QQ-plot of gene loadings, averaged over both independent splits of the data
This plot highlights the relative contribution of each gene to the GEP
Top genes driving this program. Note: Decartes website is buggy, try refreshing. Also, Decartes fetal adrenal data have been collected at specific time points (89-122 days), all possible cell types of interest may not be represented, do not overinterpret. The Mean Count column shows the mean read count in cells scoring highly (H > 50) on this gene expression program (currently only calculated for the cells in the first 50/50 split of the data).
Note: Decartes website is buggy, try refreshing. Also, Decartes fetal adrenal data have been collected at specific time points (89-122 days), all possible cell types of interest may not be represented, do not overinterpret.
The Mean Count column shows the mean read count in cells scoring highly (H > 50) on this gene expression program.
Gene | Loading | Gene.Name | GTEx | DepMap | Descartes | Mean.Counts | Mean.Tpm | |
---|---|---|---|---|---|---|---|---|
1 | LTB | 0.0113661 | lymphotoxin beta | GTEx | DepMap | Descartes | 3.25 | 945.95 |
2 | B2M | 0.0096350 | beta-2-microglobulin | GTEx | DepMap | Descartes | 56.50 | 10024.61 |
3 | FOXP3 | 0.0096052 | forkhead box P3 | GTEx | DepMap | Descartes | 0.63 | 136.08 |
4 | ARHGDIB | 0.0095333 | Rho GDP dissociation inhibitor beta | GTEx | DepMap | Descartes | 10.68 | 3734.70 |
5 | SPOCK2 | 0.0095319 | SPARC (osteonectin), cwcv and kazal like domains proteoglycan 2 | GTEx | DepMap | Descartes | 5.24 | 437.73 |
6 | TBC1D4 | 0.0094930 | TBC1 domain family member 4 | GTEx | DepMap | Descartes | 1.41 | 89.19 |
7 | MAF | 0.0089353 | MAF bZIP transcription factor | GTEx | DepMap | Descartes | 2.77 | 231.52 |
8 | CD4 | 0.0088397 | CD4 molecule | GTEx | DepMap | Descartes | 1.82 | 264.95 |
9 | TIGIT | 0.0086980 | T cell immunoreceptor with Ig and ITIM domains | GTEx | DepMap | Descartes | 1.06 | 149.80 |
10 | CD52 | 0.0086681 | CD52 molecule | GTEx | DepMap | Descartes | 3.55 | 2292.88 |
11 | PTPRC | 0.0084889 | protein tyrosine phosphatase receptor type C | GTEx | DepMap | Descartes | 10.94 | 918.69 |
12 | TNFRSF4 | 0.0083417 | TNF receptor superfamily member 4 | GTEx | DepMap | Descartes | 0.57 | 153.64 |
13 | RAC2 | 0.0082789 | Rac family small GTPase 2 | GTEx | DepMap | Descartes | 3.01 | 742.25 |
14 | BCL11B | 0.0080824 | BAF chromatin remodeling complex subunit BCL11B | GTEx | DepMap | Descartes | 2.82 | 145.53 |
15 | IL7R | 0.0076952 | interleukin 7 receptor | GTEx | DepMap | Descartes | 7.77 | 755.20 |
16 | GBP5 | 0.0076520 | guanylate binding protein 5 | GTEx | DepMap | Descartes | 0.99 | 102.04 |
17 | CYTIP | 0.0076241 | cytohesin 1 interacting protein | GTEx | DepMap | Descartes | 2.57 | 494.75 |
18 | CD5 | 0.0074277 | CD5 molecule | GTEx | DepMap | Descartes | 1.44 | 198.60 |
19 | ZC3H12D | 0.0073804 | zinc finger CCCH-type containing 12D | GTEx | DepMap | Descartes | 0.76 | 64.16 |
20 | TMSB4X | 0.0073659 | thymosin beta 4 X-linked | GTEx | DepMap | Descartes | 28.07 | 6661.00 |
21 | CLEC2D | 0.0072953 | C-type lectin domain family 2 member D | GTEx | DepMap | Descartes | 3.62 | 310.59 |
22 | LCK | 0.0070303 | LCK proto-oncogene, Src family tyrosine kinase | GTEx | DepMap | Descartes | 1.91 | 371.58 |
23 | SELL | 0.0070218 | selectin L | GTEx | DepMap | Descartes | 3.10 | 428.43 |
24 | ETS1 | 0.0069017 | ETS proto-oncogene 1, transcription factor | GTEx | DepMap | Descartes | 4.45 | 365.59 |
25 | SMCHD1 | 0.0068420 | structural maintenance of chromosomes flexible hinge domain containing 1 | GTEx | DepMap | Descartes | 5.40 | 265.19 |
26 | IKZF1 | 0.0066835 | IKAROS family zinc finger 1 | GTEx | DepMap | Descartes | 2.14 | 141.14 |
27 | ITGAL | 0.0066283 | integrin subunit alpha L | GTEx | DepMap | Descartes | 1.92 | 156.77 |
28 | RORA | 0.0066087 | RAR related orphan receptor A | GTEx | DepMap | Descartes | 2.05 | 83.35 |
29 | TPT1 | 0.0065811 | tumor protein, translationally-controlled 1 | GTEx | DepMap | Descartes | 43.83 | 3497.79 |
30 | WIPF1 | 0.0065753 | WAS/WASL interacting protein family member 1 | GTEx | DepMap | Descartes | 4.09 | 393.91 |
31 | YWHAB | 0.0065450 | tyrosine 3-monooxygenase/tryptophan 5-monooxygenase activation protein beta | GTEx | DepMap | Descartes | 7.35 | 525.07 |
32 | LCP1 | 0.0065292 | lymphocyte cytosolic protein 1 | GTEx | DepMap | Descartes | 6.06 | 559.05 |
33 | RASGRP1 | 0.0064983 | RAS guanyl releasing protein 1 | GTEx | DepMap | Descartes | 1.11 | 99.85 |
34 | CD6 | 0.0064847 | CD6 molecule | GTEx | DepMap | Descartes | 1.90 | 257.95 |
35 | PABPC1 | 0.0063813 | poly(A) binding protein cytoplasmic 1 | GTEx | DepMap | Descartes | 33.23 | 4568.33 |
36 | CD27 | 0.0063785 | CD27 molecule | GTEx | DepMap | Descartes | 0.44 | 124.94 |
37 | PBXIP1 | 0.0063118 | PBX homeobox interacting protein 1 | GTEx | DepMap | Descartes | 2.00 | 278.91 |
38 | FXYD5 | 0.0063112 | FXYD domain containing ion transport regulator 5 | GTEx | DepMap | Descartes | 2.30 | 589.78 |
39 | RPL13 | 0.0062972 | ribosomal protein L13 | GTEx | DepMap | Descartes | 25.12 | 1976.29 |
40 | RNF213 | 0.0062216 | ring finger protein 213 | GTEx | DepMap | Descartes | 2.87 | 59.13 |
41 | LAPTM5 | 0.0061561 | lysosomal protein transmembrane 5 | GTEx | DepMap | Descartes | 4.58 | 844.78 |
42 | DGKA | 0.0061474 | diacylglycerol kinase alpha | GTEx | DepMap | Descartes | 1.66 | 116.93 |
43 | CORO1A | 0.0061270 | coronin 1A | GTEx | DepMap | Descartes | 0.99 | 109.66 |
44 | ARL6IP5 | 0.0060972 | ADP ribosylation factor like GTPase 6 interacting protein 5 | GTEx | DepMap | Descartes | 2.72 | 537.27 |
45 | CREM | 0.0060579 | cAMP responsive element modulator | GTEx | DepMap | Descartes | 5.95 | 1208.87 |
46 | CD247 | 0.0060509 | CD247 molecule | GTEx | DepMap | Descartes | 1.31 | 203.03 |
47 | CDC42SE2 | 0.0060097 | CDC42 small effector 2 | GTEx | DepMap | Descartes | 2.62 | 270.35 |
48 | SMAP2 | 0.0060025 | small ArfGAP2 | GTEx | DepMap | Descartes | 2.52 | 354.77 |
49 | ITM2A | 0.0059805 | integral membrane protein 2A | GTEx | DepMap | Descartes | 2.52 | 714.34 |
50 | PDCD4 | 0.0058748 | programmed cell death 4 | GTEx | DepMap | Descartes | 3.21 | 357.37 |
UMAP plots showing activity of gene expression program identified in community:19. Regulatory T Cell
CNV Data procured from inferCNV.
Outer tracks are putative CNV regions (gains = red, losses = blue) for each patient
Inner track is expression data representing:
The top cells expressing this GEP (purple)
Random cells (n =50) from the reference set used in inferCNV (orange)
Gene set Enrichments for this program, caculated from top 50 genes
mSigDB Cell Types Gene Set:
P-value | OR | Lower 95% CI | FDR | FWER | Genes Found | Gene Set Size | |
---|---|---|---|---|---|---|---|
AIZARANI_LIVER_C3_NK_NKT_CELLS_2 | 6.16e-39 | 108.80 | 58.26 | 3.33e-36 | 4.13e-36 | 27LTB, B2M, ARHGDIB, SPOCK2, CD52, PTPRC, RAC2, BCL11B, IL7R, GBP5, CYTIP, TMSB4X, CLEC2D, LCK, ETS1, IKZF1, RORA, WIPF1, LCP1, RASGRP1, CD6, PBXIP1, RPL13, LAPTM5, DGKA, CORO1A, PDCD4 |
162 |
FAN_OVARY_CL12_T_LYMPHOCYTE_NK_CELL_2 | 4.54e-33 | 84.29 | 45.00 | 7.62e-31 | 3.05e-30 | 24LTB, B2M, ARHGDIB, SPOCK2, CD52, PTPRC, IL7R, CYTIP, TMSB4X, CLEC2D, RORA, TPT1, WIPF1, YWHAB, CD6, PABPC1, PBXIP1, FXYD5, LAPTM5, CORO1A, CREM, CDC42SE2, ITM2A, PDCD4 |
161 |
CUI_DEVELOPING_HEART_C9_B_T_CELL | 1.46e-31 | 80.67 | 42.93 | 1.97e-29 | 9.83e-29 | 23LTB, ARHGDIB, SPOCK2, CD52, PTPRC, RAC2, IL7R, CYTIP, CLEC2D, LCK, SELL, ETS1, ITGAL, WIPF1, LCP1, PABPC1, FXYD5, RNF213, LAPTM5, CORO1A, CD247, CDC42SE2, PDCD4 |
155 |
AIZARANI_LIVER_C28_NK_NKT_CELLS_6 | 2.94e-24 | 78.35 | 39.27 | 2.82e-22 | 1.97e-21 | 17ARHGDIB, SPOCK2, MAF, CD52, PTPRC, BCL11B, IL7R, CYTIP, ETS1, SMCHD1, WIPF1, LCP1, PBXIP1, CREM, CDC42SE2, SMAP2, PDCD4 |
99 |
DURANTE_ADULT_OLFACTORY_NEUROEPITHELIUM_CD4_T_CELLS | 1.90e-13 | 107.35 | 39.20 | 7.49e-12 | 1.27e-10 | 8LTB, ARHGDIB, CD52, PTPRC, IL7R, CLEC2D, RORA, CORO1A |
30 |
TRAVAGLINI_LUNG_CD4_MEMORY_EFFECTOR_T_CELL | 5.35e-19 | 75.51 | 34.97 | 2.99e-17 | 3.59e-16 | 13SPOCK2, CD52, BCL11B, IL7R, CD5, CLEC2D, LCK, ETS1, RORA, RASGRP1, CD6, PBXIP1, CORO1A |
71 |
DURANTE_ADULT_OLFACTORY_NEUROEPITHELIUM_CD8_T_CELLS | 7.89e-19 | 73.00 | 33.86 | 4.07e-17 | 5.29e-16 | 13ARHGDIB, CD52, PTPRC, RAC2, IL7R, CYTIP, TMSB4X, CLEC2D, LCK, RORA, LCP1, LAPTM5, CORO1A |
73 |
BUSSLINGER_GASTRIC_IMMUNE_CELLS | 9.94e-39 | 78.13 | 31.03 | 3.33e-36 | 6.67e-36 | 45LTB, B2M, ARHGDIB, SPOCK2, TBC1D4, MAF, CD4, TIGIT, CD52, PTPRC, RAC2, BCL11B, IL7R, GBP5, CYTIP, CD5, TMSB4X, CLEC2D, LCK, ETS1, SMCHD1, IKZF1, ITGAL, RORA, TPT1, WIPF1, YWHAB, LCP1, RASGRP1, CD6, CD27, PBXIP1, FXYD5, RPL13, RNF213, LAPTM5, DGKA, CORO1A, ARL6IP5, CREM, CD247, CDC42SE2, SMAP2, ITM2A, PDCD4 |
1490 |
FAN_EMBRYONIC_CTX_BRAIN_NAIVE_LIKE_T_CELL | 4.53e-24 | 54.97 | 28.64 | 3.80e-22 | 3.04e-21 | 19LTB, ARHGDIB, CD52, PTPRC, RAC2, IL7R, CYTIP, CD5, CLEC2D, LCK, SELL, ETS1, CD6, CD27, FXYD5, DGKA, CORO1A, CDC42SE2, PDCD4 |
158 |
DESCARTES_FETAL_STOMACH_LYMPHOID_CELLS | 2.42e-16 | 56.26 | 25.65 | 1.08e-14 | 1.62e-13 | 12LTB, CD52, RAC2, BCL11B, IL7R, CD5, LCK, SELL, CD6, CD27, CORO1A, CD247 |
82 |
AIZARANI_LIVER_C1_NK_NKT_CELLS_1 | 1.05e-20 | 45.93 | 23.43 | 7.02e-19 | 7.02e-18 | 17B2M, ARHGDIB, TIGIT, PTPRC, RAC2, BCL11B, CYTIP, TMSB4X, CLEC2D, LCK, ETS1, IKZF1, ITGAL, WIPF1, LCP1, CORO1A, CD247 |
157 |
BUSSLINGER_DUODENAL_IMMUNE_CELLS | 8.91e-35 | 45.53 | 23.20 | 1.99e-32 | 5.98e-32 | 38LTB, B2M, ARHGDIB, SPOCK2, CD4, TIGIT, CD52, PTPRC, RAC2, BCL11B, IL7R, CYTIP, CD5, TMSB4X, CLEC2D, LCK, ETS1, IKZF1, ITGAL, RORA, TPT1, WIPF1, YWHAB, LCP1, RASGRP1, CD6, PBXIP1, FXYD5, RPL13, LAPTM5, CORO1A, ARL6IP5, CREM, CD247, CDC42SE2, SMAP2, ITM2A, PDCD4 |
909 |
FAN_EMBRYONIC_CTX_BIG_GROUPS_BRAIN_IMMUNE | 1.78e-19 | 44.49 | 22.38 | 1.09e-17 | 1.20e-16 | 16LTB, B2M, ARHGDIB, CD52, PTPRC, RAC2, CYTIP, CLEC2D, LCK, SELL, ETS1, ITGAL, LCP1, FXYD5, RNF213, CORO1A |
148 |
FAN_OVARY_CL4_T_LYMPHOCYTE_NK_CELL_1 | 1.59e-23 | 40.23 | 21.46 | 1.19e-21 | 1.07e-20 | 21B2M, ARHGDIB, SPOCK2, CD52, PTPRC, CYTIP, TMSB4X, CLEC2D, WIPF1, YWHAB, LCP1, PABPC1, FXYD5, LAPTM5, CORO1A, ARL6IP5, CREM, CD247, CDC42SE2, ITM2A, PDCD4 |
246 |
MENON_FETAL_KIDNEY_10_IMMUNE_CELLS | 7.12e-13 | 42.73 | 18.35 | 2.39e-11 | 4.78e-10 | 10B2M, ARHGDIB, MAF, PTPRC, TMSB4X, TPT1, LCP1, PABPC1, LAPTM5, CORO1A |
83 |
HAY_BONE_MARROW_NAIVE_T_CELL | 6.26e-25 | 33.07 | 18.04 | 7.00e-23 | 4.20e-22 | 25LTB, SPOCK2, TBC1D4, TNFRSF4, BCL11B, IL7R, CD5, ZC3H12D, CLEC2D, LCK, ETS1, SMCHD1, RORA, TPT1, RASGRP1, CD6, PABPC1, CD27, PBXIP1, FXYD5, RPL13, DGKA, CREM, CDC42SE2, ITM2A |
403 |
RUBENSTEIN_SKELETAL_MUSCLE_T_CELLS | 4.61e-18 | 35.63 | 18.00 | 2.21e-16 | 3.09e-15 | 16LTB, ARHGDIB, CD52, PTPRC, IL7R, TMSB4X, LCK, SELL, ETS1, TPT1, PABPC1, FXYD5, RPL13, LAPTM5, CORO1A, ARL6IP5 |
181 |
AIZARANI_LIVER_C5_NK_NKT_CELLS_3 | 4.82e-14 | 34.59 | 16.03 | 2.02e-12 | 3.23e-11 | 12ARHGDIB, TIGIT, PTPRC, RAC2, CYTIP, ETS1, IKZF1, ITGAL, WIPF1, LCP1, CORO1A, CD247 |
126 |
DURANTE_ADULT_OLFACTORY_NEUROEPITHELIUM_NK_CELLS | 3.29e-11 | 36.55 | 15.06 | 8.82e-10 | 2.21e-08 | 9B2M, ARHGDIB, CD52, PTPRC, RAC2, TMSB4X, LCP1, CORO1A, CD247 |
84 |
AIZARANI_LIVER_C12_NK_NKT_CELLS_4 | 3.52e-08 | 39.55 | 13.09 | 5.91e-07 | 2.36e-05 | 6PTPRC, RAC2, ITGAL, WIPF1, LCP1, CD247 |
49 |
Dowload full table
mSigDB Hallmark Gene Sets:
P-value | OR | Lower 95% CI | FDR | FWER | Genes Found | Gene Set Size | |
---|---|---|---|---|---|---|---|
HALLMARK_ALLOGRAFT_REJECTION | 9.73e-07 | 12.40 | 4.96 | 4.87e-05 | 4.87e-05 | 8LTB, B2M, CD4, PTPRC, LCK, ETS1, ITGAL, CD247 |
200 |
HALLMARK_IL2_STAT5_SIGNALING | 1.06e-03 | 7.16 | 2.19 | 1.80e-02 | 5.28e-02 | 5LTB, TNFRSF4, SELL, RORA, CDC42SE2 |
199 |
HALLMARK_KRAS_SIGNALING_UP | 1.08e-03 | 7.12 | 2.18 | 1.80e-02 | 5.40e-02 | 5IL7R, ETS1, IKZF1, LCP1, LAPTM5 |
200 |
HALLMARK_INFLAMMATORY_RESPONSE | 7.71e-03 | 5.55 | 1.44 | 9.64e-02 | 3.85e-01 | 4IL7R, LCK, SELL, RASGRP1 |
200 |
HALLMARK_COMPLEMENT | 4.35e-02 | 4.05 | 0.80 | 4.04e-01 | 1.00e+00 | 3SPOCK2, LCK, RASGRP1 |
200 |
HALLMARK_INTERFERON_ALPHA_RESPONSE | 5.62e-02 | 5.48 | 0.64 | 4.04e-01 | 1.00e+00 | 2B2M, SELL |
97 |
HALLMARK_ANDROGEN_RESPONSE | 5.93e-02 | 5.31 | 0.62 | 4.04e-01 | 1.00e+00 | 2B2M, MAF |
100 |
HALLMARK_PI3K_AKT_MTOR_SIGNALING | 6.46e-02 | 5.06 | 0.59 | 4.04e-01 | 1.00e+00 | 2LCK, YWHAB |
105 |
HALLMARK_HYPOXIA | 1.85e-01 | 2.63 | 0.31 | 7.70e-01 | 1.00e+00 | 2ETS1, RORA |
200 |
HALLMARK_ESTROGEN_RESPONSE_EARLY | 1.85e-01 | 2.63 | 0.31 | 7.70e-01 | 1.00e+00 | 2BCL11B, RASGRP1 |
200 |
HALLMARK_INTERFERON_GAMMA_RESPONSE | 1.85e-01 | 2.63 | 0.31 | 7.70e-01 | 1.00e+00 | 2B2M, RNF213 |
200 |
HALLMARK_APICAL_JUNCTION | 1.85e-01 | 2.63 | 0.31 | 7.70e-01 | 1.00e+00 | 2PTPRC, RAC2 |
200 |
HALLMARK_IL6_JAK_STAT3_SIGNALING | 2.93e-01 | 2.97 | 0.07 | 1.00e+00 | 1.00e+00 | 1LTB |
87 |
HALLMARK_PEROXISOME | 3.39e-01 | 2.48 | 0.06 | 1.00e+00 | 1.00e+00 | 1PABPC1 |
104 |
HALLMARK_BILE_ACID_METABOLISM | 3.59e-01 | 2.30 | 0.06 | 1.00e+00 | 1.00e+00 | 1LCK |
112 |
HALLMARK_UV_RESPONSE_UP | 4.66e-01 | 1.62 | 0.04 | 1.00e+00 | 1.00e+00 | 1RASGRP1 |
158 |
HALLMARK_APOPTOSIS | 4.72e-01 | 1.59 | 0.04 | 1.00e+00 | 1.00e+00 | 1PDCD4 |
161 |
HALLMARK_TNFA_SIGNALING_VIA_NFKB | 5.47e-01 | 1.28 | 0.03 | 1.00e+00 | 1.00e+00 | 1IL7R |
200 |
HALLMARK_ADIPOGENESIS | 5.47e-01 | 1.28 | 0.03 | 1.00e+00 | 1.00e+00 | 1PDCD4 |
200 |
HALLMARK_ESTROGEN_RESPONSE_LATE | 5.47e-01 | 1.28 | 0.03 | 1.00e+00 | 1.00e+00 | 1PDCD4 |
200 |
Dowload full table
KEGG Pathways:
P-value | OR | Lower 95% CI | FDR | FWER | Genes Found | Gene Set Size | |
---|---|---|---|---|---|---|---|
KEGG_PRIMARY_IMMUNODEFICIENCY | 1.05e-05 | 34.98 | 8.63 | 1.96e-03 | 1.96e-03 | 4CD4, PTPRC, IL7R, LCK |
35 |
KEGG_T_CELL_RECEPTOR_SIGNALING_PATHWAY | 6.43e-05 | 13.47 | 4.09 | 5.98e-03 | 1.20e-02 | 5CD4, PTPRC, LCK, RASGRP1, CD247 |
108 |
KEGG_CELL_ADHESION_MOLECULES_CAMS | 1.71e-04 | 10.85 | 3.31 | 1.06e-02 | 3.18e-02 | 5CD4, PTPRC, SELL, ITGAL, CD6 |
133 |
KEGG_NATURAL_KILLER_CELL_MEDIATED_CYTOTOXICITY | 2.04e-03 | 8.17 | 2.11 | 9.49e-02 | 3.80e-01 | 4RAC2, LCK, ITGAL, CD247 |
137 |
KEGG_HEMATOPOIETIC_CELL_LINEAGE | 4.89e-03 | 9.50 | 1.85 | 1.82e-01 | 9.10e-01 | 3CD4, IL7R, CD5 |
87 |
KEGG_CYTOKINE_CYTOKINE_RECEPTOR_INTERACTION | 1.96e-02 | 4.16 | 1.08 | 6.07e-01 | 1.00e+00 | 4LTB, TNFRSF4, IL7R, CD27 |
265 |
KEGG_VIRAL_MYOCARDITIS | 3.13e-02 | 7.66 | 0.88 | 8.32e-01 | 1.00e+00 | 2RAC2, ITGAL |
70 |
KEGG_REGULATION_OF_ACTIN_CYTOSKELETON | 5.07e-02 | 3.80 | 0.75 | 1.00e+00 | 1.00e+00 | 3RAC2, TMSB4X, ITGAL |
213 |
KEGG_ANTIGEN_PROCESSING_AND_PRESENTATION | 4.73e-02 | 6.05 | 0.70 | 1.00e+00 | 1.00e+00 | 2B2M, CD4 |
88 |
KEGG_FC_GAMMA_R_MEDIATED_PHAGOCYTOSIS | 5.52e-02 | 5.54 | 0.64 | 1.00e+00 | 1.00e+00 | 2PTPRC, RAC2 |
96 |
KEGG_LEUKOCYTE_TRANSENDOTHELIAL_MIGRATION | 7.67e-02 | 4.57 | 0.53 | 1.00e+00 | 1.00e+00 | 2RAC2, ITGAL |
116 |
KEGG_NEUROTROPHIN_SIGNALING_PATHWAY | 8.82e-02 | 4.20 | 0.49 | 1.00e+00 | 1.00e+00 | 2ARHGDIB, YWHAB |
126 |
KEGG_DORSO_VENTRAL_AXIS_FORMATION | 9.13e-02 | 11.08 | 0.26 | 1.00e+00 | 1.00e+00 | 1ETS1 |
24 |
KEGG_MAPK_SIGNALING_PATHWAY | 2.80e-01 | 1.97 | 0.23 | 1.00e+00 | 1.00e+00 | 2RAC2, RASGRP1 |
267 |
KEGG_PATHWAYS_IN_CANCER | 3.61e-01 | 1.61 | 0.19 | 1.00e+00 | 1.00e+00 | 2RAC2, ETS1 |
325 |
KEGG_VASOPRESSIN_REGULATED_WATER_REABSORPTION | 1.61e-01 | 5.93 | 0.14 | 1.00e+00 | 1.00e+00 | 1ARHGDIB |
44 |
KEGG_GLYCEROLIPID_METABOLISM | 1.77e-01 | 5.31 | 0.13 | 1.00e+00 | 1.00e+00 | 1DGKA |
49 |
KEGG_COLORECTAL_CANCER | 2.19e-01 | 4.18 | 0.10 | 1.00e+00 | 1.00e+00 | 1RAC2 |
62 |
KEGG_RENAL_CELL_CARCINOMA | 2.43e-01 | 3.70 | 0.09 | 1.00e+00 | 1.00e+00 | 1ETS1 |
70 |
KEGG_PANCREATIC_CANCER | 2.43e-01 | 3.70 | 0.09 | 1.00e+00 | 1.00e+00 | 1RAC2 |
70 |
Dowload full table
CHR Positional Gene Sets:
P-value | OR | Lower 95% CI | FDR | FWER | Genes Found | Gene Set Size | |
---|---|---|---|---|---|---|---|
chr1q24 | 8.47e-02 | 4.30 | 0.50 | 1.00e+00 | 1.00e+00 | 2SELL, CD247 |
123 |
chr12p13 | 1.39e-01 | 2.42 | 0.48 | 1.00e+00 | 1.00e+00 | 3CD4, CLEC2D, CD27 |
333 |
chr1p35 | 9.30e-02 | 4.07 | 0.47 | 1.00e+00 | 1.00e+00 | 2LCK, LAPTM5 |
130 |
chr13q14 | 2.41e-01 | 2.19 | 0.26 | 1.00e+00 | 1.00e+00 | 2TPT1, LCP1 |
240 |
chr16p11 | 2.74e-01 | 2.00 | 0.23 | 1.00e+00 | 1.00e+00 | 2ITGAL, CORO1A |
263 |
chr11q12 | 3.72e-01 | 1.57 | 0.18 | 1.00e+00 | 1.00e+00 | 2CD5, CD6 |
333 |
chr15q14 | 2.00e-01 | 4.64 | 0.11 | 1.00e+00 | 1.00e+00 | 1RASGRP1 |
56 |
chr7p12 | 2.06e-01 | 4.47 | 0.11 | 1.00e+00 | 1.00e+00 | 1IKZF1 |
58 |
chr13q22 | 2.16e-01 | 4.25 | 0.10 | 1.00e+00 | 1.00e+00 | 1TBC1D4 |
61 |
chr1p36 | 1.00e+00 | 0.80 | 0.09 | 1.00e+00 | 1.00e+00 | 2CD52, TNFRSF4 |
656 |
chr1q31 | 2.46e-01 | 3.64 | 0.09 | 1.00e+00 | 1.00e+00 | 1PTPRC |
71 |
chr16q23 | 3.39e-01 | 2.48 | 0.06 | 1.00e+00 | 1.00e+00 | 1MAF |
104 |
chr12p12 | 3.46e-01 | 2.41 | 0.06 | 1.00e+00 | 1.00e+00 | 1ARHGDIB |
107 |
chr3p14 | 3.84e-01 | 2.11 | 0.05 | 1.00e+00 | 1.00e+00 | 1ARL6IP5 |
122 |
chr15q22 | 3.89e-01 | 2.07 | 0.05 | 1.00e+00 | 1.00e+00 | 1RORA |
124 |
chr2q24 | 3.91e-01 | 2.06 | 0.05 | 1.00e+00 | 1.00e+00 | 1CYTIP |
125 |
chr10q25 | 3.94e-01 | 2.04 | 0.05 | 1.00e+00 | 1.00e+00 | 1PDCD4 |
126 |
chr5p13 | 3.99e-01 | 2.01 | 0.05 | 1.00e+00 | 1.00e+00 | 1IL7R |
128 |
chr1p22 | 4.01e-01 | 1.99 | 0.05 | 1.00e+00 | 1.00e+00 | 1GBP5 |
129 |
chr16q24 | 4.03e-01 | 1.98 | 0.05 | 1.00e+00 | 1.00e+00 | 1RPL13 |
130 |
Dowload full table
Transcription Factor Targets:
P-value | OR | Lower 95% CI | FDR | FWER | Genes Found | Gene Set Size | |
---|---|---|---|---|---|---|---|
RYTTCCTG_ETS2_B | 3.15e-08 | 6.43 | 3.39 | 3.56e-05 | 3.56e-05 | 18LTB, ARHGDIB, CD4, PTPRC, IL7R, CD5, LCK, ETS1, ITGAL, RORA, WIPF1, LCP1, CD6, FXYD5, DGKA, ARL6IP5, CREM, CD247 |
1112 |
PEA3_Q6 | 6.66e-05 | 7.95 | 2.99 | 3.77e-02 | 7.55e-02 | 7ARHGDIB, PTPRC, CD5, LCK, SELL, PBXIP1, CD247 |
263 |
AML_Q6 | 5.92e-04 | 6.48 | 2.24 | 2.23e-01 | 6.70e-01 | 6FOXP3, IL7R, CYTIP, LCK, CD6, CREM |
269 |
TEL2_Q6 | 2.38e-03 | 5.91 | 1.81 | 3.46e-01 | 1.00e+00 | 5LCP1, FXYD5, DGKA, CD247, SMAP2 |
240 |
TGACATY_UNKNOWN | 8.59e-04 | 4.12 | 1.75 | 2.43e-01 | 9.73e-01 | 9SPOCK2, PTPRC, GBP5, WIPF1, CD27, PBXIP1, CORO1A, CREM, CD247 |
676 |
ETS_Q4 | 2.92e-03 | 5.62 | 1.73 | 3.46e-01 | 1.00e+00 | 5LCP1, FXYD5, DGKA, CORO1A, CD247 |
252 |
RACCACAR_AML_Q6 | 3.79e-03 | 5.28 | 1.62 | 3.46e-01 | 1.00e+00 | 5FOXP3, IL7R, CYTIP, LCK, CD6 |
268 |
ELK1_01 | 4.21e-03 | 5.14 | 1.58 | 3.46e-01 | 1.00e+00 | 5ARHGDIB, IL7R, LCK, LCP1, DGKA |
275 |
COREBINDINGFACTOR_Q6 | 4.28e-03 | 5.13 | 1.58 | 3.46e-01 | 1.00e+00 | 5FOXP3, TIGIT, IL7R, CYTIP, CD6 |
276 |
WTGAAAT_UNKNOWN | 2.25e-03 | 3.86 | 1.56 | 3.46e-01 | 1.00e+00 | 8FOXP3, ARHGDIB, SPOCK2, MAF, BCL11B, RORA, WIPF1, CREM |
625 |
RAG1_TARGET_GENES | 4.21e-03 | 3.02 | 1.34 | 3.46e-01 | 1.00e+00 | 10B2M, ARHGDIB, CD4, RAC2, TMSB4X, ETS1, IKZF1, DGKA, CREM, CD247 |
1046 |
CRGAARNNNNCGA_UNKNOWN | 1.55e-02 | 11.31 | 1.29 | 6.11e-01 | 1.00e+00 | 2BCL11B, TPT1 |
48 |
MNX1_TARGET_GENES | 1.98e-02 | 63.54 | 1.27 | 6.11e-01 | 1.00e+00 | 1DGKA |
5 |
ZNF777_TARGET_GENES | 1.61e-02 | 11.07 | 1.27 | 6.11e-01 | 1.00e+00 | 2LCP1, FXYD5 |
49 |
BACH2_TARGET_GENES | 6.67e-03 | 2.45 | 1.22 | 4.73e-01 | 1.00e+00 | 14ARHGDIB, IL7R, ZC3H12D, TMSB4X, CLEC2D, ITGAL, TPT1, WIPF1, LCP1, DGKA, CORO1A, CREM, CDC42SE2, SMAP2 |
1998 |
WRNIP1_TARGET_GENES | 1.01e-02 | 2.77 | 1.18 | 5.70e-01 | 1.00e+00 | 9B2M, ARHGDIB, TBC1D4, ZC3H12D, ITGAL, TPT1, WIPF1, CD27, RPL13 |
1000 |
ZMYND11_TARGET_GENES | 1.87e-02 | 10.20 | 1.17 | 6.11e-01 | 1.00e+00 | 2RPL13, ARL6IP5 |
53 |
ELF1_Q6 | 1.60e-02 | 4.44 | 1.15 | 6.11e-01 | 1.00e+00 | 4ARHGDIB, IL7R, PABPC1, ARL6IP5 |
249 |
AREB6_04 | 1.69e-02 | 4.37 | 1.13 | 6.11e-01 | 1.00e+00 | 4IL7R, CYTIP, RORA, PDCD4 |
253 |
CIZ_01 | 1.71e-02 | 4.35 | 1.13 | 6.11e-01 | 1.00e+00 | 4FOXP3, SPOCK2, BCL11B, DGKA |
254 |
Dowload full table
GO Biological Processes:
P-value | OR | Lower 95% CI | FDR | FWER | Genes Found | Gene Set Size | |
---|---|---|---|---|---|---|---|
GOBP_NEGATIVE_REGULATION_OF_VESICLE_FUSION | 2.31e-04 | 129.66 | 11.45 | 3.67e-02 | 1.00e+00 | 2TBC1D4, CORO1A |
6 |
GOBP_REGULATION_OF_DEFENSE_RESPONSE_TO_VIRUS_BY_VIRUS | 4.88e-06 | 43.39 | 10.55 | 1.30e-03 | 3.65e-02 | 4B2M, CD4, LCK, CD247 |
29 |
GOBP_T_CELL_ACTIVATION | 3.43e-15 | 16.85 | 8.92 | 2.57e-11 | 2.57e-11 | 19B2M, FOXP3, CD4, TIGIT, PTPRC, TNFRSF4, RAC2, BCL11B, IL7R, CD5, LCK, ITGAL, RORA, LCP1, RASGRP1, CD6, CD27, LAPTM5, CORO1A |
474 |
GOBP_HEMATOPOIETIC_STEM_CELL_MIGRATION | 4.28e-04 | 86.37 | 8.33 | 5.25e-02 | 1.00e+00 | 2PTPRC, BCL11B |
8 |
GOBP_NEGATIVE_REGULATION_OF_T_CELL_MEDIATED_IMMUNITY | 8.65e-05 | 41.89 | 7.68 | 1.54e-02 | 6.47e-01 | 3FOXP3, PTPRC, IL7R |
22 |
GOBP_LEUKOCYTE_CELL_CELL_ADHESION | 4.20e-12 | 15.26 | 7.67 | 1.05e-08 | 3.14e-08 | 15FOXP3, CD4, TIGIT, PTPRC, RAC2, IL7R, CD5, LCK, SELL, ETS1, ITGAL, CD6, CD27, LAPTM5, CORO1A |
366 |
GOBP_NEGATIVE_REGULATION_OF_T_CELL_MEDIATED_CYTOTOXICITY | 5.49e-04 | 74.10 | 7.33 | 6.14e-02 | 1.00e+00 | 2PTPRC, IL7R |
9 |
GOBP_LYMPHOCYTE_ACTIVATION | 5.71e-14 | 12.52 | 6.75 | 2.14e-10 | 4.28e-10 | 21B2M, FOXP3, CD4, TIGIT, PTPRC, TNFRSF4, RAC2, BCL11B, IL7R, CD5, LCK, IKZF1, ITGAL, RORA, LCP1, RASGRP1, CD6, CD27, LAPTM5, CORO1A, ITM2A |
745 |
GOBP_T_CELL_SELECTION | 3.76e-05 | 24.69 | 6.19 | 7.81e-03 | 2.81e-01 | 4FOXP3, CD4, PTPRC, BCL11B |
48 |
GOBP_POSITIVE_REGULATION_OF_LEUKOCYTE_CELL_CELL_ADHESION | 1.89e-08 | 13.95 | 6.14 | 1.57e-05 | 1.41e-04 | 10FOXP3, CD4, PTPRC, IL7R, CD5, LCK, ETS1, CD6, CD27, CORO1A |
234 |
GOBP_T_CELL_DIFFERENTIATION_IN_THYMUS | 9.75e-06 | 20.41 | 6.13 | 2.35e-03 | 7.29e-02 | 5B2M, FOXP3, PTPRC, BCL11B, IL7R |
73 |
GOBP_NEGATIVE_REGULATION_OF_INTERLEUKIN_2_PRODUCTION | 1.81e-04 | 31.85 | 5.95 | 2.94e-02 | 1.00e+00 | 3FOXP3, PTPRC, LAPTM5 |
28 |
GOBP_REGULATION_OF_T_CELL_ACTIVATION | 3.01e-09 | 12.53 | 5.90 | 3.21e-06 | 2.25e-05 | 12FOXP3, CD4, TIGIT, PTPRC, RAC2, IL7R, CD5, LCK, CD6, CD27, LAPTM5, CORO1A |
327 |
GOBP_POSITIVE_REGULATION_OF_CELL_CELL_ADHESION | 8.70e-08 | 11.75 | 5.18 | 4.95e-05 | 6.51e-04 | 10FOXP3, CD4, PTPRC, IL7R, CD5, LCK, ETS1, CD6, CD27, CORO1A |
276 |
GOBP_T_CELL_PROLIFERATION | 8.06e-07 | 12.73 | 5.09 | 3.01e-04 | 6.03e-03 | 8FOXP3, CD4, PTPRC, TNFRSF4, RAC2, RASGRP1, CD6, CORO1A |
195 |
GOBP_REGULATION_OF_CELL_CELL_ADHESION | 6.78e-09 | 10.36 | 5.02 | 6.34e-06 | 5.07e-05 | 13FOXP3, CD4, TIGIT, PTPRC, IL7R, CD5, LCK, ETS1, CD6, CD27, FXYD5, LAPTM5, CORO1A |
437 |
GOBP_T_CELL_DIFFERENTIATION | 3.91e-07 | 11.58 | 4.89 | 1.72e-04 | 2.92e-03 | 9B2M, FOXP3, CD4, PTPRC, BCL11B, IL7R, LCK, RORA, CD27 |
246 |
GOBP_INTERLEUKIN_2_PRODUCTION | 9.66e-05 | 19.05 | 4.82 | 1.68e-02 | 7.23e-01 | 4FOXP3, CD4, PTPRC, LAPTM5 |
61 |
GOBP_REGULATION_OF_CELL_ADHESION | 5.90e-10 | 9.01 | 4.68 | 8.68e-07 | 4.41e-06 | 17FOXP3, ARHGDIB, SPOCK2, CD4, TIGIT, PTPRC, RAC2, IL7R, CYTIP, CD5, LCK, ETS1, CD6, CD27, FXYD5, LAPTM5, CORO1A |
732 |
GOBP_ISOTYPE_SWITCHING_TO_IGG_ISOTYPES | 1.37e-03 | 43.30 | 4.59 | 1.11e-01 | 1.00e+00 | 2FOXP3, PTPRC |
14 |
Dowload full table
Immunological Gene Sets:
P-value | OR | Lower 95% CI | FDR | FWER | Genes Found | Gene Set Size | |
---|---|---|---|---|---|---|---|
GSE23568_CTRL_TRANSDUCED_VS_WT_CD8_TCELL_DN | 7.03e-16 | 28.93 | 14.43 | 3.43e-12 | 3.43e-12 | 15SPOCK2, TNFRSF4, RAC2, IL7R, CD5, LCK, SELL, RORA, CD6, CD27, FXYD5, LAPTM5, DGKA, CD247, ITM2A |
200 |
GSE22886_NAIVE_CD4_TCELL_VS_MONOCYTE_UP | 1.61e-14 | 26.55 | 13.00 | 1.80e-11 | 7.83e-11 | 14SPOCK2, TBC1D4, BCL11B, CD5, CLEC2D, LCK, ETS1, RORA, CD6, CD27, PBXIP1, DGKA, CD247, ITM2A |
197 |
GSE22886_NAIVE_TCELL_VS_MONOCYTE_UP | 1.72e-14 | 26.41 | 12.93 | 1.80e-11 | 8.39e-11 | 14LTB, SPOCK2, TBC1D4, BCL11B, CD5, CLEC2D, LCK, RORA, CD6, CD27, PBXIP1, DGKA, CD247, PDCD4 |
198 |
GSE10325_LUPUS_CD4_TCELL_VS_LUPUS_BCELL_UP | 1.85e-14 | 26.27 | 12.86 | 1.80e-11 | 8.99e-11 | 14SPOCK2, TBC1D4, MAF, CD4, TNFRSF4, BCL11B, IL7R, CD5, LCK, CD6, PBXIP1, DGKA, CD247, ITM2A |
199 |
GSE22886_NAIVE_CD8_TCELL_VS_MONOCYTE_UP | 1.85e-14 | 26.27 | 12.86 | 1.80e-11 | 8.99e-11 | 14LTB, SPOCK2, TBC1D4, BCL11B, CD5, CLEC2D, LCK, ETS1, RORA, CD6, CD27, CD247, ITM2A, PDCD4 |
199 |
GSE10325_LUPUS_CD4_TCELL_VS_LUPUS_MYELOID_UP | 4.72e-13 | 23.60 | 11.32 | 3.83e-10 | 2.30e-09 | 13LTB, SPOCK2, TBC1D4, BCL11B, CLEC2D, LCK, RASGRP1, CD6, CD27, PBXIP1, CD247, ITM2A, PDCD4 |
199 |
GSE22886_NAIVE_CD4_TCELL_VS_DC_UP | 9.65e-12 | 21.32 | 9.98 | 5.09e-09 | 4.70e-08 | 12SPOCK2, TBC1D4, BCL11B, CD5, CLEC2D, ETS1, IKZF1, RORA, CD6, CD27, PBXIP1, CD247 |
197 |
GSE22886_CD4_TCELL_VS_BCELL_NAIVE_UP | 1.02e-11 | 21.21 | 9.93 | 5.09e-09 | 4.98e-08 | 12SPOCK2, CD4, BCL11B, IL7R, CD5, ITGAL, RORA, CD6, CD27, PBXIP1, CD247, ITM2A |
198 |
GSE10325_CD4_TCELL_VS_MYELOID_UP | 1.08e-11 | 21.10 | 9.88 | 5.09e-09 | 5.29e-08 | 12SPOCK2, TBC1D4, MAF, BCL11B, CLEC2D, LCK, RORA, CD6, PBXIP1, DGKA, CD247, ITM2A |
199 |
GSE23568_ID3_TRANSDUCED_VS_ID3_KO_CD8_TCELL_DN | 1.15e-11 | 20.99 | 9.83 | 5.09e-09 | 5.60e-08 | 12B2M, CD4, TNFRSF4, IL7R, CYTIP, SELL, ETS1, TPT1, CD6, DGKA, CDC42SE2, ITM2A |
200 |
GSE23568_ID3_TRANSDUCED_VS_ID3_KO_CD8_TCELL_UP | 1.15e-11 | 20.99 | 9.83 | 5.09e-09 | 5.60e-08 | 12B2M, TNFRSF4, RAC2, IL7R, CD5, RORA, CD6, CD27, FXYD5, DGKA, CD247, ITM2A |
200 |
GSE22886_NAIVE_TCELL_VS_NKCELL_UP | 3.90e-09 | 16.62 | 7.30 | 1.31e-06 | 1.90e-05 | 10LTB, TBC1D4, BCL11B, IL7R, CD5, PABPC1, CD27, PBXIP1, DGKA, ITM2A |
198 |
GSE22886_TCELL_VS_BCELL_NAIVE_UP | 4.09e-09 | 16.53 | 7.26 | 1.31e-06 | 1.99e-05 | 10SPOCK2, BCL11B, IL7R, LCK, ITGAL, CD27, PBXIP1, DGKA, CD247, ITM2A |
199 |
GSE22886_NAIVE_TCELL_VS_DC_UP | 4.09e-09 | 16.53 | 7.26 | 1.31e-06 | 1.99e-05 | 10BCL11B, CLEC2D, SELL, SMCHD1, RASGRP1, CD6, PBXIP1, DGKA, CD247, PDCD4 |
199 |
GSE22886_NAIVE_CD8_TCELL_VS_DC_UP | 4.09e-09 | 16.53 | 7.26 | 1.31e-06 | 1.99e-05 | 10LTB, TBC1D4, BCL11B, CD5, CLEC2D, ETS1, IKZF1, CD6, PBXIP1, ITM2A |
199 |
GSE20715_0H_VS_24H_OZONE_LUNG_UP | 4.29e-09 | 16.45 | 7.22 | 1.31e-06 | 2.09e-05 | 10ARHGDIB, PTPRC, RAC2, SELL, ETS1, CD6, CD27, CORO1A, CDC42SE2, PDCD4 |
200 |
GSE16450_IMMATURE_VS_MATURE_NEURON_CELL_LINE_UP | 5.33e-08 | 14.83 | 6.24 | 1.53e-05 | 2.60e-04 | 9ARHGDIB, SPOCK2, CD52, BCL11B, IL7R, RASGRP1, PBXIP1, LAPTM5, PDCD4 |
194 |
GSE10325_CD4_TCELL_VS_BCELL_UP | 6.34e-08 | 14.52 | 6.11 | 1.61e-05 | 3.09e-04 | 9TBC1D4, MAF, BCL11B, LCK, RORA, RASGRP1, CD6, CD247, ITM2A |
198 |
GSE1460_INTRATHYMIC_T_PROGENITOR_VS_CD4_THYMOCYTE_DN | 6.62e-08 | 14.44 | 6.08 | 1.61e-05 | 3.22e-04 | 9LTB, SPOCK2, PTPRC, RAC2, CLEC2D, CD6, CD27, ARL6IP5, PDCD4 |
199 |
GSE15735_2H_VS_12H_HDAC_INHIBITOR_TREATED_CD4_TCELL_UP | 6.62e-08 | 14.44 | 6.08 | 1.61e-05 | 3.22e-04 | 9FOXP3, TBC1D4, CD4, TNFRSF4, BCL11B, CYTIP, CD5, CD247, ITM2A |
199 |
Top Ranked Transcription Factors for this Gene Expression Program:
Gene Symbol | TF Rank | DNA Binding Domain | Motif Status | IUPAC PWM | GTEx | DepMap | Decartes |
---|---|---|---|---|---|---|---|
FOXP3 | 3 | Yes | Known motif | Monomer or homomultimer | High-throughput in vitro | None | None |
MAF | 7 | Yes | Known motif | Monomer or homomultimer | High-throughput in vitro | None | None |
TNFRSF4 | 12 | No | Unlikely to be sequence specific TF | Not a DNA binding protein | No motif | None | Operates far upstream in the signaling cascade |
BCL11B | 14 | Yes | Known motif | Monomer or homomultimer | High-throughput in vitro | None | None |
ETS1 | 24 | Yes | Known motif | Monomer or homomultimer | High-throughput in vitro | None | None |
IKZF1 | 26 | Yes | Known motif | Monomer or homomultimer | In vivo/Misc source | Only known motifs are from Transfac or HocoMoco - origin is uncertain | None |
RORA | 28 | Yes | Known motif | Monomer or homomultimer | High-throughput in vitro | None | None |
CREM | 45 | Yes | Known motif | Monomer or homomultimer | High-throughput in vitro | None | None |
MBNL1 | 59 | No | ssDNA/RNA binding | Not a DNA binding protein | No motif | None | None |
IKZF2 | 71 | Yes | Known motif | Monomer or homomultimer | In vivo/Misc source | Only known motifs are from Transfac or HocoMoco - origin is uncertain | None |
IKZF3 | 86 | Yes | Known motif | Monomer or homomultimer | High-throughput in vitro | ChIP-seq motif is consistent with recognition code (RCADE) | None |
LEF1 | 88 | Yes | Known motif | Monomer or homomultimer | High-throughput in vitro | None | None |
TCF7 | 91 | Yes | Known motif | Monomer or homomultimer | High-throughput in vitro | None | None |
PRKCQ | 92 | No | Unlikely to be sequence specific TF | Not a DNA binding protein | No motif | None | None |
CYLD | 93 | No | Unlikely to be sequence specific TF | Not a DNA binding protein | No motif | None | None |
FOXP1 | 104 | Yes | Known motif | Monomer or homomultimer | High-throughput in vitro | Has a putative AT-hook | None |
KAT2B | 114 | No | Unlikely to be sequence specific TF | Not a DNA binding protein | No motif | None | Interacts with TFs to modify histones (PMID: 9707565) |
STAT5B | 133 | Yes | Known motif | Monomer or homomultimer | In vivo/Misc source | Only known motifs are from Transfac or HocoMoco - origin is uncertain | Can form both homodimers and heterodimers with STAT5A (PMID: 9528750) |
ATM | 149 | No | Unlikely to be sequence specific TF | Not a DNA binding protein | No motif | None | Kinase protein that binds to and activates certain TFs |
RBL2 | 151 | No | Unlikely to be sequence specific TF | Not a DNA binding protein | No motif | None | Transcriptional co-repressor |
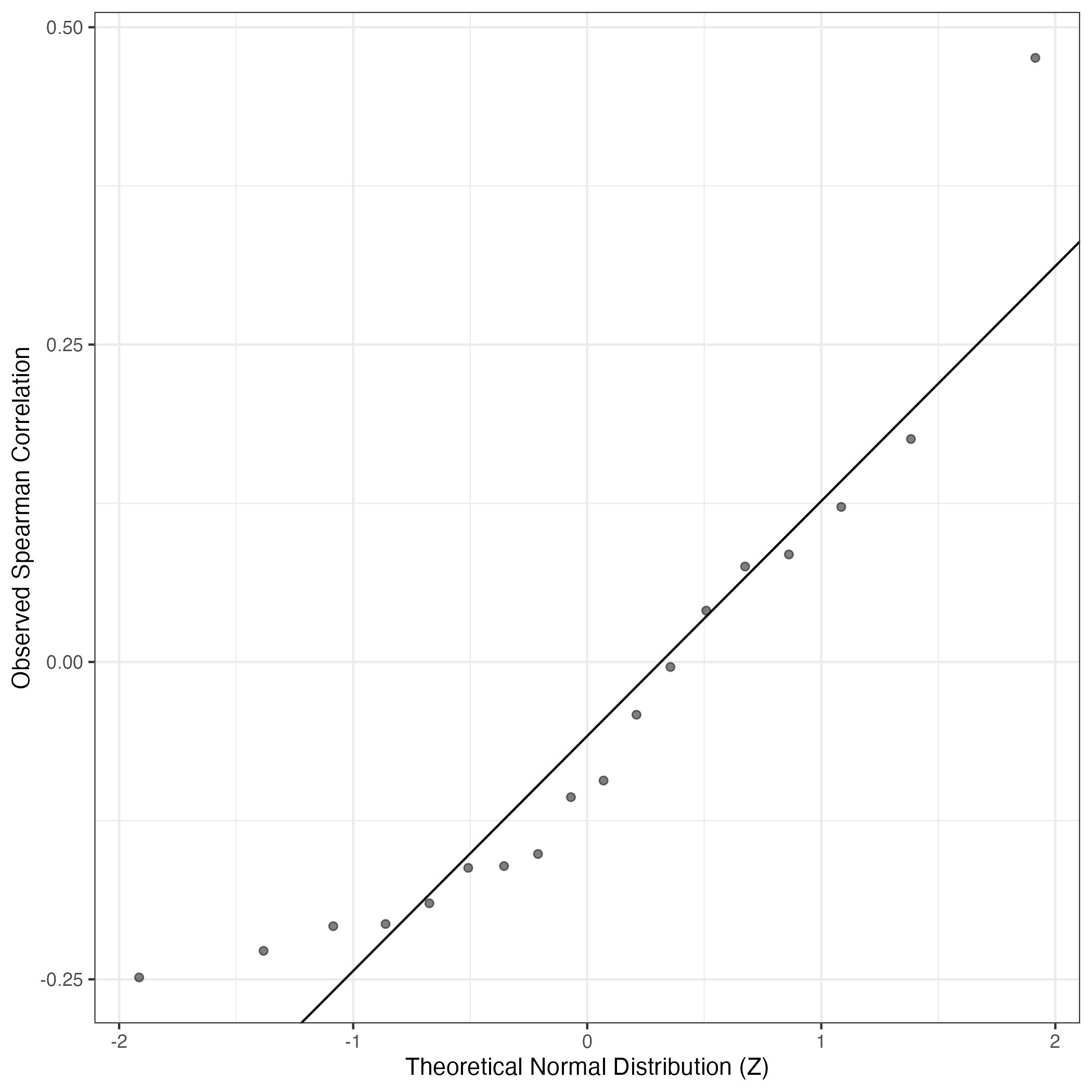
QQ Plot showing correlations with other GEPs in this dataset, calculated by Spearman correlation:
Interactive QQ-plot of gene loadings:
A similar QQ-plot as above, but only for instances where the H value is e.g. > 25, i.e. we are confident that the expression program is active above noise. Agreemenet between these binary vectors is tested using the Jaccard Index, with the P-values calculated by an exact test:
Interactive QQ-plot:
Singler cell type annotations for the top 50 cells on this program.
Cell ID | Singler label | Singler Delta | Activity Score | Top Singler Raw Scores |
---|---|---|---|---|
WK026-A7 | T_cell:CD4+_central_memory | 0.23 | 535.11 | Raw ScoresT_cell:CD4+_central_memory: 0.59, T_cell:gamma-delta: 0.58, T_cell:CD4+_effector_memory: 0.58, T_cell:Treg:Naive: 0.58, T_cell:effector: 0.57, T_cell:CCR10-CLA+1,25(OH)2_vit_D3/IL-12: 0.56, T_cell:CD4+: 0.56, T_cell:CCR10+CLA+1,25(OH)2_vit_D3/IL-12: 0.56, NK_cell:IL2: 0.55, T_cell:CD8+: 0.55 |
WK018-N5 | T_cell:CD4+_central_memory | 0.15 | 450.77 | Raw ScoresT_cell:CD4+_effector_memory: 0.48, T_cell:gamma-delta: 0.48, T_cell:CD4+_central_memory: 0.48, T_cell:Treg:Naive: 0.48, NK_cell: 0.47, NK_cell:IL2: 0.47, T_cell:CD8+_Central_memory: 0.46, T_cell:CD4+: 0.46, T_cell:CD8+: 0.46, T_cell:CD8+_effector_memory_RA: 0.45 |
WK026-E10 | T_cell:CD4+_central_memory | 0.23 | 379.06 | Raw ScoresT_cell:CD4+_central_memory: 0.57, T_cell:CD4+_effector_memory: 0.56, T_cell:CD4+: 0.55, T_cell:Treg:Naive: 0.55, T_cell:CD4+_Naive: 0.55, T_cell:CD8+: 0.54, T_cell:gamma-delta: 0.53, NK_cell:IL2: 0.52, NK_cell: 0.52, T_cell:effector: 0.51 |
WK021-J19 | T_cell:CD4+_central_memory | 0.18 | 369.16 | Raw ScoresT_cell:CD4+_central_memory: 0.51, T_cell:CD4+_effector_memory: 0.51, T_cell:CD4+: 0.49, T_cell:Treg:Naive: 0.49, NK_cell: 0.48, T_cell:CD8+: 0.48, T_cell:CD4+_Naive: 0.48, NK_cell:IL2: 0.47, T_cell:gamma-delta: 0.47, NK_cell:CD56hiCD62L+: 0.46 |
WK019-C13 | T_cell:Treg:Naive | 0.15 | 358.61 | Raw ScoresT_cell:Treg:Naive: 0.4, T_cell:CD4+_effector_memory: 0.4, T_cell:CD4+_central_memory: 0.4, NK_cell: 0.39, NK_cell:IL2: 0.38, T_cell:CD4+: 0.38, T_cell:gamma-delta: 0.38, T_cell:CD8+_Central_memory: 0.38, T_cell:CD8+_naive: 0.37, T_cell:CD8+_effector_memory_RA: 0.37 |
WK019-E21 | T_cell:CD4+_central_memory | 0.15 | 347.44 | Raw ScoresT_cell:CD4+_central_memory: 0.44, T_cell:CD4+_effector_memory: 0.44, T_cell:Treg:Naive: 0.44, T_cell:gamma-delta: 0.42, NK_cell:IL2: 0.42, T_cell:CD4+: 0.42, NK_cell: 0.42, T_cell:CD8+_Central_memory: 0.41, T_cell:CD8+: 0.41, T_cell:CD8+_effector_memory_RA: 0.41 |
WK036-O11 | T_cell:CD4+_central_memory | 0.17 | 340.54 | Raw ScoresT_cell:CD4+_central_memory: 0.51, T_cell:CD4+_effector_memory: 0.5, NK_cell: 0.49, NK_cell:IL2: 0.49, T_cell:gamma-delta: 0.49, T_cell:Treg:Naive: 0.48, T_cell:CD4+_Naive: 0.48, T_cell:CD4+: 0.48, T_cell:CD8+: 0.48, T_cell:CD8+_Central_memory: 0.48 |
KK057-L3 | T_cell:CD4+_central_memory | 0.18 | 325.60 | Raw ScoresT_cell:gamma-delta: 0.59, NK_cell:IL2: 0.57, T_cell:effector: 0.57, T_cell:CCR10-CLA+1,25(OH)2_vit_D3/IL-12: 0.57, T_cell:CCR10+CLA+1,25(OH)2_vit_D3/IL-12: 0.56, NK_cell: 0.56, T_cell:CD4+_central_memory: 0.56, T_cell:CD4+_effector_memory: 0.55, T_cell:Treg:Naive: 0.55, T_cell:CD8+: 0.54 |
WK100-P1 | T_cell:CD4+_central_memory | 0.18 | 319.85 | Raw ScoresT_cell:gamma-delta: 0.5, T_cell:CD4+_central_memory: 0.48, T_cell:Treg:Naive: 0.48, T_cell:CD4+_effector_memory: 0.48, T_cell:effector: 0.47, T_cell:CCR10-CLA+1,25(OH)2_vit_D3/IL-12: 0.47, T_cell:CCR10+CLA+1,25(OH)2_vit_D3/IL-12: 0.47, NK_cell:IL2: 0.46, NK_cell: 0.46, T_cell:CD4+: 0.46 |
KK056-P23 | T_cell:CD8+_naive | 0.08 | 317.30 | Raw ScoresNK_cell: 0.52, NK_cell:CD56hiCD62L+: 0.5, T_cell:CD4+: 0.5, NK_cell:IL2: 0.5, T_cell:CD4+_central_memory: 0.5, T_cell:CD8+: 0.49, T_cell:CD4+_effector_memory: 0.49, B_cell:Memory: 0.49, T_cell:CD8+_Central_memory: 0.48, T_cell:CD4+_Naive: 0.48 |
WK034-F10 | T_cell:gamma-delta | 0.25 | 312.89 | Raw ScoresT_cell:gamma-delta: 0.63, T_cell:CCR10-CLA+1,25(OH)2_vit_D3/IL-12: 0.6, T_cell:effector: 0.6, NK_cell:IL2: 0.6, T_cell:CCR10+CLA+1,25(OH)2_vit_D3/IL-12: 0.6, T_cell:CD4+_effector_memory: 0.59, T_cell:CD4+_central_memory: 0.59, T_cell:Treg:Naive: 0.58, NK_cell: 0.57, T_cell:CD8+: 0.56 |
WK019-D8 | T_cell:CD4+_central_memory | 0.16 | 300.43 | Raw ScoresT_cell:CD4+_central_memory: 0.43, T_cell:CD4+_effector_memory: 0.43, T_cell:Treg:Naive: 0.43, T_cell:gamma-delta: 0.42, T_cell:CD4+: 0.42, NK_cell: 0.41, NK_cell:IL2: 0.41, T_cell:CD4+_Naive: 0.41, T_cell:CD8+_Central_memory: 0.4, T_cell:CD8+: 0.4 |
WK019-A17 | T_cell:Treg:Naive | 0.15 | 293.73 | Raw ScoresT_cell:CD4+_effector_memory: 0.47, T_cell:CD4+_central_memory: 0.46, T_cell:Treg:Naive: 0.46, T_cell:gamma-delta: 0.45, T_cell:CD4+: 0.44, T_cell:CD8+: 0.44, NK_cell:IL2: 0.44, NK_cell: 0.44, T_cell:CD8+_Central_memory: 0.43, T_cell:effector: 0.43 |
WK018-F2 | T_cell:gamma-delta | 0.17 | 276.31 | Raw ScoresT_cell:gamma-delta: 0.49, T_cell:effector: 0.47, T_cell:CCR10-CLA+1,25(OH)2_vit_D3/IL-12: 0.46, T_cell:CD4+_effector_memory: 0.46, T_cell:CD4+_central_memory: 0.46, T_cell:CCR10+CLA+1,25(OH)2_vit_D3/IL-12: 0.46, NK_cell:IL2: 0.46, T_cell:Treg:Naive: 0.45, NK_cell: 0.45, T_cell:CD8+_Central_memory: 0.44 |
WK026-M9 | T_cell:CD4+_central_memory | 0.19 | 262.14 | Raw ScoresT_cell:CD4+_central_memory: 0.51, T_cell:CD4+_effector_memory: 0.5, T_cell:Treg:Naive: 0.49, T_cell:CD4+: 0.49, T_cell:CD8+: 0.48, T_cell:CD4+_Naive: 0.48, NK_cell: 0.47, T_cell:gamma-delta: 0.46, NK_cell:IL2: 0.46, T_cell:CD8+_Central_memory: 0.45 |
WK071-B17 | T_cell:CD4+_central_memory | 0.19 | 258.70 | Raw ScoresT_cell:CD4+_central_memory: 0.47, T_cell:CD4+_effector_memory: 0.47, T_cell:CD4+_Naive: 0.45, T_cell:CD4+: 0.45, T_cell:CD8+: 0.44, NK_cell: 0.43, NK_cell:IL2: 0.43, T_cell:Treg:Naive: 0.43, T_cell:CD8+_naive: 0.42, T_cell:CD8+_Central_memory: 0.42 |
WK026-B12 | T_cell:CD4+_central_memory | 0.19 | 240.73 | Raw ScoresT_cell:CD4+_central_memory: 0.48, T_cell:CD4+_effector_memory: 0.48, T_cell:Treg:Naive: 0.46, T_cell:CD4+: 0.46, T_cell:CD4+_Naive: 0.46, T_cell:CD8+: 0.45, NK_cell: 0.44, T_cell:CD8+_Central_memory: 0.43, T_cell:CD8+_effector_memory: 0.43, NK_cell:IL2: 0.43 |
WK065-E2 | Macrophage:monocyte-derived:M-CSF/IFNg/Pam3Cys | 0.13 | 240.00 | Raw ScoresMonocyte:leukotriene_D4: 0.51, Monocyte:anti-FcgRIIB: 0.49, Monocyte: 0.49, DC:monocyte-derived:anti-DC-SIGN_2h: 0.48, Macrophage:monocyte-derived:M-CSF/IFNg: 0.48, Macrophage:monocyte-derived:M-CSF/IFNg/Pam3Cys: 0.48, Macrophage:monocyte-derived:M-CSF: 0.48, Macrophage:monocyte-derived:IFNa: 0.48, Pre-B_cell_CD34-: 0.48, Monocyte:CD16+: 0.47 |
WK021-H10 | T_cell:CD4+_central_memory | 0.19 | 235.94 | Raw ScoresT_cell:CD4+_effector_memory: 0.48, T_cell:CD4+_central_memory: 0.47, NK_cell: 0.46, T_cell:CD4+: 0.46, NK_cell:IL2: 0.45, T_cell:CD8+_Central_memory: 0.45, T_cell:Treg:Naive: 0.45, T_cell:CD8+: 0.45, T_cell:CD8+_effector_memory_RA: 0.45, T_cell:CD4+_Naive: 0.45 |
WK026-D10 | T_cell:CD4+_effector_memory | 0.19 | 230.57 | Raw ScoresT_cell:CD4+_effector_memory: 0.48, T_cell:CD4+_central_memory: 0.48, T_cell:CD4+: 0.46, T_cell:Treg:Naive: 0.46, T_cell:CD4+_Naive: 0.45, NK_cell: 0.45, T_cell:CD8+: 0.45, NK_cell:IL2: 0.45, T_cell:gamma-delta: 0.44, T_cell:CD8+_Central_memory: 0.44 |
WK026-K5 | T_cell:CD4+_central_memory | 0.19 | 229.41 | Raw ScoresT_cell:CD4+_central_memory: 0.46, T_cell:CD4+_effector_memory: 0.46, T_cell:Treg:Naive: 0.44, T_cell:CD4+: 0.44, NK_cell: 0.43, T_cell:CD4+_Naive: 0.43, T_cell:CD8+: 0.43, NK_cell:IL2: 0.42, T_cell:CD8+_Central_memory: 0.42, T_cell:gamma-delta: 0.41 |
WK026-M4 | T_cell:CD4+_central_memory | 0.20 | 212.08 | Raw ScoresT_cell:CD4+_central_memory: 0.48, T_cell:CD4+_effector_memory: 0.48, T_cell:Treg:Naive: 0.47, T_cell:CD4+: 0.47, T_cell:CD8+: 0.46, T_cell:CD4+_Naive: 0.45, T_cell:gamma-delta: 0.44, NK_cell: 0.44, NK_cell:IL2: 0.43, NK_cell:CD56hiCD62L+: 0.42 |
WK038-N11 | T_cell:CD8+_naive | 0.15 | 210.76 | Raw ScoresT_cell:CD4+_effector_memory: 0.43, T_cell:CD4+_central_memory: 0.43, T_cell:CD8+_Central_memory: 0.42, NK_cell: 0.42, T_cell:Treg:Naive: 0.41, NK_cell:IL2: 0.41, T_cell:CD8+_naive: 0.41, T_cell:CD4+: 0.41, T_cell:CD8+_effector_memory_RA: 0.4, T_cell:gamma-delta: 0.4 |
WK013-N22 | T_cell:CD8+_naive | 0.15 | 204.60 | Raw ScoresT_cell:CD8+_Central_memory: 0.4, T_cell:CD4+_central_memory: 0.4, T_cell:CD4+_effector_memory: 0.4, NK_cell: 0.4, T_cell:CD8+_naive: 0.4, T_cell:Treg:Naive: 0.39, T_cell:CD8+_effector_memory_RA: 0.39, NK_cell:IL2: 0.39, T_cell:CD4+: 0.38, T_cell:gamma-delta: 0.38 |
WK079-E10 | T_cell:CD8+_naive | 0.13 | 201.26 | Raw ScoresNK_cell: 0.43, NK_cell:IL2: 0.42, T_cell:CD4+_effector_memory: 0.42, T_cell:CD4+_central_memory: 0.42, T_cell:CD8+_Central_memory: 0.42, T_cell:CD8+_naive: 0.41, T_cell:CD8+_effector_memory_RA: 0.41, NK_cell:CD56hiCD62L+: 0.41, T_cell:CD8+: 0.41, T_cell:CD4+: 0.4 |
WK016-L15 | T_cell:gamma-delta | 0.18 | 196.85 | Raw ScoresT_cell:gamma-delta: 0.51, T_cell:effector: 0.49, T_cell:CCR10-CLA+1,25(OH)2_vit_D3/IL-12: 0.48, NK_cell:IL2: 0.48, T_cell:CCR10+CLA+1,25(OH)2_vit_D3/IL-12: 0.48, T_cell:CD4+_effector_memory: 0.47, T_cell:CD4+_central_memory: 0.47, T_cell:Treg:Naive: 0.46, NK_cell: 0.46, T_cell:CD8+_Central_memory: 0.45 |
WK038-A16 | T_cell:CD8+_naive | 0.16 | 196.68 | Raw ScoresT_cell:CD4+_effector_memory: 0.46, T_cell:CD4+_central_memory: 0.45, NK_cell: 0.45, T_cell:CD8+_Central_memory: 0.44, NK_cell:IL2: 0.44, T_cell:CD8+_naive: 0.44, T_cell:CD8+_effector_memory_RA: 0.43, T_cell:CD4+: 0.43, T_cell:CD8+: 0.43, NK_cell:CD56hiCD62L+: 0.43 |
WK018-M20 | T_cell:CD4+_central_memory | 0.13 | 192.28 | Raw ScoresT_cell:CD4+_central_memory: 0.39, T_cell:CD4+_effector_memory: 0.38, T_cell:Treg:Naive: 0.38, T_cell:gamma-delta: 0.37, NK_cell: 0.37, NK_cell:IL2: 0.37, T_cell:CD8+_Central_memory: 0.36, T_cell:CD4+: 0.36, T_cell:CD8+_effector_memory_RA: 0.36, T_cell:CD4+_Naive: 0.36 |
WK019-E20 | T_cell:CD4+_effector_memory | 0.17 | 191.10 | Raw ScoresT_cell:CD4+_effector_memory: 0.45, T_cell:CD4+_central_memory: 0.44, T_cell:CD8+_Central_memory: 0.43, NK_cell: 0.43, T_cell:CD8+_effector_memory_RA: 0.42, T_cell:CD4+: 0.42, T_cell:CD8+_naive: 0.42, NK_cell:IL2: 0.42, T_cell:CD8+: 0.42, T_cell:gamma-delta: 0.42 |
KK002-O17 | T_cell:CD4+_central_memory | 0.14 | 190.78 | Raw ScoresT_cell:CD4+_central_memory: 0.39, T_cell:CD4+_effector_memory: 0.39, T_cell:Treg:Naive: 0.38, NK_cell: 0.37, T_cell:CD8+_Central_memory: 0.37, T_cell:CD4+: 0.37, T_cell:gamma-delta: 0.37, T_cell:CD8+_naive: 0.37, T_cell:CD8+_effector_memory_RA: 0.36, T_cell:CD4+_Naive: 0.36 |
WK065-I15 | T_cell:CD8+_effector_memory | 0.13 | 189.79 | Raw ScoresT_cell:CD4+_central_memory: 0.44, T_cell:CD4+_effector_memory: 0.44, T_cell:CD4+_Naive: 0.43, T_cell:CD8+: 0.43, T_cell:CD4+: 0.42, T_cell:CD8+_effector_memory: 0.42, NK_cell: 0.42, T_cell:CD8+_naive: 0.41, T_cell:CD8+_Central_memory: 0.41, NK_cell:IL2: 0.41 |
KK057-A9 | T_cell:CD4+_central_memory | 0.15 | 188.95 | Raw ScoresT_cell:CD4+_central_memory: 0.41, T_cell:CD4+_effector_memory: 0.4, T_cell:CD4+: 0.39, T_cell:CD8+_Central_memory: 0.39, T_cell:CD8+_naive: 0.39, NK_cell: 0.39, T_cell:Treg:Naive: 0.39, T_cell:CD8+_effector_memory_RA: 0.38, T_cell:CD8+_effector_memory: 0.38, T_cell:CD4+_Naive: 0.38 |
KK056-B9 | T_cell:CD4+_central_memory | 0.13 | 188.81 | Raw ScoresT_cell:CD4+_central_memory: 0.41, T_cell:Treg:Naive: 0.4, T_cell:CD4+_effector_memory: 0.4, NK_cell: 0.4, T_cell:CD8+_Central_memory: 0.39, T_cell:CD4+: 0.39, NK_cell:IL2: 0.39, T_cell:CD4+_Naive: 0.39, NK_cell:CD56hiCD62L+: 0.39, T_cell:CD8+_effector_memory_RA: 0.39 |
WK013-F18 | T_cell:Treg:Naive | 0.15 | 187.61 | Raw ScoresT_cell:Treg:Naive: 0.4, T_cell:CD4+_effector_memory: 0.4, T_cell:CD4+_central_memory: 0.39, T_cell:gamma-delta: 0.39, NK_cell: 0.39, NK_cell:IL2: 0.39, T_cell:CD8+_Central_memory: 0.39, T_cell:CD4+: 0.38, T_cell:CD8+_effector_memory_RA: 0.38, T_cell:CD8+_naive: 0.37 |
WK013-B11 | T_cell:CD8+_naive | 0.16 | 186.87 | Raw ScoresT_cell:CD8+_Central_memory: 0.43, T_cell:CD4+_effector_memory: 0.43, T_cell:CD4+_central_memory: 0.43, NK_cell: 0.43, T_cell:CD8+_naive: 0.42, T_cell:CD8+_effector_memory_RA: 0.42, T_cell:Treg:Naive: 0.42, NK_cell:IL2: 0.41, T_cell:gamma-delta: 0.41, T_cell:CD4+: 0.41 |
WK019-L15 | T_cell:gamma-delta | 0.17 | 184.86 | Raw ScoresT_cell:gamma-delta: 0.46, T_cell:CD4+_effector_memory: 0.44, T_cell:effector: 0.44, T_cell:CD4+_central_memory: 0.44, T_cell:CCR10-CLA+1,25(OH)2_vit_D3/IL-12: 0.44, T_cell:Treg:Naive: 0.44, NK_cell: 0.43, NK_cell:IL2: 0.43, T_cell:CCR10+CLA+1,25(OH)2_vit_D3/IL-12: 0.43, T_cell:CD8+_Central_memory: 0.43 |
WK019-B10 | T_cell:CD4+_effector_memory | 0.13 | 181.66 | Raw ScoresT_cell:CD4+_central_memory: 0.35, T_cell:CD4+_effector_memory: 0.35, T_cell:Treg:Naive: 0.34, T_cell:gamma-delta: 0.34, NK_cell: 0.33, T_cell:CD4+: 0.33, NK_cell:IL2: 0.33, T_cell:CD8+_Central_memory: 0.32, T_cell:CD8+: 0.32, T_cell:CD8+_effector_memory_RA: 0.32 |
KK055-F3 | T_cell:CD4+_central_memory | 0.15 | 177.89 | Raw ScoresT_cell:CD4+_central_memory: 0.41, T_cell:CD4+_effector_memory: 0.4, T_cell:CD4+: 0.4, T_cell:Treg:Naive: 0.39, T_cell:CD4+_Naive: 0.39, NK_cell: 0.39, T_cell:CD8+: 0.38, NK_cell:IL2: 0.38, B_cell:Memory: 0.38, T_cell:gamma-delta: 0.38 |
WK019-D16 | T_cell:gamma-delta | 0.24 | 175.41 | Raw ScoresT_cell:gamma-delta: 0.56, T_cell:effector: 0.53, T_cell:CCR10-CLA+1,25(OH)2_vit_D3/IL-12: 0.53, T_cell:CCR10+CLA+1,25(OH)2_vit_D3/IL-12: 0.52, NK_cell:IL2: 0.52, T_cell:Treg:Naive: 0.51, T_cell:CD4+_effector_memory: 0.51, NK_cell: 0.5, T_cell:CD4+_central_memory: 0.5, T_cell:CD8+: 0.5 |
WK026-L15 | T_cell:CD4+_central_memory | 0.19 | 175.14 | Raw ScoresT_cell:CD4+_central_memory: 0.49, T_cell:CD4+_effector_memory: 0.49, T_cell:CD4+: 0.47, T_cell:CD4+_Naive: 0.47, NK_cell: 0.47, T_cell:CD8+: 0.46, T_cell:Treg:Naive: 0.46, NK_cell:IL2: 0.46, T_cell:gamma-delta: 0.45, NK_cell:CD56hiCD62L+: 0.45 |
KK056-N8 | NK_cell:CD56hiCD62L+ | 0.15 | 173.92 | Raw ScoresNK_cell:IL2: 0.56, NK_cell: 0.56, T_cell:gamma-delta: 0.55, T_cell:effector: 0.54, T_cell:CCR10-CLA+1,25(OH)2_vit_D3/IL-12: 0.53, NK_cell:CD56hiCD62L+: 0.53, T_cell:CCR10+CLA+1,25(OH)2_vit_D3/IL-12: 0.53, Pro-B_cell_CD34+: 0.53, T_cell:CD4+_central_memory: 0.52, T_cell:CD8+: 0.52 |
WK026-G8 | T_cell:CD4+_central_memory | 0.18 | 173.32 | Raw ScoresT_cell:CD4+_central_memory: 0.43, T_cell:CD4+_effector_memory: 0.43, T_cell:CD4+_Naive: 0.42, T_cell:CD8+_effector_memory: 0.41, T_cell:CD4+: 0.41, T_cell:Treg:Naive: 0.41, NK_cell: 0.4, T_cell:CD8+_naive: 0.4, T_cell:CD8+_Central_memory: 0.4, T_cell:CD8+: 0.4 |
KK053-M17 | T_cell:Treg:Naive | 0.11 | 168.66 | Raw ScoresT_cell:Treg:Naive: 0.35, T_cell:CD4+_central_memory: 0.33, T_cell:CD4+_effector_memory: 0.33, NK_cell:IL2: 0.33, NK_cell: 0.33, T_cell:gamma-delta: 0.33, T_cell:CD4+: 0.33, T_cell:CD8+_Central_memory: 0.32, T_cell:CD8+: 0.31, T_cell:CD8+_naive: 0.31 |
WK099-M12 | T_cell:gamma-delta | 0.16 | 168.55 | Raw ScoresT_cell:gamma-delta: 0.45, T_cell:CD4+_effector_memory: 0.44, T_cell:CD4+_central_memory: 0.43, NK_cell:IL2: 0.42, NK_cell: 0.42, T_cell:effector: 0.42, T_cell:Treg:Naive: 0.42, T_cell:CD8+_Central_memory: 0.42, T_cell:CCR10-CLA+1,25(OH)2_vit_D3/IL-12: 0.42, T_cell:CD8+_effector_memory_RA: 0.41 |
WK038-J11 | T_cell:CD8+_naive | 0.17 | 168.05 | Raw ScoresT_cell:CD4+_effector_memory: 0.47, T_cell:CD4+_central_memory: 0.47, NK_cell: 0.46, T_cell:CD8+_Central_memory: 0.46, NK_cell:IL2: 0.45, T_cell:CD8+_effector_memory_RA: 0.45, T_cell:CD8+_naive: 0.45, T_cell:CD4+: 0.45, T_cell:Treg:Naive: 0.44, T_cell:CD8+: 0.44 |
WK018-M19 | T_cell:CD4+_effector_memory | 0.15 | 167.80 | Raw ScoresT_cell:CD4+_effector_memory: 0.39, T_cell:CD4+_central_memory: 0.39, T_cell:gamma-delta: 0.37, T_cell:CD4+: 0.37, T_cell:CD4+_Naive: 0.37, NK_cell: 0.37, NK_cell:IL2: 0.36, T_cell:CD8+_Central_memory: 0.36, T_cell:CD8+: 0.36, T_cell:Treg:Naive: 0.36 |
WK071-L15 | T_cell:CD8+_naive | 0.14 | 166.94 | Raw ScoresT_cell:CD4+_central_memory: 0.38, T_cell:CD4+_effector_memory: 0.38, T_cell:CD8+: 0.38, NK_cell: 0.37, T_cell:CD4+: 0.37, T_cell:CD4+_Naive: 0.37, T_cell:CD8+_naive: 0.37, T_cell:CD8+_Central_memory: 0.37, T_cell:CD8+_effector_memory_RA: 0.37, NK_cell:IL2: 0.37 |
WK056-I13 | T_cell:CD4+_central_memory | 0.12 | 162.71 | Raw ScoresT_cell:Treg:Naive: 0.37, T_cell:CD4+_central_memory: 0.37, T_cell:CD4+_effector_memory: 0.36, NK_cell: 0.36, T_cell:CD4+: 0.35, T_cell:CD8+_naive: 0.35, T_cell:CD8+_Central_memory: 0.35, NK_cell:IL2: 0.35, NK_cell:CD56hiCD62L+: 0.34, T_cell:CD8+_effector_memory: 0.34 |
KK057-F16 | T_cell:CD8+_naive | 0.13 | 160.95 | Raw ScoresT_cell:CD4+_central_memory: 0.44, T_cell:CD4+_Naive: 0.43, NK_cell: 0.43, T_cell:CD4+: 0.43, T_cell:CD8+_effector_memory: 0.43, T_cell:CD4+_effector_memory: 0.43, T_cell:CD8+_Central_memory: 0.42, T_cell:CD8+: 0.42, T_cell:CD8+_naive: 0.42, T_cell:CD8+_effector_memory_RA: 0.42 |
WK021-A19 | T_cell:CD4+_central_memory | 0.15 | 159.04 | Raw ScoresT_cell:CD4+_central_memory: 0.4, T_cell:gamma-delta: 0.4, T_cell:CD4+_effector_memory: 0.4, NK_cell: 0.39, T_cell:CD4+: 0.39, T_cell:Treg:Naive: 0.39, T_cell:effector: 0.39, T_cell:CCR10-CLA+1,25(OH)2_vit_D3/IL-12: 0.38, T_cell:CD8+: 0.38, NK_cell:IL2: 0.38 |
Below shows the significant enrichments of this GEP for literature curated gene lists
This data was procured from existing single cell RNA-seq maps of neuroblastoma or related relevant data.
High ranks indicate this gene is a driver of this GEP.
These curated gene list are ranked by the P-value (on this GEP) of their constituent genes.
The Mean Count column shows the mean read count in cells scoring highly (H > 50) on this gene expression program.
Genes | Weight | Rank | GTEx | DepMap | Decartes | Mean.Counts | Mean.TPM |
---|---|---|---|---|---|---|---|
FOXP3 | 0.0096052 | 3 | GTEx | DepMap | Descartes | 0.63 | 136.08 |
CD4 | 0.0088397 | 8 | GTEx | DepMap | Descartes | 1.82 | 264.95 |
SELL | 0.0070218 | 23 | GTEx | DepMap | Descartes | 3.10 | 428.43 |
LEF1 | 0.0051124 | 88 | GTEx | DepMap | Descartes | 1.23 | 124.69 |
TCF7 | 0.0050751 | 91 | GTEx | DepMap | Descartes | 2.43 | 177.02 |
CCR7 | 0.0023050 | 487 | GTEx | DepMap | Descartes | 2.36 | 384.76 |
Proteasomal degradation (Kinker)
These marker genes were obtained in a pan cancer cell lines NMF analysis of scRNA-eq data in Kinker et al (PMID 33128048) - 10 metaprograms were recovered that manifest across cancers, this is for proteasomal degradataion:
Wilcoxon ranksum test P-value for gene set overrepresentation: 6.96e-03
Mean rank of genes in gene set: 2291.6
Rank on gene expression program of genes in gene set:
Genes | Weight | Rank | GTEx | DepMap | Decartes | Mean.Counts | Mean.TPM |
---|---|---|---|---|---|---|---|
PSME2 | 0.0024445 | 450 | GTEx | DepMap | Descartes | 1.15 | 138.79 |
PSMC2 | 0.0006950 | 2093 | GTEx | DepMap | Descartes | 0.51 | 61.09 |
PSMA4 | 0.0006354 | 2238 | GTEx | DepMap | Descartes | 0.59 | 43.98 |
PSMA3 | 0.0005661 | 2415 | GTEx | DepMap | Descartes | 0.61 | 179.11 |
PSMB3 | 0.0001144 | 4262 | GTEx | DepMap | Descartes | 0.47 | 211.38 |
Immune cells (Jansky)
Mentioned in the main text (Jansky et al, Nature Genetics (2021)), page 1, that PTPRC+ Immune cells were identified in their fetal adrenal glands, this is also highlighted in the UMAP plot on their Fig 1B. Additional genes also shown in their Extended data Figure 2D.:
Wilcoxon ranksum test P-value for gene set overrepresentation: 7.37e-03
Mean rank of genes in gene set: 28.5
Rank on gene expression program of genes in gene set:
Genes | Weight | Rank | GTEx | DepMap | Decartes | Mean.Counts | Mean.TPM |
---|---|---|---|---|---|---|---|
PTPRC | 0.0084889 | 11 | GTEx | DepMap | Descartes | 10.94 | 918.69 |
CD247 | 0.0060509 | 46 | GTEx | DepMap | Descartes | 1.31 | 203.03 |
Below shows ranks on this GEP for literature curated gene lists for large gene sets
These include those reported as mesenchymal/adrenergic by Van Groningen et al.
High ranks indicate this gene is a driver of this GEP (note these results are not ordered).
The Mean Count column shows the mean read count in cells scoring highly (H > 50) on this gene expression program.
VanGroningen Adrenergic Genes
Adrenergic marker genes from Supplementary Table 2 of Van Groningen et al. Nature Genetics 2017. These genes were identified by differential expression analysis of mesenchymal-like and adrenergic-like neuroblastoma cell lines.
Wilcoxon ranksum test P-value for gene set overrepresentation: 1.00e+00
Mean rank of genes in gene set: 8731.31
Median rank of genes in gene set: 10405
Rank on gene expression program of top 30 genes in gene set:
Genes | Weight | Rank | GTEx | DepMap | Descartes | Mean.Counts | Mean.TPM |
---|---|---|---|---|---|---|---|
LEPROTL1 | 0.0052249 | 80 | GTEx | DepMap | Descartes | 2.11 | 286.23 |
UCP2 | 0.0049902 | 95 | GTEx | DepMap | Descartes | 1.48 | 256.64 |
EVL | 0.0049341 | 99 | GTEx | DepMap | Descartes | 2.28 | 247.11 |
EML4 | 0.0047174 | 110 | GTEx | DepMap | Descartes | 3.81 | 312.77 |
CYFIP2 | 0.0042220 | 139 | GTEx | DepMap | Descartes | 1.78 | 104.39 |
DUSP4 | 0.0041619 | 144 | GTEx | DepMap | Descartes | 2.12 | 184.53 |
FAM107B | 0.0041536 | 148 | GTEx | DepMap | Descartes | 2.04 | 222.79 |
CXCR4 | 0.0040053 | 163 | GTEx | DepMap | Descartes | 8.92 | 2016.16 |
CELF2 | 0.0039427 | 175 | GTEx | DepMap | Descartes | 1.76 | 91.64 |
CERK | 0.0038235 | 190 | GTEx | DepMap | Descartes | 0.87 | 81.33 |
SATB1 | 0.0036167 | 215 | GTEx | DepMap | Descartes | 2.23 | 109.52 |
GLCCI1 | 0.0024430 | 451 | GTEx | DepMap | Descartes | 1.01 | 90.86 |
ABLIM1 | 0.0021992 | 527 | GTEx | DepMap | Descartes | 1.59 | 82.98 |
MCM6 | 0.0020208 | 603 | GTEx | DepMap | Descartes | 0.62 | 54.79 |
CCNI | 0.0018985 | 661 | GTEx | DepMap | Descartes | 5.44 | 748.42 |
GLRX | 0.0018515 | 679 | GTEx | DepMap | Descartes | 0.45 | 54.72 |
NUSAP1 | 0.0018401 | 692 | GTEx | DepMap | Descartes | 0.35 | 38.81 |
MXI1 | 0.0017429 | 748 | GTEx | DepMap | Descartes | 0.59 | 71.62 |
MIAT | 0.0017108 | 771 | GTEx | DepMap | Descartes | 0.73 | 32.35 |
RRM2 | 0.0016889 | 781 | GTEx | DepMap | Descartes | 0.39 | 16.57 |
KIF2A | 0.0016505 | 813 | GTEx | DepMap | Descartes | 0.47 | 23.54 |
PKIA | 0.0015598 | 863 | GTEx | DepMap | Descartes | 0.23 | 21.12 |
MYO5A | 0.0015400 | 871 | GTEx | DepMap | Descartes | 0.40 | 12.15 |
MSI2 | 0.0014274 | 961 | GTEx | DepMap | Descartes | 0.92 | 48.65 |
SEC11C | 0.0013723 | 1022 | GTEx | DepMap | Descartes | 0.39 | 69.80 |
PDK1 | 0.0013675 | 1026 | GTEx | DepMap | Descartes | 0.20 | 5.28 |
POLB | 0.0013274 | 1054 | GTEx | DepMap | Descartes | 0.34 | 97.81 |
CCDC167 | 0.0011824 | 1209 | GTEx | DepMap | Descartes | 0.25 | 135.92 |
RALGDS | 0.0011022 | 1302 | GTEx | DepMap | Descartes | 0.76 | 57.66 |
KLF13 | 0.0009707 | 1492 | GTEx | DepMap | Descartes | 1.22 | 68.05 |
VanGroningen Mesenchymal Genes
Mesenchymal marker genes from Supplementary Table 2 of Van Groningen et al. Nature Genetics 2017. These genes were identified by differential expression analysis of mesenchymal-like and adrenergic-like neuroblastoma cell lines.
Wilcoxon ranksum test P-value for gene set overrepresentation: 1.00e+00
Mean rank of genes in gene set: 9152.37
Median rank of genes in gene set: 11191
Rank on gene expression program of top 30 genes in gene set:
Genes | Weight | Rank | GTEx | DepMap | Descartes | Mean.Counts | Mean.TPM |
---|---|---|---|---|---|---|---|
B2M | 0.0096350 | 2 | GTEx | DepMap | Descartes | 56.50 | 10024.61 |
ETS1 | 0.0069017 | 24 | GTEx | DepMap | Descartes | 4.45 | 365.59 |
MBNL1 | 0.0056469 | 59 | GTEx | DepMap | Descartes | 3.13 | 198.17 |
RAP1A | 0.0051828 | 84 | GTEx | DepMap | Descartes | 1.61 | 130.57 |
ADAM19 | 0.0046244 | 113 | GTEx | DepMap | Descartes | 0.75 | 50.54 |
ITGA4 | 0.0045189 | 118 | GTEx | DepMap | Descartes | 1.15 | 75.75 |
RGS10 | 0.0043242 | 130 | GTEx | DepMap | Descartes | 0.97 | 389.59 |
ABRACL | 0.0042292 | 137 | GTEx | DepMap | Descartes | 0.68 | NA |
JAK1 | 0.0042067 | 141 | GTEx | DepMap | Descartes | 3.03 | 158.80 |
NR3C1 | 0.0040328 | 160 | GTEx | DepMap | Descartes | 2.92 | 186.09 |
ARPC1B | 0.0040294 | 161 | GTEx | DepMap | Descartes | 0.91 | 176.75 |
PHTF2 | 0.0033845 | 245 | GTEx | DepMap | Descartes | 0.44 | 36.20 |
ELF1 | 0.0032514 | 271 | GTEx | DepMap | Descartes | 1.32 | 152.34 |
IQGAP2 | 0.0030889 | 304 | GTEx | DepMap | Descartes | 1.27 | 99.47 |
STAT1 | 0.0028776 | 329 | GTEx | DepMap | Descartes | 1.29 | 116.20 |
ATXN1 | 0.0028443 | 341 | GTEx | DepMap | Descartes | 1.07 | 45.95 |
MBD2 | 0.0024765 | 437 | GTEx | DepMap | Descartes | 0.99 | 71.44 |
NEK7 | 0.0024549 | 446 | GTEx | DepMap | Descartes | 0.53 | 52.71 |
TSC22D3 | 0.0022990 | 488 | GTEx | DepMap | Descartes | 2.79 | 554.59 |
TMEM50A | 0.0019620 | 635 | GTEx | DepMap | Descartes | 1.13 | 197.24 |
CTDSP2 | 0.0018759 | 671 | GTEx | DepMap | Descartes | 0.76 | 67.87 |
EDEM1 | 0.0018477 | 682 | GTEx | DepMap | Descartes | 0.59 | 38.75 |
PLEKHA2 | 0.0018337 | 694 | GTEx | DepMap | Descartes | 1.72 | 126.98 |
PTGER4 | 0.0018332 | 695 | GTEx | DepMap | Descartes | 1.07 | 134.93 |
SEL1L3 | 0.0017672 | 732 | GTEx | DepMap | Descartes | 0.36 | 31.27 |
GALNT10 | 0.0017461 | 745 | GTEx | DepMap | Descartes | 0.44 | 30.49 |
MYL12A | 0.0016465 | 816 | GTEx | DepMap | Descartes | 1.69 | 477.23 |
TRAM1 | 0.0015460 | 870 | GTEx | DepMap | Descartes | 0.99 | 115.56 |
ELK4 | 0.0015106 | 890 | GTEx | DepMap | Descartes | 0.54 | 21.84 |
SDF4 | 0.0014905 | 903 | GTEx | DepMap | Descartes | 0.67 | 76.42 |
Descartes adrenocortical markers
Top 50 marker genes of adrenocortical cells in the Decartes fetal adrenal single cell map (https://atlas.brotmanbaty.org/bbi/human-gene-expression-during-development/cell/adrenocortical/in/adrenal)
Wilcoxon ranksum test P-value for gene set overrepresentation: 9.99e-01
Mean rank of genes in gene set: 8083.53
Median rank of genes in gene set: 9807
Rank on gene expression program of top 30 genes in gene set:
Genes | Weight | Rank | GTEx | DepMap | Descartes | Mean.Counts | Mean.TPM |
---|---|---|---|---|---|---|---|
GRAMD1B | 0.0027292 | 370 | GTEx | DepMap | Descartes | 0.56 | 31.90 |
NPC1 | 0.0019346 | 649 | GTEx | DepMap | Descartes | 0.42 | 38.38 |
DHCR7 | 0.0016843 | 785 | GTEx | DepMap | Descartes | 0.26 | 40.97 |
ERN1 | 0.0015278 | 876 | GTEx | DepMap | Descartes | 0.71 | 41.22 |
CYB5B | 0.0006810 | 2132 | GTEx | DepMap | Descartes | 0.46 | 41.27 |
FDPS | 0.0004871 | 2679 | GTEx | DepMap | Descartes | 0.44 | 70.78 |
FDX1 | 0.0004026 | 2985 | GTEx | DepMap | Descartes | 0.19 | 25.04 |
SCAP | 0.0003108 | 3344 | GTEx | DepMap | Descartes | 0.14 | 11.24 |
TM7SF2 | 0.0000406 | 4692 | GTEx | DepMap | Descartes | 0.07 | 12.19 |
BAIAP2L1 | -0.0001537 | 5918 | GTEx | DepMap | Descartes | 0.01 | 0.59 |
STAR | -0.0002572 | 6666 | GTEx | DepMap | Descartes | 0.00 | 0.22 |
FDXR | -0.0003048 | 7027 | GTEx | DepMap | Descartes | 0.01 | 2.68 |
SGCZ | -0.0003311 | 7218 | GTEx | DepMap | Descartes | 0.00 | 0.06 |
INHA | -0.0004152 | 7750 | GTEx | DepMap | Descartes | 0.00 | 0.00 |
FREM2 | -0.0004462 | 7958 | GTEx | DepMap | Descartes | 0.00 | 0.08 |
POR | -0.0004883 | 8203 | GTEx | DepMap | Descartes | 0.25 | 43.25 |
DHCR24 | -0.0007957 | 9563 | GTEx | DepMap | Descartes | 0.05 | 1.75 |
MSMO1 | -0.0008226 | 9656 | GTEx | DepMap | Descartes | 0.17 | 29.49 |
SCARB1 | -0.0009100 | 9958 | GTEx | DepMap | Descartes | 0.04 | 1.75 |
JAKMIP2 | -0.0009865 | 10214 | GTEx | DepMap | Descartes | 0.07 | 2.45 |
PDE10A | -0.0010944 | 10525 | GTEx | DepMap | Descartes | 0.01 | 0.16 |
SLC16A9 | -0.0011126 | 10578 | GTEx | DepMap | Descartes | 0.01 | 0.67 |
APOC1 | -0.0011288 | 10625 | GTEx | DepMap | Descartes | 0.04 | 16.76 |
DNER | -0.0011407 | 10648 | GTEx | DepMap | Descartes | 0.02 | 0.41 |
FRMD5 | -0.0011691 | 10720 | GTEx | DepMap | Descartes | 0.01 | 0.06 |
SH3PXD2B | -0.0014014 | 11205 | GTEx | DepMap | Descartes | 0.01 | 0.76 |
GSTA4 | -0.0014993 | 11379 | GTEx | DepMap | Descartes | 0.08 | 8.37 |
HMGCS1 | -0.0015175 | 11405 | GTEx | DepMap | Descartes | 0.29 | 18.56 |
SLC1A2 | -0.0015530 | 11472 | GTEx | DepMap | Descartes | 0.03 | 0.34 |
PAPSS2 | -0.0015992 | 11540 | GTEx | DepMap | Descartes | 0.01 | 0.64 |
Descartes chromaffin markers
Top 50 marker genes of chromaffin cells in the Decartes fetal adrenal single cell map (https://atlas.brotmanbaty.org/bbi/human-gene-expression-during-development/cell/chromaffin/in/adrenal)
Wilcoxon ranksum test P-value for gene set overrepresentation: 1.00e+00
Mean rank of genes in gene set: 10491.32
Median rank of genes in gene set: 10927
Rank on gene expression program of top 30 genes in gene set:
Genes | Weight | Rank | GTEx | DepMap | Descartes | Mean.Counts | Mean.TPM |
---|---|---|---|---|---|---|---|
KCNB2 | 0.0000289 | 4753 | GTEx | DepMap | Descartes | 0.00 | 0.87 |
RYR2 | -0.0003100 | 7064 | GTEx | DepMap | Descartes | 0.07 | 1.36 |
ANKFN1 | -0.0003655 | 7449 | GTEx | DepMap | Descartes | 0.00 | 0.35 |
TMEFF2 | -0.0004484 | 7974 | GTEx | DepMap | Descartes | 0.01 | 1.23 |
HS3ST5 | -0.0005107 | 8339 | GTEx | DepMap | Descartes | 0.00 | 0.21 |
EPHA6 | -0.0005150 | 8362 | GTEx | DepMap | Descartes | 0.00 | 0.00 |
GAL | -0.0005636 | 8603 | GTEx | DepMap | Descartes | 0.04 | 6.70 |
PLXNA4 | -0.0006478 | 8988 | GTEx | DepMap | Descartes | 0.01 | 0.21 |
EYA4 | -0.0006548 | 9016 | GTEx | DepMap | Descartes | 0.01 | 0.43 |
IL7 | -0.0006991 | 9199 | GTEx | DepMap | Descartes | 0.01 | 2.17 |
SLC44A5 | -0.0007002 | 9207 | GTEx | DepMap | Descartes | 0.02 | 1.19 |
ALK | -0.0008138 | 9625 | GTEx | DepMap | Descartes | 0.01 | 0.16 |
PTCHD1 | -0.0008256 | 9666 | GTEx | DepMap | Descartes | 0.03 | 0.61 |
RPH3A | -0.0008585 | 9782 | GTEx | DepMap | Descartes | 0.00 | 0.00 |
NTRK1 | -0.0009898 | 10226 | GTEx | DepMap | Descartes | 0.02 | 1.61 |
EYA1 | -0.0009932 | 10233 | GTEx | DepMap | Descartes | 0.02 | 0.48 |
CNKSR2 | -0.0009962 | 10247 | GTEx | DepMap | Descartes | 0.05 | 2.26 |
FAT3 | -0.0010289 | 10342 | GTEx | DepMap | Descartes | 0.03 | 0.31 |
RBFOX1 | -0.0011143 | 10584 | GTEx | DepMap | Descartes | 0.01 | 0.67 |
GREM1 | -0.0011441 | 10659 | GTEx | DepMap | Descartes | 0.02 | 0.41 |
TMEM132C | -0.0012664 | 10927 | GTEx | DepMap | Descartes | 0.00 | 0.05 |
CNTFR | -0.0013043 | 11012 | GTEx | DepMap | Descartes | 0.01 | 0.20 |
NPY | -0.0013281 | 11073 | GTEx | DepMap | Descartes | 0.08 | 22.78 |
REEP1 | -0.0014038 | 11207 | GTEx | DepMap | Descartes | 0.05 | 2.79 |
MAB21L2 | -0.0014232 | 11244 | GTEx | DepMap | Descartes | 0.02 | 2.43 |
SLC6A2 | -0.0016946 | 11672 | GTEx | DepMap | Descartes | 0.02 | 0.69 |
ELAVL2 | -0.0017769 | 11766 | GTEx | DepMap | Descartes | 0.04 | 2.32 |
GAP43 | -0.0018198 | 11811 | GTEx | DepMap | Descartes | 0.22 | 32.43 |
MARCH11 | -0.0019262 | 11929 | GTEx | DepMap | Descartes | 0.05 | NA |
SYNPO2 | -0.0019896 | 11991 | GTEx | DepMap | Descartes | 0.08 | 1.26 |
Descartes Vascular_endothelial markers
Top 50 marker genes of Vascular_endothelial cells in the Decartes fetal adrenal single cell map (https://atlas.brotmanbaty.org/bbi/human-gene-expression-during-development/cell/vascular_endothelial/in/adrenal)
Wilcoxon ranksum test P-value for gene set overrepresentation: 1.00e+00
Mean rank of genes in gene set: 9706.55
Median rank of genes in gene set: 10144.5
Rank on gene expression program of top 30 genes in gene set:
Genes | Weight | Rank | GTEx | DepMap | Descartes | Mean.Counts | Mean.TPM |
---|---|---|---|---|---|---|---|
CEACAM1 | 0.0005325 | 2527 | GTEx | DepMap | Descartes | 0.06 | 6.77 |
NR5A2 | -0.0002175 | 6391 | GTEx | DepMap | Descartes | 0.00 | 0.20 |
CRHBP | -0.0003313 | 7219 | GTEx | DepMap | Descartes | 0.00 | 0.00 |
BTNL9 | -0.0003824 | 7547 | GTEx | DepMap | Descartes | 0.00 | 0.75 |
ESM1 | -0.0004271 | 7834 | GTEx | DepMap | Descartes | 0.01 | 2.19 |
FLT4 | -0.0004909 | 8223 | GTEx | DepMap | Descartes | 0.02 | 1.42 |
F8 | -0.0005028 | 8302 | GTEx | DepMap | Descartes | 0.01 | 0.34 |
NPR1 | -0.0005353 | 8471 | GTEx | DepMap | Descartes | 0.00 | 0.02 |
GALNT15 | -0.0006421 | 8961 | GTEx | DepMap | Descartes | 0.00 | NA |
CHRM3 | -0.0006517 | 9001 | GTEx | DepMap | Descartes | 0.01 | 0.30 |
CLDN5 | -0.0006666 | 9074 | GTEx | DepMap | Descartes | 0.00 | 0.03 |
EHD3 | -0.0006904 | 9156 | GTEx | DepMap | Descartes | 0.02 | 0.64 |
KANK3 | -0.0007938 | 9559 | GTEx | DepMap | Descartes | 0.01 | 1.64 |
KDR | -0.0008252 | 9663 | GTEx | DepMap | Descartes | 0.00 | 0.46 |
IRX3 | -0.0008303 | 9690 | GTEx | DepMap | Descartes | 0.01 | 0.60 |
NOTCH4 | -0.0008945 | 9913 | GTEx | DepMap | Descartes | 0.02 | 0.75 |
ROBO4 | -0.0009005 | 9932 | GTEx | DepMap | Descartes | 0.00 | 0.51 |
RASIP1 | -0.0009225 | 9997 | GTEx | DepMap | Descartes | 0.01 | 1.29 |
TEK | -0.0009469 | 10085 | GTEx | DepMap | Descartes | 0.00 | 0.14 |
MYRIP | -0.0009819 | 10204 | GTEx | DepMap | Descartes | 0.01 | 0.28 |
SHE | -0.0009942 | 10240 | GTEx | DepMap | Descartes | 0.00 | 0.57 |
PODXL | -0.0010368 | 10371 | GTEx | DepMap | Descartes | 0.01 | 0.69 |
CDH5 | -0.0010495 | 10401 | GTEx | DepMap | Descartes | 0.00 | 0.55 |
SLCO2A1 | -0.0010641 | 10434 | GTEx | DepMap | Descartes | 0.01 | 0.76 |
MMRN2 | -0.0011226 | 10609 | GTEx | DepMap | Descartes | 0.00 | 0.21 |
TMEM88 | -0.0011361 | 10643 | GTEx | DepMap | Descartes | 0.05 | 19.33 |
HYAL2 | -0.0011706 | 10725 | GTEx | DepMap | Descartes | 0.01 | 1.07 |
TIE1 | -0.0012063 | 10810 | GTEx | DepMap | Descartes | 0.02 | 1.72 |
PLVAP | -0.0012146 | 10826 | GTEx | DepMap | Descartes | 0.03 | 5.91 |
CDH13 | -0.0012188 | 10838 | GTEx | DepMap | Descartes | 0.01 | 0.39 |
Descartes stromal markers
Top 50 marker genes of stromal cells in the Decartes fetal adrenal single cell map (https://atlas.brotmanbaty.org/bbi/human-gene-expression-during-development/cell/stromal/in/adrenal)
Wilcoxon ranksum test P-value for gene set overrepresentation: 1.00e+00
Mean rank of genes in gene set: 11150.3
Median rank of genes in gene set: 11444
Rank on gene expression program of top 30 genes in gene set:
Genes | Weight | Rank | GTEx | DepMap | Descartes | Mean.Counts | Mean.TPM |
---|---|---|---|---|---|---|---|
GAS2 | -0.0000085 | 4964 | GTEx | DepMap | Descartes | 0.01 | 1.01 |
LAMC3 | -0.0003430 | 7301 | GTEx | DepMap | Descartes | 0.00 | 0.24 |
DKK2 | -0.0003951 | 7628 | GTEx | DepMap | Descartes | 0.00 | 0.14 |
RSPO3 | -0.0007575 | 9418 | GTEx | DepMap | Descartes | 0.00 | NA |
HHIP | -0.0008825 | 9876 | GTEx | DepMap | Descartes | 0.05 | 0.46 |
FREM1 | -0.0009068 | 9945 | GTEx | DepMap | Descartes | 0.00 | 0.11 |
GLI2 | -0.0009090 | 9951 | GTEx | DepMap | Descartes | 0.02 | 0.56 |
LRRC17 | -0.0009098 | 9956 | GTEx | DepMap | Descartes | 0.01 | 1.62 |
ADAMTSL3 | -0.0011220 | 10604 | GTEx | DepMap | Descartes | 0.00 | 0.20 |
CLDN11 | -0.0011333 | 10639 | GTEx | DepMap | Descartes | 0.01 | 0.57 |
ABCC9 | -0.0011665 | 10713 | GTEx | DepMap | Descartes | 0.00 | 0.28 |
ITGA11 | -0.0011697 | 10723 | GTEx | DepMap | Descartes | 0.01 | 0.19 |
POSTN | -0.0012099 | 10815 | GTEx | DepMap | Descartes | 0.01 | 2.47 |
PCDH18 | -0.0012654 | 10923 | GTEx | DepMap | Descartes | 0.03 | 0.50 |
SFRP2 | -0.0012676 | 10931 | GTEx | DepMap | Descartes | 0.01 | 2.54 |
CD248 | -0.0012797 | 10956 | GTEx | DepMap | Descartes | 0.05 | 4.51 |
IGFBP3 | -0.0013727 | 11161 | GTEx | DepMap | Descartes | 0.03 | 3.42 |
SCARA5 | -0.0014637 | 11318 | GTEx | DepMap | Descartes | 0.02 | 1.06 |
EDNRA | -0.0014639 | 11320 | GTEx | DepMap | Descartes | 0.02 | 1.11 |
PAMR1 | -0.0014877 | 11360 | GTEx | DepMap | Descartes | 0.01 | 1.15 |
COL27A1 | -0.0014940 | 11370 | GTEx | DepMap | Descartes | 0.01 | 0.47 |
PRICKLE1 | -0.0015236 | 11414 | GTEx | DepMap | Descartes | 0.03 | 1.10 |
ELN | -0.0015539 | 11474 | GTEx | DepMap | Descartes | 0.07 | 3.20 |
ACTA2 | -0.0016068 | 11552 | GTEx | DepMap | Descartes | 0.27 | 45.00 |
LOX | -0.0016354 | 11585 | GTEx | DepMap | Descartes | 0.03 | 0.91 |
BICC1 | -0.0017260 | 11707 | GTEx | DepMap | Descartes | 0.02 | 0.87 |
ADAMTS2 | -0.0017267 | 11709 | GTEx | DepMap | Descartes | 0.03 | 1.45 |
ABCA6 | -0.0017502 | 11741 | GTEx | DepMap | Descartes | 0.01 | 0.38 |
COL1A1 | -0.0022196 | 12145 | GTEx | DepMap | Descartes | 2.69 | 100.52 |
PDGFRA | -0.0022334 | 12156 | GTEx | DepMap | Descartes | 0.04 | 0.67 |
Descartes sympathoblasts markers
Top 50 marker genes of sympathoblasts cells in the Decartes fetal adrenal single cell map (https://atlas.brotmanbaty.org/bbi/human-gene-expression-during-development/cell/sympathoblasts/in/adrenal)
Wilcoxon ranksum test P-value for gene set overrepresentation: 1.00e+00
Mean rank of genes in gene set: 8401.76
Median rank of genes in gene set: 8354.5
Rank on gene expression program of top 30 genes in gene set:
Genes | Weight | Rank | GTEx | DepMap | Descartes | Mean.Counts | Mean.TPM |
---|---|---|---|---|---|---|---|
HTATSF1 | 0.0002865 | 3452 | GTEx | DepMap | Descartes | 0.42 | 47.71 |
GCH1 | 0.0001919 | 3878 | GTEx | DepMap | Descartes | 0.54 | 73.42 |
KSR2 | 0.0000117 | 4850 | GTEx | DepMap | Descartes | 0.01 | 0.20 |
SPOCK3 | -0.0000090 | 4968 | GTEx | DepMap | Descartes | 0.01 | 0.68 |
GALNTL6 | -0.0001029 | 5545 | GTEx | DepMap | Descartes | 0.00 | 0.18 |
SLC35F3 | -0.0001647 | 6007 | GTEx | DepMap | Descartes | 0.01 | 0.63 |
SORCS3 | -0.0001700 | 6045 | GTEx | DepMap | Descartes | 0.00 | 0.06 |
CDH18 | -0.0001763 | 6089 | GTEx | DepMap | Descartes | 0.00 | 0.16 |
PACRG | -0.0002111 | 6340 | GTEx | DepMap | Descartes | 0.00 | 0.29 |
SLC24A2 | -0.0002483 | 6601 | GTEx | DepMap | Descartes | 0.00 | 0.28 |
CCSER1 | -0.0002819 | 6855 | GTEx | DepMap | Descartes | 0.01 | NA |
CDH12 | -0.0002957 | 6964 | GTEx | DepMap | Descartes | 0.00 | 0.03 |
TENM1 | -0.0003198 | 7129 | GTEx | DepMap | Descartes | 0.05 | NA |
GRID2 | -0.0003454 | 7318 | GTEx | DepMap | Descartes | 0.01 | 0.16 |
TIAM1 | -0.0003545 | 7383 | GTEx | DepMap | Descartes | 0.32 | 16.56 |
TBX20 | -0.0004401 | 7924 | GTEx | DepMap | Descartes | 0.00 | 0.00 |
GRM7 | -0.0004410 | 7930 | GTEx | DepMap | Descartes | 0.00 | 0.57 |
AGBL4 | -0.0004462 | 7959 | GTEx | DepMap | Descartes | 0.00 | 0.20 |
ST18 | -0.0004883 | 8204 | GTEx | DepMap | Descartes | 0.01 | 0.31 |
PENK | -0.0005427 | 8505 | GTEx | DepMap | Descartes | 0.00 | 0.39 |
MGAT4C | -0.0005824 | 8697 | GTEx | DepMap | Descartes | 0.01 | 0.13 |
EML6 | -0.0006287 | 8892 | GTEx | DepMap | Descartes | 0.02 | 0.33 |
LAMA3 | -0.0006465 | 8981 | GTEx | DepMap | Descartes | 0.02 | 0.28 |
CNTN3 | -0.0007244 | 9289 | GTEx | DepMap | Descartes | 0.00 | 0.34 |
PCSK2 | -0.0007821 | 9513 | GTEx | DepMap | Descartes | 0.00 | 0.48 |
KCTD16 | -0.0008964 | 9917 | GTEx | DepMap | Descartes | 0.02 | 0.35 |
SLC18A1 | -0.0009133 | 9973 | GTEx | DepMap | Descartes | 0.00 | 0.58 |
FGF14 | -0.0009465 | 10084 | GTEx | DepMap | Descartes | 0.01 | 0.28 |
DGKK | -0.0009897 | 10225 | GTEx | DepMap | Descartes | 0.01 | 0.25 |
NTNG1 | -0.0010115 | 10296 | GTEx | DepMap | Descartes | 0.01 | 0.69 |
Descartes erythroblasts markers
Top 50 marker genes of erythroblasts cells in the Decartes fetal adrenal single cell map (https://atlas.brotmanbaty.org/bbi/human-gene-expression-during-development/cell/erythroblasts/in/adrenal)
Wilcoxon ranksum test P-value for gene set overrepresentation: 5.51e-01
Mean rank of genes in gene set: 6361.41
Median rank of genes in gene set: 6236
Rank on gene expression program of top 30 genes in gene set:
Genes | Weight | Rank | GTEx | DepMap | Descartes | Mean.Counts | Mean.TPM |
---|---|---|---|---|---|---|---|
EPB41 | 0.0041209 | 154 | GTEx | DepMap | Descartes | 0.94 | 57.37 |
GYPC | 0.0033095 | 254 | GTEx | DepMap | Descartes | 1.13 | 254.83 |
CPOX | 0.0019136 | 657 | GTEx | DepMap | Descartes | 0.22 | 35.10 |
DENND4A | 0.0016122 | 834 | GTEx | DepMap | Descartes | 0.99 | 43.42 |
TRAK2 | 0.0011325 | 1273 | GTEx | DepMap | Descartes | 0.26 | 16.32 |
ANK1 | 0.0007725 | 1909 | GTEx | DepMap | Descartes | 0.11 | 3.84 |
ABCB10 | 0.0007665 | 1919 | GTEx | DepMap | Descartes | 0.14 | 12.78 |
CAT | 0.0000453 | 4663 | GTEx | DepMap | Descartes | 0.32 | 44.77 |
TSPAN5 | -0.0000029 | 4929 | GTEx | DepMap | Descartes | 0.22 | 22.48 |
TMCC2 | -0.0000531 | 5245 | GTEx | DepMap | Descartes | 0.12 | 4.03 |
ALAS2 | -0.0001061 | 5571 | GTEx | DepMap | Descartes | 0.05 | 2.75 |
XPO7 | -0.0001280 | 5717 | GTEx | DepMap | Descartes | 0.23 | 15.33 |
FECH | -0.0001285 | 5722 | GTEx | DepMap | Descartes | 0.08 | 2.49 |
RHD | -0.0001439 | 5842 | GTEx | DepMap | Descartes | 0.00 | 0.20 |
SLC4A1 | -0.0001957 | 6236 | GTEx | DepMap | Descartes | 0.13 | 3.75 |
SLC25A21 | -0.0002591 | 6685 | GTEx | DepMap | Descartes | 0.00 | 0.00 |
TFR2 | -0.0003019 | 7006 | GTEx | DepMap | Descartes | 0.02 | 1.39 |
MARCH3 | -0.0004379 | 7909 | GTEx | DepMap | Descartes | 0.12 | NA |
RGS6 | -0.0005865 | 8708 | GTEx | DepMap | Descartes | 0.01 | 0.41 |
GCLC | -0.0006345 | 8916 | GTEx | DepMap | Descartes | 0.17 | 15.43 |
SPTB | -0.0007611 | 9429 | GTEx | DepMap | Descartes | 0.01 | 0.24 |
SPECC1 | -0.0007659 | 9444 | GTEx | DepMap | Descartes | 0.04 | 1.64 |
MICAL2 | -0.0010039 | 10273 | GTEx | DepMap | Descartes | 0.22 | 14.39 |
SLC25A37 | -0.0011638 | 10705 | GTEx | DepMap | Descartes | 0.37 | 20.87 |
BLVRB | -0.0011722 | 10731 | GTEx | DepMap | Descartes | 0.04 | 8.45 |
SELENBP1 | -0.0011892 | 10774 | GTEx | DepMap | Descartes | 0.03 | 1.89 |
SOX6 | -0.0012301 | 10858 | GTEx | DepMap | Descartes | 0.02 | 0.78 |
SNCA | -0.0013209 | 11047 | GTEx | DepMap | Descartes | 0.03 | 2.38 |
RAPGEF2 | -0.0013281 | 11071 | GTEx | DepMap | Descartes | 0.37 | 17.58 |
NA | NA | NA | NA | NA | NA | NA | NA |
Descartes myeloid markers
Top 50 marker genes of myeloid cells in the Decartes fetal adrenal single cell map (https://atlas.brotmanbaty.org/bbi/human-gene-expression-during-development/cell/myeloid/in/adrenal)
Wilcoxon ranksum test P-value for gene set overrepresentation: 1.00e+00
Mean rank of genes in gene set: 9027.39
Median rank of genes in gene set: 10397.5
Rank on gene expression program of top 30 genes in gene set:
Genes | Weight | Rank | GTEx | DepMap | Descartes | Mean.Counts | Mean.TPM |
---|---|---|---|---|---|---|---|
RBPJ | 0.0035001 | 229 | GTEx | DepMap | Descartes | 2.01 | 145.43 |
WWP1 | 0.0021016 | 574 | GTEx | DepMap | Descartes | 0.34 | 28.56 |
CTSC | 0.0009542 | 1527 | GTEx | DepMap | Descartes | 0.78 | 50.56 |
ITPR2 | 0.0008771 | 1689 | GTEx | DepMap | Descartes | 0.44 | 13.00 |
SLC9A9 | 0.0005066 | 2620 | GTEx | DepMap | Descartes | 0.09 | 9.22 |
SFMBT2 | 0.0004739 | 2734 | GTEx | DepMap | Descartes | 0.38 | 19.64 |
SPP1 | -0.0003143 | 7091 | GTEx | DepMap | Descartes | 0.00 | 0.78 |
FGD2 | -0.0003495 | 7350 | GTEx | DepMap | Descartes | 0.04 | 1.88 |
CTSS | -0.0004008 | 7659 | GTEx | DepMap | Descartes | 0.76 | 74.50 |
CD163L1 | -0.0005895 | 8721 | GTEx | DepMap | Descartes | 0.01 | 0.57 |
MARCH1 | -0.0006785 | 9115 | GTEx | DepMap | Descartes | 0.03 | NA |
IFNGR1 | -0.0007661 | 9445 | GTEx | DepMap | Descartes | 0.30 | 45.59 |
ADAP2 | -0.0007857 | 9529 | GTEx | DepMap | Descartes | 0.03 | 2.66 |
MERTK | -0.0008384 | 9720 | GTEx | DepMap | Descartes | 0.02 | 1.64 |
MS4A4A | -0.0009159 | 9981 | GTEx | DepMap | Descartes | 0.03 | 3.21 |
CTSB | -0.0009598 | 10135 | GTEx | DepMap | Descartes | 1.05 | 110.65 |
PTPRE | -0.0010024 | 10266 | GTEx | DepMap | Descartes | 0.43 | 25.67 |
FMN1 | -0.0010337 | 10361 | GTEx | DepMap | Descartes | 0.05 | 1.00 |
FGL2 | -0.0010443 | 10387 | GTEx | DepMap | Descartes | 0.31 | 19.97 |
SLC1A3 | -0.0010540 | 10408 | GTEx | DepMap | Descartes | 0.02 | 2.30 |
ATP8B4 | -0.0011004 | 10543 | GTEx | DepMap | Descartes | 0.02 | 0.91 |
CD14 | -0.0011200 | 10599 | GTEx | DepMap | Descartes | 0.04 | 8.06 |
MSR1 | -0.0011667 | 10716 | GTEx | DepMap | Descartes | 0.04 | 3.18 |
CYBB | -0.0011708 | 10727 | GTEx | DepMap | Descartes | 0.06 | 3.55 |
CSF1R | -0.0011797 | 10751 | GTEx | DepMap | Descartes | 0.04 | 1.49 |
CD163 | -0.0012604 | 10913 | GTEx | DepMap | Descartes | 0.03 | 1.43 |
SLCO2B1 | -0.0012720 | 10939 | GTEx | DepMap | Descartes | 0.02 | 0.71 |
HCK | -0.0012832 | 10962 | GTEx | DepMap | Descartes | 0.08 | 6.88 |
HRH1 | -0.0013196 | 11042 | GTEx | DepMap | Descartes | 0.01 | 0.48 |
CTSD | -0.0014507 | 11289 | GTEx | DepMap | Descartes | 0.59 | 112.19 |
Descartes Schwann markers
Top 50 marker genes of Schwann cells in the Decartes fetal adrenal single cell map (https://atlas.brotmanbaty.org/bbi/human-gene-expression-during-development/cell/schwann/in/adrenal)
Wilcoxon ranksum test P-value for gene set overrepresentation: 1.00e+00
Mean rank of genes in gene set: 10589.66
Median rank of genes in gene set: 11171.5
Rank on gene expression program of top 30 genes in gene set:
Genes | Weight | Rank | GTEx | DepMap | Descartes | Mean.Counts | Mean.TPM |
---|---|---|---|---|---|---|---|
PAG1 | 0.0054894 | 68 | GTEx | DepMap | Descartes | 1.92 | 75.14 |
ERBB4 | -0.0001301 | 5736 | GTEx | DepMap | Descartes | 0.00 | 0.08 |
IL1RAPL2 | -0.0002314 | 6495 | GTEx | DepMap | Descartes | 0.00 | 0.00 |
MDGA2 | -0.0004645 | 8052 | GTEx | DepMap | Descartes | 0.01 | 0.41 |
LRRTM4 | -0.0004717 | 8098 | GTEx | DepMap | Descartes | 0.00 | 0.76 |
HMGA2 | -0.0005010 | 8288 | GTEx | DepMap | Descartes | 0.01 | 0.63 |
IL1RAPL1 | -0.0005558 | 8568 | GTEx | DepMap | Descartes | 0.00 | 0.11 |
MPZ | -0.0005912 | 8731 | GTEx | DepMap | Descartes | 0.00 | 0.21 |
TRPM3 | -0.0006768 | 9110 | GTEx | DepMap | Descartes | 0.01 | 0.25 |
COL25A1 | -0.0007668 | 9449 | GTEx | DepMap | Descartes | 0.01 | 0.15 |
PTPRZ1 | -0.0009517 | 10106 | GTEx | DepMap | Descartes | 0.00 | 0.12 |
SOX5 | -0.0009713 | 10164 | GTEx | DepMap | Descartes | 0.01 | 0.89 |
XKR4 | -0.0009799 | 10193 | GTEx | DepMap | Descartes | 0.02 | 0.50 |
ADAMTS5 | -0.0010062 | 10283 | GTEx | DepMap | Descartes | 0.01 | 0.13 |
PTN | -0.0010742 | 10462 | GTEx | DepMap | Descartes | 0.01 | 1.56 |
ERBB3 | -0.0011140 | 10583 | GTEx | DepMap | Descartes | 0.01 | 0.77 |
GRIK3 | -0.0011269 | 10621 | GTEx | DepMap | Descartes | 0.01 | 0.07 |
SLC35F1 | -0.0011663 | 10711 | GTEx | DepMap | Descartes | 0.00 | 0.09 |
PLCE1 | -0.0012549 | 10901 | GTEx | DepMap | Descartes | 0.01 | 0.16 |
PPP2R2B | -0.0013507 | 11106 | GTEx | DepMap | Descartes | 0.10 | 2.72 |
NRXN3 | -0.0013507 | 11107 | GTEx | DepMap | Descartes | 0.00 | 0.18 |
FIGN | -0.0013529 | 11114 | GTEx | DepMap | Descartes | 0.01 | 0.25 |
EGFLAM | -0.0014170 | 11229 | GTEx | DepMap | Descartes | 0.02 | 0.87 |
GFRA3 | -0.0014918 | 11365 | GTEx | DepMap | Descartes | 0.02 | 0.65 |
PLP1 | -0.0015572 | 11480 | GTEx | DepMap | Descartes | 0.01 | 2.41 |
EDNRB | -0.0016615 | 11631 | GTEx | DepMap | Descartes | 0.01 | 0.45 |
NRXN1 | -0.0017226 | 11699 | GTEx | DepMap | Descartes | 0.01 | 0.54 |
SORCS1 | -0.0017967 | 11783 | GTEx | DepMap | Descartes | 0.02 | 1.25 |
SCN7A | -0.0017973 | 11784 | GTEx | DepMap | Descartes | 0.01 | 0.94 |
OLFML2A | -0.0018104 | 11803 | GTEx | DepMap | Descartes | 0.02 | 1.31 |
Descartes Megakaryocytes markers
Top 50 marker genes of Megakaryocytes cells in the Decartes fetal adrenal single cell map (https://atlas.brotmanbaty.org/bbi/human-gene-expression-during-development/cell/megakaryocytes/in/adrenal)
Wilcoxon ranksum test P-value for gene set overrepresentation: 9.75e-01
Mean rank of genes in gene set: 7331.29
Median rank of genes in gene set: 8527
Rank on gene expression program of top 30 genes in gene set:
Genes | Weight | Rank | GTEx | DepMap | Descartes | Mean.Counts | Mean.TPM |
---|---|---|---|---|---|---|---|
TMSB4X | 0.0073659 | 20 | GTEx | DepMap | Descartes | 28.07 | 6661.00 |
ACTB | 0.0038981 | 184 | GTEx | DepMap | Descartes | 18.75 | 2323.20 |
FLI1 | 0.0030916 | 303 | GTEx | DepMap | Descartes | 0.48 | 35.45 |
MYH9 | 0.0030445 | 315 | GTEx | DepMap | Descartes | 5.35 | 292.68 |
INPP4B | 0.0022088 | 521 | GTEx | DepMap | Descartes | 0.25 | 12.74 |
SLC2A3 | 0.0019562 | 643 | GTEx | DepMap | Descartes | 2.98 | 266.15 |
SPN | 0.0015465 | 869 | GTEx | DepMap | Descartes | 0.66 | 36.05 |
CD84 | 0.0013409 | 1047 | GTEx | DepMap | Descartes | 0.53 | 29.97 |
TGFB1 | 0.0013083 | 1082 | GTEx | DepMap | Descartes | 1.71 | 265.42 |
RAP1B | 0.0009846 | 1468 | GTEx | DepMap | Descartes | 0.98 | 28.44 |
FLNA | 0.0007372 | 1979 | GTEx | DepMap | Descartes | 3.21 | 154.83 |
UBASH3B | 0.0005769 | 2395 | GTEx | DepMap | Descartes | 0.30 | 14.38 |
LIMS1 | 0.0005642 | 2423 | GTEx | DepMap | Descartes | 0.84 | 75.11 |
FERMT3 | 0.0005273 | 2544 | GTEx | DepMap | Descartes | 0.36 | 51.26 |
TUBB1 | -0.0002738 | 6788 | GTEx | DepMap | Descartes | 0.00 | 0.19 |
GP1BA | -0.0002856 | 6880 | GTEx | DepMap | Descartes | 0.00 | 0.30 |
TLN1 | -0.0003669 | 7458 | GTEx | DepMap | Descartes | 1.34 | 56.15 |
RAB27B | -0.0004240 | 7808 | GTEx | DepMap | Descartes | 0.02 | 0.88 |
MED12L | -0.0004240 | 7809 | GTEx | DepMap | Descartes | 0.02 | 0.47 |
TRPC6 | -0.0004421 | 7935 | GTEx | DepMap | Descartes | 0.00 | 0.14 |
P2RX1 | -0.0004655 | 8056 | GTEx | DepMap | Descartes | 0.01 | 0.94 |
ITGA2B | -0.0005312 | 8449 | GTEx | DepMap | Descartes | 0.01 | 0.39 |
SLC24A3 | -0.0005486 | 8527 | GTEx | DepMap | Descartes | 0.00 | 0.11 |
ITGB3 | -0.0005909 | 8729 | GTEx | DepMap | Descartes | 0.00 | 0.00 |
MMRN1 | -0.0006202 | 8850 | GTEx | DepMap | Descartes | 0.02 | 1.05 |
PSTPIP2 | -0.0006755 | 9104 | GTEx | DepMap | Descartes | 0.03 | 3.30 |
ZYX | -0.0007149 | 9249 | GTEx | DepMap | Descartes | 1.35 | 218.86 |
ARHGAP6 | -0.0008348 | 9710 | GTEx | DepMap | Descartes | 0.00 | 0.01 |
STON2 | -0.0009384 | 10050 | GTEx | DepMap | Descartes | 0.01 | 0.86 |
DOK6 | -0.0010187 | 10315 | GTEx | DepMap | Descartes | 0.01 | 0.17 |
Descartes Lyphoid markers
Top 50 marker genes of Lyphoid cells in the Decartes fetal adrenal single cell map (https://atlas.brotmanbaty.org/bbi/human-gene-expression-during-development/cell/lymphoid/in/adrenal)
Wilcoxon ranksum test P-value for gene set overrepresentation: 3.11e-18
Mean rank of genes in gene set: 1459.81
Median rank of genes in gene set: 268
Rank on gene expression program of top 30 genes in gene set:
Genes | Weight | Rank | GTEx | DepMap | Descartes | Mean.Counts | Mean.TPM |
---|---|---|---|---|---|---|---|
B2M | 0.0096350 | 2 | GTEx | DepMap | Descartes | 56.50 | 10024.61 |
ARHGDIB | 0.0095333 | 4 | GTEx | DepMap | Descartes | 10.68 | 3734.70 |
PTPRC | 0.0084889 | 11 | GTEx | DepMap | Descartes | 10.94 | 918.69 |
ETS1 | 0.0069017 | 24 | GTEx | DepMap | Descartes | 4.45 | 365.59 |
IKZF1 | 0.0066835 | 26 | GTEx | DepMap | Descartes | 2.14 | 141.14 |
WIPF1 | 0.0065753 | 30 | GTEx | DepMap | Descartes | 4.09 | 393.91 |
LCP1 | 0.0065292 | 32 | GTEx | DepMap | Descartes | 6.06 | 559.05 |
MBNL1 | 0.0056469 | 59 | GTEx | DepMap | Descartes | 3.13 | 198.17 |
FYN | 0.0052709 | 76 | GTEx | DepMap | Descartes | 5.36 | 683.65 |
LEF1 | 0.0051124 | 88 | GTEx | DepMap | Descartes | 1.23 | 124.69 |
EVL | 0.0049341 | 99 | GTEx | DepMap | Descartes | 2.28 | 247.11 |
FOXP1 | 0.0048126 | 104 | GTEx | DepMap | Descartes | 3.09 | 150.20 |
GNG2 | 0.0045184 | 119 | GTEx | DepMap | Descartes | 1.83 | 205.04 |
PDE3B | 0.0042567 | 135 | GTEx | DepMap | Descartes | 2.15 | 150.00 |
DOCK10 | 0.0041267 | 153 | GTEx | DepMap | Descartes | 1.06 | 55.69 |
CELF2 | 0.0039427 | 175 | GTEx | DepMap | Descartes | 1.76 | 91.64 |
SKAP1 | 0.0037398 | 199 | GTEx | DepMap | Descartes | 0.36 | 84.89 |
ANKRD44 | 0.0034940 | 230 | GTEx | DepMap | Descartes | 0.70 | 42.89 |
PRKCH | 0.0034060 | 240 | GTEx | DepMap | Descartes | 1.55 | 177.71 |
TMSB10 | 0.0033760 | 246 | GTEx | DepMap | Descartes | 9.39 | 7000.35 |
SORL1 | 0.0033362 | 253 | GTEx | DepMap | Descartes | 1.54 | 52.98 |
ITPKB | 0.0031869 | 283 | GTEx | DepMap | Descartes | 1.11 | 76.56 |
TOX | 0.0026824 | 380 | GTEx | DepMap | Descartes | 0.25 | 26.75 |
ARHGAP15 | 0.0025534 | 412 | GTEx | DepMap | Descartes | 0.57 | 75.61 |
CCND3 | 0.0025112 | 424 | GTEx | DepMap | Descartes | 0.53 | 71.88 |
SP100 | 0.0024776 | 436 | GTEx | DepMap | Descartes | 1.33 | 95.45 |
MSN | 0.0022529 | 509 | GTEx | DepMap | Descartes | 2.11 | 215.09 |
ABLIM1 | 0.0021992 | 527 | GTEx | DepMap | Descartes | 1.59 | 82.98 |
RCSD1 | 0.0021762 | 538 | GTEx | DepMap | Descartes | 0.35 | 21.64 |
BCL2 | 0.0021276 | 560 | GTEx | DepMap | Descartes | 0.70 | 36.81 |
Below shows the ranks on this GEP for immune marker gene lists curated by CellTypist (https://www.celltypist.org/encyclopedia).
High ranks indicate this gene is a driver of this GEP.
These curated gene list are ranked by P-value (on this GEP) of their constituent genes.
The Mean Count column shows the mean read count in cells scoring highly (H > 50) on this gene expression program.
Genes | Weight | Rank | GTEx | DepMap | Decartes | Mean.Counts | Mean.TPM |
---|---|---|---|---|---|---|---|
TIGIT | 0.0086980 | 9 | GTEx | DepMap | Descartes | 1.06 | 149.80 |
RTKN2 | 0.0056008 | 61 | GTEx | DepMap | Descartes | 0.32 | 21.09 |
RGS1 | 0.0050829 | 90 | GTEx | DepMap | Descartes | 4.18 | 673.36 |
SRGN | 0.0039161 | 179 | GTEx | DepMap | Descartes | 19.88 | 7568.00 |
T cells: CD8a/b(entry) (model markers)
T lymphocytes with CD8 alpha/beta heterodimers in the late double-positive (entry) stage during T cell development:
Wilcoxon ranksum test P-value for gene set overrepresentation: 3.58e-04
Mean rank of genes in gene set: 794
Rank on gene expression program of genes in gene set:
Genes | Weight | Rank | GTEx | DepMap | Decartes | Mean.Counts | Mean.TPM |
---|---|---|---|---|---|---|---|
ITM2A | 0.0059805 | 49 | GTEx | DepMap | Descartes | 2.52 | 714.34 |
SATB1 | 0.0036167 | 215 | GTEx | DepMap | Descartes | 2.23 | 109.52 |
TMSB10 | 0.0033760 | 246 | GTEx | DepMap | Descartes | 9.39 | 7000.35 |
CD44 | 0.0011771 | 1213 | GTEx | DepMap | Descartes | 6.29 | 494.34 |
MALAT1 | 0.0006331 | 2247 | GTEx | DepMap | Descartes | 75.88 | 3766.43 |
T cells: Treg(diff) (model markers)
unconventional T lymphocyte subpopulation in the thymus which connects αβ T cells and canonical regulatory T cells and is still differentiating:
Wilcoxon ranksum test P-value for gene set overrepresentation: 3.67e-04
Mean rank of genes in gene set: 160
Rank on gene expression program of genes in gene set:
Genes | Weight | Rank | GTEx | DepMap | Decartes | Mean.Counts | Mean.TPM |
---|---|---|---|---|---|---|---|
PTPRC | 0.0084889 | 11 | GTEx | DepMap | Descartes | 10.94 | 918.69 |
S100A4 | 0.0058551 | 51 | GTEx | DepMap | Descartes | 2.03 | 1071.47 |
RGS1 | 0.0050829 | 90 | GTEx | DepMap | Descartes | 4.18 | 673.36 |
TSC22D3 | 0.0022990 | 488 | GTEx | DepMap | Descartes | 2.79 | 554.59 |