QQ-plot of gene loadings, averaged over both independent splits of the data
This plot highlights the relative contribution of each gene to the GEP
Top genes driving this program.
Note: Decartes website is buggy, try refreshing. Also, Decartes fetal adrenal data have been collected at specific time points (89-122 days), all possible cell types of interest may not be represented, do not overinterpret.
The Mean Count column shows the mean read count in cells scoring highly (H > 50) on this gene expression program.
Gene | Loading | Gene.Name | GTEx | DepMap | Descartes | Mean.Counts | Mean.Tpm | |
---|---|---|---|---|---|---|---|---|
1 | MOXD1 | 0.0054583 | monooxygenase DBH like 1 | GTEx | DepMap | Descartes | 3.34 | 10.49 |
2 | EDNRB | 0.0053865 | endothelin receptor type B | GTEx | DepMap | Descartes | 20.56 | 278.78 |
3 | PLP1 | 0.0052109 | proteolipid protein 1 | GTEx | DepMap | Descartes | 4.43 | 78.21 |
4 | EGFL8 | 0.0051755 | EGF like domain multiple 8 | GTEx | DepMap | Descartes | 4.21 | 579.67 |
5 | MPZ | 0.0051675 | myelin protein zero | GTEx | DepMap | Descartes | 3.84 | 114.22 |
6 | POSTN | 0.0051281 | periostin | GTEx | DepMap | Descartes | 12.69 | 105.50 |
7 | FOXD3 | 0.0050316 | forkhead box D3 | GTEx | DepMap | Descartes | 2.50 | 246.72 |
8 | ARPC1B | 0.0049477 | actin related protein ⅔ complex subunit 1B | GTEx | DepMap | Descartes | 8.24 | 138.38 |
9 | SOX10 | 0.0044794 | SRY-box transcription factor 10 | GTEx | DepMap | Descartes | 2.91 | 105.37 |
10 | DBI | 0.0044583 | diazepam binding inhibitor, acyl-CoA binding protein | GTEx | DepMap | Descartes | 41.31 | 1863.93 |
11 | CNP | 0.0044388 | 2’,3’-cyclic nucleotide 3’ phosphodiesterase | GTEx | DepMap | Descartes | 3.51 | 81.23 |
12 | VIM | 0.0044173 | vimentin | GTEx | DepMap | Descartes | 48.62 | 1633.75 |
13 | PRSS12 | 0.0043788 | serine protease 12 | GTEx | DepMap | Descartes | 2.11 | 12.43 |
14 | ERBB3 | 0.0042354 | erb-b2 receptor tyrosine kinase 3 | GTEx | DepMap | Descartes | 2.03 | 24.24 |
15 | AFAP1L2 | 0.0042281 | actin filament associated protein 1 like 2 | GTEx | DepMap | Descartes | 1.60 | 5.02 |
16 | DEPTOR | 0.0041538 | DEP domain containing MTOR interacting protein | GTEx | DepMap | Descartes | 1.16 | 2.19 |
17 | METRN | 0.0041472 | meteorin, glial cell differentiation regulator | GTEx | DepMap | Descartes | 4.66 | 464.53 |
18 | ADGRG6 | 0.0040219 | adhesion G protein-coupled receptor G6 | GTEx | DepMap | Descartes | 1.89 | 3.96 |
19 | FAM198B | 0.0039971 | NA | GTEx | DepMap | Descartes | 1.69 | NA |
20 | LAMA4 | 0.0039853 | laminin subunit alpha 4 | GTEx | DepMap | Descartes | 3.98 | 9.93 |
21 | INSC | 0.0039755 | INSC spindle orientation adaptor protein | GTEx | DepMap | Descartes | 1.07 | 3.06 |
22 | MATN2 | 0.0038214 | matrilin 2 | GTEx | DepMap | Descartes | 2.38 | 6.56 |
23 | COL20A1 | 0.0037920 | collagen type XX alpha 1 chain | GTEx | DepMap | Descartes | 1.32 | 11.42 |
24 | GPR17 | 0.0037805 | G protein-coupled receptor 17 | GTEx | DepMap | Descartes | 0.83 | 32.49 |
25 | GAS7 | 0.0036449 | growth arrest specific 7 | GTEx | DepMap | Descartes | 1.75 | 2.44 |
26 | SFRP5 | 0.0035677 | secreted frizzled related protein 5 | GTEx | DepMap | Descartes | 1.56 | 155.67 |
27 | ITGA4 | 0.0035225 | integrin subunit alpha 4 | GTEx | DepMap | Descartes | 1.87 | 6.43 |
28 | MCAM | 0.0034925 | melanoma cell adhesion molecule | GTEx | DepMap | Descartes | 1.22 | 29.94 |
29 | TIMP3 | 0.0034487 | TIMP metallopeptidase inhibitor 3 | GTEx | DepMap | Descartes | 4.92 | 33.05 |
30 | CDH19 | 0.0034391 | cadherin 19 | GTEx | DepMap | Descartes | 0.69 | 2.23 |
31 | ADAMTS5 | 0.0033590 | ADAM metallopeptidase with thrombospondin type 1 motif 5 | GTEx | DepMap | Descartes | 1.94 | 16.84 |
32 | ZDHHC2 | 0.0033493 | zinc finger DHHC-type palmitoyltransferase 2 | GTEx | DepMap | Descartes | 2.01 | 7.09 |
33 | ZEB2 | 0.0033208 | zinc finger E-box binding homeobox 2 | GTEx | DepMap | Descartes | 5.73 | 13.80 |
34 | SPARC | 0.0032840 | secreted protein acidic and cysteine rich | GTEx | DepMap | Descartes | 32.33 | 378.81 |
35 | PLEKHA4 | 0.0032822 | pleckstrin homology domain containing A4 | GTEx | DepMap | Descartes | 0.69 | 7.71 |
36 | GJC3 | 0.0032451 | gap junction protein gamma 3 | GTEx | DepMap | Descartes | 0.55 | 15.50 |
37 | FAM210B | 0.0032249 | family with sequence similarity 210 member B | GTEx | DepMap | Descartes | 1.99 | 54.47 |
38 | GFRA3 | 0.0032099 | GDNF family receptor alpha 3 | GTEx | DepMap | Descartes | 2.96 | 27.57 |
39 | PTPRZ1 | 0.0032068 | protein tyrosine phosphatase receptor type Z1 | GTEx | DepMap | Descartes | 4.30 | 7.84 |
40 | FBXO7 | 0.0031780 | F-box protein 7 | GTEx | DepMap | Descartes | 1.33 | 14.96 |
41 | ATP10B | 0.0031651 | ATPase phospholipid transporting 10B (putative) | GTEx | DepMap | Descartes | 0.64 | 1.87 |
42 | DST | 0.0031418 | dystonin | GTEx | DepMap | Descartes | 7.64 | 5.79 |
43 | PHACTR1 | 0.0031333 | phosphatase and actin regulator 1 | GTEx | DepMap | Descartes | 2.36 | 1.28 |
44 | GM12688 | 0.0031322 | NA | GTEx | DepMap | Descartes | 1.50 | 331.82 |
45 | UBL3 | 0.0030979 | ubiquitin like 3 | GTEx | DepMap | Descartes | 2.88 | 15.44 |
46 | PLEKHB1 | 0.0030783 | pleckstrin homology domain containing B1 | GTEx | DepMap | Descartes | 0.97 | 16.79 |
47 | SERPINE2 | 0.0030283 | serpin family E member 2 | GTEx | DepMap | Descartes | 7.34 | 32.71 |
48 | CRYAB | 0.0029914 | crystallin alpha B | GTEx | DepMap | Descartes | 2.42 | 144.12 |
49 | CYP2J6 | 0.0029759 | NA | GTEx | DepMap | Descartes | 1.25 | 9.61 |
50 | SPON1 | 0.0029444 | spondin 1 | GTEx | DepMap | Descartes | 3.22 | 3.46 |
UMAP plots showing activity of gene expression program identified in GEP 13. Schwann Cell I:
Gene set Enrichments for this program, caculated from top 50 genes
mSigDB Cell Types Gene Set:
P-value | OR | Lower 95% CI | FDR | FWER | Genes Found | Gene Set Size | |
---|---|---|---|---|---|---|---|
DESCARTES_FETAL_HEART_SCHWANN_CELLS | 9.30e-22 | 125.03 | 57.76 | 1.56e-19 | 6.24e-19 | 13PLP1, MPZ, FOXD3, SOX10, ERBB3, METRN, INSC, COL20A1, GPR17, CDH19, PLEKHA4, GFRA3, ATP10B |
67 |
DURANTE_ADULT_OLFACTORY_NEUROEPITHELIUM_OLFACTORY_ENSHEATHING_GLIA | 3.01e-28 | 111.82 | 56.98 | 2.02e-25 | 2.02e-25 | 18PLP1, MPZ, SOX10, DBI, CNP, VIM, ERBB3, METRN, GAS7, TIMP3, CDH19, ZEB2, SPARC, PLEKHA4, GFRA3, PLEKHB1, SERPINE2, CRYAB |
115 |
DESCARTES_FETAL_MUSCLE_SCHWANN_CELLS | 4.42e-26 | 99.08 | 50.00 | 1.48e-23 | 2.96e-23 | 17MOXD1, PLP1, MPZ, FOXD3, SOX10, CNP, METRN, INSC, COL20A1, SFRP5, CDH19, PLEKHA4, GFRA3, PTPRZ1, ATP10B, DST, PLEKHB1 |
117 |
DESCARTES_FETAL_PANCREAS_ENS_GLIA | 4.02e-19 | 97.83 | 44.45 | 5.39e-17 | 2.70e-16 | 12PLP1, MPZ, FOXD3, SOX10, CNP, ERBB3, INSC, COL20A1, GPR17, CDH19, GJC3, PTPRZ1 |
74 |
DESCARTES_FETAL_STOMACH_ENS_GLIA | 3.68e-15 | 107.96 | 43.26 | 4.12e-13 | 2.47e-12 | 9MOXD1, EDNRB, PLP1, MPZ, SOX10, COL20A1, CDH19, PTPRZ1, CRYAB |
48 |
DESCARTES_FETAL_ADRENAL_SCHWANN_CELLS | 2.17e-23 | 80.15 | 40.10 | 4.85e-21 | 1.46e-20 | 16PLP1, MPZ, FOXD3, SOX10, CNP, ERBB3, METRN, INSC, COL20A1, GPR17, MCAM, CDH19, GJC3, PTPRZ1, ATP10B, PLEKHB1 |
129 |
DESCARTES_MAIN_FETAL_SCHWANN_CELLS | 6.38e-13 | 85.11 | 32.59 | 5.36e-11 | 4.28e-10 | 8EDNRB, PLP1, MPZ, FOXD3, SOX10, CNP, GJC3, GFRA3 |
51 |
DESCARTES_FETAL_INTESTINE_ENS_GLIA | 1.89e-12 | 73.22 | 28.25 | 1.41e-10 | 1.27e-09 | 8PLP1, MPZ, FOXD3, SOX10, METRN, COL20A1, CDH19, PTPRZ1 |
58 |
ZHONG_PFC_MAJOR_TYPES_OPC | 2.70e-14 | 59.42 | 25.61 | 2.59e-12 | 1.81e-11 | 10EDNRB, SOX10, DBI, CNP, COL20A1, GPR17, SPARC, PTPRZ1, PLEKHB1, SERPINE2 |
91 |
DESCARTES_MAIN_FETAL_ENS_GLIA | 1.08e-05 | 87.52 | 15.64 | 2.92e-04 | 7.23e-03 | 3METRN, COL20A1, GAS7 |
17 |
HU_FETAL_RETINA_MULLER | 4.09e-06 | 44.04 | 10.98 | 1.32e-04 | 2.74e-03 | 4PLP1, VIM, PTPRZ1, SPON1 |
42 |
MENON_FETAL_KIDNEY_3_STROMAL_CELLS | 2.04e-06 | 28.17 | 8.49 | 7.61e-05 | 1.37e-03 | 5POSTN, VIM, ZEB2, SPARC, DST |
81 |
CUI_DEVELOPING_HEART_C3_FIBROBLAST_LIKE_CELL | 5.34e-07 | 23.66 | 8.08 | 2.56e-05 | 3.58e-04 | 6MOXD1, LAMA4, MATN2, SPARC, SERPINE2, SPON1 |
117 |
AIZARANI_LIVER_C33_STELLATE_CELLS_2 | 8.24e-07 | 21.89 | 7.48 | 3.69e-05 | 5.53e-04 | 6VIM, MCAM, TIMP3, SPARC, DST, CRYAB |
126 |
FAN_EMBRYONIC_CTX_BIG_GROUPS_GLIAL | 1.13e-06 | 20.69 | 7.08 | 4.74e-05 | 7.58e-04 | 6EDNRB, DBI, VIM, PTPRZ1, SERPINE2, SPON1 |
133 |
CUI_DEVELOPING_HEART_COMPACT_VENTRICULAR_CARDIOMYOCYTE | 2.36e-05 | 27.46 | 6.96 | 5.86e-04 | 1.58e-02 | 4POSTN, VIM, SPARC, CRYAB |
65 |
FAN_EMBRYONIC_CTX_ASTROCYTE_2 | 2.54e-06 | 17.88 | 6.13 | 8.97e-05 | 1.70e-03 | 6EDNRB, LAMA4, TIMP3, DST, SERPINE2, SPON1 |
153 |
DESCARTES_FETAL_CEREBRUM_OLIGODENDROCYTES | 4.14e-05 | 23.61 | 6.01 | 8.97e-04 | 2.78e-02 | 4SOX10, ERBB3, COL20A1, GPR17 |
75 |
TRAVAGLINI_LUNG_PERICYTE_CELL | 1.09e-05 | 19.64 | 5.97 | 2.92e-04 | 7.31e-03 | 5AFAP1L2, ADGRG6, INSC, MCAM, CDH19 |
114 |
MANNO_MIDBRAIN_NEUROTYPES_HRGL2B | 1.00e-08 | 12.68 | 5.81 | 6.73e-07 | 6.73e-06 | 11EDNRB, PLP1, MPZ, DBI, VIM, METRN, TIMP3, PTPRZ1, UBL3, SERPINE2, CRYAB |
440 |
Dowload full table
mSigDB Hallmark Gene Sets:
P-value | OR | Lower 95% CI | FDR | FWER | Genes Found | Gene Set Size | |
---|---|---|---|---|---|---|---|
HALLMARK_EPITHELIAL_MESENCHYMAL_TRANSITION | 7.32e-07 | 16.26 | 6.09 | 3.66e-05 | 3.66e-05 | 7POSTN, VIM, MATN2, TIMP3, SPARC, DST, SERPINE2 |
200 |
HALLMARK_MYOGENESIS | 1.46e-02 | 6.25 | 1.23 | 3.64e-01 | 7.29e-01 | 3ERBB3, SPARC, CRYAB |
200 |
HALLMARK_COAGULATION | 4.90e-02 | 5.91 | 0.69 | 8.03e-01 | 1.00e+00 | 2TIMP3, SPARC |
138 |
HALLMARK_APOPTOSIS | 6.42e-02 | 5.05 | 0.59 | 8.03e-01 | 1.00e+00 | 2ERBB3, TIMP3 |
161 |
HALLMARK_ANGIOGENESIS | 8.89e-02 | 11.24 | 0.27 | 8.89e-01 | 1.00e+00 | 1POSTN |
36 |
HALLMARK_APICAL_SURFACE | 1.08e-01 | 9.15 | 0.22 | 8.97e-01 | 1.00e+00 | 1AFAP1L2 |
44 |
HALLMARK_IL6_JAK_STAT3_SIGNALING | 2.01e-01 | 4.57 | 0.11 | 1.00e+00 | 1.00e+00 | 1ITGA4 |
87 |
HALLMARK_PROTEIN_SECRETION | 2.20e-01 | 4.14 | 0.10 | 1.00e+00 | 1.00e+00 | 1DST |
96 |
HALLMARK_INTERFERON_ALPHA_RESPONSE | 2.22e-01 | 4.10 | 0.10 | 1.00e+00 | 1.00e+00 | 1CNP |
97 |
HALLMARK_ANDROGEN_RESPONSE | 2.28e-01 | 3.97 | 0.10 | 1.00e+00 | 1.00e+00 | 1DBI |
100 |
HALLMARK_UV_RESPONSE_UP | 3.35e-01 | 2.51 | 0.06 | 1.00e+00 | 1.00e+00 | 1CNP |
158 |
HALLMARK_MITOTIC_SPINDLE | 4.01e-01 | 1.99 | 0.05 | 1.00e+00 | 1.00e+00 | 1DST |
199 |
HALLMARK_ADIPOGENESIS | 4.03e-01 | 1.98 | 0.05 | 1.00e+00 | 1.00e+00 | 1LAMA4 |
200 |
HALLMARK_ESTROGEN_RESPONSE_EARLY | 4.03e-01 | 1.98 | 0.05 | 1.00e+00 | 1.00e+00 | 1DEPTOR |
200 |
HALLMARK_APICAL_JUNCTION | 4.03e-01 | 1.98 | 0.05 | 1.00e+00 | 1.00e+00 | 1ADAMTS5 |
200 |
HALLMARK_HEME_METABOLISM | 4.03e-01 | 1.98 | 0.05 | 1.00e+00 | 1.00e+00 | 1FBXO7 |
200 |
HALLMARK_KRAS_SIGNALING_UP | 4.03e-01 | 1.98 | 0.05 | 1.00e+00 | 1.00e+00 | 1SPON1 |
200 |
HALLMARK_KRAS_SIGNALING_DN | 4.03e-01 | 1.98 | 0.05 | 1.00e+00 | 1.00e+00 | 1SOX10 |
200 |
HALLMARK_TNFA_SIGNALING_VIA_NFKB | 1.00e+00 | 0.00 | 0.00 | 1.00e+00 | 1.00e+00 | 0 |
200 |
HALLMARK_HYPOXIA | 1.00e+00 | 0.00 | 0.00 | 1.00e+00 | 1.00e+00 | 0 |
200 |
Dowload full table
KEGG Pathways:
P-value | OR | Lower 95% CI | FDR | FWER | Genes Found | Gene Set Size | |
---|---|---|---|---|---|---|---|
KEGG_ECM_RECEPTOR_INTERACTION | 1.98e-02 | 9.79 | 1.13 | 1.00e+00 | 1.00e+00 | 2LAMA4, ITGA4 |
84 |
KEGG_CELL_ADHESION_MOLECULES_CAMS | 4.59e-02 | 6.13 | 0.71 | 1.00e+00 | 1.00e+00 | 2MPZ, ITGA4 |
133 |
KEGG_CALCIUM_SIGNALING_PATHWAY | 7.63e-02 | 4.56 | 0.53 | 1.00e+00 | 1.00e+00 | 2EDNRB, ERBB3 |
178 |
KEGG_FOCAL_ADHESION | 9.21e-02 | 4.08 | 0.48 | 1.00e+00 | 1.00e+00 | 2LAMA4, ITGA4 |
199 |
KEGG_REGULATION_OF_ACTIN_CYTOSKELETON | 1.03e-01 | 3.81 | 0.45 | 1.00e+00 | 1.00e+00 | 2ARPC1B, ITGA4 |
213 |
KEGG_INTESTINAL_IMMUNE_NETWORK_FOR_IGA_PRODUCTION | 1.17e-01 | 8.37 | 0.20 | 1.00e+00 | 1.00e+00 | 1ITGA4 |
48 |
KEGG_PATHOGENIC_ESCHERICHIA_COLI_INFECTION | 1.35e-01 | 7.15 | 0.17 | 1.00e+00 | 1.00e+00 | 1ARPC1B |
56 |
KEGG_EPITHELIAL_CELL_SIGNALING_IN_HELICOBACTER_PYLORI_INFECTION | 1.61e-01 | 5.87 | 0.14 | 1.00e+00 | 1.00e+00 | 1PTPRZ1 |
68 |
KEGG_PPAR_SIGNALING_PATHWAY | 1.63e-01 | 5.78 | 0.14 | 1.00e+00 | 1.00e+00 | 1DBI |
69 |
KEGG_LEISHMANIA_INFECTION | 1.70e-01 | 5.54 | 0.14 | 1.00e+00 | 1.00e+00 | 1ITGA4 |
72 |
KEGG_ARRHYTHMOGENIC_RIGHT_VENTRICULAR_CARDIOMYOPATHY_ARVC | 1.74e-01 | 5.39 | 0.13 | 1.00e+00 | 1.00e+00 | 1ITGA4 |
74 |
KEGG_HYPERTROPHIC_CARDIOMYOPATHY_HCM | 1.93e-01 | 4.80 | 0.12 | 1.00e+00 | 1.00e+00 | 1ITGA4 |
83 |
KEGG_SMALL_CELL_LUNG_CANCER | 1.95e-01 | 4.74 | 0.12 | 1.00e+00 | 1.00e+00 | 1LAMA4 |
84 |
KEGG_ERBB_SIGNALING_PATHWAY | 2.01e-01 | 4.57 | 0.11 | 1.00e+00 | 1.00e+00 | 1ERBB3 |
87 |
KEGG_HEMATOPOIETIC_CELL_LINEAGE | 2.01e-01 | 4.57 | 0.11 | 1.00e+00 | 1.00e+00 | 1ITGA4 |
87 |
KEGG_DILATED_CARDIOMYOPATHY | 2.08e-01 | 4.42 | 0.11 | 1.00e+00 | 1.00e+00 | 1ITGA4 |
90 |
KEGG_FC_GAMMA_R_MEDIATED_PHAGOCYTOSIS | 2.20e-01 | 4.14 | 0.10 | 1.00e+00 | 1.00e+00 | 1ARPC1B |
96 |
KEGG_MELANOGENESIS | 2.30e-01 | 3.93 | 0.10 | 1.00e+00 | 1.00e+00 | 1EDNRB |
101 |
KEGG_LEUKOCYTE_TRANSENDOTHELIAL_MIGRATION | 2.59e-01 | 3.42 | 0.08 | 1.00e+00 | 1.00e+00 | 1ITGA4 |
116 |
KEGG_WNT_SIGNALING_PATHWAY | 3.23e-01 | 2.62 | 0.06 | 1.00e+00 | 1.00e+00 | 1SFRP5 |
151 |
Dowload full table
CHR Positional Gene Sets:
P-value | OR | Lower 95% CI | FDR | FWER | Genes Found | Gene Set Size | |
---|---|---|---|---|---|---|---|
chr2q14 | 5.94e-02 | 5.28 | 0.62 | 1.00e+00 | 1.00e+00 | 2DBI, GPR17 |
154 |
chr11q23 | 9.68e-02 | 3.96 | 0.46 | 1.00e+00 | 1.00e+00 | 2MCAM, CRYAB |
205 |
chr22q12 | 1.03e-01 | 3.81 | 0.45 | 1.00e+00 | 1.00e+00 | 2TIMP3, FBXO7 |
213 |
chr7q22 | 1.03e-01 | 3.81 | 0.45 | 1.00e+00 | 1.00e+00 | 2ARPC1B, GJC3 |
213 |
chr5q34 | 9.36e-02 | 10.63 | 0.26 | 1.00e+00 | 1.00e+00 | 1ATP10B |
38 |
chr20q13 | 2.69e-01 | 2.02 | 0.24 | 1.00e+00 | 1.00e+00 | 2COL20A1, FAM210B |
400 |
chr8p22 | 1.10e-01 | 8.94 | 0.22 | 1.00e+00 | 1.00e+00 | 1ZDHHC2 |
45 |
chr4q26 | 1.28e-01 | 7.56 | 0.18 | 1.00e+00 | 1.00e+00 | 1PRSS12 |
53 |
chr6p24 | 1.37e-01 | 7.03 | 0.17 | 1.00e+00 | 1.00e+00 | 1PHACTR1 |
57 |
chr13q22 | 1.46e-01 | 6.56 | 0.16 | 1.00e+00 | 1.00e+00 | 1EDNRB |
61 |
chr18q22 | 1.46e-01 | 6.56 | 0.16 | 1.00e+00 | 1.00e+00 | 1CDH19 |
61 |
chr10p13 | 1.53e-01 | 6.24 | 0.15 | 1.00e+00 | 1.00e+00 | 1VIM |
64 |
chr2q22 | 1.61e-01 | 5.87 | 0.14 | 1.00e+00 | 1.00e+00 | 1ZEB2 |
68 |
chr6q24 | 1.70e-01 | 5.54 | 0.14 | 1.00e+00 | 1.00e+00 | 1ADGRG6 |
72 |
chr13q13 | 1.83e-01 | 5.11 | 0.13 | 1.00e+00 | 1.00e+00 | 1POSTN |
78 |
chr2q36 | 1.91e-01 | 4.86 | 0.12 | 1.00e+00 | 1.00e+00 | 1SERPINE2 |
82 |
chr6q23 | 2.40e-01 | 3.75 | 0.09 | 1.00e+00 | 1.00e+00 | 1MOXD1 |
106 |
chr5q33 | 2.45e-01 | 3.64 | 0.09 | 1.00e+00 | 1.00e+00 | 1SPARC |
109 |
chr6q21 | 2.61e-01 | 3.39 | 0.08 | 1.00e+00 | 1.00e+00 | 1LAMA4 |
117 |
chr21q21 | 2.65e-01 | 3.33 | 0.08 | 1.00e+00 | 1.00e+00 | 1ADAMTS5 |
119 |
Dowload full table
Transcription Factor Targets:
P-value | OR | Lower 95% CI | FDR | FWER | Genes Found | Gene Set Size | |
---|---|---|---|---|---|---|---|
SOX10_TARGET_GENES | 1.11e-04 | 8.91 | 3.08 | 1.16e-01 | 1.26e-01 | 6ERBB3, LAMA4, GAS7, CDH19, FBXO7, PLEKHB1 |
301 |
SP1_Q6 | 5.16e-04 | 8.40 | 2.58 | 1.46e-01 | 5.84e-01 | 5PRSS12, ERBB3, GAS7, TIMP3, CRYAB |
260 |
TGCCAAR_NF1_Q6 | 4.00e-04 | 5.11 | 2.06 | 1.46e-01 | 4.53e-01 | 8MOXD1, PLP1, POSTN, CNP, TIMP3, ZEB2, DST, CRYAB |
727 |
CAGCTG_AP4_Q5 | 2.06e-04 | 4.01 | 1.90 | 1.16e-01 | 2.33e-01 | 12PLP1, FOXD3, SOX10, CNP, ERBB3, DEPTOR, GPR17, GAS7, MCAM, ZEB2, PLEKHA4, CRYAB |
1530 |
PR_02 | 5.04e-03 | 9.32 | 1.83 | 6.35e-01 | 1.00e+00 | 3MPZ, LAMA4, DST |
135 |
GATA1_03 | 3.56e-03 | 6.93 | 1.80 | 6.35e-01 | 1.00e+00 | 4ERBB3, SFRP5, ZDHHC2, ZEB2 |
246 |
AP2GAMMA_01 | 3.88e-03 | 6.76 | 1.75 | 6.35e-01 | 1.00e+00 | 4SOX10, CNP, GAS7, CRYAB |
252 |
AREB6_04 | 3.93e-03 | 6.73 | 1.75 | 6.35e-01 | 1.00e+00 | 4SOX10, ERBB3, ZEB2, CRYAB |
253 |
ACCTGTTG_UNKNOWN | 8.03e-03 | 7.84 | 1.54 | 6.74e-01 | 1.00e+00 | 3SOX10, LAMA4, DST |
160 |
YNTTTNNNANGCARM_UNKNOWN | 1.48e-02 | 11.47 | 1.33 | 6.74e-01 | 1.00e+00 | 2ADAMTS5, ZEB2 |
72 |
AACTTT_UNKNOWN | 4.49e-03 | 2.84 | 1.31 | 6.35e-01 | 1.00e+00 | 11MOXD1, PLP1, POSTN, FOXD3, VIM, PRSS12, LAMA4, TIMP3, ADAMTS5, ZEB2, SPARC |
1928 |
CTGRYYYNATT_UNKNOWN | 1.56e-02 | 11.15 | 1.29 | 6.74e-01 | 1.00e+00 | 2SOX10, CRYAB |
74 |
NKX22_01 | 1.31e-02 | 6.51 | 1.28 | 6.74e-01 | 1.00e+00 | 3ADGRG6, DST, SPON1 |
192 |
PHB2_TARGET_GENES | 1.42e-02 | 6.31 | 1.25 | 6.74e-01 | 1.00e+00 | 3SFRP5, MCAM, PLEKHA4 |
198 |
RP58_01 | 1.70e-02 | 5.89 | 1.16 | 6.74e-01 | 1.00e+00 | 3GAS7, ZEB2, GFRA3 |
212 |
TGGAAA_NFAT_Q4_01 | 2.18e-02 | 2.51 | 1.12 | 6.74e-01 | 1.00e+00 | 10FOXD3, SOX10, VIM, PRSS12, ERBB3, GAS7, MCAM, ZEB2, PTPRZ1, UBL3 |
1934 |
TEF1_Q6 | 2.03e-02 | 5.49 | 1.09 | 6.74e-01 | 1.00e+00 | 3MPZ, MCAM, CRYAB |
227 |
CTGYNNCTYTAA_UNKNOWN | 2.16e-02 | 9.34 | 1.08 | 6.74e-01 | 1.00e+00 | 2PLP1, ADAMTS5 |
88 |
TGTYNNNNNRGCARM_UNKNOWN | 2.16e-02 | 9.34 | 1.08 | 6.74e-01 | 1.00e+00 | 2ZEB2, SPARC |
88 |
RRCCGTTA_UNKNOWN | 2.16e-02 | 9.34 | 1.08 | 6.74e-01 | 1.00e+00 | 2VIM, ZEB2 |
88 |
Dowload full table
GO Biological Processes:
P-value | OR | Lower 95% CI | FDR | FWER | Genes Found | Gene Set Size | |
---|---|---|---|---|---|---|---|
GOBP_MELANOCYTE_DIFFERENTIATION | 3.16e-05 | 58.48 | 10.81 | 2.96e-02 | 2.36e-01 | 3EDNRB, SOX10, ZEB2 |
24 |
GOBP_GLIAL_CELL_DIFFERENTIATION | 1.17e-10 | 24.07 | 10.59 | 8.77e-07 | 8.77e-07 | 10PLP1, SOX10, CNP, VIM, ERBB3, METRN, ADGRG6, GPR17, PTPRZ1, SERPINE2 |
210 |
GOBP_PERIPHERAL_NERVOUS_SYSTEM_DEVELOPMENT | 1.30e-06 | 31.01 | 9.33 | 2.44e-03 | 9.75e-03 | 5EDNRB, SOX10, ERBB3, ADGRG6, GFRA3 |
74 |
GOBP_GLIOGENESIS | 2.06e-09 | 17.65 | 7.79 | 7.71e-06 | 1.54e-05 | 10PLP1, SOX10, CNP, VIM, ERBB3, METRN, ADGRG6, GPR17, PTPRZ1, SERPINE2 |
283 |
GOBP_PIGMENT_CELL_DIFFERENTIATION | 9.16e-05 | 39.64 | 7.50 | 6.85e-02 | 6.85e-01 | 3EDNRB, SOX10, ZEB2 |
34 |
GOBP_OLIGODENDROCYTE_DIFFERENTIATION | 4.04e-06 | 24.34 | 7.36 | 6.04e-03 | 3.02e-02 | 5PLP1, SOX10, CNP, GPR17, PTPRZ1 |
93 |
GOBP_ENTERIC_NERVOUS_SYSTEM_DEVELOPMENT | 6.73e-04 | 61.64 | 6.58 | 2.41e-01 | 1.00e+00 | 2EDNRB, SOX10 |
15 |
GOBP_DEVELOPMENTAL_PIGMENTATION | 1.99e-04 | 29.98 | 5.74 | 1.24e-01 | 1.00e+00 | 3EDNRB, SOX10, ZEB2 |
44 |
GOBP_AUTONOMIC_NERVOUS_SYSTEM_DEVELOPMENT | 2.27e-04 | 28.59 | 5.48 | 1.28e-01 | 1.00e+00 | 3EDNRB, SOX10, GFRA3 |
46 |
GOBP_ENSHEATHMENT_OF_NEURONS | 1.77e-05 | 17.69 | 5.39 | 2.20e-02 | 1.32e-01 | 5PLP1, MPZ, SOX10, ADGRG6, PTPRZ1 |
126 |
GOBP_COPULATION | 1.09e-03 | 47.13 | 5.15 | 3.39e-01 | 1.00e+00 | 2EDNRB, SERPINE2 |
19 |
GOBP_AXON_ENSHEATHMENT_IN_CENTRAL_NERVOUS_SYSTEM | 1.33e-03 | 42.26 | 4.64 | 3.56e-01 | 1.00e+00 | 2PLP1, SOX10 |
21 |
GOBP_INNERVATION | 1.60e-03 | 38.19 | 4.23 | 3.99e-01 | 1.00e+00 | 2ITGA4, SERPINE2 |
23 |
GOBP_GLIAL_CELL_DEVELOPMENT | 1.96e-04 | 15.52 | 3.99 | 1.24e-01 | 1.00e+00 | 4PLP1, SOX10, VIM, ADGRG6 |
112 |
GOBP_POSITIVE_REGULATION_OF_GLIOGENESIS | 5.74e-04 | 20.49 | 3.97 | 2.39e-01 | 1.00e+00 | 3SOX10, PTPRZ1, SERPINE2 |
63 |
GOBP_NERVE_DEVELOPMENT | 7.49e-04 | 18.63 | 3.62 | 2.55e-01 | 1.00e+00 | 3ERBB3, ITGA4, SERPINE2 |
69 |
GOBP_RESPONSE_TO_ESTRADIOL | 2.98e-04 | 13.85 | 3.57 | 1.42e-01 | 1.00e+00 | 4POSTN, ARPC1B, FAM210B, CRYAB |
125 |
GOBP_ASTROCYTE_DIFFERENTIATION | 8.48e-04 | 17.82 | 3.47 | 2.76e-01 | 1.00e+00 | 3PLP1, VIM, SERPINE2 |
72 |
GOBP_NEUROGENESIS | 9.21e-08 | 6.23 | 3.25 | 2.30e-04 | 6.89e-04 | 17EDNRB, PLP1, POSTN, SOX10, CNP, VIM, ERBB3, METRN, ADGRG6, GPR17, GAS7, ITGA4, GFRA3, PTPRZ1, FBXO7, PHACTR1, SERPINE2 |
1613 |
GOBP_SCHWANN_CELL_DIFFERENTIATION | 3.89e-03 | 23.61 | 2.67 | 7.10e-01 | 1.00e+00 | 2ERBB3, ADGRG6 |
36 |
Dowload full table
Immunological Gene Sets:
P-value | OR | Lower 95% CI | FDR | FWER | Genes Found | Gene Set Size | |
---|---|---|---|---|---|---|---|
GSE24814_STAT5_KO_VS_WT_PRE_BCELL_UP | 1.46e-04 | 11.16 | 3.42 | 6.63e-01 | 7.09e-01 | 5LAMA4, ITGA4, MCAM, TIMP3, PTPRZ1 |
197 |
GSE4590_PRE_BCELL_VS_LARGE_PRE_BCELL_UP | 7.51e-04 | 10.74 | 2.78 | 6.63e-01 | 1.00e+00 | 4EDNRB, ADGRG6, ZDHHC2, DST |
160 |
GSE3565_DUSP1_VS_WT_SPLENOCYTES_UP | 8.05e-04 | 10.54 | 2.72 | 6.63e-01 | 1.00e+00 | 4VIM, ITGA4, ZDHHC2, ZEB2 |
163 |
GSE2935_UV_INACTIVATED_VS_LIVE_SENDAI_VIRUS_INF_MACROPHAGE_DN | 1.14e-03 | 9.58 | 2.48 | 6.63e-01 | 1.00e+00 | 4VIM, ITGA4, ZDHHC2, ZEB2 |
179 |
GSE3565_CTRL_VS_LPS_INJECTED_DUSP1_KO_SPLENOCYTES_UP | 1.18e-03 | 9.47 | 2.45 | 6.63e-01 | 1.00e+00 | 4VIM, ITGA4, ZDHHC2, ZEB2 |
181 |
GSE23321_EFFECTOR_MEMORY_VS_NAIVE_CD8_TCELL_UP | 1.58e-03 | 8.73 | 2.26 | 6.63e-01 | 1.00e+00 | 4LAMA4, ITGA4, MCAM, PTPRZ1 |
196 |
GSE25123_CTRL_VS_ROSIGLITAZONE_STIM_PPARG_KO_MACROPHAGE_DN | 1.67e-03 | 8.60 | 2.23 | 6.63e-01 | 1.00e+00 | 4PLP1, VIM, ITGA4, PLEKHB1 |
199 |
GSE16385_ROSIGLITAZONE_IL4_VS_ROSIGLITAZONE_ALONE_STIM_MACROPHAGE_UP | 1.70e-03 | 8.55 | 2.21 | 6.63e-01 | 1.00e+00 | 4POSTN, ERBB3, GJC3, FAM210B |
200 |
GSE36078_WT_VS_IL1R_KO_LUNG_DC_AFTER_AD5_INF_UP | 1.70e-03 | 8.55 | 2.21 | 6.63e-01 | 1.00e+00 | 4VIM, GAS7, ZEB2, SERPINE2 |
200 |
GSE43955_TH0_VS_TGFB_IL6_TH17_ACT_CD4_TCELL_4H_DN | 1.70e-03 | 8.55 | 2.21 | 6.63e-01 | 1.00e+00 | 4VIM, MATN2, ITGA4, GFRA3 |
200 |
GSE13173_UNTREATED_VS_IL12_TREATED_ACT_CD8_TCELL_UP | 4.45e-03 | 9.76 | 1.92 | 6.63e-01 | 1.00e+00 | 3MOXD1, MATN2, TIMP3 |
129 |
GSE40274_CTRL_VS_GATA1_TRANSDUCED_ACTIVATED_CD4_TCELL_UP | 6.49e-03 | 8.48 | 1.67 | 6.63e-01 | 1.00e+00 | 3METRN, ITGA4, PLEKHA4 |
148 |
GSE13547_2H_VS_12_H_ANTI_IGM_STIM_ZFX_KO_BCELL_UP | 8.87e-03 | 7.55 | 1.49 | 6.63e-01 | 1.00e+00 | 3GAS7, ZEB2, DST |
166 |
GSE6269_FLU_VS_STAPH_AUREUS_INF_PBMC_DN | 9.01e-03 | 7.50 | 1.48 | 6.63e-01 | 1.00e+00 | 3VIM, LAMA4, GAS7 |
167 |
GSE3920_IFNA_VS_IFNG_TREATED_FIBROBLAST_UP | 1.02e-02 | 7.15 | 1.41 | 6.63e-01 | 1.00e+00 | 3GAS7, ITGA4, ZEB2 |
175 |
GSE13522_WT_VS_IFNAR_KO_SKIN_DN | 1.05e-02 | 7.07 | 1.39 | 6.63e-01 | 1.00e+00 | 3VIM, ERBB3, DST |
177 |
GSE13547_WT_VS_ZFX_KO_BCELL_DN | 1.05e-02 | 7.07 | 1.39 | 6.63e-01 | 1.00e+00 | 3DBI, VIM, ZDHHC2 |
177 |
GSE3565_CTRL_VS_LPS_INJECTED_SPLENOCYTES_UP | 1.07e-02 | 7.03 | 1.39 | 6.63e-01 | 1.00e+00 | 3ITGA4, ZDHHC2, ZEB2 |
178 |
GSE14415_INDUCED_TREG_VS_TCONV_UP | 1.09e-02 | 6.99 | 1.38 | 6.63e-01 | 1.00e+00 | 3DBI, VIM, SERPINE2 |
179 |
GSE14699_DELETIONAL_TOLERANCE_VS_ACTIVATED_CD8_TCELL_UP | 1.10e-02 | 6.95 | 1.37 | 6.63e-01 | 1.00e+00 | 3VIM, ZDHHC2, ZEB2 |
180 |
Top Ranked Transcription Factors for this Gene Expression Program:
Gene Symbol | TF Rank | DNA Binding Domain | Motif Status | IUPAC PWM | GTEx | DepMap | Decartes |
---|---|---|---|---|---|---|---|
FOXD3 | 7 | Yes | Known motif | Monomer or homomultimer | High-throughput in vitro | None | None |
SOX10 | 9 | Yes | Known motif | Monomer or homomultimer | High-throughput in vitro | None | None |
DEPTOR | 16 | No | Unlikely to be sequence specific TF | Not a DNA binding protein | No motif | None | None |
GAS7 | 25 | No | Unlikely to be sequence specific TF | Not a DNA binding protein | No motif | None | (PMID: 9736752) only shows that it has a proline-rich domain similar to the one in Oct2. No evidence of DNA binding. |
SFRP5 | 26 | No | Unlikely to be sequence specific TF | Not a DNA binding protein | No motif | None | None |
ZEB2 | 33 | Yes | Inferred motif | Monomer or homomultimer | In vivo/Misc source | None | None |
PLEKHA4 | 35 | No | Unlikely to be sequence specific TF | Not a DNA binding protein | No motif | Has a putative AT-hook | No DBDs; no indication of DNA binding - included only because Vasquerizas 2009 included it with an x. |
AHR | 52 | Yes | Known motif | Monomer or homomultimer | In vivo/Misc source | Only known motifs are from Transfac or HocoMoco - origin is uncertain | None |
MEF2C | 57 | Yes | Known motif | Monomer or homomultimer | High-throughput in vitro | None | None |
LMO4 | 65 | No | Unlikely to be sequence specific TF | Not a DNA binding protein | No motif | None | None |
DLX1 | 66 | Yes | Known motif | Monomer or homomultimer | High-throughput in vitro | None | None |
RGCC | 68 | No | Unlikely to be sequence specific TF | Not a DNA binding protein | No motif | None | None |
PLXNB3 | 82 | No | Unlikely to be sequence specific TF | Not a DNA binding protein | No motif | None | Protein is a semaphorin receptor that operates far upstream on the signaling cascade. |
WWTR1 | 95 | No | Unlikely to be sequence specific TF | Not a DNA binding protein | No motif | None | Transcriptional co-activator that binds to TEADs (PMID: 19324877) and TBX5 (PMID: 16332960) |
DLX2 | 120 | Yes | Known motif | Monomer or homomultimer | High-throughput in vitro | None | None |
HEYL | 122 | Yes | Inferred motif | Monomer or homomultimer | High-throughput in vitro | None | None |
VGLL3 | 145 | No | Unlikely to be sequence specific TF | Not a DNA binding protein | No motif | None | (PMID: 23380592) describes this protein as a co-activator, and it doesnt seem to have a DBD (fig. 1) |
HEY2 | 185 | Yes | Known motif | Monomer or homomultimer | High-throughput in vitro | None | None |
POU3F1 | 186 | Yes | Known motif | Monomer or homomultimer | High-throughput in vitro | None | None |
GULP1 | 191 | No | Unlikely to be sequence specific TF | Not a DNA binding protein | No motif | None | Based on the alignments, the protein is only weakly related to the other bZIP proteins and lacks the basic region required for DNA binding |
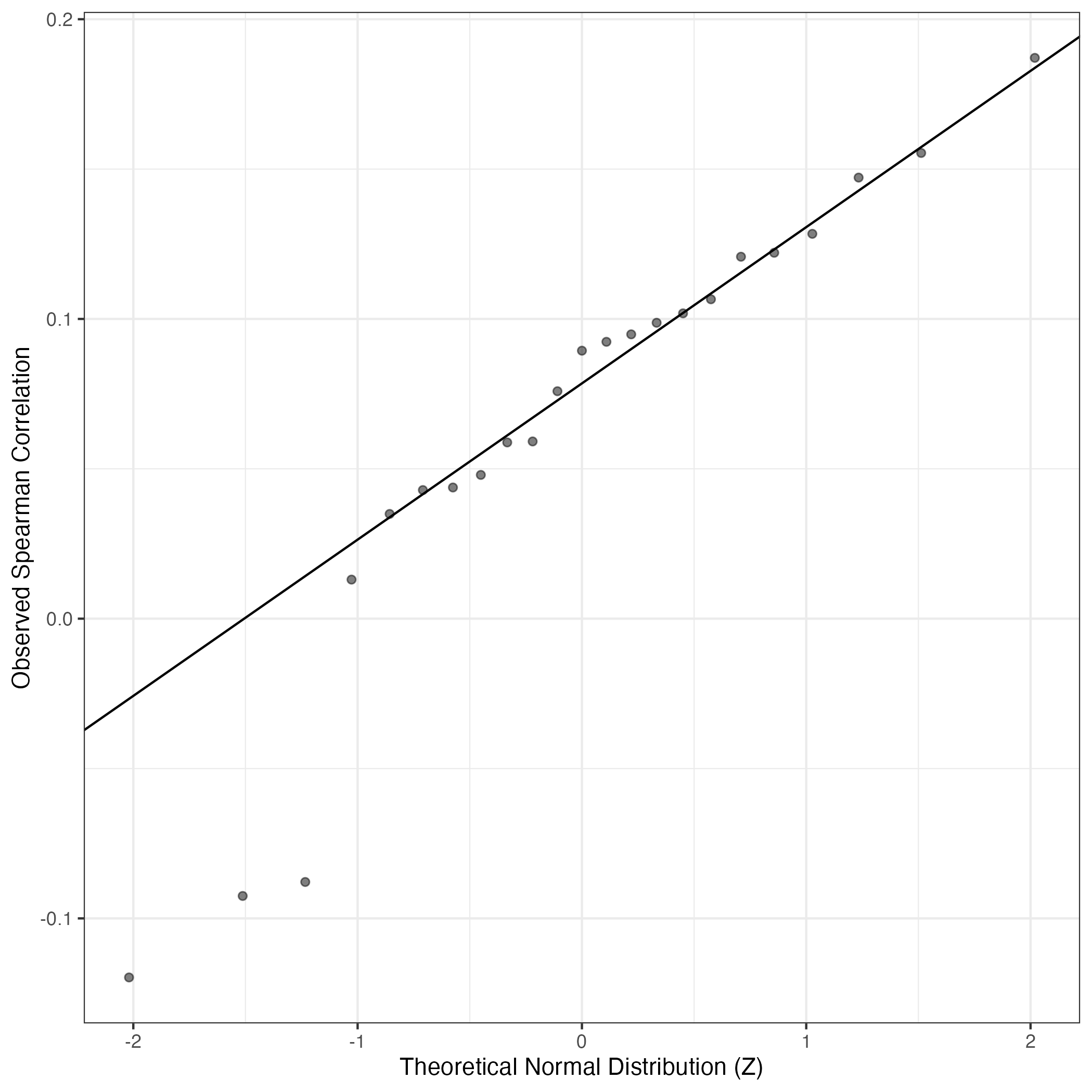
QQ Plot showing correlations with other GEPs in this dataset, calculated by Spearman correlation:
Interactive QQ-plot of gene loadings:
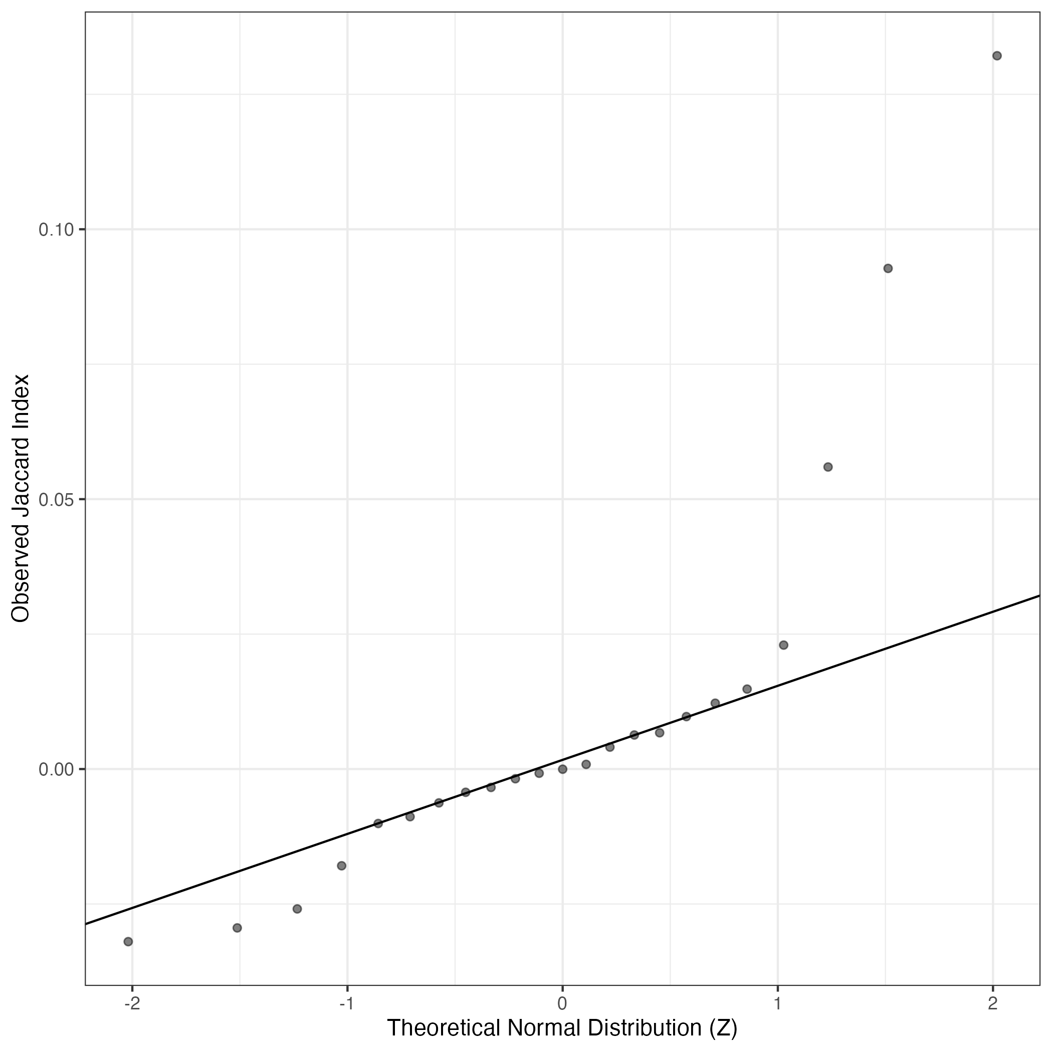
A similar QQ-plot as above, but only for instances where the H value is e.g. > 25, i.e. we are confident that the expression program is active above noise. Agreemenet between these binary vectors is tested using the Jaccard Index, with the P-values calculated by an exact test:
Interactive QQ-plot:
Singler cell type annotations for the top 50 cells on this program.
Cell ID | Singler label | Singler Delta | Activity Score | Top Singler Raw Scores |
---|---|---|---|---|
X71_TGACGCGCAGTTCACA | iPS_cells:CRL2097_foreskin-derived:d20_hepatic_diff | 0.40 | 2176.18 | Raw ScoresiPS_cells:CRL2097_foreskin-derived:d20_hepatic_diff: 0.68, Neurons:ES_cell-derived_neural_precursor: 0.68, Keratinocytes:KGF: 0.65, iPS_cells:adipose_stem_cells: 0.65, iPS_cells:fibroblast-derived:Direct_del._reprog: 0.65, Fibroblasts:breast: 0.65, Keratinocytes: 0.65, Keratinocytes:IL19: 0.65, Keratinocytes:IL20: 0.65, Keratinocytes:IL22: 0.65 |
X72_GCCTGTTGTGCATGTT | iPS_cells:CRL2097_foreskin-derived:d20_hepatic_diff | 0.40 | 1915.14 | Raw ScoresiPS_cells:CRL2097_foreskin-derived:d20_hepatic_diff: 0.68, Neurons:ES_cell-derived_neural_precursor: 0.68, Keratinocytes:KGF: 0.65, iPS_cells:adipose_stem_cells: 0.65, iPS_cells:fibroblast-derived:Direct_del._reprog: 0.65, Fibroblasts:breast: 0.65, Keratinocytes: 0.65, Keratinocytes:IL19: 0.65, Keratinocytes:IL20: 0.65, Keratinocytes:IL22: 0.65 |
X72_ACCTACCTCCACACAA | Neuroepithelial_cell:ESC-derived | 0.34 | 1600.06 | Raw ScoresNeuroepithelial_cell:ESC-derived: 0.76, Neurons:ES_cell-derived_neural_precursor: 0.75, MSC: 0.73, iPS_cells:CRL2097_foreskin-derived:d20_hepatic_diff: 0.73, Embryonic_stem_cells: 0.71, Fibroblasts:breast: 0.67, Keratinocytes: 0.67, Keratinocytes:IL26: 0.67, iPS_cells:adipose_stem_cells: 0.66, Chondrocytes:MSC-derived: 0.65 |
X72_ATTCTACTCGAGAATA | Neuroepithelial_cell:ESC-derived | 0.40 | 1524.37 | Raw ScoresNeuroepithelial_cell:ESC-derived: 0.54, Neurons:ES_cell-derived_neural_precursor: 0.54, Chondrocytes:MSC-derived: 0.5, iPS_cells:CRL2097_foreskin-derived:d20_hepatic_diff: 0.48, MSC: 0.47, Neurons:adrenal_medulla_cell_line: 0.46, Embryonic_stem_cells: 0.45, iPS_cells:adipose_stem_cells: 0.44, Gametocytes:oocyte: 0.44, Astrocyte:Embryonic_stem_cell-derived: 0.43 |
X72_GAGAGGTTCCCTTCCC | Neuroepithelial_cell:ESC-derived | 0.35 | 1427.07 | Raw ScoresNeuroepithelial_cell:ESC-derived: 0.58, Neurons:ES_cell-derived_neural_precursor: 0.58, Erythroblast: 0.57, Gametocytes:oocyte: 0.57, MSC: 0.57, Chondrocytes:MSC-derived: 0.54, iPS_cells:CRL2097_foreskin-derived:d20_hepatic_diff: 0.54, Keratinocytes:KGF: 0.5, Neurons:adrenal_medulla_cell_line: 0.5, iPS_cells:adipose_stem_cells: 0.5 |
X72_CCCGGAAAGATGAATC | Neuroepithelial_cell:ESC-derived | 0.37 | 1315.32 | Raw ScoresNeuroepithelial_cell:ESC-derived: 0.76, Neurons:ES_cell-derived_neural_precursor: 0.76, iPS_cells:CRL2097_foreskin-derived:d20_hepatic_diff: 0.74, MSC: 0.74, Embryonic_stem_cells: 0.72, Keratinocytes: 0.68, Fibroblasts:breast: 0.68, Keratinocytes:IL26: 0.68, iPS_cells:adipose_stem_cells: 0.68, Chondrocytes:MSC-derived: 0.66 |
X72_ACTACGAGTACTGACT | Neuroepithelial_cell:ESC-derived | 0.38 | 1260.69 | Raw ScoresNeuroepithelial_cell:ESC-derived: 0.76, Neurons:ES_cell-derived_neural_precursor: 0.75, iPS_cells:CRL2097_foreskin-derived:d20_hepatic_diff: 0.74, MSC: 0.74, Embryonic_stem_cells: 0.72, Fibroblasts:breast: 0.68, Keratinocytes: 0.68, Keratinocytes:IL26: 0.68, iPS_cells:adipose_stem_cells: 0.67, Astrocyte:Embryonic_stem_cell-derived: 0.66 |
X71_GACATCATCTGAACGT | iPS_cells:CRL2097_foreskin-derived:d20_hepatic_diff | 0.38 | 1079.62 | Raw ScoresiPS_cells:CRL2097_foreskin-derived:d20_hepatic_diff: 0.75, Neuroepithelial_cell:ESC-derived: 0.75, Neurons:ES_cell-derived_neural_precursor: 0.75, Embryonic_stem_cells: 0.73, MSC: 0.72, Fibroblasts:breast: 0.7, Keratinocytes: 0.7, Keratinocytes:IL26: 0.7, iPS_cells:adipose_stem_cells: 0.7, Astrocyte:Embryonic_stem_cell-derived: 0.68 |
X72_CCTAAGATCGACATCA | iPS_cells:CRL2097_foreskin-derived:d20_hepatic_diff | 0.38 | 987.39 | Raw ScoresiPS_cells:CRL2097_foreskin-derived:d20_hepatic_diff: 0.75, Neuroepithelial_cell:ESC-derived: 0.75, Neurons:ES_cell-derived_neural_precursor: 0.75, Embryonic_stem_cells: 0.73, MSC: 0.72, Fibroblasts:breast: 0.7, Keratinocytes: 0.7, Keratinocytes:IL26: 0.7, iPS_cells:adipose_stem_cells: 0.7, Astrocyte:Embryonic_stem_cell-derived: 0.68 |
X72_TTCGATTAGGCGTTGA | Neuroepithelial_cell:ESC-derived | 0.35 | 987.35 | Raw ScoresNeuroepithelial_cell:ESC-derived: 0.58, Neurons:ES_cell-derived_neural_precursor: 0.58, Erythroblast: 0.57, Gametocytes:oocyte: 0.57, MSC: 0.57, Chondrocytes:MSC-derived: 0.54, iPS_cells:CRL2097_foreskin-derived:d20_hepatic_diff: 0.54, Keratinocytes:KGF: 0.5, Neurons:adrenal_medulla_cell_line: 0.5, iPS_cells:adipose_stem_cells: 0.5 |
X72_ATCTTCAAGTCTAGCT | Neuroepithelial_cell:ESC-derived | 0.35 | 980.53 | Raw ScoresNeuroepithelial_cell:ESC-derived: 0.58, Neurons:ES_cell-derived_neural_precursor: 0.58, Erythroblast: 0.57, Gametocytes:oocyte: 0.57, MSC: 0.57, Chondrocytes:MSC-derived: 0.54, iPS_cells:CRL2097_foreskin-derived:d20_hepatic_diff: 0.54, Keratinocytes:KGF: 0.5, Neurons:adrenal_medulla_cell_line: 0.5, iPS_cells:adipose_stem_cells: 0.5 |
X72_TTTGGAGGTCCTCCTA | Monocyte | 0.00 | 915.94 | Raw ScoresMonocyte: 0.42, T_cell:CD4+: 0.42, B_cell: 0.42, B_cell:CXCR4+_centroblast: 0.42, B_cell:CXCR4-_centrocyte: 0.42, B_cell:Germinal_center: 0.42, B_cell:Memory: 0.42, B_cell:Naive: 0.42, B_cell:Plasma_cell: 0.42, B_cell:immature: 0.42 |
X72_TTCCTAATCGACGATT | Neuroepithelial_cell:ESC-derived | 0.33 | 914.91 | Raw ScoresNeuroepithelial_cell:ESC-derived: 0.68, Neurons:ES_cell-derived_neural_precursor: 0.68, MSC: 0.65, Chondrocytes:MSC-derived: 0.64, Gametocytes:oocyte: 0.62, iPS_cells:CRL2097_foreskin-derived:d20_hepatic_diff: 0.6, iPS_cells:PDB_2lox-17: 0.59, Erythroblast: 0.58, Embryonic_stem_cells: 0.57, Neurons:adrenal_medulla_cell_line: 0.55 |
X72_TTCATGTTCTACTGCC | iPS_cells:CRL2097_foreskin-derived:d20_hepatic_diff | 0.40 | 908.51 | Raw ScoresiPS_cells:CRL2097_foreskin-derived:d20_hepatic_diff: 0.68, Neurons:ES_cell-derived_neural_precursor: 0.68, iPS_cells:adipose_stem_cells: 0.65, Keratinocytes:KGF: 0.65, Neuroepithelial_cell:ESC-derived: 0.65, iPS_cells:fibroblast-derived:Direct_del._reprog: 0.65, Embryonic_stem_cells: 0.64, Fibroblasts:breast: 0.64, Keratinocytes: 0.64, Keratinocytes:IL19: 0.64 |
X71_GGCACGTTCCGATCGG | Neuroepithelial_cell:ESC-derived | 0.35 | 902.90 | Raw ScoresNeuroepithelial_cell:ESC-derived: 0.58, Neurons:ES_cell-derived_neural_precursor: 0.58, Erythroblast: 0.57, Gametocytes:oocyte: 0.57, MSC: 0.57, Chondrocytes:MSC-derived: 0.54, iPS_cells:CRL2097_foreskin-derived:d20_hepatic_diff: 0.54, Keratinocytes:KGF: 0.5, Neurons:adrenal_medulla_cell_line: 0.5, iPS_cells:adipose_stem_cells: 0.5 |
X72_ATGAAAGTCTTCTGTA | Neuroepithelial_cell:ESC-derived | 0.33 | 891.64 | Raw ScoresNeuroepithelial_cell:ESC-derived: 0.68, Neurons:ES_cell-derived_neural_precursor: 0.68, MSC: 0.65, Chondrocytes:MSC-derived: 0.64, Gametocytes:oocyte: 0.62, iPS_cells:CRL2097_foreskin-derived:d20_hepatic_diff: 0.6, iPS_cells:PDB_2lox-17: 0.59, Erythroblast: 0.58, Embryonic_stem_cells: 0.57, Neurons:adrenal_medulla_cell_line: 0.55 |
X72_ATATCCTGTCACCTTC | Keratinocytes:IL22 | 0.22 | 872.96 | Raw ScoresKeratinocytes:IL22: 0.42, Tissue_stem_cells:BM_MSC:BMP2: 0.42, DC:monocyte-derived:A._fumigatus_germ_tubes_6h: 0.42, DC:monocyte-derived:AM580: 0.42, DC:monocyte-derived:CD40L: 0.42, DC:monocyte-derived:LPS: 0.42, DC:monocyte-derived:Schuler_treatment: 0.42, DC:monocyte-derived:mature: 0.42, Endothelial_cells:HUVEC:Serum_Amyloid_A: 0.42, Epithelial_cells:bladder: 0.42 |
X72_ACTATCTCATCGTGGC | Neurons:ES_cell-derived_neural_precursor | 0.33 | 867.18 | Raw ScoresNeuroepithelial_cell:ESC-derived: 0.68, Neurons:ES_cell-derived_neural_precursor: 0.68, MSC: 0.64, Chondrocytes:MSC-derived: 0.63, Gametocytes:oocyte: 0.62, iPS_cells:CRL2097_foreskin-derived:d20_hepatic_diff: 0.6, iPS_cells:PDB_2lox-17: 0.59, Erythroblast: 0.57, Embryonic_stem_cells: 0.57, iPS_cells:PDB_1lox-17Puro-10: 0.55 |
X72_TCTTAGTCACAACGAG | Neuroepithelial_cell:ESC-derived | 0.37 | 845.25 | Raw ScoresNeuroepithelial_cell:ESC-derived: 0.76, Neurons:ES_cell-derived_neural_precursor: 0.76, iPS_cells:CRL2097_foreskin-derived:d20_hepatic_diff: 0.74, MSC: 0.74, Embryonic_stem_cells: 0.72, Keratinocytes: 0.68, Fibroblasts:breast: 0.68, Keratinocytes:IL26: 0.68, iPS_cells:adipose_stem_cells: 0.68, Chondrocytes:MSC-derived: 0.66 |
X72_ACTTTCAGTATACGGG | iPS_cells:CRL2097_foreskin-derived:d20_hepatic_diff | 0.40 | 831.57 | Raw ScoresiPS_cells:CRL2097_foreskin-derived:d20_hepatic_diff: 0.68, Neurons:ES_cell-derived_neural_precursor: 0.68, Keratinocytes:KGF: 0.65, iPS_cells:adipose_stem_cells: 0.65, iPS_cells:fibroblast-derived:Direct_del._reprog: 0.65, Fibroblasts:breast: 0.65, Keratinocytes: 0.65, Keratinocytes:IL19: 0.65, Keratinocytes:IL20: 0.65, Keratinocytes:IL22: 0.65 |
X72_TTCCAATCATGAATAG | Neuroepithelial_cell:ESC-derived | 0.37 | 823.16 | Raw ScoresNeuroepithelial_cell:ESC-derived: 0.53, Neurons:ES_cell-derived_neural_precursor: 0.53, Chondrocytes:MSC-derived: 0.49, iPS_cells:CRL2097_foreskin-derived:d20_hepatic_diff: 0.48, MSC: 0.47, Neurons:adrenal_medulla_cell_line: 0.45, Embryonic_stem_cells: 0.44, Gametocytes:oocyte: 0.43, iPS_cells:adipose_stem_cells: 0.43, Astrocyte:Embryonic_stem_cell-derived: 0.43 |
X71_CCCTCTCAGAGCTGCA | iPS_cells:CRL2097_foreskin-derived:d20_hepatic_diff | 0.31 | 789.31 | Raw ScoresiPS_cells:CRL2097_foreskin-derived:d20_hepatic_diff: 0.67, Neurons:ES_cell-derived_neural_precursor: 0.66, Embryonic_stem_cells: 0.65, Fibroblasts:breast: 0.64, Keratinocytes: 0.64, Keratinocytes:IL19: 0.64, Keratinocytes:IL20: 0.64, Keratinocytes:IL22: 0.64, Keratinocytes:IL24: 0.64, Keratinocytes:IL26: 0.64 |
X72_AAGCGTTGTCAGTCTA | Neuroepithelial_cell:ESC-derived | 0.37 | 783.23 | Raw ScoresNeuroepithelial_cell:ESC-derived: 0.76, Neurons:ES_cell-derived_neural_precursor: 0.76, iPS_cells:CRL2097_foreskin-derived:d20_hepatic_diff: 0.75, Embryonic_stem_cells: 0.73, MSC: 0.73, Keratinocytes: 0.69, Keratinocytes:IL26: 0.69, Fibroblasts:breast: 0.69, iPS_cells:adipose_stem_cells: 0.69, Keratinocytes:KGF: 0.67 |
X72_CCACTTGCAGAGCTAG | Neurons:ES_cell-derived_neural_precursor | 0.33 | 782.19 | Raw ScoresGametocytes:oocyte: 0.57, Neurons:ES_cell-derived_neural_precursor: 0.57, Erythroblast: 0.57, MSC: 0.57, Neuroepithelial_cell:ESC-derived: 0.57, Chondrocytes:MSC-derived: 0.54, iPS_cells:CRL2097_foreskin-derived:d20_hepatic_diff: 0.53, Keratinocytes:KGF: 0.49, Neurons:adrenal_medulla_cell_line: 0.49, Smooth_muscle_cells:bronchial: 0.49 |
X72_GACCAATCAGATAAAC | Neuroepithelial_cell:ESC-derived | 0.38 | 764.89 | Raw ScoresNeuroepithelial_cell:ESC-derived: 0.76, Neurons:ES_cell-derived_neural_precursor: 0.76, iPS_cells:CRL2097_foreskin-derived:d20_hepatic_diff: 0.75, MSC: 0.73, Embryonic_stem_cells: 0.73, Fibroblasts:breast: 0.69, Keratinocytes: 0.69, Keratinocytes:IL26: 0.69, iPS_cells:adipose_stem_cells: 0.69, Astrocyte:Embryonic_stem_cell-derived: 0.67 |
X72_ACCATTTTCCCATTTA | Fibroblasts:breast | 0.34 | 755.06 | Raw ScoresFibroblasts:breast: 0.78, iPS_cells:adipose_stem_cells: 0.78, MSC: 0.74, Neurons:ES_cell-derived_neural_precursor: 0.74, Chondrocytes:MSC-derived: 0.73, Neuroepithelial_cell:ESC-derived: 0.72, Tissue_stem_cells:BM_MSC:TGFb3: 0.68, Embryonic_stem_cells: 0.66, iPS_cells:CRL2097_foreskin-derived:d20_hepatic_diff: 0.65, Smooth_muscle_cells:vascular:IL-17: 0.65 |
X72_ATTCAGGCATGTTCGA | DC:monocyte-derived:LPS | 0.13 | 745.48 | Raw ScoresDC:monocyte-derived:LPS: 0.57, DC:monocyte-derived:Schuler_treatment: 0.57, Endothelial_cells:HUVEC:IL-1b: 0.57, Endothelial_cells:HUVEC:PR8-infected: 0.57, Fibroblasts:foreskin: 0.57, Neutrophil:GM-CSF_IFNg: 0.57, Smooth_muscle_cells:vascular: 0.57, iPS_cells:CRL2097_foreskin-derived:undiff.: 0.57, iPS_cells:fibroblast-derived:Retroviral_transf: 0.57, iPS_cells:skin_fibroblast: 0.57 |
X72_TCTACCGTCCGCTAGG | Keratinocytes:KGF | 0.48 | 744.02 | Raw ScoresNeuroepithelial_cell:ESC-derived: 0.42, Keratinocytes:KGF: 0.42, Neurons:ES_cell-derived_neural_precursor: 0.42, Neurons:adrenal_medulla_cell_line: 0.42, iPS_cells:CRL2097_foreskin-derived:d20_hepatic_diff: 0.42, iPS_cells:adipose_stem_cells: 0.42, Chondrocytes:MSC-derived: 0.42, iPS_cells:fibroblast-derived:Direct_del._reprog: 0.41, Erythroblast: 0.4, Gametocytes:oocyte: 0.4 |
X71_TCCTAATGTGTTTGCA | Keratinocytes:KGF | 0.46 | 741.77 | Raw ScoresKeratinocytes:KGF: 0.58, iPS_cells:CRL2097_foreskin-derived:d20_hepatic_diff: 0.58, iPS_cells:adipose_stem_cells: 0.58, iPS_cells:fibroblast-derived:Direct_del._reprog: 0.57, Keratinocytes: 0.57, Keratinocytes:IFNg: 0.57, Keratinocytes:IL19: 0.57, Keratinocytes:IL1b: 0.57, Keratinocytes:IL20: 0.57, Keratinocytes:IL22: 0.57 |
X72_ATGACCACATGTTACG | Neurons:ES_cell-derived_neural_precursor | 0.33 | 737.36 | Raw ScoresNeuroepithelial_cell:ESC-derived: 0.68, Neurons:ES_cell-derived_neural_precursor: 0.68, MSC: 0.64, Chondrocytes:MSC-derived: 0.63, Gametocytes:oocyte: 0.62, iPS_cells:CRL2097_foreskin-derived:d20_hepatic_diff: 0.6, iPS_cells:PDB_2lox-17: 0.59, Erythroblast: 0.57, Embryonic_stem_cells: 0.57, iPS_cells:PDB_1lox-17Puro-10: 0.55 |
X71_ACTATCTTCAACTGAC | Chondrocytes:MSC-derived | 0.32 | 716.34 | Raw ScoresChondrocytes:MSC-derived: 0.72, iPS_cells:adipose_stem_cells: 0.66, MSC: 0.65, Osteoblasts: 0.64, Fibroblasts:breast: 0.63, Smooth_muscle_cells:bronchial: 0.63, Smooth_muscle_cells:bronchial:vit_D: 0.63, Neuroepithelial_cell:ESC-derived: 0.61, Neurons:ES_cell-derived_neural_precursor: 0.61, Osteoblasts:BMP2: 0.6 |
X72_GGTGATTCAGAGAGGG | iPS_cells:CRL2097_foreskin-derived:d20_hepatic_diff | 0.41 | 705.49 | Raw ScoresiPS_cells:CRL2097_foreskin-derived:d20_hepatic_diff: 0.64, Neuroepithelial_cell:ESC-derived: 0.62, Neurons:ES_cell-derived_neural_precursor: 0.62, Astrocyte:Embryonic_stem_cell-derived: 0.61, Embryonic_stem_cells: 0.61, Fibroblasts:breast: 0.61, Keratinocytes: 0.61, Keratinocytes:IL26: 0.61, iPS_cells:adipose_stem_cells: 0.6, Keratinocytes:KGF: 0.58 |
X71_TGTTGAGGTCTTACTT | Neuroepithelial_cell:ESC-derived | 0.35 | 702.28 | Raw ScoresNeuroepithelial_cell:ESC-derived: 0.58, Neurons:ES_cell-derived_neural_precursor: 0.58, Erythroblast: 0.57, Gametocytes:oocyte: 0.57, MSC: 0.57, Chondrocytes:MSC-derived: 0.54, iPS_cells:CRL2097_foreskin-derived:d20_hepatic_diff: 0.54, Keratinocytes:KGF: 0.5, Neurons:adrenal_medulla_cell_line: 0.5, iPS_cells:adipose_stem_cells: 0.5 |
X72_GTCATCCTCGCCAACG | iPS_cells:CRL2097_foreskin-derived:d20_hepatic_diff | 0.38 | 688.05 | Raw ScoresiPS_cells:CRL2097_foreskin-derived:d20_hepatic_diff: 0.75, Neuroepithelial_cell:ESC-derived: 0.75, Neurons:ES_cell-derived_neural_precursor: 0.75, Embryonic_stem_cells: 0.74, MSC: 0.72, Keratinocytes: 0.7, Keratinocytes:IL26: 0.7, Fibroblasts:breast: 0.7, iPS_cells:adipose_stem_cells: 0.7, Astrocyte:Embryonic_stem_cell-derived: 0.68 |
X72_GGTAACTGTTAAACCC | Fibroblasts:breast | 0.57 | 684.64 | Raw ScoresFibroblasts:breast: 0.53, iPS_cells:adipose_stem_cells: 0.47, iPS_cells:CRL2097_foreskin-derived:d20_hepatic_diff: 0.46, Neurons:ES_cell-derived_neural_precursor: 0.41, iPS_cells:fibroblast-derived:Direct_del._reprog: 0.37, Neutrophil:GM-CSF_IFNg: 0.35, Keratinocytes:IL24: 0.34, MSC: 0.34, Keratinocytes:KGF: 0.33, Keratinocytes: 0.33 |
X72_CGTGATATCTGAATCG | Monocyte | 0.00 | 678.61 | Raw ScoresMonocyte: 0.42, T_cell:CD4+: 0.42, B_cell: 0.42, B_cell:CXCR4+_centroblast: 0.42, B_cell:CXCR4-_centrocyte: 0.42, B_cell:Germinal_center: 0.42, B_cell:Memory: 0.42, B_cell:Naive: 0.42, B_cell:Plasma_cell: 0.42, B_cell:immature: 0.42 |
X72_CTCCAACAGGTTGCCC | Neuroepithelial_cell:ESC-derived | 0.40 | 676.65 | Raw ScoresNeuroepithelial_cell:ESC-derived: 0.54, Neurons:ES_cell-derived_neural_precursor: 0.54, Chondrocytes:MSC-derived: 0.5, iPS_cells:CRL2097_foreskin-derived:d20_hepatic_diff: 0.48, MSC: 0.47, Neurons:adrenal_medulla_cell_line: 0.46, Embryonic_stem_cells: 0.45, iPS_cells:adipose_stem_cells: 0.44, Gametocytes:oocyte: 0.44, Astrocyte:Embryonic_stem_cell-derived: 0.43 |
X70_ACGTACACAAGCGCAA | Keratinocytes:KGF | 0.48 | 658.25 | Raw ScoresNeuroepithelial_cell:ESC-derived: 0.42, Keratinocytes:KGF: 0.42, Neurons:ES_cell-derived_neural_precursor: 0.42, Neurons:adrenal_medulla_cell_line: 0.42, iPS_cells:CRL2097_foreskin-derived:d20_hepatic_diff: 0.42, iPS_cells:adipose_stem_cells: 0.42, Chondrocytes:MSC-derived: 0.42, iPS_cells:fibroblast-derived:Direct_del._reprog: 0.41, Erythroblast: 0.4, Gametocytes:oocyte: 0.4 |
X72_AGTCTCCTCAAGGTGG | Neuroepithelial_cell:ESC-derived | 0.38 | 657.36 | Raw ScoresNeuroepithelial_cell:ESC-derived: 0.76, Neurons:ES_cell-derived_neural_precursor: 0.75, iPS_cells:CRL2097_foreskin-derived:d20_hepatic_diff: 0.74, MSC: 0.74, Embryonic_stem_cells: 0.72, Fibroblasts:breast: 0.68, Keratinocytes: 0.68, Keratinocytes:IL26: 0.68, iPS_cells:adipose_stem_cells: 0.67, Astrocyte:Embryonic_stem_cell-derived: 0.66 |
X72_TTGCCTGGTGACTGTT | Neuroepithelial_cell:ESC-derived | 0.33 | 645.59 | Raw ScoresNeuroepithelial_cell:ESC-derived: 0.68, Neurons:ES_cell-derived_neural_precursor: 0.68, MSC: 0.65, Chondrocytes:MSC-derived: 0.64, Gametocytes:oocyte: 0.62, iPS_cells:CRL2097_foreskin-derived:d20_hepatic_diff: 0.6, iPS_cells:PDB_2lox-17: 0.59, Erythroblast: 0.58, Embryonic_stem_cells: 0.57, Neurons:adrenal_medulla_cell_line: 0.55 |
X71_GATTCTTTCAACACGT | Neuroepithelial_cell:ESC-derived | 0.35 | 638.30 | Raw ScoresNeuroepithelial_cell:ESC-derived: 0.58, Neurons:ES_cell-derived_neural_precursor: 0.58, Erythroblast: 0.57, Gametocytes:oocyte: 0.57, MSC: 0.57, Chondrocytes:MSC-derived: 0.54, iPS_cells:CRL2097_foreskin-derived:d20_hepatic_diff: 0.54, Keratinocytes:KGF: 0.5, Neurons:adrenal_medulla_cell_line: 0.5, iPS_cells:adipose_stem_cells: 0.5 |
X72_GGGCGTTCACGCCACA | iPS_cells:adipose_stem_cells | 0.35 | 636.54 | Raw ScoresiPS_cells:adipose_stem_cells: 0.79, Fibroblasts:breast: 0.79, MSC: 0.74, Neurons:ES_cell-derived_neural_precursor: 0.74, Chondrocytes:MSC-derived: 0.73, Neuroepithelial_cell:ESC-derived: 0.72, Tissue_stem_cells:BM_MSC:TGFb3: 0.69, Smooth_muscle_cells:vascular: 0.66, Smooth_muscle_cells:vascular:IL-17: 0.66, Embryonic_stem_cells: 0.66 |
X72_CCATAAGCAGAGTGAC | iPS_cells:CRL2097_foreskin | 0.21 | 635.94 | Raw ScoresiPS_cells:CRL2097_foreskin: 0.58, DC:monocyte-derived:Poly(IC): 0.54, Endothelial_cells:HUVEC:Serum_Amyloid_A: 0.54, Fibroblasts:foreskin: 0.54, iPS_cells:foreskin_fibrobasts: 0.54, iPS_cells:skin_fibroblast: 0.52, Endothelial_cells:HUVEC:IL-1b: 0.52, iPS_cells:CRL2097_foreskin-derived:undiff.: 0.52, MSC: 0.51, DC:monocyte-derived:CD40L: 0.5 |
X72_CCTGTTGCACTCGATA | Neuroepithelial_cell:ESC-derived | 0.35 | 635.62 | Raw ScoresNeuroepithelial_cell:ESC-derived: 0.58, Neurons:ES_cell-derived_neural_precursor: 0.58, Erythroblast: 0.57, Gametocytes:oocyte: 0.57, MSC: 0.57, Chondrocytes:MSC-derived: 0.54, iPS_cells:CRL2097_foreskin-derived:d20_hepatic_diff: 0.54, Keratinocytes:KGF: 0.5, Neurons:adrenal_medulla_cell_line: 0.5, iPS_cells:adipose_stem_cells: 0.5 |
X72_GTTCCGTAGAATCGAT | Neuroepithelial_cell:ESC-derived | 0.22 | 613.46 | Raw ScoresNeuroepithelial_cell:ESC-derived: 0.79, MSC: 0.77, Neurons:ES_cell-derived_neural_precursor: 0.76, Tissue_stem_cells:BM_MSC:TGFb3: 0.75, iPS_cells:CRL2097_foreskin-derived:d20_hepatic_diff: 0.74, iPS_cells:PDB_1lox-17Puro-10: 0.73, Smooth_muscle_cells:vascular:IL-17: 0.73, Embryonic_stem_cells: 0.73, Smooth_muscle_cells:vascular: 0.72, iPS_cells:PDB_2lox-17: 0.72 |
X72_CCGTGAGGTTCAGCGC | Keratinocytes:KGF | 0.48 | 610.89 | Raw ScoresNeuroepithelial_cell:ESC-derived: 0.42, Keratinocytes:KGF: 0.42, Neurons:ES_cell-derived_neural_precursor: 0.42, Neurons:adrenal_medulla_cell_line: 0.42, iPS_cells:CRL2097_foreskin-derived:d20_hepatic_diff: 0.42, iPS_cells:adipose_stem_cells: 0.42, Chondrocytes:MSC-derived: 0.42, iPS_cells:fibroblast-derived:Direct_del._reprog: 0.41, Erythroblast: 0.4, Gametocytes:oocyte: 0.4 |
X72_TTTACGTCAATGAAAC | Neuroepithelial_cell:ESC-derived | 0.35 | 598.34 | Raw ScoresNeuroepithelial_cell:ESC-derived: 0.58, Neurons:ES_cell-derived_neural_precursor: 0.58, Erythroblast: 0.57, Gametocytes:oocyte: 0.57, MSC: 0.57, Chondrocytes:MSC-derived: 0.54, iPS_cells:CRL2097_foreskin-derived:d20_hepatic_diff: 0.54, Keratinocytes:KGF: 0.5, Neurons:adrenal_medulla_cell_line: 0.5, iPS_cells:adipose_stem_cells: 0.5 |
X71_GAATCACAGCCTCACG | Neuroepithelial_cell:ESC-derived | 0.38 | 596.81 | Raw ScoresNeuroepithelial_cell:ESC-derived: 0.75, Neurons:ES_cell-derived_neural_precursor: 0.75, iPS_cells:CRL2097_foreskin-derived:d20_hepatic_diff: 0.74, MSC: 0.73, Embryonic_stem_cells: 0.72, Fibroblasts:breast: 0.68, Keratinocytes: 0.68, Keratinocytes:IL26: 0.68, iPS_cells:adipose_stem_cells: 0.68, Astrocyte:Embryonic_stem_cell-derived: 0.67 |
X72_CACTGGGAGGGAGATA | Neuroepithelial_cell:ESC-derived | 0.35 | 596.74 | Raw ScoresNeuroepithelial_cell:ESC-derived: 0.58, Neurons:ES_cell-derived_neural_precursor: 0.58, Erythroblast: 0.57, Gametocytes:oocyte: 0.57, MSC: 0.57, Chondrocytes:MSC-derived: 0.54, iPS_cells:CRL2097_foreskin-derived:d20_hepatic_diff: 0.54, Keratinocytes:KGF: 0.5, Neurons:adrenal_medulla_cell_line: 0.5, iPS_cells:adipose_stem_cells: 0.5 |
X71_TACTTACCATGTTCAG | Erythroblast | 0.31 | 588.50 | Raw ScoresErythroblast: 0.58, Gametocytes:oocyte: 0.57, Neuroepithelial_cell:ESC-derived: 0.57, Neurons:ES_cell-derived_neural_precursor: 0.57, MSC: 0.57, Chondrocytes:MSC-derived: 0.54, iPS_cells:CRL2097_foreskin-derived:d20_hepatic_diff: 0.53, Smooth_muscle_cells:bronchial: 0.49, Smooth_muscle_cells:bronchial:vit_D: 0.49, Keratinocytes:KGF: 0.48 |
Below shows the significant enrichments of this GEP for literature curated gene lists
This data was procured from existing single cell RNA-seq maps of neuroblastoma or related relevant data.
High ranks indicate this gene is a driver of this GEP.
These curated gene list are ranked by the P-value (on this GEP) of their constituent genes.
The Mean Count column shows the mean read count in cells scoring highly (H > 50) on this gene expression program.
Genes | Weight | Rank | GTEx | DepMap | Decartes | Mean.Counts | Mean.TPM |
---|---|---|---|---|---|---|---|
PLP1 | 0.0052109 | 3 | GTEx | DepMap | Descartes | 4.43 | 78.21 |
FOXD3 | 0.0050316 | 7 | GTEx | DepMap | Descartes | 2.50 | 246.72 |
SOX10 | 0.0044794 | 9 | GTEx | DepMap | Descartes | 2.91 | 105.37 |
CNP | 0.0044388 | 11 | GTEx | DepMap | Descartes | 3.51 | 81.23 |
ERBB3 | 0.0042354 | 14 | GTEx | DepMap | Descartes | 2.03 | 24.24 |
PTPRZ1 | 0.0032068 | 39 | GTEx | DepMap | Descartes | 4.30 | 7.84 |
SERPINE2 | 0.0030283 | 47 | GTEx | DepMap | Descartes | 7.34 | 32.71 |
CRYAB | 0.0029914 | 48 | GTEx | DepMap | Descartes | 2.42 | 144.12 |
LMO4 | 0.0025947 | 65 | GTEx | DepMap | Descartes | 8.50 | 150.74 |
TTYH1 | 0.0023934 | 92 | GTEx | DepMap | Descartes | 4.00 | 99.37 |
NGFR | 0.0023728 | 94 | GTEx | DepMap | Descartes | 1.95 | 27.80 |
CST3 | 0.0021559 | 113 | GTEx | DepMap | Descartes | 11.26 | 818.24 |
ATP1A2 | 0.0017824 | 152 | GTEx | DepMap | Descartes | 1.84 | 29.82 |
FABP7 | 0.0015991 | 183 | GTEx | DepMap | Descartes | 21.27 | 2086.11 |
DAGLA | 0.0009722 | 416 | GTEx | DepMap | Descartes | 0.16 | 0.62 |
CHL1 | 0.0000654 | 3981 | GTEx | DepMap | Descartes | 1.06 | 1.00 |
SCPs mouse and neuroblastoma (Olsen)
Similar to above, but for genes common to neuroblastoma SCP-like cells (as determined from their UMAP plot) and mouse SCP cells.:
Wilcoxon ranksum test P-value for gene set overrepresentation: 3.72e-09
Mean rank of genes in gene set: 1339.6
Rank on gene expression program of genes in gene set:
Genes | Weight | Rank | GTEx | DepMap | Decartes | Mean.Counts | Mean.TPM |
---|---|---|---|---|---|---|---|
PLP1 | 0.0052109 | 3 | GTEx | DepMap | Descartes | 4.43 | 78.21 |
MPZ | 0.0051675 | 5 | GTEx | DepMap | Descartes | 3.84 | 114.22 |
FOXD3 | 0.0050316 | 7 | GTEx | DepMap | Descartes | 2.50 | 246.72 |
SOX10 | 0.0044794 | 9 | GTEx | DepMap | Descartes | 2.91 | 105.37 |
ERBB3 | 0.0042354 | 14 | GTEx | DepMap | Descartes | 2.03 | 24.24 |
CDH19 | 0.0034391 | 30 | GTEx | DepMap | Descartes | 0.69 | 2.23 |
DST | 0.0031418 | 42 | GTEx | DepMap | Descartes | 7.64 | 5.79 |
CRYAB | 0.0029914 | 48 | GTEx | DepMap | Descartes | 2.42 | 144.12 |
GPM6B | 0.0025223 | 71 | GTEx | DepMap | Descartes | 4.43 | 10.02 |
LGI4 | 0.0024479 | 84 | GTEx | DepMap | Descartes | 0.57 | 16.24 |
SEMA3B | 0.0023927 | 93 | GTEx | DepMap | Descartes | 0.72 | 27.86 |
FXYD1 | 0.0017195 | 167 | GTEx | DepMap | Descartes | 1.48 | 94.04 |
S100B | 0.0016171 | 181 | GTEx | DepMap | Descartes | 0.81 | 27.59 |
CNN3 | 0.0013973 | 229 | GTEx | DepMap | Descartes | 7.16 | 59.74 |
NRXN1 | -0.0005846 | 19111 | GTEx | DepMap | Descartes | 0.55 | 0.06 |
Schwann cell precursor Fig2 (Kamenva)
Marker genes were obtained from Fig. 2H of Kameneva et al (PMID 33833454). These genes were used to show cells transitioning from a SCP to a symphathoblast state in their human fetal single-cell RNA-seq data.:
Wilcoxon ranksum test P-value for gene set overrepresentation: 5.21e-08
Mean rank of genes in gene set: 1435.54
Rank on gene expression program of genes in gene set:
Genes | Weight | Rank | GTEx | DepMap | Decartes | Mean.Counts | Mean.TPM |
---|---|---|---|---|---|---|---|
MOXD1 | 0.0054583 | 1 | GTEx | DepMap | Descartes | 3.34 | 10.49 |
PLP1 | 0.0052109 | 3 | GTEx | DepMap | Descartes | 4.43 | 78.21 |
MPZ | 0.0051675 | 5 | GTEx | DepMap | Descartes | 3.84 | 114.22 |
POSTN | 0.0051281 | 6 | GTEx | DepMap | Descartes | 12.69 | 105.50 |
FOXD3 | 0.0050316 | 7 | GTEx | DepMap | Descartes | 2.50 | 246.72 |
SOX10 | 0.0044794 | 9 | GTEx | DepMap | Descartes | 2.91 | 105.37 |
ERBB3 | 0.0042354 | 14 | GTEx | DepMap | Descartes | 2.03 | 24.24 |
GAS7 | 0.0036449 | 25 | GTEx | DepMap | Descartes | 1.75 | 2.44 |
NGFR | 0.0023728 | 94 | GTEx | DepMap | Descartes | 1.95 | 27.80 |
MBP | 0.0017745 | 156 | GTEx | DepMap | Descartes | 0.94 | 3.87 |
S100B | 0.0016171 | 181 | GTEx | DepMap | Descartes | 0.81 | 27.59 |
FABP7 | 0.0015991 | 183 | GTEx | DepMap | Descartes | 21.27 | 2086.11 |
COL2A1 | -0.0003254 | 17978 | GTEx | DepMap | Descartes | 7.92 | 55.63 |
Below shows ranks on this GEP for literature curated gene lists for large gene sets
These include those reported as mesenchymal/adrenergic by Van Groningen et al.
High ranks indicate this gene is a driver of this GEP (note these results are not ordered).
The Mean Count column shows the mean read count in cells scoring highly (H > 50) on this gene expression program.
VanGroningen Adrenergic Genes
Adrenergic marker genes from Supplementary Table 2 of Van Groningen et al. Nature Genetics 2017. These genes were identified by differential expression analysis of mesenchymal-like and adrenergic-like neuroblastoma cell lines.
Wilcoxon ranksum test P-value for gene set overrepresentation: 1.00e+00
Mean rank of genes in gene set: 14031.67
Median rank of genes in gene set: 17282
Rank on gene expression program of top 30 genes in gene set:
Genes | Weight | Rank | GTEx | DepMap | Descartes | Mean.Counts | Mean.TPM |
---|---|---|---|---|---|---|---|
PRSS12 | 0.0043788 | 13 | GTEx | DepMap | Descartes | 2.11 | 12.43 |
RBP1 | 0.0023114 | 100 | GTEx | DepMap | Descartes | 8.91 | 84.44 |
TSPAN7 | 0.0017124 | 169 | GTEx | DepMap | Descartes | 1.61 | 3.60 |
CD200 | 0.0014246 | 224 | GTEx | DepMap | Descartes | 1.64 | 15.77 |
CADM1 | 0.0013169 | 249 | GTEx | DepMap | Descartes | 3.32 | 2.53 |
GRB10 | 0.0012932 | 255 | GTEx | DepMap | Descartes | 7.80 | 17.52 |
KIF21A | 0.0012892 | 256 | GTEx | DepMap | Descartes | 2.74 | 6.10 |
TIAM1 | 0.0009621 | 424 | GTEx | DepMap | Descartes | 0.81 | 0.45 |
ASRGL1 | 0.0008896 | 483 | GTEx | DepMap | Descartes | 0.74 | 8.65 |
KLHL13 | 0.0008300 | 533 | GTEx | DepMap | Descartes | 1.46 | 2.51 |
DUSP4 | 0.0007732 | 588 | GTEx | DepMap | Descartes | 0.45 | 11.45 |
GGCT | 0.0007626 | 600 | GTEx | DepMap | Descartes | 0.36 | 10.23 |
L1CAM | 0.0007124 | 641 | GTEx | DepMap | Descartes | 0.97 | 5.06 |
RBMS3 | 0.0007061 | 649 | GTEx | DepMap | Descartes | 2.69 | 0.35 |
TOX2 | 0.0006741 | 691 | GTEx | DepMap | Descartes | 0.23 | 0.59 |
KLF13 | 0.0005988 | 801 | GTEx | DepMap | Descartes | 1.94 | 10.99 |
MSI2 | 0.0005803 | 829 | GTEx | DepMap | Descartes | 1.92 | 1.14 |
CELF2 | 0.0004616 | 1036 | GTEx | DepMap | Descartes | 3.10 | 0.92 |
FZD3 | 0.0004535 | 1056 | GTEx | DepMap | Descartes | 0.69 | 2.89 |
HEY1 | 0.0004292 | 1112 | GTEx | DepMap | Descartes | 0.36 | 29.96 |
AKAP12 | 0.0004278 | 1116 | GTEx | DepMap | Descartes | 3.31 | 8.06 |
MCM6 | 0.0004207 | 1137 | GTEx | DepMap | Descartes | 1.71 | 14.65 |
LRRTM2 | 0.0004192 | 1140 | GTEx | DepMap | Descartes | 0.18 | 7.64 |
UCP2 | 0.0003990 | 1181 | GTEx | DepMap | Descartes | 1.42 | 41.11 |
GGH | 0.0003503 | 1335 | GTEx | DepMap | Descartes | 0.53 | 6.12 |
PPP1R9A | 0.0003089 | 1499 | GTEx | DepMap | Descartes | 1.10 | 1.36 |
CCND1 | 0.0002933 | 1564 | GTEx | DepMap | Descartes | 5.09 | 107.31 |
SCAMP5 | 0.0002923 | 1568 | GTEx | DepMap | Descartes | 0.26 | 2.86 |
MCM2 | 0.0002598 | 1723 | GTEx | DepMap | Descartes | 0.99 | 12.65 |
FHOD3 | 0.0002398 | 1819 | GTEx | DepMap | Descartes | 0.33 | 0.21 |
VanGroningen Mesenchymal Genes
Mesenchymal marker genes from Supplementary Table 2 of Van Groningen et al. Nature Genetics 2017. These genes were identified by differential expression analysis of mesenchymal-like and adrenergic-like neuroblastoma cell lines.
Wilcoxon ranksum test P-value for gene set overrepresentation: 4.40e-09
Mean rank of genes in gene set: 8191.29
Median rank of genes in gene set: 4879
Rank on gene expression program of top 30 genes in gene set:
Genes | Weight | Rank | GTEx | DepMap | Descartes | Mean.Counts | Mean.TPM |
---|---|---|---|---|---|---|---|
POSTN | 0.0051281 | 6 | GTEx | DepMap | Descartes | 12.69 | 105.50 |
ARPC1B | 0.0049477 | 8 | GTEx | DepMap | Descartes | 8.24 | 138.38 |
VIM | 0.0044173 | 12 | GTEx | DepMap | Descartes | 48.62 | 1633.75 |
ADGRG6 | 0.0040219 | 18 | GTEx | DepMap | Descartes | 1.89 | 3.96 |
ITGA4 | 0.0035225 | 27 | GTEx | DepMap | Descartes | 1.87 | 6.43 |
ADAMTS5 | 0.0033590 | 31 | GTEx | DepMap | Descartes | 1.94 | 16.84 |
SPARC | 0.0032840 | 34 | GTEx | DepMap | Descartes | 32.33 | 378.81 |
SERPINE2 | 0.0030283 | 47 | GTEx | DepMap | Descartes | 7.34 | 32.71 |
OLFML2A | 0.0029320 | 51 | GTEx | DepMap | Descartes | 0.60 | 6.40 |
NID1 | 0.0029005 | 54 | GTEx | DepMap | Descartes | 2.05 | 7.55 |
DLX1 | 0.0025719 | 66 | GTEx | DepMap | Descartes | 0.63 | 25.85 |
LAMB1 | 0.0025021 | 76 | GTEx | DepMap | Descartes | 3.40 | 17.39 |
COL4A2 | 0.0025015 | 77 | GTEx | DepMap | Descartes | 3.55 | 10.10 |
COL4A1 | 0.0024978 | 79 | GTEx | DepMap | Descartes | 5.59 | 20.86 |
CSRP1 | 0.0024972 | 80 | GTEx | DepMap | Descartes | 3.05 | 25.40 |
KCTD12 | 0.0024184 | 89 | GTEx | DepMap | Descartes | 4.67 | 188.73 |
PLS3 | 0.0023934 | 91 | GTEx | DepMap | Descartes | 2.01 | 5.89 |
WWTR1 | 0.0023663 | 95 | GTEx | DepMap | Descartes | 1.95 | 4.63 |
OLFML2B | 0.0023105 | 101 | GTEx | DepMap | Descartes | 0.85 | 6.88 |
SASH1 | 0.0022663 | 104 | GTEx | DepMap | Descartes | 1.22 | 1.85 |
DLX2 | 0.0020987 | 120 | GTEx | DepMap | Descartes | 0.68 | 35.71 |
LAMC1 | 0.0020294 | 127 | GTEx | DepMap | Descartes | 1.35 | 3.13 |
IGFBP5 | 0.0019964 | 129 | GTEx | DepMap | Descartes | 16.71 | 190.50 |
NID2 | 0.0017109 | 170 | GTEx | DepMap | Descartes | 1.27 | 5.45 |
CTNNA1 | 0.0016491 | 174 | GTEx | DepMap | Descartes | 3.18 | 6.70 |
RHOC | 0.0016400 | 177 | GTEx | DepMap | Descartes | 4.27 | 212.39 |
ANXA5 | 0.0015717 | 190 | GTEx | DepMap | Descartes | 4.82 | 40.54 |
RGL1 | 0.0015213 | 203 | GTEx | DepMap | Descartes | 0.76 | 1.14 |
DUSP6 | 0.0015178 | 204 | GTEx | DepMap | Descartes | 1.00 | 53.69 |
WIPI1 | 0.0015064 | 206 | GTEx | DepMap | Descartes | 1.03 | 10.03 |
Descartes adrenocortical markers
Top 50 marker genes of adrenocortical cells in the Decartes fetal adrenal single cell map (https://atlas.brotmanbaty.org/bbi/human-gene-expression-during-development/cell/adrenocortical/in/adrenal)
Wilcoxon ranksum test P-value for gene set overrepresentation: 9.97e-01
Mean rank of genes in gene set: 12075.31
Median rank of genes in gene set: 13245
Rank on gene expression program of top 30 genes in gene set:
Genes | Weight | Rank | GTEx | DepMap | Descartes | Mean.Counts | Mean.TPM |
---|---|---|---|---|---|---|---|
SH3PXD2B | 0.0011429 | 304 | GTEx | DepMap | Descartes | 0.93 | 3.49 |
GRAMD1B | 0.0011309 | 313 | GTEx | DepMap | Descartes | 0.28 | 0.45 |
PDE10A | 0.0004400 | 1087 | GTEx | DepMap | Descartes | 0.57 | 0.28 |
FREM2 | 0.0002475 | 1780 | GTEx | DepMap | Descartes | 0.40 | 0.49 |
NPC1 | 0.0002475 | 1781 | GTEx | DepMap | Descartes | 0.45 | 2.77 |
SCARB1 | 0.0002333 | 1867 | GTEx | DepMap | Descartes | 0.27 | 1.04 |
FDXR | 0.0001122 | 3118 | GTEx | DepMap | Descartes | 0.28 | 9.65 |
SCAP | 0.0000449 | 4517 | GTEx | DepMap | Descartes | 0.38 | 1.81 |
FDX1 | 0.0000384 | 4733 | GTEx | DepMap | Descartes | 0.79 | 7.70 |
DHCR7 | -0.0000140 | 7017 | GTEx | DepMap | Descartes | 0.50 | 5.52 |
MSMO1 | -0.0000268 | 7954 | GTEx | DepMap | Descartes | 1.11 | 24.46 |
CYP17A1 | -0.0000397 | 9035 | GTEx | DepMap | Descartes | 0.00 | 0.01 |
TM7SF2 | -0.0000492 | 9798 | GTEx | DepMap | Descartes | 0.23 | 9.82 |
MC2R | -0.0000502 | 9865 | GTEx | DepMap | Descartes | 0.00 | 0.01 |
STAR | -0.0000563 | 10340 | GTEx | DepMap | Descartes | 0.01 | 0.47 |
CYP11A1 | -0.0000911 | 12517 | GTEx | DepMap | Descartes | 0.00 | 0.00 |
ERN1 | -0.0000974 | 12874 | GTEx | DepMap | Descartes | 0.03 | 0.06 |
CYP11B1 | -0.0000984 | 12911 | GTEx | DepMap | Descartes | 0.00 | 0.00 |
GSTA4 | -0.0001027 | 13117 | GTEx | DepMap | Descartes | 1.42 | 14.00 |
CYB5B | -0.0001036 | 13143 | GTEx | DepMap | Descartes | 0.66 | 3.79 |
APOC1 | -0.0001044 | 13180 | GTEx | DepMap | Descartes | 0.09 | 2.98 |
HSPE1 | -0.0001076 | 13310 | GTEx | DepMap | Descartes | 11.51 | 732.63 |
IGF1R | -0.0001128 | 13541 | GTEx | DepMap | Descartes | 1.72 | 1.21 |
SGCZ | -0.0001182 | 13787 | GTEx | DepMap | Descartes | 0.04 | 0.01 |
SLC16A9 | -0.0001337 | 14370 | GTEx | DepMap | Descartes | 0.01 | 0.02 |
LDLR | -0.0001506 | 14960 | GTEx | DepMap | Descartes | 0.25 | 2.35 |
BAIAP2L1 | -0.0001759 | 15674 | GTEx | DepMap | Descartes | 0.06 | 0.09 |
FRMD5 | -0.0002186 | 16581 | GTEx | DepMap | Descartes | 0.04 | 0.02 |
INHA | -0.0002192 | 16595 | GTEx | DepMap | Descartes | 0.09 | 4.28 |
HSPD1 | -0.0002573 | 17206 | GTEx | DepMap | Descartes | 7.31 | 152.84 |
Descartes chromaffin markers
Top 50 marker genes of chromaffin cells in the Decartes fetal adrenal single cell map (https://atlas.brotmanbaty.org/bbi/human-gene-expression-during-development/cell/chromaffin/in/adrenal)
Wilcoxon ranksum test P-value for gene set overrepresentation: 1.00e+00
Mean rank of genes in gene set: 16037.02
Median rank of genes in gene set: 18090.5
Rank on gene expression program of top 30 genes in gene set:
Genes | Weight | Rank | GTEx | DepMap | Descartes | Mean.Counts | Mean.TPM |
---|---|---|---|---|---|---|---|
CCND1 | 0.0002933 | 1564 | GTEx | DepMap | Descartes | 5.09 | 107.31 |
PLXNA4 | 0.0002409 | 1812 | GTEx | DepMap | Descartes | 0.77 | 0.38 |
RGMB | 0.0001476 | 2624 | GTEx | DepMap | Descartes | 0.58 | 3.70 |
SLC44A5 | 0.0000560 | 4189 | GTEx | DepMap | Descartes | 0.02 | 0.03 |
IL7 | -0.0000365 | 8769 | GTEx | DepMap | Descartes | 0.00 | 0.01 |
ALK | -0.0000381 | 8908 | GTEx | DepMap | Descartes | 0.00 | 0.00 |
ANKFN1 | -0.0000592 | 10539 | GTEx | DepMap | Descartes | 0.00 | 0.00 |
EPHA6 | -0.0000639 | 10878 | GTEx | DepMap | Descartes | 0.00 | 0.00 |
MAB21L1 | -0.0001615 | 15296 | GTEx | DepMap | Descartes | 0.15 | 9.96 |
PTCHD1 | -0.0001726 | 15606 | GTEx | DepMap | Descartes | 0.02 | 0.06 |
EYA4 | -0.0002153 | 16529 | GTEx | DepMap | Descartes | 0.03 | 0.01 |
RPH3A | -0.0002164 | 16541 | GTEx | DepMap | Descartes | 0.02 | 0.06 |
RYR2 | -0.0002223 | 16656 | GTEx | DepMap | Descartes | 0.03 | 0.01 |
CNKSR2 | -0.0002267 | 16737 | GTEx | DepMap | Descartes | 0.19 | 0.19 |
SLC6A2 | -0.0002500 | 17092 | GTEx | DepMap | Descartes | 0.02 | 0.10 |
HS3ST5 | -0.0002532 | 17125 | GTEx | DepMap | Descartes | 0.03 | 0.01 |
GREM1 | -0.0002553 | 17158 | GTEx | DepMap | Descartes | 0.05 | 0.54 |
NPY | -0.0002710 | 17398 | GTEx | DepMap | Descartes | 1.03 | 42.00 |
MARCH11 | -0.0003068 | 17788 | GTEx | DepMap | Descartes | 0.08 | 0.07 |
CNTFR | -0.0003134 | 17859 | GTEx | DepMap | Descartes | 0.78 | 5.47 |
SYNPO2 | -0.0003222 | 17942 | GTEx | DepMap | Descartes | 0.12 | 0.09 |
GAP43 | -0.0003316 | 18033 | GTEx | DepMap | Descartes | 6.63 | 11.30 |
HMX1 | -0.0003465 | 18148 | GTEx | DepMap | Descartes | 0.22 | 1.89 |
KCNB2 | -0.0003708 | 18316 | GTEx | DepMap | Descartes | 0.17 | 0.04 |
FAT3 | -0.0004303 | 18669 | GTEx | DepMap | Descartes | 0.19 | 0.06 |
REEP1 | -0.0004373 | 18712 | GTEx | DepMap | Descartes | 0.42 | 0.55 |
GAL | -0.0004446 | 18735 | GTEx | DepMap | Descartes | 1.12 | 24.50 |
EYA1 | -0.0004978 | 18932 | GTEx | DepMap | Descartes | 0.12 | 0.14 |
PRPH | -0.0005186 | 18978 | GTEx | DepMap | Descartes | 4.24 | 93.04 |
TMEM132C | -0.0005262 | 19006 | GTEx | DepMap | Descartes | 0.22 | 0.09 |
Descartes Vascular_endothelial markers
Top 50 marker genes of Vascular_endothelial cells in the Decartes fetal adrenal single cell map (https://atlas.brotmanbaty.org/bbi/human-gene-expression-during-development/cell/vascular_endothelial/in/adrenal)
Wilcoxon ranksum test P-value for gene set overrepresentation: 1.00e+00
Mean rank of genes in gene set: 12873.88
Median rank of genes in gene set: 13447
Rank on gene expression program of top 30 genes in gene set:
Genes | Weight | Rank | GTEx | DepMap | Descartes | Mean.Counts | Mean.TPM |
---|---|---|---|---|---|---|---|
EHD3 | 0.0003122 | 1483 | GTEx | DepMap | Descartes | 0.32 | 3.71 |
CEACAM1 | 0.0002312 | 1885 | GTEx | DepMap | Descartes | 0.01 | 0.30 |
ARHGAP29 | 0.0000338 | 4876 | GTEx | DepMap | Descartes | 0.57 | 2.37 |
HYAL2 | 0.0000132 | 5646 | GTEx | DepMap | Descartes | 0.71 | 34.77 |
BTNL9 | 0.0000045 | 6027 | GTEx | DepMap | Descartes | 0.00 | 0.00 |
GALNT15 | -0.0000200 | 7449 | GTEx | DepMap | Descartes | 0.00 | 0.00 |
NOTCH4 | -0.0000412 | 9150 | GTEx | DepMap | Descartes | 0.06 | 0.52 |
PTPRB | -0.0000500 | 9856 | GTEx | DepMap | Descartes | 0.02 | 0.05 |
CRHBP | -0.0000530 | 10081 | GTEx | DepMap | Descartes | 0.00 | 0.00 |
DNASE1L3 | -0.0000546 | 10205 | GTEx | DepMap | Descartes | 0.00 | 0.00 |
F8 | -0.0000628 | 10793 | GTEx | DepMap | Descartes | 0.02 | 0.01 |
MYRIP | -0.0000785 | 11844 | GTEx | DepMap | Descartes | 0.01 | 0.01 |
ROBO4 | -0.0000827 | 12084 | GTEx | DepMap | Descartes | 0.00 | 0.01 |
SHANK3 | -0.0000850 | 12226 | GTEx | DepMap | Descartes | 0.02 | 0.05 |
TMEM88 | -0.0000879 | 12369 | GTEx | DepMap | Descartes | 0.07 | 7.00 |
PLVAP | -0.0000943 | 12692 | GTEx | DepMap | Descartes | 0.02 | 0.37 |
FLT4 | -0.0000962 | 12820 | GTEx | DepMap | Descartes | 0.00 | 0.00 |
SOX18 | -0.0000978 | 12893 | GTEx | DepMap | Descartes | 0.00 | 0.16 |
ESM1 | -0.0001035 | 13140 | GTEx | DepMap | Descartes | 0.00 | 0.00 |
NPR1 | -0.0001072 | 13296 | GTEx | DepMap | Descartes | 0.02 | 0.39 |
SHE | -0.0001077 | 13312 | GTEx | DepMap | Descartes | 0.01 | 0.05 |
MMRN2 | -0.0001109 | 13447 | GTEx | DepMap | Descartes | 0.01 | 0.09 |
NR5A2 | -0.0001168 | 13729 | GTEx | DepMap | Descartes | 0.00 | 0.00 |
TIE1 | -0.0001221 | 13955 | GTEx | DepMap | Descartes | 0.00 | 0.00 |
APLNR | -0.0001236 | 14004 | GTEx | DepMap | Descartes | 0.00 | 0.24 |
SLCO2A1 | -0.0001237 | 14011 | GTEx | DepMap | Descartes | 0.04 | 0.04 |
CHRM3 | -0.0001253 | 14072 | GTEx | DepMap | Descartes | 0.01 | 0.00 |
ECSCR | -0.0001329 | 14342 | GTEx | DepMap | Descartes | 0.05 | 0.73 |
KANK3 | -0.0001332 | 14345 | GTEx | DepMap | Descartes | 0.09 | 1.25 |
CLDN5 | -0.0001351 | 14419 | GTEx | DepMap | Descartes | 0.01 | 0.80 |
Descartes stromal markers
Top 50 marker genes of stromal cells in the Decartes fetal adrenal single cell map (https://atlas.brotmanbaty.org/bbi/human-gene-expression-during-development/cell/stromal/in/adrenal)
Wilcoxon ranksum test P-value for gene set overrepresentation: 1.00e+00
Mean rank of genes in gene set: 14665.93
Median rank of genes in gene set: 16884
Rank on gene expression program of top 30 genes in gene set:
Genes | Weight | Rank | GTEx | DepMap | Descartes | Mean.Counts | Mean.TPM |
---|---|---|---|---|---|---|---|
POSTN | 0.0051281 | 6 | GTEx | DepMap | Descartes | 12.69 | 105.50 |
DKK2 | 0.0011062 | 326 | GTEx | DepMap | Descartes | 1.13 | 2.37 |
COL1A2 | 0.0010781 | 347 | GTEx | DepMap | Descartes | 12.57 | 74.91 |
ABCA6 | 0.0003969 | 1191 | GTEx | DepMap | Descartes | 0.03 | 0.18 |
FNDC1 | 0.0000502 | 4373 | GTEx | DepMap | Descartes | 0.04 | 0.11 |
COL27A1 | 0.0000337 | 4879 | GTEx | DepMap | Descartes | 0.94 | 1.45 |
PCOLCE | -0.0000017 | 6343 | GTEx | DepMap | Descartes | 0.95 | 23.76 |
C7 | -0.0000362 | 8746 | GTEx | DepMap | Descartes | 0.00 | 0.00 |
SULT1E1 | -0.0000451 | 9439 | GTEx | DepMap | Descartes | 0.00 | 0.00 |
LAMC3 | -0.0000697 | 11281 | GTEx | DepMap | Descartes | 0.01 | 0.03 |
ABCC9 | -0.0001105 | 13427 | GTEx | DepMap | Descartes | 0.07 | 0.06 |
ADAMTSL3 | -0.0001330 | 14344 | GTEx | DepMap | Descartes | 0.01 | 0.00 |
CLDN11 | -0.0001351 | 14416 | GTEx | DepMap | Descartes | 0.13 | 3.08 |
COL3A1 | -0.0001495 | 14928 | GTEx | DepMap | Descartes | 8.49 | 36.92 |
ITGA11 | -0.0001532 | 15038 | GTEx | DepMap | Descartes | 0.02 | 0.03 |
ELN | -0.0001601 | 15250 | GTEx | DepMap | Descartes | 0.18 | 0.68 |
SCARA5 | -0.0001646 | 15388 | GTEx | DepMap | Descartes | 0.02 | 0.05 |
ADAMTS2 | -0.0001746 | 15643 | GTEx | DepMap | Descartes | 0.10 | 0.06 |
PRICKLE1 | -0.0002023 | 16295 | GTEx | DepMap | Descartes | 0.25 | 0.57 |
EDNRA | -0.0002093 | 16427 | GTEx | DepMap | Descartes | 0.21 | 0.56 |
HHIP | -0.0002192 | 16591 | GTEx | DepMap | Descartes | 0.06 | 0.14 |
IGFBP3 | -0.0002219 | 16648 | GTEx | DepMap | Descartes | 0.54 | 10.59 |
PAMR1 | -0.0002266 | 16736 | GTEx | DepMap | Descartes | 0.08 | 0.19 |
FREM1 | -0.0002454 | 17032 | GTEx | DepMap | Descartes | 0.08 | 0.08 |
GLI2 | -0.0002471 | 17055 | GTEx | DepMap | Descartes | 0.13 | 0.08 |
COL1A1 | -0.0002696 | 17378 | GTEx | DepMap | Descartes | 5.41 | 50.59 |
ACTA2 | -0.0002838 | 17528 | GTEx | DepMap | Descartes | 2.05 | 19.75 |
OGN | -0.0003160 | 17880 | GTEx | DepMap | Descartes | 0.55 | 8.86 |
BICC1 | -0.0003530 | 18205 | GTEx | DepMap | Descartes | 0.61 | 0.45 |
CCDC80 | -0.0003928 | 18474 | GTEx | DepMap | Descartes | 0.33 | 1.36 |
Descartes sympathoblasts markers
Top 50 marker genes of sympathoblasts cells in the Decartes fetal adrenal single cell map (https://atlas.brotmanbaty.org/bbi/human-gene-expression-during-development/cell/sympathoblasts/in/adrenal)
Wilcoxon ranksum test P-value for gene set overrepresentation: 1.00e+00
Mean rank of genes in gene set: 13947.1
Median rank of genes in gene set: 15940.5
Rank on gene expression program of top 30 genes in gene set:
Genes | Weight | Rank | GTEx | DepMap | Descartes | Mean.Counts | Mean.TPM |
---|---|---|---|---|---|---|---|
GRID2 | 0.0016466 | 175 | GTEx | DepMap | Descartes | 0.76 | 0.15 |
TIAM1 | 0.0009621 | 424 | GTEx | DepMap | Descartes | 0.81 | 0.45 |
C1QL1 | 0.0003840 | 1234 | GTEx | DepMap | Descartes | 0.43 | 17.35 |
EML6 | 0.0001476 | 2626 | GTEx | DepMap | Descartes | 0.04 | 0.06 |
NTNG1 | 0.0000974 | 3375 | GTEx | DepMap | Descartes | 0.56 | 0.43 |
PACRG | 0.0000740 | 3813 | GTEx | DepMap | Descartes | 0.08 | 0.04 |
KCTD16 | -0.0000456 | 9487 | GTEx | DepMap | Descartes | 0.00 | 0.00 |
UNC80 | -0.0000870 | 12325 | GTEx | DepMap | Descartes | 0.09 | 0.08 |
PNMT | -0.0000996 | 12956 | GTEx | DepMap | Descartes | 0.00 | 0.14 |
SLC35F3 | -0.0001000 | 12978 | GTEx | DepMap | Descartes | 0.00 | 0.00 |
FGF14 | -0.0001018 | 13068 | GTEx | DepMap | Descartes | 0.00 | 0.00 |
AGBL4 | -0.0001051 | 13209 | GTEx | DepMap | Descartes | 0.00 | 0.00 |
CDH12 | -0.0001147 | 13631 | GTEx | DepMap | Descartes | 0.02 | 0.00 |
TBX20 | -0.0001187 | 13824 | GTEx | DepMap | Descartes | 0.07 | 0.19 |
GALNTL6 | -0.0001223 | 13959 | GTEx | DepMap | Descartes | 0.02 | 0.00 |
ARC | -0.0001311 | 14275 | GTEx | DepMap | Descartes | 0.04 | 1.73 |
CDH18 | -0.0001366 | 14497 | GTEx | DepMap | Descartes | 0.01 | 0.00 |
TENM1 | -0.0001428 | 14700 | GTEx | DepMap | Descartes | 0.04 | 0.01 |
GRM7 | -0.0001543 | 15069 | GTEx | DepMap | Descartes | 0.01 | 0.00 |
CNTN3 | -0.0001724 | 15598 | GTEx | DepMap | Descartes | 0.03 | 0.01 |
SLC24A2 | -0.0001832 | 15860 | GTEx | DepMap | Descartes | 0.02 | 0.01 |
SORCS3 | -0.0001895 | 16021 | GTEx | DepMap | Descartes | 0.08 | 0.02 |
SCG2 | -0.0001982 | 16207 | GTEx | DepMap | Descartes | 0.02 | 0.60 |
LAMA3 | -0.0002174 | 16557 | GTEx | DepMap | Descartes | 0.06 | 0.02 |
MGAT4C | -0.0002202 | 16614 | GTEx | DepMap | Descartes | 0.03 | 0.00 |
HTATSF1 | -0.0002214 | 16632 | GTEx | DepMap | Descartes | 1.63 | 28.39 |
CHGB | -0.0002446 | 17020 | GTEx | DepMap | Descartes | 0.85 | 11.32 |
DGKK | -0.0002526 | 17117 | GTEx | DepMap | Descartes | 0.16 | 0.19 |
SLC18A1 | -0.0002624 | 17272 | GTEx | DepMap | Descartes | 0.04 | 0.12 |
GCH1 | -0.0002652 | 17320 | GTEx | DepMap | Descartes | 0.08 | 0.46 |
Descartes erythroblasts markers
Top 50 marker genes of erythroblasts cells in the Decartes fetal adrenal single cell map (https://atlas.brotmanbaty.org/bbi/human-gene-expression-during-development/cell/erythroblasts/in/adrenal)
Wilcoxon ranksum test P-value for gene set overrepresentation: 5.27e-01
Mean rank of genes in gene set: 9727.22
Median rank of genes in gene set: 9694
Rank on gene expression program of top 30 genes in gene set:
Genes | Weight | Rank | GTEx | DepMap | Descartes | Mean.Counts | Mean.TPM |
---|---|---|---|---|---|---|---|
SPECC1 | 0.0005550 | 871 | GTEx | DepMap | Descartes | 0.55 | 0.53 |
RAPGEF2 | 0.0004536 | 1055 | GTEx | DepMap | Descartes | 0.58 | 0.65 |
CAT | 0.0003780 | 1246 | GTEx | DepMap | Descartes | 0.96 | 8.71 |
DENND4A | 0.0002665 | 1698 | GTEx | DepMap | Descartes | 0.13 | 0.35 |
BLVRB | 0.0002278 | 1908 | GTEx | DepMap | Descartes | 0.61 | 10.68 |
CR1L | 0.0001707 | 2375 | GTEx | DepMap | Descartes | 0.57 | 4.27 |
MARCH3 | 0.0001601 | 2479 | GTEx | DepMap | Descartes | 0.04 | 0.07 |
TRAK2 | 0.0001023 | 3288 | GTEx | DepMap | Descartes | 0.29 | 1.08 |
EPB42 | -0.0000125 | 6924 | GTEx | DepMap | Descartes | 0.00 | 0.00 |
FECH | -0.0000135 | 6985 | GTEx | DepMap | Descartes | 0.41 | 3.41 |
SLC4A1 | -0.0000173 | 7249 | GTEx | DepMap | Descartes | 0.00 | 0.00 |
ALAS2 | -0.0000176 | 7277 | GTEx | DepMap | Descartes | 0.00 | 0.00 |
GYPA | -0.0000201 | 7457 | GTEx | DepMap | Descartes | 0.00 | 0.00 |
SPTA1 | -0.0000210 | 7523 | GTEx | DepMap | Descartes | 0.00 | 0.00 |
TMEM56 | -0.0000283 | 8089 | GTEx | DepMap | Descartes | 0.02 | 0.03 |
RHD | -0.0000335 | 8502 | GTEx | DepMap | Descartes | 0.01 | 0.06 |
HEMGN | -0.0000388 | 8974 | GTEx | DepMap | Descartes | 0.00 | 0.00 |
SLC25A37 | -0.0000464 | 9551 | GTEx | DepMap | Descartes | 0.15 | 0.80 |
GYPC | -0.0000497 | 9837 | GTEx | DepMap | Descartes | 0.21 | 1.38 |
RHAG | -0.0000509 | 9914 | GTEx | DepMap | Descartes | 0.00 | 0.00 |
XPO7 | -0.0000531 | 10083 | GTEx | DepMap | Descartes | 0.61 | 1.22 |
CPOX | -0.0000724 | 11462 | GTEx | DepMap | Descartes | 0.27 | 1.32 |
TFR2 | -0.0000818 | 12037 | GTEx | DepMap | Descartes | 0.01 | 0.04 |
SELENBP1 | -0.0000851 | 12231 | GTEx | DepMap | Descartes | 0.26 | 5.02 |
SLC25A21 | -0.0000854 | 12249 | GTEx | DepMap | Descartes | 0.00 | 0.00 |
RGS6 | -0.0000899 | 12467 | GTEx | DepMap | Descartes | 0.03 | 0.01 |
ABCB10 | -0.0001011 | 13028 | GTEx | DepMap | Descartes | 0.21 | 1.41 |
GCLC | -0.0001114 | 13473 | GTEx | DepMap | Descartes | 0.26 | 1.11 |
MICAL2 | -0.0001585 | 15200 | GTEx | DepMap | Descartes | 0.06 | 0.04 |
SNCA | -0.0001901 | 16028 | GTEx | DepMap | Descartes | 0.28 | 0.22 |
Descartes myeloid markers
Top 50 marker genes of myeloid cells in the Decartes fetal adrenal single cell map (https://atlas.brotmanbaty.org/bbi/human-gene-expression-during-development/cell/myeloid/in/adrenal)
Wilcoxon ranksum test P-value for gene set overrepresentation: 8.47e-01
Mean rank of genes in gene set: 10543.64
Median rank of genes in gene set: 11832
Rank on gene expression program of top 30 genes in gene set:
Genes | Weight | Rank | GTEx | DepMap | Descartes | Mean.Counts | Mean.TPM |
---|---|---|---|---|---|---|---|
CST3 | 0.0021559 | 113 | GTEx | DepMap | Descartes | 11.26 | 818.24 |
RGL1 | 0.0015213 | 203 | GTEx | DepMap | Descartes | 0.76 | 1.14 |
ABCA1 | 0.0011341 | 312 | GTEx | DepMap | Descartes | 0.55 | 1.33 |
CTSC | 0.0010471 | 363 | GTEx | DepMap | Descartes | 0.51 | 3.85 |
IFNGR1 | 0.0003499 | 1340 | GTEx | DepMap | Descartes | 0.34 | 5.07 |
LGMN | 0.0003070 | 1508 | GTEx | DepMap | Descartes | 0.81 | 4.35 |
CTSD | 0.0002942 | 1560 | GTEx | DepMap | Descartes | 2.55 | 73.49 |
PTPRE | 0.0002542 | 1752 | GTEx | DepMap | Descartes | 0.27 | 0.65 |
AXL | 0.0001976 | 2130 | GTEx | DepMap | Descartes | 0.69 | 6.43 |
FMN1 | 0.0000202 | 5378 | GTEx | DepMap | Descartes | 0.13 | 0.08 |
CD74 | -0.0000135 | 6984 | GTEx | DepMap | Descartes | 0.02 | 0.55 |
SPP1 | -0.0000284 | 8095 | GTEx | DepMap | Descartes | 0.11 | 1.52 |
CPVL | -0.0000369 | 8805 | GTEx | DepMap | Descartes | 0.00 | 0.00 |
FGL2 | -0.0000430 | 9295 | GTEx | DepMap | Descartes | 0.03 | 0.83 |
HRH1 | -0.0000457 | 9497 | GTEx | DepMap | Descartes | 0.00 | 0.00 |
SFMBT2 | -0.0000457 | 9505 | GTEx | DepMap | Descartes | 0.05 | 0.06 |
WWP1 | -0.0000568 | 10379 | GTEx | DepMap | Descartes | 0.46 | 0.99 |
RNASE1 | -0.0000610 | 10668 | GTEx | DepMap | Descartes | 0.00 | 0.18 |
FGD2 | -0.0000664 | 11055 | GTEx | DepMap | Descartes | 0.09 | 0.76 |
ATP8B4 | -0.0000682 | 11173 | GTEx | DepMap | Descartes | 0.00 | 0.00 |
ADAP2 | -0.0000713 | 11398 | GTEx | DepMap | Descartes | 0.00 | 0.02 |
MS4A4A | -0.0000858 | 12266 | GTEx | DepMap | Descartes | 0.00 | 0.00 |
CD14 | -0.0000909 | 12508 | GTEx | DepMap | Descartes | 0.03 | 5.65 |
HCK | -0.0000926 | 12595 | GTEx | DepMap | Descartes | 0.01 | 0.10 |
SLCO2B1 | -0.0001023 | 13092 | GTEx | DepMap | Descartes | 0.00 | 0.00 |
MSR1 | -0.0001079 | 13321 | GTEx | DepMap | Descartes | 0.01 | 0.02 |
CTSB | -0.0001363 | 14476 | GTEx | DepMap | Descartes | 1.84 | 22.56 |
RBPJ | -0.0001456 | 14804 | GTEx | DepMap | Descartes | 0.91 | 1.08 |
SLC9A9 | -0.0001530 | 15033 | GTEx | DepMap | Descartes | 0.12 | 0.02 |
ITPR2 | -0.0001563 | 15131 | GTEx | DepMap | Descartes | 0.17 | 0.11 |
Descartes Schwann markers
Top 50 marker genes of Schwann cells in the Decartes fetal adrenal single cell map (https://atlas.brotmanbaty.org/bbi/human-gene-expression-during-development/cell/schwann/in/adrenal)
Wilcoxon ranksum test P-value for gene set overrepresentation: 1.50e-17
Mean rank of genes in gene set: 2798.74
Median rank of genes in gene set: 154
Rank on gene expression program of top 30 genes in gene set:
Genes | Weight | Rank | GTEx | DepMap | Descartes | Mean.Counts | Mean.TPM |
---|---|---|---|---|---|---|---|
EDNRB | 0.0053865 | 2 | GTEx | DepMap | Descartes | 20.56 | 278.78 |
PLP1 | 0.0052109 | 3 | GTEx | DepMap | Descartes | 4.43 | 78.21 |
MPZ | 0.0051675 | 5 | GTEx | DepMap | Descartes | 3.84 | 114.22 |
SOX10 | 0.0044794 | 9 | GTEx | DepMap | Descartes | 2.91 | 105.37 |
VIM | 0.0044173 | 12 | GTEx | DepMap | Descartes | 48.62 | 1633.75 |
ERBB3 | 0.0042354 | 14 | GTEx | DepMap | Descartes | 2.03 | 24.24 |
LAMA4 | 0.0039853 | 20 | GTEx | DepMap | Descartes | 3.98 | 9.93 |
GAS7 | 0.0036449 | 25 | GTEx | DepMap | Descartes | 1.75 | 2.44 |
CDH19 | 0.0034391 | 30 | GTEx | DepMap | Descartes | 0.69 | 2.23 |
ADAMTS5 | 0.0033590 | 31 | GTEx | DepMap | Descartes | 1.94 | 16.84 |
GFRA3 | 0.0032099 | 38 | GTEx | DepMap | Descartes | 2.96 | 27.57 |
PTPRZ1 | 0.0032068 | 39 | GTEx | DepMap | Descartes | 4.30 | 7.84 |
DST | 0.0031418 | 42 | GTEx | DepMap | Descartes | 7.64 | 5.79 |
OLFML2A | 0.0029320 | 51 | GTEx | DepMap | Descartes | 0.60 | 6.40 |
STARD13 | 0.0025487 | 67 | GTEx | DepMap | Descartes | 0.69 | 1.02 |
COL18A1 | 0.0025199 | 72 | GTEx | DepMap | Descartes | 3.92 | 9.45 |
LAMB1 | 0.0025021 | 76 | GTEx | DepMap | Descartes | 3.40 | 17.39 |
KCTD12 | 0.0024184 | 89 | GTEx | DepMap | Descartes | 4.67 | 188.73 |
VCAN | 0.0021398 | 115 | GTEx | DepMap | Descartes | 7.84 | 21.63 |
SLC35F1 | 0.0021324 | 116 | GTEx | DepMap | Descartes | 1.02 | 0.73 |
MARCKS | 0.0021211 | 118 | GTEx | DepMap | Descartes | 20.88 | 984.95 |
LAMC1 | 0.0020294 | 127 | GTEx | DepMap | Descartes | 1.35 | 3.13 |
FIGN | 0.0018204 | 147 | GTEx | DepMap | Descartes | 2.52 | 6.27 |
SORCS1 | 0.0017795 | 154 | GTEx | DepMap | Descartes | 0.62 | 0.35 |
FAM134B | 0.0017778 | 155 | GTEx | DepMap | Descartes | 0.77 | NA |
SFRP1 | 0.0017603 | 160 | GTEx | DepMap | Descartes | 4.74 | 44.33 |
PMP22 | 0.0014216 | 226 | GTEx | DepMap | Descartes | 2.85 | 38.73 |
SOX5 | 0.0013633 | 239 | GTEx | DepMap | Descartes | 1.63 | 0.49 |
EGFLAM | 0.0010523 | 360 | GTEx | DepMap | Descartes | 0.74 | 1.30 |
PLCE1 | 0.0010196 | 385 | GTEx | DepMap | Descartes | 0.67 | 0.88 |
Descartes Megakaryocytes markers
Top 50 marker genes of Megakaryocytes cells in the Decartes fetal adrenal single cell map (https://atlas.brotmanbaty.org/bbi/human-gene-expression-during-development/cell/megakaryocytes/in/adrenal)
Wilcoxon ranksum test P-value for gene set overrepresentation: 9.73e-01
Mean rank of genes in gene set: 11237.3
Median rank of genes in gene set: 12626
Rank on gene expression program of top 30 genes in gene set:
Genes | Weight | Rank | GTEx | DepMap | Descartes | Mean.Counts | Mean.TPM |
---|---|---|---|---|---|---|---|
VCL | 0.0012651 | 264 | GTEx | DepMap | Descartes | 1.25 | 3.24 |
TLN1 | 0.0009361 | 445 | GTEx | DepMap | Descartes | 2.65 | 21.70 |
GSN | 0.0008045 | 557 | GTEx | DepMap | Descartes | 1.49 | 8.36 |
FLNA | 0.0007143 | 640 | GTEx | DepMap | Descartes | 3.56 | 31.51 |
MYH9 | 0.0007020 | 655 | GTEx | DepMap | Descartes | 1.55 | 4.03 |
ITGB3 | 0.0005533 | 874 | GTEx | DepMap | Descartes | 0.16 | 0.93 |
LIMS1 | 0.0003038 | 1526 | GTEx | DepMap | Descartes | 1.31 | 2.64 |
MED12L | 0.0002241 | 1938 | GTEx | DepMap | Descartes | 0.13 | 0.10 |
TPM4 | 0.0000951 | 3410 | GTEx | DepMap | Descartes | 2.85 | 24.63 |
RAP1B | 0.0000562 | 4180 | GTEx | DepMap | Descartes | 2.08 | 17.63 |
TRPC6 | -0.0000014 | 6329 | GTEx | DepMap | Descartes | 0.00 | 0.00 |
PSTPIP2 | -0.0000138 | 7007 | GTEx | DepMap | Descartes | 0.00 | 0.01 |
SLC24A3 | -0.0000203 | 7480 | GTEx | DepMap | Descartes | 0.19 | 0.08 |
STOM | -0.0000254 | 7861 | GTEx | DepMap | Descartes | 0.14 | 1.63 |
STON2 | -0.0000334 | 8494 | GTEx | DepMap | Descartes | 0.08 | 0.07 |
BIN2 | -0.0000336 | 8507 | GTEx | DepMap | Descartes | 0.00 | 0.02 |
INPP4B | -0.0000349 | 8636 | GTEx | DepMap | Descartes | 0.07 | 0.02 |
P2RX1 | -0.0000372 | 8839 | GTEx | DepMap | Descartes | 0.00 | 0.09 |
DOK6 | -0.0000470 | 9622 | GTEx | DepMap | Descartes | 0.02 | 0.02 |
PPBP | -0.0000806 | 11967 | GTEx | DepMap | Descartes | 0.00 | 0.00 |
GP9 | -0.0000813 | 12017 | GTEx | DepMap | Descartes | 0.00 | 0.20 |
MCTP1 | -0.0000814 | 12025 | GTEx | DepMap | Descartes | 0.00 | 0.00 |
CD84 | -0.0000877 | 12358 | GTEx | DepMap | Descartes | 0.00 | 0.00 |
FERMT3 | -0.0000932 | 12626 | GTEx | DepMap | Descartes | 0.00 | 0.04 |
CD9 | -0.0000955 | 12773 | GTEx | DepMap | Descartes | 1.28 | 8.40 |
MMRN1 | -0.0000955 | 12778 | GTEx | DepMap | Descartes | 0.00 | 0.01 |
ITGA2B | -0.0000955 | 12779 | GTEx | DepMap | Descartes | 0.01 | 0.24 |
PLEK | -0.0001176 | 13760 | GTEx | DepMap | Descartes | 0.01 | 0.04 |
PF4 | -0.0001263 | 14103 | GTEx | DepMap | Descartes | 0.07 | 20.54 |
ZYX | -0.0001276 | 14145 | GTEx | DepMap | Descartes | 1.58 | 33.52 |
Descartes Lyphoid markers
Top 50 marker genes of Lyphoid cells in the Decartes fetal adrenal single cell map (https://atlas.brotmanbaty.org/bbi/human-gene-expression-during-development/cell/lymphoid/in/adrenal)
Wilcoxon ranksum test P-value for gene set overrepresentation: 9.92e-01
Mean rank of genes in gene set: 11754.19
Median rank of genes in gene set: 14321.5
Rank on gene expression program of top 30 genes in gene set:
Genes | Weight | Rank | GTEx | DepMap | Descartes | Mean.Counts | Mean.TPM |
---|---|---|---|---|---|---|---|
MSN | 0.0012968 | 253 | GTEx | DepMap | Descartes | 1.51 | 4.94 |
ETS1 | 0.0010055 | 393 | GTEx | DepMap | Descartes | 0.73 | 1.39 |
B2M | 0.0006611 | 711 | GTEx | DepMap | Descartes | 0.98 | 37.48 |
NCALD | 0.0005935 | 809 | GTEx | DepMap | Descartes | 0.58 | 0.29 |
FYN | 0.0005327 | 903 | GTEx | DepMap | Descartes | 1.76 | 2.20 |
CELF2 | 0.0004616 | 1036 | GTEx | DepMap | Descartes | 3.10 | 0.92 |
CCND3 | 0.0002280 | 1907 | GTEx | DepMap | Descartes | 4.69 | 13.59 |
PDE3B | 0.0002195 | 1967 | GTEx | DepMap | Descartes | 0.25 | 0.45 |
WIPF1 | 0.0001284 | 2889 | GTEx | DepMap | Descartes | 0.25 | 0.58 |
ARHGAP15 | 0.0000056 | 5979 | GTEx | DepMap | Descartes | 0.02 | 0.01 |
PLEKHA2 | 0.0000043 | 6038 | GTEx | DepMap | Descartes | 0.06 | 0.20 |
MCTP2 | 0.0000014 | 6188 | GTEx | DepMap | Descartes | 0.03 | 0.01 |
ITPKB | -0.0000654 | 10988 | GTEx | DepMap | Descartes | 0.31 | 0.79 |
DOCK10 | -0.0000702 | 11318 | GTEx | DepMap | Descartes | 0.18 | 0.16 |
SCML4 | -0.0000809 | 11981 | GTEx | DepMap | Descartes | 0.01 | 0.02 |
NKG7 | -0.0000946 | 12711 | GTEx | DepMap | Descartes | 0.00 | 0.00 |
PTPRC | -0.0000998 | 12961 | GTEx | DepMap | Descartes | 0.00 | 0.00 |
FAM65B | -0.0000999 | 12973 | GTEx | DepMap | Descartes | 0.13 | NA |
FOXP1 | -0.0001152 | 13653 | GTEx | DepMap | Descartes | 2.82 | 1.02 |
ABLIM1 | -0.0001211 | 13918 | GTEx | DepMap | Descartes | 0.77 | 0.40 |
SP100 | -0.0001285 | 14180 | GTEx | DepMap | Descartes | 0.00 | 0.00 |
TOX | -0.0001361 | 14463 | GTEx | DepMap | Descartes | 0.39 | 0.40 |
RAP1GAP2 | -0.0001372 | 14523 | GTEx | DepMap | Descartes | 0.04 | 0.03 |
RCSD1 | -0.0001405 | 14623 | GTEx | DepMap | Descartes | 0.20 | 0.49 |
IKZF1 | -0.0001464 | 14835 | GTEx | DepMap | Descartes | 0.00 | 0.00 |
MBNL1 | -0.0001526 | 15024 | GTEx | DepMap | Descartes | 1.02 | 1.28 |
BCL2 | -0.0001712 | 15562 | GTEx | DepMap | Descartes | 0.83 | 1.27 |
TMSB10 | -0.0001927 | 16076 | GTEx | DepMap | Descartes | 38.71 | 5164.82 |
LCP1 | -0.0001944 | 16131 | GTEx | DepMap | Descartes | 0.01 | 0.02 |
BACH2 | -0.0001948 | 16138 | GTEx | DepMap | Descartes | 0.68 | 0.41 |
Below shows the ranks on this GEP for immune marker gene lists curated by CellTypist (https://www.celltypist.org/encyclopedia).
High ranks indicate this gene is a driver of this GEP.
These curated gene list are ranked by P-value (on this GEP) of their constituent genes.
The Mean Count column shows the mean read count in cells scoring highly (H > 50) on this gene expression program.
Genes | Weight | Rank | GTEx | DepMap | Decartes | Mean.Counts | Mean.TPM |
---|---|---|---|---|---|---|---|
RPS2 | 0.0010009 | 397 | GTEx | DepMap | Descartes | 43.95 | 2522.34 |
B2M | 0.0006611 | 711 | GTEx | DepMap | Descartes | 0.98 | 37.48 |
T cells: Tem/Trm cytotoxic T cells (model markers)
CD8+ cytotoxic T lymphocytes mainly localized in lymphoid and peripheral tissues and presenting an immediate:
Wilcoxon ranksum test P-value for gene set overrepresentation: 1.75e-02
Mean rank of genes in gene set: 3784.75
Rank on gene expression program of genes in gene set:
Genes | Weight | Rank | GTEx | DepMap | Decartes | Mean.Counts | Mean.TPM |
---|---|---|---|---|---|---|---|
RPS2 | 0.0010009 | 397 | GTEx | DepMap | Descartes | 43.95 | 2522.34 |
RPS29 | 0.0007614 | 601 | GTEx | DepMap | Descartes | 37.21 | 5162.59 |
CST7 | 0.0003266 | 1430 | GTEx | DepMap | Descartes | 0.00 | 0.00 |
NKG7 | -0.0000946 | 12711 | GTEx | DepMap | Descartes | 0.00 | 0.00 |
Macrophages: Kidney-resident macrophages (curated markers)
long-lived macrophages resident in the kidney under non-inflammatory conditions and maintaining homeostasis and resolving inflammation :
Wilcoxon ranksum test P-value for gene set overrepresentation: 2.96e-02
Mean rank of genes in gene set: 3588.67
Rank on gene expression program of genes in gene set:
Genes | Weight | Rank | GTEx | DepMap | Decartes | Mean.Counts | Mean.TPM |
---|---|---|---|---|---|---|---|
SEPP1 | 0.0008588 | 512 | GTEx | DepMap | Descartes | 1.84 | NA |
CSF2RA | 0.0001030 | 3270 | GTEx | DepMap | Descartes | 0.28 | 15.23 |
CD74 | -0.0000135 | 6984 | GTEx | DepMap | Descartes | 0.02 | 0.55 |