QQ-plot of gene loadings, averaged over both independent splits of the data
This plot highlights the relative contribution of each gene to the GEP
Top genes driving this program.
Note: Decartes website is buggy, try refreshing. Also, Decartes fetal adrenal data have been collected at specific time points (89-122 days), all possible cell types of interest may not be represented, do not overinterpret.
The Mean Count column shows the mean read count in cells scoring highly (H > 50) on this gene expression program.
Gene | Loading | Gene.Name | GTEx | DepMap | Descartes | Mean.Counts | Mean.Tpm | |
---|---|---|---|---|---|---|---|---|
1 | NPM1 | 0.0089061 | nucleophosmin 1 | GTEx | DepMap | Descartes | 72.58 | 10154.90 |
2 | ZFHX4 | 0.0084619 | zinc finger homeobox 4 | GTEx | DepMap | Descartes | 8.61 | 152.50 |
3 | EEF1B2 | 0.0079631 | eukaryotic translation elongation factor 1 beta 2 | GTEx | DepMap | Descartes | 68.66 | 14866.95 |
4 | EEF2 | 0.0077246 | eukaryotic translation elongation factor 2 | GTEx | DepMap | Descartes | 62.59 | 4741.15 |
5 | PEX2 | 0.0075055 | peroxisomal biogenesis factor 2 | GTEx | DepMap | Descartes | 8.60 | 487.15 |
6 | NACA | 0.0074465 | nascent polypeptide associated complex subunit alpha | GTEx | DepMap | Descartes | 72.58 | 2600.56 |
7 | NPW | 0.0074434 | neuropeptide W | GTEx | DepMap | Descartes | 3.99 | 1265.90 |
8 | PKIA | 0.0071768 | cAMP-dependent protein kinase inhibitor alpha | GTEx | DepMap | Descartes | 8.91 | 506.47 |
9 | IL7 | 0.0070711 | interleukin 7 | GTEx | DepMap | Descartes | 8.03 | 947.57 |
10 | EEF1A1 | 0.0070185 | eukaryotic translation elongation factor 1 alpha 1 | GTEx | DepMap | Descartes | 320.13 | 17070.53 |
11 | HNRNPA1 | 0.0068706 | heterogeneous nuclear ribonucleoprotein A1 | GTEx | DepMap | Descartes | 67.17 | 3955.34 |
12 | UQCRH | 0.0067470 | ubiquinol-cytochrome c reductase hinge protein | GTEx | DepMap | Descartes | 27.91 | 9104.95 |
13 | POLR1D | 0.0066464 | RNA polymerase I and III subunit D | GTEx | DepMap | Descartes | 12.40 | 636.56 |
14 | BTF3 | 0.0066455 | basic transcription factor 3 | GTEx | DepMap | Descartes | 51.24 | 9920.10 |
15 | TIPIN | 0.0066091 | TIMELESS interacting protein | GTEx | DepMap | Descartes | 14.03 | 1950.25 |
16 | ICA1 | 0.0064615 | islet cell autoantigen 1 | GTEx | DepMap | Descartes | 7.34 | 795.28 |
17 | EIF3L | 0.0064030 | eukaryotic translation initiation factor 3 subunit L | GTEx | DepMap | Descartes | 23.64 | 1722.74 |
18 | ACTN2 | 0.0063845 | actinin alpha 2 | GTEx | DepMap | Descartes | 1.79 | 82.26 |
19 | MEIS2 | 0.0063732 | Meis homeobox 2 | GTEx | DepMap | Descartes | 7.19 | 370.74 |
20 | CDK6 | 0.0062530 | cyclin dependent kinase 6 | GTEx | DepMap | Descartes | 8.35 | 171.74 |
21 | RPSA | 0.0060520 | ribosomal protein SA | GTEx | DepMap | Descartes | 74.56 | 8582.03 |
22 | RPL18 | 0.0059225 | ribosomal protein L18 | GTEx | DepMap | Descartes | 98.11 | 5910.89 |
23 | ZC2HC1A | 0.0058891 | zinc finger C2HC-type containing 1A | GTEx | DepMap | Descartes | 7.22 | NA |
24 | NBEAL1 | 0.0056813 | neurobeachin like 1 | GTEx | DepMap | Descartes | 48.00 | 993.06 |
25 | EIF4A2 | 0.0056213 | eukaryotic translation initiation factor 4A2 | GTEx | DepMap | Descartes | 18.87 | 864.39 |
26 | GAL | 0.0054785 | galanin and GMAP prepropeptide | GTEx | DepMap | Descartes | 17.53 | 5514.95 |
27 | EPCAM | 0.0053776 | epithelial cell adhesion molecule | GTEx | DepMap | Descartes | 1.64 | 241.26 |
28 | IFI27 | 0.0053356 | interferon alpha inducible protein 27 | GTEx | DepMap | Descartes | 19.27 | 1979.87 |
29 | ARL9 | 0.0053330 | ADP ribosylation factor like GTPase 9 | GTEx | DepMap | Descartes | 0.57 | 90.09 |
30 | MYC | 0.0052663 | MYC proto-oncogene, bHLH transcription factor | GTEx | DepMap | Descartes | 9.01 | 600.21 |
31 | MYL6B | 0.0051744 | myosin light chain 6B | GTEx | DepMap | Descartes | 6.67 | 1180.64 |
32 | GLCCI1 | 0.0050009 | glucocorticoid induced 1 | GTEx | DepMap | Descartes | 5.04 | 261.82 |
33 | CCNI | 0.0049622 | cyclin I | GTEx | DepMap | Descartes | 22.13 | 1804.42 |
34 | PHB2 | 0.0049616 | prohibitin 2 | GTEx | DepMap | Descartes | 6.97 | 1099.10 |
35 | PPP1R14B | 0.0049223 | protein phosphatase 1 regulatory inhibitor subunit 14B | GTEx | DepMap | Descartes | 7.15 | 1441.12 |
36 | PHOX2A | 0.0048503 | paired like homeobox 2A | GTEx | DepMap | Descartes | 7.94 | 1160.99 |
37 | TTC3 | 0.0048378 | tetratricopeptide repeat domain 3 | GTEx | DepMap | Descartes | 12.11 | NA |
38 | EBPL | 0.0048313 | EBP like | GTEx | DepMap | Descartes | 4.48 | 1048.31 |
39 | RPL13 | 0.0047588 | ribosomal protein L13 | GTEx | DepMap | Descartes | 247.80 | 12732.50 |
40 | YBX1 | 0.0046965 | Y-box binding protein 1 | GTEx | DepMap | Descartes | 46.08 | 3316.69 |
41 | EIF3E | 0.0046828 | eukaryotic translation initiation factor 3 subunit E | GTEx | DepMap | Descartes | 18.31 | 2123.68 |
42 | NME2 | 0.0046404 | NME/NM23 nucleoside diphosphate kinase 2 | GTEx | DepMap | Descartes | 5.13 | 1232.97 |
43 | AHCY | 0.0046103 | adenosylhomocysteinase | GTEx | DepMap | Descartes | 3.78 | 344.92 |
44 | DLL3 | 0.0046056 | delta like canonical Notch ligand 3 | GTEx | DepMap | Descartes | 0.98 | 93.22 |
45 | MDK | 0.0045787 | midkine | GTEx | DepMap | Descartes | 10.30 | 1971.22 |
46 | MEG3 | 0.0045510 | maternally expressed 3 | GTEx | DepMap | Descartes | 58.05 | 1267.76 |
47 | KHDRBS1 | 0.0045028 | KH RNA binding domain containing, signal transduction associated 1 | GTEx | DepMap | Descartes | 9.10 | 764.78 |
48 | MUC4 | 0.0044736 | mucin 4, cell surface associated | GTEx | DepMap | Descartes | 0.54 | 6.09 |
49 | NSA2 | 0.0044644 | NSA2 ribosome biogenesis factor | GTEx | DepMap | Descartes | 7.35 | 394.25 |
50 | RSPO4 | 0.0044594 | R-spondin 4 | GTEx | DepMap | Descartes | 0.51 | 43.51 |
UMAP plots showing activity of gene expression program identified in GEP 22. Neuroblastoma: MYCN:
CNV Data procured from inferCNV.
Outer tracks are putative CNV regions (gains = red, losses = blue) for each patient
Inner track is expression data representing:
The top cells expressing this GEP (purple)
Random cells (n =50) from the reference set used in inferCNV (orange)
Gene set Enrichments for this program, caculated from top 50 genes
mSigDB Cell Types Gene Set:
P-value | OR | Lower 95% CI | FDR | FWER | Genes Found | Gene Set Size | |
---|---|---|---|---|---|---|---|
RUBENSTEIN_SKELETAL_MUSCLE_SATELLITE_CELLS | 4.16e-17 | 24.08 | 12.57 | 9.84e-15 | 2.79e-14 | 18NPM1, EEF1B2, EEF2, NACA, EEF1A1, HNRNPA1, UQCRH, BTF3, EIF3L, RPSA, RPL18, EIF4A2, MYC, PPP1R14B, TTC3, RPL13, EIF3E, MEG3 |
310 |
BUSSLINGER_DUODENAL_STEM_CELLS | 4.40e-17 | 24.00 | 12.53 | 9.84e-15 | 2.95e-14 | 18NPM1, EEF1B2, EEF2, EEF1A1, HNRNPA1, BTF3, EIF3L, CDK6, RPL18, EIF4A2, EPCAM, TTC3, RPL13, YBX1, EIF3E, AHCY, KHDRBS1, NSA2 |
311 |
FAN_EMBRYONIC_CTX_EX_2_EXCITATORY_NEURON | 3.20e-05 | 61.17 | 10.83 | 8.59e-04 | 2.15e-02 | 3ZFHX4, MEIS2, MDK |
16 |
TRAVAGLINI_LUNG_PROXIMAL_BASAL_CELL | 8.88e-18 | 17.59 | 9.57 | 5.96e-15 | 5.96e-15 | 23NPM1, EEF1B2, EEF2, NACA, EEF1A1, HNRNPA1, UQCRH, POLR1D, BTF3, EIF3L, MEIS2, RPSA, RPL18, EIF4A2, MYL6B, CCNI, PHB2, EBPL, RPL13, YBX1, EIF3E, AHCY, MDK |
629 |
BUSSLINGER_DUODENAL_TRANSIT_AMPLIFYING_CELLS | 1.71e-10 | 19.26 | 8.76 | 1.64e-08 | 1.15e-07 | 11NPM1, EEF1B2, EEF2, EEF1A1, HNRNPA1, EIF3L, RPL18, EPCAM, PHB2, RPL13, YBX1 |
194 |
FAN_OVARY_CL0_XBP1_SELK_HIGH_STROMAL_CELL | 3.84e-09 | 20.46 | 8.57 | 2.34e-07 | 2.58e-06 | 9NPM1, NACA, BTF3, RPL18, EIF4A2, RPL13, YBX1, EIF3E, MEG3 |
143 |
BUSSLINGER_GASTRIC_PPP1R1B_POSITIVE_CELLS | 2.10e-08 | 21.07 | 8.35 | 1.09e-06 | 1.41e-05 | 8NPM1, EEF1B2, EEF2, EEF1A1, HNRNPA1, RPL18, EPCAM, RPL13 |
121 |
BUSSLINGER_DUODENAL_DIFFERENTIATING_STEM_CELLS | 5.80e-12 | 16.71 | 8.23 | 7.78e-10 | 3.89e-09 | 14NPM1, EEF1B2, EEF2, EEF1A1, HNRNPA1, BTF3, EIF3L, RPL18, EPCAM, PHB2, RPL13, YBX1, EIF3E, AHCY |
305 |
RUBENSTEIN_SKELETAL_MUSCLE_T_CELLS | 1.65e-09 | 18.27 | 8.01 | 1.23e-07 | 1.11e-06 | 10NPM1, EEF1B2, EEF1A1, HNRNPA1, BTF3, EIF3L, RPSA, RPL18, RPL13, EIF3E |
181 |
LAKE_ADULT_KIDNEY_C8_DECENDING_THIN_LIMB | 3.05e-11 | 16.58 | 7.99 | 3.41e-09 | 2.05e-08 | 13NPM1, EEF1B2, EEF2, NACA, EEF1A1, BTF3, RPSA, RPL18, EIF4A2, EPCAM, CCNI, RPL13, YBX1 |
278 |
LAKE_ADULT_KIDNEY_C9_THIN_ASCENDING_LIMB | 3.27e-10 | 15.42 | 7.25 | 2.75e-08 | 2.20e-07 | 12NPM1, EEF2, NACA, EEF1A1, BTF3, RPSA, RPL18, EIF4A2, EPCAM, CCNI, RPL13, YBX1 |
268 |
TRAVAGLINI_LUNG_BASAL_CELL | 4.08e-08 | 15.33 | 6.45 | 1.96e-06 | 2.74e-05 | 9NPM1, NACA, EEF1A1, HNRNPA1, BTF3, RPSA, MYC, RPL13, AHCY |
188 |
BUSSLINGER_ESOPHAGEAL_PROLIFERATING_BASAL_CELLS | 7.93e-06 | 21.34 | 6.41 | 2.53e-04 | 5.32e-03 | 5EEF1B2, EEF2, EEF1A1, HNRNPA1, YBX1 |
70 |
LAKE_ADULT_KIDNEY_C18_COLLECTING_DUCT_PRINCIPAL_CELLS_MEDULLA | 2.54e-09 | 12.74 | 6.00 | 1.70e-07 | 1.70e-06 | 12NPM1, EEF2, NACA, EEF1A1, BTF3, RPSA, RPL18, EIF4A2, EPCAM, CCNI, RPL13, YBX1 |
322 |
LAKE_ADULT_KIDNEY_C7_PROXIMAL_TUBULE_EPITHELIAL_CELLS_S3 | 9.03e-07 | 15.89 | 5.92 | 3.19e-05 | 6.06e-04 | 7NPM1, EEF2, EEF1A1, RPSA, RPL18, CCNI, RPL13 |
135 |
TRAVAGLINI_LUNG_PROLIFERATING_BASAL_CELL | 1.51e-12 | 10.42 | 5.62 | 2.53e-10 | 1.01e-09 | 21NPM1, EEF1B2, EEF2, NACA, EEF1A1, HNRNPA1, UQCRH, POLR1D, BTF3, EIF3L, RPSA, RPL18, MYL6B, PHB2, PPP1R14B, RPL13, YBX1, EIF3E, AHCY, MDK, KHDRBS1 |
891 |
TRAVAGLINI_LUNG_BRONCHIAL_VESSEL_1_CELL | 1.79e-07 | 12.77 | 5.39 | 8.02e-06 | 1.20e-04 | 9NPM1, EEF2, NACA, HNRNPA1, RPSA, RPL18, MYC, RPL13, EIF3E |
224 |
FAN_OVARY_CL1_GPRC5A_TNFRS12A_HIGH_SELECTABLE_FOLLICLE_STROMAL_CELL | 1.55e-08 | 10.73 | 5.06 | 8.66e-07 | 1.04e-05 | 12NPM1, EEF2, NACA, EEF1A1, HNRNPA1, RPSA, RPL18, MYC, CCNI, YBX1, EIF3E, MEG3 |
380 |
MENON_FETAL_KIDNEY_1_EMBRYONIC_RED_BLOOD_CELLS | 9.51e-06 | 14.20 | 4.85 | 2.90e-04 | 6.38e-03 | 6NPM1, EEF1B2, NACA, BTF3, RPSA, YBX1 |
126 |
HAY_BONE_MARROW_EARLY_ERYTHROBLAST | 3.49e-05 | 15.42 | 4.67 | 9.01e-04 | 2.34e-02 | 5NPM1, UQCRH, GAL, MYC, AHCY |
95 |
Dowload full table
mSigDB Hallmark Gene Sets:
P-value | OR | Lower 95% CI | FDR | FWER | Genes Found | Gene Set Size | |
---|---|---|---|---|---|---|---|
HALLMARK_MYC_TARGETS_V1 | 1.24e-04 | 8.78 | 3.02 | 6.18e-03 | 6.18e-03 | 6NPM1, EEF1B2, HNRNPA1, RPL18, MYC, PHB2 |
200 |
HALLMARK_MYOGENESIS | 7.71e-03 | 5.55 | 1.44 | 1.67e-01 | 3.85e-01 | 4PKIA, ACTN2, EIF4A2, MYL6B |
200 |
HALLMARK_UNFOLDED_PROTEIN_RESPONSE | 1.00e-02 | 7.25 | 1.42 | 1.67e-01 | 5.00e-01 | 3NPM1, EEF2, EIF4A2 |
113 |
HALLMARK_MYC_TARGETS_V2 | 2.21e-02 | 9.30 | 1.07 | 2.77e-01 | 1.00e+00 | 2NPM1, MYC |
58 |
HALLMARK_INTERFERON_ALPHA_RESPONSE | 5.62e-02 | 5.48 | 0.64 | 5.44e-01 | 1.00e+00 | 2IL7, IFI27 |
97 |
HALLMARK_UV_RESPONSE_DN | 1.10e-01 | 3.67 | 0.43 | 5.44e-01 | 1.00e+00 | 2ICA1, MYC |
144 |
HALLMARK_UV_RESPONSE_UP | 1.28e-01 | 3.34 | 0.39 | 5.44e-01 | 1.00e+00 | 2GAL, EPCAM |
158 |
HALLMARK_IL2_STAT5_SIGNALING | 1.83e-01 | 2.64 | 0.31 | 5.44e-01 | 1.00e+00 | 2MYC, AHCY |
199 |
HALLMARK_G2M_CHECKPOINT | 1.85e-01 | 2.63 | 0.31 | 5.44e-01 | 1.00e+00 | 2MEIS2, MYC |
200 |
HALLMARK_ESTROGEN_RESPONSE_LATE | 1.85e-01 | 2.63 | 0.31 | 5.44e-01 | 1.00e+00 | 2GAL, MDK |
200 |
HALLMARK_INTERFERON_GAMMA_RESPONSE | 1.85e-01 | 2.63 | 0.31 | 5.44e-01 | 1.00e+00 | 2IL7, IFI27 |
200 |
HALLMARK_APICAL_JUNCTION | 1.85e-01 | 2.63 | 0.31 | 5.44e-01 | 1.00e+00 | 2ACTN2, MDK |
200 |
HALLMARK_E2F_TARGETS | 1.85e-01 | 2.63 | 0.31 | 5.44e-01 | 1.00e+00 | 2TIPIN, MYC |
200 |
HALLMARK_OXIDATIVE_PHOSPHORYLATION | 1.85e-01 | 2.63 | 0.31 | 5.44e-01 | 1.00e+00 | 2UQCRH, PHB2 |
200 |
HALLMARK_ALLOGRAFT_REJECTION | 1.85e-01 | 2.63 | 0.31 | 5.44e-01 | 1.00e+00 | 2NPM1, IL7 |
200 |
HALLMARK_HEDGEHOG_SIGNALING | 1.34e-01 | 7.29 | 0.18 | 5.44e-01 | 1.00e+00 | 1CDK6 |
36 |
HALLMARK_WNT_BETA_CATENIN_SIGNALING | 1.54e-01 | 6.22 | 0.15 | 5.44e-01 | 1.00e+00 | 1MYC |
42 |
HALLMARK_IL6_JAK_STAT3_SIGNALING | 2.93e-01 | 2.97 | 0.07 | 8.06e-01 | 1.00e+00 | 1IL7 |
87 |
HALLMARK_PROTEIN_SECRETION | 3.17e-01 | 2.68 | 0.07 | 8.06e-01 | 1.00e+00 | 1ICA1 |
96 |
HALLMARK_ANDROGEN_RESPONSE | 3.28e-01 | 2.58 | 0.06 | 8.06e-01 | 1.00e+00 | 1CDK6 |
100 |
Dowload full table
KEGG Pathways:
P-value | OR | Lower 95% CI | FDR | FWER | Genes Found | Gene Set Size | |
---|---|---|---|---|---|---|---|
KEGG_RIBOSOME | 5.05e-03 | 9.38 | 1.83 | 9.39e-01 | 9.39e-01 | 3RPSA, RPL18, RPL13 |
88 |
KEGG_CHRONIC_MYELOID_LEUKEMIA | 3.38e-02 | 7.33 | 0.85 | 1.00e+00 | 1.00e+00 | 2CDK6, MYC |
73 |
KEGG_SMALL_CELL_LUNG_CANCER | 4.36e-02 | 6.35 | 0.74 | 1.00e+00 | 1.00e+00 | 2CDK6, MYC |
84 |
KEGG_PYRIMIDINE_METABOLISM | 5.73e-02 | 5.42 | 0.63 | 1.00e+00 | 1.00e+00 | 2POLR1D, NME2 |
98 |
KEGG_CELL_CYCLE | 8.71e-02 | 4.23 | 0.49 | 1.00e+00 | 1.00e+00 | 2CDK6, MYC |
125 |
KEGG_JAK_STAT_SIGNALING_PATHWAY | 1.24e-01 | 3.40 | 0.40 | 1.00e+00 | 1.00e+00 | 2IL7, MYC |
155 |
KEGG_PURINE_METABOLISM | 1.29e-01 | 3.32 | 0.39 | 1.00e+00 | 1.00e+00 | 2POLR1D, NME2 |
159 |
KEGG_SELENOAMINO_ACID_METABOLISM | 9.85e-02 | 10.19 | 0.24 | 1.00e+00 | 1.00e+00 | 1AHCY |
26 |
KEGG_RNA_POLYMERASE | 1.09e-01 | 9.11 | 0.22 | 1.00e+00 | 1.00e+00 | 1POLR1D |
29 |
KEGG_THYROID_CANCER | 1.09e-01 | 9.11 | 0.22 | 1.00e+00 | 1.00e+00 | 1MYC |
29 |
KEGG_PATHWAYS_IN_CANCER | 3.61e-01 | 1.61 | 0.19 | 1.00e+00 | 1.00e+00 | 2CDK6, MYC |
325 |
KEGG_CYSTEINE_AND_METHIONINE_METABOLISM | 1.27e-01 | 7.73 | 0.19 | 1.00e+00 | 1.00e+00 | 1AHCY |
34 |
KEGG_BLADDER_CANCER | 1.54e-01 | 6.22 | 0.15 | 1.00e+00 | 1.00e+00 | 1MYC |
42 |
KEGG_TYPE_I_DIABETES_MELLITUS | 1.57e-01 | 6.07 | 0.15 | 1.00e+00 | 1.00e+00 | 1ICA1 |
43 |
KEGG_NOTCH_SIGNALING_PATHWAY | 1.71e-01 | 5.54 | 0.13 | 1.00e+00 | 1.00e+00 | 1DLL3 |
47 |
KEGG_ENDOMETRIAL_CANCER | 1.87e-01 | 5.00 | 0.12 | 1.00e+00 | 1.00e+00 | 1MYC |
52 |
KEGG_NON_SMALL_CELL_LUNG_CANCER | 1.94e-01 | 4.81 | 0.12 | 1.00e+00 | 1.00e+00 | 1CDK6 |
54 |
KEGG_CYTOSOLIC_DNA_SENSING_PATHWAY | 1.97e-01 | 4.72 | 0.12 | 1.00e+00 | 1.00e+00 | 1POLR1D |
55 |
KEGG_ACUTE_MYELOID_LEUKEMIA | 2.03e-01 | 4.55 | 0.11 | 1.00e+00 | 1.00e+00 | 1MYC |
57 |
KEGG_COLORECTAL_CANCER | 2.19e-01 | 4.18 | 0.10 | 1.00e+00 | 1.00e+00 | 1MYC |
62 |
Dowload full table
CHR Positional Gene Sets:
P-value | OR | Lower 95% CI | FDR | FWER | Genes Found | Gene Set Size | |
---|---|---|---|---|---|---|---|
chr8q21 | 6.44e-04 | 8.03 | 2.46 | 1.79e-01 | 1.79e-01 | 5ZFHX4, PEX2, PKIA, IL7, ZC2HC1A |
178 |
chr7p21 | 4.26e-02 | 6.43 | 0.74 | 1.00e+00 | 1.00e+00 | 2ICA1, GLCCI1 |
83 |
chr5q13 | 1.08e-01 | 3.72 | 0.43 | 1.00e+00 | 1.00e+00 | 2BTF3, NSA2 |
142 |
chr12q13 | 2.07e-01 | 1.98 | 0.39 | 1.00e+00 | 1.00e+00 | 3NACA, HNRNPA1, MYL6B |
407 |
chr11q13 | 2.21e-01 | 1.91 | 0.38 | 1.00e+00 | 1.00e+00 | 3GAL, PPP1R14B, PHOX2A |
421 |
chr2q33 | 1.78e-01 | 2.70 | 0.32 | 1.00e+00 | 1.00e+00 | 2EEF1B2, NBEAL1 |
195 |
chr8q23 | 1.61e-01 | 5.93 | 0.14 | 1.00e+00 | 1.00e+00 | 1EIF3E |
44 |
chr15q14 | 2.00e-01 | 4.64 | 0.11 | 1.00e+00 | 1.00e+00 | 1MEIS2 |
56 |
chr6q13 | 2.00e-01 | 4.64 | 0.11 | 1.00e+00 | 1.00e+00 | 1EEF1A1 |
56 |
chr14q32 | 1.00e+00 | 0.96 | 0.11 | 1.00e+00 | 1.00e+00 | 2IFI27, MEG3 |
546 |
chr1p33 | 2.13e-01 | 4.32 | 0.11 | 1.00e+00 | 1.00e+00 | 1UQCRH |
60 |
chr1q43 | 2.13e-01 | 4.32 | 0.11 | 1.00e+00 | 1.00e+00 | 1ACTN2 |
60 |
chr4q12 | 2.70e-01 | 3.27 | 0.08 | 1.00e+00 | 1.00e+00 | 1ARL9 |
79 |
chr2p21 | 2.73e-01 | 3.23 | 0.08 | 1.00e+00 | 1.00e+00 | 1EPCAM |
80 |
chr3q27 | 3.67e-01 | 2.24 | 0.06 | 1.00e+00 | 1.00e+00 | 1EIF4A2 |
115 |
chr20p13 | 3.72e-01 | 2.20 | 0.05 | 1.00e+00 | 1.00e+00 | 1RSPO4 |
117 |
chr19q13 | 4.39e-01 | 0.45 | 0.05 | 1.00e+00 | 1.00e+00 | 2RPL18, DLL3 |
1165 |
chr3q29 | 3.84e-01 | 2.11 | 0.05 | 1.00e+00 | 1.00e+00 | 1MUC4 |
122 |
chr15q22 | 3.89e-01 | 2.07 | 0.05 | 1.00e+00 | 1.00e+00 | 1TIPIN |
124 |
chr1p35 | 4.03e-01 | 1.98 | 0.05 | 1.00e+00 | 1.00e+00 | 1KHDRBS1 |
130 |
Dowload full table
Transcription Factor Targets:
P-value | OR | Lower 95% CI | FDR | FWER | Genes Found | Gene Set Size | |
---|---|---|---|---|---|---|---|
GTF2A2_TARGET_GENES | 2.30e-05 | 6.11 | 2.71 | 2.61e-02 | 2.61e-02 | 10NPM1, EEF2, EEF1A1, HNRNPA1, RPSA, RPL18, EIF4A2, MYC, CCNI, RPL13 |
522 |
PSMB5_TARGET_GENES | 1.16e-03 | 5.66 | 1.96 | 3.99e-01 | 1.00e+00 | 6NPM1, EEF2, EEF1A1, RPSA, EIF4A2, PPP1R14B |
307 |
PER1_TARGET_GENES | 7.55e-03 | 16.78 | 1.89 | 7.81e-01 | 1.00e+00 | 2EEF1A1, EIF4A2 |
33 |
GCCATNTTG_YY1_Q6 | 1.33e-03 | 4.73 | 1.79 | 3.99e-01 | 1.00e+00 | 7EEF1B2, NACA, HNRNPA1, UQCRH, BTF3, PHB2, YBX1 |
437 |
YY1_Q6 | 2.88e-03 | 5.65 | 1.73 | 6.51e-01 | 1.00e+00 | 5NACA, EEF1A1, UQCRH, BTF3, YBX1 |
251 |
FOXE1_TARGET_GENES | 1.41e-03 | 3.82 | 1.63 | 3.99e-01 | 1.00e+00 | 9EEF2, NACA, PKIA, HNRNPA1, UQCRH, RPL18, EIF4A2, RPL13, YBX1 |
728 |
RUVBL1_TARGET_GENES | 5.37e-03 | 6.17 | 1.60 | 7.26e-01 | 1.00e+00 | 4NACA, EEF1A1, RPL18, PHB2 |
180 |
ADA2_TARGET_GENES | 3.69e-03 | 3.28 | 1.40 | 6.97e-01 | 1.00e+00 | 9ZFHX4, EEF2, EEF1A1, MEIS2, RPL18, EIF4A2, PHB2, RPL13, NSA2 |
846 |
ATF5_TARGET_GENES | 7.89e-03 | 3.77 | 1.31 | 7.81e-01 | 1.00e+00 | 6UQCRH, BTF3, MEIS2, EIF4A2, EPCAM, NSA2 |
458 |
KAT5_TARGET_GENES | 5.77e-03 | 3.05 | 1.30 | 7.26e-01 | 1.00e+00 | 9EEF1B2, NACA, NPW, EEF1A1, UQCRH, CDK6, RPSA, RPL13, EIF3E |
910 |
PHF2_TARGET_GENES | 5.02e-03 | 2.68 | 1.27 | 7.26e-01 | 1.00e+00 | 12NACA, HNRNPA1, POLR1D, EIF3L, MEIS2, EIF4A2, CCNI, PPP1R14B, RPL13, AHCY, KHDRBS1, NSA2 |
1485 |
EMX1_TARGET_GENES | 1.16e-02 | 4.90 | 1.27 | 8.35e-01 | 1.00e+00 | 4NPM1, UQCRH, EIF4A2, CCNI |
226 |
PBX1_02 | 1.51e-02 | 6.18 | 1.22 | 8.35e-01 | 1.00e+00 | 3IL7, MEIS2, KHDRBS1 |
132 |
E2F_Q3_01 | 1.34e-02 | 4.69 | 1.21 | 8.35e-01 | 1.00e+00 | 4HNRNPA1, TIPIN, MEIS2, MYC |
236 |
E2F_Q4_01 | 1.38e-02 | 4.65 | 1.20 | 8.35e-01 | 1.00e+00 | 4HNRNPA1, TIPIN, MEIS2, MYC |
238 |
PR_02 | 1.61e-02 | 6.04 | 1.19 | 8.35e-01 | 1.00e+00 | 3ZFHX4, EEF1B2, KHDRBS1 |
135 |
E2F1_Q6_01 | 1.48e-02 | 4.55 | 1.18 | 8.35e-01 | 1.00e+00 | 4HNRNPA1, MEIS2, RPL18, MYC |
243 |
SMAD4_Q6 | 1.50e-02 | 4.53 | 1.17 | 8.35e-01 | 1.00e+00 | 4EEF1A1, MEIS2, CDK6, MYL6B |
244 |
SNRNP70_TARGET_GENES | 1.06e-02 | 2.75 | 1.17 | 8.35e-01 | 1.00e+00 | 9EEF2, NACA, EEF1A1, HNRNPA1, RPL18, EIF4A2, RPL13, NME2, AHCY |
1009 |
NFMUE1_Q6 | 1.62e-02 | 4.42 | 1.15 | 8.35e-01 | 1.00e+00 | 4NACA, EEF1A1, HNRNPA1, UQCRH |
250 |
Dowload full table
GO Biological Processes:
P-value | OR | Lower 95% CI | FDR | FWER | Genes Found | Gene Set Size | |
---|---|---|---|---|---|---|---|
GOBP_NEGATIVE_REGULATION_OF_MONOCYTE_DIFFERENTIATION | 4.28e-04 | 86.37 | 8.33 | 3.89e-01 | 1.00e+00 | 2CDK6, MYC |
8 |
GOBP_CYTOPLASMIC_TRANSLATION | 2.82e-06 | 17.74 | 6.04 | 1.06e-02 | 2.11e-02 | 6EEF2, EIF3L, RPSA, RPL18, EIF4A2, EIF3E |
102 |
GOBP_TRANSLATIONAL_INITIATION | 7.46e-07 | 12.87 | 5.15 | 5.58e-03 | 5.58e-03 | 8NPM1, EIF3L, RPSA, RPL18, EIF4A2, RPL13, EIF3E, KHDRBS1 |
193 |
GOBP_CYTOPLASMIC_TRANSLATIONAL_INITIATION | 3.24e-04 | 25.71 | 4.86 | 3.46e-01 | 1.00e+00 | 3EIF3L, EIF4A2, EIF3E |
34 |
GOBP_FORMATION_OF_CYTOPLASMIC_TRANSLATION_INITIATION_COMPLEX | 1.80e-03 | 37.11 | 3.99 | 9.14e-01 | 1.00e+00 | 2EIF3L, EIF3E |
16 |
GOBP_REGULATION_OF_TRANSLATIONAL_INITIATION | 2.76e-04 | 14.30 | 3.65 | 3.44e-01 | 1.00e+00 | 4NPM1, EIF4A2, EIF3E, KHDRBS1 |
80 |
GOBP_NEGATIVE_REGULATION_OF_MYELOID_LEUKOCYTE_DIFFERENTIATION | 8.97e-04 | 17.71 | 3.40 | 5.60e-01 | 1.00e+00 | 3CDK6, MYC, NME2 |
48 |
GOBP_NEGATIVE_REGULATION_OF_MYELOID_CELL_DIFFERENTIATION | 4.68e-04 | 12.34 | 3.16 | 3.89e-01 | 1.00e+00 | 4MEIS2, CDK6, MYC, NME2 |
92 |
GOBP_REGULATION_OF_MONOCYTE_DIFFERENTIATION | 3.10e-03 | 27.37 | 3.01 | 1.00e+00 | 1.00e+00 | 2CDK6, MYC |
21 |
GOBP_NEGATIVE_REGULATION_OF_CELLULAR_SENESCENCE | 3.40e-03 | 26.01 | 2.87 | 1.00e+00 | 1.00e+00 | 2CDK6, YBX1 |
22 |
GOBP_NEGATIVE_REGULATION_OF_HEMOPOIESIS | 7.69e-04 | 10.75 | 2.76 | 5.60e-01 | 1.00e+00 | 4CDK6, MYC, NME2, MDK |
105 |
GOBP_PEPTIDE_BIOSYNTHETIC_PROCESS | 1.39e-05 | 5.43 | 2.57 | 3.47e-02 | 1.04e-01 | 12NPM1, EEF1B2, EEF2, EEF1A1, EIF3L, RPSA, RPL18, EIF4A2, RPL13, YBX1, EIF3E, KHDRBS1 |
740 |
GOBP_POSITIVE_REGULATION_OF_POTASSIUM_ION_TRANSMEMBRANE_TRANSPORTER_ACTIVITY | 4.39e-03 | 22.60 | 2.52 | 1.00e+00 | 1.00e+00 | 2ACTN2, GAL |
25 |
GOBP_NUCLEAR_TRANSCRIBED_MRNA_CATABOLIC_PROCESS_NONSENSE_MEDIATED_DECAY | 1.26e-03 | 9.37 | 2.41 | 7.25e-01 | 1.00e+00 | 4RPSA, RPL18, RPL13, EIF3E |
120 |
GOBP_NEGATIVE_REGULATION_OF_CELL_AGING | 5.48e-03 | 20.00 | 2.24 | 1.00e+00 | 1.00e+00 | 2CDK6, YBX1 |
28 |
GOBP_POSITIVE_REGULATION_OF_TRANSLATION | 1.83e-03 | 8.43 | 2.17 | 9.14e-01 | 1.00e+00 | 4NPM1, EEF2, EIF3E, KHDRBS1 |
133 |
GOBP_AMIDE_BIOSYNTHETIC_PROCESS | 6.73e-05 | 4.57 | 2.16 | 1.26e-01 | 5.04e-01 | 12NPM1, EEF1B2, EEF2, EEF1A1, EIF3L, RPSA, RPL18, EIF4A2, RPL13, YBX1, EIF3E, KHDRBS1 |
877 |
GOBP_PEPTIDE_METABOLIC_PROCESS | 8.76e-05 | 4.43 | 2.10 | 1.31e-01 | 6.55e-01 | 12NPM1, EEF1B2, EEF2, EEF1A1, EIF3L, RPSA, RPL18, EIF4A2, RPL13, YBX1, EIF3E, KHDRBS1 |
903 |
GOBP_FIBROBLAST_PROLIFERATION | 3.87e-03 | 10.36 | 2.02 | 1.00e+00 | 1.00e+00 | 3PEX2, CDK6, MYC |
80 |
GOBP_NEGATIVE_REGULATION_OF_FIBROBLAST_PROLIFERATION | 6.69e-03 | 17.94 | 2.02 | 1.00e+00 | 1.00e+00 | 2PEX2, MYC |
31 |
Dowload full table
Immunological Gene Sets:
P-value | OR | Lower 95% CI | FDR | FWER | Genes Found | Gene Set Size | |
---|---|---|---|---|---|---|---|
GSE21927_SPLEEN_C57BL6_VS_4T1_TUMOR_BALBC_MONOCYTES_UP | 9.73e-07 | 12.40 | 4.96 | 2.37e-03 | 4.74e-03 | 8EEF1B2, EEF2, NACA, UQCRH, BTF3, EIF3L, RPL18, RPL13 |
200 |
GSE42088_UNINF_VS_LEISHMANIA_INF_DC_2H_DN | 9.73e-07 | 12.40 | 4.96 | 2.37e-03 | 4.74e-03 | 8EEF2, NACA, POLR1D, BTF3, EIF3L, RPL13, EIF3E, NSA2 |
200 |
GSE22886_NAIVE_BCELL_VS_NEUTROPHIL_UP | 1.15e-05 | 10.60 | 3.97 | 8.26e-03 | 5.60e-02 | 7NPM1, EEF2, PKIA, HNRNPA1, EIF3L, EIF4A2, TTC3 |
199 |
GSE24210_CTRL_VS_IL35_TREATED_TCONV_CD4_TCELL_DN | 1.15e-05 | 10.60 | 3.97 | 8.26e-03 | 5.60e-02 | 7NPM1, PEX2, POLR1D, PHB2, YBX1, AHCY, DLL3 |
199 |
GSE17301_CTRL_VS_48H_ACD3_ACD28_STIM_CD8_TCELL_UP | 1.15e-05 | 10.60 | 3.97 | 8.26e-03 | 5.60e-02 | 7EEF2, HNRNPA1, RPL18, EIF4A2, MYC, PHB2, PPP1R14B |
199 |
GSE2405_0H_VS_24H_A_PHAGOCYTOPHILUM_STIM_NEUTROPHIL_UP | 1.19e-05 | 10.54 | 3.95 | 8.26e-03 | 5.79e-02 | 7NPM1, EEF1B2, RPSA, RPL18, RPL13, YBX1, EIF3E |
200 |
GSE25085_FETAL_LIVER_VS_FETAL_BM_SP4_THYMIC_IMPLANT_UP | 1.19e-05 | 10.54 | 3.95 | 8.26e-03 | 5.79e-02 | 7BTF3, ICA1, EIF3L, RPL13, EIF3E, NME2, NSA2 |
200 |
GSE6269_FLU_VS_E_COLI_INF_PBMC_DN | 4.18e-05 | 10.78 | 3.70 | 2.26e-02 | 2.04e-01 | 6EEF1B2, EEF2, BTF3, EIF3L, CCNI, RPL13 |
164 |
GSE3565_DUSP1_VS_WT_SPLENOCYTES_POST_LPS_INJECTION_UP | 4.18e-05 | 10.78 | 3.70 | 2.26e-02 | 2.04e-01 | 6NPM1, EEF1B2, RPL18, MYC, RPL13, AHCY |
164 |
GSE3720_LPS_VS_PMA_STIM_VD1_GAMMADELTA_TCELL_DN | 5.43e-05 | 10.27 | 3.53 | 2.65e-02 | 2.65e-01 | 6EEF1B2, EEF1A1, RPSA, RPL18, MYC, CCNI |
172 |
GSE3720_UNSTIM_VS_PMA_STIM_VD2_GAMMADELTA_TCELL_UP | 5.98e-05 | 10.09 | 3.46 | 2.65e-02 | 2.91e-01 | 6EEF1B2, NACA, EEF1A1, RPSA, RPL18, PPP1R14B |
175 |
GSE34205_HEALTHY_VS_FLU_INF_INFANT_PBMC_UP | 1.17e-04 | 8.88 | 3.05 | 3.77e-02 | 5.71e-01 | 6EEF1B2, EEF2, NACA, EIF3L, RPL18, RPL13 |
198 |
GSE36009_WT_VS_NLRP10_KO_DC_LPS_STIM_DN | 1.20e-04 | 8.83 | 3.04 | 3.77e-02 | 5.86e-01 | 6HNRNPA1, ZC2HC1A, EIF4A2, TTC3, RPL13, NSA2 |
199 |
GSE42088_UNINF_VS_LEISHMANIA_INF_DC_4H_DN | 1.20e-04 | 8.83 | 3.04 | 3.77e-02 | 5.86e-01 | 6NACA, BTF3, EIF3L, RPL18, RPL13, EIF3E |
199 |
GSE2405_0H_VS_9H_A_PHAGOCYTOPHILUM_STIM_NEUTROPHIL_DN | 1.24e-04 | 8.78 | 3.02 | 3.77e-02 | 6.03e-01 | 6NPM1, EEF1B2, RPSA, RPL18, RPL13, YBX1 |
200 |
GSE41978_ID2_KO_VS_ID2_KO_AND_BIM_KO_KLRG1_LOW_EFFECTOR_CD8_TCELL_DN | 1.24e-04 | 8.78 | 3.02 | 3.77e-02 | 6.03e-01 | 6EEF2, RPSA, RPL18, RPL13, YBX1, EIF3E |
200 |
GSE3565_CTRL_VS_LPS_INJECTED_DUSP1_KO_SPLENOCYTES_DN | 5.38e-04 | 8.37 | 2.56 | 1.49e-01 | 1.00e+00 | 5EEF1B2, EEF2, RPL18, MYC, TTC3 |
171 |
GSE14415_INDUCED_TREG_VS_FOXP3_KO_INDUCED_TREG_UP | 5.52e-04 | 8.32 | 2.54 | 1.49e-01 | 1.00e+00 | 5EEF1B2, MYC, TTC3, RPL13, EIF3E |
172 |
GSE3565_CTRL_VS_LPS_INJECTED_SPLENOCYTES_DN | 5.97e-04 | 8.17 | 2.50 | 1.49e-01 | 1.00e+00 | 5EEF1B2, EEF2, RPL18, MYC, RPL13 |
175 |
GSE3720_UNSTIM_VS_PMA_STIM_VD1_GAMMADELTA_TCELL_UP | 6.12e-04 | 8.12 | 2.49 | 1.49e-01 | 1.00e+00 | 5EEF1B2, NACA, RPSA, MYC, NME2 |
176 |
Top Ranked Transcription Factors for this Gene Expression Program:
Gene Symbol | TF Rank | DNA Binding Domain | Motif Status | IUPAC PWM | GTEx | DepMap | Decartes |
---|---|---|---|---|---|---|---|
NPM1 | 1 | No | Unlikely to be sequence specific TF | Low specificity DNA-binding protein | No motif | None | No evidence for sequence-specific DNA-binding (PMID: 2223875) |
ZFHX4 | 2 | Yes | Inferred motif | Monomer or homomultimer | In vivo/Misc source | None | Curious protein with numerous C2H2 and homeodomain-like domains. |
HNRNPA1 | 11 | No | ssDNA/RNA binding | Not a DNA binding protein | No motif | None | Binds single stranded DNA in the structure (PDB: 1PGZ) |
MEIS2 | 19 | Yes | Known motif | Monomer or homomultimer | High-throughput in vitro | None | None |
MYC | 30 | Yes | Known motif | Obligate heteromer | In vivo/Misc source | None | Functions as a heterodimer with MAX. |
PHB2 | 34 | No | Unlikely to be sequence specific TF | Not a DNA binding protein | No motif | None | Protein has been shown to bind to TFs and function as a co-repressor. There appears to be no evidence for direct DNA-binding activity (PMID: 18629613) |
PHOX2A | 36 | Yes | Known motif | Monomer or homomultimer | High-throughput in vitro | None | None |
YBX1 | 40 | Yes | Known motif | Monomer or homomultimer | High-throughput in vitro | None | Might also bind RNA |
NME2 | 42 | Yes | Likely to be sequence specific TF | Monomer or homomultimer | No motif | None | Binds to telomeres (PMID: 22135295). Binds specific sequences by gel-shift, and binding is impacted by a SNP (PMID: 23368879) |
HMGA1 | 54 | Yes | Known motif | Monomer or homomultimer | In vivo/Misc source | Only known motifs are from Transfac or HocoMoco - origin is uncertain | None |
SPDEF | 77 | Yes | Known motif | Monomer or homomultimer | High-throughput in vitro | None | None |
TRIM28 | 83 | No | Unlikely to be sequence specific TF | Not a DNA binding protein | No motif | Only known motifs are from Transfac or HocoMoco - origin is uncertain | This protein a well-known co-repressor and is recruited to DNA by KRAB-domain containing TFs. Transfac motifs are likely from interacting proteins |
NFATC4 | 84 | Yes | Known motif | Monomer or homomultimer | High-throughput in vitro | None | None |
PCBP2 | 91 | No | ssDNA/RNA binding | Not a DNA binding protein | No motif | None | Protein is an RBP. Structure (PDB:2PQU) is with single stranded DNA |
BMP7 | 116 | No | Unlikely to be sequence specific TF | Not a DNA binding protein | No motif | None | None |
HDAC2 | 122 | No | Unlikely to be sequence specific TF | Not a DNA binding protein | No motif | Only known motifs are from Transfac or HocoMoco - origin is uncertain | Histone deacetylase; likely to be a transcriptional cofactor |
CXXC4 | 123 | Yes | Likely to be sequence specific TF | Monomer or homomultimer | No motif | None | Binds unmethylated CpG-rich sequences: (PMID: 23563267). |
APEX1 | 125 | No | Unlikely to be sequence specific TF | Low specificity DNA-binding protein | No motif | None | The structure (PDB:1DEW) is with abasic DNA - the protein is a base excision repair enzyme that cleaves off abasic bases |
ALK | 137 | No | Unlikely to be sequence specific TF | Not a DNA binding protein | No motif | None | Operates far upstream in the signaling cascade |
FOXO3 | 142 | Yes | Known motif | Monomer or homomultimer | High-throughput in vitro | None | None |
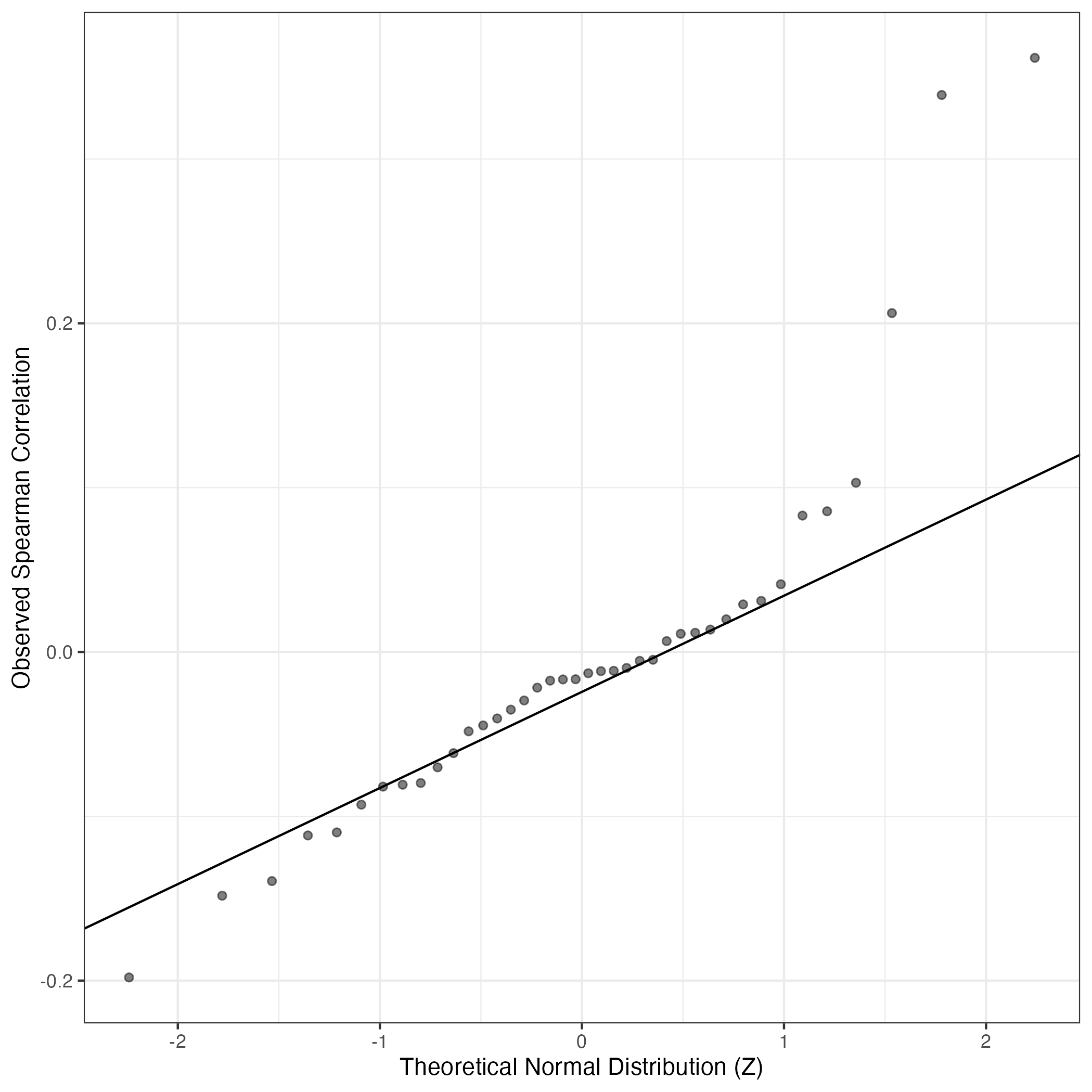
QQ Plot showing correlations with other GEPs in this dataset, calculated by Spearman correlation:
Interactive QQ-plot of gene loadings:
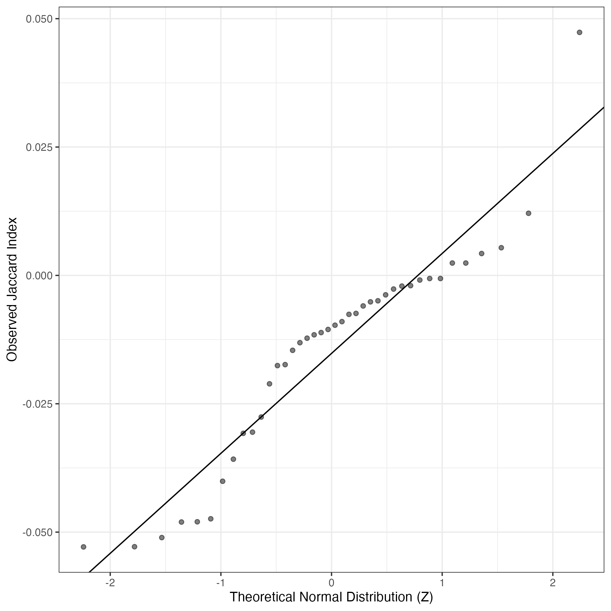
A similar QQ-plot as above, but only for instances where the H value is e.g. > 25, i.e. we are confident that the expression program is active above noise. Agreemenet between these binary vectors is tested using the Jaccard Index, with the P-values calculated by an exact test:
Interactive QQ-plot:
Singler cell type annotations for the top 50 cells on this program.
Cell ID | Singler label | Singler Delta | Activity Score | Top Singler Raw Scores |
---|---|---|---|---|
STDY7787237_AAATGCCTCCACGCAG | Neurons:adrenal_medulla_cell_line | 0.21 | 1278.66 | Raw ScoresNeurons:adrenal_medulla_cell_line: 0.53, Neuroepithelial_cell:ESC-derived: 0.44, Astrocyte:Embryonic_stem_cell-derived: 0.43, iPS_cells:PDB_1lox-21Puro-20: 0.41, iPS_cells:PDB_1lox-21Puro-26: 0.41, iPS_cells:PDB_1lox-17Puro-10: 0.41, iPS_cells:PDB_1lox-17Puro-5: 0.41, Neurons:ES_cell-derived_neural_precursor: 0.41, iPS_cells:PDB_2lox-22: 0.4, iPS_cells:PDB_2lox-21: 0.4 |
STDY7787237_CTGCTGTAGTCGTACT | Neurons:adrenal_medulla_cell_line | 0.25 | 1246.29 | Raw ScoresNeurons:adrenal_medulla_cell_line: 0.58, Neuroepithelial_cell:ESC-derived: 0.48, Astrocyte:Embryonic_stem_cell-derived: 0.47, iPS_cells:PDB_1lox-21Puro-20: 0.47, iPS_cells:PDB_1lox-21Puro-26: 0.47, iPS_cells:PDB_1lox-17Puro-10: 0.47, iPS_cells:PDB_1lox-17Puro-5: 0.46, iPS_cells:PDB_2lox-22: 0.46, Embryonic_stem_cells: 0.45, iPS_cells:PDB_2lox-21: 0.45 |
STDY7787239_AGGTCCGCAGCCTGTG | Neurons:adrenal_medulla_cell_line | 0.23 | 1233.49 | Raw ScoresNeurons:adrenal_medulla_cell_line: 0.53, Astrocyte:Embryonic_stem_cell-derived: 0.44, Neuroepithelial_cell:ESC-derived: 0.43, iPS_cells:PDB_1lox-21Puro-20: 0.41, iPS_cells:PDB_1lox-21Puro-26: 0.41, iPS_cells:PDB_1lox-17Puro-10: 0.41, iPS_cells:PDB_1lox-17Puro-5: 0.41, iPS_cells:PDB_2lox-21: 0.4, iPS_cells:PDB_2lox-22: 0.4, Neurons:ES_cell-derived_neural_precursor: 0.4 |
STDY7787237_TTTGCGCGTACGACCC | Neurons:adrenal_medulla_cell_line | 0.18 | 903.47 | Raw ScoresNeurons:adrenal_medulla_cell_line: 0.48, Astrocyte:Embryonic_stem_cell-derived: 0.39, Neuroepithelial_cell:ESC-derived: 0.39, iPS_cells:PDB_1lox-21Puro-20: 0.39, iPS_cells:PDB_1lox-17Puro-10: 0.38, iPS_cells:PDB_1lox-21Puro-26: 0.38, iPS_cells:PDB_1lox-17Puro-5: 0.38, iPS_cells:PDB_2lox-22: 0.38, iPS_cells:PDB_2lox-21: 0.38, iPS_cells:PDB_2lox-17: 0.38 |
STDY7787238_TACTCGCGTATATGGA | Neurons:adrenal_medulla_cell_line | 0.22 | 755.78 | Raw ScoresNeurons:adrenal_medulla_cell_line: 0.51, Neuroepithelial_cell:ESC-derived: 0.43, iPS_cells:PDB_1lox-21Puro-20: 0.43, iPS_cells:PDB_1lox-21Puro-26: 0.42, iPS_cells:PDB_1lox-17Puro-10: 0.42, Astrocyte:Embryonic_stem_cell-derived: 0.42, iPS_cells:PDB_1lox-17Puro-5: 0.42, iPS_cells:PDB_2lox-22: 0.42, iPS_cells:PDB_2lox-21: 0.41, iPS_cells:PDB_2lox-17: 0.41 |
STDY7787238_GGATTACAGAGGTAGA | Neurons:adrenal_medulla_cell_line | 0.19 | 723.33 | Raw ScoresNeurons:adrenal_medulla_cell_line: 0.46, Neuroepithelial_cell:ESC-derived: 0.38, Astrocyte:Embryonic_stem_cell-derived: 0.38, iPS_cells:PDB_1lox-21Puro-20: 0.37, iPS_cells:PDB_1lox-21Puro-26: 0.36, iPS_cells:PDB_1lox-17Puro-10: 0.36, iPS_cells:PDB_1lox-17Puro-5: 0.36, iPS_cells:PDB_2lox-21: 0.35, iPS_cells:PDB_2lox-22: 0.35, iPS_cells:PDB_2lox-17: 0.35 |
STDY7787239_TTCTCAATCTCTAAGG | Neurons:adrenal_medulla_cell_line | 0.21 | 685.19 | Raw ScoresNeurons:adrenal_medulla_cell_line: 0.47, Neuroepithelial_cell:ESC-derived: 0.37, Astrocyte:Embryonic_stem_cell-derived: 0.37, iPS_cells:PDB_1lox-21Puro-20: 0.36, iPS_cells:PDB_1lox-21Puro-26: 0.36, iPS_cells:PDB_1lox-17Puro-10: 0.36, iPS_cells:PDB_2lox-22: 0.36, iPS_cells:PDB_1lox-17Puro-5: 0.35, iPS_cells:PDB_2lox-21: 0.35, iPS_cells:PDB_2lox-17: 0.35 |
STDY7787238_CCGGTAGAGAGTAAGG | Neurons:adrenal_medulla_cell_line | 0.19 | 684.19 | Raw ScoresNeurons:adrenal_medulla_cell_line: 0.47, Astrocyte:Embryonic_stem_cell-derived: 0.4, Neuroepithelial_cell:ESC-derived: 0.4, iPS_cells:PDB_2lox-22: 0.37, iPS_cells:PDB_1lox-21Puro-20: 0.37, Neurons:ES_cell-derived_neural_precursor: 0.37, iPS_cells:PDB_1lox-17Puro-10: 0.37, iPS_cells:PDB_1lox-21Puro-26: 0.37, iPS_cells:PDB_2lox-17: 0.37, iPS_cells:PDB_2lox-21: 0.37 |
STDY7787238_AACCATGCAGATGGCA | Neurons:adrenal_medulla_cell_line | 0.20 | 676.94 | Raw ScoresNeurons:adrenal_medulla_cell_line: 0.48, Neuroepithelial_cell:ESC-derived: 0.39, iPS_cells:PDB_1lox-21Puro-20: 0.38, Astrocyte:Embryonic_stem_cell-derived: 0.38, iPS_cells:PDB_1lox-21Puro-26: 0.38, iPS_cells:PDB_2lox-22: 0.38, iPS_cells:PDB_1lox-17Puro-5: 0.38, iPS_cells:PDB_1lox-17Puro-10: 0.38, iPS_cells:PDB_2lox-21: 0.38, iPS_cells:PDB_2lox-17: 0.38 |
STDY7787237_TACGGTACATACGCCG | Neurons:adrenal_medulla_cell_line | 0.18 | 631.22 | Raw ScoresNeurons:adrenal_medulla_cell_line: 0.48, Astrocyte:Embryonic_stem_cell-derived: 0.39, Neuroepithelial_cell:ESC-derived: 0.38, iPS_cells:PDB_1lox-21Puro-20: 0.38, iPS_cells:PDB_1lox-17Puro-10: 0.37, iPS_cells:PDB_1lox-21Puro-26: 0.37, iPS_cells:PDB_2lox-22: 0.37, iPS_cells:PDB_1lox-17Puro-5: 0.37, iPS_cells:PDB_2lox-21: 0.37, iPS_cells:CRL2097_foreskin-derived:undiff.: 0.37 |
STDY7787239_GATCGTATCAGGCCCA | Neurons:adrenal_medulla_cell_line | 0.22 | 627.98 | Raw ScoresNeurons:adrenal_medulla_cell_line: 0.47, Neuroepithelial_cell:ESC-derived: 0.39, Astrocyte:Embryonic_stem_cell-derived: 0.38, iPS_cells:PDB_1lox-21Puro-20: 0.37, iPS_cells:PDB_1lox-21Puro-26: 0.37, iPS_cells:PDB_1lox-17Puro-10: 0.36, iPS_cells:PDB_1lox-17Puro-5: 0.36, iPS_cells:PDB_2lox-22: 0.36, iPS_cells:PDB_2lox-21: 0.36, iPS_cells:PDB_2lox-17: 0.36 |
STDY7787237_TAAGCGTCATAACCTG | Neurons:adrenal_medulla_cell_line | 0.19 | 587.86 | Raw ScoresNeurons:adrenal_medulla_cell_line: 0.47, Neuroepithelial_cell:ESC-derived: 0.38, Astrocyte:Embryonic_stem_cell-derived: 0.38, iPS_cells:PDB_1lox-21Puro-20: 0.37, iPS_cells:PDB_1lox-21Puro-26: 0.36, iPS_cells:PDB_1lox-17Puro-10: 0.36, iPS_cells:PDB_1lox-17Puro-5: 0.36, iPS_cells:PDB_2lox-22: 0.36, iPS_cells:PDB_2lox-21: 0.36, iPS_cells:PDB_2lox-17: 0.36 |
STDY7787238_GGAAAGCTCTTCTGGC | Neurons:adrenal_medulla_cell_line | 0.20 | 550.14 | Raw ScoresNeurons:adrenal_medulla_cell_line: 0.46, Neuroepithelial_cell:ESC-derived: 0.38, Astrocyte:Embryonic_stem_cell-derived: 0.38, iPS_cells:PDB_1lox-21Puro-20: 0.36, iPS_cells:PDB_1lox-21Puro-26: 0.36, iPS_cells:PDB_1lox-17Puro-10: 0.36, iPS_cells:PDB_1lox-17Puro-5: 0.35, iPS_cells:PDB_2lox-22: 0.35, iPS_cells:PDB_2lox-21: 0.35, iPS_cells:PDB_2lox-17: 0.35 |
STDY7787239_ACGTCAACAATCCAAC | Neurons:adrenal_medulla_cell_line | 0.22 | 549.60 | Raw ScoresNeurons:adrenal_medulla_cell_line: 0.5, Astrocyte:Embryonic_stem_cell-derived: 0.4, Neuroepithelial_cell:ESC-derived: 0.4, iPS_cells:PDB_1lox-21Puro-20: 0.39, iPS_cells:PDB_1lox-21Puro-26: 0.38, iPS_cells:PDB_1lox-17Puro-10: 0.38, iPS_cells:PDB_1lox-17Puro-5: 0.38, Neurons:ES_cell-derived_neural_precursor: 0.38, iPS_cells:PDB_2lox-22: 0.38, iPS_cells:PDB_2lox-21: 0.37 |
STDY7787238_CACATTTGTTCTGAAC | Neurons:adrenal_medulla_cell_line | 0.19 | 540.05 | Raw ScoresNeurons:adrenal_medulla_cell_line: 0.44, Astrocyte:Embryonic_stem_cell-derived: 0.38, Neuroepithelial_cell:ESC-derived: 0.37, iPS_cells:PDB_1lox-21Puro-20: 0.35, iPS_cells:PDB_1lox-21Puro-26: 0.35, iPS_cells:PDB_2lox-22: 0.35, iPS_cells:PDB_1lox-17Puro-10: 0.35, iPS_cells:PDB_2lox-21: 0.35, iPS_cells:PDB_1lox-17Puro-5: 0.35, iPS_cells:PDB_2lox-17: 0.35 |
STDY7787239_CCTTACGTCACTCCTG | Neurons:adrenal_medulla_cell_line | 0.20 | 530.96 | Raw ScoresNeurons:adrenal_medulla_cell_line: 0.46, Astrocyte:Embryonic_stem_cell-derived: 0.38, Neuroepithelial_cell:ESC-derived: 0.37, iPS_cells:PDB_1lox-21Puro-20: 0.35, iPS_cells:PDB_1lox-21Puro-26: 0.35, iPS_cells:PDB_1lox-17Puro-10: 0.35, Neurons:ES_cell-derived_neural_precursor: 0.34, iPS_cells:PDB_1lox-17Puro-5: 0.34, iPS_cells:PDB_2lox-21: 0.34, iPS_cells:PDB_2lox-22: 0.34 |
STDY7787238_CTACGTCGTCCGAAGA | Neurons:adrenal_medulla_cell_line | 0.18 | 524.03 | Raw ScoresNeurons:adrenal_medulla_cell_line: 0.43, Astrocyte:Embryonic_stem_cell-derived: 0.35, Neuroepithelial_cell:ESC-derived: 0.35, iPS_cells:PDB_1lox-21Puro-20: 0.34, iPS_cells:PDB_1lox-21Puro-26: 0.34, iPS_cells:PDB_2lox-22: 0.33, iPS_cells:PDB_1lox-17Puro-10: 0.33, iPS_cells:PDB_2lox-21: 0.33, iPS_cells:PDB_1lox-17Puro-5: 0.33, iPS_cells:PDB_2lox-17: 0.33 |
STDY7787237_AACGTTGTCGATAGAA | Neurons:adrenal_medulla_cell_line | 0.22 | 505.93 | Raw ScoresNeurons:adrenal_medulla_cell_line: 0.52, Neuroepithelial_cell:ESC-derived: 0.44, Astrocyte:Embryonic_stem_cell-derived: 0.43, iPS_cells:PDB_1lox-21Puro-20: 0.43, iPS_cells:PDB_1lox-21Puro-26: 0.42, iPS_cells:PDB_2lox-22: 0.42, iPS_cells:PDB_1lox-17Puro-10: 0.42, iPS_cells:PDB_1lox-17Puro-5: 0.42, iPS_cells:PDB_2lox-21: 0.42, iPS_cells:PDB_2lox-17: 0.42 |
STDY7787239_CGGTTAACAAGGCTCC | Neurons:adrenal_medulla_cell_line | 0.21 | 485.75 | Raw ScoresNeurons:adrenal_medulla_cell_line: 0.48, Neuroepithelial_cell:ESC-derived: 0.39, Astrocyte:Embryonic_stem_cell-derived: 0.38, iPS_cells:PDB_1lox-21Puro-20: 0.37, iPS_cells:PDB_1lox-21Puro-26: 0.37, iPS_cells:PDB_1lox-17Puro-10: 0.37, Neurons:ES_cell-derived_neural_precursor: 0.37, iPS_cells:PDB_1lox-17Puro-5: 0.37, iPS_cells:PDB_2lox-21: 0.37, iPS_cells:PDB_2lox-22: 0.36 |
STDY7787238_CTGTGCTAGTGAAGAG | Neurons:adrenal_medulla_cell_line | 0.18 | 481.97 | Raw ScoresNeurons:adrenal_medulla_cell_line: 0.43, Neuroepithelial_cell:ESC-derived: 0.35, Astrocyte:Embryonic_stem_cell-derived: 0.35, iPS_cells:PDB_1lox-21Puro-20: 0.34, iPS_cells:PDB_1lox-17Puro-10: 0.34, iPS_cells:PDB_1lox-21Puro-26: 0.33, iPS_cells:PDB_2lox-22: 0.33, iPS_cells:PDB_1lox-17Puro-5: 0.33, iPS_cells:PDB_2lox-21: 0.33, iPS_cells:PDB_2lox-17: 0.33 |
STDY7787237_TCGCGAGTCAGCTGGC | Neurons:adrenal_medulla_cell_line | 0.16 | 470.93 | Raw ScoresNeurons:adrenal_medulla_cell_line: 0.41, Astrocyte:Embryonic_stem_cell-derived: 0.34, Neuroepithelial_cell:ESC-derived: 0.34, iPS_cells:PDB_1lox-21Puro-20: 0.32, iPS_cells:PDB_1lox-21Puro-26: 0.32, iPS_cells:PDB_1lox-17Puro-10: 0.32, iPS_cells:PDB_1lox-17Puro-5: 0.32, iPS_cells:PDB_2lox-21: 0.32, iPS_cells:PDB_2lox-22: 0.32, iPS_cells:PDB_2lox-17: 0.32 |
STDY7787239_GGAACTTAGGGCACTA | Neurons:adrenal_medulla_cell_line | 0.20 | 433.72 | Raw ScoresNeurons:adrenal_medulla_cell_line: 0.44, Neuroepithelial_cell:ESC-derived: 0.37, Astrocyte:Embryonic_stem_cell-derived: 0.37, iPS_cells:PDB_1lox-21Puro-20: 0.35, Neurons:ES_cell-derived_neural_precursor: 0.35, iPS_cells:PDB_1lox-17Puro-10: 0.34, iPS_cells:PDB_1lox-21Puro-26: 0.34, iPS_cells:PDB_1lox-17Puro-5: 0.34, iPS_cells:PDB_2lox-22: 0.34, iPS_cells:PDB_2lox-21: 0.34 |
STDY7787239_GACGTTACATGGTAGG | Neurons:adrenal_medulla_cell_line | 0.20 | 431.95 | Raw ScoresNeurons:adrenal_medulla_cell_line: 0.43, Neuroepithelial_cell:ESC-derived: 0.36, Astrocyte:Embryonic_stem_cell-derived: 0.35, iPS_cells:PDB_1lox-21Puro-20: 0.35, iPS_cells:PDB_1lox-21Puro-26: 0.35, iPS_cells:PDB_1lox-17Puro-10: 0.35, iPS_cells:PDB_1lox-17Puro-5: 0.34, iPS_cells:PDB_2lox-22: 0.34, iPS_cells:PDB_2lox-21: 0.34, iPS_cells:PDB_2lox-17: 0.34 |
STDY7787238_GGTGTTACAATAGAGT | Neurons:adrenal_medulla_cell_line | 0.18 | 430.21 | Raw ScoresNeurons:adrenal_medulla_cell_line: 0.41, Neuroepithelial_cell:ESC-derived: 0.34, iPS_cells:PDB_1lox-21Puro-20: 0.33, iPS_cells:PDB_1lox-21Puro-26: 0.33, Astrocyte:Embryonic_stem_cell-derived: 0.33, iPS_cells:PDB_1lox-17Puro-10: 0.33, iPS_cells:PDB_2lox-22: 0.33, iPS_cells:PDB_2lox-21: 0.33, iPS_cells:PDB_1lox-17Puro-5: 0.33, iPS_cells:PDB_2lox-17: 0.33 |
STDY7787238_GGATTACGTGCGCTTG | Neurons:adrenal_medulla_cell_line | 0.15 | 400.02 | Raw ScoresNeurons:adrenal_medulla_cell_line: 0.39, Astrocyte:Embryonic_stem_cell-derived: 0.32, Neuroepithelial_cell:ESC-derived: 0.3, iPS_cells:PDB_1lox-21Puro-20: 0.3, iPS_cells:PDB_1lox-21Puro-26: 0.3, iPS_cells:PDB_1lox-17Puro-10: 0.29, iPS_cells:PDB_1lox-17Puro-5: 0.29, iPS_cells:PDB_2lox-22: 0.29, iPS_cells:PDB_2lox-21: 0.29, iPS_cells:iPS:minicircle-derived: 0.29 |
STDY7787237_CACATAGTCTATGTGG | Neurons:adrenal_medulla_cell_line | 0.17 | 398.94 | Raw ScoresNeurons:adrenal_medulla_cell_line: 0.43, Neuroepithelial_cell:ESC-derived: 0.35, Astrocyte:Embryonic_stem_cell-derived: 0.35, iPS_cells:PDB_1lox-21Puro-20: 0.34, iPS_cells:PDB_1lox-21Puro-26: 0.34, iPS_cells:PDB_2lox-22: 0.34, iPS_cells:PDB_2lox-21: 0.34, iPS_cells:PDB_2lox-17: 0.34, iPS_cells:PDB_1lox-17Puro-10: 0.34, iPS_cells:adipose_stem_cell-derived:minicircle-derived: 0.34 |
STDY7787238_GTTACAGAGCAAATCA | Neurons:adrenal_medulla_cell_line | 0.18 | 388.70 | Raw ScoresNeurons:adrenal_medulla_cell_line: 0.43, Neuroepithelial_cell:ESC-derived: 0.35, Astrocyte:Embryonic_stem_cell-derived: 0.35, iPS_cells:PDB_1lox-21Puro-20: 0.34, iPS_cells:PDB_1lox-21Puro-26: 0.34, iPS_cells:PDB_1lox-17Puro-10: 0.33, iPS_cells:PDB_2lox-22: 0.33, iPS_cells:PDB_1lox-17Puro-5: 0.33, iPS_cells:PDB_2lox-21: 0.33, iPS_cells:PDB_2lox-17: 0.33 |
STDY7787239_ATGTGTGAGTCCTCCT | Neurons:adrenal_medulla_cell_line | 0.18 | 375.92 | Raw ScoresNeurons:adrenal_medulla_cell_line: 0.41, Neuroepithelial_cell:ESC-derived: 0.35, Astrocyte:Embryonic_stem_cell-derived: 0.34, iPS_cells:PDB_1lox-21Puro-20: 0.34, iPS_cells:PDB_1lox-17Puro-10: 0.33, iPS_cells:PDB_1lox-21Puro-26: 0.33, iPS_cells:PDB_2lox-22: 0.33, iPS_cells:PDB_1lox-17Puro-5: 0.33, iPS_cells:PDB_2lox-17: 0.33, iPS_cells:PDB_2lox-21: 0.33 |
STDY7787237_TTCTACAAGCGTCTAT | Neurons:adrenal_medulla_cell_line | 0.19 | 370.93 | Raw ScoresNeurons:adrenal_medulla_cell_line: 0.47, Neuroepithelial_cell:ESC-derived: 0.41, Astrocyte:Embryonic_stem_cell-derived: 0.41, iPS_cells:PDB_1lox-21Puro-20: 0.39, iPS_cells:PDB_1lox-21Puro-26: 0.39, iPS_cells:PDB_1lox-17Puro-10: 0.39, iPS_cells:PDB_1lox-17Puro-5: 0.39, Neurons:ES_cell-derived_neural_precursor: 0.38, iPS_cells:PDB_2lox-22: 0.38, iPS_cells:PDB_2lox-21: 0.38 |
STDY7787239_GGTATTGGTTGTACAC | Neurons:adrenal_medulla_cell_line | 0.19 | 369.41 | Raw ScoresNeurons:adrenal_medulla_cell_line: 0.43, Neuroepithelial_cell:ESC-derived: 0.35, Astrocyte:Embryonic_stem_cell-derived: 0.35, iPS_cells:PDB_1lox-21Puro-20: 0.34, iPS_cells:PDB_1lox-21Puro-26: 0.34, iPS_cells:PDB_1lox-17Puro-5: 0.34, iPS_cells:PDB_2lox-22: 0.34, iPS_cells:PDB_1lox-17Puro-10: 0.34, iPS_cells:PDB_2lox-21: 0.33, iPS_cells:PDB_2lox-17: 0.33 |
STDY7787237_ACGGGTCAGAAGGTGA | Neurons:adrenal_medulla_cell_line | 0.19 | 360.48 | Raw ScoresNeurons:adrenal_medulla_cell_line: 0.44, Astrocyte:Embryonic_stem_cell-derived: 0.37, Neuroepithelial_cell:ESC-derived: 0.37, iPS_cells:PDB_1lox-21Puro-20: 0.35, iPS_cells:PDB_1lox-17Puro-10: 0.34, iPS_cells:PDB_1lox-21Puro-26: 0.34, iPS_cells:PDB_2lox-22: 0.34, iPS_cells:PDB_1lox-17Puro-5: 0.34, Neurons:ES_cell-derived_neural_precursor: 0.34, iPS_cells:PDB_2lox-5: 0.34 |
STDY7787239_TCAGCAAAGGCTAGCA | Neurons:adrenal_medulla_cell_line | 0.17 | 357.13 | Raw ScoresNeurons:adrenal_medulla_cell_line: 0.39, Neuroepithelial_cell:ESC-derived: 0.32, Astrocyte:Embryonic_stem_cell-derived: 0.32, iPS_cells:PDB_1lox-21Puro-26: 0.31, iPS_cells:PDB_1lox-21Puro-20: 0.31, iPS_cells:PDB_2lox-21: 0.31, iPS_cells:PDB_1lox-17Puro-5: 0.31, iPS_cells:PDB_2lox-22: 0.31, iPS_cells:PDB_1lox-17Puro-10: 0.31, iPS_cells:PDB_2lox-17: 0.31 |
STDY7787238_CTAGAGTTCTGAGTGT | Neurons:adrenal_medulla_cell_line | 0.23 | 352.58 | Raw ScoresNeurons:adrenal_medulla_cell_line: 0.5, Neuroepithelial_cell:ESC-derived: 0.44, Astrocyte:Embryonic_stem_cell-derived: 0.42, iPS_cells:PDB_1lox-21Puro-20: 0.41, iPS_cells:PDB_1lox-21Puro-26: 0.41, iPS_cells:PDB_1lox-17Puro-10: 0.41, iPS_cells:PDB_1lox-17Puro-5: 0.41, iPS_cells:PDB_2lox-22: 0.41, Neurons:ES_cell-derived_neural_precursor: 0.4, iPS_cells:PDB_2lox-21: 0.4 |
STDY7787238_GACTGCGCAATCCAAC | Neurons:adrenal_medulla_cell_line | 0.17 | 342.89 | Raw ScoresNeurons:adrenal_medulla_cell_line: 0.41, Astrocyte:Embryonic_stem_cell-derived: 0.34, Neuroepithelial_cell:ESC-derived: 0.33, iPS_cells:PDB_1lox-21Puro-20: 0.32, iPS_cells:PDB_1lox-21Puro-26: 0.32, iPS_cells:PDB_1lox-17Puro-5: 0.31, iPS_cells:PDB_1lox-17Puro-10: 0.31, iPS_cells:PDB_2lox-22: 0.31, iPS_cells:PDB_2lox-21: 0.31, iPS_cells:PDB_2lox-17: 0.31 |
STDY7787239_CTTACCGTCACTTATC | Neurons:adrenal_medulla_cell_line | 0.24 | 340.35 | Raw ScoresNeurons:adrenal_medulla_cell_line: 0.5, Neuroepithelial_cell:ESC-derived: 0.42, Astrocyte:Embryonic_stem_cell-derived: 0.41, iPS_cells:PDB_1lox-21Puro-20: 0.4, iPS_cells:PDB_1lox-21Puro-26: 0.39, iPS_cells:PDB_1lox-17Puro-10: 0.39, iPS_cells:PDB_1lox-17Puro-5: 0.39, Neurons:ES_cell-derived_neural_precursor: 0.39, iPS_cells:PDB_2lox-22: 0.39, Embryonic_stem_cells: 0.39 |
STDY7787237_TACGGGCGTTCACCTC | Neurons:adrenal_medulla_cell_line | 0.18 | 321.03 | Raw ScoresNeurons:adrenal_medulla_cell_line: 0.44, Astrocyte:Embryonic_stem_cell-derived: 0.35, Neuroepithelial_cell:ESC-derived: 0.35, iPS_cells:PDB_1lox-21Puro-20: 0.34, iPS_cells:PDB_1lox-21Puro-26: 0.34, iPS_cells:PDB_1lox-17Puro-10: 0.34, iPS_cells:PDB_2lox-22: 0.34, iPS_cells:PDB_1lox-17Puro-5: 0.34, iPS_cells:PDB_2lox-21: 0.34, iPS_cells:PDB_2lox-17: 0.34 |
STDY7787239_TCTCTAACAACACCCG | Neurons:adrenal_medulla_cell_line | 0.25 | 320.28 | Raw ScoresNeurons:adrenal_medulla_cell_line: 0.5, Neuroepithelial_cell:ESC-derived: 0.43, Astrocyte:Embryonic_stem_cell-derived: 0.41, iPS_cells:PDB_1lox-21Puro-20: 0.41, iPS_cells:PDB_1lox-21Puro-26: 0.41, iPS_cells:PDB_1lox-17Puro-10: 0.41, iPS_cells:PDB_1lox-17Puro-5: 0.4, iPS_cells:PDB_2lox-22: 0.4, Neurons:ES_cell-derived_neural_precursor: 0.4, iPS_cells:PDB_2lox-21: 0.4 |
STDY7787237_ATCCGAAAGGTGACCA | Neurons:adrenal_medulla_cell_line | 0.17 | 318.28 | Raw ScoresNeurons:adrenal_medulla_cell_line: 0.41, Astrocyte:Embryonic_stem_cell-derived: 0.34, Neuroepithelial_cell:ESC-derived: 0.33, iPS_cells:PDB_1lox-21Puro-20: 0.32, iPS_cells:PDB_1lox-17Puro-10: 0.32, iPS_cells:PDB_1lox-21Puro-26: 0.32, iPS_cells:PDB_2lox-22: 0.32, iPS_cells:adipose_stem_cell-derived:minicircle-derived: 0.32, iPS_cells:PDB_1lox-17Puro-5: 0.32, iPS_cells:PDB_2lox-21: 0.31 |
STDY7787238_CGAGCACTCCAAAGTC | Neurons:adrenal_medulla_cell_line | 0.20 | 314.66 | Raw ScoresNeurons:adrenal_medulla_cell_line: 0.45, Neuroepithelial_cell:ESC-derived: 0.38, iPS_cells:PDB_1lox-21Puro-20: 0.37, iPS_cells:PDB_1lox-21Puro-26: 0.37, iPS_cells:PDB_2lox-22: 0.37, iPS_cells:PDB_1lox-17Puro-5: 0.37, iPS_cells:PDB_1lox-17Puro-10: 0.36, Astrocyte:Embryonic_stem_cell-derived: 0.36, iPS_cells:PDB_2lox-21: 0.36, iPS_cells:PDB_2lox-17: 0.36 |
STDY7787239_CCAGCGACATCCTTGC | Neurons:adrenal_medulla_cell_line | 0.25 | 314.29 | Raw ScoresNeurons:adrenal_medulla_cell_line: 0.48, Neuroepithelial_cell:ESC-derived: 0.39, iPS_cells:PDB_1lox-21Puro-20: 0.38, iPS_cells:PDB_1lox-21Puro-26: 0.38, Astrocyte:Embryonic_stem_cell-derived: 0.38, iPS_cells:PDB_1lox-17Puro-10: 0.37, iPS_cells:PDB_1lox-17Puro-5: 0.37, Neurons:ES_cell-derived_neural_precursor: 0.37, Embryonic_stem_cells: 0.36, iPS_cells:PDB_2lox-22: 0.36 |
STDY7787238_AAGGTTCCATAGTAAG | Neurons:adrenal_medulla_cell_line | 0.18 | 313.47 | Raw ScoresNeurons:adrenal_medulla_cell_line: 0.38, Astrocyte:Embryonic_stem_cell-derived: 0.32, Neuroepithelial_cell:ESC-derived: 0.32, iPS_cells:PDB_1lox-21Puro-20: 0.31, iPS_cells:PDB_1lox-17Puro-10: 0.3, iPS_cells:PDB_1lox-21Puro-26: 0.3, iPS_cells:PDB_1lox-17Puro-5: 0.3, iPS_cells:PDB_2lox-22: 0.3, iPS_cells:PDB_2lox-21: 0.3, iPS_cells:PDB_2lox-17: 0.3 |
STDY7787238_CAAGATCGTCCGAACC | Neurons:adrenal_medulla_cell_line | 0.22 | 309.58 | Raw ScoresNeurons:adrenal_medulla_cell_line: 0.49, Astrocyte:Embryonic_stem_cell-derived: 0.43, Neuroepithelial_cell:ESC-derived: 0.42, Neurons:ES_cell-derived_neural_precursor: 0.39, iPS_cells:PDB_1lox-21Puro-20: 0.39, iPS_cells:PDB_1lox-21Puro-26: 0.39, iPS_cells:PDB_1lox-17Puro-10: 0.38, iPS_cells:PDB_2lox-22: 0.38, iPS_cells:PDB_2lox-21: 0.38, iPS_cells:PDB_1lox-17Puro-5: 0.38 |
STDY7787238_TCGCGAGAGATGAGAG | Neurons:adrenal_medulla_cell_line | 0.17 | 307.54 | Raw ScoresNeurons:adrenal_medulla_cell_line: 0.38, Astrocyte:Embryonic_stem_cell-derived: 0.3, Neuroepithelial_cell:ESC-derived: 0.3, iPS_cells:PDB_1lox-21Puro-20: 0.29, iPS_cells:PDB_1lox-17Puro-5: 0.29, iPS_cells:PDB_1lox-21Puro-26: 0.29, iPS_cells:PDB_1lox-17Puro-10: 0.29, iPS_cells:PDB_2lox-22: 0.29, iPS_cells:PDB_2lox-21: 0.28, iPS_cells:PDB_2lox-17: 0.28 |
STDY7787237_CGGTTAACAGGAACGT | Neurons:adrenal_medulla_cell_line | 0.14 | 302.61 | Raw ScoresNeurons:adrenal_medulla_cell_line: 0.39, Astrocyte:Embryonic_stem_cell-derived: 0.32, Neuroepithelial_cell:ESC-derived: 0.32, iPS_cells:PDB_1lox-21Puro-20: 0.31, iPS_cells:PDB_1lox-21Puro-26: 0.31, iPS_cells:PDB_1lox-17Puro-5: 0.31, iPS_cells:PDB_1lox-17Puro-10: 0.31, iPS_cells:CRL2097_foreskin-derived:undiff.: 0.31, iPS_cells:PDB_2lox-22: 0.3, iPS_cells:PDB_2lox-21: 0.3 |
STDY7787237_TTGCGTCCAATGGAGC | Neurons:adrenal_medulla_cell_line | 0.16 | 299.97 | Raw ScoresNeurons:adrenal_medulla_cell_line: 0.41, Astrocyte:Embryonic_stem_cell-derived: 0.35, Neuroepithelial_cell:ESC-derived: 0.35, iPS_cells:PDB_1lox-21Puro-20: 0.33, iPS_cells:PDB_1lox-17Puro-5: 0.33, iPS_cells:PDB_1lox-21Puro-26: 0.33, iPS_cells:PDB_1lox-17Puro-10: 0.33, Neurons:ES_cell-derived_neural_precursor: 0.32, iPS_cells:PDB_2lox-22: 0.32, iPS_cells:PDB_2lox-21: 0.32 |
STDY7787237_GTACGTATCCTAGGGC | Neurons:adrenal_medulla_cell_line | 0.18 | 298.46 | Raw ScoresNeurons:adrenal_medulla_cell_line: 0.43, Neuroepithelial_cell:ESC-derived: 0.35, Astrocyte:Embryonic_stem_cell-derived: 0.35, iPS_cells:PDB_1lox-21Puro-20: 0.34, iPS_cells:PDB_1lox-17Puro-10: 0.34, iPS_cells:PDB_1lox-21Puro-26: 0.34, iPS_cells:PDB_1lox-17Puro-5: 0.34, iPS_cells:PDB_2lox-22: 0.33, iPS_cells:PDB_2lox-21: 0.33, iPS_cells:iPS:minicircle-derived: 0.33 |
STDY7787237_GGGCACTGTATAGTAG | Neurons:adrenal_medulla_cell_line | 0.14 | 295.76 | Raw ScoresNeurons:adrenal_medulla_cell_line: 0.36, Neuroepithelial_cell:ESC-derived: 0.29, Astrocyte:Embryonic_stem_cell-derived: 0.29, iPS_cells:PDB_1lox-21Puro-20: 0.28, iPS_cells:PDB_1lox-21Puro-26: 0.28, iPS_cells:adipose_stem_cell-derived:lentiviral: 0.27, iPS_cells:PDB_1lox-17Puro-5: 0.27, iPS_cells:PDB_1lox-17Puro-10: 0.27, iPS_cells:adipose_stem_cell-derived:minicircle-derived: 0.27, iPS_cells:PDB_2lox-17: 0.27 |
STDY7787238_CTGCGGACATGAGCGA | Neurons:adrenal_medulla_cell_line | 0.18 | 294.03 | Raw ScoresNeurons:adrenal_medulla_cell_line: 0.41, Neuroepithelial_cell:ESC-derived: 0.35, Astrocyte:Embryonic_stem_cell-derived: 0.34, Neurons:ES_cell-derived_neural_precursor: 0.33, iPS_cells:PDB_1lox-21Puro-20: 0.33, iPS_cells:PDB_1lox-21Puro-26: 0.32, iPS_cells:PDB_2lox-22: 0.32, iPS_cells:PDB_1lox-17Puro-10: 0.32, iPS_cells:PDB_2lox-17: 0.32, iPS_cells:PDB_2lox-21: 0.32 |
STDY7787238_GTTTCTAGTGAAAGAG | Neurons:adrenal_medulla_cell_line | 0.22 | 291.05 | Raw ScoresNeurons:adrenal_medulla_cell_line: 0.47, Neuroepithelial_cell:ESC-derived: 0.4, Astrocyte:Embryonic_stem_cell-derived: 0.4, iPS_cells:PDB_1lox-21Puro-20: 0.39, iPS_cells:PDB_1lox-21Puro-26: 0.38, iPS_cells:PDB_1lox-17Puro-10: 0.38, iPS_cells:PDB_1lox-17Puro-5: 0.38, iPS_cells:PDB_2lox-22: 0.38, Embryonic_stem_cells: 0.38, iPS_cells:PDB_2lox-21: 0.38 |
STDY7787239_GTCATTTCATACTACG | Neurons:adrenal_medulla_cell_line | 0.19 | 290.59 | Raw ScoresNeurons:adrenal_medulla_cell_line: 0.44, Neuroepithelial_cell:ESC-derived: 0.35, Astrocyte:Embryonic_stem_cell-derived: 0.35, iPS_cells:PDB_1lox-21Puro-20: 0.34, iPS_cells:PDB_1lox-21Puro-26: 0.34, iPS_cells:PDB_1lox-17Puro-10: 0.34, iPS_cells:PDB_2lox-21: 0.34, iPS_cells:PDB_2lox-22: 0.33, iPS_cells:PDB_1lox-17Puro-5: 0.33, iPS_cells:iPS:minicircle-derived: 0.33 |
Below shows the significant enrichments of this GEP for literature curated gene lists
This data was procured from existing single cell RNA-seq maps of neuroblastoma or related relevant data.
High ranks indicate this gene is a driver of this GEP.
These curated gene list are ranked by the P-value (on this GEP) of their constituent genes.
The Mean Count column shows the mean read count in cells scoring highly (H > 50) on this gene expression program.
Genes | Weight | Rank | GTEx | DepMap | Decartes | Mean.Counts | Mean.TPM |
---|---|---|---|---|---|---|---|
ELAVL3 | 0.0032317 | 127 | GTEx | DepMap | Descartes | 3.44 | 154.55 |
ISL1 | 0.0024248 | 253 | GTEx | DepMap | Descartes | 3.02 | 317.97 |
STMN2 | 0.0022958 | 275 | GTEx | DepMap | Descartes | 60.80 | 6980.94 |
ELAVL4 | 0.0009324 | 1019 | GTEx | DepMap | Descartes | 6.58 | 358.53 |
Symphathoblasts Fig2 (Kamenva)
Marker genes were obtained from Fig. 2H of Kameneva et al (PMID 33833454) for symphathoblasts (differentiating from SCPs):
Wilcoxon ranksum test P-value for gene set overrepresentation: 7.12e-04
Mean rank of genes in gene set: 1107.8
Rank on gene expression program of genes in gene set:
Genes | Weight | Rank | GTEx | DepMap | Decartes | Mean.Counts | Mean.TPM |
---|---|---|---|---|---|---|---|
ISL1 | 0.0024248 | 253 | GTEx | DepMap | Descartes | 3.02 | 317.97 |
STMN2 | 0.0022958 | 275 | GTEx | DepMap | Descartes | 60.80 | 6980.94 |
HAND2 | 0.0022286 | 292 | GTEx | DepMap | Descartes | 5.40 | 485.67 |
ELAVL4 | 0.0009324 | 1019 | GTEx | DepMap | Descartes | 6.58 | 358.53 |
ELAVL2 | 0.0001330 | 3700 | GTEx | DepMap | Descartes | 1.70 | 86.72 |
N Chromafin (Hanemaaijer)
Marker genes obtained from Supplementary Table SD of Hanemaaijer et al (PMID 33500353). The authors generated single-cell RNA-seq data (sort-seq, 2,229 cells total) from mouse adrenal glads at E13.5, E14.5, E17.5, E18.5, P1 and P5. These were marker genes that matched with a similar dataset generated by Furlan et al (PMID 28684471). This particular set of markers are for the Norepinepherine Chromaffin subcluster, which is part of the Adrenal Medulla cluster.:
Wilcoxon ranksum test P-value for gene set overrepresentation: 1.04e-03
Mean rank of genes in gene set: 3487.69
Rank on gene expression program of genes in gene set:
Genes | Weight | Rank | GTEx | DepMap | Decartes | Mean.Counts | Mean.TPM |
---|---|---|---|---|---|---|---|
SCG5 | 0.0027304 | 185 | GTEx | DepMap | Descartes | 3.58 | 774.29 |
SCG3 | 0.0017089 | 467 | GTEx | DepMap | Descartes | 2.72 | 218.33 |
SLCO3A1 | 0.0013775 | 641 | GTEx | DepMap | Descartes | 2.04 | 101.04 |
CACNA2D1 | 0.0012416 | 725 | GTEx | DepMap | Descartes | 0.95 | 38.04 |
ADCYAP1R1 | 0.0011640 | 793 | GTEx | DepMap | Descartes | 0.24 | 8.56 |
GNAS | 0.0007491 | 1300 | GTEx | DepMap | Descartes | 18.03 | 1001.51 |
PPFIA2 | 0.0007486 | 1302 | GTEx | DepMap | Descartes | 0.29 | 14.76 |
CELF4 | 0.0006602 | 1493 | GTEx | DepMap | Descartes | 3.17 | 185.50 |
NAP1L5 | 0.0004350 | 2147 | GTEx | DepMap | Descartes | 0.79 | 110.95 |
SNAP25 | 0.0004229 | 2189 | GTEx | DepMap | Descartes | 2.70 | 250.97 |
LGR5 | -0.0000332 | 5298 | GTEx | DepMap | Descartes | 0.01 | 0.38 |
PCLO | -0.0000656 | 5806 | GTEx | DepMap | Descartes | 0.86 | 9.56 |
SYN2 | -0.0001152 | 6610 | GTEx | DepMap | Descartes | 0.04 | 1.97 |
CXCL14 | -0.0001422 | 7051 | GTEx | DepMap | Descartes | 0.12 | 15.17 |
PTPRN | -0.0002042 | 8000 | GTEx | DepMap | Descartes | 0.43 | 14.22 |
C1QL1 | -0.0007154 | 11796 | GTEx | DepMap | Descartes | 0.13 | 11.69 |
Below shows ranks on this GEP for literature curated gene lists for large gene sets
These include those reported as mesenchymal/adrenergic by Van Groningen et al.
High ranks indicate this gene is a driver of this GEP (note these results are not ordered).
The Mean Count column shows the mean read count in cells scoring highly (H > 50) on this gene expression program.
VanGroningen Adrenergic Genes
Adrenergic marker genes from Supplementary Table 2 of Van Groningen et al. Nature Genetics 2017. These genes were identified by differential expression analysis of mesenchymal-like and adrenergic-like neuroblastoma cell lines.
Wilcoxon ranksum test P-value for gene set overrepresentation: 1.02e-21
Mean rank of genes in gene set: 4327.93
Median rank of genes in gene set: 2297
Rank on gene expression program of top 30 genes in gene set:
Genes | Weight | Rank | GTEx | DepMap | Descartes | Mean.Counts | Mean.TPM |
---|---|---|---|---|---|---|---|
PKIA | 0.0071768 | 8 | GTEx | DepMap | Descartes | 8.91 | 506.47 |
ICA1 | 0.0064615 | 16 | GTEx | DepMap | Descartes | 7.34 | 795.28 |
GAL | 0.0054785 | 26 | GTEx | DepMap | Descartes | 17.53 | 5514.95 |
GLCCI1 | 0.0050009 | 32 | GTEx | DepMap | Descartes | 5.04 | 261.82 |
CCNI | 0.0049622 | 33 | GTEx | DepMap | Descartes | 22.13 | 1804.42 |
PHOX2A | 0.0048503 | 36 | GTEx | DepMap | Descartes | 7.94 | 1160.99 |
OLA1 | 0.0044593 | 51 | GTEx | DepMap | Descartes | 5.42 | 284.70 |
BMPR1B | 0.0044232 | 53 | GTEx | DepMap | Descartes | 3.29 | 169.35 |
HMGA1 | 0.0043946 | 54 | GTEx | DepMap | Descartes | 6.60 | 687.19 |
DDC | 0.0042436 | 61 | GTEx | DepMap | Descartes | 4.00 | 462.11 |
SYT1 | 0.0041890 | 65 | GTEx | DepMap | Descartes | 6.61 | 331.29 |
RBP1 | 0.0041687 | 68 | GTEx | DepMap | Descartes | 8.31 | 1011.19 |
GGCT | 0.0040951 | 70 | GTEx | DepMap | Descartes | 4.76 | 947.37 |
ARHGEF7 | 0.0040467 | 72 | GTEx | DepMap | Descartes | 4.81 | 176.34 |
IRS2 | 0.0039453 | 76 | GTEx | DepMap | Descartes | 7.86 | 246.66 |
REC8 | 0.0037610 | 85 | GTEx | DepMap | Descartes | 2.09 | 177.96 |
NELL2 | 0.0036839 | 95 | GTEx | DepMap | Descartes | 2.87 | 182.66 |
GABRB3 | 0.0034401 | 111 | GTEx | DepMap | Descartes | 1.28 | 50.58 |
BMP7 | 0.0033398 | 116 | GTEx | DepMap | Descartes | 0.67 | 39.46 |
KLHL23 | 0.0032602 | 124 | GTEx | DepMap | Descartes | 3.09 | 173.36 |
ELAVL3 | 0.0032317 | 127 | GTEx | DepMap | Descartes | 3.44 | 154.55 |
ATCAY | 0.0031853 | 134 | GTEx | DepMap | Descartes | 1.83 | 81.30 |
TMEM97 | 0.0031685 | 136 | GTEx | DepMap | Descartes | 1.80 | 153.62 |
ALK | 0.0031661 | 137 | GTEx | DepMap | Descartes | 0.52 | 22.11 |
FOXO3 | 0.0031167 | 142 | GTEx | DepMap | Descartes | 3.70 | 134.55 |
TFAP2B | 0.0030848 | 144 | GTEx | DepMap | Descartes | 4.31 | 209.60 |
POPDC3 | 0.0029123 | 163 | GTEx | DepMap | Descartes | 0.37 | 45.68 |
GRIA2 | 0.0028485 | 171 | GTEx | DepMap | Descartes | 2.07 | 106.18 |
LRRTM2 | 0.0028439 | 172 | GTEx | DepMap | Descartes | 0.90 | 37.97 |
FKBP4 | 0.0027984 | 176 | GTEx | DepMap | Descartes | 2.68 | 183.30 |
VanGroningen Mesenchymal Genes
Mesenchymal marker genes from Supplementary Table 2 of Van Groningen et al. Nature Genetics 2017. These genes were identified by differential expression analysis of mesenchymal-like and adrenergic-like neuroblastoma cell lines.
Wilcoxon ranksum test P-value for gene set overrepresentation: 1.00e+00
Mean rank of genes in gene set: 9024.03
Median rank of genes in gene set: 9941
Rank on gene expression program of top 30 genes in gene set:
Genes | Weight | Rank | GTEx | DepMap | Descartes | Mean.Counts | Mean.TPM |
---|---|---|---|---|---|---|---|
ENAH | 0.0033982 | 112 | GTEx | DepMap | Descartes | 3.09 | 55.84 |
MEST | 0.0030756 | 146 | GTEx | DepMap | Descartes | 2.61 | 265.21 |
GAS2 | 0.0025010 | 233 | GTEx | DepMap | Descartes | 0.09 | 7.11 |
LAMB1 | 0.0018501 | 420 | GTEx | DepMap | Descartes | 1.02 | 48.39 |
NES | 0.0017679 | 443 | GTEx | DepMap | Descartes | 1.51 | 70.46 |
COL11A1 | 0.0017303 | 455 | GTEx | DepMap | Descartes | 0.39 | 12.28 |
CTNNA1 | 0.0017150 | 462 | GTEx | DepMap | Descartes | 1.68 | 104.23 |
ALDH1A3 | 0.0016642 | 494 | GTEx | DepMap | Descartes | 0.28 | 22.67 |
TMEFF2 | 0.0011092 | 834 | GTEx | DepMap | Descartes | 1.76 | 134.46 |
PDE3A | 0.0010108 | 935 | GTEx | DepMap | Descartes | 0.13 | 4.05 |
SCRG1 | 0.0009885 | 964 | GTEx | DepMap | Descartes | 0.55 | 44.85 |
STAT1 | 0.0008947 | 1073 | GTEx | DepMap | Descartes | 2.44 | 147.94 |
CTDSP2 | 0.0008810 | 1095 | GTEx | DepMap | Descartes | 0.96 | 49.83 |
SERPINE2 | 0.0008447 | 1146 | GTEx | DepMap | Descartes | 1.58 | 64.65 |
FZD1 | 0.0008168 | 1188 | GTEx | DepMap | Descartes | 0.19 | 6.16 |
CALD1 | 0.0008104 | 1200 | GTEx | DepMap | Descartes | 3.33 | 189.33 |
KDM5B | 0.0007852 | 1239 | GTEx | DepMap | Descartes | 0.98 | 25.63 |
TPM1 | 0.0007640 | 1272 | GTEx | DepMap | Descartes | 2.28 | 137.85 |
CKAP4 | 0.0005651 | 1733 | GTEx | DepMap | Descartes | 1.18 | 94.91 |
TJP1 | 0.0005365 | 1814 | GTEx | DepMap | Descartes | 0.45 | 13.09 |
JAM3 | 0.0005289 | 1836 | GTEx | DepMap | Descartes | 0.26 | 16.93 |
SLC39A14 | 0.0005038 | 1913 | GTEx | DepMap | Descartes | 0.24 | 11.83 |
SSBP4 | 0.0004793 | 1994 | GTEx | DepMap | Descartes | 1.58 | 210.50 |
NFIC | 0.0004681 | 2033 | GTEx | DepMap | Descartes | 0.65 | 18.31 |
LMAN1 | 0.0004525 | 2093 | GTEx | DepMap | Descartes | 1.44 | 75.88 |
ATP1B1 | 0.0003923 | 2313 | GTEx | DepMap | Descartes | 4.59 | 336.13 |
PRDX6 | 0.0003497 | 2491 | GTEx | DepMap | Descartes | 2.61 | 335.91 |
HIBADH | 0.0003406 | 2523 | GTEx | DepMap | Descartes | 0.46 | 64.37 |
TPM2 | 0.0002914 | 2728 | GTEx | DepMap | Descartes | 0.90 | 145.03 |
FKBP14 | 0.0002764 | 2807 | GTEx | DepMap | Descartes | 0.13 | 2.96 |
Descartes adrenocortical markers
Top 50 marker genes of adrenocortical cells in the Decartes fetal adrenal single cell map (https://atlas.brotmanbaty.org/bbi/human-gene-expression-during-development/cell/adrenocortical/in/adrenal)
Wilcoxon ranksum test P-value for gene set overrepresentation: 9.59e-01
Mean rank of genes in gene set: 7323.42
Median rank of genes in gene set: 7738.5
Rank on gene expression program of top 30 genes in gene set:
Genes | Weight | Rank | GTEx | DepMap | Descartes | Mean.Counts | Mean.TPM |
---|---|---|---|---|---|---|---|
GSTA4 | 0.0009560 | 998 | GTEx | DepMap | Descartes | 1.38 | 188.60 |
SLC1A2 | 0.0008397 | 1155 | GTEx | DepMap | Descartes | 0.27 | 6.16 |
JAKMIP2 | 0.0006141 | 1612 | GTEx | DepMap | Descartes | 0.65 | 14.12 |
SLC16A9 | 0.0004838 | 1974 | GTEx | DepMap | Descartes | 0.19 | 10.55 |
FRMD5 | 0.0004785 | 1997 | GTEx | DepMap | Descartes | 0.10 | 4.93 |
GRAMD1B | 0.0002553 | 2931 | GTEx | DepMap | Descartes | 0.11 | 3.65 |
SCARB1 | 0.0002271 | 3079 | GTEx | DepMap | Descartes | 0.41 | 17.65 |
PDE10A | 0.0002000 | 3253 | GTEx | DepMap | Descartes | 0.10 | 3.20 |
SGCZ | -0.0000086 | 5037 | GTEx | DepMap | Descartes | 0.00 | 0.00 |
SCAP | -0.0000236 | 5176 | GTEx | DepMap | Descartes | 0.20 | 12.32 |
FREM2 | -0.0000422 | 5424 | GTEx | DepMap | Descartes | 0.00 | 0.00 |
TM7SF2 | -0.0000476 | 5501 | GTEx | DepMap | Descartes | 0.34 | 35.16 |
BAIAP2L1 | -0.0000559 | 5629 | GTEx | DepMap | Descartes | 0.02 | 2.20 |
MSMO1 | -0.0000651 | 5795 | GTEx | DepMap | Descartes | 0.43 | 39.45 |
DHCR24 | -0.0000677 | 5833 | GTEx | DepMap | Descartes | 0.38 | 12.77 |
DHCR7 | -0.0001155 | 6617 | GTEx | DepMap | Descartes | 0.19 | 16.35 |
HMGCR | -0.0001229 | 6742 | GTEx | DepMap | Descartes | 0.27 | 11.24 |
IGF1R | -0.0001416 | 7037 | GTEx | DepMap | Descartes | 0.30 | 5.74 |
CLU | -0.0002339 | 8440 | GTEx | DepMap | Descartes | 3.82 | 364.57 |
SH3PXD2B | -0.0002633 | 8828 | GTEx | DepMap | Descartes | 0.05 | 1.42 |
NPC1 | -0.0002766 | 8990 | GTEx | DepMap | Descartes | 0.10 | 3.96 |
STAR | -0.0002770 | 8994 | GTEx | DepMap | Descartes | 0.07 | 5.42 |
PEG3 | -0.0003578 | 9922 | GTEx | DepMap | Descartes | 0.21 | NA |
PAPSS2 | -0.0003694 | 10012 | GTEx | DepMap | Descartes | 0.01 | 0.06 |
LDLR | -0.0003932 | 10203 | GTEx | DepMap | Descartes | 0.10 | 4.62 |
INHA | -0.0003972 | 10236 | GTEx | DepMap | Descartes | 0.01 | 0.96 |
APOC1 | -0.0004073 | 10313 | GTEx | DepMap | Descartes | 2.63 | 282.81 |
ERN1 | -0.0004268 | 10485 | GTEx | DepMap | Descartes | 0.06 | 1.46 |
POR | -0.0004983 | 10909 | GTEx | DepMap | Descartes | 0.28 | 25.62 |
CYB5B | -0.0005300 | 11079 | GTEx | DepMap | Descartes | 0.50 | 29.27 |
Descartes chromaffin markers
Top 50 marker genes of chromaffin cells in the Decartes fetal adrenal single cell map (https://atlas.brotmanbaty.org/bbi/human-gene-expression-during-development/cell/chromaffin/in/adrenal)
Wilcoxon ranksum test P-value for gene set overrepresentation: 1.07e-03
Mean rank of genes in gene set: 4540.76
Median rank of genes in gene set: 2209
Rank on gene expression program of top 30 genes in gene set:
Genes | Weight | Rank | GTEx | DepMap | Descartes | Mean.Counts | Mean.TPM |
---|---|---|---|---|---|---|---|
IL7 | 0.0070711 | 9 | GTEx | DepMap | Descartes | 8.03 | 947.57 |
GAL | 0.0054785 | 26 | GTEx | DepMap | Descartes | 17.53 | 5514.95 |
EYA4 | 0.0036362 | 97 | GTEx | DepMap | Descartes | 1.17 | 56.27 |
ALK | 0.0031661 | 137 | GTEx | DepMap | Descartes | 0.52 | 22.11 |
MAB21L2 | 0.0025879 | 218 | GTEx | DepMap | Descartes | 0.88 | 84.32 |
ISL1 | 0.0024248 | 253 | GTEx | DepMap | Descartes | 3.02 | 317.97 |
STMN2 | 0.0022958 | 275 | GTEx | DepMap | Descartes | 60.80 | 6980.94 |
RBFOX1 | 0.0020362 | 344 | GTEx | DepMap | Descartes | 1.18 | 49.91 |
CCND1 | 0.0016987 | 472 | GTEx | DepMap | Descartes | 8.21 | 523.27 |
EYA1 | 0.0016763 | 488 | GTEx | DepMap | Descartes | 0.49 | 30.65 |
SLC44A5 | 0.0015246 | 566 | GTEx | DepMap | Descartes | 0.52 | 28.61 |
RYR2 | 0.0013797 | 640 | GTEx | DepMap | Descartes | 0.40 | 6.27 |
SLC6A2 | 0.0013236 | 671 | GTEx | DepMap | Descartes | 0.48 | 31.01 |
TUBB2B | 0.0011765 | 778 | GTEx | DepMap | Descartes | 19.72 | 2404.78 |
TMEFF2 | 0.0011092 | 834 | GTEx | DepMap | Descartes | 1.76 | 134.46 |
CNKSR2 | 0.0008973 | 1066 | GTEx | DepMap | Descartes | 0.33 | 9.22 |
PTCHD1 | 0.0008826 | 1092 | GTEx | DepMap | Descartes | 0.51 | 10.20 |
TMEM132C | 0.0008165 | 1191 | GTEx | DepMap | Descartes | 0.25 | 14.81 |
MARCH11 | 0.0006393 | 1553 | GTEx | DepMap | Descartes | 0.59 | NA |
CNTFR | 0.0005724 | 1711 | GTEx | DepMap | Descartes | 1.46 | 188.51 |
FAT3 | 0.0004184 | 2209 | GTEx | DepMap | Descartes | 0.15 | 2.42 |
PLXNA4 | 0.0001980 | 3269 | GTEx | DepMap | Descartes | 0.53 | 8.78 |
RGMB | 0.0001823 | 3367 | GTEx | DepMap | Descartes | 0.95 | 42.76 |
ANKFN1 | 0.0001433 | 3629 | GTEx | DepMap | Descartes | 0.12 | 7.72 |
ELAVL2 | 0.0001330 | 3700 | GTEx | DepMap | Descartes | 1.70 | 86.72 |
MAP1B | 0.0000392 | 4514 | GTEx | DepMap | Descartes | 12.84 | 217.83 |
KCNB2 | -0.0001140 | 6591 | GTEx | DepMap | Descartes | 0.07 | 4.05 |
EPHA6 | -0.0001808 | 7667 | GTEx | DepMap | Descartes | 0.04 | 2.04 |
SYNPO2 | -0.0002061 | 8023 | GTEx | DepMap | Descartes | 0.13 | 1.22 |
RPH3A | -0.0002217 | 8256 | GTEx | DepMap | Descartes | 0.05 | 1.14 |
Descartes Vascular_endothelial markers
Top 50 marker genes of Vascular_endothelial cells in the Decartes fetal adrenal single cell map (https://atlas.brotmanbaty.org/bbi/human-gene-expression-during-development/cell/vascular_endothelial/in/adrenal)
Wilcoxon ranksum test P-value for gene set overrepresentation: 9.94e-01
Mean rank of genes in gene set: 7735.05
Median rank of genes in gene set: 8376.5
Rank on gene expression program of top 30 genes in gene set:
Genes | Weight | Rank | GTEx | DepMap | Descartes | Mean.Counts | Mean.TPM |
---|---|---|---|---|---|---|---|
IRX3 | 0.0007394 | 1316 | GTEx | DepMap | Descartes | 0.13 | 10.70 |
RAMP2 | 0.0003541 | 2474 | GTEx | DepMap | Descartes | 1.48 | 402.57 |
ARHGAP29 | 0.0001632 | 3505 | GTEx | DepMap | Descartes | 0.57 | 13.99 |
EHD3 | 0.0000457 | 4460 | GTEx | DepMap | Descartes | 0.10 | 4.76 |
CEACAM1 | -0.0000225 | 5164 | GTEx | DepMap | Descartes | 0.11 | 8.19 |
PODXL | -0.0000439 | 5442 | GTEx | DepMap | Descartes | 0.10 | 5.24 |
GALNT15 | -0.0000613 | 5732 | GTEx | DepMap | Descartes | 0.01 | NA |
MYRIP | -0.0000772 | 5978 | GTEx | DepMap | Descartes | 0.04 | 0.89 |
NR5A2 | -0.0001454 | 7110 | GTEx | DepMap | Descartes | 0.00 | 0.00 |
CYP26B1 | -0.0001524 | 7232 | GTEx | DepMap | Descartes | 0.01 | 0.11 |
CHRM3 | -0.0001559 | 7296 | GTEx | DepMap | Descartes | 0.28 | 4.82 |
SHE | -0.0001612 | 7391 | GTEx | DepMap | Descartes | 0.01 | 0.34 |
ESM1 | -0.0001665 | 7478 | GTEx | DepMap | Descartes | 0.02 | 0.52 |
CRHBP | -0.0001891 | 7776 | GTEx | DepMap | Descartes | 0.00 | 0.00 |
CDH13 | -0.0001943 | 7848 | GTEx | DepMap | Descartes | 0.04 | 0.63 |
SHANK3 | -0.0001963 | 7866 | GTEx | DepMap | Descartes | 0.03 | 0.74 |
BTNL9 | -0.0001995 | 7923 | GTEx | DepMap | Descartes | 0.03 | 2.14 |
FLT4 | -0.0002005 | 7944 | GTEx | DepMap | Descartes | 0.00 | 0.00 |
KDR | -0.0002224 | 8267 | GTEx | DepMap | Descartes | 0.00 | 0.00 |
TEK | -0.0002374 | 8486 | GTEx | DepMap | Descartes | 0.00 | 0.00 |
SLCO2A1 | -0.0002376 | 8495 | GTEx | DepMap | Descartes | 0.00 | 0.00 |
KANK3 | -0.0002398 | 8524 | GTEx | DepMap | Descartes | 0.01 | 0.48 |
NOTCH4 | -0.0002489 | 8631 | GTEx | DepMap | Descartes | 0.13 | 4.30 |
F8 | -0.0002549 | 8714 | GTEx | DepMap | Descartes | 0.00 | 0.00 |
NPR1 | -0.0002570 | 8746 | GTEx | DepMap | Descartes | 0.00 | 0.00 |
HYAL2 | -0.0002652 | 8850 | GTEx | DepMap | Descartes | 0.29 | 15.02 |
ROBO4 | -0.0002687 | 8898 | GTEx | DepMap | Descartes | 0.03 | 1.55 |
MMRN2 | -0.0002744 | 8970 | GTEx | DepMap | Descartes | 0.01 | 0.10 |
RASIP1 | -0.0002748 | 8974 | GTEx | DepMap | Descartes | 0.00 | 0.00 |
PTPRB | -0.0002767 | 8991 | GTEx | DepMap | Descartes | 0.02 | 0.24 |
Descartes stromal markers
Top 50 marker genes of stromal cells in the Decartes fetal adrenal single cell map (https://atlas.brotmanbaty.org/bbi/human-gene-expression-during-development/cell/stromal/in/adrenal)
Wilcoxon ranksum test P-value for gene set overrepresentation: 1.00e+00
Mean rank of genes in gene set: 8204.55
Median rank of genes in gene set: 8976
Rank on gene expression program of top 30 genes in gene set:
Genes | Weight | Rank | GTEx | DepMap | Descartes | Mean.Counts | Mean.TPM |
---|---|---|---|---|---|---|---|
GAS2 | 0.0025010 | 233 | GTEx | DepMap | Descartes | 0.09 | 7.11 |
PCOLCE | 0.0007205 | 1349 | GTEx | DepMap | Descartes | 1.46 | 249.94 |
LAMC3 | 0.0000940 | 4024 | GTEx | DepMap | Descartes | 0.01 | 0.31 |
COL27A1 | 0.0000203 | 4719 | GTEx | DepMap | Descartes | 0.02 | 0.66 |
ADAMTS2 | -0.0000007 | 4949 | GTEx | DepMap | Descartes | 0.11 | 4.06 |
GLI2 | -0.0000497 | 5535 | GTEx | DepMap | Descartes | 0.01 | 0.23 |
FREM1 | -0.0000627 | 5755 | GTEx | DepMap | Descartes | 0.02 | 0.36 |
PRICKLE1 | -0.0000874 | 6127 | GTEx | DepMap | Descartes | 0.13 | 4.50 |
LRRC17 | -0.0000902 | 6173 | GTEx | DepMap | Descartes | 0.06 | 4.33 |
ITGA11 | -0.0001233 | 6745 | GTEx | DepMap | Descartes | 0.05 | 1.16 |
ADAMTSL3 | -0.0001320 | 6881 | GTEx | DepMap | Descartes | 0.03 | 0.99 |
CLDN11 | -0.0001825 | 7694 | GTEx | DepMap | Descartes | 0.05 | 2.67 |
RSPO3 | -0.0002056 | 8018 | GTEx | DepMap | Descartes | 0.00 | NA |
DKK2 | -0.0002081 | 8060 | GTEx | DepMap | Descartes | 0.00 | 0.00 |
PAMR1 | -0.0002140 | 8145 | GTEx | DepMap | Descartes | 0.02 | 0.65 |
SFRP2 | -0.0002171 | 8188 | GTEx | DepMap | Descartes | 0.01 | 0.12 |
EDNRA | -0.0002295 | 8370 | GTEx | DepMap | Descartes | 0.00 | 0.00 |
SCARA5 | -0.0002319 | 8399 | GTEx | DepMap | Descartes | 0.00 | 0.00 |
C7 | -0.0002649 | 8847 | GTEx | DepMap | Descartes | 0.00 | 0.00 |
PCDH18 | -0.0002659 | 8859 | GTEx | DepMap | Descartes | 0.01 | 0.74 |
BICC1 | -0.0002714 | 8931 | GTEx | DepMap | Descartes | 0.03 | 1.65 |
ABCC9 | -0.0002732 | 8951 | GTEx | DepMap | Descartes | 0.01 | 0.17 |
COL6A3 | -0.0002776 | 9001 | GTEx | DepMap | Descartes | 0.15 | 3.04 |
IGFBP3 | -0.0002912 | 9165 | GTEx | DepMap | Descartes | 0.06 | 5.24 |
PDGFRA | -0.0003010 | 9264 | GTEx | DepMap | Descartes | 0.00 | 0.00 |
ACTA2 | -0.0003037 | 9291 | GTEx | DepMap | Descartes | 0.11 | 24.70 |
ISLR | -0.0003041 | 9294 | GTEx | DepMap | Descartes | 0.00 | 0.00 |
PRRX1 | -0.0003045 | 9304 | GTEx | DepMap | Descartes | 0.00 | 0.00 |
ABCA6 | -0.0003214 | 9514 | GTEx | DepMap | Descartes | 0.00 | 0.00 |
POSTN | -0.0003231 | 9536 | GTEx | DepMap | Descartes | 0.01 | 0.08 |
Descartes sympathoblasts markers
Top 50 marker genes of sympathoblasts cells in the Decartes fetal adrenal single cell map (https://atlas.brotmanbaty.org/bbi/human-gene-expression-during-development/cell/sympathoblasts/in/adrenal)
Wilcoxon ranksum test P-value for gene set overrepresentation: 3.59e-03
Mean rank of genes in gene set: 4697.68
Median rank of genes in gene set: 4266
Rank on gene expression program of top 30 genes in gene set:
Genes | Weight | Rank | GTEx | DepMap | Descartes | Mean.Counts | Mean.TPM |
---|---|---|---|---|---|---|---|
FGF14 | 0.0029090 | 165 | GTEx | DepMap | Descartes | 0.80 | 17.36 |
NTNG1 | 0.0024592 | 245 | GTEx | DepMap | Descartes | 0.58 | 30.86 |
KSR2 | 0.0023915 | 260 | GTEx | DepMap | Descartes | 0.20 | 3.35 |
GALNTL6 | 0.0022800 | 282 | GTEx | DepMap | Descartes | 0.25 | 19.64 |
CHGA | 0.0022098 | 300 | GTEx | DepMap | Descartes | 3.67 | 456.03 |
CCSER1 | 0.0018801 | 405 | GTEx | DepMap | Descartes | 0.35 | NA |
PCSK2 | 0.0010634 | 880 | GTEx | DepMap | Descartes | 0.16 | 9.37 |
TENM1 | 0.0009542 | 1002 | GTEx | DepMap | Descartes | 0.29 | NA |
UNC80 | 0.0008710 | 1109 | GTEx | DepMap | Descartes | 0.54 | 9.86 |
TIAM1 | 0.0008347 | 1162 | GTEx | DepMap | Descartes | 0.46 | 15.34 |
KCTD16 | 0.0008167 | 1189 | GTEx | DepMap | Descartes | 0.78 | 15.29 |
EML6 | 0.0007201 | 1352 | GTEx | DepMap | Descartes | 0.21 | 5.10 |
SPOCK3 | 0.0005600 | 1748 | GTEx | DepMap | Descartes | 0.58 | 44.31 |
CDH18 | 0.0005165 | 1873 | GTEx | DepMap | Descartes | 0.15 | 7.71 |
MGAT4C | 0.0004450 | 2115 | GTEx | DepMap | Descartes | 0.30 | 2.31 |
CDH12 | 0.0002063 | 3215 | GTEx | DepMap | Descartes | 0.12 | 5.44 |
FAM155A | 0.0001436 | 3628 | GTEx | DepMap | Descartes | 0.26 | 5.70 |
TBX20 | 0.0000789 | 4167 | GTEx | DepMap | Descartes | 0.03 | 5.50 |
DGKK | 0.0000684 | 4249 | GTEx | DepMap | Descartes | 0.07 | 3.23 |
GRID2 | 0.0000652 | 4283 | GTEx | DepMap | Descartes | 0.05 | 1.89 |
CHGB | -0.0000155 | 5101 | GTEx | DepMap | Descartes | 4.76 | 460.31 |
SLC35F3 | -0.0000265 | 5214 | GTEx | DepMap | Descartes | 0.04 | 2.44 |
ARC | -0.0000369 | 5345 | GTEx | DepMap | Descartes | 0.31 | 26.88 |
AGBL4 | -0.0000579 | 5666 | GTEx | DepMap | Descartes | 0.02 | 1.49 |
ST18 | -0.0000957 | 6262 | GTEx | DepMap | Descartes | 0.00 | 0.00 |
LAMA3 | -0.0001388 | 6996 | GTEx | DepMap | Descartes | 0.03 | 1.15 |
PCSK1N | -0.0001395 | 7004 | GTEx | DepMap | Descartes | 5.47 | 1109.07 |
PENK | -0.0001482 | 7157 | GTEx | DepMap | Descartes | 0.00 | 0.00 |
SLC24A2 | -0.0001493 | 7171 | GTEx | DepMap | Descartes | 0.01 | 0.23 |
GRM7 | -0.0001635 | 7430 | GTEx | DepMap | Descartes | 0.02 | 0.46 |
Descartes erythroblasts markers
Top 50 marker genes of erythroblasts cells in the Decartes fetal adrenal single cell map (https://atlas.brotmanbaty.org/bbi/human-gene-expression-during-development/cell/erythroblasts/in/adrenal)
Wilcoxon ranksum test P-value for gene set overrepresentation: 7.92e-01
Mean rank of genes in gene set: 6822.55
Median rank of genes in gene set: 6633
Rank on gene expression program of top 30 genes in gene set:
Genes | Weight | Rank | GTEx | DepMap | Descartes | Mean.Counts | Mean.TPM |
---|---|---|---|---|---|---|---|
TFR2 | 0.0024473 | 250 | GTEx | DepMap | Descartes | 0.66 | 51.77 |
SOX6 | 0.0008311 | 1173 | GTEx | DepMap | Descartes | 0.29 | 9.47 |
TSPAN5 | 0.0007640 | 1271 | GTEx | DepMap | Descartes | 0.97 | 55.81 |
XPO7 | 0.0002403 | 3003 | GTEx | DepMap | Descartes | 0.41 | 19.08 |
SPTB | 0.0001591 | 3531 | GTEx | DepMap | Descartes | 0.08 | 2.14 |
DENND4A | 0.0000458 | 4458 | GTEx | DepMap | Descartes | 0.49 | 16.08 |
FECH | 0.0000232 | 4688 | GTEx | DepMap | Descartes | 0.31 | 8.64 |
GCLC | -0.0000176 | 5121 | GTEx | DepMap | Descartes | 0.23 | 13.68 |
RHD | -0.0000373 | 5353 | GTEx | DepMap | Descartes | 0.02 | 1.24 |
SLC25A37 | -0.0000485 | 5513 | GTEx | DepMap | Descartes | 0.93 | 53.77 |
SLC25A21 | -0.0000689 | 5857 | GTEx | DepMap | Descartes | 0.00 | 0.00 |
SNCA | -0.0000711 | 5891 | GTEx | DepMap | Descartes | 0.76 | 45.83 |
ALAS2 | -0.0001114 | 6548 | GTEx | DepMap | Descartes | 0.00 | 0.00 |
ABCB10 | -0.0001125 | 6564 | GTEx | DepMap | Descartes | 0.11 | 7.97 |
RGS6 | -0.0001166 | 6633 | GTEx | DepMap | Descartes | 0.00 | 0.00 |
SLC4A1 | -0.0001402 | 7016 | GTEx | DepMap | Descartes | 0.01 | 0.63 |
ANK1 | -0.0001548 | 7272 | GTEx | DepMap | Descartes | 0.10 | 2.88 |
RAPGEF2 | -0.0001840 | 7713 | GTEx | DepMap | Descartes | 0.21 | 4.95 |
SELENBP1 | -0.0002430 | 8559 | GTEx | DepMap | Descartes | 0.01 | 0.33 |
TMCC2 | -0.0002476 | 8616 | GTEx | DepMap | Descartes | 0.03 | 1.82 |
SPECC1 | -0.0002745 | 8971 | GTEx | DepMap | Descartes | 0.07 | 1.94 |
MICAL2 | -0.0002794 | 9017 | GTEx | DepMap | Descartes | 0.03 | 0.72 |
CPOX | -0.0002966 | 9221 | GTEx | DepMap | Descartes | 0.06 | 3.54 |
TRAK2 | -0.0003274 | 9583 | GTEx | DepMap | Descartes | 0.16 | 4.64 |
MARCH3 | -0.0003300 | 9614 | GTEx | DepMap | Descartes | 0.04 | NA |
CAT | -0.0004631 | 10709 | GTEx | DepMap | Descartes | 0.45 | 58.23 |
EPB41 | -0.0005858 | 11365 | GTEx | DepMap | Descartes | 0.20 | 7.24 |
BLVRB | -0.0007640 | 11897 | GTEx | DepMap | Descartes | 0.27 | 22.08 |
GYPC | -0.0013452 | 12447 | GTEx | DepMap | Descartes | 0.06 | 9.34 |
NA | NA | NA | NA | NA | NA | NA | NA |
Descartes myeloid markers
Top 50 marker genes of myeloid cells in the Decartes fetal adrenal single cell map (https://atlas.brotmanbaty.org/bbi/human-gene-expression-during-development/cell/myeloid/in/adrenal)
Wilcoxon ranksum test P-value for gene set overrepresentation: 1.00e+00
Mean rank of genes in gene set: 10318.26
Median rank of genes in gene set: 11109
Rank on gene expression program of top 30 genes in gene set:
Genes | Weight | Rank | GTEx | DepMap | Descartes | Mean.Counts | Mean.TPM |
---|---|---|---|---|---|---|---|
CD163L1 | 0.0025308 | 226 | GTEx | DepMap | Descartes | 2.01 | 104.37 |
RBPJ | 0.0002874 | 2755 | GTEx | DepMap | Descartes | 1.71 | 71.84 |
HRH1 | 0.0000164 | 4772 | GTEx | DepMap | Descartes | 0.03 | 1.99 |
RGL1 | -0.0001673 | 7490 | GTEx | DepMap | Descartes | 0.07 | 3.23 |
ATP8B4 | -0.0002392 | 8515 | GTEx | DepMap | Descartes | 0.00 | 0.00 |
MSR1 | -0.0002763 | 8988 | GTEx | DepMap | Descartes | 0.02 | 0.57 |
SPP1 | -0.0002916 | 9168 | GTEx | DepMap | Descartes | 0.41 | 40.56 |
SLC1A3 | -0.0003149 | 9426 | GTEx | DepMap | Descartes | 0.02 | 0.25 |
MERTK | -0.0003155 | 9434 | GTEx | DepMap | Descartes | 0.00 | 0.00 |
SLCO2B1 | -0.0003370 | 9696 | GTEx | DepMap | Descartes | 0.02 | 0.36 |
ABCA1 | -0.0003669 | 9994 | GTEx | DepMap | Descartes | 0.12 | 1.84 |
WWP1 | -0.0003996 | 10255 | GTEx | DepMap | Descartes | 0.07 | 2.46 |
SLC9A9 | -0.0004372 | 10554 | GTEx | DepMap | Descartes | 0.02 | 1.10 |
ADAP2 | -0.0004400 | 10570 | GTEx | DepMap | Descartes | 0.01 | 0.98 |
LGMN | -0.0004689 | 10743 | GTEx | DepMap | Descartes | 0.31 | 19.83 |
SFMBT2 | -0.0004703 | 10755 | GTEx | DepMap | Descartes | 0.00 | 0.00 |
MS4A4A | -0.0004738 | 10778 | GTEx | DepMap | Descartes | 0.02 | 0.45 |
AXL | -0.0004826 | 10831 | GTEx | DepMap | Descartes | 0.07 | 1.49 |
CD163 | -0.0005111 | 10982 | GTEx | DepMap | Descartes | 0.01 | 0.47 |
FMN1 | -0.0005583 | 11236 | GTEx | DepMap | Descartes | 0.08 | 0.86 |
FGD2 | -0.0005594 | 11243 | GTEx | DepMap | Descartes | 0.08 | 2.84 |
CSF1R | -0.0006002 | 11407 | GTEx | DepMap | Descartes | 0.02 | 0.25 |
ITPR2 | -0.0006010 | 11409 | GTEx | DepMap | Descartes | 0.04 | 0.49 |
CTSD | -0.0006665 | 11651 | GTEx | DepMap | Descartes | 1.26 | 112.50 |
TGFBI | -0.0006782 | 11687 | GTEx | DepMap | Descartes | 0.01 | 0.23 |
MARCH1 | -0.0006792 | 11690 | GTEx | DepMap | Descartes | 0.04 | NA |
CD14 | -0.0006920 | 11731 | GTEx | DepMap | Descartes | 0.05 | 7.25 |
CPVL | -0.0007740 | 11916 | GTEx | DepMap | Descartes | 0.05 | 3.06 |
CYBB | -0.0007965 | 11966 | GTEx | DepMap | Descartes | 0.09 | 3.26 |
FGL2 | -0.0008188 | 12007 | GTEx | DepMap | Descartes | 0.08 | 2.34 |
Descartes Schwann markers
Top 50 marker genes of Schwann cells in the Decartes fetal adrenal single cell map (https://atlas.brotmanbaty.org/bbi/human-gene-expression-during-development/cell/schwann/in/adrenal)
Wilcoxon ranksum test P-value for gene set overrepresentation: 9.17e-01
Mean rank of genes in gene set: 7029.82
Median rank of genes in gene set: 6742
Rank on gene expression program of top 30 genes in gene set:
Genes | Weight | Rank | GTEx | DepMap | Descartes | Mean.Counts | Mean.TPM |
---|---|---|---|---|---|---|---|
ERBB4 | 0.0039742 | 74 | GTEx | DepMap | Descartes | 0.79 | 16.94 |
MARCKS | 0.0027086 | 191 | GTEx | DepMap | Descartes | 12.73 | 731.73 |
LAMB1 | 0.0018501 | 420 | GTEx | DepMap | Descartes | 1.02 | 48.39 |
DST | 0.0010189 | 929 | GTEx | DepMap | Descartes | 2.94 | 35.67 |
FIGN | 0.0004725 | 2016 | GTEx | DepMap | Descartes | 0.24 | 6.95 |
SOX5 | 0.0002998 | 2690 | GTEx | DepMap | Descartes | 0.12 | 3.15 |
GFRA3 | 0.0002356 | 3037 | GTEx | DepMap | Descartes | 1.26 | 146.36 |
PLCE1 | 0.0002207 | 3125 | GTEx | DepMap | Descartes | 0.20 | 3.98 |
SLC35F1 | 0.0001927 | 3300 | GTEx | DepMap | Descartes | 0.13 | 5.86 |
SFRP1 | 0.0001722 | 3441 | GTEx | DepMap | Descartes | 1.28 | 63.38 |
ERBB3 | 0.0001685 | 3466 | GTEx | DepMap | Descartes | 0.02 | 0.64 |
NRXN3 | 0.0000497 | 4426 | GTEx | DepMap | Descartes | 0.02 | 0.34 |
IL1RAPL2 | 0.0000227 | 4694 | GTEx | DepMap | Descartes | 0.00 | 0.00 |
EGFLAM | -0.0000377 | 5358 | GTEx | DepMap | Descartes | 0.04 | 1.25 |
COL25A1 | -0.0000646 | 5789 | GTEx | DepMap | Descartes | 0.00 | 0.00 |
PTPRZ1 | -0.0000723 | 5916 | GTEx | DepMap | Descartes | 0.00 | 0.00 |
MDGA2 | -0.0000940 | 6228 | GTEx | DepMap | Descartes | 0.02 | 0.19 |
STARD13 | -0.0001036 | 6400 | GTEx | DepMap | Descartes | 0.01 | 0.14 |
HMGA2 | -0.0001038 | 6405 | GTEx | DepMap | Descartes | 0.01 | 0.30 |
GRIK3 | -0.0001112 | 6543 | GTEx | DepMap | Descartes | 0.02 | 0.58 |
XKR4 | -0.0001123 | 6558 | GTEx | DepMap | Descartes | 0.09 | 1.40 |
TRPM3 | -0.0001142 | 6593 | GTEx | DepMap | Descartes | 0.13 | 1.69 |
MPZ | -0.0001328 | 6891 | GTEx | DepMap | Descartes | 0.02 | 1.50 |
PLP1 | -0.0002135 | 8135 | GTEx | DepMap | Descartes | 0.00 | 0.00 |
LRRTM4 | -0.0002463 | 8599 | GTEx | DepMap | Descartes | 0.14 | 6.19 |
IL1RAPL1 | -0.0002519 | 8674 | GTEx | DepMap | Descartes | 0.00 | 0.00 |
ADAMTS5 | -0.0002589 | 8772 | GTEx | DepMap | Descartes | 0.01 | 0.19 |
NRXN1 | -0.0002774 | 8998 | GTEx | DepMap | Descartes | 0.55 | 8.74 |
OLFML2A | -0.0002840 | 9086 | GTEx | DepMap | Descartes | 0.01 | 0.77 |
SORCS1 | -0.0002966 | 9222 | GTEx | DepMap | Descartes | 0.08 | 1.66 |
Descartes Megakaryocytes markers
Top 50 marker genes of Megakaryocytes cells in the Decartes fetal adrenal single cell map (https://atlas.brotmanbaty.org/bbi/human-gene-expression-during-development/cell/megakaryocytes/in/adrenal)
Wilcoxon ranksum test P-value for gene set overrepresentation: 1.00e+00
Mean rank of genes in gene set: 9312.71
Median rank of genes in gene set: 10620
Rank on gene expression program of top 30 genes in gene set:
Genes | Weight | Rank | GTEx | DepMap | Descartes | Mean.Counts | Mean.TPM |
---|---|---|---|---|---|---|---|
PDE3A | 0.0010108 | 935 | GTEx | DepMap | Descartes | 0.13 | 4.05 |
RAB27B | 0.0006617 | 1490 | GTEx | DepMap | Descartes | 0.35 | 11.06 |
MED12L | 0.0005895 | 1667 | GTEx | DepMap | Descartes | 0.05 | 1.26 |
HIPK2 | 0.0004723 | 2017 | GTEx | DepMap | Descartes | 0.90 | 13.93 |
ITGA2B | 0.0000366 | 4539 | GTEx | DepMap | Descartes | 0.04 | 2.65 |
GP1BA | -0.0000045 | 4992 | GTEx | DepMap | Descartes | 0.03 | 2.38 |
DOK6 | -0.0000364 | 5339 | GTEx | DepMap | Descartes | 0.12 | 2.58 |
TUBB1 | -0.0000482 | 5512 | GTEx | DepMap | Descartes | 0.03 | 2.14 |
SLC24A3 | -0.0001208 | 6711 | GTEx | DepMap | Descartes | 0.00 | 0.00 |
ITGB3 | -0.0001404 | 7021 | GTEx | DepMap | Descartes | 0.00 | 0.00 |
ANGPT1 | -0.0001434 | 7069 | GTEx | DepMap | Descartes | 0.01 | 0.58 |
TRPC6 | -0.0001744 | 7586 | GTEx | DepMap | Descartes | 0.00 | 0.00 |
ARHGAP6 | -0.0001787 | 7636 | GTEx | DepMap | Descartes | 0.00 | 0.00 |
PRKAR2B | -0.0002200 | 8230 | GTEx | DepMap | Descartes | 0.56 | 30.85 |
MMRN1 | -0.0002451 | 8588 | GTEx | DepMap | Descartes | 0.00 | 0.00 |
STON2 | -0.0002619 | 8803 | GTEx | DepMap | Descartes | 0.08 | 2.88 |
MYLK | -0.0002811 | 9045 | GTEx | DepMap | Descartes | 0.03 | 0.56 |
LTBP1 | -0.0003203 | 9501 | GTEx | DepMap | Descartes | 0.00 | 0.00 |
INPP4B | -0.0003678 | 10001 | GTEx | DepMap | Descartes | 0.03 | 0.64 |
P2RX1 | -0.0003898 | 10175 | GTEx | DepMap | Descartes | 0.00 | 0.00 |
VCL | -0.0004203 | 10424 | GTEx | DepMap | Descartes | 0.14 | 4.30 |
MCTP1 | -0.0004257 | 10475 | GTEx | DepMap | Descartes | 0.01 | 0.19 |
GSN | -0.0004473 | 10620 | GTEx | DepMap | Descartes | 0.08 | 2.29 |
PSTPIP2 | -0.0004588 | 10683 | GTEx | DepMap | Descartes | 0.03 | 0.67 |
STOM | -0.0004840 | 10840 | GTEx | DepMap | Descartes | 0.30 | 20.81 |
CD84 | -0.0004907 | 10865 | GTEx | DepMap | Descartes | 0.13 | 1.49 |
UBASH3B | -0.0004933 | 10876 | GTEx | DepMap | Descartes | 0.04 | 1.25 |
ZYX | -0.0005010 | 10925 | GTEx | DepMap | Descartes | 0.64 | 73.39 |
ACTN1 | -0.0005513 | 11201 | GTEx | DepMap | Descartes | 0.34 | 14.07 |
LIMS1 | -0.0005878 | 11371 | GTEx | DepMap | Descartes | 0.86 | 38.72 |
Descartes Lyphoid markers
Top 50 marker genes of Lyphoid cells in the Decartes fetal adrenal single cell map (https://atlas.brotmanbaty.org/bbi/human-gene-expression-during-development/cell/lymphoid/in/adrenal)
Wilcoxon ranksum test P-value for gene set overrepresentation: 1.00e+00
Mean rank of genes in gene set: 10854.69
Median rank of genes in gene set: 11828
Rank on gene expression program of top 30 genes in gene set:
Genes | Weight | Rank | GTEx | DepMap | Descartes | Mean.Counts | Mean.TPM |
---|---|---|---|---|---|---|---|
SCML4 | 0.0002564 | 2925 | GTEx | DepMap | Descartes | 0.70 | 40.19 |
STK39 | 0.0001147 | 3852 | GTEx | DepMap | Descartes | 0.51 | 30.75 |
BCL2 | 0.0000519 | 4406 | GTEx | DepMap | Descartes | 0.50 | 15.92 |
SORL1 | -0.0001295 | 6839 | GTEx | DepMap | Descartes | 0.67 | 15.87 |
ABLIM1 | -0.0001896 | 7783 | GTEx | DepMap | Descartes | 0.38 | 11.36 |
EVL | -0.0002636 | 8832 | GTEx | DepMap | Descartes | 2.91 | 186.81 |
PDE3B | -0.0003039 | 9292 | GTEx | DepMap | Descartes | 0.38 | 19.04 |
FYN | -0.0003607 | 9943 | GTEx | DepMap | Descartes | 2.02 | 125.23 |
RAP1GAP2 | -0.0003611 | 9946 | GTEx | DepMap | Descartes | 0.16 | 4.59 |
ITPKB | -0.0003825 | 10111 | GTEx | DepMap | Descartes | 0.04 | 1.86 |
FOXP1 | -0.0004580 | 10678 | GTEx | DepMap | Descartes | 1.88 | 48.26 |
PITPNC1 | -0.0004686 | 10740 | GTEx | DepMap | Descartes | 0.19 | 6.32 |
TOX | -0.0004783 | 10802 | GTEx | DepMap | Descartes | 0.08 | 4.23 |
SAMD3 | -0.0005269 | 11062 | GTEx | DepMap | Descartes | 0.02 | 1.74 |
BACH2 | -0.0005449 | 11159 | GTEx | DepMap | Descartes | 0.31 | 6.95 |
GNG2 | -0.0005808 | 11337 | GTEx | DepMap | Descartes | 0.98 | 66.12 |
NCALD | -0.0006060 | 11437 | GTEx | DepMap | Descartes | 0.06 | 2.05 |
DOCK10 | -0.0006159 | 11475 | GTEx | DepMap | Descartes | 0.09 | 2.30 |
LEF1 | -0.0006740 | 11678 | GTEx | DepMap | Descartes | 0.01 | 0.19 |
SKAP1 | -0.0006825 | 11701 | GTEx | DepMap | Descartes | 0.03 | 3.81 |
MCTP2 | -0.0007001 | 11756 | GTEx | DepMap | Descartes | 0.01 | 0.10 |
PLEKHA2 | -0.0007653 | 11900 | GTEx | DepMap | Descartes | 0.06 | 2.05 |
ANKRD44 | -0.0007794 | 11928 | GTEx | DepMap | Descartes | 0.23 | 7.62 |
CCL5 | -0.0008030 | 11980 | GTEx | DepMap | Descartes | 0.72 | 118.74 |
PRKCH | -0.0008061 | 11984 | GTEx | DepMap | Descartes | 0.02 | 1.66 |
ARHGAP15 | -0.0008949 | 12118 | GTEx | DepMap | Descartes | 0.04 | 2.70 |
ARID5B | -0.0009314 | 12164 | GTEx | DepMap | Descartes | 0.05 | 0.98 |
IKZF1 | -0.0009466 | 12189 | GTEx | DepMap | Descartes | 0.01 | 0.38 |
MBNL1 | -0.0009694 | 12216 | GTEx | DepMap | Descartes | 0.48 | 16.74 |
ETS1 | -0.0010608 | 12296 | GTEx | DepMap | Descartes | 0.02 | 1.03 |
Below shows the ranks on this GEP for immune marker gene lists curated by CellTypist (https://www.celltypist.org/encyclopedia).
High ranks indicate this gene is a driver of this GEP.
These curated gene list are ranked by P-value (on this GEP) of their constituent genes.
The Mean Count column shows the mean read count in cells scoring highly (H > 50) on this gene expression program.
Genes | Weight | Rank | GTEx | DepMap | Decartes | Mean.Counts | Mean.TPM |
---|---|---|---|---|---|---|---|
PRDX2 | 0.0016871 | 482 | GTEx | DepMap | Descartes | 7.57 | 1065.99 |
KCNH2 | 0.0016242 | 512 | GTEx | DepMap | Descartes | 0.83 | 41.15 |
pDC: pDC (model markers)
rare plasmacytoid dendritic cell subpopulation which serves as the major source of type I interferons when the body is infected by a virus:
Wilcoxon ranksum test P-value for gene set overrepresentation: 3.66e-02
Mean rank of genes in gene set: 1685.5
Rank on gene expression program of genes in gene set:
Genes | Weight | Rank | GTEx | DepMap | Decartes | Mean.Counts | Mean.TPM |
---|---|---|---|---|---|---|---|
TRIM71 | 0.0008019 | 1213 | GTEx | DepMap | Descartes | 0.00 | 0.00 |
OGDHL | 0.0004318 | 2158 | GTEx | DepMap | Descartes | 0.07 | 4.51 |
No detectable expression in this dataset: OR2A25
HSC/MPP: Megakaryocyte-erythroid-mast cell progenitor (model markers)
shared progenitors in the fetal liver which originate from common myeloid progenitors and differentiate into megakaryocytes:
Wilcoxon ranksum test P-value for gene set overrepresentation: 5.03e-02
Mean rank of genes in gene set: 327
Rank on gene expression program of genes in gene set:
Genes | Weight | Rank | GTEx | DepMap | Decartes | Mean.Counts | Mean.TPM |
---|---|---|---|---|---|---|---|
CKB | 0.0021025 | 327 | GTEx | DepMap | Descartes | 4.85 | 753.49 |
No detectable expression in this dataset: OR2A25