Program description and justification of annotation: 5.
Submit a comment on this gene expression program’s interpretation: CLICK
QQ-plot of gene loadings, averaged over both independent splits of the data
This plot highlights the relative contribution of each gene to the GEP
Top genes driving this program.
Note: Decartes website is buggy, try refreshing. Also, Decartes fetal adrenal data have been collected at specific time points (89-122 days), all possible cell types of interest may not be represented, do not overinterpret.
The Mean Count column shows the mean read count in cells scoring highly (H > 50) on this gene expression program.
Gene | Loading | Gene.Name | GTEx | DepMap | Descartes | Mean.Counts | Mean.Tpm | |
---|---|---|---|---|---|---|---|---|
1 | RPL32 | 0.0223097 | ribosomal protein L32 | GTEx | DepMap | Descartes | 587.91 | 25694.35 |
2 | SMARCA2 | 0.0217985 | SWI/SNF related, matrix associated, actin dependent regulator of chromatin, subfamily a, member 2 | GTEx | DepMap | Descartes | 24.40 | 20.51 |
3 | MEIS2 | 0.0179192 | Meis homeobox 2 | GTEx | DepMap | Descartes | 10.60 | 7.92 |
4 | SEPW1 | 0.0159042 | NA | GTEx | DepMap | Descartes | 48.40 | NA |
5 | LY6H | 0.0153110 | lymphocyte antigen 6 family member H | GTEx | DepMap | Descartes | 5.86 | 56.04 |
6 | FXYD7 | 0.0145324 | FXYD domain containing ion transport regulator 7 | GTEx | DepMap | Descartes | 4.76 | 72.83 |
7 | PANTR1 | 0.0140337 | POU3F3 adjacent non-coding transcript 1 | GTEx | DepMap | Descartes | 4.37 | 5.98 |
8 | GNG3 | 0.0135527 | G protein subunit gamma 3 | GTEx | DepMap | Descartes | 20.28 | 1300.38 |
9 | CFAP61 | 0.0120278 | cilia and flagella associated protein 61 | GTEx | DepMap | Descartes | 3.56 | 1.76 |
10 | BASP1 | 0.0117930 | brain abundant membrane attached signal protein 1 | GTEx | DepMap | Descartes | 77.57 | 223.80 |
11 | RPL39 | 0.0112796 | ribosomal protein L39 | GTEx | DepMap | Descartes | 157.88 | 7675.79 |
12 | STMN2 | 0.0112535 | stathmin 2 | GTEx | DepMap | Descartes | 116.58 | 324.26 |
13 | PIK3R1 | 0.0111395 | phosphoinositide-3-kinase regulatory subunit 1 | GTEx | DepMap | Descartes | 12.55 | 21.56 |
14 | RPS26 | 0.0108799 | ribosomal protein S26 | GTEx | DepMap | Descartes | 125.05 | 8094.67 |
15 | VIP | 0.0108435 | vasoactive intestinal peptide | GTEx | DepMap | Descartes | 4.13 | 72.51 |
16 | RPL41 | 0.0107302 | ribosomal protein L41 | GTEx | DepMap | Descartes | 247.91 | 28729.15 |
17 | POU3F3 | 0.0105508 | POU class 3 homeobox 3 | GTEx | DepMap | Descartes | 2.09 | 42.02 |
18 | NDUFV3 | 0.0104137 | NADH:ubiquinone oxidoreductase subunit V3 | GTEx | DepMap | Descartes | 24.96 | 313.07 |
19 | PPP1R1A | 0.0102883 | protein phosphatase 1 regulatory inhibitor subunit 1A | GTEx | DepMap | Descartes | 2.09 | 38.45 |
20 | ERDR1 | 0.0102252 | NA | GTEx | DepMap | Descartes | 74.55 | NA |
21 | NDN | 0.0100545 | necdin, MAGE family member | GTEx | DepMap | Descartes | 37.90 | 1536.79 |
22 | GM21887 | 0.0099276 | NA | GTEx | DepMap | Descartes | 2.05 | 31.74 |
23 | RPL37 | 0.0099049 | ribosomal protein L37 | GTEx | DepMap | Descartes | 145.17 | 8252.18 |
24 | ZFP637 | 0.0099004 | NA | GTEx | DepMap | Descartes | 7.38 | 218.34 |
25 | PDPN | 0.0097807 | podoplanin | GTEx | DepMap | Descartes | 2.70 | 12.62 |
26 | RET | 0.0097758 | ret proto-oncogene | GTEx | DepMap | Descartes | 2.04 | 6.71 |
27 | RPS5 | 0.0093678 | ribosomal protein S5 | GTEx | DepMap | Descartes | 146.86 | 4730.59 |
28 | ZFP575 | 0.0093513 | NA | GTEx | DepMap | Descartes | 2.36 | 93.15 |
29 | RPS28 | 0.0092693 | ribosomal protein S28 | GTEx | DepMap | Descartes | 138.01 | 3536.12 |
30 | PCSK1N | 0.0091108 | proprotein convertase subtilisin/kexin type 1 inhibitor | GTEx | DepMap | Descartes | 36.64 | 1191.88 |
31 | CITED2 | 0.0089310 | Cbp/p300 interacting transactivator with Glu/Asp rich carboxy-terminal domain 2 | GTEx | DepMap | Descartes | 10.42 | 637.47 |
32 | PTPRT | 0.0088557 | protein tyrosine phosphatase receptor type T | GTEx | DepMap | Descartes | 1.39 | 0.19 |
33 | PRDX2 | 0.0087670 | peroxiredoxin 2 | GTEx | DepMap | Descartes | 60.71 | 1637.78 |
34 | RPS19 | 0.0087375 | ribosomal protein S19 | GTEx | DepMap | Descartes | 159.03 | 4145.05 |
35 | ELAVL2 | 0.0087372 | ELAV like RNA binding protein 2 | GTEx | DepMap | Descartes | 12.06 | 11.77 |
36 | UCHL1 | 0.0087096 | ubiquitin C-terminal hydrolase L1 | GTEx | DepMap | Descartes | 48.50 | 628.19 |
37 | CCNB1IP1 | 0.0087077 | cyclin B1 interacting protein 1 | GTEx | DepMap | Descartes | 1.68 | 13.20 |
38 | TMSB10 | 0.0085782 | thymosin beta 10 | GTEx | DepMap | Descartes | 232.73 | 23643.18 |
39 | RPS4X | 0.0085104 | ribosomal protein S4 X-linked | GTEx | DepMap | Descartes | 144.42 | 4555.93 |
40 | RPS15A | 0.0084723 | ribosomal protein S15a | GTEx | DepMap | Descartes | 144.82 | 1737.57 |
41 | ATPIF1 | 0.0084108 | NA | GTEx | DepMap | Descartes | 55.43 | 2528.02 |
42 | GM1673 | 0.0082979 | NA | GTEx | DepMap | Descartes | 22.31 | 2018.72 |
43 | RPL11 | 0.0081622 | ribosomal protein L11 | GTEx | DepMap | Descartes | 133.01 | 742.55 |
44 | COX6B1 | 0.0079869 | cytochrome c oxidase subunit 6B1 | GTEx | DepMap | Descartes | 39.29 | 585.53 |
45 | GFRA3 | 0.0079643 | GDNF family receptor alpha 3 | GTEx | DepMap | Descartes | 3.37 | 17.00 |
46 | B230312C02RIK | 0.0078743 | NA | GTEx | DepMap | Descartes | 5.96 | 55.02 |
47 | SNCG | 0.0077881 | synuclein gamma | GTEx | DepMap | Descartes | 2.86 | 92.48 |
48 | RPS24 | 0.0077796 | ribosomal protein S24 | GTEx | DepMap | Descartes | 207.32 | 2955.14 |
49 | RPS18 | 0.0077740 | ribosomal protein S18 | GTEx | DepMap | Descartes | 157.56 | 5564.68 |
50 | TFAP2B | 0.0077644 | transcription factor AP-2 beta | GTEx | DepMap | Descartes | 15.88 | 78.93 |
UMAP plots showing activity of gene expression program identified in community:5. Neuroblastoma drug (NB839)
CNV Data procured from inferCNV.
Outer tracks are putative CNV regions (gains = red, losses = blue) for each patient
Inner track is expression data representing:
The top cells expressing this GEP (purple)
Random cells (n =50) from the reference set used in inferCNV (orange)
Gene set Enrichments for this program, caculated from top 50 genes
mSigDB Cell Types Gene Set:
P-value | OR | Lower 95% CI | FDR | FWER | Genes Found | Gene Set Size | |
---|---|---|---|---|---|---|---|
BUSSLINGER_GASTRIC_PPP1R1B_POSITIVE_CELLS | 7.43e-17 | 60.44 | 27.97 | 2.49e-14 | 4.99e-14 | 12RPL32, RPL39, RPL41, RPL37, RPS5, RPS28, RPS19, RPS4X, RPS15A, RPL11, RPS24, RPS18 |
121 |
BUSSLINGER_GASTRIC_LYZ_POSITIVE_CELLS | 9.41e-14 | 51.66 | 22.41 | 9.02e-12 | 6.32e-11 | 10RPL32, RPL39, RPL41, RPL37, RPS5, RPS28, RPS4X, RPS15A, RPL11, RPS18 |
111 |
BUSSLINGER_DUODENAL_TRANSIT_AMPLIFYING_CELLS | 1.31e-17 | 45.11 | 22.08 | 8.79e-15 | 8.79e-15 | 14RPL32, RPL39, RPL41, RPL37, RPS5, RPS28, RPS19, TMSB10, RPS4X, RPS15A, RPL11, COX6B1, RPS24, RPS18 |
194 |
RUBENSTEIN_SKELETAL_MUSCLE_B_CELLS | 1.74e-16 | 44.70 | 21.42 | 3.89e-14 | 1.17e-13 | 13RPL32, RPL39, RPS26, RPL41, RPL37, RPS5, RPS28, RPS19, RPS4X, RPS15A, RPL11, RPS24, RPS18 |
177 |
RUBENSTEIN_SKELETAL_MUSCLE_T_CELLS | 2.33e-16 | 43.67 | 20.90 | 3.90e-14 | 1.56e-13 | 13RPL32, RPL39, RPS26, RPL41, RPL37, RPS5, RPS28, RPS19, RPS4X, RPS15A, RPL11, RPS24, RPS18 |
181 |
TRAVAGLINI_LUNG_CLUB_CELL | 6.01e-12 | 43.61 | 18.19 | 3.10e-10 | 4.04e-09 | 9RPL32, RPL39, RPL37, RPS5, RPS28, RPS19, RPS15A, RPL11, RPS24 |
114 |
FAN_OVARY_CL2_PUTATIVE_EARLY_ATRETIC_FOLLICLE_THECAL_CELL_1 | 7.55e-11 | 44.19 | 17.42 | 2.66e-09 | 5.06e-08 | 8RPL32, RPL39, RPL41, RPL37, RPS15A, RPL11, RPS24, RPS18 |
98 |
FAN_EMBRYONIC_CTX_EX_1_EXCITATORY_NEURON | 1.16e-04 | 173.11 | 16.13 | 1.86e-03 | 7.80e-02 | 2MEIS2, PANTR1 |
7 |
TRAVAGLINI_LUNG_CD4_NAIVE_T_CELL | 2.26e-11 | 37.23 | 15.58 | 9.49e-10 | 1.52e-08 | 9RPL32, RPL39, RPL41, RPL37, RPS5, RPS28, RPS19, RPS15A, RPL11 |
132 |
LAKE_ADULT_KIDNEY_C7_PROXIMAL_TUBULE_EPITHELIAL_CELLS_S3 | 2.77e-11 | 36.39 | 15.22 | 1.09e-09 | 1.86e-08 | 9RPL32, RPL37, RPS28, RPS19, TMSB10, RPS4X, RPL11, RPS24, RPS18 |
135 |
RUBENSTEIN_SKELETAL_MUSCLE_PCV_ENDOTHELIAL_CELLS | 1.31e-13 | 30.98 | 14.52 | 1.10e-11 | 8.81e-11 | 12RPL32, RPL37, RPS5, RPS28, RPS19, TMSB10, RPS4X, RPS15A, RPL11, SNCG, RPS24, RPS18 |
225 |
FAN_OVARY_CL0_XBP1_SELK_HIGH_STROMAL_CELL | 4.64e-11 | 34.21 | 14.33 | 1.73e-09 | 3.11e-08 | 9RPL32, RPL39, RPL41, RPS5, RPS19, RPS4X, RPL11, RPS24, RPS18 |
143 |
TRAVAGLINI_LUNG_BRONCHIAL_VESSEL_1_CELL | 3.78e-12 | 27.65 | 12.60 | 2.11e-10 | 2.53e-09 | 11RPL32, RPL39, RPL41, RPL37, RPS5, RPS28, RPS19, RPS4X, RPS15A, RPL11, RPS24 |
224 |
LAKE_ADULT_KIDNEY_C12_THICK_ASCENDING_LIMB | 5.83e-15 | 24.47 | 12.30 | 7.82e-13 | 3.91e-12 | 15RPL32, PANTR1, PIK3R1, RPL41, PPP1R1A, RPL37, RPS5, RPS28, RPS19, TMSB10, RPS4X, RPL11, COX6B1, RPS24, RPS18 |
381 |
BUSSLINGER_DUODENAL_DIFFERENTIATING_STEM_CELLS | 1.87e-13 | 25.14 | 12.13 | 1.39e-11 | 1.25e-10 | 13RPL32, RPL39, RPL41, RPL37, RPS5, RPS28, RPS19, TMSB10, RPS4X, RPS15A, RPL11, RPS24, RPS18 |
305 |
RUBENSTEIN_SKELETAL_MUSCLE_SATELLITE_CELLS | 2.29e-13 | 24.73 | 11.93 | 1.46e-11 | 1.54e-10 | 13RPL32, RPL39, RPS26, RPL41, RPL37, RPS5, RPS28, RPS19, RPS4X, RPS15A, RPL11, RPS24, RPS18 |
310 |
BUSSLINGER_DUODENAL_STEM_CELLS | 2.39e-13 | 24.65 | 11.89 | 1.46e-11 | 1.60e-10 | 13RPL32, RPL39, PIK3R1, RPL41, RPL37, RPS5, RPS28, RPS19, RPS4X, RPS15A, RPL11, RPS24, RPS18 |
311 |
HAY_BONE_MARROW_NAIVE_T_CELL | 1.31e-14 | 23.08 | 11.61 | 1.46e-12 | 8.77e-12 | 15RPL32, FXYD7, RPL39, PIK3R1, RPS26, RPL41, RPL37, RPS5, RPS28, PCSK1N, RPS19, RPS4X, RPS15A, RPL11, RPS18 |
403 |
AIZARANI_LIVER_C3_NK_NKT_CELLS_2 | 4.13e-09 | 25.82 | 10.30 | 1.20e-07 | 2.77e-06 | 8RPL32, RPL39, RPS26, RPL41, RPL37, RPS19, RPS15A, RPS18 |
162 |
LAKE_ADULT_KIDNEY_C8_DECENDING_THIN_LIMB | 8.17e-10 | 19.49 | 8.60 | 2.61e-08 | 5.48e-07 | 10RPL32, RPL41, RPS5, RPS28, RPS19, TMSB10, RPS4X, RPL11, RPS24, RPS18 |
278 |
Dowload full table
mSigDB Hallmark Gene Sets:
P-value | OR | Lower 95% CI | FDR | FWER | Genes Found | Gene Set Size | |
---|---|---|---|---|---|---|---|
HALLMARK_INFLAMMATORY_RESPONSE | 8.11e-02 | 4.40 | 0.51 | 1.00e+00 | 1.00e+00 | 2VIP, PDPN |
200 |
HALLMARK_GLYCOLYSIS | 8.11e-02 | 4.40 | 0.51 | 1.00e+00 | 1.00e+00 | 2NDUFV3, CITED2 |
200 |
HALLMARK_ALLOGRAFT_REJECTION | 8.11e-02 | 4.40 | 0.51 | 1.00e+00 | 1.00e+00 | 2RPL39, RPS19 |
200 |
HALLMARK_REACTIVE_OXYGEN_SPECIES_PATHWAY | 1.10e-01 | 8.88 | 0.22 | 1.00e+00 | 1.00e+00 | 1PRDX2 |
49 |
HALLMARK_SPERMATOGENESIS | 2.75e-01 | 3.18 | 0.08 | 1.00e+00 | 1.00e+00 | 1PCSK1N |
135 |
HALLMARK_UV_RESPONSE_DN | 2.90e-01 | 2.98 | 0.07 | 1.00e+00 | 1.00e+00 | 1CITED2 |
144 |
HALLMARK_UV_RESPONSE_UP | 3.13e-01 | 2.72 | 0.07 | 1.00e+00 | 1.00e+00 | 1RET |
158 |
HALLMARK_HYPOXIA | 3.78e-01 | 2.14 | 0.05 | 1.00e+00 | 1.00e+00 | 1CITED2 |
200 |
HALLMARK_G2M_CHECKPOINT | 3.78e-01 | 2.14 | 0.05 | 1.00e+00 | 1.00e+00 | 1MEIS2 |
200 |
HALLMARK_ADIPOGENESIS | 3.78e-01 | 2.14 | 0.05 | 1.00e+00 | 1.00e+00 | 1SNCG |
200 |
HALLMARK_ESTROGEN_RESPONSE_EARLY | 3.78e-01 | 2.14 | 0.05 | 1.00e+00 | 1.00e+00 | 1RET |
200 |
HALLMARK_ESTROGEN_RESPONSE_LATE | 3.78e-01 | 2.14 | 0.05 | 1.00e+00 | 1.00e+00 | 1RET |
200 |
HALLMARK_MYC_TARGETS_V1 | 3.78e-01 | 2.14 | 0.05 | 1.00e+00 | 1.00e+00 | 1RPS5 |
200 |
HALLMARK_EPITHELIAL_MESENCHYMAL_TRANSITION | 3.78e-01 | 2.14 | 0.05 | 1.00e+00 | 1.00e+00 | 1BASP1 |
200 |
HALLMARK_OXIDATIVE_PHOSPHORYLATION | 3.78e-01 | 2.14 | 0.05 | 1.00e+00 | 1.00e+00 | 1COX6B1 |
200 |
HALLMARK_HEME_METABOLISM | 3.78e-01 | 2.14 | 0.05 | 1.00e+00 | 1.00e+00 | 1PRDX2 |
200 |
HALLMARK_KRAS_SIGNALING_UP | 3.78e-01 | 2.14 | 0.05 | 1.00e+00 | 1.00e+00 | 1PCSK1N |
200 |
HALLMARK_KRAS_SIGNALING_DN | 3.78e-01 | 2.14 | 0.05 | 1.00e+00 | 1.00e+00 | 1TFAP2B |
200 |
HALLMARK_TNFA_SIGNALING_VIA_NFKB | 1.00e+00 | 0.00 | 0.00 | 1.00e+00 | 1.00e+00 | 0 |
200 |
HALLMARK_CHOLESTEROL_HOMEOSTASIS | 1.00e+00 | 0.00 | 0.00 | 1.00e+00 | 1.00e+00 | 0 |
74 |
Dowload full table
KEGG Pathways:
P-value | OR | Lower 95% CI | FDR | FWER | Genes Found | Gene Set Size | |
---|---|---|---|---|---|---|---|
KEGG_RIBOSOME | 1.49e-20 | 97.63 | 45.74 | 2.77e-18 | 2.77e-18 | 13RPL32, RPL39, RPS26, RPL41, RPL37, RPS5, RPS28, RPS19, RPS4X, RPS15A, RPL11, RPS24, RPS18 |
88 |
KEGG_PARKINSONS_DISEASE | 3.64e-03 | 10.50 | 2.06 | 3.38e-01 | 6.76e-01 | 3NDUFV3, UCHL1, COX6B1 |
130 |
KEGG_OXIDATIVE_PHOSPHORYLATION | 3.92e-02 | 6.70 | 0.78 | 1.00e+00 | 1.00e+00 | 2NDUFV3, COX6B1 |
132 |
KEGG_ALZHEIMERS_DISEASE | 5.89e-02 | 5.31 | 0.62 | 1.00e+00 | 1.00e+00 | 2NDUFV3, COX6B1 |
166 |
KEGG_HUNTINGTONS_DISEASE | 6.91e-02 | 4.84 | 0.57 | 1.00e+00 | 1.00e+00 | 2NDUFV3, COX6B1 |
182 |
KEGG_CHEMOKINE_SIGNALING_PATHWAY | 7.37e-02 | 4.66 | 0.54 | 1.00e+00 | 1.00e+00 | 2GNG3, PIK3R1 |
189 |
KEGG_THYROID_CANCER | 6.69e-02 | 15.22 | 0.37 | 1.00e+00 | 1.00e+00 | 1RET |
29 |
KEGG_PATHWAYS_IN_CANCER | 1.77e-01 | 2.70 | 0.32 | 1.00e+00 | 1.00e+00 | 2PIK3R1, RET |
325 |
KEGG_ALDOSTERONE_REGULATED_SODIUM_REABSORPTION | 9.54e-02 | 10.40 | 0.25 | 1.00e+00 | 1.00e+00 | 1PIK3R1 |
42 |
KEGG_TYPE_II_DIABETES_MELLITUS | 1.06e-01 | 9.27 | 0.23 | 1.00e+00 | 1.00e+00 | 1PIK3R1 |
47 |
KEGG_TASTE_TRANSDUCTION | 1.17e-01 | 8.36 | 0.20 | 1.00e+00 | 1.00e+00 | 1GNG3 |
52 |
KEGG_MTOR_SIGNALING_PATHWAY | 1.17e-01 | 8.36 | 0.20 | 1.00e+00 | 1.00e+00 | 1PIK3R1 |
52 |
KEGG_ENDOMETRIAL_CANCER | 1.17e-01 | 8.36 | 0.20 | 1.00e+00 | 1.00e+00 | 1PIK3R1 |
52 |
KEGG_NON_SMALL_CELL_LUNG_CANCER | 1.21e-01 | 8.04 | 0.20 | 1.00e+00 | 1.00e+00 | 1PIK3R1 |
54 |
KEGG_ACUTE_MYELOID_LEUKEMIA | 1.27e-01 | 7.61 | 0.19 | 1.00e+00 | 1.00e+00 | 1PIK3R1 |
57 |
KEGG_COLORECTAL_CANCER | 1.38e-01 | 6.99 | 0.17 | 1.00e+00 | 1.00e+00 | 1PIK3R1 |
62 |
KEGG_GLIOMA | 1.44e-01 | 6.66 | 0.16 | 1.00e+00 | 1.00e+00 | 1PIK3R1 |
65 |
KEGG_LONG_TERM_POTENTIATION | 1.54e-01 | 6.18 | 0.15 | 1.00e+00 | 1.00e+00 | 1PPP1R1A |
70 |
KEGG_RENAL_CELL_CARCINOMA | 1.54e-01 | 6.18 | 0.15 | 1.00e+00 | 1.00e+00 | 1PIK3R1 |
70 |
KEGG_PANCREATIC_CANCER | 1.54e-01 | 6.18 | 0.15 | 1.00e+00 | 1.00e+00 | 1PIK3R1 |
70 |
Dowload full table
CHR Positional Gene Sets:
P-value | OR | Lower 95% CI | FDR | FWER | Genes Found | Gene Set Size | |
---|---|---|---|---|---|---|---|
chr2q12 | 1.52e-02 | 11.31 | 1.31 | 1.00e+00 | 1.00e+00 | 2PANTR1, POU3F3 |
79 |
chr12q13 | 6.98e-02 | 3.30 | 0.65 | 1.00e+00 | 1.00e+00 | 3RPS26, RPL41, PPP1R1A |
407 |
chr19q13 | 3.36e-01 | 1.57 | 0.41 | 1.00e+00 | 1.00e+00 | 4FXYD7, RPS5, RPS19, COX6B1 |
1165 |
chr4p13 | 7.13e-02 | 14.21 | 0.34 | 1.00e+00 | 1.00e+00 | 1UCHL1 |
31 |
chr15q14 | 1.25e-01 | 7.75 | 0.19 | 1.00e+00 | 1.00e+00 | 1MEIS2 |
56 |
chr1p36 | 6.65e-01 | 1.33 | 0.16 | 1.00e+00 | 1.00e+00 | 2PDPN, RPL11 |
656 |
chr6q24 | 1.58e-01 | 6.01 | 0.15 | 1.00e+00 | 1.00e+00 | 1CITED2 |
72 |
chr19p13 | 6.98e-01 | 1.13 | 0.13 | 1.00e+00 | 1.00e+00 | 2RPS28, PRDX2 |
773 |
chrXq24 | 1.74e-01 | 5.40 | 0.13 | 1.00e+00 | 1.00e+00 | 1RPL39 |
80 |
chr9p24 | 2.14e-01 | 4.26 | 0.10 | 1.00e+00 | 1.00e+00 | 1SMARCA2 |
101 |
chr5p13 | 2.63e-01 | 3.36 | 0.08 | 1.00e+00 | 1.00e+00 | 1RPL37 |
128 |
chr5q13 | 2.87e-01 | 3.02 | 0.07 | 1.00e+00 | 1.00e+00 | 1PIK3R1 |
142 |
chr20p11 | 2.92e-01 | 2.96 | 0.07 | 1.00e+00 | 1.00e+00 | 1CFAP61 |
145 |
chr3p25 | 2.92e-01 | 2.96 | 0.07 | 1.00e+00 | 1.00e+00 | 1RPL32 |
145 |
chr6q25 | 3.07e-01 | 2.79 | 0.07 | 1.00e+00 | 1.00e+00 | 1VIP |
154 |
chrXq13 | 3.17e-01 | 2.68 | 0.07 | 1.00e+00 | 1.00e+00 | 1RPS4X |
160 |
chr16p12 | 3.23e-01 | 2.62 | 0.06 | 1.00e+00 | 1.00e+00 | 1RPS15A |
164 |
chr8q21 | 3.45e-01 | 2.41 | 0.06 | 1.00e+00 | 1.00e+00 | 1STMN2 |
178 |
chr10q11 | 3.55e-01 | 2.33 | 0.06 | 1.00e+00 | 1.00e+00 | 1RET |
184 |
chr5p15 | 3.62e-01 | 2.27 | 0.06 | 1.00e+00 | 1.00e+00 | 1BASP1 |
189 |
Dowload full table
Transcription Factor Targets:
P-value | OR | Lower 95% CI | FDR | FWER | Genes Found | Gene Set Size | |
---|---|---|---|---|---|---|---|
SEF1_C | 8.32e-05 | 214.97 | 19.15 | 3.14e-02 | 9.42e-02 | 2MEIS2, POU3F3 |
6 |
HJURP_TARGET_GENES | 2.02e-03 | 33.43 | 3.75 | 1.63e-01 | 1.00e+00 | 2NDUFV3, RPS15A |
28 |
E2F_Q3_01 | 2.32e-04 | 10.05 | 3.09 | 4.37e-02 | 2.62e-01 | 5MEIS2, CITED2, RPS19, ELAVL2, UCHL1 |
236 |
PAX4_03 | 3.35e-04 | 9.25 | 2.84 | 4.75e-02 | 3.80e-01 | 5STMN2, POU3F3, NDN, PCSK1N, TFAP2B |
256 |
FOXE1_TARGET_GENES | 3.77e-05 | 6.38 | 2.72 | 3.14e-02 | 4.27e-02 | 9RPL32, RPL41, RPS28, CITED2, RPS4X, RPS15A, RPL11, GFRA3, RPS24 |
728 |
ZNF318_TARGET_GENES | 1.42e-04 | 6.97 | 2.63 | 4.01e-02 | 1.60e-01 | 7RPL32, RPS26, RPL41, RPL37, RPS15A, RPS24, RPS18 |
495 |
GTF2A2_TARGET_GENES | 1.95e-04 | 6.61 | 2.50 | 4.37e-02 | 2.21e-01 | 7RPS26, RPS5, PRDX2, TMSB10, RPL11, RPS24, RPS18 |
522 |
PSMB5_TARGET_GENES | 7.57e-04 | 7.69 | 2.37 | 9.53e-02 | 8.58e-01 | 5RPL32, RPS26, RPS28, CITED2, TMSB10 |
307 |
SNRNP70_TARGET_GENES | 7.71e-05 | 5.23 | 2.33 | 3.14e-02 | 8.73e-02 | 10RPL32, RPL39, RPL41, NDUFV3, RPL37, RPS5, RPS19, RPS15A, RPL11, RPS24 |
1009 |
TAF9B_TARGET_GENES | 3.11e-04 | 6.10 | 2.30 | 4.75e-02 | 3.53e-01 | 7MEIS2, RPL39, RPL41, RPS28, RPS4X, RPL11, RPS24 |
565 |
RYTGCNWTGGNR_UNKNOWN | 2.77e-03 | 11.60 | 2.28 | 1.63e-01 | 1.00e+00 | 3FXYD7, PCSK1N, TFAP2B |
118 |
CCANNAGRKGGC_UNKNOWN | 2.91e-03 | 11.40 | 2.24 | 1.63e-01 | 1.00e+00 | 3PIK3R1, CCNB1IP1, RPS4X |
120 |
ZZZ3_TARGET_GENES | 2.97e-03 | 11.30 | 2.22 | 1.63e-01 | 1.00e+00 | 3RPL41, RPL37, RPS18 |
121 |
CART1_01 | 2.08e-03 | 8.08 | 2.09 | 1.63e-01 | 1.00e+00 | 4SMARCA2, MEIS2, PRDX2, RPS19 |
229 |
E2F1_Q4_01 | 2.08e-03 | 8.08 | 2.09 | 1.63e-01 | 1.00e+00 | 4MEIS2, RPS19, ELAVL2, UCHL1 |
229 |
E2F_Q4_01 | 2.38e-03 | 7.77 | 2.01 | 1.63e-01 | 1.00e+00 | 4MEIS2, CITED2, RPS19, UCHL1 |
238 |
CP2_01 | 3.26e-03 | 7.10 | 1.84 | 1.68e-01 | 1.00e+00 | 4SMARCA2, LY6H, RPL41, ELAVL2 |
260 |
ZA_UNIPROT_Q9UM89_UNREVIEWED_TARGET_GENES | 8.15e-03 | 15.82 | 1.82 | 2.83e-01 | 1.00e+00 | 2RPS19, RPS15A |
57 |
CDC5_01 | 3.54e-03 | 6.94 | 1.80 | 1.69e-01 | 1.00e+00 | 4SMARCA2, PIK3R1, CITED2, UCHL1 |
266 |
NKX25_02 | 3.59e-03 | 6.91 | 1.79 | 1.69e-01 | 1.00e+00 | 4MEIS2, VIP, CITED2, ELAVL2 |
267 |
Dowload full table
GO Biological Processes:
P-value | OR | Lower 95% CI | FDR | FWER | Genes Found | Gene Set Size | |
---|---|---|---|---|---|---|---|
GOBP_COTRANSLATIONAL_PROTEIN_TARGETING_TO_MEMBRANE | 2.15e-19 | 78.08 | 36.82 | 1.61e-15 | 1.61e-15 | 13RPL32, RPL39, RPS26, RPL41, RPL37, RPS5, RPS28, RPS19, RPS4X, RPS15A, RPL11, RPS24, RPS18 |
107 |
GOBP_NUCLEAR_TRANSCRIBED_MRNA_CATABOLIC_PROCESS_NONSENSE_MEDIATED_DECAY | 1.01e-18 | 68.53 | 32.47 | 2.82e-15 | 7.56e-15 | 13RPL32, RPL39, RPS26, RPL41, RPL37, RPS5, RPS28, RPS19, RPS4X, RPS15A, RPL11, RPS24, RPS18 |
120 |
GOBP_ESTABLISHMENT_OF_PROTEIN_LOCALIZATION_TO_ENDOPLASMIC_RETICULUM | 1.13e-18 | 67.89 | 32.17 | 2.82e-15 | 8.45e-15 | 13RPL32, RPL39, RPS26, RPL41, RPL37, RPS5, RPS28, RPS19, RPS4X, RPS15A, RPL11, RPS24, RPS18 |
121 |
GOBP_PROTEIN_LOCALIZATION_TO_ENDOPLASMIC_RETICULUM | 1.81e-17 | 53.98 | 25.70 | 3.38e-14 | 1.35e-13 | 13RPL32, RPL39, RPS26, RPL41, RPL37, RPS5, RPS28, RPS19, RPS4X, RPS15A, RPL11, RPS24, RPS18 |
149 |
GOBP_REGULATION_OF_METANEPHROS_DEVELOPMENT | 5.55e-05 | 286.32 | 23.57 | 1.22e-02 | 4.16e-01 | 2BASP1, RET |
5 |
GOBP_TRANSLATIONAL_INITIATION | 5.37e-16 | 40.72 | 19.55 | 8.03e-13 | 4.01e-12 | 13RPL32, RPL39, RPS26, RPL41, RPL37, RPS5, RPS28, RPS19, RPS4X, RPS15A, RPL11, RPS24, RPS18 |
193 |
GOBP_VIRAL_GENE_EXPRESSION | 7.48e-16 | 39.67 | 19.03 | 9.33e-13 | 5.60e-12 | 13RPL32, RPL39, RPS26, RPL41, RPL37, RPS5, RPS28, RPS19, RPS4X, RPS15A, RPL11, RPS24, RPS18 |
198 |
GOBP_NUCLEAR_TRANSCRIBED_MRNA_CATABOLIC_PROCESS | 1.42e-15 | 37.64 | 18.07 | 1.32e-12 | 1.06e-11 | 13RPL32, RPL39, RPS26, RPL41, RPL37, RPS5, RPS28, RPS19, RPS4X, RPS15A, RPL11, RPS24, RPS18 |
208 |
GOBP_PROTEIN_TARGETING_TO_MEMBRANE | 1.42e-15 | 37.64 | 18.07 | 1.32e-12 | 1.06e-11 | 13RPL32, RPL39, RPS26, RPL41, RPL37, RPS5, RPS28, RPS19, RPS4X, RPS15A, RPL11, RPS24, RPS18 |
208 |
GOBP_RESPIRATORY_BURST_INVOLVED_IN_INFLAMMATORY_RESPONSE | 1.16e-04 | 173.11 | 16.13 | 2.42e-02 | 8.70e-01 | 2PRDX2, RPS19 |
7 |
GOBP_RIBOSOMAL_SMALL_SUBUNIT_ASSEMBLY | 1.65e-05 | 73.91 | 13.50 | 3.97e-03 | 1.23e-01 | 3RPS5, RPS28, RPS19 |
21 |
GOBP_GLIAL_CELL_DERIVED_NEUROTROPHIC_FACTOR_RECEPTOR_SIGNALING_PATHWAY | 2.48e-04 | 108.38 | 10.95 | 4.88e-02 | 1.00e+00 | 2RET, GFRA3 |
10 |
GOBP_ESTABLISHMENT_OF_PROTEIN_LOCALIZATION_TO_MEMBRANE | 1.08e-12 | 21.72 | 10.50 | 8.11e-10 | 8.11e-09 | 13RPL32, RPL39, RPS26, RPL41, RPL37, RPS5, RPS28, RPS19, RPS4X, RPS15A, RPL11, RPS24, RPS18 |
351 |
GOBP_CYTOPLASMIC_TRANSLATION | 1.49e-07 | 29.67 | 10.09 | 5.07e-05 | 1.12e-03 | 6RPL32, RPL39, RPS26, RPL41, RPS28, RPL11 |
102 |
GOBP_RNA_CATABOLIC_PROCESS | 4.21e-13 | 20.32 | 10.04 | 3.50e-10 | 3.15e-09 | 14RPL32, RPL39, RPS26, VIP, RPL41, RPL37, RPS5, RPS28, RPS19, RPS4X, RPS15A, RPL11, RPS24, RPS18 |
414 |
GOBP_DISTAL_TUBULE_DEVELOPMENT | 3.62e-04 | 86.81 | 9.02 | 6.61e-02 | 1.00e+00 | 2POU3F3, TFAP2B |
12 |
GOBP_PROTEIN_TARGETING | 1.66e-11 | 17.28 | 8.37 | 1.13e-08 | 1.25e-07 | 13RPL32, RPL39, RPS26, RPL41, RPL37, RPS5, RPS28, RPS19, RPS4X, RPS15A, RPL11, RPS24, RPS18 |
438 |
GOBP_RESPIRATORY_BURST_INVOLVED_IN_DEFENSE_RESPONSE | 4.28e-04 | 78.83 | 8.29 | 7.62e-02 | 1.00e+00 | 2PRDX2, RPS19 |
13 |
GOBP_RIBOSOME_ASSEMBLY | 1.62e-05 | 30.26 | 7.67 | 3.97e-03 | 1.21e-01 | 4RPS5, RPS28, RPS19, RPL11 |
64 |
GOBP_ESTABLISHMENT_OF_PROTEIN_LOCALIZATION_TO_ORGANELLE | 3.19e-11 | 14.46 | 7.16 | 1.99e-08 | 2.39e-07 | 14RPL32, RPL39, PIK3R1, RPS26, RPL41, RPL37, RPS5, RPS28, RPS19, RPS4X, RPS15A, RPL11, RPS24, RPS18 |
576 |
Dowload full table
Immunological Gene Sets:
P-value | OR | Lower 95% CI | FDR | FWER | Genes Found | Gene Set Size | |
---|---|---|---|---|---|---|---|
GSE2405_0H_VS_24H_A_PHAGOCYTOPHILUM_STIM_NEUTROPHIL_UP | 1.11e-12 | 31.18 | 14.17 | 5.41e-09 | 5.41e-09 | 11RPL39, RPS26, RPL41, RPL37, RPS5, RPS19, RPS4X, RPS15A, RPL11, COX6B1, RPS18 |
200 |
GSE2405_0H_VS_9H_A_PHAGOCYTOPHILUM_STIM_NEUTROPHIL_DN | 3.37e-11 | 27.47 | 12.08 | 8.22e-08 | 1.64e-07 | 10RPL39, RPS26, RPL37, RPS5, RPS19, RPS4X, RPS15A, RPL11, COX6B1, RPS18 |
200 |
GSE22886_NAIVE_BCELL_VS_NEUTROPHIL_UP | 8.66e-10 | 24.13 | 10.17 | 8.82e-07 | 4.22e-06 | 9RPL39, RPL41, RPL37, RPS5, RPS19, TMSB10, RPL11, RPS24, RPS18 |
199 |
GSE42088_UNINF_VS_LEISHMANIA_INF_DC_4H_DN | 8.66e-10 | 24.13 | 10.17 | 8.82e-07 | 4.22e-06 | 9RPL32, RPL39, RPL37, RPS19, RPS4X, RPS15A, RPL11, RPS24, RPS18 |
199 |
GSE41978_KLRG1_HIGH_VS_LOW_EFFECTOR_CD8_TCELL_DN | 9.05e-10 | 24.01 | 10.12 | 8.82e-07 | 4.41e-06 | 9RPL39, RPS26, RPL37, RPS5, RPS19, RPS4X, RPS15A, RPL11, RPS18 |
200 |
GSE42088_UNINF_VS_LEISHMANIA_INF_DC_2H_DN | 2.12e-08 | 20.72 | 8.29 | 1.72e-05 | 1.03e-04 | 8RPL32, PIK3R1, RPL37, RPS28, RPS15A, RPL11, RPS24, RPS18 |
200 |
GSE29618_LAIV_VS_TIV_FLU_VACCINE_DAY7_BCELL_DN | 4.03e-07 | 17.81 | 6.67 | 2.62e-04 | 1.96e-03 | 7RPL32, RPS26, RPL37, CITED2, CCNB1IP1, TMSB10, RPS24 |
198 |
GSE41978_ID2_KO_VS_ID2_KO_AND_BIM_KO_KLRG1_LOW_EFFECTOR_CD8_TCELL_DN | 4.31e-07 | 17.62 | 6.61 | 2.62e-04 | 2.10e-03 | 7RPS26, RPL41, RPS5, RPS4X, RPS15A, RPL11, RPS18 |
200 |
GSE3720_UNSTIM_VS_LPS_STIM_VD2_GAMMADELTA_TCELL_UP | 4.63e-05 | 14.33 | 4.38 | 2.17e-02 | 2.26e-01 | 5RPL32, RPL39, RPL37, RPS19, TMSB10 |
167 |
GSE3920_IFNB_VS_IFNG_TREATED_ENDOTHELIAL_CELL_UP | 4.63e-05 | 14.33 | 4.38 | 2.17e-02 | 2.26e-01 | 5RPL32, RPS26, RPL37, RPS19, RPS15A |
167 |
GSE26488_WT_VS_VP16_TRANSGENIC_HDAC7_KO_DOUBLE_POSITIVE_THYMOCYTE_DN | 4.90e-05 | 14.16 | 4.33 | 2.17e-02 | 2.39e-01 | 5RPL32, RPL39, RPL37, RPS5, RPS4X |
169 |
GSE14000_TRANSLATED_RNA_VS_MRNA_DC_DN | 9.36e-05 | 12.28 | 3.76 | 3.42e-02 | 4.56e-01 | 5RPL32, RPS5, RPS15A, RPL11, RPS18 |
194 |
GSE3982_NEUTROPHIL_VS_BCELL_DN | 1.03e-04 | 12.03 | 3.69 | 3.42e-02 | 5.01e-01 | 5RPL32, RPS19, TMSB10, RPS4X, RPS18 |
198 |
GSE26156_DOUBLE_POSITIVE_VS_CD4_SINGLE_POSITIVE_THYMOCYTE_UP | 1.05e-04 | 11.97 | 3.67 | 3.42e-02 | 5.13e-01 | 5RPL32, RPL37, RPS28, RPS15A, RPL11 |
199 |
GSE24574_BCL6_HIGH_VS_LOW_TFH_CD4_TCELL_UP | 1.05e-04 | 11.97 | 3.67 | 3.42e-02 | 5.13e-01 | 5RPL32, STMN2, RPL37, RPS15A, RPL11 |
199 |
GSE3565_DUSP1_VS_WT_SPLENOCYTES_POST_LPS_INJECTION_UP | 6.12e-04 | 11.36 | 2.93 | 1.86e-01 | 1.00e+00 | 4RPL32, RPS26, RPS5, RPS15A |
164 |
GSE24671_CTRL_VS_BAKIMULC_INFECTED_MOUSE_SPLENOCYTES_DN | 6.99e-04 | 10.95 | 2.83 | 1.88e-01 | 1.00e+00 | 4RPL32, RPL39, RPS26, RPS5 |
170 |
GSE3720_UNSTIM_VS_PMA_STIM_VD2_GAMMADELTA_TCELL_UP | 7.79e-04 | 10.62 | 2.75 | 1.88e-01 | 1.00e+00 | 4RPL32, RPL39, RPS26, RPL37 |
175 |
GSE5099_CLASSICAL_M1_VS_ALTERNATIVE_M2_MACROPHAGE_UP | 1.14e-03 | 9.56 | 2.48 | 1.88e-01 | 1.00e+00 | 4RPL32, RPS19, RPS15A, RPS18 |
194 |
GSE2770_TGFB_AND_IL4_VS_IL12_TREATED_ACT_CD4_TCELL_2H_UP | 1.18e-03 | 9.46 | 2.45 | 1.88e-01 | 1.00e+00 | 4RPL32, ELAVL2, RPS15A, RPL11 |
196 |
Top Ranked Transcription Factors for this Gene Expression Program:
Gene Symbol | TF Rank | DNA Binding Domain | Motif Status | IUPAC PWM | GTEx | DepMap | Decartes |
---|---|---|---|---|---|---|---|
SMARCA2 | 2 | No | Unlikely to be sequence specific TF | Not a DNA binding protein | No motif | Has a putative AT-hook | No clear DBD, and its a known cofactor |
MEIS2 | 3 | Yes | Known motif | Monomer or homomultimer | High-throughput in vitro | None | None |
POU3F3 | 17 | Yes | Known motif | Monomer or homomultimer | High-throughput in vitro | None | None |
NDN | 21 | No | Unlikely to be sequence specific TF | Not a DNA binding protein | No motif | None | None |
CITED2 | 31 | No | Unlikely to be sequence specific TF | Not a DNA binding protein | No motif | None | None |
TFAP2B | 50 | Yes | Known motif | Monomer or homomultimer | High-throughput in vitro | None | None |
MKRN2 | 53 | No | ssDNA/RNA binding | Not a DNA binding protein | No motif | None | None |
ERC1 | 55 | No | Unlikely to be sequence specific TF | Not a DNA binding protein | No motif | None | None |
MLLT11 | 67 | No | Unlikely to be sequence specific TF | Not a DNA binding protein | No motif | None | None |
RPL36A | 68 | No | Unlikely to be sequence specific TF | Not a DNA binding protein | No motif | None | Protein is a ribosomal component |
TOX | 73 | No | Unlikely to be sequence specific TF | Low specificity DNA-binding protein | No motif | None | Predicted to be a non- or low specificity TF (PMID: 12697058). However, there is a DAM-id based motif with SSSSGNNGCG-consensus (PMID: 25527292), but this does not look like HMG-site |
HSBP1 | 74 | No | Unlikely to be sequence specific TF | Not a DNA binding protein | No motif | None | Protein that has been shown to bind to HSF1 leading to inhibition of its trimerization and DNA-binding( PMID: 9649501). |
PLAGL1 | 109 | Yes | Known motif | Monomer or homomultimer | In vivo/Misc source | Only known motifs are from Transfac or HocoMoco - origin is uncertain | None |
BEX1 | 117 | No | Unlikely to be sequence specific TF | Not a DNA binding protein | No motif | None | Likely a cofactor- (PMID: 16314316) shows results for related BEX2 |
EMX2 | 130 | Yes | Known motif | Monomer or homomultimer | High-throughput in vitro | None | None |
ZFHX3 | 142 | Yes | Known motif | Monomer or homomultimer | High-throughput in vitro | None | None |
KDM5A | 173 | No | Unlikely to be sequence specific TF | Low specificity DNA-binding protein | No motif | None | None |
NCOA7 | 223 | No | Unlikely to be sequence specific TF | Not a DNA binding protein | No motif | None | Known co-activator; included only because TF-cat documents this |
CELF3 | 226 | No | ssDNA/RNA binding | Not a DNA binding protein | No motif | None | Is a well established RBP |
PLXNA4 | 229 | No | Unlikely to be sequence specific TF | Not a DNA binding protein | No motif | None | Protein is a semaphorin receptor that operates far upstream on the signaling cascade (PMID: 12591607). |
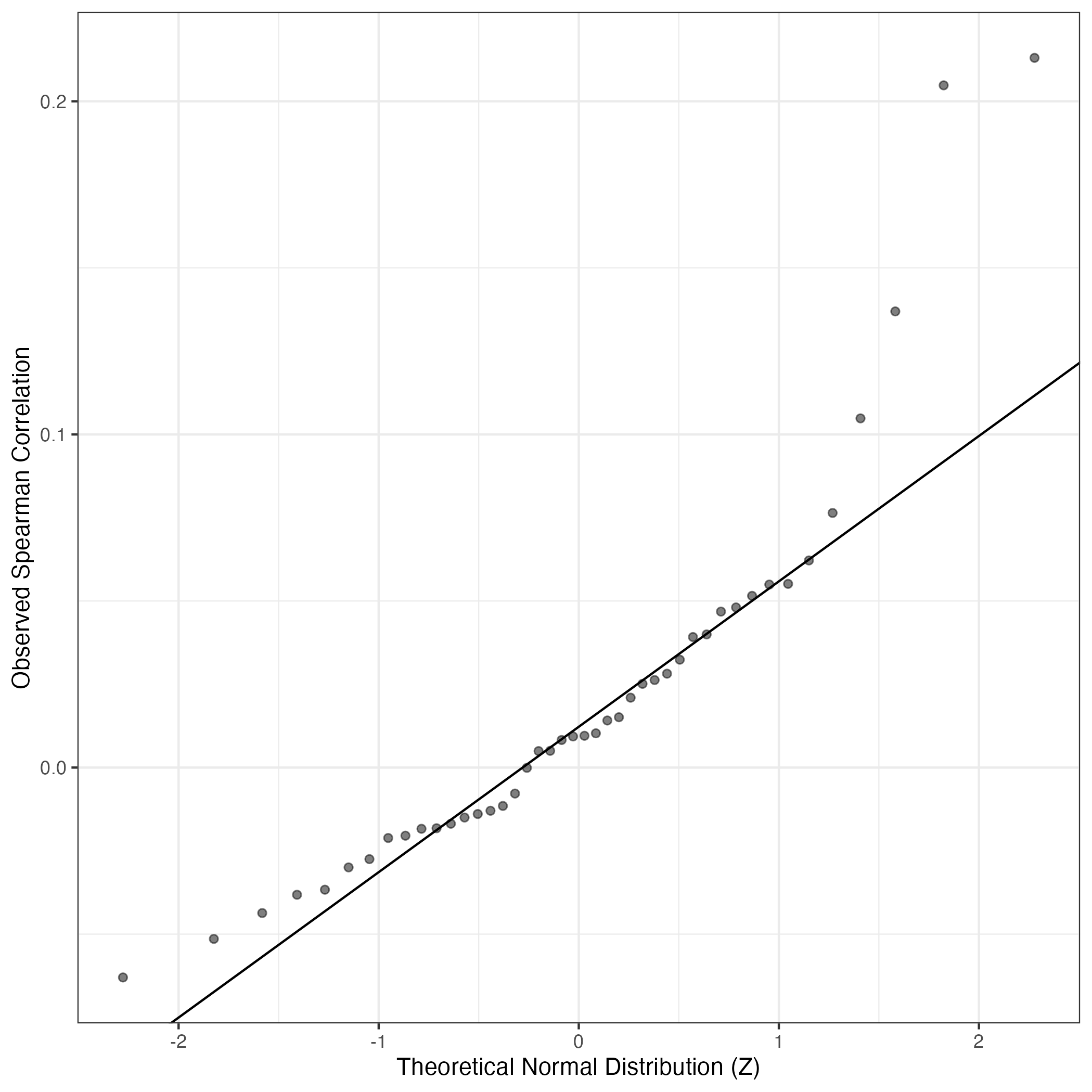
QQ Plot showing correlations with other Gene Expression Programs in this dataset, calculated by Spearman correlation:
Interactive QQ-plot of gene loadings:
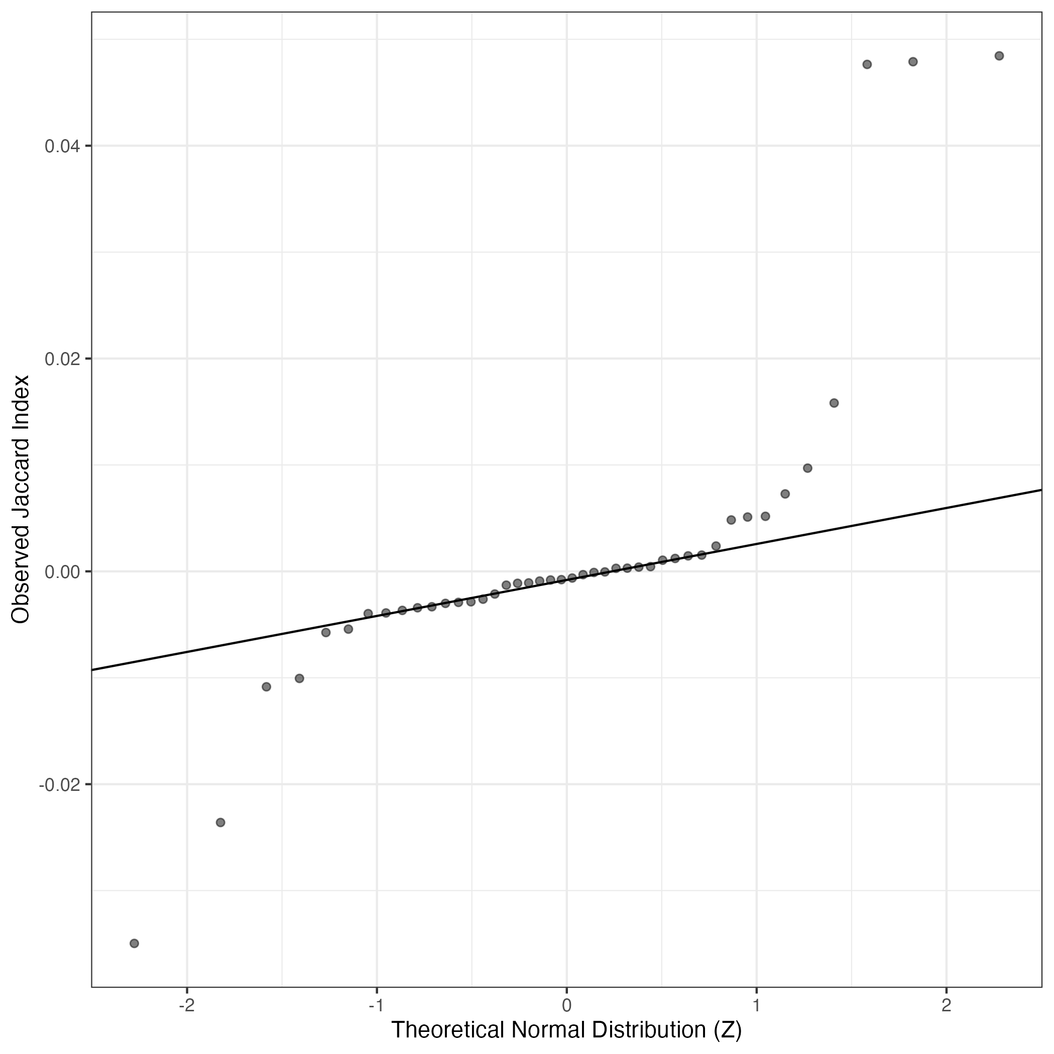
A similar QQ-plot as above, but only for instances where the H value is e.g. > 25, i.e. we are confident that the expression program is active above noise. Agreemenet between these binary vectors is tested using the Jaccard Index, with the P-values calculated by an exact test:
Interactive QQ-plot:
Singler cell type annotations for the top 50 cells on this program.
Cell ID | Singler label | Singler Delta | Activity Score | Top Singler Raw Scores |
---|---|---|---|---|
839_TGCACGGGTTGGCCGT-1 | Neurons:adrenal_medulla_cell_line | 0.27 | 338.16 | Raw ScoresNeurons:adrenal_medulla_cell_line: 0.56, Neuroepithelial_cell:ESC-derived: 0.51, iPS_cells:PDB_1lox-21Puro-20: 0.48, Astrocyte:Embryonic_stem_cell-derived: 0.48, iPS_cells:PDB_1lox-21Puro-26: 0.48, iPS_cells:PDB_1lox-17Puro-10: 0.48, iPS_cells:PDB_2lox-22: 0.47, iPS_cells:PDB_1lox-17Puro-5: 0.47, iPS_cells:PDB_2lox-17: 0.47, iPS_cells:PDB_2lox-21: 0.47 |
839_GGTAACTGTGCGTTTA-1 | Neurons:adrenal_medulla_cell_line | 0.24 | 330.14 | Raw ScoresNeurons:adrenal_medulla_cell_line: 0.54, Neuroepithelial_cell:ESC-derived: 0.49, Astrocyte:Embryonic_stem_cell-derived: 0.47, iPS_cells:PDB_1lox-21Puro-20: 0.46, iPS_cells:PDB_1lox-21Puro-26: 0.45, iPS_cells:PDB_1lox-17Puro-10: 0.45, iPS_cells:PDB_2lox-22: 0.45, iPS_cells:PDB_1lox-17Puro-5: 0.45, iPS_cells:PDB_2lox-17: 0.45, iPS_cells:PDB_2lox-21: 0.44 |
839_GTGTGGCAGCCAGAGT-1 | Neurons:adrenal_medulla_cell_line | 0.28 | 321.09 | Raw ScoresNeurons:adrenal_medulla_cell_line: 0.59, Neuroepithelial_cell:ESC-derived: 0.54, iPS_cells:PDB_1lox-21Puro-20: 0.51, iPS_cells:PDB_1lox-21Puro-26: 0.51, iPS_cells:PDB_1lox-17Puro-10: 0.51, iPS_cells:PDB_2lox-22: 0.5, Astrocyte:Embryonic_stem_cell-derived: 0.5, iPS_cells:PDB_1lox-17Puro-5: 0.5, Embryonic_stem_cells: 0.5, iPS_cells:PDB_2lox-17: 0.5 |
839_AATGGCTTCCTATGGA-1 | Neurons:adrenal_medulla_cell_line | 0.23 | 309.14 | Raw ScoresNeurons:adrenal_medulla_cell_line: 0.55, Neuroepithelial_cell:ESC-derived: 0.51, Astrocyte:Embryonic_stem_cell-derived: 0.49, iPS_cells:PDB_1lox-21Puro-20: 0.48, iPS_cells:PDB_1lox-17Puro-10: 0.48, iPS_cells:PDB_1lox-21Puro-26: 0.48, iPS_cells:PDB_1lox-17Puro-5: 0.47, iPS_cells:PDB_2lox-22: 0.47, iPS_cells:PDB_2lox-17: 0.47, Embryonic_stem_cells: 0.47 |
839_CAAGCTAGTGTCACAT-1 | Neurons:adrenal_medulla_cell_line | 0.25 | 307.12 | Raw ScoresNeurons:adrenal_medulla_cell_line: 0.55, Neuroepithelial_cell:ESC-derived: 0.51, Astrocyte:Embryonic_stem_cell-derived: 0.47, iPS_cells:PDB_1lox-21Puro-20: 0.47, iPS_cells:PDB_1lox-17Puro-10: 0.47, iPS_cells:PDB_1lox-21Puro-26: 0.47, iPS_cells:PDB_2lox-22: 0.46, iPS_cells:PDB_1lox-17Puro-5: 0.46, iPS_cells:PDB_2lox-17: 0.46, Embryonic_stem_cells: 0.46 |
839_CCCGAAGTCGTTCTAT-1 | Neurons:adrenal_medulla_cell_line | 0.27 | 303.86 | Raw ScoresNeurons:adrenal_medulla_cell_line: 0.58, Neuroepithelial_cell:ESC-derived: 0.54, iPS_cells:PDB_1lox-21Puro-20: 0.51, iPS_cells:PDB_1lox-21Puro-26: 0.5, iPS_cells:PDB_1lox-17Puro-10: 0.5, Astrocyte:Embryonic_stem_cell-derived: 0.5, iPS_cells:PDB_2lox-22: 0.5, iPS_cells:PDB_1lox-17Puro-5: 0.5, Embryonic_stem_cells: 0.49, iPS_cells:PDB_2lox-21: 0.49 |
839_ATCTTCAGTCGCATCG-1 | Neurons:adrenal_medulla_cell_line | 0.21 | 301.16 | Raw ScoresNeurons:adrenal_medulla_cell_line: 0.51, Neuroepithelial_cell:ESC-derived: 0.43, Astrocyte:Embryonic_stem_cell-derived: 0.42, iPS_cells:PDB_1lox-21Puro-20: 0.41, iPS_cells:PDB_1lox-21Puro-26: 0.4, iPS_cells:PDB_1lox-17Puro-10: 0.4, iPS_cells:PDB_2lox-22: 0.4, iPS_cells:PDB_1lox-17Puro-5: 0.4, iPS_cells:PDB_2lox-17: 0.4, iPS_cells:adipose_stem_cell-derived:minicircle-derived: 0.4 |
839_AGGGTGAAGAATCGCG-1 | Neurons:adrenal_medulla_cell_line | 0.24 | 290.22 | Raw ScoresNeurons:adrenal_medulla_cell_line: 0.55, Neuroepithelial_cell:ESC-derived: 0.51, Astrocyte:Embryonic_stem_cell-derived: 0.48, iPS_cells:PDB_1lox-21Puro-20: 0.48, iPS_cells:PDB_1lox-21Puro-26: 0.48, iPS_cells:PDB_1lox-17Puro-10: 0.48, iPS_cells:PDB_2lox-22: 0.48, iPS_cells:PDB_1lox-17Puro-5: 0.47, iPS_cells:PDB_2lox-17: 0.47, iPS_cells:PDB_2lox-21: 0.47 |
839_CTGCAGGTCGCGGTAC-1 | Neurons:adrenal_medulla_cell_line | 0.24 | 285.99 | Raw ScoresNeurons:adrenal_medulla_cell_line: 0.54, Neuroepithelial_cell:ESC-derived: 0.5, iPS_cells:PDB_1lox-21Puro-20: 0.47, Astrocyte:Embryonic_stem_cell-derived: 0.47, iPS_cells:PDB_1lox-21Puro-26: 0.47, iPS_cells:PDB_1lox-17Puro-10: 0.47, iPS_cells:PDB_1lox-17Puro-5: 0.46, iPS_cells:PDB_2lox-22: 0.46, iPS_cells:PDB_2lox-17: 0.46, Embryonic_stem_cells: 0.46 |
839_CCTAACCGTTGTTTGG-1 | Neurons:adrenal_medulla_cell_line | 0.25 | 281.33 | Raw ScoresNeurons:adrenal_medulla_cell_line: 0.54, Neuroepithelial_cell:ESC-derived: 0.49, Astrocyte:Embryonic_stem_cell-derived: 0.46, iPS_cells:PDB_1lox-21Puro-20: 0.46, iPS_cells:PDB_1lox-21Puro-26: 0.46, iPS_cells:PDB_1lox-17Puro-10: 0.46, iPS_cells:PDB_2lox-22: 0.46, iPS_cells:PDB_1lox-17Puro-5: 0.46, iPS_cells:PDB_2lox-17: 0.45, iPS_cells:PDB_2lox-21: 0.45 |
839_GTATTTCTCTGATTCT-1 | Neurons:adrenal_medulla_cell_line | 0.27 | 280.92 | Raw ScoresNeurons:adrenal_medulla_cell_line: 0.58, Neuroepithelial_cell:ESC-derived: 0.54, iPS_cells:PDB_1lox-21Puro-20: 0.52, Astrocyte:Embryonic_stem_cell-derived: 0.51, iPS_cells:PDB_1lox-21Puro-26: 0.51, iPS_cells:PDB_1lox-17Puro-10: 0.51, iPS_cells:PDB_2lox-22: 0.51, iPS_cells:PDB_1lox-17Puro-5: 0.5, iPS_cells:PDB_2lox-17: 0.5, iPS_cells:PDB_2lox-21: 0.5 |
839_ACGTAACAGTATTCCG-1 | Neurons:adrenal_medulla_cell_line | 0.27 | 280.08 | Raw ScoresNeurons:adrenal_medulla_cell_line: 0.56, Neuroepithelial_cell:ESC-derived: 0.51, iPS_cells:PDB_1lox-21Puro-20: 0.48, Astrocyte:Embryonic_stem_cell-derived: 0.48, iPS_cells:PDB_1lox-21Puro-26: 0.48, iPS_cells:PDB_1lox-17Puro-10: 0.48, iPS_cells:PDB_1lox-17Puro-5: 0.47, iPS_cells:PDB_2lox-22: 0.47, Embryonic_stem_cells: 0.47, iPS_cells:PDB_2lox-21: 0.46 |
839_TCGAACACATGCACTA-1 | Neurons:adrenal_medulla_cell_line | 0.22 | 278.43 | Raw ScoresNeurons:adrenal_medulla_cell_line: 0.53, Neuroepithelial_cell:ESC-derived: 0.46, Astrocyte:Embryonic_stem_cell-derived: 0.45, iPS_cells:PDB_1lox-21Puro-20: 0.43, iPS_cells:PDB_1lox-21Puro-26: 0.43, iPS_cells:PDB_1lox-17Puro-10: 0.43, iPS_cells:PDB_2lox-22: 0.42, iPS_cells:PDB_1lox-17Puro-5: 0.42, iPS_cells:PDB_2lox-17: 0.42, iPS_cells:PDB_2lox-21: 0.42 |
839_GAATAGAGTCAGGTAG-1 | Neurons:adrenal_medulla_cell_line | 0.27 | 277.38 | Raw ScoresNeurons:adrenal_medulla_cell_line: 0.57, Neuroepithelial_cell:ESC-derived: 0.52, iPS_cells:PDB_1lox-21Puro-20: 0.49, Astrocyte:Embryonic_stem_cell-derived: 0.49, iPS_cells:PDB_1lox-21Puro-26: 0.48, iPS_cells:PDB_1lox-17Puro-10: 0.48, iPS_cells:PDB_2lox-22: 0.48, iPS_cells:PDB_1lox-17Puro-5: 0.48, iPS_cells:PDB_2lox-21: 0.47, iPS_cells:PDB_2lox-17: 0.47 |
839_CAATACGTCCACTTCG-1 | Neurons:adrenal_medulla_cell_line | 0.29 | 276.55 | Raw ScoresNeurons:adrenal_medulla_cell_line: 0.58, Neuroepithelial_cell:ESC-derived: 0.53, iPS_cells:PDB_1lox-21Puro-20: 0.5, iPS_cells:PDB_1lox-21Puro-26: 0.5, iPS_cells:PDB_1lox-17Puro-10: 0.49, iPS_cells:PDB_2lox-22: 0.49, Astrocyte:Embryonic_stem_cell-derived: 0.49, iPS_cells:PDB_1lox-17Puro-5: 0.49, Neurons:ES_cell-derived_neural_precursor: 0.49, iPS_cells:PDB_2lox-17: 0.48 |
839_AGGAATATCTGAGGTT-1 | Neurons:adrenal_medulla_cell_line | 0.28 | 275.35 | Raw ScoresNeurons:adrenal_medulla_cell_line: 0.57, Neuroepithelial_cell:ESC-derived: 0.52, iPS_cells:PDB_1lox-21Puro-20: 0.5, iPS_cells:PDB_1lox-21Puro-26: 0.5, iPS_cells:PDB_1lox-17Puro-10: 0.49, iPS_cells:PDB_2lox-22: 0.49, Astrocyte:Embryonic_stem_cell-derived: 0.49, iPS_cells:PDB_2lox-17: 0.49, iPS_cells:PDB_1lox-17Puro-5: 0.49, iPS_cells:PDB_2lox-21: 0.49 |
839_GCAGTTACAGACAAGC-1 | Neurons:adrenal_medulla_cell_line | 0.26 | 274.29 | Raw ScoresNeurons:adrenal_medulla_cell_line: 0.57, Neuroepithelial_cell:ESC-derived: 0.52, iPS_cells:PDB_1lox-21Puro-20: 0.5, Astrocyte:Embryonic_stem_cell-derived: 0.49, iPS_cells:PDB_1lox-21Puro-26: 0.49, iPS_cells:PDB_1lox-17Puro-10: 0.49, iPS_cells:PDB_2lox-22: 0.49, iPS_cells:PDB_2lox-17: 0.49, Embryonic_stem_cells: 0.49, iPS_cells:PDB_2lox-21: 0.49 |
839_TGCTTGCCATCTGCGG-1 | Neurons:adrenal_medulla_cell_line | 0.29 | 272.04 | Raw ScoresNeurons:adrenal_medulla_cell_line: 0.58, Neuroepithelial_cell:ESC-derived: 0.55, iPS_cells:PDB_1lox-21Puro-20: 0.52, iPS_cells:PDB_1lox-21Puro-26: 0.52, iPS_cells:PDB_1lox-17Puro-10: 0.51, iPS_cells:PDB_2lox-22: 0.51, iPS_cells:PDB_1lox-17Puro-5: 0.51, Embryonic_stem_cells: 0.51, iPS_cells:PDB_2lox-21: 0.5, iPS_cells:PDB_2lox-17: 0.5 |
839_CTGCGAGGTACAGTCT-1 | Neurons:adrenal_medulla_cell_line | 0.28 | 271.06 | Raw ScoresNeurons:adrenal_medulla_cell_line: 0.57, Neuroepithelial_cell:ESC-derived: 0.53, iPS_cells:PDB_1lox-21Puro-20: 0.5, iPS_cells:PDB_1lox-21Puro-26: 0.5, Astrocyte:Embryonic_stem_cell-derived: 0.5, iPS_cells:PDB_1lox-17Puro-10: 0.5, iPS_cells:PDB_2lox-22: 0.49, iPS_cells:PDB_1lox-17Puro-5: 0.49, Embryonic_stem_cells: 0.49, iPS_cells:PDB_2lox-21: 0.48 |
839_TTCAATCCACAAAGCG-1 | Neurons:adrenal_medulla_cell_line | 0.27 | 268.15 | Raw ScoresNeurons:adrenal_medulla_cell_line: 0.57, Neuroepithelial_cell:ESC-derived: 0.53, iPS_cells:PDB_1lox-21Puro-20: 0.51, iPS_cells:PDB_1lox-21Puro-26: 0.51, iPS_cells:PDB_1lox-17Puro-10: 0.5, iPS_cells:PDB_1lox-17Puro-5: 0.5, iPS_cells:PDB_2lox-22: 0.5, Embryonic_stem_cells: 0.5, iPS_cells:PDB_2lox-21: 0.49, iPS_cells:PDB_2lox-17: 0.49 |
839_ATGGTTGCATTCTTCA-1 | Neurons:adrenal_medulla_cell_line | 0.26 | 266.81 | Raw ScoresNeurons:adrenal_medulla_cell_line: 0.56, Neuroepithelial_cell:ESC-derived: 0.51, Astrocyte:Embryonic_stem_cell-derived: 0.49, iPS_cells:PDB_1lox-21Puro-20: 0.48, iPS_cells:PDB_1lox-21Puro-26: 0.48, iPS_cells:PDB_1lox-17Puro-10: 0.47, iPS_cells:PDB_2lox-22: 0.47, iPS_cells:PDB_1lox-17Puro-5: 0.47, Embryonic_stem_cells: 0.47, iPS_cells:PDB_2lox-17: 0.46 |
839_AGCGCTGCAGCTACCG-1 | Neurons:adrenal_medulla_cell_line | 0.27 | 263.30 | Raw ScoresNeurons:adrenal_medulla_cell_line: 0.58, Neuroepithelial_cell:ESC-derived: 0.53, Astrocyte:Embryonic_stem_cell-derived: 0.5, iPS_cells:PDB_1lox-21Puro-20: 0.5, iPS_cells:PDB_1lox-21Puro-26: 0.5, iPS_cells:PDB_1lox-17Puro-10: 0.49, iPS_cells:PDB_2lox-22: 0.49, iPS_cells:PDB_1lox-17Puro-5: 0.49, Embryonic_stem_cells: 0.49, iPS_cells:PDB_2lox-21: 0.49 |
839_TCCTTCTTCGACCTAA-1 | Neurons:adrenal_medulla_cell_line | 0.23 | 262.09 | Raw ScoresNeurons:adrenal_medulla_cell_line: 0.53, Neuroepithelial_cell:ESC-derived: 0.48, Astrocyte:Embryonic_stem_cell-derived: 0.46, iPS_cells:PDB_1lox-21Puro-20: 0.46, iPS_cells:PDB_1lox-21Puro-26: 0.45, iPS_cells:PDB_1lox-17Puro-10: 0.45, iPS_cells:PDB_1lox-17Puro-5: 0.45, iPS_cells:PDB_2lox-22: 0.45, Embryonic_stem_cells: 0.44, iPS_cells:PDB_2lox-17: 0.44 |
839_TTACGCCGTCAGCGTC-1 | Neurons:adrenal_medulla_cell_line | 0.26 | 262.01 | Raw ScoresNeurons:adrenal_medulla_cell_line: 0.55, Neuroepithelial_cell:ESC-derived: 0.5, Astrocyte:Embryonic_stem_cell-derived: 0.48, iPS_cells:PDB_1lox-21Puro-20: 0.46, iPS_cells:PDB_1lox-21Puro-26: 0.45, iPS_cells:PDB_2lox-22: 0.45, iPS_cells:PDB_1lox-17Puro-10: 0.45, iPS_cells:PDB_2lox-21: 0.45, iPS_cells:PDB_2lox-17: 0.45, iPS_cells:PDB_1lox-17Puro-5: 0.45 |
839_AGTGCCGGTTAGGGAC-1 | Neurons:adrenal_medulla_cell_line | 0.25 | 256.06 | Raw ScoresNeurons:adrenal_medulla_cell_line: 0.53, Neuroepithelial_cell:ESC-derived: 0.47, iPS_cells:PDB_1lox-21Puro-20: 0.45, iPS_cells:PDB_1lox-21Puro-26: 0.45, Astrocyte:Embryonic_stem_cell-derived: 0.45, iPS_cells:PDB_2lox-22: 0.44, iPS_cells:PDB_1lox-17Puro-10: 0.44, iPS_cells:PDB_2lox-17: 0.44, iPS_cells:PDB_2lox-21: 0.44, iPS_cells:PDB_1lox-17Puro-5: 0.44 |
839_GACCGTGGTACTTCCC-1 | Neurons:adrenal_medulla_cell_line | 0.19 | 252.39 | Raw ScoresNeurons:adrenal_medulla_cell_line: 0.49, Neuroepithelial_cell:ESC-derived: 0.42, Astrocyte:Embryonic_stem_cell-derived: 0.41, iPS_cells:PDB_1lox-21Puro-20: 0.39, iPS_cells:PDB_2lox-22: 0.39, iPS_cells:PDB_1lox-21Puro-26: 0.39, iPS_cells:PDB_1lox-17Puro-10: 0.39, iPS_cells:PDB_2lox-17: 0.38, iPS_cells:PDB_2lox-21: 0.38, iPS_cells:PDB_2lox-5: 0.38 |
839_CCCATTGGTGTCTTAG-1 | Neurons:adrenal_medulla_cell_line | 0.29 | 251.02 | Raw ScoresNeurons:adrenal_medulla_cell_line: 0.58, Neuroepithelial_cell:ESC-derived: 0.53, iPS_cells:PDB_1lox-21Puro-20: 0.5, Astrocyte:Embryonic_stem_cell-derived: 0.5, iPS_cells:PDB_1lox-21Puro-26: 0.5, iPS_cells:PDB_1lox-17Puro-10: 0.5, iPS_cells:PDB_1lox-17Puro-5: 0.49, iPS_cells:PDB_2lox-22: 0.49, Embryonic_stem_cells: 0.49, iPS_cells:PDB_2lox-21: 0.48 |
839_ACCTACCAGACCGCCT-1 | Neurons:adrenal_medulla_cell_line | 0.28 | 243.73 | Raw ScoresNeurons:adrenal_medulla_cell_line: 0.59, Neuroepithelial_cell:ESC-derived: 0.54, iPS_cells:PDB_1lox-21Puro-20: 0.51, iPS_cells:PDB_1lox-21Puro-26: 0.51, Astrocyte:Embryonic_stem_cell-derived: 0.51, iPS_cells:PDB_1lox-17Puro-10: 0.51, iPS_cells:PDB_1lox-17Puro-5: 0.5, iPS_cells:PDB_2lox-22: 0.5, Embryonic_stem_cells: 0.5, iPS_cells:PDB_2lox-21: 0.5 |
839_ACTGATGTCAAGTGGG-1 | Neurons:adrenal_medulla_cell_line | 0.23 | 242.76 | Raw ScoresNeurons:adrenal_medulla_cell_line: 0.5, Neuroepithelial_cell:ESC-derived: 0.43, Astrocyte:Embryonic_stem_cell-derived: 0.42, iPS_cells:PDB_1lox-21Puro-20: 0.4, iPS_cells:PDB_1lox-17Puro-10: 0.4, iPS_cells:PDB_1lox-21Puro-26: 0.4, iPS_cells:PDB_1lox-17Puro-5: 0.39, iPS_cells:PDB_2lox-22: 0.39, iPS_cells:PDB_2lox-17: 0.39, Embryonic_stem_cells: 0.39 |
839_CTGCCATCAGCGACCT-1 | Neurons:adrenal_medulla_cell_line | 0.28 | 241.64 | Raw ScoresNeurons:adrenal_medulla_cell_line: 0.59, Neuroepithelial_cell:ESC-derived: 0.55, iPS_cells:PDB_1lox-21Puro-20: 0.52, iPS_cells:PDB_1lox-21Puro-26: 0.52, iPS_cells:PDB_1lox-17Puro-10: 0.52, iPS_cells:PDB_2lox-22: 0.51, iPS_cells:PDB_1lox-17Puro-5: 0.51, iPS_cells:PDB_2lox-17: 0.51, iPS_cells:PDB_2lox-21: 0.51, Astrocyte:Embryonic_stem_cell-derived: 0.5 |
839_CAGTGCGAGAATTGTG-1 | Neurons:adrenal_medulla_cell_line | 0.27 | 236.03 | Raw ScoresNeurons:adrenal_medulla_cell_line: 0.58, Neuroepithelial_cell:ESC-derived: 0.52, iPS_cells:PDB_1lox-21Puro-20: 0.5, iPS_cells:PDB_1lox-21Puro-26: 0.49, iPS_cells:PDB_2lox-22: 0.49, iPS_cells:PDB_1lox-17Puro-10: 0.49, iPS_cells:PDB_2lox-17: 0.49, Astrocyte:Embryonic_stem_cell-derived: 0.49, iPS_cells:PDB_1lox-17Puro-5: 0.49, iPS_cells:PDB_2lox-21: 0.49 |
839_TCAATCTCACACGGTC-1 | Neurons:adrenal_medulla_cell_line | 0.22 | 229.75 | Raw ScoresNeurons:adrenal_medulla_cell_line: 0.52, Neuroepithelial_cell:ESC-derived: 0.46, Astrocyte:Embryonic_stem_cell-derived: 0.45, iPS_cells:PDB_1lox-21Puro-20: 0.43, iPS_cells:PDB_1lox-21Puro-26: 0.43, iPS_cells:PDB_1lox-17Puro-10: 0.42, iPS_cells:PDB_2lox-22: 0.42, iPS_cells:PDB_1lox-17Puro-5: 0.42, iPS_cells:PDB_2lox-17: 0.42, iPS_cells:PDB_2lox-21: 0.42 |
839_ATTTCTGAGGCCATAG-1 | Neurons:adrenal_medulla_cell_line | 0.28 | 228.76 | Raw ScoresNeurons:adrenal_medulla_cell_line: 0.58, Neuroepithelial_cell:ESC-derived: 0.53, iPS_cells:PDB_1lox-21Puro-20: 0.5, iPS_cells:PDB_1lox-21Puro-26: 0.49, iPS_cells:PDB_1lox-17Puro-10: 0.49, Astrocyte:Embryonic_stem_cell-derived: 0.49, iPS_cells:PDB_1lox-17Puro-5: 0.48, iPS_cells:PDB_2lox-22: 0.48, iPS_cells:PDB_2lox-17: 0.48, Embryonic_stem_cells: 0.48 |
839_GACTTCCCATCGCTGG-1 | Neurons:adrenal_medulla_cell_line | 0.26 | 228.64 | Raw ScoresNeurons:adrenal_medulla_cell_line: 0.56, Neuroepithelial_cell:ESC-derived: 0.52, iPS_cells:PDB_1lox-21Puro-20: 0.51, iPS_cells:PDB_1lox-21Puro-26: 0.51, iPS_cells:PDB_1lox-17Puro-10: 0.5, iPS_cells:PDB_2lox-22: 0.5, iPS_cells:PDB_1lox-17Puro-5: 0.5, iPS_cells:PDB_2lox-17: 0.5, iPS_cells:PDB_2lox-21: 0.5, Embryonic_stem_cells: 0.49 |
839_GTCAAACAGACGATAT-1 | Neurons:adrenal_medulla_cell_line | 0.24 | 227.89 | Raw ScoresNeurons:adrenal_medulla_cell_line: 0.53, Neuroepithelial_cell:ESC-derived: 0.47, Astrocyte:Embryonic_stem_cell-derived: 0.46, iPS_cells:PDB_1lox-21Puro-20: 0.44, iPS_cells:PDB_2lox-22: 0.43, iPS_cells:PDB_1lox-21Puro-26: 0.43, iPS_cells:PDB_1lox-17Puro-10: 0.43, iPS_cells:PDB_2lox-17: 0.43, iPS_cells:PDB_2lox-21: 0.43, iPS_cells:PDB_1lox-17Puro-5: 0.43 |
839_AGATGAATCGAACGCC-1 | Neurons:adrenal_medulla_cell_line | 0.22 | 227.64 | Raw ScoresNeurons:adrenal_medulla_cell_line: 0.49, Neuroepithelial_cell:ESC-derived: 0.43, Astrocyte:Embryonic_stem_cell-derived: 0.43, iPS_cells:PDB_1lox-21Puro-20: 0.39, iPS_cells:PDB_1lox-21Puro-26: 0.39, iPS_cells:PDB_1lox-17Puro-10: 0.39, iPS_cells:PDB_2lox-22: 0.39, Neurons:ES_cell-derived_neural_precursor: 0.39, iPS_cells:PDB_1lox-17Puro-5: 0.38, iPS_cells:PDB_2lox-21: 0.38 |
839_ATCAGGTCAAACGTGG-1 | Neurons:adrenal_medulla_cell_line | 0.28 | 226.17 | Raw ScoresNeurons:adrenal_medulla_cell_line: 0.57, Neuroepithelial_cell:ESC-derived: 0.51, iPS_cells:PDB_1lox-21Puro-20: 0.48, iPS_cells:PDB_1lox-21Puro-26: 0.48, iPS_cells:PDB_1lox-17Puro-10: 0.48, iPS_cells:PDB_2lox-22: 0.47, iPS_cells:PDB_1lox-17Puro-5: 0.47, Astrocyte:Embryonic_stem_cell-derived: 0.47, iPS_cells:PDB_2lox-17: 0.47, iPS_cells:PDB_2lox-21: 0.47 |
839_TTCGATTGTCCGACGT-1 | Neurons:adrenal_medulla_cell_line | 0.25 | 225.27 | Raw ScoresNeurons:adrenal_medulla_cell_line: 0.55, Neuroepithelial_cell:ESC-derived: 0.5, iPS_cells:PDB_1lox-21Puro-20: 0.48, iPS_cells:PDB_1lox-21Puro-26: 0.48, iPS_cells:PDB_2lox-22: 0.48, iPS_cells:PDB_1lox-17Puro-10: 0.48, iPS_cells:PDB_1lox-17Puro-5: 0.47, iPS_cells:PDB_2lox-21: 0.47, iPS_cells:PDB_2lox-17: 0.47, Embryonic_stem_cells: 0.47 |
839_AATGCCATCGACGCGT-1 | Neurons:adrenal_medulla_cell_line | 0.25 | 223.70 | Raw ScoresNeurons:adrenal_medulla_cell_line: 0.56, Neuroepithelial_cell:ESC-derived: 0.51, iPS_cells:PDB_1lox-21Puro-20: 0.49, iPS_cells:PDB_1lox-21Puro-26: 0.48, Astrocyte:Embryonic_stem_cell-derived: 0.48, iPS_cells:PDB_1lox-17Puro-10: 0.48, iPS_cells:PDB_2lox-22: 0.48, iPS_cells:PDB_1lox-17Puro-5: 0.47, iPS_cells:PDB_2lox-21: 0.47, iPS_cells:PDB_2lox-17: 0.47 |
839_GCGTTTCTCGTGCAGC-1 | Neurons:adrenal_medulla_cell_line | 0.25 | 223.49 | Raw ScoresNeurons:adrenal_medulla_cell_line: 0.55, Neuroepithelial_cell:ESC-derived: 0.51, iPS_cells:PDB_1lox-21Puro-20: 0.48, iPS_cells:PDB_1lox-21Puro-26: 0.48, iPS_cells:PDB_1lox-17Puro-10: 0.48, iPS_cells:PDB_2lox-22: 0.48, iPS_cells:PDB_1lox-17Puro-5: 0.47, iPS_cells:PDB_2lox-17: 0.47, iPS_cells:PDB_2lox-21: 0.47, Embryonic_stem_cells: 0.47 |
839_AATCACGGTTCGGTCG-1 | Neurons:adrenal_medulla_cell_line | 0.26 | 222.15 | Raw ScoresNeurons:adrenal_medulla_cell_line: 0.55, Neuroepithelial_cell:ESC-derived: 0.51, iPS_cells:PDB_1lox-21Puro-20: 0.48, iPS_cells:PDB_1lox-21Puro-26: 0.48, iPS_cells:PDB_1lox-17Puro-10: 0.47, iPS_cells:PDB_2lox-22: 0.47, iPS_cells:PDB_1lox-17Puro-5: 0.47, Embryonic_stem_cells: 0.47, Astrocyte:Embryonic_stem_cell-derived: 0.46, iPS_cells:PDB_2lox-17: 0.46 |
839_ATTACTCCACGGTCTG-1 | Neurons:adrenal_medulla_cell_line | 0.25 | 221.92 | Raw ScoresNeurons:adrenal_medulla_cell_line: 0.56, Neuroepithelial_cell:ESC-derived: 0.51, iPS_cells:PDB_1lox-21Puro-20: 0.5, iPS_cells:PDB_1lox-21Puro-26: 0.49, iPS_cells:PDB_1lox-17Puro-10: 0.49, iPS_cells:PDB_2lox-22: 0.49, iPS_cells:PDB_1lox-17Puro-5: 0.48, iPS_cells:PDB_2lox-17: 0.48, iPS_cells:PDB_2lox-21: 0.48, Embryonic_stem_cells: 0.48 |
839_TTCCTTCTCTTTGCAT-1 | Neurons:adrenal_medulla_cell_line | 0.27 | 221.20 | Raw ScoresNeurons:adrenal_medulla_cell_line: 0.57, Neuroepithelial_cell:ESC-derived: 0.53, iPS_cells:PDB_1lox-21Puro-20: 0.5, iPS_cells:PDB_1lox-21Puro-26: 0.5, iPS_cells:PDB_1lox-17Puro-10: 0.5, iPS_cells:PDB_1lox-17Puro-5: 0.49, Astrocyte:Embryonic_stem_cell-derived: 0.49, iPS_cells:PDB_2lox-22: 0.49, Embryonic_stem_cells: 0.49, iPS_cells:PDB_2lox-21: 0.49 |
839_TGAGGTTTCAGCCTTC-1 | Neurons:adrenal_medulla_cell_line | 0.24 | 220.79 | Raw ScoresNeurons:adrenal_medulla_cell_line: 0.53, Neuroepithelial_cell:ESC-derived: 0.49, iPS_cells:PDB_1lox-21Puro-20: 0.46, Astrocyte:Embryonic_stem_cell-derived: 0.46, iPS_cells:PDB_1lox-21Puro-26: 0.46, iPS_cells:PDB_2lox-22: 0.46, iPS_cells:PDB_1lox-17Puro-10: 0.46, iPS_cells:PDB_1lox-17Puro-5: 0.45, iPS_cells:PDB_2lox-21: 0.45, iPS_cells:PDB_2lox-17: 0.45 |
839_GCCGTGAGTCTGTAAC-1 | Neurons:adrenal_medulla_cell_line | 0.22 | 220.09 | Raw ScoresNeurons:adrenal_medulla_cell_line: 0.49, Neuroepithelial_cell:ESC-derived: 0.43, Astrocyte:Embryonic_stem_cell-derived: 0.41, iPS_cells:PDB_1lox-21Puro-20: 0.41, iPS_cells:PDB_2lox-22: 0.41, iPS_cells:PDB_1lox-21Puro-26: 0.4, iPS_cells:PDB_2lox-21: 0.4, iPS_cells:PDB_1lox-17Puro-10: 0.4, iPS_cells:PDB_2lox-17: 0.4, iPS_cells:PDB_2lox-5: 0.4 |
839_GTGCGTGTCTATCGGA-1 | Neurons:adrenal_medulla_cell_line | 0.27 | 218.80 | Raw ScoresNeurons:adrenal_medulla_cell_line: 0.54, Neuroepithelial_cell:ESC-derived: 0.51, iPS_cells:PDB_1lox-21Puro-20: 0.48, iPS_cells:PDB_1lox-21Puro-26: 0.48, iPS_cells:PDB_2lox-22: 0.48, iPS_cells:PDB_1lox-17Puro-10: 0.48, iPS_cells:PDB_1lox-17Puro-5: 0.47, iPS_cells:PDB_2lox-17: 0.47, Embryonic_stem_cells: 0.47, iPS_cells:PDB_2lox-21: 0.47 |
839_ACTATTCCAATAGGGC-1 | Neurons:adrenal_medulla_cell_line | 0.26 | 217.35 | Raw ScoresNeurons:adrenal_medulla_cell_line: 0.53, Neuroepithelial_cell:ESC-derived: 0.51, iPS_cells:PDB_1lox-21Puro-20: 0.48, iPS_cells:PDB_1lox-21Puro-26: 0.48, iPS_cells:PDB_1lox-17Puro-10: 0.47, iPS_cells:PDB_2lox-22: 0.47, iPS_cells:PDB_1lox-17Puro-5: 0.47, Embryonic_stem_cells: 0.47, iPS_cells:PDB_2lox-17: 0.46, iPS_cells:PDB_2lox-21: 0.46 |
839_AAACGCTAGATTACCC-1 | Neurons:adrenal_medulla_cell_line | 0.26 | 216.90 | Raw ScoresNeurons:adrenal_medulla_cell_line: 0.55, Neuroepithelial_cell:ESC-derived: 0.51, iPS_cells:PDB_1lox-21Puro-20: 0.49, iPS_cells:PDB_1lox-21Puro-26: 0.49, iPS_cells:PDB_2lox-22: 0.48, iPS_cells:PDB_1lox-17Puro-10: 0.48, iPS_cells:PDB_1lox-17Puro-5: 0.48, iPS_cells:PDB_2lox-17: 0.48, iPS_cells:PDB_2lox-21: 0.48, Embryonic_stem_cells: 0.48 |
839_TCACGGGCAAGGCTTT-1 | Neurons:adrenal_medulla_cell_line | 0.22 | 216.19 | Raw ScoresNeurons:adrenal_medulla_cell_line: 0.51, Neuroepithelial_cell:ESC-derived: 0.45, Astrocyte:Embryonic_stem_cell-derived: 0.45, iPS_cells:PDB_1lox-21Puro-20: 0.42, iPS_cells:PDB_1lox-21Puro-26: 0.41, iPS_cells:PDB_1lox-17Puro-10: 0.41, iPS_cells:PDB_2lox-22: 0.41, iPS_cells:PDB_2lox-21: 0.41, iPS_cells:PDB_1lox-17Puro-5: 0.41, iPS_cells:PDB_2lox-17: 0.41 |
839_CCCGAAGGTGTAGCAG-1 | Neurons:adrenal_medulla_cell_line | 0.21 | 216.07 | Raw ScoresNeurons:adrenal_medulla_cell_line: 0.51, Neuroepithelial_cell:ESC-derived: 0.45, Astrocyte:Embryonic_stem_cell-derived: 0.43, iPS_cells:PDB_1lox-21Puro-20: 0.43, iPS_cells:PDB_2lox-22: 0.42, iPS_cells:PDB_1lox-21Puro-26: 0.42, iPS_cells:PDB_1lox-17Puro-10: 0.42, iPS_cells:adipose_stem_cell-derived:minicircle-derived: 0.42, iPS_cells:PDB_1lox-17Puro-5: 0.42, iPS_cells:PDB_2lox-17: 0.42 |
Below shows the significant enrichments of this GEP for literature curated gene lists
This data was procured from existing single cell RNA-seq maps of neuroblastoma or related relevant data.
High ranks indicate this gene is a driver of this GEP.
These curated gene list are ranked by the P-value (on this GEP) of their constituent genes.
The Mean Count column shows the mean read count in cells scoring highly (H > 50) on this gene expression program.
Genes | Weight | Rank | GTEx | DepMap | Decartes | Mean.Counts | Mean.TPM |
---|---|---|---|---|---|---|---|
STMN2 | 0.0112535 | 12 | GTEx | DepMap | Descartes | 116.58 | 324.26 |
UCHL1 | 0.0087096 | 36 | GTEx | DepMap | Descartes | 48.50 | 628.19 |
MLLT11 | 0.0071218 | 67 | GTEx | DepMap | Descartes | 16.24 | 177.07 |
ELAVL4 | 0.0063704 | 93 | GTEx | DepMap | Descartes | 10.10 | 9.68 |
TH | 0.0063149 | 96 | GTEx | DepMap | Descartes | 6.18 | 23.43 |
BEX1 | 0.0059196 | 117 | GTEx | DepMap | Descartes | 17.19 | 1550.09 |
RTN1 | 0.0044321 | 201 | GTEx | DepMap | Descartes | 50.63 | 38.08 |
DBH | 0.0041023 | 240 | GTEx | DepMap | Descartes | 6.57 | 58.13 |
ISL1 | 0.0029930 | 412 | GTEx | DepMap | Descartes | 21.68 | 281.33 |
MAP1B | 0.0020277 | 722 | GTEx | DepMap | Descartes | 36.10 | 56.05 |
NRG1 | 0.0020020 | 731 | GTEx | DepMap | Descartes | 0.47 | 0.06 |
RGS5 | -0.0007019 | 15863 | GTEx | DepMap | Descartes | 0.14 | 0.51 |
Symphathoblasts Fig2 (Kamenva)
Marker genes were obtained from Fig. 2H of Kameneva et al (PMID 33833454) for symphathoblasts (differentiating from SCPs):
Wilcoxon ranksum test P-value for gene set overrepresentation: 4.23e-06
Mean rank of genes in gene set: 955.12
Rank on gene expression program of genes in gene set:
Genes | Weight | Rank | GTEx | DepMap | Decartes | Mean.Counts | Mean.TPM |
---|---|---|---|---|---|---|---|
STMN2 | 0.0112535 | 12 | GTEx | DepMap | Descartes | 116.58 | 324.26 |
ELAVL2 | 0.0087372 | 35 | GTEx | DepMap | Descartes | 12.06 | 11.77 |
ELAVL4 | 0.0063704 | 93 | GTEx | DepMap | Descartes | 10.10 | 9.68 |
ISL1 | 0.0029930 | 412 | GTEx | DepMap | Descartes | 21.68 | 281.33 |
HMX1 | 0.0027356 | 472 | GTEx | DepMap | Descartes | 1.24 | 18.32 |
STMN4 | 0.0023915 | 588 | GTEx | DepMap | Descartes | 10.39 | 88.12 |
HAND2 | 0.0008581 | 1768 | GTEx | DepMap | Descartes | 9.31 | 378.66 |
PRPH | 0.0001411 | 4261 | GTEx | DepMap | Descartes | 0.46 | 19.33 |
Neuroblast (Hanemaaijer)
Marker genes obtained from Supplementary Table SD of Hanemaaijer et al (PMID 33500353). The authors generated single-cell RNA-seq data (sort-seq, 2,229 cells total) from mouse adrenal glads at E13.5, E14.5, E17.5, E18.5, P1 and P5. These were marker genes that matched with a similar dataset generated by Furlan et al (PMID 28684471). This particular set of markers are for the Neuroblast subcluster, which is part of the Adrenal Medulla cluster.:
Wilcoxon ranksum test P-value for gene set overrepresentation: 2.01e-05
Mean rank of genes in gene set: 3590.54
Rank on gene expression program of genes in gene set:
Genes | Weight | Rank | GTEx | DepMap | Decartes | Mean.Counts | Mean.TPM |
---|---|---|---|---|---|---|---|
BASP1 | 0.0117930 | 10 | GTEx | DepMap | Descartes | 77.57 | 223.80 |
STMN2 | 0.0112535 | 12 | GTEx | DepMap | Descartes | 116.58 | 324.26 |
ELAVL4 | 0.0063704 | 93 | GTEx | DepMap | Descartes | 10.10 | 9.68 |
TUBB3 | 0.0059131 | 118 | GTEx | DepMap | Descartes | 42.61 | 585.21 |
STMN1 | 0.0045261 | 195 | GTEx | DepMap | Descartes | 116.40 | 2978.42 |
RTN1 | 0.0044321 | 201 | GTEx | DepMap | Descartes | 50.63 | 38.08 |
NEFL | 0.0035265 | 317 | GTEx | DepMap | Descartes | 48.37 | 1337.05 |
ISL1 | 0.0029930 | 412 | GTEx | DepMap | Descartes | 21.68 | 281.33 |
NEFM | 0.0027498 | 468 | GTEx | DepMap | Descartes | 50.22 | 173.97 |
INA | 0.0017691 | 857 | GTEx | DepMap | Descartes | 8.23 | 114.60 |
PRPH | 0.0001411 | 4261 | GTEx | DepMap | Descartes | 0.46 | 19.33 |
ELAVL3 | -0.0014036 | 19284 | GTEx | DepMap | Descartes | 7.30 | 28.84 |
CCND1 | -0.0022566 | 20449 | GTEx | DepMap | Descartes | 22.56 | 338.51 |
Below shows ranks on this GEP for literature curated gene lists for large gene sets
These include those reported as mesenchymal/adrenergic by Van Groningen et al.
High ranks indicate this gene is a driver of this GEP (note these results are not ordered).
The Mean Count column shows the mean read count in cells scoring highly (H > 50) on this gene expression program.
VanGroningen Adrenergic Genes
Adrenergic marker genes from Supplementary Table 2 of Van Groningen et al. Nature Genetics 2017. These genes were identified by differential expression analysis of mesenchymal-like and adrenergic-like neuroblastoma cell lines.
Wilcoxon ranksum test P-value for gene set overrepresentation: 8.96e-08
Mean rank of genes in gene set: 8787.51
Median rank of genes in gene set: 4740.5
Rank on gene expression program of top 30 genes in gene set:
Genes | Weight | Rank | GTEx | DepMap | Descartes | Mean.Counts | Mean.TPM |
---|---|---|---|---|---|---|---|
STMN2 | 0.0112535 | 12 | GTEx | DepMap | Descartes | 116.58 | 324.26 |
PIK3R1 | 0.0111395 | 13 | GTEx | DepMap | Descartes | 12.55 | 21.56 |
RET | 0.0097758 | 26 | GTEx | DepMap | Descartes | 2.04 | 6.71 |
ELAVL2 | 0.0087372 | 35 | GTEx | DepMap | Descartes | 12.06 | 11.77 |
TFAP2B | 0.0077644 | 50 | GTEx | DepMap | Descartes | 15.88 | 78.93 |
DCX | 0.0070836 | 69 | GTEx | DepMap | Descartes | 7.45 | 14.27 |
DPYSL2 | 0.0065872 | 86 | GTEx | DepMap | Descartes | 12.52 | 28.27 |
ELAVL4 | 0.0063704 | 93 | GTEx | DepMap | Descartes | 10.10 | 9.68 |
TH | 0.0063149 | 96 | GTEx | DepMap | Descartes | 6.18 | 23.43 |
GLDC | 0.0062927 | 97 | GTEx | DepMap | Descartes | 1.32 | 2.49 |
RBMS3 | 0.0059428 | 114 | GTEx | DepMap | Descartes | 5.90 | 0.67 |
SERP2 | 0.0059336 | 116 | GTEx | DepMap | Descartes | 5.86 | 34.89 |
BEX1 | 0.0059196 | 117 | GTEx | DepMap | Descartes | 17.19 | 1550.09 |
TUBB3 | 0.0059131 | 118 | GTEx | DepMap | Descartes | 42.61 | 585.21 |
GNG4 | 0.0057974 | 122 | GTEx | DepMap | Descartes | 1.16 | 3.81 |
LMO3 | 0.0053511 | 139 | GTEx | DepMap | Descartes | 2.03 | 1.33 |
TUBB2A | 0.0052986 | 144 | GTEx | DepMap | Descartes | 16.70 | 640.75 |
MAPT | 0.0052455 | 148 | GTEx | DepMap | Descartes | 6.15 | 8.99 |
CADM1 | 0.0049274 | 165 | GTEx | DepMap | Descartes | 9.06 | 4.21 |
TAGLN3 | 0.0045318 | 194 | GTEx | DepMap | Descartes | 12.27 | 129.99 |
CETN3 | 0.0044427 | 198 | GTEx | DepMap | Descartes | 8.64 | 85.61 |
RTN1 | 0.0044321 | 201 | GTEx | DepMap | Descartes | 50.63 | 38.08 |
RGS17 | 0.0043889 | 206 | GTEx | DepMap | Descartes | 1.92 | 2.94 |
SNAP25 | 0.0043639 | 210 | GTEx | DepMap | Descartes | 10.18 | 21.07 |
EEF1A2 | 0.0043040 | 215 | GTEx | DepMap | Descartes | 8.21 | 129.74 |
NCOA7 | 0.0042498 | 223 | GTEx | DepMap | Descartes | 3.62 | 3.04 |
DBH | 0.0041023 | 240 | GTEx | DepMap | Descartes | 6.57 | 58.13 |
DPYSL3 | 0.0038101 | 282 | GTEx | DepMap | Descartes | 8.26 | 10.78 |
TUBB2B | 0.0037702 | 288 | GTEx | DepMap | Descartes | 34.03 | 1342.56 |
RUFY3 | 0.0036948 | 296 | GTEx | DepMap | Descartes | 6.96 | 12.08 |
VanGroningen Mesenchymal Genes
Mesenchymal marker genes from Supplementary Table 2 of Van Groningen et al. Nature Genetics 2017. These genes were identified by differential expression analysis of mesenchymal-like and adrenergic-like neuroblastoma cell lines.
Wilcoxon ranksum test P-value for gene set overrepresentation: 1.00e+00
Mean rank of genes in gene set: 14761.35
Median rank of genes in gene set: 16574.5
Rank on gene expression program of top 30 genes in gene set:
Genes | Weight | Rank | GTEx | DepMap | Descartes | Mean.Counts | Mean.TPM |
---|---|---|---|---|---|---|---|
IFITM2 | 0.0071303 | 65 | GTEx | DepMap | Descartes | 13.00 | 1608.07 |
PLAGL1 | 0.0060293 | 109 | GTEx | DepMap | Descartes | 2.66 | 5.43 |
NRP1 | 0.0050857 | 155 | GTEx | DepMap | Descartes | 4.28 | 4.51 |
PLK2 | 0.0033113 | 350 | GTEx | DepMap | Descartes | 1.68 | 44.52 |
PDE3A | 0.0032089 | 370 | GTEx | DepMap | Descartes | 5.76 | 3.43 |
CETN2 | 0.0027235 | 478 | GTEx | DepMap | Descartes | 3.11 | 90.96 |
KCTD12 | 0.0026774 | 492 | GTEx | DepMap | Descartes | 1.93 | 46.54 |
TMEFF2 | 0.0023075 | 619 | GTEx | DepMap | Descartes | 1.45 | 0.73 |
RCN1 | 0.0022756 | 628 | GTEx | DepMap | Descartes | 1.77 | 20.83 |
MYL12B | 0.0019676 | 750 | GTEx | DepMap | Descartes | 8.70 | 69.08 |
TSC22D3 | 0.0019318 | 771 | GTEx | DepMap | Descartes | 2.92 | 7.04 |
POLR2L | 0.0019224 | 777 | GTEx | DepMap | Descartes | 1.75 | 73.48 |
RGS3 | 0.0018736 | 798 | GTEx | DepMap | Descartes | 0.77 | 0.78 |
PLEKHH2 | 0.0018106 | 832 | GTEx | DepMap | Descartes | 0.25 | 0.33 |
EDEM1 | 0.0016528 | 942 | GTEx | DepMap | Descartes | 1.10 | 5.35 |
ARMCX2 | 0.0016391 | 953 | GTEx | DepMap | Descartes | 1.78 | 51.95 |
ITPR1 | 0.0015802 | 1000 | GTEx | DepMap | Descartes | 1.42 | 0.62 |
PRDX4 | 0.0015459 | 1022 | GTEx | DepMap | Descartes | 7.66 | 66.14 |
FAM102B | 0.0013847 | 1139 | GTEx | DepMap | Descartes | 1.03 | 2.68 |
KCNK2 | 0.0012318 | 1279 | GTEx | DepMap | Descartes | 1.95 | 1.55 |
COL6A3 | 0.0010574 | 1479 | GTEx | DepMap | Descartes | 0.39 | 0.74 |
SFT2D1 | 0.0009513 | 1632 | GTEx | DepMap | Descartes | 1.06 | 9.26 |
GNAI1 | 0.0008596 | 1764 | GTEx | DepMap | Descartes | 1.23 | 1.84 |
TRIL | 0.0008107 | 1846 | GTEx | DepMap | Descartes | 0.45 | 13.51 |
RGS10 | 0.0005830 | 2329 | GTEx | DepMap | Descartes | 0.76 | 2.42 |
TFPI | 0.0005611 | 2382 | GTEx | DepMap | Descartes | 0.30 | 1.00 |
SEMA3C | 0.0005338 | 2470 | GTEx | DepMap | Descartes | 0.24 | 0.21 |
SCRG1 | 0.0005290 | 2483 | GTEx | DepMap | Descartes | 0.00 | 0.04 |
FAM43A | 0.0004369 | 2766 | GTEx | DepMap | Descartes | 0.45 | 21.78 |
TMBIM4 | 0.0004323 | 2789 | GTEx | DepMap | Descartes | 2.29 | 14.33 |
Descartes adrenocortical markers
Top 50 marker genes of adrenocortical cells in the Decartes fetal adrenal single cell map (https://atlas.brotmanbaty.org/bbi/human-gene-expression-during-development/cell/adrenocortical/in/adrenal)
Wilcoxon ranksum test P-value for gene set overrepresentation: 6.92e-01
Mean rank of genes in gene set: 10941.98
Median rank of genes in gene set: 11151.5
Rank on gene expression program of top 30 genes in gene set:
Genes | Weight | Rank | GTEx | DepMap | Descartes | Mean.Counts | Mean.TPM |
---|---|---|---|---|---|---|---|
PDE10A | 0.0018524 | 809 | GTEx | DepMap | Descartes | 0.76 | 0.24 |
FDX1 | 0.0007339 | 1986 | GTEx | DepMap | Descartes | 1.93 | 13.48 |
IGF1R | 0.0007292 | 1991 | GTEx | DepMap | Descartes | 1.08 | 0.59 |
TM7SF2 | 0.0006329 | 2197 | GTEx | DepMap | Descartes | 0.22 | 5.90 |
PEG3 | 0.0005998 | 2278 | GTEx | DepMap | Descartes | 4.31 | 23.84 |
GRAMD1B | 0.0005124 | 2531 | GTEx | DepMap | Descartes | 1.12 | 0.73 |
DHCR24 | 0.0003880 | 2938 | GTEx | DepMap | Descartes | 1.14 | 5.93 |
CYB5B | 0.0003862 | 2941 | GTEx | DepMap | Descartes | 1.70 | 6.50 |
INHA | 0.0003585 | 3060 | GTEx | DepMap | Descartes | 0.12 | 6.09 |
DNER | 0.0002489 | 3581 | GTEx | DepMap | Descartes | 0.23 | 0.11 |
SGCZ | 0.0001166 | 4462 | GTEx | DepMap | Descartes | 0.13 | 0.02 |
HMGCS1 | 0.0000974 | 4650 | GTEx | DepMap | Descartes | 3.08 | 25.27 |
CYP17A1 | 0.0000488 | 5116 | GTEx | DepMap | Descartes | 0.00 | 0.00 |
DHCR7 | -0.0000344 | 6480 | GTEx | DepMap | Descartes | 0.92 | 5.42 |
CYP11A1 | -0.0000633 | 7221 | GTEx | DepMap | Descartes | 0.00 | 0.00 |
SULT2A1 | -0.0000869 | 7843 | GTEx | DepMap | Descartes | 0.00 | 0.00 |
CYP11B1 | -0.0001585 | 9523 | GTEx | DepMap | Descartes | 0.00 | 0.00 |
STAR | -0.0001651 | 9662 | GTEx | DepMap | Descartes | 0.01 | 0.17 |
JAKMIP2 | -0.0002112 | 10465 | GTEx | DepMap | Descartes | 0.55 | 0.53 |
SH3BP5 | -0.0002160 | 10545 | GTEx | DepMap | Descartes | 0.61 | 1.17 |
SH3PXD2B | -0.0002357 | 10848 | GTEx | DepMap | Descartes | 0.33 | 0.60 |
HMGCR | -0.0002767 | 11455 | GTEx | DepMap | Descartes | 5.50 | 38.14 |
GSTA4 | -0.0003380 | 12245 | GTEx | DepMap | Descartes | 0.14 | 0.22 |
FREM2 | -0.0003496 | 12375 | GTEx | DepMap | Descartes | 0.00 | 0.00 |
APOC1 | -0.0004190 | 13199 | GTEx | DepMap | Descartes | 0.15 | 2.57 |
HSPE1 | -0.0005331 | 14422 | GTEx | DepMap | Descartes | 21.56 | 931.43 |
CLU | -0.0005720 | 14776 | GTEx | DepMap | Descartes | 0.15 | 1.69 |
FDXR | -0.0006501 | 15457 | GTEx | DepMap | Descartes | 0.33 | 5.61 |
FRMD5 | -0.0006693 | 15620 | GTEx | DepMap | Descartes | 0.28 | 0.16 |
ERN1 | -0.0006736 | 15643 | GTEx | DepMap | Descartes | 0.11 | 0.17 |
Descartes chromaffin markers
Top 50 marker genes of chromaffin cells in the Decartes fetal adrenal single cell map (https://atlas.brotmanbaty.org/bbi/human-gene-expression-during-development/cell/chromaffin/in/adrenal)
Wilcoxon ranksum test P-value for gene set overrepresentation: 3.11e-11
Mean rank of genes in gene set: 4520.27
Median rank of genes in gene set: 1082.5
Rank on gene expression program of top 30 genes in gene set:
Genes | Weight | Rank | GTEx | DepMap | Descartes | Mean.Counts | Mean.TPM |
---|---|---|---|---|---|---|---|
BASP1 | 0.0117930 | 10 | GTEx | DepMap | Descartes | 77.57 | 223.80 |
STMN2 | 0.0112535 | 12 | GTEx | DepMap | Descartes | 116.58 | 324.26 |
ELAVL2 | 0.0087372 | 35 | GTEx | DepMap | Descartes | 12.06 | 11.77 |
MLLT11 | 0.0071218 | 67 | GTEx | DepMap | Descartes | 16.24 | 177.07 |
SLC6A2 | 0.0058107 | 121 | GTEx | DepMap | Descartes | 0.72 | 2.80 |
TUBB2A | 0.0052986 | 144 | GTEx | DepMap | Descartes | 16.70 | 640.75 |
PLXNA4 | 0.0041821 | 229 | GTEx | DepMap | Descartes | 1.98 | 0.69 |
TUBB2B | 0.0037702 | 288 | GTEx | DepMap | Descartes | 34.03 | 1342.56 |
SYNPO2 | 0.0030497 | 398 | GTEx | DepMap | Descartes | 0.21 | 0.19 |
PTCHD1 | 0.0030481 | 399 | GTEx | DepMap | Descartes | 0.40 | 1.27 |
REEP1 | 0.0030284 | 403 | GTEx | DepMap | Descartes | 3.40 | 4.99 |
ISL1 | 0.0029930 | 412 | GTEx | DepMap | Descartes | 21.68 | 281.33 |
RBFOX1 | 0.0028873 | 436 | GTEx | DepMap | Descartes | 2.22 | 0.21 |
CNKSR2 | 0.0027839 | 463 | GTEx | DepMap | Descartes | 2.36 | 1.64 |
HMX1 | 0.0027356 | 472 | GTEx | DepMap | Descartes | 1.24 | 18.32 |
STMN4 | 0.0023915 | 588 | GTEx | DepMap | Descartes | 10.39 | 88.12 |
TMEFF2 | 0.0023075 | 619 | GTEx | DepMap | Descartes | 1.45 | 0.73 |
TUBA1A | 0.0022956 | 625 | GTEx | DepMap | Descartes | 96.98 | 3601.72 |
MARCH11 | 0.0021701 | 671 | GTEx | DepMap | Descartes | 1.98 | 2.98 |
MAP1B | 0.0020277 | 722 | GTEx | DepMap | Descartes | 36.10 | 56.05 |
RYR2 | 0.0018366 | 816 | GTEx | DepMap | Descartes | 0.46 | 0.13 |
ALK | 0.0017397 | 882 | GTEx | DepMap | Descartes | 0.18 | 0.04 |
NTRK1 | 0.0012245 | 1283 | GTEx | DepMap | Descartes | 0.71 | 7.15 |
ANKFN1 | 0.0010486 | 1490 | GTEx | DepMap | Descartes | 0.06 | 0.02 |
RGMB | 0.0009150 | 1692 | GTEx | DepMap | Descartes | 0.64 | 3.56 |
EYA4 | 0.0008507 | 1778 | GTEx | DepMap | Descartes | 0.60 | 0.37 |
RPH3A | 0.0005617 | 2380 | GTEx | DepMap | Descartes | 0.04 | 0.08 |
MAB21L1 | 0.0003948 | 2915 | GTEx | DepMap | Descartes | 0.05 | 3.18 |
GREM1 | 0.0003258 | 3194 | GTEx | DepMap | Descartes | 0.09 | 1.09 |
GAP43 | 0.0003210 | 3229 | GTEx | DepMap | Descartes | 18.25 | 28.96 |
Descartes Vascular_endothelial markers
Top 50 marker genes of Vascular_endothelial cells in the Decartes fetal adrenal single cell map (https://atlas.brotmanbaty.org/bbi/human-gene-expression-during-development/cell/vascular_endothelial/in/adrenal)
Wilcoxon ranksum test P-value for gene set overrepresentation: 8.42e-01
Mean rank of genes in gene set: 11398.47
Median rank of genes in gene set: 11893
Rank on gene expression program of top 30 genes in gene set:
Genes | Weight | Rank | GTEx | DepMap | Descartes | Mean.Counts | Mean.TPM |
---|---|---|---|---|---|---|---|
EFNB2 | 0.0017933 | 844 | GTEx | DepMap | Descartes | 0.78 | 2.72 |
NPR1 | 0.0010800 | 1454 | GTEx | DepMap | Descartes | 0.15 | 1.35 |
F8 | 0.0005376 | 2454 | GTEx | DepMap | Descartes | 0.09 | 0.07 |
SHANK3 | 0.0004265 | 2809 | GTEx | DepMap | Descartes | 0.19 | 0.48 |
NOTCH4 | 0.0002366 | 3653 | GTEx | DepMap | Descartes | 0.12 | 0.70 |
KANK3 | 0.0000726 | 4878 | GTEx | DepMap | Descartes | 0.18 | 2.19 |
DNASE1L3 | -0.0000529 | 6937 | GTEx | DepMap | Descartes | 0.02 | 0.08 |
MYRIP | -0.0000720 | 7434 | GTEx | DepMap | Descartes | 0.07 | 0.05 |
CHRM3 | -0.0001136 | 8505 | GTEx | DepMap | Descartes | 0.00 | 0.00 |
CRHBP | -0.0001203 | 8665 | GTEx | DepMap | Descartes | 0.00 | 0.00 |
GALNT15 | -0.0001393 | 9115 | GTEx | DepMap | Descartes | 0.00 | 0.00 |
FLT4 | -0.0002022 | 10326 | GTEx | DepMap | Descartes | 0.00 | 0.01 |
BTNL9 | -0.0002041 | 10351 | GTEx | DepMap | Descartes | 0.00 | 0.00 |
ESM1 | -0.0002090 | 10428 | GTEx | DepMap | Descartes | 0.00 | 0.00 |
SHE | -0.0002395 | 10906 | GTEx | DepMap | Descartes | 0.00 | 0.00 |
TEK | -0.0002707 | 11366 | GTEx | DepMap | Descartes | 0.00 | 0.00 |
CALCRL | -0.0002769 | 11460 | GTEx | DepMap | Descartes | 0.05 | 0.08 |
ROBO4 | -0.0002843 | 11560 | GTEx | DepMap | Descartes | 0.00 | 0.00 |
CLDN5 | -0.0002883 | 11625 | GTEx | DepMap | Descartes | 0.00 | 0.21 |
APLNR | -0.0002900 | 11643 | GTEx | DepMap | Descartes | 0.00 | 0.02 |
SOX18 | -0.0003033 | 11829 | GTEx | DepMap | Descartes | 0.00 | 0.19 |
SLCO2A1 | -0.0003089 | 11893 | GTEx | DepMap | Descartes | 0.00 | 0.00 |
KDR | -0.0003155 | 11976 | GTEx | DepMap | Descartes | 0.00 | 0.00 |
PLVAP | -0.0003329 | 12188 | GTEx | DepMap | Descartes | 0.00 | 0.02 |
MMRN2 | -0.0003364 | 12227 | GTEx | DepMap | Descartes | 0.00 | 0.01 |
RASIP1 | -0.0003475 | 12359 | GTEx | DepMap | Descartes | 0.03 | 0.35 |
PODXL | -0.0003617 | 12528 | GTEx | DepMap | Descartes | 0.28 | 0.97 |
ECSCR | -0.0003663 | 12576 | GTEx | DepMap | Descartes | 0.00 | 0.00 |
TIE1 | -0.0003761 | 12699 | GTEx | DepMap | Descartes | 0.00 | 0.00 |
CDH5 | -0.0003839 | 12806 | GTEx | DepMap | Descartes | 0.00 | 0.01 |
Descartes stromal markers
Top 50 marker genes of stromal cells in the Decartes fetal adrenal single cell map (https://atlas.brotmanbaty.org/bbi/human-gene-expression-during-development/cell/stromal/in/adrenal)
Wilcoxon ranksum test P-value for gene set overrepresentation: 9.74e-01
Mean rank of genes in gene set: 12208.35
Median rank of genes in gene set: 13344.5
Rank on gene expression program of top 30 genes in gene set:
Genes | Weight | Rank | GTEx | DepMap | Descartes | Mean.Counts | Mean.TPM |
---|---|---|---|---|---|---|---|
CLDN11 | 0.0016259 | 955 | GTEx | DepMap | Descartes | 0.49 | 5.28 |
COL6A3 | 0.0010574 | 1479 | GTEx | DepMap | Descartes | 0.39 | 0.74 |
SCARA5 | 0.0003594 | 3056 | GTEx | DepMap | Descartes | 0.08 | 0.11 |
PCDH18 | 0.0001613 | 4118 | GTEx | DepMap | Descartes | 0.05 | 0.58 |
ABCA6 | 0.0000278 | 5383 | GTEx | DepMap | Descartes | 0.02 | 0.03 |
C7 | 0.0000203 | 5473 | GTEx | DepMap | Descartes | 0.01 | 0.01 |
FREM1 | -0.0000404 | 6623 | GTEx | DepMap | Descartes | 0.00 | 0.00 |
PRICKLE1 | -0.0000879 | 7869 | GTEx | DepMap | Descartes | 0.09 | 0.14 |
SULT1E1 | -0.0001003 | 8148 | GTEx | DepMap | Descartes | 0.00 | 0.00 |
ITGA11 | -0.0001549 | 9449 | GTEx | DepMap | Descartes | 0.00 | 0.01 |
ADAMTSL3 | -0.0001589 | 9527 | GTEx | DepMap | Descartes | 0.00 | 0.00 |
ACTA2 | -0.0001779 | 9908 | GTEx | DepMap | Descartes | 0.01 | 0.09 |
OGN | -0.0001889 | 10102 | GTEx | DepMap | Descartes | 0.00 | 0.03 |
PDGFRA | -0.0002346 | 10831 | GTEx | DepMap | Descartes | 0.00 | 0.00 |
ABCC9 | -0.0002565 | 11177 | GTEx | DepMap | Descartes | 0.02 | 0.03 |
PAMR1 | -0.0003071 | 11869 | GTEx | DepMap | Descartes | 0.00 | 0.00 |
MGP | -0.0003177 | 11998 | GTEx | DepMap | Descartes | 0.03 | 0.93 |
IGFBP3 | -0.0003357 | 12218 | GTEx | DepMap | Descartes | 0.02 | 0.37 |
CD248 | -0.0003524 | 12421 | GTEx | DepMap | Descartes | 0.05 | 2.83 |
COL3A1 | -0.0003888 | 12864 | GTEx | DepMap | Descartes | 0.28 | 0.79 |
COL27A1 | -0.0003922 | 12918 | GTEx | DepMap | Descartes | 0.01 | 0.01 |
LUM | -0.0004196 | 13203 | GTEx | DepMap | Descartes | 0.00 | 0.02 |
LOX | -0.0004310 | 13329 | GTEx | DepMap | Descartes | 0.00 | 0.02 |
COL1A2 | -0.0004341 | 13360 | GTEx | DepMap | Descartes | 0.14 | 0.42 |
GAS2 | -0.0004350 | 13370 | GTEx | DepMap | Descartes | 0.22 | 0.23 |
COL1A1 | -0.0004353 | 13379 | GTEx | DepMap | Descartes | 0.08 | 0.59 |
ISLR | -0.0004381 | 13410 | GTEx | DepMap | Descartes | 0.01 | 0.02 |
POSTN | -0.0004430 | 13472 | GTEx | DepMap | Descartes | 0.14 | 0.59 |
GLI2 | -0.0004656 | 13713 | GTEx | DepMap | Descartes | 0.00 | 0.00 |
FNDC1 | -0.0004814 | 13890 | GTEx | DepMap | Descartes | 0.03 | 0.03 |
Descartes sympathoblasts markers
Top 50 marker genes of sympathoblasts cells in the Decartes fetal adrenal single cell map (https://atlas.brotmanbaty.org/bbi/human-gene-expression-during-development/cell/sympathoblasts/in/adrenal)
Wilcoxon ranksum test P-value for gene set overrepresentation: 4.69e-01
Mean rank of genes in gene set: 10402.52
Median rank of genes in gene set: 11195
Rank on gene expression program of top 30 genes in gene set:
Genes | Weight | Rank | GTEx | DepMap | Descartes | Mean.Counts | Mean.TPM |
---|---|---|---|---|---|---|---|
PCSK1N | 0.0091108 | 30 | GTEx | DepMap | Descartes | 36.64 | 1191.88 |
GALNTL6 | 0.0059818 | 111 | GTEx | DepMap | Descartes | 1.31 | 0.18 |
PNMT | 0.0042859 | 219 | GTEx | DepMap | Descartes | 0.29 | 23.61 |
NTNG1 | 0.0038251 | 280 | GTEx | DepMap | Descartes | 1.47 | 0.60 |
GCH1 | 0.0033368 | 345 | GTEx | DepMap | Descartes | 2.06 | 8.56 |
TMEM130 | 0.0017043 | 903 | GTEx | DepMap | Descartes | 0.26 | 1.53 |
DGKK | 0.0011450 | 1359 | GTEx | DepMap | Descartes | 0.71 | 0.59 |
CCSER1 | 0.0010598 | 1475 | GTEx | DepMap | Descartes | 0.59 | 0.08 |
KSR2 | 0.0009728 | 1610 | GTEx | DepMap | Descartes | 0.57 | 0.23 |
CNTN3 | 0.0007859 | 1890 | GTEx | DepMap | Descartes | 0.07 | 0.03 |
GRM7 | 0.0006863 | 2076 | GTEx | DepMap | Descartes | 0.07 | 0.01 |
SPOCK3 | 0.0006040 | 2264 | GTEx | DepMap | Descartes | 0.45 | 0.17 |
CDH18 | 0.0003033 | 3310 | GTEx | DepMap | Descartes | 0.02 | 0.00 |
SLC18A1 | 0.0002123 | 3774 | GTEx | DepMap | Descartes | 0.08 | 0.27 |
EML6 | 0.0000559 | 5050 | GTEx | DepMap | Descartes | 0.24 | 0.13 |
PACRG | -0.0000424 | 6680 | GTEx | DepMap | Descartes | 0.16 | 0.05 |
KCTD16 | -0.0001469 | 9277 | GTEx | DepMap | Descartes | 0.00 | 0.00 |
HTATSF1 | -0.0001482 | 9317 | GTEx | DepMap | Descartes | 2.32 | 24.27 |
ARC | -0.0002054 | 10377 | GTEx | DepMap | Descartes | 0.00 | 0.21 |
SLC35F3 | -0.0002374 | 10871 | GTEx | DepMap | Descartes | 0.01 | 0.01 |
SLC24A2 | -0.0002408 | 10927 | GTEx | DepMap | Descartes | 0.04 | 0.02 |
TBX20 | -0.0002773 | 11463 | GTEx | DepMap | Descartes | 0.08 | 0.22 |
TENM1 | -0.0003055 | 11853 | GTEx | DepMap | Descartes | 0.00 | 0.00 |
CDH12 | -0.0003589 | 12495 | GTEx | DepMap | Descartes | 0.01 | 0.00 |
LAMA3 | -0.0004441 | 13484 | GTEx | DepMap | Descartes | 0.01 | 0.00 |
AGBL4 | -0.0004951 | 14042 | GTEx | DepMap | Descartes | 0.02 | 0.00 |
SORCS3 | -0.0005281 | 14380 | GTEx | DepMap | Descartes | 0.02 | 0.01 |
MGAT4C | -0.0006375 | 15355 | GTEx | DepMap | Descartes | 0.35 | 0.07 |
C1QL1 | -0.0006630 | 15563 | GTEx | DepMap | Descartes | 1.17 | 25.49 |
UNC80 | -0.0006893 | 15758 | GTEx | DepMap | Descartes | 0.69 | 0.47 |
Descartes erythroblasts markers
Top 50 marker genes of erythroblasts cells in the Decartes fetal adrenal single cell map (https://atlas.brotmanbaty.org/bbi/human-gene-expression-during-development/cell/erythroblasts/in/adrenal)
Wilcoxon ranksum test P-value for gene set overrepresentation: 9.89e-01
Mean rank of genes in gene set: 12812.11
Median rank of genes in gene set: 11179
Rank on gene expression program of top 30 genes in gene set:
Genes | Weight | Rank | GTEx | DepMap | Descartes | Mean.Counts | Mean.TPM |
---|---|---|---|---|---|---|---|
ABCB10 | 0.0009863 | 1583 | GTEx | DepMap | Descartes | 0.41 | 2.04 |
SOX6 | 0.0004647 | 2676 | GTEx | DepMap | Descartes | 0.32 | 0.09 |
ANK1 | 0.0002362 | 3655 | GTEx | DepMap | Descartes | 0.04 | 0.03 |
SPTB | 0.0001049 | 4583 | GTEx | DepMap | Descartes | 0.57 | 0.65 |
TFR2 | 0.0000633 | 4959 | GTEx | DepMap | Descartes | 0.05 | 0.41 |
TMCC2 | -0.0000795 | 7649 | GTEx | DepMap | Descartes | 0.59 | 2.51 |
RHD | -0.0001026 | 8220 | GTEx | DepMap | Descartes | 0.00 | 0.00 |
EPB42 | -0.0001321 | 8959 | GTEx | DepMap | Descartes | 0.00 | 0.00 |
SPTA1 | -0.0001459 | 9258 | GTEx | DepMap | Descartes | 0.00 | 0.00 |
TSPAN5 | -0.0001484 | 9321 | GTEx | DepMap | Descartes | 1.07 | 0.97 |
SLC25A21 | -0.0001754 | 9870 | GTEx | DepMap | Descartes | 0.00 | 0.00 |
HEMGN | -0.0001843 | 10019 | GTEx | DepMap | Descartes | 0.00 | 0.00 |
GYPA | -0.0002235 | 10663 | GTEx | DepMap | Descartes | 0.00 | 0.02 |
SLC4A1 | -0.0002345 | 10828 | GTEx | DepMap | Descartes | 0.00 | 0.00 |
GYPC | -0.0002479 | 11036 | GTEx | DepMap | Descartes | 0.03 | 0.14 |
TMEM56 | -0.0002527 | 11114 | GTEx | DepMap | Descartes | 0.11 | 0.20 |
MARCH3 | -0.0002557 | 11165 | GTEx | DepMap | Descartes | 0.00 | 0.00 |
RAPGEF2 | -0.0002567 | 11179 | GTEx | DepMap | Descartes | 0.55 | 0.37 |
RGS6 | -0.0002594 | 11219 | GTEx | DepMap | Descartes | 0.00 | 0.00 |
CAT | -0.0006013 | 15043 | GTEx | DepMap | Descartes | 0.32 | 1.43 |
XPO7 | -0.0006897 | 15762 | GTEx | DepMap | Descartes | 1.06 | 1.38 |
FECH | -0.0007593 | 16271 | GTEx | DepMap | Descartes | 0.17 | 0.60 |
SELENBP1 | -0.0008281 | 16777 | GTEx | DepMap | Descartes | 0.08 | 1.05 |
GCLC | -0.0008930 | 17181 | GTEx | DepMap | Descartes | 0.49 | 1.74 |
DENND4A | -0.0009152 | 17323 | GTEx | DepMap | Descartes | 0.27 | 0.37 |
BLVRB | -0.0010950 | 18209 | GTEx | DepMap | Descartes | 0.43 | 3.13 |
SPECC1 | -0.0011478 | 18430 | GTEx | DepMap | Descartes | 0.06 | 0.03 |
CPOX | -0.0012386 | 18831 | GTEx | DepMap | Descartes | 0.52 | 1.61 |
EPB41 | -0.0012719 | 18939 | GTEx | DepMap | Descartes | 2.02 | 1.95 |
TRAK2 | -0.0013142 | 19056 | GTEx | DepMap | Descartes | 0.50 | 1.02 |
Descartes myeloid markers
Top 50 marker genes of myeloid cells in the Decartes fetal adrenal single cell map (https://atlas.brotmanbaty.org/bbi/human-gene-expression-during-development/cell/myeloid/in/adrenal)
Wilcoxon ranksum test P-value for gene set overrepresentation: 1.00e+00
Mean rank of genes in gene set: 16486.58
Median rank of genes in gene set: 17818
Rank on gene expression program of top 30 genes in gene set:
Genes | Weight | Rank | GTEx | DepMap | Descartes | Mean.Counts | Mean.TPM |
---|---|---|---|---|---|---|---|
CST3 | 0.0001213 | 4422 | GTEx | DepMap | Descartes | 13.97 | 497.02 |
CPVL | -0.0001266 | 8841 | GTEx | DepMap | Descartes | 0.00 | 0.01 |
CD163 | -0.0001689 | 9751 | GTEx | DepMap | Descartes | 0.01 | 0.06 |
VSIG4 | -0.0001941 | 10186 | GTEx | DepMap | Descartes | 0.02 | 0.04 |
CD163L1 | -0.0003628 | 12543 | GTEx | DepMap | Descartes | 0.00 | 0.00 |
HRH1 | -0.0003699 | 12620 | GTEx | DepMap | Descartes | 0.00 | 0.00 |
SLCO2B1 | -0.0003922 | 12919 | GTEx | DepMap | Descartes | 0.01 | 0.03 |
FGL2 | -0.0004173 | 13181 | GTEx | DepMap | Descartes | 0.02 | 0.42 |
ATP8B4 | -0.0005228 | 14332 | GTEx | DepMap | Descartes | 0.00 | 0.00 |
MS4A4A | -0.0005456 | 14552 | GTEx | DepMap | Descartes | 0.00 | 0.04 |
ADAP2 | -0.0005764 | 14812 | GTEx | DepMap | Descartes | 0.01 | 0.05 |
SPP1 | -0.0006136 | 15158 | GTEx | DepMap | Descartes | 0.78 | 17.39 |
CD14 | -0.0006630 | 15562 | GTEx | DepMap | Descartes | 0.06 | 4.04 |
FGD2 | -0.0006789 | 15677 | GTEx | DepMap | Descartes | 0.02 | 0.11 |
ITPR2 | -0.0007057 | 15892 | GTEx | DepMap | Descartes | 0.09 | 0.04 |
MERTK | -0.0007140 | 15960 | GTEx | DepMap | Descartes | 0.03 | 0.03 |
HCK | -0.0007929 | 16515 | GTEx | DepMap | Descartes | 0.03 | 0.07 |
RGL1 | -0.0008125 | 16672 | GTEx | DepMap | Descartes | 0.13 | 0.08 |
SLC9A9 | -0.0008214 | 16730 | GTEx | DepMap | Descartes | 0.02 | 0.01 |
MSR1 | -0.0008338 | 16810 | GTEx | DepMap | Descartes | 0.08 | 0.16 |
MARCH1 | -0.0008504 | 16911 | GTEx | DepMap | Descartes | 0.02 | 0.00 |
AXL | -0.0009551 | 17542 | GTEx | DepMap | Descartes | 0.06 | 0.22 |
PTPRE | -0.0010105 | 17818 | GTEx | DepMap | Descartes | 0.03 | 0.02 |
MS4A7 | -0.0010271 | 17898 | GTEx | DepMap | Descartes | 0.27 | 2.06 |
WWP1 | -0.0010924 | 18198 | GTEx | DepMap | Descartes | 0.59 | 0.83 |
CSF1R | -0.0011096 | 18262 | GTEx | DepMap | Descartes | 0.09 | 0.36 |
IFNGR1 | -0.0011361 | 18385 | GTEx | DepMap | Descartes | 0.40 | 3.23 |
C1QC | -0.0011422 | 18411 | GTEx | DepMap | Descartes | 1.41 | 50.68 |
RNASE1 | -0.0011539 | 18467 | GTEx | DepMap | Descartes | 0.02 | 1.90 |
CYBB | -0.0011748 | 18572 | GTEx | DepMap | Descartes | 0.07 | 0.17 |
Descartes Schwann markers
Top 50 marker genes of Schwann cells in the Decartes fetal adrenal single cell map (https://atlas.brotmanbaty.org/bbi/human-gene-expression-during-development/cell/schwann/in/adrenal)
Wilcoxon ranksum test P-value for gene set overrepresentation: 9.96e-01
Mean rank of genes in gene set: 12826.28
Median rank of genes in gene set: 13759
Rank on gene expression program of top 30 genes in gene set:
Genes | Weight | Rank | GTEx | DepMap | Descartes | Mean.Counts | Mean.TPM |
---|---|---|---|---|---|---|---|
GFRA3 | 0.0079643 | 45 | GTEx | DepMap | Descartes | 3.37 | 17.00 |
MARCKS | 0.0029594 | 420 | GTEx | DepMap | Descartes | 20.55 | 534.35 |
KCTD12 | 0.0026774 | 492 | GTEx | DepMap | Descartes | 1.93 | 46.54 |
PLCE1 | 0.0007854 | 1893 | GTEx | DepMap | Descartes | 0.30 | 0.15 |
SLC35F1 | 0.0007675 | 1928 | GTEx | DepMap | Descartes | 0.15 | 0.05 |
LRRTM4 | 0.0004642 | 2678 | GTEx | DepMap | Descartes | 0.08 | 0.02 |
FAM134B | 0.0004486 | 2723 | GTEx | DepMap | Descartes | 0.99 | NA |
SOX5 | 0.0002626 | 3514 | GTEx | DepMap | Descartes | 0.10 | 0.01 |
XKR4 | 0.0000641 | 4948 | GTEx | DepMap | Descartes | 0.41 | NA |
HMGA2 | -0.0000560 | 7013 | GTEx | DepMap | Descartes | 0.00 | 0.01 |
IL1RAPL2 | -0.0000872 | 7849 | GTEx | DepMap | Descartes | 0.00 | 0.00 |
MPZ | -0.0001380 | 9079 | GTEx | DepMap | Descartes | 0.00 | 0.00 |
TRPM3 | -0.0001382 | 9090 | GTEx | DepMap | Descartes | 0.00 | 0.00 |
IL1RAPL1 | -0.0002709 | 11367 | GTEx | DepMap | Descartes | 0.00 | 0.00 |
PLP1 | -0.0002922 | 11680 | GTEx | DepMap | Descartes | 0.21 | 1.80 |
ERBB4 | -0.0003121 | 11935 | GTEx | DepMap | Descartes | 0.03 | 0.00 |
EGFLAM | -0.0003665 | 12578 | GTEx | DepMap | Descartes | 0.00 | 0.00 |
CDH19 | -0.0003753 | 12689 | GTEx | DepMap | Descartes | 0.01 | 0.01 |
SOX10 | -0.0004057 | 13054 | GTEx | DepMap | Descartes | 0.02 | 0.18 |
SFRP1 | -0.0004099 | 13098 | GTEx | DepMap | Descartes | 0.14 | 0.51 |
SCN7A | -0.0004143 | 13146 | GTEx | DepMap | Descartes | 0.01 | 0.02 |
ADAMTS5 | -0.0004148 | 13157 | GTEx | DepMap | Descartes | 0.06 | 0.17 |
OLFML2A | -0.0004451 | 13496 | GTEx | DepMap | Descartes | 0.01 | 0.05 |
NRXN3 | -0.0004691 | 13759 | GTEx | DepMap | Descartes | 0.08 | 0.01 |
EDNRB | -0.0004831 | 13909 | GTEx | DepMap | Descartes | 0.03 | 0.11 |
GRIK3 | -0.0005231 | 14335 | GTEx | DepMap | Descartes | 0.00 | 0.00 |
PAG1 | -0.0005344 | 14439 | GTEx | DepMap | Descartes | 0.16 | 0.18 |
COL5A2 | -0.0005931 | 14961 | GTEx | DepMap | Descartes | 0.04 | 0.04 |
LAMA4 | -0.0006182 | 15205 | GTEx | DepMap | Descartes | 0.00 | 0.00 |
PTPRZ1 | -0.0006724 | 15637 | GTEx | DepMap | Descartes | 0.05 | 0.03 |
Descartes Megakaryocytes markers
Top 50 marker genes of Megakaryocytes cells in the Decartes fetal adrenal single cell map (https://atlas.brotmanbaty.org/bbi/human-gene-expression-during-development/cell/megakaryocytes/in/adrenal)
Wilcoxon ranksum test P-value for gene set overrepresentation: 9.81e-01
Mean rank of genes in gene set: 12273.88
Median rank of genes in gene set: 14852
Rank on gene expression program of top 30 genes in gene set:
Genes | Weight | Rank | GTEx | DepMap | Descartes | Mean.Counts | Mean.TPM |
---|---|---|---|---|---|---|---|
PDE3A | 0.0032089 | 370 | GTEx | DepMap | Descartes | 5.76 | 3.43 |
TMSB4X | 0.0030734 | 393 | GTEx | DepMap | Descartes | 192.97 | 12511.00 |
CD9 | 0.0022128 | 653 | GTEx | DepMap | Descartes | 5.10 | 23.13 |
DOK6 | 0.0010620 | 1472 | GTEx | DepMap | Descartes | 0.21 | 0.06 |
LIMS1 | 0.0008172 | 1832 | GTEx | DepMap | Descartes | 2.24 | 3.15 |
GP9 | 0.0007962 | 1873 | GTEx | DepMap | Descartes | 0.01 | 5.32 |
PPBP | 0.0007098 | 2028 | GTEx | DepMap | Descartes | 0.01 | 5.06 |
ITGA2B | 0.0003128 | 3267 | GTEx | DepMap | Descartes | 0.01 | 0.40 |
SLC2A3 | 0.0001597 | 4128 | GTEx | DepMap | Descartes | 0.79 | 1.68 |
GP1BA | 0.0000797 | 4815 | GTEx | DepMap | Descartes | 0.00 | 0.00 |
MMRN1 | 0.0000109 | 5626 | GTEx | DepMap | Descartes | 0.00 | 0.01 |
TLN1 | 0.0000061 | 5706 | GTEx | DepMap | Descartes | 2.11 | 9.59 |
SLC24A3 | -0.0000523 | 6921 | GTEx | DepMap | Descartes | 0.02 | 0.01 |
TUBB1 | -0.0000809 | 7688 | GTEx | DepMap | Descartes | 0.00 | 0.00 |
PF4 | -0.0001275 | 8856 | GTEx | DepMap | Descartes | 0.32 | 119.56 |
ITGB3 | -0.0001441 | 9211 | GTEx | DepMap | Descartes | 0.01 | 0.03 |
GSN | -0.0001510 | 9376 | GTEx | DepMap | Descartes | 0.65 | 1.84 |
TRPC6 | -0.0002208 | 10620 | GTEx | DepMap | Descartes | 0.00 | 0.00 |
MCTP1 | -0.0002439 | 10973 | GTEx | DepMap | Descartes | 0.01 | 0.00 |
UBASH3B | -0.0003517 | 12410 | GTEx | DepMap | Descartes | 0.10 | 0.10 |
SPN | -0.0004535 | 13572 | GTEx | DepMap | Descartes | 0.01 | 0.12 |
MED12L | -0.0004572 | 13607 | GTEx | DepMap | Descartes | 0.27 | 0.13 |
PRKAR2B | -0.0004642 | 13695 | GTEx | DepMap | Descartes | 2.28 | 3.26 |
P2RX1 | -0.0004850 | 13931 | GTEx | DepMap | Descartes | 0.00 | 0.05 |
ANGPT1 | -0.0005815 | 14852 | GTEx | DepMap | Descartes | 0.06 | 0.03 |
TPM4 | -0.0005970 | 15005 | GTEx | DepMap | Descartes | 2.77 | 17.13 |
ARHGAP6 | -0.0006275 | 15277 | GTEx | DepMap | Descartes | 0.00 | 0.00 |
THBS1 | -0.0006460 | 15421 | GTEx | DepMap | Descartes | 0.12 | 1.33 |
HIPK2 | -0.0007069 | 15906 | GTEx | DepMap | Descartes | 3.84 | 3.20 |
RAP1B | -0.0007850 | 16458 | GTEx | DepMap | Descartes | 2.30 | 10.40 |
Descartes Lyphoid markers
Top 50 marker genes of Lyphoid cells in the Decartes fetal adrenal single cell map (https://atlas.brotmanbaty.org/bbi/human-gene-expression-during-development/cell/lymphoid/in/adrenal)
Wilcoxon ranksum test P-value for gene set overrepresentation: 9.97e-01
Mean rank of genes in gene set: 12952.39
Median rank of genes in gene set: 15999.5
Rank on gene expression program of top 30 genes in gene set:
Genes | Weight | Rank | GTEx | DepMap | Descartes | Mean.Counts | Mean.TPM |
---|---|---|---|---|---|---|---|
TMSB10 | 0.0085782 | 38 | GTEx | DepMap | Descartes | 232.73 | 23643.18 |
TOX | 0.0069608 | 73 | GTEx | DepMap | Descartes | 1.74 | 0.86 |
GNG2 | 0.0063277 | 95 | GTEx | DepMap | Descartes | 7.19 | 10.01 |
NCALD | 0.0017274 | 889 | GTEx | DepMap | Descartes | 1.34 | 0.48 |
FYN | 0.0009381 | 1652 | GTEx | DepMap | Descartes | 2.24 | 1.66 |
SCML4 | 0.0005639 | 2375 | GTEx | DepMap | Descartes | 0.15 | 0.23 |
EVL | 0.0004479 | 2727 | GTEx | DepMap | Descartes | 3.90 | 4.21 |
STK39 | 0.0004093 | 2865 | GTEx | DepMap | Descartes | 1.34 | 0.73 |
RAP1GAP2 | 0.0003485 | 3103 | GTEx | DepMap | Descartes | 0.32 | 0.22 |
BCL2 | 0.0000169 | 5531 | GTEx | DepMap | Descartes | 0.48 | 0.40 |
PITPNC1 | -0.0000840 | 7756 | GTEx | DepMap | Descartes | 1.27 | 0.71 |
BACH2 | -0.0001041 | 8259 | GTEx | DepMap | Descartes | 0.44 | 0.19 |
SAMD3 | -0.0001360 | 9033 | GTEx | DepMap | Descartes | 0.00 | 0.00 |
PDE3B | -0.0002575 | 11197 | GTEx | DepMap | Descartes | 0.86 | 1.05 |
CCL5 | -0.0002690 | 11345 | GTEx | DepMap | Descartes | 0.08 | 2.31 |
NKG7 | -0.0003852 | 12821 | GTEx | DepMap | Descartes | 0.01 | 1.59 |
ARID5B | -0.0004437 | 13480 | GTEx | DepMap | Descartes | 0.77 | 0.60 |
MSN | -0.0004657 | 13714 | GTEx | DepMap | Descartes | 2.48 | 5.10 |
MCTP2 | -0.0005004 | 14100 | GTEx | DepMap | Descartes | 0.00 | 0.00 |
SKAP1 | -0.0005279 | 14375 | GTEx | DepMap | Descartes | 0.01 | 0.00 |
RCSD1 | -0.0007139 | 15953 | GTEx | DepMap | Descartes | 0.02 | 0.04 |
CCND3 | -0.0007192 | 15997 | GTEx | DepMap | Descartes | 0.29 | 0.44 |
PRKCH | -0.0007202 | 16002 | GTEx | DepMap | Descartes | 0.01 | 0.00 |
PLEKHA2 | -0.0007345 | 16096 | GTEx | DepMap | Descartes | 0.01 | 0.03 |
CELF2 | -0.0007412 | 16152 | GTEx | DepMap | Descartes | 1.45 | 0.21 |
IKZF1 | -0.0007892 | 16488 | GTEx | DepMap | Descartes | 0.02 | 0.03 |
FAM65B | -0.0007913 | 16506 | GTEx | DepMap | Descartes | 0.30 | NA |
FOXP1 | -0.0008682 | 17023 | GTEx | DepMap | Descartes | 3.15 | 0.77 |
ITPKB | -0.0008865 | 17147 | GTEx | DepMap | Descartes | 0.02 | 0.03 |
ARHGAP15 | -0.0009141 | 17311 | GTEx | DepMap | Descartes | 0.03 | 0.01 |
Below shows the ranks on this GEP for immune marker gene lists curated by CellTypist (https://www.celltypist.org/encyclopedia).
High ranks indicate this gene is a driver of this GEP.
These curated gene list are ranked by P-value (on this GEP) of their constituent genes.
The Mean Count column shows the mean read count in cells scoring highly (H > 50) on this gene expression program.
Genes | Weight | Rank | GTEx | DepMap | Decartes | Mean.Counts | Mean.TPM |
---|---|---|---|---|---|---|---|
DUSP26 | 0.0057579 | 125 | GTEx | DepMap | Descartes | 4.46 | 86.42 |
CALB2 | 0.0013329 | 1187 | GTEx | DepMap | Descartes | 0.30 | 1.36 |
SOST | 0.0000830 | 4774 | GTEx | DepMap | Descartes | 0.00 | 0.08 |
IL22RA2 | 0.0000440 | 5169 | GTEx | DepMap | Descartes | 0.00 | 0.00 |
CD207 | -0.0000872 | 7847 | GTEx | DepMap | Descartes | 0.00 | 0.00 |
DC: DC2 (model markers)
conventional type 2 dendritic cells which constitute the major subset of myeloid dendritic cells:
Wilcoxon ranksum test P-value for gene set overrepresentation: 1.66e-02
Mean rank of genes in gene set: 5605.43
Rank on gene expression program of genes in gene set:
Genes | Weight | Rank | GTEx | DepMap | Decartes | Mean.Counts | Mean.TPM |
---|---|---|---|---|---|---|---|
RPL41 | 0.0107302 | 16 | GTEx | DepMap | Descartes | 247.91 | 28729.15 |
RPS17 | 0.0038780 | 270 | GTEx | DepMap | Descartes | 50.15 | 2764.93 |
AGRP | 0.0001928 | 3895 | GTEx | DepMap | Descartes | 0.03 | 0.07 |
CST3 | 0.0001213 | 4422 | GTEx | DepMap | Descartes | 13.97 | 497.02 |
IL22RA2 | 0.0000440 | 5169 | GTEx | DepMap | Descartes | 0.00 | 0.00 |
MMP9 | -0.0003301 | 12159 | GTEx | DepMap | Descartes | 0.00 | 0.01 |
CLEC10A | -0.0004288 | 13307 | GTEx | DepMap | Descartes | 0.01 | 0.07 |
HSC/MPP: GMP (curated markers)
hematopoietic granulocyte-monocyte progenitors that are committed to the granulocyte and monocyte lineage cells:
Wilcoxon ranksum test P-value for gene set overrepresentation: 2.21e-02
Mean rank of genes in gene set: 3448.67
Rank on gene expression program of genes in gene set:
Genes | Weight | Rank | GTEx | DepMap | Decartes | Mean.Counts | Mean.TPM |
---|---|---|---|---|---|---|---|
PRTN3 | 0.0026446 | 502 | GTEx | DepMap | Descartes | 0.7 | 11.90 |
ELANE | 0.0001650 | 4093 | GTEx | DepMap | Descartes | 0.0 | 0.06 |
MPO | 0.0000025 | 5751 | GTEx | DepMap | Descartes | 0.0 | 0.02 |