis_LT: 0.45, Endothelial_cells:HUVEC:FPV-infected: 0.45 |
R39_w9.5_ACCTGAACAATTGGTC-1 | Endothelial_cells:lymphatic:TNFa_48h | 0.20 | 572.06 | Raw ScoresEndothelial_cells:lymphatic:TNFa_48h: 0.52, Endothelial_cells:lymphatic: 0.5, Endothelial_cells:HUVEC:VEGF: 0.48, Endothelial_cells:HUVEC: 0.48, Endothelial_cells:HUVEC:IL-1b: 0.48, Endothelial_cells:lymphatic:KSHV: 0.47, Endothelial_cells:HUVEC:FPV-infected: 0.47, Endothelial_cells:HUVEC:H5N1-infected: 0.47, Endothelial_cells:HUVEC:PR8-infected: 0.47, Endothelial_cells:HUVEC:Serum_Amyloid_A: 0.46 |
R39_w9.5_GGCTTTCGTCGTGATT-1 | Endothelial_cells:lymphatic | 0.16 | 467.79 | Raw ScoresEndothelial_cells:lymphatic:TNFa_48h: 0.46, Endothelial_cells:lymphatic: 0.44, Endothelial_cells:HUVEC: 0.43, Endothelial_cells:HUVEC:FPV-infected: 0.43, Endothelial_cells:HUVEC:IL-1b: 0.43, Endothelial_cells:HUVEC:VEGF: 0.43, Endothelial_cells:HUVEC:H5N1-infected: 0.43, Endothelial_cells:HUVEC:PR8-infected: 0.43, Endothelial_cells:lymphatic:KSHV: 0.42, Endothelial_cells:HUVEC:Serum_Amyloid_A: 0.41 |
R53a_w9.5_AGCTACATCGGCTTGG-1 | Endothelial_cells:lymphatic:TNFa_48h | 0.18 | 437.53 | Raw ScoresEndothelial_cells:lymphatic: 0.47, Endothelial_cells:lymphatic:TNFa_48h: 0.47, Endothelial_cells:lymphatic:KSHV: 0.42, Endothelial_cells:HUVEC:VEGF: 0.42, Endothelial_cells:blood_vessel: 0.41, Endothelial_cells:HUVEC: 0.41, Endothelial_cells:HUVEC:Serum_Amyloid_A: 0.41, Endothelial_cells:HUVEC:IL-1b: 0.41, Endothelial_cells:HUVEC:B._anthracis_LT: 0.4, Endothelial_cells:HUVEC:FPV-infected: 0.4 |
R53b_w11.5_ATTTCTGAGACAACTA-1 | Endothelial_cells:lymphatic | 0.20 | 351.66 | Raw ScoresEndothelial_cells:lymphatic: 0.5, Endothelial_cells:lymphatic:TNFa_48h: 0.49, Endothelial_cells:HUVEC: 0.45, Endothelial_cells:HUVEC:VEGF: 0.44, Endothelial_cells:lymphatic:KSHV: 0.44, Endothelial_cells:blood_vessel: 0.44, Endothelial_cells:HUVEC:FPV-infected: 0.44, Endothelial_cells:HUVEC:Serum_Amyloid_A: 0.44, Endothelial_cells:HUVEC:B._anthracis_LT: 0.44, Endothelial_cells:HUVEC:H5N1-infected: 0.43 |
R39_w9.5_ATTCTTGAGGCCTGAA-1 | Endothelial_cells:lymphatic:TNFa_48h | 0.16 | 350.63 | Raw ScoresEndothelial_cells:lymphatic: 0.42, Endothelial_cells:lymphatic:TNFa_48h: 0.42, Endothelial_cells:HUVEC:VEGF: 0.38, Endothelial_cells:HUVEC: 0.38, Endothelial_cells:HUVEC:IL-1b: 0.38, Endothelial_cells:blood_vessel: 0.37, Endothelial_cells:HUVEC:B._anthracis_LT: 0.37, Endothelial_cells:HUVEC:FPV-infected: 0.37, Endothelial_cells:HUVEC:H5N1-infected: 0.37, Endothelial_cells:HUVEC:Serum_Amyloid_A: 0.37 |
R48b_w12_GTTGTAGCAGCGGATA-1 | Endothelial_cells:lymphatic | 0.21 | 347.54 | Raw ScoresEndothelial_cells:lymphatic: 0.46, Endothelial_cells:lymphatic:TNFa_48h: 0.45, Endothelial_cells:HUVEC:VEGF: 0.41, Endothelial_cells:HUVEC: 0.41, Endothelial_cells:HUVEC:FPV-infected: 0.4, Endothelial_cells:HUVEC:Serum_Amyloid_A: 0.4, Endothelial_cells:lymphatic:KSHV: 0.4, Endothelial_cells:blood_vessel: 0.4, Endothelial_cells:HUVEC:IL-1b: 0.4, Endothelial_cells:HUVEC:PR8-infected: 0.39 |
R53a_w9.5_TCCTCCCCAACGATCT-1 | Endothelial_cells:lymphatic:TNFa_48h | 0.19 | 305.23 | Raw ScoresEndothelial_cells:lymphatic:TNFa_48h: 0.52, Endothelial_cells:lymphatic: 0.52, Endothelial_cells:lymphatic:KSHV: 0.49, Endothelial_cells:HUVEC:IL-1b: 0.48, Endothelial_cells:HUVEC: 0.48, Endothelial_cells:blood_vessel: 0.48, Endothelial_cells:HUVEC:Serum_Amyloid_A: 0.48, Endothelial_cells:HUVEC:FPV-infected: 0.48, Endothelial_cells:HUVEC:B._anthracis_LT: 0.47, Endothelial_cells:HUVEC:VEGF: 0.47 |
R39_w9.5_GAACGTTTCTTGGAAC-1 | Endothelial_cells:lymphatic | 0.14 | 272.81 | Raw ScoresEndothelial_cells:lymphatic: 0.29, Endothelial_cells:lymphatic:TNFa_48h: 0.29, Endothelial_cells:lymphatic:KSHV: 0.26, Endothelial_cells:blood_vessel: 0.26, Endothelial_cells:HUVEC: 0.25, Endothelial_cells:HUVEC:VEGF: 0.25, Endothelial_cells:HUVEC:Serum_Amyloid_A: 0.25, Endothelial_cells:HUVEC:FPV-infected: 0.25, Endothelial_cells:HUVEC:IFNg: 0.25, Endothelial_cells:HUVEC:IL-1b: 0.25 |
R53a_w9.5_TGGGCTGTCGACGACC-1 | Endothelial_cells:lymphatic | 0.14 | 229.62 | Raw ScoresEndothelial_cells:lymphatic: 0.43, Endothelial_cells:lymphatic:TNFa_48h: 0.42, Endothelial_cells:lymphatic:KSHV: 0.4, Endothelial_cells:blood_vessel: 0.4, Endothelial_cells:HUVEC: 0.39, Endothelial_cells:HUVEC:FPV-infected: 0.38, Endothelial_cells:HUVEC:B._anthracis_LT: 0.38, Endothelial_cells:HUVEC:IFNg: 0.38, Endothelial_cells:HUVEC:Borrelia_burgdorferi: 0.38, Endothelial_cells:HUVEC:Serum_Amyloid_A: 0.38 |
R39_w9.5_TTTGGAGCAAGCTGCC-1 | Endothelial_cells:lymphatic | 0.15 | 228.66 | Raw ScoresEndothelial_cells:lymphatic: 0.35, Endothelial_cells:lymphatic:TNFa_48h: 0.35, Endothelial_cells:HUVEC:VEGF: 0.32, Endothelial_cells:HUVEC: 0.32, Endothelial_cells:blood_vessel: 0.32, Endothelial_cells:HUVEC:FPV-infected: 0.32, Endothelial_cells:HUVEC:B._anthracis_LT: 0.32, Endothelial_cells:HUVEC:Serum_Amyloid_A: 0.32, Endothelial_cells:HUVEC:IL-1b: 0.31, Endothelial_cells:HUVEC:H5N1-infected: 0.31 |
R39_w9.5_AGGAGGTGTGCTAGCC-1 | Endothelial_cells:lymphatic | 0.16 | 223.63 | Raw ScoresEndothelial_cells:lymphatic: 0.39, Endothelial_cells:lymphatic:TNFa_48h: 0.39, Endothelial_cells:lymphatic:KSHV: 0.36, Endothelial_cells:blood_vessel: 0.35, Endothelial_cells:HUVEC: 0.35, Endothelial_cells:HUVEC:Serum_Amyloid_A: 0.35, Endothelial_cells:HUVEC:FPV-infected: 0.34, Endothelial_cells:HUVEC:VEGF: 0.34, Endothelial_cells:HUVEC:IL-1b: 0.34, Endothelial_cells:HUVEC:B._anthracis_LT: 0.34 |
R39_w9.5_TGGAACTGTGAGGATC-1 | Endothelial_cells:lymphatic | 0.14 | 170.94 | Raw ScoresEndothelial_cells:lymphatic: 0.28, Endothelial_cells:lymphatic:TNFa_48h: 0.26, Endothelial_cells:HUVEC:VEGF: 0.24, Endothelial_cells:blood_vessel: 0.23, Endothelial_cells:lymphatic:KSHV: 0.23, Endothelial_cells:HUVEC: 0.23, Endothelial_cells:HUVEC:Serum_Amyloid_A: 0.23, Endothelial_cells:HUVEC:IL-1b: 0.22, Endothelial_cells:HUVEC:B._anthracis_LT: 0.22, Endothelial_cells:HUVEC:FPV-infected: 0.22 |
R53a_w9.5_GTAGAGGCACGAGAAC-1 | Endothelial_cells:lymphatic | 0.10 | 160.62 | Raw ScoresEndothelial_cells:lymphatic: 0.35, Endothelial_cells:lymphatic:TNFa_48h: 0.35, Endothelial_cells:lymphatic:KSHV: 0.33, Endothelial_cells:blood_vessel: 0.32, Endothelial_cells:HUVEC: 0.32, Endothelial_cells:HUVEC:FPV-infected: 0.32, Endothelial_cells:HUVEC:Serum_Amyloid_A: 0.32, Endothelial_cells:HUVEC:IL-1b: 0.32, Endothelial_cells:HUVEC:IFNg: 0.31, Endothelial_cells:HUVEC:Borrelia_burgdorferi: 0.31 |
R53c_w9.5_CTCCTCCTCTCACGAA-1 | Endothelial_cells:lymphatic | 0.18 | 155.02 | Raw ScoresEndothelial_cells:lymphatic: 0.4, Endothelial_cells:lymphatic:TNFa_48h: 0.39, Endothelial_cells:HUVEC:VEGF: 0.36, Endothelial_cells:HUVEC:Serum_Amyloid_A: 0.36, Endothelial_cells:lymphatic:KSHV: 0.35, Endothelial_cells:HUVEC: 0.35, Endothelial_cells:blood_vessel: 0.35, Endothelial_cells:HUVEC:IL-1b: 0.34, Endothelial_cells:HUVEC:B._anthracis_LT: 0.34, Endothelial_cells:HUVEC:FPV-infected: 0.34 |
R48c_w8.5_AGGGTTTTCCTCCACA-1 | Endothelial_cells:lymphatic | 0.17 | 142.30 | Raw ScoresEndothelial_cells:lymphatic: 0.42, Endothelial_cells:lymphatic:TNFa_48h: 0.41, Endothelial_cells:lymphatic:KSHV: 0.38, Endothelial_cells:blood_vessel: 0.37, Endothelial_cells:HUVEC:VEGF: 0.37, Endothelial_cells:HUVEC:Serum_Amyloid_A: 0.37, Endothelial_cells:HUVEC: 0.37, Endothelial_cells:HUVEC:IL-1b: 0.36, Endothelial_cells:HUVEC:FPV-infected: 0.36, Endothelial_cells:HUVEC:B._anthracis_LT: 0.35 |
R53a_w9.5_CCACAAAAGCGATGCA-1 | Smooth_muscle_cells:bronchial | 0.21 | 116.08 | Raw ScoresSmooth_muscle_cells:bronchial: 0.44, Fibroblasts:breast: 0.43, Smooth_muscle_cells:bronchial:vit_D: 0.43, iPS_cells:adipose_stem_cells: 0.43, MSC: 0.43, iPS_cells:CRL2097_foreskin: 0.43, Osteoblasts: 0.42, Smooth_muscle_cells:vascular: 0.42, Chondrocytes:MSC-derived: 0.42, Tissue_stem_cells:iliac_MSC: 0.42 |
R48c_w8.5_TCGTCCAGTTCGTGCG-1 | Endothelial_cells:lymphatic | 0.16 | 109.23 | Raw ScoresEndothelial_cells:lymphatic: 0.35, Endothelial_cells:lymphatic:TNFa_48h: 0.35, Endothelial_cells:lymphatic:KSHV: 0.32, Endothelial_cells:HUVEC:VEGF: 0.31, Endothelial_cells:blood_vessel: 0.31, Endothelial_cells:HUVEC: 0.31, Endothelial_cells:HUVEC:Serum_Amyloid_A: 0.31, Endothelial_cells:HUVEC:IL-1b: 0.3, Endothelial_cells:HUVEC:FPV-infected: 0.3, Endothelial_cells:HUVEC:H5N1-infected: 0.3 |
R43_w6_GTTGTGACACATAGCT-1 | iPS_cells:CRL2097_foreskin-derived:d20_hepatic_diff | 0.20 | 106.70 | Raw ScoresMSC: 0.46, iPS_cells:CRL2097_foreskin: 0.46, Smooth_muscle_cells:bronchial: 0.46, Smooth_muscle_cells:bronchial:vit_D: 0.46, iPS_cells:CRL2097_foreskin-derived:d20_hepatic_diff: 0.45, Fibroblasts:breast: 0.45, Smooth_muscle_cells:vascular: 0.45, iPS_cells:adipose_stem_cells: 0.45, Chondrocytes:MSC-derived: 0.44, Smooth_muscle_cells:vascular:IL-17: 0.44 |
R53a_w9.5_TCCTGCAGTGACGTCC-1 | Endothelial_cells:lymphatic:TNFa_48h | 0.21 | 106.53 | Raw ScoresEndothelial_cells:lymphatic:TNFa_48h: 0.53, Endothelial_cells:lymphatic: 0.52, Endothelial_cells:HUVEC:VEGF: 0.51, Endothelial_cells:HUVEC: 0.51, Endothelial_cells:HUVEC:Serum_Amyloid_A: 0.51, Endothelial_cells:HUVEC:IL-1b: 0.51, Endothelial_cells:HUVEC:B._anthracis_LT: 0.5, Endothelial_cells:blood_vessel: 0.5, Endothelial_cells:lymphatic:KSHV: 0.5, Endothelial_cells:HUVEC:H5N1-infected: 0.5 |
R53a_w9.5_CGTCCATGTATTGCCA-1 | Endothelial_cells:HUVEC:Borrelia_burgdorferi | 0.16 | 104.21 | Raw ScoresEndothelial_cells:HUVEC:VEGF: 0.45, Endothelial_cells:lymphatic: 0.45, Endothelial_cells:HUVEC: 0.45, Endothelial_cells:lymphatic:TNFa_48h: 0.45, Endothelial_cells:HUVEC:IL-1b: 0.44, Endothelial_cells:HUVEC:H5N1-infected: 0.44, Endothelial_cells:HUVEC:Serum_Amyloid_A: 0.44, Endothelial_cells:HUVEC:Borrelia_burgdorferi: 0.43, Endothelial_cells:HUVEC:IFNg: 0.43, Endothelial_cells:HUVEC:B._anthracis_LT: 0.43 |
R43_w6_ATTCCTATCATCAGTG-1 | iPS_cells:CRL2097_foreskin-derived:d20_hepatic_diff | 0.19 | 99.02 | Raw ScoresSmooth_muscle_cells:bronchial: 0.3, iPS_cells:CRL2097_foreskin-derived:d20_hepatic_diff: 0.3, iPS_cells:CRL2097_foreskin: 0.3, Smooth_muscle_cells:bronchial:vit_D: 0.3, Chondrocytes:MSC-derived: 0.29, Fibroblasts:breast: 0.29, MSC: 0.29, Smooth_muscle_cells:vascular: 0.28, iPS_cells:adipose_stem_cells: 0.28, Smooth_muscle_cells:vascular:IL-17: 0.28 |
R53a_w9.5_GTGTGGCCACGCGGTT-1 | Smooth_muscle_cells:vascular | 0.14 | 98.23 | Raw ScoresSmooth_muscle_cells:bronchial: 0.33, Fibroblasts:breast: 0.33, Smooth_muscle_cells:bronchial:vit_D: 0.33, Smooth_muscle_cells:vascular: 0.33, iPS_cells:CRL2097_foreskin: 0.33, iPS_cells:adipose_stem_cells: 0.32, Chondrocytes:MSC-derived: 0.32, MSC: 0.32, Smooth_muscle_cells:vascular:IL-17: 0.32, Tissue_stem_cells:BM_MSC:TGFb3: 0.32 |
R53c_w9.5_GGGCTCATCTGGCCAG-1 | Macrophage:monocyte-derived:M-CSF/IFNg | 0.14 | 94.27 | Raw ScoresMacrophage:monocyte-derived:M-CSF/IFNg: 0.4, DC:monocyte-derived:AEC-conditioned: 0.39, Macrophage:monocyte-derived:M-CSF: 0.39, Monocyte:leukotriene_D4: 0.38, DC:monocyte-derived:anti-DC-SIGN_2h: 0.38, Monocyte:CD16-: 0.38, Monocyte:CD14+: 0.38, Monocyte: 0.38, Monocyte:CD16+: 0.38, Macrophage:monocyte-derived:IL-4/Dex/cntrl: 0.37 |
R48b_w12_TGCTGAATCTCGGTAA-1 | Tissue_stem_cells:BM_MSC:TGFb3 | 0.15 | 93.52 | Raw ScoresMSC: 0.38, Smooth_muscle_cells:bronchial: 0.37, iPS_cells:CRL2097_foreskin: 0.37, Smooth_muscle_cells:bronchial:vit_D: 0.37, Fibroblasts:breast: 0.37, iPS_cells:adipose_stem_cells: 0.36, Smooth_muscle_cells:vascular: 0.36, Tissue_stem_cells:iliac_MSC: 0.36, Tissue_stem_cells:BM_MSC:TGFb3: 0.36, Chondrocytes:MSC-derived: 0.36 |
R43_w6_CTCATGCGTGGCTTAT-1 | Endothelial_cells:blood_vessel | 0.14 | 93.50 | Raw ScoresEndothelial_cells:HUVEC: 0.47, Endothelial_cells:HUVEC:VEGF: 0.46, Endothelial_cells:HUVEC:IL-1b: 0.46, Endothelial_cells:HUVEC:FPV-infected: 0.46, Endothelial_cells:lymphatic: 0.45, Endothelial_cells:lymphatic:KSHV: 0.45, Endothelial_cells:lymphatic:TNFa_48h: 0.45, Endothelial_cells:HUVEC:Serum_Amyloid_A: 0.45, Endothelial_cells:HUVEC:H5N1-infected: 0.45, Endothelial_cells:blood_vessel: 0.45 |
R48c_w8.5_ACTTCCGTCCTCAGGG-1 | Endothelial_cells:HUVEC:VEGF | 0.20 | 91.97 | Raw ScoresEndothelial_cells:HUVEC:VEGF: 0.4, Endothelial_cells:HUVEC: 0.4, Endothelial_cells:lymphatic: 0.4, Endothelial_cells:lymphatic:TNFa_48h: 0.39, Endothelial_cells:HUVEC:IFNg: 0.39, Endothelial_cells:HUVEC:Serum_Amyloid_A: 0.38, Endothelial_cells:HUVEC:Borrelia_burgdorferi: 0.38, Endothelial_cells:HUVEC:H5N1-infected: 0.38, Endothelial_cells:HUVEC:FPV-infected: 0.37, Endothelial_cells:HUVEC:IL-1b: 0.37 |
R48c_w8.5_GGGTGAACAAGGGCAT-1 | Endothelial_cells:HUVEC:VEGF | 0.17 | 88.46 | Raw ScoresEndothelial_cells:HUVEC:VEGF: 0.38, Endothelial_cells:lymphatic: 0.38, Endothelial_cells:HUVEC: 0.37, Endothelial_cells:lymphatic:TNFa_48h: 0.37, Endothelial_cells:HUVEC:IL-1b: 0.36, Endothelial_cells:HUVEC:IFNg: 0.36, Endothelial_cells:HUVEC:Serum_Amyloid_A: 0.36, Endothelial_cells:HUVEC:H5N1-infected: 0.35, Endothelial_cells:HUVEC:FPV-infected: 0.35, Endothelial_cells:blood_vessel: 0.35 |
R43_w6_TCAATTCCATTCCTAT-1 | iPS_cells:CRL2097_foreskin-derived:d20_hepatic_diff | 0.09 | 87.77 | Raw ScoresEndothelial_cells:lymphatic: 0.4, Endothelial_cells:HUVEC:VEGF: 0.39, Endothelial_cells:lymphatic:TNFa_48h: 0.39, Endothelial_cells:HUVEC: 0.39, Endothelial_cells:HUVEC:IL-1b: 0.39, Endothelial_cells:HUVEC:Serum_Amyloid_A: 0.39, Endothelial_cells:blood_vessel: 0.39, Endothelial_cells:HUVEC:H5N1-infected: 0.39, Endothelial_cells:HUVEC:FPV-infected: 0.38, Endothelial_cells:lymphatic:KSHV: 0.38 |
R43_w6_GGTGAAGTCGGCTATA-1 | iPS_cells:CRL2097_foreskin-derived:d20_hepatic_diff | 0.16 | 82.07 | Raw ScoresSmooth_muscle_cells:bronchial:vit_D: 0.22, Smooth_muscle_cells:bronchial: 0.22, iPS_cells:CRL2097_foreskin-derived:d20_hepatic_diff: 0.22, iPS_cells:CRL2097_foreskin: 0.21, Smooth_muscle_cells:vascular: 0.21, Chondrocytes:MSC-derived: 0.2, Fibroblasts:breast: 0.2, Smooth_muscle_cells:vascular:IL-17: 0.2, Neurons:ES_cell-derived_neural_precursor: 0.2, Neuroepithelial_cell:ESC-derived: 0.2 |
R53a_w9.5_TTTCACACATACCACA-1 | Endothelial_cells:lymphatic:TNFa_48h | 0.18 | 80.78 | Raw ScoresEndothelial_cells:lymphatic:TNFa_48h: 0.43, Endothelial_cells:lymphatic: 0.43, Endothelial_cells:HUVEC:IL-1b: 0.42, Endothelial_cells:HUVEC:VEGF: 0.42, Endothelial_cells:HUVEC: 0.41, Endothelial_cells:HUVEC:Serum_Amyloid_A: 0.41, Endothelial_cells:blood_vessel: 0.41, Endothelial_cells:HUVEC:B._anthracis_LT: 0.4, Endothelial_cells:HUVEC:H5N1-infected: 0.4, Endothelial_cells:lymphatic:KSHV: 0.4 |
R39_w9.5_GTCAAGTCAGCTGTGC-1 | Neurons:Schwann_cell | 0.06 | 80.65 | Raw ScoresNeurons:Schwann_cell: 0.26, Fibroblasts:breast: 0.25, Chondrocytes:MSC-derived: 0.25, Tissue_stem_cells:iliac_MSC: 0.25, Smooth_muscle_cells:bronchial:vit_D: 0.25, Smooth_muscle_cells:bronchial: 0.25, iPS_cells:adipose_stem_cells: 0.25, Smooth_muscle_cells:vascular: 0.25, Tissue_stem_cells:BM_MSC:TGFb3: 0.24, Smooth_muscle_cells:vascular:IL-17: 0.24 |
R48c_w8.5_CTCAGGGCAGAAACCG-1 | iPS_cells:CRL2097_foreskin-derived:d20_hepatic_diff | 0.12 | 80.59 | Raw ScoresEndothelial_cells:lymphatic: 0.37, Neuroepithelial_cell:ESC-derived: 0.37, Endothelial_cells:lymphatic:TNFa_48h: 0.37, iPS_cells:CRL2097_foreskin-derived:d20_hepatic_diff: 0.36, Tissue_stem_cells:CD326-CD56+: 0.36, Endothelial_cells:HUVEC:VEGF: 0.36, iPS_cells:CRL2097_foreskin: 0.36, Endothelial_cells:HUVEC: 0.35, Neurons:Schwann_cell: 0.35, Neurons:ES_cell-derived_neural_precursor: 0.35 |
R39_w9.5_CAGGCCAAGAGGTCGT-1 | Endothelial_cells:lymphatic:TNFa_48h | 0.14 | 80.44 | Raw ScoresEndothelial_cells:lymphatic: 0.34, Endothelial_cells:lymphatic:TNFa_48h: 0.33, Endothelial_cells:lymphatic:KSHV: 0.31, Endothelial_cells:blood_vessel: 0.31, Endothelial_cells:HUVEC:Serum_Amyloid_A: 0.3, Endothelial_cells:HUVEC:FPV-infected: 0.3, Endothelial_cells:HUVEC: 0.3, Endothelial_cells:HUVEC:VEGF: 0.3, Endothelial_cells:HUVEC:IL-1b: 0.3, Endothelial_cells:HUVEC:H5N1-infected: 0.3 |
R39_w9.5_CAGATACAGCAACTTC-1 | Erythroblast | 0.22 | 80.14 | Raw ScoresErythroblast: 0.58, MEP: 0.58, CMP: 0.5, Pro-B_cell_CD34+: 0.5, Pro-Myelocyte: 0.49, GMP: 0.48, HSC_CD34+: 0.47, iPS_cells:PDB_2lox-22: 0.46, iPS_cells:PDB_1lox-21Puro-20: 0.46, iPS_cells:PDB_2lox-17: 0.46 |
R43_w6_GATCAGTCAGTGTGGA-1 | Endothelial_cells:blood_vessel | 0.11 | 79.89 | Raw ScoresEndothelial_cells:HUVEC: 0.45, Endothelial_cells:lymphatic:TNFa_48h: 0.44, Endothelial_cells:HUVEC:VEGF: 0.44, Endothelial_cells:HUVEC:IL-1b: 0.44, Endothelial_cells:HUVEC:FPV-infected: 0.44, Endothelial_cells:lymphatic: 0.44, Endothelial_cells:lymphatic:KSHV: 0.44, Endothelial_cells:HUVEC:H5N1-infected: 0.43, Endothelial_cells:HUVEC:PR8-infected: 0.43, Endothelial_cells:HUVEC:B._anthracis_LT: 0.43 |
R53a_w9.5_TGTTGAGAGGGACACT-1 | Endothelial_cells:lymphatic:TNFa_48h | 0.17 | 77.75 | Raw ScoresEndothelial_cells:lymphatic: 0.43, Endothelial_cells:lymphatic:TNFa_48h: 0.43, Endothelial_cells:HUVEC:VEGF: 0.43, Endothelial_cells:HUVEC:Serum_Amyloid_A: 0.42, Endothelial_cells:HUVEC:IL-1b: 0.42, Endothelial_cells:blood_vessel: 0.42, Endothelial_cells:HUVEC: 0.42, Endothelial_cells:HUVEC:H5N1-infected: 0.41, Endothelial_cells:lymphatic:KSHV: 0.41, Endothelial_cells:HUVEC:PR8-infected: 0.41 |
R39_w9.5_GTGAGCCAGCAACAGC-1 | Endothelial_cells:lymphatic | 0.10 | 77.70 | Raw ScoresEndothelial_cells:lymphatic: 0.27, Endothelial_cells:lymphatic:TNFa_48h: 0.27, Endothelial_cells:lymphatic:KSHV: 0.26, Endothelial_cells:HUVEC:FPV-infected: 0.26, Endothelial_cells:blood_vessel: 0.26, Endothelial_cells:HUVEC: 0.26, Endothelial_cells:HUVEC:B._anthracis_LT: 0.25, Endothelial_cells:HUVEC:IL-1b: 0.25, Endothelial_cells:HUVEC:VEGF: 0.25, Endothelial_cells:HUVEC:Serum_Amyloid_A: 0.25 |
R43_w6_CATACTTAGCCGATCC-1 | Endothelial_cells:lymphatic | 0.15 | 76.43 | Raw ScoresEndothelial_cells:lymphatic: 0.5, Endothelial_cells:lymphatic:TNFa_48h: 0.5, Endothelial_cells:blood_vessel: 0.49, Endothelial_cells:HUVEC: 0.49, Endothelial_cells:HUVEC:VEGF: 0.49, Endothelial_cells:HUVEC:Serum_Amyloid_A: 0.49, Endothelial_cells:lymphatic:KSHV: 0.49, Endothelial_cells:HUVEC:IL-1b: 0.49, Endothelial_cells:HUVEC:B._anthracis_LT: 0.48, Endothelial_cells:HUVEC:FPV-infected: 0.47 |
R53c_w9.5_ATGGGTTCACACCTGG-1 | Endothelial_cells:lymphatic | 0.14 | 75.62 | Raw ScoresEndothelial_cells:lymphatic: 0.31, Endothelial_cells:lymphatic:TNFa_48h: 0.3, Endothelial_cells:HUVEC:VEGF: 0.29, Endothelial_cells:HUVEC: 0.28, Endothelial_cells:HUVEC:Serum_Amyloid_A: 0.27, Endothelial_cells:HUVEC:FPV-infected: 0.27, Endothelial_cells:HUVEC:B._anthracis_LT: 0.27, Endothelial_cells:HUVEC:H5N1-infected: 0.27, Endothelial_cells:blood_vessel: 0.27, Endothelial_cells:HUVEC:IL-1b: 0.27 |
R48c_w8.5_TGGGTTAAGTATCCTG-1 | Endothelial_cells:HUVEC:VEGF | 0.18 | 74.73 | Raw ScoresEndothelial_cells:lymphatic: 0.36, Endothelial_cells:HUVEC:VEGF: 0.35, Endothelial_cells:lymphatic:TNFa_48h: 0.35, Endothelial_cells:HUVEC: 0.34, Endothelial_cells:HUVEC:Serum_Amyloid_A: 0.33, Endothelial_cells:HUVEC:H5N1-infected: 0.33, Endothelial_cells:HUVEC:IL-1b: 0.33, Endothelial_cells:HUVEC:FPV-infected: 0.33, Endothelial_cells:HUVEC:B._anthracis_LT: 0.33, Endothelial_cells:blood_vessel: 0.32 |
R53a_w9.5_TGTAGACGTACCCACG-1 | Smooth_muscle_cells:bronchial | 0.15 | 74.55 | Raw ScoresSmooth_muscle_cells:bronchial: 0.34, Smooth_muscle_cells:bronchial:vit_D: 0.33, iPS_cells:CRL2097_foreskin: 0.33, Tissue_stem_cells:BM_MSC:TGFb3: 0.33, iPS_cells:adipose_stem_cells: 0.33, Chondrocytes:MSC-derived: 0.33, Tissue_stem_cells:BM_MSC:BMP2: 0.32, MSC: 0.32, Fibroblasts:breast: 0.32, Tissue_stem_cells:iliac_MSC: 0.32 |
R53c_w9.5_TGTAACGAGATAGCTA-1 | Endothelial_cells:lymphatic | 0.17 | 72.73 | Raw ScoresEndothelial_cells:lymphatic:TNFa_48h: 0.46, Endothelial_cells:HUVEC:VEGF: 0.45, Endothelial_cells:lymphatic: 0.45, Endothelial_cells:HUVEC: 0.45, Endothelial_cells:HUVEC:IL-1b: 0.44, Endothelial_cells:HUVEC:Serum_Amyloid_A: 0.44, Endothelial_cells:HUVEC:H5N1-infected: 0.44, Endothelial_cells:HUVEC:FPV-infected: 0.44, Endothelial_cells:blood_vessel: 0.44, Endothelial_cells:HUVEC:B._anthracis_LT: 0.44 |
R39_w9.5_TCATTCACACTCCTGT-1 | Endothelial_cells:HUVEC:VEGF | 0.18 | 71.51 | Raw ScoresEndothelial_cells:HUVEC:VEGF: 0.39, Endothelial_cells:lymphatic: 0.38, Endothelial_cells:HUVEC: 0.38, Endothelial_cells:HUVEC:IFNg: 0.37, Endothelial_cells:lymphatic:TNFa_48h: 0.37, Endothelial_cells:HUVEC:IL-1b: 0.37, Endothelial_cells:HUVEC:Borrelia_burgdorferi: 0.37, Endothelial_cells:HUVEC:H5N1-infected: 0.37, Endothelial_cells:HUVEC:B._anthracis_LT: 0.37, Endothelial_cells:HUVEC:Serum_Amyloid_A: 0.37 |
R39_w9.5_CCACGAGAGGATGAGA-1 | Tissue_stem_cells:BM_MSC:TGFb3 | 0.12 | 70.93 | Raw ScoresTissue_stem_cells:iliac_MSC: 0.3, Fibroblasts:breast: 0.3, Tissue_stem_cells:BM_MSC:TGFb3: 0.3, iPS_cells:adipose_stem_cells: 0.3, iPS_cells:CRL2097_foreskin: 0.3, Smooth_muscle_cells:bronchial: 0.3, MSC: 0.29, Smooth_muscle_cells:vascular: 0.29, Tissue_stem_cells:BM_MSC:BMP2: 0.29, Smooth_muscle_cells:bronchial:vit_D: 0.29 |
R43_w6_TTGAACGTCCCATTTA-1 | Endothelial_cells:lymphatic | 0.12 | 70.84 | Raw ScoresEndothelial_cells:lymphatic: 0.39, Endothelial_cells:lymphatic:TNFa_48h: 0.38, Endothelial_cells:blood_vessel: 0.38, Endothelial_cells:lymphatic:KSHV: 0.37, Endothelial_cells:HUVEC:VEGF: 0.37, Endothelial_cells:HUVEC: 0.37, Endothelial_cells:HUVEC:IL-1b: 0.37, Endothelial_cells:HUVEC:Serum_Amyloid_A: 0.37, Endothelial_cells:HUVEC:FPV-infected: 0.36, Endothelial_cells:HUVEC:IFNg: 0.36 |
R39_w9.5_CTCCAACGTACCAATC-1 | Endothelial_cells:lymphatic | 0.20 | 67.26 | Raw ScoresEndothelial_cells:HUVEC:VEGF: 0.46, Endothelial_cells:lymphatic: 0.46, Endothelial_cells:HUVEC: 0.46, Endothelial_cells:lymphatic:TNFa_48h: 0.45, Endothelial_cells:HUVEC:H5N1-infected: 0.44, Endothelial_cells:HUVEC:IFNg: 0.44, Endothelial_cells:HUVEC:B._anthracis_LT: 0.44, Endothelial_cells:HUVEC:IL-1b: 0.44, Endothelial_cells:HUVEC:Serum_Amyloid_A: 0.44, Endothelial_cells:HUVEC:FPV-infected: 0.44 |
Below shows the significant enrichments of this GEP for literature curated gene lists
This data was procured from existing single cell RNA-seq maps of neuroblastoma or related relevant data.
High ranks indicate this gene is a driver of this GEP.
These curated gene list are ranked by the P-value (on this GEP) of their constituent genes.
The Mean Count column shows the mean read count in cells scoring highly (H > 50) on this gene expression program.
Genes | Weight | Rank | GTEx | DepMap | Decartes | Mean.Counts | Mean.TPM |
---|---|---|---|---|---|---|---|
TP53I3 | 0.0011328 | 534 | GTEx | DepMap | Descartes | 0.81 | 77.72 |
CDKN1A | 0.0007433 | 933 | GTEx | DepMap | Descartes | 0.84 | 60.14 |
NEAT1 | 0.0005006 | 1596 | GTEx | DepMap | Descartes | 11.91 | 112.80 |
TP53TG1 | 0.0004848 | 1660 | GTEx | DepMap | Descartes | 0.18 | 8.93 |
Translation (Dong)
Markers obtained in computationally inferred meta program (by NMF applied to their neuroblastoma sc-RNA-seq data) from Fig. 5(a) of Dong et al. (PMID 32946775).:
Wilcoxon ranksum test P-value for gene set overrepresentation: 3.44e-03
Mean rank of genes in gene set: 1280.67
Rank on gene expression program of genes in gene set:
Genes | Weight | Rank | GTEx | DepMap | Decartes | Mean.Counts | Mean.TPM |
---|---|---|---|---|---|---|---|
EIF3F | 0.0008560 | 766 | GTEx | DepMap | Descartes | 4.53 | 98.34 |
EIF3E | 0.0007709 | 887 | GTEx | DepMap | Descartes | 6.57 | 484.86 |
EIF3L | 0.0003779 | 2189 | GTEx | DepMap | Descartes | 3.29 | 170.32 |
Inflammatory CAF
These marker genes were curated across cancer subtypes in multiple organ systems as reviewed in Lavie et. al. (PMID 35883004) and contain inflammatory specific CAF genes:
Wilcoxon ranksum test P-value for gene set overrepresentation: 8.70e-03
Mean rank of genes in gene set: 10070.46
Rank on gene expression program of genes in gene set:
Genes | Weight | Rank | GTEx | DepMap | Decartes | Mean.Counts | Mean.TPM |
---|---|---|---|---|---|---|---|
CCL21 | 0.0405716 | 2 | GTEx | DepMap | Descartes | 26.39 | 5497.92 |
CXCL13 | 0.0136096 | 10 | GTEx | DepMap | Descartes | 0.03 | 6.31 |
PDPN | 0.0058576 | 37 | GTEx | DepMap | Descartes | 0.74 | 46.43 |
IGF1 | 0.0034848 | 89 | GTEx | DepMap | Descartes | 1.38 | 29.92 |
SERPING1 | 0.0032575 | 99 | GTEx | DepMap | Descartes | 1.96 | 167.00 |
C3 | 0.0024779 | 154 | GTEx | DepMap | Descartes | 0.27 | 15.96 |
IL33 | 0.0022375 | 182 | GTEx | DepMap | Descartes | 0.64 | 42.91 |
IL1R1 | 0.0019776 | 228 | GTEx | DepMap | Descartes | 1.82 | 67.35 |
C1R | 0.0016502 | 298 | GTEx | DepMap | Descartes | 0.40 | 23.19 |
CCL2 | 0.0016170 | 306 | GTEx | DepMap | Descartes | 0.66 | 100.97 |
CXCL2 | 0.0014205 | 365 | GTEx | DepMap | Descartes | 1.48 | 182.88 |
SCARA3 | 0.0012927 | 436 | GTEx | DepMap | Descartes | 0.32 | 13.97 |
C1S | 0.0010198 | 608 | GTEx | DepMap | Descartes | 0.25 | 17.76 |
LIF | 0.0009009 | 720 | GTEx | DepMap | Descartes | 0.09 | 2.20 |
CXCL10 | 0.0008011 | 829 | GTEx | DepMap | Descartes | 0.00 | 0.00 |
C7 | 0.0005611 | 1374 | GTEx | DepMap | Descartes | 1.73 | 75.90 |
PDGFRA | 0.0003357 | 2463 | GTEx | DepMap | Descartes | 0.44 | 16.07 |
PDGFRB | 0.0002369 | 3374 | GTEx | DepMap | Descartes | 0.43 | 18.87 |
CXCL9 | 0.0002245 | 3529 | GTEx | DepMap | Descartes | 0.00 | 0.00 |
CXCL12 | 0.0001127 | 5455 | GTEx | DepMap | Descartes | 1.88 | 90.10 |
PDGFD | 0.0000999 | 5738 | GTEx | DepMap | Descartes | 0.36 | 13.51 |
IL6 | 0.0000700 | 6555 | GTEx | DepMap | Descartes | 0.18 | 17.48 |
IL10 | 0.0000060 | 9094 | GTEx | DepMap | Descartes | 0.01 | 1.55 |
C4B | -0.0000572 | 14422 | GTEx | DepMap | Descartes | 0.00 | 0.00 |
CXCL1 | -0.0000719 | 15733 | GTEx | DepMap | Descartes | 0.18 | 12.71 |
CFB | -0.0000912 | 17239 | GTEx | DepMap | Descartes | 0.00 | 0.00 |
CCL7 | -0.0001129 | 18763 | GTEx | DepMap | Descartes | 0.00 | 0.00 |
CCL8 | -0.0001815 | 21858 | GTEx | DepMap | Descartes | 0.00 | 0.00 |
HGF | -0.0001961 | 22306 | GTEx | DepMap | Descartes | 0.10 | 5.80 |
ADH1B | -0.0002316 | 23161 | GTEx | DepMap | Descartes | 0.06 | 1.98 |
C1QC | -0.0002327 | 23183 | GTEx | DepMap | Descartes | 0.60 | 156.67 |
RGMA | -0.0002331 | 23191 | GTEx | DepMap | Descartes | 0.05 | 0.46 |
CFD | -0.0002568 | 23588 | GTEx | DepMap | Descartes | 0.05 | 3.42 |
SOD2 | -0.0002801 | 23960 | GTEx | DepMap | Descartes | 0.56 | 7.20 |
GPX3 | -0.0003037 | 24255 | GTEx | DepMap | Descartes | 0.13 | 78.89 |
C1QA | -0.0003193 | 24388 | GTEx | DepMap | Descartes | 0.44 | 120.59 |
SCARA5 | -0.0003302 | 24503 | GTEx | DepMap | Descartes | 0.03 | 0.60 |
CXCL14 | -0.0003698 | 24833 | GTEx | DepMap | Descartes | 0.03 | 1.81 |
IGFBP6 | -0.0005358 | 25420 | GTEx | DepMap | Descartes | 0.81 | 79.01 |
Below shows ranks on this GEP for literature curated gene lists for large gene sets
These include those reported as mesenchymal/adrenergic by Van Groningen et al.
High ranks indicate this gene is a driver of this GEP (note these results are not ordered).
The Mean Count column shows the mean read count in cells scoring highly (H > 50) on this gene expression program.
VanGroningen Adrenergic Genes
Adrenergic marker genes from Supplementary Table 2 of Van Groningen et al. Nature Genetics 2017. These genes were identified by differential expression analysis of mesenchymal-like and adrenergic-like neuroblastoma cell lines.
Wilcoxon ranksum test P-value for gene set overrepresentation: 1.00e+00
Mean rank of genes in gene set: 15856.78
Median rank of genes in gene set: 19841
Rank on gene expression program of top 30 genes in gene set:
Genes | Weight | Rank | GTEx | DepMap | Descartes | Mean.Counts | Mean.TPM |
---|---|---|---|---|---|---|---|
CXADR | 0.0038917 | 75 | GTEx | DepMap | Descartes | 1.18 | 40.82 |
REEP1 | 0.0038116 | 79 | GTEx | DepMap | Descartes | 0.62 | 36.12 |
FAM107B | 0.0022157 | 183 | GTEx | DepMap | Descartes | 1.94 | 90.57 |
RPS6KA2 | 0.0021776 | 191 | GTEx | DepMap | Descartes | 0.97 | 35.59 |
CD200 | 0.0021553 | 194 | GTEx | DepMap | Descartes | 1.01 | 86.87 |
LYN | 0.0020918 | 204 | GTEx | DepMap | Descartes | 1.01 | 28.44 |
RBP1 | 0.0019006 | 241 | GTEx | DepMap | Descartes | 10.97 | 922.28 |
SCN3A | 0.0018073 | 259 | GTEx | DepMap | Descartes | 0.32 | 7.84 |
AKAP12 | 0.0014020 | 373 | GTEx | DepMap | Descartes | 16.36 | 379.65 |
IGSF3 | 0.0012050 | 496 | GTEx | DepMap | Descartes | 0.30 | 5.38 |
FAM155A | 0.0010964 | 558 | GTEx | DepMap | Descartes | 0.23 | 5.37 |
C4orf48 | 0.0010757 | 571 | GTEx | DepMap | Descartes | 1.82 | 700.15 |
INO80C | 0.0008225 | 808 | GTEx | DepMap | Descartes | 0.40 | 23.98 |
RAB6B | 0.0007291 | 961 | GTEx | DepMap | Descartes | 0.18 | 9.24 |
ABLIM1 | 0.0007114 | 999 | GTEx | DepMap | Descartes | 1.12 | 35.40 |
DPYSL3 | 0.0007021 | 1016 | GTEx | DepMap | Descartes | 1.01 | 33.54 |
PHPT1 | 0.0006821 | 1056 | GTEx | DepMap | Descartes | 2.90 | 313.19 |
LSM3 | 0.0006361 | 1161 | GTEx | DepMap | Descartes | 1.86 | 90.21 |
MAP1B | 0.0006248 | 1185 | GTEx | DepMap | Descartes | 2.81 | 50.82 |
OLA1 | 0.0006062 | 1234 | GTEx | DepMap | Descartes | 1.10 | 32.75 |
GGCT | 0.0005809 | 1308 | GTEx | DepMap | Descartes | 1.01 | 148.59 |
NET1 | 0.0005206 | 1519 | GTEx | DepMap | Descartes | 1.55 | 73.15 |
EML4 | 0.0005098 | 1556 | GTEx | DepMap | Descartes | 1.09 | 41.57 |
LSM4 | 0.0004938 | 1626 | GTEx | DepMap | Descartes | 2.36 | 194.28 |
RET | 0.0004724 | 1717 | GTEx | DepMap | Descartes | 0.10 | 2.85 |
ATL1 | 0.0004696 | 1739 | GTEx | DepMap | Descartes | 0.06 | 2.28 |
ANP32A | 0.0004422 | 1855 | GTEx | DepMap | Descartes | 1.82 | 77.93 |
TENM4 | 0.0004395 | 1869 | GTEx | DepMap | Descartes | 0.01 | NA |
EPB41L4A-AS1 | 0.0003998 | 2077 | GTEx | DepMap | Descartes | 0.90 | 34.96 |
SCG3 | 0.0003534 | 2338 | GTEx | DepMap | Descartes | 0.10 | 8.78 |
VanGroningen Mesenchymal Genes
Mesenchymal marker genes from Supplementary Table 2 of Van Groningen et al. Nature Genetics 2017. These genes were identified by differential expression analysis of mesenchymal-like and adrenergic-like neuroblastoma cell lines.
Wilcoxon ranksum test P-value for gene set overrepresentation: 1.99e-06
Mean rank of genes in gene set: 11346.86
Median rank of genes in gene set: 7289
Rank on gene expression program of top 30 genes in gene set:
Genes | Weight | Rank | GTEx | DepMap | Descartes | Mean.Counts | Mean.TPM |
---|---|---|---|---|---|---|---|
TFPI | 0.0063950 | 33 | GTEx | DepMap | Descartes | 19.91 | 537.90 |
RHOJ | 0.0050353 | 45 | GTEx | DepMap | Descartes | 1.52 | 85.32 |
GJA1 | 0.0045739 | 53 | GTEx | DepMap | Descartes | 5.81 | 360.24 |
ELK3 | 0.0040097 | 67 | GTEx | DepMap | Descartes | 5.79 | 282.32 |
PROM1 | 0.0038637 | 77 | GTEx | DepMap | Descartes | 0.87 | 36.63 |
PLSCR4 | 0.0036528 | 85 | GTEx | DepMap | Descartes | 1.68 | 112.32 |
VIM | 0.0033596 | 92 | GTEx | DepMap | Descartes | 40.05 | 2682.40 |
ALDH1A3 | 0.0032438 | 100 | GTEx | DepMap | Descartes | 0.03 | 2.19 |
EHD2 | 0.0029415 | 115 | GTEx | DepMap | Descartes | 1.75 | 113.16 |
PPIC | 0.0029085 | 117 | GTEx | DepMap | Descartes | 1.26 | 152.94 |
SHC1 | 0.0028545 | 119 | GTEx | DepMap | Descartes | 2.74 | 140.98 |
ACTN1 | 0.0027104 | 129 | GTEx | DepMap | Descartes | 1.82 | 79.91 |
ARL4A | 0.0026383 | 138 | GTEx | DepMap | Descartes | 4.95 | 290.71 |
POLR2L | 0.0026228 | 142 | GTEx | DepMap | Descartes | 9.32 | 1722.63 |
HLA-A | 0.0024592 | 156 | GTEx | DepMap | Descartes | 7.10 | 269.46 |
FLRT2 | 0.0023017 | 171 | GTEx | DepMap | Descartes | 1.39 | 10.32 |
MEOX2 | 0.0022998 | 172 | GTEx | DepMap | Descartes | 0.74 | 50.39 |
GNG12 | 0.0022581 | 180 | GTEx | DepMap | Descartes | 2.30 | 98.11 |
ANXA2 | 0.0021236 | 198 | GTEx | DepMap | Descartes | 12.92 | 640.65 |
MICAL2 | 0.0020447 | 214 | GTEx | DepMap | Descartes | 0.70 | 24.31 |
KCTD12 | 0.0018639 | 248 | GTEx | DepMap | Descartes | 2.27 | 63.16 |
WWTR1 | 0.0018360 | 253 | GTEx | DepMap | Descartes | 6.06 | 224.46 |
TSPAN4 | 0.0017854 | 265 | GTEx | DepMap | Descartes | 2.06 | 115.51 |
LAMB1 | 0.0017721 | 268 | GTEx | DepMap | Descartes | 2.31 | 78.18 |
HLA-B | 0.0016482 | 299 | GTEx | DepMap | Descartes | 3.73 | 475.99 |
CD59 | 0.0016397 | 301 | GTEx | DepMap | Descartes | 2.77 | 60.17 |
CNN3 | 0.0015428 | 329 | GTEx | DepMap | Descartes | 4.42 | 426.90 |
CFI | 0.0015383 | 333 | GTEx | DepMap | Descartes | 0.64 | 48.67 |
HSPB1 | 0.0015302 | 336 | GTEx | DepMap | Descartes | 10.14 | 1276.03 |
WNT5A | 0.0015229 | 338 | GTEx | DepMap | Descartes | 0.35 | 14.34 |
Descartes adrenocortical markers
Top 50 marker genes of adrenocortical cells in the Decartes fetal adrenal single cell map (https://atlas.brotmanbaty.org/bbi/human-gene-expression-during-development/cell/adrenocortical/in/adrenal)
Wilcoxon ranksum test P-value for gene set overrepresentation: 1.00e+00
Mean rank of genes in gene set: 20315.37
Median rank of genes in gene set: 24538.5
Rank on gene expression program of top 30 genes in gene set:
Genes | Weight | Rank | GTEx | DepMap | Descartes | Mean.Counts | Mean.TPM |
---|---|---|---|---|---|---|---|
CLU | 0.0008915 | 732 | GTEx | DepMap | Descartes | 2.23 | 353.64 |
SH3PXD2B | 0.0007123 | 998 | GTEx | DepMap | Descartes | 0.30 | 7.38 |
SGCZ | 0.0004868 | 1650 | GTEx | DepMap | Descartes | 0.01 | 0.15 |
NPC1 | 0.0001171 | 5352 | GTEx | DepMap | Descartes | 0.22 | 9.71 |
IGF1R | 0.0000966 | 5814 | GTEx | DepMap | Descartes | 0.83 | 12.42 |
DNER | 0.0000319 | 7845 | GTEx | DepMap | Descartes | 0.13 | 3.99 |
SLC1A2 | 0.0000169 | 8534 | GTEx | DepMap | Descartes | 0.01 | 0.20 |
FRMD5 | -0.0000075 | 9902 | GTEx | DepMap | Descartes | 0.01 | 0.53 |
FDPS | -0.0000318 | 11951 | GTEx | DepMap | Descartes | 2.84 | 244.50 |
CYB5B | -0.0000544 | 14150 | GTEx | DepMap | Descartes | 1.06 | 49.64 |
SLC16A9 | -0.0001194 | 19155 | GTEx | DepMap | Descartes | 0.30 | 7.84 |
TM7SF2 | -0.0001489 | 20622 | GTEx | DepMap | Descartes | 0.13 | 8.96 |
SLC2A14 | -0.0001535 | 20839 | GTEx | DepMap | Descartes | 0.00 | 0.00 |
SCAP | -0.0001566 | 20981 | GTEx | DepMap | Descartes | 0.36 | 14.27 |
FREM2 | -0.0001633 | 21224 | GTEx | DepMap | Descartes | 0.08 | 0.73 |
PDE10A | -0.0002053 | 22566 | GTEx | DepMap | Descartes | 0.12 | 2.54 |
LINC00473 | -0.0002104 | 22702 | GTEx | DepMap | Descartes | 0.01 | NA |
BAIAP2L1 | -0.0002150 | 22808 | GTEx | DepMap | Descartes | 0.10 | 3.77 |
GSTA4 | -0.0002174 | 22869 | GTEx | DepMap | Descartes | 0.65 | 78.53 |
CYP17A1 | -0.0002335 | 23203 | GTEx | DepMap | Descartes | 0.12 | 12.21 |
CYP21A2 | -0.0002663 | 23736 | GTEx | DepMap | Descartes | 0.06 | 10.93 |
HMGCR | -0.0003083 | 24293 | GTEx | DepMap | Descartes | 0.36 | 13.15 |
DHCR7 | -0.0003299 | 24499 | GTEx | DepMap | Descartes | 0.18 | 11.56 |
ERN1 | -0.0003391 | 24578 | GTEx | DepMap | Descartes | 0.25 | 4.34 |
GRAMD1B | -0.0003394 | 24582 | GTEx | DepMap | Descartes | 0.17 | 4.58 |
SULT2A1 | -0.0003463 | 24642 | GTEx | DepMap | Descartes | 0.12 | 9.65 |
SCARB1 | -0.0003505 | 24678 | GTEx | DepMap | Descartes | 0.31 | 11.82 |
CYP11B1 | -0.0003652 | 24804 | GTEx | DepMap | Descartes | 0.12 | 7.14 |
STAR | -0.0003660 | 24811 | GTEx | DepMap | Descartes | 0.55 | 27.20 |
JAKMIP2 | -0.0003727 | 24854 | GTEx | DepMap | Descartes | 0.04 | 0.46 |
Descartes chromaffin markers
Top 50 marker genes of chromaffin cells in the Decartes fetal adrenal single cell map (https://atlas.brotmanbaty.org/bbi/human-gene-expression-during-development/cell/chromaffin/in/adrenal)
Wilcoxon ranksum test P-value for gene set overrepresentation: 9.94e-01
Mean rank of genes in gene set: 15734.02
Median rank of genes in gene set: 16576
Rank on gene expression program of top 30 genes in gene set:
Genes | Weight | Rank | GTEx | DepMap | Descartes | Mean.Counts | Mean.TPM |
---|---|---|---|---|---|---|---|
REEP1 | 0.0038116 | 79 | GTEx | DepMap | Descartes | 0.62 | 36.12 |
IL7 | 0.0020681 | 209 | GTEx | DepMap | Descartes | 0.34 | 23.24 |
MAP1B | 0.0006248 | 1185 | GTEx | DepMap | Descartes | 2.81 | 50.82 |
PLXNA4 | 0.0002267 | 3499 | GTEx | DepMap | Descartes | 0.08 | 1.12 |
TUBA1A | 0.0001784 | 4214 | GTEx | DepMap | Descartes | 7.77 | 652.64 |
TMEM132C | 0.0001080 | 5549 | GTEx | DepMap | Descartes | 0.04 | 1.87 |
SYNPO2 | 0.0000783 | 6320 | GTEx | DepMap | Descartes | 0.14 | 2.09 |
PTCHD1 | 0.0000321 | 7833 | GTEx | DepMap | Descartes | 0.01 | 0.08 |
RYR2 | 0.0000235 | 8239 | GTEx | DepMap | Descartes | 0.03 | 0.48 |
RGMB | -0.0000032 | 9606 | GTEx | DepMap | Descartes | 0.08 | 7.25 |
FAT3 | -0.0000145 | 10414 | GTEx | DepMap | Descartes | 0.04 | 0.30 |
RPH3A | -0.0000243 | 11263 | GTEx | DepMap | Descartes | 0.01 | 0.46 |
ANKFN1 | -0.0000252 | 11335 | GTEx | DepMap | Descartes | 0.00 | 0.00 |
MLLT11 | -0.0000309 | 11867 | GTEx | DepMap | Descartes | 0.31 | 27.39 |
EYA4 | -0.0000341 | 12169 | GTEx | DepMap | Descartes | 0.00 | 0.00 |
CNKSR2 | -0.0000414 | 12860 | GTEx | DepMap | Descartes | 0.00 | 0.00 |
GREM1 | -0.0000494 | 13635 | GTEx | DepMap | Descartes | 0.03 | 0.14 |
GAL | -0.0000550 | 14218 | GTEx | DepMap | Descartes | 0.12 | 7.64 |
ALK | -0.0000567 | 14363 | GTEx | DepMap | Descartes | 0.01 | 0.19 |
KCNB2 | -0.0000653 | 15161 | GTEx | DepMap | Descartes | 0.00 | 0.00 |
HS3ST5 | -0.0000658 | 15198 | GTEx | DepMap | Descartes | 0.01 | 1.75 |
TUBB2B | -0.0000778 | 16216 | GTEx | DepMap | Descartes | 0.70 | 49.08 |
EPHA6 | -0.0000875 | 16936 | GTEx | DepMap | Descartes | 0.00 | 0.00 |
SLC44A5 | -0.0000878 | 16969 | GTEx | DepMap | Descartes | 0.03 | 0.67 |
EYA1 | -0.0000905 | 17177 | GTEx | DepMap | Descartes | 0.03 | 2.22 |
TMEFF2 | -0.0001178 | 19067 | GTEx | DepMap | Descartes | 0.00 | 0.00 |
HMX1 | -0.0001387 | 20191 | GTEx | DepMap | Descartes | 0.03 | 38.78 |
NTRK1 | -0.0001520 | 20773 | GTEx | DepMap | Descartes | 0.03 | 1.41 |
ELAVL2 | -0.0001722 | 21520 | GTEx | DepMap | Descartes | 0.08 | 5.73 |
MAB21L1 | -0.0001766 | 21669 | GTEx | DepMap | Descartes | 0.00 | 0.00 |
Descartes Vascular_endothelial markers
Top 50 marker genes of Vascular_endothelial cells in the Decartes fetal adrenal single cell map (https://atlas.brotmanbaty.org/bbi/human-gene-expression-during-development/cell/vascular_endothelial/in/adrenal)
Wilcoxon ranksum test P-value for gene set overrepresentation: 1.00e+00
Mean rank of genes in gene set: 17542.32
Median rank of genes in gene set: 24856
Rank on gene expression program of top 30 genes in gene set:
Genes | Weight | Rank | GTEx | DepMap | Descartes | Mean.Counts | Mean.TPM |
---|---|---|---|---|---|---|---|
CLDN5 | 0.0053733 | 41 | GTEx | DepMap | Descartes | 14.51 | 1119.29 |
ECSCR | 0.0044929 | 58 | GTEx | DepMap | Descartes | 5.99 | 1010.49 |
APLNR | 0.0028222 | 121 | GTEx | DepMap | Descartes | 7.06 | 352.90 |
TIE1 | 0.0019324 | 238 | GTEx | DepMap | Descartes | 2.82 | 131.93 |
RAMP2 | 0.0018776 | 245 | GTEx | DepMap | Descartes | 12.87 | 2681.79 |
FLT4 | 0.0018545 | 250 | GTEx | DepMap | Descartes | 1.61 | 63.79 |
KANK3 | 0.0012968 | 431 | GTEx | DepMap | Descartes | 2.10 | 124.31 |
ARHGAP29 | 0.0006835 | 1053 | GTEx | DepMap | Descartes | 4.51 | 103.48 |
CALCRL | 0.0006339 | 1164 | GTEx | DepMap | Descartes | 5.22 | 167.78 |
HYAL2 | 0.0005586 | 1386 | GTEx | DepMap | Descartes | 6.25 | 260.80 |
SHE | 0.0003892 | 2133 | GTEx | DepMap | Descartes | 1.04 | 30.73 |
MYRIP | 0.0003403 | 2421 | GTEx | DepMap | Descartes | 0.19 | 8.24 |
RASIP1 | 0.0000531 | 7038 | GTEx | DepMap | Descartes | 1.66 | 89.31 |
GALNT15 | -0.0000285 | 11653 | GTEx | DepMap | Descartes | 0.56 | NA |
SHANK3 | -0.0000918 | 17281 | GTEx | DepMap | Descartes | 1.06 | 24.76 |
ROBO4 | -0.0001423 | 20346 | GTEx | DepMap | Descartes | 1.49 | 59.32 |
KDR | -0.0001537 | 20845 | GTEx | DepMap | Descartes | 5.97 | 190.02 |
TEK | -0.0002731 | 23844 | GTEx | DepMap | Descartes | 1.86 | 78.65 |
SLCO2A1 | -0.0002842 | 24022 | GTEx | DepMap | Descartes | 0.82 | 48.03 |
PTPRB | -0.0003015 | 24238 | GTEx | DepMap | Descartes | 2.27 | 35.58 |
NR5A2 | -0.0003104 | 24327 | GTEx | DepMap | Descartes | 0.12 | 4.11 |
CDH13 | -0.0003620 | 24773 | GTEx | DepMap | Descartes | 0.17 | 6.18 |
CDH5 | -0.0003854 | 24939 | GTEx | DepMap | Descartes | 3.81 | 176.12 |
SOX18 | -0.0004681 | 25284 | GTEx | DepMap | Descartes | 2.18 | 226.46 |
NPR1 | -0.0004858 | 25326 | GTEx | DepMap | Descartes | 1.83 | 79.01 |
ESM1 | -0.0005397 | 25429 | GTEx | DepMap | Descartes | 0.04 | 5.92 |
PLVAP | -0.0005857 | 25512 | GTEx | DepMap | Descartes | 4.48 | 352.70 |
CHRM3 | -0.0006404 | 25565 | GTEx | DepMap | Descartes | 0.14 | 4.78 |
PODXL | -0.0006846 | 25600 | GTEx | DepMap | Descartes | 0.55 | 19.74 |
ID1 | -0.0007832 | 25653 | GTEx | DepMap | Descartes | 6.53 | 771.71 |
Descartes stromal markers
Top 50 marker genes of stromal cells in the Decartes fetal adrenal single cell map (https://atlas.brotmanbaty.org/bbi/human-gene-expression-during-development/cell/stromal/in/adrenal)
Wilcoxon ranksum test P-value for gene set overrepresentation: 7.39e-01
Mean rank of genes in gene set: 13587.98
Median rank of genes in gene set: 13348
Rank on gene expression program of top 30 genes in gene set:
Genes | Weight | Rank | GTEx | DepMap | Descartes | Mean.Counts | Mean.TPM |
---|---|---|---|---|---|---|---|
CCDC102B | 0.0030919 | 106 | GTEx | DepMap | Descartes | 0.52 | 35.14 |
ELN | 0.0010575 | 580 | GTEx | DepMap | Descartes | 1.82 | 99.70 |
ADAMTSL3 | 0.0009564 | 661 | GTEx | DepMap | Descartes | 0.19 | 4.75 |
SFRP2 | 0.0008464 | 775 | GTEx | DepMap | Descartes | 0.35 | 24.36 |
LOX | 0.0007711 | 884 | GTEx | DepMap | Descartes | 0.79 | 24.94 |
PRRX1 | 0.0006536 | 1122 | GTEx | DepMap | Descartes | 0.35 | 20.52 |
EDNRA | 0.0006152 | 1210 | GTEx | DepMap | Descartes | 0.34 | 22.30 |
C7 | 0.0005611 | 1374 | GTEx | DepMap | Descartes | 1.73 | 75.90 |
CCDC80 | 0.0004854 | 1657 | GTEx | DepMap | Descartes | 0.61 | 11.95 |
OGN | 0.0003809 | 2176 | GTEx | DepMap | Descartes | 1.53 | 94.52 |
PDGFRA | 0.0003357 | 2463 | GTEx | DepMap | Descartes | 0.44 | 16.07 |
PRICKLE1 | 0.0002981 | 2768 | GTEx | DepMap | Descartes | 0.36 | 15.74 |
LRRC17 | 0.0001998 | 3856 | GTEx | DepMap | Descartes | 0.52 | 45.87 |
CDH11 | 0.0001896 | 4024 | GTEx | DepMap | Descartes | 1.38 | 39.97 |
POSTN | 0.0001448 | 4779 | GTEx | DepMap | Descartes | 3.40 | 143.00 |
COL3A1 | 0.0000960 | 5824 | GTEx | DepMap | Descartes | 11.14 | 366.86 |
ABCA6 | 0.0000781 | 6325 | GTEx | DepMap | Descartes | 0.10 | 2.80 |
ADAMTS2 | 0.0000481 | 7220 | GTEx | DepMap | Descartes | 0.16 | 3.42 |
LUM | 0.0000413 | 7476 | GTEx | DepMap | Descartes | 0.66 | 34.51 |
ITGA11 | 0.0000159 | 8573 | GTEx | DepMap | Descartes | 0.03 | 0.66 |
PCOLCE | 0.0000088 | 8947 | GTEx | DepMap | Descartes | 0.87 | 121.86 |
MGP | 0.0000033 | 9226 | GTEx | DepMap | Descartes | 2.92 | 356.72 |
ZNF385D | -0.0000334 | 12102 | GTEx | DepMap | Descartes | 0.08 | 1.37 |
GLI2 | -0.0000410 | 12832 | GTEx | DepMap | Descartes | 0.10 | 5.18 |
PCDH18 | -0.0000461 | 13348 | GTEx | DepMap | Descartes | 0.29 | 15.38 |
ACTA2 | -0.0000699 | 15553 | GTEx | DepMap | Descartes | 4.45 | 703.66 |
BICC1 | -0.0000831 | 16604 | GTEx | DepMap | Descartes | 0.23 | 14.87 |
MXRA5 | -0.0000921 | 17305 | GTEx | DepMap | Descartes | 0.25 | 2.27 |
GAS2 | -0.0001171 | 19039 | GTEx | DepMap | Descartes | 0.04 | 1.82 |
COL27A1 | -0.0001381 | 20174 | GTEx | DepMap | Descartes | 0.22 | 5.97 |
Descartes sympathoblasts markers
Top 50 marker genes of sympathoblasts cells in the Decartes fetal adrenal single cell map (https://atlas.brotmanbaty.org/bbi/human-gene-expression-during-development/cell/sympathoblasts/in/adrenal)
Wilcoxon ranksum test P-value for gene set overrepresentation: 9.63e-01
Mean rank of genes in gene set: 14913.5
Median rank of genes in gene set: 18179.5
Rank on gene expression program of top 30 genes in gene set:
Genes | Weight | Rank | GTEx | DepMap | Descartes | Mean.Counts | Mean.TPM |
---|---|---|---|---|---|---|---|
FAM155A | 0.0010964 | 558 | GTEx | DepMap | Descartes | 0.23 | 5.37 |
SPOCK3 | 0.0009435 | 675 | GTEx | DepMap | Descartes | 0.23 | 13.80 |
LAMA3 | 0.0007726 | 882 | GTEx | DepMap | Descartes | 0.08 | 1.60 |
CNTNAP5 | 0.0005691 | 1348 | GTEx | DepMap | Descartes | 0.04 | 5.78 |
GRID2 | 0.0004963 | 1617 | GTEx | DepMap | Descartes | 0.05 | 7.69 |
SORCS3 | 0.0002191 | 3589 | GTEx | DepMap | Descartes | 0.01 | 0.19 |
SLC35F3 | 0.0001333 | 4974 | GTEx | DepMap | Descartes | 0.00 | 0.00 |
NTNG1 | 0.0001235 | 5189 | GTEx | DepMap | Descartes | 0.06 | 1.80 |
PNMT | 0.0001106 | 5500 | GTEx | DepMap | Descartes | 0.18 | 26.27 |
FGF14 | 0.0001089 | 5527 | GTEx | DepMap | Descartes | 0.09 | 1.00 |
AGBL4 | 0.0000871 | 6054 | GTEx | DepMap | Descartes | 0.03 | 1.00 |
PENK | 0.0000723 | 6487 | GTEx | DepMap | Descartes | 0.01 | 0.66 |
SCG2 | 0.0000688 | 6585 | GTEx | DepMap | Descartes | 0.04 | 4.91 |
EML6 | 0.0000181 | 8476 | GTEx | DepMap | Descartes | 0.03 | 0.42 |
MGAT4C | 0.0000047 | 9156 | GTEx | DepMap | Descartes | 0.05 | 0.24 |
CHGA | -0.0000304 | 11819 | GTEx | DepMap | Descartes | 0.03 | 1.07 |
TENM1 | -0.0000427 | 13006 | GTEx | DepMap | Descartes | 0.04 | NA |
GRM7 | -0.0000447 | 13202 | GTEx | DepMap | Descartes | 0.05 | 1.01 |
CNTN3 | -0.0000492 | 13613 | GTEx | DepMap | Descartes | 0.03 | 0.47 |
CHGB | -0.0000864 | 16863 | GTEx | DepMap | Descartes | 0.03 | 0.66 |
CDH18 | -0.0000990 | 17819 | GTEx | DepMap | Descartes | 0.03 | 0.34 |
SLC24A2 | -0.0001016 | 18006 | GTEx | DepMap | Descartes | 0.00 | 0.00 |
TMEM130 | -0.0001070 | 18353 | GTEx | DepMap | Descartes | 0.01 | 0.31 |
GCH1 | -0.0001124 | 18738 | GTEx | DepMap | Descartes | 0.21 | 17.03 |
LINC00632 | -0.0001213 | 19266 | GTEx | DepMap | Descartes | 0.06 | NA |
HTATSF1 | -0.0001397 | 20238 | GTEx | DepMap | Descartes | 0.83 | 38.16 |
TBX20 | -0.0001400 | 20248 | GTEx | DepMap | Descartes | 0.00 | 0.00 |
GALNTL6 | -0.0001439 | 20402 | GTEx | DepMap | Descartes | 0.00 | 0.00 |
INSM1 | -0.0001472 | 20558 | GTEx | DepMap | Descartes | 0.00 | 0.00 |
KSR2 | -0.0001605 | 21123 | GTEx | DepMap | Descartes | 0.01 | 0.10 |
Descartes erythroblasts markers
Top 50 marker genes of erythroblasts cells in the Decartes fetal adrenal single cell map (https://atlas.brotmanbaty.org/bbi/human-gene-expression-during-development/cell/erythroblasts/in/adrenal)
Wilcoxon ranksum test P-value for gene set overrepresentation: 1.00e+00
Mean rank of genes in gene set: 21854.15
Median rank of genes in gene set: 23830.5
Rank on gene expression program of top 30 genes in gene set:
Genes | Weight | Rank | GTEx | DepMap | Descartes | Mean.Counts | Mean.TPM |
---|---|---|---|---|---|---|---|
TSPAN5 | 0.0026510 | 137 | GTEx | DepMap | Descartes | 1.09 | 58.38 |
MICAL2 | 0.0020447 | 214 | GTEx | DepMap | Descartes | 0.70 | 24.31 |
GYPC | 0.0001356 | 4931 | GTEx | DepMap | Descartes | 4.44 | 365.96 |
RAPGEF2 | 0.0000704 | 6538 | GTEx | DepMap | Descartes | 0.61 | 13.42 |
SLC25A21 | -0.0001162 | 18981 | GTEx | DepMap | Descartes | 0.10 | 1.89 |
GCLC | -0.0001247 | 19464 | GTEx | DepMap | Descartes | 0.22 | 9.26 |
RHCE | -0.0001252 | 19495 | GTEx | DepMap | Descartes | 0.03 | 1.02 |
RHD | -0.0001299 | 19755 | GTEx | DepMap | Descartes | 0.01 | 1.05 |
RHAG | -0.0001530 | 20824 | GTEx | DepMap | Descartes | 0.10 | 1.54 |
TMEM56 | -0.0001538 | 20854 | GTEx | DepMap | Descartes | 0.26 | NA |
GYPE | -0.0001743 | 21588 | GTEx | DepMap | Descartes | 0.00 | 0.00 |
HECTD4 | -0.0001758 | 21649 | GTEx | DepMap | Descartes | 0.44 | NA |
DENND4A | -0.0001951 | 22279 | GTEx | DepMap | Descartes | 0.30 | 5.23 |
RGS6 | -0.0002142 | 22784 | GTEx | DepMap | Descartes | 0.04 | 0.95 |
SPTB | -0.0002156 | 22820 | GTEx | DepMap | Descartes | 0.01 | 0.28 |
TMCC2 | -0.0002179 | 22880 | GTEx | DepMap | Descartes | 0.03 | 1.12 |
ANK1 | -0.0002265 | 23058 | GTEx | DepMap | Descartes | 0.12 | 0.50 |
HBM | -0.0002337 | 23207 | GTEx | DepMap | Descartes | 1.51 | 391.22 |
HBZ | -0.0002374 | 23277 | GTEx | DepMap | Descartes | 0.26 | 60.02 |
GYPA | -0.0002520 | 23518 | GTEx | DepMap | Descartes | 0.21 | 4.37 |
XPO7 | -0.0002547 | 23558 | GTEx | DepMap | Descartes | 0.35 | 13.01 |
CR1L | -0.0002548 | 23559 | GTEx | DepMap | Descartes | 0.03 | 0.43 |
ABCB10 | -0.0002597 | 23637 | GTEx | DepMap | Descartes | 0.22 | 8.00 |
TRAK2 | -0.0002645 | 23705 | GTEx | DepMap | Descartes | 0.26 | 6.74 |
SPTA1 | -0.0002800 | 23956 | GTEx | DepMap | Descartes | 0.05 | 0.68 |
TFR2 | -0.0002876 | 24068 | GTEx | DepMap | Descartes | 0.01 | 0.12 |
CAT | -0.0002905 | 24110 | GTEx | DepMap | Descartes | 0.74 | 56.66 |
SOX6 | -0.0002941 | 24157 | GTEx | DepMap | Descartes | 0.09 | 1.70 |
EPB42 | -0.0002956 | 24174 | GTEx | DepMap | Descartes | 0.09 | 2.17 |
SLC4A1 | -0.0003053 | 24272 | GTEx | DepMap | Descartes | 0.05 | 1.38 |
Descartes myeloid markers
Top 50 marker genes of myeloid cells in the Decartes fetal adrenal single cell map (https://atlas.brotmanbaty.org/bbi/human-gene-expression-during-development/cell/myeloid/in/adrenal)
Wilcoxon ranksum test P-value for gene set overrepresentation: 1.00e+00
Mean rank of genes in gene set: 19424.68
Median rank of genes in gene set: 22994
Rank on gene expression program of top 30 genes in gene set:
Genes | Weight | Rank | GTEx | DepMap | Descartes | Mean.Counts | Mean.TPM |
---|---|---|---|---|---|---|---|
PTPRE | 0.0023917 | 164 | GTEx | DepMap | Descartes | 1.39 | 47.08 |
SLCO2B1 | 0.0006726 | 1081 | GTEx | DepMap | Descartes | 0.30 | 11.54 |
CTSD | 0.0004236 | 1959 | GTEx | DepMap | Descartes | 2.79 | 299.01 |
CTSS | 0.0001970 | 3913 | GTEx | DepMap | Descartes | 0.09 | 6.58 |
SLC9A9 | 0.0001788 | 4206 | GTEx | DepMap | Descartes | 0.48 | 30.07 |
RNASE1 | 0.0001579 | 4526 | GTEx | DepMap | Descartes | 5.86 | 1334.54 |
CTSC | 0.0000432 | 7404 | GTEx | DepMap | Descartes | 2.01 | 53.81 |
CST3 | 0.0000228 | 8269 | GTEx | DepMap | Descartes | 2.43 | 142.04 |
CD74 | -0.0000094 | 10027 | GTEx | DepMap | Descartes | 1.61 | 102.50 |
SPP1 | -0.0000192 | 10824 | GTEx | DepMap | Descartes | 0.18 | 97.39 |
ABCA1 | -0.0000289 | 11688 | GTEx | DepMap | Descartes | 0.44 | 9.17 |
MS4A4E | -0.0001138 | 18815 | GTEx | DepMap | Descartes | 0.00 | 0.00 |
CD163L1 | -0.0001141 | 18834 | GTEx | DepMap | Descartes | 0.04 | 0.95 |
ATP8B4 | -0.0001248 | 19473 | GTEx | DepMap | Descartes | 0.04 | 2.91 |
IFNGR1 | -0.0001310 | 19808 | GTEx | DepMap | Descartes | 0.49 | 38.70 |
MARCH1 | -0.0001578 | 21018 | GTEx | DepMap | Descartes | 0.06 | NA |
HLA-DRA | -0.0001729 | 21545 | GTEx | DepMap | Descartes | 0.53 | 84.18 |
FGD2 | -0.0001804 | 21807 | GTEx | DepMap | Descartes | 0.03 | 1.70 |
CPVL | -0.0001816 | 21864 | GTEx | DepMap | Descartes | 0.12 | 7.65 |
HCK | -0.0001886 | 22076 | GTEx | DepMap | Descartes | 0.01 | 2.03 |
HRH1 | -0.0002029 | 22504 | GTEx | DepMap | Descartes | 0.03 | 0.49 |
MSR1 | -0.0002040 | 22538 | GTEx | DepMap | Descartes | 0.01 | 1.24 |
TGFBI | -0.0002084 | 22654 | GTEx | DepMap | Descartes | 0.38 | 17.03 |
VSIG4 | -0.0002114 | 22723 | GTEx | DepMap | Descartes | 0.05 | 7.16 |
HLA-DPA1 | -0.0002180 | 22882 | GTEx | DepMap | Descartes | 0.55 | 21.55 |
MPEG1 | -0.0002286 | 23106 | GTEx | DepMap | Descartes | 0.06 | 4.04 |
C1QC | -0.0002327 | 23183 | GTEx | DepMap | Descartes | 0.60 | 156.67 |
CYBB | -0.0002330 | 23190 | GTEx | DepMap | Descartes | 0.09 | 6.82 |
FMN1 | -0.0002514 | 23505 | GTEx | DepMap | Descartes | 0.01 | 0.08 |
MS4A4A | -0.0002578 | 23600 | GTEx | DepMap | Descartes | 0.04 | 6.67 |
Descartes Schwann markers
Top 50 marker genes of Schwann cells in the Decartes fetal adrenal single cell map (https://atlas.brotmanbaty.org/bbi/human-gene-expression-during-development/cell/schwann/in/adrenal)
Wilcoxon ranksum test P-value for gene set overrepresentation: 5.84e-01
Mean rank of genes in gene set: 13131.08
Median rank of genes in gene set: 17815
Rank on gene expression program of top 30 genes in gene set:
Genes | Weight | Rank | GTEx | DepMap | Descartes | Mean.Counts | Mean.TPM |
---|---|---|---|---|---|---|---|
LAMA4 | 0.0034067 | 91 | GTEx | DepMap | Descartes | 3.01 | 81.06 |
VIM | 0.0033596 | 92 | GTEx | DepMap | Descartes | 40.05 | 2682.40 |
KCTD12 | 0.0018639 | 248 | GTEx | DepMap | Descartes | 2.27 | 63.16 |
LAMB1 | 0.0017721 | 268 | GTEx | DepMap | Descartes | 2.31 | 78.18 |
MARCKS | 0.0015041 | 342 | GTEx | DepMap | Descartes | 11.40 | 515.71 |
COL18A1 | 0.0012686 | 449 | GTEx | DepMap | Descartes | 1.49 | 45.96 |
LAMC1 | 0.0012586 | 461 | GTEx | DepMap | Descartes | 1.75 | 38.94 |
VCAN | 0.0007849 | 859 | GTEx | DepMap | Descartes | 3.39 | 57.07 |
ADAMTS5 | 0.0007652 | 899 | GTEx | DepMap | Descartes | 0.25 | 8.35 |
COL5A2 | 0.0006738 | 1077 | GTEx | DepMap | Descartes | 2.06 | 52.27 |
PTN | 0.0006404 | 1150 | GTEx | DepMap | Descartes | 1.34 | 210.88 |
PLCE1 | 0.0005977 | 1264 | GTEx | DepMap | Descartes | 0.23 | 4.24 |
SFRP1 | 0.0005485 | 1417 | GTEx | DepMap | Descartes | 1.01 | 52.32 |
IL1RAPL1 | 0.0004296 | 1926 | GTEx | DepMap | Descartes | 0.04 | 2.19 |
NRXN1 | 0.0004199 | 1977 | GTEx | DepMap | Descartes | 0.30 | 10.76 |
DST | 0.0003920 | 2118 | GTEx | DepMap | Descartes | 1.97 | 19.20 |
NLGN4X | 0.0002876 | 2867 | GTEx | DepMap | Descartes | 0.22 | 8.60 |
NRXN3 | 0.0002285 | 3477 | GTEx | DepMap | Descartes | 0.05 | 1.23 |
PMP22 | 0.0001756 | 4261 | GTEx | DepMap | Descartes | 1.86 | 187.17 |
GAS7 | 0.0000859 | 6096 | GTEx | DepMap | Descartes | 0.06 | 1.53 |
PPP2R2B | 0.0000127 | 8730 | GTEx | DepMap | Descartes | 0.04 | 0.36 |
STARD13 | -0.0000563 | 14328 | GTEx | DepMap | Descartes | 0.23 | 7.56 |
SCN7A | -0.0000753 | 16024 | GTEx | DepMap | Descartes | 0.01 | 0.16 |
MPZ | -0.0000802 | 16384 | GTEx | DepMap | Descartes | 0.01 | 0.55 |
OLFML2A | -0.0000990 | 17815 | GTEx | DepMap | Descartes | 0.22 | 7.48 |
GFRA3 | -0.0001023 | 18049 | GTEx | DepMap | Descartes | 0.00 | 0.00 |
MDGA2 | -0.0001041 | 18173 | GTEx | DepMap | Descartes | 0.00 | 0.00 |
SLC35F1 | -0.0001170 | 19034 | GTEx | DepMap | Descartes | 0.05 | 1.28 |
IL1RAPL2 | -0.0001299 | 19761 | GTEx | DepMap | Descartes | 0.00 | 0.00 |
SORCS1 | -0.0001403 | 20262 | GTEx | DepMap | Descartes | 0.08 | 1.09 |
Descartes Megakaryocytes markers
Top 50 marker genes of Megakaryocytes cells in the Decartes fetal adrenal single cell map (https://atlas.brotmanbaty.org/bbi/human-gene-expression-during-development/cell/megakaryocytes/in/adrenal)
Wilcoxon ranksum test P-value for gene set overrepresentation: 7.99e-02
Mean rank of genes in gene set: 11410.92
Median rank of genes in gene set: 7226
Rank on gene expression program of top 30 genes in gene set:
Genes | Weight | Rank | GTEx | DepMap | Descartes | Mean.Counts | Mean.TPM |
---|---|---|---|---|---|---|---|
MMRN1 | 0.0152990 | 8 | GTEx | DepMap | Descartes | 8.81 | 307.47 |
LIMS1 | 0.0042824 | 60 | GTEx | DepMap | Descartes | 4.84 | 216.96 |
STON2 | 0.0042766 | 61 | GTEx | DepMap | Descartes | 0.73 | 27.66 |
ACTN1 | 0.0027104 | 129 | GTEx | DepMap | Descartes | 1.82 | 79.91 |
TRPC6 | 0.0026379 | 139 | GTEx | DepMap | Descartes | 0.26 | 10.78 |
TMSB4X | 0.0024125 | 163 | GTEx | DepMap | Descartes | 67.95 | 6747.14 |
TPM4 | 0.0021641 | 192 | GTEx | DepMap | Descartes | 8.51 | 300.48 |
MCTP1 | 0.0012951 | 433 | GTEx | DepMap | Descartes | 0.23 | 7.88 |
ACTB | 0.0008970 | 722 | GTEx | DepMap | Descartes | 44.88 | 3365.92 |
FLNA | 0.0008791 | 740 | GTEx | DepMap | Descartes | 2.97 | 71.67 |
LTBP1 | 0.0006316 | 1171 | GTEx | DepMap | Descartes | 1.23 | 27.84 |
RAP1B | 0.0006229 | 1193 | GTEx | DepMap | Descartes | 3.62 | 50.61 |
INPP4B | 0.0006003 | 1254 | GTEx | DepMap | Descartes | 0.44 | 9.78 |
THBS1 | 0.0005667 | 1359 | GTEx | DepMap | Descartes | 1.22 | 33.03 |
MYH9 | 0.0005560 | 1391 | GTEx | DepMap | Descartes | 2.30 | 54.98 |
SLC24A3 | 0.0005090 | 1559 | GTEx | DepMap | Descartes | 0.04 | 1.19 |
FLI1 | 0.0004236 | 1958 | GTEx | DepMap | Descartes | 0.75 | 24.10 |
TGFB1 | 0.0004134 | 2003 | GTEx | DepMap | Descartes | 1.66 | 110.17 |
CD9 | 0.0003659 | 2251 | GTEx | DepMap | Descartes | 0.97 | 98.21 |
PDE3A | 0.0003003 | 2734 | GTEx | DepMap | Descartes | 0.26 | 9.16 |
ZYX | 0.0002767 | 2944 | GTEx | DepMap | Descartes | 0.81 | 69.94 |
ITGA2B | 0.0001982 | 3896 | GTEx | DepMap | Descartes | 0.12 | 3.25 |
ANGPT1 | 0.0000838 | 6161 | GTEx | DepMap | Descartes | 0.16 | 4.62 |
TLN1 | 0.0000823 | 6204 | GTEx | DepMap | Descartes | 2.00 | 41.82 |
ITGB3 | 0.0000479 | 7226 | GTEx | DepMap | Descartes | 0.08 | 1.83 |
ARHGAP6 | 0.0000021 | 9293 | GTEx | DepMap | Descartes | 0.10 | 4.55 |
PPBP | -0.0000520 | 13892 | GTEx | DepMap | Descartes | 0.04 | 8.40 |
DOK6 | -0.0000567 | 14361 | GTEx | DepMap | Descartes | 0.04 | 0.87 |
PF4 | -0.0000760 | 16076 | GTEx | DepMap | Descartes | 0.00 | 0.00 |
PLEK | -0.0001038 | 18150 | GTEx | DepMap | Descartes | 0.08 | 8.53 |
Descartes Lyphoid markers
Top 50 marker genes of Lyphoid cells in the Decartes fetal adrenal single cell map (https://atlas.brotmanbaty.org/bbi/human-gene-expression-during-development/cell/lymphoid/in/adrenal)
Wilcoxon ranksum test P-value for gene set overrepresentation: 7.77e-01
Mean rank of genes in gene set: 13725.25
Median rank of genes in gene set: 15354.5
Rank on gene expression program of top 30 genes in gene set:
Genes | Weight | Rank | GTEx | DepMap | Descartes | Mean.Counts | Mean.TPM |
---|---|---|---|---|---|---|---|
TMSB10 | 0.0043510 | 59 | GTEx | DepMap | Descartes | 68.96 | 24283.06 |
HLA-A | 0.0024592 | 156 | GTEx | DepMap | Descartes | 7.10 | 269.46 |
FOXP1 | 0.0023221 | 170 | GTEx | DepMap | Descartes | 2.64 | 52.63 |
ARHGAP15 | 0.0020437 | 216 | GTEx | DepMap | Descartes | 0.04 | 2.74 |
HLA-B | 0.0016482 | 299 | GTEx | DepMap | Descartes | 3.73 | 475.99 |
MSN | 0.0011402 | 529 | GTEx | DepMap | Descartes | 2.94 | 158.73 |
MBNL1 | 0.0011010 | 553 | GTEx | DepMap | Descartes | 2.22 | 69.02 |
HLA-C | 0.0009514 | 665 | GTEx | DepMap | Descartes | 2.58 | 283.19 |
ABLIM1 | 0.0007114 | 999 | GTEx | DepMap | Descartes | 1.12 | 35.40 |
B2M | 0.0006433 | 1145 | GTEx | DepMap | Descartes | 26.92 | 1958.49 |
ARID5B | 0.0004698 | 1737 | GTEx | DepMap | Descartes | 1.31 | 29.94 |
PRKCH | 0.0004689 | 1741 | GTEx | DepMap | Descartes | 0.77 | 41.60 |
WIPF1 | 0.0003393 | 2431 | GTEx | DepMap | Descartes | 0.55 | 27.88 |
PITPNC1 | 0.0003359 | 2461 | GTEx | DepMap | Descartes | 0.52 | 18.74 |
STK39 | 0.0002061 | 3782 | GTEx | DepMap | Descartes | 0.18 | 16.69 |
EVL | 0.0001217 | 5234 | GTEx | DepMap | Descartes | 0.65 | 32.48 |
ITPKB | 0.0000658 | 6666 | GTEx | DepMap | Descartes | 0.39 | 15.75 |
RCSD1 | -0.0000056 | 9773 | GTEx | DepMap | Descartes | 0.23 | 8.95 |
BACH2 | -0.0000175 | 10673 | GTEx | DepMap | Descartes | 0.06 | 1.09 |
DOCK10 | -0.0000308 | 11854 | GTEx | DepMap | Descartes | 0.10 | 3.52 |
NKG7 | -0.0000315 | 11925 | GTEx | DepMap | Descartes | 0.01 | 1.01 |
LCP1 | -0.0000458 | 13306 | GTEx | DepMap | Descartes | 0.09 | 2.99 |
SAMD3 | -0.0000659 | 15205 | GTEx | DepMap | Descartes | 0.01 | 0.56 |
CELF2 | -0.0000670 | 15297 | GTEx | DepMap | Descartes | 0.36 | 9.09 |
ETS1 | -0.0000683 | 15412 | GTEx | DepMap | Descartes | 2.39 | 77.36 |
CCL5 | -0.0000787 | 16283 | GTEx | DepMap | Descartes | 0.00 | 0.00 |
SCML4 | -0.0001026 | 18069 | GTEx | DepMap | Descartes | 0.00 | 0.00 |
BCL2 | -0.0001105 | 18611 | GTEx | DepMap | Descartes | 0.17 | 4.24 |
MCTP2 | -0.0001312 | 19831 | GTEx | DepMap | Descartes | 0.06 | 0.62 |
FYN | -0.0001413 | 20301 | GTEx | DepMap | Descartes | 0.87 | 41.12 |
Below shows the ranks on this GEP for immune marker gene lists curated by CellTypist (https://www.celltypist.org/encyclopedia).
High ranks indicate this gene is a driver of this GEP.
These curated gene list are ranked by P-value (on this GEP) of their constituent genes.
The Mean Count column shows the mean read count in cells scoring highly (H > 50) on this gene expression program.
Genes | Weight | Rank | GTEx | DepMap | Decartes | Mean.Counts | Mean.TPM |
---|---|---|---|---|---|---|---|
HLA-A | 0.0024592 | 156 | GTEx | DepMap | Descartes | 7.10 | 269.46 |
HLA-B | 0.0016482 | 299 | GTEx | DepMap | Descartes | 3.73 | 475.99 |
RPS2 | 0.0014696 | 352 | GTEx | DepMap | Descartes | 64.03 | 5887.98 |
HLA-C | 0.0009514 | 665 | GTEx | DepMap | Descartes | 2.58 | 283.19 |
B2M | 0.0006433 | 1145 | GTEx | DepMap | Descartes | 26.92 | 1958.49 |
CD8A | 0.0001003 | 5726 | GTEx | DepMap | Descartes | 0.01 | 0.35 |
CD8B | -0.0000402 | 12755 | GTEx | DepMap | Descartes | 0.00 | 0.00 |
FTL | -0.0000626 | 14919 | GTEx | DepMap | Descartes | 28.74 | 5039.90 |
No detectable expression in this dataset: LINC02446
T cells: T(agonist) (model markers)
unconventional T cell subpopulation in the thymus which expresses MIR155HG and shares some signatures with differentiating regulatory T cells:
Wilcoxon ranksum test P-value for gene set overrepresentation: 2.72e-03
Mean rank of genes in gene set: 6358.7
Rank on gene expression program of genes in gene set:
Genes | Weight | Rank | GTEx | DepMap | Decartes | Mean.Counts | Mean.TPM |
---|---|---|---|---|---|---|---|
HLA-A | 0.0024592 | 156 | GTEx | DepMap | Descartes | 7.10 | 269.46 |
HLA-B | 0.0016482 | 299 | GTEx | DepMap | Descartes | 3.73 | 475.99 |
BIRC3 | 0.0009948 | 630 | GTEx | DepMap | Descartes | 0.08 | 1.48 |
ITM2A | 0.0009895 | 635 | GTEx | DepMap | Descartes | 2.08 | 218.09 |
B2M | 0.0006433 | 1145 | GTEx | DepMap | Descartes | 26.92 | 1958.49 |
COTL1 | 0.0005608 | 1375 | GTEx | DepMap | Descartes | 5.35 | 161.12 |
TUBB | 0.0003900 | 2129 | GTEx | DepMap | Descartes | 11.18 | 563.52 |
CD74 | -0.0000094 | 10027 | GTEx | DepMap | Descartes | 1.61 | 102.50 |
SMS | -0.0002490 | 23468 | GTEx | DepMap | Descartes | 1.22 | 97.56 |
PTPRC | -0.0002657 | 23723 | GTEx | DepMap | Descartes | 0.05 | 2.26 |
Fibroblasts: Fibroblasts (model markers)
the most common cells of connective tissues which synthesize the extracellular matrix and collagen to maintain tissue homeostasis:
Wilcoxon ranksum test P-value for gene set overrepresentation: 1.33e-02
Mean rank of genes in gene set: 7684.6
Rank on gene expression program of genes in gene set:
Genes | Weight | Rank | GTEx | DepMap | Decartes | Mean.Counts | Mean.TPM |
---|---|---|---|---|---|---|---|
SMOC2 | 0.0008414 | 780 | GTEx | DepMap | Descartes | 0.21 | 6.32 |
OLFML1 | 0.0008235 | 806 | GTEx | DepMap | Descartes | 0.31 | 17.58 |
PRRX1 | 0.0006536 | 1122 | GTEx | DepMap | Descartes | 0.35 | 20.52 |
SFRP1 | 0.0005485 | 1417 | GTEx | DepMap | Descartes | 1.01 | 52.32 |
PDGFRA | 0.0003357 | 2463 | GTEx | DepMap | Descartes | 0.44 | 16.07 |
EBF2 | 0.0002285 | 3476 | GTEx | DepMap | Descartes | 0.10 | 2.21 |
F10 | -0.0000314 | 11915 | GTEx | DepMap | Descartes | 0.45 | 45.05 |
NTRK2 | -0.0000675 | 15333 | GTEx | DepMap | Descartes | 0.22 | 4.33 |
MXRA5 | -0.0000921 | 17305 | GTEx | DepMap | Descartes | 0.25 | 2.27 |
ANGPTL1 | -0.0001930 | 22229 | GTEx | DepMap | Descartes | 0.08 | 3.39 |