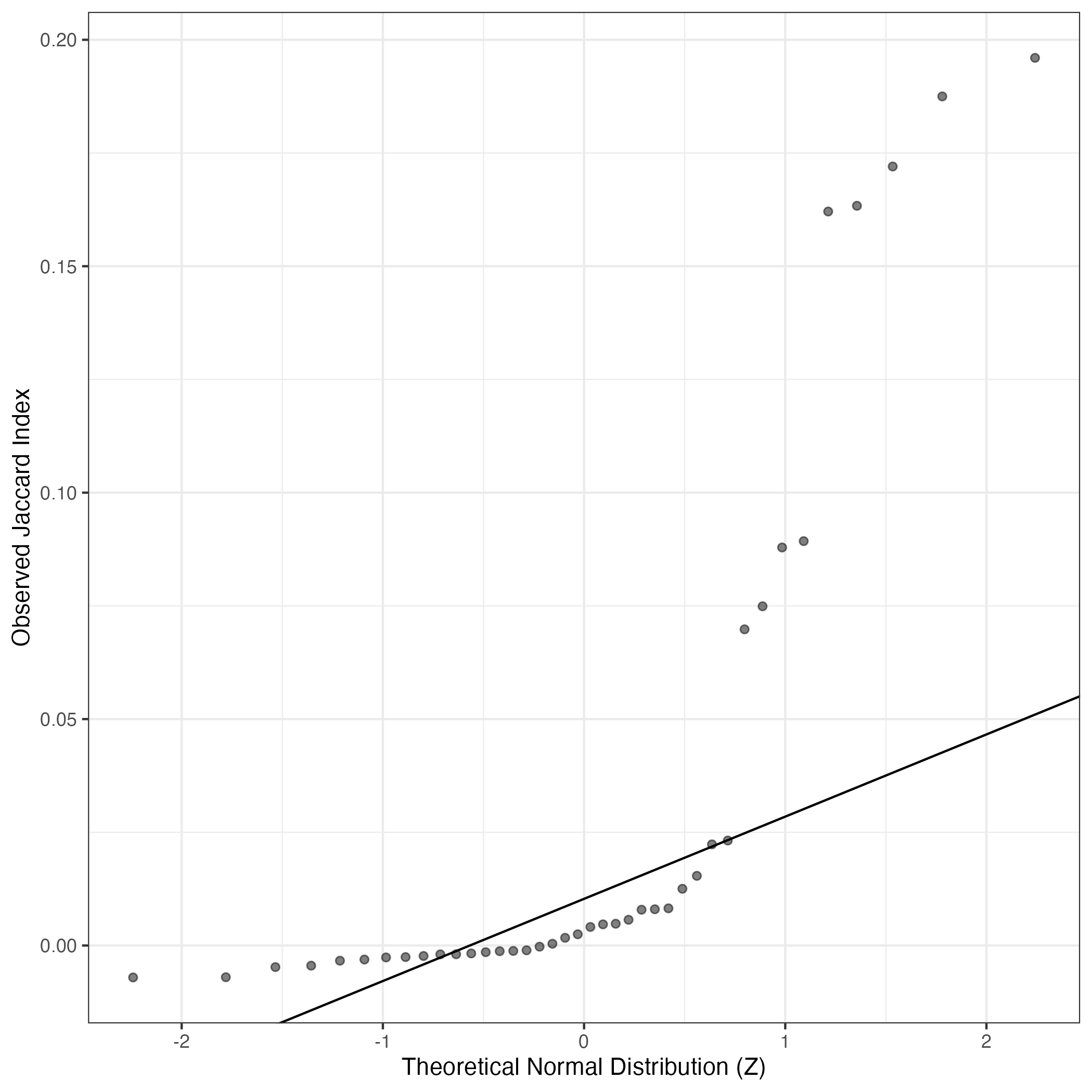
QQ-plot of gene loadings, averaged over both independent splits of the data
This plot highlights the relative contribution of each gene to the GEP
Top genes driving this program.
Note: Decartes website is buggy, try refreshing. Also, Decartes fetal adrenal data have been collected at specific time points (89-122 days), all possible cell types of interest may not be represented, do not overinterpret.
The Mean Count column shows the mean read count in cells scoring highly (H > 50) on this gene expression program.
| Gene | Loading | Gene.Name | GTEx | DepMap | Descartes | Mean.Counts | Mean.Tpm | |
|---|---|---|---|---|---|---|---|---|
| 1 | POSTN | 0.0266853 | periostin | GTEx | DepMap | Descartes | 7.14 | 477.97 |
| 2 | COL1A1 | 0.0229196 | collagen type I alpha 1 chain | GTEx | DepMap | Descartes | 41.87 | 1624.09 |
| 3 | COL1A2 | 0.0209718 | collagen type I alpha 2 chain | GTEx | DepMap | Descartes | 27.68 | 1068.65 |
| 4 | FN1 | 0.0194227 | fibronectin 1 | GTEx | DepMap | Descartes | 21.78 | 512.24 |
| 5 | COL6A3 | 0.0192235 | collagen type VI alpha 3 chain | GTEx | DepMap | Descartes | 4.23 | 100.11 |
| 6 | COL5A1 | 0.0179003 | collagen type V alpha 1 chain | GTEx | DepMap | Descartes | 2.72 | 75.23 |
| 7 | SULF1 | 0.0176868 | sulfatase 1 | GTEx | DepMap | Descartes | 1.41 | 55.43 |
| 8 | FAP | 0.0174162 | fibroblast activation protein alpha | GTEx | DepMap | Descartes | 0.38 | 39.38 |
| 9 | LOX | 0.0169898 | lysyl oxidase | GTEx | DepMap | Descartes | 1.41 | 65.63 |
| 10 | THBS2 | 0.0164673 | thrombospondin 2 | GTEx | DepMap | Descartes | 2.02 | 90.75 |
| 11 | LOXL2 | 0.0162635 | lysyl oxidase like 2 | GTEx | DepMap | Descartes | 1.64 | 93.14 |
| 12 | ANGPTL4 | 0.0160326 | angiopoietin like 4 | GTEx | DepMap | Descartes | 1.67 | 206.73 |
| 13 | COL3A1 | 0.0157377 | collagen type III alpha 1 chain | GTEx | DepMap | Descartes | 16.03 | 706.64 |
| 14 | SERPINE1 | 0.0148737 | serpin family E member 1 | GTEx | DepMap | Descartes | 2.75 | 174.26 |
| 15 | TNFRSF11B | 0.0141060 | TNF receptor superfamily member 11b | GTEx | DepMap | Descartes | 0.37 | 40.97 |
| 16 | KRT18 | 0.0138213 | keratin 18 | GTEx | DepMap | Descartes | 4.64 | 503.55 |
| 17 | CCDC80 | 0.0128195 | coiled-coil domain containing 80 | GTEx | DepMap | Descartes | 5.03 | 99.53 |
| 18 | COL6A2 | 0.0124972 | collagen type VI alpha 2 chain | GTEx | DepMap | Descartes | 10.27 | 656.45 |
| 19 | CREB3L1 | 0.0120503 | cAMP responsive element binding protein 3 like 1 | GTEx | DepMap | Descartes | 0.53 | 37.20 |
| 20 | BGN | 0.0120244 | biglycan | GTEx | DepMap | Descartes | 7.99 | 756.33 |
| 21 | TNC | 0.0116712 | tenascin C | GTEx | DepMap | Descartes | 2.52 | 55.91 |
| 22 | COL5A2 | 0.0116344 | collagen type V alpha 2 chain | GTEx | DepMap | Descartes | 3.14 | 93.69 |
| 23 | TIMP1 | 0.0113753 | TIMP metallopeptidase inhibitor 1 | GTEx | DepMap | Descartes | 59.35 | 10946.50 |
| 24 | THBS1 | 0.0110827 | thrombospondin 1 | GTEx | DepMap | Descartes | 3.06 | 73.78 |
| 25 | LGALS1 | 0.0110307 | galectin 1 | GTEx | DepMap | Descartes | 51.04 | 16051.62 |
| 26 | NNMT | 0.0109013 | nicotinamide N-methyltransferase | GTEx | DepMap | Descartes | 3.91 | 465.14 |
| 27 | SPARC | 0.0108130 | secreted protein acidic and cysteine rich | GTEx | DepMap | Descartes | 26.81 | 1596.61 |
| 28 | FBN1 | 0.0107290 | fibrillin 1 | GTEx | DepMap | Descartes | 1.39 | 27.74 |
| 29 | COL6A1 | 0.0105974 | collagen type VI alpha 1 chain | GTEx | DepMap | Descartes | 7.15 | 347.83 |
| 30 | SERPINH1 | 0.0098135 | serpin family H member 1 | GTEx | DepMap | Descartes | 4.13 | 226.23 |
| 31 | PLOD2 | 0.0094017 | procollagen-lysine,2-oxoglutarate 5-dioxygenase 2 | GTEx | DepMap | Descartes | 0.93 | 52.44 |
| 32 | TAGLN | 0.0092982 | transgelin | GTEx | DepMap | Descartes | 23.97 | 1108.52 |
| 33 | RCN3 | 0.0089240 | reticulocalbin 3 | GTEx | DepMap | Descartes | 1.15 | 169.86 |
| 34 | S100A16 | 0.0089184 | S100 calcium binding protein A16 | GTEx | DepMap | Descartes | 2.91 | 497.54 |
| 35 | LTBP2 | 0.0088818 | latent transforming growth factor beta binding protein 2 | GTEx | DepMap | Descartes | 0.40 | 10.91 |
| 36 | MICAL2 | 0.0085984 | microtubule associated monooxygenase, calponin and LIM domain containing 2 | GTEx | DepMap | Descartes | 0.59 | 23.13 |
| 37 | EFEMP1 | 0.0083028 | EGF containing fibulin extracellular matrix protein 1 | GTEx | DepMap | Descartes | 2.41 | 176.21 |
| 38 | FSTL1 | 0.0082558 | follistatin like 1 | GTEx | DepMap | Descartes | 2.84 | 99.93 |
| 39 | ITGA5 | 0.0079903 | integrin subunit alpha 5 | GTEx | DepMap | Descartes | 1.21 | 50.88 |
| 40 | VEGFC | 0.0079090 | vascular endothelial growth factor C | GTEx | DepMap | Descartes | 0.28 | 27.90 |
| 41 | INHBA | 0.0077292 | inhibin subunit beta A | GTEx | DepMap | Descartes | 0.85 | 30.12 |
| 42 | TPM2 | 0.0077177 | tropomyosin 2 | GTEx | DepMap | Descartes | 11.38 | 1297.18 |
| 43 | KDELR3 | 0.0075803 | KDEL endoplasmic reticulum protein retention receptor 3 | GTEx | DepMap | Descartes | 0.86 | 84.24 |
| 44 | FLNA | 0.0075326 | filamin A | GTEx | DepMap | Descartes | 4.74 | 112.41 |
| 45 | VIM | 0.0070253 | vimentin | GTEx | DepMap | Descartes | 62.85 | 4335.51 |
| 46 | S100A13 | 0.0069114 | S100 calcium binding protein A13 | GTEx | DepMap | Descartes | 2.88 | 292.63 |
| 47 | PPIC | 0.0068987 | peptidylprolyl isomerase C | GTEx | DepMap | Descartes | 1.30 | 195.21 |
| 48 | GPX8 | 0.0067753 | glutathione peroxidase 8 (putative) | GTEx | DepMap | Descartes | 0.95 | 51.12 |
| 49 | EMILIN1 | 0.0067363 | elastin microfibril interfacer 1 | GTEx | DepMap | Descartes | 1.66 | 108.73 |
| 50 | ADAM12 | 0.0066620 | ADAM metallopeptidase domain 12 | GTEx | DepMap | Descartes | 0.39 | 10.36 |
UMAP plots showing activity of gene expression program identified in GEP 7. Cancer Associated Fibroblast: Myofibroblast (POSTN+):
CNV Data procured from inferCNV.
Outer tracks are putative CNV regions (gains = red, losses = blue) for each patient
Inner track is expression data representing:
The top cells expressing this GEP (purple)
Random cells (n =50) from the reference set used in inferCNV (orange)
Gene set Enrichments for this program, caculated from top 50 genes
mSigDB Cell Types Gene Set:
| P-value | OR | Lower 95% CI | FDR | FWER | Genes Found | Gene Set Size | |
|---|---|---|---|---|---|---|---|
| DESCARTES_FETAL_EYE_STROMAL_CELLS | 5.33e-29 | 107.51 | 54.67 | 1.79e-26 | 3.57e-26 | 19POSTN, COL1A1, COL1A2, FN1, COL6A3, COL5A1, LOX, THBS2, COL3A1, COL6A2, CREB3L1, COL5A2, THBS1, SPARC, FBN1, COL6A1, INHBA, KDELR3, EMILIN1 |
90 |
| MURARO_PANCREAS_MESENCHYMAL_STROMAL_CELL | 7.76e-47 | 103.16 | 47.55 | 5.21e-44 | 5.21e-44 | 42POSTN, COL1A1, COL1A2, FN1, COL6A3, COL5A1, SULF1, FAP, LOX, THBS2, LOXL2, ANGPTL4, COL3A1, SERPINE1, CCDC80, COL6A2, CREB3L1, BGN, TNC, COL5A2, TIMP1, THBS1, LGALS1, NNMT, SPARC, FBN1, COL6A1, SERPINH1, PLOD2, S100A16, LTBP2, MICAL2, FSTL1, ITGA5, INHBA, TPM2, KDELR3, FLNA, VIM, PPIC, GPX8, ADAM12 |
680 |
| CUI_DEVELOPING_HEART_COMPACT_VENTRICULAR_CARDIOMYOCYTE | 1.70e-21 | 94.81 | 44.59 | 1.63e-19 | 1.14e-18 | 14POSTN, COL1A1, COL1A2, FN1, COL6A3, COL5A1, COL3A1, COL6A2, COL5A2, LGALS1, SPARC, FBN1, COL6A1, VIM |
65 |
| DESCARTES_FETAL_THYMUS_STROMAL_CELLS | 3.98e-27 | 71.12 | 37.16 | 6.67e-25 | 2.67e-24 | 20POSTN, COL1A1, COL1A2, COL5A1, LOX, THBS2, COL3A1, CCDC80, CREB3L1, BGN, COL5A2, TIMP1, SPARC, FBN1, COL6A1, RCN3, FSTL1, GPX8, EMILIN1, ADAM12 |
137 |
| MENON_FETAL_KIDNEY_3_STROMAL_CELLS | 4.78e-20 | 72.37 | 34.42 | 3.56e-18 | 3.21e-17 | 14POSTN, COL1A1, COL1A2, FN1, COL6A3, COL3A1, TNC, COL5A2, LGALS1, SPARC, SERPINH1, FSTL1, TPM2, VIM |
81 |
| CUI_DEVELOPING_HEART_C3_FIBROBLAST_LIKE_CELL | 3.69e-21 | 58.21 | 28.98 | 3.10e-19 | 2.48e-18 | 16COL1A1, COL1A2, COL6A3, COL5A1, LOX, THBS2, COL6A2, COL5A2, TIMP1, LGALS1, SPARC, FBN1, COL6A1, SERPINH1, RCN3, FSTL1 |
117 |
| CUI_DEVELOPING_HEART_SMOOTH_MUSCLE_CELL | 1.71e-13 | 70.13 | 28.03 | 5.45e-12 | 1.15e-10 | 9COL1A1, COL1A2, LOX, COL3A1, CCDC80, BGN, SPARC, RCN3, PPIC |
48 |
| DURANTE_ADULT_OLFACTORY_NEUROEPITHELIUM_FIBROBLASTS_STROMAL_CELLS | 2.42e-16 | 56.26 | 25.65 | 1.16e-14 | 1.62e-13 | 12POSTN, COL1A1, COL1A2, COL3A1, COL6A2, BGN, TIMP1, LGALS1, SPARC, TAGLN, TPM2, VIM |
82 |
| AIZARANI_LIVER_C21_STELLATE_CELLS_1 | 2.42e-22 | 43.76 | 22.88 | 2.71e-20 | 1.62e-19 | 19COL1A1, COL1A2, COL6A3, COL5A1, THBS2, COL3A1, SERPINE1, CCDC80, COL6A2, BGN, TIMP1, THBS1, LGALS1, SPARC, FBN1, COL6A1, EFEMP1, FSTL1, VIM |
194 |
| GAO_LARGE_INTESTINE_24W_C1_DCLK1POS_PROGENITOR | 1.11e-13 | 40.00 | 17.89 | 4.14e-12 | 7.45e-11 | 11COL1A1, COL1A2, COL5A1, LOX, THBS2, COL3A1, CCDC80, COL5A2, NNMT, SPARC, RCN3 |
99 |
| HU_FETAL_RETINA_FIBROBLAST | 6.89e-24 | 31.96 | 17.40 | 9.25e-22 | 4.62e-21 | 24COL1A1, COL1A2, FN1, COL6A3, COL5A1, SULF1, LOXL2, COL3A1, CCDC80, COL6A2, BGN, COL5A2, TIMP1, LGALS1, SPARC, FBN1, SERPINH1, FSTL1, ITGA5, TPM2, FLNA, S100A13, GPX8, EMILIN1 |
385 |
| HAY_BONE_MARROW_STROMAL | 7.19e-28 | 30.37 | 16.45 | 1.61e-25 | 4.82e-25 | 32COL1A1, COL1A2, FN1, COL6A3, COL5A1, SULF1, FAP, LOX, THBS2, ANGPTL4, COL3A1, TNFRSF11B, CCDC80, COL6A2, BGN, TNC, COL5A2, NNMT, FBN1, COL6A1, SERPINH1, TAGLN, RCN3, S100A16, LTBP2, EFEMP1, FSTL1, VEGFC, S100A13, PPIC, GPX8, EMILIN1 |
765 |
| AIZARANI_LIVER_C33_STELLATE_CELLS_2 | 4.82e-14 | 34.59 | 16.03 | 1.90e-12 | 3.23e-11 | 12COL1A1, COL1A2, COL5A1, COL3A1, COL6A2, BGN, LGALS1, SPARC, COL6A1, TPM2, FLNA, VIM |
126 |
| DESCARTES_MAIN_FETAL_STROMAL_CELLS | 1.02e-06 | 67.68 | 15.86 | 1.96e-05 | 6.87e-04 | 4COL1A1, COL1A2, COL5A1, THBS2 |
20 |
| FAN_OVARY_CL6_PUTATIVE_EARLY_ATRETIC_FOLLICLE_THECAL_CELL_2 | 8.90e-19 | 27.27 | 14.37 | 5.43e-17 | 5.97e-16 | 19COL1A1, COL1A2, FN1, COL6A3, COL3A1, CCDC80, COL6A2, BGN, TIMP1, LGALS1, SPARC, COL6A1, SERPINH1, TAGLN, FSTL1, TPM2, VIM, PPIC, EMILIN1 |
300 |
| FAN_EMBRYONIC_CTX_BRAIN_ENDOTHELIAL_2 | 1.07e-18 | 26.99 | 14.22 | 5.98e-17 | 7.18e-16 | 19COL1A2, FN1, ANGPTL4, COL3A1, CCDC80, COL6A2, BGN, COL5A2, TIMP1, LGALS1, SPARC, COL6A1, SERPINH1, TAGLN, FSTL1, TPM2, FLNA, VIM, ADAM12 |
303 |
| DESCARTES_FETAL_STOMACH_STROMAL_CELLS | 3.99e-08 | 38.66 | 12.81 | 9.23e-07 | 2.68e-05 | 6COL1A1, COL6A3, COL3A1, TAGLN, INHBA, EMILIN1 |
50 |
| RUBENSTEIN_SKELETAL_MUSCLE_FAP_CELLS | 1.22e-13 | 26.46 | 12.66 | 4.33e-12 | 8.22e-11 | 13COL1A1, COL1A2, FN1, COL6A3, COL3A1, CCDC80, COL6A2, TIMP1, COL6A1, EFEMP1, FSTL1, VIM, S100A13 |
179 |
| GAO_LARGE_INTESTINE_ADULT_CJ_IMMUNE_CELLS | 8.16e-20 | 22.11 | 12.02 | 5.47e-18 | 5.47e-17 | 23POSTN, COL1A1, COL1A2, COL6A3, COL5A1, SULF1, LOX, COL3A1, CCDC80, COL6A2, BGN, COL5A2, NNMT, SPARC, FBN1, COL6A1, LTBP2, EFEMP1, FSTL1, ITGA5, TPM2, FLNA, EMILIN1 |
505 |
| DESCARTES_FETAL_KIDNEY_STROMAL_CELLS | 8.10e-12 | 26.10 | 11.80 | 2.36e-10 | 5.43e-09 | 11POSTN, COL1A1, COL1A2, SULF1, LOX, THBS2, COL3A1, SPARC, FBN1, LTBP2, KDELR3 |
146 |
Dowload full table
mSigDB Hallmark Gene Sets:
| P-value | OR | Lower 95% CI | FDR | FWER | Genes Found | Gene Set Size | |
|---|---|---|---|---|---|---|---|
| HALLMARK_EPITHELIAL_MESENCHYMAL_TRANSITION | 9.53e-51 | 159.42 | 84.06 | 4.76e-49 | 4.76e-49 | 34POSTN, COL1A1, COL1A2, FN1, COL6A3, COL5A1, FAP, LOX, THBS2, LOXL2, COL3A1, SERPINE1, TNFRSF11B, COL6A2, BGN, TNC, COL5A2, TIMP1, THBS1, LGALS1, NNMT, SPARC, FBN1, SERPINH1, PLOD2, TAGLN, FSTL1, ITGA5, VEGFC, INHBA, TPM2, FLNA, VIM, ADAM12 |
200 |
| HALLMARK_ANGIOGENESIS | 2.77e-07 | 44.73 | 12.98 | 6.93e-06 | 1.39e-05 | 5POSTN, COL3A1, COL5A2, TIMP1, FSTL1 |
36 |
| HALLMARK_COAGULATION | 1.05e-06 | 15.53 | 5.78 | 1.31e-05 | 5.23e-05 | 7FN1, SERPINE1, TIMP1, THBS1, SPARC, FBN1, S100A13 |
138 |
| HALLMARK_MYOGENESIS | 9.73e-07 | 12.40 | 4.96 | 1.31e-05 | 4.87e-05 | 8COL1A1, COL6A3, COL3A1, COL6A2, SPARC, TAGLN, TPM2, ADAM12 |
200 |
| HALLMARK_UV_RESPONSE_DN | 2.02e-05 | 12.35 | 4.23 | 2.02e-04 | 1.01e-03 | 6COL1A1, COL1A2, COL3A1, SERPINE1, COL5A2, EFEMP1 |
144 |
| HALLMARK_HYPOXIA | 1.24e-04 | 8.78 | 3.02 | 1.03e-03 | 6.18e-03 | 6COL5A1, LOX, ANGPTL4, SERPINE1, BGN, KDELR3 |
200 |
| HALLMARK_TGF_BETA_SIGNALING | 1.26e-03 | 15.63 | 3.02 | 9.03e-03 | 6.32e-02 | 3SERPINE1, THBS1, LTBP2 |
54 |
| HALLMARK_COMPLEMENT | 7.71e-03 | 5.55 | 1.44 | 3.85e-02 | 3.85e-01 | 4FN1, SERPINE1, TIMP1, S100A13 |
200 |
| HALLMARK_INFLAMMATORY_RESPONSE | 7.71e-03 | 5.55 | 1.44 | 3.85e-02 | 3.85e-01 | 4SERPINE1, TIMP1, ITGA5, INHBA |
200 |
| HALLMARK_GLYCOLYSIS | 7.71e-03 | 5.55 | 1.44 | 3.85e-02 | 3.85e-01 | 4COL5A1, ANGPTL4, PLOD2, KDELR3 |
200 |
| HALLMARK_APOPTOSIS | 2.53e-02 | 5.05 | 0.99 | 1.15e-01 | 1.00e+00 | 3KRT18, BGN, TIMP1 |
161 |
| HALLMARK_TNFA_SIGNALING_VIA_NFKB | 4.35e-02 | 4.05 | 0.80 | 1.67e-01 | 1.00e+00 | 3SERPINE1, TNC, INHBA |
200 |
| HALLMARK_ALLOGRAFT_REJECTION | 4.35e-02 | 4.05 | 0.80 | 1.67e-01 | 1.00e+00 | 3TIMP1, INHBA, FLNA |
200 |
| HALLMARK_APICAL_JUNCTION | 1.85e-01 | 2.63 | 0.31 | 5.78e-01 | 1.00e+00 | 2TNFRSF11B, FBN1 |
200 |
| HALLMARK_MTORC1_SIGNALING | 1.85e-01 | 2.63 | 0.31 | 5.78e-01 | 1.00e+00 | 2SERPINH1, PLOD2 |
200 |
| HALLMARK_KRAS_SIGNALING_UP | 1.85e-01 | 2.63 | 0.31 | 5.78e-01 | 1.00e+00 | 2ANGPTL4, INHBA |
200 |
| HALLMARK_CHOLESTEROL_HOMEOSTASIS | 2.55e-01 | 3.49 | 0.09 | 7.50e-01 | 1.00e+00 | 1GPX8 |
74 |
| HALLMARK_PROTEIN_SECRETION | 3.17e-01 | 2.68 | 0.07 | 8.82e-01 | 1.00e+00 | 1KRT18 |
96 |
| HALLMARK_UNFOLDED_PROTEIN_RESPONSE | 3.62e-01 | 2.28 | 0.06 | 9.52e-01 | 1.00e+00 | 1KDELR3 |
113 |
| HALLMARK_FATTY_ACID_METABOLISM | 4.66e-01 | 1.62 | 0.04 | 1.00e+00 | 1.00e+00 | 1LGALS1 |
158 |
Dowload full table
KEGG Pathways:
| P-value | OR | Lower 95% CI | FDR | FWER | Genes Found | Gene Set Size | |
|---|---|---|---|---|---|---|---|
| KEGG_ECM_RECEPTOR_INTERACTION | 5.49e-18 | 61.70 | 28.84 | 1.02e-15 | 1.02e-15 | 13COL1A1, COL1A2, FN1, COL6A3, COL5A1, THBS2, COL3A1, COL6A2, TNC, COL5A2, THBS1, COL6A1, ITGA5 |
84 |
| KEGG_FOCAL_ADHESION | 6.53e-16 | 29.09 | 14.50 | 6.07e-14 | 1.21e-13 | 15COL1A1, COL1A2, FN1, COL6A3, COL5A1, THBS2, COL3A1, COL6A2, TNC, COL5A2, THBS1, COL6A1, ITGA5, VEGFC, FLNA |
199 |
| KEGG_TGF_BETA_SIGNALING_PATHWAY | 4.74e-03 | 9.61 | 1.88 | 2.94e-01 | 8.81e-01 | 3THBS2, THBS1, INHBA |
86 |
| KEGG_BLADDER_CANCER | 1.20e-02 | 13.01 | 1.48 | 5.59e-01 | 1.00e+00 | 2THBS1, VEGFC |
42 |
| KEGG_P53_SIGNALING_PATHWAY | 2.97e-02 | 7.89 | 0.91 | 1.00e+00 | 1.00e+00 | 2SERPINE1, THBS1 |
68 |
| KEGG_HYPERTROPHIC_CARDIOMYOPATHY_HCM | 4.26e-02 | 6.43 | 0.74 | 1.00e+00 | 1.00e+00 | 2ITGA5, TPM2 |
83 |
| KEGG_DILATED_CARDIOMYOPATHY | 4.93e-02 | 5.92 | 0.69 | 1.00e+00 | 1.00e+00 | 2ITGA5, TPM2 |
90 |
| KEGG_CYTOKINE_CYTOKINE_RECEPTOR_INTERACTION | 8.44e-02 | 3.05 | 0.60 | 1.00e+00 | 1.00e+00 | 3TNFRSF11B, VEGFC, INHBA |
265 |
| KEGG_REGULATION_OF_ACTIN_CYTOSKELETON | 2.03e-01 | 2.47 | 0.29 | 1.00e+00 | 1.00e+00 | 2FN1, ITGA5 |
213 |
| KEGG_NICOTINATE_AND_NICOTINAMIDE_METABOLISM | 9.13e-02 | 11.08 | 0.26 | 1.00e+00 | 1.00e+00 | 1NNMT |
24 |
| KEGG_PATHWAYS_IN_CANCER | 3.61e-01 | 1.61 | 0.19 | 1.00e+00 | 1.00e+00 | 2FN1, VEGFC |
325 |
| KEGG_LYSINE_DEGRADATION | 1.61e-01 | 5.93 | 0.14 | 1.00e+00 | 1.00e+00 | 1PLOD2 |
44 |
| KEGG_VASOPRESSIN_REGULATED_WATER_REABSORPTION | 1.61e-01 | 5.93 | 0.14 | 1.00e+00 | 1.00e+00 | 1CREB3L1 |
44 |
| KEGG_MTOR_SIGNALING_PATHWAY | 1.87e-01 | 5.00 | 0.12 | 1.00e+00 | 1.00e+00 | 1VEGFC |
52 |
| KEGG_VIBRIO_CHOLERAE_INFECTION | 1.94e-01 | 4.81 | 0.12 | 1.00e+00 | 1.00e+00 | 1KDELR3 |
54 |
| KEGG_PATHOGENIC_ESCHERICHIA_COLI_INFECTION | 2.00e-01 | 4.64 | 0.11 | 1.00e+00 | 1.00e+00 | 1KRT18 |
56 |
| KEGG_PPAR_SIGNALING_PATHWAY | 2.40e-01 | 3.75 | 0.09 | 1.00e+00 | 1.00e+00 | 1ANGPTL4 |
69 |
| KEGG_COMPLEMENT_AND_COAGULATION_CASCADES | 2.40e-01 | 3.75 | 0.09 | 1.00e+00 | 1.00e+00 | 1SERPINE1 |
69 |
| KEGG_RENAL_CELL_CARCINOMA | 2.43e-01 | 3.70 | 0.09 | 1.00e+00 | 1.00e+00 | 1VEGFC |
70 |
| KEGG_PANCREATIC_CANCER | 2.43e-01 | 3.70 | 0.09 | 1.00e+00 | 1.00e+00 | 1VEGFC |
70 |
Dowload full table
CHR Positional Gene Sets:
| P-value | OR | Lower 95% CI | FDR | FWER | Genes Found | Gene Set Size | |
|---|---|---|---|---|---|---|---|
| chr2q32 | 6.78e-02 | 4.91 | 0.57 | 1.00e+00 | 1.00e+00 | 2COL3A1, COL5A2 |
108 |
| chr5q23 | 7.11e-02 | 4.78 | 0.56 | 1.00e+00 | 1.00e+00 | 2LOX, PPIC |
111 |
| chr3q13 | 1.67e-01 | 2.82 | 0.33 | 1.00e+00 | 1.00e+00 | 2CCDC80, FSTL1 |
187 |
| chr11q23 | 1.92e-01 | 2.57 | 0.30 | 1.00e+00 | 1.00e+00 | 2NNMT, TAGLN |
205 |
| chrXq28 | 1.93e-01 | 2.55 | 0.30 | 1.00e+00 | 1.00e+00 | 2BGN, FLNA |
206 |
| chr22q13 | 3.33e-01 | 1.72 | 0.20 | 1.00e+00 | 1.00e+00 | 2LGALS1, KDELR3 |
305 |
| chr21q22 | 3.99e-01 | 1.48 | 0.17 | 1.00e+00 | 1.00e+00 | 2COL6A2, COL6A1 |
353 |
| chr1q21 | 6.64e-01 | 1.34 | 0.16 | 1.00e+00 | 1.00e+00 | 2S100A16, S100A13 |
392 |
| chr12q13 | 6.71e-01 | 1.29 | 0.15 | 1.00e+00 | 1.00e+00 | 2KRT18, ITGA5 |
407 |
| chr15q14 | 2.00e-01 | 4.64 | 0.11 | 1.00e+00 | 1.00e+00 | 1THBS1 |
56 |
| chr10p13 | 2.25e-01 | 4.05 | 0.10 | 1.00e+00 | 1.00e+00 | 1VIM |
64 |
| chr8q13 | 2.46e-01 | 3.64 | 0.09 | 1.00e+00 | 1.00e+00 | 1SULF1 |
71 |
| chr6q27 | 2.58e-01 | 3.45 | 0.08 | 1.00e+00 | 1.00e+00 | 1THBS2 |
75 |
| chr13q13 | 2.67e-01 | 3.31 | 0.08 | 1.00e+00 | 1.00e+00 | 1POSTN |
78 |
| chr5q11 | 2.87e-01 | 3.04 | 0.07 | 1.00e+00 | 1.00e+00 | 1GPX8 |
85 |
| chr5q33 | 3.52e-01 | 2.36 | 0.06 | 1.00e+00 | 1.00e+00 | 1SPARC |
109 |
| chr2p16 | 3.64e-01 | 2.26 | 0.06 | 1.00e+00 | 1.00e+00 | 1EFEMP1 |
114 |
| chr2q24 | 3.91e-01 | 2.06 | 0.05 | 1.00e+00 | 1.00e+00 | 1FAP |
125 |
| chr2q35 | 3.94e-01 | 2.04 | 0.05 | 1.00e+00 | 1.00e+00 | 1FN1 |
126 |
| chr8p21 | 3.99e-01 | 2.01 | 0.05 | 1.00e+00 | 1.00e+00 | 1LOXL2 |
128 |
Dowload full table
Transcription Factor Targets:
| P-value | OR | Lower 95% CI | FDR | FWER | Genes Found | Gene Set Size | |
|---|---|---|---|---|---|---|---|
| CCAWWNAAGG_SRF_Q4 | 3.96e-04 | 12.93 | 3.31 | 8.97e-02 | 4.49e-01 | 4THBS1, TAGLN, TPM2, FLNA |
88 |
| PSMB5_TARGET_GENES | 1.71e-04 | 6.78 | 2.55 | 6.46e-02 | 1.94e-01 | 7COL1A1, SERPINE1, THBS1, LGALS1, TPM2, FLNA, S100A13 |
307 |
| SRF_Q6 | 3.88e-04 | 7.04 | 2.43 | 8.97e-02 | 4.40e-01 | 6COL1A1, COL1A2, THBS1, TAGLN, TPM2, FLNA |
248 |
| TGGAAA_NFAT_Q4_01 | 4.33e-05 | 3.67 | 1.94 | 4.90e-02 | 4.90e-02 | 18COL1A2, FN1, SULF1, FAP, LOX, TNFRSF11B, CCDC80, LGALS1, SERPINH1, PLOD2, RCN3, LTBP2, FSTL1, VEGFC, INHBA, TPM2, VIM, ADAM12 |
1934 |
| SRF_Q5_01 | 1.80e-03 | 6.31 | 1.94 | 1.70e-01 | 1.00e+00 | 5COL1A1, THBS1, TAGLN, TPM2, FLNA |
225 |
| SRF_Q4 | 1.98e-03 | 6.17 | 1.89 | 1.73e-01 | 1.00e+00 | 5THBS1, SERPINH1, TAGLN, TPM2, FLNA |
230 |
| NFAT_Q6 | 2.78e-03 | 5.69 | 1.75 | 2.16e-01 | 1.00e+00 | 5SULF1, FAP, COL3A1, LGALS1, PLOD2 |
249 |
| SUPT16H_TARGET_GENES | 1.68e-04 | 3.35 | 1.74 | 6.46e-02 | 1.90e-01 | 17COL1A1, COL1A2, FN1, COL6A3, THBS2, LOXL2, THBS1, LGALS1, NNMT, SPARC, FBN1, SERPINH1, PLOD2, TAGLN, S100A16, TPM2, FLNA |
1944 |
| MSX1_01 | 4.87e-03 | 6.36 | 1.64 | 2.83e-01 | 1.00e+00 | 4POSTN, COL6A3, INHBA, FLNA |
175 |
| TATAAA_TATA_01 | 6.03e-04 | 3.37 | 1.64 | 1.14e-01 | 6.83e-01 | 13POSTN, COL1A1, COL1A2, FN1, SULF1, THBS2, ANGPTL4, SERPINE1, PLOD2, RCN3, EFEMP1, INHBA, TPM2 |
1317 |
| YKACATTT_UNKNOWN | 5.25e-03 | 4.87 | 1.50 | 2.83e-01 | 1.00e+00 | 5SULF1, THBS1, PLOD2, MICAL2, EFEMP1 |
290 |
| AAANWWTGC_UNKNOWN | 7.07e-03 | 5.69 | 1.47 | 3.64e-01 | 1.00e+00 | 4FN1, LOX, THBS2, INHBA |
195 |
| SRF_C | 9.84e-03 | 5.15 | 1.33 | 4.13e-01 | 1.00e+00 | 4COL1A2, THBS1, TAGLN, FLNA |
215 |
| SRF_01 | 1.74e-02 | 10.62 | 1.22 | 4.84e-01 | 1.00e+00 | 2THBS1, FLNA |
51 |
| SMAD3_Q6 | 1.46e-02 | 4.57 | 1.18 | 4.59e-01 | 1.00e+00 | 4FAP, LOX, THBS2, S100A16 |
242 |
| AP3_Q6 | 1.64e-02 | 4.40 | 1.14 | 4.84e-01 | 1.00e+00 | 4FN1, SULF1, SPARC, FSTL1 |
251 |
| CEBPB_01 | 2.00e-02 | 4.13 | 1.07 | 4.84e-01 | 1.00e+00 | 4SULF1, FAP, ITGA5, TPM2 |
267 |
| NKX25_02 | 2.00e-02 | 4.13 | 1.07 | 4.84e-01 | 1.00e+00 | 4SULF1, INHBA, TPM2, FLNA |
267 |
| UBN1_TARGET_GENES | 2.78e-02 | 2.24 | 1.06 | 6.06e-01 | 1.00e+00 | 12LOX, COL3A1, TNFRSF11B, CCDC80, TNC, THBS1, NNMT, PLOD2, TPM2, VIM, PPIC, GPX8 |
1779 |
| RYTTCCTG_ETS2_B | 1.83e-02 | 2.49 | 1.06 | 4.84e-01 | 1.00e+00 | 9COL6A3, THBS2, CCDC80, TIMP1, SPARC, MICAL2, FSTL1, TPM2, KDELR3 |
1112 |
Dowload full table
GO Biological Processes:
| P-value | OR | Lower 95% CI | FDR | FWER | Genes Found | Gene Set Size | |
|---|---|---|---|---|---|---|---|
| GOBP_COLLAGEN_FIBRIL_ORGANIZATION | 5.30e-13 | 60.82 | 24.52 | 1.98e-09 | 3.96e-09 | 9COL1A1, COL1A2, COL5A1, LOX, LOXL2, COL3A1, COL5A2, SERPINH1, EMILIN1 |
54 |
| GOBP_EXTERNAL_ENCAPSULATING_STRUCTURE_ORGANIZATION | 7.35e-30 | 43.26 | 23.63 | 5.50e-26 | 5.50e-26 | 28POSTN, COL1A1, COL1A2, FN1, COL6A3, COL5A1, SULF1, FAP, LOX, LOXL2, COL3A1, SERPINE1, TNFRSF11B, CCDC80, COL6A2, CREB3L1, BGN, TNC, COL5A2, TIMP1, THBS1, SPARC, FBN1, COL6A1, SERPINH1, ITGA5, EMILIN1, ADAM12 |
396 |
| GOBP_COLLAGEN_BIOSYNTHETIC_PROCESS | 1.02e-09 | 46.09 | 16.60 | 9.27e-07 | 7.59e-06 | 7COL1A1, COL5A1, CREB3L1, SERPINH1, RCN3, VIM, EMILIN1 |
51 |
| GOBP_ENDODERMAL_CELL_DIFFERENTIATION | 1.81e-08 | 44.79 | 14.72 | 9.02e-06 | 1.35e-04 | 6FN1, COL5A1, COL5A2, COL6A1, ITGA5, INHBA |
44 |
| GOBP_PEPTIDYL_LYSINE_OXIDATION | 1.54e-04 | 172.68 | 14.09 | 1.74e-02 | 1.00e+00 | 2LOX, LOXL2 |
5 |
| GOBP_POST_EMBRYONIC_EYE_MORPHOGENESIS | 1.54e-04 | 172.68 | 14.09 | 1.74e-02 | 1.00e+00 | 2FBN1, EFEMP1 |
5 |
| GOBP_REGULATION_OF_ENDODERMAL_CELL_DIFFERENTIATION | 1.54e-04 | 172.68 | 14.09 | 1.74e-02 | 1.00e+00 | 2COL5A1, COL5A2 |
5 |
| GOBP_REGULATION_OF_FIBRINOLYSIS | 2.09e-05 | 72.24 | 12.54 | 3.40e-03 | 1.57e-01 | 3FAP, SERPINE1, THBS1 |
14 |
| GOBP_ENDODERM_FORMATION | 5.70e-08 | 36.21 | 12.03 | 2.13e-05 | 4.27e-04 | 6FN1, COL5A1, COL5A2, COL6A1, ITGA5, INHBA |
53 |
| GOBP_NEGATIVE_REGULATION_OF_PLASMINOGEN_ACTIVATION | 2.31e-04 | 129.66 | 11.45 | 2.40e-02 | 1.00e+00 | 2SERPINE1, THBS1 |
6 |
| GOBP_COLLAGEN_METABOLIC_PROCESS | 3.48e-10 | 27.40 | 11.41 | 5.20e-07 | 2.60e-06 | 9COL1A1, COL1A2, COL5A1, FAP, CREB3L1, SERPINH1, RCN3, VIM, EMILIN1 |
109 |
| GOBP_POST_EMBRYONIC_ANIMAL_ORGAN_MORPHOGENESIS | 3.22e-04 | 103.49 | 9.64 | 3.13e-02 | 1.00e+00 | 2FBN1, EFEMP1 |
7 |
| GOBP_PEPTIDE_CROSS_LINKING | 1.05e-05 | 34.98 | 8.63 | 1.88e-03 | 7.89e-02 | 4FN1, COL3A1, BGN, THBS1 |
35 |
| GOBP_ENDODERM_DEVELOPMENT | 5.02e-07 | 24.31 | 8.21 | 1.39e-04 | 3.75e-03 | 6FN1, COL5A1, COL5A2, COL6A1, ITGA5, INHBA |
76 |
| GOBP_NEGATIVE_REGULATION_OF_FIBROBLAST_GROWTH_FACTOR_RECEPTOR_SIGNALING_PATHWAY | 1.13e-04 | 37.87 | 7.01 | 1.41e-02 | 8.45e-01 | 3SULF1, CREB3L1, THBS1 |
24 |
| GOBP_FIBRINOLYSIS | 1.28e-04 | 36.22 | 6.71 | 1.52e-02 | 9.57e-01 | 3FAP, SERPINE1, THBS1 |
25 |
| GOBP_NEGATIVE_REGULATION_OF_CELL_SUBSTRATE_ADHESION | 6.39e-06 | 22.37 | 6.71 | 1.26e-03 | 4.78e-02 | 5POSTN, COL1A1, SERPINE1, THBS1, LGALS1 |
67 |
| GOBP_REGULATION_OF_CELL_SUBSTRATE_ADHESION | 9.70e-09 | 15.03 | 6.61 | 5.18e-06 | 7.26e-05 | 10POSTN, COL1A1, FN1, SERPINE1, CCDC80, THBS1, LGALS1, ITGA5, FLNA, EMILIN1 |
218 |
| GOBP_ELASTIC_FIBER_ASSEMBLY | 6.85e-04 | 64.86 | 6.55 | 5.61e-02 | 1.00e+00 | 2LOX, EMILIN1 |
10 |
| GOBP_NEGATIVE_REGULATION_OF_FIBRINOLYSIS | 6.85e-04 | 64.86 | 6.55 | 5.61e-02 | 1.00e+00 | 2SERPINE1, THBS1 |
10 |
Dowload full table
Immunological Gene Sets:
| P-value | OR | Lower 95% CI | FDR | FWER | Genes Found | Gene Set Size | |
|---|---|---|---|---|---|---|---|
| GSE28737_BCL6_HET_VS_BCL6_KO_FOLLICULAR_BCELL_DN | 4.29e-09 | 16.45 | 7.22 | 2.09e-05 | 2.09e-05 | 10COL1A1, COL1A2, COL6A3, LOX, BGN, TNC, SPARC, SERPINH1, FSTL1, KDELR3 |
200 |
| GSE4748_CTRL_VS_LPS_STIM_DC_3H_UP | 6.91e-08 | 14.37 | 6.05 | 1.68e-04 | 3.36e-04 | 9POSTN, ANGPTL4, COL3A1, SERPINE1, CREB3L1, COL5A2, FBN1, FSTL1, INHBA |
200 |
| GSE6259_CD4_TCELL_VS_CD8_TCELL_UP | 5.89e-07 | 13.30 | 5.31 | 9.57e-04 | 2.87e-03 | 8ANGPTL4, TIMP1, TAGLN, S100A16, LTBP2, FSTL1, GPX8, ADAM12 |
187 |
| GSE27434_WT_VS_DNMT1_KO_TREG_DN | 9.73e-07 | 12.40 | 4.96 | 1.19e-03 | 4.74e-03 | 8COL1A2, SERPINE1, COL5A2, COL6A1, SERPINH1, INHBA, KDELR3, PPIC |
200 |
| GSE21546_UNSTIM_VS_ANTI_CD3_STIM_DP_THYMOCYTES_UP | 1.15e-05 | 10.60 | 3.97 | 6.43e-03 | 5.60e-02 | 7FN1, SERPINE1, KRT18, THBS1, SPARC, TAGLN, FSTL1 |
199 |
| GSE2405_0H_VS_3H_A_PHAGOCYTOPHILUM_STIM_NEUTROPHIL_UP | 1.19e-05 | 10.54 | 3.95 | 6.43e-03 | 5.79e-02 | 7COL1A2, COL6A3, SERPINE1, BGN, TIMP1, LTBP2, GPX8 |
200 |
| GSE4748_CTRL_VS_LPS_AND_CYANOBACTERIUM_LPSLIKE_STIM_DC_3H_DN | 1.19e-05 | 10.54 | 3.95 | 6.43e-03 | 5.79e-02 | 7COL6A3, SERPINE1, KRT18, COL6A2, SERPINH1, S100A16, INHBA |
200 |
| GSE19888_ADENOSINE_A3R_ACT_VS_TCELL_MEMBRANES_ACT_IN_MAST_CELL_UP | 1.19e-05 | 10.54 | 3.95 | 6.43e-03 | 5.79e-02 | 7COL3A1, COL5A2, TIMP1, COL6A1, RCN3, PPIC, ADAM12 |
200 |
| GSE43955_1H_VS_20H_ACT_CD4_TCELL_WITH_TGFB_IL6_DN | 1.19e-05 | 10.54 | 3.95 | 6.43e-03 | 5.79e-02 | 7COL1A2, TNC, COL5A2, NNMT, FBN1, TAGLN, KDELR3 |
200 |
| GSE21546_UNSTIM_VS_ANTI_CD3_STIM_SAP1A_KO_DP_THYMOCYTES_UP | 1.17e-04 | 8.88 | 3.05 | 3.01e-02 | 5.71e-01 | 6FN1, THBS2, SERPINE1, KRT18, TAGLN, FSTL1 |
198 |
| GSE1460_INTRATHYMIC_T_PROGENITOR_VS_THYMIC_STROMAL_CELL_DN | 1.24e-04 | 8.78 | 3.02 | 3.01e-02 | 6.03e-01 | 6COL6A2, CREB3L1, THBS1, ITGA5, VIM, EMILIN1 |
200 |
| GSE17721_0.5H_VS_24H_CPG_BMDC_DN | 1.24e-04 | 8.78 | 3.02 | 3.01e-02 | 6.03e-01 | 6COL5A1, LOX, SERPINE1, FSTL1, ITGA5, VEGFC |
200 |
| GSE20715_0H_VS_24H_OZONE_TLR4_KO_LUNG_DN | 1.24e-04 | 8.78 | 3.02 | 3.01e-02 | 6.03e-01 | 6LOX, ANGPTL4, KRT18, TIMP1, THBS1, LTBP2 |
200 |
| GSE22935_WT_VS_MYD88_KO_MACROPHAGE_12H_MBOVIS_BCG_STIM_DN | 1.24e-04 | 8.78 | 3.02 | 3.01e-02 | 6.03e-01 | 6FN1, LOXL2, TIMP1, RCN3, INHBA, TPM2 |
200 |
| GSE37301_RAG2_KO_VS_RAG2_AND_ETS1_KO_NK_CELL_UP | 1.24e-04 | 8.78 | 3.02 | 3.01e-02 | 6.03e-01 | 6COL1A1, CCDC80, COL6A2, NNMT, FBN1, COL6A1 |
200 |
| GSE42021_CD24HI_TREG_VS_CD24HI_TCONV_THYMUS_DN | 1.24e-04 | 8.78 | 3.02 | 3.01e-02 | 6.03e-01 | 6FN1, SERPINE1, BGN, COL6A1, SERPINH1, PPIC |
200 |
| GSE43955_TH0_VS_TGFB_IL6_TH17_ACT_CD4_TCELL_60H_DN | 1.24e-04 | 8.78 | 3.02 | 3.01e-02 | 6.03e-01 | 6FN1, ANGPTL4, COL6A2, FBN1, S100A16, LTBP2 |
200 |
| GSE43955_1H_VS_10H_ACT_CD4_TCELL_WITH_TGFB_IL6_DN | 1.24e-04 | 8.78 | 3.02 | 3.01e-02 | 6.03e-01 | 6COL1A2, FN1, BGN, COL5A2, NNMT, LTBP2 |
200 |
| GSE43955_10H_VS_60H_ACT_CD4_TCELL_WITH_TGFB_IL6_DN | 1.24e-04 | 8.78 | 3.02 | 3.01e-02 | 6.03e-01 | 6COL1A1, COL1A2, THBS2, TNFRSF11B, TAGLN, INHBA |
200 |
| GSE18804_SPLEEN_MACROPHAGE_VS_COLON_TUMORAL_MACROPHAGE_UP | 1.24e-04 | 8.78 | 3.02 | 3.01e-02 | 6.03e-01 | 6COL1A1, COL5A1, SPARC, COL6A1, SERPINH1, ADAM12 |
200 |
Top Ranked Transcription Factors for this Gene Expression Program:
| Gene Symbol | TF Rank | DNA Binding Domain | Motif Status | IUPAC PWM | GTEx | DepMap | Decartes |
|---|---|---|---|---|---|---|---|
| CREB3L1 | 19 | Yes | Known motif | Monomer or homomultimer | High-throughput in vitro | None | None |
| FBN1 | 28 | No | Unlikely to be sequence specific TF | Not a DNA binding protein | No motif | None | None |
| FLNA | 44 | No | Unlikely to be sequence specific TF | Not a DNA binding protein | No motif | None | Go annotation is based on (PMID: 15684392), which shows that it binds FOXC1 and PBX1 but doesnt show evidence for binding to DNA |
| PRRX1 | 67 | Yes | Known motif | Monomer or homomultimer | High-throughput in vitro | None | None |
| GREM1 | 69 | No | Unlikely to be sequence specific TF | Not a DNA binding protein | No motif | None | None |
| MSC | 70 | Yes | Known motif | Monomer or homomultimer | High-throughput in vitro | None | None |
| SPHK1 | 71 | No | Unlikely to be sequence specific TF | Not a DNA binding protein | No motif | None | None |
| AEBP1 | 72 | Yes | Likely to be sequence specific TF | Monomer or homomultimer | No motif | None | This is a protease, but its ability to bind DNA is supported by both gel-shift (PMID: 15654748) and ChIP (PMID: 22723309). |
| FHL2 | 113 | No | Unlikely to be sequence specific TF | Not a DNA binding protein | No motif | None | LIM ZF proteins are unlikely to bind DNA. Experimental evidence does not support a role for FHL2 as a sequence-specific DNA-binding protein (PMID:10654935) |
| SNAI2 | 119 | Yes | Known motif | Monomer or homomultimer | High-throughput in vitro | None | None |
| VGLL3 | 121 | No | Unlikely to be sequence specific TF | Not a DNA binding protein | No motif | None | (PMID: 23380592) describes this protein as a co-activator, and it doesnt seem to have a DBD (fig. 1) |
| ENO1 | 131 | No | Unlikely to be sequence specific TF | Not a DNA binding protein | No motif | Only known motifs are from Transfac or HocoMoco - origin is uncertain | Enolase - DNA binding not shown to be direct |
| HMGA2 | 134 | Yes | Known motif | Monomer or homomultimer | In vivo/Misc source | None | None |
| NFIX | 152 | Yes | Known motif | Monomer or homomultimer | High-throughput in vitro | None | None |
| MDFI | 168 | No | Unlikely to be sequence specific TF | Not a DNA binding protein | No motif | None | MDF1 is a co-repressor that inhibits DNA-binding (PMID: 8797820) |
| TNFSF4 | 169 | No | Unlikely to be sequence specific TF | Not a DNA binding protein | No motif | None | Extracellular signaling molecule. Included only because it regulates TFs. |
| GATA6 | 170 | Yes | Known motif | Monomer or homomultimer | High-throughput in vitro | None | None |
| TGFB1I1 | 179 | No | Unlikely to be sequence specific TF | Not a DNA binding protein | No motif | None | Available evidence suggests that it acts as a co-factor |
| PPP1R13L | 190 | No | Unlikely to be sequence specific TF | Not a DNA binding protein | No motif | None | None |
| SIX5 | 205 | Yes | Known motif | Monomer or homomultimer | In vivo/Misc source | Only known motifs are from Transfac or HocoMoco - origin is uncertain | None |
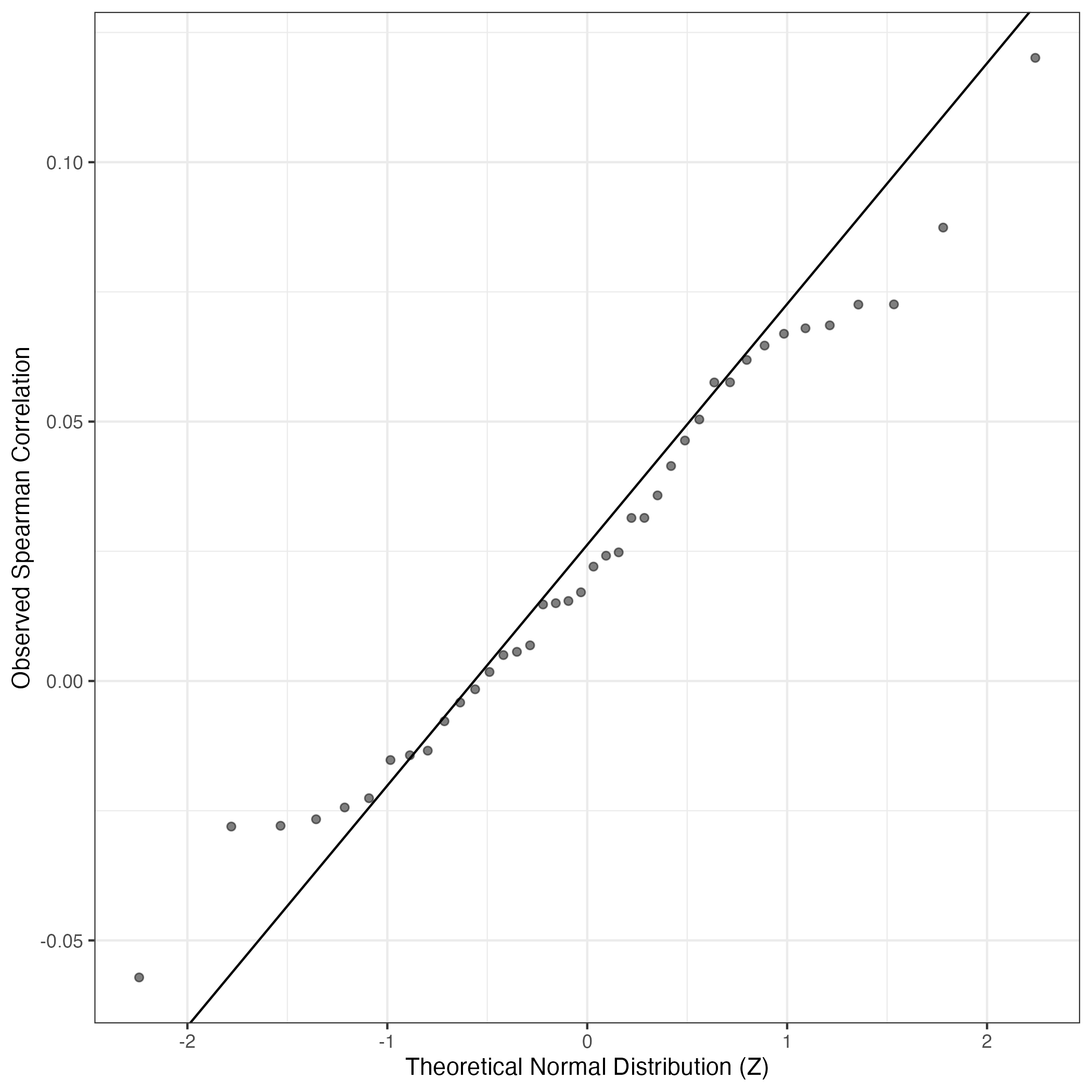
QQ Plot showing correlations with other GEPs in this dataset, calculated by Spearman correlation:
Interactive QQ-plot of gene loadings:
A similar QQ-plot as above, but only for instances where the H value is e.g. > 25, i.e. we are confident that the expression program is active above noise. Agreemenet between these binary vectors is tested using the Jaccard Index, with the P-values calculated by an exact test:
Interactive QQ-plot:
Singler cell type annotations for the top 50 cells on this program.
| Cell ID | Singler label | Singler Delta | Activity Score | Top Singler Raw Scores |
|---|---|---|---|---|
| T230_ACTACGACAGGTGAGT-1 | Tissue_stem_cells:BM_MSC | 0.20 | 2519.83 | Raw ScoresiPS_cells:adipose_stem_cells: 0.45, Fibroblasts:breast: 0.44, Tissue_stem_cells:BM_MSC: 0.44, iPS_cells:CRL2097_foreskin: 0.44, Smooth_muscle_cells:vascular:IL-17: 0.44, Smooth_muscle_cells:vascular: 0.43, Tissue_stem_cells:BM_MSC:BMP2: 0.43, MSC: 0.43, Osteoblasts:BMP2: 0.43, Fibroblasts:foreskin: 0.43 |
| T162_GGGAGTACAATACCTG-1 | Smooth_muscle_cells:vascular | 0.21 | 1818.06 | Raw ScoresSmooth_muscle_cells:vascular:IL-17: 0.46, Tissue_stem_cells:BM_MSC: 0.45, Smooth_muscle_cells:vascular: 0.45, iPS_cells:adipose_stem_cells: 0.45, Fibroblasts:breast: 0.45, iPS_cells:CRL2097_foreskin: 0.44, Osteoblasts: 0.44, Osteoblasts:BMP2: 0.44, iPS_cells:foreskin_fibrobasts: 0.44, Tissue_stem_cells:BM_MSC:BMP2: 0.44 |
| T230_TTCCTCTCAGCACGAA-1 | iPS_cells:CRL2097_foreskin | 0.19 | 1776.63 | Raw ScoresiPS_cells:adipose_stem_cells: 0.42, Tissue_stem_cells:BM_MSC: 0.42, iPS_cells:CRL2097_foreskin: 0.41, Fibroblasts:breast: 0.41, Smooth_muscle_cells:vascular: 0.41, Smooth_muscle_cells:vascular:IL-17: 0.41, MSC: 0.4, Osteoblasts: 0.4, Tissue_stem_cells:BM_MSC:osteogenic: 0.4, Osteoblasts:BMP2: 0.4 |
| T214_TATCCTAAGGGACCAT-1 | Osteoblasts | 0.19 | 1456.25 | Raw ScoresiPS_cells:adipose_stem_cells: 0.41, Fibroblasts:breast: 0.4, Osteoblasts: 0.4, Smooth_muscle_cells:bronchial: 0.39, Smooth_muscle_cells:bronchial:vit_D: 0.39, iPS_cells:CRL2097_foreskin: 0.39, Smooth_muscle_cells:vascular: 0.39, iPS_cells:fibroblasts: 0.39, Osteoblasts:BMP2: 0.39, Tissue_stem_cells:BM_MSC:TGFb3: 0.39 |
| T200_TATTCCATCGCATTAG-1 | Tissue_stem_cells:BM_MSC:BMP2 | 0.18 | 1260.49 | Raw ScoresTissue_stem_cells:BM_MSC:BMP2: 0.42, iPS_cells:adipose_stem_cells: 0.42, Fibroblasts:foreskin: 0.42, Tissue_stem_cells:BM_MSC: 0.41, Tissue_stem_cells:BM_MSC:TGFb3: 0.41, Smooth_muscle_cells:vascular:IL-17: 0.41, Smooth_muscle_cells:vascular: 0.4, Fibroblasts:breast: 0.4, Osteoblasts: 0.4, Chondrocytes:MSC-derived: 0.4 |
| T162_GATCACATCGCTAGCG-1 | iPS_cells:adipose_stem_cells | 0.18 | 898.31 | Raw ScoresiPS_cells:adipose_stem_cells: 0.41, Fibroblasts:breast: 0.4, Tissue_stem_cells:BM_MSC: 0.4, Tissue_stem_cells:BM_MSC:BMP2: 0.4, Smooth_muscle_cells:vascular:IL-17: 0.4, Smooth_muscle_cells:vascular: 0.4, MSC: 0.39, Tissue_stem_cells:BM_MSC:osteogenic: 0.39, Osteoblasts: 0.39, iPS_cells:CRL2097_foreskin: 0.39 |
| T162_GGGATGATCTAGTCAG-1 | Smooth_muscle_cells:vascular:IL-17 | 0.10 | 826.20 | Raw ScoresTissue_stem_cells:BM_MSC:BMP2: 0.39, iPS_cells:adipose_stem_cells: 0.38, Smooth_muscle_cells:vascular:IL-17: 0.38, Fibroblasts:foreskin: 0.38, Tissue_stem_cells:BM_MSC: 0.38, Tissue_stem_cells:BM_MSC:TGFb3: 0.38, Smooth_muscle_cells:vascular: 0.37, Tissue_stem_cells:BM_MSC:osteogenic: 0.37, Chondrocytes:MSC-derived: 0.37, Fibroblasts:breast: 0.37 |
| T214_TCCTAATTCACCTCGT-1 | Osteoblasts | 0.14 | 824.60 | Raw ScoresiPS_cells:adipose_stem_cells: 0.35, Fibroblasts:breast: 0.35, iPS_cells:CRL2097_foreskin: 0.34, Smooth_muscle_cells:bronchial:vit_D: 0.34, Tissue_stem_cells:BM_MSC:TGFb3: 0.34, Smooth_muscle_cells:bronchial: 0.34, Tissue_stem_cells:BM_MSC:BMP2: 0.34, Smooth_muscle_cells:vascular: 0.34, Tissue_stem_cells:BM_MSC: 0.33, Osteoblasts: 0.33 |
| T162_GAGTTACTCCATGCAA-1 | Smooth_muscle_cells:vascular | 0.18 | 804.51 | Raw ScoresFibroblasts:foreskin: 0.45, MSC: 0.45, iPS_cells:foreskin_fibrobasts: 0.44, iPS_cells:skin_fibroblast: 0.44, iPS_cells:CRL2097_foreskin: 0.44, Tissue_stem_cells:BM_MSC: 0.44, Smooth_muscle_cells:vascular: 0.44, Smooth_muscle_cells:vascular:IL-17: 0.44, iPS_cells:PDB_fibroblasts: 0.44, iPS_cells:adipose_stem_cells: 0.44 |
| T214_TTACGTTCACTCCCTA-1 | Tissue_stem_cells:BM_MSC:TGFb3 | 0.18 | 770.52 | Raw ScoresiPS_cells:adipose_stem_cells: 0.42, Smooth_muscle_cells:bronchial: 0.42, Tissue_stem_cells:BM_MSC:BMP2: 0.42, Fibroblasts:breast: 0.42, Osteoblasts: 0.42, Smooth_muscle_cells:bronchial:vit_D: 0.42, Tissue_stem_cells:BM_MSC:TGFb3: 0.41, iPS_cells:CRL2097_foreskin: 0.41, Smooth_muscle_cells:vascular: 0.41, Chondrocytes:MSC-derived: 0.41 |
| T162_ATTCGTTGTAACTTCG-1 | Smooth_muscle_cells:vascular | 0.18 | 753.34 | Raw ScoresMSC: 0.4, Tissue_stem_cells:BM_MSC: 0.4, Fibroblasts:foreskin: 0.4, Fibroblasts:breast: 0.4, Smooth_muscle_cells:vascular: 0.39, iPS_cells:skin_fibroblast: 0.39, iPS_cells:foreskin_fibrobasts: 0.39, Smooth_muscle_cells:vascular:IL-17: 0.39, iPS_cells:adipose_stem_cells: 0.39, iPS_cells:CRL2097_foreskin: 0.39 |
| T214_GAGGCAAGTCGATTAC-1 | iPS_cells:adipose_stem_cells | 0.19 | 727.48 | Raw ScoresiPS_cells:adipose_stem_cells: 0.39, Fibroblasts:breast: 0.39, Osteoblasts: 0.38, Tissue_stem_cells:BM_MSC:BMP2: 0.38, Smooth_muscle_cells:vascular: 0.38, iPS_cells:CRL2097_foreskin: 0.38, Osteoblasts:BMP2: 0.38, Tissue_stem_cells:BM_MSC:TGFb3: 0.38, Tissue_stem_cells:BM_MSC: 0.38, Smooth_muscle_cells:bronchial: 0.38 |
| T162_CAGGCCATCAAATGCC-1 | Smooth_muscle_cells:vascular | 0.17 | 523.92 | Raw ScoresiPS_cells:adipose_stem_cells: 0.4, Tissue_stem_cells:BM_MSC: 0.4, MSC: 0.4, Fibroblasts:breast: 0.4, Tissue_stem_cells:BM_MSC:BMP2: 0.39, Smooth_muscle_cells:vascular:IL-17: 0.39, iPS_cells:foreskin_fibrobasts: 0.39, iPS_cells:CRL2097_foreskin: 0.39, Smooth_muscle_cells:vascular: 0.39, iPS_cells:skin_fibroblast: 0.39 |
| T162_GAGTCATTCGGCAGTC-1 | Smooth_muscle_cells:vascular | 0.17 | 510.52 | Raw ScoresMSC: 0.45, Smooth_muscle_cells:vascular: 0.44, Fibroblasts:foreskin: 0.44, Tissue_stem_cells:lipoma-derived_MSC: 0.43, iPS_cells:skin_fibroblast: 0.43, Tissue_stem_cells:adipose-derived_MSC_AM3: 0.43, iPS_cells:PDB_fibroblasts: 0.43, Neurons:Schwann_cell: 0.42, iPS_cells:foreskin_fibrobasts: 0.42, iPS_cells:fibroblasts: 0.42 |
| T162_AATTTCCCATCGTGGC-1 | Tissue_stem_cells:BM_MSC | 0.16 | 506.61 | Raw ScoresMSC: 0.45, Fibroblasts:foreskin: 0.45, iPS_cells:skin_fibroblast: 0.45, Smooth_muscle_cells:vascular: 0.45, iPS_cells:PDB_fibroblasts: 0.44, iPS_cells:foreskin_fibrobasts: 0.44, Tissue_stem_cells:lipoma-derived_MSC: 0.44, Tissue_stem_cells:adipose-derived_MSC_AM3: 0.43, iPS_cells:CRL2097_foreskin: 0.43, Tissue_stem_cells:BM_MSC: 0.43 |
| T162_CCGCAAGGTGTAGGAC-1 | Smooth_muscle_cells:vascular | 0.17 | 495.51 | Raw ScoresMSC: 0.44, Fibroblasts:foreskin: 0.44, iPS_cells:skin_fibroblast: 0.43, Smooth_muscle_cells:vascular: 0.43, iPS_cells:PDB_fibroblasts: 0.43, Tissue_stem_cells:lipoma-derived_MSC: 0.43, iPS_cells:foreskin_fibrobasts: 0.43, Tissue_stem_cells:adipose-derived_MSC_AM3: 0.43, Smooth_muscle_cells:umbilical_vein: 0.42, Tissue_stem_cells:BM_MSC: 0.42 |
| T69_GGTGTTAAGTAGGCCA.1 | Tissue_stem_cells:BM_MSC:BMP2 | 0.15 | 493.89 | Raw ScoresTissue_stem_cells:BM_MSC:BMP2: 0.34, Tissue_stem_cells:BM_MSC:TGFb3: 0.34, Tissue_stem_cells:BM_MSC: 0.34, Smooth_muscle_cells:vascular:IL-17: 0.34, iPS_cells:adipose_stem_cells: 0.34, MSC: 0.33, Fibroblasts:breast: 0.33, Smooth_muscle_cells:vascular: 0.33, Chondrocytes:MSC-derived: 0.32, iPS_cells:CRL2097_foreskin: 0.32 |
| T214_CCCTCAATCACCTCGT-1 | Tissue_stem_cells:BM_MSC:BMP2 | 0.12 | 483.96 | Raw ScoresiPS_cells:adipose_stem_cells: 0.36, iPS_cells:CRL2097_foreskin: 0.35, Fibroblasts:foreskin: 0.35, Tissue_stem_cells:BM_MSC:BMP2: 0.35, Fibroblasts:breast: 0.35, Tissue_stem_cells:adipose-derived_MSC_AM3: 0.35, iPS_cells:fibroblasts: 0.35, MSC: 0.35, Smooth_muscle_cells:bronchial: 0.35, iPS_cells:foreskin_fibrobasts: 0.35 |
| T162_AAAGTGAGTTAGAGTA-1 | Fibroblasts:foreskin | 0.15 | 469.20 | Raw ScoresFibroblasts:foreskin: 0.41, MSC: 0.41, iPS_cells:foreskin_fibrobasts: 0.41, Tissue_stem_cells:lipoma-derived_MSC: 0.4, iPS_cells:PDB_fibroblasts: 0.4, iPS_cells:skin_fibroblast: 0.4, Smooth_muscle_cells:vascular: 0.4, iPS_cells:CRL2097_foreskin: 0.4, Neurons:Schwann_cell: 0.4, Tissue_stem_cells:adipose-derived_MSC_AM3: 0.4 |
| T162_ATTCTACCATCTAGAC-1 | Tissue_stem_cells:BM_MSC | 0.17 | 465.48 | Raw ScoresFibroblasts:foreskin: 0.45, iPS_cells:foreskin_fibrobasts: 0.45, MSC: 0.45, iPS_cells:skin_fibroblast: 0.44, iPS_cells:adipose_stem_cells: 0.44, Tissue_stem_cells:BM_MSC: 0.44, iPS_cells:CRL2097_foreskin: 0.44, iPS_cells:PDB_fibroblasts: 0.44, Smooth_muscle_cells:vascular: 0.44, Smooth_muscle_cells:vascular:IL-17: 0.44 |
| T214_TGCTGAATCTGCAGCG-1 | iPS_cells:adipose_stem_cells | 0.17 | 444.33 | Raw ScoresiPS_cells:adipose_stem_cells: 0.32, Osteoblasts: 0.31, Fibroblasts:breast: 0.31, Tissue_stem_cells:BM_MSC:BMP2: 0.31, Tissue_stem_cells:BM_MSC:TGFb3: 0.31, iPS_cells:CRL2097_foreskin: 0.31, Tissue_stem_cells:BM_MSC: 0.31, Smooth_muscle_cells:bronchial: 0.31, Smooth_muscle_cells:bronchial:vit_D: 0.3, Chondrocytes:MSC-derived: 0.3 |
| T69_ACATACGGTGACCAAG.1 | Smooth_muscle_cells:vascular:IL-17 | 0.14 | 442.68 | Raw ScoresSmooth_muscle_cells:vascular:IL-17: 0.36, Tissue_stem_cells:BM_MSC:BMP2: 0.36, Tissue_stem_cells:BM_MSC:TGFb3: 0.36, Smooth_muscle_cells:vascular: 0.36, Fibroblasts:breast: 0.36, Tissue_stem_cells:BM_MSC: 0.35, iPS_cells:adipose_stem_cells: 0.35, Chondrocytes:MSC-derived: 0.35, Osteoblasts: 0.35, Smooth_muscle_cells:bronchial:vit_D: 0.34 |
| T162_AGGGCTCCAAATCCCA-1 | Smooth_muscle_cells:vascular | 0.15 | 439.49 | Raw ScoresFibroblasts:breast: 0.36, iPS_cells:adipose_stem_cells: 0.36, MSC: 0.36, Fibroblasts:foreskin: 0.36, iPS_cells:CRL2097_foreskin: 0.35, Smooth_muscle_cells:vascular:IL-17: 0.35, Tissue_stem_cells:BM_MSC: 0.35, iPS_cells:foreskin_fibrobasts: 0.35, Smooth_muscle_cells:vascular: 0.35, iPS_cells:skin_fibroblast: 0.35 |
| T162_CAAGCTAAGGTCTGGA-1 | Smooth_muscle_cells:vascular:IL-17 | 0.17 | 431.61 | Raw ScoresTissue_stem_cells:BM_MSC: 0.4, iPS_cells:adipose_stem_cells: 0.4, Fibroblasts:foreskin: 0.39, Smooth_muscle_cells:vascular:IL-17: 0.39, MSC: 0.39, iPS_cells:CRL2097_foreskin: 0.39, Tissue_stem_cells:BM_MSC:BMP2: 0.39, iPS_cells:PDB_fibroblasts: 0.39, Fibroblasts:breast: 0.39, iPS_cells:foreskin_fibrobasts: 0.39 |
| T162_TGTTGAGGTCGCCTAG-1 | Tissue_stem_cells:BM_MSC:osteogenic | 0.15 | 413.08 | Raw ScoresTissue_stem_cells:BM_MSC: 0.39, Tissue_stem_cells:BM_MSC:BMP2: 0.39, iPS_cells:adipose_stem_cells: 0.39, Fibroblasts:foreskin: 0.38, Fibroblasts:breast: 0.38, Tissue_stem_cells:BM_MSC:osteogenic: 0.38, iPS_cells:foreskin_fibrobasts: 0.38, Tissue_stem_cells:BM_MSC:TGFb3: 0.38, Smooth_muscle_cells:vascular: 0.38, iPS_cells:PDB_fibroblasts: 0.38 |
| T162_TTACGTTAGGTCACTT-1 | iPS_cells:adipose_stem_cells | 0.16 | 395.96 | Raw ScoresTissue_stem_cells:BM_MSC: 0.33, iPS_cells:adipose_stem_cells: 0.33, iPS_cells:CRL2097_foreskin: 0.32, Tissue_stem_cells:BM_MSC:osteogenic: 0.32, Tissue_stem_cells:BM_MSC:BMP2: 0.32, Fibroblasts:breast: 0.32, Fibroblasts:foreskin: 0.32, Osteoblasts: 0.32, Smooth_muscle_cells:vascular: 0.32, iPS_cells:foreskin_fibrobasts: 0.32 |
| T230_ACTATGGCACGGTGAA-1 | iPS_cells:adipose_stem_cells | 0.18 | 390.32 | Raw ScoresiPS_cells:adipose_stem_cells: 0.42, MSC: 0.42, Tissue_stem_cells:BM_MSC: 0.41, iPS_cells:CRL2097_foreskin: 0.41, Fibroblasts:foreskin: 0.41, Smooth_muscle_cells:vascular: 0.41, Fibroblasts:breast: 0.41, Neurons:Schwann_cell: 0.41, iPS_cells:foreskin_fibrobasts: 0.4, iPS_cells:PDB_fibroblasts: 0.4 |
| T162_TGTCAGATCAACACGT-1 | Tissue_stem_cells:BM_MSC | 0.15 | 387.96 | Raw ScoresFibroblasts:foreskin: 0.38, Tissue_stem_cells:BM_MSC: 0.38, Tissue_stem_cells:BM_MSC:BMP2: 0.38, Smooth_muscle_cells:vascular:IL-17: 0.37, Smooth_muscle_cells:vascular: 0.37, Fibroblasts:breast: 0.37, iPS_cells:adipose_stem_cells: 0.37, iPS_cells:PDB_fibroblasts: 0.37, iPS_cells:skin_fibroblast: 0.37, iPS_cells:CRL2097_foreskin: 0.37 |
| T162_GAGAAATCAGGTCAAG-1 | Tissue_stem_cells:BM_MSC | 0.18 | 381.02 | Raw ScoresMSC: 0.45, Fibroblasts:foreskin: 0.45, iPS_cells:foreskin_fibrobasts: 0.44, Smooth_muscle_cells:vascular: 0.44, iPS_cells:CRL2097_foreskin: 0.44, Tissue_stem_cells:BM_MSC: 0.44, iPS_cells:skin_fibroblast: 0.44, iPS_cells:adipose_stem_cells: 0.43, Fibroblasts:breast: 0.43, iPS_cells:PDB_fibroblasts: 0.43 |
| T214_ACTACGAGTACGTGTT-1 | Tissue_stem_cells:BM_MSC | 0.12 | 369.61 | Raw ScoresiPS_cells:adipose_stem_cells: 0.33, Tissue_stem_cells:BM_MSC: 0.33, Tissue_stem_cells:BM_MSC:BMP2: 0.33, Osteoblasts: 0.33, Tissue_stem_cells:BM_MSC:TGFb3: 0.33, Tissue_stem_cells:BM_MSC:osteogenic: 0.32, Fibroblasts:breast: 0.32, Chondrocytes:MSC-derived: 0.32, Tissue_stem_cells:iliac_MSC: 0.32, Smooth_muscle_cells:vascular: 0.32 |
| T200_CTGTATTTCTCTCTTC-1 | Tissue_stem_cells:BM_MSC:BMP2 | 0.17 | 343.51 | Raw ScoresSmooth_muscle_cells:bronchial: 0.37, Tissue_stem_cells:BM_MSC:BMP2: 0.37, Smooth_muscle_cells:bronchial:vit_D: 0.36, Osteoblasts: 0.36, Tissue_stem_cells:BM_MSC:TGFb3: 0.36, Chondrocytes:MSC-derived: 0.36, iPS_cells:CRL2097_foreskin: 0.36, iPS_cells:adipose_stem_cells: 0.36, Fibroblasts:breast: 0.36, Osteoblasts:BMP2: 0.35 |
| T162_TTGACCCGTCACTACA-1 | MSC | 0.18 | 329.75 | Raw ScoresMSC: 0.4, Fibroblasts:foreskin: 0.38, iPS_cells:skin_fibroblast: 0.38, iPS_cells:foreskin_fibrobasts: 0.38, Tissue_stem_cells:lipoma-derived_MSC: 0.38, iPS_cells:CRL2097_foreskin: 0.38, Smooth_muscle_cells:umbilical_vein: 0.38, Smooth_muscle_cells:vascular: 0.38, Fibroblasts:breast: 0.38, iPS_cells:PDB_fibroblasts: 0.37 |
| T162_GTATTGGTCCACGAAT-1 | MSC | 0.15 | 329.05 | Raw ScoresMSC: 0.37, Smooth_muscle_cells:vascular: 0.36, Fibroblasts:foreskin: 0.36, Neurons:Schwann_cell: 0.36, Tissue_stem_cells:adipose-derived_MSC_AM3: 0.36, Tissue_stem_cells:lipoma-derived_MSC: 0.36, iPS_cells:CRL2097_foreskin: 0.35, Smooth_muscle_cells:umbilical_vein: 0.35, iPS_cells:skin_fibroblast: 0.35, iPS_cells:PDB_fibroblasts: 0.35 |
| T162_CAGCACGTCCACGTCT-1 | MSC | 0.17 | 327.86 | Raw ScoresMSC: 0.42, Fibroblasts:foreskin: 0.41, Smooth_muscle_cells:vascular: 0.41, iPS_cells:foreskin_fibrobasts: 0.4, iPS_cells:skin_fibroblast: 0.4, iPS_cells:PDB_fibroblasts: 0.4, iPS_cells:CRL2097_foreskin: 0.4, Tissue_stem_cells:BM_MSC: 0.4, Tissue_stem_cells:lipoma-derived_MSC: 0.4, Smooth_muscle_cells:umbilical_vein: 0.39 |
| T162_TAACACGGTTCAAACC-1 | iPS_cells:adipose_stem_cells | 0.04 | 325.30 | Raw ScoresDC:monocyte-derived:mature: 0.34, DC:monocyte-derived:A._fumigatus_germ_tubes_6h: 0.33, Tissue_stem_cells:BM_MSC:BMP2: 0.33, DC:monocyte-derived:LPS: 0.33, DC:monocyte-derived:AEC-conditioned: 0.33, Fibroblasts:foreskin: 0.33, Macrophage:monocyte-derived:S._aureus: 0.33, DC:monocyte-derived:antiCD40/VAF347: 0.33, DC:monocyte-derived:Poly(IC): 0.33, Macrophage:monocyte-derived:M-CSF/Pam3Cys: 0.33 |
| T200_CCCTGATAGAGAGCAA-1 | Fibroblasts:breast | 0.17 | 325.14 | Raw ScoresFibroblasts:breast: 0.37, Tissue_stem_cells:BM_MSC:BMP2: 0.36, iPS_cells:adipose_stem_cells: 0.36, Tissue_stem_cells:BM_MSC:TGFb3: 0.36, iPS_cells:CRL2097_foreskin: 0.36, Osteoblasts: 0.35, Smooth_muscle_cells:bronchial: 0.35, MSC: 0.35, Chondrocytes:MSC-derived: 0.35, Tissue_stem_cells:BM_MSC: 0.35 |
| T230_TGTTGAGGTCTACTGA-1 | Smooth_muscle_cells:vascular | 0.16 | 322.75 | Raw ScoresMSC: 0.4, Smooth_muscle_cells:vascular: 0.4, Fibroblasts:foreskin: 0.39, Tissue_stem_cells:adipose-derived_MSC_AM3: 0.39, Tissue_stem_cells:lipoma-derived_MSC: 0.39, Neurons:Schwann_cell: 0.39, Tissue_stem_cells:BM_MSC: 0.38, iPS_cells:skin_fibroblast: 0.38, iPS_cells:foreskin_fibrobasts: 0.38, iPS_cells:PDB_fibroblasts: 0.38 |
| T162_GCAGCTGCACTCCTTG-1 | MSC | 0.17 | 321.05 | Raw ScoresMSC: 0.4, Smooth_muscle_cells:vascular: 0.39, Fibroblasts:foreskin: 0.39, iPS_cells:skin_fibroblast: 0.39, iPS_cells:foreskin_fibrobasts: 0.39, iPS_cells:CRL2097_foreskin: 0.38, Tissue_stem_cells:lipoma-derived_MSC: 0.38, iPS_cells:PDB_fibroblasts: 0.38, Tissue_stem_cells:BM_MSC: 0.38, Tissue_stem_cells:adipose-derived_MSC_AM3: 0.38 |
| T162_AGATGCTCACTGGCGT-1 | Smooth_muscle_cells:vascular | 0.15 | 320.73 | Raw ScoresTissue_stem_cells:BM_MSC: 0.35, Tissue_stem_cells:BM_MSC:BMP2: 0.35, iPS_cells:adipose_stem_cells: 0.35, Smooth_muscle_cells:vascular: 0.34, Smooth_muscle_cells:vascular:IL-17: 0.34, Fibroblasts:breast: 0.34, Tissue_stem_cells:BM_MSC:TGFb3: 0.34, Tissue_stem_cells:BM_MSC:osteogenic: 0.34, MSC: 0.34, iPS_cells:foreskin_fibrobasts: 0.34 |
| T162_CTCCAACTCGTTACCC-1 | Fibroblasts:foreskin | 0.17 | 314.48 | Raw ScoresFibroblasts:foreskin: 0.42, MSC: 0.41, iPS_cells:skin_fibroblast: 0.41, iPS_cells:foreskin_fibrobasts: 0.41, iPS_cells:CRL2097_foreskin: 0.41, Smooth_muscle_cells:vascular: 0.4, iPS_cells:PDB_fibroblasts: 0.4, Tissue_stem_cells:BM_MSC: 0.4, Tissue_stem_cells:lipoma-derived_MSC: 0.4, iPS_cells:fibroblasts: 0.4 |
| T162_TCATCATTCGGTGAAG-1 | Smooth_muscle_cells:vascular | 0.14 | 311.63 | Raw ScoresTissue_stem_cells:BM_MSC: 0.39, Fibroblasts:foreskin: 0.39, MSC: 0.39, iPS_cells:skin_fibroblast: 0.39, iPS_cells:foreskin_fibrobasts: 0.38, Tissue_stem_cells:BM_MSC:BMP2: 0.38, iPS_cells:adipose_stem_cells: 0.38, Fibroblasts:breast: 0.38, iPS_cells:CRL2097_foreskin: 0.38, iPS_cells:PDB_fibroblasts: 0.38 |
| T162_GTCAGCGGTGCGGCTT-1 | Smooth_muscle_cells:vascular | 0.15 | 299.77 | Raw ScoresSmooth_muscle_cells:vascular: 0.4, MSC: 0.4, Smooth_muscle_cells:vascular:IL-17: 0.4, Tissue_stem_cells:BM_MSC: 0.4, Fibroblasts:foreskin: 0.39, iPS_cells:adipose_stem_cells: 0.39, Tissue_stem_cells:BM_MSC:BMP2: 0.39, iPS_cells:foreskin_fibrobasts: 0.39, iPS_cells:skin_fibroblast: 0.39, Fibroblasts:breast: 0.39 |
| T200_ATAGACCGTACGCTTA-1 | Fibroblasts:foreskin | 0.14 | 297.94 | Raw ScoresMSC: 0.4, Fibroblasts:foreskin: 0.4, Tissue_stem_cells:adipose-derived_MSC_AM3: 0.39, Smooth_muscle_cells:vascular: 0.39, Neurons:Schwann_cell: 0.39, Tissue_stem_cells:lipoma-derived_MSC: 0.39, Endothelial_cells:HUVEC:PR8-infected: 0.39, iPS_cells:skin_fibroblast: 0.39, iPS_cells:fibroblasts: 0.39, Endothelial_cells:HUVEC:H5N1-infected: 0.39 |
| T214_GCACATAGTAGCACGA-1 | Tissue_stem_cells:BM_MSC:BMP2 | 0.14 | 295.49 | Raw ScoresiPS_cells:adipose_stem_cells: 0.34, Tissue_stem_cells:BM_MSC:BMP2: 0.34, Fibroblasts:breast: 0.34, Smooth_muscle_cells:bronchial: 0.33, iPS_cells:CRL2097_foreskin: 0.33, Osteoblasts: 0.33, Tissue_stem_cells:BM_MSC:TGFb3: 0.33, Smooth_muscle_cells:vascular: 0.33, Smooth_muscle_cells:bronchial:vit_D: 0.33, Tissue_stem_cells:iliac_MSC: 0.33 |
| T162_CTAACCCCAGCTTCCT-1 | Fibroblasts:foreskin | 0.16 | 287.82 | Raw ScoresiPS_cells:foreskin_fibrobasts: 0.41, Fibroblasts:foreskin: 0.41, iPS_cells:CRL2097_foreskin: 0.41, iPS_cells:skin_fibroblast: 0.4, MSC: 0.4, iPS_cells:adipose_stem_cells: 0.4, iPS_cells:PDB_fibroblasts: 0.4, Fibroblasts:breast: 0.4, Tissue_stem_cells:BM_MSC: 0.4, Smooth_muscle_cells:vascular: 0.39 |
| T200_AGACACTAGGCCGCTT-1 | Neurons:Schwann_cell | 0.20 | 275.53 | Raw ScoresNeurons:Schwann_cell: 0.42, Fibroblasts:foreskin: 0.39, iPS_cells:skin_fibroblast: 0.39, MSC: 0.39, iPS_cells:CRL2097_foreskin: 0.39, iPS_cells:PDB_fibroblasts: 0.38, iPS_cells:foreskin_fibrobasts: 0.38, Tissue_stem_cells:BM_MSC: 0.38, Tissue_stem_cells:BM_MSC:BMP2: 0.38, Osteoblasts: 0.38 |
| T162_CAACCAAGTGGATTTC-1 | Smooth_muscle_cells:vascular | 0.17 | 254.33 | Raw ScoresiPS_cells:adipose_stem_cells: 0.38, iPS_cells:CRL2097_foreskin: 0.38, Tissue_stem_cells:BM_MSC: 0.38, Fibroblasts:foreskin: 0.38, MSC: 0.38, Fibroblasts:breast: 0.38, Smooth_muscle_cells:vascular:IL-17: 0.38, Smooth_muscle_cells:vascular: 0.38, iPS_cells:PDB_fibroblasts: 0.38, iPS_cells:skin_fibroblast: 0.38 |
| T162_TCAGCCTGTTCCACGG-1 | MSC | 0.16 | 251.05 | Raw ScoresMSC: 0.4, Tissue_stem_cells:lipoma-derived_MSC: 0.38, Smooth_muscle_cells:umbilical_vein: 0.38, Fibroblasts:foreskin: 0.38, Tissue_stem_cells:adipose-derived_MSC_AM3: 0.38, Tissue_stem_cells:dental_pulp: 0.38, iPS_cells:foreskin_fibrobasts: 0.37, Neurons:Schwann_cell: 0.37, iPS_cells:CRL2097_foreskin: 0.37, Smooth_muscle_cells:vascular: 0.37 |
| T69_GGCAATTTCGTTACGA.1 | Smooth_muscle_cells:vascular:IL-17 | 0.17 | 248.68 | Raw ScoresSmooth_muscle_cells:vascular:IL-17: 0.34, Smooth_muscle_cells:vascular: 0.33, Fibroblasts:breast: 0.33, Tissue_stem_cells:BM_MSC: 0.33, Tissue_stem_cells:BM_MSC:BMP2: 0.32, iPS_cells:adipose_stem_cells: 0.32, Tissue_stem_cells:BM_MSC:TGFb3: 0.32, Chondrocytes:MSC-derived: 0.32, Fibroblasts:foreskin: 0.31, Tissue_stem_cells:BM_MSC:osteogenic: 0.31 |
| T162_TCTGCCACATGGCACC-1 | Smooth_muscle_cells:vascular | 0.15 | 248.45 | Raw ScoresFibroblasts:foreskin: 0.37, MSC: 0.37, iPS_cells:skin_fibroblast: 0.36, Tissue_stem_cells:BM_MSC: 0.36, iPS_cells:foreskin_fibrobasts: 0.36, Smooth_muscle_cells:vascular: 0.36, iPS_cells:PDB_fibroblasts: 0.36, Tissue_stem_cells:adipose-derived_MSC_AM3: 0.36, iPS_cells:CRL2097_foreskin: 0.36, Tissue_stem_cells:lipoma-derived_MSC: 0.36 |
Below shows the significant enrichments of this GEP for literature curated gene lists
This data was procured from existing single cell RNA-seq maps of neuroblastoma or related relevant data.
High ranks indicate this gene is a driver of this GEP.
These curated gene list are ranked by the P-value (on this GEP) of their constituent genes.
The Mean Count column shows the mean read count in cells scoring highly (H > 50) on this gene expression program.
| Genes | Weight | Rank | GTEx | DepMap | Decartes | Mean.Counts | Mean.TPM |
|---|---|---|---|---|---|---|---|
| POSTN | 0.0266853 | 1 | GTEx | DepMap | Descartes | 7.14 | 477.97 |
| COL1A1 | 0.0229196 | 2 | GTEx | DepMap | Descartes | 41.87 | 1624.09 |
| COL1A2 | 0.0209718 | 3 | GTEx | DepMap | Descartes | 27.68 | 1068.65 |
| FN1 | 0.0194227 | 4 | GTEx | DepMap | Descartes | 21.78 | 512.24 |
| COL5A1 | 0.0179003 | 6 | GTEx | DepMap | Descartes | 2.72 | 75.23 |
| THBS2 | 0.0164673 | 10 | GTEx | DepMap | Descartes | 2.02 | 90.75 |
| COL3A1 | 0.0157377 | 13 | GTEx | DepMap | Descartes | 16.03 | 706.64 |
| BGN | 0.0120244 | 20 | GTEx | DepMap | Descartes | 7.99 | 756.33 |
| TNC | 0.0116712 | 21 | GTEx | DepMap | Descartes | 2.52 | 55.91 |
| COL5A2 | 0.0116344 | 22 | GTEx | DepMap | Descartes | 3.14 | 93.69 |
| THBS1 | 0.0110827 | 24 | GTEx | DepMap | Descartes | 3.06 | 73.78 |
| TAGLN | 0.0092982 | 32 | GTEx | DepMap | Descartes | 23.97 | 1108.52 |
| TPM2 | 0.0077177 | 42 | GTEx | DepMap | Descartes | 11.38 | 1297.18 |
| COL12A1 | 0.0064047 | 58 | GTEx | DepMap | Descartes | 1.31 | 19.46 |
| TPM1 | 0.0059039 | 63 | GTEx | DepMap | Descartes | 11.12 | 498.82 |
| VCAN | 0.0051682 | 75 | GTEx | DepMap | Descartes | 2.77 | 49.22 |
| COL4A1 | 0.0048199 | 85 | GTEx | DepMap | Descartes | 11.11 | 293.20 |
| MMP11 | 0.0039344 | 110 | GTEx | DepMap | Descartes | 0.82 | 57.41 |
| COL15A1 | 0.0030649 | 162 | GTEx | DepMap | Descartes | 1.25 | 46.56 |
| THY1 | 0.0026484 | 201 | GTEx | DepMap | Descartes | 7.51 | 319.59 |
| VEGFA | 0.0025638 | 207 | GTEx | DepMap | Descartes | 0.62 | 12.33 |
| ACTA2 | 0.0016972 | 334 | GTEx | DepMap | Descartes | 14.32 | 1426.99 |
| TMEM119 | 0.0016281 | 350 | GTEx | DepMap | Descartes | 0.20 | 19.27 |
| MYL9 | 0.0015767 | 363 | GTEx | DepMap | Descartes | 7.36 | 453.63 |
| TGFB1 | 0.0014679 | 393 | GTEx | DepMap | Descartes | 1.22 | 93.84 |
| MYLK | 0.0014343 | 401 | GTEx | DepMap | Descartes | 1.81 | 30.27 |
| MMP2 | 0.0014263 | 404 | GTEx | DepMap | Descartes | 1.27 | 87.29 |
| CNN2 | 0.0013739 | 429 | GTEx | DepMap | Descartes | 0.76 | 60.29 |
| CNN3 | 0.0012696 | 467 | GTEx | DepMap | Descartes | 3.53 | 332.14 |
| COL11A1 | 0.0012470 | 478 | GTEx | DepMap | Descartes | 0.25 | 7.50 |
| TGFB2 | 0.0010723 | 564 | GTEx | DepMap | Descartes | 0.24 | 6.15 |
| COL13A1 | 0.0007352 | 831 | GTEx | DepMap | Descartes | 0.04 | 2.25 |
| TGFBR1 | 0.0005585 | 1048 | GTEx | DepMap | Descartes | 0.24 | 6.90 |
| TGFBR2 | 0.0005047 | 1155 | GTEx | DepMap | Descartes | 0.85 | 29.64 |
| LUM | 0.0004614 | 1239 | GTEx | DepMap | Descartes | 4.61 | 490.99 |
| IGFBP7 | 0.0004109 | 1373 | GTEx | DepMap | Descartes | 54.32 | 7379.00 |
| COL8A1 | 0.0003673 | 1532 | GTEx | DepMap | Descartes | 1.51 | 44.78 |
| COL14A1 | 0.0002021 | 2334 | GTEx | DepMap | Descartes | 0.50 | 13.07 |
| WNT5A | 0.0001947 | 2391 | GTEx | DepMap | Descartes | 0.07 | 1.84 |
| HOPX | 0.0000615 | 3817 | GTEx | DepMap | Descartes | 0.23 | 16.66 |
| DCN | 0.0000279 | 4347 | GTEx | DepMap | Descartes | 5.62 | 181.84 |
| COL10A1 | -0.0000133 | 5281 | GTEx | DepMap | Descartes | 0.00 | 0.00 |
| IGFBP3 | -0.0000690 | 6959 | GTEx | DepMap | Descartes | 0.98 | 54.41 |
| ITGA7 | -0.0000796 | 7284 | GTEx | DepMap | Descartes | 0.24 | 9.48 |
| PGF | -0.0007067 | 12458 | GTEx | DepMap | Descartes | 1.21 | 66.84 |
| MEF2C | -0.0007400 | 12475 | GTEx | DepMap | Descartes | 1.09 | 28.90 |
| RGS5 | -0.0008510 | 12505 | GTEx | DepMap | Descartes | 5.03 | 179.78 |
| MYH11 | -0.0012549 | 12535 | GTEx | DepMap | Descartes | 0.45 | 7.02 |
| ACTG2 | -0.0026012 | 12549 | GTEx | DepMap | Descartes | 2.14 | 108.33 |
Mesenchymal Fig 1D (Olsen)
Selected mesenchymal marker genes shown in Fig. 1D of Olsen et al. https://www.biorxiv.org/content/10.1101/2020.05.04.077057v1 - these are highly expressed in their mesenchymal cluster on their UMAP.:
Wilcoxon ranksum test P-value for gene set overrepresentation: 1.43e-08
Mean rank of genes in gene set: 701.23
Rank on gene expression program of genes in gene set:
| Genes | Weight | Rank | GTEx | DepMap | Decartes | Mean.Counts | Mean.TPM |
|---|---|---|---|---|---|---|---|
| COL1A1 | 0.0229196 | 2 | GTEx | DepMap | Descartes | 41.87 | 1624.09 |
| COL1A2 | 0.0209718 | 3 | GTEx | DepMap | Descartes | 27.68 | 1068.65 |
| COL3A1 | 0.0157377 | 13 | GTEx | DepMap | Descartes | 16.03 | 706.64 |
| COL6A2 | 0.0124972 | 18 | GTEx | DepMap | Descartes | 10.27 | 656.45 |
| BGN | 0.0120244 | 20 | GTEx | DepMap | Descartes | 7.99 | 756.33 |
| SPARC | 0.0108130 | 27 | GTEx | DepMap | Descartes | 26.81 | 1596.61 |
| PRRX1 | 0.0056978 | 67 | GTEx | DepMap | Descartes | 1.01 | 55.09 |
| CALD1 | 0.0043513 | 96 | GTEx | DepMap | Descartes | 16.09 | 546.13 |
| MGP | 0.0007771 | 794 | GTEx | DepMap | Descartes | 14.30 | 2016.04 |
| PDGFRA | 0.0004745 | 1212 | GTEx | DepMap | Descartes | 0.51 | 19.41 |
| LUM | 0.0004614 | 1239 | GTEx | DepMap | Descartes | 4.61 | 490.99 |
| LEPR | 0.0004435 | 1278 | GTEx | DepMap | Descartes | 0.13 | 3.64 |
| DCN | 0.0000279 | 4347 | GTEx | DepMap | Descartes | 5.62 | 181.84 |
Bridge region mesencchymal (Olsen)
Marker genes shown in Fig. 3A of Olsen et al. https://www.biorxiv.org/content/10.1101/2020.05.04.077057v1 - Cells were ordered by pseudotime in the bridge region, this first group of cells were from the mesenchymal part of the trajectory.:
Wilcoxon ranksum test P-value for gene set overrepresentation: 1.64e-05
Mean rank of genes in gene set: 2104.92
Rank on gene expression program of genes in gene set:
| Genes | Weight | Rank | GTEx | DepMap | Decartes | Mean.Counts | Mean.TPM |
|---|---|---|---|---|---|---|---|
| COL1A2 | 0.0209718 | 3 | GTEx | DepMap | Descartes | 27.68 | 1068.65 |
| BGN | 0.0120244 | 20 | GTEx | DepMap | Descartes | 7.99 | 756.33 |
| FGF1 | 0.0064599 | 56 | GTEx | DepMap | Descartes | 0.22 | 15.52 |
| PRRX1 | 0.0056978 | 67 | GTEx | DepMap | Descartes | 1.01 | 55.09 |
| CALD1 | 0.0043513 | 96 | GTEx | DepMap | Descartes | 16.09 | 546.13 |
| PODXL | 0.0006042 | 987 | GTEx | DepMap | Descartes | 0.51 | 14.57 |
| PDGFRA | 0.0004745 | 1212 | GTEx | DepMap | Descartes | 0.51 | 19.41 |
| LUM | 0.0004614 | 1239 | GTEx | DepMap | Descartes | 4.61 | 490.99 |
| NPNT | 0.0004187 | 1347 | GTEx | DepMap | Descartes | 0.11 | 3.11 |
| KLF4 | 0.0001402 | 2879 | GTEx | DepMap | Descartes | 0.68 | 41.80 |
| MAFF | 0.0000344 | 4241 | GTEx | DepMap | Descartes | 0.56 | 29.83 |
| MYC | -0.0000399 | 6075 | GTEx | DepMap | Descartes | 0.61 | 29.67 |
| TNNT2 | -0.0001445 | 9142 | GTEx | DepMap | Descartes | 0.00 | 0.00 |
Below shows ranks on this GEP for literature curated gene lists for large gene sets
These include those reported as mesenchymal/adrenergic by Van Groningen et al.
High ranks indicate this gene is a driver of this GEP (note these results are not ordered).
The Mean Count column shows the mean read count in cells scoring highly (H > 50) on this gene expression program.
VanGroningen Adrenergic Genes
Adrenergic marker genes from Supplementary Table 2 of Van Groningen et al. Nature Genetics 2017. These genes were identified by differential expression analysis of mesenchymal-like and adrenergic-like neuroblastoma cell lines.
Wilcoxon ranksum test P-value for gene set overrepresentation: 1.00e+00
Mean rank of genes in gene set: 10306.95
Median rank of genes in gene set: 11569
Rank on gene expression program of top 30 genes in gene set:
| Genes | Weight | Rank | GTEx | DepMap | Descartes | Mean.Counts | Mean.TPM |
|---|---|---|---|---|---|---|---|
| STRA6 | 0.0011976 | 505 | GTEx | DepMap | Descartes | 0.07 | 4.89 |
| TUBB4B | 0.0006743 | 903 | GTEx | DepMap | Descartes | 2.95 | 269.75 |
| DPYSL3 | 0.0004111 | 1372 | GTEx | DepMap | Descartes | 1.07 | 36.10 |
| CSE1L | 0.0003994 | 1411 | GTEx | DepMap | Descartes | 0.34 | 16.26 |
| SETD7 | 0.0003332 | 1645 | GTEx | DepMap | Descartes | 0.26 | 6.53 |
| CDKN3 | 0.0003324 | 1650 | GTEx | DepMap | Descartes | 0.59 | 110.78 |
| PHPT1 | 0.0003199 | 1703 | GTEx | DepMap | Descartes | 3.95 | 544.88 |
| GNB1 | 0.0003132 | 1738 | GTEx | DepMap | Descartes | 1.61 | 91.08 |
| GLRX | 0.0003117 | 1746 | GTEx | DepMap | Descartes | 0.74 | 39.28 |
| RRM2 | 0.0002333 | 2132 | GTEx | DepMap | Descartes | 0.34 | 15.66 |
| NCS1 | 0.0001864 | 2464 | GTEx | DepMap | Descartes | 0.55 | 17.01 |
| HK2 | 0.0001749 | 2540 | GTEx | DepMap | Descartes | 0.11 | 3.73 |
| FOXM1 | 0.0001517 | 2765 | GTEx | DepMap | Descartes | 0.20 | 9.40 |
| PDK1 | 0.0001490 | 2792 | GTEx | DepMap | Descartes | 0.09 | 1.06 |
| EXOC5 | 0.0001299 | 2970 | GTEx | DepMap | Descartes | 0.36 | 6.80 |
| AKAP12 | 0.0000913 | 3405 | GTEx | DepMap | Descartes | 1.88 | 36.15 |
| NFIL3 | 0.0000597 | 3850 | GTEx | DepMap | Descartes | 0.31 | 30.88 |
| GGCT | 0.0000364 | 4203 | GTEx | DepMap | Descartes | 0.88 | 127.74 |
| GRB10 | 0.0000324 | 4259 | GTEx | DepMap | Descartes | 0.22 | 8.95 |
| EML4 | 0.0000318 | 4270 | GTEx | DepMap | Descartes | 0.38 | 13.45 |
| MCM2 | 0.0000177 | 4553 | GTEx | DepMap | Descartes | 0.13 | 4.66 |
| SHC3 | 0.0000174 | 4561 | GTEx | DepMap | Descartes | 0.02 | 0.30 |
| KIF15 | 0.0000136 | 4627 | GTEx | DepMap | Descartes | 0.05 | 2.46 |
| RFC4 | 0.0000043 | 4816 | GTEx | DepMap | Descartes | 0.22 | 22.46 |
| NPTX2 | 0.0000023 | 4865 | GTEx | DepMap | Descartes | 0.08 | 6.64 |
| FBXO8 | -0.0000139 | 5297 | GTEx | DepMap | Descartes | 0.28 | 24.72 |
| LSM3 | -0.0000152 | 5337 | GTEx | DepMap | Descartes | 2.27 | 119.53 |
| CDC42EP3 | -0.0000189 | 5446 | GTEx | DepMap | Descartes | 0.60 | 21.01 |
| TIAM1 | -0.0000208 | 5511 | GTEx | DepMap | Descartes | 0.20 | 5.55 |
| LYN | -0.0000239 | 5600 | GTEx | DepMap | Descartes | 0.15 | 3.62 |
VanGroningen Mesenchymal Genes
Mesenchymal marker genes from Supplementary Table 2 of Van Groningen et al. Nature Genetics 2017. These genes were identified by differential expression analysis of mesenchymal-like and adrenergic-like neuroblastoma cell lines.
Wilcoxon ranksum test P-value for gene set overrepresentation: 3.48e-114
Mean rank of genes in gene set: 2404.34
Median rank of genes in gene set: 901
Rank on gene expression program of top 30 genes in gene set:
| Genes | Weight | Rank | GTEx | DepMap | Descartes | Mean.Counts | Mean.TPM |
|---|---|---|---|---|---|---|---|
| POSTN | 0.0266853 | 1 | GTEx | DepMap | Descartes | 7.14 | 477.97 |
| COL1A1 | 0.0229196 | 2 | GTEx | DepMap | Descartes | 41.87 | 1624.09 |
| FN1 | 0.0194227 | 4 | GTEx | DepMap | Descartes | 21.78 | 512.24 |
| COL6A3 | 0.0192235 | 5 | GTEx | DepMap | Descartes | 4.23 | 100.11 |
| COL5A1 | 0.0179003 | 6 | GTEx | DepMap | Descartes | 2.72 | 75.23 |
| LOXL2 | 0.0162635 | 11 | GTEx | DepMap | Descartes | 1.64 | 93.14 |
| COL3A1 | 0.0157377 | 13 | GTEx | DepMap | Descartes | 16.03 | 706.64 |
| CCDC80 | 0.0128195 | 17 | GTEx | DepMap | Descartes | 5.03 | 99.53 |
| COL6A2 | 0.0124972 | 18 | GTEx | DepMap | Descartes | 10.27 | 656.45 |
| BGN | 0.0120244 | 20 | GTEx | DepMap | Descartes | 7.99 | 756.33 |
| TNC | 0.0116712 | 21 | GTEx | DepMap | Descartes | 2.52 | 55.91 |
| COL5A2 | 0.0116344 | 22 | GTEx | DepMap | Descartes | 3.14 | 93.69 |
| TIMP1 | 0.0113753 | 23 | GTEx | DepMap | Descartes | 59.35 | 10946.50 |
| THBS1 | 0.0110827 | 24 | GTEx | DepMap | Descartes | 3.06 | 73.78 |
| LGALS1 | 0.0110307 | 25 | GTEx | DepMap | Descartes | 51.04 | 16051.62 |
| SPARC | 0.0108130 | 27 | GTEx | DepMap | Descartes | 26.81 | 1596.61 |
| FBN1 | 0.0107290 | 28 | GTEx | DepMap | Descartes | 1.39 | 27.74 |
| COL6A1 | 0.0105974 | 29 | GTEx | DepMap | Descartes | 7.15 | 347.83 |
| SERPINH1 | 0.0098135 | 30 | GTEx | DepMap | Descartes | 4.13 | 226.23 |
| PLOD2 | 0.0094017 | 31 | GTEx | DepMap | Descartes | 0.93 | 52.44 |
| MICAL2 | 0.0085984 | 36 | GTEx | DepMap | Descartes | 0.59 | 23.13 |
| FSTL1 | 0.0082558 | 38 | GTEx | DepMap | Descartes | 2.84 | 99.93 |
| TPM2 | 0.0077177 | 42 | GTEx | DepMap | Descartes | 11.38 | 1297.18 |
| KDELR3 | 0.0075803 | 43 | GTEx | DepMap | Descartes | 0.86 | 84.24 |
| FLNA | 0.0075326 | 44 | GTEx | DepMap | Descartes | 4.74 | 112.41 |
| VIM | 0.0070253 | 45 | GTEx | DepMap | Descartes | 62.85 | 4335.51 |
| PPIC | 0.0068987 | 47 | GTEx | DepMap | Descartes | 1.30 | 195.21 |
| GPX8 | 0.0067753 | 48 | GTEx | DepMap | Descartes | 0.95 | 51.12 |
| EMILIN1 | 0.0067363 | 49 | GTEx | DepMap | Descartes | 1.66 | 108.73 |
| MRC2 | 0.0064169 | 57 | GTEx | DepMap | Descartes | 0.53 | 20.25 |
Descartes adrenocortical markers
Top 50 marker genes of adrenocortical cells in the Decartes fetal adrenal single cell map (https://atlas.brotmanbaty.org/bbi/human-gene-expression-during-development/cell/adrenocortical/in/adrenal)
Wilcoxon ranksum test P-value for gene set overrepresentation: 9.64e-01
Mean rank of genes in gene set: 7361.5
Median rank of genes in gene set: 7433.5
Rank on gene expression program of top 30 genes in gene set:
| Genes | Weight | Rank | GTEx | DepMap | Descartes | Mean.Counts | Mean.TPM |
|---|---|---|---|---|---|---|---|
| PAPSS2 | 0.0027728 | 182 | GTEx | DepMap | Descartes | 0.36 | 15.65 |
| SH3PXD2B | 0.0005872 | 1017 | GTEx | DepMap | Descartes | 0.21 | 4.29 |
| IGF1R | 0.0002652 | 1948 | GTEx | DepMap | Descartes | 0.32 | 3.60 |
| FREM2 | 0.0001974 | 2364 | GTEx | DepMap | Descartes | 0.02 | 0.13 |
| POR | 0.0001914 | 2417 | GTEx | DepMap | Descartes | 0.33 | 24.96 |
| SCAP | 0.0001121 | 3158 | GTEx | DepMap | Descartes | 0.21 | 7.87 |
| LDLR | 0.0000689 | 3720 | GTEx | DepMap | Descartes | 0.25 | 7.38 |
| GRAMD1B | 0.0000305 | 4300 | GTEx | DepMap | Descartes | 0.09 | 1.94 |
| DHCR7 | 0.0000264 | 4384 | GTEx | DepMap | Descartes | 0.07 | 4.40 |
| NPC1 | 0.0000004 | 4903 | GTEx | DepMap | Descartes | 0.10 | 4.38 |
| FRMD5 | -0.0000100 | 5188 | GTEx | DepMap | Descartes | 0.10 | 2.46 |
| STAR | -0.0000112 | 5216 | GTEx | DepMap | Descartes | 0.01 | 0.29 |
| PDE10A | -0.0000179 | 5417 | GTEx | DepMap | Descartes | 0.09 | 2.41 |
| CYB5B | -0.0000199 | 5472 | GTEx | DepMap | Descartes | 0.36 | 16.55 |
| SH3BP5 | -0.0000284 | 5750 | GTEx | DepMap | Descartes | 0.70 | 39.82 |
| FDXR | -0.0000627 | 6767 | GTEx | DepMap | Descartes | 0.14 | 10.24 |
| BAIAP2L1 | -0.0000702 | 7008 | GTEx | DepMap | Descartes | 0.01 | 0.21 |
| INHA | -0.0000774 | 7227 | GTEx | DepMap | Descartes | 0.00 | 0.00 |
| ERN1 | -0.0000908 | 7640 | GTEx | DepMap | Descartes | 0.14 | 2.66 |
| SGCZ | -0.0001150 | 8344 | GTEx | DepMap | Descartes | 0.00 | 0.00 |
| DHCR24 | -0.0001358 | 8908 | GTEx | DepMap | Descartes | 0.12 | 3.87 |
| SLC16A9 | -0.0001399 | 9018 | GTEx | DepMap | Descartes | 0.03 | 1.22 |
| FDPS | -0.0001487 | 9265 | GTEx | DepMap | Descartes | 1.13 | 91.84 |
| SCARB1 | -0.0001581 | 9496 | GTEx | DepMap | Descartes | 0.06 | 1.33 |
| HMGCR | -0.0001727 | 9821 | GTEx | DepMap | Descartes | 0.15 | 5.80 |
| MSMO1 | -0.0001902 | 10159 | GTEx | DepMap | Descartes | 0.21 | 12.56 |
| HMGCS1 | -0.0002334 | 10880 | GTEx | DepMap | Descartes | 0.22 | 7.27 |
| APOC1 | -0.0002387 | 10946 | GTEx | DepMap | Descartes | 2.80 | 719.42 |
| PEG3 | -0.0002833 | 11440 | GTEx | DepMap | Descartes | 0.18 | NA |
| FDX1 | -0.0002894 | 11489 | GTEx | DepMap | Descartes | 0.62 | 36.56 |
Descartes chromaffin markers
Top 50 marker genes of chromaffin cells in the Decartes fetal adrenal single cell map (https://atlas.brotmanbaty.org/bbi/human-gene-expression-during-development/cell/chromaffin/in/adrenal)
Wilcoxon ranksum test P-value for gene set overrepresentation: 1.00e+00
Mean rank of genes in gene set: 10767
Median rank of genes in gene set: 11645
Rank on gene expression program of top 30 genes in gene set:
| Genes | Weight | Rank | GTEx | DepMap | Descartes | Mean.Counts | Mean.TPM |
|---|---|---|---|---|---|---|---|
| GREM1 | 0.0054888 | 69 | GTEx | DepMap | Descartes | 0.48 | 8.42 |
| FAT3 | -0.0000100 | 5186 | GTEx | DepMap | Descartes | 0.10 | 1.46 |
| RGMB | -0.0000213 | 5523 | GTEx | DepMap | Descartes | 0.26 | 9.63 |
| SLC44A5 | -0.0000896 | 7603 | GTEx | DepMap | Descartes | 0.00 | 0.00 |
| ANKFN1 | -0.0001057 | 8067 | GTEx | DepMap | Descartes | 0.00 | 0.00 |
| EPHA6 | -0.0001231 | 8569 | GTEx | DepMap | Descartes | 0.02 | 0.30 |
| RPH3A | -0.0001513 | 9341 | GTEx | DepMap | Descartes | 0.01 | 0.13 |
| ALK | -0.0001661 | 9674 | GTEx | DepMap | Descartes | 0.03 | 0.70 |
| RYR2 | -0.0001680 | 9714 | GTEx | DepMap | Descartes | 0.06 | 0.25 |
| HS3ST5 | -0.0001819 | 10023 | GTEx | DepMap | Descartes | 0.01 | 0.11 |
| CNKSR2 | -0.0001996 | 10324 | GTEx | DepMap | Descartes | 0.05 | 0.68 |
| KCNB2 | -0.0002264 | 10771 | GTEx | DepMap | Descartes | 0.03 | 0.54 |
| PTCHD1 | -0.0002306 | 10832 | GTEx | DepMap | Descartes | 0.05 | 0.23 |
| TMEFF2 | -0.0002382 | 10940 | GTEx | DepMap | Descartes | 0.10 | 2.72 |
| PLXNA4 | -0.0002451 | 11039 | GTEx | DepMap | Descartes | 0.07 | 0.81 |
| EYA1 | -0.0002460 | 11051 | GTEx | DepMap | Descartes | 0.03 | 0.38 |
| EYA4 | -0.0002633 | 11257 | GTEx | DepMap | Descartes | 0.01 | 0.07 |
| REEP1 | -0.0002867 | 11469 | GTEx | DepMap | Descartes | 0.14 | 4.38 |
| TMEM132C | -0.0002971 | 11541 | GTEx | DepMap | Descartes | 0.01 | 0.36 |
| SLC6A2 | -0.0003013 | 11574 | GTEx | DepMap | Descartes | 0.05 | 1.48 |
| RBFOX1 | -0.0003112 | 11645 | GTEx | DepMap | Descartes | 0.01 | 0.62 |
| NTRK1 | -0.0003232 | 11719 | GTEx | DepMap | Descartes | 0.10 | 2.76 |
| MAB21L2 | -0.0003272 | 11760 | GTEx | DepMap | Descartes | 0.38 | 15.18 |
| SYNPO2 | -0.0003292 | 11773 | GTEx | DepMap | Descartes | 0.46 | 5.34 |
| IL7 | -0.0003571 | 11925 | GTEx | DepMap | Descartes | 0.18 | 10.70 |
| NPY | -0.0004373 | 12193 | GTEx | DepMap | Descartes | 4.39 | 614.25 |
| CNTFR | -0.0004394 | 12201 | GTEx | DepMap | Descartes | 0.12 | 5.21 |
| GAL | -0.0004427 | 12209 | GTEx | DepMap | Descartes | 0.35 | 75.40 |
| ELAVL2 | -0.0004515 | 12225 | GTEx | DepMap | Descartes | 0.38 | 10.13 |
| GAP43 | -0.0005182 | 12330 | GTEx | DepMap | Descartes | 1.17 | 85.55 |
Descartes Vascular_endothelial markers
Top 50 marker genes of Vascular_endothelial cells in the Decartes fetal adrenal single cell map (https://atlas.brotmanbaty.org/bbi/human-gene-expression-during-development/cell/vascular_endothelial/in/adrenal)
Wilcoxon ranksum test P-value for gene set overrepresentation: 4.15e-01
Mean rank of genes in gene set: 6149.39
Median rank of genes in gene set: 6509
Rank on gene expression program of top 30 genes in gene set:
| Genes | Weight | Rank | GTEx | DepMap | Descartes | Mean.Counts | Mean.TPM |
|---|---|---|---|---|---|---|---|
| CDH13 | 0.0041800 | 101 | GTEx | DepMap | Descartes | 0.49 | 10.20 |
| EHD3 | 0.0014190 | 407 | GTEx | DepMap | Descartes | 0.10 | 5.41 |
| TEK | 0.0013010 | 453 | GTEx | DepMap | Descartes | 0.09 | 3.23 |
| PTPRB | 0.0010469 | 578 | GTEx | DepMap | Descartes | 0.30 | 3.63 |
| RASIP1 | 0.0007565 | 817 | GTEx | DepMap | Descartes | 0.19 | 11.14 |
| PODXL | 0.0006042 | 987 | GTEx | DepMap | Descartes | 0.51 | 14.57 |
| NPR1 | 0.0004743 | 1213 | GTEx | DepMap | Descartes | 0.05 | 2.36 |
| SHE | 0.0003188 | 1710 | GTEx | DepMap | Descartes | 0.09 | 2.84 |
| F8 | 0.0001047 | 3230 | GTEx | DepMap | Descartes | 0.03 | 0.53 |
| NR5A2 | 0.0001006 | 3282 | GTEx | DepMap | Descartes | 0.01 | 0.54 |
| CDH5 | 0.0000602 | 3843 | GTEx | DepMap | Descartes | 0.43 | 17.61 |
| SLCO2A1 | 0.0000461 | 4061 | GTEx | DepMap | Descartes | 0.06 | 2.66 |
| TIE1 | 0.0000243 | 4417 | GTEx | DepMap | Descartes | 0.16 | 7.44 |
| BTNL9 | 0.0000144 | 4614 | GTEx | DepMap | Descartes | 0.01 | 0.23 |
| CYP26B1 | 0.0000018 | 4877 | GTEx | DepMap | Descartes | 0.19 | 4.56 |
| CLDN5 | -0.0000110 | 5211 | GTEx | DepMap | Descartes | 0.86 | 54.97 |
| SHANK3 | -0.0000111 | 5214 | GTEx | DepMap | Descartes | 0.03 | 0.46 |
| ID1 | -0.0000456 | 6250 | GTEx | DepMap | Descartes | 1.16 | 190.27 |
| CRHBP | -0.0000511 | 6434 | GTEx | DepMap | Descartes | 0.03 | 2.47 |
| MYRIP | -0.0000564 | 6584 | GTEx | DepMap | Descartes | 0.01 | 0.36 |
| CEACAM1 | -0.0000619 | 6730 | GTEx | DepMap | Descartes | 0.00 | 0.00 |
| CALCRL | -0.0000710 | 7032 | GTEx | DepMap | Descartes | 0.22 | 7.44 |
| GALNT15 | -0.0000718 | 7061 | GTEx | DepMap | Descartes | 0.03 | NA |
| TMEM88 | -0.0000805 | 7313 | GTEx | DepMap | Descartes | 0.05 | 5.81 |
| MMRN2 | -0.0000896 | 7602 | GTEx | DepMap | Descartes | 0.20 | 7.24 |
| ROBO4 | -0.0000910 | 7643 | GTEx | DepMap | Descartes | 0.23 | 8.87 |
| ESM1 | -0.0001298 | 8749 | GTEx | DepMap | Descartes | 0.36 | 22.08 |
| FLT4 | -0.0001496 | 9291 | GTEx | DepMap | Descartes | 0.09 | 3.96 |
| IRX3 | -0.0001515 | 9344 | GTEx | DepMap | Descartes | 0.03 | 2.49 |
| NOTCH4 | -0.0001755 | 9886 | GTEx | DepMap | Descartes | 0.29 | 6.96 |
Descartes stromal markers
Top 50 marker genes of stromal cells in the Decartes fetal adrenal single cell map (https://atlas.brotmanbaty.org/bbi/human-gene-expression-during-development/cell/stromal/in/adrenal)
Wilcoxon ranksum test P-value for gene set overrepresentation: 1.84e-13
Mean rank of genes in gene set: 2313.02
Median rank of genes in gene set: 553.5
Rank on gene expression program of top 30 genes in gene set:
| Genes | Weight | Rank | GTEx | DepMap | Descartes | Mean.Counts | Mean.TPM |
|---|---|---|---|---|---|---|---|
| POSTN | 0.0266853 | 1 | GTEx | DepMap | Descartes | 7.14 | 477.97 |
| COL1A1 | 0.0229196 | 2 | GTEx | DepMap | Descartes | 41.87 | 1624.09 |
| COL1A2 | 0.0209718 | 3 | GTEx | DepMap | Descartes | 27.68 | 1068.65 |
| COL6A3 | 0.0192235 | 5 | GTEx | DepMap | Descartes | 4.23 | 100.11 |
| LOX | 0.0169898 | 9 | GTEx | DepMap | Descartes | 1.41 | 65.63 |
| COL3A1 | 0.0157377 | 13 | GTEx | DepMap | Descartes | 16.03 | 706.64 |
| CCDC80 | 0.0128195 | 17 | GTEx | DepMap | Descartes | 5.03 | 99.53 |
| ITGA11 | 0.0065499 | 53 | GTEx | DepMap | Descartes | 0.22 | 5.36 |
| COL12A1 | 0.0064047 | 58 | GTEx | DepMap | Descartes | 1.31 | 19.46 |
| PRRX1 | 0.0056978 | 67 | GTEx | DepMap | Descartes | 1.01 | 55.09 |
| ISLR | 0.0037802 | 122 | GTEx | DepMap | Descartes | 0.43 | 50.00 |
| CDH11 | 0.0032645 | 147 | GTEx | DepMap | Descartes | 1.07 | 34.00 |
| CD248 | 0.0029727 | 167 | GTEx | DepMap | Descartes | 0.63 | 52.21 |
| EDNRA | 0.0024719 | 216 | GTEx | DepMap | Descartes | 0.54 | 29.29 |
| ADAMTS2 | 0.0023746 | 231 | GTEx | DepMap | Descartes | 0.39 | 9.94 |
| LRRC17 | 0.0020803 | 267 | GTEx | DepMap | Descartes | 0.11 | 10.57 |
| COL27A1 | 0.0017353 | 324 | GTEx | DepMap | Descartes | 0.20 | 5.77 |
| ACTA2 | 0.0016972 | 334 | GTEx | DepMap | Descartes | 14.32 | 1426.99 |
| GLI2 | 0.0015660 | 364 | GTEx | DepMap | Descartes | 0.08 | 3.57 |
| BICC1 | 0.0012918 | 457 | GTEx | DepMap | Descartes | 0.31 | 12.47 |
| ABCA6 | 0.0011991 | 504 | GTEx | DepMap | Descartes | 0.21 | 6.11 |
| PCDH18 | 0.0011131 | 539 | GTEx | DepMap | Descartes | 0.29 | 11.08 |
| PCOLCE | 0.0010637 | 568 | GTEx | DepMap | Descartes | 2.43 | 359.95 |
| MGP | 0.0007771 | 794 | GTEx | DepMap | Descartes | 14.30 | 2016.04 |
| C7 | 0.0007499 | 820 | GTEx | DepMap | Descartes | 0.38 | 14.91 |
| DKK2 | 0.0006251 | 956 | GTEx | DepMap | Descartes | 0.03 | 1.88 |
| ELN | 0.0005996 | 995 | GTEx | DepMap | Descartes | 0.57 | 29.65 |
| PDGFRA | 0.0004745 | 1212 | GTEx | DepMap | Descartes | 0.51 | 19.41 |
| LUM | 0.0004614 | 1239 | GTEx | DepMap | Descartes | 4.61 | 490.99 |
| ADAMTSL3 | 0.0003564 | 1559 | GTEx | DepMap | Descartes | 0.05 | 1.67 |
Descartes sympathoblasts markers
Top 50 marker genes of sympathoblasts cells in the Decartes fetal adrenal single cell map (https://atlas.brotmanbaty.org/bbi/human-gene-expression-during-development/cell/sympathoblasts/in/adrenal)
Wilcoxon ranksum test P-value for gene set overrepresentation: 1.00e+00
Mean rank of genes in gene set: 8676.76
Median rank of genes in gene set: 9088
Rank on gene expression program of top 30 genes in gene set:
| Genes | Weight | Rank | GTEx | DepMap | Descartes | Mean.Counts | Mean.TPM |
|---|---|---|---|---|---|---|---|
| ROBO1 | 0.0004064 | 1385 | GTEx | DepMap | Descartes | 0.39 | 8.83 |
| PENK | 0.0002130 | 2250 | GTEx | DepMap | Descartes | 0.30 | 68.76 |
| LAMA3 | 0.0000206 | 4498 | GTEx | DepMap | Descartes | 0.03 | 0.60 |
| ST18 | -0.0000166 | 5379 | GTEx | DepMap | Descartes | 0.02 | 0.58 |
| TIAM1 | -0.0000208 | 5511 | GTEx | DepMap | Descartes | 0.20 | 5.55 |
| SORCS3 | -0.0000403 | 6087 | GTEx | DepMap | Descartes | 0.01 | 0.22 |
| AGBL4 | -0.0000423 | 6151 | GTEx | DepMap | Descartes | 0.03 | 0.72 |
| SLC24A2 | -0.0000489 | 6356 | GTEx | DepMap | Descartes | 0.00 | 0.00 |
| GRM7 | -0.0000546 | 6518 | GTEx | DepMap | Descartes | 0.00 | 0.00 |
| SLC35F3 | -0.0000713 | 7041 | GTEx | DepMap | Descartes | 0.00 | 0.00 |
| CDH18 | -0.0000747 | 7150 | GTEx | DepMap | Descartes | 0.00 | 0.00 |
| CNTN3 | -0.0000756 | 7180 | GTEx | DepMap | Descartes | 0.01 | 0.12 |
| TBX20 | -0.0000894 | 7593 | GTEx | DepMap | Descartes | 0.00 | 0.00 |
| DGKK | -0.0000928 | 7694 | GTEx | DepMap | Descartes | 0.00 | 0.00 |
| CCSER1 | -0.0001054 | 8057 | GTEx | DepMap | Descartes | 0.01 | NA |
| TENM1 | -0.0001155 | 8357 | GTEx | DepMap | Descartes | 0.01 | NA |
| CDH12 | -0.0001254 | 8625 | GTEx | DepMap | Descartes | 0.00 | 0.00 |
| PACRG | -0.0001357 | 8907 | GTEx | DepMap | Descartes | 0.01 | 0.24 |
| EML6 | -0.0001378 | 8965 | GTEx | DepMap | Descartes | 0.02 | 0.24 |
| FGF14 | -0.0001468 | 9211 | GTEx | DepMap | Descartes | 0.01 | 0.03 |
| KSR2 | -0.0001558 | 9441 | GTEx | DepMap | Descartes | 0.03 | 0.14 |
| SPOCK3 | -0.0001590 | 9513 | GTEx | DepMap | Descartes | 0.02 | 0.38 |
| PCSK2 | -0.0001673 | 9699 | GTEx | DepMap | Descartes | 0.03 | 0.87 |
| GALNTL6 | -0.0001713 | 9793 | GTEx | DepMap | Descartes | 0.01 | 0.11 |
| GRID2 | -0.0001867 | 10100 | GTEx | DepMap | Descartes | 0.05 | 0.49 |
| NTNG1 | -0.0001888 | 10137 | GTEx | DepMap | Descartes | 0.13 | 2.69 |
| SLC18A1 | -0.0002050 | 10407 | GTEx | DepMap | Descartes | 0.05 | 1.93 |
| MGAT4C | -0.0002133 | 10543 | GTEx | DepMap | Descartes | 0.07 | 0.17 |
| FAM155A | -0.0002191 | 10644 | GTEx | DepMap | Descartes | 0.17 | 2.14 |
| UNC80 | -0.0002543 | 11151 | GTEx | DepMap | Descartes | 0.07 | 0.98 |
Descartes erythroblasts markers
Top 50 marker genes of erythroblasts cells in the Decartes fetal adrenal single cell map (https://atlas.brotmanbaty.org/bbi/human-gene-expression-during-development/cell/erythroblasts/in/adrenal)
Wilcoxon ranksum test P-value for gene set overrepresentation: 3.98e-01
Mean rank of genes in gene set: 6101.48
Median rank of genes in gene set: 5437
Rank on gene expression program of top 30 genes in gene set:
| Genes | Weight | Rank | GTEx | DepMap | Descartes | Mean.Counts | Mean.TPM |
|---|---|---|---|---|---|---|---|
| MICAL2 | 0.0085984 | 36 | GTEx | DepMap | Descartes | 0.59 | 23.13 |
| MARCH3 | 0.0017335 | 325 | GTEx | DepMap | Descartes | 0.26 | NA |
| GYPC | 0.0007646 | 807 | GTEx | DepMap | Descartes | 1.63 | 170.25 |
| TSPAN5 | 0.0003112 | 1747 | GTEx | DepMap | Descartes | 0.71 | 34.47 |
| BLVRB | 0.0003068 | 1765 | GTEx | DepMap | Descartes | 0.76 | 105.06 |
| SLC25A37 | 0.0002447 | 2067 | GTEx | DepMap | Descartes | 0.49 | 20.19 |
| CPOX | 0.0002224 | 2192 | GTEx | DepMap | Descartes | 0.14 | 8.33 |
| TRAK2 | 0.0001784 | 2512 | GTEx | DepMap | Descartes | 0.16 | 4.95 |
| SELENBP1 | 0.0000496 | 3991 | GTEx | DepMap | Descartes | 0.12 | 11.19 |
| ABCB10 | 0.0000495 | 3994 | GTEx | DepMap | Descartes | 0.07 | 3.35 |
| GCLC | 0.0000089 | 4711 | GTEx | DepMap | Descartes | 0.11 | 7.08 |
| ALAS2 | 0.0000040 | 4822 | GTEx | DepMap | Descartes | 0.00 | 0.00 |
| CAT | 0.0000003 | 4905 | GTEx | DepMap | Descartes | 0.31 | 20.50 |
| RHD | -0.0000117 | 5231 | GTEx | DepMap | Descartes | 0.00 | 0.00 |
| SLC4A1 | -0.0000186 | 5437 | GTEx | DepMap | Descartes | 0.01 | 0.31 |
| SPECC1 | -0.0000256 | 5664 | GTEx | DepMap | Descartes | 0.23 | 5.21 |
| SLC25A21 | -0.0000529 | 6485 | GTEx | DepMap | Descartes | 0.00 | 0.00 |
| ANK1 | -0.0000778 | 7239 | GTEx | DepMap | Descartes | 0.04 | 0.47 |
| TMCC2 | -0.0001096 | 8192 | GTEx | DepMap | Descartes | 0.03 | 0.72 |
| FECH | -0.0001162 | 8381 | GTEx | DepMap | Descartes | 0.05 | 1.04 |
| DENND4A | -0.0001188 | 8445 | GTEx | DepMap | Descartes | 0.23 | 4.47 |
| XPO7 | -0.0001491 | 9277 | GTEx | DepMap | Descartes | 0.18 | 5.80 |
| SOX6 | -0.0002003 | 10334 | GTEx | DepMap | Descartes | 0.08 | 1.87 |
| SPTB | -0.0002097 | 10491 | GTEx | DepMap | Descartes | 0.01 | 0.04 |
| TFR2 | -0.0002102 | 10498 | GTEx | DepMap | Descartes | 0.05 | 1.66 |
| RAPGEF2 | -0.0003259 | 11743 | GTEx | DepMap | Descartes | 0.27 | 5.76 |
| SNCA | -0.0003264 | 11751 | GTEx | DepMap | Descartes | 0.25 | 10.50 |
| EPB41 | -0.0003315 | 11789 | GTEx | DepMap | Descartes | 0.11 | 2.92 |
| RGS6 | -0.0004093 | 12112 | GTEx | DepMap | Descartes | 0.01 | 0.13 |
| NA | NA | NA | NA | NA | NA | NA | NA |
Descartes myeloid markers
Top 50 marker genes of myeloid cells in the Decartes fetal adrenal single cell map (https://atlas.brotmanbaty.org/bbi/human-gene-expression-during-development/cell/myeloid/in/adrenal)
Wilcoxon ranksum test P-value for gene set overrepresentation: 8.01e-01
Mean rank of genes in gene set: 6770.74
Median rank of genes in gene set: 7364
Rank on gene expression program of top 30 genes in gene set:
| Genes | Weight | Rank | GTEx | DepMap | Descartes | Mean.Counts | Mean.TPM |
|---|---|---|---|---|---|---|---|
| TGFBI | 0.0048626 | 84 | GTEx | DepMap | Descartes | 3.74 | 175.80 |
| AXL | 0.0012899 | 458 | GTEx | DepMap | Descartes | 0.84 | 34.80 |
| HRH1 | 0.0007405 | 827 | GTEx | DepMap | Descartes | 0.11 | 3.37 |
| CTSC | 0.0002484 | 2043 | GTEx | DepMap | Descartes | 1.53 | 46.53 |
| ABCA1 | 0.0002349 | 2123 | GTEx | DepMap | Descartes | 0.30 | 7.15 |
| CST3 | 0.0002086 | 2279 | GTEx | DepMap | Descartes | 12.74 | 787.94 |
| PTPRE | 0.0001441 | 2847 | GTEx | DepMap | Descartes | 0.58 | 17.29 |
| ITPR2 | 0.0001090 | 3194 | GTEx | DepMap | Descartes | 0.31 | 4.13 |
| WWP1 | 0.0000904 | 3425 | GTEx | DepMap | Descartes | 0.25 | 11.46 |
| RGL1 | 0.0000410 | 4127 | GTEx | DepMap | Descartes | 0.20 | 10.61 |
| RBPJ | 0.0000401 | 4148 | GTEx | DepMap | Descartes | 0.72 | 21.61 |
| FMN1 | -0.0000157 | 5355 | GTEx | DepMap | Descartes | 0.18 | 1.62 |
| CTSB | -0.0000236 | 5594 | GTEx | DepMap | Descartes | 2.18 | 110.38 |
| HCK | -0.0000258 | 5671 | GTEx | DepMap | Descartes | 0.10 | 7.90 |
| SLC9A9 | -0.0000356 | 5962 | GTEx | DepMap | Descartes | 0.09 | 4.62 |
| SLC1A3 | -0.0000497 | 6390 | GTEx | DepMap | Descartes | 0.04 | 1.35 |
| SLCO2B1 | -0.0000660 | 6863 | GTEx | DepMap | Descartes | 0.15 | 5.44 |
| CD14 | -0.0000677 | 6914 | GTEx | DepMap | Descartes | 0.38 | 41.75 |
| CSF1R | -0.0000773 | 7225 | GTEx | DepMap | Descartes | 0.09 | 4.31 |
| CYBB | -0.0000861 | 7503 | GTEx | DepMap | Descartes | 0.11 | 3.64 |
| FGD2 | -0.0000932 | 7705 | GTEx | DepMap | Descartes | 0.01 | 0.78 |
| CD163 | -0.0001063 | 8081 | GTEx | DepMap | Descartes | 0.08 | 2.02 |
| IFNGR1 | -0.0001078 | 8130 | GTEx | DepMap | Descartes | 0.45 | 35.52 |
| ATP8B4 | -0.0001107 | 8224 | GTEx | DepMap | Descartes | 0.01 | 0.21 |
| MERTK | -0.0001391 | 8999 | GTEx | DepMap | Descartes | 0.07 | 1.54 |
| CTSS | -0.0001392 | 9000 | GTEx | DepMap | Descartes | 0.59 | 28.72 |
| SFMBT2 | -0.0001516 | 9349 | GTEx | DepMap | Descartes | 0.02 | 0.48 |
| MS4A4A | -0.0001667 | 9683 | GTEx | DepMap | Descartes | 0.11 | 6.16 |
| CD74 | -0.0001697 | 9758 | GTEx | DepMap | Descartes | 5.24 | 311.26 |
| CTSD | -0.0001710 | 9785 | GTEx | DepMap | Descartes | 2.14 | 202.23 |
Descartes Schwann markers
Top 50 marker genes of Schwann cells in the Decartes fetal adrenal single cell map (https://atlas.brotmanbaty.org/bbi/human-gene-expression-during-development/cell/schwann/in/adrenal)
Wilcoxon ranksum test P-value for gene set overrepresentation: 9.85e-01
Mean rank of genes in gene set: 7452.34
Median rank of genes in gene set: 8597.5
Rank on gene expression program of top 30 genes in gene set:
| Genes | Weight | Rank | GTEx | DepMap | Descartes | Mean.Counts | Mean.TPM |
|---|---|---|---|---|---|---|---|
| COL5A2 | 0.0116344 | 22 | GTEx | DepMap | Descartes | 3.14 | 93.69 |
| VIM | 0.0070253 | 45 | GTEx | DepMap | Descartes | 62.85 | 4335.51 |
| VCAN | 0.0051682 | 75 | GTEx | DepMap | Descartes | 2.77 | 49.22 |
| HMGA2 | 0.0035172 | 134 | GTEx | DepMap | Descartes | 0.07 | 2.12 |
| COL18A1 | 0.0027028 | 193 | GTEx | DepMap | Descartes | 5.61 | 168.71 |
| LAMC1 | 0.0023676 | 233 | GTEx | DepMap | Descartes | 1.41 | 37.69 |
| LAMA4 | 0.0020321 | 278 | GTEx | DepMap | Descartes | 2.17 | 63.89 |
| LAMB1 | 0.0020082 | 284 | GTEx | DepMap | Descartes | 1.37 | 49.68 |
| NRXN3 | 0.0012797 | 461 | GTEx | DepMap | Descartes | 0.14 | 4.62 |
| KCTD12 | 0.0001641 | 2632 | GTEx | DepMap | Descartes | 0.65 | 24.17 |
| MARCKS | 0.0000640 | 3787 | GTEx | DepMap | Descartes | 8.02 | 319.98 |
| GRIK3 | 0.0000313 | 4280 | GTEx | DepMap | Descartes | 0.03 | 0.74 |
| MDGA2 | -0.0000326 | 5855 | GTEx | DepMap | Descartes | 0.00 | 0.00 |
| STARD13 | -0.0000453 | 6240 | GTEx | DepMap | Descartes | 0.28 | 9.98 |
| COL25A1 | -0.0000699 | 7001 | GTEx | DepMap | Descartes | 0.00 | 0.00 |
| LRRTM4 | -0.0000866 | 7520 | GTEx | DepMap | Descartes | 0.01 | 1.31 |
| TRPM3 | -0.0000910 | 7642 | GTEx | DepMap | Descartes | 0.00 | 0.00 |
| ADAMTS5 | -0.0000956 | 7781 | GTEx | DepMap | Descartes | 0.15 | 2.82 |
| EGFLAM | -0.0001009 | 7937 | GTEx | DepMap | Descartes | 0.21 | 6.61 |
| GAS7 | -0.0001171 | 8405 | GTEx | DepMap | Descartes | 0.59 | 14.61 |
| DST | -0.0001201 | 8481 | GTEx | DepMap | Descartes | 2.27 | 17.11 |
| IL1RAPL1 | -0.0001208 | 8507 | GTEx | DepMap | Descartes | 0.01 | 1.03 |
| SCN7A | -0.0001277 | 8688 | GTEx | DepMap | Descartes | 0.16 | 5.15 |
| MPZ | -0.0001321 | 8814 | GTEx | DepMap | Descartes | 0.25 | 32.81 |
| ERBB4 | -0.0001329 | 8840 | GTEx | DepMap | Descartes | 0.03 | 0.44 |
| PMP22 | -0.0001584 | 9506 | GTEx | DepMap | Descartes | 1.99 | 211.92 |
| PLP1 | -0.0001595 | 9519 | GTEx | DepMap | Descartes | 0.57 | 40.13 |
| XKR4 | -0.0001627 | 9592 | GTEx | DepMap | Descartes | 0.05 | 0.37 |
| PLCE1 | -0.0001850 | 10063 | GTEx | DepMap | Descartes | 0.16 | 2.20 |
| SORCS1 | -0.0002077 | 10458 | GTEx | DepMap | Descartes | 0.06 | 1.86 |
Descartes Megakaryocytes markers
Top 50 marker genes of Megakaryocytes cells in the Decartes fetal adrenal single cell map (https://atlas.brotmanbaty.org/bbi/human-gene-expression-during-development/cell/megakaryocytes/in/adrenal)
Wilcoxon ranksum test P-value for gene set overrepresentation: 1.05e-04
Mean rank of genes in gene set: 4277.36
Median rank of genes in gene set: 2506
Rank on gene expression program of top 30 genes in gene set:
| Genes | Weight | Rank | GTEx | DepMap | Descartes | Mean.Counts | Mean.TPM |
|---|---|---|---|---|---|---|---|
| THBS1 | 0.0110827 | 24 | GTEx | DepMap | Descartes | 3.06 | 73.78 |
| FLNA | 0.0075326 | 44 | GTEx | DepMap | Descartes | 4.74 | 112.41 |
| TPM4 | 0.0050635 | 78 | GTEx | DepMap | Descartes | 8.28 | 318.23 |
| GP1BA | 0.0045690 | 90 | GTEx | DepMap | Descartes | 0.14 | 12.02 |
| ACTN1 | 0.0038407 | 115 | GTEx | DepMap | Descartes | 2.78 | 102.35 |
| MYH9 | 0.0033821 | 140 | GTEx | DepMap | Descartes | 3.23 | 88.57 |
| ACTB | 0.0019886 | 287 | GTEx | DepMap | Descartes | 41.82 | 3507.95 |
| VCL | 0.0018326 | 301 | GTEx | DepMap | Descartes | 1.34 | 31.22 |
| LTBP1 | 0.0017522 | 318 | GTEx | DepMap | Descartes | 0.47 | 13.49 |
| TLN1 | 0.0015772 | 362 | GTEx | DepMap | Descartes | 2.28 | 44.30 |
| TGFB1 | 0.0014679 | 393 | GTEx | DepMap | Descartes | 1.22 | 93.84 |
| MYLK | 0.0014343 | 401 | GTEx | DepMap | Descartes | 1.81 | 30.27 |
| ZYX | 0.0013955 | 421 | GTEx | DepMap | Descartes | 1.18 | 99.84 |
| ITGB3 | 0.0009859 | 621 | GTEx | DepMap | Descartes | 0.00 | 0.00 |
| SLC24A3 | 0.0009604 | 640 | GTEx | DepMap | Descartes | 0.05 | 3.60 |
| ARHGAP6 | 0.0008533 | 725 | GTEx | DepMap | Descartes | 0.11 | 3.74 |
| TMSB4X | 0.0007294 | 838 | GTEx | DepMap | Descartes | 101.01 | 11015.74 |
| SLC2A3 | 0.0006327 | 948 | GTEx | DepMap | Descartes | 0.91 | 41.63 |
| LIMS1 | 0.0005222 | 1126 | GTEx | DepMap | Descartes | 2.32 | 81.22 |
| RAP1B | 0.0003974 | 1419 | GTEx | DepMap | Descartes | 1.55 | 21.89 |
| PDE3A | 0.0002849 | 1859 | GTEx | DepMap | Descartes | 0.18 | 4.50 |
| STOM | 0.0002303 | 2152 | GTEx | DepMap | Descartes | 1.24 | 78.60 |
| UBASH3B | 0.0001796 | 2506 | GTEx | DepMap | Descartes | 0.09 | 1.74 |
| GSN | 0.0001705 | 2578 | GTEx | DepMap | Descartes | 5.18 | 190.33 |
| FLI1 | 0.0001632 | 2643 | GTEx | DepMap | Descartes | 0.06 | 2.81 |
| CD9 | 0.0001177 | 3102 | GTEx | DepMap | Descartes | 2.17 | 232.46 |
| MCTP1 | 0.0000436 | 4088 | GTEx | DepMap | Descartes | 0.09 | 3.00 |
| TUBB1 | 0.0000094 | 4699 | GTEx | DepMap | Descartes | 0.01 | 1.08 |
| P2RX1 | -0.0000541 | 6506 | GTEx | DepMap | Descartes | 0.00 | 0.00 |
| PSTPIP2 | -0.0000669 | 6888 | GTEx | DepMap | Descartes | 0.01 | 0.53 |
Descartes Lyphoid markers
Top 50 marker genes of Lyphoid cells in the Decartes fetal adrenal single cell map (https://atlas.brotmanbaty.org/bbi/human-gene-expression-during-development/cell/lymphoid/in/adrenal)
Wilcoxon ranksum test P-value for gene set overrepresentation: 9.92e-01
Mean rank of genes in gene set: 7615.79
Median rank of genes in gene set: 8680.5
Rank on gene expression program of top 30 genes in gene set:
| Genes | Weight | Rank | GTEx | DepMap | Descartes | Mean.Counts | Mean.TPM |
|---|---|---|---|---|---|---|---|
| TMSB10 | 0.0016365 | 347 | GTEx | DepMap | Descartes | 86.65 | 34808.85 |
| ARID5B | 0.0010335 | 586 | GTEx | DepMap | Descartes | 1.55 | 33.95 |
| MSN | 0.0009689 | 635 | GTEx | DepMap | Descartes | 1.77 | 83.47 |
| MBNL1 | 0.0007456 | 821 | GTEx | DepMap | Descartes | 0.94 | 30.15 |
| CD44 | 0.0004413 | 1289 | GTEx | DepMap | Descartes | 1.45 | 52.53 |
| SP100 | 0.0001968 | 2372 | GTEx | DepMap | Descartes | 0.95 | 34.56 |
| DOCK10 | 0.0001362 | 2912 | GTEx | DepMap | Descartes | 0.25 | 5.87 |
| ETS1 | 0.0001256 | 3017 | GTEx | DepMap | Descartes | 0.87 | 32.77 |
| FOXP1 | 0.0001169 | 3115 | GTEx | DepMap | Descartes | 1.15 | 22.95 |
| PLEKHA2 | 0.0001096 | 3185 | GTEx | DepMap | Descartes | 0.18 | 7.61 |
| WIPF1 | 0.0000973 | 3321 | GTEx | DepMap | Descartes | 0.40 | 19.62 |
| CCND3 | 0.0000226 | 4462 | GTEx | DepMap | Descartes | 0.40 | 32.83 |
| SAMD3 | 0.0000215 | 4483 | GTEx | DepMap | Descartes | 0.03 | 2.26 |
| ABLIM1 | -0.0000651 | 6839 | GTEx | DepMap | Descartes | 0.26 | 7.54 |
| ITPKB | -0.0000695 | 6980 | GTEx | DepMap | Descartes | 0.09 | 2.67 |
| STK39 | -0.0000703 | 7013 | GTEx | DepMap | Descartes | 0.18 | 9.25 |
| ARHGAP15 | -0.0000721 | 7072 | GTEx | DepMap | Descartes | 0.40 | 28.39 |
| CCL5 | -0.0000992 | 7883 | GTEx | DepMap | Descartes | 0.15 | 50.50 |
| ANKRD44 | -0.0001034 | 8001 | GTEx | DepMap | Descartes | 0.13 | 2.34 |
| MCTP2 | -0.0001143 | 8326 | GTEx | DepMap | Descartes | 0.05 | 1.38 |
| B2M | -0.0001214 | 8523 | GTEx | DepMap | Descartes | 76.91 | 6472.56 |
| NCALD | -0.0001329 | 8838 | GTEx | DepMap | Descartes | 0.13 | 7.54 |
| SKAP1 | -0.0001403 | 9021 | GTEx | DepMap | Descartes | 0.06 | 8.47 |
| PRKCH | -0.0001679 | 9713 | GTEx | DepMap | Descartes | 0.11 | 5.86 |
| SORL1 | -0.0001815 | 10008 | GTEx | DepMap | Descartes | 0.11 | 1.59 |
| IKZF1 | -0.0001869 | 10102 | GTEx | DepMap | Descartes | 0.03 | 0.73 |
| LEF1 | -0.0001899 | 10152 | GTEx | DepMap | Descartes | 0.13 | 9.07 |
| SCML4 | -0.0002069 | 10449 | GTEx | DepMap | Descartes | 0.01 | 0.09 |
| BACH2 | -0.0002115 | 10515 | GTEx | DepMap | Descartes | 0.11 | 1.74 |
| PDE3B | -0.0002157 | 10584 | GTEx | DepMap | Descartes | 0.01 | 0.22 |
Below shows the ranks on this GEP for immune marker gene lists curated by CellTypist (https://www.celltypist.org/encyclopedia).
High ranks indicate this gene is a driver of this GEP.
These curated gene list are ranked by P-value (on this GEP) of their constituent genes.
The Mean Count column shows the mean read count in cells scoring highly (H > 50) on this gene expression program.
| Genes | Weight | Rank | GTEx | DepMap | Decartes | Mean.Counts | Mean.TPM |
|---|---|---|---|---|---|---|---|
| COL1A1 | 0.0229196 | 2 | GTEx | DepMap | Descartes | 41.87 | 1624.09 |
| COL1A2 | 0.0209718 | 3 | GTEx | DepMap | Descartes | 27.68 | 1068.65 |
| DCN | 0.0000279 | 4347 | GTEx | DepMap | Descartes | 5.62 | 181.84 |
DC: Transitional DC (curated markers)
immature dendritic cells which follow dendritic cell precursors and are committed to the mature dendritic cells:
Wilcoxon ranksum test P-value for gene set overrepresentation: 3.61e-02
Mean rank of genes in gene set: 1668.5
Rank on gene expression program of genes in gene set:
| Genes | Weight | Rank | GTEx | DepMap | Decartes | Mean.Counts | Mean.TPM |
|---|---|---|---|---|---|---|---|
| AXL | 0.0012899 | 458 | GTEx | DepMap | Descartes | 0.84 | 34.8 |
| KLF4 | 0.0001402 | 2879 | GTEx | DepMap | Descartes | 0.68 | 41.8 |
Monocyte precursor: Monocyte precursor (curated markers)
monocyte precursors that are committed to the monocytes:
Wilcoxon ranksum test P-value for gene set overrepresentation: 4.35e-02
Mean rank of genes in gene set: 75
Rank on gene expression program of genes in gene set:
| Genes | Weight | Rank | GTEx | DepMap | Decartes | Mean.Counts | Mean.TPM |
|---|---|---|---|---|---|---|---|
| VCAN | 0.0051682 | 75 | GTEx | DepMap | Descartes | 2.77 | 49.22 |