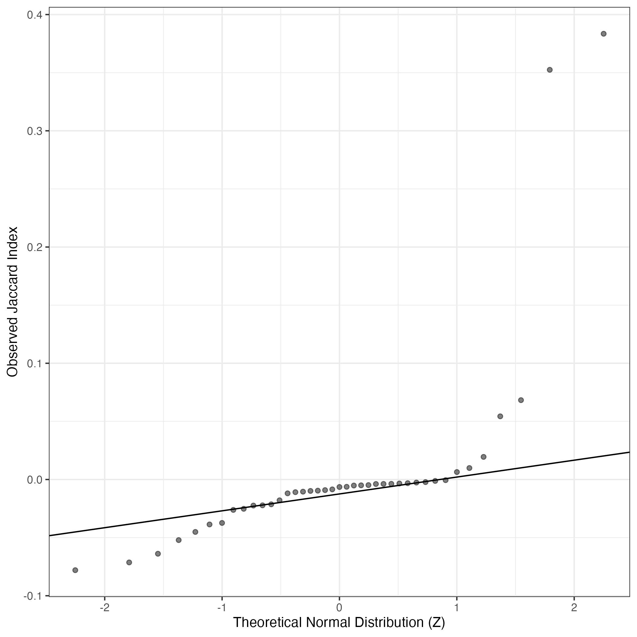
QQ-plot of gene loadings, averaged over both independent splits of the data
This plot highlights the relative contribution of each gene to the GEP
Top genes driving this program.
Note: Decartes website is buggy, try refreshing. Also, Decartes fetal adrenal data have been collected at specific time points (89-122 days), all possible cell types of interest may not be represented, do not overinterpret.
The Mean Count column shows the mean read count in cells scoring highly (H > 50) on this gene expression program.
Gene | Loading | Gene.Name | GTEx | DepMap | Descartes | Mean.Counts | Mean.Tpm | |
---|---|---|---|---|---|---|---|---|
1 | CD34 | 0.0165647 | CD34 molecule | GTEx | DepMap | Descartes | 4.00 | 175.93 |
2 | FLT1 | 0.0164743 | fms related receptor tyrosine kinase 1 | GTEx | DepMap | Descartes | 12.15 | 578.56 |
3 | BTNL9 | 0.0147846 | butyrophilin like 9 | GTEx | DepMap | Descartes | 4.50 | 496.37 |
4 | F8 | 0.0147638 | coagulation factor VIII | GTEx | DepMap | Descartes | 4.83 | 180.14 |
5 | APOLD1 | 0.0141806 | apolipoprotein L domain containing 1 | GTEx | DepMap | Descartes | 5.57 | 385.67 |
6 | EDNRB | 0.0141051 | endothelin receptor type B | GTEx | DepMap | Descartes | 5.77 | 412.18 |
7 | A2M | 0.0137509 | alpha-2-macroglobulin | GTEx | DepMap | Descartes | 7.48 | 552.73 |
8 | HSPG2 | 0.0136652 | heparan sulfate proteoglycan 2 | GTEx | DepMap | Descartes | 5.68 | 141.75 |
9 | EFNB2 | 0.0132069 | ephrin B2 | GTEx | DepMap | Descartes | 4.28 | 297.49 |
10 | PLPP3 | 0.0131071 | phospholipid phosphatase 3 | GTEx | DepMap | Descartes | 9.71 | NA |
11 | NOTCH4 | 0.0129664 | notch receptor 4 | GTEx | DepMap | Descartes | 2.62 | 144.70 |
12 | TIMP3 | 0.0129575 | TIMP metallopeptidase inhibitor 3 | GTEx | DepMap | Descartes | 8.83 | 659.16 |
13 | CD93 | 0.0127383 | CD93 molecule | GTEx | DepMap | Descartes | 3.38 | 174.37 |
14 | HECW2 | 0.0124381 | HECT, C2 and WW domain containing E3 ubiquitin protein ligase 2 | GTEx | DepMap | Descartes | 1.66 | 47.53 |
15 | EMCN | 0.0123618 | endomucin | GTEx | DepMap | Descartes | 5.99 | 480.49 |
16 | SPTBN1 | 0.0122728 | spectrin beta, non-erythrocytic 1 | GTEx | DepMap | Descartes | 5.25 | 171.61 |
17 | COL4A1 | 0.0122363 | collagen type IV alpha 1 chain | GTEx | DepMap | Descartes | 3.77 | 193.75 |
18 | APLNR | 0.0122296 | apelin receptor | GTEx | DepMap | Descartes | 2.02 | 192.22 |
19 | PTPRB | 0.0119822 | protein tyrosine phosphatase receptor type B | GTEx | DepMap | Descartes | 2.71 | 76.62 |
20 | CDH5 | 0.0117679 | cadherin 5 | GTEx | DepMap | Descartes | 4.93 | 396.31 |
21 | CHRM3 | 0.0117627 | cholinergic receptor muscarinic 3 | GTEx | DepMap | Descartes | 1.22 | 51.01 |
22 | EHD3 | 0.0117594 | EH domain containing 3 | GTEx | DepMap | Descartes | 6.62 | 421.14 |
23 | ADGRF5 | 0.0117516 | adhesion G protein-coupled receptor F5 | GTEx | DepMap | Descartes | 3.36 | NA |
24 | CALCRL | 0.0113223 | calcitonin receptor like receptor | GTEx | DepMap | Descartes | 4.84 | 259.97 |
25 | ARHGAP29 | 0.0112983 | Rho GTPase activating protein 29 | GTEx | DepMap | Descartes | 5.01 | 184.23 |
26 | IL6ST | 0.0112536 | interleukin 6 cytokine family signal transducer | GTEx | DepMap | Descartes | 4.61 | 173.86 |
27 | EPAS1 | 0.0110229 | endothelial PAS domain protein 1 | GTEx | DepMap | Descartes | 4.65 | 301.74 |
28 | PECAM1 | 0.0110125 | platelet and endothelial cell adhesion molecule 1 | GTEx | DepMap | Descartes | 3.43 | 168.97 |
29 | CD109 | 0.0109309 | CD109 molecule | GTEx | DepMap | Descartes | 2.43 | 87.19 |
30 | TIE1 | 0.0107264 | tyrosine kinase with immunoglobulin like and EGF like domains 1 | GTEx | DepMap | Descartes | 1.98 | 171.10 |
31 | LRRC32 | 0.0106063 | leucine rich repeat containing 32 | GTEx | DepMap | Descartes | 3.50 | 277.85 |
32 | TGFBR2 | 0.0105438 | transforming growth factor beta receptor 2 | GTEx | DepMap | Descartes | 5.56 | 306.36 |
33 | KDR | 0.0105073 | kinase insert domain receptor | GTEx | DepMap | Descartes | 7.49 | 418.31 |
34 | PODXL | 0.0104399 | podocalyxin like | GTEx | DepMap | Descartes | 2.92 | 167.75 |
35 | RASGRP3 | 0.0104214 | RAS guanyl releasing protein 3 | GTEx | DepMap | Descartes | 1.42 | 105.01 |
36 | TACC1 | 0.0103395 | transforming acidic coiled-coil containing protein 1 | GTEx | DepMap | Descartes | 3.50 | 157.59 |
37 | PLVAP | 0.0103154 | plasmalemma vesicle associated protein | GTEx | DepMap | Descartes | 7.30 | 1021.04 |
38 | JCAD | 0.0101105 | junctional cadherin 5 associated | GTEx | DepMap | Descartes | 1.43 | NA |
39 | EFNB1 | 0.0100838 | ephrin B1 | GTEx | DepMap | Descartes | 2.16 | 231.88 |
40 | ADAMTS9 | 0.0100623 | ADAM metallopeptidase with thrombospondin type 1 motif 9 | GTEx | DepMap | Descartes | 1.70 | 78.17 |
41 | NEDD9 | 0.0098489 | neural precursor cell expressed, developmentally down-regulated 9 | GTEx | DepMap | Descartes | 2.75 | 183.60 |
42 | SHANK3 | 0.0095496 | SH3 and multiple ankyrin repeat domains 3 | GTEx | DepMap | Descartes | 1.61 | 69.92 |
43 | ARGLU1 | 0.0095493 | arginine and glutamate rich 1 | GTEx | DepMap | Descartes | 6.08 | 527.22 |
44 | ETS1 | 0.0095336 | ETS proto-oncogene 1, transcription factor | GTEx | DepMap | Descartes | 2.69 | 168.27 |
45 | SEC14L1 | 0.0095260 | SEC14 like lipid binding 1 | GTEx | DepMap | Descartes | 5.05 | 282.18 |
46 | SLC2A3 | 0.0094781 | solute carrier family 2 member 3 | GTEx | DepMap | Descartes | 5.25 | 415.95 |
47 | TCF4 | 0.0093359 | transcription factor 4 | GTEx | DepMap | Descartes | 4.27 | 178.77 |
48 | ARHGEF15 | 0.0091571 | Rho guanine nucleotide exchange factor 15 | GTEx | DepMap | Descartes | 0.82 | 69.21 |
49 | PRCP | 0.0091228 | prolylcarboxypeptidase | GTEx | DepMap | Descartes | 7.03 | 309.73 |
50 | ELK3 | 0.0090500 | ETS transcription factor ELK3 | GTEx | DepMap | Descartes | 3.19 | 247.25 |
UMAP plots showing activity of gene expression program identified in GEP 2. Endothelial:
Gene set Enrichments for this program, caculated from top 50 genes
mSigDB Cell Types Gene Set:
P-value | OR | Lower 95% CI | FDR | FWER | Genes Found | Gene Set Size | |
---|---|---|---|---|---|---|---|
AIZARANI_LIVER_C10_MVECS_1 | 6.45e-69 | 391.96 | 195.61 | 4.33e-66 | 4.33e-66 | 39CD34, FLT1, BTNL9, F8, APOLD1, EDNRB, A2M, EFNB2, PLPP3, NOTCH4, TIMP3, CD93, HECW2, EMCN, SPTBN1, COL4A1, PTPRB, CDH5, CHRM3, ADGRF5, CALCRL, ARHGAP29, IL6ST, EPAS1, PECAM1, TIE1, LRRC32, TGFBR2, KDR, TACC1, PLVAP, EFNB1, ADAMTS9, NEDD9, SHANK3, SEC14L1, TCF4, PRCP, ELK3 |
269 |
MENON_FETAL_KIDNEY_9_ENDOTHELIAL_CELLS | 8.85e-41 | 251.49 | 131.28 | 1.48e-38 | 5.94e-38 | 22CD34, FLT1, A2M, HSPG2, EFNB2, PLPP3, NOTCH4, TIMP3, EMCN, SPTBN1, COL4A1, APLNR, EHD3, ADGRF5, ARHGAP29, IL6ST, PECAM1, TGFBR2, KDR, ETS1, TCF4, PRCP |
102 |
AIZARANI_LIVER_C13_LSECS_2 | 8.67e-56 | 219.38 | 116.03 | 2.91e-53 | 5.82e-53 | 34FLT1, BTNL9, F8, APOLD1, EDNRB, A2M, EFNB2, PLPP3, NOTCH4, TIMP3, CD93, HECW2, EMCN, COL4A1, APLNR, PTPRB, CDH5, EHD3, ADGRF5, CALCRL, IL6ST, EPAS1, PECAM1, TIE1, TGFBR2, KDR, TACC1, EFNB1, NEDD9, SHANK3, SEC14L1, TCF4, PRCP, ELK3 |
283 |
DESCARTES_FETAL_STOMACH_VASCULAR_ENDOTHELIAL_CELLS | 2.46e-18 | 268.35 | 101.95 | 6.35e-17 | 1.65e-15 | 9CD34, FLT1, A2M, NOTCH4, EMCN, APLNR, EPAS1, PLVAP, ARHGEF15 |
30 |
MURARO_PANCREAS_ENDOTHELIAL_CELL | 2.98e-54 | 183.12 | 96.93 | 6.67e-52 | 2.00e-51 | 35CD34, FLT1, A2M, EFNB2, PLPP3, NOTCH4, CD93, EMCN, SPTBN1, COL4A1, APLNR, PTPRB, CDH5, ADGRF5, CALCRL, ARHGAP29, IL6ST, EPAS1, PECAM1, TIE1, LRRC32, TGFBR2, KDR, PODXL, RASGRP3, PLVAP, ADAMTS9, NEDD9, SHANK3, ETS1, SEC14L1, SLC2A3, TCF4, PRCP, ELK3 |
362 |
RUBENSTEIN_SKELETAL_MUSCLE_ENDOTHELIAL_CELLS | 1.06e-37 | 175.96 | 92.59 | 7.88e-36 | 7.09e-35 | 22CD34, FLT1, BTNL9, F8, A2M, HSPG2, TIMP3, CD93, EMCN, SPTBN1, COL4A1, PTPRB, CDH5, ADGRF5, ARHGAP29, EPAS1, PODXL, TACC1, ARGLU1, ETS1, SEC14L1, TCF4 |
137 |
CUI_DEVELOPING_HEART_C4_ENDOTHELIAL_CELL | 4.73e-37 | 163.29 | 86.26 | 3.17e-35 | 3.17e-34 | 22CD34, FLT1, F8, EDNRB, EFNB2, PLPP3, CD93, EMCN, PTPRB, CDH5, ADGRF5, CALCRL, ARHGAP29, PECAM1, TIE1, KDR, PODXL, PLVAP, ADAMTS9, ETS1, PRCP, ELK3 |
146 |
DURANTE_ADULT_OLFACTORY_NEUROEPITHELIUM_PERICYTES | 9.33e-27 | 171.72 | 83.09 | 3.48e-25 | 6.26e-24 | 15CD34, FLT1, APOLD1, A2M, TIMP3, CD93, EMCN, SPTBN1, CALCRL, PECAM1, TGFBR2, PODXL, PLVAP, TCF4, PRCP |
79 |
DESCARTES_FETAL_THYMUS_VASCULAR_ENDOTHELIAL_CELLS | 1.06e-33 | 154.35 | 80.56 | 6.46e-32 | 7.11e-31 | 20FLT1, A2M, EMCN, COL4A1, APLNR, PTPRB, CHRM3, ADGRF5, CALCRL, ARHGAP29, EPAS1, TIE1, KDR, PODXL, RASGRP3, PLVAP, ADAMTS9, SHANK3, PRCP, ELK3 |
131 |
GAO_LARGE_INTESTINE_24W_C2_MKI67POS_PROGENITOR | 1.25e-30 | 152.14 | 77.50 | 6.01e-29 | 8.42e-28 | 18CD34, FLT1, APOLD1, CD93, EMCN, APLNR, PTPRB, CDH5, ADGRF5, CALCRL, ARHGAP29, PECAM1, TIE1, LRRC32, KDR, PODXL, PLVAP, SEC14L1 |
113 |
DESCARTES_FETAL_ADRENAL_VASCULAR_ENDOTHELIAL_CELLS | 3.74e-33 | 144.54 | 75.28 | 1.93e-31 | 2.51e-30 | 20CD34, BTNL9, F8, EFNB2, PLPP3, NOTCH4, APLNR, PTPRB, CDH5, CHRM3, EHD3, CALCRL, ARHGAP29, TIE1, KDR, PODXL, PLVAP, SHANK3, ARHGEF15, ELK3 |
139 |
DESCARTES_FETAL_EYE_VASCULAR_ENDOTHELIAL_CELLS | 7.77e-26 | 146.79 | 71.39 | 2.61e-24 | 5.21e-23 | 15FLT1, NOTCH4, APLNR, CDH5, ADGRF5, CALCRL, ARHGAP29, EPAS1, TIE1, LRRC32, PODXL, PLVAP, SHANK3, ARHGEF15, ELK3 |
90 |
DESCARTES_FETAL_INTESTINE_VASCULAR_ENDOTHELIAL_CELLS | 9.48e-17 | 165.62 | 65.64 | 2.19e-15 | 6.36e-14 | 9CD34, FLT1, BTNL9, HSPG2, NOTCH4, EMCN, APLNR, PLVAP, ARHGEF15 |
43 |
LAKE_ADULT_KIDNEY_C22_ENDOTHELIAL_CELLS_GLOMERULAR_CAPILLARIES | 5.00e-29 | 121.37 | 62.42 | 2.09e-27 | 3.35e-26 | 18FLT1, PLPP3, TIMP3, HECW2, EMCN, SPTBN1, COL4A1, PTPRB, CHRM3, ADGRF5, IL6ST, EPAS1, TGFBR2, TACC1, SHANK3, ARGLU1, SEC14L1, TCF4 |
137 |
AIZARANI_LIVER_C9_LSECS_1 | 1.59e-39 | 109.39 | 59.36 | 1.78e-37 | 1.07e-36 | 27FLT1, BTNL9, F8, APOLD1, EFNB2, PLPP3, NOTCH4, TIMP3, CD93, COL4A1, PTPRB, CDH5, EHD3, ADGRF5, ARHGAP29, IL6ST, EPAS1, TIE1, KDR, TACC1, ADAMTS9, SHANK3, ARGLU1, SEC14L1, SLC2A3, TCF4, PRCP |
304 |
AIZARANI_LIVER_C29_MVECS_2 | 3.56e-39 | 105.37 | 57.55 | 3.41e-37 | 2.39e-36 | 27CD34, FLT1, F8, APOLD1, A2M, EFNB2, PLPP3, NOTCH4, TIMP3, CD93, EMCN, SPTBN1, PTPRB, CDH5, ADGRF5, CALCRL, EPAS1, PECAM1, TIE1, LRRC32, TACC1, PLVAP, ADAMTS9, NEDD9, SEC14L1, TCF4, ELK3 |
313 |
AIZARANI_LIVER_C20_LSECS_3 | 7.47e-38 | 103.66 | 56.47 | 6.27e-36 | 5.01e-35 | 26FLT1, BTNL9, F8, APOLD1, EFNB2, PLPP3, NOTCH4, TIMP3, CD93, COL4A1, PTPRB, CDH5, ADGRF5, ARHGAP29, IL6ST, EPAS1, TIE1, LRRC32, KDR, ADAMTS9, SHANK3, ARGLU1, SEC14L1, SLC2A3, TCF4, PRCP |
295 |
LAKE_ADULT_KIDNEY_C24_ENDOTHELIAL_CELLS_AEA_AND_DVR | 3.71e-26 | 98.13 | 49.94 | 1.31e-24 | 2.49e-23 | 17FLT1, A2M, TIMP3, CD93, EMCN, SPTBN1, PTPRB, CHRM3, ADGRF5, IL6ST, EPAS1, PECAM1, PODXL, TACC1, ADAMTS9, ARGLU1, TCF4 |
152 |
DESCARTES_FETAL_PLACENTA_VASCULAR_ENDOTHELIAL_CELLS | 7.75e-21 | 101.36 | 47.82 | 2.17e-19 | 5.20e-18 | 13CD34, NOTCH4, CD93, HECW2, APLNR, CDH5, ADGRF5, TIE1, KDR, PLVAP, JCAD, SHANK3, ARHGEF15 |
102 |
LAKE_ADULT_KIDNEY_C23_ENDOTHELIAL_CELLS_AVR | 1.57e-21 | 89.22 | 43.26 | 4.57e-20 | 1.05e-18 | 14FLT1, PLPP3, TIMP3, EMCN, SPTBN1, PTPRB, ADGRF5, ARHGAP29, IL6ST, EPAS1, PECAM1, TGFBR2, ADAMTS9, TCF4 |
126 |
Dowload full table
mSigDB Hallmark Gene Sets:
P-value | OR | Lower 95% CI | FDR | FWER | Genes Found | Gene Set Size | |
---|---|---|---|---|---|---|---|
HALLMARK_COAGULATION | 1.46e-04 | 16.71 | 4.31 | 7.29e-03 | 7.29e-03 | 4F8, A2M, TIMP3, PECAM1 |
138 |
HALLMARK_MITOTIC_SPINDLE | 6.64e-03 | 8.39 | 1.66 | 6.73e-02 | 3.32e-01 | 3SPTBN1, ARHGAP29, NEDD9 |
199 |
HALLMARK_TNFA_SIGNALING_VIA_NFKB | 6.73e-03 | 8.34 | 1.65 | 6.73e-02 | 3.37e-01 | 3PLPP3, IL6ST, SLC2A3 |
200 |
HALLMARK_COMPLEMENT | 6.73e-03 | 8.34 | 1.65 | 6.73e-02 | 3.37e-01 | 3F8, NOTCH4, PRCP |
200 |
HALLMARK_KRAS_SIGNALING_UP | 6.73e-03 | 8.34 | 1.65 | 6.73e-02 | 3.37e-01 | 3PECAM1, PLVAP, ETS1 |
200 |
HALLMARK_IL6_JAK_STAT3_SIGNALING | 1.23e-02 | 12.62 | 1.46 | 1.03e-01 | 6.15e-01 | 2A2M, IL6ST |
87 |
HALLMARK_UV_RESPONSE_DN | 3.15e-02 | 7.56 | 0.88 | 2.18e-01 | 1.00e+00 | 2PLPP3, TGFBR2 |
144 |
HALLMARK_APOPTOSIS | 3.85e-02 | 6.75 | 0.79 | 2.18e-01 | 1.00e+00 | 2TIMP3, NEDD9 |
161 |
HALLMARK_HYPOXIA | 5.67e-02 | 5.42 | 0.63 | 2.18e-01 | 1.00e+00 | 2ETS1, SLC2A3 |
200 |
HALLMARK_ESTROGEN_RESPONSE_EARLY | 5.67e-02 | 5.42 | 0.63 | 2.18e-01 | 1.00e+00 | 2IL6ST, PODXL |
200 |
HALLMARK_APICAL_JUNCTION | 5.67e-02 | 5.42 | 0.63 | 2.18e-01 | 1.00e+00 | 2CD34, PECAM1 |
200 |
HALLMARK_EPITHELIAL_MESENCHYMAL_TRANSITION | 5.67e-02 | 5.42 | 0.63 | 2.18e-01 | 1.00e+00 | 2TIMP3, COL4A1 |
200 |
HALLMARK_INFLAMMATORY_RESPONSE | 5.67e-02 | 5.42 | 0.63 | 2.18e-01 | 1.00e+00 | 2APLNR, CALCRL |
200 |
HALLMARK_WNT_BETA_CATENIN_SIGNALING | 7.81e-02 | 12.81 | 0.31 | 2.79e-01 | 1.00e+00 | 1NOTCH4 |
42 |
HALLMARK_TGF_BETA_SIGNALING | 9.93e-02 | 9.91 | 0.24 | 3.31e-01 | 1.00e+00 | 1SPTBN1 |
54 |
HALLMARK_UV_RESPONSE_UP | 2.63e-01 | 3.35 | 0.08 | 6.97e-01 | 1.00e+00 | 1IL6ST |
158 |
HALLMARK_IL2_STAT5_SIGNALING | 3.19e-01 | 2.66 | 0.07 | 6.97e-01 | 1.00e+00 | 1SLC2A3 |
199 |
HALLMARK_ADIPOGENESIS | 3.20e-01 | 2.64 | 0.07 | 6.97e-01 | 1.00e+00 | 1COL4A1 |
200 |
HALLMARK_ESTROGEN_RESPONSE_LATE | 3.20e-01 | 2.64 | 0.07 | 6.97e-01 | 1.00e+00 | 1IL6ST |
200 |
HALLMARK_MYOGENESIS | 3.20e-01 | 2.64 | 0.07 | 6.97e-01 | 1.00e+00 | 1APLNR |
200 |
Dowload full table
KEGG Pathways:
P-value | OR | Lower 95% CI | FDR | FWER | Genes Found | Gene Set Size | |
---|---|---|---|---|---|---|---|
KEGG_DORSO_VENTRAL_AXIS_FORMATION | 9.86e-04 | 48.67 | 5.41 | 1.01e-01 | 1.83e-01 | 2NOTCH4, ETS1 |
24 |
KEGG_CELL_ADHESION_MOLECULES_CAMS | 2.16e-03 | 12.64 | 2.49 | 1.01e-01 | 4.03e-01 | 3CD34, CDH5, PECAM1 |
133 |
KEGG_CYTOKINE_CYTOKINE_RECEPTOR_INTERACTION | 1.66e-03 | 8.58 | 2.23 | 1.01e-01 | 3.09e-01 | 4FLT1, IL6ST, TGFBR2, KDR |
265 |
KEGG_NEUROACTIVE_LIGAND_RECEPTOR_INTERACTION | 1.83e-03 | 8.36 | 2.17 | 1.01e-01 | 3.40e-01 | 4EDNRB, APLNR, CHRM3, CALCRL |
272 |
KEGG_COMPLEMENT_AND_COAGULATION_CASCADES | 7.90e-03 | 16.01 | 1.85 | 1.64e-01 | 1.00e+00 | 2F8, A2M |
69 |
KEGG_ENDOCYTOSIS | 5.12e-03 | 9.24 | 1.82 | 1.59e-01 | 9.52e-01 | 3FLT1, EHD3, KDR |
181 |
KEGG_RENAL_CELL_CARCINOMA | 8.12e-03 | 15.78 | 1.82 | 1.64e-01 | 1.00e+00 | 2EPAS1, ETS1 |
70 |
KEGG_PATHWAYS_IN_CANCER | 3.45e-03 | 6.98 | 1.81 | 1.28e-01 | 6.41e-01 | 4COL4A1, EPAS1, TGFBR2, ETS1 |
325 |
KEGG_ADHERENS_JUNCTION | 8.81e-03 | 15.11 | 1.75 | 1.64e-01 | 1.00e+00 | 2PTPRB, TGFBR2 |
73 |
KEGG_FOCAL_ADHESION | 6.64e-03 | 8.39 | 1.66 | 1.64e-01 | 1.00e+00 | 3FLT1, COL4A1, KDR |
199 |
KEGG_ECM_RECEPTOR_INTERACTION | 1.15e-02 | 13.08 | 1.52 | 1.95e-01 | 1.00e+00 | 2HSPG2, COL4A1 |
84 |
KEGG_LEUKOCYTE_TRANSENDOTHELIAL_MIGRATION | 2.11e-02 | 9.41 | 1.10 | 3.28e-01 | 1.00e+00 | 2CDH5, PECAM1 |
116 |
KEGG_AXON_GUIDANCE | 2.57e-02 | 8.45 | 0.98 | 3.68e-01 | 1.00e+00 | 2EFNB2, EFNB1 |
129 |
KEGG_CALCIUM_SIGNALING_PATHWAY | 4.61e-02 | 6.10 | 0.71 | 6.13e-01 | 1.00e+00 | 2EDNRB, CHRM3 |
178 |
KEGG_MAPK_SIGNALING_PATHWAY | 9.29e-02 | 4.05 | 0.47 | 9.10e-01 | 1.00e+00 | 2TGFBR2, RASGRP3 |
267 |
KEGG_ETHER_LIPID_METABOLISM | 6.19e-02 | 16.42 | 0.40 | 7.68e-01 | 1.00e+00 | 1PLPP3 |
33 |
KEGG_SPHINGOLIPID_METABOLISM | 7.28e-02 | 13.83 | 0.33 | 8.46e-01 | 1.00e+00 | 1PLPP3 |
39 |
KEGG_NOTCH_SIGNALING_PATHWAY | 8.70e-02 | 11.42 | 0.28 | 9.10e-01 | 1.00e+00 | 1NOTCH4 |
47 |
KEGG_GLYCEROLIPID_METABOLISM | 9.06e-02 | 10.95 | 0.27 | 9.10e-01 | 1.00e+00 | 1PLPP3 |
49 |
KEGG_COLORECTAL_CANCER | 1.13e-01 | 8.62 | 0.21 | 1.00e+00 | 1.00e+00 | 1TGFBR2 |
62 |
Dowload full table
CHR Positional Gene Sets:
P-value | OR | Lower 95% CI | FDR | FWER | Genes Found | Gene Set Size | |
---|---|---|---|---|---|---|---|
chr13q33 | 5.09e-03 | 20.24 | 2.32 | 1.00e+00 | 1.00e+00 | 2EFNB2, ARGLU1 |
55 |
chr2q32 | 1.85e-02 | 10.12 | 1.18 | 1.00e+00 | 1.00e+00 | 2HECW2, CALCRL |
108 |
chr12p13 | 2.58e-02 | 4.98 | 0.99 | 1.00e+00 | 1.00e+00 | 3APOLD1, A2M, SLC2A3 |
333 |
chr12q15 | 1.01e-01 | 9.73 | 0.24 | 1.00e+00 | 1.00e+00 | 1PTPRB |
55 |
chr4q24 | 1.03e-01 | 9.56 | 0.23 | 1.00e+00 | 1.00e+00 | 1EMCN |
56 |
chr6q13 | 1.03e-01 | 9.56 | 0.23 | 1.00e+00 | 1.00e+00 | 1CD109 |
56 |
chr6p24 | 1.05e-01 | 9.39 | 0.23 | 1.00e+00 | 1.00e+00 | 1NEDD9 |
57 |
chr1q43 | 1.10e-01 | 8.91 | 0.22 | 1.00e+00 | 1.00e+00 | 1CHRM3 |
60 |
chr13q22 | 1.11e-01 | 8.76 | 0.21 | 1.00e+00 | 1.00e+00 | 1EDNRB |
61 |
chr16q21 | 1.33e-01 | 7.20 | 0.18 | 1.00e+00 | 1.00e+00 | 1CDH5 |
74 |
chr4q12 | 1.42e-01 | 6.74 | 0.17 | 1.00e+00 | 1.00e+00 | 1KDR |
79 |
chr2p21 | 1.43e-01 | 6.65 | 0.16 | 1.00e+00 | 1.00e+00 | 1EPAS1 |
80 |
chr5q11 | 1.52e-01 | 6.26 | 0.15 | 1.00e+00 | 1.00e+00 | 1IL6ST |
85 |
chr7q32 | 1.60e-01 | 5.91 | 0.14 | 1.00e+00 | 1.00e+00 | 1PODXL |
90 |
chr8p11 | 1.68e-01 | 5.59 | 0.14 | 1.00e+00 | 1.00e+00 | 1TACC1 |
95 |
chr2p22 | 1.73e-01 | 5.42 | 0.13 | 1.00e+00 | 1.00e+00 | 1RASGRP3 |
98 |
chr3p24 | 1.74e-01 | 5.36 | 0.13 | 1.00e+00 | 1.00e+00 | 1TGFBR2 |
99 |
chr17q23 | 1.95e-01 | 4.74 | 0.12 | 1.00e+00 | 1.00e+00 | 1PECAM1 |
112 |
chr2p16 | 1.98e-01 | 4.65 | 0.11 | 1.00e+00 | 1.00e+00 | 1SPTBN1 |
114 |
chr3p14 | 2.10e-01 | 4.34 | 0.11 | 1.00e+00 | 1.00e+00 | 1ADAMTS9 |
122 |
Dowload full table
Transcription Factor Targets:
P-value | OR | Lower 95% CI | FDR | FWER | Genes Found | Gene Set Size | |
---|---|---|---|---|---|---|---|
RYTTCCTG_ETS2_B | 6.59e-07 | 7.40 | 3.51 | 7.47e-04 | 7.47e-04 | 12FLT1, APOLD1, NOTCH4, CD93, CDH5, CALCRL, TGFBR2, RASGRP3, NEDD9, ETS1, ARHGEF15, ELK3 |
1112 |
STAT5A_03 | 1.78e-04 | 10.64 | 3.27 | 5.03e-02 | 2.01e-01 | 5FLT1, HSPG2, EMCN, TIE1, TCF4 |
274 |
GGGTGGRR_PAX4_03 | 3.38e-06 | 6.27 | 2.98 | 1.91e-03 | 3.83e-03 | 12FLT1, A2M, HSPG2, EFNB2, PLPP3, CD109, TIE1, EFNB1, ADAMTS9, TCF4, ARHGEF15, ELK3 |
1310 |
TFEB_TARGET_GENES | 5.89e-06 | 5.92 | 2.81 | 2.22e-03 | 6.67e-03 | 12CD34, APOLD1, HECW2, CDH5, EPAS1, TGFBR2, RASGRP3, SEC14L1, SLC2A3, TCF4, PRCP, ELK3 |
1387 |
PR_02 | 2.26e-03 | 12.45 | 2.45 | 1.50e-01 | 1.00e+00 | 3SPTBN1, CALCRL, ETS1 |
135 |
RGAGGAARY_PU1_Q6 | 4.17e-04 | 6.90 | 2.39 | 6.94e-02 | 4.72e-01 | 6EMCN, TIE1, LRRC32, RASGRP3, PLVAP, ARHGEF15 |
515 |
ELF1_Q6 | 1.33e-03 | 9.14 | 2.37 | 1.32e-01 | 1.00e+00 | 4CDH5, CALCRL, TIE1, RASGRP3 |
249 |
AREB6_04 | 1.41e-03 | 8.99 | 2.33 | 1.32e-01 | 1.00e+00 | 4APOLD1, EFNB2, NEDD9, TCF4 |
253 |
STAT_01 | 1.51e-03 | 8.82 | 2.29 | 1.32e-01 | 1.00e+00 | 4FLT1, EMCN, IL6ST, ADAMTS9 |
258 |
PR_01 | 2.98e-03 | 11.26 | 2.22 | 1.67e-01 | 1.00e+00 | 3CD109, TIE1, ETS1 |
149 |
STAT4_01 | 1.73e-03 | 8.48 | 2.20 | 1.38e-01 | 1.00e+00 | 4FLT1, NOTCH4, LRRC32, ETS1 |
268 |
CYTAGCAAY_UNKNOWN | 3.09e-03 | 11.11 | 2.19 | 1.67e-01 | 1.00e+00 | 3HSPG2, NEDD9, SEC14L1 |
151 |
STAT6_01 | 1.83e-03 | 8.36 | 2.17 | 1.38e-01 | 1.00e+00 | 4HSPG2, EMCN, TACC1, TCF4 |
272 |
RTAAACA_FREAC2_01 | 3.22e-04 | 5.28 | 2.13 | 6.94e-02 | 3.65e-01 | 8HSPG2, PLPP3, NOTCH4, IL6ST, CD109, ETS1, TCF4, ELK3 |
938 |
AR_01 | 3.57e-03 | 10.54 | 2.08 | 1.84e-01 | 1.00e+00 | 3NOTCH4, SPTBN1, CALCRL |
159 |
RNGTGGGC_UNKNOWN | 6.24e-04 | 5.40 | 2.04 | 7.07e-02 | 7.07e-01 | 7FLT1, APLNR, CDH5, EPAS1, EFNB1, ADAMTS9, NEDD9 |
784 |
TERF1_TARGET_GENES | 2.45e-03 | 7.70 | 2.00 | 1.54e-01 | 1.00e+00 | 4NOTCH4, RASGRP3, TACC1, NEDD9 |
295 |
ZSCAN4_TARGET_GENES | 5.51e-04 | 4.85 | 1.96 | 6.94e-02 | 6.25e-01 | 8APOLD1, HECW2, CALCRL, CD109, RASGRP3, JCAD, TCF4, ARHGEF15 |
1020 |
MAML1_TARGET_GENES | 2.98e-03 | 7.27 | 1.89 | 1.67e-01 | 1.00e+00 | 4F8, RASGRP3, NEDD9, SEC14L1 |
312 |
AACTTT_UNKNOWN | 5.31e-04 | 3.79 | 1.75 | 6.94e-02 | 6.01e-01 | 11CD34, HSPG2, EFNB2, PLPP3, TIMP3, EMCN, CDH5, IL6ST, ADAMTS9, TCF4, ELK3 |
1928 |
Dowload full table
GO Biological Processes:
P-value | OR | Lower 95% CI | FDR | FWER | Genes Found | Gene Set Size | |
---|---|---|---|---|---|---|---|
GOBP_ANGIOGENESIS_INVOLVED_IN_WOUND_HEALING | 2.84e-07 | 89.45 | 21.75 | 7.59e-05 | 2.13e-03 | 4CD34, KDR, ETS1, PRCP |
29 |
GOBP_BLOOD_COAGULATION_INTRINSIC_PATHWAY | 5.46e-06 | 109.20 | 19.64 | 7.85e-04 | 4.08e-02 | 3F8, A2M, PRCP |
18 |
GOBP_BRANCHING_INVOLVED_IN_BLOOD_VESSEL_MORPHOGENESIS | 5.51e-07 | 74.47 | 18.34 | 1.33e-04 | 4.12e-03 | 4NOTCH4, COL4A1, TGFBR2, KDR |
34 |
GOBP_VASCULATURE_DEVELOPMENT | 2.47e-22 | 28.75 | 15.69 | 1.85e-18 | 1.85e-18 | 23CD34, FLT1, APOLD1, HSPG2, EFNB2, NOTCH4, COL4A1, APLNR, PTPRB, CDH5, ADGRF5, CALCRL, EPAS1, PECAM1, TIE1, TGFBR2, KDR, JCAD, ADAMTS9, ETS1, ARHGEF15, PRCP, ELK3 |
786 |
GOBP_BLOOD_VESSEL_MORPHOGENESIS | 8.96e-21 | 28.42 | 15.33 | 3.00e-17 | 6.70e-17 | 21CD34, FLT1, APOLD1, HSPG2, EFNB2, NOTCH4, COL4A1, APLNR, PTPRB, CDH5, ADGRF5, CALCRL, EPAS1, TIE1, TGFBR2, KDR, JCAD, ADAMTS9, ETS1, PRCP, ELK3 |
677 |
GOBP_GLOMERULAR_EPITHELIUM_DEVELOPMENT | 1.34e-05 | 78.22 | 14.44 | 1.86e-03 | 1.00e-01 | 3CD34, PECAM1, PODXL |
24 |
GOBP_POSITIVE_REGULATION_OF_VASCULATURE_DEVELOPMENT | 4.58e-11 | 34.04 | 14.31 | 4.28e-08 | 3.42e-07 | 9CD34, FLT1, APLNR, CDH5, TIE1, TGFBR2, KDR, JCAD, ETS1 |
175 |
GOBP_TUBE_MORPHOGENESIS | 1.14e-19 | 23.06 | 12.52 | 2.13e-16 | 8.53e-16 | 22CD34, FLT1, APOLD1, HSPG2, EFNB2, NOTCH4, COL4A1, APLNR, PTPRB, CDH5, ADGRF5, CALCRL, EPAS1, TIE1, TGFBR2, KDR, PODXL, JCAD, ADAMTS9, ETS1, PRCP, ELK3 |
900 |
GOBP_TUBE_DEVELOPMENT | 1.20e-20 | 22.42 | 12.28 | 3.00e-17 | 8.99e-17 | 24CD34, FLT1, APOLD1, EDNRB, HSPG2, EFNB2, NOTCH4, COL4A1, APLNR, PTPRB, CDH5, ADGRF5, CALCRL, IL6ST, EPAS1, TIE1, TGFBR2, KDR, PODXL, JCAD, ADAMTS9, ETS1, PRCP, ELK3 |
1085 |
GOBP_PROTEIN_ACTIVATION_CASCADE | 2.16e-05 | 65.64 | 12.27 | 2.80e-03 | 1.61e-01 | 3F8, A2M, PRCP |
28 |
GOBP_SURFACTANT_HOMEOSTASIS | 2.00e-04 | 118.87 | 12.19 | 1.74e-02 | 1.00e+00 | 2ADGRF5, EPAS1 |
11 |
GOBP_RETINA_VASCULATURE_MORPHOGENESIS_IN_CAMERA_TYPE_EYE | 2.00e-04 | 118.87 | 12.19 | 1.74e-02 | 1.00e+00 | 2COL4A1, ARHGEF15 |
11 |
GOBP_ENDOTHELIUM_DEVELOPMENT | 8.10e-09 | 32.24 | 12.01 | 3.19e-06 | 6.06e-05 | 7CD34, APOLD1, NOTCH4, CDH5, PECAM1, TIE1, KDR |
137 |
GOBP_VASCULOGENESIS | 4.15e-07 | 39.17 | 11.80 | 1.04e-04 | 3.11e-03 | 5CD34, APLNR, TIE1, TGFBR2, KDR |
78 |
GOBP_POSITIVE_REGULATION_OF_VASCULOGENESIS | 2.40e-04 | 106.92 | 11.12 | 1.93e-02 | 1.00e+00 | 2CD34, KDR |
12 |
GOBP_CIRCULATORY_SYSTEM_DEVELOPMENT | 7.43e-19 | 19.66 | 10.73 | 1.11e-15 | 5.56e-15 | 23CD34, FLT1, APOLD1, HSPG2, EFNB2, NOTCH4, COL4A1, APLNR, PTPRB, CDH5, ADGRF5, CALCRL, EPAS1, PECAM1, TIE1, TGFBR2, KDR, JCAD, ADAMTS9, ETS1, ARHGEF15, PRCP, ELK3 |
1140 |
GOBP_CHEMICAL_HOMEOSTASIS_WITHIN_A_TISSUE | 2.83e-04 | 97.16 | 10.22 | 2.22e-02 | 1.00e+00 | 2ADGRF5, EPAS1 |
13 |
GOBP_REGULATION_OF_VASCULATURE_DEVELOPMENT | 3.74e-11 | 22.01 | 10.07 | 4.00e-08 | 2.80e-07 | 11CD34, FLT1, HSPG2, APLNR, CDH5, TIE1, TGFBR2, KDR, JCAD, ADAMTS9, ETS1 |
341 |
GOBP_ANATOMICAL_STRUCTURE_FORMATION_INVOLVED_IN_MORPHOGENESIS | 1.46e-17 | 18.08 | 9.82 | 1.83e-14 | 1.10e-13 | 22CD34, FLT1, APOLD1, HSPG2, EFNB2, NOTCH4, COL4A1, APLNR, PTPRB, CDH5, CALCRL, EPAS1, CD109, TIE1, TGFBR2, KDR, PODXL, JCAD, ADAMTS9, ETS1, PRCP, ELK3 |
1142 |
GOBP_REGULATION_OF_VASCULOGENESIS | 4.33e-04 | 76.37 | 8.22 | 3.12e-02 | 1.00e+00 | 2CD34, KDR |
16 |
Dowload full table
Immunological Gene Sets:
P-value | OR | Lower 95% CI | FDR | FWER | Genes Found | Gene Set Size | |
---|---|---|---|---|---|---|---|
GSE7852_THYMUS_VS_FAT_TCONV_DN | 2.30e-06 | 18.10 | 6.23 | 3.73e-03 | 1.12e-02 | 6FLT1, EFNB2, CD93, COL4A1, PTPRB, JCAD |
200 |
GSE21379_WT_VS_SAP_KO_TFH_CD4_TCELL_UP | 2.30e-06 | 18.10 | 6.23 | 3.73e-03 | 1.12e-02 | 6COL4A1, APLNR, CDH5, ARHGAP29, TIE1, KDR |
200 |
GSE41867_DAY8_VS_DAY15_LCMV_CLONE13_EFFECTOR_CD8_TCELL_UP | 2.30e-06 | 18.10 | 6.23 | 3.73e-03 | 1.12e-02 | 6APOLD1, CD93, IL6ST, PECAM1, TACC1, ETS1 |
200 |
GSE3920_IFNA_VS_IFNB_TREATED_ENDOTHELIAL_CELL_DN | 1.68e-05 | 17.77 | 5.44 | 1.81e-02 | 8.21e-02 | 5EPAS1, CD109, LRRC32, PODXL, TACC1 |
166 |
GSE2706_2H_VS_8H_R848_STIM_DC_UP | 3.54e-05 | 15.14 | 4.64 | 1.81e-02 | 1.72e-01 | 5F8, PLPP3, SPTBN1, PECAM1, SLC2A3 |
194 |
GSE14000_4H_VS_16H_LPS_DC_TRANSLATED_RNA_UP | 3.72e-05 | 14.98 | 4.59 | 1.81e-02 | 1.81e-01 | 5CD93, EPAS1, PECAM1, TACC1, SLC2A3 |
196 |
GSE3982_BCELL_VS_CENT_MEMORY_CD4_TCELL_UP | 3.90e-05 | 14.83 | 4.54 | 1.81e-02 | 1.90e-01 | 5EHD3, PECAM1, RASGRP3, SEC14L1, TCF4 |
198 |
GSE32986_GMCSF_VS_GMCSF_AND_CURDLAN_HIGHDOSE_STIM_DC_DN | 3.90e-05 | 14.83 | 4.54 | 1.81e-02 | 1.90e-01 | 5ARHGAP29, IL6ST, PECAM1, RASGRP3, NEDD9 |
198 |
GSE17721_PAM3CSK4_VS_CPG_16H_BMDC_UP | 4.09e-05 | 14.68 | 4.50 | 1.81e-02 | 1.99e-01 | 5SPTBN1, CALCRL, NEDD9, SHANK3, ARGLU1 |
200 |
GSE20715_0H_VS_24H_OZONE_LUNG_UP | 4.09e-05 | 14.68 | 4.50 | 1.81e-02 | 1.99e-01 | 5CDH5, PECAM1, KDR, ETS1, ELK3 |
200 |
GSE43955_TH0_VS_TGFB_IL6_TH17_ACT_CD4_TCELL_10H_UP | 4.09e-05 | 14.68 | 4.50 | 1.81e-02 | 1.99e-01 | 5EDNRB, TIMP3, CD93, IL6ST, KDR |
200 |
GSE40274_CTRL_VS_FOXP3_AND_EOS_TRANSDUCED_ACTIVATED_CD4_TCELL_UP | 3.15e-04 | 13.58 | 3.51 | 3.95e-02 | 1.00e+00 | 4PODXL, RASGRP3, ETS1, PRCP |
169 |
GSE40274_CTRL_VS_LEF1_TRANSDUCED_ACTIVATED_CD4_TCELL_UP | 3.29e-04 | 13.41 | 3.47 | 3.95e-02 | 1.00e+00 | 4RASGRP3, SEC14L1, SLC2A3, PRCP |
171 |
GSE40274_CTRL_VS_XBP1_TRANSDUCED_ACTIVATED_CD4_TCELL_UP | 3.29e-04 | 13.41 | 3.47 | 3.95e-02 | 1.00e+00 | 4CDH5, EHD3, CALCRL, SLC2A3 |
171 |
GSE37605_FOXP3_FUSION_GFP_VS_IRES_GFP_TREG_C57BL6_DN | 3.67e-04 | 13.02 | 3.37 | 3.95e-02 | 1.00e+00 | 4CD93, ARHGAP29, LRRC32, ADAMTS9 |
176 |
GSE34156_UNTREATED_VS_6H_NOD2_AND_TLR1_TLR2_LIGAND_TREATED_MONOCYTE_UP | 4.70e-04 | 12.17 | 3.15 | 3.95e-02 | 1.00e+00 | 4F8, EDNRB, CALCRL, TIE1 |
188 |
GSE29618_BCELL_VS_MDC_DAY7_FLU_VACCINE_UP | 4.99e-04 | 11.98 | 3.10 | 3.95e-02 | 1.00e+00 | 4SPTBN1, RASGRP3, ETS1, TCF4 |
191 |
GSE26928_NAIVE_VS_CENT_MEMORY_CD4_TCELL_DN | 5.19e-04 | 11.85 | 3.07 | 3.95e-02 | 1.00e+00 | 4CD109, SEC14L1, SLC2A3, ELK3 |
193 |
GSE10325_LUPUS_BCELL_VS_LUPUS_MYELOID_UP | 5.29e-04 | 11.79 | 3.05 | 3.95e-02 | 1.00e+00 | 4SPTBN1, EHD3, RASGRP3, TCF4 |
194 |
GSE26928_NAIVE_VS_EFF_MEMORY_CD4_TCELL_DN | 5.29e-04 | 11.79 | 3.05 | 3.95e-02 | 1.00e+00 | 4CD34, FLT1, CD109, SLC2A3 |
194 |
Top Ranked Transcription Factors for this Gene Expression Program:
Gene Symbol | TF Rank | DNA Binding Domain | Motif Status | IUPAC PWM | GTEx | DepMap | Decartes |
---|---|---|---|---|---|---|---|
PLPP3 | 10 | No | Unlikely to be sequence specific TF | Not a DNA binding protein | No motif | None | None |
EPAS1 | 27 | Yes | Known motif | Monomer or homomultimer | In vivo/Misc source | Only known motifs are from Transfac or HocoMoco - origin is uncertain | None |
ETS1 | 44 | Yes | Known motif | Monomer or homomultimer | High-throughput in vitro | None | None |
TCF4 | 47 | Yes | Known motif | Monomer or homomultimer | High-throughput in vitro | None | None |
ELK3 | 50 | Yes | Known motif | Monomer or homomultimer | High-throughput in vitro | None | None |
RAPGEF5 | 57 | No | Unlikely to be sequence specific TF | Not a DNA binding protein | No motif | None | None |
CD36 | 63 | No | Unlikely to be sequence specific TF | Not a DNA binding protein | No motif | None | None |
PLXND1 | 68 | No | Unlikely to be sequence specific TF | Not a DNA binding protein | No motif | None | Protein is a semaphorin receptor that operates far upstream on the signaling cascade. |
MEF2C | 69 | Yes | Known motif | Monomer or homomultimer | High-throughput in vitro | None | None |
ICAM1 | 71 | No | Unlikely to be sequence specific TF | Not a DNA binding protein | No motif | None | None |
BCL6B | 72 | Yes | Known motif | Monomer or homomultimer | High-throughput in vitro | None | None |
HIPK2 | 74 | No | Unlikely to be sequence specific TF | Not a DNA binding protein | No motif | None | Transcriptional cofactor that can act as a coactivator or corepressor. Phosphorylates many transcription factors. (UniProt Q9H2X6) |
PBX1 | 75 | Yes | Known motif | Monomer or homomultimer | High-throughput in vitro | None | None |
MEF2A | 77 | Yes | Known motif | Monomer or homomultimer | High-throughput in vitro | None | None |
FZD4 | 79 | No | Unlikely to be sequence specific TF | Not a DNA binding protein | No motif | None | None |
TNFAIP3 | 84 | No | Unlikely to be sequence specific TF | Not a DNA binding protein | No motif | None | Inhibits NFKB-activation. No evidence for direct binding to DNA |
LPP | 85 | No | Unlikely to be sequence specific TF | Not a DNA binding protein | No motif | None | znfLIM is probably not a DNA binding domain (PMID: 8506279). The protein has been reported to be coactivator for ETV4 (PMID: 16738319). |
JUP | 118 | No | Unlikely to be sequence specific TF | Not a DNA binding protein | No motif | None | None |
RAPGEF4 | 126 | No | Unlikely to be sequence specific TF | Not a DNA binding protein | No motif | None | None |
HIF3A | 128 | Yes | Inferred motif | Obligate heteromer | In vivo/Misc source | None | Binds DNA as a heterodimer with ARNT and ARNT2; reviewed in (PMID: 24099156). |
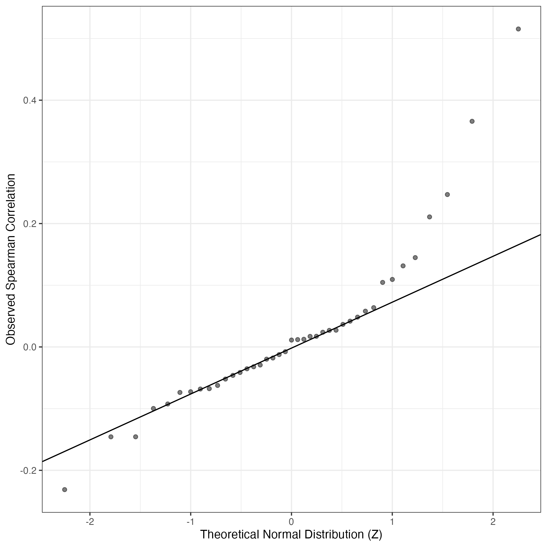
QQ Plot showing correlations with other GEPs in this dataset, calculated by Spearman correlation:
Interactive QQ-plot of gene loadings:
A similar QQ-plot as above, but only for instances where the H value is e.g. > 25, i.e. we are confident that the expression program is active above noise. Agreemenet between these binary vectors is tested using the Jaccard Index, with the P-values calculated by an exact test:
Interactive QQ-plot:
Singler cell type annotations for the top 50 cells on this program.
Cell ID | Singler label | Singler Delta | Activity Score | Top Singler Raw Scores |
---|---|---|---|---|
R48a_w14.5_CCCTCAACATGACGTT-1 | Endothelial_cells:lymphatic | 0.18 | 471.63 | Raw ScoresEndothelial_cells:lymphatic:TNFa_48h: 0.53, Endothelial_cells:HUVEC: 0.52, Endothelial_cells:HUVEC:VEGF: 0.51, Endothelial_cells:HUVEC:IL-1b: 0.51, Endothelial_cells:HUVEC:PR8-infected: 0.5, Endothelial_cells:lymphatic: 0.5, Endothelial_cells:HUVEC:H5N1-infected: 0.5, Endothelial_cells:lymphatic:KSHV: 0.5, Endothelial_cells:HUVEC:FPV-infected: 0.5, Endothelial_cells:HUVEC:Serum_Amyloid_A: 0.5 |
R53b_w11.5_TGAGGGATCCATTCGC-1 | Endothelial_cells:lymphatic:KSHV | 0.19 | 439.03 | Raw ScoresEndothelial_cells:lymphatic:TNFa_48h: 0.56, Endothelial_cells:lymphatic:KSHV: 0.56, Endothelial_cells:HUVEC: 0.55, Endothelial_cells:HUVEC:IL-1b: 0.55, Endothelial_cells:HUVEC:VEGF: 0.55, Endothelial_cells:lymphatic: 0.54, Endothelial_cells:HUVEC:Serum_Amyloid_A: 0.54, Endothelial_cells:HUVEC:PR8-infected: 0.54, Endothelial_cells:HUVEC:FPV-infected: 0.53, Endothelial_cells:HUVEC:H5N1-infected: 0.53 |
R48a_w14.5_ACTTTGTCAAGAGATT-1 | Endothelial_cells:lymphatic:KSHV | 0.19 | 426.61 | Raw ScoresEndothelial_cells:lymphatic:TNFa_48h: 0.55, Endothelial_cells:HUVEC: 0.53, Endothelial_cells:HUVEC:VEGF: 0.53, Endothelial_cells:HUVEC:IL-1b: 0.53, Endothelial_cells:lymphatic:KSHV: 0.52, Endothelial_cells:lymphatic: 0.52, Endothelial_cells:HUVEC:PR8-infected: 0.51, Endothelial_cells:HUVEC:Serum_Amyloid_A: 0.51, Endothelial_cells:HUVEC:H5N1-infected: 0.51, Endothelial_cells:HUVEC:FPV-infected: 0.51 |
R48a_w14.5_TGGTACAAGAGACAAG-1 | Endothelial_cells:lymphatic | 0.18 | 424.63 | Raw ScoresEndothelial_cells:lymphatic: 0.52, Endothelial_cells:lymphatic:TNFa_48h: 0.52, Endothelial_cells:lymphatic:KSHV: 0.5, Endothelial_cells:blood_vessel: 0.5, Endothelial_cells:HUVEC: 0.49, Endothelial_cells:HUVEC:VEGF: 0.49, Endothelial_cells:HUVEC:FPV-infected: 0.49, Endothelial_cells:HUVEC:PR8-infected: 0.48, Endothelial_cells:HUVEC:Serum_Amyloid_A: 0.48, Endothelial_cells:HUVEC:H5N1-infected: 0.48 |
R53c_w9.5_ATACCGATCCTTCTAA-1 | Endothelial_cells:lymphatic | 0.18 | 407.86 | Raw ScoresEndothelial_cells:lymphatic: 0.44, Endothelial_cells:lymphatic:TNFa_48h: 0.43, Endothelial_cells:lymphatic:KSHV: 0.42, Endothelial_cells:blood_vessel: 0.42, Endothelial_cells:HUVEC:VEGF: 0.41, Endothelial_cells:HUVEC: 0.41, Endothelial_cells:HUVEC:Serum_Amyloid_A: 0.41, Endothelial_cells:HUVEC:IL-1b: 0.4, Endothelial_cells:HUVEC:B._anthracis_LT: 0.39, Endothelial_cells:HUVEC:H5N1-infected: 0.39 |
R48a_w14.5_AAAGGATCAGATCCTA-1 | Endothelial_cells:blood_vessel | 0.16 | 393.47 | Raw ScoresEndothelial_cells:lymphatic: 0.52, Endothelial_cells:lymphatic:TNFa_48h: 0.52, Endothelial_cells:lymphatic:KSHV: 0.51, Endothelial_cells:blood_vessel: 0.51, Endothelial_cells:HUVEC:VEGF: 0.49, Endothelial_cells:HUVEC: 0.49, Endothelial_cells:HUVEC:IL-1b: 0.49, Endothelial_cells:HUVEC:Serum_Amyloid_A: 0.49, Endothelial_cells:HUVEC:FPV-infected: 0.48, Endothelial_cells:HUVEC:PR8-infected: 0.48 |
R48c_w8.5_TATTCCAGTAAGGAGA-1 | Endothelial_cells:lymphatic:KSHV | 0.17 | 387.84 | Raw ScoresEndothelial_cells:lymphatic: 0.46, Endothelial_cells:lymphatic:TNFa_48h: 0.45, Endothelial_cells:HUVEC:VEGF: 0.44, Endothelial_cells:blood_vessel: 0.43, Endothelial_cells:lymphatic:KSHV: 0.43, Endothelial_cells:HUVEC: 0.43, Endothelial_cells:HUVEC:Serum_Amyloid_A: 0.42, Endothelial_cells:HUVEC:IL-1b: 0.42, Endothelial_cells:HUVEC:PR8-infected: 0.41, Endothelial_cells:HUVEC:FPV-infected: 0.41 |
R53b_w11.5_GCCGATGGTGCACATT-1 | Endothelial_cells:blood_vessel | 0.17 | 387.80 | Raw ScoresEndothelial_cells:lymphatic: 0.49, Endothelial_cells:lymphatic:TNFa_48h: 0.49, Endothelial_cells:blood_vessel: 0.48, Endothelial_cells:lymphatic:KSHV: 0.48, Endothelial_cells:HUVEC:Serum_Amyloid_A: 0.46, Endothelial_cells:HUVEC: 0.46, Endothelial_cells:HUVEC:IL-1b: 0.46, Endothelial_cells:HUVEC:VEGF: 0.46, Endothelial_cells:HUVEC:FPV-infected: 0.45, Endothelial_cells:HUVEC:PR8-infected: 0.45 |
R48a_w14.5_TGTCCTGGTGTCTTCC-1 | Endothelial_cells:lymphatic | 0.18 | 366.96 | Raw ScoresEndothelial_cells:lymphatic:TNFa_48h: 0.48, Endothelial_cells:lymphatic: 0.47, Endothelial_cells:lymphatic:KSHV: 0.46, Endothelial_cells:blood_vessel: 0.46, Endothelial_cells:HUVEC:VEGF: 0.45, Endothelial_cells:HUVEC: 0.45, Endothelial_cells:HUVEC:FPV-infected: 0.44, Endothelial_cells:HUVEC:PR8-infected: 0.44, Endothelial_cells:HUVEC:Serum_Amyloid_A: 0.44, Endothelial_cells:HUVEC:IL-1b: 0.44 |
R53b_w11.5_TTTGGAGTCATAAGGA-1 | Endothelial_cells:blood_vessel | 0.16 | 364.80 | Raw ScoresEndothelial_cells:lymphatic: 0.44, Endothelial_cells:lymphatic:TNFa_48h: 0.44, Endothelial_cells:lymphatic:KSHV: 0.42, Endothelial_cells:blood_vessel: 0.42, Endothelial_cells:HUVEC:Serum_Amyloid_A: 0.4, Endothelial_cells:HUVEC: 0.4, Endothelial_cells:HUVEC:IL-1b: 0.4, Endothelial_cells:HUVEC:VEGF: 0.39, Endothelial_cells:HUVEC:B._anthracis_LT: 0.39, Endothelial_cells:HUVEC:FPV-infected: 0.39 |
R53c_w9.5_CTCCCTCTCGAGAAGC-1 | Endothelial_cells:blood_vessel | 0.16 | 363.80 | Raw ScoresEndothelial_cells:lymphatic: 0.43, Endothelial_cells:lymphatic:TNFa_48h: 0.43, Endothelial_cells:blood_vessel: 0.41, Endothelial_cells:lymphatic:KSHV: 0.41, Endothelial_cells:HUVEC:Serum_Amyloid_A: 0.4, Endothelial_cells:HUVEC:VEGF: 0.4, Endothelial_cells:HUVEC: 0.39, Endothelial_cells:HUVEC:B._anthracis_LT: 0.39, Endothelial_cells:HUVEC:IL-1b: 0.39, Endothelial_cells:HUVEC:PR8-infected: 0.38 |
R48c_w8.5_TCGAACATCCACTGGG-1 | Endothelial_cells:lymphatic:KSHV | 0.18 | 359.22 | Raw ScoresEndothelial_cells:lymphatic: 0.49, Endothelial_cells:lymphatic:TNFa_48h: 0.48, Endothelial_cells:HUVEC:VEGF: 0.46, Endothelial_cells:lymphatic:KSHV: 0.46, Endothelial_cells:blood_vessel: 0.45, Endothelial_cells:HUVEC: 0.45, Endothelial_cells:HUVEC:Serum_Amyloid_A: 0.45, Endothelial_cells:HUVEC:IL-1b: 0.44, Endothelial_cells:HUVEC:B._anthracis_LT: 0.43, Endothelial_cells:HUVEC:FPV-infected: 0.43 |
R48a_w14.5_TCAAGCAAGAGCCGAT-1 | Endothelial_cells:lymphatic | 0.19 | 354.95 | Raw ScoresEndothelial_cells:lymphatic:TNFa_48h: 0.54, Endothelial_cells:lymphatic: 0.53, Endothelial_cells:HUVEC:VEGF: 0.53, Endothelial_cells:HUVEC: 0.52, Endothelial_cells:lymphatic:KSHV: 0.52, Endothelial_cells:HUVEC:IL-1b: 0.51, Endothelial_cells:HUVEC:PR8-infected: 0.51, Endothelial_cells:HUVEC:Serum_Amyloid_A: 0.5, Endothelial_cells:HUVEC:FPV-infected: 0.5, Endothelial_cells:HUVEC:H5N1-infected: 0.5 |
R53b_w11.5_TTGGGATTCTTAGCTT-1 | Endothelial_cells:blood_vessel | 0.18 | 348.97 | Raw ScoresEndothelial_cells:lymphatic: 0.52, Endothelial_cells:lymphatic:TNFa_48h: 0.52, Endothelial_cells:lymphatic:KSHV: 0.51, Endothelial_cells:blood_vessel: 0.51, Endothelial_cells:HUVEC:Serum_Amyloid_A: 0.49, Endothelial_cells:HUVEC:IL-1b: 0.49, Endothelial_cells:HUVEC:VEGF: 0.49, Endothelial_cells:HUVEC: 0.49, Endothelial_cells:HUVEC:B._anthracis_LT: 0.48, Endothelial_cells:HUVEC:FPV-infected: 0.47 |
R53c_w9.5_CATTTCAGTCCACTTC-1 | Endothelial_cells:lymphatic:KSHV | 0.16 | 340.91 | Raw ScoresEndothelial_cells:lymphatic: 0.47, Endothelial_cells:lymphatic:TNFa_48h: 0.46, Endothelial_cells:lymphatic:KSHV: 0.45, Endothelial_cells:blood_vessel: 0.45, Endothelial_cells:HUVEC:VEGF: 0.44, Endothelial_cells:HUVEC: 0.44, Endothelial_cells:HUVEC:Serum_Amyloid_A: 0.44, Endothelial_cells:HUVEC:IL-1b: 0.43, Endothelial_cells:HUVEC:B._anthracis_LT: 0.43, Endothelial_cells:HUVEC:FPV-infected: 0.42 |
R53c_w9.5_TAAGTCGCACGGCACT-1 | Endothelial_cells:blood_vessel | 0.16 | 337.95 | Raw ScoresEndothelial_cells:lymphatic: 0.42, Endothelial_cells:lymphatic:TNFa_48h: 0.42, Endothelial_cells:lymphatic:KSHV: 0.41, Endothelial_cells:blood_vessel: 0.4, Endothelial_cells:HUVEC:Serum_Amyloid_A: 0.39, Endothelial_cells:HUVEC:VEGF: 0.38, Endothelial_cells:HUVEC: 0.38, Endothelial_cells:HUVEC:B._anthracis_LT: 0.38, Endothelial_cells:HUVEC:IL-1b: 0.37, Endothelial_cells:HUVEC:FPV-infected: 0.37 |
R53c_w9.5_GCTGCAGCACCTAAAC-1 | Endothelial_cells:lymphatic:TNFa_48h | 0.17 | 328.16 | Raw ScoresEndothelial_cells:lymphatic: 0.41, Endothelial_cells:lymphatic:TNFa_48h: 0.4, Endothelial_cells:lymphatic:KSHV: 0.38, Endothelial_cells:blood_vessel: 0.38, Endothelial_cells:HUVEC:VEGF: 0.38, Endothelial_cells:HUVEC:Serum_Amyloid_A: 0.38, Endothelial_cells:HUVEC: 0.38, Endothelial_cells:HUVEC:B._anthracis_LT: 0.36, Endothelial_cells:HUVEC:IL-1b: 0.36, Endothelial_cells:HUVEC:PR8-infected: 0.36 |
R48a_w14.5_GAGACCCTCGAGAGCA-1 | Endothelial_cells:blood_vessel | 0.17 | 328.11 | Raw ScoresEndothelial_cells:lymphatic: 0.47, Endothelial_cells:lymphatic:TNFa_48h: 0.47, Endothelial_cells:lymphatic:KSHV: 0.46, Endothelial_cells:blood_vessel: 0.46, Endothelial_cells:HUVEC: 0.45, Endothelial_cells:HUVEC:VEGF: 0.45, Endothelial_cells:HUVEC:Serum_Amyloid_A: 0.45, Endothelial_cells:HUVEC:IL-1b: 0.44, Endothelial_cells:HUVEC:FPV-infected: 0.44, Endothelial_cells:HUVEC:B._anthracis_LT: 0.44 |
R53b_w11.5_CACAGATCACAGTATC-1 | Endothelial_cells:blood_vessel | 0.16 | 325.48 | Raw ScoresEndothelial_cells:lymphatic: 0.5, Endothelial_cells:lymphatic:TNFa_48h: 0.49, Endothelial_cells:lymphatic:KSHV: 0.48, Endothelial_cells:blood_vessel: 0.48, Endothelial_cells:HUVEC: 0.46, Endothelial_cells:HUVEC:VEGF: 0.46, Endothelial_cells:HUVEC:Serum_Amyloid_A: 0.46, Endothelial_cells:HUVEC:IL-1b: 0.46, Endothelial_cells:HUVEC:B._anthracis_LT: 0.46, Endothelial_cells:HUVEC:PR8-infected: 0.45 |
R53c_w9.5_CTATCCGGTTGACTGT-1 | Endothelial_cells:lymphatic | 0.20 | 324.90 | Raw ScoresEndothelial_cells:lymphatic:TNFa_48h: 0.49, Endothelial_cells:lymphatic: 0.49, Endothelial_cells:HUVEC:VEGF: 0.48, Endothelial_cells:HUVEC: 0.47, Endothelial_cells:lymphatic:KSHV: 0.47, Endothelial_cells:HUVEC:Serum_Amyloid_A: 0.46, Endothelial_cells:HUVEC:FPV-infected: 0.46, Endothelial_cells:HUVEC:IL-1b: 0.46, Endothelial_cells:HUVEC:B._anthracis_LT: 0.46, Endothelial_cells:blood_vessel: 0.46 |
R48a_w14.5_ATCTTCATCCATAGGT-1 | Endothelial_cells:blood_vessel | 0.17 | 322.97 | Raw ScoresEndothelial_cells:lymphatic: 0.46, Endothelial_cells:lymphatic:TNFa_48h: 0.45, Endothelial_cells:lymphatic:KSHV: 0.45, Endothelial_cells:blood_vessel: 0.44, Endothelial_cells:HUVEC: 0.43, Endothelial_cells:HUVEC:Serum_Amyloid_A: 0.43, Endothelial_cells:HUVEC:VEGF: 0.43, Endothelial_cells:HUVEC:PR8-infected: 0.42, Endothelial_cells:HUVEC:IL-1b: 0.42, Endothelial_cells:HUVEC:B._anthracis_LT: 0.42 |
R30_w8.5_GGCACGTGTATAGGAT-1 | Endothelial_cells:lymphatic:TNFa_48h | 0.19 | 322.15 | Raw ScoresEndothelial_cells:lymphatic: 0.46, Endothelial_cells:lymphatic:TNFa_48h: 0.46, Endothelial_cells:lymphatic:KSHV: 0.44, Endothelial_cells:blood_vessel: 0.43, Endothelial_cells:HUVEC:VEGF: 0.43, Endothelial_cells:HUVEC: 0.43, Endothelial_cells:HUVEC:Serum_Amyloid_A: 0.42, Endothelial_cells:HUVEC:FPV-infected: 0.42, Endothelial_cells:HUVEC:B._anthracis_LT: 0.42, Endothelial_cells:HUVEC:IL-1b: 0.42 |
R53c_w9.5_TTGTTTGGTGACTAAA-1 | Endothelial_cells:lymphatic | 0.18 | 321.57 | Raw ScoresEndothelial_cells:lymphatic: 0.43, Endothelial_cells:lymphatic:TNFa_48h: 0.43, Endothelial_cells:blood_vessel: 0.42, Endothelial_cells:lymphatic:KSHV: 0.42, Endothelial_cells:HUVEC:VEGF: 0.4, Endothelial_cells:HUVEC:Serum_Amyloid_A: 0.4, Endothelial_cells:HUVEC: 0.4, Endothelial_cells:HUVEC:B._anthracis_LT: 0.39, Endothelial_cells:HUVEC:PR8-infected: 0.39, Endothelial_cells:HUVEC:IL-1b: 0.39 |
R48b_w12_GACAGCCTCCTCGATC-1 | Endothelial_cells:blood_vessel | 0.17 | 319.99 | Raw ScoresEndothelial_cells:lymphatic: 0.5, Endothelial_cells:lymphatic:TNFa_48h: 0.5, Endothelial_cells:lymphatic:KSHV: 0.48, Endothelial_cells:blood_vessel: 0.47, Endothelial_cells:HUVEC:VEGF: 0.47, Endothelial_cells:HUVEC: 0.46, Endothelial_cells:HUVEC:IL-1b: 0.46, Endothelial_cells:HUVEC:Serum_Amyloid_A: 0.46, Endothelial_cells:HUVEC:PR8-infected: 0.46, Endothelial_cells:HUVEC:B._anthracis_LT: 0.46 |
R48b_w12_TTGATGGTCTACTCAT-1 | Endothelial_cells:lymphatic:TNFa_48h | 0.17 | 318.71 | Raw ScoresEndothelial_cells:lymphatic: 0.43, Endothelial_cells:lymphatic:TNFa_48h: 0.43, Endothelial_cells:lymphatic:KSHV: 0.4, Endothelial_cells:blood_vessel: 0.4, Endothelial_cells:HUVEC:Serum_Amyloid_A: 0.4, Endothelial_cells:HUVEC:VEGF: 0.39, Endothelial_cells:HUVEC: 0.39, Endothelial_cells:HUVEC:IL-1b: 0.39, Endothelial_cells:HUVEC:B._anthracis_LT: 0.39, Endothelial_cells:HUVEC:PR8-infected: 0.38 |
R53a_w9.5_TACCCGTAGTAGCAAT-1 | Endothelial_cells:blood_vessel | 0.18 | 316.61 | Raw ScoresEndothelial_cells:lymphatic: 0.44, Endothelial_cells:lymphatic:TNFa_48h: 0.44, Endothelial_cells:blood_vessel: 0.43, Endothelial_cells:lymphatic:KSHV: 0.43, Endothelial_cells:HUVEC:Serum_Amyloid_A: 0.42, Endothelial_cells:HUVEC: 0.41, Endothelial_cells:HUVEC:VEGF: 0.41, Endothelial_cells:HUVEC:IL-1b: 0.41, Endothelial_cells:HUVEC:B._anthracis_LT: 0.4, Endothelial_cells:HUVEC:FPV-infected: 0.4 |
R53c_w9.5_ATCCACCTCCACTTTA-1 | Endothelial_cells:lymphatic:KSHV | 0.15 | 313.98 | Raw ScoresEndothelial_cells:lymphatic: 0.39, Endothelial_cells:lymphatic:TNFa_48h: 0.38, Endothelial_cells:HUVEC: 0.36, Endothelial_cells:HUVEC:VEGF: 0.36, Endothelial_cells:HUVEC:Serum_Amyloid_A: 0.36, Endothelial_cells:blood_vessel: 0.36, Endothelial_cells:lymphatic:KSHV: 0.36, Endothelial_cells:HUVEC:IL-1b: 0.34, Endothelial_cells:HUVEC:FPV-infected: 0.34, Endothelial_cells:HUVEC:H5N1-infected: 0.34 |
R48b_w12_GAACGTTAGACTACCT-1 | Endothelial_cells:lymphatic | 0.18 | 312.55 | Raw ScoresEndothelial_cells:lymphatic: 0.45, Endothelial_cells:lymphatic:TNFa_48h: 0.44, Endothelial_cells:blood_vessel: 0.42, Endothelial_cells:lymphatic:KSHV: 0.42, Endothelial_cells:HUVEC:Serum_Amyloid_A: 0.41, Endothelial_cells:HUVEC: 0.41, Endothelial_cells:HUVEC:VEGF: 0.41, Endothelial_cells:HUVEC:FPV-infected: 0.4, Endothelial_cells:HUVEC:IL-1b: 0.4, Endothelial_cells:HUVEC:PR8-infected: 0.4 |
R48c_w8.5_TGTTCTACAAACGGCA-1 | Endothelial_cells:blood_vessel | 0.15 | 306.08 | Raw ScoresEndothelial_cells:lymphatic: 0.39, Endothelial_cells:lymphatic:TNFa_48h: 0.39, Endothelial_cells:lymphatic:KSHV: 0.38, Endothelial_cells:blood_vessel: 0.38, Endothelial_cells:HUVEC: 0.36, Endothelial_cells:HUVEC:Serum_Amyloid_A: 0.36, Endothelial_cells:HUVEC:IL-1b: 0.36, Endothelial_cells:HUVEC:VEGF: 0.36, Endothelial_cells:HUVEC:PR8-infected: 0.35, Endothelial_cells:HUVEC:H5N1-infected: 0.35 |
R53c_w9.5_TATCGCCAGTGCCAGA-1 | Endothelial_cells:blood_vessel | 0.16 | 305.69 | Raw ScoresEndothelial_cells:lymphatic: 0.46, Endothelial_cells:lymphatic:TNFa_48h: 0.45, Endothelial_cells:lymphatic:KSHV: 0.44, Endothelial_cells:blood_vessel: 0.44, Endothelial_cells:HUVEC:Serum_Amyloid_A: 0.42, Endothelial_cells:HUVEC: 0.42, Endothelial_cells:HUVEC:VEGF: 0.42, Endothelial_cells:HUVEC:B._anthracis_LT: 0.41, Endothelial_cells:HUVEC:IL-1b: 0.41, Endothelial_cells:HUVEC:FPV-infected: 0.41 |
R53a_w9.5_CCCAACTGTCGTTATG-1 | Endothelial_cells:blood_vessel | 0.17 | 304.62 | Raw ScoresEndothelial_cells:lymphatic: 0.48, Endothelial_cells:lymphatic:TNFa_48h: 0.48, Endothelial_cells:lymphatic:KSHV: 0.47, Endothelial_cells:blood_vessel: 0.47, Endothelial_cells:HUVEC:Serum_Amyloid_A: 0.45, Endothelial_cells:HUVEC: 0.45, Endothelial_cells:HUVEC:IL-1b: 0.45, Endothelial_cells:HUVEC:VEGF: 0.45, Endothelial_cells:HUVEC:B._anthracis_LT: 0.45, Endothelial_cells:HUVEC:PR8-infected: 0.44 |
R48a_w14.5_GCTACCTCAGGCGTTC-1 | Endothelial_cells:lymphatic:TNFa_48h | 0.19 | 303.45 | Raw ScoresEndothelial_cells:lymphatic: 0.46, Endothelial_cells:lymphatic:TNFa_48h: 0.46, Endothelial_cells:blood_vessel: 0.44, Endothelial_cells:lymphatic:KSHV: 0.43, Endothelial_cells:HUVEC:FPV-infected: 0.42, Endothelial_cells:HUVEC:Serum_Amyloid_A: 0.42, Endothelial_cells:HUVEC:PR8-infected: 0.42, Endothelial_cells:HUVEC: 0.42, Endothelial_cells:HUVEC:VEGF: 0.42, Endothelial_cells:HUVEC:B._anthracis_LT: 0.42 |
R53a_w9.5_CTCATGCTCCTAGCCT-1 | Endothelial_cells:blood_vessel | 0.17 | 303.21 | Raw ScoresEndothelial_cells:lymphatic: 0.44, Endothelial_cells:lymphatic:TNFa_48h: 0.43, Endothelial_cells:blood_vessel: 0.43, Endothelial_cells:lymphatic:KSHV: 0.42, Endothelial_cells:HUVEC:VEGF: 0.41, Endothelial_cells:HUVEC:Serum_Amyloid_A: 0.41, Endothelial_cells:HUVEC: 0.41, Endothelial_cells:HUVEC:IL-1b: 0.4, Endothelial_cells:HUVEC:B._anthracis_LT: 0.4, Endothelial_cells:HUVEC:H5N1-infected: 0.39 |
R53a_w9.5_TAACGACTCATTGCTT-1 | Endothelial_cells:lymphatic | 0.16 | 301.73 | Raw ScoresEndothelial_cells:lymphatic: 0.4, Endothelial_cells:lymphatic:TNFa_48h: 0.39, Endothelial_cells:lymphatic:KSHV: 0.38, Endothelial_cells:blood_vessel: 0.38, Endothelial_cells:HUVEC:Serum_Amyloid_A: 0.37, Endothelial_cells:HUVEC:VEGF: 0.37, Endothelial_cells:HUVEC: 0.37, Endothelial_cells:HUVEC:IL-1b: 0.36, Endothelial_cells:HUVEC:H5N1-infected: 0.36, Endothelial_cells:HUVEC:PR8-infected: 0.36 |
R48b_w12_GCCAGGTAGATAACAC-1 | Endothelial_cells:lymphatic | 0.17 | 300.49 | Raw ScoresEndothelial_cells:lymphatic: 0.43, Endothelial_cells:lymphatic:TNFa_48h: 0.43, Endothelial_cells:lymphatic:KSHV: 0.41, Endothelial_cells:blood_vessel: 0.41, Endothelial_cells:HUVEC: 0.4, Endothelial_cells:HUVEC:Serum_Amyloid_A: 0.39, Endothelial_cells:HUVEC:VEGF: 0.39, Endothelial_cells:HUVEC:IL-1b: 0.39, Endothelial_cells:HUVEC:PR8-infected: 0.39, Endothelial_cells:HUVEC:B._anthracis_LT: 0.38 |
R63_w12GP_GGTTCTCGTTATCTGG-1 | Endothelial_cells:blood_vessel | 0.17 | 299.43 | Raw ScoresEndothelial_cells:lymphatic: 0.5, Endothelial_cells:lymphatic:TNFa_48h: 0.5, Endothelial_cells:lymphatic:KSHV: 0.5, Endothelial_cells:blood_vessel: 0.5, Endothelial_cells:HUVEC: 0.47, Endothelial_cells:HUVEC:Serum_Amyloid_A: 0.47, Endothelial_cells:HUVEC:IL-1b: 0.47, Endothelial_cells:HUVEC:B._anthracis_LT: 0.47, Endothelial_cells:HUVEC:VEGF: 0.47, Endothelial_cells:HUVEC:PR8-infected: 0.47 |
R48a_w14.5_AAGATAGCACGGCCAT-1 | Endothelial_cells:lymphatic | 0.18 | 293.56 | Raw ScoresEndothelial_cells:lymphatic: 0.44, Endothelial_cells:lymphatic:TNFa_48h: 0.43, Endothelial_cells:blood_vessel: 0.42, Endothelial_cells:lymphatic:KSHV: 0.42, Endothelial_cells:HUVEC:Serum_Amyloid_A: 0.41, Endothelial_cells:HUVEC:VEGF: 0.4, Endothelial_cells:HUVEC: 0.4, Endothelial_cells:HUVEC:IL-1b: 0.4, Endothelial_cells:HUVEC:PR8-infected: 0.39, Endothelial_cells:HUVEC:FPV-infected: 0.39 |
R53a_w9.5_CAATGACTCCATAGAC-1 | Endothelial_cells:blood_vessel | 0.16 | 292.79 | Raw ScoresEndothelial_cells:lymphatic: 0.42, Endothelial_cells:lymphatic:TNFa_48h: 0.41, Endothelial_cells:blood_vessel: 0.4, Endothelial_cells:lymphatic:KSHV: 0.4, Endothelial_cells:HUVEC:Serum_Amyloid_A: 0.39, Endothelial_cells:HUVEC:VEGF: 0.39, Endothelial_cells:HUVEC: 0.39, Endothelial_cells:HUVEC:IL-1b: 0.38, Endothelial_cells:HUVEC:B._anthracis_LT: 0.38, Endothelial_cells:HUVEC:PR8-infected: 0.37 |
R53c_w9.5_AGATCCACAACAGCTT-1 | Endothelial_cells:lymphatic | 0.18 | 286.13 | Raw ScoresEndothelial_cells:lymphatic:TNFa_48h: 0.48, Endothelial_cells:lymphatic: 0.47, Endothelial_cells:lymphatic:KSHV: 0.47, Endothelial_cells:HUVEC:VEGF: 0.46, Endothelial_cells:HUVEC: 0.45, Endothelial_cells:HUVEC:IL-1b: 0.45, Endothelial_cells:HUVEC:Serum_Amyloid_A: 0.45, Endothelial_cells:blood_vessel: 0.45, Endothelial_cells:HUVEC:B._anthracis_LT: 0.44, Endothelial_cells:HUVEC:FPV-infected: 0.44 |
R48b_w12_AGGTCATAGTTTCTTC-1 | Endothelial_cells:lymphatic:KSHV | 0.18 | 279.46 | Raw ScoresEndothelial_cells:lymphatic:TNFa_48h: 0.57, Endothelial_cells:HUVEC:VEGF: 0.56, Endothelial_cells:HUVEC: 0.56, Endothelial_cells:HUVEC:IL-1b: 0.55, Endothelial_cells:lymphatic:KSHV: 0.54, Endothelial_cells:lymphatic: 0.54, Endothelial_cells:HUVEC:PR8-infected: 0.54, Endothelial_cells:HUVEC:H5N1-infected: 0.54, Endothelial_cells:HUVEC:FPV-infected: 0.54, Endothelial_cells:HUVEC:Serum_Amyloid_A: 0.53 |
R53c_w9.5_CATTCATGTCACCTTC-1 | Endothelial_cells:blood_vessel | 0.17 | 278.84 | Raw ScoresEndothelial_cells:lymphatic: 0.46, Endothelial_cells:lymphatic:TNFa_48h: 0.46, Endothelial_cells:blood_vessel: 0.44, Endothelial_cells:lymphatic:KSHV: 0.44, Endothelial_cells:HUVEC:VEGF: 0.44, Endothelial_cells:HUVEC:Serum_Amyloid_A: 0.44, Endothelial_cells:HUVEC: 0.44, Endothelial_cells:HUVEC:IL-1b: 0.43, Endothelial_cells:HUVEC:B._anthracis_LT: 0.42, Endothelial_cells:HUVEC:PR8-infected: 0.42 |
R48a_w14.5_ACTGTCCGTCTTTATC-1 | Endothelial_cells:lymphatic:TNFa_48h | 0.16 | 276.93 | Raw ScoresEndothelial_cells:lymphatic:TNFa_48h: 0.4, Endothelial_cells:lymphatic: 0.4, Endothelial_cells:lymphatic:KSHV: 0.39, Endothelial_cells:blood_vessel: 0.38, Endothelial_cells:HUVEC: 0.37, Endothelial_cells:HUVEC:VEGF: 0.37, Endothelial_cells:HUVEC:Serum_Amyloid_A: 0.37, Endothelial_cells:HUVEC:IL-1b: 0.37, Endothelial_cells:HUVEC:PR8-infected: 0.37, Endothelial_cells:HUVEC:FPV-infected: 0.36 |
R53a_w9.5_AATGACCAGCTCCACG-1 | Endothelial_cells:blood_vessel | 0.16 | 275.30 | Raw ScoresEndothelial_cells:lymphatic: 0.39, Endothelial_cells:lymphatic:TNFa_48h: 0.39, Endothelial_cells:lymphatic:KSHV: 0.38, Endothelial_cells:blood_vessel: 0.38, Endothelial_cells:HUVEC:VEGF: 0.37, Endothelial_cells:HUVEC:Serum_Amyloid_A: 0.36, Endothelial_cells:HUVEC: 0.36, Endothelial_cells:HUVEC:IL-1b: 0.35, Endothelial_cells:HUVEC:B._anthracis_LT: 0.35, Endothelial_cells:HUVEC:FPV-infected: 0.35 |
R53c_w9.5_TCTATACGTCAATGGG-1 | Endothelial_cells:lymphatic | 0.18 | 274.74 | Raw ScoresEndothelial_cells:lymphatic: 0.46, Endothelial_cells:lymphatic:TNFa_48h: 0.45, Endothelial_cells:HUVEC: 0.45, Endothelial_cells:HUVEC:VEGF: 0.44, Endothelial_cells:lymphatic:KSHV: 0.44, Endothelial_cells:blood_vessel: 0.44, Endothelial_cells:HUVEC:Serum_Amyloid_A: 0.44, Endothelial_cells:HUVEC:IL-1b: 0.43, Smooth_muscle_cells:vascular: 0.43, Endothelial_cells:HUVEC:FPV-infected: 0.42 |
R53c_w9.5_TGCGGCATCTCGAACA-1 | Endothelial_cells:blood_vessel | 0.14 | 273.33 | Raw ScoresEndothelial_cells:lymphatic:TNFa_48h: 0.47, Endothelial_cells:lymphatic: 0.47, Endothelial_cells:lymphatic:KSHV: 0.46, Endothelial_cells:blood_vessel: 0.46, Endothelial_cells:HUVEC:Serum_Amyloid_A: 0.44, Endothelial_cells:HUVEC:IL-1b: 0.44, Endothelial_cells:HUVEC: 0.43, Endothelial_cells:HUVEC:B._anthracis_LT: 0.43, Endothelial_cells:HUVEC:VEGF: 0.43, Endothelial_cells:HUVEC:PR8-infected: 0.43 |
R48c_w8.5_GTTCTATGTACAGCGA-1 | Endothelial_cells:lymphatic:KSHV | 0.18 | 270.24 | Raw ScoresEndothelial_cells:lymphatic: 0.43, Endothelial_cells:lymphatic:TNFa_48h: 0.43, Endothelial_cells:lymphatic:KSHV: 0.43, Endothelial_cells:blood_vessel: 0.42, Endothelial_cells:HUVEC:VEGF: 0.41, Endothelial_cells:HUVEC:Serum_Amyloid_A: 0.41, Endothelial_cells:HUVEC: 0.41, Endothelial_cells:HUVEC:IL-1b: 0.4, Endothelial_cells:HUVEC:FPV-infected: 0.4, Endothelial_cells:HUVEC:PR8-infected: 0.39 |
R48c_w8.5_CTAACTTAGATGCGAC-1 | Endothelial_cells:blood_vessel | 0.16 | 270.06 | Raw ScoresEndothelial_cells:lymphatic: 0.4, Endothelial_cells:lymphatic:TNFa_48h: 0.4, Endothelial_cells:lymphatic:KSHV: 0.39, Endothelial_cells:blood_vessel: 0.39, Endothelial_cells:HUVEC:Serum_Amyloid_A: 0.37, Endothelial_cells:HUVEC:IL-1b: 0.37, Endothelial_cells:HUVEC: 0.37, Endothelial_cells:HUVEC:VEGF: 0.37, Endothelial_cells:HUVEC:PR8-infected: 0.36, Endothelial_cells:HUVEC:H5N1-infected: 0.36 |
R48c_w8.5_CCAATGAAGTGATAGT-1 | Endothelial_cells:lymphatic:KSHV | 0.17 | 268.05 | Raw ScoresEndothelial_cells:lymphatic:TNFa_48h: 0.48, Endothelial_cells:HUVEC: 0.47, Endothelial_cells:lymphatic:KSHV: 0.47, Endothelial_cells:HUVEC:IL-1b: 0.47, Endothelial_cells:HUVEC:VEGF: 0.47, Endothelial_cells:lymphatic: 0.46, Endothelial_cells:HUVEC:PR8-infected: 0.46, Endothelial_cells:HUVEC:Serum_Amyloid_A: 0.46, Endothelial_cells:HUVEC:H5N1-infected: 0.46, Endothelial_cells:HUVEC:FPV-infected: 0.45 |
R53b_w11.5_CTAACTTAGACATATG-1 | Endothelial_cells:lymphatic:KSHV | 0.16 | 267.96 | Raw ScoresEndothelial_cells:lymphatic: 0.45, Endothelial_cells:lymphatic:TNFa_48h: 0.44, Endothelial_cells:blood_vessel: 0.43, Endothelial_cells:lymphatic:KSHV: 0.43, Endothelial_cells:HUVEC:Serum_Amyloid_A: 0.41, Endothelial_cells:HUVEC:VEGF: 0.41, Endothelial_cells:HUVEC: 0.41, Endothelial_cells:HUVEC:IL-1b: 0.41, Endothelial_cells:HUVEC:B._anthracis_LT: 0.4, Endothelial_cells:HUVEC:PR8-infected: 0.4 |
R53c_w9.5_TGACCCTTCCACACAA-1 | Endothelial_cells:lymphatic:KSHV | 0.17 | 267.17 | Raw ScoresEndothelial_cells:lymphatic:TNFa_48h: 0.47, Endothelial_cells:HUVEC:VEGF: 0.46, Endothelial_cells:HUVEC: 0.46, Endothelial_cells:HUVEC:IL-1b: 0.45, Endothelial_cells:lymphatic:KSHV: 0.45, Endothelial_cells:lymphatic: 0.45, Endothelial_cells:HUVEC:Serum_Amyloid_A: 0.45, Endothelial_cells:HUVEC:PR8-infected: 0.44, Endothelial_cells:HUVEC:H5N1-infected: 0.43, Endothelial_cells:HUVEC:B._anthracis_LT: 0.43 |
Below shows the significant enrichments of this GEP for literature curated gene lists
  This data was procured from existing single cell RNA-seq maps of neuroblastoma or related relevant data.
  High ranks indicate this gene is a driver of this GEP.
  These curated gene list are ranked by the P-value (on this GEP) of their constituent genes.
  The Mean Count column shows the mean read count in cells scoring highly (H > 50) on this gene expression program.
Genes | Weight | Rank | GTEx | DepMap | Decartes | Mean.Counts | Mean.TPM |
---|---|---|---|---|---|---|---|
ADAMTS1 | 0.0089381 | 56 | GTEx | DepMap | Descartes | 1.94 | 134.19 |
SPRY1 | 0.0088429 | 62 | GTEx | DepMap | Descartes | 4.56 | 557.71 |
MCF2L | 0.0082763 | 87 | GTEx | DepMap | Descartes | 0.95 | 52.74 |
GJA1 | 0.0075635 | 123 | GTEx | DepMap | Descartes | 3.00 | 315.68 |
DUSP6 | 0.0075262 | 125 | GTEx | DepMap | Descartes | 4.34 | 384.58 |
THBD | 0.0072393 | 136 | GTEx | DepMap | Descartes | 0.71 | 61.03 |
IVNS1ABP | 0.0064612 | 184 | GTEx | DepMap | Descartes | 2.20 | 172.94 |
CLIC4 | 0.0062960 | 196 | GTEx | DepMap | Descartes | 1.66 | 116.52 |
FAM102A | 0.0038538 | 638 | GTEx | DepMap | Descartes | 0.93 | 70.13 |
RHOB | 0.0033017 | 835 | GTEx | DepMap | Descartes | 3.37 | 443.10 |
MECOM | 0.0021558 | 1727 | GTEx | DepMap | Descartes | 0.25 | 15.09 |
SHROOM2 | 0.0020415 | 1852 | GTEx | DepMap | Descartes | 0.14 | 6.47 |
MARCKSL1 | 0.0019421 | 1973 | GTEx | DepMap | Descartes | 5.68 | 1052.44 |
LFNG | 0.0010220 | 3953 | GTEx | DepMap | Descartes | 0.08 | 11.54 |
TM4SF1 | 0.0002621 | 7936 | GTEx | DepMap | Descartes | 4.92 | 455.16 |
HES1 | 0.0002382 | 8197 | GTEx | DepMap | Descartes | 7.06 | 1359.67 |
IGFBP3 | 0.0000928 | 10065 | GTEx | DepMap | Descartes | 1.22 | 130.95 |
JAG1 | -0.0006047 | 23564 | GTEx | DepMap | Descartes | 0.16 | 8.37 |
FBLN2 | -0.0006412 | 23718 | GTEx | DepMap | Descartes | 0.04 | 1.97 |
CDK1 | -0.0016266 | 25371 | GTEx | DepMap | Descartes | 0.96 | 98.94 |
Endothelium (Kameneva)
Marker gene were obtained from Fig. 1D of Kameneva et al (PMID 33833454). These genes were used by the authors to annotate each cell type in their human fetal adrenal scRNA-seq data obtained 6, 8, 9, 11, 12 and 14 weeks post conception.:
Wilcoxon ranksum test P-value for gene set overrepresentation: 1.29e-05
Mean rank of genes in gene set: 107.67
Rank on gene expression program of genes in gene set:
Genes | Weight | Rank | GTEx | DepMap | Decartes | Mean.Counts | Mean.TPM |
---|---|---|---|---|---|---|---|
FLT1 | 0.0164743 | 2 | GTEx | DepMap | Descartes | 12.15 | 578.56 |
PECAM1 | 0.0110125 | 28 | GTEx | DepMap | Descartes | 3.43 | 168.97 |
KDR | 0.0105073 | 33 | GTEx | DepMap | Descartes | 7.49 | 418.31 |
PRCP | 0.0091228 | 49 | GTEx | DepMap | Descartes | 7.03 | 309.73 |
EGFL7 | 0.0072876 | 133 | GTEx | DepMap | Descartes | 13.16 | 1969.35 |
CAVIN2 | 0.0048014 | 401 | GTEx | DepMap | Descartes | 11.55 | NA |
Vascular (Kildisiute)
Vascular markers obtained from Kildisiute et al, Supplmenentary Table 2, references supporting these genes are provided in Supp Table S2 of Kildisiute et al (PMID 33547074) https://www.science.org/doi/suppl/10.1126/sciadv.abd3311/suppl_file/abd3311_tables_s1_to_s12.xlsx:
Wilcoxon ranksum test P-value for gene set overrepresentation: 2.74e-04
Mean rank of genes in gene set: 29.25
Rank on gene expression program of genes in gene set:
Genes | Weight | Rank | GTEx | DepMap | Decartes | Mean.Counts | Mean.TPM |
---|---|---|---|---|---|---|---|
PTPRB | 0.0119822 | 19 | GTEx | DepMap | Descartes | 2.71 | 76.62 |
PECAM1 | 0.0110125 | 28 | GTEx | DepMap | Descartes | 3.43 | 168.97 |
KDR | 0.0105073 | 33 | GTEx | DepMap | Descartes | 7.49 | 418.31 |
PLVAP | 0.0103154 | 37 | GTEx | DepMap | Descartes | 7.30 | 1021.04 |
Below shows ranks on this GEP for literature curated gene lists for large gene sets
  These include those reported as mesenchymal/adrenergic by Van Groningen et al.
  High ranks indicate this gene is a driver of this GEP (note these results are not ordered).
  The Mean Count column shows the mean read count in cells scoring highly (H > 50) on this gene expression program.
VanGroningen Adrenergic Genes
Adrenergic marker genes from Supplementary Table 2 of Van Groningen et al. Nature Genetics 2017. These genes were identified by differential expression analysis of mesenchymal-like and adrenergic-like neuroblastoma cell lines.
Wilcoxon ranksum test P-value for gene set overrepresentation: 1.00e+00
Mean rank of genes in gene set: 16775.89
Median rank of genes in gene set: 21899
Rank on gene expression program of top 30 genes in gene set:
Genes | Weight | Rank | GTEx | DepMap | Descartes | Mean.Counts | Mean.TPM |
---|---|---|---|---|---|---|---|
AKAP12 | 0.0081890 | 91 | GTEx | DepMap | Descartes | 13.74 | 498.18 |
ARHGEF7 | 0.0075670 | 122 | GTEx | DepMap | Descartes | 1.35 | 83.31 |
GRB10 | 0.0068927 | 149 | GTEx | DepMap | Descartes | 1.11 | 68.16 |
CCND1 | 0.0061178 | 209 | GTEx | DepMap | Descartes | 3.29 | 239.60 |
KLF7 | 0.0057652 | 241 | GTEx | DepMap | Descartes | 0.73 | 29.42 |
SOX11 | 0.0049000 | 379 | GTEx | DepMap | Descartes | 0.54 | 21.66 |
RPS6KA2 | 0.0048887 | 383 | GTEx | DepMap | Descartes | 0.39 | 22.77 |
SATB1 | 0.0048502 | 390 | GTEx | DepMap | Descartes | 0.44 | 20.67 |
THSD7A | 0.0046003 | 445 | GTEx | DepMap | Descartes | 0.90 | 30.00 |
NCOA7 | 0.0039909 | 591 | GTEx | DepMap | Descartes | 2.25 | NA |
TSPAN13 | 0.0036491 | 700 | GTEx | DepMap | Descartes | 1.30 | 214.83 |
KLF13 | 0.0036113 | 718 | GTEx | DepMap | Descartes | 0.57 | 28.05 |
DPYSL2 | 0.0036077 | 720 | GTEx | DepMap | Descartes | 1.44 | 88.10 |
PPP1R9A | 0.0034535 | 772 | GTEx | DepMap | Descartes | 0.81 | 27.60 |
RBMS3 | 0.0031893 | 886 | GTEx | DepMap | Descartes | 0.74 | 29.45 |
RALGDS | 0.0031850 | 887 | GTEx | DepMap | Descartes | 0.41 | 24.58 |
EXOC5 | 0.0031722 | 895 | GTEx | DepMap | Descartes | 0.80 | 23.81 |
GNB1 | 0.0031631 | 903 | GTEx | DepMap | Descartes | 1.99 | 192.74 |
RNF144A | 0.0031210 | 935 | GTEx | DepMap | Descartes | 0.48 | 28.05 |
KIDINS220 | 0.0030412 | 976 | GTEx | DepMap | Descartes | 0.82 | 31.61 |
LYN | 0.0027280 | 1183 | GTEx | DepMap | Descartes | 0.49 | 25.72 |
FAM107B | 0.0026405 | 1248 | GTEx | DepMap | Descartes | 0.79 | 62.60 |
C14orf132 | 0.0025831 | 1294 | GTEx | DepMap | Descartes | 0.33 | 14.69 |
CLASP2 | 0.0025649 | 1316 | GTEx | DepMap | Descartes | 0.39 | 19.14 |
CD200 | 0.0025220 | 1346 | GTEx | DepMap | Descartes | 0.42 | 62.38 |
SETD7 | 0.0025081 | 1363 | GTEx | DepMap | Descartes | 0.28 | 12.29 |
SLC35G2 | 0.0024065 | 1470 | GTEx | DepMap | Descartes | 0.35 | NA |
KLC1 | 0.0023406 | 1549 | GTEx | DepMap | Descartes | 0.55 | 11.90 |
CRMP1 | 0.0021884 | 1689 | GTEx | DepMap | Descartes | 0.36 | 36.47 |
CCNI | 0.0021004 | 1787 | GTEx | DepMap | Descartes | 2.45 | 266.94 |
VanGroningen Mesenchymal Genes
Mesenchymal marker genes from Supplementary Table 2 of Van Groningen et al. Nature Genetics 2017. These genes were identified by differential expression analysis of mesenchymal-like and adrenergic-like neuroblastoma cell lines.
Wilcoxon ranksum test P-value for gene set overrepresentation: 1.58e-18
Mean rank of genes in gene set: 9963.66
Median rank of genes in gene set: 4879
Rank on gene expression program of top 30 genes in gene set:
Genes | Weight | Rank | GTEx | DepMap | Descartes | Mean.Counts | Mean.TPM |
---|---|---|---|---|---|---|---|
A2M | 0.0137509 | 7 | GTEx | DepMap | Descartes | 7.48 | 552.73 |
COL4A1 | 0.0122363 | 17 | GTEx | DepMap | Descartes | 3.77 | 193.75 |
IL6ST | 0.0112536 | 26 | GTEx | DepMap | Descartes | 4.61 | 173.86 |
TGFBR2 | 0.0105438 | 32 | GTEx | DepMap | Descartes | 5.56 | 306.36 |
ETS1 | 0.0095336 | 44 | GTEx | DepMap | Descartes | 2.69 | 168.27 |
SEC14L1 | 0.0095260 | 45 | GTEx | DepMap | Descartes | 5.05 | 282.18 |
PRCP | 0.0091228 | 49 | GTEx | DepMap | Descartes | 7.03 | 309.73 |
ELK3 | 0.0090500 | 50 | GTEx | DepMap | Descartes | 3.19 | 247.25 |
LIFR | 0.0089844 | 54 | GTEx | DepMap | Descartes | 2.62 | 82.10 |
SPRY1 | 0.0088429 | 62 | GTEx | DepMap | Descartes | 4.56 | 557.71 |
PLK2 | 0.0087656 | 64 | GTEx | DepMap | Descartes | 3.52 | 396.23 |
PTPRG | 0.0085844 | 73 | GTEx | DepMap | Descartes | 1.25 | 45.91 |
COL4A2 | 0.0084383 | 78 | GTEx | DepMap | Descartes | 2.50 | 126.49 |
NES | 0.0083841 | 81 | GTEx | DepMap | Descartes | 1.32 | 76.15 |
APP | 0.0083496 | 82 | GTEx | DepMap | Descartes | 4.61 | 419.86 |
LPP | 0.0083256 | 85 | GTEx | DepMap | Descartes | 1.65 | 31.43 |
SERPINH1 | 0.0083101 | 86 | GTEx | DepMap | Descartes | 5.01 | 438.08 |
JAM3 | 0.0082101 | 89 | GTEx | DepMap | Descartes | 2.53 | 216.78 |
SPRY4 | 0.0080571 | 97 | GTEx | DepMap | Descartes | 0.91 | 56.73 |
IGFBP5 | 0.0080242 | 98 | GTEx | DepMap | Descartes | 25.02 | 1242.23 |
QKI | 0.0079282 | 102 | GTEx | DepMap | Descartes | 3.33 | 115.25 |
GSN | 0.0079019 | 105 | GTEx | DepMap | Descartes | 5.00 | 250.75 |
NID1 | 0.0078169 | 106 | GTEx | DepMap | Descartes | 4.37 | 237.87 |
PLPP1 | 0.0078121 | 107 | GTEx | DepMap | Descartes | 3.07 | NA |
SASH1 | 0.0076993 | 112 | GTEx | DepMap | Descartes | 1.36 | 62.09 |
ITGB1 | 0.0076223 | 117 | GTEx | DepMap | Descartes | 6.39 | 521.82 |
GJA1 | 0.0075635 | 123 | GTEx | DepMap | Descartes | 3.00 | 315.68 |
DUSP6 | 0.0075262 | 125 | GTEx | DepMap | Descartes | 4.34 | 384.58 |
EMP1 | 0.0072957 | 130 | GTEx | DepMap | Descartes | 1.15 | 64.77 |
SGK1 | 0.0071571 | 138 | GTEx | DepMap | Descartes | 2.58 | 155.57 |
Descartes adrenocortical markers
Top 50 marker genes of adrenocortical cells in the Decartes fetal adrenal single cell map (https://atlas.brotmanbaty.org/bbi/human-gene-expression-during-development/cell/adrenocortical/in/adrenal)
Wilcoxon ranksum test P-value for gene set overrepresentation: 1.00e+00
Mean rank of genes in gene set: 21294.24
Median rank of genes in gene set: 24684.5
Rank on gene expression program of top 30 genes in gene set:
Genes | Weight | Rank | GTEx | DepMap | Descartes | Mean.Counts | Mean.TPM |
---|---|---|---|---|---|---|---|
PDE10A | 0.0032933 | 837 | GTEx | DepMap | Descartes | 0.31 | 11.85 |
IGF1R | 0.0022158 | 1659 | GTEx | DepMap | Descartes | 0.63 | 17.69 |
SH3BP5 | 0.0019783 | 1936 | GTEx | DepMap | Descartes | 3.51 | 313.19 |
LDLR | 0.0009431 | 4229 | GTEx | DepMap | Descartes | 0.63 | 38.03 |
NPC1 | 0.0003601 | 7129 | GTEx | DepMap | Descartes | 0.10 | 6.93 |
CYB5B | 0.0002822 | 7756 | GTEx | DepMap | Descartes | 0.73 | 51.83 |
SGCZ | -0.0000377 | 13492 | GTEx | DepMap | Descartes | 0.00 | 0.00 |
SH3PXD2B | -0.0001342 | 17873 | GTEx | DepMap | Descartes | 0.07 | 2.93 |
PAPSS2 | -0.0001714 | 18976 | GTEx | DepMap | Descartes | 0.29 | 20.68 |
BAIAP2L1 | -0.0002556 | 20648 | GTEx | DepMap | Descartes | 0.04 | 3.75 |
FRMD5 | -0.0003673 | 21993 | GTEx | DepMap | Descartes | 0.01 | 0.28 |
SLC1A2 | -0.0003889 | 22200 | GTEx | DepMap | Descartes | 0.00 | 0.06 |
SCAP | -0.0004509 | 22687 | GTEx | DepMap | Descartes | 0.24 | 18.13 |
SLC2A14 | -0.0004654 | 22790 | GTEx | DepMap | Descartes | 0.01 | 0.29 |
FREM2 | -0.0004762 | 22864 | GTEx | DepMap | Descartes | 0.01 | 0.17 |
DNER | -0.0004888 | 22949 | GTEx | DepMap | Descartes | 0.01 | 0.39 |
HMGCR | -0.0005121 | 23088 | GTEx | DepMap | Descartes | 0.42 | 26.92 |
DHCR7 | -0.0006710 | 23834 | GTEx | DepMap | Descartes | 0.24 | 26.55 |
CLU | -0.0006734 | 23847 | GTEx | DepMap | Descartes | 0.13 | 11.73 |
FDPS | -0.0008897 | 24503 | GTEx | DepMap | Descartes | 2.41 | 319.16 |
ERN1 | -0.0008944 | 24514 | GTEx | DepMap | Descartes | 0.14 | 5.45 |
LINC00473 | -0.0009101 | 24551 | GTEx | DepMap | Descartes | 0.03 | NA |
CYP17A1 | -0.0009492 | 24630 | GTEx | DepMap | Descartes | 0.40 | 29.78 |
CYP11B1 | -0.0010140 | 24739 | GTEx | DepMap | Descartes | 0.17 | 11.30 |
SCARB1 | -0.0010535 | 24804 | GTEx | DepMap | Descartes | 0.30 | 14.65 |
HMGCS1 | -0.0010698 | 24830 | GTEx | DepMap | Descartes | 0.58 | 32.32 |
CYP21A2 | -0.0010929 | 24867 | GTEx | DepMap | Descartes | 0.16 | 13.09 |
SULT2A1 | -0.0011464 | 24940 | GTEx | DepMap | Descartes | 0.23 | 25.24 |
MC2R | -0.0012916 | 25106 | GTEx | DepMap | Descartes | 0.03 | 2.73 |
SLC16A9 | -0.0013419 | 25151 | GTEx | DepMap | Descartes | 0.03 | 1.87 |
Descartes chromaffin markers
Top 50 marker genes of chromaffin cells in the Decartes fetal adrenal single cell map (https://atlas.brotmanbaty.org/bbi/human-gene-expression-during-development/cell/chromaffin/in/adrenal)
Wilcoxon ranksum test P-value for gene set overrepresentation: 1.00e+00
Mean rank of genes in gene set: 20881.8
Median rank of genes in gene set: 22695
Rank on gene expression program of top 30 genes in gene set:
Genes | Weight | Rank | GTEx | DepMap | Descartes | Mean.Counts | Mean.TPM |
---|---|---|---|---|---|---|---|
CCND1 | 0.0061178 | 209 | GTEx | DepMap | Descartes | 3.29 | 239.60 |
MAP1B | 0.0009383 | 4243 | GTEx | DepMap | Descartes | 0.81 | 20.83 |
ELAVL2 | 0.0004268 | 6699 | GTEx | DepMap | Descartes | 0.12 | 10.74 |
RGMB | 0.0003860 | 6959 | GTEx | DepMap | Descartes | 0.09 | 6.08 |
EPHA6 | -0.0001459 | 18270 | GTEx | DepMap | Descartes | 0.00 | 0.06 |
TUBB2A | -0.0001605 | 18705 | GTEx | DepMap | Descartes | 0.58 | 100.10 |
MARCH11 | -0.0001911 | 19442 | GTEx | DepMap | Descartes | 0.01 | NA |
KCNB2 | -0.0002172 | 19988 | GTEx | DepMap | Descartes | 0.00 | 0.03 |
SLC44A5 | -0.0002216 | 20069 | GTEx | DepMap | Descartes | 0.00 | 0.19 |
ANKFN1 | -0.0002219 | 20076 | GTEx | DepMap | Descartes | 0.00 | 0.00 |
NTRK1 | -0.0002560 | 20653 | GTEx | DepMap | Descartes | 0.00 | 0.24 |
RYR2 | -0.0002613 | 20730 | GTEx | DepMap | Descartes | 0.00 | 0.02 |
HS3ST5 | -0.0002791 | 20977 | GTEx | DepMap | Descartes | 0.00 | 0.01 |
GREM1 | -0.0003075 | 21332 | GTEx | DepMap | Descartes | 0.01 | 0.20 |
ALK | -0.0003187 | 21460 | GTEx | DepMap | Descartes | 0.00 | 0.03 |
REEP1 | -0.0003273 | 21558 | GTEx | DepMap | Descartes | 0.03 | 1.95 |
HMX1 | -0.0003681 | 22002 | GTEx | DepMap | Descartes | 0.00 | 0.26 |
TMEM132C | -0.0003744 | 22065 | GTEx | DepMap | Descartes | 0.00 | 0.07 |
RPH3A | -0.0003765 | 22093 | GTEx | DepMap | Descartes | 0.00 | 0.09 |
EYA4 | -0.0003828 | 22146 | GTEx | DepMap | Descartes | 0.00 | 0.17 |
PTCHD1 | -0.0003960 | 22257 | GTEx | DepMap | Descartes | 0.00 | 0.09 |
TMEFF2 | -0.0004116 | 22402 | GTEx | DepMap | Descartes | 0.00 | 0.23 |
CNKSR2 | -0.0004959 | 22988 | GTEx | DepMap | Descartes | 0.00 | 0.09 |
NPY | -0.0005042 | 23038 | GTEx | DepMap | Descartes | 0.02 | 7.97 |
SLC6A2 | -0.0005120 | 23086 | GTEx | DepMap | Descartes | 0.01 | 0.37 |
IL7 | -0.0005205 | 23145 | GTEx | DepMap | Descartes | 0.00 | 0.31 |
FAT3 | -0.0005354 | 23230 | GTEx | DepMap | Descartes | 0.00 | 0.03 |
EYA1 | -0.0005415 | 23259 | GTEx | DepMap | Descartes | 0.00 | 0.24 |
PRPH | -0.0005513 | 23312 | GTEx | DepMap | Descartes | 0.02 | 2.75 |
PLXNA4 | -0.0005631 | 23375 | GTEx | DepMap | Descartes | 0.01 | 0.09 |
Descartes Vascular_endothelial markers
Top 50 marker genes of Vascular_endothelial cells in the Decartes fetal adrenal single cell map (https://atlas.brotmanbaty.org/bbi/human-gene-expression-during-development/cell/vascular_endothelial/in/adrenal)
Wilcoxon ranksum test P-value for gene set overrepresentation: 2.40e-23
Mean rank of genes in gene set: 1810.98
Median rank of genes in gene set: 132.5
Rank on gene expression program of top 30 genes in gene set:
Genes | Weight | Rank | GTEx | DepMap | Descartes | Mean.Counts | Mean.TPM |
---|---|---|---|---|---|---|---|
BTNL9 | 0.0147846 | 3 | GTEx | DepMap | Descartes | 4.50 | 496.37 |
F8 | 0.0147638 | 4 | GTEx | DepMap | Descartes | 4.83 | 180.14 |
EFNB2 | 0.0132069 | 9 | GTEx | DepMap | Descartes | 4.28 | 297.49 |
NOTCH4 | 0.0129664 | 11 | GTEx | DepMap | Descartes | 2.62 | 144.70 |
APLNR | 0.0122296 | 18 | GTEx | DepMap | Descartes | 2.02 | 192.22 |
PTPRB | 0.0119822 | 19 | GTEx | DepMap | Descartes | 2.71 | 76.62 |
CDH5 | 0.0117679 | 20 | GTEx | DepMap | Descartes | 4.93 | 396.31 |
CHRM3 | 0.0117627 | 21 | GTEx | DepMap | Descartes | 1.22 | 51.01 |
EHD3 | 0.0117594 | 22 | GTEx | DepMap | Descartes | 6.62 | 421.14 |
CALCRL | 0.0113223 | 24 | GTEx | DepMap | Descartes | 4.84 | 259.97 |
ARHGAP29 | 0.0112983 | 25 | GTEx | DepMap | Descartes | 5.01 | 184.23 |
TIE1 | 0.0107264 | 30 | GTEx | DepMap | Descartes | 1.98 | 171.10 |
KDR | 0.0105073 | 33 | GTEx | DepMap | Descartes | 7.49 | 418.31 |
PODXL | 0.0104399 | 34 | GTEx | DepMap | Descartes | 2.92 | 167.75 |
PLVAP | 0.0103154 | 37 | GTEx | DepMap | Descartes | 7.30 | 1021.04 |
SHANK3 | 0.0095496 | 42 | GTEx | DepMap | Descartes | 1.61 | 69.92 |
SLCO2A1 | 0.0090117 | 51 | GTEx | DepMap | Descartes | 1.24 | 100.53 |
ROBO4 | 0.0086313 | 70 | GTEx | DepMap | Descartes | 1.99 | 153.38 |
FLT4 | 0.0083351 | 83 | GTEx | DepMap | Descartes | 1.52 | 91.54 |
MMRN2 | 0.0081811 | 93 | GTEx | DepMap | Descartes | 2.22 | 175.72 |
TEK | 0.0077353 | 111 | GTEx | DepMap | Descartes | 1.82 | 128.93 |
RASIP1 | 0.0076755 | 114 | GTEx | DepMap | Descartes | 2.09 | 208.85 |
CYP26B1 | 0.0068743 | 151 | GTEx | DepMap | Descartes | 3.02 | 213.99 |
NPR1 | 0.0068122 | 155 | GTEx | DepMap | Descartes | 1.76 | 135.27 |
SHE | 0.0067460 | 159 | GTEx | DepMap | Descartes | 1.13 | 55.54 |
RAMP2 | 0.0066461 | 170 | GTEx | DepMap | Descartes | 9.49 | 3297.86 |
CEACAM1 | 0.0054967 | 275 | GTEx | DepMap | Descartes | 1.49 | 139.78 |
IRX3 | 0.0054927 | 276 | GTEx | DepMap | Descartes | 1.64 | 200.15 |
KANK3 | 0.0052684 | 303 | GTEx | DepMap | Descartes | 2.10 | 232.20 |
TM4SF18 | 0.0046244 | 443 | GTEx | DepMap | Descartes | 4.46 | 340.83 |
Descartes stromal markers
Top 50 marker genes of stromal cells in the Decartes fetal adrenal single cell map (https://atlas.brotmanbaty.org/bbi/human-gene-expression-during-development/cell/stromal/in/adrenal)
Wilcoxon ranksum test P-value for gene set overrepresentation: 1.00e+00
Mean rank of genes in gene set: 20729.18
Median rank of genes in gene set: 22842
Rank on gene expression program of top 30 genes in gene set:
Genes | Weight | Rank | GTEx | DepMap | Descartes | Mean.Counts | Mean.TPM |
---|---|---|---|---|---|---|---|
FNDC1 | 0.0036711 | 690 | GTEx | DepMap | Descartes | 0.12 | 6.82 |
CD248 | 0.0010450 | 3872 | GTEx | DepMap | Descartes | 0.13 | 18.39 |
MXRA5 | 0.0003033 | 7569 | GTEx | DepMap | Descartes | 0.05 | 1.76 |
PRICKLE1 | 0.0003016 | 7586 | GTEx | DepMap | Descartes | 0.07 | 4.29 |
FREM1 | 0.0001409 | 9333 | GTEx | DepMap | Descartes | 0.16 | 5.25 |
IGFBP3 | 0.0000928 | 10065 | GTEx | DepMap | Descartes | 1.22 | 130.95 |
POSTN | -0.0000670 | 15089 | GTEx | DepMap | Descartes | 0.25 | 20.84 |
ITGA11 | -0.0001098 | 17005 | GTEx | DepMap | Descartes | 0.01 | 0.24 |
SCARA5 | -0.0001548 | 18531 | GTEx | DepMap | Descartes | 0.00 | 0.12 |
COL27A1 | -0.0001608 | 18719 | GTEx | DepMap | Descartes | 0.02 | 0.64 |
LAMC3 | -0.0002004 | 19634 | GTEx | DepMap | Descartes | 0.05 | 1.89 |
ADAMTSL3 | -0.0002251 | 20132 | GTEx | DepMap | Descartes | 0.00 | 0.13 |
LOX | -0.0003044 | 21288 | GTEx | DepMap | Descartes | 0.02 | 0.96 |
COL12A1 | -0.0003198 | 21476 | GTEx | DepMap | Descartes | 0.07 | 1.39 |
ABCC9 | -0.0003572 | 21908 | GTEx | DepMap | Descartes | 0.01 | 0.41 |
GLI2 | -0.0003747 | 22067 | GTEx | DepMap | Descartes | 0.00 | 0.15 |
ZNF385D | -0.0003946 | 22244 | GTEx | DepMap | Descartes | 0.00 | 0.13 |
ADAMTS2 | -0.0004032 | 22327 | GTEx | DepMap | Descartes | 0.01 | 0.19 |
DKK2 | -0.0004044 | 22335 | GTEx | DepMap | Descartes | 0.01 | 0.39 |
HHIP | -0.0004166 | 22435 | GTEx | DepMap | Descartes | 0.01 | 0.42 |
PCDH18 | -0.0004353 | 22567 | GTEx | DepMap | Descartes | 0.03 | 1.43 |
CLDN11 | -0.0004366 | 22580 | GTEx | DepMap | Descartes | 0.03 | 3.83 |
ABCA6 | -0.0004533 | 22699 | GTEx | DepMap | Descartes | 0.01 | 0.21 |
ISLR | -0.0004612 | 22763 | GTEx | DepMap | Descartes | 0.03 | 3.57 |
PAMR1 | -0.0004733 | 22842 | GTEx | DepMap | Descartes | 0.01 | 0.69 |
ELN | -0.0004756 | 22858 | GTEx | DepMap | Descartes | 0.04 | 3.04 |
ACTA2 | -0.0005079 | 23060 | GTEx | DepMap | Descartes | 0.08 | 16.07 |
GAS2 | -0.0005202 | 23143 | GTEx | DepMap | Descartes | 0.00 | 0.38 |
CCDC102B | -0.0005262 | 23176 | GTEx | DepMap | Descartes | 0.03 | 3.39 |
COL1A1 | -0.0005542 | 23330 | GTEx | DepMap | Descartes | 0.53 | 19.79 |
Descartes sympathoblasts markers
Top 50 marker genes of sympathoblasts cells in the Decartes fetal adrenal single cell map (https://atlas.brotmanbaty.org/bbi/human-gene-expression-during-development/cell/sympathoblasts/in/adrenal)
Wilcoxon ranksum test P-value for gene set overrepresentation: 1.00e+00
Mean rank of genes in gene set: 18849.77
Median rank of genes in gene set: 21593
Rank on gene expression program of top 30 genes in gene set:
Genes | Weight | Rank | GTEx | DepMap | Descartes | Mean.Counts | Mean.TPM |
---|---|---|---|---|---|---|---|
TIAM1 | 0.0020511 | 1834 | GTEx | DepMap | Descartes | 0.58 | 26.68 |
ROBO1 | 0.0019790 | 1934 | GTEx | DepMap | Descartes | 0.29 | 13.04 |
FAM155A | 0.0016717 | 2353 | GTEx | DepMap | Descartes | 0.09 | 3.35 |
CCSER1 | 0.0015740 | 2544 | GTEx | DepMap | Descartes | 0.12 | NA |
SPOCK3 | 0.0008809 | 4455 | GTEx | DepMap | Descartes | 0.06 | 6.97 |
CDH18 | 0.0003539 | 7167 | GTEx | DepMap | Descartes | 0.01 | 0.95 |
GCH1 | 0.0002516 | 8047 | GTEx | DepMap | Descartes | 0.08 | 8.85 |
KCTD16 | 0.0000180 | 11485 | GTEx | DepMap | Descartes | 0.01 | 0.26 |
SLC35F3 | -0.0001091 | 16977 | GTEx | DepMap | Descartes | 0.00 | 0.04 |
EML6 | -0.0001103 | 17031 | GTEx | DepMap | Descartes | 0.01 | 0.25 |
CNTNAP5 | -0.0001200 | 17397 | GTEx | DepMap | Descartes | 0.00 | 0.01 |
SORCS3 | -0.0001283 | 17704 | GTEx | DepMap | Descartes | 0.00 | 0.04 |
CNTN3 | -0.0002232 | 20097 | GTEx | DepMap | Descartes | 0.00 | 0.11 |
TBX20 | -0.0002233 | 20102 | GTEx | DepMap | Descartes | 0.00 | 0.00 |
PNMT | -0.0002406 | 20393 | GTEx | DepMap | Descartes | 0.04 | 13.88 |
KSR2 | -0.0002930 | 21146 | GTEx | DepMap | Descartes | 0.00 | 0.03 |
PENK | -0.0003028 | 21267 | GTEx | DepMap | Descartes | 0.02 | 4.91 |
AGBL4 | -0.0003073 | 21328 | GTEx | DepMap | Descartes | 0.00 | 0.02 |
TMEM130 | -0.0003082 | 21338 | GTEx | DepMap | Descartes | 0.00 | 0.07 |
ST18 | -0.0003156 | 21426 | GTEx | DepMap | Descartes | 0.00 | 0.12 |
TENM1 | -0.0003161 | 21430 | GTEx | DepMap | Descartes | 0.00 | NA |
GALNTL6 | -0.0003203 | 21484 | GTEx | DepMap | Descartes | 0.00 | 0.00 |
LAMA3 | -0.0003382 | 21702 | GTEx | DepMap | Descartes | 0.00 | 0.06 |
SLC24A2 | -0.0003481 | 21821 | GTEx | DepMap | Descartes | 0.00 | 0.07 |
PACRG | -0.0003572 | 21907 | GTEx | DepMap | Descartes | 0.00 | 0.38 |
GRM7 | -0.0003651 | 21981 | GTEx | DepMap | Descartes | 0.00 | 0.21 |
PCSK2 | -0.0004067 | 22353 | GTEx | DepMap | Descartes | 0.00 | 0.17 |
CDH12 | -0.0004716 | 22834 | GTEx | DepMap | Descartes | 0.00 | 0.05 |
DGKK | -0.0004823 | 22907 | GTEx | DepMap | Descartes | 0.00 | 0.06 |
GRID2 | -0.0004862 | 22933 | GTEx | DepMap | Descartes | 0.00 | 0.28 |
Descartes erythroblasts markers
Top 50 marker genes of erythroblasts cells in the Decartes fetal adrenal single cell map (https://atlas.brotmanbaty.org/bbi/human-gene-expression-during-development/cell/erythroblasts/in/adrenal)
Wilcoxon ranksum test P-value for gene set overrepresentation: 1.00e+00
Mean rank of genes in gene set: 21777.35
Median rank of genes in gene set: 24774
Rank on gene expression program of top 30 genes in gene set:
Genes | Weight | Rank | GTEx | DepMap | Descartes | Mean.Counts | Mean.TPM |
---|---|---|---|---|---|---|---|
RAPGEF2 | 0.0024018 | 1472 | GTEx | DepMap | Descartes | 0.42 | 17.20 |
HECTD4 | 0.0011003 | 3706 | GTEx | DepMap | Descartes | 0.24 | NA |
DENND4A | 0.0008786 | 4467 | GTEx | DepMap | Descartes | 0.20 | 7.52 |
TRAK2 | 0.0006723 | 5295 | GTEx | DepMap | Descartes | 0.24 | 11.70 |
MARCH3 | 0.0006327 | 5466 | GTEx | DepMap | Descartes | 0.45 | NA |
XPO7 | 0.0000988 | 9967 | GTEx | DepMap | Descartes | 0.19 | 12.86 |
ABCB10 | 0.0000883 | 10145 | GTEx | DepMap | Descartes | 0.14 | 11.82 |
RGS6 | -0.0002462 | 20488 | GTEx | DepMap | Descartes | 0.01 | 0.64 |
SLC25A21 | -0.0003751 | 22077 | GTEx | DepMap | Descartes | 0.01 | 0.70 |
HBZ | -0.0004113 | 22399 | GTEx | DepMap | Descartes | 0.16 | 63.03 |
RHD | -0.0004723 | 22836 | GTEx | DepMap | Descartes | 0.00 | 0.29 |
TMCC2 | -0.0005073 | 23053 | GTEx | DepMap | Descartes | 0.03 | 2.27 |
CPOX | -0.0005251 | 23168 | GTEx | DepMap | Descartes | 0.27 | 27.56 |
TSPAN5 | -0.0005414 | 23258 | GTEx | DepMap | Descartes | 0.19 | 13.06 |
MICAL2 | -0.0005515 | 23316 | GTEx | DepMap | Descartes | 0.02 | 0.68 |
GCLC | -0.0006743 | 23850 | GTEx | DepMap | Descartes | 0.06 | 5.36 |
SPTB | -0.0007090 | 23961 | GTEx | DepMap | Descartes | 0.00 | 0.08 |
GYPE | -0.0007475 | 24080 | GTEx | DepMap | Descartes | 0.00 | 0.81 |
TFR2 | -0.0007666 | 24138 | GTEx | DepMap | Descartes | 0.00 | 0.33 |
SPTA1 | -0.0007829 | 24191 | GTEx | DepMap | Descartes | 0.02 | 0.57 |
ANK1 | -0.0008234 | 24331 | GTEx | DepMap | Descartes | 0.01 | 0.34 |
SLC4A1 | -0.0009418 | 24617 | GTEx | DepMap | Descartes | 0.06 | 3.14 |
SOX6 | -0.0009946 | 24704 | GTEx | DepMap | Descartes | 0.03 | 0.79 |
RHAG | -0.0010207 | 24755 | GTEx | DepMap | Descartes | 0.01 | 1.37 |
CR1L | -0.0010424 | 24793 | GTEx | DepMap | Descartes | 0.01 | 1.00 |
RHCE | -0.0010519 | 24803 | GTEx | DepMap | Descartes | 0.01 | 0.94 |
SLC25A37 | -0.0010578 | 24811 | GTEx | DepMap | Descartes | 1.70 | 113.44 |
CAT | -0.0010579 | 24812 | GTEx | DepMap | Descartes | 0.35 | 45.16 |
EPB41 | -0.0010889 | 24864 | GTEx | DepMap | Descartes | 0.14 | 6.19 |
TMEM56 | -0.0011091 | 24886 | GTEx | DepMap | Descartes | 0.01 | NA |
Descartes myeloid markers
Top 50 marker genes of myeloid cells in the Decartes fetal adrenal single cell map (https://atlas.brotmanbaty.org/bbi/human-gene-expression-during-development/cell/myeloid/in/adrenal)
Wilcoxon ranksum test P-value for gene set overrepresentation: 1.00e+00
Mean rank of genes in gene set: 18968.42
Median rank of genes in gene set: 23297
Rank on gene expression program of top 30 genes in gene set:
Genes | Weight | Rank | GTEx | DepMap | Descartes | Mean.Counts | Mean.TPM |
---|---|---|---|---|---|---|---|
PTPRE | 0.0027111 | 1199 | GTEx | DepMap | Descartes | 0.58 | 33.60 |
RGL1 | 0.0022396 | 1628 | GTEx | DepMap | Descartes | 0.52 | 32.42 |
IFNGR1 | 0.0015578 | 2575 | GTEx | DepMap | Descartes | 0.61 | 75.34 |
RNASE1 | 0.0013633 | 3004 | GTEx | DepMap | Descartes | 2.01 | 686.89 |
SFMBT2 | 0.0011511 | 3572 | GTEx | DepMap | Descartes | 0.14 | 6.47 |
SLC9A9 | 0.0011095 | 3681 | GTEx | DepMap | Descartes | 0.31 | 26.26 |
WWP1 | 0.0009641 | 4168 | GTEx | DepMap | Descartes | 0.32 | 21.10 |
FGL2 | 0.0005635 | 5830 | GTEx | DepMap | Descartes | 0.31 | 22.14 |
RBPJ | 0.0003608 | 7128 | GTEx | DepMap | Descartes | 0.70 | 36.84 |
CD74 | 0.0002780 | 7799 | GTEx | DepMap | Descartes | 1.27 | 124.56 |
MERTK | 0.0001851 | 8768 | GTEx | DepMap | Descartes | 0.11 | 10.25 |
CTSD | 0.0000309 | 11202 | GTEx | DepMap | Descartes | 1.22 | 183.40 |
HRH1 | -0.0001848 | 19309 | GTEx | DepMap | Descartes | 0.01 | 0.58 |
SPP1 | -0.0002282 | 20192 | GTEx | DepMap | Descartes | 0.05 | 7.66 |
MS4A4E | -0.0002351 | 20308 | GTEx | DepMap | Descartes | 0.00 | 0.00 |
CD163L1 | -0.0002866 | 21078 | GTEx | DepMap | Descartes | 0.00 | 0.25 |
ITPR2 | -0.0003064 | 21315 | GTEx | DepMap | Descartes | 0.25 | 6.38 |
HLA-DRB1 | -0.0003612 | 21947 | GTEx | DepMap | Descartes | 1.66 | 356.25 |
HCK | -0.0004514 | 22689 | GTEx | DepMap | Descartes | 0.00 | 0.65 |
FMN1 | -0.0004768 | 22869 | GTEx | DepMap | Descartes | 0.01 | 0.24 |
CTSB | -0.0004796 | 22887 | GTEx | DepMap | Descartes | 0.96 | 77.67 |
ADAP2 | -0.0004797 | 22888 | GTEx | DepMap | Descartes | 0.02 | 2.05 |
ATP8B4 | -0.0005038 | 23035 | GTEx | DepMap | Descartes | 0.00 | 0.18 |
MPEG1 | -0.0005425 | 23262 | GTEx | DepMap | Descartes | 0.01 | 0.60 |
SLCO2B1 | -0.0005486 | 23292 | GTEx | DepMap | Descartes | 0.01 | 0.42 |
MSR1 | -0.0005499 | 23302 | GTEx | DepMap | Descartes | 0.01 | 0.37 |
FGD2 | -0.0005641 | 23380 | GTEx | DepMap | Descartes | 0.01 | 0.45 |
MARCH1 | -0.0005670 | 23396 | GTEx | DepMap | Descartes | 0.01 | NA |
SLC1A3 | -0.0005913 | 23502 | GTEx | DepMap | Descartes | 0.01 | 0.48 |
MS4A4A | -0.0006082 | 23585 | GTEx | DepMap | Descartes | 0.01 | 1.21 |
Descartes Schwann markers
Top 50 marker genes of Schwann cells in the Decartes fetal adrenal single cell map (https://atlas.brotmanbaty.org/bbi/human-gene-expression-during-development/cell/schwann/in/adrenal)
Wilcoxon ranksum test P-value for gene set overrepresentation: 9.97e-01
Mean rank of genes in gene set: 15878.9
Median rank of genes in gene set: 21068
Rank on gene expression program of top 30 genes in gene set:
Genes | Weight | Rank | GTEx | DepMap | Descartes | Mean.Counts | Mean.TPM |
---|---|---|---|---|---|---|---|
EDNRB | 0.0141051 | 6 | GTEx | DepMap | Descartes | 5.77 | 412.18 |
NLGN4X | 0.0057298 | 245 | GTEx | DepMap | Descartes | 0.29 | 18.68 |
LAMC1 | 0.0044497 | 474 | GTEx | DepMap | Descartes | 0.87 | 34.96 |
MARCKS | 0.0038184 | 648 | GTEx | DepMap | Descartes | 7.93 | 564.39 |
COL18A1 | 0.0030805 | 958 | GTEx | DepMap | Descartes | 0.96 | 46.38 |
STARD13 | 0.0015275 | 2632 | GTEx | DepMap | Descartes | 0.19 | 10.47 |
OLFML2A | 0.0013207 | 3113 | GTEx | DepMap | Descartes | 0.20 | 10.56 |
LAMA4 | 0.0013203 | 3116 | GTEx | DepMap | Descartes | 0.75 | 31.72 |
ADAMTS5 | 0.0012137 | 3425 | GTEx | DepMap | Descartes | 0.08 | 2.36 |
PMP22 | 0.0006515 | 5389 | GTEx | DepMap | Descartes | 1.72 | 277.69 |
SOX5 | 0.0006370 | 5443 | GTEx | DepMap | Descartes | 0.05 | 2.73 |
HMGA2 | 0.0006295 | 5486 | GTEx | DepMap | Descartes | 0.63 | 24.42 |
SORCS1 | 0.0004180 | 6757 | GTEx | DepMap | Descartes | 0.02 | 0.97 |
SLC35F1 | 0.0003036 | 7566 | GTEx | DepMap | Descartes | 0.07 | 4.08 |
LAMB1 | 0.0002196 | 8380 | GTEx | DepMap | Descartes | 0.32 | 18.13 |
XKR4 | 0.0002169 | 8413 | GTEx | DepMap | Descartes | 0.01 | 0.19 |
IL1RAPL2 | 0.0000802 | 10296 | GTEx | DepMap | Descartes | 0.00 | 0.48 |
PAG1 | 0.0000389 | 11036 | GTEx | DepMap | Descartes | 0.08 | 2.79 |
COL25A1 | -0.0000847 | 15985 | GTEx | DepMap | Descartes | 0.03 | 1.15 |
MDGA2 | -0.0001540 | 18510 | GTEx | DepMap | Descartes | 0.00 | 0.15 |
GRIK3 | -0.0001997 | 19622 | GTEx | DepMap | Descartes | 0.00 | 0.01 |
MPZ | -0.0002142 | 19936 | GTEx | DepMap | Descartes | 0.01 | 1.84 |
LRRTM4 | -0.0002176 | 19999 | GTEx | DepMap | Descartes | 0.00 | 0.16 |
TRPM3 | -0.0002816 | 21008 | GTEx | DepMap | Descartes | 0.01 | 0.14 |
SOX10 | -0.0002855 | 21068 | GTEx | DepMap | Descartes | 0.00 | 0.14 |
CDH19 | -0.0003107 | 21367 | GTEx | DepMap | Descartes | 0.00 | 0.10 |
COL5A2 | -0.0003390 | 21713 | GTEx | DepMap | Descartes | 0.22 | 10.43 |
NRXN3 | -0.0003509 | 21842 | GTEx | DepMap | Descartes | 0.00 | 0.05 |
ERBB3 | -0.0003519 | 21855 | GTEx | DepMap | Descartes | 0.00 | 0.17 |
ERBB4 | -0.0003542 | 21885 | GTEx | DepMap | Descartes | 0.00 | 0.06 |
Descartes Megakaryocytes markers
Top 50 marker genes of Megakaryocytes cells in the Decartes fetal adrenal single cell map (https://atlas.brotmanbaty.org/bbi/human-gene-expression-during-development/cell/megakaryocytes/in/adrenal)
Wilcoxon ranksum test P-value for gene set overrepresentation: 1.74e-01
Mean rank of genes in gene set: 11908.45
Median rank of genes in gene set: 12812
Rank on gene expression program of top 30 genes in gene set:
Genes | Weight | Rank | GTEx | DepMap | Descartes | Mean.Counts | Mean.TPM |
---|---|---|---|---|---|---|---|
SLC2A3 | 0.0094781 | 46 | GTEx | DepMap | Descartes | 5.25 | 415.95 |
HIPK2 | 0.0085510 | 74 | GTEx | DepMap | Descartes | 1.58 | 36.47 |
GSN | 0.0079019 | 105 | GTEx | DepMap | Descartes | 5.00 | 250.75 |
MYH9 | 0.0067440 | 160 | GTEx | DepMap | Descartes | 1.83 | 77.26 |
UBASH3B | 0.0066164 | 172 | GTEx | DepMap | Descartes | 0.41 | 19.61 |
STOM | 0.0056308 | 258 | GTEx | DepMap | Descartes | 2.40 | 236.88 |
TPM4 | 0.0053412 | 296 | GTEx | DepMap | Descartes | 5.62 | 331.61 |
VCL | 0.0050697 | 345 | GTEx | DepMap | Descartes | 1.04 | 42.53 |
ZYX | 0.0044466 | 476 | GTEx | DepMap | Descartes | 0.76 | 108.39 |
TLN1 | 0.0035417 | 737 | GTEx | DepMap | Descartes | 1.77 | 61.92 |
CD9 | 0.0031701 | 897 | GTEx | DepMap | Descartes | 2.43 | 408.77 |
ACTB | 0.0031650 | 901 | GTEx | DepMap | Descartes | 33.98 | 4226.05 |
FLI1 | 0.0030424 | 975 | GTEx | DepMap | Descartes | 0.47 | 26.80 |
RAP1B | 0.0029921 | 1006 | GTEx | DepMap | Descartes | 3.44 | 75.52 |
FLNA | 0.0029152 | 1044 | GTEx | DepMap | Descartes | 1.29 | 45.91 |
TGFB1 | 0.0028714 | 1073 | GTEx | DepMap | Descartes | 1.07 | 118.30 |
LTBP1 | 0.0016996 | 2317 | GTEx | DepMap | Descartes | 0.23 | 12.22 |
DOK6 | 0.0014933 | 2700 | GTEx | DepMap | Descartes | 0.10 | 3.89 |
LIMS1 | 0.0012547 | 3290 | GTEx | DepMap | Descartes | 1.26 | 88.36 |
MYLK | 0.0011866 | 3484 | GTEx | DepMap | Descartes | 0.39 | 11.89 |
ARHGAP6 | 0.0011448 | 3584 | GTEx | DepMap | Descartes | 0.12 | 5.59 |
TMSB4X | 0.0004572 | 6470 | GTEx | DepMap | Descartes | 42.04 | 6725.44 |
INPP4B | 0.0001204 | 9617 | GTEx | DepMap | Descartes | 0.06 | 2.10 |
ITGB3 | 0.0001108 | 9783 | GTEx | DepMap | Descartes | 0.01 | 0.52 |
THBS1 | -0.0000241 | 12812 | GTEx | DepMap | Descartes | 0.17 | 5.36 |
P2RX1 | -0.0000780 | 15651 | GTEx | DepMap | Descartes | 0.02 | 2.17 |
MMRN1 | -0.0001251 | 17595 | GTEx | DepMap | Descartes | 0.64 | 39.79 |
STON2 | -0.0001749 | 19064 | GTEx | DepMap | Descartes | 0.03 | 2.36 |
ITGA2B | -0.0001850 | 19310 | GTEx | DepMap | Descartes | 0.01 | 0.83 |
GP1BA | -0.0001867 | 19367 | GTEx | DepMap | Descartes | 0.00 | 0.41 |
Descartes Lyphoid markers
Top 50 marker genes of Lyphoid cells in the Decartes fetal adrenal single cell map (https://atlas.brotmanbaty.org/bbi/human-gene-expression-during-development/cell/lymphoid/in/adrenal)
Wilcoxon ranksum test P-value for gene set overrepresentation: 1.18e-01
Mean rank of genes in gene set: 11634.06
Median rank of genes in gene set: 6358.5
Rank on gene expression program of top 30 genes in gene set:
Genes | Weight | Rank | GTEx | DepMap | Descartes | Mean.Counts | Mean.TPM |
---|---|---|---|---|---|---|---|
ETS1 | 0.0095336 | 44 | GTEx | DepMap | Descartes | 2.69 | 168.27 |
MSN | 0.0087348 | 65 | GTEx | DepMap | Descartes | 2.55 | 197.17 |
ITPKB | 0.0060706 | 212 | GTEx | DepMap | Descartes | 0.47 | 26.67 |
FYN | 0.0060105 | 217 | GTEx | DepMap | Descartes | 1.19 | 106.48 |
PRKCH | 0.0059787 | 220 | GTEx | DepMap | Descartes | 0.80 | 73.26 |
ANKRD44 | 0.0049134 | 373 | GTEx | DepMap | Descartes | 0.56 | 27.33 |
ARID5B | 0.0040614 | 568 | GTEx | DepMap | Descartes | 0.93 | 39.26 |
PITPNC1 | 0.0034706 | 764 | GTEx | DepMap | Descartes | 0.38 | 18.68 |
SP100 | 0.0034339 | 784 | GTEx | DepMap | Descartes | 0.80 | 46.54 |
IFI16 | 0.0031453 | 913 | GTEx | DepMap | Descartes | 1.94 | 139.33 |
MBNL1 | 0.0031214 | 934 | GTEx | DepMap | Descartes | 1.21 | 60.94 |
TMSB10 | 0.0029134 | 1046 | GTEx | DepMap | Descartes | 34.57 | 20753.62 |
WIPF1 | 0.0019693 | 1947 | GTEx | DepMap | Descartes | 0.35 | 24.20 |
GNG2 | 0.0017363 | 2258 | GTEx | DepMap | Descartes | 0.55 | 44.49 |
HLA-B | 0.0015663 | 2560 | GTEx | DepMap | Descartes | 4.18 | 738.29 |
NCALD | 0.0012882 | 3210 | GTEx | DepMap | Descartes | 0.19 | 15.88 |
RCSD1 | 0.0011447 | 3586 | GTEx | DepMap | Descartes | 0.34 | 17.80 |
FOXP1 | 0.0011362 | 3605 | GTEx | DepMap | Descartes | 0.44 | 16.10 |
PLEKHA2 | 0.0008957 | 4401 | GTEx | DepMap | Descartes | 0.13 | 7.93 |
HLA-A | 0.0008923 | 4413 | GTEx | DepMap | Descartes | 4.84 | 251.57 |
MCTP2 | 0.0008426 | 4592 | GTEx | DepMap | Descartes | 0.23 | 8.28 |
STK39 | 0.0006633 | 5335 | GTEx | DepMap | Descartes | 0.10 | 9.78 |
ABLIM1 | 0.0005791 | 5747 | GTEx | DepMap | Descartes | 0.13 | 6.10 |
EVL | 0.0005582 | 5858 | GTEx | DepMap | Descartes | 0.37 | 32.81 |
BACH2 | 0.0003994 | 6859 | GTEx | DepMap | Descartes | 0.03 | 1.14 |
PDE3B | 0.0003887 | 6939 | GTEx | DepMap | Descartes | 0.10 | 4.83 |
LINC00299 | 0.0000627 | 10581 | GTEx | DepMap | Descartes | 0.00 | 0.17 |
CCL5 | -0.0001775 | 19150 | GTEx | DepMap | Descartes | 0.08 | 16.18 |
SKAP1 | -0.0002126 | 19894 | GTEx | DepMap | Descartes | 0.07 | 10.74 |
NKG7 | -0.0002647 | 20772 | GTEx | DepMap | Descartes | 0.00 | 1.62 |
Below shows the ranks on this GEP for immune marker gene lists curated by CellTypist (https://www.celltypist.org/encyclopedia).
  High ranks indicate this gene is a driver of this GEP.
  These curated gene list are ranked by P-value (on this GEP) of their constituent genes.
  The Mean Count column shows the mean read count in cells scoring highly (H > 50) on this gene expression program.
Genes | Weight | Rank | GTEx | DepMap | Decartes | Mean.Counts | Mean.TPM |
---|---|---|---|---|---|---|---|
MMRN2 | 0.0081811 | 93 | GTEx | DepMap | Descartes | 2.22 | 175.72 |
ADGRL4 | 0.0068603 | 154 | GTEx | DepMap | Descartes | 2.75 | NA |
SOX17 | 0.0028984 | 1055 | GTEx | DepMap | Descartes | 0.46 | 61.44 |
VWF | 0.0018594 | 2084 | GTEx | DepMap | Descartes | 0.28 | 10.34 |
SELE | 0.0018232 | 2141 | GTEx | DepMap | Descartes | 0.18 | 15.62 |
RAMP3 | 0.0018109 | 2161 | GTEx | DepMap | Descartes | 0.35 | 69.81 |
JAM2 | 0.0012646 | 3264 | GTEx | DepMap | Descartes | 0.19 | 12.97 |
SELP | -0.0001346 | 17883 | GTEx | DepMap | Descartes | 0.02 | 1.98 |
ACKR1 | -0.0005097 | 23074 | GTEx | DepMap | Descartes | 0.02 | NA |
Endothelial cells: Endothelial cells (curated markers)
single-layered lining cells that constitute the interior vasculature:
Wilcoxon ranksum test P-value for gene set overrepresentation: 2.29e-03
Mean rank of genes in gene set: 708.67
Rank on gene expression program of genes in gene set:
Genes | Weight | Rank | GTEx | DepMap | Decartes | Mean.Counts | Mean.TPM |
---|---|---|---|---|---|---|---|
PLVAP | 0.0103154 | 37 | GTEx | DepMap | Descartes | 7.30 | 1021.04 |
SPARCL1 | 0.0036911 | 681 | GTEx | DepMap | Descartes | 3.80 | 358.69 |
CLDN5 | 0.0024607 | 1408 | GTEx | DepMap | Descartes | 5.37 | 641.08 |
pDC precursor: pDC precursor (curated markers)
precursors of plasmacytoid dendritic cells which have intermixed lymphoid and myeloid origins and give rise to plasmacytoid dendritic cells:
Wilcoxon ranksum test P-value for gene set overrepresentation: 8.53e-03
Mean rank of genes in gene set: 2645
Rank on gene expression program of genes in gene set:
Genes | Weight | Rank | GTEx | DepMap | Decartes | Mean.Counts | Mean.TPM |
---|---|---|---|---|---|---|---|
IL3RA | 0.0048597 | 387 | GTEx | DepMap | Descartes | 0.83 | 178.38 |
CCDC50 | 0.0021209 | 1760 | GTEx | DepMap | Descartes | 1.02 | 35.43 |
IRF7 | 0.0005714 | 5788 | GTEx | DepMap | Descartes | 0.24 | 37.30 |