Program description and justification of annotation: 32.
Submit a comment on this gene expression program’s interpretation: CLICK
QQ-plot of gene loadings, averaged over both independent splits of the data
This plot highlights the relative contribution of each gene to the GEP
Top genes driving this program.
Note: Decartes website is buggy, try refreshing. Also, Decartes fetal adrenal data have been collected at specific time points (89-122 days), all possible cell types of interest may not be represented, do not overinterpret.
The Mean Count column shows the mean read count in cells scoring highly (H > 50) on this gene expression program.
Gene | Loading | Gene.Name | GTEx | DepMap | Descartes | Mean.Counts | Mean.Tpm | |
---|---|---|---|---|---|---|---|---|
1 | DNAJB1 | 0.0155696 | DnaJ heat shock protein family (Hsp40) member B1 | GTEx | DepMap | Descartes | 13.39 | 497.19 |
2 | FOSB | 0.0141048 | FosB proto-oncogene, AP-1 transcription factor subunit | GTEx | DepMap | Descartes | 9.80 | 306.13 |
3 | FOSL1 | 0.0140597 | FOS like 1, AP-1 transcription factor subunit | GTEx | DepMap | Descartes | 1.77 | 37.48 |
4 | CLDN4 | 0.0139387 | claudin 4 | GTEx | DepMap | Descartes | 1.11 | 76.96 |
5 | HBEGF | 0.0131363 | heparin binding EGF like growth factor | GTEx | DepMap | Descartes | 9.24 | 128.98 |
6 | EGR1 | 0.0117318 | early growth response 1 | GTEx | DepMap | Descartes | 11.42 | 503.98 |
7 | ARC | 0.0111340 | activity regulated cytoskeleton associated protein | GTEx | DepMap | Descartes | 1.43 | 74.12 |
8 | SERPINB2 | 0.0111129 | serpin family B member 2 | GTEx | DepMap | Descartes | 5.14 | 31.74 |
9 | ATF3 | 0.0109692 | activating transcription factor 3 | GTEx | DepMap | Descartes | 23.06 | 122.62 |
10 | OVOL1 | 0.0105752 | ovo like transcriptional repressor 1 | GTEx | DepMap | Descartes | 1.57 | 26.68 |
11 | PDK4 | 0.0102891 | pyruvate dehydrogenase kinase 4 | GTEx | DepMap | Descartes | 1.22 | 19.06 |
12 | KLF4 | 0.0102620 | Kruppel like factor 4 | GTEx | DepMap | Descartes | 11.06 | 404.31 |
13 | PHLDA1 | 0.0099990 | pleckstrin homology like domain family A member 1 | GTEx | DepMap | Descartes | 10.78 | 837.15 |
14 | FOS | 0.0095448 | Fos proto-oncogene, AP-1 transcription factor subunit | GTEx | DepMap | Descartes | 29.60 | 2251.93 |
15 | EPHA2 | 0.0093624 | EPH receptor A2 | GTEx | DepMap | Descartes | 2.26 | 16.35 |
16 | JUN | 0.0090190 | Jun proto-oncogene, AP-1 transcription factor subunit | GTEx | DepMap | Descartes | 33.61 | 2570.35 |
17 | HSPB1 | 0.0082769 | heat shock protein family B (small) member 1 | GTEx | DepMap | Descartes | 67.87 | 5915.08 |
18 | ITPKC | 0.0078501 | inositol-trisphosphate 3-kinase C | GTEx | DepMap | Descartes | 2.05 | 19.66 |
19 | NFKBIA | 0.0076411 | NFKB inhibitor alpha | GTEx | DepMap | Descartes | 27.09 | 2035.39 |
20 | HSPA1B | 0.0076069 | heat shock protein family A (Hsp70) member 1B | GTEx | DepMap | Descartes | 12.66 | 1066.34 |
21 | PNRC1 | 0.0075185 | proline rich nuclear receptor coactivator 1 | GTEx | DepMap | Descartes | 11.95 | 52.03 |
22 | ELF3 | 0.0073537 | E74 like ETS transcription factor 3 | GTEx | DepMap | Descartes | 1.20 | 32.67 |
23 | ZFP36 | 0.0071970 | ZFP36 ring finger protein | GTEx | DepMap | Descartes | 15.83 | 1199.56 |
24 | NFKBIZ | 0.0070648 | NFKB inhibitor zeta | GTEx | DepMap | Descartes | 3.51 | 31.48 |
25 | DUSP1 | 0.0069880 | dual specificity phosphatase 1 | GTEx | DepMap | Descartes | 14.40 | 61.03 |
26 | GM12352 | 0.0069178 | NA | GTEx | DepMap | Descartes | 0.00 | 0.26 |
27 | BTG2 | 0.0067667 | BTG anti-proliferation factor 2 | GTEx | DepMap | Descartes | 17.11 | 1019.30 |
28 | LY6D | 0.0065434 | lymphocyte antigen 6 family member D | GTEx | DepMap | Descartes | 55.16 | 3888.89 |
29 | NR4A1 | 0.0064544 | nuclear receptor subfamily 4 group A member 1 | GTEx | DepMap | Descartes | 5.83 | 68.03 |
30 | CYR61 | 0.0063262 | NA | GTEx | DepMap | Descartes | 3.31 | NA |
31 | CHIL4 | 0.0063131 | NA | GTEx | DepMap | Descartes | 33.30 | 390.42 |
32 | 1810011O10RIK | 0.0062588 | NA | GTEx | DepMap | Descartes | 3.11 | NA |
33 | IER2 | 0.0062335 | immediate early response 2 | GTEx | DepMap | Descartes | 8.04 | 1092.47 |
34 | CSRNP1 | 0.0062275 | cysteine and serine rich nuclear protein 1 | GTEx | DepMap | Descartes | 1.63 | 28.92 |
35 | TGM1 | 0.0061975 | transglutaminase 1 | GTEx | DepMap | Descartes | 4.74 | 47.09 |
36 | PLET1 | 0.0059478 | placenta expressed transcript 1 | GTEx | DepMap | Descartes | 1.40 | 27.92 |
37 | SFN | 0.0057350 | stratifin | GTEx | DepMap | Descartes | 58.11 | 4852.17 |
38 | KRT23 | 0.0057261 | keratin 23 | GTEx | DepMap | Descartes | 6.00 | 56.52 |
39 | CXCL10 | 0.0057055 | C-X-C motif chemokine ligand 10 | GTEx | DepMap | Descartes | 3.10 | 285.26 |
40 | NIPAL1 | 0.0056790 | NIPA like domain containing 1 | GTEx | DepMap | Descartes | 1.09 | 8.02 |
41 | NR4A3 | 0.0054689 | nuclear receptor subfamily 4 group A member 3 | GTEx | DepMap | Descartes | 1.46 | 11.35 |
42 | SDC4 | 0.0054561 | syndecan 4 | GTEx | DepMap | Descartes | 7.85 | 87.38 |
43 | LYPD3 | 0.0054473 | LY6/PLAUR domain containing 3 | GTEx | DepMap | Descartes | 9.55 | 264.79 |
44 | HSPA1A | 0.0053810 | heat shock protein family A (Hsp70) member 1A | GTEx | DepMap | Descartes | 14.85 | 1327.62 |
45 | BHLHE40 | 0.0053572 | basic helix-loop-helix family member e40 | GTEx | DepMap | Descartes | 3.94 | 152.52 |
46 | TACSTD2 | 0.0052123 | tumor associated calcium signal transducer 2 | GTEx | DepMap | Descartes | 3.94 | 318.56 |
47 | IRF6 | 0.0052114 | interferon regulatory factor 6 | GTEx | DepMap | Descartes | 1.84 | 16.38 |
48 | SOX21 | 0.0051965 | SRY-box transcription factor 21 | GTEx | DepMap | Descartes | 0.36 | 19.35 |
49 | ELF5 | 0.0051423 | E74 like ETS transcription factor 5 | GTEx | DepMap | Descartes | 0.33 | 1.16 |
50 | MT4 | 0.0049851 | metallothionein 4 | GTEx | DepMap | Descartes | 109.04 | 6631.06 |
UMAP plots showing activity of gene expression program identified in community:32. NFkB: Fibrotic Neuroblastoma
CNV Data procured from inferCNV.
Outer tracks are putative CNV regions (gains = red, losses = blue) for each patient
Inner track is expression data representing:
The top cells expressing this GEP (purple)
Random cells (n =50) from the reference set used in inferCNV (orange)
Gene set Enrichments for this program, caculated from top 50 genes
mSigDB Cell Types Gene Set:
P-value | OR | Lower 95% CI | FDR | FWER | Genes Found | Gene Set Size | |
---|---|---|---|---|---|---|---|
DURANTE_ADULT_OLFACTORY_NEUROEPITHELIUM_RESPIRATORY_HORIZONTAL_BASAL_CELLS | 1.15e-12 | 130.35 | 45.37 | 5.50e-11 | 7.70e-10 | 7CLDN4, HSPB1, ELF3, SFN, KRT23, LYPD3, TACSTD2 |
33 |
DURANTE_ADULT_OLFACTORY_NEUROEPITHELIUM_RESPIRATORY_COLUMNAR_CELLS | 4.86e-11 | 129.03 | 40.79 | 1.58e-09 | 3.26e-08 | 6CLDN4, HSPB1, ELF3, SFN, KRT23, TACSTD2 |
28 |
ZHENG_CORD_BLOOD_C5_SIMILAR_TO_HSC_C6_PUTATIVE_ALTERED_METABOLIC_STATE | 3.58e-16 | 68.43 | 30.58 | 8.00e-14 | 2.40e-13 | 11ATF3, FOS, JUN, NFKBIA, PNRC1, ZFP36, NFKBIZ, DUSP1, BTG2, NR4A1, IER2 |
97 |
LAKE_ADULT_KIDNEY_C27_VASCULAR_SMOOTH_MUSCLE_CELLS_AND_PERICYTES | 6.84e-14 | 40.90 | 18.52 | 6.55e-12 | 4.59e-11 | 11DNAJB1, FOSB, EGR1, ATF3, FOS, JUN, HSPA1B, ZFP36, DUSP1, NR4A1, HSPA1A |
155 |
MENON_FETAL_KIDNEY_6_COLLECTING_DUCT_CELLS | 5.38e-11 | 46.28 | 18.20 | 1.64e-09 | 3.61e-08 | 8CLDN4, EGR1, FOS, JUN, HSPB1, BTG2, IER2, ELF5 |
94 |
AIZARANI_LIVER_C39_EPCAM_POS_BILE_DUCT_CELLS_4 | 1.20e-14 | 38.34 | 17.93 | 1.34e-12 | 8.07e-12 | 12CLDN4, HBEGF, ATF3, EPHA2, HSPB1, ITPKC, NFKBIA, HSPA1B, ELF3, SDC4, HSPA1A, TACSTD2 |
184 |
LAKE_ADULT_KIDNEY_C17_COLLECTING_SYSTEM_PCS_STRESSED_DISSOC_SUBSET | 2.55e-16 | 35.95 | 17.66 | 8.00e-14 | 1.71e-13 | 14DNAJB1, FOSB, EGR1, ATF3, PDK4, FOS, JUN, ELF3, ZFP36, NFKBIZ, DUSP1, BTG2, NR4A1, HSPA1A |
240 |
FAN_OVARY_CL6_PUTATIVE_EARLY_ATRETIC_FOLLICLE_THECAL_CELL_2 | 5.33e-18 | 34.63 | 17.64 | 3.58e-15 | 3.58e-15 | 16DNAJB1, FOSB, EGR1, ATF3, PDK4, KLF4, FOS, JUN, NFKBIA, HSPA1B, ZFP36, DUSP1, BTG2, NR4A1, IER2, HSPA1A |
300 |
BUSSLINGER_GASTRIC_PREZYMOGENIC_CELLS | 6.05e-09 | 52.65 | 17.62 | 1.23e-07 | 4.06e-06 | 6FOSB, EGR1, FOS, JUN, NFKBIZ, IER2 |
60 |
FAN_OVARY_CL2_PUTATIVE_EARLY_ATRETIC_FOLLICLE_THECAL_CELL_1 | 7.55e-11 | 44.19 | 17.42 | 2.20e-09 | 5.06e-08 | 8FOSB, EGR1, PDK4, FOS, JUN, HSPA1B, ZFP36, DUSP1 |
98 |
LAKE_ADULT_KIDNEY_C26_MESANGIAL_CELLS | 2.94e-13 | 35.49 | 16.10 | 1.97e-11 | 1.97e-10 | 11DNAJB1, FOSB, EGR1, FOS, JUN, HSPB1, NFKBIA, HSPA1B, DUSP1, NR4A1, HSPA1A |
177 |
DURANTE_ADULT_OLFACTORY_NEUROEPITHELIUM_VASCULAR_SMOOTH_MUSCLE_CELLS | 2.24e-09 | 39.51 | 14.58 | 5.01e-08 | 1.50e-06 | 7EGR1, ATF3, FOS, JUN, HSPA1B, ZFP36, HSPA1A |
93 |
TRAVAGLINI_LUNG_ADVENTITIAL_FIBROBLAST_CELL | 4.57e-15 | 28.81 | 14.19 | 6.13e-13 | 3.06e-12 | 14DNAJB1, FOSB, FOSL1, EGR1, KLF4, FOS, JUN, ZFP36, NFKBIZ, DUSP1, BTG2, NR4A1, IER2, CSRNP1 |
296 |
BUSSLINGER_GASTRIC_PPP1R1B_POSITIVE_CELLS | 4.11e-10 | 35.20 | 13.96 | 1.06e-08 | 2.76e-07 | 8FOSB, EGR1, ATF3, FOS, JUN, ELF3, SDC4, TACSTD2 |
121 |
DURANTE_ADULT_OLFACTORY_NEUROEPITHELIUM_MAST_CELLS | 2.36e-08 | 41.26 | 13.91 | 4.28e-07 | 1.58e-05 | 6DNAJB1, NFKBIA, HSPA1B, NFKBIZ, IER2, NR4A3 |
75 |
DESCARTES_FETAL_EYE_CORNEAL_AND_CONJUNCTIVAL_EPITHELIAL_CELLS | 3.25e-13 | 28.55 | 13.41 | 1.98e-11 | 2.18e-10 | 12CLDN4, SERPINB2, ATF3, ITPKC, NFKBIA, ELF3, IER2, SFN, KRT23, SDC4, LYPD3, TACSTD2 |
243 |
FAN_EMBRYONIC_CTX_BIG_GROUPS_MICROGLIA | 3.97e-15 | 25.15 | 12.64 | 6.13e-13 | 2.66e-12 | 15DNAJB1, FOSB, EGR1, PDK4, FOS, JUN, HSPB1, NFKBIA, HSPA1B, ZFP36, NFKBIZ, DUSP1, BTG2, IER2, HSPA1A |
371 |
CUI_DEVELOPING_HEART_VASCULAR_ENDOTHELIAL_CELL | 2.38e-11 | 28.52 | 12.53 | 9.39e-10 | 1.60e-08 | 10FOSB, KLF4, JUN, NFKBIA, HSPA1B, ZFP36, BTG2, IER2, HSPA1A, BHLHE40 |
193 |
DESCARTES_FETAL_SPLEEN_MESOTHELIAL_CELLS | 2.63e-11 | 28.21 | 12.40 | 9.81e-10 | 1.77e-08 | 10EGR1, ATF3, FOS, ITPKC, HSPA1B, ZFP36, DUSP1, CSRNP1, TGM1, BHLHE40 |
195 |
FAN_EMBRYONIC_CTX_MICROGLIA_2 | 1.99e-04 | 123.89 | 12.26 | 2.02e-03 | 1.33e-01 | 2FOSB, IER2 |
9 |
Dowload full table
mSigDB Hallmark Gene Sets:
P-value | OR | Lower 95% CI | FDR | FWER | Genes Found | Gene Set Size | |
---|---|---|---|---|---|---|---|
HALLMARK_TNFA_SIGNALING_VIA_NFKB | 5.60e-30 | 84.46 | 44.84 | 2.80e-28 | 2.80e-28 | 21FOSB, FOSL1, HBEGF, EGR1, SERPINB2, ATF3, KLF4, PHLDA1, FOS, JUN, NFKBIA, PNRC1, ZFP36, DUSP1, BTG2, NR4A1, IER2, CXCL10, NR4A3, SDC4, BHLHE40 |
200 |
HALLMARK_UV_RESPONSE_UP | 8.78e-08 | 22.52 | 8.41 | 1.10e-06 | 4.39e-06 | 7DNAJB1, FOSB, ATF3, FOS, NFKBIA, BTG2, NR4A1 |
158 |
HALLMARK_HYPOXIA | 2.12e-08 | 20.72 | 8.29 | 3.54e-07 | 1.06e-06 | 8ATF3, FOS, JUN, PNRC1, ZFP36, DUSP1, SDC4, BHLHE40 |
200 |
HALLMARK_P53_PATHWAY | 2.12e-08 | 20.72 | 8.29 | 3.54e-07 | 1.06e-06 | 8HBEGF, ATF3, KLF4, FOS, EPHA2, JUN, BTG2, SFN |
200 |
HALLMARK_IL2_STAT5_SIGNALING | 1.05e-04 | 11.97 | 3.67 | 8.99e-04 | 5.27e-03 | 5PHLDA1, NFKBIZ, CXCL10, BHLHE40, IRF6 |
199 |
HALLMARK_ESTROGEN_RESPONSE_EARLY | 1.08e-04 | 11.91 | 3.65 | 8.99e-04 | 5.39e-03 | 5KLF4, FOS, ELF3, SFN, BHLHE40 |
200 |
HALLMARK_APOPTOSIS | 5.71e-04 | 11.57 | 2.99 | 4.08e-03 | 2.86e-02 | 4ATF3, JUN, HSPB1, BTG2 |
161 |
HALLMARK_ESTROGEN_RESPONSE_LATE | 1.27e-03 | 9.27 | 2.40 | 6.36e-03 | 6.36e-02 | 4KLF4, FOS, ZFP36, SFN |
200 |
HALLMARK_INFLAMMATORY_RESPONSE | 1.27e-03 | 9.27 | 2.40 | 6.36e-03 | 6.36e-02 | 4HBEGF, NFKBIA, BTG2, CXCL10 |
200 |
HALLMARK_KRAS_SIGNALING_DN | 1.27e-03 | 9.27 | 2.40 | 6.36e-03 | 6.36e-02 | 4SERPINB2, BTG2, TGM1, LYPD3 |
200 |
HALLMARK_APICAL_SURFACE | 4.93e-03 | 20.71 | 2.36 | 2.24e-02 | 2.47e-01 | 2HSPB1, LYPD3 |
44 |
HALLMARK_CHOLESTEROL_HOMEOSTASIS | 1.34e-02 | 12.09 | 1.40 | 5.16e-02 | 6.71e-01 | 2ATF3, PNRC1 |
74 |
HALLMARK_KRAS_SIGNALING_UP | 1.18e-02 | 6.77 | 1.34 | 4.91e-02 | 5.89e-01 | 3HBEGF, KLF4, CXCL10 |
200 |
HALLMARK_IL6_JAK_STAT3_SIGNALING | 1.82e-02 | 10.24 | 1.19 | 6.50e-02 | 9.11e-01 | 2JUN, CXCL10 |
87 |
HALLMARK_UV_RESPONSE_DN | 4.58e-02 | 6.13 | 0.72 | 1.53e-01 | 1.00e+00 | 2DUSP1, BHLHE40 |
144 |
HALLMARK_MYOGENESIS | 8.11e-02 | 4.40 | 0.51 | 1.93e-01 | 1.00e+00 | 2HBEGF, BHLHE40 |
200 |
HALLMARK_INTERFERON_GAMMA_RESPONSE | 8.11e-02 | 4.40 | 0.51 | 1.93e-01 | 1.00e+00 | 2NFKBIA, CXCL10 |
200 |
HALLMARK_COMPLEMENT | 8.11e-02 | 4.40 | 0.51 | 1.93e-01 | 1.00e+00 | 2SERPINB2, HSPA1A |
200 |
HALLMARK_MTORC1_SIGNALING | 8.11e-02 | 4.40 | 0.51 | 1.93e-01 | 1.00e+00 | 2BTG2, BHLHE40 |
200 |
HALLMARK_EPITHELIAL_MESENCHYMAL_TRANSITION | 8.11e-02 | 4.40 | 0.51 | 1.93e-01 | 1.00e+00 | 2JUN, SDC4 |
200 |
Dowload full table
KEGG Pathways:
P-value | OR | Lower 95% CI | FDR | FWER | Genes Found | Gene Set Size | |
---|---|---|---|---|---|---|---|
KEGG_MAPK_SIGNALING_PATHWAY | 2.91e-06 | 13.08 | 4.92 | 5.41e-04 | 5.41e-04 | 7FOS, JUN, HSPB1, HSPA1B, DUSP1, NR4A1, HSPA1A |
267 |
KEGG_TOLL_LIKE_RECEPTOR_SIGNALING_PATHWAY | 1.01e-04 | 18.53 | 4.75 | 9.37e-03 | 1.87e-02 | 4FOS, JUN, NFKBIA, CXCL10 |
102 |
KEGG_EPITHELIAL_CELL_SIGNALING_IN_HELICOBACTER_PYLORI_INFECTION | 5.69e-04 | 20.51 | 3.98 | 2.82e-02 | 1.06e-01 | 3HBEGF, JUN, NFKBIA |
68 |
KEGG_LEISHMANIA_INFECTION | 6.73e-04 | 19.33 | 3.76 | 2.82e-02 | 1.25e-01 | 3FOS, JUN, NFKBIA |
72 |
KEGG_B_CELL_RECEPTOR_SIGNALING_PATHWAY | 7.58e-04 | 18.52 | 3.61 | 2.82e-02 | 1.41e-01 | 3FOS, JUN, NFKBIA |
75 |
KEGG_PRION_DISEASES | 3.15e-03 | 26.37 | 2.98 | 8.37e-02 | 5.86e-01 | 2EGR1, HSPA1A |
35 |
KEGG_T_CELL_RECEPTOR_SIGNALING_PATHWAY | 2.16e-03 | 12.70 | 2.49 | 6.69e-02 | 4.01e-01 | 3FOS, JUN, NFKBIA |
108 |
KEGG_CYTOSOLIC_DNA_SENSING_PATHWAY | 7.61e-03 | 16.42 | 1.89 | 1.77e-01 | 1.00e+00 | 2NFKBIA, CXCL10 |
55 |
KEGG_COLORECTAL_CANCER | 9.58e-03 | 14.51 | 1.67 | 1.98e-01 | 1.00e+00 | 2FOS, JUN |
62 |
KEGG_RIG_I_LIKE_RECEPTOR_SIGNALING_PATHWAY | 1.24e-02 | 12.61 | 1.46 | 2.31e-01 | 1.00e+00 | 2NFKBIA, CXCL10 |
71 |
KEGG_ERBB_SIGNALING_PATHWAY | 1.82e-02 | 10.24 | 1.19 | 2.88e-01 | 1.00e+00 | 2HBEGF, JUN |
87 |
KEGG_ANTIGEN_PROCESSING_AND_PRESENTATION | 1.86e-02 | 10.12 | 1.17 | 2.88e-01 | 1.00e+00 | 2HSPA1B, HSPA1A |
88 |
KEGG_GNRH_SIGNALING_PATHWAY | 2.40e-02 | 8.79 | 1.02 | 3.44e-01 | 1.00e+00 | 2HBEGF, JUN |
101 |
KEGG_PATHWAYS_IN_CANCER | 4.09e-02 | 4.14 | 0.82 | 4.22e-01 | 1.00e+00 | 3FOS, JUN, NFKBIA |
325 |
KEGG_NEUROTROPHIN_SIGNALING_PATHWAY | 3.60e-02 | 7.02 | 0.82 | 4.22e-01 | 1.00e+00 | 2JUN, NFKBIA |
126 |
KEGG_CIRCADIAN_RHYTHM_MAMMAL | 3.06e-02 | 35.47 | 0.82 | 4.06e-01 | 1.00e+00 | 1BHLHE40 |
13 |
KEGG_SPLICEOSOME | 3.66e-02 | 6.96 | 0.81 | 4.22e-01 | 1.00e+00 | 2HSPA1B, HSPA1A |
127 |
KEGG_CELL_ADHESION_MOLECULES_CAMS | 3.97e-02 | 6.65 | 0.77 | 4.22e-01 | 1.00e+00 | 2CLDN4, SDC4 |
133 |
KEGG_WNT_SIGNALING_PATHWAY | 4.98e-02 | 5.84 | 0.68 | 4.88e-01 | 1.00e+00 | 2FOSL1, JUN |
151 |
KEGG_ENDOCYTOSIS | 6.84e-02 | 4.86 | 0.57 | 6.36e-01 | 1.00e+00 | 2HSPA1B, HSPA1A |
181 |
Dowload full table
CHR Positional Gene Sets:
P-value | OR | Lower 95% CI | FDR | FWER | Genes Found | Gene Set Size | |
---|---|---|---|---|---|---|---|
chr1q32 | 3.54e-03 | 6.94 | 1.80 | 9.84e-01 | 9.84e-01 | 4ATF3, ELF3, BTG2, IRF6 |
266 |
chr9q31 | 3.71e-02 | 6.91 | 0.80 | 1.00e+00 | 1.00e+00 | 2KLF4, NR4A3 |
128 |
chr1p32 | 5.04e-02 | 5.80 | 0.68 | 1.00e+00 | 1.00e+00 | 2JUN, TACSTD2 |
152 |
chr4p12 | 5.57e-02 | 18.53 | 0.44 | 1.00e+00 | 1.00e+00 | 1NIPAL1 |
24 |
chr19q13 | 3.36e-01 | 1.57 | 0.41 | 1.00e+00 | 1.00e+00 | 4FOSB, ITPKC, ZFP36, LYPD3 |
1165 |
chr7q11 | 1.20e-01 | 3.47 | 0.41 | 1.00e+00 | 1.00e+00 | 2CLDN4, HSPB1 |
253 |
chr5q31 | 1.46e-01 | 3.06 | 0.36 | 1.00e+00 | 1.00e+00 | 2HBEGF, EGR1 |
287 |
chr8q24 | 1.74e-01 | 2.73 | 0.32 | 1.00e+00 | 1.00e+00 | 2ARC, LY6D |
321 |
chr16q13 | 9.11e-02 | 10.93 | 0.26 | 1.00e+00 | 1.00e+00 | 1MT4 |
40 |
chr11q13 | 2.59e-01 | 2.08 | 0.24 | 1.00e+00 | 1.00e+00 | 2FOSL1, OVOL1 |
421 |
chr3p26 | 9.97e-02 | 9.91 | 0.24 | 1.00e+00 | 1.00e+00 | 1BHLHE40 |
44 |
chr3q12 | 1.04e-01 | 9.47 | 0.23 | 1.00e+00 | 1.00e+00 | 1NFKBIZ |
46 |
chr6q15 | 1.08e-01 | 9.07 | 0.22 | 1.00e+00 | 1.00e+00 | 1PNRC1 |
48 |
chr6p21 | 2.98e-01 | 1.87 | 0.22 | 1.00e+00 | 1.00e+00 | 2HSPA1B, HSPA1A |
467 |
chr14q13 | 1.31e-01 | 7.35 | 0.18 | 1.00e+00 | 1.00e+00 | 1NFKBIA |
59 |
chr1p36 | 6.65e-01 | 1.33 | 0.16 | 1.00e+00 | 1.00e+00 | 2EPHA2, SFN |
656 |
chr19p13 | 6.98e-01 | 1.13 | 0.13 | 1.00e+00 | 1.00e+00 | 2DNAJB1, IER2 |
773 |
chr13q32 | 2.03e-01 | 4.54 | 0.11 | 1.00e+00 | 1.00e+00 | 1SOX21 |
95 |
chr14q12 | 2.14e-01 | 4.26 | 0.10 | 1.00e+00 | 1.00e+00 | 1TGM1 |
101 |
chr12q21 | 2.63e-01 | 3.36 | 0.08 | 1.00e+00 | 1.00e+00 | 1PHLDA1 |
128 |
Dowload full table
Transcription Factor Targets:
P-value | OR | Lower 95% CI | FDR | FWER | Genes Found | Gene Set Size | |
---|---|---|---|---|---|---|---|
SRF_01 | 1.35e-07 | 50.36 | 14.94 | 1.07e-04 | 1.53e-04 | 5FOSB, FOSL1, EGR1, FOS, IER2 |
51 |
CREB_Q2 | 2.04e-07 | 15.25 | 6.12 | 1.07e-04 | 2.31e-04 | 8FOSB, EGR1, ATF3, FOS, EPHA2, PNRC1, DUSP1, NR4A3 |
269 |
PAX3_B | 6.48e-05 | 20.87 | 5.34 | 4.59e-03 | 7.34e-02 | 4PNRC1, NR4A1, NR4A3, BHLHE40 |
91 |
TAXCREB_01 | 2.00e-05 | 17.19 | 5.25 | 1.74e-03 | 2.27e-02 | 5FOSB, FOS, PNRC1, DUSP1, NR4A3 |
140 |
HSF2_01 | 2.38e-06 | 13.50 | 5.07 | 3.96e-04 | 2.70e-03 | 7DNAJB1, FOS, JUN, HSPA1B, DUSP1, NR4A3, HSPA1A |
259 |
CREBP1_Q2 | 2.44e-06 | 13.45 | 5.05 | 3.96e-04 | 2.77e-03 | 7FOSB, EGR1, FOS, EPHA2, PNRC1, DUSP1, NR4A3 |
260 |
ATF4_Q2 | 2.44e-06 | 13.45 | 5.05 | 3.96e-04 | 2.77e-03 | 7FOSB, FOS, EPHA2, ITPKC, PNRC1, DUSP1, NR4A3 |
260 |
CREB_Q4 | 3.28e-06 | 12.84 | 4.83 | 4.54e-04 | 3.72e-03 | 7FOSB, ATF3, FOS, EPHA2, PNRC1, DUSP1, NR4A3 |
272 |
HSF1_01 | 3.61e-06 | 12.65 | 4.76 | 4.54e-04 | 4.09e-03 | 7DNAJB1, FOS, EPHA2, JUN, HSPB1, DUSP1, NR4A3 |
276 |
SRF_C | 1.12e-05 | 13.63 | 4.70 | 1.16e-03 | 1.27e-02 | 6FOSB, FOSL1, EGR1, FOS, NR4A1, IER2 |
215 |
GTF2A2_TARGET_GENES | 2.84e-07 | 10.21 | 4.53 | 1.07e-04 | 3.22e-04 | 10DNAJB1, FOSB, EGR1, ATF3, FOS, HSPA1B, ZFP36, DUSP1, SDC4, HSPA1A |
522 |
CREB_Q2_01 | 1.48e-05 | 12.95 | 4.46 | 1.40e-03 | 1.68e-02 | 6FOSB, EGR1, EPHA2, JUN, PNRC1, DUSP1 |
226 |
RGAANNTTC_HSF1_01 | 9.99e-07 | 10.22 | 4.34 | 2.83e-04 | 1.13e-03 | 9DNAJB1, EPHA2, JUN, HSPB1, HSPA1B, PNRC1, DUSP1, NR4A3, HSPA1A |
458 |
PSMB5_TARGET_GENES | 7.18e-06 | 11.34 | 4.27 | 8.14e-04 | 8.14e-03 | 7ATF3, HSPA1B, ZFP36, NFKBIZ, DUSP1, BTG2, SDC4 |
307 |
ATF3_Q6 | 2.78e-05 | 11.54 | 3.98 | 2.25e-03 | 3.15e-02 | 6FOSB, ATF3, EPHA2, JUN, PNRC1, DUSP1 |
253 |
ATF_B | 8.70e-05 | 12.48 | 3.82 | 5.80e-03 | 9.86e-02 | 5FOSB, FOS, EPHA2, PNRC1, DUSP1 |
191 |
YWATTWNNRGCT_UNKNOWN | 6.46e-04 | 19.62 | 3.81 | 1.98e-02 | 7.32e-01 | 3ATF3, NFKBIA, NR4A1 |
71 |
ATF_01 | 3.75e-05 | 10.92 | 3.77 | 2.83e-03 | 4.25e-02 | 6FOSB, ATF3, FOS, EPHA2, PNRC1, DUSP1 |
267 |
HSF_Q6 | 1.32e-04 | 11.38 | 3.49 | 8.33e-03 | 1.50e-01 | 5DNAJB1, ATF3, HSPA1B, CSRNP1, HSPA1A |
209 |
STAT5A_02 | 3.66e-04 | 13.07 | 3.37 | 1.38e-02 | 4.15e-01 | 4PDK4, KLF4, FOS, NR4A3 |
143 |
Dowload full table
GO Biological Processes:
P-value | OR | Lower 95% CI | FDR | FWER | Genes Found | Gene Set Size | |
---|---|---|---|---|---|---|---|
GOBP_NEGATIVE_REGULATION_OF_INCLUSION_BODY_ASSEMBLY | 2.08e-06 | 165.64 | 27.50 | 6.55e-04 | 1.56e-02 | 3DNAJB1, HSPA1B, HSPA1A |
11 |
GOBP_NEGATIVE_REGULATION_OF_TRANSCRIPTION_FROM_RNA_POLYMERASE_II_PROMOTER_IN_RESPONSE_TO_STRESS | 2.77e-06 | 147.81 | 24.91 | 7.39e-04 | 2.07e-02 | 3DNAJB1, JUN, HSPA1A |
12 |
GOBP_HEAT_ACCLIMATION | 5.55e-05 | 286.32 | 23.57 | 6.20e-03 | 4.16e-01 | 2HSPA1B, HSPA1A |
5 |
GOBP_RESPONSE_TO_CORTICOTROPIN_RELEASING_HORMONE | 5.55e-05 | 286.32 | 23.57 | 6.20e-03 | 4.16e-01 | 2NR4A1, NR4A3 |
5 |
GOBP_POSITIVE_REGULATION_OF_NUCLEOTIDE_BINDING_OLIGOMERIZATION_DOMAIN_CONTAINING_2_SIGNALING_PATHWAY | 5.55e-05 | 286.32 | 23.57 | 6.20e-03 | 4.16e-01 | 2HSPA1B, HSPA1A |
5 |
GOBP_POSITIVE_REGULATION_OF_MICROTUBULE_NUCLEATION | 5.55e-05 | 286.32 | 23.57 | 6.20e-03 | 4.16e-01 | 2HSPA1B, HSPA1A |
5 |
GOBP_POSITIVE_REGULATION_OF_PRI_MIRNA_TRANSCRIPTION_BY_RNA_POLYMERASE_II | 3.86e-08 | 66.20 | 19.36 | 4.12e-05 | 2.89e-04 | 5FOSL1, EGR1, KLF4, FOS, JUN |
40 |
GOBP_POSITIVE_REGULATION_OF_NUCLEOTIDE_BINDING_OLIGOMERIZATION_DOMAIN_CONTAINING_SIGNALING_PATHWAY | 8.32e-05 | 214.97 | 19.15 | 8.19e-03 | 6.22e-01 | 2HSPA1B, HSPA1A |
6 |
GOBP_NUCLEOTIDE_BINDING_OLIGOMERIZATION_DOMAIN_CONTAINING_2_SIGNALING_PATHWAY | 6.99e-06 | 102.02 | 18.11 | 1.34e-03 | 5.23e-02 | 3NFKBIA, HSPA1B, HSPA1A |
16 |
GOBP_REGULATION_OF_INCLUSION_BODY_ASSEMBLY | 6.99e-06 | 102.02 | 18.11 | 1.34e-03 | 5.23e-02 | 3DNAJB1, HSPA1B, HSPA1A |
16 |
GOBP_REGULATION_OF_MICROTUBULE_NUCLEATION | 1.16e-04 | 173.11 | 16.13 | 1.05e-02 | 8.70e-01 | 2HSPA1B, HSPA1A |
7 |
GOBP_PRI_MIRNA_TRANSCRIPTION_BY_RNA_POLYMERASE_II | 1.49e-07 | 49.29 | 14.64 | 1.24e-04 | 1.11e-03 | 5FOSL1, EGR1, KLF4, FOS, JUN |
52 |
GOBP_RESPONSE_TO_CORTICOSTERONE | 1.41e-05 | 78.17 | 14.22 | 2.16e-03 | 1.06e-01 | 3FOSB, FOSL1, FOS |
20 |
GOBP_REGULATION_OF_NUCLEOTIDE_BINDING_OLIGOMERIZATION_DOMAIN_CONTAINING_2_SIGNALING_PATHWAY | 1.55e-04 | 144.44 | 13.92 | 1.29e-02 | 1.00e+00 | 2HSPA1B, HSPA1A |
8 |
GOBP_INCLUSION_BODY_ASSEMBLY | 2.18e-05 | 66.54 | 12.25 | 2.97e-03 | 1.63e-01 | 3DNAJB1, HSPA1B, HSPA1A |
23 |
GOBP_RESPONSE_TO_PROGESTERONE | 3.95e-06 | 44.25 | 11.07 | 9.52e-04 | 2.95e-02 | 4FOSB, FOSL1, CLDN4, FOS |
45 |
GOBP_RESPONSE_TO_GRAVITY | 2.48e-04 | 108.38 | 10.95 | 1.79e-02 | 1.00e+00 | 2FOSL1, FOS |
10 |
GOBP_KERATINOCYTE_PROLIFERATION | 5.12e-06 | 41.28 | 10.34 | 1.13e-03 | 3.83e-02 | 4ZFP36, TGM1, SFN, IRF6 |
48 |
GOBP_POSITIVE_REGULATION_OF_TUMOR_NECROSIS_FACTOR_MEDIATED_SIGNALING_PATHWAY | 3.03e-04 | 96.56 | 9.89 | 2.14e-02 | 1.00e+00 | 2HSPA1B, HSPA1A |
11 |
GOBP_REGULATION_OF_TYPE_B_PANCREATIC_CELL_PROLIFERATION | 3.62e-04 | 86.81 | 9.02 | 2.49e-02 | 1.00e+00 | 2NR4A1, NR4A3 |
12 |
Dowload full table
Immunological Gene Sets:
P-value | OR | Lower 95% CI | FDR | FWER | Genes Found | Gene Set Size | |
---|---|---|---|---|---|---|---|
GSE36891_POLYIC_TLR3_VS_PAM_TLR2_STIM_PERITONEAL_MACROPHAGE_UP | 1.76e-28 | 95.30 | 49.58 | 8.57e-25 | 8.57e-25 | 19FOSB, HBEGF, EGR1, ATF3, KLF4, PHLDA1, FOS, JUN, ITPKC, ZFP36, NFKBIZ, DUSP1, BTG2, NR4A1, IER2, NR4A3, SDC4, HSPA1A, BHLHE40 |
153 |
GSE14769_UNSTIM_VS_40MIN_LPS_BMDM_DN | 1.45e-22 | 58.68 | 30.12 | 3.54e-19 | 7.07e-19 | 17EGR1, ATF3, PHLDA1, FOS, JUN, NFKBIA, HSPA1B, PNRC1, ZFP36, NFKBIZ, DUSP1, BTG2, IER2, CSRNP1, CXCL10, SDC4, HSPA1A |
200 |
GSE37605_TREG_VS_TCONV_NOD_FOXP3_FUSION_GFP_UP | 3.41e-19 | 59.68 | 29.06 | 5.54e-16 | 1.66e-15 | 14FOSB, HBEGF, EGR1, ATF3, PHLDA1, FOS, JUN, ZFP36, DUSP1, BTG2, NR4A1, IER2, NR4A3, HSPA1A |
150 |
GSE36891_UNSTIM_VS_POLYIC_TLR3_STIM_PERITONEAL_MACROPHAGE_UP | 1.81e-17 | 53.98 | 25.70 | 1.40e-14 | 8.81e-14 | 13FOSB, EGR1, ATF3, PHLDA1, FOS, ZFP36, NFKBIZ, BTG2, NR4A1, IER2, NR4A3, SDC4, HSPA1A |
149 |
GSE37605_C57BL6_VS_NOD_FOXP3_FUSION_GFP_TREG_DN | 1.05e-17 | 45.85 | 22.46 | 1.28e-14 | 5.13e-14 | 14FOSB, ATF3, KLF4, FOS, JUN, ZFP36, NFKBIZ, DUSP1, BTG2, NR4A1, IER2, NR4A3, SDC4, BHLHE40 |
191 |
GSE19923_WT_VS_HEB_AND_E2A_KO_DP_THYMOCYTE_DN | 2.01e-17 | 43.66 | 21.39 | 1.40e-14 | 9.79e-14 | 14DNAJB1, FOSL1, EGR1, ATF3, PHLDA1, FOS, NFKBIA, ZFP36, NFKBIZ, DUSP1, BTG2, NR4A1, IER2, BHLHE40 |
200 |
GSE46606_UNSTIM_VS_CD40L_IL2_IL5_1DAY_STIMULATED_IRF4HIGH_SORTED_BCELL_DN | 2.01e-17 | 43.66 | 21.39 | 1.40e-14 | 9.79e-14 | 14FOSL1, EGR1, SERPINB2, PHLDA1, EPHA2, JUN, ITPKC, NFKBIA, ZFP36, NFKBIZ, DUSP1, CSRNP1, CXCL10, NR4A3 |
200 |
GSE37605_FOXP3_FUSION_GFP_VS_IRES_GFP_TREG_C57BL6_UP | 3.09e-16 | 42.66 | 20.43 | 1.88e-13 | 1.51e-12 | 13FOSB, HBEGF, EGR1, ATF3, FOS, JUN, ZFP36, DUSP1, BTG2, NR4A1, CSRNP1, NR4A3, SDC4 |
185 |
GSE23925_LIGHT_ZONE_VS_NAIVE_BCELL_UP | 7.98e-16 | 39.45 | 18.93 | 4.32e-13 | 3.89e-12 | 13FOSB, EGR1, ATF3, FOS, PNRC1, ZFP36, NFKBIZ, DUSP1, NR4A1, IER2, CSRNP1, NR4A3, ELF5 |
199 |
GSE7219_UNSTIM_VS_LPS_AND_ANTI_CD40_STIM_NIK_NFKB2_KO_DC_DN | 1.76e-14 | 37.05 | 17.33 | 8.59e-12 | 8.59e-11 | 12DNAJB1, EGR1, ATF3, PHLDA1, JUN, NFKBIA, ZFP36, BTG2, CXCL10, NR4A3, HSPA1A, BHLHE40 |
190 |
GSE45365_NK_CELL_VS_CD11B_DC_DN | 3.06e-14 | 35.27 | 16.52 | 1.06e-11 | 1.49e-10 | 12FOSL1, HBEGF, EGR1, PHLDA1, FOS, NFKBIA, ZFP36, NFKBIZ, DUSP1, BTG2, CSRNP1, SDC4 |
199 |
GSE14769_UNSTIM_VS_60MIN_LPS_BMDM_DN | 3.25e-14 | 35.09 | 16.43 | 1.06e-11 | 1.58e-10 | 12ATF3, PHLDA1, FOS, JUN, ITPKC, HSPA1B, PNRC1, DUSP1, BTG2, IER2, CSRNP1, HSPA1A |
200 |
GSE23925_DARK_ZONE_VS_NAIVE_BCELL_DN | 3.25e-14 | 35.09 | 16.43 | 1.06e-11 | 1.58e-10 | 12DNAJB1, FOSB, EGR1, FOS, ITPKC, PNRC1, ZFP36, NFKBIZ, DUSP1, NR4A1, IER2, CSRNP1 |
200 |
GSE42021_CD24HI_TREG_VS_CD24HI_TCONV_THYMUS_DN | 3.25e-14 | 35.09 | 16.43 | 1.06e-11 | 1.58e-10 | 12EGR1, SERPINB2, PHLDA1, FOS, NFKBIA, NFKBIZ, DUSP1, BTG2, NR4A1, IER2, CXCL10, BHLHE40 |
200 |
GSE27434_WT_VS_DNMT1_KO_TREG_DN | 3.25e-14 | 35.09 | 16.43 | 1.06e-11 | 1.58e-10 | 12EGR1, SERPINB2, PHLDA1, FOS, NFKBIA, ZFP36, NFKBIZ, DUSP1, BTG2, NR4A1, IER2, BHLHE40 |
200 |
GSE29617_CTRL_VS_TIV_FLU_VACCINE_PBMC_2008_UP | 6.73e-13 | 32.73 | 14.87 | 2.05e-10 | 3.28e-09 | 11HBEGF, SERPINB2, ATF3, FOS, ZFP36, BTG2, NR4A1, CSRNP1, CXCL10, NR4A3, BHLHE40 |
191 |
GSE29617_CTRL_VS_DAY7_TIV_FLU_VACCINE_PBMC_2008_UP | 8.92e-13 | 31.85 | 14.48 | 2.41e-10 | 4.34e-09 | 11FOSB, HBEGF, SERPINB2, ATF3, FOS, DUSP1, BTG2, NR4A1, CSRNP1, CXCL10, NR4A3 |
196 |
GSE9988_LOW_LPS_VS_CTRL_TREATED_MONOCYTE_UP | 8.92e-13 | 31.85 | 14.48 | 2.41e-10 | 4.34e-09 | 11FOSL1, EGR1, JUN, NFKBIA, NFKBIZ, DUSP1, BTG2, NR4A1, CSRNP1, NR4A3, SDC4 |
196 |
GSE45365_NK_CELL_VS_BCELL_UP | 9.96e-13 | 31.51 | 14.32 | 2.55e-10 | 4.85e-09 | 11FOSB, FOSL1, EGR1, ARC, ATF3, PHLDA1, FOS, ZFP36, DUSP1, IER2, CSRNP1 |
198 |
GSE14769_UNSTIM_VS_80MIN_LPS_BMDM_DN | 1.05e-12 | 31.34 | 14.25 | 2.56e-10 | 5.12e-09 | 11HBEGF, ATF3, PHLDA1, FOS, HSPA1B, PNRC1, DUSP1, BTG2, IER2, CSRNP1, HSPA1A |
199 |
Top Ranked Transcription Factors for this Gene Expression Program:
Gene Symbol | TF Rank | DNA Binding Domain | Motif Status | IUPAC PWM | GTEx | DepMap | Decartes |
---|---|---|---|---|---|---|---|
FOSB | 2 | Yes | Known motif | Monomer or homomultimer | High-throughput in vitro | None | None |
FOSL1 | 3 | Yes | Known motif | Monomer or homomultimer | High-throughput in vitro | None | None |
EGR1 | 6 | Yes | Known motif | Monomer or homomultimer | High-throughput in vitro | None | None |
ATF3 | 9 | Yes | Known motif | Monomer or homomultimer | High-throughput in vitro | None | None |
OVOL1 | 10 | Yes | Known motif | Monomer or homomultimer | High-throughput in vitro | None | None |
KLF4 | 12 | Yes | Known motif | Monomer or homomultimer | High-throughput in vitro | None | None |
FOS | 14 | Yes | Known motif | Monomer or homomultimer | High-throughput in vitro | None | None |
JUN | 16 | Yes | Known motif | Monomer or homomultimer | High-throughput in vitro | None | None |
NFKBIA | 19 | No | Unlikely to be sequence specific TF | Not a DNA binding protein | No motif | None | This is I kappa B alpha, which interacts with NFkappaB. No DBD, and evidence indicates that it is not a TF. |
HSPA1B | 20 | No | Unlikely to be sequence specific TF | Not a DNA binding protein | No motif | None | None |
ELF3 | 22 | Yes | Known motif | Monomer or homomultimer | High-throughput in vitro | None | None |
ZFP36 | 23 | No | ssDNA/RNA binding | Not a DNA binding protein | No motif | None | RNA binding protein (PMID: 10330172). |
NFKBIZ | 24 | No | Unlikely to be sequence specific TF | Not a DNA binding protein | No motif | None | None |
BTG2 | 27 | No | Unlikely to be sequence specific TF | Not a DNA binding protein | No motif | None | Transcriptional co-factor (PMID: 10617598) |
NR4A1 | 29 | Yes | Known motif | Monomer or homomultimer | High-throughput in vitro | None | None |
CSRNP1 | 34 | Yes | Likely to be sequence specific TF | Monomer or homomultimer | No motif | None | All three paralogs (CSRNP1, CSRNP2, and CSRNP3) bind an AGAGTG consensus based on SELEX experiments (PMID: 17726538) |
NR4A3 | 41 | Yes | Known motif | Monomer or homomultimer | In vivo/Misc source | Only known motifs are from Transfac or HocoMoco - origin is uncertain | None |
HSPA1A | 44 | No | Unlikely to be sequence specific TF | Not a DNA binding protein | No motif | None | None |
BHLHE40 | 45 | Yes | Known motif | Monomer or homomultimer | High-throughput in vitro | None | None |
IRF6 | 47 | Yes | Known motif | Monomer or homomultimer | High-throughput in vitro | None | None |
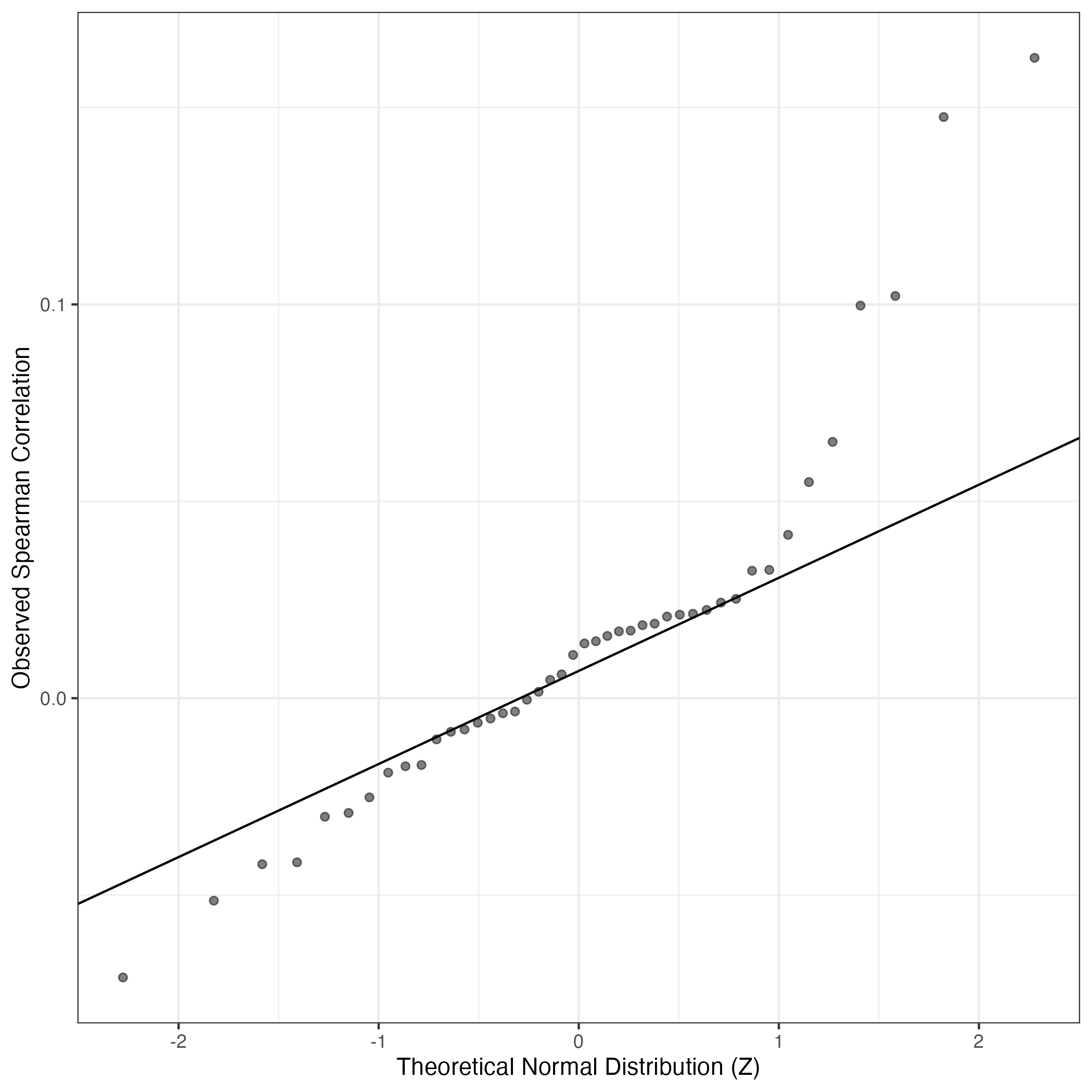
QQ Plot showing correlations with other Gene Expression Programs in this dataset, calculated by Spearman correlation:
Interactive QQ-plot of gene loadings:
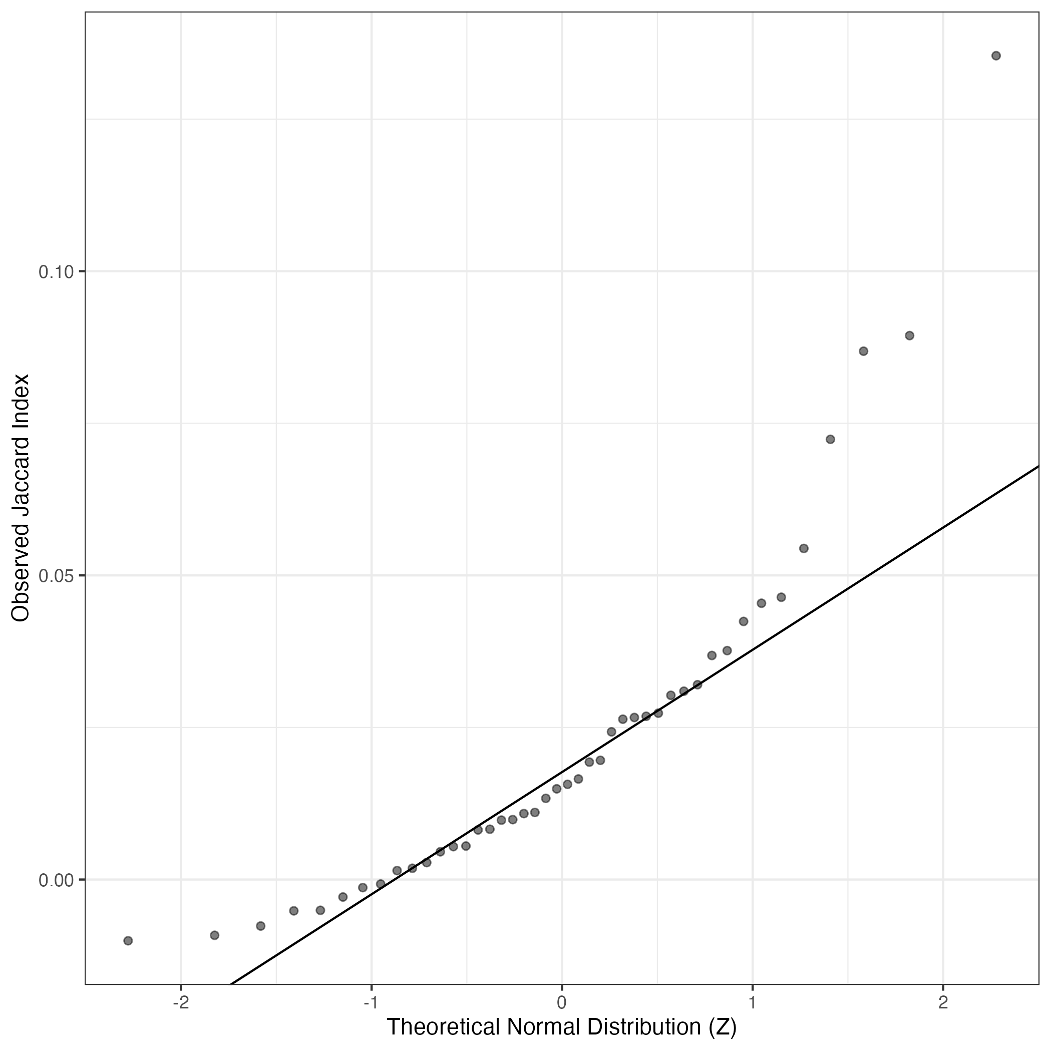
A similar QQ-plot as above, but only for instances where the H value is e.g. > 25, i.e. we are confident that the expression program is active above noise. Agreemenet between these binary vectors is tested using the Jaccard Index, with the P-values calculated by an exact test:
Interactive QQ-plot:
Singler cell type annotations for the top 50 cells on this program.
Cell ID | Singler label | Singler Delta | Activity Score | Top Singler Raw Scores |
---|---|---|---|---|
847_TCACTCGTCCTGCCAT-1 | Keratinocytes:IL22 | 0.22 | 2906.30 | Raw ScoresKeratinocytes:IL20: 0.57, Keratinocytes:IL22: 0.57, Keratinocytes:IL24: 0.57, Keratinocytes:IL19: 0.57, Keratinocytes:IL1b: 0.56, Keratinocytes:KGF: 0.56, Keratinocytes: 0.56, Keratinocytes:IL26: 0.56, Keratinocytes:IFNg: 0.55, Epithelial_cells:bladder: 0.53 |
847_GGGAGATAGACTACCT-1 | Keratinocytes:KGF | 0.17 | 1330.05 | Raw ScoresKeratinocytes:KGF: 0.54, Keratinocytes:IL20: 0.54, Keratinocytes:IL19: 0.53, Keratinocytes:IL22: 0.53, Keratinocytes:IL1b: 0.53, Keratinocytes:IL24: 0.53, Keratinocytes:IL26: 0.53, Keratinocytes: 0.53, Keratinocytes:IFNg: 0.52, Epithelial_cells:bladder: 0.52 |
847_TGCCGAGAGAAGCTGC-1 | Keratinocytes:KGF | 0.17 | 1327.75 | Raw ScoresKeratinocytes:IL20: 0.5, Keratinocytes:IL22: 0.5, Keratinocytes:IL19: 0.5, Keratinocytes:KGF: 0.5, Keratinocytes:IL24: 0.5, Keratinocytes:IL26: 0.49, Keratinocytes: 0.49, Keratinocytes:IL1b: 0.49, Keratinocytes:IFNg: 0.48, Epithelial_cells:bronchial: 0.47 |
847_AGGCATTAGTACTGGG-1 | Epithelial_cells:bladder | 0.17 | 1279.85 | Raw ScoresKeratinocytes:KGF: 0.54, Keratinocytes:IL20: 0.53, Keratinocytes:IL1b: 0.53, Keratinocytes:IL19: 0.53, Keratinocytes:IL24: 0.52, Keratinocytes:IL26: 0.52, Keratinocytes:IFNg: 0.52, Keratinocytes: 0.52, Keratinocytes:IL22: 0.52, Epithelial_cells:bladder: 0.52 |
847_CATCGCTGTAACTGCT-1 | Epithelial_cells:bladder | 0.17 | 1236.56 | Raw ScoresEpithelial_cells:bladder: 0.55, Keratinocytes:KGF: 0.53, Keratinocytes:IL1b: 0.53, Keratinocytes:IL20: 0.53, Keratinocytes:IL19: 0.53, Keratinocytes:IL22: 0.53, Keratinocytes:IL24: 0.53, Keratinocytes:IL26: 0.52, Keratinocytes: 0.52, Keratinocytes:IFNg: 0.52 |
847_CTCATGCCAGCCGGTT-1 | Keratinocytes:KGF | 0.17 | 1236.03 | Raw ScoresKeratinocytes:IL22: 0.51, Keratinocytes:IL20: 0.51, Keratinocytes:IL24: 0.51, Keratinocytes:IL19: 0.51, Keratinocytes:KGF: 0.51, Keratinocytes:IL1b: 0.51, Keratinocytes:IL26: 0.51, Keratinocytes: 0.51, Keratinocytes:IFNg: 0.5, Epithelial_cells:bladder: 0.48 |
847_GATCACATCTCGCTCA-1 | Epithelial_cells:bladder | 0.16 | 914.87 | Raw ScoresEpithelial_cells:bladder: 0.53, Keratinocytes:KGF: 0.51, Keratinocytes:IL20: 0.5, Keratinocytes:IL1b: 0.5, Keratinocytes:IL26: 0.5, Keratinocytes:IL19: 0.5, Keratinocytes:IFNg: 0.5, Keratinocytes:IL22: 0.5, Keratinocytes: 0.5, Keratinocytes:IL24: 0.5 |
837_TGAGGAGTCTTAGCCC-1 | Keratinocytes:KGF | 0.18 | 881.72 | Raw ScoresKeratinocytes:IL20: 0.46, Keratinocytes:IL19: 0.46, Keratinocytes:IL22: 0.46, Keratinocytes:KGF: 0.45, Keratinocytes:IL24: 0.45, Keratinocytes: 0.45, Keratinocytes:IL26: 0.45, Keratinocytes:IL1b: 0.45, Keratinocytes:IFNg: 0.45, Epithelial_cells:bronchial: 0.41 |
847_CGGGTGTGTAGTCACT-1 | Epithelial_cells:bladder | 0.11 | 869.64 | Raw ScoresEpithelial_cells:bladder: 0.41, Keratinocytes:IL19: 0.4, Keratinocytes:IL22: 0.4, Keratinocytes: 0.4, Keratinocytes:IL20: 0.4, Keratinocytes:IL24: 0.39, Keratinocytes:IL1b: 0.39, Keratinocytes:IL26: 0.39, Keratinocytes:KGF: 0.39, Epithelial_cells:bronchial: 0.39 |
847_CTTCAATTCCATAGGT-1 | Keratinocytes:KGF | 0.17 | 835.82 | Raw ScoresKeratinocytes:IL20: 0.51, Keratinocytes:IL24: 0.51, Keratinocytes:IL22: 0.51, Keratinocytes:IL19: 0.51, Keratinocytes:KGF: 0.51, Keratinocytes:IL1b: 0.5, Keratinocytes: 0.5, Keratinocytes:IL26: 0.5, Keratinocytes:IFNg: 0.5, Epithelial_cells:bladder: 0.49 |
837_CATTCTAGTACCCGAC-1 | Keratinocytes:IL22 | 0.15 | 822.78 | Raw ScoresKeratinocytes:IL22: 0.46, Keratinocytes:IL24: 0.45, Keratinocytes:IL20: 0.45, Keratinocytes:KGF: 0.45, Keratinocytes:IL19: 0.45, Epithelial_cells:bladder: 0.45, Keratinocytes:IL1b: 0.44, Epithelial_cells:bronchial: 0.44, Keratinocytes:IL26: 0.44, Keratinocytes: 0.44 |
847_ACCTGTCTCAAGTTGC-1 | Keratinocytes:IL1b | 0.16 | 819.74 | Raw ScoresKeratinocytes:IL20: 0.48, Keratinocytes:IL22: 0.48, Keratinocytes:KGF: 0.48, Keratinocytes:IL19: 0.48, Keratinocytes:IL24: 0.48, Keratinocytes:IL1b: 0.48, Keratinocytes:IL26: 0.48, Keratinocytes: 0.48, Keratinocytes:IFNg: 0.47, Epithelial_cells:bladder: 0.46 |
847_TCCGTGTTCGGCCAAC-1 | Keratinocytes:IL19 | 0.16 | 809.99 | Raw ScoresKeratinocytes:IL22: 0.47, Keratinocytes:IL20: 0.47, Keratinocytes:IL24: 0.47, Keratinocytes:IL19: 0.47, Keratinocytes:IL1b: 0.47, Keratinocytes:IL26: 0.47, Keratinocytes: 0.47, Keratinocytes:IFNg: 0.46, Keratinocytes:KGF: 0.46, Epithelial_cells:bronchial: 0.44 |
847_CATTGTTTCTTACCGC-1 | Keratinocytes:IL20 | 0.26 | 807.20 | Raw ScoresKeratinocytes:IL20: 0.51, Keratinocytes:IL24: 0.51, Keratinocytes:IL22: 0.51, Keratinocytes:IL19: 0.51, Keratinocytes:IL1b: 0.51, Keratinocytes:IL26: 0.5, Keratinocytes: 0.5, Keratinocytes:KGF: 0.5, Keratinocytes:IFNg: 0.5, Epithelial_cells:bladder: 0.42 |
847_TTCTAACAGGGCTAAC-1 | Epithelial_cells:bladder | 0.10 | 786.75 | Raw ScoresEpithelial_cells:bladder: 0.4, Keratinocytes:IL19: 0.39, Keratinocytes:IL22: 0.39, Keratinocytes:KGF: 0.39, Keratinocytes:IL26: 0.39, Keratinocytes:IL20: 0.39, Keratinocytes: 0.39, Keratinocytes:IL24: 0.39, Epithelial_cells:bronchial: 0.39, Keratinocytes:IL1b: 0.39 |
839_CATTGTTTCTGTGCGG-1 | Tissue_stem_cells:BM_MSC:BMP2 | 0.11 | 762.65 | Raw ScoresFibroblasts:breast: 0.37, Smooth_muscle_cells:vascular:IL-17: 0.37, iPS_cells:adipose_stem_cells: 0.37, Smooth_muscle_cells:vascular: 0.37, Tissue_stem_cells:BM_MSC:BMP2: 0.36, Fibroblasts:foreskin: 0.36, Chondrocytes:MSC-derived: 0.36, Tissue_stem_cells:BM_MSC:TGFb3: 0.36, Smooth_muscle_cells:bronchial: 0.36, Smooth_muscle_cells:bronchial:vit_D: 0.35 |
847_CCTAAGAGTTTGAACC-1 | Keratinocytes:KGF | 0.17 | 745.58 | Raw ScoresKeratinocytes:IL20: 0.43, Keratinocytes:IL22: 0.43, Keratinocytes:IL24: 0.43, Keratinocytes:IL19: 0.43, Keratinocytes:KGF: 0.43, Keratinocytes:IL1b: 0.43, Keratinocytes: 0.43, Keratinocytes:IL26: 0.43, Keratinocytes:IFNg: 0.42, Epithelial_cells:bladder: 0.4 |
847_TTTAGTCCAGAGAAAG-1 | Epithelial_cells:bronchial | 0.12 | 731.81 | Raw ScoresKeratinocytes:IL22: 0.44, Keratinocytes:IL24: 0.44, Keratinocytes:IL19: 0.43, Keratinocytes:IL20: 0.43, Keratinocytes:KGF: 0.43, Keratinocytes: 0.43, Keratinocytes:IL1b: 0.43, Keratinocytes:IL26: 0.43, Epithelial_cells:bladder: 0.43, Epithelial_cells:bronchial: 0.43 |
847_ACTCTCGAGGTACATA-1 | Keratinocytes:KGF | 0.14 | 702.65 | Raw ScoresKeratinocytes:IL20: 0.44, Keratinocytes:IL22: 0.44, Keratinocytes:IL19: 0.44, Keratinocytes:IL24: 0.44, Keratinocytes:IL1b: 0.44, Keratinocytes:KGF: 0.44, Keratinocytes: 0.44, Keratinocytes:IL26: 0.44, Keratinocytes:IFNg: 0.43, Epithelial_cells:bronchial: 0.42 |
837_GTCCTCAGTTTACGAC-1 | Keratinocytes:IL22 | 0.17 | 700.39 | Raw ScoresKeratinocytes:IL22: 0.46, Keratinocytes:IL24: 0.45, Keratinocytes:IL20: 0.45, Keratinocytes:IL19: 0.45, Keratinocytes:IL1b: 0.45, Keratinocytes:KGF: 0.45, Keratinocytes:IL26: 0.45, Keratinocytes: 0.45, Keratinocytes:IFNg: 0.44, Epithelial_cells:bronchial: 0.42 |
847_GTAGAGGCAAGTGCTT-1 | Keratinocytes:KGF | 0.14 | 699.71 | Raw ScoresKeratinocytes:KGF: 0.47, Keratinocytes:IL20: 0.46, Epithelial_cells:bladder: 0.46, Keratinocytes:IL1b: 0.46, Keratinocytes: 0.46, Keratinocytes:IL26: 0.46, Keratinocytes:IL19: 0.46, Keratinocytes:IL24: 0.46, Keratinocytes:IL22: 0.46, Keratinocytes:IFNg: 0.45 |
847_ATGATCGGTTCAAGTC-1 | Keratinocytes:IL22 | 0.17 | 691.25 | Raw ScoresKeratinocytes:IL20: 0.52, Keratinocytes:IL19: 0.52, Keratinocytes:IL22: 0.52, Keratinocytes:IL24: 0.52, Keratinocytes:KGF: 0.52, Keratinocytes:IL1b: 0.51, Keratinocytes:IL26: 0.51, Keratinocytes: 0.51, Keratinocytes:IFNg: 0.51, Epithelial_cells:bronchial: 0.5 |
847_AACCCAATCAGGACGA-1 | Keratinocytes:KGF | 0.17 | 673.76 | Raw ScoresKeratinocytes:KGF: 0.5, Keratinocytes:IL19: 0.5, Keratinocytes:IL20: 0.5, Keratinocytes: 0.5, Keratinocytes:IL26: 0.5, Keratinocytes:IL24: 0.5, Keratinocytes:IL22: 0.5, Keratinocytes:IL1b: 0.5, Keratinocytes:IFNg: 0.49, Epithelial_cells:bladder: 0.47 |
847_AGTCTCCAGCCTTTCC-1 | Epithelial_cells:bladder | 0.09 | 669.92 | Raw ScoresEpithelial_cells:bladder: 0.39, Epithelial_cells:bronchial: 0.39, Keratinocytes:KGF: 0.38, Keratinocytes:IL19: 0.38, Keratinocytes: 0.38, Keratinocytes:IL26: 0.38, Keratinocytes:IL20: 0.38, Keratinocytes:IL22: 0.38, Keratinocytes:IL24: 0.38, Keratinocytes:IL1b: 0.38 |
847_TTTACGTCACTCGATA-1 | Keratinocytes:IL1b | 0.14 | 663.85 | Raw ScoresKeratinocytes:IL20: 0.41, Keratinocytes:IL19: 0.41, Keratinocytes:IL24: 0.41, Keratinocytes:IL22: 0.4, Keratinocytes:KGF: 0.4, Keratinocytes:IL1b: 0.4, Keratinocytes: 0.4, Keratinocytes:IL26: 0.4, Epithelial_cells:bronchial: 0.4, Keratinocytes:IFNg: 0.39 |
847_GATCGTACATCCTCAC-1 | Epithelial_cells:bladder | 0.14 | 660.09 | Raw ScoresEpithelial_cells:bladder: 0.44, Epithelial_cells:bronchial: 0.41, Keratinocytes:IL22: 0.41, Keratinocytes:IL19: 0.41, Keratinocytes:IL24: 0.41, Keratinocytes:IL1b: 0.41, Keratinocytes:IL20: 0.41, Keratinocytes:IL26: 0.41, Keratinocytes: 0.41, Keratinocytes:KGF: 0.41 |
847_GCGATCGGTTACGGAG-1 | Keratinocytes:IL20 | 0.16 | 656.17 | Raw ScoresKeratinocytes:IL20: 0.47, Keratinocytes:IL22: 0.47, Keratinocytes:IL24: 0.47, Keratinocytes:IL19: 0.47, Keratinocytes: 0.47, Keratinocytes:KGF: 0.47, Keratinocytes:IL26: 0.47, Keratinocytes:IL1b: 0.47, Keratinocytes:IFNg: 0.46, Epithelial_cells:bronchial: 0.44 |
847_ATGCCTCGTGAGTAGC-1 | Keratinocytes:KGF | 0.14 | 602.49 | Raw ScoresKeratinocytes:KGF: 0.4, Keratinocytes:IL20: 0.4, Keratinocytes:IL19: 0.4, Keratinocytes:IL22: 0.4, Keratinocytes:IL24: 0.4, Keratinocytes:IL1b: 0.39, Keratinocytes: 0.39, Keratinocytes:IL26: 0.39, Keratinocytes:IFNg: 0.39, Epithelial_cells:bronchial: 0.38 |
847_GTAGGAGAGTCACTGT-1 | Epithelial_cells:bronchial | 0.12 | 573.30 | Raw ScoresEpithelial_cells:bladder: 0.46, Keratinocytes:KGF: 0.46, Keratinocytes:IL20: 0.46, Keratinocytes:IL1b: 0.46, Epithelial_cells:bronchial: 0.45, Keratinocytes:IL22: 0.45, Keratinocytes:IL19: 0.45, Keratinocytes:IL24: 0.45, Keratinocytes: 0.45, Keratinocytes:IL26: 0.45 |
847_TGGGAAGCAAGGCGTA-1 | Keratinocytes:IL22 | 0.24 | 570.81 | Raw ScoresKeratinocytes:IL20: 0.55, Keratinocytes:IL22: 0.54, Keratinocytes:IL24: 0.54, Keratinocytes:IL19: 0.54, Keratinocytes:KGF: 0.54, Keratinocytes:IL1b: 0.54, Keratinocytes: 0.54, Keratinocytes:IL26: 0.54, Keratinocytes:IFNg: 0.53, Epithelial_cells:bronchial: 0.47 |
847_GTATTGGTCATAGCAC-1 | Monocyte:CD16- | 0.12 | 525.05 | Raw ScoresMonocyte:leukotriene_D4: 0.44, Monocyte:CD16-: 0.44, Monocyte:CD16+: 0.44, Monocyte:CD14+: 0.44, Monocyte: 0.44, Macrophage:monocyte-derived:M-CSF/IFNg: 0.44, Monocyte:anti-FcgRIIB: 0.43, DC:monocyte-derived:AEC-conditioned: 0.43, DC:monocyte-derived:anti-DC-SIGN_2h: 0.43, Macrophage:monocyte-derived:M-CSF: 0.43 |
847_TATTGGGTCCATGAGT-1 | Epithelial_cells:bladder | 0.12 | 505.80 | Raw ScoresKeratinocytes:KGF: 0.41, Epithelial_cells:bladder: 0.41, Keratinocytes:IL26: 0.41, Keratinocytes:IL19: 0.41, Keratinocytes: 0.41, Keratinocytes:IL22: 0.41, Keratinocytes:IL20: 0.41, Keratinocytes:IL24: 0.41, Epithelial_cells:bronchial: 0.41, Keratinocytes:IL1b: 0.41 |
847_TGCTCGTCAACCAACT-1 | Epithelial_cells:bronchial | 0.13 | 501.48 | Raw ScoresKeratinocytes:IL20: 0.44, Keratinocytes:IL19: 0.44, Keratinocytes:KGF: 0.44, Keratinocytes:IL22: 0.44, Keratinocytes:IL24: 0.44, Keratinocytes:IL1b: 0.43, Keratinocytes: 0.43, Keratinocytes:IL26: 0.43, Keratinocytes:IFNg: 0.43, Epithelial_cells:bronchial: 0.42 |
847_ATACTTCGTCATCGGC-1 | Keratinocytes:IL22 | 0.18 | 495.50 | Raw ScoresKeratinocytes:IL22: 0.48, Keratinocytes:IL20: 0.48, Keratinocytes:IL24: 0.48, Keratinocytes:IL19: 0.48, Keratinocytes:KGF: 0.48, Keratinocytes:IL26: 0.48, Keratinocytes:IL1b: 0.48, Keratinocytes: 0.48, Keratinocytes:IFNg: 0.47, Epithelial_cells:bladder: 0.45 |
847_ATTTCTGAGATGCGAC-1 | Keratinocytes:IL20 | 0.16 | 482.11 | Raw ScoresKeratinocytes:IL22: 0.4, Keratinocytes:IL20: 0.4, Keratinocytes:IL24: 0.4, Keratinocytes:IL19: 0.4, Keratinocytes:KGF: 0.4, Keratinocytes:IL26: 0.4, Keratinocytes: 0.4, Keratinocytes:IL1b: 0.4, Keratinocytes:IFNg: 0.39, Epithelial_cells:bronchial: 0.36 |
831_AGTCATGGTTCCGTTC-1 | Endothelial_cells:lymphatic:TNFa_48h | 0.17 | 472.81 | Raw ScoresEndothelial_cells:lymphatic:TNFa_48h: 0.5, Endothelial_cells:blood_vessel: 0.5, Endothelial_cells:lymphatic:KSHV: 0.5, Endothelial_cells:lymphatic: 0.5, Endothelial_cells:HUVEC:Serum_Amyloid_A: 0.49, Endothelial_cells:HUVEC:IL-1b: 0.48, Endothelial_cells:HUVEC:PR8-infected: 0.47, Endothelial_cells:HUVEC: 0.47, Endothelial_cells:HUVEC:VEGF: 0.47, Endothelial_cells:HUVEC:B._anthracis_LT: 0.47 |
839_GTCATTTCACAATCTG-1 | iPS_cells:adipose_stem_cells | 0.17 | 472.16 | Raw ScoresiPS_cells:adipose_stem_cells: 0.47, Fibroblasts:breast: 0.47, Smooth_muscle_cells:vascular:IL-17: 0.46, Smooth_muscle_cells:vascular: 0.46, Tissue_stem_cells:BM_MSC:TGFb3: 0.45, Chondrocytes:MSC-derived: 0.45, Smooth_muscle_cells:bronchial: 0.45, Tissue_stem_cells:BM_MSC: 0.45, Tissue_stem_cells:BM_MSC:BMP2: 0.45, iPS_cells:CRL2097_foreskin: 0.45 |
847_ATTTCTGTCCTAGAGT-1 | Keratinocytes:KGF | 0.19 | 467.70 | Raw ScoresKeratinocytes:IL20: 0.52, Keratinocytes:IL22: 0.52, Keratinocytes:IL19: 0.52, Keratinocytes:IL24: 0.52, Keratinocytes:IL1b: 0.51, Keratinocytes: 0.51, Keratinocytes:KGF: 0.51, Keratinocytes:IL26: 0.51, Keratinocytes:IFNg: 0.5, Epithelial_cells:bladder: 0.47 |
847_TTTCGATTCGGAAGGT-1 | Keratinocytes:KGF | 0.21 | 461.21 | Raw ScoresKeratinocytes:IL22: 0.56, Keratinocytes:IL20: 0.56, Keratinocytes:IL24: 0.56, Keratinocytes:IL19: 0.56, Keratinocytes:IL1b: 0.56, Keratinocytes:KGF: 0.56, Keratinocytes: 0.55, Keratinocytes:IL26: 0.55, Keratinocytes:IFNg: 0.55, Epithelial_cells:bladder: 0.52 |
847_GTCAGCGAGTGAGTGC-1 | Epithelial_cells:bladder | 0.10 | 454.98 | Raw ScoresEpithelial_cells:bladder: 0.4, Epithelial_cells:bronchial: 0.39, Keratinocytes:IL19: 0.39, Keratinocytes:KGF: 0.39, Keratinocytes: 0.39, Keratinocytes:IL26: 0.39, Keratinocytes:IL20: 0.39, Keratinocytes:IL22: 0.39, Keratinocytes:IL1b: 0.39, Keratinocytes:IL24: 0.39 |
847_CTACATTAGTACGTCT-1 | Epithelial_cells:bladder | 0.15 | 450.20 | Raw ScoresEpithelial_cells:bladder: 0.47, Keratinocytes:IL22: 0.47, Keratinocytes:IL19: 0.47, Keratinocytes:IL24: 0.47, Keratinocytes:IL20: 0.46, Keratinocytes:IL1b: 0.46, Keratinocytes:KGF: 0.46, Keratinocytes:IL26: 0.46, Keratinocytes: 0.46, Keratinocytes:IFNg: 0.46 |
847_TAACGACCACAGCGCT-1 | Epithelial_cells:bladder | 0.15 | 445.71 | Raw ScoresKeratinocytes:IL22: 0.5, Keratinocytes:IL24: 0.5, Keratinocytes:IL20: 0.49, Keratinocytes:IL19: 0.49, Keratinocytes:IL1b: 0.49, Keratinocytes:IL26: 0.49, Keratinocytes: 0.49, Keratinocytes:KGF: 0.49, Keratinocytes:IFNg: 0.48, Epithelial_cells:bladder: 0.48 |
849_CAACCAAGTACCGTCG-1 | Neurons:Schwann_cell | 0.12 | 444.01 | Raw ScoresNeurons:Schwann_cell: 0.36, Smooth_muscle_cells:vascular:IL-17: 0.31, iPS_cells:adipose_stem_cells: 0.31, Fibroblasts:breast: 0.31, iPS_cells:CRL2097_foreskin: 0.31, Smooth_muscle_cells:vascular: 0.31, Tissue_stem_cells:BM_MSC:TGFb3: 0.31, Astrocyte:Embryonic_stem_cell-derived: 0.31, Chondrocytes:MSC-derived: 0.31, Tissue_stem_cells:BM_MSC:BMP2: 0.3 |
837_AGACACTCAGGTCCCA-1 | Epithelial_cells:bronchial | 0.13 | 440.43 | Raw ScoresKeratinocytes:IL20: 0.43, Keratinocytes:IL22: 0.43, Keratinocytes:IL19: 0.43, Keratinocytes:KGF: 0.43, Keratinocytes:IL26: 0.43, Keratinocytes: 0.43, Keratinocytes:IL24: 0.43, Epithelial_cells:bronchial: 0.42, Keratinocytes:IL1b: 0.42, Keratinocytes:IFNg: 0.42 |
837_ACTCCCACAACGTAAA-1 | Keratinocytes:IL22 | 0.19 | 438.88 | Raw ScoresKeratinocytes:IL22: 0.41, Keratinocytes:IL24: 0.4, Keratinocytes:IL20: 0.4, Keratinocytes:IL19: 0.4, Keratinocytes:IL1b: 0.4, Keratinocytes:IL26: 0.4, Keratinocytes: 0.39, Keratinocytes:KGF: 0.39, Keratinocytes:IFNg: 0.39, Epithelial_cells:bladder: 0.34 |
847_CACTGTCTCTGGCTGG-1 | Epithelial_cells:bronchial | 0.10 | 433.42 | Raw ScoresEpithelial_cells:bladder: 0.44, Keratinocytes:KGF: 0.43, Keratinocytes:IL19: 0.43, Keratinocytes:IL20: 0.43, Keratinocytes:IL22: 0.43, Keratinocytes: 0.43, Keratinocytes:IL1b: 0.43, Keratinocytes:IL24: 0.43, Keratinocytes:IL26: 0.43, Epithelial_cells:bronchial: 0.43 |
847_TCAGTGATCCACTGAA-1 | Epithelial_cells:bronchial | 0.13 | 433.16 | Raw ScoresKeratinocytes:IL20: 0.51, Keratinocytes:IL19: 0.51, Keratinocytes:IL24: 0.5, Keratinocytes:KGF: 0.5, Keratinocytes:IL22: 0.5, Keratinocytes: 0.5, Keratinocytes:IL26: 0.5, Keratinocytes:IL1b: 0.5, Keratinocytes:IFNg: 0.5, Epithelial_cells:bladder: 0.48 |
847_GTGCAGCAGGACCCAA-1 | Epithelial_cells:bladder | 0.12 | 431.86 | Raw ScoresKeratinocytes:IL22: 0.34, Epithelial_cells:bladder: 0.34, Keratinocytes:IL19: 0.34, Keratinocytes:IL24: 0.34, Keratinocytes:IL20: 0.34, Keratinocytes:KGF: 0.34, Keratinocytes:IL26: 0.34, Keratinocytes: 0.34, Keratinocytes:IL1b: 0.34, Epithelial_cells:bronchial: 0.34 |
847_ATGGTTGCAATCTCTT-1 | Keratinocytes:IL22 | 0.19 | 424.05 | Raw ScoresKeratinocytes:IL20: 0.52, Keratinocytes:IL24: 0.52, Keratinocytes:IL22: 0.52, Keratinocytes:IL19: 0.52, Keratinocytes:KGF: 0.52, Keratinocytes:IL1b: 0.52, Keratinocytes: 0.52, Keratinocytes:IL26: 0.52, Keratinocytes:IFNg: 0.51, Epithelial_cells:bladder: 0.48 |
847_TTTCGATAGCCGAACA-1 | Keratinocytes:IL22 | 0.23 | 414.44 | Raw ScoresKeratinocytes:IL22: 0.48, Keratinocytes:IL24: 0.47, Keratinocytes:IL20: 0.47, Keratinocytes:IL19: 0.47, Keratinocytes:IL1b: 0.47, Keratinocytes:IL26: 0.46, Keratinocytes: 0.46, Keratinocytes:KGF: 0.46, Keratinocytes:IFNg: 0.45, Epithelial_cells:bladder: 0.41 |
Below shows the significant enrichments of this GEP for literature curated gene lists
This data was procured from existing single cell RNA-seq maps of neuroblastoma or related relevant data.
High ranks indicate this gene is a driver of this GEP.
These curated gene list are ranked by the P-value (on this GEP) of their constituent genes.
The Mean Count column shows the mean read count in cells scoring highly (H > 50) on this gene expression program.
Genes | Weight | Rank | GTEx | DepMap | Decartes | Mean.Counts | Mean.TPM |
---|---|---|---|---|---|---|---|
ATF3 | 0.0109692 | 9 | GTEx | DepMap | Descartes | 23.06 | 122.62 |
GADD45B | 0.0016021 | 301 | GTEx | DepMap | Descartes | 7.11 | 1011.16 |
SQSTM1 | 0.0011256 | 482 | GTEx | DepMap | Descartes | 3.93 | 81.90 |
DDIT3 | 0.0005705 | 969 | GTEx | DepMap | Descartes | 1.45 | 58.39 |
GADD45A | 0.0001401 | 2475 | GTEx | DepMap | Descartes | 1.34 | 173.94 |
Stress response (Dong)
Markers obtained in computationally inferred meta program (by NMF applied to their neuroblastoma sc-RNA-seq data) from Fig. 5(a) of Dong et al. (PMID 32946775).:
Wilcoxon ranksum test P-value for gene set overrepresentation: 1.40e-03
Mean rank of genes in gene set: 39
Rank on gene expression program of genes in gene set:
Genes | Weight | Rank | GTEx | DepMap | Decartes | Mean.Counts | Mean.TPM |
---|---|---|---|---|---|---|---|
FOS | 0.0095448 | 14 | GTEx | DepMap | Descartes | 29.60 | 2251.93 |
JUN | 0.0090190 | 16 | GTEx | DepMap | Descartes | 33.61 | 2570.35 |
JUNB | 0.0039269 | 87 | GTEx | DepMap | Descartes | 22.84 | 1586.59 |
Endothelial subclusters 2-6 (Hanemaaijer)
Marker genes obtained from Supplementary Table SD of Hanemaaijer et al (PMID 33500353). The authors generated single-cell RNA-seq data (sort-seq, 2,229 cells total) from mouse adrenal glads at E13.5, E14.5, E17.5, E18.5, P1 and P5. These were marker genes that matched with a similar dataset generated by Furlan et al (PMID 28684471). This particular set of markers are for Various endothelial subclusters of Endothelium clusters:
Wilcoxon ranksum test P-value for gene set overrepresentation: 1.79e-03
Mean rank of genes in gene set: 6539.05
Rank on gene expression program of genes in gene set:
Genes | Weight | Rank | GTEx | DepMap | Decartes | Mean.Counts | Mean.TPM |
---|---|---|---|---|---|---|---|
GJA1 | 0.0033186 | 108 | GTEx | DepMap | Descartes | 9.66 | 61.80 |
HES1 | 0.0026630 | 155 | GTEx | DepMap | Descartes | 5.69 | 299.30 |
ADAMTS1 | 0.0019446 | 237 | GTEx | DepMap | Descartes | 1.40 | 37.03 |
MECOM | 0.0013946 | 370 | GTEx | DepMap | Descartes | 0.64 | 0.22 |
THBD | 0.0012594 | 427 | GTEx | DepMap | Descartes | 0.95 | 52.66 |
RHOB | 0.0010927 | 503 | GTEx | DepMap | Descartes | 4.32 | 522.96 |
JAG1 | 0.0010796 | 508 | GTEx | DepMap | Descartes | 1.42 | 8.29 |
CLIC4 | 0.0009172 | 606 | GTEx | DepMap | Descartes | 1.55 | 6.12 |
DUSP6 | 0.0004480 | 1198 | GTEx | DepMap | Descartes | 0.57 | 35.28 |
IGFBP3 | 0.0003432 | 1422 | GTEx | DepMap | Descartes | 5.40 | 182.73 |
FAM102A | 0.0002381 | 1833 | GTEx | DepMap | Descartes | 0.57 | 3.93 |
TM4SF1 | 0.0001832 | 2153 | GTEx | DepMap | Descartes | 1.98 | 39.17 |
SPRY1 | 0.0001757 | 2202 | GTEx | DepMap | Descartes | 0.32 | 18.91 |
SHROOM2 | -0.0000966 | 13612 | GTEx | DepMap | Descartes | 0.07 | 0.08 |
IVNS1ABP | -0.0001023 | 13916 | GTEx | DepMap | Descartes | 1.65 | 16.87 |
LFNG | -0.0001267 | 15091 | GTEx | DepMap | Descartes | 0.09 | 3.62 |
MCF2L | -0.0001434 | 15847 | GTEx | DepMap | Descartes | 0.14 | 0.20 |
FBLN2 | -0.0002808 | 19305 | GTEx | DepMap | Descartes | 1.57 | 7.26 |
CDK1 | -0.0004852 | 20547 | GTEx | DepMap | Descartes | 2.38 | 18.42 |
MARCKSL1 | -0.0005808 | 20741 | GTEx | DepMap | Descartes | 3.44 | 299.24 |
Below shows ranks on this GEP for literature curated gene lists for large gene sets
These include those reported as mesenchymal/adrenergic by Van Groningen et al.
High ranks indicate this gene is a driver of this GEP (note these results are not ordered).
The Mean Count column shows the mean read count in cells scoring highly (H > 50) on this gene expression program.
VanGroningen Adrenergic Genes
Adrenergic marker genes from Supplementary Table 2 of Van Groningen et al. Nature Genetics 2017. These genes were identified by differential expression analysis of mesenchymal-like and adrenergic-like neuroblastoma cell lines.
Wilcoxon ranksum test P-value for gene set overrepresentation: 1.00e+00
Mean rank of genes in gene set: 15884.79
Median rank of genes in gene set: 17925.5
Rank on gene expression program of top 30 genes in gene set:
Genes | Weight | Rank | GTEx | DepMap | Descartes | Mean.Counts | Mean.TPM |
---|---|---|---|---|---|---|---|
DNAJB1 | 0.0155696 | 1 | GTEx | DepMap | Descartes | 13.39 | 497.19 |
HK2 | 0.0031210 | 121 | GTEx | DepMap | Descartes | 4.83 | 20.39 |
IRS2 | 0.0030150 | 127 | GTEx | DepMap | Descartes | 1.28 | 12.30 |
FABP6 | 0.0029802 | 128 | GTEx | DepMap | Descartes | 0.38 | 7.44 |
NET1 | 0.0016455 | 286 | GTEx | DepMap | Descartes | 1.57 | 7.16 |
TIAM1 | 0.0011912 | 453 | GTEx | DepMap | Descartes | 2.07 | 0.99 |
POPDC3 | 0.0006707 | 840 | GTEx | DepMap | Descartes | 0.08 | 0.10 |
NFIL3 | 0.0006445 | 876 | GTEx | DepMap | Descartes | 0.90 | 15.78 |
IGSF3 | 0.0004720 | 1142 | GTEx | DepMap | Descartes | 1.08 | 2.79 |
GGH | 0.0003190 | 1499 | GTEx | DepMap | Descartes | 2.05 | 15.21 |
ABLIM1 | 0.0002936 | 1584 | GTEx | DepMap | Descartes | 2.53 | 1.38 |
MAGI3 | 0.0002909 | 1594 | GTEx | DepMap | Descartes | 0.28 | 0.27 |
FAM107B | 0.0002590 | 1730 | GTEx | DepMap | Descartes | 0.73 | 0.73 |
PDK1 | 0.0002447 | 1791 | GTEx | DepMap | Descartes | 0.77 | 4.66 |
RBBP8 | 0.0002168 | 1941 | GTEx | DepMap | Descartes | 0.78 | 1.32 |
FOXO3 | 0.0002069 | 1995 | GTEx | DepMap | Descartes | 0.72 | 1.79 |
TACC2 | 0.0001798 | 2179 | GTEx | DepMap | Descartes | 1.40 | 1.34 |
KIF21A | 0.0001514 | 2370 | GTEx | DepMap | Descartes | 1.83 | 3.05 |
DUSP4 | 0.0001235 | 2637 | GTEx | DepMap | Descartes | 0.07 | 1.82 |
KLF13 | 0.0001228 | 2649 | GTEx | DepMap | Descartes | 1.85 | 7.20 |
HEY1 | 0.0001174 | 2709 | GTEx | DepMap | Descartes | 0.19 | 14.05 |
REC8 | 0.0001104 | 2801 | GTEx | DepMap | Descartes | 0.17 | 4.41 |
PRSS3 | 0.0001100 | 2805 | GTEx | DepMap | Descartes | 0.00 | 0.00 |
PIK3R1 | 0.0001094 | 2811 | GTEx | DepMap | Descartes | 1.99 | 4.69 |
CDC42EP3 | 0.0001010 | 2936 | GTEx | DepMap | Descartes | 0.70 | 8.34 |
RNF150 | 0.0001007 | 2943 | GTEx | DepMap | Descartes | 0.24 | 0.24 |
ACVR1B | 0.0000992 | 2959 | GTEx | DepMap | Descartes | 0.31 | 1.46 |
SYNPO2 | 0.0000881 | 3110 | GTEx | DepMap | Descartes | 0.04 | 0.07 |
GCH1 | 0.0000658 | 3479 | GTEx | DepMap | Descartes | 0.88 | 5.83 |
HS6ST2 | 0.0000580 | 3633 | GTEx | DepMap | Descartes | 0.13 | 0.07 |
VanGroningen Mesenchymal Genes
Mesenchymal marker genes from Supplementary Table 2 of Van Groningen et al. Nature Genetics 2017. These genes were identified by differential expression analysis of mesenchymal-like and adrenergic-like neuroblastoma cell lines.
Wilcoxon ranksum test P-value for gene set overrepresentation: 8.82e-07
Mean rank of genes in gene set: 9145.82
Median rank of genes in gene set: 8277.5
Rank on gene expression program of top 30 genes in gene set:
Genes | Weight | Rank | GTEx | DepMap | Descartes | Mean.Counts | Mean.TPM |
---|---|---|---|---|---|---|---|
EGR1 | 0.0117318 | 6 | GTEx | DepMap | Descartes | 11.42 | 503.98 |
KLF4 | 0.0102620 | 12 | GTEx | DepMap | Descartes | 11.06 | 404.31 |
HSPB1 | 0.0082769 | 17 | GTEx | DepMap | Descartes | 67.87 | 5915.08 |
CYR61 | 0.0063262 | 30 | GTEx | DepMap | Descartes | 3.31 | NA |
SDC4 | 0.0054561 | 42 | GTEx | DepMap | Descartes | 7.85 | 87.38 |
KLF6 | 0.0047007 | 54 | GTEx | DepMap | Descartes | 7.62 | 198.06 |
ANXA1 | 0.0046820 | 56 | GTEx | DepMap | Descartes | 32.77 | 245.46 |
ZFP36L1 | 0.0040622 | 76 | GTEx | DepMap | Descartes | 7.24 | 311.89 |
EMP1 | 0.0040380 | 77 | GTEx | DepMap | Descartes | 3.20 | 32.77 |
ERRFI1 | 0.0036813 | 96 | GTEx | DepMap | Descartes | 1.49 | 19.61 |
GJA1 | 0.0033186 | 108 | GTEx | DepMap | Descartes | 9.66 | 61.80 |
PLK2 | 0.0029426 | 131 | GTEx | DepMap | Descartes | 2.92 | 105.58 |
PALLD | 0.0026676 | 154 | GTEx | DepMap | Descartes | 1.94 | 0.89 |
HES1 | 0.0026630 | 155 | GTEx | DepMap | Descartes | 5.69 | 299.30 |
DUSP5 | 0.0018425 | 255 | GTEx | DepMap | Descartes | 1.27 | 17.83 |
HOMER1 | 0.0017972 | 262 | GTEx | DepMap | Descartes | 0.73 | 2.83 |
CD44 | 0.0017582 | 267 | GTEx | DepMap | Descartes | 5.06 | 12.33 |
SGK1 | 0.0016504 | 284 | GTEx | DepMap | Descartes | 1.70 | 3.64 |
SLC38A2 | 0.0016255 | 294 | GTEx | DepMap | Descartes | 4.17 | 72.52 |
SHROOM3 | 0.0015159 | 324 | GTEx | DepMap | Descartes | 1.32 | 0.68 |
UGDH | 0.0014337 | 355 | GTEx | DepMap | Descartes | 1.01 | 10.66 |
TNFRSF12A | 0.0014186 | 364 | GTEx | DepMap | Descartes | 1.23 | 130.59 |
SOX9 | 0.0013773 | 378 | GTEx | DepMap | Descartes | 0.57 | 21.38 |
LMNA | 0.0012215 | 442 | GTEx | DepMap | Descartes | 9.13 | 58.85 |
ANXA2 | 0.0012066 | 449 | GTEx | DepMap | Descartes | 10.58 | 56.51 |
SQSTM1 | 0.0011256 | 482 | GTEx | DepMap | Descartes | 3.93 | 81.90 |
PTGER4 | 0.0010679 | 521 | GTEx | DepMap | Descartes | 0.28 | 1.89 |
HSPA5 | 0.0010482 | 531 | GTEx | DepMap | Descartes | 12.99 | 489.32 |
MGST1 | 0.0010424 | 536 | GTEx | DepMap | Descartes | 3.14 | 29.75 |
BAG3 | 0.0010198 | 548 | GTEx | DepMap | Descartes | 0.74 | 6.68 |
Descartes adrenocortical markers
Top 50 marker genes of adrenocortical cells in the Decartes fetal adrenal single cell map (https://atlas.brotmanbaty.org/bbi/human-gene-expression-during-development/cell/adrenocortical/in/adrenal)
Wilcoxon ranksum test P-value for gene set overrepresentation: 1.06e-01
Mean rank of genes in gene set: 9310.71
Median rank of genes in gene set: 9851.5
Rank on gene expression program of top 30 genes in gene set:
Genes | Weight | Rank | GTEx | DepMap | Descartes | Mean.Counts | Mean.TPM |
---|---|---|---|---|---|---|---|
GSTA4 | 0.0019717 | 230 | GTEx | DepMap | Descartes | 15.51 | 58.10 |
LDLR | 0.0011032 | 496 | GTEx | DepMap | Descartes | 1.24 | 8.03 |
HMGCS1 | 0.0010364 | 538 | GTEx | DepMap | Descartes | 4.46 | 42.94 |
APOC1 | 0.0009030 | 616 | GTEx | DepMap | Descartes | 5.28 | 194.90 |
BAIAP2L1 | 0.0006592 | 853 | GTEx | DepMap | Descartes | 1.29 | 1.77 |
PAPSS2 | 0.0006484 | 867 | GTEx | DepMap | Descartes | 0.38 | 0.81 |
MSMO1 | 0.0005435 | 1007 | GTEx | DepMap | Descartes | 2.76 | 33.46 |
IGF1R | 0.0004563 | 1175 | GTEx | DepMap | Descartes | 0.96 | 0.78 |
ERN1 | 0.0003738 | 1346 | GTEx | DepMap | Descartes | 0.30 | 0.69 |
POR | 0.0002953 | 1575 | GTEx | DepMap | Descartes | 2.30 | 6.90 |
PDE10A | 0.0002673 | 1688 | GTEx | DepMap | Descartes | 0.53 | 0.23 |
SLC16A9 | 0.0001803 | 2172 | GTEx | DepMap | Descartes | 0.44 | 1.84 |
SH3BP5 | 0.0001028 | 2900 | GTEx | DepMap | Descartes | 0.84 | 3.45 |
FDX1 | 0.0000790 | 3244 | GTEx | DepMap | Descartes | 1.47 | 11.87 |
SCARB1 | 0.0000470 | 3893 | GTEx | DepMap | Descartes | 0.40 | 1.96 |
CYP17A1 | 0.0000417 | 4035 | GTEx | DepMap | Descartes | 0.00 | 0.00 |
DHCR7 | 0.0000211 | 4676 | GTEx | DepMap | Descartes | 0.60 | 4.13 |
SULT2A1 | -0.0000045 | 6282 | GTEx | DepMap | Descartes | 0.00 | 0.00 |
CYP11B1 | -0.0000081 | 6682 | GTEx | DepMap | Descartes | 0.00 | 0.00 |
HMGCR | -0.0000214 | 8358 | GTEx | DepMap | Descartes | 2.39 | 19.36 |
INHA | -0.0000227 | 8498 | GTEx | DepMap | Descartes | 0.03 | 1.94 |
FREM2 | -0.0000559 | 11205 | GTEx | DepMap | Descartes | 0.01 | 0.01 |
SGCZ | -0.0000628 | 11635 | GTEx | DepMap | Descartes | 0.01 | 0.00 |
DHCR24 | -0.0000699 | 12110 | GTEx | DepMap | Descartes | 1.39 | 5.20 |
STAR | -0.0000840 | 12914 | GTEx | DepMap | Descartes | 0.00 | 0.00 |
CYB5B | -0.0000953 | 13547 | GTEx | DepMap | Descartes | 1.45 | 5.93 |
CYP11A1 | -0.0000982 | 13714 | GTEx | DepMap | Descartes | 0.00 | 0.00 |
SH3PXD2B | -0.0001109 | 14360 | GTEx | DepMap | Descartes | 0.47 | 1.39 |
SCAP | -0.0001204 | 14799 | GTEx | DepMap | Descartes | 0.80 | 2.69 |
FDXR | -0.0001234 | 14954 | GTEx | DepMap | Descartes | 0.21 | 4.71 |
Descartes chromaffin markers
Top 50 marker genes of chromaffin cells in the Decartes fetal adrenal single cell map (https://atlas.brotmanbaty.org/bbi/human-gene-expression-during-development/cell/chromaffin/in/adrenal)
Wilcoxon ranksum test P-value for gene set overrepresentation: 1.00e+00
Mean rank of genes in gene set: 15919.77
Median rank of genes in gene set: 16931
Rank on gene expression program of top 30 genes in gene set:
Genes | Weight | Rank | GTEx | DepMap | Descartes | Mean.Counts | Mean.TPM |
---|---|---|---|---|---|---|---|
SYNPO2 | 0.0000881 | 3110 | GTEx | DepMap | Descartes | 0.04 | 0.07 |
MAB21L1 | 0.0000251 | 4539 | GTEx | DepMap | Descartes | 0.02 | 0.89 |
EPHA6 | -0.0000205 | 8259 | GTEx | DepMap | Descartes | 0.00 | 0.00 |
IL7 | -0.0000258 | 8826 | GTEx | DepMap | Descartes | 0.00 | 0.02 |
TMEM132C | -0.0000387 | 9932 | GTEx | DepMap | Descartes | 0.02 | 0.01 |
ANKFN1 | -0.0000465 | 10541 | GTEx | DepMap | Descartes | 0.00 | 0.00 |
GREM1 | -0.0000543 | 11103 | GTEx | DepMap | Descartes | 0.01 | 0.19 |
ALK | -0.0000635 | 11686 | GTEx | DepMap | Descartes | 0.02 | 0.00 |
RGMB | -0.0000688 | 12029 | GTEx | DepMap | Descartes | 0.26 | 2.20 |
RPH3A | -0.0000721 | 12225 | GTEx | DepMap | Descartes | 0.00 | 0.00 |
HS3ST5 | -0.0000748 | 12381 | GTEx | DepMap | Descartes | 0.02 | 0.01 |
TMEFF2 | -0.0000917 | 13369 | GTEx | DepMap | Descartes | 0.21 | 0.17 |
PTCHD1 | -0.0000984 | 13725 | GTEx | DepMap | Descartes | 0.04 | 0.22 |
RYR2 | -0.0001021 | 13906 | GTEx | DepMap | Descartes | 0.04 | 0.02 |
KCNB2 | -0.0001064 | 14129 | GTEx | DepMap | Descartes | 0.05 | 0.03 |
SLC6A2 | -0.0001070 | 14159 | GTEx | DepMap | Descartes | 0.01 | 0.04 |
MARCH11 | -0.0001105 | 14343 | GTEx | DepMap | Descartes | 0.42 | 0.86 |
PRPH | -0.0001114 | 14386 | GTEx | DepMap | Descartes | 0.63 | 34.64 |
FAT3 | -0.0001371 | 15578 | GTEx | DepMap | Descartes | 0.10 | 0.04 |
EYA4 | -0.0001374 | 15593 | GTEx | DepMap | Descartes | 0.04 | 0.02 |
SLC44A5 | -0.0001430 | 15834 | GTEx | DepMap | Descartes | 0.08 | 0.05 |
STMN4 | -0.0001505 | 16130 | GTEx | DepMap | Descartes | 2.18 | 25.42 |
TUBB2A | -0.0001990 | 17732 | GTEx | DepMap | Descartes | 6.17 | 260.99 |
MAB21L2 | -0.0002009 | 17787 | GTEx | DepMap | Descartes | 1.05 | 71.53 |
NTRK1 | -0.0002174 | 18200 | GTEx | DepMap | Descartes | 0.17 | 2.81 |
CNTFR | -0.0002345 | 18565 | GTEx | DepMap | Descartes | 0.45 | 2.48 |
HMX1 | -0.0002413 | 18693 | GTEx | DepMap | Descartes | 0.09 | 1.30 |
CNKSR2 | -0.0002519 | 18882 | GTEx | DepMap | Descartes | 0.30 | 0.29 |
PLXNA4 | -0.0002645 | 19043 | GTEx | DepMap | Descartes | 0.15 | 0.07 |
RBFOX1 | -0.0002686 | 19098 | GTEx | DepMap | Descartes | 0.37 | 0.04 |
Descartes Vascular_endothelial markers
Top 50 marker genes of Vascular_endothelial cells in the Decartes fetal adrenal single cell map (https://atlas.brotmanbaty.org/bbi/human-gene-expression-during-development/cell/vascular_endothelial/in/adrenal)
Wilcoxon ranksum test P-value for gene set overrepresentation: 5.37e-01
Mean rank of genes in gene set: 10562.14
Median rank of genes in gene set: 11859
Rank on gene expression program of top 30 genes in gene set:
Genes | Weight | Rank | GTEx | DepMap | Descartes | Mean.Counts | Mean.TPM |
---|---|---|---|---|---|---|---|
EFNB2 | 0.0014451 | 351 | GTEx | DepMap | Descartes | 0.86 | 5.00 |
IRX3 | 0.0013824 | 376 | GTEx | DepMap | Descartes | 0.52 | 21.12 |
ESM1 | 0.0005897 | 943 | GTEx | DepMap | Descartes | 1.10 | 39.57 |
CDH13 | 0.0005030 | 1091 | GTEx | DepMap | Descartes | 0.73 | 0.17 |
TMEM88 | 0.0004667 | 1152 | GTEx | DepMap | Descartes | 0.18 | 27.94 |
CYP26B1 | 0.0003601 | 1385 | GTEx | DepMap | Descartes | 0.25 | 1.93 |
CALCRL | 0.0001549 | 2340 | GTEx | DepMap | Descartes | 0.25 | 0.88 |
GALNT15 | 0.0001323 | 2545 | GTEx | DepMap | Descartes | 0.02 | 0.13 |
PLVAP | 0.0000690 | 3429 | GTEx | DepMap | Descartes | 1.59 | 38.62 |
NR5A2 | 0.0000430 | 3999 | GTEx | DepMap | Descartes | 0.01 | 0.04 |
F8 | 0.0000274 | 4463 | GTEx | DepMap | Descartes | 0.02 | 0.02 |
ECSCR | 0.0000196 | 4738 | GTEx | DepMap | Descartes | 0.57 | 16.64 |
MMRN2 | 0.0000178 | 4819 | GTEx | DepMap | Descartes | 0.29 | 3.16 |
CEACAM1 | 0.0000066 | 5382 | GTEx | DepMap | Descartes | 0.39 | 3.54 |
SHE | -0.0000120 | 7189 | GTEx | DepMap | Descartes | 0.02 | 0.35 |
CRHBP | -0.0000122 | 7213 | GTEx | DepMap | Descartes | 0.00 | 0.00 |
PTPRB | -0.0000214 | 8352 | GTEx | DepMap | Descartes | 0.48 | 1.41 |
KDR | -0.0000223 | 8453 | GTEx | DepMap | Descartes | 0.45 | 2.96 |
CHRM3 | -0.0000378 | 9836 | GTEx | DepMap | Descartes | 0.00 | 0.00 |
ARHGAP29 | -0.0000575 | 11323 | GTEx | DepMap | Descartes | 0.67 | 2.92 |
BTNL9 | -0.0000592 | 11428 | GTEx | DepMap | Descartes | 0.09 | 1.59 |
TEK | -0.0000660 | 11859 | GTEx | DepMap | Descartes | 0.04 | 0.12 |
NPR1 | -0.0000664 | 11886 | GTEx | DepMap | Descartes | 0.06 | 1.01 |
FLT4 | -0.0000736 | 12308 | GTEx | DepMap | Descartes | 0.04 | 0.18 |
MYRIP | -0.0000812 | 12762 | GTEx | DepMap | Descartes | 0.00 | 0.01 |
DNASE1L3 | -0.0000836 | 12903 | GTEx | DepMap | Descartes | 0.11 | 0.67 |
EHD3 | -0.0000909 | 13325 | GTEx | DepMap | Descartes | 0.15 | 1.33 |
KANK3 | -0.0001098 | 14313 | GTEx | DepMap | Descartes | 0.17 | 4.90 |
SLCO2A1 | -0.0001119 | 14396 | GTEx | DepMap | Descartes | 0.13 | 0.41 |
RAMP2 | -0.0001195 | 14756 | GTEx | DepMap | Descartes | 0.88 | 22.00 |
Descartes stromal markers
Top 50 marker genes of stromal cells in the Decartes fetal adrenal single cell map (https://atlas.brotmanbaty.org/bbi/human-gene-expression-during-development/cell/stromal/in/adrenal)
Wilcoxon ranksum test P-value for gene set overrepresentation: 5.99e-01
Mean rank of genes in gene set: 10698.46
Median rank of genes in gene set: 11885
Rank on gene expression program of top 30 genes in gene set:
Genes | Weight | Rank | GTEx | DepMap | Descartes | Mean.Counts | Mean.TPM |
---|---|---|---|---|---|---|---|
DCN | 0.0005630 | 984 | GTEx | DepMap | Descartes | 2.70 | 16.61 |
PAMR1 | 0.0003808 | 1328 | GTEx | DepMap | Descartes | 0.03 | 0.18 |
PDGFRA | 0.0003452 | 1417 | GTEx | DepMap | Descartes | 0.25 | 1.21 |
IGFBP3 | 0.0003432 | 1422 | GTEx | DepMap | Descartes | 5.40 | 182.73 |
SCARA5 | 0.0002649 | 1700 | GTEx | DepMap | Descartes | 0.01 | 0.01 |
GLI2 | 0.0002175 | 1934 | GTEx | DepMap | Descartes | 0.02 | 0.03 |
SULT1E1 | 0.0002122 | 1968 | GTEx | DepMap | Descartes | 0.02 | 0.29 |
ISLR | 0.0001824 | 2157 | GTEx | DepMap | Descartes | 0.14 | 0.98 |
COL12A1 | 0.0001342 | 2522 | GTEx | DepMap | Descartes | 0.61 | 1.58 |
LOX | 0.0001087 | 2822 | GTEx | DepMap | Descartes | 0.41 | 6.46 |
DKK2 | 0.0001052 | 2872 | GTEx | DepMap | Descartes | 0.04 | 0.19 |
ABCA6 | 0.0000923 | 3042 | GTEx | DepMap | Descartes | 0.03 | 0.11 |
LRRC17 | 0.0000637 | 3516 | GTEx | DepMap | Descartes | 0.02 | 0.12 |
PRRX1 | 0.0000593 | 3608 | GTEx | DepMap | Descartes | 0.13 | 0.54 |
SFRP2 | 0.0000124 | 5059 | GTEx | DepMap | Descartes | 0.50 | 12.32 |
PRICKLE1 | 0.0000093 | 5239 | GTEx | DepMap | Descartes | 0.06 | 0.10 |
ADAMTS2 | 0.0000035 | 5574 | GTEx | DepMap | Descartes | 0.30 | 0.42 |
FREM1 | -0.0000316 | 9336 | GTEx | DepMap | Descartes | 0.00 | 0.00 |
BICC1 | -0.0000423 | 10218 | GTEx | DepMap | Descartes | 0.15 | 0.21 |
COL6A3 | -0.0000508 | 10856 | GTEx | DepMap | Descartes | 0.44 | 1.37 |
COL1A1 | -0.0000530 | 11003 | GTEx | DepMap | Descartes | 8.43 | 115.81 |
ABCC9 | -0.0000596 | 11442 | GTEx | DepMap | Descartes | 0.13 | 0.31 |
ITGA11 | -0.0000645 | 11752 | GTEx | DepMap | Descartes | 0.02 | 0.07 |
EDNRA | -0.0000685 | 12018 | GTEx | DepMap | Descartes | 0.06 | 0.27 |
CLDN11 | -0.0000745 | 12354 | GTEx | DepMap | Descartes | 0.08 | 1.40 |
C7 | -0.0000797 | 12682 | GTEx | DepMap | Descartes | 0.00 | 0.00 |
PCDH18 | -0.0000798 | 12683 | GTEx | DepMap | Descartes | 0.07 | 0.89 |
ADAMTSL3 | -0.0000803 | 12719 | GTEx | DepMap | Descartes | 0.00 | 0.00 |
LAMC3 | -0.0001140 | 14486 | GTEx | DepMap | Descartes | 0.09 | 0.27 |
GAS2 | -0.0001200 | 14786 | GTEx | DepMap | Descartes | 0.09 | 0.11 |
Descartes sympathoblasts markers
Top 50 marker genes of sympathoblasts cells in the Decartes fetal adrenal single cell map (https://atlas.brotmanbaty.org/bbi/human-gene-expression-during-development/cell/sympathoblasts/in/adrenal)
Wilcoxon ranksum test P-value for gene set overrepresentation: 9.50e-01
Mean rank of genes in gene set: 12012.29
Median rank of genes in gene set: 13537
Rank on gene expression program of top 30 genes in gene set:
Genes | Weight | Rank | GTEx | DepMap | Descartes | Mean.Counts | Mean.TPM |
---|---|---|---|---|---|---|---|
ARC | 0.0111340 | 7 | GTEx | DepMap | Descartes | 1.43 | 74.12 |
TIAM1 | 0.0011912 | 453 | GTEx | DepMap | Descartes | 2.07 | 0.99 |
PENK | 0.0005103 | 1073 | GTEx | DepMap | Descartes | 0.03 | 1.22 |
ROBO1 | 0.0001897 | 2108 | GTEx | DepMap | Descartes | 0.58 | 0.14 |
SLC35F3 | 0.0001455 | 2423 | GTEx | DepMap | Descartes | 0.01 | 0.01 |
TENM1 | 0.0001397 | 2479 | GTEx | DepMap | Descartes | 0.01 | 0.00 |
DGKK | 0.0000677 | 3452 | GTEx | DepMap | Descartes | 0.27 | 0.32 |
GCH1 | 0.0000658 | 3479 | GTEx | DepMap | Descartes | 0.88 | 5.83 |
AGBL4 | -0.0000119 | 7161 | GTEx | DepMap | Descartes | 0.00 | 0.00 |
KCTD16 | -0.0000121 | 7207 | GTEx | DepMap | Descartes | 0.00 | 0.00 |
TBX20 | -0.0000175 | 7907 | GTEx | DepMap | Descartes | 0.04 | 0.11 |
CDH12 | -0.0000215 | 8363 | GTEx | DepMap | Descartes | 0.00 | 0.00 |
SLC24A2 | -0.0000297 | 9178 | GTEx | DepMap | Descartes | 0.01 | 0.01 |
GALNTL6 | -0.0000367 | 9738 | GTEx | DepMap | Descartes | 0.04 | 0.01 |
CDH18 | -0.0000375 | 9814 | GTEx | DepMap | Descartes | 0.00 | 0.00 |
NTNG1 | -0.0000476 | 10606 | GTEx | DepMap | Descartes | 0.11 | 0.06 |
CNTN3 | -0.0000516 | 10925 | GTEx | DepMap | Descartes | 0.00 | 0.00 |
SLC18A1 | -0.0000532 | 11016 | GTEx | DepMap | Descartes | 0.02 | 0.11 |
GRID2 | -0.0000760 | 12446 | GTEx | DepMap | Descartes | 0.02 | 0.00 |
CCSER1 | -0.0000926 | 13420 | GTEx | DepMap | Descartes | 0.08 | 0.01 |
GRM7 | -0.0000929 | 13430 | GTEx | DepMap | Descartes | 0.00 | 0.00 |
ST18 | -0.0000971 | 13644 | GTEx | DepMap | Descartes | 0.04 | 0.01 |
SORCS3 | -0.0001066 | 14139 | GTEx | DepMap | Descartes | 0.00 | 0.00 |
KSR2 | -0.0001212 | 14849 | GTEx | DepMap | Descartes | 0.07 | 0.04 |
PNMT | -0.0001238 | 14977 | GTEx | DepMap | Descartes | 0.00 | 0.00 |
SPOCK3 | -0.0001272 | 15121 | GTEx | DepMap | Descartes | 0.06 | 0.03 |
PACRG | -0.0001311 | 15307 | GTEx | DepMap | Descartes | 0.07 | 0.03 |
TMEM130 | -0.0001311 | 15313 | GTEx | DepMap | Descartes | 0.05 | 0.61 |
EML6 | -0.0001429 | 15828 | GTEx | DepMap | Descartes | 0.05 | 0.02 |
CHGB | -0.0001524 | 16200 | GTEx | DepMap | Descartes | 7.29 | 106.30 |
Descartes erythroblasts markers
Top 50 marker genes of erythroblasts cells in the Decartes fetal adrenal single cell map (https://atlas.brotmanbaty.org/bbi/human-gene-expression-during-development/cell/erythroblasts/in/adrenal)
Wilcoxon ranksum test P-value for gene set overrepresentation: 9.01e-03
Mean rank of genes in gene set: 8059.6
Median rank of genes in gene set: 6052
Rank on gene expression program of top 30 genes in gene set:
Genes | Weight | Rank | GTEx | DepMap | Descartes | Mean.Counts | Mean.TPM |
---|---|---|---|---|---|---|---|
SOX6 | 0.0017759 | 265 | GTEx | DepMap | Descartes | 0.89 | 0.39 |
GCLC | 0.0006175 | 906 | GTEx | DepMap | Descartes | 0.66 | 3.60 |
SELENBP1 | 0.0005338 | 1028 | GTEx | DepMap | Descartes | 0.33 | 5.54 |
CAT | 0.0003958 | 1293 | GTEx | DepMap | Descartes | 0.62 | 3.27 |
MARCH3 | 0.0003367 | 1446 | GTEx | DepMap | Descartes | 0.05 | 0.11 |
SLC25A21 | 0.0002671 | 1690 | GTEx | DepMap | Descartes | 0.00 | 0.00 |
CPOX | 0.0002314 | 1861 | GTEx | DepMap | Descartes | 0.89 | 3.21 |
ABCB10 | 0.0001339 | 2525 | GTEx | DepMap | Descartes | 0.41 | 2.09 |
DENND4A | 0.0001250 | 2615 | GTEx | DepMap | Descartes | 0.31 | 0.84 |
HEMGN | 0.0000633 | 3527 | GTEx | DepMap | Descartes | 0.01 | 0.05 |
CR1L | 0.0000434 | 3989 | GTEx | DepMap | Descartes | 1.07 | 6.97 |
XPO7 | 0.0000289 | 4418 | GTEx | DepMap | Descartes | 0.76 | 1.18 |
BLVRB | 0.0000274 | 4460 | GTEx | DepMap | Descartes | 1.76 | 22.65 |
ALAS2 | 0.0000135 | 5001 | GTEx | DepMap | Descartes | 0.03 | 0.31 |
RHD | 0.0000077 | 5319 | GTEx | DepMap | Descartes | 0.00 | 0.00 |
GYPA | 0.0000061 | 5407 | GTEx | DepMap | Descartes | 0.00 | 0.00 |
SLC4A1 | -0.0000021 | 6027 | GTEx | DepMap | Descartes | 0.00 | 0.00 |
SLC25A37 | -0.0000023 | 6052 | GTEx | DepMap | Descartes | 0.49 | 2.30 |
SPTA1 | -0.0000046 | 6287 | GTEx | DepMap | Descartes | 0.00 | 0.00 |
EPB42 | -0.0000075 | 6619 | GTEx | DepMap | Descartes | 0.00 | 0.00 |
RGS6 | -0.0000158 | 7702 | GTEx | DepMap | Descartes | 0.00 | 0.00 |
ANK1 | -0.0000401 | 10069 | GTEx | DepMap | Descartes | 0.00 | 0.00 |
SPECC1 | -0.0000519 | 10946 | GTEx | DepMap | Descartes | 0.24 | 0.21 |
GYPC | -0.0000721 | 12229 | GTEx | DepMap | Descartes | 0.04 | 0.44 |
TMEM56 | -0.0000760 | 12452 | GTEx | DepMap | Descartes | 0.04 | 0.07 |
FECH | -0.0000936 | 13461 | GTEx | DepMap | Descartes | 0.23 | 1.41 |
MICAL2 | -0.0000948 | 13526 | GTEx | DepMap | Descartes | 0.20 | 0.26 |
EPB41 | -0.0001153 | 14555 | GTEx | DepMap | Descartes | 0.87 | 1.22 |
TSPAN5 | -0.0001178 | 14678 | GTEx | DepMap | Descartes | 0.42 | 0.41 |
TRAK2 | -0.0001346 | 15460 | GTEx | DepMap | Descartes | 0.35 | 0.98 |
Descartes myeloid markers
Top 50 marker genes of myeloid cells in the Decartes fetal adrenal single cell map (https://atlas.brotmanbaty.org/bbi/human-gene-expression-during-development/cell/myeloid/in/adrenal)
Wilcoxon ranksum test P-value for gene set overrepresentation: 6.83e-01
Mean rank of genes in gene set: 10904.91
Median rank of genes in gene set: 12486
Rank on gene expression program of top 30 genes in gene set:
Genes | Weight | Rank | GTEx | DepMap | Descartes | Mean.Counts | Mean.TPM |
---|---|---|---|---|---|---|---|
PTPRE | 0.0006565 | 858 | GTEx | DepMap | Descartes | 0.75 | 1.12 |
ITPR2 | 0.0005344 | 1027 | GTEx | DepMap | Descartes | 0.71 | 0.34 |
SPP1 | 0.0003837 | 1320 | GTEx | DepMap | Descartes | 8.34 | 383.26 |
WWP1 | 0.0002967 | 1568 | GTEx | DepMap | Descartes | 1.47 | 2.96 |
SLC9A9 | 0.0001943 | 2071 | GTEx | DepMap | Descartes | 0.25 | 0.09 |
CTSC | 0.0001908 | 2100 | GTEx | DepMap | Descartes | 4.84 | 39.65 |
FGL2 | 0.0001210 | 2665 | GTEx | DepMap | Descartes | 0.26 | 19.92 |
VSIG4 | 0.0000357 | 4209 | GTEx | DepMap | Descartes | 0.12 | 1.00 |
SLC1A3 | 0.0000235 | 4598 | GTEx | DepMap | Descartes | 0.06 | 0.21 |
RBPJ | 0.0000048 | 5489 | GTEx | DepMap | Descartes | 1.03 | 1.40 |
MSR1 | -0.0000040 | 6213 | GTEx | DepMap | Descartes | 0.42 | 2.06 |
ABCA1 | -0.0000048 | 6302 | GTEx | DepMap | Descartes | 1.65 | 3.67 |
CTSB | -0.0000096 | 6880 | GTEx | DepMap | Descartes | 21.30 | 204.06 |
SLCO2B1 | -0.0000135 | 7393 | GTEx | DepMap | Descartes | 0.09 | 0.56 |
HRH1 | -0.0000182 | 7986 | GTEx | DepMap | Descartes | 0.04 | 0.07 |
RNASE1 | -0.0000240 | 8629 | GTEx | DepMap | Descartes | 0.11 | 7.78 |
CPVL | -0.0000297 | 9179 | GTEx | DepMap | Descartes | 0.00 | 0.01 |
MS4A4A | -0.0000333 | 9465 | GTEx | DepMap | Descartes | 0.05 | 1.61 |
FMN1 | -0.0000336 | 9491 | GTEx | DepMap | Descartes | 0.25 | 0.14 |
CTSD | -0.0000380 | 9865 | GTEx | DepMap | Descartes | 21.76 | 338.03 |
ATP8B4 | -0.0000510 | 10874 | GTEx | DepMap | Descartes | 0.06 | 0.10 |
MARCH1 | -0.0000697 | 12094 | GTEx | DepMap | Descartes | 0.13 | 0.06 |
FGD2 | -0.0000765 | 12486 | GTEx | DepMap | Descartes | 0.09 | 1.36 |
CD163 | -0.0000786 | 12608 | GTEx | DepMap | Descartes | 0.04 | 0.26 |
CTSS | -0.0000852 | 12998 | GTEx | DepMap | Descartes | 5.51 | 57.88 |
HCK | -0.0000872 | 13113 | GTEx | DepMap | Descartes | 0.23 | 2.45 |
MERTK | -0.0000974 | 13660 | GTEx | DepMap | Descartes | 0.23 | 0.64 |
SFMBT2 | -0.0001010 | 13850 | GTEx | DepMap | Descartes | 0.04 | 0.03 |
ADAP2 | -0.0001040 | 13999 | GTEx | DepMap | Descartes | 0.18 | 1.98 |
MPEG1 | -0.0001094 | 14287 | GTEx | DepMap | Descartes | 1.27 | 76.97 |
Descartes Schwann markers
Top 50 marker genes of Schwann cells in the Decartes fetal adrenal single cell map (https://atlas.brotmanbaty.org/bbi/human-gene-expression-during-development/cell/schwann/in/adrenal)
Wilcoxon ranksum test P-value for gene set overrepresentation: 9.78e-01
Mean rank of genes in gene set: 12247
Median rank of genes in gene set: 13866
Rank on gene expression program of top 30 genes in gene set:
Genes | Weight | Rank | GTEx | DepMap | Descartes | Mean.Counts | Mean.TPM |
---|---|---|---|---|---|---|---|
KCTD12 | 0.0007334 | 775 | GTEx | DepMap | Descartes | 1.33 | 70.30 |
SFRP1 | 0.0006797 | 829 | GTEx | DepMap | Descartes | 0.95 | 4.88 |
ERBB3 | 0.0006708 | 839 | GTEx | DepMap | Descartes | 0.60 | 6.82 |
VIM | 0.0003517 | 1402 | GTEx | DepMap | Descartes | 17.24 | 684.93 |
STARD13 | 0.0002114 | 1969 | GTEx | DepMap | Descartes | 0.26 | 0.42 |
DST | 0.0001754 | 2204 | GTEx | DepMap | Descartes | 4.69 | 2.63 |
PTN | 0.0001460 | 2417 | GTEx | DepMap | Descartes | 3.14 | 8.70 |
SOX5 | 0.0001087 | 2824 | GTEx | DepMap | Descartes | 0.07 | 0.03 |
GRIK3 | 0.0001071 | 2846 | GTEx | DepMap | Descartes | 0.05 | 0.11 |
MPZ | 0.0000359 | 4198 | GTEx | DepMap | Descartes | 0.00 | 0.00 |
HMGA2 | 0.0000348 | 4236 | GTEx | DepMap | Descartes | 0.01 | 0.05 |
PAG1 | 0.0000153 | 4927 | GTEx | DepMap | Descartes | 0.16 | 0.29 |
IL1RAPL2 | -0.0000211 | 8321 | GTEx | DepMap | Descartes | 0.00 | 0.00 |
TRPM3 | -0.0000260 | 8837 | GTEx | DepMap | Descartes | 0.00 | 0.00 |
ERBB4 | -0.0000334 | 9476 | GTEx | DepMap | Descartes | 0.01 | 0.00 |
CDH19 | -0.0000377 | 9830 | GTEx | DepMap | Descartes | 0.14 | 0.82 |
GAS7 | -0.0000614 | 11544 | GTEx | DepMap | Descartes | 0.61 | 0.69 |
FAM134B | -0.0000643 | 11741 | GTEx | DepMap | Descartes | 0.57 | NA |
NRXN3 | -0.0000727 | 12255 | GTEx | DepMap | Descartes | 0.01 | 0.00 |
LRRTM4 | -0.0000755 | 12425 | GTEx | DepMap | Descartes | 0.00 | 0.00 |
LAMB1 | -0.0000768 | 12504 | GTEx | DepMap | Descartes | 0.57 | 2.22 |
SLC35F1 | -0.0000840 | 12917 | GTEx | DepMap | Descartes | 0.10 | 0.12 |
PLCE1 | -0.0000853 | 13003 | GTEx | DepMap | Descartes | 0.18 | 0.27 |
ADAMTS5 | -0.0001012 | 13866 | GTEx | DepMap | Descartes | 0.29 | 2.83 |
EGFLAM | -0.0001079 | 14201 | GTEx | DepMap | Descartes | 0.02 | 0.06 |
XKR4 | -0.0001166 | 14621 | GTEx | DepMap | Descartes | 0.05 | NA |
EDNRB | -0.0001218 | 14872 | GTEx | DepMap | Descartes | 1.01 | 8.81 |
MDGA2 | -0.0001339 | 15437 | GTEx | DepMap | Descartes | 0.03 | 0.01 |
COL25A1 | -0.0001455 | 15938 | GTEx | DepMap | Descartes | 0.01 | 0.01 |
PMP22 | -0.0001458 | 15949 | GTEx | DepMap | Descartes | 2.49 | 21.80 |
Descartes Megakaryocytes markers
Top 50 marker genes of Megakaryocytes cells in the Decartes fetal adrenal single cell map (https://atlas.brotmanbaty.org/bbi/human-gene-expression-during-development/cell/megakaryocytes/in/adrenal)
Wilcoxon ranksum test P-value for gene set overrepresentation: 5.47e-01
Mean rank of genes in gene set: 10576.33
Median rank of genes in gene set: 11708
Rank on gene expression program of top 30 genes in gene set:
Genes | Weight | Rank | GTEx | DepMap | Descartes | Mean.Counts | Mean.TPM |
---|---|---|---|---|---|---|---|
CD9 | 0.0015068 | 329 | GTEx | DepMap | Descartes | 13.12 | 75.45 |
RAB27B | 0.0011349 | 478 | GTEx | DepMap | Descartes | 0.96 | 0.94 |
VCL | 0.0010069 | 558 | GTEx | DepMap | Descartes | 1.39 | 3.15 |
ITGA2B | 0.0007208 | 787 | GTEx | DepMap | Descartes | 0.20 | 1.93 |
STON2 | 0.0002268 | 1889 | GTEx | DepMap | Descartes | 0.13 | 0.12 |
THBS1 | 0.0002041 | 2009 | GTEx | DepMap | Descartes | 2.41 | 42.05 |
TPM4 | 0.0001733 | 2216 | GTEx | DepMap | Descartes | 5.89 | 44.27 |
RAP1B | 0.0001711 | 2231 | GTEx | DepMap | Descartes | 2.80 | 20.45 |
GSN | 0.0001190 | 2690 | GTEx | DepMap | Descartes | 2.56 | 12.06 |
FERMT3 | 0.0000404 | 4070 | GTEx | DepMap | Descartes | 0.78 | 8.76 |
MMRN1 | 0.0000400 | 4079 | GTEx | DepMap | Descartes | 0.00 | 0.06 |
MCTP1 | 0.0000200 | 4718 | GTEx | DepMap | Descartes | 0.06 | 0.02 |
GP1BA | -0.0000071 | 6582 | GTEx | DepMap | Descartes | 0.00 | 0.00 |
TUBB1 | -0.0000075 | 6622 | GTEx | DepMap | Descartes | 0.00 | 0.00 |
TLN1 | -0.0000230 | 8522 | GTEx | DepMap | Descartes | 1.98 | 17.30 |
PLEK | -0.0000295 | 9153 | GTEx | DepMap | Descartes | 1.03 | 4.26 |
SLC24A3 | -0.0000370 | 9765 | GTEx | DepMap | Descartes | 0.00 | 0.00 |
BIN2 | -0.0000376 | 9823 | GTEx | DepMap | Descartes | 0.14 | 1.97 |
ITGB3 | -0.0000510 | 10876 | GTEx | DepMap | Descartes | 0.07 | 0.37 |
TRPC6 | -0.0000533 | 11026 | GTEx | DepMap | Descartes | 0.02 | 0.03 |
ACTB | -0.0000548 | 11139 | GTEx | DepMap | Descartes | 148.93 | 8149.23 |
GP9 | -0.0000548 | 11140 | GTEx | DepMap | Descartes | 0.00 | 0.00 |
INPP4B | -0.0000571 | 11290 | GTEx | DepMap | Descartes | 0.11 | 0.03 |
SLC2A3 | -0.0000583 | 11371 | GTEx | DepMap | Descartes | 0.25 | 0.85 |
CD84 | -0.0000638 | 11708 | GTEx | DepMap | Descartes | 0.55 | 3.07 |
FLI1 | -0.0000663 | 11882 | GTEx | DepMap | Descartes | 0.19 | 0.46 |
ARHGAP6 | -0.0000745 | 12362 | GTEx | DepMap | Descartes | 0.06 | 0.03 |
MED12L | -0.0000792 | 12644 | GTEx | DepMap | Descartes | 0.05 | 0.03 |
PF4 | -0.0000835 | 12898 | GTEx | DepMap | Descartes | 3.75 | 1394.61 |
LIMS1 | -0.0000897 | 13247 | GTEx | DepMap | Descartes | 1.47 | 3.40 |
Descartes Lyphoid markers
Top 50 marker genes of Lyphoid cells in the Decartes fetal adrenal single cell map (https://atlas.brotmanbaty.org/bbi/human-gene-expression-during-development/cell/lymphoid/in/adrenal)
Wilcoxon ranksum test P-value for gene set overrepresentation: 8.87e-01
Mean rank of genes in gene set: 11579.27
Median rank of genes in gene set: 13377.5
Rank on gene expression program of top 30 genes in gene set:
Genes | Weight | Rank | GTEx | DepMap | Descartes | Mean.Counts | Mean.TPM |
---|---|---|---|---|---|---|---|
CD44 | 0.0017582 | 267 | GTEx | DepMap | Descartes | 5.06 | 12.33 |
ARID5B | 0.0004482 | 1197 | GTEx | DepMap | Descartes | 1.06 | 1.24 |
MCTP2 | 0.0003133 | 1512 | GTEx | DepMap | Descartes | 0.22 | 0.14 |
ABLIM1 | 0.0002936 | 1584 | GTEx | DepMap | Descartes | 2.53 | 1.38 |
PRKCH | 0.0002305 | 1866 | GTEx | DepMap | Descartes | 0.31 | 0.38 |
MBNL1 | 0.0000823 | 3199 | GTEx | DepMap | Descartes | 2.81 | 4.16 |
B2M | 0.0000779 | 3260 | GTEx | DepMap | Descartes | 8.59 | 388.29 |
FOXP1 | 0.0000520 | 3752 | GTEx | DepMap | Descartes | 2.63 | 0.95 |
BACH2 | 0.0000425 | 4015 | GTEx | DepMap | Descartes | 0.17 | 0.11 |
SAMD3 | 0.0000154 | 4917 | GTEx | DepMap | Descartes | 0.00 | 0.00 |
PLEKHA2 | 0.0000146 | 4955 | GTEx | DepMap | Descartes | 0.19 | 0.88 |
STK39 | -0.0000101 | 6937 | GTEx | DepMap | Descartes | 0.76 | 0.45 |
ITPKB | -0.0000258 | 8823 | GTEx | DepMap | Descartes | 0.44 | 1.37 |
SORL1 | -0.0000262 | 8859 | GTEx | DepMap | Descartes | 0.26 | 0.50 |
IKZF1 | -0.0000275 | 8978 | GTEx | DepMap | Descartes | 0.13 | 0.62 |
PITPNC1 | -0.0000353 | 9632 | GTEx | DepMap | Descartes | 0.70 | 0.61 |
CCL5 | -0.0000370 | 9770 | GTEx | DepMap | Descartes | 0.01 | 0.95 |
SCML4 | -0.0000430 | 10278 | GTEx | DepMap | Descartes | 0.01 | 0.02 |
NKG7 | -0.0000443 | 10373 | GTEx | DepMap | Descartes | 0.00 | 1.81 |
WIPF1 | -0.0000665 | 11893 | GTEx | DepMap | Descartes | 0.30 | 0.93 |
ARHGAP15 | -0.0000744 | 12349 | GTEx | DepMap | Descartes | 0.13 | 0.09 |
ANKRD44 | -0.0000909 | 13323 | GTEx | DepMap | Descartes | 0.31 | 0.28 |
SP100 | -0.0000930 | 13432 | GTEx | DepMap | Descartes | 0.27 | 1.50 |
TOX | -0.0000946 | 13519 | GTEx | DepMap | Descartes | 0.15 | 0.09 |
SKAP1 | -0.0000977 | 13680 | GTEx | DepMap | Descartes | 0.00 | 0.00 |
FAM65B | -0.0001154 | 14564 | GTEx | DepMap | Descartes | 0.08 | NA |
DOCK10 | -0.0001162 | 14602 | GTEx | DepMap | Descartes | 0.41 | 0.50 |
NCALD | -0.0001233 | 14950 | GTEx | DepMap | Descartes | 0.36 | 0.23 |
RAP1GAP2 | -0.0001243 | 14991 | GTEx | DepMap | Descartes | 0.09 | 0.09 |
RCSD1 | -0.0001371 | 15579 | GTEx | DepMap | Descartes | 0.08 | 0.37 |
Below shows the ranks on this GEP for immune marker gene lists curated by CellTypist (https://www.celltypist.org/encyclopedia).
High ranks indicate this gene is a driver of this GEP.
These curated gene list are ranked by P-value (on this GEP) of their constituent genes.
The Mean Count column shows the mean read count in cells scoring highly (H > 50) on this gene expression program.
Genes | Weight | Rank | GTEx | DepMap | Decartes | Mean.Counts | Mean.TPM |
---|---|---|---|---|---|---|---|
WFDC2 | 0.0023366 | 182 | GTEx | DepMap | Descartes | 1.03 | 23.99 |
DSP | 0.0015203 | 322 | GTEx | DepMap | Descartes | 18.05 | 60.93 |
FOXN1 | 0.0012781 | 416 | GTEx | DepMap | Descartes | 0.13 | 0.90 |
COL17A1 | 0.0006045 | 923 | GTEx | DepMap | Descartes | 2.91 | 12.64 |
CDH3 | 0.0001943 | 2072 | GTEx | DepMap | Descartes | 0.72 | 3.03 |
FOXG1 | 0.0000310 | 4357 | GTEx | DepMap | Descartes | 0.00 | 0.00 |
PSMB11 | -0.0000095 | 6862 | GTEx | DepMap | Descartes | 0.00 | 0.00 |
TBATA | -0.0000098 | 6906 | GTEx | DepMap | Descartes | 0.00 | 0.00 |
ASCL1 | -0.0001810 | 17198 | GTEx | DepMap | Descartes | 0.19 | 13.50 |
T cells: Type 1 helper T cells (model markers)
CD4+ helper T lymphocyte subpopulation which is capable of producing interferon-gamma and modulating cell-mediated immune responses:
Wilcoxon ranksum test P-value for gene set overrepresentation: 2.05e-03
Mean rank of genes in gene set: 3390.67
Rank on gene expression program of genes in gene set:
Genes | Weight | Rank | GTEx | DepMap | Decartes | Mean.Counts | Mean.TPM |
---|---|---|---|---|---|---|---|
ANXA1 | 0.0046820 | 56 | GTEx | DepMap | Descartes | 32.77 | 245.46 |
RPL17 | 0.0005336 | 1030 | GTEx | DepMap | Descartes | 43.46 | 1489.05 |
CEBPB | 0.0004393 | 1222 | GTEx | DepMap | Descartes | 10.59 | 1747.10 |
PRDM16 | 0.0003860 | 1314 | GTEx | DepMap | Descartes | 0.22 | 0.15 |
KLRB1 | -0.0000102 | 6952 | GTEx | DepMap | Descartes | 0.00 | 0.00 |
CCL5 | -0.0000370 | 9770 | GTEx | DepMap | Descartes | 0.01 | 0.95 |
Macrophages: Kupffer cells (model markers)
resident macrophages in liver under non-inflammatory conditions which line the hepatic sinusoids and are involved in erythrocyte clearance:
Wilcoxon ranksum test P-value for gene set overrepresentation: 6.74e-03
Mean rank of genes in gene set: 4828.71
Rank on gene expression program of genes in gene set:
Genes | Weight | Rank | GTEx | DepMap | Decartes | Mean.Counts | Mean.TPM |
---|---|---|---|---|---|---|---|
EGR2 | 0.0023857 | 176 | GTEx | DepMap | Descartes | 0.50 | 21.66 |
PENK | 0.0005103 | 1073 | GTEx | DepMap | Descartes | 0.03 | 1.22 |
TCHH | 0.0000930 | 3036 | GTEx | DepMap | Descartes | 0.07 | 2.59 |
ECSCR | 0.0000196 | 4738 | GTEx | DepMap | Descartes | 0.57 | 16.64 |
CD5L | 0.0000042 | 5534 | GTEx | DepMap | Descartes | 6.31 | 75.26 |
ARRDC3 | 0.0000038 | 5563 | GTEx | DepMap | Descartes | 0.62 | 12.52 |
TIMD4 | -0.0000977 | 13681 | GTEx | DepMap | Descartes | 0.08 | 0.67 |