Program description and justification of annotation: 10
Submit a comment on this gene expression program’s interpretation: CLICK
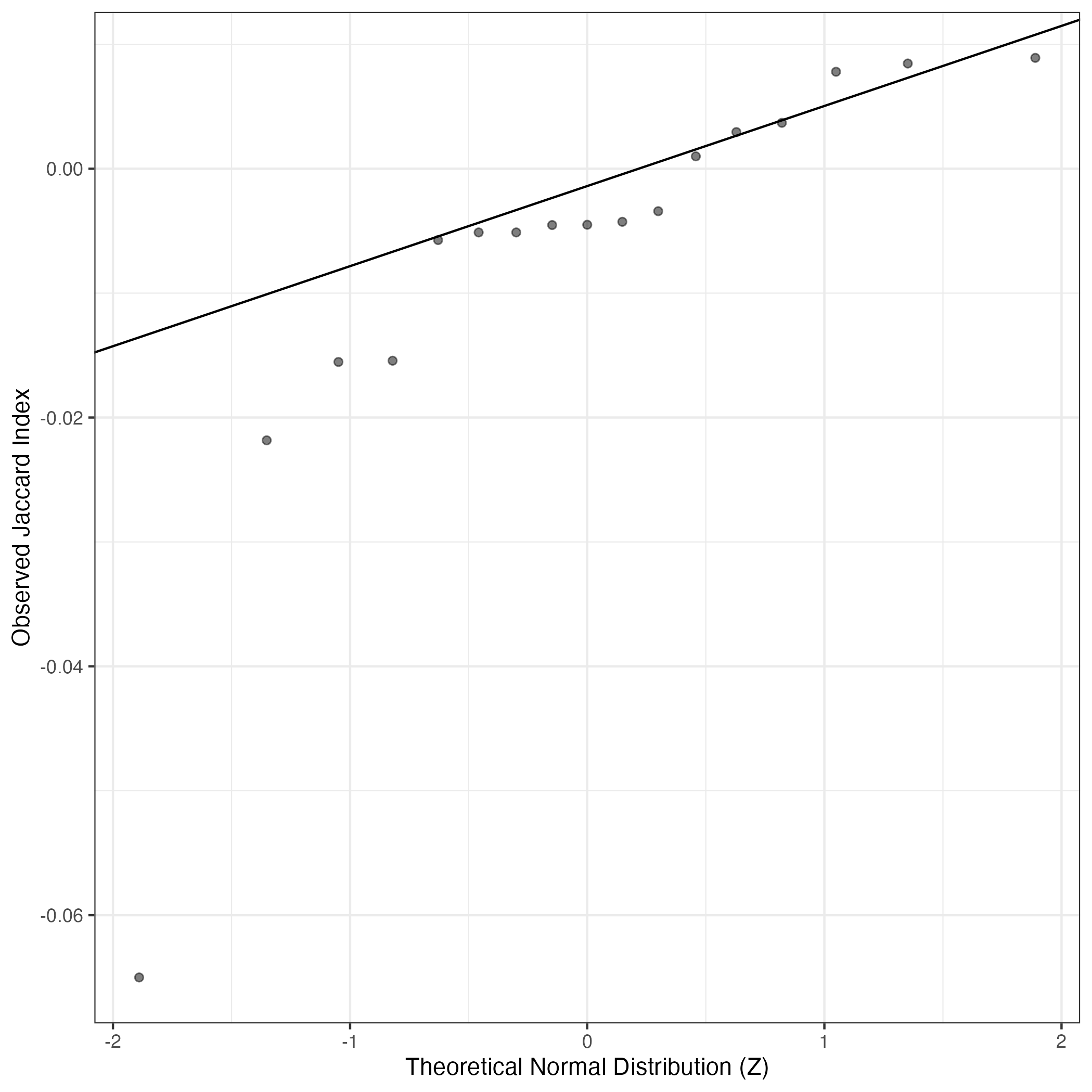
QQ-plot of gene loadings, averaged over both independent splits of the data
This plot highlights the relative contribution of each gene to the GEP
Top genes driving this program.
Note: Decartes website is buggy, try refreshing. Also, Decartes fetal adrenal data have been collected at specific time points (89-122 days), all possible cell types of interest may not be represented, do not overinterpret.
The Mean Count column shows the mean read count in cells scoring highly (H > 50) on this gene expression program.
Gene | Loading | Gene.Name | GTEx | DepMap | Descartes | Mean.Counts | Mean.Tpm | |
---|---|---|---|---|---|---|---|---|
1 | CCND1 | 0.0042611 | cyclin D1 | GTEx | DepMap | Descartes | 1.60 | 1659.24 |
2 | DYNLL2 | 0.0035962 | dynein light chain LC8-type 2 | GTEx | DepMap | Descartes | 0.41 | 321.47 |
3 | MAOA | 0.0034822 | monoamine oxidase A | GTEx | DepMap | Descartes | 0.58 | 463.58 |
4 | LAMTOR4 | 0.0033995 | late endosomal/lysosomal adaptor, MAPK and MTOR activator 4 | GTEx | DepMap | Descartes | 0.59 | NA |
5 | SORCS2 | 0.0032011 | sortilin related VPS10 domain containing receptor 2 | GTEx | DepMap | Descartes | 0.38 | 360.42 |
6 | TH | 0.0028663 | tyrosine hydroxylase | GTEx | DepMap | Descartes | 0.80 | 1942.45 |
7 | PDZD4 | 0.0027775 | PDZ domain containing 4 | GTEx | DepMap | Descartes | 0.27 | 401.59 |
8 | RGS5 | 0.0027728 | regulator of G protein signaling 5 | GTEx | DepMap | Descartes | 0.73 | 464.93 |
9 | NT5DC2 | 0.0026315 | 5’-nucleotidase domain containing 2 | GTEx | DepMap | Descartes | 0.52 | 1266.28 |
10 | LENG8 | 0.0025479 | leukocyte receptor cluster member 8 | GTEx | DepMap | Descartes | 0.51 | 455.15 |
11 | VSTM2A | 0.0025426 | V-set and transmembrane domain containing 2A | GTEx | DepMap | Descartes | 0.38 | 505.18 |
12 | TUBA1A | 0.0025194 | tubulin alpha 1a | GTEx | DepMap | Descartes | 2.47 | 4107.12 |
13 | DMAP1 | 0.0024793 | DNA methyltransferase 1 associated protein 1 | GTEx | DepMap | Descartes | 0.18 | 222.67 |
14 | ATAT1 | 0.0024440 | alpha tubulin acetyltransferase 1 | GTEx | DepMap | Descartes | 0.27 | 552.85 |
15 | PEG10 | 0.0024340 | paternally expressed 10 | GTEx | DepMap | Descartes | 0.27 | 181.37 |
16 | SRRM3 | 0.0023735 | serine/arginine repetitive matrix 3 | GTEx | DepMap | Descartes | 0.49 | 610.54 |
17 | CTSF | 0.0023499 | cathepsin F | GTEx | DepMap | Descartes | 0.19 | 486.77 |
18 | MADD | 0.0022922 | MAP kinase activating death domain | GTEx | DepMap | Descartes | 0.24 | 213.50 |
19 | RGMB | 0.0022729 | repulsive guidance molecule BMP co-receptor b | GTEx | DepMap | Descartes | 0.33 | 351.03 |
20 | MBD3 | 0.0022642 | methyl-CpG binding domain protein 3 | GTEx | DepMap | Descartes | 0.23 | 205.65 |
21 | AGAP3 | 0.0022581 | ArfGAP with GTPase domain, ankyrin repeat and PH domain 3 | GTEx | DepMap | Descartes | 0.42 | 533.16 |
22 | MTPN | 0.0022268 | myotrophin | GTEx | DepMap | Descartes | 0.28 | 338.08 |
23 | RNF128 | 0.0022193 | ring finger protein 128 | GTEx | DepMap | Descartes | 0.13 | 312.23 |
24 | NPY | 0.0022149 | neuropeptide Y | GTEx | DepMap | Descartes | 3.77 | 15407.00 |
25 | ATP6V0B | 0.0022100 | ATPase H+ transporting V0 subunit b | GTEx | DepMap | Descartes | 0.38 | 686.43 |
26 | GPC2 | 0.0022028 | glypican 2 | GTEx | DepMap | Descartes | 0.30 | 559.98 |
27 | PHOX2A | 0.0021891 | paired like homeobox 2A | GTEx | DepMap | Descartes | 0.51 | 1422.16 |
28 | USP22 | 0.0021258 | ubiquitin specific peptidase 22 | GTEx | DepMap | Descartes | 0.51 | 413.61 |
29 | KIFC2 | 0.0021118 | kinesin family member C2 | GTEx | DepMap | Descartes | 0.27 | 365.88 |
30 | REEP2 | 0.0021087 | receptor accessory protein 2 | GTEx | DepMap | Descartes | 0.28 | 606.98 |
31 | ATP6V0A1 | 0.0020908 | ATPase H+ transporting V0 subunit a1 | GTEx | DepMap | Descartes | 0.54 | 517.41 |
32 | EIF4G2 | 0.0020589 | eukaryotic translation initiation factor 4 gamma 2 | GTEx | DepMap | Descartes | 0.52 | 317.12 |
33 | FASTK | 0.0020208 | Fas activated serine/threonine kinase | GTEx | DepMap | Descartes | 0.24 | 410.98 |
34 | GIGYF1 | 0.0020073 | GRB10 interacting GYF protein 1 | GTEx | DepMap | Descartes | 0.37 | 288.24 |
35 | H2AFV | 0.0020029 | NA | GTEx | DepMap | Descartes | 0.40 | NA |
36 | FAM171A2 | 0.0019915 | family with sequence similarity 171 member A2 | GTEx | DepMap | Descartes | 0.15 | 256.87 |
37 | UBE2Z | 0.0019776 | ubiquitin conjugating enzyme E2 Z | GTEx | DepMap | Descartes | 0.23 | 271.06 |
38 | INTS1 | 0.0019747 | integrator complex subunit 1 | GTEx | DepMap | Descartes | 0.31 | 217.09 |
39 | GDI1 | 0.0019537 | GDP dissociation inhibitor 1 | GTEx | DepMap | Descartes | 0.32 | 334.89 |
40 | TERT | 0.0019446 | telomerase reverse transcriptase | GTEx | DepMap | Descartes | 0.09 | 115.62 |
41 | YWHAG | 0.0019376 | tyrosine 3-monooxygenase/tryptophan 5-monooxygenase activation protein gamma | GTEx | DepMap | Descartes | 0.62 | 687.46 |
42 | YJEFN3 | 0.0019082 | YjeF N-terminal domain containing 3 | GTEx | DepMap | Descartes | 0.15 | 279.40 |
43 | PTPRN | 0.0019061 | protein tyrosine phosphatase receptor type N | GTEx | DepMap | Descartes | 0.20 | 193.17 |
44 | PLAGL1 | 0.0019060 | PLAG1 like zinc finger 1 | GTEx | DepMap | Descartes | 0.21 | 162.70 |
45 | GNB2 | 0.0018927 | G protein subunit beta 2 | GTEx | DepMap | Descartes | 0.38 | 969.87 |
46 | CTSD | 0.0018225 | cathepsin D | GTEx | DepMap | Descartes | 0.29 | 677.31 |
47 | ARHGDIA | 0.0018214 | Rho GDP dissociation inhibitor alpha | GTEx | DepMap | Descartes | 0.31 | 682.73 |
48 | CHST1 | 0.0018025 | carbohydrate sulfotransferase 1 | GTEx | DepMap | Descartes | 0.16 | 200.24 |
49 | MAPK8IP2 | 0.0017949 | mitogen-activated protein kinase 8 interacting protein 2 | GTEx | DepMap | Descartes | 0.21 | 181.45 |
50 | JUND | 0.0017894 | JunD proto-oncogene, AP-1 transcription factor subunit | GTEx | DepMap | Descartes | 0.45 | 1123.64 |
UMAP plots showing activity of gene expression program identified in community:10. Neuroblastoma: Adrenergic #1
CNV Data procured from inferCNV.
Outer tracks are putative CNV regions (gains = red, losses = blue) for each patient
Inner track is expression data representing:
The top cells expressing this GEP (purple)
Random cells (n =50) from the reference set used in inferCNV (orange)
Gene set Enrichments for this program, caculated from top 50 genes
mSigDB Cell Types Gene Set:
P-value | OR | Lower 95% CI | FDR | FWER | Genes Found | Gene Set Size | |
---|---|---|---|---|---|---|---|
DESCARTES_MAIN_FETAL_CHROMAFFIN_CELLS | 4.05e-03 | 23.65 | 2.62 | 4.52e-01 | 1.00e+00 | 2NPY, PHOX2A |
24 |
DURANTE_ADULT_OLFACTORY_NEUROEPITHELIUM_IMMATURE_NEURONS | 2.15e-03 | 8.05 | 2.08 | 4.52e-01 | 1.00e+00 | 4TUBA1A, RGMB, GDI1, GNB2 |
139 |
DESCARTES_FETAL_PANCREAS_ENS_NEURONS | 3.79e-03 | 6.83 | 1.77 | 4.52e-01 | 1.00e+00 | 4TUBA1A, RGMB, NPY, PHOX2A |
163 |
MANNO_MIDBRAIN_NEUROTYPES_HOMTN | 3.69e-03 | 4.45 | 1.54 | 4.52e-01 | 1.00e+00 | 6VSTM2A, TUBA1A, SRRM3, GPC2, PHOX2A, KIFC2 |
389 |
MANNO_MIDBRAIN_NEUROTYPES_HDA | 2.97e-03 | 4.08 | 1.54 | 4.52e-01 | 1.00e+00 | 7TH, TUBA1A, GPC2, KIFC2, REEP2, YWHAG, CHST1 |
506 |
MANNO_MIDBRAIN_NEUROTYPES_HDA2 | 3.19e-03 | 4.02 | 1.52 | 4.52e-01 | 1.00e+00 | 7TH, VSTM2A, TUBA1A, GPC2, KIFC2, REEP2, CHST1 |
513 |
BUSSLINGER_GASTRIC_X_CELLS | 6.59e-03 | 5.81 | 1.50 | 5.43e-01 | 1.00e+00 | 4TUBA1A, EIF4G2, PTPRN, JUND |
191 |
MANNO_MIDBRAIN_NEUROTYPES_HSERT | 7.29e-03 | 3.84 | 1.33 | 5.43e-01 | 1.00e+00 | 6MAOA, VSTM2A, KIFC2, YWHAG, CHST1, MAPK8IP2 |
450 |
MANNO_MIDBRAIN_NEUROTYPES_HNBML5 | 8.46e-03 | 3.71 | 1.29 | 5.67e-01 | 1.00e+00 | 6VSTM2A, SRRM3, GPC2, REEP2, YWHAG, CHST1 |
465 |
MANNO_MIDBRAIN_NEUROTYPES_HGABA | 6.01e-03 | 2.86 | 1.27 | 5.43e-01 | 1.00e+00 | 10PDZD4, VSTM2A, SRRM3, GPC2, KIFC2, GIGYF1, UBE2Z, YWHAG, CHST1, MAPK8IP2 |
1105 |
TRAVAGLINI_LUNG_NEUTROPHIL_CELL | 1.35e-02 | 3.83 | 1.18 | 8.26e-01 | 1.00e+00 | 5LAMTOR4, GIGYF1, GNB2, CTSD, JUND |
368 |
FAN_OVARY_CL1_GPRC5A_TNFRS12A_HIGH_SELECTABLE_FOLLICLE_STROMAL_CELL | 1.53e-02 | 3.70 | 1.14 | 8.56e-01 | 1.00e+00 | 5TUBA1A, PEG10, CTSF, EIF4G2, YWHAG |
380 |
DESCARTES_MAIN_FETAL_SYMPATHOBLASTS | 2.14e-02 | 9.46 | 1.09 | 1.00e+00 | 1.00e+00 | 2TH, NT5DC2 |
57 |
HAY_BONE_MARROW_EOSINOPHIL | 2.21e-02 | 9.30 | 1.07 | 1.00e+00 | 1.00e+00 | 2NT5DC2, MBD3 |
58 |
MANNO_MIDBRAIN_NEUROTYPES_HDA1 | 2.28e-02 | 2.95 | 1.02 | 1.00e+00 | 1.00e+00 | 6TH, VSTM2A, GPC2, KIFC2, YWHAG, CHST1 |
584 |
HU_FETAL_RETINA_RGC | 2.71e-02 | 3.17 | 0.98 | 1.00e+00 | 1.00e+00 | 5TUBA1A, ATAT1, RGMB, GDI1, YWHAG |
443 |
HAY_BONE_MARROW_NEUTROPHIL | 2.85e-02 | 3.13 | 0.96 | 1.00e+00 | 1.00e+00 | 5LAMTOR4, LENG8, ATP6V0B, CTSD, JUND |
449 |
FAN_OVARY_CL13_MONOCYTE_MACROPHAGE | 3.06e-02 | 3.07 | 0.95 | 1.00e+00 | 1.00e+00 | 5LAMTOR4, MTPN, ATP6V0B, CTSD, ARHGDIA |
458 |
GAO_LARGE_INTESTINE_ADULT_CA_ENTEROENDOCRINE_CELLS | 3.27e-02 | 3.53 | 0.92 | 1.00e+00 | 1.00e+00 | 4TUBA1A, PEG10, PTPRN, MAPK8IP2 |
312 |
MANNO_MIDBRAIN_NEUROTYPES_HNBML1 | 3.80e-02 | 3.36 | 0.87 | 1.00e+00 | 1.00e+00 | 4TUBA1A, GPC2, YWHAG, MAPK8IP2 |
328 |
Dowload full table
mSigDB Hallmark Gene Sets:
P-value | OR | Lower 95% CI | FDR | FWER | Genes Found | Gene Set Size | |
---|---|---|---|---|---|---|---|
HALLMARK_UV_RESPONSE_UP | 1.28e-01 | 3.34 | 0.39 | 1.00e+00 | 1.00e+00 | 2MAOA, MAPK8IP2 |
158 |
HALLMARK_APOPTOSIS | 1.32e-01 | 3.28 | 0.38 | 1.00e+00 | 1.00e+00 | 2CCND1, MADD |
161 |
HALLMARK_MITOTIC_SPINDLE | 1.83e-01 | 2.64 | 0.31 | 1.00e+00 | 1.00e+00 | 2DYNLL2, ARHGDIA |
199 |
HALLMARK_ESTROGEN_RESPONSE_LATE | 1.85e-01 | 2.63 | 0.31 | 1.00e+00 | 1.00e+00 | 2CCND1, TH |
200 |
HALLMARK_COMPLEMENT | 1.85e-01 | 2.63 | 0.31 | 1.00e+00 | 1.00e+00 | 2GNB2, CTSD |
200 |
HALLMARK_P53_PATHWAY | 1.85e-01 | 2.63 | 0.31 | 1.00e+00 | 1.00e+00 | 2CTSF, CTSD |
200 |
HALLMARK_NOTCH_SIGNALING | 1.20e-01 | 8.23 | 0.20 | 1.00e+00 | 1.00e+00 | 1CCND1 |
32 |
HALLMARK_ANDROGEN_RESPONSE | 3.28e-01 | 2.58 | 0.06 | 1.00e+00 | 1.00e+00 | 1CCND1 |
100 |
HALLMARK_PI3K_AKT_MTOR_SIGNALING | 3.41e-01 | 2.45 | 0.06 | 1.00e+00 | 1.00e+00 | 1ARHGDIA |
105 |
HALLMARK_COAGULATION | 4.22e-01 | 1.86 | 0.05 | 1.00e+00 | 1.00e+00 | 1GNB2 |
138 |
HALLMARK_FATTY_ACID_METABOLISM | 4.66e-01 | 1.62 | 0.04 | 1.00e+00 | 1.00e+00 | 1MAOA |
158 |
HALLMARK_IL2_STAT5_SIGNALING | 5.45e-01 | 1.29 | 0.03 | 1.00e+00 | 1.00e+00 | 1PLAGL1 |
199 |
HALLMARK_TNFA_SIGNALING_VIA_NFKB | 5.47e-01 | 1.28 | 0.03 | 1.00e+00 | 1.00e+00 | 1CCND1 |
200 |
HALLMARK_G2M_CHECKPOINT | 5.47e-01 | 1.28 | 0.03 | 1.00e+00 | 1.00e+00 | 1CCND1 |
200 |
HALLMARK_ADIPOGENESIS | 5.47e-01 | 1.28 | 0.03 | 1.00e+00 | 1.00e+00 | 1YWHAG |
200 |
HALLMARK_ESTROGEN_RESPONSE_EARLY | 5.47e-01 | 1.28 | 0.03 | 1.00e+00 | 1.00e+00 | 1CCND1 |
200 |
HALLMARK_MYC_TARGETS_V1 | 5.47e-01 | 1.28 | 0.03 | 1.00e+00 | 1.00e+00 | 1EIF4G2 |
200 |
HALLMARK_XENOBIOTIC_METABOLISM | 5.47e-01 | 1.28 | 0.03 | 1.00e+00 | 1.00e+00 | 1MAOA |
200 |
HALLMARK_OXIDATIVE_PHOSPHORYLATION | 5.47e-01 | 1.28 | 0.03 | 1.00e+00 | 1.00e+00 | 1ATP6V0B |
200 |
HALLMARK_GLYCOLYSIS | 5.47e-01 | 1.28 | 0.03 | 1.00e+00 | 1.00e+00 | 1CHST1 |
200 |
Dowload full table
KEGG Pathways:
P-value | OR | Lower 95% CI | FDR | FWER | Genes Found | Gene Set Size | |
---|---|---|---|---|---|---|---|
KEGG_LYSOSOME | 1.30e-03 | 9.29 | 2.39 | 2.42e-01 | 2.42e-01 | 4CTSF, ATP6V0B, ATP6V0A1, CTSD |
121 |
KEGG_TYROSINE_METABOLISM | 1.20e-02 | 13.01 | 1.48 | 8.15e-01 | 1.00e+00 | 2MAOA, TH |
42 |
KEGG_VASOPRESSIN_REGULATED_WATER_REABSORPTION | 1.31e-02 | 12.39 | 1.41 | 8.15e-01 | 1.00e+00 | 2DYNLL2, ARHGDIA |
44 |
KEGG_VIBRIO_CHOLERAE_INFECTION | 1.94e-02 | 10.01 | 1.15 | 9.00e-01 | 1.00e+00 | 2ATP6V0B, ATP6V0A1 |
54 |
KEGG_EPITHELIAL_CELL_SIGNALING_IN_HELICOBACTER_PYLORI_INFECTION | 2.97e-02 | 7.89 | 0.91 | 9.71e-01 | 1.00e+00 | 2ATP6V0B, ATP6V0A1 |
68 |
KEGG_VIRAL_MYOCARDITIS | 3.13e-02 | 7.66 | 0.88 | 9.71e-01 | 1.00e+00 | 2CCND1, EIF4G2 |
70 |
KEGG_CELL_CYCLE | 8.71e-02 | 4.23 | 0.49 | 1.00e+00 | 1.00e+00 | 2CCND1, YWHAG |
125 |
KEGG_NEUROTROPHIN_SIGNALING_PATHWAY | 8.82e-02 | 4.20 | 0.49 | 1.00e+00 | 1.00e+00 | 2YWHAG, ARHGDIA |
126 |
KEGG_OXIDATIVE_PHOSPHORYLATION | 9.54e-02 | 4.01 | 0.47 | 1.00e+00 | 1.00e+00 | 2ATP6V0B, ATP6V0A1 |
132 |
KEGG_GLYCOSAMINOGLYCAN_BIOSYNTHESIS_KERATAN_SULFATE | 5.81e-02 | 18.20 | 0.42 | 1.00e+00 | 1.00e+00 | 1CHST1 |
15 |
KEGG_PHENYLALANINE_METABOLISM | 6.93e-02 | 14.99 | 0.35 | 1.00e+00 | 1.00e+00 | 1MAOA |
18 |
KEGG_MAPK_SIGNALING_PATHWAY | 2.80e-01 | 1.97 | 0.23 | 1.00e+00 | 1.00e+00 | 2MAPK8IP2, JUND |
267 |
KEGG_HISTIDINE_METABOLISM | 1.09e-01 | 9.11 | 0.22 | 1.00e+00 | 1.00e+00 | 1MAOA |
29 |
KEGG_THYROID_CANCER | 1.09e-01 | 9.11 | 0.22 | 1.00e+00 | 1.00e+00 | 1CCND1 |
29 |
KEGG_GLYCINE_SERINE_AND_THREONINE_METABOLISM | 1.16e-01 | 8.50 | 0.20 | 1.00e+00 | 1.00e+00 | 1MAOA |
31 |
KEGG_TRYPTOPHAN_METABOLISM | 1.47e-01 | 6.54 | 0.16 | 1.00e+00 | 1.00e+00 | 1MAOA |
40 |
KEGG_BLADDER_CANCER | 1.54e-01 | 6.22 | 0.15 | 1.00e+00 | 1.00e+00 | 1CCND1 |
42 |
KEGG_TYPE_I_DIABETES_MELLITUS | 1.57e-01 | 6.07 | 0.15 | 1.00e+00 | 1.00e+00 | 1PTPRN |
43 |
KEGG_ENDOMETRIAL_CANCER | 1.87e-01 | 5.00 | 0.12 | 1.00e+00 | 1.00e+00 | 1CCND1 |
52 |
KEGG_ARGININE_AND_PROLINE_METABOLISM | 1.94e-01 | 4.81 | 0.12 | 1.00e+00 | 1.00e+00 | 1MAOA |
54 |
Dowload full table
CHR Positional Gene Sets:
P-value | OR | Lower 95% CI | FDR | FWER | Genes Found | Gene Set Size | |
---|---|---|---|---|---|---|---|
chr7q22 | 9.54e-03 | 5.20 | 1.35 | 1.00e+00 | 1.00e+00 | 4LAMTOR4, GPC2, GIGYF1, GNB2 |
213 |
chr11p11 | 1.11e-01 | 3.64 | 0.42 | 1.00e+00 | 1.00e+00 | 2MADD, CHST1 |
145 |
chr7q36 | 1.11e-01 | 3.64 | 0.42 | 1.00e+00 | 1.00e+00 | 2AGAP3, FASTK |
145 |
chr11q13 | 2.21e-01 | 1.91 | 0.38 | 1.00e+00 | 1.00e+00 | 3CCND1, CTSF, PHOX2A |
421 |
chr17q21 | 2.57e-01 | 1.76 | 0.35 | 1.00e+00 | 1.00e+00 | 3ATP6V0A1, FAM171A2, UBE2Z |
457 |
chrXq28 | 1.93e-01 | 2.55 | 0.30 | 1.00e+00 | 1.00e+00 | 2PDZD4, GDI1 |
206 |
chr7q11 | 2.60e-01 | 2.08 | 0.24 | 1.00e+00 | 1.00e+00 | 2SRRM3, YWHAG |
253 |
chr1p34 | 2.91e-01 | 1.91 | 0.22 | 1.00e+00 | 1.00e+00 | 2DMAP1, ATP6V0B |
275 |
chr19p13 | 7.66e-01 | 1.04 | 0.21 | 1.00e+00 | 1.00e+00 | 3MBD3, YJEFN3, JUND |
773 |
chr7q33 | 1.87e-01 | 5.00 | 0.12 | 1.00e+00 | 1.00e+00 | 1MTPN |
52 |
chr5q15 | 2.13e-01 | 4.32 | 0.11 | 1.00e+00 | 1.00e+00 | 1RGMB |
60 |
chr6q24 | 2.49e-01 | 3.59 | 0.09 | 1.00e+00 | 1.00e+00 | 1PLAGL1 |
72 |
chr7p11 | 2.78e-01 | 3.15 | 0.08 | 1.00e+00 | 1.00e+00 | 1VSTM2A |
82 |
chr17q22 | 2.90e-01 | 3.00 | 0.07 | 1.00e+00 | 1.00e+00 | 1DYNLL2 |
86 |
chr7p15 | 3.17e-01 | 2.68 | 0.07 | 1.00e+00 | 1.00e+00 | 1NPY |
96 |
chr7p22 | 3.82e-01 | 2.13 | 0.05 | 1.00e+00 | 1.00e+00 | 1INTS1 |
121 |
chr2q35 | 3.94e-01 | 2.04 | 0.05 | 1.00e+00 | 1.00e+00 | 1PTPRN |
126 |
chr7q21 | 4.78e-01 | 1.56 | 0.04 | 1.00e+00 | 1.00e+00 | 1PEG10 |
164 |
chrXq22 | 4.88e-01 | 1.52 | 0.04 | 1.00e+00 | 1.00e+00 | 1RNF128 |
169 |
chr5p15 | 5.27e-01 | 1.36 | 0.03 | 1.00e+00 | 1.00e+00 | 1TERT |
189 |
Dowload full table
Transcription Factor Targets:
P-value | OR | Lower 95% CI | FDR | FWER | Genes Found | Gene Set Size | |
---|---|---|---|---|---|---|---|
ZNF680_TARGET_GENES | 2.39e-03 | 3.82 | 1.54 | 1.00e+00 | 1.00e+00 | 8LAMTOR4, RGS5, LENG8, DMAP1, MADD, RGMB, MTPN, ATP6V0A1 |
631 |
ZMYND11_TARGET_GENES | 1.87e-02 | 10.20 | 1.17 | 1.00e+00 | 1.00e+00 | 2MBD3, ARHGDIA |
53 |
MYOD_Q6_01 | 1.77e-02 | 4.30 | 1.11 | 1.00e+00 | 1.00e+00 | 4SORCS2, SRRM3, AGAP3, RNF128 |
257 |
PCGF1_TARGET_GENES | 1.71e-02 | 3.16 | 1.09 | 1.00e+00 | 1.00e+00 | 6SRRM3, KIFC2, PLAGL1, GNB2, CTSD, JUND |
546 |
CREBP1CJUN_01 | 1.93e-02 | 4.18 | 1.09 | 1.00e+00 | 1.00e+00 | 4MAOA, TH, MADD, JUND |
264 |
ZSCAN30_TARGET_GENES | 1.72e-02 | 2.27 | 1.08 | 1.00e+00 | 1.00e+00 | 12RGS5, DMAP1, SRRM3, AGAP3, USP22, FASTK, INTS1, YWHAG, GNB2, ARHGDIA, MAPK8IP2, JUND |
1756 |
NMYC_01 | 2.33e-02 | 3.94 | 1.02 | 1.00e+00 | 1.00e+00 | 4CTSF, RNF128, ATP6V0B, PLAGL1 |
280 |
KDM5D_TARGET_GENES | 4.08e-02 | 2.18 | 1.01 | 1.00e+00 | 1.00e+00 | 11LENG8, DMAP1, CTSF, MADD, MBD3, AGAP3, GPC2, REEP2, ATP6V0A1, GNB2, ARHGDIA |
1628 |
FXR1_TARGET_GENES | 3.04e-02 | 2.37 | 0.96 | 1.00e+00 | 1.00e+00 | 8CCND1, RGS5, DMAP1, ATAT1, MADD, UBE2Z, GDI1, ARHGDIA |
1011 |
AHR_01 | 2.73e-02 | 8.26 | 0.95 | 1.00e+00 | 1.00e+00 | 2CCND1, PDZD4 |
65 |
AP2REP_01 | 3.45e-02 | 4.46 | 0.88 | 1.00e+00 | 1.00e+00 | 3NT5DC2, YWHAG, GNB2 |
182 |
ZNF592_TARGET_GENES | 8.79e-02 | 1.88 | 0.87 | 1.00e+00 | 1.00e+00 | 11CCND1, SRRM3, CTSF, MADD, USP22, FAM171A2, INTS1, CTSD, ARHGDIA, CHST1, JUND |
1890 |
ZNF7_TARGET_GENES | 7.89e-02 | 2.27 | 0.86 | 1.00e+00 | 1.00e+00 | 7RGS5, DMAP1, SRRM3, MTPN, PTPRN, MAPK8IP2, JUND |
903 |
CBFA2T2_TARGET_GENES | 8.08e-02 | 1.86 | 0.83 | 1.00e+00 | 1.00e+00 | 10LAMTOR4, NT5DC2, AGAP3, ATP6V0B, KIFC2, PLAGL1, GNB2, CTSD, ARHGDIA, CHST1 |
1694 |
TFCP2_TARGET_GENES | 3.55e-02 | 7.13 | 0.82 | 1.00e+00 | 1.00e+00 | 2USP22, EIF4G2 |
75 |
NPM1_TARGET_GENES | 4.86e-02 | 3.09 | 0.80 | 1.00e+00 | 1.00e+00 | 4SRRM3, AGAP3, USP22, KIFC2 |
356 |
PAF1_TARGET_GENES | 3.72e-02 | 6.94 | 0.80 | 1.00e+00 | 1.00e+00 | 2UBE2Z, MAPK8IP2 |
77 |
HEN1_02 | 4.35e-02 | 4.05 | 0.80 | 1.00e+00 | 1.00e+00 | 3PEG10, PHOX2A, EIF4G2 |
200 |
CHAF1B_TARGET_GENES | 9.05e-02 | 2.09 | 0.79 | 1.00e+00 | 1.00e+00 | 7RGS5, DMAP1, SRRM3, EIF4G2, GNB2, ARHGDIA, JUND |
981 |
TGCTGAY_UNKNOWN | 5.66e-02 | 2.56 | 0.79 | 1.00e+00 | 1.00e+00 | 5MADD, AGAP3, YWHAG, PTPRN, MAPK8IP2 |
547 |
Dowload full table
GO Biological Processes:
P-value | OR | Lower 95% CI | FDR | FWER | Genes Found | Gene Set Size | |
---|---|---|---|---|---|---|---|
GOBP_RESPONSE_TO_CORTICOSTERONE | 2.81e-03 | 28.89 | 3.17 | 1.00e+00 | 1.00e+00 | 2CCND1, TH |
20 |
GOBP_CATECHOL_CONTAINING_COMPOUND_METABOLIC_PROCESS | 1.13e-03 | 16.27 | 3.13 | 1.00e+00 | 1.00e+00 | 3MAOA, TH, MTPN |
52 |
GOBP_MATING_BEHAVIOR | 3.10e-03 | 27.37 | 3.01 | 1.00e+00 | 1.00e+00 | 2TH, MAPK8IP2 |
21 |
GOBP_RAB_PROTEIN_SIGNAL_TRANSDUCTION | 3.10e-03 | 27.37 | 3.01 | 1.00e+00 | 1.00e+00 | 2MADD, GDI1 |
21 |
GOBP_REPRODUCTIVE_BEHAVIOR | 5.48e-03 | 20.00 | 2.24 | 1.00e+00 | 1.00e+00 | 2TH, MAPK8IP2 |
28 |
GOBP_PHAGOSOME_ACIDIFICATION | 5.48e-03 | 20.00 | 2.24 | 1.00e+00 | 1.00e+00 | 2ATP6V0B, ATP6V0A1 |
28 |
GOBP_NEUROTRANSMITTER_METABOLIC_PROCESS | 5.87e-03 | 19.27 | 2.16 | 1.00e+00 | 1.00e+00 | 2MAOA, TH |
29 |
GOBP_POSITIVE_REGULATION_OF_AXONOGENESIS | 3.61e-03 | 10.64 | 2.07 | 1.00e+00 | 1.00e+00 | 3EIF4G2, GDI1, ARHGDIA |
78 |
GOBP_RESPONSE_TO_MINERALOCORTICOID | 7.12e-03 | 17.34 | 1.95 | 1.00e+00 | 1.00e+00 | 2CCND1, TH |
32 |
GOBP_TRANSFERRIN_TRANSPORT | 8.94e-03 | 15.30 | 1.73 | 1.00e+00 | 1.00e+00 | 2ATP6V0B, ATP6V0A1 |
36 |
GOBP_PEPTIDYL_LYSINE_ACETYLATION | 4.22e-03 | 6.63 | 1.71 | 1.00e+00 | 1.00e+00 | 4DMAP1, ATAT1, MBD3, USP22 |
168 |
GOBP_REGULATION_OF_CELL_SIZE | 4.67e-03 | 6.43 | 1.66 | 1.00e+00 | 1.00e+00 | 4LAMTOR4, MTPN, EIF4G2, GDI1 |
173 |
GOBP_MATING | 9.92e-03 | 14.46 | 1.64 | 1.00e+00 | 1.00e+00 | 2TH, MAPK8IP2 |
38 |
GOBP_DOPAMINE_METABOLIC_PROCESS | 9.92e-03 | 14.46 | 1.64 | 1.00e+00 | 1.00e+00 | 2MAOA, TH |
38 |
GOBP_POSITIVE_REGULATION_OF_AXON_EXTENSION | 1.04e-02 | 14.07 | 1.60 | 1.00e+00 | 1.00e+00 | 2EIF4G2, GDI1 |
39 |
GOBP_CELLULAR_BIOGENIC_AMINE_METABOLIC_PROCESS | 7.78e-03 | 7.98 | 1.56 | 1.00e+00 | 1.00e+00 | 3MAOA, TH, MTPN |
103 |
GOBP_ANTIGEN_PROCESSING_AND_PRESENTATION_OF_PEPTIDE_OR_POLYSACCHARIDE_ANTIGEN_VIA_MHC_CLASS_II | 7.99e-03 | 7.90 | 1.55 | 1.00e+00 | 1.00e+00 | 3DYNLL2, CTSF, CTSD |
104 |
GOBP_PHENOL_CONTAINING_COMPOUND_METABOLIC_PROCESS | 8.42e-03 | 7.74 | 1.52 | 1.00e+00 | 1.00e+00 | 3MAOA, TH, MTPN |
106 |
GOBP_PROTEIN_ACETYLATION | 7.71e-03 | 5.55 | 1.44 | 1.00e+00 | 1.00e+00 | 4DMAP1, ATAT1, MBD3, USP22 |
200 |
GOBP_POSITIVE_REGULATION_OF_G1_S_TRANSITION_OF_MITOTIC_CELL_CYCLE | 1.37e-02 | 12.10 | 1.38 | 1.00e+00 | 1.00e+00 | 2CCND1, TERT |
45 |
Dowload full table
Immunological Gene Sets:
P-value | OR | Lower 95% CI | FDR | FWER | Genes Found | Gene Set Size | |
---|---|---|---|---|---|---|---|
GSE9650_EFFECTOR_VS_EXHAUSTED_CD8_TCELL_UP | 1.08e-03 | 7.12 | 2.18 | 1.00e+00 | 1.00e+00 | 5LAMTOR4, ATP6V0B, USP22, UBE2Z, CTSD |
200 |
GSE12198_LOW_IL2_STIM_NK_CELL_VS_HIGH_IL2_STIM_NK_CELL_DN | 1.08e-03 | 7.12 | 2.18 | 1.00e+00 | 1.00e+00 | 5LAMTOR4, NPY, USP22, YWHAG, CHST1 |
200 |
GSE42021_CD24HI_VS_CD24INT_TREG_THYMUS_UP | 1.08e-03 | 7.12 | 2.18 | 1.00e+00 | 1.00e+00 | 5NT5DC2, TUBA1A, USP22, EIF4G2, FASTK |
200 |
GSE9988_ANTI_TREM1_AND_LPS_VS_CTRL_TREATED_MONOCYTES_DN | 7.32e-03 | 5.63 | 1.46 | 1.00e+00 | 1.00e+00 | 4NT5DC2, MADD, USP22, GNB2 |
197 |
GSE42021_TCONV_PLN_VS_CD24INT_TCONV_THYMUS_UP | 7.58e-03 | 5.57 | 1.44 | 1.00e+00 | 1.00e+00 | 4CTSF, ATP6V0B, UBE2Z, PTPRN |
199 |
GSE17580_TREG_VS_TEFF_DN | 7.71e-03 | 5.55 | 1.44 | 1.00e+00 | 1.00e+00 | 4ATP6V0B, YWHAG, CTSD, CHST1 |
200 |
GSE17721_LPS_VS_GARDIQUIMOD_16H_BMDC_DN | 7.71e-03 | 5.55 | 1.44 | 1.00e+00 | 1.00e+00 | 4LAMTOR4, RNF128, ATP6V0B, YWHAG |
200 |
GSE17721_ALL_VS_24H_PAM3CSK4_BMDC_DN | 7.71e-03 | 5.55 | 1.44 | 1.00e+00 | 1.00e+00 | 4CTSF, RNF128, NPY, CHST1 |
200 |
GSE19825_NAIVE_VS_IL2RAHIGH_DAY3_EFF_CD8_TCELL_UP | 7.71e-03 | 5.55 | 1.44 | 1.00e+00 | 1.00e+00 | 4NPY, KIFC2, FAM171A2, CHST1 |
200 |
GSE2826_WT_VS_BTK_KO_BCELL_DN | 7.71e-03 | 5.55 | 1.44 | 1.00e+00 | 1.00e+00 | 4DYNLL2, TH, AGAP3, YWHAG |
200 |
GSE2405_HEAT_KILLED_LYSATE_VS_LIVE_A_PHAGOCYTOPHILUM_STIM_NEUTROPHIL_24H_DN | 7.71e-03 | 5.55 | 1.44 | 1.00e+00 | 1.00e+00 | 4ATAT1, TERT, YJEFN3, PLAGL1 |
200 |
GSE3039_CD4_TCELL_VS_ALPHAALPHA_CD8_TCELL_UP | 7.71e-03 | 5.55 | 1.44 | 1.00e+00 | 1.00e+00 | 4RNF128, ATP6V0B, FASTK, ARHGDIA |
200 |
GSE3039_CD4_TCELL_VS_ALPHABETA_CD8_TCELL_DN | 7.71e-03 | 5.55 | 1.44 | 1.00e+00 | 1.00e+00 | 4CCND1, TUBA1A, YWHAG, CTSD |
200 |
GSE43955_10H_VS_30H_ACT_CD4_TCELL_WITH_TGFB_IL6_UP | 7.71e-03 | 5.55 | 1.44 | 1.00e+00 | 1.00e+00 | 4USP22, ATP6V0A1, YWHAG, JUND |
200 |
GSE6259_FLT3L_INDUCED_33D1_POS_DC_VS_CD8_TCELL_UP | 1.97e-02 | 5.58 | 1.10 | 1.00e+00 | 1.00e+00 | 3PEG10, ATP6V0A1, CTSD |
146 |
GSE6090_UNSTIM_VS_DC_SIGN_STIM_DC_DN | 1.97e-02 | 5.58 | 1.10 | 1.00e+00 | 1.00e+00 | 3TH, PDZD4, MAPK8IP2 |
146 |
GSE6269_HEALTHY_VS_FLU_INF_PBMC_DN | 2.61e-02 | 4.99 | 0.98 | 1.00e+00 | 1.00e+00 | 3ATP6V0A1, CTSD, ARHGDIA |
163 |
GSE6269_E_COLI_VS_STAPH_AUREUS_INF_PBMC_DN | 3.17e-02 | 4.61 | 0.91 | 1.00e+00 | 1.00e+00 | 3NT5DC2, ATP6V0B, CTSD |
176 |
GSE25677_MPL_VS_R848_STIM_BCELL_DN | 3.40e-02 | 4.48 | 0.88 | 1.00e+00 | 1.00e+00 | 3TUBA1A, MTPN, ATP6V0A1 |
181 |
GSE6259_BCELL_VS_CD4_TCELL_UP | 3.89e-02 | 4.24 | 0.84 | 1.00e+00 | 1.00e+00 | 3LAMTOR4, RNF128, JUND |
191 |
Top Ranked Transcription Factors for this Gene Expression Program:
Gene Symbol | TF Rank | DNA Binding Domain | Motif Status | IUPAC PWM | GTEx | DepMap | Decartes |
---|---|---|---|---|---|---|---|
DMAP1 | 13 | No | Unlikely to be sequence specific TF | Low specificity DNA-binding protein | No motif | None | Component of the NuA4 histone acetyltransferase (HAT) complex, which is involved in transcriptional activation of select genes, principally by acetylation of nucleosomal histones H4 and H2A (PMID: 14966270). (PMID: 20864525) shows DNA binding is sequence independent. |
MBD3 | 20 | Yes | Likely to be sequence specific TF | Low specificity DNA-binding protein | No motif | None | The MBD domain of MBD3 is thought to be primarily responsible for interaction with HDAC1 and MTA2, members of the NuRD complex (PMID: 12124384). More recently, studies have shown that it retains the ability to bind methylated CpG sites in vitro (PMID: 24307175) with lower affinity than other MBD proteins (e.g., MBD2), but does not distinguish between hydroxymethylated and unmethylated sites. Coupled with in vivo ChIP experiments, it appears that MBD3 binds unmethylated CpG sites in vivo after be |
MTPN | 22 | No | Unlikely to be sequence specific TF | Not a DNA binding protein | No motif | None | No DBD; no evidence for DNA binding - only included because GO says its a positive regulator of NFkappaB. |
PHOX2A | 27 | Yes | Known motif | Monomer or homomultimer | High-throughput in vitro | None | None |
PLAGL1 | 44 | Yes | Known motif | Monomer or homomultimer | In vivo/Misc source | Only known motifs are from Transfac or HocoMoco - origin is uncertain | None |
JUND | 50 | Yes | Known motif | Monomer or homomultimer | High-throughput in vitro | None | None |
SSBP4 | 71 | No | ssDNA/RNA binding | Not a DNA binding protein | No motif | None | (PMID:9531483) shows that the SSDP_DNA-bd domain has sequence-specific single-stranded DNA-binding activity. |
TBX2 | 80 | Yes | Known motif | Monomer or homomultimer | High-throughput in vitro | None | None |
SSBP3 | 93 | No | ssDNA/RNA binding | Not a DNA binding protein | No motif | None | Single stranded DNA binding protein. There is no evidence for sequence specificity, although it can operate as a transcriptional co-regulator (PMID: 26495868) |
CPSF4 | 97 | No | ssDNA/RNA binding | Not a DNA binding protein | No motif | None | None |
HNRNPK | 103 | No | ssDNA/RNA binding | Not a DNA binding protein | No motif | None | Protein is a well established RBP |
ISL1 | 105 | Yes | Known motif | Monomer or homomultimer | High-throughput in vitro | None | None |
PRKCZ | 108 | No | Unlikely to be sequence specific TF | Not a DNA binding protein | No motif | None | None |
BRMS1 | 124 | No | Unlikely to be sequence specific TF | Not a DNA binding protein | No motif | None | BRMS1 functions as a corepressor by promoting binding of HDAC1 to RelA/p65, where it deacetylates lysine K310 on RelA/p65, which suppresses RelA/p65 transcriptional activity (PMID: 17000776) |
RBM5 | 131 | No | ssDNA/RNA binding | Not a DNA binding protein | No motif | None | RNA-binding protein that binds RNA with two RRM-domains and regulates splicing (PMID: 24486491) |
TRIM37 | 142 | No | Unlikely to be sequence specific TF | Not a DNA binding protein | No motif | None | Included only because GO says it is a regulator of NFkappaB. No evidence for DNA binding, and no canonical DBD. |
INSM2 | 145 | Yes | Likely to be sequence specific TF | Monomer or homomultimer | No motif | None | None |
PEG3 | 146 | Yes | Likely to be sequence specific TF | Monomer or homomultimer | No motif | None | SCAN C2H2 ZF Protein. |
HIPK2 | 149 | No | Unlikely to be sequence specific TF | Not a DNA binding protein | No motif | None | Transcriptional cofactor that can act as a coactivator or corepressor. Phosphorylates many transcription factors. (UniProt Q9H2X6) |
CTBP1 | 157 | No | Unlikely to be sequence specific TF | Not a DNA binding protein | No motif | Only known motifs are from Transfac or HocoMoco - origin is uncertain | Transfac-only motif with no clear source. This is a known corepressor with a primary function in the Golgi. |
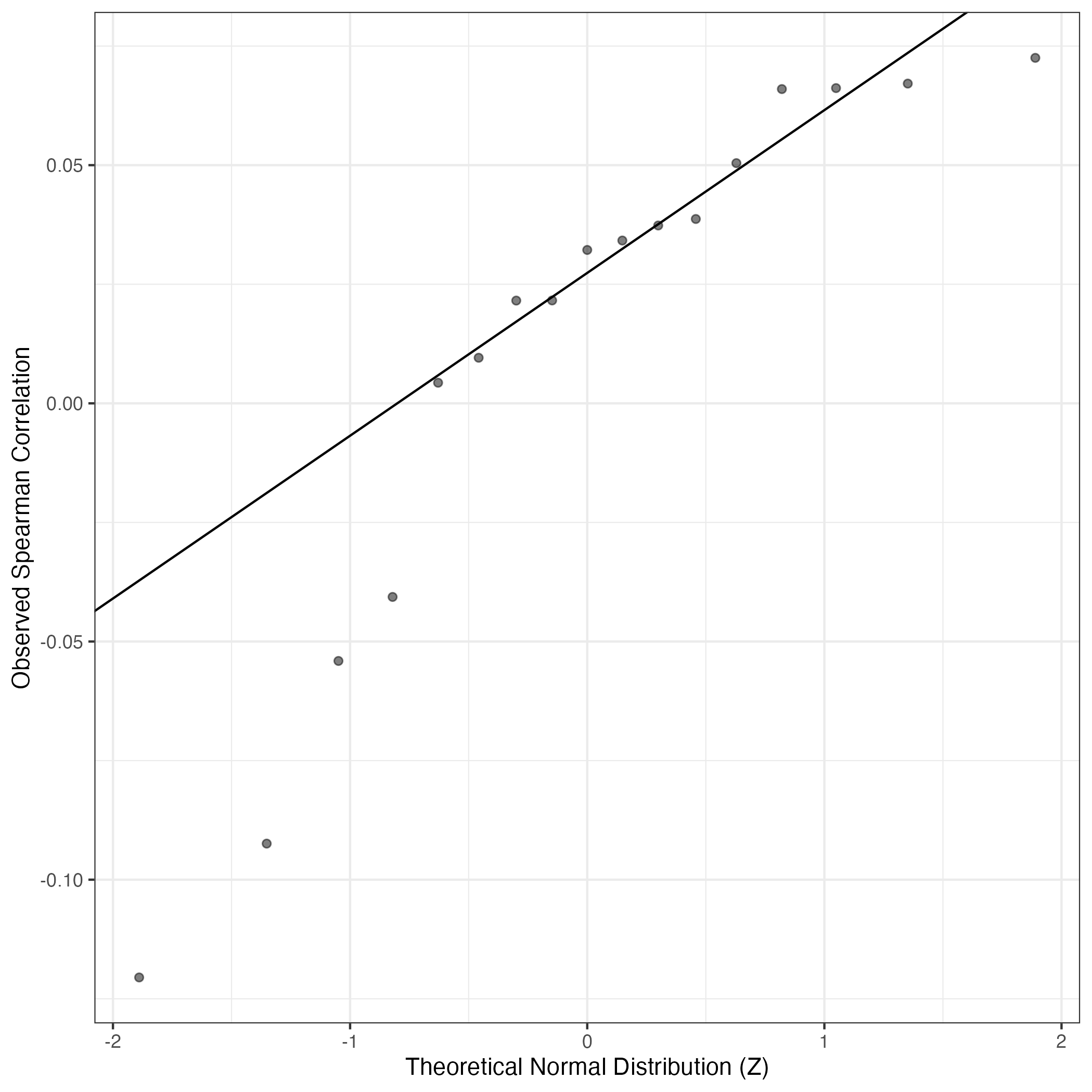
QQ Plot showing correlations with other Gene Expression Programs in this dataset, calculated by Spearman correlation:
Interactive QQ-plot of gene loadings:
A similar QQ-plot as above, but only for instances where the H value is e.g. > 25, i.e. we are confident that the expression program is active above noise. Agreemenet between these binary vectors is tested using the Jaccard Index, with the P-values calculated by an exact test:
Interactive QQ-plot:
Singler cell type annotations for the top 50 cells on this program.
Cell ID | Singler label | Singler Delta | Activity Score | Top Singler Raw Scores |
---|---|---|---|---|
NB14_CTAGAGTAGGAACTGC-1 | Neurons:adrenal_medulla_cell_line | 0.15 | 1737.66 | Raw ScoresNeurons:adrenal_medulla_cell_line: 0.28, Neuroepithelial_cell:ESC-derived: 0.22, Astrocyte:Embryonic_stem_cell-derived: 0.21, Tissue_stem_cells:CD326-CD56+: 0.2, Neurons:ES_cell-derived_neural_precursor: 0.2, iPS_cells:PDB_1lox-21Puro-20: 0.2, iPS_cells:PDB_1lox-17Puro-5: 0.2, iPS_cells:PDB_2lox-22: 0.2, iPS_cells:PDB_1lox-17Puro-10: 0.2, iPS_cells:CRL2097_foreskin-derived:undiff.: 0.2 |
NB06_CAGTAACGTAAACACA-1 | Neurons:adrenal_medulla_cell_line | 0.24 | 836.42 | Raw ScoresNeurons:adrenal_medulla_cell_line: 0.46, Neuroepithelial_cell:ESC-derived: 0.39, Astrocyte:Embryonic_stem_cell-derived: 0.39, Neurons:ES_cell-derived_neural_precursor: 0.36, iPS_cells:PDB_1lox-21Puro-20: 0.33, Embryonic_stem_cells: 0.33, iPS_cells:PDB_1lox-17Puro-10: 0.33, iPS_cells:PDB_1lox-21Puro-26: 0.33, Tissue_stem_cells:CD326-CD56+: 0.33, iPS_cells:PDB_1lox-17Puro-5: 0.33 |
NB06_AGAGTGGAGCCCAATT-1 | Neurons:adrenal_medulla_cell_line | 0.22 | 714.36 | Raw ScoresNeurons:adrenal_medulla_cell_line: 0.41, Astrocyte:Embryonic_stem_cell-derived: 0.35, Neuroepithelial_cell:ESC-derived: 0.35, Neurons:ES_cell-derived_neural_precursor: 0.31, iPS_cells:PDB_1lox-21Puro-20: 0.3, iPS_cells:PDB_1lox-17Puro-10: 0.3, Embryonic_stem_cells: 0.3, iPS_cells:PDB_1lox-21Puro-26: 0.3, iPS_cells:PDB_1lox-17Puro-5: 0.29, iPS_cells:PDB_2lox-22: 0.29 |
NB14_AGATTGCGTAGTAGTA-1 | Neurons:adrenal_medulla_cell_line | 0.09 | 528.02 | Raw ScoresNeurons:adrenal_medulla_cell_line: 0.12, Neuroepithelial_cell:ESC-derived: 0.09, Neurons:ES_cell-derived_neural_precursor: 0.08, Embryonic_stem_cells: 0.08, Astrocyte:Embryonic_stem_cell-derived: 0.08, Endothelial_cells:HUVEC:VEGF: 0.08, Tissue_stem_cells:CD326-CD56+: 0.08, Endothelial_cells:HUVEC: 0.08, iPS_cells:PDB_2lox-22: 0.08, Endothelial_cells:HUVEC:FPV-infected: 0.08 |
NB04_GCTGCTTAGTAGATGT-1 | Neurons:adrenal_medulla_cell_line | 0.22 | 521.40 | Raw ScoresNeurons:adrenal_medulla_cell_line: 0.36, Astrocyte:Embryonic_stem_cell-derived: 0.3, Neuroepithelial_cell:ESC-derived: 0.3, Neurons:ES_cell-derived_neural_precursor: 0.27, iPS_cells:PDB_1lox-21Puro-20: 0.25, iPS_cells:PDB_1lox-17Puro-10: 0.25, iPS_cells:PDB_1lox-21Puro-26: 0.25, iPS_cells:PDB_1lox-17Puro-5: 0.24, Embryonic_stem_cells: 0.24, iPS_cells:PDB_2lox-22: 0.24 |
NB06_CACCAGGCACAACGTT-1 | Neurons:adrenal_medulla_cell_line | 0.26 | 406.90 | Raw ScoresNeurons:adrenal_medulla_cell_line: 0.46, Neuroepithelial_cell:ESC-derived: 0.38, Astrocyte:Embryonic_stem_cell-derived: 0.38, Neurons:ES_cell-derived_neural_precursor: 0.34, iPS_cells:PDB_1lox-21Puro-20: 0.33, iPS_cells:PDB_1lox-17Puro-10: 0.33, iPS_cells:PDB_1lox-21Puro-26: 0.33, iPS_cells:PDB_1lox-17Puro-5: 0.33, iPS_cells:PDB_2lox-22: 0.32, Embryonic_stem_cells: 0.32 |
NB04_GCTTCCAGTTAGGGTG-1 | Neurons:adrenal_medulla_cell_line | 0.20 | 400.78 | Raw ScoresNeurons:adrenal_medulla_cell_line: 0.33, Neuroepithelial_cell:ESC-derived: 0.28, Astrocyte:Embryonic_stem_cell-derived: 0.27, Neurons:ES_cell-derived_neural_precursor: 0.26, iPS_cells:PDB_1lox-21Puro-20: 0.25, iPS_cells:PDB_1lox-21Puro-26: 0.24, iPS_cells:PDB_1lox-17Puro-10: 0.24, iPS_cells:PDB_1lox-17Puro-5: 0.24, Embryonic_stem_cells: 0.24, iPS_cells:PDB_2lox-22: 0.24 |
NB04_TTCCCAGTCAATCTCT-1 | Neurons:adrenal_medulla_cell_line | 0.20 | 400.14 | Raw ScoresNeurons:adrenal_medulla_cell_line: 0.31, Neuroepithelial_cell:ESC-derived: 0.26, Astrocyte:Embryonic_stem_cell-derived: 0.25, Neurons:ES_cell-derived_neural_precursor: 0.23, iPS_cells:PDB_1lox-17Puro-10: 0.22, Embryonic_stem_cells: 0.22, iPS_cells:PDB_1lox-21Puro-20: 0.22, iPS_cells:PDB_1lox-21Puro-26: 0.22, iPS_cells:PDB_1lox-17Puro-5: 0.21, Tissue_stem_cells:CD326-CD56+: 0.21 |
NB04_GGCGACTGTCATATCG-1 | Neurons:adrenal_medulla_cell_line | 0.10 | 340.15 | Raw ScoresNeurons:adrenal_medulla_cell_line: 0.21, Astrocyte:Embryonic_stem_cell-derived: 0.21, Neuroepithelial_cell:ESC-derived: 0.2, Fibroblasts:breast: 0.19, Neurons:Schwann_cell: 0.18, MSC: 0.18, Smooth_muscle_cells:vascular: 0.18, Smooth_muscle_cells:bronchial: 0.18, Smooth_muscle_cells:bronchial:vit_D: 0.18, Neurons:ES_cell-derived_neural_precursor: 0.18 |
NB02_ACGATGTGTGCCTGCA-1 | Hepatocytes | 0.12 | 323.97 | Raw ScoresHepatocytes: 0.26, iPS_cells:CRL2097_foreskin-derived:d20_hepatic_diff: 0.2, Epithelial_cells:bronchial: 0.2, Smooth_muscle_cells:vascular: 0.2, Smooth_muscle_cells:vascular:IL-17: 0.2, Chondrocytes:MSC-derived: 0.2, Fibroblasts:breast: 0.19, Tissue_stem_cells:BM_MSC:TGFb3: 0.19, Endothelial_cells:lymphatic:TNFa_48h: 0.19, Endothelial_cells:lymphatic: 0.19 |
NB10_ACCCACTTCTAGCACA-1 | Neurons:adrenal_medulla_cell_line | 0.22 | 319.38 | Raw ScoresNeurons:adrenal_medulla_cell_line: 0.35, Neuroepithelial_cell:ESC-derived: 0.29, Astrocyte:Embryonic_stem_cell-derived: 0.28, Neurons:ES_cell-derived_neural_precursor: 0.26, iPS_cells:PDB_1lox-21Puro-20: 0.24, iPS_cells:PDB_1lox-17Puro-10: 0.24, iPS_cells:PDB_1lox-21Puro-26: 0.24, Embryonic_stem_cells: 0.24, iPS_cells:PDB_1lox-17Puro-5: 0.24, iPS_cells:PDB_2lox-22: 0.23 |
NB04_AGACGTTAGTGCCATT-1 | Neurons:adrenal_medulla_cell_line | 0.19 | 309.26 | Raw ScoresNeurons:adrenal_medulla_cell_line: 0.31, Neuroepithelial_cell:ESC-derived: 0.26, Astrocyte:Embryonic_stem_cell-derived: 0.25, Neurons:ES_cell-derived_neural_precursor: 0.24, iPS_cells:PDB_1lox-17Puro-10: 0.23, iPS_cells:PDB_1lox-17Puro-5: 0.23, iPS_cells:PDB_1lox-21Puro-20: 0.23, iPS_cells:PDB_1lox-21Puro-26: 0.23, Embryonic_stem_cells: 0.23, iPS_cells:PDB_2lox-22: 0.22 |
NB06_CGTGAGCGTTCACGGC-1 | Neurons:adrenal_medulla_cell_line | 0.20 | 291.15 | Raw ScoresNeurons:adrenal_medulla_cell_line: 0.28, Neuroepithelial_cell:ESC-derived: 0.23, Astrocyte:Embryonic_stem_cell-derived: 0.22, Neurons:ES_cell-derived_neural_precursor: 0.2, iPS_cells:PDB_1lox-21Puro-20: 0.19, iPS_cells:PDB_1lox-17Puro-10: 0.19, iPS_cells:PDB_1lox-21Puro-26: 0.19, Embryonic_stem_cells: 0.19, iPS_cells:PDB_1lox-17Puro-5: 0.19, iPS_cells:PDB_2lox-22: 0.19 |
NB10_ATTACTCTCTATCCTA-1 | Neurons:adrenal_medulla_cell_line | 0.13 | 282.83 | Raw ScoresNeurons:adrenal_medulla_cell_line: 0.24, Neuroepithelial_cell:ESC-derived: 0.19, Astrocyte:Embryonic_stem_cell-derived: 0.17, Neurons:ES_cell-derived_neural_precursor: 0.16, iPS_cells:PDB_2lox-22: 0.16, iPS_cells:PDB_1lox-17Puro-10: 0.16, Embryonic_stem_cells: 0.16, iPS_cells:PDB_1lox-21Puro-20: 0.16, iPS_cells:PDB_2lox-21: 0.16, iPS_cells:CRL2097_foreskin-derived:undiff.: 0.16 |
NB06_TAGTTGGCATGTCCTC-1 | Neurons:adrenal_medulla_cell_line | 0.16 | 277.29 | Raw ScoresNeurons:adrenal_medulla_cell_line: 0.36, Astrocyte:Embryonic_stem_cell-derived: 0.32, Neuroepithelial_cell:ESC-derived: 0.32, Neurons:Schwann_cell: 0.29, Neurons:ES_cell-derived_neural_precursor: 0.29, Embryonic_stem_cells: 0.28, Smooth_muscle_cells:bronchial: 0.28, iPS_cells:PDB_1lox-17Puro-10: 0.28, iPS_cells:PDB_1lox-21Puro-20: 0.27, iPS_cells:PDB_1lox-21Puro-26: 0.27 |
NB10_GCGCCAAAGAATGTGT-1 | Neurons:adrenal_medulla_cell_line | 0.15 | 269.90 | Raw ScoresNeurons:adrenal_medulla_cell_line: 0.27, Neuroepithelial_cell:ESC-derived: 0.22, Astrocyte:Embryonic_stem_cell-derived: 0.2, Neurons:ES_cell-derived_neural_precursor: 0.2, Embryonic_stem_cells: 0.19, iPS_cells:PDB_1lox-21Puro-20: 0.19, iPS_cells:PDB_1lox-17Puro-10: 0.19, iPS_cells:PDB_1lox-17Puro-5: 0.19, iPS_cells:PDB_2lox-22: 0.19, iPS_cells:PDB_2lox-5: 0.19 |
NB14_CAACCAAGTTAAGTAG-1 | Neurons:adrenal_medulla_cell_line | 0.08 | 261.58 | Raw ScoresNeurons:adrenal_medulla_cell_line: 0.15, Neuroepithelial_cell:ESC-derived: 0.13, Endothelial_cells:HUVEC: 0.11, Endothelial_cells:HUVEC:Serum_Amyloid_A: 0.11, Embryonic_stem_cells: 0.11, Astrocyte:Embryonic_stem_cell-derived: 0.11, iPS_cells:PDB_1lox-17Puro-10: 0.11, Endothelial_cells:HUVEC:VEGF: 0.11, iPS_cells:PDB_1lox-21Puro-20: 0.11, iPS_cells:PDB_1lox-17Puro-5: 0.11 |
NB10_CACTCCACAGGAATCG-1 | Neurons:adrenal_medulla_cell_line | 0.14 | 245.60 | Raw ScoresNeurons:adrenal_medulla_cell_line: 0.2, Neuroepithelial_cell:ESC-derived: 0.16, Neurons:ES_cell-derived_neural_precursor: 0.14, Astrocyte:Embryonic_stem_cell-derived: 0.14, Embryonic_stem_cells: 0.13, iPS_cells:PDB_2lox-22: 0.12, iPS_cells:PDB_1lox-21Puro-26: 0.12, iPS_cells:PDB_1lox-17Puro-10: 0.12, Tissue_stem_cells:CD326-CD56+: 0.12, iPS_cells:PDB_1lox-21Puro-20: 0.12 |
NB12_TCGGTAATCGTAGATC-1 | Neurons:adrenal_medulla_cell_line | 0.22 | 239.64 | Raw ScoresNeurons:adrenal_medulla_cell_line: 0.36, Neuroepithelial_cell:ESC-derived: 0.3, Astrocyte:Embryonic_stem_cell-derived: 0.29, Neurons:ES_cell-derived_neural_precursor: 0.27, iPS_cells:PDB_1lox-21Puro-20: 0.26, iPS_cells:PDB_1lox-21Puro-26: 0.26, iPS_cells:PDB_1lox-17Puro-10: 0.26, iPS_cells:PDB_1lox-17Puro-5: 0.25, iPS_cells:PDB_2lox-22: 0.25, iPS_cells:PDB_2lox-21: 0.25 |
NB10_GATCTAGTCACTTATC-1 | Neurons:adrenal_medulla_cell_line | 0.19 | 231.04 | Raw ScoresNeurons:adrenal_medulla_cell_line: 0.29, Neuroepithelial_cell:ESC-derived: 0.25, Astrocyte:Embryonic_stem_cell-derived: 0.23, Neurons:ES_cell-derived_neural_precursor: 0.22, iPS_cells:PDB_1lox-17Puro-10: 0.22, iPS_cells:PDB_1lox-21Puro-20: 0.22, iPS_cells:PDB_1lox-21Puro-26: 0.22, iPS_cells:PDB_1lox-17Puro-5: 0.22, Embryonic_stem_cells: 0.21, iPS_cells:PDB_2lox-22: 0.21 |
NB08_TTAGGACCAGGGAGAG-1 | Neurons:adrenal_medulla_cell_line | 0.23 | 212.25 | Raw ScoresNeurons:adrenal_medulla_cell_line: 0.42, Neuroepithelial_cell:ESC-derived: 0.36, Astrocyte:Embryonic_stem_cell-derived: 0.33, Neurons:ES_cell-derived_neural_precursor: 0.33, iPS_cells:PDB_1lox-21Puro-20: 0.32, iPS_cells:PDB_1lox-21Puro-26: 0.32, iPS_cells:PDB_1lox-17Puro-10: 0.32, Embryonic_stem_cells: 0.32, iPS_cells:PDB_1lox-17Puro-5: 0.32, iPS_cells:PDB_2lox-22: 0.32 |
NB06_TACGGGCGTAAACCTC-1 | Neurons:adrenal_medulla_cell_line | 0.14 | 208.48 | Raw ScoresNeurons:adrenal_medulla_cell_line: 0.21, Neuroepithelial_cell:ESC-derived: 0.17, Astrocyte:Embryonic_stem_cell-derived: 0.16, Neurons:ES_cell-derived_neural_precursor: 0.15, iPS_cells:PDB_1lox-21Puro-20: 0.15, Embryonic_stem_cells: 0.15, iPS_cells:PDB_1lox-17Puro-10: 0.15, iPS_cells:PDB_1lox-21Puro-26: 0.14, iPS_cells:PDB_2lox-22: 0.14, iPS_cells:PDB_1lox-17Puro-5: 0.14 |
NB06_GGAATAAGTGACGGTA-1 | Neurons:adrenal_medulla_cell_line | 0.18 | 197.56 | Raw ScoresNeurons:adrenal_medulla_cell_line: 0.38, Astrocyte:Embryonic_stem_cell-derived: 0.33, Neuroepithelial_cell:ESC-derived: 0.32, Neurons:ES_cell-derived_neural_precursor: 0.29, Neurons:Schwann_cell: 0.28, Embryonic_stem_cells: 0.28, iPS_cells:PDB_1lox-21Puro-20: 0.27, MSC: 0.27, iPS_cells:PDB_1lox-17Puro-10: 0.27, Tissue_stem_cells:CD326-CD56+: 0.27 |
NB06_CACCACTAGATATACG-1 | Neurons:adrenal_medulla_cell_line | 0.26 | 193.17 | Raw ScoresNeurons:adrenal_medulla_cell_line: 0.5, Neuroepithelial_cell:ESC-derived: 0.43, Astrocyte:Embryonic_stem_cell-derived: 0.42, Neurons:ES_cell-derived_neural_precursor: 0.39, iPS_cells:PDB_1lox-21Puro-20: 0.38, iPS_cells:PDB_1lox-17Puro-10: 0.38, iPS_cells:PDB_1lox-21Puro-26: 0.38, iPS_cells:PDB_1lox-17Puro-5: 0.38, iPS_cells:PDB_2lox-22: 0.37, Embryonic_stem_cells: 0.37 |
NB05_GGTGTTAGTCTAAACC-1 | Neurons:adrenal_medulla_cell_line | 0.04 | 190.54 | Raw ScoresAstrocyte:Embryonic_stem_cell-derived: 0.11, Neurons:adrenal_medulla_cell_line: 0.11, Neuroepithelial_cell:ESC-derived: 0.11, Tissue_stem_cells:CD326-CD56+: 0.1, Embryonic_stem_cells: 0.1, Neurons:ES_cell-derived_neural_precursor: 0.09, Neurons:Schwann_cell: 0.09, iPS_cells:CRL2097_foreskin-derived:undiff.: 0.09, iPS_cells:PDB_2lox-17: 0.09, iPS_cells:PDB_2lox-5: 0.09 |
NB10_TGAGGGAGTACAGTTC-1 | Neurons:adrenal_medulla_cell_line | 0.15 | 170.35 | Raw ScoresNeurons:adrenal_medulla_cell_line: 0.29, Neuroepithelial_cell:ESC-derived: 0.23, Astrocyte:Embryonic_stem_cell-derived: 0.22, iPS_cells:PDB_1lox-17Puro-10: 0.21, iPS_cells:PDB_1lox-21Puro-20: 0.21, iPS_cells:PDB_2lox-21: 0.21, iPS_cells:PDB_2lox-22: 0.2, iPS_cells:PDB_1lox-21Puro-26: 0.2, iPS_cells:PDB_1lox-17Puro-5: 0.2, iPS_cells:PDB_2lox-17: 0.2 |
NB05_TAGACCAAGGCTAGAC-1 | Neuroepithelial_cell:ESC-derived | 0.04 | 164.85 | Raw ScoresNeurons:adrenal_medulla_cell_line: 0.13, Neuroepithelial_cell:ESC-derived: 0.12, Tissue_stem_cells:CD326-CD56+: 0.12, iPS_cells:PDB_1lox-17Puro-5: 0.11, iPS_cells:PDB_1lox-21Puro-20: 0.11, iPS_cells:PDB_1lox-17Puro-10: 0.11, iPS_cells:PDB_1lox-21Puro-26: 0.11, iPS_cells:PDB_2lox-22: 0.11, iPS_cells:CRL2097_foreskin-derived:undiff.: 0.11, Neurons:ES_cell-derived_neural_precursor: 0.11 |
NB14_GTAACGTCACCAGATT-1 | Neurons:adrenal_medulla_cell_line | 0.11 | 163.31 | Raw ScoresNeurons:adrenal_medulla_cell_line: 0.27, Neuroepithelial_cell:ESC-derived: 0.23, Astrocyte:Embryonic_stem_cell-derived: 0.22, Neurons:ES_cell-derived_neural_precursor: 0.22, iPS_cells:PDB_1lox-21Puro-26: 0.21, iPS_cells:PDB_2lox-22: 0.21, iPS_cells:PDB_1lox-17Puro-10: 0.21, iPS_cells:PDB_1lox-21Puro-20: 0.21, iPS_cells:PDB_1lox-17Puro-5: 0.21, iPS_cells:PDB_2lox-5: 0.21 |
NB12_GGAGCAATCTAGCACA-1 | Neurons:adrenal_medulla_cell_line | 0.16 | 162.91 | Raw ScoresNeurons:adrenal_medulla_cell_line: 0.2, Neuroepithelial_cell:ESC-derived: 0.16, Neurons:ES_cell-derived_neural_precursor: 0.15, Astrocyte:Embryonic_stem_cell-derived: 0.14, iPS_cells:PDB_1lox-21Puro-20: 0.14, iPS_cells:PDB_1lox-21Puro-26: 0.14, iPS_cells:PDB_1lox-17Puro-10: 0.14, iPS_cells:PDB_1lox-17Puro-5: 0.14, Embryonic_stem_cells: 0.13, iPS_cells:PDB_2lox-22: 0.13 |
NB14_AGTTGGTGTCGCTTCT-1 | iPS_cells:adipose_stem_cells | 0.17 | 158.27 | Raw ScoresChondrocytes:MSC-derived: 0.28, iPS_cells:adipose_stem_cells: 0.28, Osteoblasts: 0.28, Fibroblasts:breast: 0.27, Tissue_stem_cells:BM_MSC:TGFb3: 0.27, Tissue_stem_cells:BM_MSC: 0.26, Tissue_stem_cells:BM_MSC:BMP2: 0.26, iPS_cells:CRL2097_foreskin: 0.26, Tissue_stem_cells:BM_MSC:osteogenic: 0.26, Smooth_muscle_cells:bronchial:vit_D: 0.26 |
NB14_GGATTACGTAGCGATG-1 | Neurons:adrenal_medulla_cell_line | 0.15 | 153.86 | Raw ScoresNeurons:adrenal_medulla_cell_line: 0.25, Neuroepithelial_cell:ESC-derived: 0.2, Astrocyte:Embryonic_stem_cell-derived: 0.19, Neurons:ES_cell-derived_neural_precursor: 0.19, Embryonic_stem_cells: 0.18, Tissue_stem_cells:CD326-CD56+: 0.18, iPS_cells:PDB_1lox-21Puro-20: 0.17, iPS_cells:PDB_1lox-17Puro-10: 0.17, iPS_cells:PDB_2lox-22: 0.17, iPS_cells:PDB_1lox-21Puro-26: 0.17 |
NB06_GCACTCTAGTGAAGTT-1 | Neurons:adrenal_medulla_cell_line | 0.20 | 152.86 | Raw ScoresNeurons:adrenal_medulla_cell_line: 0.3, Neuroepithelial_cell:ESC-derived: 0.24, Astrocyte:Embryonic_stem_cell-derived: 0.24, Neurons:ES_cell-derived_neural_precursor: 0.22, iPS_cells:PDB_1lox-21Puro-20: 0.21, iPS_cells:PDB_1lox-17Puro-10: 0.2, iPS_cells:PDB_1lox-21Puro-26: 0.2, iPS_cells:PDB_1lox-17Puro-5: 0.2, Embryonic_stem_cells: 0.2, iPS_cells:PDB_2lox-22: 0.2 |
NB11_GCATGATTCTACCAGA-1 | Neurons:adrenal_medulla_cell_line | 0.08 | 151.28 | Raw ScoresNeurons:adrenal_medulla_cell_line: 0.17, Neuroepithelial_cell:ESC-derived: 0.16, Neurons:ES_cell-derived_neural_precursor: 0.15, iPS_cells:PDB_2lox-17: 0.15, iPS_cells:PDB_2lox-22: 0.15, iPS_cells:PDB_2lox-21: 0.15, iPS_cells:PDB_1lox-17Puro-10: 0.15, iPS_cells:PDB_2lox-5: 0.15, iPS_cells:PDB_1lox-21Puro-20: 0.15, iPS_cells:PDB_1lox-17Puro-5: 0.15 |
NB06_CTGCGGAGTTGAGTTC-1 | Neurons:adrenal_medulla_cell_line | 0.17 | 147.95 | Raw ScoresNeurons:adrenal_medulla_cell_line: 0.3, Neuroepithelial_cell:ESC-derived: 0.24, Astrocyte:Embryonic_stem_cell-derived: 0.23, Neurons:ES_cell-derived_neural_precursor: 0.2, iPS_cells:PDB_1lox-21Puro-20: 0.2, iPS_cells:PDB_1lox-17Puro-10: 0.2, iPS_cells:PDB_1lox-21Puro-26: 0.2, Embryonic_stem_cells: 0.2, iPS_cells:PDB_1lox-17Puro-5: 0.2, iPS_cells:PDB_2lox-22: 0.19 |
NB03_AGGCCGTGTGCACCAC-1 | Neurons:adrenal_medulla_cell_line | 0.13 | 139.74 | Raw ScoresNeurons:adrenal_medulla_cell_line: 0.25, Astrocyte:Embryonic_stem_cell-derived: 0.19, Neuroepithelial_cell:ESC-derived: 0.19, Neurons:ES_cell-derived_neural_precursor: 0.18, iPS_cells:PDB_1lox-21Puro-20: 0.16, iPS_cells:PDB_2lox-22: 0.16, Embryonic_stem_cells: 0.16, iPS_cells:PDB_1lox-17Puro-10: 0.16, iPS_cells:PDB_1lox-21Puro-26: 0.15, iPS_cells:PDB_1lox-17Puro-5: 0.15 |
NB10_AGTGTCAGTAGAAGGA-1 | Neurons:adrenal_medulla_cell_line | 0.10 | 138.71 | Raw ScoresNeurons:adrenal_medulla_cell_line: 0.17, Neuroepithelial_cell:ESC-derived: 0.13, Astrocyte:Embryonic_stem_cell-derived: 0.12, Neurons:ES_cell-derived_neural_precursor: 0.12, Embryonic_stem_cells: 0.11, iPS_cells:PDB_1lox-17Puro-10: 0.11, iPS_cells:PDB_2lox-22: 0.11, iPS_cells:adipose_stem_cell-derived:minicircle-derived: 0.11, iPS_cells:PDB_1lox-21Puro-20: 0.11, iPS_cells:PDB_2lox-21: 0.11 |
NB06_GAAGCAGGTCGTTGTA-1 | Neurons:adrenal_medulla_cell_line | 0.19 | 136.27 | Raw ScoresNeurons:adrenal_medulla_cell_line: 0.33, Neuroepithelial_cell:ESC-derived: 0.27, Astrocyte:Embryonic_stem_cell-derived: 0.27, Neurons:ES_cell-derived_neural_precursor: 0.24, iPS_cells:PDB_1lox-21Puro-20: 0.24, iPS_cells:PDB_1lox-17Puro-10: 0.24, iPS_cells:PDB_1lox-21Puro-26: 0.23, iPS_cells:PDB_2lox-22: 0.23, iPS_cells:PDB_1lox-17Puro-5: 0.23, iPS_cells:PDB_2lox-17: 0.23 |
NB04_ACGGGCTCATTGAGCT-1 | Neurons:adrenal_medulla_cell_line | 0.15 | 131.91 | Raw ScoresNeurons:adrenal_medulla_cell_line: 0.24, Neuroepithelial_cell:ESC-derived: 0.21, Neurons:ES_cell-derived_neural_precursor: 0.19, Astrocyte:Embryonic_stem_cell-derived: 0.19, iPS_cells:PDB_1lox-17Puro-10: 0.17, Embryonic_stem_cells: 0.17, iPS_cells:PDB_1lox-21Puro-20: 0.17, iPS_cells:PDB_1lox-17Puro-5: 0.17, iPS_cells:PDB_1lox-21Puro-26: 0.17, Tissue_stem_cells:CD326-CD56+: 0.17 |
NB12_CAGTCCTAGCGTCAAG-1 | Neurons:adrenal_medulla_cell_line | 0.17 | 130.94 | Raw ScoresNeurons:adrenal_medulla_cell_line: 0.22, Neuroepithelial_cell:ESC-derived: 0.18, Astrocyte:Embryonic_stem_cell-derived: 0.18, Neurons:ES_cell-derived_neural_precursor: 0.17, iPS_cells:PDB_1lox-21Puro-20: 0.15, iPS_cells:PDB_1lox-17Puro-10: 0.15, Embryonic_stem_cells: 0.15, iPS_cells:PDB_1lox-21Puro-26: 0.14, iPS_cells:PDB_1lox-17Puro-5: 0.14, iPS_cells:PDB_2lox-22: 0.13 |
NB06_ACCTTTACAAATTGCC-1 | Neurons:adrenal_medulla_cell_line | 0.23 | 130.64 | Raw ScoresNeurons:adrenal_medulla_cell_line: 0.39, Neuroepithelial_cell:ESC-derived: 0.32, Astrocyte:Embryonic_stem_cell-derived: 0.32, Neurons:ES_cell-derived_neural_precursor: 0.29, iPS_cells:PDB_1lox-21Puro-20: 0.28, iPS_cells:PDB_1lox-21Puro-26: 0.28, iPS_cells:PDB_1lox-17Puro-10: 0.28, iPS_cells:PDB_1lox-17Puro-5: 0.28, Embryonic_stem_cells: 0.27, iPS_cells:PDB_2lox-22: 0.27 |
NB10_CTTAGGACACTCTGTC-1 | Neurons:adrenal_medulla_cell_line | 0.13 | 128.72 | Raw ScoresNeurons:adrenal_medulla_cell_line: 0.23, Neuroepithelial_cell:ESC-derived: 0.2, Astrocyte:Embryonic_stem_cell-derived: 0.19, Neurons:ES_cell-derived_neural_precursor: 0.18, Embryonic_stem_cells: 0.17, iPS_cells:PDB_2lox-22: 0.17, iPS_cells:PDB_1lox-17Puro-10: 0.17, iPS_cells:PDB_1lox-21Puro-26: 0.17, iPS_cells:PDB_1lox-21Puro-20: 0.17, iPS_cells:PDB_2lox-21: 0.17 |
NB12_AGGTCCGGTGGTCTCG-1 | Neurons:adrenal_medulla_cell_line | 0.21 | 124.26 | Raw ScoresNeurons:adrenal_medulla_cell_line: 0.3, Neuroepithelial_cell:ESC-derived: 0.24, Astrocyte:Embryonic_stem_cell-derived: 0.23, Neurons:ES_cell-derived_neural_precursor: 0.22, iPS_cells:PDB_1lox-17Puro-10: 0.2, iPS_cells:PDB_1lox-21Puro-20: 0.2, iPS_cells:PDB_1lox-21Puro-26: 0.2, iPS_cells:PDB_1lox-17Puro-5: 0.2, Embryonic_stem_cells: 0.19, iPS_cells:PDB_2lox-22: 0.18 |
NB10_GTTACAGCATGATCCA-1 | Neurons:adrenal_medulla_cell_line | 0.15 | 122.52 | Raw ScoresNeurons:adrenal_medulla_cell_line: 0.24, Neuroepithelial_cell:ESC-derived: 0.2, Astrocyte:Embryonic_stem_cell-derived: 0.19, Neurons:ES_cell-derived_neural_precursor: 0.18, iPS_cells:PDB_1lox-17Puro-10: 0.17, iPS_cells:PDB_1lox-17Puro-5: 0.16, iPS_cells:PDB_1lox-21Puro-20: 0.16, iPS_cells:PDB_1lox-21Puro-26: 0.16, iPS_cells:PDB_2lox-22: 0.16, Embryonic_stem_cells: 0.16 |
NB10_CTAAGACCATAGACTC-1 | Neurons:adrenal_medulla_cell_line | 0.13 | 121.85 | Raw ScoresNeurons:adrenal_medulla_cell_line: 0.24, Neuroepithelial_cell:ESC-derived: 0.2, Neurons:ES_cell-derived_neural_precursor: 0.19, iPS_cells:PDB_1lox-17Puro-10: 0.18, iPS_cells:PDB_1lox-21Puro-20: 0.18, iPS_cells:PDB_1lox-21Puro-26: 0.18, iPS_cells:PDB_1lox-17Puro-5: 0.18, iPS_cells:PDB_2lox-22: 0.18, iPS_cells:PDB_2lox-21: 0.18, Tissue_stem_cells:CD326-CD56+: 0.18 |
NB10_CGTCACTAGTCACGCC-1 | Neurons:adrenal_medulla_cell_line | 0.10 | 120.56 | Raw ScoresNeurons:adrenal_medulla_cell_line: 0.18, Astrocyte:Embryonic_stem_cell-derived: 0.15, Neuroepithelial_cell:ESC-derived: 0.14, Neurons:ES_cell-derived_neural_precursor: 0.13, iPS_cells:PDB_1lox-21Puro-20: 0.12, iPS_cells:PDB_2lox-22: 0.12, iPS_cells:fibroblast-derived:Retroviral_transf: 0.12, Embryonic_stem_cells: 0.12, iPS_cells:PDB_2lox-21: 0.12, iPS_cells:PDB_1lox-21Puro-26: 0.12 |
NB06_CACACTCTCTCTTATG-1 | Neurons:adrenal_medulla_cell_line | 0.17 | 118.03 | Raw ScoresNeurons:adrenal_medulla_cell_line: 0.31, Neuroepithelial_cell:ESC-derived: 0.28, Astrocyte:Embryonic_stem_cell-derived: 0.26, Neurons:ES_cell-derived_neural_precursor: 0.25, iPS_cells:PDB_1lox-21Puro-20: 0.24, Embryonic_stem_cells: 0.24, iPS_cells:PDB_1lox-17Puro-10: 0.24, iPS_cells:PDB_1lox-21Puro-26: 0.23, iPS_cells:PDB_1lox-17Puro-5: 0.23, iPS_cells:PDB_2lox-22: 0.23 |
NB11_ATGGGAGGTTAAAGTG-1 | Neurons:adrenal_medulla_cell_line | 0.19 | 117.17 | Raw ScoresNeurons:adrenal_medulla_cell_line: 0.27, Neuroepithelial_cell:ESC-derived: 0.23, Neurons:ES_cell-derived_neural_precursor: 0.21, Astrocyte:Embryonic_stem_cell-derived: 0.21, Embryonic_stem_cells: 0.19, Tissue_stem_cells:CD326-CD56+: 0.18, iPS_cells:PDB_1lox-21Puro-26: 0.18, iPS_cells:PDB_1lox-21Puro-20: 0.18, iPS_cells:PDB_1lox-17Puro-10: 0.18, iPS_cells:PDB_2lox-22: 0.18 |
NB12_CCTACCAGTTTGACTG-1 | Neurons:adrenal_medulla_cell_line | 0.20 | 117.03 | Raw ScoresNeurons:adrenal_medulla_cell_line: 0.3, Astrocyte:Embryonic_stem_cell-derived: 0.27, Neuroepithelial_cell:ESC-derived: 0.27, Neurons:ES_cell-derived_neural_precursor: 0.25, iPS_cells:PDB_1lox-17Puro-10: 0.22, iPS_cells:PDB_1lox-21Puro-20: 0.22, iPS_cells:PDB_1lox-21Puro-26: 0.22, iPS_cells:PDB_1lox-17Puro-5: 0.22, Embryonic_stem_cells: 0.22, iPS_cells:skin_fibroblast-derived: 0.21 |
NB12_ACACCAAAGGACCACA-1 | Neurons:adrenal_medulla_cell_line | 0.25 | 115.18 | Raw ScoresNeurons:adrenal_medulla_cell_line: 0.4, Neuroepithelial_cell:ESC-derived: 0.34, Astrocyte:Embryonic_stem_cell-derived: 0.33, Neurons:ES_cell-derived_neural_precursor: 0.33, iPS_cells:PDB_1lox-17Puro-10: 0.31, iPS_cells:PDB_1lox-21Puro-20: 0.31, iPS_cells:PDB_1lox-21Puro-26: 0.31, iPS_cells:PDB_1lox-17Puro-5: 0.31, iPS_cells:PDB_2lox-22: 0.3, Embryonic_stem_cells: 0.3 |
NB02_GTCAAGTAGAATTGTG-1 | iPS_cells:CRL2097_foreskin-derived:d20_hepatic_diff | 0.07 | 114.75 | Raw ScoresTissue_stem_cells:BM_MSC:TGFb3: 0.25, Smooth_muscle_cells:vascular:IL-17: 0.25, Smooth_muscle_cells:vascular: 0.25, Osteoblasts: 0.24, Tissue_stem_cells:BM_MSC:BMP2: 0.24, Fibroblasts:breast: 0.24, Tissue_stem_cells:BM_MSC: 0.24, iPS_cells:adipose_stem_cells: 0.24, Tissue_stem_cells:BM_MSC:osteogenic: 0.24, Chondrocytes:MSC-derived: 0.24 |
Below shows the significant enrichments of this GEP for literature curated gene lists
This data was procured from existing single cell RNA-seq maps of neuroblastoma or related relevant data.
High ranks indicate this gene is a driver of this GEP.
These curated gene list are ranked by the P-value (on this GEP) of their constituent genes.
The Mean Count column shows the mean read count in cells scoring highly (H > 50) on this gene expression program.
Genes | Weight | Rank | GTEx | DepMap | Decartes | Mean.Counts | Mean.TPM |
---|---|---|---|---|---|---|---|
TH | 0.0028663 | 6 | GTEx | DepMap | Descartes | 0.80 | 1942.45 |
DBH | 0.0016160 | 72 | GTEx | DepMap | Descartes | 0.54 | 697.61 |
CHGA | 0.0006499 | 661 | GTEx | DepMap | Descartes | 0.74 | 949.06 |
DDC | 0.0004255 | 1378 | GTEx | DepMap | Descartes | 0.25 | 332.70 |
Late chromaffin cells (Jansky Fig1E)
Heatmap in Fig. 1E, marker genes derived from Jansks scRNA-seq data for adrenal medulla cell types. Note: this late chromaffin cell signature also includes PNMT, which is an enzyme catalyzing methylation of norepinephrine to form epinephrine; this marker is absent from the ealier less differentiated chromaffin cells (which may have been referred to as sympathoblasts in other datasets, I think):
Wilcoxon ranksum test P-value for gene set overrepresentation: 7.56e-04
Mean rank of genes in gene set: 529.25
Rank on gene expression program of genes in gene set:
Genes | Weight | Rank | GTEx | DepMap | Decartes | Mean.Counts | Mean.TPM |
---|---|---|---|---|---|---|---|
TH | 0.0028663 | 6 | GTEx | DepMap | Descartes | 0.80 | 1942.45 |
DBH | 0.0016160 | 72 | GTEx | DepMap | Descartes | 0.54 | 697.61 |
CHGA | 0.0006499 | 661 | GTEx | DepMap | Descartes | 0.74 | 949.06 |
DDC | 0.0004255 | 1378 | GTEx | DepMap | Descartes | 0.25 | 332.70 |
Meta_7 undefined sympathetic (Dong)
Markers obtained in computationally inferred meta program (by NMF applied to their neuroblastoma sc-RNA-seq data) from Fig. 5(a) of Dong et al. (PMID 32946775).:
Wilcoxon ranksum test P-value for gene set overrepresentation: 2.31e-03
Mean rank of genes in gene set: 352.67
Rank on gene expression program of genes in gene set:
Genes | Weight | Rank | GTEx | DepMap | Decartes | Mean.Counts | Mean.TPM |
---|---|---|---|---|---|---|---|
DBH | 0.0016160 | 72 | GTEx | DepMap | Descartes | 0.54 | 697.61 |
TUBB2A | 0.0009011 | 325 | GTEx | DepMap | Descartes | 0.41 | 516.90 |
CHGA | 0.0006499 | 661 | GTEx | DepMap | Descartes | 0.74 | 949.06 |
Below shows ranks on this GEP for literature curated gene lists for large gene sets
These include those reported as mesenchymal/adrenergic by Van Groningen et al.
High ranks indicate this gene is a driver of this GEP (note these results are not ordered).
The Mean Count column shows the mean read count in cells scoring highly (H > 50) on this gene expression program.
VanGroningen Adrenergic Genes
Adrenergic marker genes from Supplementary Table 2 of Van Groningen et al. Nature Genetics 2017. These genes were identified by differential expression analysis of mesenchymal-like and adrenergic-like neuroblastoma cell lines.
Wilcoxon ranksum test P-value for gene set overrepresentation: 1.02e-03
Mean rank of genes in gene set: 5642.89
Median rank of genes in gene set: 4527
Rank on gene expression program of top 30 genes in gene set:
Genes | Weight | Rank | GTEx | DepMap | Descartes | Mean.Counts | Mean.TPM |
---|---|---|---|---|---|---|---|
CCND1 | 0.0042611 | 1 | GTEx | DepMap | Descartes | 1.60 | 1659.24 |
TH | 0.0028663 | 6 | GTEx | DepMap | Descartes | 0.80 | 1942.45 |
RGS5 | 0.0027728 | 8 | GTEx | DepMap | Descartes | 0.73 | 464.93 |
NPY | 0.0022149 | 24 | GTEx | DepMap | Descartes | 3.77 | 15407.00 |
PHOX2A | 0.0021891 | 27 | GTEx | DepMap | Descartes | 0.51 | 1422.16 |
GDI1 | 0.0019537 | 39 | GTEx | DepMap | Descartes | 0.32 | 334.89 |
TUBB2B | 0.0017120 | 63 | GTEx | DepMap | Descartes | 1.24 | 1849.13 |
ELAVL4 | 0.0016320 | 70 | GTEx | DepMap | Descartes | 1.03 | 812.58 |
DBH | 0.0016160 | 72 | GTEx | DepMap | Descartes | 0.54 | 697.61 |
CRMP1 | 0.0015055 | 90 | GTEx | DepMap | Descartes | 0.53 | 687.68 |
KLC1 | 0.0014894 | 92 | GTEx | DepMap | Descartes | 0.32 | 95.36 |
ISL1 | 0.0014005 | 105 | GTEx | DepMap | Descartes | 0.47 | 810.47 |
ARL6IP1 | 0.0012732 | 143 | GTEx | DepMap | Descartes | 0.40 | 684.01 |
INSM2 | 0.0012695 | 145 | GTEx | DepMap | Descartes | 0.14 | 209.04 |
PEG3 | 0.0012681 | 146 | GTEx | DepMap | Descartes | 0.21 | NA |
SCAMP5 | 0.0011586 | 190 | GTEx | DepMap | Descartes | 0.31 | 353.72 |
TUB | 0.0010831 | 211 | GTEx | DepMap | Descartes | 0.15 | 105.07 |
RUNDC3A | 0.0010669 | 218 | GTEx | DepMap | Descartes | 0.27 | 255.14 |
ENDOG | 0.0010542 | 222 | GTEx | DepMap | Descartes | 0.08 | 355.90 |
GATA2 | 0.0010485 | 227 | GTEx | DepMap | Descartes | 0.26 | 309.12 |
MAP6 | 0.0010327 | 239 | GTEx | DepMap | Descartes | 0.17 | 148.36 |
CD200 | 0.0009178 | 311 | GTEx | DepMap | Descartes | 0.15 | 290.73 |
TUBB2A | 0.0009011 | 325 | GTEx | DepMap | Descartes | 0.41 | 516.90 |
GATA3 | 0.0008968 | 329 | GTEx | DepMap | Descartes | 0.68 | 782.99 |
NNAT | 0.0008902 | 334 | GTEx | DepMap | Descartes | 0.48 | 844.71 |
MCM7 | 0.0008435 | 384 | GTEx | DepMap | Descartes | 0.32 | 379.90 |
ATP6V0E2 | 0.0008411 | 388 | GTEx | DepMap | Descartes | 0.18 | 120.00 |
KLF13 | 0.0007914 | 451 | GTEx | DepMap | Descartes | 0.09 | 46.72 |
CCP110 | 0.0007779 | 468 | GTEx | DepMap | Descartes | 0.10 | 74.94 |
ACTL6B | 0.0007285 | 532 | GTEx | DepMap | Descartes | 0.27 | 578.40 |
VanGroningen Mesenchymal Genes
Mesenchymal marker genes from Supplementary Table 2 of Van Groningen et al. Nature Genetics 2017. These genes were identified by differential expression analysis of mesenchymal-like and adrenergic-like neuroblastoma cell lines.
Wilcoxon ranksum test P-value for gene set overrepresentation: 1.00e+00
Mean rank of genes in gene set: 7130.37
Median rank of genes in gene set: 7395
Rank on gene expression program of top 30 genes in gene set:
Genes | Weight | Rank | GTEx | DepMap | Descartes | Mean.Counts | Mean.TPM |
---|---|---|---|---|---|---|---|
PLAGL1 | 0.0019060 | 44 | GTEx | DepMap | Descartes | 0.21 | 162.70 |
FAM3C | 0.0017606 | 54 | GTEx | DepMap | Descartes | 0.22 | 406.82 |
PDIA4 | 0.0017052 | 64 | GTEx | DepMap | Descartes | 0.20 | 319.85 |
SSBP4 | 0.0016231 | 71 | GTEx | DepMap | Descartes | 0.23 | 671.34 |
CD44 | 0.0015169 | 86 | GTEx | DepMap | Descartes | 0.46 | 289.27 |
MEST | 0.0010702 | 217 | GTEx | DepMap | Descartes | 0.15 | 221.50 |
SDCBP | 0.0009629 | 282 | GTEx | DepMap | Descartes | 0.07 | 89.84 |
POLR2L | 0.0009104 | 318 | GTEx | DepMap | Descartes | 0.21 | 997.05 |
SERPINE2 | 0.0008671 | 357 | GTEx | DepMap | Descartes | 0.20 | 133.86 |
CALU | 0.0007727 | 479 | GTEx | DepMap | Descartes | 0.15 | 99.34 |
ITM2B | 0.0007407 | 515 | GTEx | DepMap | Descartes | 0.32 | 112.26 |
TSC22D3 | 0.0007367 | 523 | GTEx | DepMap | Descartes | 0.06 | 90.87 |
ARHGAP1 | 0.0007281 | 533 | GTEx | DepMap | Descartes | 0.09 | 103.53 |
PDIA3 | 0.0007265 | 535 | GTEx | DepMap | Descartes | 0.19 | 184.58 |
QSOX1 | 0.0005878 | 822 | GTEx | DepMap | Descartes | 0.07 | 30.39 |
ARMCX2 | 0.0005829 | 836 | GTEx | DepMap | Descartes | 0.04 | 38.45 |
AEBP1 | 0.0005652 | 876 | GTEx | DepMap | Descartes | 0.18 | 166.87 |
INSIG1 | 0.0005512 | 905 | GTEx | DepMap | Descartes | 0.06 | 74.50 |
TSPAN4 | 0.0005508 | 908 | GTEx | DepMap | Descartes | 0.06 | 85.72 |
NBR1 | 0.0005307 | 964 | GTEx | DepMap | Descartes | 0.13 | 84.05 |
GRN | 0.0005249 | 986 | GTEx | DepMap | Descartes | 0.08 | 91.75 |
CETN2 | 0.0005201 | 1001 | GTEx | DepMap | Descartes | 0.03 | 83.58 |
TWSG1 | 0.0005171 | 1014 | GTEx | DepMap | Descartes | 0.06 | 68.80 |
PHTF2 | 0.0005027 | 1075 | GTEx | DepMap | Descartes | 0.22 | 152.33 |
LAMP1 | 0.0004999 | 1092 | GTEx | DepMap | Descartes | 0.10 | 68.40 |
SSR1 | 0.0004963 | 1106 | GTEx | DepMap | Descartes | 0.11 | 39.72 |
LIX1L | 0.0004893 | 1132 | GTEx | DepMap | Descartes | 0.04 | 40.22 |
EDEM1 | 0.0004785 | 1173 | GTEx | DepMap | Descartes | 0.03 | 22.42 |
SLC39A14 | 0.0004770 | 1178 | GTEx | DepMap | Descartes | 0.06 | 63.20 |
NPTN | 0.0004724 | 1196 | GTEx | DepMap | Descartes | 0.11 | 147.61 |
Descartes adrenocortical markers
Top 50 marker genes of adrenocortical cells in the Decartes fetal adrenal single cell map (https://atlas.brotmanbaty.org/bbi/human-gene-expression-during-development/cell/adrenocortical/in/adrenal)
Wilcoxon ranksum test P-value for gene set overrepresentation: 5.68e-01
Mean rank of genes in gene set: 6378.69
Median rank of genes in gene set: 6075.5
Rank on gene expression program of top 30 genes in gene set:
Genes | Weight | Rank | GTEx | DepMap | Descartes | Mean.Counts | Mean.TPM |
---|---|---|---|---|---|---|---|
PEG3 | 0.0012681 | 146 | GTEx | DepMap | Descartes | 0.21 | NA |
DHCR24 | 0.0007337 | 525 | GTEx | DepMap | Descartes | 0.06 | 46.47 |
FDXR | 0.0005813 | 840 | GTEx | DepMap | Descartes | 0.05 | 84.40 |
CLU | 0.0005115 | 1035 | GTEx | DepMap | Descartes | 0.25 | 206.11 |
TM7SF2 | 0.0004845 | 1153 | GTEx | DepMap | Descartes | 0.06 | 126.56 |
SH3BP5 | 0.0004677 | 1210 | GTEx | DepMap | Descartes | 0.06 | 57.82 |
POR | 0.0003137 | 2035 | GTEx | DepMap | Descartes | 0.06 | 57.99 |
INHA | 0.0001850 | 3298 | GTEx | DepMap | Descartes | 0.01 | 10.87 |
ERN1 | 0.0001788 | 3366 | GTEx | DepMap | Descartes | 0.03 | 9.79 |
HMGCR | 0.0001507 | 3726 | GTEx | DepMap | Descartes | 0.08 | 51.09 |
DHCR7 | 0.0001226 | 4072 | GTEx | DepMap | Descartes | 0.02 | 18.97 |
SLC16A9 | 0.0001155 | 4186 | GTEx | DepMap | Descartes | 0.05 | 46.52 |
CYB5B | 0.0000836 | 4725 | GTEx | DepMap | Descartes | 0.08 | 51.71 |
PAPSS2 | 0.0000506 | 5331 | GTEx | DepMap | Descartes | 0.02 | 21.84 |
DNER | 0.0000494 | 5356 | GTEx | DepMap | Descartes | 0.09 | 81.23 |
GSTA4 | 0.0000406 | 5542 | GTEx | DepMap | Descartes | 0.09 | 142.57 |
MSMO1 | 0.0000388 | 5578 | GTEx | DepMap | Descartes | 0.05 | 60.49 |
FDX1 | 0.0000219 | 5924 | GTEx | DepMap | Descartes | 0.01 | 10.23 |
SCARB1 | 0.0000082 | 6227 | GTEx | DepMap | Descartes | 0.04 | 18.66 |
GRAMD1B | -0.0000008 | 6448 | GTEx | DepMap | Descartes | 0.04 | 12.58 |
STAR | -0.0000147 | 6816 | GTEx | DepMap | Descartes | 0.00 | 0.00 |
HMGCS1 | -0.0000247 | 7087 | GTEx | DepMap | Descartes | 0.08 | 29.75 |
SGCZ | -0.0000347 | 7349 | GTEx | DepMap | Descartes | 0.16 | 47.13 |
SLC1A2 | -0.0000686 | 8304 | GTEx | DepMap | Descartes | 0.13 | 26.98 |
SCAP | -0.0000858 | 8738 | GTEx | DepMap | Descartes | 0.08 | 47.58 |
FREM2 | -0.0000934 | 8894 | GTEx | DepMap | Descartes | 0.00 | 0.51 |
APOC1 | -0.0001030 | 9128 | GTEx | DepMap | Descartes | 0.07 | 161.60 |
FDPS | -0.0001851 | 10568 | GTEx | DepMap | Descartes | 0.12 | 99.68 |
BAIAP2L1 | -0.0002108 | 10872 | GTEx | DepMap | Descartes | 0.01 | 4.46 |
LDLR | -0.0002505 | 11243 | GTEx | DepMap | Descartes | 0.02 | 8.03 |
Descartes chromaffin markers
Top 50 marker genes of chromaffin cells in the Decartes fetal adrenal single cell map (https://atlas.brotmanbaty.org/bbi/human-gene-expression-during-development/cell/chromaffin/in/adrenal)
Wilcoxon ranksum test P-value for gene set overrepresentation: 9.96e-01
Mean rank of genes in gene set: 7762.12
Median rank of genes in gene set: 11447
Rank on gene expression program of top 30 genes in gene set:
Genes | Weight | Rank | GTEx | DepMap | Descartes | Mean.Counts | Mean.TPM |
---|---|---|---|---|---|---|---|
CCND1 | 0.0042611 | 1 | GTEx | DepMap | Descartes | 1.60 | 1659.24 |
TUBA1A | 0.0025194 | 12 | GTEx | DepMap | Descartes | 2.47 | 4107.12 |
RGMB | 0.0022729 | 19 | GTEx | DepMap | Descartes | 0.33 | 351.03 |
NPY | 0.0022149 | 24 | GTEx | DepMap | Descartes | 3.77 | 15407.00 |
TUBB2B | 0.0017120 | 63 | GTEx | DepMap | Descartes | 1.24 | 1849.13 |
ISL1 | 0.0014005 | 105 | GTEx | DepMap | Descartes | 0.47 | 810.47 |
MAB21L1 | 0.0012446 | 156 | GTEx | DepMap | Descartes | 0.14 | 164.19 |
TUBB2A | 0.0009011 | 325 | GTEx | DepMap | Descartes | 0.41 | 516.90 |
EYA1 | 0.0005825 | 837 | GTEx | DepMap | Descartes | 0.32 | 342.97 |
MARCH11 | 0.0002811 | 2289 | GTEx | DepMap | Descartes | 0.78 | NA |
STMN2 | 0.0002748 | 2340 | GTEx | DepMap | Descartes | 1.74 | 1687.64 |
SLC6A2 | 0.0002297 | 2795 | GTEx | DepMap | Descartes | 0.12 | 126.60 |
REEP1 | 0.0001074 | 4312 | GTEx | DepMap | Descartes | 0.14 | 85.14 |
IL7 | 0.0001072 | 4317 | GTEx | DepMap | Descartes | 0.75 | 927.28 |
RPH3A | 0.0000446 | 5453 | GTEx | DepMap | Descartes | 0.02 | 11.34 |
MLLT11 | 0.0000338 | 5678 | GTEx | DepMap | Descartes | 0.31 | 307.73 |
GAP43 | -0.0000141 | 6806 | GTEx | DepMap | Descartes | 0.39 | 336.92 |
MAB21L2 | -0.0000690 | 8316 | GTEx | DepMap | Descartes | 0.06 | 52.93 |
CNTFR | -0.0000949 | 8939 | GTEx | DepMap | Descartes | 0.09 | 122.66 |
GREM1 | -0.0001204 | 9494 | GTEx | DepMap | Descartes | 0.00 | 0.07 |
CNKSR2 | -0.0002813 | 11447 | GTEx | DepMap | Descartes | 0.22 | 55.37 |
FAT3 | -0.0003060 | 11595 | GTEx | DepMap | Descartes | 0.12 | 11.02 |
BASP1 | -0.0003190 | 11664 | GTEx | DepMap | Descartes | 0.38 | 479.43 |
MAP1B | -0.0003253 | 11700 | GTEx | DepMap | Descartes | 0.93 | 137.62 |
TMEFF2 | -0.0003880 | 11943 | GTEx | DepMap | Descartes | 0.10 | 41.21 |
PTCHD1 | -0.0003984 | 11977 | GTEx | DepMap | Descartes | 0.05 | 5.36 |
PLXNA4 | -0.0004082 | 12009 | GTEx | DepMap | Descartes | 0.18 | 22.44 |
KCNB2 | -0.0004148 | 12032 | GTEx | DepMap | Descartes | 0.61 | 392.97 |
TMEM132C | -0.0005898 | 12281 | GTEx | DepMap | Descartes | 0.81 | 349.78 |
NTRK1 | -0.0006811 | 12357 | GTEx | DepMap | Descartes | 0.11 | 59.49 |
Descartes Vascular_endothelial markers
Top 50 marker genes of Vascular_endothelial cells in the Decartes fetal adrenal single cell map (https://atlas.brotmanbaty.org/bbi/human-gene-expression-during-development/cell/vascular_endothelial/in/adrenal)
Wilcoxon ranksum test P-value for gene set overrepresentation: 9.26e-01
Mean rank of genes in gene set: 7124.21
Median rank of genes in gene set: 6896
Rank on gene expression program of top 30 genes in gene set:
Genes | Weight | Rank | GTEx | DepMap | Descartes | Mean.Counts | Mean.TPM |
---|---|---|---|---|---|---|---|
PODXL | 0.0004231 | 1401 | GTEx | DepMap | Descartes | 0.05 | 38.12 |
SHANK3 | 0.0003676 | 1672 | GTEx | DepMap | Descartes | 0.02 | 14.06 |
TMEM88 | 0.0002880 | 2222 | GTEx | DepMap | Descartes | 0.03 | 125.29 |
TEK | 0.0002795 | 2302 | GTEx | DepMap | Descartes | 0.02 | 11.35 |
F8 | 0.0001468 | 3775 | GTEx | DepMap | Descartes | 0.00 | 0.09 |
RAMP2 | 0.0001225 | 4073 | GTEx | DepMap | Descartes | 0.04 | 121.88 |
FLT4 | 0.0001053 | 4357 | GTEx | DepMap | Descartes | 0.00 | 0.83 |
MMRN2 | 0.0000860 | 4684 | GTEx | DepMap | Descartes | 0.01 | 4.50 |
ESM1 | 0.0000830 | 4739 | GTEx | DepMap | Descartes | 0.00 | 1.28 |
CYP26B1 | 0.0000516 | 5311 | GTEx | DepMap | Descartes | 0.01 | 2.90 |
IRX3 | 0.0000495 | 5353 | GTEx | DepMap | Descartes | 0.00 | 1.77 |
GALNT15 | 0.0000316 | 5728 | GTEx | DepMap | Descartes | 0.00 | NA |
RASIP1 | 0.0000221 | 5920 | GTEx | DepMap | Descartes | 0.01 | 5.29 |
SLCO2A1 | 0.0000172 | 6035 | GTEx | DepMap | Descartes | 0.01 | 6.16 |
PLVAP | 0.0000116 | 6147 | GTEx | DepMap | Descartes | 0.01 | 5.83 |
HYAL2 | 0.0000103 | 6171 | GTEx | DepMap | Descartes | 0.03 | 14.91 |
EFNB2 | 0.0000023 | 6366 | GTEx | DepMap | Descartes | 0.12 | 40.69 |
CALCRL | -0.0000148 | 6819 | GTEx | DepMap | Descartes | 0.01 | 2.28 |
KDR | -0.0000157 | 6850 | GTEx | DepMap | Descartes | 0.01 | 1.85 |
SHE | -0.0000190 | 6942 | GTEx | DepMap | Descartes | 0.00 | 0.55 |
CDH5 | -0.0000299 | 7225 | GTEx | DepMap | Descartes | 0.01 | 2.85 |
NOTCH4 | -0.0000324 | 7295 | GTEx | DepMap | Descartes | 0.01 | 3.58 |
EHD3 | -0.0000423 | 7561 | GTEx | DepMap | Descartes | 0.01 | 1.17 |
NPR1 | -0.0000445 | 7634 | GTEx | DepMap | Descartes | 0.00 | 0.60 |
BTNL9 | -0.0000654 | 8221 | GTEx | DepMap | Descartes | 0.00 | 0.19 |
CLDN5 | -0.0000655 | 8224 | GTEx | DepMap | Descartes | 0.01 | 3.93 |
CRHBP | -0.0000736 | 8427 | GTEx | DepMap | Descartes | 0.00 | 0.00 |
TIE1 | -0.0000770 | 8516 | GTEx | DepMap | Descartes | 0.00 | 0.73 |
ROBO4 | -0.0000880 | 8790 | GTEx | DepMap | Descartes | 0.01 | 0.99 |
KANK3 | -0.0001194 | 9471 | GTEx | DepMap | Descartes | 0.01 | 2.60 |
Descartes stromal markers
Top 50 marker genes of stromal cells in the Decartes fetal adrenal single cell map (https://atlas.brotmanbaty.org/bbi/human-gene-expression-during-development/cell/stromal/in/adrenal)
Wilcoxon ranksum test P-value for gene set overrepresentation: 1.00e+00
Mean rank of genes in gene set: 8734.18
Median rank of genes in gene set: 9620.5
Rank on gene expression program of top 30 genes in gene set:
Genes | Weight | Rank | GTEx | DepMap | Descartes | Mean.Counts | Mean.TPM |
---|---|---|---|---|---|---|---|
ADAMTS2 | 0.0003438 | 1831 | GTEx | DepMap | Descartes | 0.06 | 27.50 |
LUM | 0.0001896 | 3231 | GTEx | DepMap | Descartes | 0.04 | 48.00 |
RSPO3 | 0.0001606 | 3600 | GTEx | DepMap | Descartes | 0.00 | NA |
LAMC3 | 0.0001240 | 4058 | GTEx | DepMap | Descartes | 0.00 | 2.07 |
LRRC17 | 0.0000890 | 4640 | GTEx | DepMap | Descartes | 0.02 | 28.00 |
ITGA11 | 0.0000352 | 5641 | GTEx | DepMap | Descartes | 0.01 | 2.63 |
C7 | 0.0000338 | 5676 | GTEx | DepMap | Descartes | 0.01 | 9.44 |
MGP | 0.0000261 | 5847 | GTEx | DepMap | Descartes | 0.05 | 78.63 |
LOX | 0.0000110 | 6154 | GTEx | DepMap | Descartes | 0.00 | 3.01 |
ISLR | -0.0000009 | 6451 | GTEx | DepMap | Descartes | 0.02 | 11.77 |
CD248 | -0.0000228 | 7031 | GTEx | DepMap | Descartes | 0.00 | 2.85 |
IGFBP3 | -0.0000288 | 7197 | GTEx | DepMap | Descartes | 0.01 | 11.04 |
DCN | -0.0000291 | 7206 | GTEx | DepMap | Descartes | 0.02 | 6.09 |
ABCC9 | -0.0000373 | 7424 | GTEx | DepMap | Descartes | 0.01 | 1.62 |
CCDC80 | -0.0000555 | 7942 | GTEx | DepMap | Descartes | 0.02 | 2.79 |
SCARA5 | -0.0000619 | 8142 | GTEx | DepMap | Descartes | 0.00 | 0.13 |
GLI2 | -0.0000696 | 8326 | GTEx | DepMap | Descartes | 0.01 | 2.40 |
COL6A3 | -0.0000784 | 8543 | GTEx | DepMap | Descartes | 0.06 | 14.26 |
PCDH18 | -0.0000823 | 8650 | GTEx | DepMap | Descartes | 0.00 | 0.24 |
ABCA6 | -0.0000850 | 8722 | GTEx | DepMap | Descartes | 0.01 | 1.34 |
SFRP2 | -0.0000856 | 8735 | GTEx | DepMap | Descartes | 0.01 | 7.52 |
PDGFRA | -0.0001247 | 9585 | GTEx | DepMap | Descartes | 0.01 | 1.85 |
POSTN | -0.0001283 | 9656 | GTEx | DepMap | Descartes | 0.04 | 23.43 |
ADAMTSL3 | -0.0001351 | 9780 | GTEx | DepMap | Descartes | 0.02 | 2.61 |
EDNRA | -0.0001372 | 9819 | GTEx | DepMap | Descartes | 0.01 | 1.11 |
ACTA2 | -0.0001413 | 9895 | GTEx | DepMap | Descartes | 0.03 | 23.17 |
ELN | -0.0001509 | 10053 | GTEx | DepMap | Descartes | 0.04 | 21.61 |
COL1A2 | -0.0001626 | 10240 | GTEx | DepMap | Descartes | 0.29 | 90.22 |
GAS2 | -0.0001736 | 10402 | GTEx | DepMap | Descartes | 0.04 | 36.03 |
HHIP | -0.0001795 | 10477 | GTEx | DepMap | Descartes | 0.04 | 3.02 |
Descartes sympathoblasts markers
Top 50 marker genes of sympathoblasts cells in the Decartes fetal adrenal single cell map (https://atlas.brotmanbaty.org/bbi/human-gene-expression-during-development/cell/sympathoblasts/in/adrenal)
Wilcoxon ranksum test P-value for gene set overrepresentation: 1.00e+00
Mean rank of genes in gene set: 9790.58
Median rank of genes in gene set: 11656.5
Rank on gene expression program of top 30 genes in gene set:
Genes | Weight | Rank | GTEx | DepMap | Descartes | Mean.Counts | Mean.TPM |
---|---|---|---|---|---|---|---|
HTATSF1 | 0.0013517 | 119 | GTEx | DepMap | Descartes | 0.13 | 201.54 |
C1QL1 | 0.0008479 | 379 | GTEx | DepMap | Descartes | 0.06 | 169.87 |
CHGA | 0.0006499 | 661 | GTEx | DepMap | Descartes | 0.74 | 949.06 |
PCSK1N | 0.0004475 | 1288 | GTEx | DepMap | Descartes | 0.75 | 1394.58 |
TBX20 | 0.0001893 | 3233 | GTEx | DepMap | Descartes | 0.08 | 140.13 |
ST18 | -0.0000262 | 7134 | GTEx | DepMap | Descartes | 0.04 | 14.98 |
PENK | -0.0000339 | 7331 | GTEx | DepMap | Descartes | 0.00 | 3.06 |
DGKK | -0.0000443 | 7627 | GTEx | DepMap | Descartes | 0.01 | 1.82 |
AGBL4 | -0.0000532 | 7882 | GTEx | DepMap | Descartes | 0.70 | 437.50 |
SORCS3 | -0.0000685 | 8303 | GTEx | DepMap | Descartes | 0.01 | 5.13 |
GCH1 | -0.0000788 | 8555 | GTEx | DepMap | Descartes | 0.12 | 117.56 |
KSR2 | -0.0000836 | 8677 | GTEx | DepMap | Descartes | 0.18 | 16.24 |
ARC | -0.0001678 | 10315 | GTEx | DepMap | Descartes | 0.02 | 5.06 |
CHGB | -0.0001949 | 10678 | GTEx | DepMap | Descartes | 0.54 | 502.98 |
SLC35F3 | -0.0001963 | 10698 | GTEx | DepMap | Descartes | 0.07 | 23.79 |
CNTN3 | -0.0002313 | 11069 | GTEx | DepMap | Descartes | 0.03 | 12.79 |
TIAM1 | -0.0002540 | 11265 | GTEx | DepMap | Descartes | 0.28 | 93.22 |
SLC24A2 | -0.0003073 | 11600 | GTEx | DepMap | Descartes | 0.02 | 2.49 |
LAMA3 | -0.0003132 | 11631 | GTEx | DepMap | Descartes | 0.03 | 2.89 |
GRM7 | -0.0003218 | 11682 | GTEx | DepMap | Descartes | 0.09 | 36.83 |
EML6 | -0.0003581 | 11845 | GTEx | DepMap | Descartes | 0.12 | 27.91 |
PCSK2 | -0.0004430 | 12094 | GTEx | DepMap | Descartes | 0.08 | 31.79 |
CDH12 | -0.0004728 | 12141 | GTEx | DepMap | Descartes | 0.06 | 18.25 |
NTNG1 | -0.0005014 | 12178 | GTEx | DepMap | Descartes | 0.27 | 44.22 |
SPOCK3 | -0.0005542 | 12247 | GTEx | DepMap | Descartes | 0.04 | 21.98 |
UNC80 | -0.0006134 | 12309 | GTEx | DepMap | Descartes | 0.29 | 35.54 |
CDH18 | -0.0006350 | 12329 | GTEx | DepMap | Descartes | 0.09 | 31.42 |
PACRG | -0.0006374 | 12331 | GTEx | DepMap | Descartes | 0.16 | 147.97 |
TENM1 | -0.0006474 | 12336 | GTEx | DepMap | Descartes | 0.19 | NA |
SLC18A1 | -0.0006686 | 12347 | GTEx | DepMap | Descartes | 0.07 | 30.45 |
Descartes erythroblasts markers
Top 50 marker genes of erythroblasts cells in the Decartes fetal adrenal single cell map (https://atlas.brotmanbaty.org/bbi/human-gene-expression-during-development/cell/erythroblasts/in/adrenal)
Wilcoxon ranksum test P-value for gene set overrepresentation: 9.39e-01
Mean rank of genes in gene set: 7315.07
Median rank of genes in gene set: 7541
Rank on gene expression program of top 30 genes in gene set:
Genes | Weight | Rank | GTEx | DepMap | Descartes | Mean.Counts | Mean.TPM |
---|---|---|---|---|---|---|---|
FECH | 0.0007468 | 507 | GTEx | DepMap | Descartes | 0.05 | 30.22 |
ABCB10 | 0.0003590 | 1719 | GTEx | DepMap | Descartes | 0.05 | 55.18 |
CPOX | 0.0002929 | 2187 | GTEx | DepMap | Descartes | 0.02 | 22.30 |
TMCC2 | 0.0002624 | 2453 | GTEx | DepMap | Descartes | 0.03 | 16.01 |
RGS6 | 0.0001365 | 3902 | GTEx | DepMap | Descartes | 0.01 | 5.33 |
GCLC | 0.0001203 | 4112 | GTEx | DepMap | Descartes | 0.06 | 70.21 |
SLC25A21 | 0.0000975 | 4486 | GTEx | DepMap | Descartes | 0.01 | 6.37 |
SLC4A1 | 0.0000833 | 4730 | GTEx | DepMap | Descartes | 0.00 | 1.40 |
GYPC | 0.0000517 | 5310 | GTEx | DepMap | Descartes | 0.01 | 4.03 |
SPECC1 | 0.0000495 | 5352 | GTEx | DepMap | Descartes | 0.01 | 3.76 |
EPB41 | 0.0000056 | 6283 | GTEx | DepMap | Descartes | 0.23 | 88.55 |
SELENBP1 | -0.0000276 | 7162 | GTEx | DepMap | Descartes | 0.00 | 1.57 |
CAT | -0.0000340 | 7332 | GTEx | DepMap | Descartes | 0.02 | 30.34 |
XPO7 | -0.0000376 | 7431 | GTEx | DepMap | Descartes | 0.09 | 45.37 |
TRAK2 | -0.0000415 | 7541 | GTEx | DepMap | Descartes | 0.06 | 20.24 |
BLVRB | -0.0000459 | 7680 | GTEx | DepMap | Descartes | 0.01 | 10.70 |
MICAL2 | -0.0000497 | 7783 | GTEx | DepMap | Descartes | 0.01 | 1.62 |
SLC25A37 | -0.0000700 | 8335 | GTEx | DepMap | Descartes | 0.05 | 26.86 |
SNCA | -0.0000968 | 8989 | GTEx | DepMap | Descartes | 0.09 | 50.87 |
ALAS2 | -0.0001119 | 9305 | GTEx | DepMap | Descartes | 0.00 | 0.00 |
ANK1 | -0.0001145 | 9361 | GTEx | DepMap | Descartes | 0.09 | 20.60 |
RHD | -0.0001355 | 9787 | GTEx | DepMap | Descartes | 0.01 | 2.40 |
TFR2 | -0.0002117 | 10884 | GTEx | DepMap | Descartes | 0.09 | 63.11 |
SPTB | -0.0002247 | 11011 | GTEx | DepMap | Descartes | 0.03 | 4.48 |
DENND4A | -0.0002422 | 11181 | GTEx | DepMap | Descartes | 0.22 | 58.27 |
MARCH3 | -0.0002709 | 11381 | GTEx | DepMap | Descartes | 0.05 | NA |
RAPGEF2 | -0.0003099 | 11614 | GTEx | DepMap | Descartes | 0.16 | 50.29 |
TSPAN5 | -0.0003495 | 11814 | GTEx | DepMap | Descartes | 0.24 | 138.07 |
SOX6 | -0.0012108 | 12505 | GTEx | DepMap | Descartes | 0.24 | 21.30 |
NA | NA | NA | NA | NA | NA | NA | NA |
Descartes myeloid markers
Top 50 marker genes of myeloid cells in the Decartes fetal adrenal single cell map (https://atlas.brotmanbaty.org/bbi/human-gene-expression-during-development/cell/myeloid/in/adrenal)
Wilcoxon ranksum test P-value for gene set overrepresentation: 9.90e-01
Mean rank of genes in gene set: 7647.76
Median rank of genes in gene set: 8869
Rank on gene expression program of top 30 genes in gene set:
Genes | Weight | Rank | GTEx | DepMap | Descartes | Mean.Counts | Mean.TPM |
---|---|---|---|---|---|---|---|
CTSD | 0.0018225 | 46 | GTEx | DepMap | Descartes | 0.29 | 677.31 |
IFNGR1 | 0.0005384 | 941 | GTEx | DepMap | Descartes | 0.06 | 103.95 |
ABCA1 | 0.0003601 | 1711 | GTEx | DepMap | Descartes | 0.05 | 21.29 |
CD74 | 0.0003346 | 1886 | GTEx | DepMap | Descartes | 0.12 | 113.29 |
CTSB | 0.0003149 | 2029 | GTEx | DepMap | Descartes | 0.12 | 98.92 |
HCK | 0.0003006 | 2135 | GTEx | DepMap | Descartes | 0.01 | 23.39 |
FGL2 | 0.0002052 | 3047 | GTEx | DepMap | Descartes | 0.01 | 13.28 |
CYBB | 0.0001923 | 3198 | GTEx | DepMap | Descartes | 0.02 | 15.56 |
MS4A4A | 0.0001174 | 4158 | GTEx | DepMap | Descartes | 0.00 | 5.70 |
CD163 | 0.0001094 | 4283 | GTEx | DepMap | Descartes | 0.01 | 8.68 |
CSF1R | 0.0000706 | 4958 | GTEx | DepMap | Descartes | 0.01 | 12.36 |
RBPJ | 0.0000657 | 5040 | GTEx | DepMap | Descartes | 0.25 | 116.12 |
ADAP2 | 0.0000325 | 5703 | GTEx | DepMap | Descartes | 0.03 | 29.23 |
MERTK | -0.0000056 | 6566 | GTEx | DepMap | Descartes | 0.01 | 10.16 |
CTSC | -0.0000126 | 6768 | GTEx | DepMap | Descartes | 0.02 | 10.79 |
SLC1A3 | -0.0000381 | 7443 | GTEx | DepMap | Descartes | 0.01 | 5.77 |
SLCO2B1 | -0.0000435 | 7606 | GTEx | DepMap | Descartes | 0.01 | 9.13 |
CTSS | -0.0000587 | 8032 | GTEx | DepMap | Descartes | 0.02 | 12.36 |
FGD2 | -0.0000853 | 8727 | GTEx | DepMap | Descartes | 0.01 | 0.80 |
MSR1 | -0.0000977 | 9011 | GTEx | DepMap | Descartes | 0.03 | 23.95 |
RGL1 | -0.0001078 | 9218 | GTEx | DepMap | Descartes | 0.06 | 41.74 |
SLC9A9 | -0.0001262 | 9619 | GTEx | DepMap | Descartes | 0.03 | 31.24 |
CPVL | -0.0001358 | 9790 | GTEx | DepMap | Descartes | 0.01 | 21.93 |
CST3 | -0.0001570 | 10152 | GTEx | DepMap | Descartes | 0.07 | 41.34 |
ATP8B4 | -0.0001802 | 10494 | GTEx | DepMap | Descartes | 0.01 | 5.38 |
CD14 | -0.0001889 | 10609 | GTEx | DepMap | Descartes | 0.01 | 14.24 |
SPP1 | -0.0001902 | 10623 | GTEx | DepMap | Descartes | 0.20 | 203.20 |
WWP1 | -0.0002045 | 10808 | GTEx | DepMap | Descartes | 0.08 | 47.87 |
SFMBT2 | -0.0002141 | 10910 | GTEx | DepMap | Descartes | 0.07 | 14.53 |
ITPR2 | -0.0002250 | 11014 | GTEx | DepMap | Descartes | 0.08 | 13.83 |
Descartes Schwann markers
Top 50 marker genes of Schwann cells in the Decartes fetal adrenal single cell map (https://atlas.brotmanbaty.org/bbi/human-gene-expression-during-development/cell/schwann/in/adrenal)
Wilcoxon ranksum test P-value for gene set overrepresentation: 1.00e+00
Mean rank of genes in gene set: 9241.91
Median rank of genes in gene set: 10554.5
Rank on gene expression program of top 30 genes in gene set:
Genes | Weight | Rank | GTEx | DepMap | Descartes | Mean.Counts | Mean.TPM |
---|---|---|---|---|---|---|---|
SORCS1 | 0.0010581 | 221 | GTEx | DepMap | Descartes | 0.72 | 361.15 |
GFRA3 | 0.0004372 | 1329 | GTEx | DepMap | Descartes | 0.10 | 125.84 |
MARCKS | 0.0003505 | 1782 | GTEx | DepMap | Descartes | 0.50 | 369.08 |
MPZ | 0.0003056 | 2101 | GTEx | DepMap | Descartes | 0.01 | 15.90 |
PTN | 0.0002519 | 2558 | GTEx | DepMap | Descartes | 0.14 | 206.81 |
KCTD12 | 0.0001827 | 3326 | GTEx | DepMap | Descartes | 0.02 | 16.18 |
LAMC1 | 0.0000764 | 4856 | GTEx | DepMap | Descartes | 0.07 | 28.69 |
HMGA2 | 0.0000657 | 5038 | GTEx | DepMap | Descartes | 0.00 | 0.75 |
FIGN | 0.0000144 | 6094 | GTEx | DepMap | Descartes | 0.07 | 22.56 |
MDGA2 | -0.0000183 | 6928 | GTEx | DepMap | Descartes | 0.00 | 0.12 |
SLC35F1 | -0.0000323 | 7290 | GTEx | DepMap | Descartes | 0.03 | 13.21 |
ERBB3 | -0.0000390 | 7479 | GTEx | DepMap | Descartes | 0.01 | 4.17 |
EDNRB | -0.0000823 | 8649 | GTEx | DepMap | Descartes | 0.00 | 0.21 |
OLFML2A | -0.0000941 | 8913 | GTEx | DepMap | Descartes | 0.00 | 0.81 |
PTPRZ1 | -0.0001086 | 9229 | GTEx | DepMap | Descartes | 0.00 | 0.68 |
ADAMTS5 | -0.0001143 | 9357 | GTEx | DepMap | Descartes | 0.01 | 0.31 |
PLP1 | -0.0001165 | 9409 | GTEx | DepMap | Descartes | 0.00 | 0.00 |
GRIK3 | -0.0001189 | 9464 | GTEx | DepMap | Descartes | 0.02 | 2.62 |
LAMA4 | -0.0001397 | 9866 | GTEx | DepMap | Descartes | 0.03 | 2.78 |
SFRP1 | -0.0001532 | 10086 | GTEx | DepMap | Descartes | 0.04 | 20.78 |
COL5A2 | -0.0001695 | 10344 | GTEx | DepMap | Descartes | 0.05 | 15.54 |
COL25A1 | -0.0001793 | 10474 | GTEx | DepMap | Descartes | 0.01 | 2.25 |
NRXN3 | -0.0001911 | 10635 | GTEx | DepMap | Descartes | 0.15 | 33.94 |
GAS7 | -0.0002051 | 10812 | GTEx | DepMap | Descartes | 0.02 | 5.09 |
VCAN | -0.0002506 | 11244 | GTEx | DepMap | Descartes | 0.10 | 13.21 |
PLCE1 | -0.0002756 | 11412 | GTEx | DepMap | Descartes | 0.03 | 2.85 |
EGFLAM | -0.0002998 | 11556 | GTEx | DepMap | Descartes | 0.06 | 27.65 |
IL1RAPL2 | -0.0003001 | 11558 | GTEx | DepMap | Descartes | 0.04 | 22.52 |
VIM | -0.0003507 | 11822 | GTEx | DepMap | Descartes | 0.08 | 65.10 |
PAG1 | -0.0003566 | 11838 | GTEx | DepMap | Descartes | 0.25 | 36.32 |
Descartes Megakaryocytes markers
Top 50 marker genes of Megakaryocytes cells in the Decartes fetal adrenal single cell map (https://atlas.brotmanbaty.org/bbi/human-gene-expression-during-development/cell/megakaryocytes/in/adrenal)
Wilcoxon ranksum test P-value for gene set overrepresentation: 9.55e-01
Mean rank of genes in gene set: 7187.96
Median rank of genes in gene set: 7624
Rank on gene expression program of top 30 genes in gene set:
Genes | Weight | Rank | GTEx | DepMap | Descartes | Mean.Counts | Mean.TPM |
---|---|---|---|---|---|---|---|
ACTB | 0.0013198 | 133 | GTEx | DepMap | Descartes | 1.75 | 2403.67 |
HIPK2 | 0.0012616 | 149 | GTEx | DepMap | Descartes | 0.38 | 92.48 |
RAB27B | 0.0010183 | 247 | GTEx | DepMap | Descartes | 0.09 | 53.88 |
MED12L | 0.0004255 | 1377 | GTEx | DepMap | Descartes | 0.07 | 27.59 |
ZYX | 0.0003475 | 1804 | GTEx | DepMap | Descartes | 0.05 | 72.52 |
PLEK | 0.0002735 | 2348 | GTEx | DepMap | Descartes | 0.01 | 8.83 |
PRKAR2B | 0.0002297 | 2797 | GTEx | DepMap | Descartes | 0.17 | 156.26 |
ITGA2B | 0.0002118 | 2972 | GTEx | DepMap | Descartes | 0.04 | 35.63 |
TLN1 | 0.0001820 | 3339 | GTEx | DepMap | Descartes | 0.05 | 12.99 |
MYH9 | 0.0001569 | 3642 | GTEx | DepMap | Descartes | 0.07 | 30.30 |
PSTPIP2 | 0.0001431 | 3813 | GTEx | DepMap | Descartes | 0.01 | 15.24 |
FERMT3 | 0.0000965 | 4508 | GTEx | DepMap | Descartes | 0.01 | 11.79 |
P2RX1 | 0.0000841 | 4716 | GTEx | DepMap | Descartes | 0.00 | 0.89 |
GSN | 0.0000698 | 4971 | GTEx | DepMap | Descartes | 0.06 | 17.64 |
CD84 | 0.0000558 | 5235 | GTEx | DepMap | Descartes | 0.01 | 3.84 |
TRPC6 | 0.0000435 | 5474 | GTEx | DepMap | Descartes | 0.01 | 3.81 |
ARHGAP6 | 0.0000106 | 6166 | GTEx | DepMap | Descartes | 0.01 | 4.53 |
ANGPT1 | 0.0000073 | 6251 | GTEx | DepMap | Descartes | 0.01 | 6.19 |
SLC24A3 | -0.0000014 | 6465 | GTEx | DepMap | Descartes | 0.03 | 15.81 |
SPN | -0.0000022 | 6480 | GTEx | DepMap | Descartes | 0.00 | 2.73 |
STON2 | -0.0000031 | 6496 | GTEx | DepMap | Descartes | 0.06 | 24.71 |
STOM | -0.0000271 | 7154 | GTEx | DepMap | Descartes | 0.02 | 9.11 |
FLI1 | -0.0000442 | 7624 | GTEx | DepMap | Descartes | 0.03 | 5.24 |
TMSB4X | -0.0000540 | 7905 | GTEx | DepMap | Descartes | 1.87 | 1216.72 |
ITGB3 | -0.0000618 | 8136 | GTEx | DepMap | Descartes | 0.00 | 0.00 |
TUBB1 | -0.0000938 | 8904 | GTEx | DepMap | Descartes | 0.00 | 0.22 |
UBASH3B | -0.0000995 | 9040 | GTEx | DepMap | Descartes | 0.02 | 11.29 |
LTBP1 | -0.0001102 | 9271 | GTEx | DepMap | Descartes | 0.01 | 3.46 |
CD9 | -0.0001141 | 9350 | GTEx | DepMap | Descartes | 0.10 | 66.24 |
DOK6 | -0.0001155 | 9378 | GTEx | DepMap | Descartes | 0.12 | 39.09 |
Descartes Lyphoid markers
Top 50 marker genes of Lyphoid cells in the Decartes fetal adrenal single cell map (https://atlas.brotmanbaty.org/bbi/human-gene-expression-during-development/cell/lymphoid/in/adrenal)
Wilcoxon ranksum test P-value for gene set overrepresentation: 1.00e+00
Mean rank of genes in gene set: 8206.74
Median rank of genes in gene set: 8831.5
Rank on gene expression program of top 30 genes in gene set:
Genes | Weight | Rank | GTEx | DepMap | Descartes | Mean.Counts | Mean.TPM |
---|---|---|---|---|---|---|---|
CD44 | 0.0015169 | 86 | GTEx | DepMap | Descartes | 0.46 | 289.27 |
TMSB10 | 0.0013579 | 117 | GTEx | DepMap | Descartes | 3.32 | 22930.68 |
GNG2 | 0.0003015 | 2130 | GTEx | DepMap | Descartes | 0.30 | 219.60 |
EVL | 0.0002378 | 2702 | GTEx | DepMap | Descartes | 0.48 | 407.11 |
DOCK10 | 0.0002143 | 2946 | GTEx | DepMap | Descartes | 0.20 | 84.14 |
ARHGDIB | 0.0001782 | 3377 | GTEx | DepMap | Descartes | 0.01 | 49.49 |
ABLIM1 | 0.0001456 | 3787 | GTEx | DepMap | Descartes | 0.13 | 46.36 |
PTPRC | 0.0001188 | 4132 | GTEx | DepMap | Descartes | 0.02 | 16.92 |
SP100 | 0.0000947 | 4545 | GTEx | DepMap | Descartes | 0.03 | 18.41 |
MSN | 0.0000394 | 5566 | GTEx | DepMap | Descartes | 0.03 | 17.79 |
CCL5 | 0.0000384 | 5589 | GTEx | DepMap | Descartes | 0.01 | 14.72 |
B2M | 0.0000317 | 5727 | GTEx | DepMap | Descartes | 0.53 | 419.35 |
PLEKHA2 | 0.0000278 | 5811 | GTEx | DepMap | Descartes | 0.03 | 11.78 |
LEF1 | 0.0000034 | 6340 | GTEx | DepMap | Descartes | 0.02 | 7.47 |
CELF2 | -0.0000048 | 6546 | GTEx | DepMap | Descartes | 0.14 | 45.72 |
NCALD | -0.0000317 | 7278 | GTEx | DepMap | Descartes | 0.12 | 80.27 |
CCND3 | -0.0000409 | 7528 | GTEx | DepMap | Descartes | 0.05 | 59.27 |
SAMD3 | -0.0000416 | 7546 | GTEx | DepMap | Descartes | 0.01 | 7.28 |
SKAP1 | -0.0000522 | 7849 | GTEx | DepMap | Descartes | 0.03 | 54.38 |
LCP1 | -0.0000728 | 8405 | GTEx | DepMap | Descartes | 0.01 | 8.37 |
SCML4 | -0.0000862 | 8744 | GTEx | DepMap | Descartes | 0.09 | 44.78 |
RCSD1 | -0.0000942 | 8919 | GTEx | DepMap | Descartes | 0.01 | 4.26 |
IKZF1 | -0.0001437 | 9936 | GTEx | DepMap | Descartes | 0.01 | 4.50 |
PRKCH | -0.0001821 | 10522 | GTEx | DepMap | Descartes | 0.03 | 10.25 |
ETS1 | -0.0001915 | 10643 | GTEx | DepMap | Descartes | 0.02 | 7.83 |
BACH2 | -0.0001955 | 10688 | GTEx | DepMap | Descartes | 0.25 | 66.47 |
ITPKB | -0.0002108 | 10873 | GTEx | DepMap | Descartes | 0.01 | 1.01 |
ARHGAP15 | -0.0002169 | 10935 | GTEx | DepMap | Descartes | 0.06 | 53.32 |
FOXP1 | -0.0002334 | 11092 | GTEx | DepMap | Descartes | 0.67 | 160.20 |
MBNL1 | -0.0002555 | 11278 | GTEx | DepMap | Descartes | 0.18 | 69.55 |
Below shows the ranks on this GEP for immune marker gene lists curated by CellTypist (https://www.celltypist.org/encyclopedia).
High ranks indicate this gene is a driver of this GEP.
These curated gene list are ranked by P-value (on this GEP) of their constituent genes.
The Mean Count column shows the mean read count in cells scoring highly (H > 50) on this gene expression program.
Genes | Weight | Rank | GTEx | DepMap | Decartes | Mean.Counts | Mean.TPM |
---|---|---|---|---|---|---|---|
TOP2A | 0.0006237 | 713 | GTEx | DepMap | Descartes | 0.23 | 147.49 |
MKI67 | 0.0004809 | 1164 | GTEx | DepMap | Descartes | 0.07 | 19.61 |
Cycling cells: Cycling gamma-delta T cells (curated markers)
proliferating gamma-delta (γδ) T lymphocytes:
Wilcoxon ranksum test P-value for gene set overrepresentation: 1.86e-02
Mean rank of genes in gene set: 938.5
Rank on gene expression program of genes in gene set:
Genes | Weight | Rank | GTEx | DepMap | Decartes | Mean.Counts | Mean.TPM |
---|---|---|---|---|---|---|---|
TOP2A | 0.0006237 | 713 | GTEx | DepMap | Descartes | 0.23 | 147.49 |
MKI67 | 0.0004809 | 1164 | GTEx | DepMap | Descartes | 0.07 | 19.61 |
Cycling cells: Cycling monocytes (curated markers)
proliferating monocytes:
Wilcoxon ranksum test P-value for gene set overrepresentation: 1.86e-02
Mean rank of genes in gene set: 938.5
Rank on gene expression program of genes in gene set:
Genes | Weight | Rank | GTEx | DepMap | Decartes | Mean.Counts | Mean.TPM |
---|---|---|---|---|---|---|---|
TOP2A | 0.0006237 | 713 | GTEx | DepMap | Descartes | 0.23 | 147.49 |
MKI67 | 0.0004809 | 1164 | GTEx | DepMap | Descartes | 0.07 | 19.61 |