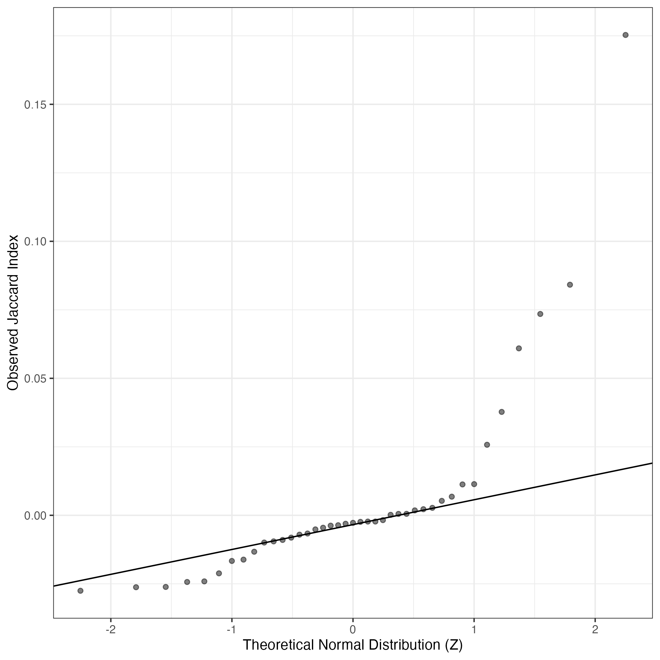
QQ-plot of gene loadings, averaged over both independent splits of the data
This plot highlights the relative contribution of each gene to the GEP
Top genes driving this program.
Note: Decartes website is buggy, try refreshing. Also, Decartes fetal adrenal data have been collected at specific time points (89-122 days), all possible cell types of interest may not be represented, do not overinterpret.
The Mean Count column shows the mean read count in cells scoring highly (H > 50) on this gene expression program.
Gene | Loading | Gene.Name | GTEx | DepMap | Descartes | Mean.Counts | Mean.Tpm | |
---|---|---|---|---|---|---|---|---|
1 | COL1A2 | 0.0114377 | collagen type I alpha 2 chain | GTEx | DepMap | Descartes | 51.31 | 2328.71 |
2 | OGN | 0.0111380 | osteoglycin | GTEx | DepMap | Descartes | 7.10 | 556.18 |
3 | DCN | 0.0109318 | decorin | GTEx | DepMap | Descartes | 18.56 | 682.87 |
4 | COL1A1 | 0.0109079 | collagen type I alpha 1 chain | GTEx | DepMap | Descartes | 65.08 | 3095.37 |
5 | COL12A1 | 0.0104265 | collagen type XII alpha 1 chain | GTEx | DepMap | Descartes | 9.49 | 224.63 |
6 | ISLR | 0.0101265 | immunoglobulin superfamily containing leucine rich repeat | GTEx | DepMap | Descartes | 4.27 | 512.48 |
7 | RSPO3 | 0.0097490 | R-spondin 3 | GTEx | DepMap | Descartes | 7.87 | NA |
8 | FBN1 | 0.0096730 | fibrillin 1 | GTEx | DepMap | Descartes | 6.17 | 150.68 |
9 | PLAC9 | 0.0092531 | placenta associated 9 | GTEx | DepMap | Descartes | 9.39 | 3037.40 |
10 | POSTN | 0.0092151 | periostin | GTEx | DepMap | Descartes | 14.44 | 1172.99 |
11 | COL3A1 | 0.0090975 | collagen type III alpha 1 chain | GTEx | DepMap | Descartes | 52.29 | 2583.52 |
12 | FBN2 | 0.0088068 | fibrillin 2 | GTEx | DepMap | Descartes | 4.51 | 111.74 |
13 | FSTL1 | 0.0086488 | follistatin like 1 | GTEx | DepMap | Descartes | 8.57 | 404.79 |
14 | COL5A1 | 0.0085532 | collagen type V alpha 1 chain | GTEx | DepMap | Descartes | 4.64 | 157.56 |
15 | PCOLCE | 0.0084610 | procollagen C-endopeptidase enhancer | GTEx | DepMap | Descartes | 5.10 | 854.99 |
16 | COL5A2 | 0.0081450 | collagen type V alpha 2 chain | GTEx | DepMap | Descartes | 6.28 | 259.91 |
17 | SULT1E1 | 0.0078485 | sulfotransferase family 1E member 1 | GTEx | DepMap | Descartes | 6.92 | 1044.69 |
18 | COL14A1 | 0.0078256 | collagen type XIV alpha 1 chain | GTEx | DepMap | Descartes | 4.15 | 147.65 |
19 | IGFBP6 | 0.0076994 | insulin like growth factor binding protein 6 | GTEx | DepMap | Descartes | 3.68 | 748.97 |
20 | SEMA3C | 0.0076695 | semaphorin 3C | GTEx | DepMap | Descartes | 1.29 | 67.10 |
21 | MFAP5 | 0.0076345 | microfibril associated protein 5 | GTEx | DepMap | Descartes | 0.88 | 64.01 |
22 | PRRX1 | 0.0075945 | paired related homeobox 1 | GTEx | DepMap | Descartes | 2.32 | 168.65 |
23 | CBLN4 | 0.0074134 | cerebellin 4 precursor | GTEx | DepMap | Descartes | 1.55 | 136.91 |
24 | PRSS35 | 0.0073892 | serine protease 35 | GTEx | DepMap | Descartes | 2.62 | 276.78 |
25 | PAMR1 | 0.0071845 | peptidase domain containing associated with muscle regeneration 1 | GTEx | DepMap | Descartes | 1.02 | 83.35 |
26 | DKK2 | 0.0071601 | dickkopf WNT signaling pathway inhibitor 2 | GTEx | DepMap | Descartes | 0.77 | 53.91 |
27 | PDE5A | 0.0071335 | phosphodiesterase 5A | GTEx | DepMap | Descartes | 3.41 | 146.36 |
28 | FZD1 | 0.0070834 | frizzled class receptor 1 | GTEx | DepMap | Descartes | 3.64 | 143.16 |
29 | LOX | 0.0069542 | lysyl oxidase | GTEx | DepMap | Descartes | 1.35 | 66.99 |
30 | LUM | 0.0069497 | lumican | GTEx | DepMap | Descartes | 3.19 | 312.53 |
31 | ELN | 0.0069237 | elastin | GTEx | DepMap | Descartes | 2.66 | 177.86 |
32 | MXRA5 | 0.0069190 | matrix remodeling associated 5 | GTEx | DepMap | Descartes | 0.95 | 26.25 |
33 | KLF5 | 0.0069147 | Kruppel like factor 5 | GTEx | DepMap | Descartes | 1.25 | 98.64 |
34 | OLFML3 | 0.0068915 | olfactomedin like 3 | GTEx | DepMap | Descartes | 3.24 | 411.74 |
35 | LGALS1 | 0.0067654 | galectin 1 | GTEx | DepMap | Descartes | 22.79 | 7996.46 |
36 | CPE | 0.0067265 | carboxypeptidase E | GTEx | DepMap | Descartes | 5.52 | 562.09 |
37 | FMOD | 0.0067205 | fibromodulin | GTEx | DepMap | Descartes | 1.28 | 110.10 |
38 | CDH11 | 0.0065398 | cadherin 11 | GTEx | DepMap | Descartes | 5.60 | 229.54 |
39 | COL6A1 | 0.0064876 | collagen type VI alpha 1 chain | GTEx | DepMap | Descartes | 5.11 | 336.55 |
40 | LRP1 | 0.0064684 | LDL receptor related protein 1 | GTEx | DepMap | Descartes | 2.55 | 47.59 |
41 | COL6A2 | 0.0064566 | collagen type VI alpha 2 chain | GTEx | DepMap | Descartes | 7.94 | 639.25 |
42 | COL16A1 | 0.0064143 | collagen type XVI alpha 1 chain | GTEx | DepMap | Descartes | 2.11 | 112.60 |
43 | PDGFRL | 0.0063118 | platelet derived growth factor receptor like | GTEx | DepMap | Descartes | 0.50 | 64.77 |
44 | GPC3 | 0.0062837 | glypican 3 | GTEx | DepMap | Descartes | 12.99 | 1444.98 |
45 | TWIST2 | 0.0062827 | twist family bHLH transcription factor 2 | GTEx | DepMap | Descartes | 1.27 | 226.46 |
46 | LTBP4 | 0.0060642 | latent transforming growth factor beta binding protein 4 | GTEx | DepMap | Descartes | 2.58 | 144.50 |
47 | CRABP2 | 0.0060382 | cellular retinoic acid binding protein 2 | GTEx | DepMap | Descartes | 2.15 | 447.69 |
48 | MEST | 0.0060378 | mesoderm specific transcript | GTEx | DepMap | Descartes | 9.36 | 897.59 |
49 | ALCAM | 0.0059985 | activated leukocyte cell adhesion molecule | GTEx | DepMap | Descartes | 5.00 | 304.96 |
50 | SFRP2 | 0.0059357 | secreted frizzled related protein 2 | GTEx | DepMap | Descartes | 2.55 | 344.39 |
UMAP plots showing activity of gene expression program identified in GEP 28. Stromal II:
Gene set Enrichments for this program, caculated from top 50 genes
mSigDB Cell Types Gene Set:
P-value | OR | Lower 95% CI | FDR | FWER | Genes Found | Gene Set Size | |
---|---|---|---|---|---|---|---|
DESCARTES_FETAL_EYE_STROMAL_CELLS | 5.38e-55 | 475.75 | 249.80 | 1.81e-52 | 3.61e-52 | 27COL1A2, OGN, DCN, COL1A1, COL12A1, ISLR, FBN1, POSTN, COL3A1, COL5A1, PCOLCE, COL5A2, SULT1E1, COL14A1, IGFBP6, MFAP5, DKK2, LOX, LUM, MXRA5, FMOD, COL6A1, COL6A2, PDGFRL, TWIST2, LTBP4, SFRP2 |
90 |
DESCARTES_FETAL_THYMUS_STROMAL_CELLS | 4.46e-62 | 437.92 | 229.99 | 2.99e-59 | 2.99e-59 | 32COL1A2, OGN, DCN, COL1A1, COL12A1, ISLR, FBN1, PLAC9, POSTN, COL3A1, FBN2, FSTL1, COL5A1, PCOLCE, COL5A2, COL14A1, SEMA3C, MFAP5, PRRX1, LOX, LUM, ELN, MXRA5, OLFML3, FMOD, COL6A1, LRP1, GPC3, LTBP4, CRABP2, MEST, SFRP2 |
137 |
CUI_DEVELOPING_HEART_C3_FIBROBLAST_LIKE_CELL | 1.70e-46 | 278.61 | 147.86 | 3.79e-44 | 1.14e-43 | 25COL1A2, OGN, DCN, COL1A1, COL12A1, ISLR, FBN1, PLAC9, FSTL1, COL5A1, PCOLCE, COL5A2, COL14A1, LOX, LUM, ELN, OLFML3, LGALS1, COL6A1, LRP1, COL6A2, COL16A1, GPC3, LTBP4, MEST |
117 |
CUI_DEVELOPING_HEART_COMPACT_VENTRICULAR_CARDIOMYOCYTE | 1.56e-30 | 245.14 | 118.51 | 1.16e-28 | 1.05e-27 | 16COL1A2, OGN, DCN, COL1A1, COL12A1, FBN1, PLAC9, POSTN, COL3A1, COL5A1, COL5A2, LUM, ELN, LGALS1, COL6A1, COL6A2 |
65 |
CUI_DEVELOPING_HEART_SMOOTH_MUSCLE_CELL | 4.33e-23 | 225.24 | 98.86 | 1.94e-21 | 2.90e-20 | 12COL1A2, COL1A1, COL3A1, PCOLCE, COL14A1, MFAP5, LOX, ELN, CPE, PDGFRL, CRABP2, SFRP2 |
48 |
DESCARTES_FETAL_ADRENAL_STROMAL_CELLS | 8.76e-39 | 169.18 | 89.66 | 1.47e-36 | 5.88e-36 | 23OGN, DCN, COL1A1, COL12A1, ISLR, RSPO3, POSTN, COL3A1, PCOLCE, SULT1E1, IGFBP6, PRRX1, CBLN4, PAMR1, DKK2, LOX, LUM, MXRA5, FMOD, CDH11, PDGFRL, TWIST2, SFRP2 |
153 |
GAO_LARGE_INTESTINE_24W_C1_DCLK1POS_PROGENITOR | 1.65e-29 | 161.84 | 81.05 | 1.00e-27 | 1.11e-26 | 17COL1A2, OGN, DCN, COL1A1, ISLR, COL3A1, COL5A1, PCOLCE, COL5A2, COL14A1, PAMR1, FZD1, LOX, LUM, COL16A1, PDGFRL, SFRP2 |
99 |
DURANTE_ADULT_OLFACTORY_NEUROEPITHELIUM_FIBROBLASTS_STROMAL_CELLS | 1.72e-26 | 163.72 | 79.45 | 8.86e-25 | 1.15e-23 | 15COL1A2, DCN, COL1A1, POSTN, COL3A1, PCOLCE, IGFBP6, PRRX1, LUM, LGALS1, CPE, CDH11, COL6A2, CRABP2, SFRP2 |
82 |
DESCARTES_FETAL_KIDNEY_STROMAL_CELLS | 7.41e-35 | 148.28 | 78.39 | 8.05e-33 | 4.97e-32 | 21COL1A2, OGN, DCN, COL1A1, COL12A1, ISLR, FBN1, PLAC9, POSTN, COL3A1, COL14A1, IGFBP6, MFAP5, PRRX1, CBLN4, PRSS35, DKK2, LOX, LUM, MXRA5, SFRP2 |
146 |
DESCARTES_MAIN_FETAL_STROMAL_CELLS | 1.46e-12 | 250.22 | 75.06 | 4.09e-11 | 9.82e-10 | 6COL1A2, COL1A1, COL12A1, COL5A1, CBLN4, MXRA5 |
20 |
DESCARTES_FETAL_HEART_STROMAL_CELLS | 1.90e-15 | 188.71 | 69.47 | 5.55e-14 | 1.28e-12 | 8COL1A2, DCN, COL1A1, ISLR, PCOLCE, MFAP5, LUM, GPC3 |
34 |
DESCARTES_FETAL_MUSCLE_STROMAL_CELLS | 3.05e-25 | 132.69 | 64.81 | 1.46e-23 | 2.05e-22 | 15COL1A2, OGN, DCN, COL1A1, COL12A1, ISLR, RSPO3, POSTN, COL3A1, PCOLCE, IGFBP6, MFAP5, DKK2, LUM, PDGFRL |
98 |
TRAVAGLINI_LUNG_ADVENTITIAL_FIBROBLAST_CELL | 8.17e-38 | 103.28 | 56.15 | 1.10e-35 | 5.48e-35 | 26COL1A2, OGN, DCN, COL1A1, ISLR, RSPO3, FBN1, COL3A1, FSTL1, PCOLCE, IGFBP6, SEMA3C, MFAP5, PRRX1, PAMR1, LOX, LUM, OLFML3, CPE, COL6A1, LRP1, COL6A2, PDGFRL, LTBP4, CRABP2, SFRP2 |
296 |
MENON_FETAL_KIDNEY_3_STROMAL_CELLS | 4.69e-18 | 103.69 | 45.91 | 1.57e-16 | 3.15e-15 | 11COL1A2, COL1A1, POSTN, COL3A1, FSTL1, COL5A2, SULT1E1, LGALS1, CDH11, GPC3, ALCAM |
81 |
RUBENSTEIN_SKELETAL_MUSCLE_FBN1_FAP_CELLS | 3.55e-32 | 82.44 | 44.48 | 2.98e-30 | 2.38e-29 | 23COL1A2, DCN, COL1A1, COL12A1, ISLR, FBN1, PLAC9, COL3A1, FSTL1, PCOLCE, COL14A1, IGFBP6, SEMA3C, MFAP5, PRRX1, ELN, OLFML3, CPE, COL6A1, LRP1, COL6A2, PDGFRL, LTBP4 |
289 |
HU_FETAL_RETINA_FIBROBLAST | 8.40e-35 | 77.70 | 42.47 | 8.05e-33 | 5.64e-32 | 26COL1A2, OGN, DCN, COL1A1, RSPO3, FBN1, PLAC9, COL3A1, FBN2, FSTL1, COL5A1, PCOLCE, COL5A2, SULT1E1, IGFBP6, PRRX1, DKK2, LUM, MXRA5, OLFML3, LGALS1, CDH11, COL6A2, LTBP4, MEST, ALCAM |
385 |
RUBENSTEIN_SKELETAL_MUSCLE_FAP_CELLS | 5.20e-23 | 74.29 | 37.53 | 2.18e-21 | 3.49e-20 | 16COL1A2, DCN, COL1A1, ISLR, PLAC9, COL3A1, FSTL1, PCOLCE, IGFBP6, MFAP5, LUM, COL6A1, LRP1, COL6A2, PDGFRL, LTBP4 |
179 |
AIZARANI_LIVER_C21_STELLATE_CELLS_1 | 1.93e-22 | 68.04 | 34.41 | 7.64e-21 | 1.30e-19 | 16COL1A2, DCN, COL1A1, FBN1, COL3A1, FSTL1, COL5A1, PCOLCE, COL14A1, LUM, OLFML3, LGALS1, COL6A1, LRP1, COL6A2, LTBP4 |
194 |
GAO_SMALL_INTESTINE_24W_C2_PROCRPOS_PROGENITOR | 8.85e-08 | 124.03 | 29.40 | 1.61e-06 | 5.94e-05 | 4PLAC9, PCOLCE, GPC3, SFRP2 |
22 |
DESCARTES_FETAL_STOMACH_STROMAL_CELLS | 5.70e-10 | 79.63 | 26.39 | 1.23e-08 | 3.83e-07 | 6DCN, COL1A1, PLAC9, COL3A1, TWIST2, SFRP2 |
50 |
Dowload full table
mSigDB Hallmark Gene Sets:
P-value | OR | Lower 95% CI | FDR | FWER | Genes Found | Gene Set Size | |
---|---|---|---|---|---|---|---|
HALLMARK_EPITHELIAL_MESENCHYMAL_TRANSITION | 3.19e-40 | 146.39 | 79.25 | 1.59e-38 | 1.59e-38 | 25COL1A2, DCN, COL1A1, COL12A1, FBN1, POSTN, COL3A1, FBN2, FSTL1, COL5A1, PCOLCE, COL5A2, MFAP5, PRRX1, LOX, LUM, ELN, MXRA5, LGALS1, FMOD, CDH11, LRP1, COL6A2, COL16A1, MEST |
200 |
HALLMARK_ANGIOGENESIS | 7.95e-09 | 92.26 | 26.73 | 1.99e-07 | 3.97e-07 | 5POSTN, COL3A1, FSTL1, COL5A2, LUM |
36 |
HALLMARK_UV_RESPONSE_DN | 1.72e-04 | 15.99 | 4.13 | 2.86e-03 | 8.58e-03 | 4COL1A2, COL1A1, COL3A1, COL5A2 |
144 |
HALLMARK_HYPOXIA | 5.92e-04 | 11.43 | 2.96 | 5.92e-03 | 2.96e-02 | 4DCN, COL5A1, LOX, GPC3 |
200 |
HALLMARK_MYOGENESIS | 5.92e-04 | 11.43 | 2.96 | 5.92e-03 | 2.96e-02 | 4COL1A1, COL3A1, KLF5, COL6A2 |
200 |
HALLMARK_APOPTOSIS | 3.70e-03 | 10.40 | 2.05 | 3.08e-02 | 1.85e-01 | 3DCN, IGFBP6, LUM |
161 |
HALLMARK_APICAL_JUNCTION | 6.73e-03 | 8.34 | 1.65 | 4.21e-02 | 3.37e-01 | 3FBN1, CDH11, COL16A1 |
200 |
HALLMARK_GLYCOLYSIS | 6.73e-03 | 8.34 | 1.65 | 4.21e-02 | 3.37e-01 | 3DCN, COL5A1, GPC3 |
200 |
HALLMARK_PEROXISOME | 1.72e-02 | 10.52 | 1.22 | 9.58e-02 | 8.62e-01 | 2SEMA3C, CRABP2 |
104 |
HALLMARK_COAGULATION | 2.91e-02 | 7.89 | 0.92 | 1.46e-01 | 1.00e+00 | 2FBN1, LRP1 |
138 |
HALLMARK_IL2_STAT5_SIGNALING | 5.62e-02 | 5.45 | 0.64 | 2.15e-01 | 1.00e+00 | 2COL6A1, ALCAM |
199 |
HALLMARK_ESTROGEN_RESPONSE_LATE | 5.67e-02 | 5.42 | 0.63 | 2.15e-01 | 1.00e+00 | 2CPE, MEST |
200 |
HALLMARK_KRAS_SIGNALING_UP | 5.67e-02 | 5.42 | 0.63 | 2.15e-01 | 1.00e+00 | 2PRRX1, CPE |
200 |
HALLMARK_NOTCH_SIGNALING | 6.01e-02 | 16.95 | 0.41 | 2.15e-01 | 1.00e+00 | 1FZD1 |
32 |
HALLMARK_WNT_BETA_CATENIN_SIGNALING | 7.81e-02 | 12.81 | 0.31 | 2.60e-01 | 1.00e+00 | 1FZD1 |
42 |
HALLMARK_CHOLESTEROL_HOMEOSTASIS | 1.33e-01 | 7.20 | 0.18 | 4.17e-01 | 1.00e+00 | 1ALCAM |
74 |
HALLMARK_FATTY_ACID_METABOLISM | 2.63e-01 | 3.35 | 0.08 | 7.74e-01 | 1.00e+00 | 1LGALS1 |
158 |
HALLMARK_ESTROGEN_RESPONSE_EARLY | 3.20e-01 | 2.64 | 0.07 | 8.01e-01 | 1.00e+00 | 1OLFML3 |
200 |
HALLMARK_COMPLEMENT | 3.20e-01 | 2.64 | 0.07 | 8.01e-01 | 1.00e+00 | 1LRP1 |
200 |
HALLMARK_INFLAMMATORY_RESPONSE | 3.20e-01 | 2.64 | 0.07 | 8.01e-01 | 1.00e+00 | 1GPC3 |
200 |
Dowload full table
KEGG Pathways:
P-value | OR | Lower 95% CI | FDR | FWER | Genes Found | Gene Set Size | |
---|---|---|---|---|---|---|---|
KEGG_ECM_RECEPTOR_INTERACTION | 2.61e-10 | 54.35 | 20.02 | 4.86e-08 | 4.86e-08 | 7COL1A2, COL1A1, COL3A1, COL5A1, COL5A2, COL6A1, COL6A2 |
84 |
KEGG_FOCAL_ADHESION | 1.04e-07 | 21.85 | 8.18 | 9.71e-06 | 1.94e-05 | 7COL1A2, COL1A1, COL3A1, COL5A1, COL5A2, COL6A1, COL6A2 |
199 |
KEGG_WNT_SIGNALING_PATHWAY | 3.09e-03 | 11.11 | 2.19 | 1.92e-01 | 5.76e-01 | 3DKK2, FZD1, SFRP2 |
151 |
KEGG_SULFUR_METABOLISM | 2.49e-02 | 43.73 | 1.00 | 1.00e+00 | 1.00e+00 | 1SULT1E1 |
13 |
KEGG_TYPE_I_DIABETES_MELLITUS | 7.99e-02 | 12.51 | 0.30 | 1.00e+00 | 1.00e+00 | 1CPE |
43 |
KEGG_STEROID_HORMONE_BIOSYNTHESIS | 1.01e-01 | 9.73 | 0.24 | 1.00e+00 | 1.00e+00 | 1SULT1E1 |
55 |
KEGG_BASAL_CELL_CARCINOMA | 1.01e-01 | 9.73 | 0.24 | 1.00e+00 | 1.00e+00 | 1FZD1 |
55 |
KEGG_TGF_BETA_SIGNALING_PATHWAY | 1.53e-01 | 6.18 | 0.15 | 1.00e+00 | 1.00e+00 | 1DCN |
86 |
KEGG_MELANOGENESIS | 1.78e-01 | 5.26 | 0.13 | 1.00e+00 | 1.00e+00 | 1FZD1 |
101 |
KEGG_AXON_GUIDANCE | 2.21e-01 | 4.11 | 0.10 | 1.00e+00 | 1.00e+00 | 1SEMA3C |
129 |
KEGG_CELL_ADHESION_MOLECULES_CAMS | 2.27e-01 | 3.98 | 0.10 | 1.00e+00 | 1.00e+00 | 1ALCAM |
133 |
KEGG_PURINE_METABOLISM | 2.65e-01 | 3.33 | 0.08 | 1.00e+00 | 1.00e+00 | 1PDE5A |
159 |
KEGG_ALZHEIMERS_DISEASE | 2.74e-01 | 3.19 | 0.08 | 1.00e+00 | 1.00e+00 | 1LRP1 |
166 |
KEGG_PATHWAYS_IN_CANCER | 4.65e-01 | 1.62 | 0.04 | 1.00e+00 | 1.00e+00 | 1FZD1 |
325 |
KEGG_N_GLYCAN_BIOSYNTHESIS | 1.00e+00 | 0.00 | 0.00 | 1.00e+00 | 1.00e+00 | 0 |
46 |
KEGG_OTHER_GLYCAN_DEGRADATION | 1.00e+00 | 0.00 | 0.00 | 1.00e+00 | 1.00e+00 | 0 |
16 |
KEGG_O_GLYCAN_BIOSYNTHESIS | 1.00e+00 | 0.00 | 0.00 | 1.00e+00 | 1.00e+00 | 0 |
30 |
KEGG_GLYCOSAMINOGLYCAN_DEGRADATION | 1.00e+00 | 0.00 | 0.00 | 1.00e+00 | 1.00e+00 | 0 |
21 |
KEGG_GLYCOSAMINOGLYCAN_BIOSYNTHESIS_KERATAN_SULFATE | 1.00e+00 | 0.00 | 0.00 | 1.00e+00 | 1.00e+00 | 0 |
15 |
KEGG_GLYCEROLIPID_METABOLISM | 1.00e+00 | 0.00 | 0.00 | 1.00e+00 | 1.00e+00 | 0 |
49 |
Dowload full table
CHR Positional Gene Sets:
P-value | OR | Lower 95% CI | FDR | FWER | Genes Found | Gene Set Size | |
---|---|---|---|---|---|---|---|
chr7q21 | 3.90e-03 | 10.21 | 2.01 | 1.00e+00 | 1.00e+00 | 3COL1A2, SEMA3C, FZD1 |
164 |
chr6q14 | 1.40e-02 | 11.79 | 1.37 | 1.00e+00 | 1.00e+00 | 2COL12A1, PRSS35 |
93 |
chr2q32 | 1.85e-02 | 10.12 | 1.18 | 1.00e+00 | 1.00e+00 | 2COL3A1, COL5A2 |
108 |
chr5q23 | 1.95e-02 | 9.84 | 1.14 | 1.00e+00 | 1.00e+00 | 2FBN2, LOX |
111 |
chr12q21 | 2.54e-02 | 8.52 | 0.99 | 1.00e+00 | 1.00e+00 | 2DCN, LUM |
128 |
chr3q13 | 5.03e-02 | 5.80 | 0.68 | 1.00e+00 | 1.00e+00 | 2FSTL1, ALCAM |
187 |
chr21q22 | 1.46e-01 | 3.06 | 0.36 | 1.00e+00 | 1.00e+00 | 2COL6A1, COL6A2 |
353 |
chr12q13 | 1.82e-01 | 2.65 | 0.31 | 1.00e+00 | 1.00e+00 | 2IGFBP6, LRP1 |
407 |
chr8p22 | 8.35e-02 | 11.94 | 0.29 | 1.00e+00 | 1.00e+00 | 1PDGFRL |
45 |
chr4q26 | 9.76e-02 | 10.11 | 0.25 | 1.00e+00 | 1.00e+00 | 1PDE5A |
53 |
chr13q22 | 1.11e-01 | 8.76 | 0.21 | 1.00e+00 | 1.00e+00 | 1KLF5 |
61 |
chr16q21 | 1.33e-01 | 7.20 | 0.18 | 1.00e+00 | 1.00e+00 | 1CDH11 |
74 |
chr13q13 | 1.40e-01 | 6.83 | 0.17 | 1.00e+00 | 1.00e+00 | 1POSTN |
78 |
chr4q25 | 1.55e-01 | 6.11 | 0.15 | 1.00e+00 | 1.00e+00 | 1DKK2 |
87 |
chr7q32 | 1.60e-01 | 5.91 | 0.14 | 1.00e+00 | 1.00e+00 | 1MEST |
90 |
chr4q32 | 1.96e-01 | 4.69 | 0.12 | 1.00e+00 | 1.00e+00 | 1CPE |
113 |
chr15q24 | 2.01e-01 | 4.57 | 0.11 | 1.00e+00 | 1.00e+00 | 1ISLR |
116 |
chr6q22 | 2.06e-01 | 4.46 | 0.11 | 1.00e+00 | 1.00e+00 | 1RSPO3 |
119 |
chr1q24 | 2.12e-01 | 4.31 | 0.11 | 1.00e+00 | 1.00e+00 | 1PRRX1 |
123 |
chr1p35 | 2.22e-01 | 4.08 | 0.10 | 1.00e+00 | 1.00e+00 | 1COL16A1 |
130 |
Dowload full table
Transcription Factor Targets:
P-value | OR | Lower 95% CI | FDR | FWER | Genes Found | Gene Set Size | |
---|---|---|---|---|---|---|---|
RTTTNNNYTGGM_UNKNOWN | 2.27e-04 | 14.83 | 3.83 | 7.27e-02 | 2.57e-01 | 4PRSS35, KLF5, LRP1, PDGFRL |
155 |
GTGGGTGK_UNKNOWN | 2.57e-04 | 9.80 | 3.01 | 7.27e-02 | 2.91e-01 | 5DCN, FSTL1, IGFBP6, PRRX1, LRP1 |
297 |
RP58_01 | 7.35e-04 | 10.76 | 2.79 | 1.61e-01 | 8.33e-01 | 4COL3A1, PCOLCE, KLF5, COL16A1 |
212 |
AACTTT_UNKNOWN | 5.08e-06 | 5.24 | 2.60 | 2.97e-03 | 5.75e-03 | 14COL1A2, DCN, POSTN, COL3A1, PRRX1, CBLN4, PRSS35, LOX, LUM, OLFML3, CDH11, LRP1, GPC3, ALCAM |
1928 |
TGGAAA_NFAT_Q4_01 | 5.25e-06 | 5.22 | 2.60 | 2.97e-03 | 5.95e-03 | 14COL1A2, DCN, COL12A1, FSTL1, PRRX1, PAMR1, DKK2, LOX, KLF5, OLFML3, LGALS1, CPE, FMOD, COL16A1 |
1934 |
SMAD3_Q6 | 1.20e-03 | 9.41 | 2.44 | 1.61e-01 | 1.00e+00 | 4FZD1, LOX, GPC3, CRABP2 |
242 |
GATA3_01 | 1.25e-03 | 9.29 | 2.41 | 1.61e-01 | 1.00e+00 | 4PRRX1, FZD1, KLF5, LRP1 |
245 |
TATA_01 | 1.47e-03 | 8.89 | 2.31 | 1.61e-01 | 1.00e+00 | 4COL1A1, CBLN4, DKK2, CRABP2 |
256 |
CP2_01 | 1.55e-03 | 8.75 | 2.27 | 1.61e-01 | 1.00e+00 | 4COL1A2, COL1A1, IGFBP6, GPC3 |
260 |
DR4_Q2 | 1.69e-03 | 8.55 | 2.22 | 1.61e-01 | 1.00e+00 | 4COL1A2, OGN, PDGFRL, CRABP2 |
266 |
NKX25_02 | 1.71e-03 | 8.52 | 2.21 | 1.61e-01 | 1.00e+00 | 4COL12A1, PRRX1, CBLN4, LRP1 |
267 |
GR_Q6 | 1.90e-03 | 8.27 | 2.15 | 1.66e-01 | 1.00e+00 | 4PRRX1, CBLN4, LOX, KLF5 |
275 |
TATA_C | 2.16e-03 | 7.97 | 2.07 | 1.75e-01 | 1.00e+00 | 4COL1A1, DKK2, LOX, CRABP2 |
285 |
TTANWNANTGGM_UNKNOWN | 7.04e-03 | 17.02 | 1.96 | 2.80e-01 | 1.00e+00 | 2COL12A1, OLFML3 |
65 |
HTF_01 | 8.35e-03 | 15.55 | 1.80 | 2.80e-01 | 1.00e+00 | 2COL1A2, PRRX1 |
71 |
TGANTCA_AP1_C | 1.10e-03 | 4.34 | 1.76 | 1.61e-01 | 1.00e+00 | 8COL1A1, COL5A2, IGFBP6, KLF5, LGALS1, LRP1, COL16A1, GPC3 |
1139 |
TGCCAAR_NF1_Q6 | 2.36e-03 | 4.87 | 1.69 | 1.78e-01 | 1.00e+00 | 6OGN, POSTN, IGFBP6, PRSS35, FMOD, SFRP2 |
727 |
AAANWWTGC_UNKNOWN | 6.28e-03 | 8.56 | 1.69 | 2.80e-01 | 1.00e+00 | 3LOX, GPC3, SFRP2 |
195 |
GR_01 | 7.01e-03 | 8.22 | 1.62 | 2.80e-01 | 1.00e+00 | 3PRRX1, LOX, KLF5 |
203 |
WGTTNNNNNAAA_UNKNOWN | 3.91e-03 | 5.21 | 1.61 | 2.61e-01 | 1.00e+00 | 5OGN, DCN, COL12A1, IGFBP6, KLF5 |
554 |
Dowload full table
GO Biological Processes:
P-value | OR | Lower 95% CI | FDR | FWER | Genes Found | Gene Set Size | |
---|---|---|---|---|---|---|---|
GOBP_COLLAGEN_FIBRIL_ORGANIZATION | 3.89e-20 | 168.28 | 72.87 | 1.45e-16 | 2.91e-16 | 11COL1A2, COL1A1, COL12A1, COL3A1, COL5A1, COL5A2, COL14A1, LOX, LUM, FMOD, SFRP2 |
54 |
GOBP_KERATAN_SULFATE_CATABOLIC_PROCESS | 1.48e-06 | 181.43 | 30.74 | 3.58e-04 | 1.11e-02 | 3OGN, LUM, FMOD |
12 |
GOBP_REGULATION_OF_ENDODERMAL_CELL_DIFFERENTIATION | 3.66e-05 | 352.61 | 29.06 | 4.03e-03 | 2.74e-01 | 2COL5A1, COL5A2 |
5 |
GOBP_EXTERNAL_ENCAPSULATING_STRUCTURE_ORGANIZATION | 1.54e-25 | 49.79 | 26.70 | 1.16e-21 | 1.16e-21 | 21COL1A2, DCN, COL1A1, COL12A1, FBN1, POSTN, COL3A1, FBN2, COL5A1, COL5A2, COL14A1, MFAP5, LOX, LUM, ELN, FMOD, COL6A1, LRP1, COL6A2, COL16A1, SFRP2 |
396 |
GOBP_PLATELET_DERIVED_GROWTH_FACTOR_RECEPTOR_BETA_SIGNALING_PATHWAY | 2.45e-06 | 148.35 | 25.86 | 5.19e-04 | 1.83e-02 | 3LOX, LRP1, PDGFRL |
14 |
GOBP_REGULATION_OF_WNT_SIGNALING_PATHWAY_PLANAR_CELL_POLARITY_PATHWAY | 3.06e-06 | 136.50 | 23.94 | 5.86e-04 | 2.29e-02 | 3RSPO3, GPC3, SFRP2 |
15 |
GOBP_MAINTENANCE_OF_PROTEIN_LOCATION_IN_EXTRACELLULAR_REGION | 7.67e-05 | 213.09 | 19.86 | 7.26e-03 | 5.74e-01 | 2FBN1, FBN2 |
7 |
GOBP_REGULATION_OF_PLATELET_DERIVED_GROWTH_FACTOR_RECEPTOR_BETA_SIGNALING_PATHWAY | 1.02e-04 | 177.85 | 17.16 | 9.10e-03 | 7.64e-01 | 2LOX, LRP1 |
8 |
GOBP_BONE_TRABECULA_FORMATION | 1.31e-04 | 152.29 | 15.11 | 1.12e-02 | 9.81e-01 | 2COL1A1, FBN2 |
9 |
GOBP_POSITIVE_REGULATION_OF_WNT_SIGNALING_PATHWAY_PLANAR_CELL_POLARITY_PATHWAY | 1.31e-04 | 152.29 | 15.11 | 1.12e-02 | 9.81e-01 | 2RSPO3, GPC3 |
9 |
GOBP_ENDODERMAL_CELL_DIFFERENTIATION | 1.59e-06 | 55.93 | 13.97 | 3.71e-04 | 1.19e-02 | 4COL12A1, COL5A1, COL5A2, COL6A1 |
44 |
GOBP_REGULATION_OF_NON_CANONICAL_WNT_SIGNALING_PATHWAY | 1.52e-05 | 74.54 | 13.82 | 2.07e-03 | 1.14e-01 | 3RSPO3, GPC3, SFRP2 |
25 |
GOBP_AMINOGLYCAN_CATABOLIC_PROCESS | 2.08e-07 | 45.36 | 13.61 | 7.30e-05 | 1.56e-03 | 5OGN, DCN, LUM, FMOD, GPC3 |
68 |
GOBP_SEQUESTERING_OF_EXTRACELLULAR_LIGAND_FROM_RECEPTOR | 1.64e-04 | 133.66 | 13.49 | 1.30e-02 | 1.00e+00 | 2FBN1, FBN2 |
10 |
GOBP_POSITIVE_REGULATION_OF_COLLATERAL_SPROUTING | 1.64e-04 | 133.66 | 13.49 | 1.30e-02 | 1.00e+00 | 2LRP1, CRABP2 |
10 |
GOBP_POSITIVE_REGULATION_OF_CHEMOKINE_C_X_C_MOTIF_LIGAND_2_PRODUCTION | 1.64e-04 | 133.66 | 13.49 | 1.30e-02 | 1.00e+00 | 2POSTN, LRP1 |
10 |
GOBP_CELLULAR_RESPONSE_TO_ACID_CHEMICAL | 2.24e-07 | 44.66 | 13.40 | 7.30e-05 | 1.68e-03 | 5COL1A2, COL1A1, COL5A2, COL6A1, COL16A1 |
69 |
GOBP_KERATAN_SULFATE_BIOSYNTHETIC_PROCESS | 2.16e-05 | 65.64 | 12.27 | 2.74e-03 | 1.61e-01 | 3OGN, LUM, FMOD |
28 |
GOBP_SKIN_MORPHOGENESIS | 2.00e-04 | 118.87 | 12.19 | 1.54e-02 | 1.00e+00 | 2COL1A2, COL1A1 |
11 |
GOBP_ENDODERM_FORMATION | 3.37e-06 | 45.63 | 11.50 | 5.87e-04 | 2.52e-02 | 4COL12A1, COL5A1, COL5A2, COL6A1 |
53 |
Dowload full table
Immunological Gene Sets:
P-value | OR | Lower 95% CI | FDR | FWER | Genes Found | Gene Set Size | |
---|---|---|---|---|---|---|---|
GSE24671_CTRL_VS_BAKIMULC_INFECTED_MOUSE_SPLENOCYTES_DN | 3.58e-08 | 25.70 | 9.62 | 1.74e-04 | 1.74e-04 | 7DCN, COL1A1, PLAC9, FSTL1, COL5A2, IGFBP6, GPC3 |
170 |
GSE8835_HEALTHY_VS_CLL_CD8_TCELL_DN | 1.08e-07 | 21.73 | 8.14 | 1.75e-04 | 5.26e-04 | 7COL1A2, DCN, COL1A1, COL3A1, COL5A1, DKK2, LUM |
200 |
GSE37301_RAG2_KO_VS_RAG2_AND_ETS1_KO_NK_CELL_UP | 1.08e-07 | 21.73 | 8.14 | 1.75e-04 | 5.26e-04 | 7COL1A1, FBN1, COL14A1, COL6A1, COL6A2, GPC3, CRABP2 |
200 |
GSE1460_CD4_THYMOCYTE_VS_THYMIC_STROMAL_CELL_DN | 2.23e-06 | 18.19 | 6.26 | 1.40e-03 | 1.09e-02 | 6COL1A1, MFAP5, OLFML3, COL6A2, PDGFRL, MEST |
199 |
GSE5589_WT_VS_IL6_KO_LPS_AND_IL6_STIM_MACROPHAGE_45MIN_DN | 2.23e-06 | 18.19 | 6.26 | 1.40e-03 | 1.09e-02 | 6DCN, PCOLCE, IGFBP6, LOX, OLFML3, CPE |
199 |
GSE4748_CTRL_VS_LPS_STIM_DC_3H_UP | 2.30e-06 | 18.10 | 6.23 | 1.40e-03 | 1.12e-02 | 6FBN1, POSTN, COL3A1, FSTL1, COL5A2, CDH11 |
200 |
GSE19888_ADENOSINE_A3R_ACT_VS_TCELL_MEMBRANES_ACT_IN_MAST_CELL_UP | 2.30e-06 | 18.10 | 6.23 | 1.40e-03 | 1.12e-02 | 6DCN, COL3A1, PCOLCE, COL5A2, LUM, COL6A1 |
200 |
GSE43955_1H_VS_20H_ACT_CD4_TCELL_WITH_TGFB_IL6_DN | 2.30e-06 | 18.10 | 6.23 | 1.40e-03 | 1.12e-02 | 6COL1A2, DCN, FBN1, PLAC9, COL5A2, SEMA3C |
200 |
GSE40685_NAIVE_CD4_TCELL_VS_FOXP3_KO_TREG_PRECURSOR_DN | 3.63e-05 | 15.06 | 4.61 | 1.33e-02 | 1.77e-01 | 5LGALS1, COL6A1, LRP1, COL6A2, GPC3 |
195 |
GSE21546_WT_VS_SAP1A_KO_AND_ELK1_KO_ANTI_CD3_STIM_DP_THYMOCYTES_UP | 3.99e-05 | 14.75 | 4.52 | 1.33e-02 | 1.95e-01 | 5COL1A1, FSTL1, IGFBP6, DKK2, OLFML3 |
199 |
GSE43955_10H_VS_30H_ACT_CD4_TCELL_WITH_TGFB_IL6_DN | 3.99e-05 | 14.75 | 4.52 | 1.33e-02 | 1.95e-01 | 5COL1A1, ISLR, KLF5, COL6A1, ALCAM |
199 |
GSE27434_WT_VS_DNMT1_KO_TREG_DN | 4.09e-05 | 14.68 | 4.50 | 1.33e-02 | 1.99e-01 | 5COL1A2, COL5A2, CPE, COL6A1, CRABP2 |
200 |
GSE43955_1H_VS_10H_ACT_CD4_TCELL_WITH_TGFB_IL6_DN | 4.09e-05 | 14.68 | 4.50 | 1.33e-02 | 1.99e-01 | 5COL1A2, DCN, PLAC9, COL5A2, CRABP2 |
200 |
GSE43955_1H_VS_60H_ACT_CD4_TCELL_WITH_TGFB_IL6_DN | 4.09e-05 | 14.68 | 4.50 | 1.33e-02 | 1.99e-01 | 5COL1A1, POSTN, DKK2, KLF5, TWIST2 |
200 |
GSE18804_SPLEEN_MACROPHAGE_VS_COLON_TUMORAL_MACROPHAGE_UP | 4.09e-05 | 14.68 | 4.50 | 1.33e-02 | 1.99e-01 | 5COL1A1, COL5A1, ELN, OLFML3, COL6A1 |
200 |
GSE9601_UNTREATED_VS_NFKB_INHIBITOR_TREATED_HCMV_INF_MONOCYTE_UP | 2.88e-04 | 13.91 | 3.59 | 7.80e-02 | 1.00e+00 | 4COL12A1, ISLR, PDE5A, LGALS1 |
165 |
GSE37605_FOXP3_FUSION_GFP_VS_IRES_GFP_TREG_C57BL6_DN | 3.67e-04 | 13.02 | 3.37 | 7.80e-02 | 1.00e+00 | 4OGN, IGFBP6, PDE5A, LOX |
176 |
GSE6259_CD4_TCELL_VS_CD8_TCELL_UP | 4.61e-04 | 12.24 | 3.17 | 7.80e-02 | 1.00e+00 | 4OGN, FSTL1, PCOLCE, IGFBP6 |
187 |
GSE41176_UNSTIM_VS_ANTI_IGM_STIM_BCELL_24H_UP | 5.71e-04 | 11.54 | 2.99 | 7.80e-02 | 1.00e+00 | 4COL1A2, COL5A1, MFAP5, CPE |
198 |
GSE8921_UNSTIM_0H_VS_TLR1_2_STIM_MONOCYTE_24H_UP | 5.81e-04 | 11.49 | 2.97 | 7.80e-02 | 1.00e+00 | 4COL1A1, FSTL1, COL14A1, DKK2 |
199 |
Top Ranked Transcription Factors for this Gene Expression Program:
Gene Symbol | TF Rank | DNA Binding Domain | Motif Status | IUPAC PWM | GTEx | DepMap | Decartes |
---|---|---|---|---|---|---|---|
FBN1 | 8 | No | Unlikely to be sequence specific TF | Not a DNA binding protein | No motif | None | None |
PRRX1 | 22 | Yes | Known motif | Monomer or homomultimer | High-throughput in vitro | None | None |
FZD1 | 28 | No | Unlikely to be sequence specific TF | Not a DNA binding protein | No motif | None | None |
KLF5 | 33 | Yes | Known motif | Monomer or homomultimer | High-throughput in vitro | None | Binds as a monomer and as a dimer (PMID: 25575120). |
TWIST2 | 45 | Yes | Known motif | Monomer or homomultimer | 100 perc ID - in vitro | None | None |
NR2F1 | 57 | Yes | Known motif | Monomer or homomultimer | High-throughput in vitro | None | None |
NFIA | 66 | Yes | Known motif | Monomer or homomultimer | High-throughput in vitro | None | None |
BNC2 | 75 | Yes | Inferred motif | Monomer or homomultimer | In vivo/Misc source | Has a putative AT-hook | None |
CREB3L1 | 82 | Yes | Known motif | Monomer or homomultimer | High-throughput in vitro | None | None |
FOXD1 | 87 | Yes | Known motif | Monomer or homomultimer | 100 perc ID - in vitro | None | None |
TSHZ2 | 92 | Yes | Likely to be sequence specific TF | Monomer or homomultimer | No motif | None | Also contains an atypical homodomain (Uniprot) not identified by Pfam. |
DDR2 | 105 | No | Unlikely to be sequence specific TF | Not a DNA binding protein | No motif | None | None |
OSR1 | 113 | Yes | Known motif | Monomer or homomultimer | High-throughput in vitro | None | None |
NR2F2 | 128 | Yes | Known motif | Monomer or homomultimer | 100 perc ID - in vitro | None | None |
FZD2 | 136 | No | Unlikely to be sequence specific TF | Not a DNA binding protein | No motif | None | Transmembrane receptor protein that operates far upstream in the signalling cascade |
NFIB | 147 | Yes | Known motif | Monomer or homomultimer | High-throughput in vitro | None | None |
ZFPM2 | 149 | Yes | Likely to be sequence specific TF | Monomer or homomultimer | No motif | None | FOG-proteins use some of their zinc-fingers to interact with the GATA proteins. Other C2H2 ZFs are probably also capable of binding DNA (PMID: 10329627). |
MEIS1 | 153 | Yes | Known motif | Monomer or homomultimer | High-throughput in vitro | None | None |
RUNX1T1 | 162 | No | Unlikely to be sequence specific TF | Not a DNA binding protein | No motif | None | None |
EBF2 | 163 | Yes | Known motif | Monomer or homomultimer | In vivo/Misc source | Only known motifs are from Transfac or HocoMoco - origin is uncertain | EBF1 has a nice HT-SELEX model and based on this paper (PMID:23499423). EBF2 binds similar motif to control brown/beige fat cell identity. |
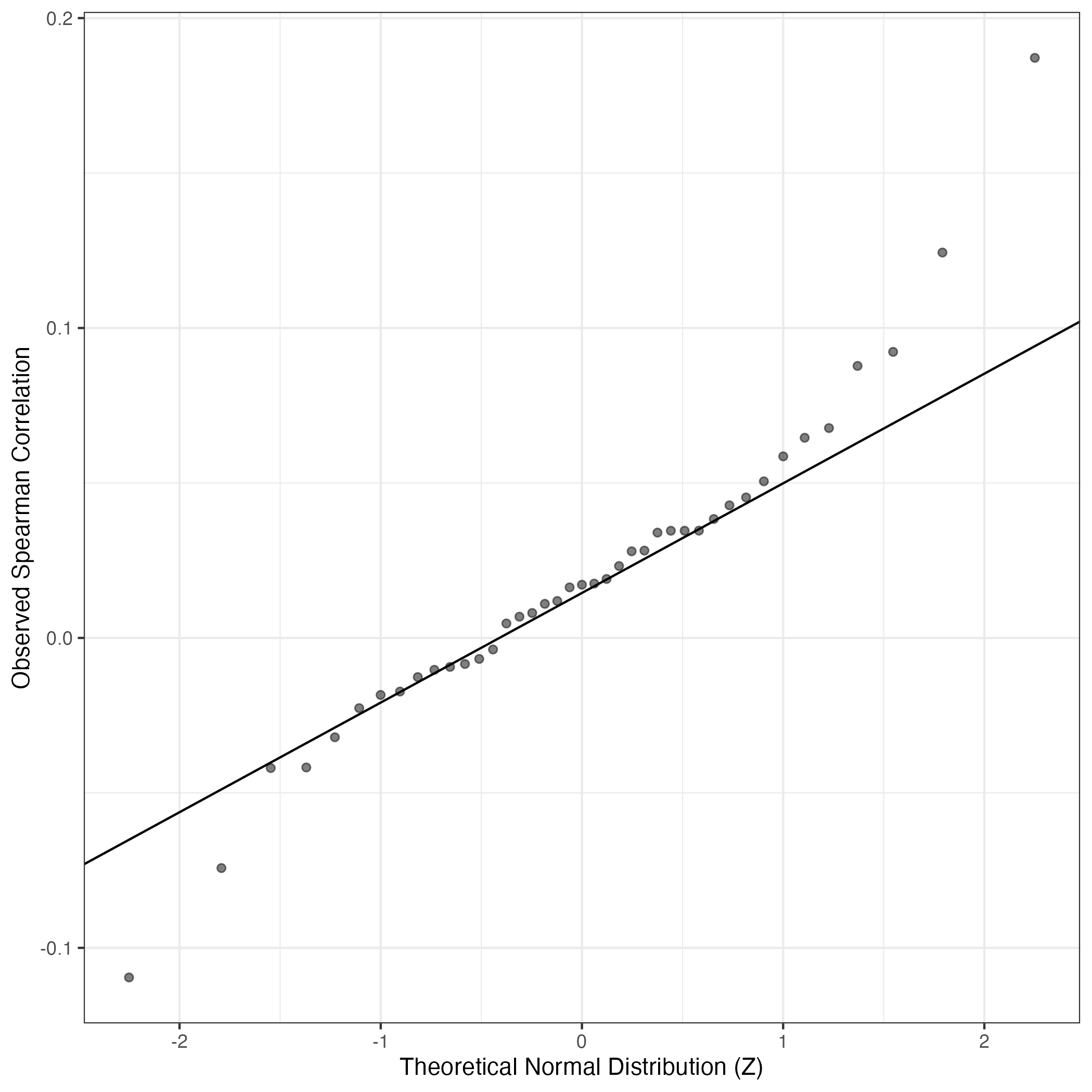
QQ Plot showing correlations with other GEPs in this dataset, calculated by Spearman correlation:
Interactive QQ-plot of gene loadings:
A similar QQ-plot as above, but only for instances where the H value is e.g. > 25, i.e. we are confident that the expression program is active above noise. Agreemenet between these binary vectors is tested using the Jaccard Index, with the P-values calculated by an exact test:
Interactive QQ-plot:
Singler cell type annotations for the top 50 cells on this program.
Cell ID | Singler label | Singler Delta | Activity Score | Top Singler Raw Scores |
---|---|---|---|---|
R53b_w11.5_CTGTAGATCGTAATGC-1 | Smooth_muscle_cells:bronchial | 0.25 | 985.57 | Raw ScoresSmooth_muscle_cells:bronchial: 0.54, Smooth_muscle_cells:bronchial:vit_D: 0.53, Fibroblasts:breast: 0.53, iPS_cells:CRL2097_foreskin: 0.53, iPS_cells:adipose_stem_cells: 0.53, Chondrocytes:MSC-derived: 0.51, Smooth_muscle_cells:vascular: 0.51, Osteoblasts: 0.51, MSC: 0.51, iPS_cells:foreskin_fibrobasts: 0.5 |
R53b_w11.5_CTTCTAATCTCCTGTG-1 | Smooth_muscle_cells:bronchial | 0.27 | 823.69 | Raw ScoresSmooth_muscle_cells:bronchial: 0.51, iPS_cells:CRL2097_foreskin: 0.5, Smooth_muscle_cells:bronchial:vit_D: 0.5, Fibroblasts:breast: 0.5, iPS_cells:adipose_stem_cells: 0.49, Chondrocytes:MSC-derived: 0.49, Osteoblasts: 0.48, MSC: 0.48, Smooth_muscle_cells:vascular: 0.47, iPS_cells:skin_fibroblast: 0.47 |
R48c_w8.5_TGTGCGGAGCAATAAC-1 | Smooth_muscle_cells:bronchial:vit_D | 0.27 | 758.25 | Raw ScoresSmooth_muscle_cells:bronchial: 0.5, Smooth_muscle_cells:bronchial:vit_D: 0.5, iPS_cells:CRL2097_foreskin: 0.48, Fibroblasts:breast: 0.48, MSC: 0.47, iPS_cells:adipose_stem_cells: 0.46, Smooth_muscle_cells:vascular: 0.46, Chondrocytes:MSC-derived: 0.46, iPS_cells:skin_fibroblast: 0.46, iPS_cells:foreskin_fibrobasts: 0.45 |
R53b_w11.5_CTCAAGACAATCACGT-1 | Smooth_muscle_cells:bronchial | 0.25 | 731.84 | Raw ScoresSmooth_muscle_cells:bronchial: 0.51, Fibroblasts:breast: 0.51, iPS_cells:CRL2097_foreskin: 0.51, Smooth_muscle_cells:bronchial:vit_D: 0.51, iPS_cells:adipose_stem_cells: 0.5, MSC: 0.5, Smooth_muscle_cells:vascular: 0.49, Osteoblasts: 0.49, Chondrocytes:MSC-derived: 0.49, iPS_cells:foreskin_fibrobasts: 0.49 |
R53b_w11.5_GCCGATGGTGTAAATG-1 | Fibroblasts:breast | 0.27 | 712.26 | Raw ScoresFibroblasts:breast: 0.54, iPS_cells:CRL2097_foreskin: 0.54, Smooth_muscle_cells:bronchial: 0.54, iPS_cells:adipose_stem_cells: 0.53, Smooth_muscle_cells:bronchial:vit_D: 0.53, MSC: 0.52, Osteoblasts: 0.52, Smooth_muscle_cells:vascular: 0.52, Chondrocytes:MSC-derived: 0.52, iPS_cells:foreskin_fibrobasts: 0.51 |
R53b_w11.5_AGACAAATCAAATGAG-1 | iPS_cells:CRL2097_foreskin | 0.23 | 647.68 | Raw ScoresiPS_cells:CRL2097_foreskin: 0.5, MSC: 0.5, Fibroblasts:breast: 0.5, Fibroblasts:foreskin: 0.49, iPS_cells:foreskin_fibrobasts: 0.49, iPS_cells:skin_fibroblast: 0.49, iPS_cells:PDB_fibroblasts: 0.48, iPS_cells:fibroblasts: 0.48, iPS_cells:adipose_stem_cells: 0.48, Smooth_muscle_cells:bronchial: 0.48 |
R53c_w9.5_ACGTCCTTCCACTTCG-1 | Smooth_muscle_cells:bronchial | 0.22 | 619.66 | Raw ScoresSmooth_muscle_cells:bronchial: 0.44, Smooth_muscle_cells:bronchial:vit_D: 0.44, iPS_cells:CRL2097_foreskin: 0.43, Fibroblasts:breast: 0.43, MSC: 0.42, Smooth_muscle_cells:vascular: 0.42, iPS_cells:adipose_stem_cells: 0.42, Osteoblasts: 0.41, Chondrocytes:MSC-derived: 0.41, Smooth_muscle_cells:vascular:IL-17: 0.41 |
R53a_w9.5_GATCACAAGTCTGGAG-1 | Smooth_muscle_cells:bronchial | 0.21 | 611.09 | Raw ScoresSmooth_muscle_cells:bronchial: 0.5, Smooth_muscle_cells:bronchial:vit_D: 0.49, Fibroblasts:breast: 0.49, iPS_cells:CRL2097_foreskin: 0.48, iPS_cells:adipose_stem_cells: 0.48, Smooth_muscle_cells:vascular: 0.48, MSC: 0.47, Chondrocytes:MSC-derived: 0.47, Smooth_muscle_cells:vascular:IL-17: 0.47, Osteoblasts: 0.47 |
R53b_w11.5_GTACAACGTGGATGAC-1 | MSC | 0.25 | 594.78 | Raw ScoresMSC: 0.5, iPS_cells:CRL2097_foreskin: 0.48, Fibroblasts:foreskin: 0.48, iPS_cells:skin_fibroblast: 0.47, Fibroblasts:breast: 0.47, iPS_cells:foreskin_fibrobasts: 0.47, iPS_cells:PDB_fibroblasts: 0.46, iPS_cells:fibroblasts: 0.46, Tissue_stem_cells:adipose-derived_MSC_AM3: 0.46, Tissue_stem_cells:lipoma-derived_MSC: 0.46 |
R53b_w11.5_AACGAAAGTGATACCT-1 | Smooth_muscle_cells:bronchial | 0.24 | 589.99 | Raw ScoresSmooth_muscle_cells:bronchial: 0.49, iPS_cells:CRL2097_foreskin: 0.48, Smooth_muscle_cells:bronchial:vit_D: 0.48, Fibroblasts:breast: 0.48, iPS_cells:adipose_stem_cells: 0.47, Chondrocytes:MSC-derived: 0.47, Osteoblasts: 0.47, MSC: 0.47, Tissue_stem_cells:BM_MSC:TGFb3: 0.46, Smooth_muscle_cells:vascular: 0.46 |
R48c_w8.5_CATACAGTCACTTTGT-1 | Smooth_muscle_cells:bronchial | 0.24 | 576.84 | Raw ScoresSmooth_muscle_cells:bronchial: 0.45, Smooth_muscle_cells:bronchial:vit_D: 0.45, iPS_cells:CRL2097_foreskin: 0.44, Fibroblasts:breast: 0.44, MSC: 0.43, Chondrocytes:MSC-derived: 0.42, iPS_cells:adipose_stem_cells: 0.42, Tissue_stem_cells:BM_MSC:TGFb3: 0.42, Smooth_muscle_cells:vascular: 0.42, Osteoblasts: 0.42 |
R48c_w8.5_AGAACAAAGGATGCGT-1 | Smooth_muscle_cells:bronchial:vit_D | 0.23 | 569.65 | Raw ScoresSmooth_muscle_cells:bronchial: 0.43, Smooth_muscle_cells:bronchial:vit_D: 0.43, iPS_cells:CRL2097_foreskin: 0.43, Fibroblasts:breast: 0.43, Chondrocytes:MSC-derived: 0.41, iPS_cells:adipose_stem_cells: 0.41, MSC: 0.41, Osteoblasts: 0.41, Smooth_muscle_cells:vascular: 0.4, iPS_cells:skin_fibroblast: 0.4 |
R48c_w8.5_GCTACCTGTCAGTCTA-1 | Smooth_muscle_cells:bronchial | 0.26 | 568.75 | Raw ScoresSmooth_muscle_cells:bronchial: 0.43, Smooth_muscle_cells:bronchial:vit_D: 0.42, iPS_cells:CRL2097_foreskin: 0.42, Fibroblasts:breast: 0.41, Chondrocytes:MSC-derived: 0.4, Osteoblasts: 0.4, iPS_cells:skin_fibroblast: 0.39, MSC: 0.39, iPS_cells:adipose_stem_cells: 0.39, Smooth_muscle_cells:vascular: 0.39 |
R48a_w14.5_TATATCCCACGAGGTA-1 | Smooth_muscle_cells:bronchial | 0.22 | 545.22 | Raw ScoresSmooth_muscle_cells:bronchial: 0.5, Fibroblasts:breast: 0.5, Smooth_muscle_cells:bronchial:vit_D: 0.49, iPS_cells:CRL2097_foreskin: 0.49, iPS_cells:adipose_stem_cells: 0.49, Smooth_muscle_cells:vascular: 0.48, MSC: 0.48, Chondrocytes:MSC-derived: 0.47, iPS_cells:foreskin_fibrobasts: 0.47, iPS_cells:skin_fibroblast: 0.47 |
R53b_w11.5_CTTCCTTTCTAACGCA-1 | Smooth_muscle_cells:bronchial | 0.22 | 520.10 | Raw ScoresSmooth_muscle_cells:bronchial: 0.47, Fibroblasts:breast: 0.46, Smooth_muscle_cells:bronchial:vit_D: 0.46, iPS_cells:CRL2097_foreskin: 0.46, iPS_cells:adipose_stem_cells: 0.46, Chondrocytes:MSC-derived: 0.46, MSC: 0.46, Osteoblasts: 0.45, Smooth_muscle_cells:vascular: 0.45, iPS_cells:foreskin_fibrobasts: 0.45 |
R53a_w9.5_GCGATCGCACTATCGA-1 | Smooth_muscle_cells:bronchial | 0.22 | 517.20 | Raw ScoresSmooth_muscle_cells:bronchial: 0.47, Fibroblasts:breast: 0.46, Smooth_muscle_cells:bronchial:vit_D: 0.46, MSC: 0.46, iPS_cells:adipose_stem_cells: 0.45, iPS_cells:CRL2097_foreskin: 0.45, Smooth_muscle_cells:vascular: 0.45, Chondrocytes:MSC-derived: 0.45, Smooth_muscle_cells:vascular:IL-17: 0.45, iPS_cells:foreskin_fibrobasts: 0.44 |
R53b_w11.5_GGTTCTCGTAAGGTCG-1 | Smooth_muscle_cells:bronchial | 0.22 | 514.32 | Raw ScoresSmooth_muscle_cells:bronchial: 0.49, Smooth_muscle_cells:bronchial:vit_D: 0.48, Fibroblasts:breast: 0.48, iPS_cells:CRL2097_foreskin: 0.47, iPS_cells:adipose_stem_cells: 0.47, Chondrocytes:MSC-derived: 0.47, MSC: 0.46, Osteoblasts: 0.46, iPS_cells:foreskin_fibrobasts: 0.46, Smooth_muscle_cells:vascular: 0.46 |
R53a_w9.5_CTCATCGAGCTGGCCT-1 | Smooth_muscle_cells:bronchial | 0.23 | 510.45 | Raw ScoresSmooth_muscle_cells:bronchial: 0.51, Smooth_muscle_cells:bronchial:vit_D: 0.5, Fibroblasts:breast: 0.5, iPS_cells:CRL2097_foreskin: 0.5, iPS_cells:adipose_stem_cells: 0.5, Smooth_muscle_cells:vascular: 0.49, MSC: 0.49, Chondrocytes:MSC-derived: 0.48, Smooth_muscle_cells:vascular:IL-17: 0.48, Osteoblasts: 0.48 |
R48c_w8.5_TGGTACACAGCCATTA-1 | Smooth_muscle_cells:bronchial:vit_D | 0.26 | 508.18 | Raw ScoresSmooth_muscle_cells:bronchial: 0.46, Smooth_muscle_cells:bronchial:vit_D: 0.46, iPS_cells:CRL2097_foreskin: 0.45, Fibroblasts:breast: 0.45, Chondrocytes:MSC-derived: 0.43, Osteoblasts: 0.43, iPS_cells:adipose_stem_cells: 0.43, MSC: 0.43, iPS_cells:skin_fibroblast: 0.42, Smooth_muscle_cells:vascular: 0.42 |
R53a_w9.5_CCCGGAACACACTGGC-1 | Smooth_muscle_cells:bronchial | 0.22 | 507.91 | Raw ScoresSmooth_muscle_cells:bronchial: 0.48, Fibroblasts:breast: 0.47, Smooth_muscle_cells:bronchial:vit_D: 0.47, iPS_cells:CRL2097_foreskin: 0.47, iPS_cells:adipose_stem_cells: 0.46, Chondrocytes:MSC-derived: 0.46, Smooth_muscle_cells:vascular: 0.46, Osteoblasts: 0.45, MSC: 0.45, iPS_cells:skin_fibroblast: 0.45 |
R53b_w11.5_GCTTTCGGTGCCCACA-1 | Smooth_muscle_cells:bronchial | 0.22 | 507.05 | Raw ScoresFibroblasts:breast: 0.44, Smooth_muscle_cells:bronchial: 0.43, iPS_cells:CRL2097_foreskin: 0.43, iPS_cells:adipose_stem_cells: 0.43, Chondrocytes:MSC-derived: 0.43, Smooth_muscle_cells:bronchial:vit_D: 0.43, Osteoblasts: 0.42, Smooth_muscle_cells:vascular: 0.42, MSC: 0.42, iPS_cells:foreskin_fibrobasts: 0.42 |
R30_w8.5_CAACCAAAGATGGCAC-1 | Smooth_muscle_cells:bronchial | 0.21 | 504.73 | Raw ScoresSmooth_muscle_cells:bronchial: 0.49, Smooth_muscle_cells:bronchial:vit_D: 0.49, MSC: 0.49, iPS_cells:CRL2097_foreskin: 0.49, Fibroblasts:breast: 0.49, iPS_cells:adipose_stem_cells: 0.48, iPS_cells:skin_fibroblast: 0.48, iPS_cells:foreskin_fibrobasts: 0.47, Smooth_muscle_cells:vascular: 0.47, Chondrocytes:MSC-derived: 0.47 |
R53a_w9.5_AGACCCGCAGTCAACT-1 | Smooth_muscle_cells:bronchial | 0.22 | 502.27 | Raw ScoresSmooth_muscle_cells:bronchial: 0.43, Smooth_muscle_cells:bronchial:vit_D: 0.42, iPS_cells:CRL2097_foreskin: 0.41, Fibroblasts:breast: 0.41, Chondrocytes:MSC-derived: 0.4, Osteoblasts: 0.4, MSC: 0.4, Smooth_muscle_cells:vascular: 0.4, Tissue_stem_cells:iliac_MSC: 0.39, iPS_cells:adipose_stem_cells: 0.39 |
R39_w9.5_CACACAACAATACAGA-1 | Smooth_muscle_cells:bronchial | 0.26 | 495.97 | Raw ScoresiPS_cells:CRL2097_foreskin: 0.49, Smooth_muscle_cells:bronchial: 0.48, Smooth_muscle_cells:bronchial:vit_D: 0.48, Fibroblasts:breast: 0.48, MSC: 0.47, iPS_cells:adipose_stem_cells: 0.47, iPS_cells:skin_fibroblast: 0.46, iPS_cells:foreskin_fibrobasts: 0.46, Osteoblasts: 0.46, iPS_cells:PDB_fibroblasts: 0.46 |
R53b_w11.5_CGAGGCTTCCGTATAG-1 | Smooth_muscle_cells:bronchial | 0.26 | 477.53 | Raw ScoresiPS_cells:CRL2097_foreskin: 0.49, Smooth_muscle_cells:bronchial: 0.48, Smooth_muscle_cells:bronchial:vit_D: 0.47, Fibroblasts:breast: 0.47, iPS_cells:adipose_stem_cells: 0.47, Chondrocytes:MSC-derived: 0.46, Smooth_muscle_cells:vascular: 0.46, MSC: 0.46, Osteoblasts: 0.46, iPS_cells:skin_fibroblast: 0.45 |
R39_w9.5_TGCGGGTAGTTTCAGC-1 | MSC | 0.22 | 476.50 | Raw ScoresMSC: 0.48, iPS_cells:CRL2097_foreskin: 0.47, Neurons:Schwann_cell: 0.47, Smooth_muscle_cells:bronchial: 0.46, Fibroblasts:breast: 0.46, iPS_cells:foreskin_fibrobasts: 0.46, Neuroepithelial_cell:ESC-derived: 0.46, Fibroblasts:foreskin: 0.46, Smooth_muscle_cells:bronchial:vit_D: 0.46, iPS_cells:skin_fibroblast: 0.46 |
R53b_w11.5_AGGCCACGTCACTTCC-1 | MSC | 0.25 | 468.97 | Raw ScoresMSC: 0.52, iPS_cells:CRL2097_foreskin: 0.5, Fibroblasts:foreskin: 0.5, Fibroblasts:breast: 0.5, iPS_cells:skin_fibroblast: 0.5, iPS_cells:foreskin_fibrobasts: 0.5, iPS_cells:PDB_fibroblasts: 0.49, iPS_cells:fibroblasts: 0.49, Tissue_stem_cells:lipoma-derived_MSC: 0.48, Tissue_stem_cells:adipose-derived_MSC_AM3: 0.48 |
R53b_w11.5_TCATTGTTCCGAGGCT-1 | Smooth_muscle_cells:bronchial:vit_D | 0.23 | 466.82 | Raw ScoresSmooth_muscle_cells:bronchial: 0.46, Smooth_muscle_cells:bronchial:vit_D: 0.46, iPS_cells:CRL2097_foreskin: 0.46, Fibroblasts:breast: 0.45, iPS_cells:adipose_stem_cells: 0.44, MSC: 0.44, iPS_cells:skin_fibroblast: 0.44, Chondrocytes:MSC-derived: 0.43, Osteoblasts: 0.43, Smooth_muscle_cells:vascular: 0.43 |
R53a_w9.5_CTACAGAAGCACTTTG-1 | Smooth_muscle_cells:bronchial | 0.23 | 462.70 | Raw ScoresiPS_cells:CRL2097_foreskin: 0.47, Fibroblasts:breast: 0.47, Smooth_muscle_cells:bronchial: 0.47, MSC: 0.47, Smooth_muscle_cells:bronchial:vit_D: 0.46, iPS_cells:adipose_stem_cells: 0.46, Smooth_muscle_cells:vascular: 0.45, Smooth_muscle_cells:vascular:IL-17: 0.45, Chondrocytes:MSC-derived: 0.45, iPS_cells:foreskin_fibrobasts: 0.45 |
R53b_w11.5_CTAGACACACCAATTG-1 | Smooth_muscle_cells:bronchial | 0.22 | 446.72 | Raw ScoresiPS_cells:CRL2097_foreskin: 0.47, Smooth_muscle_cells:bronchial: 0.46, Fibroblasts:breast: 0.46, Smooth_muscle_cells:bronchial:vit_D: 0.46, iPS_cells:adipose_stem_cells: 0.45, Chondrocytes:MSC-derived: 0.45, MSC: 0.45, Smooth_muscle_cells:vascular: 0.45, iPS_cells:foreskin_fibrobasts: 0.44, Osteoblasts: 0.44 |
R53a_w9.5_AGGCTGCCACTACACA-1 | Smooth_muscle_cells:bronchial | 0.23 | 446.21 | Raw ScoresSmooth_muscle_cells:bronchial: 0.46, Fibroblasts:breast: 0.45, Smooth_muscle_cells:bronchial:vit_D: 0.45, iPS_cells:CRL2097_foreskin: 0.45, Smooth_muscle_cells:vascular: 0.44, iPS_cells:adipose_stem_cells: 0.44, MSC: 0.44, Smooth_muscle_cells:vascular:IL-17: 0.44, Chondrocytes:MSC-derived: 0.44, iPS_cells:foreskin_fibrobasts: 0.43 |
R53b_w11.5_ATTCTTGCACCCAAGC-1 | Smooth_muscle_cells:bronchial | 0.21 | 443.48 | Raw ScoresiPS_cells:CRL2097_foreskin: 0.44, Smooth_muscle_cells:bronchial: 0.44, Fibroblasts:breast: 0.43, Smooth_muscle_cells:bronchial:vit_D: 0.43, iPS_cells:adipose_stem_cells: 0.42, Smooth_muscle_cells:vascular: 0.42, Osteoblasts: 0.41, MSC: 0.41, Chondrocytes:MSC-derived: 0.41, iPS_cells:foreskin_fibrobasts: 0.41 |
R53b_w11.5_CTGCATCAGATTTGCC-1 | Smooth_muscle_cells:bronchial:vit_D | 0.25 | 440.51 | Raw ScoresSmooth_muscle_cells:bronchial: 0.52, Smooth_muscle_cells:bronchial:vit_D: 0.52, iPS_cells:CRL2097_foreskin: 0.5, Fibroblasts:breast: 0.5, Chondrocytes:MSC-derived: 0.49, iPS_cells:adipose_stem_cells: 0.49, Smooth_muscle_cells:vascular: 0.49, MSC: 0.48, Osteoblasts: 0.48, Tissue_stem_cells:iliac_MSC: 0.48 |
R48c_w8.5_TTCGATTGTCAACCAT-1 | Smooth_muscle_cells:bronchial:vit_D | 0.23 | 439.19 | Raw ScoresSmooth_muscle_cells:bronchial: 0.39, Smooth_muscle_cells:bronchial:vit_D: 0.39, iPS_cells:CRL2097_foreskin: 0.39, Fibroblasts:breast: 0.38, Osteoblasts: 0.37, Chondrocytes:MSC-derived: 0.37, iPS_cells:adipose_stem_cells: 0.37, MSC: 0.37, Smooth_muscle_cells:vascular: 0.37, iPS_cells:skin_fibroblast: 0.36 |
R53c_w9.5_ATACCTTCAAGGCCTC-1 | Smooth_muscle_cells:bronchial | 0.22 | 438.33 | Raw ScoresSmooth_muscle_cells:bronchial: 0.46, Smooth_muscle_cells:bronchial:vit_D: 0.45, iPS_cells:CRL2097_foreskin: 0.44, Fibroblasts:breast: 0.43, Smooth_muscle_cells:vascular: 0.43, MSC: 0.43, Chondrocytes:MSC-derived: 0.43, iPS_cells:adipose_stem_cells: 0.43, Smooth_muscle_cells:vascular:IL-17: 0.42, Osteoblasts: 0.42 |
R48c_w8.5_TGGGAAGTCCATCTCG-1 | Smooth_muscle_cells:bronchial | 0.21 | 432.30 | Raw ScoresiPS_cells:CRL2097_foreskin: 0.41, Smooth_muscle_cells:bronchial: 0.4, Smooth_muscle_cells:bronchial:vit_D: 0.4, Fibroblasts:breast: 0.4, Chondrocytes:MSC-derived: 0.39, MSC: 0.39, iPS_cells:adipose_stem_cells: 0.39, iPS_cells:skin_fibroblast: 0.39, Smooth_muscle_cells:vascular: 0.38, Osteoblasts: 0.38 |
R48b_w12_ACTTCCGCATCCAACA-1 | Smooth_muscle_cells:bronchial | 0.14 | 428.90 | Raw ScoresSmooth_muscle_cells:bronchial: 0.43, Smooth_muscle_cells:bronchial:vit_D: 0.43, Fibroblasts:breast: 0.43, iPS_cells:adipose_stem_cells: 0.43, iPS_cells:CRL2097_foreskin: 0.42, Smooth_muscle_cells:vascular: 0.42, Tissue_stem_cells:BM_MSC:TGFb3: 0.42, Tissue_stem_cells:BM_MSC:BMP2: 0.42, Osteoblasts: 0.42, Chondrocytes:MSC-derived: 0.41 |
R53b_w11.5_GATTTCTAGAACTTCC-1 | MSC | 0.22 | 426.87 | Raw ScoresMSC: 0.48, iPS_cells:CRL2097_foreskin: 0.47, Fibroblasts:breast: 0.47, Fibroblasts:foreskin: 0.46, iPS_cells:skin_fibroblast: 0.45, iPS_cells:foreskin_fibrobasts: 0.45, iPS_cells:PDB_fibroblasts: 0.45, iPS_cells:fibroblasts: 0.45, Neuroepithelial_cell:ESC-derived: 0.45, iPS_cells:CRL2097_foreskin-derived:d20_hepatic_diff: 0.44 |
R53b_w11.5_CTGGTCTGTTGCTTGA-1 | Smooth_muscle_cells:bronchial:vit_D | 0.26 | 425.70 | Raw ScoresSmooth_muscle_cells:bronchial: 0.47, Smooth_muscle_cells:bronchial:vit_D: 0.46, Fibroblasts:breast: 0.46, iPS_cells:CRL2097_foreskin: 0.45, iPS_cells:adipose_stem_cells: 0.45, Chondrocytes:MSC-derived: 0.44, Osteoblasts: 0.44, Smooth_muscle_cells:vascular: 0.44, MSC: 0.43, Smooth_muscle_cells:vascular:IL-17: 0.43 |
R53c_w9.5_ATCTTCAGTCGCATGC-1 | Smooth_muscle_cells:bronchial | 0.23 | 423.68 | Raw ScoresSmooth_muscle_cells:bronchial: 0.46, Smooth_muscle_cells:bronchial:vit_D: 0.45, iPS_cells:CRL2097_foreskin: 0.45, Fibroblasts:breast: 0.44, MSC: 0.43, iPS_cells:adipose_stem_cells: 0.43, Chondrocytes:MSC-derived: 0.43, Osteoblasts: 0.42, iPS_cells:foreskin_fibrobasts: 0.42, Tissue_stem_cells:iliac_MSC: 0.42 |
R53a_w9.5_TAAGCACCATACGCAT-1 | Smooth_muscle_cells:bronchial | 0.21 | 412.52 | Raw ScoresSmooth_muscle_cells:bronchial: 0.46, Smooth_muscle_cells:bronchial:vit_D: 0.45, Fibroblasts:breast: 0.45, iPS_cells:CRL2097_foreskin: 0.45, MSC: 0.45, iPS_cells:adipose_stem_cells: 0.44, Osteoblasts: 0.44, Chondrocytes:MSC-derived: 0.44, Smooth_muscle_cells:vascular: 0.44, iPS_cells:foreskin_fibrobasts: 0.44 |
R48c_w8.5_TCCTCTTCAACTGCTA-1 | iPS_cells:CRL2097_foreskin | 0.21 | 412.44 | Raw ScoresiPS_cells:CRL2097_foreskin: 0.42, Smooth_muscle_cells:bronchial: 0.41, Smooth_muscle_cells:bronchial:vit_D: 0.41, MSC: 0.4, iPS_cells:skin_fibroblast: 0.4, Fibroblasts:breast: 0.4, iPS_cells:foreskin_fibrobasts: 0.39, iPS_cells:adipose_stem_cells: 0.39, Neurons:ES_cell-derived_neural_precursor: 0.39, iPS_cells:PDB_fibroblasts: 0.38 |
R53a_w9.5_AAACGCTCAGTTCCAA-1 | Chondrocytes:MSC-derived | 0.19 | 410.28 | Raw ScoresSmooth_muscle_cells:bronchial: 0.4, Smooth_muscle_cells:bronchial:vit_D: 0.39, iPS_cells:CRL2097_foreskin: 0.39, Fibroblasts:breast: 0.38, Chondrocytes:MSC-derived: 0.38, iPS_cells:adipose_stem_cells: 0.38, MSC: 0.37, Osteoblasts: 0.37, Smooth_muscle_cells:vascular: 0.37, Smooth_muscle_cells:vascular:IL-17: 0.36 |
R53a_w9.5_TATACCTAGCTCCACG-1 | Smooth_muscle_cells:bronchial:vit_D | 0.23 | 407.51 | Raw ScoresSmooth_muscle_cells:bronchial: 0.44, Smooth_muscle_cells:bronchial:vit_D: 0.44, iPS_cells:CRL2097_foreskin: 0.43, Fibroblasts:breast: 0.43, iPS_cells:adipose_stem_cells: 0.42, MSC: 0.42, Chondrocytes:MSC-derived: 0.42, Smooth_muscle_cells:vascular: 0.41, Osteoblasts: 0.41, iPS_cells:foreskin_fibrobasts: 0.41 |
R53a_w9.5_ATGACCACATGGTACT-1 | Smooth_muscle_cells:bronchial | 0.21 | 406.23 | Raw ScoresSmooth_muscle_cells:bronchial: 0.43, Smooth_muscle_cells:bronchial:vit_D: 0.42, iPS_cells:CRL2097_foreskin: 0.42, Fibroblasts:breast: 0.41, Chondrocytes:MSC-derived: 0.4, iPS_cells:adipose_stem_cells: 0.4, Smooth_muscle_cells:vascular: 0.4, MSC: 0.4, iPS_cells:foreskin_fibrobasts: 0.4, iPS_cells:skin_fibroblast: 0.39 |
R48c_w8.5_CGAATTGGTCCATACA-1 | Smooth_muscle_cells:bronchial | 0.26 | 401.76 | Raw ScoresSmooth_muscle_cells:bronchial: 0.4, Smooth_muscle_cells:bronchial:vit_D: 0.39, Fibroblasts:breast: 0.39, iPS_cells:CRL2097_foreskin: 0.38, Osteoblasts: 0.38, Chondrocytes:MSC-derived: 0.38, iPS_cells:adipose_stem_cells: 0.37, MSC: 0.37, Tissue_stem_cells:iliac_MSC: 0.37, Smooth_muscle_cells:vascular: 0.37 |
R48c_w8.5_TTCTTCCCAGGTGACA-1 | Smooth_muscle_cells:bronchial | 0.23 | 400.01 | Raw ScoresSmooth_muscle_cells:bronchial: 0.45, Smooth_muscle_cells:bronchial:vit_D: 0.45, Fibroblasts:breast: 0.45, iPS_cells:CRL2097_foreskin: 0.45, Smooth_muscle_cells:vascular: 0.43, iPS_cells:adipose_stem_cells: 0.43, Chondrocytes:MSC-derived: 0.43, Tissue_stem_cells:BM_MSC:TGFb3: 0.43, MSC: 0.43, Smooth_muscle_cells:vascular:IL-17: 0.43 |
R48b_w12_TGAGGGACATTCTTCA-1 | MSC | 0.22 | 398.71 | Raw ScoresiPS_cells:CRL2097_foreskin: 0.48, MSC: 0.47, Fibroblasts:breast: 0.47, iPS_cells:foreskin_fibrobasts: 0.46, iPS_cells:skin_fibroblast: 0.46, Fibroblasts:foreskin: 0.46, iPS_cells:adipose_stem_cells: 0.45, iPS_cells:PDB_fibroblasts: 0.45, iPS_cells:fibroblasts: 0.45, Smooth_muscle_cells:bronchial: 0.45 |
R30_w8.5_CAGCACGAGGGACACT-1 | Smooth_muscle_cells:bronchial | 0.21 | 397.53 | Raw ScoresSmooth_muscle_cells:bronchial: 0.49, Fibroblasts:breast: 0.48, iPS_cells:CRL2097_foreskin: 0.48, Smooth_muscle_cells:bronchial:vit_D: 0.48, MSC: 0.48, iPS_cells:adipose_stem_cells: 0.48, Chondrocytes:MSC-derived: 0.47, iPS_cells:foreskin_fibrobasts: 0.47, iPS_cells:skin_fibroblast: 0.46, Fibroblasts:foreskin: 0.46 |
R53b_w11.5_GTTCTATCACCGGCTA-1 | MSC | 0.19 | 396.08 | Raw ScoresMSC: 0.46, Fibroblasts:breast: 0.45, iPS_cells:CRL2097_foreskin: 0.44, Fibroblasts:foreskin: 0.44, iPS_cells:skin_fibroblast: 0.43, iPS_cells:fibroblasts: 0.43, iPS_cells:foreskin_fibrobasts: 0.43, Smooth_muscle_cells:bronchial: 0.43, Neurons:Schwann_cell: 0.43, iPS_cells:PDB_fibroblasts: 0.43 |
Below shows the significant enrichments of this GEP for literature curated gene lists
This data was procured from existing single cell RNA-seq maps of neuroblastoma or related relevant data.
High ranks indicate this gene is a driver of this GEP.
These curated gene list are ranked by the P-value (on this GEP) of their constituent genes.
The Mean Count column shows the mean read count in cells scoring highly (H > 50) on this gene expression program.
Genes | Weight | Rank | GTEx | DepMap | Decartes | Mean.Counts | Mean.TPM |
---|---|---|---|---|---|---|---|
COL1A2 | 0.0114377 | 1 | GTEx | DepMap | Descartes | 51.31 | 2328.71 |
DCN | 0.0109318 | 3 | GTEx | DepMap | Descartes | 18.56 | 682.87 |
COL1A1 | 0.0109079 | 4 | GTEx | DepMap | Descartes | 65.08 | 3095.37 |
COL3A1 | 0.0090975 | 11 | GTEx | DepMap | Descartes | 52.29 | 2583.52 |
PRRX1 | 0.0075945 | 22 | GTEx | DepMap | Descartes | 2.32 | 168.65 |
LUM | 0.0069497 | 30 | GTEx | DepMap | Descartes | 3.19 | 312.53 |
COL6A2 | 0.0064566 | 41 | GTEx | DepMap | Descartes | 7.94 | 639.25 |
SPARC | 0.0056785 | 59 | GTEx | DepMap | Descartes | 20.29 | 1472.52 |
CALD1 | 0.0054304 | 69 | GTEx | DepMap | Descartes | 13.68 | 715.71 |
PDGFRA | 0.0048240 | 84 | GTEx | DepMap | Descartes | 3.31 | 147.80 |
LEPR | 0.0036762 | 157 | GTEx | DepMap | Descartes | 0.66 | 20.44 |
MGP | 0.0016736 | 521 | GTEx | DepMap | Descartes | 5.69 | 730.24 |
BGN | -0.0008136 | 25635 | GTEx | DepMap | Descartes | 2.09 | 219.30 |
Stromal 2 (Hanemaaijer)
Marker genes obtained from Supplementary Table SD of Hanemaaijer et al (PMID 33500353). The authors generated single-cell RNA-seq data (sort-seq, 2,229 cells total) from mouse adrenal glads at E13.5, E14.5, E17.5, E18.5, P1 and P5. These were marker genes that matched with a similar dataset generated by Furlan et al (PMID 28684471). This particular set of markers are for Stroma subcluster:
Wilcoxon ranksum test P-value for gene set overrepresentation: 1.12e-06
Mean rank of genes in gene set: 2734.67
Rank on gene expression program of genes in gene set:
Genes | Weight | Rank | GTEx | DepMap | Decartes | Mean.Counts | Mean.TPM |
---|---|---|---|---|---|---|---|
FBN1 | 0.0096730 | 8 | GTEx | DepMap | Descartes | 6.17 | 150.68 |
POSTN | 0.0092151 | 10 | GTEx | DepMap | Descartes | 14.44 | 1172.99 |
FBN2 | 0.0088068 | 12 | GTEx | DepMap | Descartes | 4.51 | 111.74 |
FSTL1 | 0.0086488 | 13 | GTEx | DepMap | Descartes | 8.57 | 404.79 |
COL5A2 | 0.0081450 | 16 | GTEx | DepMap | Descartes | 6.28 | 259.91 |
COL14A1 | 0.0078256 | 18 | GTEx | DepMap | Descartes | 4.15 | 147.65 |
GAS1 | 0.0053695 | 70 | GTEx | DepMap | Descartes | 1.49 | 121.74 |
ITM2A | 0.0051691 | 77 | GTEx | DepMap | Descartes | 2.61 | 391.47 |
SFRP1 | 0.0034488 | 183 | GTEx | DepMap | Descartes | 3.28 | 175.14 |
IGFBP5 | 0.0021561 | 370 | GTEx | DepMap | Descartes | 15.42 | 703.87 |
PENK | 0.0001244 | 6843 | GTEx | DepMap | Descartes | 0.13 | 24.08 |
GSN | -0.0005544 | 25196 | GTEx | DepMap | Descartes | 0.76 | 31.55 |
Subepicardial mesenchyme (Kameneva)
Marker gene were obtained from Fig. 1D of Kameneva et al (PMID 33833454). These genes were used by the authors to annotate each cell type in their human fetal adrenal scRNA-seq data obtained 6, 8, 9, 11, 12 and 14 weeks post conception.:
Wilcoxon ranksum test P-value for gene set overrepresentation: 2.64e-06
Mean rank of genes in gene set: 84.71
Rank on gene expression program of genes in gene set:
Genes | Weight | Rank | GTEx | DepMap | Decartes | Mean.Counts | Mean.TPM |
---|---|---|---|---|---|---|---|
COL1A2 | 0.0114377 | 1 | GTEx | DepMap | Descartes | 51.31 | 2328.71 |
COL1A1 | 0.0109079 | 4 | GTEx | DepMap | Descartes | 65.08 | 3095.37 |
COL3A1 | 0.0090975 | 11 | GTEx | DepMap | Descartes | 52.29 | 2583.52 |
PRRX1 | 0.0075945 | 22 | GTEx | DepMap | Descartes | 2.32 | 168.65 |
TWIST2 | 0.0062827 | 45 | GTEx | DepMap | Descartes | 1.27 | 226.46 |
TWIST1 | 0.0027806 | 254 | GTEx | DepMap | Descartes | 1.44 | 197.32 |
TBX18 | 0.0027625 | 256 | GTEx | DepMap | Descartes | 0.41 | 18.68 |
Below shows ranks on this GEP for literature curated gene lists for large gene sets
These include those reported as mesenchymal/adrenergic by Van Groningen et al.
High ranks indicate this gene is a driver of this GEP (note these results are not ordered).
The Mean Count column shows the mean read count in cells scoring highly (H > 50) on this gene expression program.
VanGroningen Adrenergic Genes
Adrenergic marker genes from Supplementary Table 2 of Van Groningen et al. Nature Genetics 2017. These genes were identified by differential expression analysis of mesenchymal-like and adrenergic-like neuroblastoma cell lines.
Wilcoxon ranksum test P-value for gene set overrepresentation: 1.00e+00
Mean rank of genes in gene set: 17295.07
Median rank of genes in gene set: 21763
Rank on gene expression program of top 30 genes in gene set:
Genes | Weight | Rank | GTEx | DepMap | Descartes | Mean.Counts | Mean.TPM |
---|---|---|---|---|---|---|---|
SLIT3 | 0.0051910 | 76 | GTEx | DepMap | Descartes | 1.84 | 54.53 |
CDC42EP3 | 0.0034347 | 184 | GTEx | DepMap | Descartes | 1.79 | 85.31 |
ABLIM1 | 0.0029252 | 238 | GTEx | DepMap | Descartes | 1.06 | 37.94 |
DPYSL3 | 0.0022923 | 337 | GTEx | DepMap | Descartes | 0.96 | 48.29 |
PIK3R1 | 0.0020175 | 406 | GTEx | DepMap | Descartes | 1.76 | 68.33 |
RGS17 | 0.0019050 | 436 | GTEx | DepMap | Descartes | 0.26 | 9.65 |
NCAM1 | 0.0018804 | 446 | GTEx | DepMap | Descartes | 1.70 | 80.08 |
RBMS3 | 0.0018707 | 452 | GTEx | DepMap | Descartes | 1.72 | 58.94 |
AKAP12 | 0.0018060 | 471 | GTEx | DepMap | Descartes | 8.12 | 252.80 |
STRA6 | 0.0017109 | 513 | GTEx | DepMap | Descartes | 0.48 | 46.48 |
PRSS12 | 0.0017073 | 514 | GTEx | DepMap | Descartes | 0.15 | 10.14 |
CELF2 | 0.0015075 | 583 | GTEx | DepMap | Descartes | 0.53 | 18.61 |
RNF150 | 0.0014668 | 617 | GTEx | DepMap | Descartes | 0.61 | 15.90 |
MAP1B | 0.0014506 | 625 | GTEx | DepMap | Descartes | 2.37 | 54.96 |
EML4 | 0.0014030 | 650 | GTEx | DepMap | Descartes | 1.58 | 80.52 |
DPYSL2 | 0.0013033 | 711 | GTEx | DepMap | Descartes | 1.46 | 75.84 |
PNMA2 | 0.0012767 | 732 | GTEx | DepMap | Descartes | 0.17 | 8.90 |
LMO3 | 0.0012048 | 792 | GTEx | DepMap | Descartes | 0.05 | 3.42 |
TCEAL7 | 0.0010922 | 882 | GTEx | DepMap | Descartes | 0.81 | 152.90 |
KIDINS220 | 0.0010365 | 949 | GTEx | DepMap | Descartes | 1.33 | 43.80 |
PHPT1 | 0.0008584 | 1202 | GTEx | DepMap | Descartes | 3.44 | 582.30 |
EVL | 0.0008278 | 1253 | GTEx | DepMap | Descartes | 1.03 | 73.15 |
HS6ST2 | 0.0007682 | 1374 | GTEx | DepMap | Descartes | 0.09 | 5.63 |
TENM4 | 0.0007627 | 1384 | GTEx | DepMap | Descartes | 0.19 | NA |
FAM171B | 0.0007575 | 1398 | GTEx | DepMap | Descartes | 0.23 | 10.47 |
ZNF704 | 0.0007522 | 1414 | GTEx | DepMap | Descartes | 0.90 | 17.45 |
DAPK1 | 0.0006458 | 1692 | GTEx | DepMap | Descartes | 0.43 | 19.41 |
IGSF3 | 0.0006176 | 1790 | GTEx | DepMap | Descartes | 0.14 | 5.13 |
NBEA | 0.0006019 | 1843 | GTEx | DepMap | Descartes | 0.43 | 11.01 |
CCND1 | 0.0005959 | 1865 | GTEx | DepMap | Descartes | 2.09 | 130.33 |
VanGroningen Mesenchymal Genes
Mesenchymal marker genes from Supplementary Table 2 of Van Groningen et al. Nature Genetics 2017. These genes were identified by differential expression analysis of mesenchymal-like and adrenergic-like neuroblastoma cell lines.
Wilcoxon ranksum test P-value for gene set overrepresentation: 7.46e-57
Mean rank of genes in gene set: 7550
Median rank of genes in gene set: 2116
Rank on gene expression program of top 30 genes in gene set:
Genes | Weight | Rank | GTEx | DepMap | Descartes | Mean.Counts | Mean.TPM |
---|---|---|---|---|---|---|---|
COL1A1 | 0.0109079 | 4 | GTEx | DepMap | Descartes | 65.08 | 3095.37 |
COL12A1 | 0.0104265 | 5 | GTEx | DepMap | Descartes | 9.49 | 224.63 |
FBN1 | 0.0096730 | 8 | GTEx | DepMap | Descartes | 6.17 | 150.68 |
POSTN | 0.0092151 | 10 | GTEx | DepMap | Descartes | 14.44 | 1172.99 |
COL3A1 | 0.0090975 | 11 | GTEx | DepMap | Descartes | 52.29 | 2583.52 |
FBN2 | 0.0088068 | 12 | GTEx | DepMap | Descartes | 4.51 | 111.74 |
FSTL1 | 0.0086488 | 13 | GTEx | DepMap | Descartes | 8.57 | 404.79 |
COL5A1 | 0.0085532 | 14 | GTEx | DepMap | Descartes | 4.64 | 157.56 |
COL5A2 | 0.0081450 | 16 | GTEx | DepMap | Descartes | 6.28 | 259.91 |
IGFBP6 | 0.0076994 | 19 | GTEx | DepMap | Descartes | 3.68 | 748.97 |
SEMA3C | 0.0076695 | 20 | GTEx | DepMap | Descartes | 1.29 | 67.10 |
PRRX1 | 0.0075945 | 22 | GTEx | DepMap | Descartes | 2.32 | 168.65 |
FZD1 | 0.0070834 | 28 | GTEx | DepMap | Descartes | 3.64 | 143.16 |
MXRA5 | 0.0069190 | 32 | GTEx | DepMap | Descartes | 0.95 | 26.25 |
OLFML3 | 0.0068915 | 34 | GTEx | DepMap | Descartes | 3.24 | 411.74 |
LGALS1 | 0.0067654 | 35 | GTEx | DepMap | Descartes | 22.79 | 7996.46 |
FMOD | 0.0067205 | 37 | GTEx | DepMap | Descartes | 1.28 | 110.10 |
CDH11 | 0.0065398 | 38 | GTEx | DepMap | Descartes | 5.60 | 229.54 |
COL6A1 | 0.0064876 | 39 | GTEx | DepMap | Descartes | 5.11 | 336.55 |
COL6A2 | 0.0064566 | 41 | GTEx | DepMap | Descartes | 7.94 | 639.25 |
CRABP2 | 0.0060382 | 47 | GTEx | DepMap | Descartes | 2.15 | 447.69 |
MEST | 0.0060378 | 48 | GTEx | DepMap | Descartes | 9.36 | 897.59 |
BOC | 0.0057404 | 54 | GTEx | DepMap | Descartes | 1.33 | 64.72 |
CXCL12 | 0.0057285 | 56 | GTEx | DepMap | Descartes | 12.46 | 968.89 |
LRRC17 | 0.0057248 | 58 | GTEx | DepMap | Descartes | 3.37 | 427.28 |
SPARC | 0.0056785 | 59 | GTEx | DepMap | Descartes | 20.29 | 1472.52 |
SVIL | 0.0055700 | 65 | GTEx | DepMap | Descartes | 3.65 | 121.69 |
NFIA | 0.0055105 | 66 | GTEx | DepMap | Descartes | 3.75 | 24.07 |
ROR1 | 0.0054487 | 68 | GTEx | DepMap | Descartes | 1.13 | 54.24 |
CALD1 | 0.0054304 | 69 | GTEx | DepMap | Descartes | 13.68 | 715.71 |
Descartes adrenocortical markers
Top 50 marker genes of adrenocortical cells in the Decartes fetal adrenal single cell map (https://atlas.brotmanbaty.org/bbi/human-gene-expression-during-development/cell/adrenocortical/in/adrenal)
Wilcoxon ranksum test P-value for gene set overrepresentation: 1.00e+00
Mean rank of genes in gene set: 21865.13
Median rank of genes in gene set: 25039
Rank on gene expression program of top 30 genes in gene set:
Genes | Weight | Rank | GTEx | DepMap | Descartes | Mean.Counts | Mean.TPM |
---|---|---|---|---|---|---|---|
SH3PXD2B | 0.0007455 | 1432 | GTEx | DepMap | Descartes | 0.27 | 9.13 |
SLC1A2 | 0.0005226 | 2165 | GTEx | DepMap | Descartes | 0.13 | 2.78 |
DNER | 0.0004891 | 2321 | GTEx | DepMap | Descartes | 0.08 | 6.68 |
SGCZ | 0.0004747 | 2379 | GTEx | DepMap | Descartes | 0.01 | 0.34 |
CLU | 0.0000952 | 7662 | GTEx | DepMap | Descartes | 0.77 | 68.87 |
PDE10A | -0.0000215 | 13709 | GTEx | DepMap | Descartes | 0.23 | 7.51 |
FREM2 | -0.0000534 | 16816 | GTEx | DepMap | Descartes | 0.09 | 1.36 |
SH3BP5 | -0.0001047 | 19858 | GTEx | DepMap | Descartes | 1.57 | 117.88 |
IGF1R | -0.0001130 | 20161 | GTEx | DepMap | Descartes | 0.61 | 14.94 |
PEG3 | -0.0001549 | 21375 | GTEx | DepMap | Descartes | 1.56 | NA |
NPC1 | -0.0001812 | 21977 | GTEx | DepMap | Descartes | 0.10 | 5.58 |
FRMD5 | -0.0001842 | 22049 | GTEx | DepMap | Descartes | 0.01 | 0.34 |
SLC2A14 | -0.0002774 | 23468 | GTEx | DepMap | Descartes | 0.01 | 0.45 |
SLC16A9 | -0.0002868 | 23585 | GTEx | DepMap | Descartes | 0.25 | 15.00 |
PAPSS2 | -0.0002884 | 23607 | GTEx | DepMap | Descartes | 0.35 | 21.18 |
HMGCR | -0.0003145 | 23861 | GTEx | DepMap | Descartes | 0.44 | 23.51 |
SCAP | -0.0003329 | 24044 | GTEx | DepMap | Descartes | 0.31 | 18.83 |
CYP17A1 | -0.0004319 | 24719 | GTEx | DepMap | Descartes | 0.52 | 34.21 |
LINC00473 | -0.0004577 | 24837 | GTEx | DepMap | Descartes | 0.06 | NA |
CYB5B | -0.0004691 | 24907 | GTEx | DepMap | Descartes | 0.81 | 45.40 |
DHCR7 | -0.0004806 | 24961 | GTEx | DepMap | Descartes | 0.13 | 10.09 |
CYP21A2 | -0.0004967 | 25015 | GTEx | DepMap | Descartes | 0.16 | 10.36 |
BAIAP2L1 | -0.0004988 | 25022 | GTEx | DepMap | Descartes | 0.03 | 1.66 |
MSMO1 | -0.0005075 | 25056 | GTEx | DepMap | Descartes | 0.53 | 56.49 |
ERN1 | -0.0005265 | 25115 | GTEx | DepMap | Descartes | 0.17 | 5.06 |
CYP11B1 | -0.0005334 | 25138 | GTEx | DepMap | Descartes | 0.20 | 8.75 |
SULT2A1 | -0.0005623 | 25217 | GTEx | DepMap | Descartes | 0.21 | 18.70 |
GSTA4 | -0.0006027 | 25316 | GTEx | DepMap | Descartes | 0.73 | 94.84 |
HMGCS1 | -0.0006165 | 25341 | GTEx | DepMap | Descartes | 0.51 | 22.03 |
TM7SF2 | -0.0006297 | 25373 | GTEx | DepMap | Descartes | 0.18 | 18.33 |
Descartes chromaffin markers
Top 50 marker genes of chromaffin cells in the Decartes fetal adrenal single cell map (https://atlas.brotmanbaty.org/bbi/human-gene-expression-during-development/cell/chromaffin/in/adrenal)
Wilcoxon ranksum test P-value for gene set overrepresentation: 9.90e-01
Mean rank of genes in gene set: 15517.14
Median rank of genes in gene set: 19121.5
Rank on gene expression program of top 30 genes in gene set:
Genes | Weight | Rank | GTEx | DepMap | Descartes | Mean.Counts | Mean.TPM |
---|---|---|---|---|---|---|---|
CNTFR | 0.0017568 | 494 | GTEx | DepMap | Descartes | 0.68 | 88.90 |
MAP1B | 0.0014506 | 625 | GTEx | DepMap | Descartes | 2.37 | 54.96 |
FAT3 | 0.0009738 | 1038 | GTEx | DepMap | Descartes | 0.27 | 3.84 |
TMEM132C | 0.0008816 | 1152 | GTEx | DepMap | Descartes | 0.09 | 4.60 |
CCND1 | 0.0005959 | 1865 | GTEx | DepMap | Descartes | 2.09 | 130.33 |
KCNB2 | 0.0005694 | 1975 | GTEx | DepMap | Descartes | 0.03 | 2.75 |
EPHA6 | 0.0004335 | 2626 | GTEx | DepMap | Descartes | 0.02 | 1.38 |
RGMB | 0.0004137 | 2771 | GTEx | DepMap | Descartes | 0.21 | 12.85 |
SYNPO2 | 0.0003913 | 2932 | GTEx | DepMap | Descartes | 0.37 | 6.87 |
TUBA1A | 0.0002185 | 4835 | GTEx | DepMap | Descartes | 6.08 | 706.32 |
BASP1 | 0.0002173 | 4851 | GTEx | DepMap | Descartes | 1.00 | 127.57 |
EYA4 | 0.0001252 | 6821 | GTEx | DepMap | Descartes | 0.06 | 3.41 |
RYR2 | 0.0000918 | 7776 | GTEx | DepMap | Descartes | 0.06 | 0.94 |
TUBB2A | 0.0000288 | 10284 | GTEx | DepMap | Descartes | 0.74 | 96.94 |
HS3ST5 | -0.0000022 | 11951 | GTEx | DepMap | Descartes | 0.01 | 0.69 |
NTRK1 | -0.0000237 | 13955 | GTEx | DepMap | Descartes | 0.01 | 1.03 |
TMEFF2 | -0.0000378 | 15443 | GTEx | DepMap | Descartes | 0.04 | 3.12 |
SLC44A5 | -0.0000555 | 16965 | GTEx | DepMap | Descartes | 0.01 | 0.93 |
ANKFN1 | -0.0000562 | 17026 | GTEx | DepMap | Descartes | 0.00 | 0.12 |
PTCHD1 | -0.0000564 | 17046 | GTEx | DepMap | Descartes | 0.03 | 0.52 |
EYA1 | -0.0000879 | 19032 | GTEx | DepMap | Descartes | 0.03 | 2.20 |
CNKSR2 | -0.0000881 | 19044 | GTEx | DepMap | Descartes | 0.02 | 0.50 |
ALK | -0.0000912 | 19199 | GTEx | DepMap | Descartes | 0.01 | 0.24 |
GREM1 | -0.0001371 | 20922 | GTEx | DepMap | Descartes | 0.02 | 0.30 |
RPH3A | -0.0001484 | 21214 | GTEx | DepMap | Descartes | 0.00 | 0.21 |
HMX1 | -0.0001536 | 21351 | GTEx | DepMap | Descartes | 0.00 | 0.18 |
REEP1 | -0.0001583 | 21470 | GTEx | DepMap | Descartes | 0.05 | 2.61 |
GAP43 | -0.0001964 | 22265 | GTEx | DepMap | Descartes | 0.11 | 11.34 |
SLC6A2 | -0.0002227 | 22720 | GTEx | DepMap | Descartes | 0.02 | 1.11 |
NPY | -0.0002232 | 22727 | GTEx | DepMap | Descartes | 0.24 | 60.43 |
Descartes Vascular_endothelial markers
Top 50 marker genes of Vascular_endothelial cells in the Decartes fetal adrenal single cell map (https://atlas.brotmanbaty.org/bbi/human-gene-expression-during-development/cell/vascular_endothelial/in/adrenal)
Wilcoxon ranksum test P-value for gene set overrepresentation: 1.00e+00
Mean rank of genes in gene set: 24911
Median rank of genes in gene set: 25116
Rank on gene expression program of top 30 genes in gene set:
Genes | Weight | Rank | GTEx | DepMap | Descartes | Mean.Counts | Mean.TPM |
---|---|---|---|---|---|---|---|
ID1 | -0.0001859 | 22079 | GTEx | DepMap | Descartes | 3.34 | 546.12 |
MYRIP | -0.0001892 | 22132 | GTEx | DepMap | Descartes | 0.00 | 0.19 |
GALNT15 | -0.0002533 | 23176 | GTEx | DepMap | Descartes | 0.01 | NA |
ESM1 | -0.0003224 | 23939 | GTEx | DepMap | Descartes | 0.01 | 0.80 |
NR5A2 | -0.0003362 | 24069 | GTEx | DepMap | Descartes | 0.01 | 0.25 |
DNASE1L3 | -0.0003474 | 24150 | GTEx | DepMap | Descartes | 0.18 | 15.26 |
SLCO2A1 | -0.0003480 | 24154 | GTEx | DepMap | Descartes | 0.04 | 2.56 |
CDH13 | -0.0003589 | 24240 | GTEx | DepMap | Descartes | 0.04 | 1.16 |
NPR1 | -0.0003838 | 24428 | GTEx | DepMap | Descartes | 0.12 | 6.58 |
RAMP2 | -0.0004003 | 24535 | GTEx | DepMap | Descartes | 1.71 | 445.03 |
TEK | -0.0004033 | 24553 | GTEx | DepMap | Descartes | 0.18 | 8.26 |
CYP26B1 | -0.0004078 | 24573 | GTEx | DepMap | Descartes | 0.18 | 9.15 |
FCGR2B | -0.0004398 | 24760 | GTEx | DepMap | Descartes | 0.05 | 1.93 |
ARHGAP29 | -0.0004533 | 24821 | GTEx | DepMap | Descartes | 0.79 | 22.15 |
CHRM3 | -0.0004702 | 24915 | GTEx | DepMap | Descartes | 0.08 | 2.79 |
KDR | -0.0004731 | 24928 | GTEx | DepMap | Descartes | 0.51 | 19.05 |
BTNL9 | -0.0005007 | 25032 | GTEx | DepMap | Descartes | 0.08 | 4.32 |
FLT4 | -0.0005016 | 25036 | GTEx | DepMap | Descartes | 0.04 | 1.26 |
NOTCH4 | -0.0005109 | 25069 | GTEx | DepMap | Descartes | 0.08 | 2.64 |
CRHBP | -0.0005174 | 25086 | GTEx | DepMap | Descartes | 0.15 | 11.01 |
SHE | -0.0005182 | 25091 | GTEx | DepMap | Descartes | 0.04 | 1.12 |
SHANK3 | -0.0005234 | 25106 | GTEx | DepMap | Descartes | 0.09 | 2.75 |
CEACAM1 | -0.0005302 | 25126 | GTEx | DepMap | Descartes | 0.05 | 2.58 |
HYAL2 | -0.0005320 | 25133 | GTEx | DepMap | Descartes | 0.82 | 45.66 |
PODXL | -0.0005383 | 25150 | GTEx | DepMap | Descartes | 0.20 | 6.77 |
RASIP1 | -0.0005662 | 25231 | GTEx | DepMap | Descartes | 0.23 | 15.25 |
APLNR | -0.0005796 | 25262 | GTEx | DepMap | Descartes | 0.09 | 4.88 |
PTPRB | -0.0006046 | 25321 | GTEx | DepMap | Descartes | 0.07 | 0.99 |
F8 | -0.0006157 | 25338 | GTEx | DepMap | Descartes | 0.11 | 2.43 |
TIE1 | -0.0006189 | 25349 | GTEx | DepMap | Descartes | 0.06 | 3.16 |
Descartes stromal markers
Top 50 marker genes of stromal cells in the Decartes fetal adrenal single cell map (https://atlas.brotmanbaty.org/bbi/human-gene-expression-during-development/cell/stromal/in/adrenal)
Wilcoxon ranksum test P-value for gene set overrepresentation: 4.10e-22
Mean rank of genes in gene set: 2699.8
Median rank of genes in gene set: 84
Rank on gene expression program of top 30 genes in gene set:
Genes | Weight | Rank | GTEx | DepMap | Descartes | Mean.Counts | Mean.TPM |
---|---|---|---|---|---|---|---|
COL1A2 | 0.0114377 | 1 | GTEx | DepMap | Descartes | 51.31 | 2328.71 |
OGN | 0.0111380 | 2 | GTEx | DepMap | Descartes | 7.10 | 556.18 |
DCN | 0.0109318 | 3 | GTEx | DepMap | Descartes | 18.56 | 682.87 |
COL1A1 | 0.0109079 | 4 | GTEx | DepMap | Descartes | 65.08 | 3095.37 |
COL12A1 | 0.0104265 | 5 | GTEx | DepMap | Descartes | 9.49 | 224.63 |
ISLR | 0.0101265 | 6 | GTEx | DepMap | Descartes | 4.27 | 512.48 |
RSPO3 | 0.0097490 | 7 | GTEx | DepMap | Descartes | 7.87 | NA |
POSTN | 0.0092151 | 10 | GTEx | DepMap | Descartes | 14.44 | 1172.99 |
COL3A1 | 0.0090975 | 11 | GTEx | DepMap | Descartes | 52.29 | 2583.52 |
PCOLCE | 0.0084610 | 15 | GTEx | DepMap | Descartes | 5.10 | 854.99 |
SULT1E1 | 0.0078485 | 17 | GTEx | DepMap | Descartes | 6.92 | 1044.69 |
PRRX1 | 0.0075945 | 22 | GTEx | DepMap | Descartes | 2.32 | 168.65 |
PAMR1 | 0.0071845 | 25 | GTEx | DepMap | Descartes | 1.02 | 83.35 |
DKK2 | 0.0071601 | 26 | GTEx | DepMap | Descartes | 0.77 | 53.91 |
LOX | 0.0069542 | 29 | GTEx | DepMap | Descartes | 1.35 | 66.99 |
LUM | 0.0069497 | 30 | GTEx | DepMap | Descartes | 3.19 | 312.53 |
ELN | 0.0069237 | 31 | GTEx | DepMap | Descartes | 2.66 | 177.86 |
MXRA5 | 0.0069190 | 32 | GTEx | DepMap | Descartes | 0.95 | 26.25 |
CDH11 | 0.0065398 | 38 | GTEx | DepMap | Descartes | 5.60 | 229.54 |
SFRP2 | 0.0059357 | 50 | GTEx | DepMap | Descartes | 2.55 | 344.39 |
PRICKLE1 | 0.0057539 | 52 | GTEx | DepMap | Descartes | 1.39 | 65.80 |
LRRC17 | 0.0057248 | 58 | GTEx | DepMap | Descartes | 3.37 | 427.28 |
CLDN11 | 0.0054728 | 67 | GTEx | DepMap | Descartes | 2.95 | 303.86 |
CD248 | 0.0049835 | 80 | GTEx | DepMap | Descartes | 2.03 | 221.05 |
PDGFRA | 0.0048240 | 84 | GTEx | DepMap | Descartes | 3.31 | 147.80 |
CCDC80 | 0.0045032 | 96 | GTEx | DepMap | Descartes | 2.00 | 41.54 |
ADAMTSL3 | 0.0039256 | 129 | GTEx | DepMap | Descartes | 0.42 | 17.41 |
BICC1 | 0.0036641 | 159 | GTEx | DepMap | Descartes | 1.15 | 54.91 |
SCARA5 | 0.0034035 | 188 | GTEx | DepMap | Descartes | 0.25 | 18.39 |
ADAMTS2 | 0.0032581 | 198 | GTEx | DepMap | Descartes | 0.62 | 25.53 |
Descartes sympathoblasts markers
Top 50 marker genes of sympathoblasts cells in the Decartes fetal adrenal single cell map (https://atlas.brotmanbaty.org/bbi/human-gene-expression-during-development/cell/sympathoblasts/in/adrenal)
Wilcoxon ranksum test P-value for gene set overrepresentation: 9.99e-01
Mean rank of genes in gene set: 16479.7
Median rank of genes in gene set: 21275.5
Rank on gene expression program of top 30 genes in gene set:
Genes | Weight | Rank | GTEx | DepMap | Descartes | Mean.Counts | Mean.TPM |
---|---|---|---|---|---|---|---|
MGAT4C | 0.0038693 | 138 | GTEx | DepMap | Descartes | 0.65 | 7.86 |
GRM7 | 0.0030180 | 227 | GTEx | DepMap | Descartes | 0.24 | 17.66 |
ROBO1 | 0.0026740 | 270 | GTEx | DepMap | Descartes | 1.11 | 43.54 |
NTNG1 | 0.0022882 | 338 | GTEx | DepMap | Descartes | 0.44 | 26.65 |
CNTN3 | 0.0009855 | 1024 | GTEx | DepMap | Descartes | 0.08 | 4.68 |
SORCS3 | 0.0009444 | 1069 | GTEx | DepMap | Descartes | 0.10 | 4.75 |
SLC35F3 | 0.0003958 | 2897 | GTEx | DepMap | Descartes | 0.02 | 1.24 |
GRID2 | 0.0002126 | 4930 | GTEx | DepMap | Descartes | 0.15 | 7.85 |
HTATSF1 | 0.0001995 | 5174 | GTEx | DepMap | Descartes | 0.88 | 72.22 |
TMEM130 | 0.0001267 | 6781 | GTEx | DepMap | Descartes | 0.03 | 2.01 |
PENK | 0.0001244 | 6843 | GTEx | DepMap | Descartes | 0.13 | 24.08 |
CNTNAP5 | 0.0001235 | 6868 | GTEx | DepMap | Descartes | 0.01 | 0.99 |
KCTD16 | 0.0000148 | 10909 | GTEx | DepMap | Descartes | 0.01 | 0.40 |
FAM155A | -0.0000047 | 12137 | GTEx | DepMap | Descartes | 0.04 | 1.13 |
PACRG | -0.0000362 | 15286 | GTEx | DepMap | Descartes | 0.03 | 3.13 |
TENM1 | -0.0000464 | 16237 | GTEx | DepMap | Descartes | 0.03 | NA |
AGBL4 | -0.0000932 | 19321 | GTEx | DepMap | Descartes | 0.01 | 0.41 |
GALNTL6 | -0.0001193 | 20380 | GTEx | DepMap | Descartes | 0.00 | 0.21 |
SPOCK3 | -0.0001232 | 20497 | GTEx | DepMap | Descartes | 0.04 | 4.11 |
PNMT | -0.0001337 | 20822 | GTEx | DepMap | Descartes | 0.04 | 9.18 |
KSR2 | -0.0001377 | 20940 | GTEx | DepMap | Descartes | 0.00 | 0.05 |
CDH18 | -0.0001503 | 21266 | GTEx | DepMap | Descartes | 0.01 | 0.50 |
SLC24A2 | -0.0001510 | 21285 | GTEx | DepMap | Descartes | 0.00 | 0.10 |
TBX20 | -0.0001681 | 21706 | GTEx | DepMap | Descartes | 0.00 | 0.09 |
PCSK2 | -0.0001715 | 21783 | GTEx | DepMap | Descartes | 0.01 | 0.49 |
EML6 | -0.0001729 | 21803 | GTEx | DepMap | Descartes | 0.01 | 0.28 |
ST18 | -0.0001872 | 22104 | GTEx | DepMap | Descartes | 0.00 | 0.12 |
LAMA3 | -0.0002157 | 22598 | GTEx | DepMap | Descartes | 0.01 | 0.20 |
CHGA | -0.0002168 | 22622 | GTEx | DepMap | Descartes | 0.36 | 35.38 |
DGKK | -0.0002218 | 22706 | GTEx | DepMap | Descartes | 0.01 | 0.35 |
Descartes erythroblasts markers
Top 50 marker genes of erythroblasts cells in the Decartes fetal adrenal single cell map (https://atlas.brotmanbaty.org/bbi/human-gene-expression-during-development/cell/erythroblasts/in/adrenal)
Wilcoxon ranksum test P-value for gene set overrepresentation: 1.00e+00
Mean rank of genes in gene set: 22453.33
Median rank of genes in gene set: 24735.5
Rank on gene expression program of top 30 genes in gene set:
Genes | Weight | Rank | GTEx | DepMap | Descartes | Mean.Counts | Mean.TPM |
---|---|---|---|---|---|---|---|
TSPAN5 | 0.0007840 | 1338 | GTEx | DepMap | Descartes | 0.38 | 26.33 |
MICAL2 | 0.0006526 | 1667 | GTEx | DepMap | Descartes | 0.27 | 9.89 |
RGS6 | 0.0005766 | 1947 | GTEx | DepMap | Descartes | 0.12 | 5.11 |
HECTD4 | 0.0001861 | 5407 | GTEx | DepMap | Descartes | 0.38 | NA |
SLC25A21 | -0.0000112 | 12715 | GTEx | DepMap | Descartes | 0.03 | 1.53 |
DENND4A | -0.0001326 | 20782 | GTEx | DepMap | Descartes | 0.18 | 6.20 |
XPO7 | -0.0001851 | 22063 | GTEx | DepMap | Descartes | 0.26 | 14.34 |
HBZ | -0.0001920 | 22194 | GTEx | DepMap | Descartes | 0.27 | 98.69 |
ABCB10 | -0.0001949 | 22246 | GTEx | DepMap | Descartes | 0.13 | 9.56 |
GCLC | -0.0002106 | 22506 | GTEx | DepMap | Descartes | 0.13 | 9.06 |
TRAK2 | -0.0002173 | 22635 | GTEx | DepMap | Descartes | 0.22 | 8.61 |
RHD | -0.0002231 | 22724 | GTEx | DepMap | Descartes | 0.01 | 0.66 |
SELENBP1 | -0.0002655 | 23321 | GTEx | DepMap | Descartes | 0.37 | 32.24 |
TMCC2 | -0.0002675 | 23348 | GTEx | DepMap | Descartes | 0.06 | 4.03 |
GYPE | -0.0003223 | 23938 | GTEx | DepMap | Descartes | 0.02 | 2.94 |
SPTB | -0.0003333 | 24046 | GTEx | DepMap | Descartes | 0.01 | 0.24 |
TFR2 | -0.0003546 | 24208 | GTEx | DepMap | Descartes | 0.01 | 0.75 |
TMEM56 | -0.0003667 | 24296 | GTEx | DepMap | Descartes | 0.11 | NA |
RAPGEF2 | -0.0003825 | 24420 | GTEx | DepMap | Descartes | 0.24 | 7.95 |
SPTA1 | -0.0003954 | 24514 | GTEx | DepMap | Descartes | 0.01 | 0.46 |
CAT | -0.0004103 | 24592 | GTEx | DepMap | Descartes | 0.46 | 49.95 |
CR1L | -0.0004148 | 24624 | GTEx | DepMap | Descartes | 0.01 | 1.00 |
CPOX | -0.0004294 | 24698 | GTEx | DepMap | Descartes | 0.19 | 17.32 |
RHCE | -0.0004305 | 24707 | GTEx | DepMap | Descartes | 0.01 | 1.47 |
ANK1 | -0.0004405 | 24764 | GTEx | DepMap | Descartes | 0.01 | 0.24 |
SLC4A1 | -0.0004584 | 24845 | GTEx | DepMap | Descartes | 0.07 | 3.16 |
RHAG | -0.0004775 | 24948 | GTEx | DepMap | Descartes | 0.01 | 1.71 |
SOX6 | -0.0005060 | 25052 | GTEx | DepMap | Descartes | 0.11 | 2.74 |
HBG1 | -0.0005272 | 25116 | GTEx | DepMap | Descartes | 2.07 | 272.93 |
EPB42 | -0.0005715 | 25246 | GTEx | DepMap | Descartes | 0.01 | 1.28 |
Descartes myeloid markers
Top 50 marker genes of myeloid cells in the Decartes fetal adrenal single cell map (https://atlas.brotmanbaty.org/bbi/human-gene-expression-during-development/cell/myeloid/in/adrenal)
Wilcoxon ranksum test P-value for gene set overrepresentation: 1.00e+00
Mean rank of genes in gene set: 18199.6
Median rank of genes in gene set: 22880
Rank on gene expression program of top 30 genes in gene set:
Genes | Weight | Rank | GTEx | DepMap | Descartes | Mean.Counts | Mean.TPM |
---|---|---|---|---|---|---|---|
CTSC | 0.0040394 | 124 | GTEx | DepMap | Descartes | 4.91 | 210.60 |
TGFBI | 0.0025756 | 281 | GTEx | DepMap | Descartes | 1.20 | 70.73 |
HRH1 | 0.0023322 | 329 | GTEx | DepMap | Descartes | 0.24 | 14.15 |
AXL | 0.0018904 | 440 | GTEx | DepMap | Descartes | 0.75 | 42.33 |
RBPJ | 0.0009424 | 1074 | GTEx | DepMap | Descartes | 1.62 | 71.76 |
FGL2 | 0.0007552 | 1404 | GTEx | DepMap | Descartes | 0.28 | 15.99 |
SLC9A9 | 0.0007437 | 1439 | GTEx | DepMap | Descartes | 0.33 | 26.86 |
RGL1 | 0.0005941 | 1874 | GTEx | DepMap | Descartes | 0.63 | 32.77 |
HLA-DRB1 | 0.0003059 | 3689 | GTEx | DepMap | Descartes | 1.33 | 252.88 |
CST3 | 0.0002405 | 4463 | GTEx | DepMap | Descartes | 2.41 | 171.63 |
IFNGR1 | 0.0001041 | 7394 | GTEx | DepMap | Descartes | 0.48 | 47.39 |
CTSD | -0.0000453 | 16134 | GTEx | DepMap | Descartes | 1.05 | 124.35 |
SFMBT2 | -0.0000486 | 16416 | GTEx | DepMap | Descartes | 0.14 | 5.20 |
MS4A4E | -0.0000611 | 17393 | GTEx | DepMap | Descartes | 0.00 | 0.02 |
MARCH1 | -0.0001065 | 19937 | GTEx | DepMap | Descartes | 0.03 | NA |
SPP1 | -0.0001257 | 20567 | GTEx | DepMap | Descartes | 0.05 | 8.11 |
CD163L1 | -0.0001487 | 21223 | GTEx | DepMap | Descartes | 0.00 | 0.04 |
WWP1 | -0.0001513 | 21292 | GTEx | DepMap | Descartes | 0.26 | 14.47 |
HCK | -0.0001646 | 21629 | GTEx | DepMap | Descartes | 0.00 | 0.61 |
ATP8B4 | -0.0001780 | 21909 | GTEx | DepMap | Descartes | 0.01 | 0.56 |
MS4A4A | -0.0001902 | 22151 | GTEx | DepMap | Descartes | 0.01 | 1.07 |
FGD2 | -0.0001984 | 22305 | GTEx | DepMap | Descartes | 0.01 | 0.36 |
VSIG4 | -0.0002219 | 22709 | GTEx | DepMap | Descartes | 0.01 | 0.68 |
MSR1 | -0.0002242 | 22746 | GTEx | DepMap | Descartes | 0.00 | 0.20 |
SLCO2B1 | -0.0002269 | 22794 | GTEx | DepMap | Descartes | 0.03 | 1.29 |
C1QC | -0.0002395 | 22966 | GTEx | DepMap | Descartes | 0.04 | 6.96 |
C1QB | -0.0002463 | 23077 | GTEx | DepMap | Descartes | 0.08 | 17.17 |
MPEG1 | -0.0002472 | 23088 | GTEx | DepMap | Descartes | 0.01 | 0.51 |
CTSS | -0.0002478 | 23097 | GTEx | DepMap | Descartes | 0.02 | 1.41 |
C1QA | -0.0002744 | 23437 | GTEx | DepMap | Descartes | 0.09 | 18.67 |
Descartes Schwann markers
Top 50 marker genes of Schwann cells in the Decartes fetal adrenal single cell map (https://atlas.brotmanbaty.org/bbi/human-gene-expression-during-development/cell/schwann/in/adrenal)
Wilcoxon ranksum test P-value for gene set overrepresentation: 5.54e-02
Mean rank of genes in gene set: 11210.41
Median rank of genes in gene set: 11643
Rank on gene expression program of top 30 genes in gene set:
Genes | Weight | Rank | GTEx | DepMap | Descartes | Mean.Counts | Mean.TPM |
---|---|---|---|---|---|---|---|
COL5A2 | 0.0081450 | 16 | GTEx | DepMap | Descartes | 6.28 | 259.91 |
MARCKS | 0.0042857 | 108 | GTEx | DepMap | Descartes | 13.23 | 808.79 |
VIM | 0.0041724 | 114 | GTEx | DepMap | Descartes | 37.49 | 3197.24 |
PTN | 0.0037219 | 151 | GTEx | DepMap | Descartes | 7.13 | 1056.79 |
ADAMTS5 | 0.0035480 | 171 | GTEx | DepMap | Descartes | 0.66 | 21.30 |
LAMA4 | 0.0035474 | 172 | GTEx | DepMap | Descartes | 2.26 | 87.12 |
SFRP1 | 0.0034488 | 183 | GTEx | DepMap | Descartes | 3.28 | 175.14 |
LAMB1 | 0.0025106 | 290 | GTEx | DepMap | Descartes | 2.30 | 112.44 |
SCN7A | 0.0024776 | 299 | GTEx | DepMap | Descartes | 0.48 | 17.43 |
PMP22 | 0.0023110 | 335 | GTEx | DepMap | Descartes | 2.12 | 283.00 |
PLCE1 | 0.0022238 | 351 | GTEx | DepMap | Descartes | 0.50 | 10.80 |
KCTD12 | 0.0019455 | 425 | GTEx | DepMap | Descartes | 0.87 | 37.42 |
ABCA8 | 0.0018517 | 458 | GTEx | DepMap | Descartes | 0.70 | 33.39 |
VCAN | 0.0016634 | 524 | GTEx | DepMap | Descartes | 3.51 | 89.68 |
LAMC1 | 0.0013639 | 669 | GTEx | DepMap | Descartes | 1.18 | 38.64 |
PLP1 | 0.0009783 | 1033 | GTEx | DepMap | Descartes | 0.41 | 35.42 |
FIGN | 0.0008825 | 1150 | GTEx | DepMap | Descartes | 0.37 | 11.77 |
EGFLAM | 0.0008274 | 1254 | GTEx | DepMap | Descartes | 0.24 | 11.09 |
IL1RAPL1 | 0.0007180 | 1500 | GTEx | DepMap | Descartes | 0.12 | 9.44 |
IL1RAPL2 | 0.0006082 | 1817 | GTEx | DepMap | Descartes | 0.02 | 1.86 |
HMGA2 | 0.0005887 | 1900 | GTEx | DepMap | Descartes | 1.31 | 43.99 |
NRXN1 | 0.0005656 | 1994 | GTEx | DepMap | Descartes | 0.65 | 19.18 |
GAS7 | 0.0005386 | 2100 | GTEx | DepMap | Descartes | 0.25 | 8.28 |
LRRTM4 | 0.0003166 | 3584 | GTEx | DepMap | Descartes | 0.03 | 2.06 |
SORCS1 | 0.0000021 | 11643 | GTEx | DepMap | Descartes | 0.05 | 1.93 |
OLFML2A | -0.0000294 | 14598 | GTEx | DepMap | Descartes | 0.12 | 4.21 |
NLGN4X | -0.0000374 | 15394 | GTEx | DepMap | Descartes | 0.15 | 7.08 |
ERBB4 | -0.0000423 | 15860 | GTEx | DepMap | Descartes | 0.06 | 0.98 |
PPP2R2B | -0.0000430 | 15932 | GTEx | DepMap | Descartes | 0.02 | 0.43 |
PAG1 | -0.0000446 | 16067 | GTEx | DepMap | Descartes | 0.64 | 16.31 |
Descartes Megakaryocytes markers
Top 50 marker genes of Megakaryocytes cells in the Decartes fetal adrenal single cell map (https://atlas.brotmanbaty.org/bbi/human-gene-expression-during-development/cell/megakaryocytes/in/adrenal)
Wilcoxon ranksum test P-value for gene set overrepresentation: 9.99e-01
Mean rank of genes in gene set: 16247.37
Median rank of genes in gene set: 22051
Rank on gene expression program of top 30 genes in gene set:
Genes | Weight | Rank | GTEx | DepMap | Descartes | Mean.Counts | Mean.TPM |
---|---|---|---|---|---|---|---|
LTBP1 | 0.0050095 | 79 | GTEx | DepMap | Descartes | 1.55 | 62.79 |
SLC24A3 | 0.0022028 | 358 | GTEx | DepMap | Descartes | 0.19 | 14.33 |
VCL | 0.0017297 | 505 | GTEx | DepMap | Descartes | 1.71 | 56.72 |
FLNA | 0.0015079 | 582 | GTEx | DepMap | Descartes | 3.04 | 93.77 |
MYLK | 0.0012452 | 760 | GTEx | DepMap | Descartes | 0.91 | 24.73 |
ACTN1 | 0.0010776 | 901 | GTEx | DepMap | Descartes | 1.06 | 55.09 |
THBS1 | 0.0006780 | 1604 | GTEx | DepMap | Descartes | 0.80 | 25.98 |
PDE3A | 0.0005603 | 2014 | GTEx | DepMap | Descartes | 0.35 | 13.02 |
TPM4 | 0.0004674 | 2412 | GTEx | DepMap | Descartes | 4.43 | 208.48 |
ARHGAP6 | 0.0004511 | 2510 | GTEx | DepMap | Descartes | 0.15 | 6.17 |
ZYX | 0.0003610 | 3170 | GTEx | DepMap | Descartes | 0.56 | 64.99 |
TRPC6 | 0.0002274 | 4669 | GTEx | DepMap | Descartes | 0.06 | 3.38 |
ANGPT1 | 0.0002156 | 4878 | GTEx | DepMap | Descartes | 0.82 | 47.65 |
TLN1 | 0.0001541 | 6102 | GTEx | DepMap | Descartes | 1.47 | 41.70 |
ITGB3 | 0.0000848 | 7994 | GTEx | DepMap | Descartes | 0.01 | 0.44 |
ACTB | 0.0000388 | 9850 | GTEx | DepMap | Descartes | 26.61 | 2688.81 |
DOK6 | 0.0000376 | 9900 | GTEx | DepMap | Descartes | 0.09 | 3.03 |
ITGA2B | -0.0000390 | 15552 | GTEx | DepMap | Descartes | 0.03 | 2.75 |
PPBP | -0.0000858 | 18932 | GTEx | DepMap | Descartes | 0.02 | 3.93 |
PF4 | -0.0000998 | 19623 | GTEx | DepMap | Descartes | 0.02 | 4.91 |
GP1BA | -0.0001145 | 20207 | GTEx | DepMap | Descartes | 0.00 | 0.16 |
GP9 | -0.0001459 | 21141 | GTEx | DepMap | Descartes | 0.01 | 2.39 |
RAP1B | -0.0001595 | 21503 | GTEx | DepMap | Descartes | 1.72 | 30.35 |
INPP4B | -0.0001678 | 21697 | GTEx | DepMap | Descartes | 0.11 | 3.12 |
P2RX1 | -0.0001844 | 22051 | GTEx | DepMap | Descartes | 0.00 | 0.13 |
BIN2 | -0.0002058 | 22429 | GTEx | DepMap | Descartes | 0.00 | 0.49 |
MCTP1 | -0.0002258 | 22776 | GTEx | DepMap | Descartes | 0.00 | 0.32 |
TUBB1 | -0.0002332 | 22876 | GTEx | DepMap | Descartes | 0.00 | 0.30 |
FLI1 | -0.0002370 | 22936 | GTEx | DepMap | Descartes | 0.17 | 8.25 |
PRKAR2B | -0.0002393 | 22962 | GTEx | DepMap | Descartes | 0.41 | 30.47 |
Descartes Lyphoid markers
Top 50 marker genes of Lyphoid cells in the Decartes fetal adrenal single cell map (https://atlas.brotmanbaty.org/bbi/human-gene-expression-during-development/cell/lymphoid/in/adrenal)
Wilcoxon ranksum test P-value for gene set overrepresentation: 9.90e-01
Mean rank of genes in gene set: 15389.83
Median rank of genes in gene set: 19938
Rank on gene expression program of top 30 genes in gene set:
Genes | Weight | Rank | GTEx | DepMap | Descartes | Mean.Counts | Mean.TPM |
---|---|---|---|---|---|---|---|
ABLIM1 | 0.0029252 | 238 | GTEx | DepMap | Descartes | 1.06 | 37.94 |
CELF2 | 0.0015075 | 583 | GTEx | DepMap | Descartes | 0.53 | 18.61 |
NCALD | 0.0014915 | 599 | GTEx | DepMap | Descartes | 0.56 | 37.71 |
PLEKHA2 | 0.0008752 | 1168 | GTEx | DepMap | Descartes | 0.45 | 22.57 |
EVL | 0.0008278 | 1253 | GTEx | DepMap | Descartes | 1.03 | 73.15 |
TMSB10 | 0.0007452 | 1433 | GTEx | DepMap | Descartes | 28.86 | 13539.31 |
STK39 | 0.0006252 | 1761 | GTEx | DepMap | Descartes | 0.32 | 27.83 |
CD44 | 0.0005251 | 2151 | GTEx | DepMap | Descartes | 0.32 | 14.05 |
BACH2 | 0.0005205 | 2175 | GTEx | DepMap | Descartes | 0.11 | 3.28 |
WIPF1 | 0.0003561 | 3208 | GTEx | DepMap | Descartes | 0.26 | 15.42 |
PITPNC1 | 0.0003453 | 3304 | GTEx | DepMap | Descartes | 0.29 | 12.13 |
ANKRD44 | 0.0003243 | 3506 | GTEx | DepMap | Descartes | 0.39 | 15.13 |
TOX | 0.0002931 | 3818 | GTEx | DepMap | Descartes | 0.08 | 5.73 |
FOXP1 | 0.0001776 | 5565 | GTEx | DepMap | Descartes | 0.69 | 19.34 |
MBNL1 | 0.0001710 | 5707 | GTEx | DepMap | Descartes | 1.17 | 51.24 |
ARID5B | 0.0001583 | 5999 | GTEx | DepMap | Descartes | 0.81 | 27.36 |
BCL2 | 0.0001485 | 6229 | GTEx | DepMap | Descartes | 0.28 | 9.81 |
FYN | 0.0000830 | 8062 | GTEx | DepMap | Descartes | 0.48 | 35.56 |
CCND3 | 0.0000005 | 11762 | GTEx | DepMap | Descartes | 0.68 | 67.36 |
MCTP2 | -0.0000232 | 13891 | GTEx | DepMap | Descartes | 0.14 | 4.80 |
SCML4 | -0.0000704 | 18059 | GTEx | DepMap | Descartes | 0.01 | 0.50 |
NKG7 | -0.0000789 | 18579 | GTEx | DepMap | Descartes | 0.00 | 1.95 |
ITPKB | -0.0000855 | 18920 | GTEx | DepMap | Descartes | 0.12 | 5.45 |
SAMD3 | -0.0001016 | 19731 | GTEx | DepMap | Descartes | 0.02 | 1.16 |
LINC00299 | -0.0001124 | 20145 | GTEx | DepMap | Descartes | 0.00 | 0.10 |
CCL5 | -0.0001162 | 20263 | GTEx | DepMap | Descartes | 0.01 | 1.66 |
RAP1GAP2 | -0.0001948 | 22245 | GTEx | DepMap | Descartes | 0.01 | 0.45 |
MSN | -0.0002017 | 22360 | GTEx | DepMap | Descartes | 0.69 | 41.85 |
LCP1 | -0.0002747 | 23441 | GTEx | DepMap | Descartes | 0.02 | 1.27 |
SKAP1 | -0.0002875 | 23594 | GTEx | DepMap | Descartes | 0.00 | 0.51 |
Below shows the ranks on this GEP for immune marker gene lists curated by CellTypist (https://www.celltypist.org/encyclopedia).
High ranks indicate this gene is a driver of this GEP.
These curated gene list are ranked by P-value (on this GEP) of their constituent genes.
The Mean Count column shows the mean read count in cells scoring highly (H > 50) on this gene expression program.
Genes | Weight | Rank | GTEx | DepMap | Decartes | Mean.Counts | Mean.TPM |
---|---|---|---|---|---|---|---|
PRRX1 | 0.0075945 | 22 | GTEx | DepMap | Descartes | 2.32 | 168.65 |
MXRA5 | 0.0069190 | 32 | GTEx | DepMap | Descartes | 0.95 | 26.25 |
OLFML1 | 0.0053221 | 72 | GTEx | DepMap | Descartes | 0.67 | 65.26 |
PDGFRA | 0.0048240 | 84 | GTEx | DepMap | Descartes | 3.31 | 147.80 |
SMOC2 | 0.0041327 | 116 | GTEx | DepMap | Descartes | 1.11 | 87.53 |
EBF2 | 0.0036446 | 163 | GTEx | DepMap | Descartes | 0.33 | 18.74 |
SFRP1 | 0.0034488 | 183 | GTEx | DepMap | Descartes | 3.28 | 175.14 |
NTRK2 | 0.0022334 | 347 | GTEx | DepMap | Descartes | 0.61 | 21.62 |
F10 | 0.0021712 | 364 | GTEx | DepMap | Descartes | 0.72 | 125.35 |
ANGPTL1 | 0.0015856 | 558 | GTEx | DepMap | Descartes | 0.18 | 15.14 |
Fibroblasts: Fibroblasts (curated markers)
the most common cells of connective tissues which synthesize the extracellular matrix and collagen to maintain tissue homeostasis:
Wilcoxon ranksum test P-value for gene set overrepresentation: 1.35e-03
Mean rank of genes in gene set: 2.67
Rank on gene expression program of genes in gene set:
Genes | Weight | Rank | GTEx | DepMap | Decartes | Mean.Counts | Mean.TPM |
---|---|---|---|---|---|---|---|
COL1A2 | 0.0114377 | 1 | GTEx | DepMap | Descartes | 51.31 | 2328.71 |
DCN | 0.0109318 | 3 | GTEx | DepMap | Descartes | 18.56 | 682.87 |
COL1A1 | 0.0109079 | 4 | GTEx | DepMap | Descartes | 65.08 | 3095.37 |
DC: Transitional DC (curated markers)
immature dendritic cells which follow dendritic cell precursors and are committed to the mature dendritic cells:
Wilcoxon ranksum test P-value for gene set overrepresentation: 1.00e-01
Mean rank of genes in gene set: 7402.67
Rank on gene expression program of genes in gene set:
Genes | Weight | Rank | GTEx | DepMap | Decartes | Mean.Counts | Mean.TPM |
---|---|---|---|---|---|---|---|
AXL | 0.0018904 | 440 | GTEx | DepMap | Descartes | 0.75 | 42.33 |
KLF4 | 0.0011044 | 873 | GTEx | DepMap | Descartes | 0.74 | 63.40 |
CLEC10A | -0.0001361 | 20895 | GTEx | DepMap | Descartes | 0.00 | 0.00 |