Program description and justification of annotation: 18.
Submit a comment on this gene expression program’s interpretation: CLICK
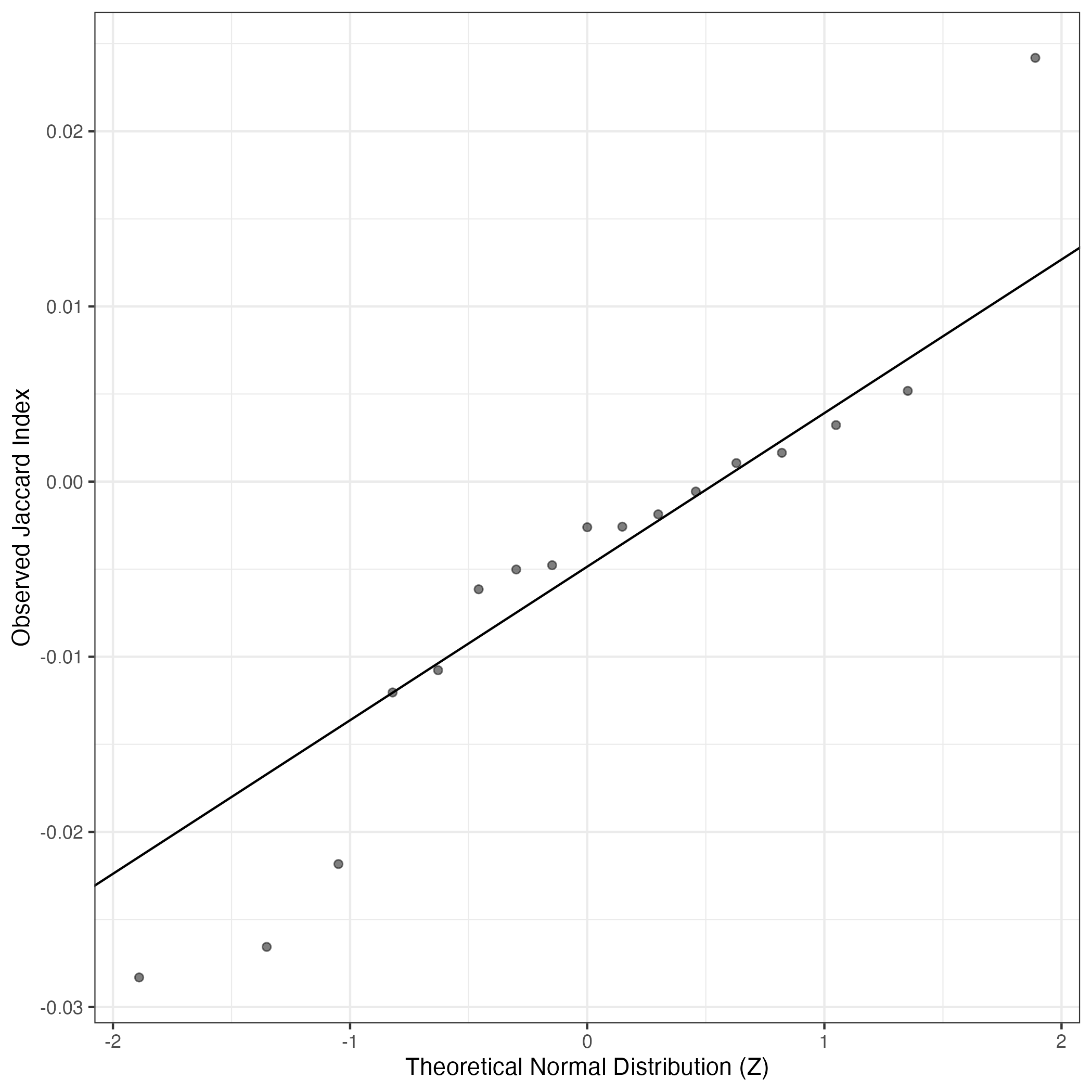
QQ-plot of gene loadings, averaged over both independent splits of the data
This plot highlights the relative contribution of each gene to the GEP
Top genes driving this program.
Note: Decartes website is buggy, try refreshing. Also, Decartes fetal adrenal data have been collected at specific time points (89-122 days), all possible cell types of interest may not be represented, do not overinterpret.
The Mean Count column shows the mean read count in cells scoring highly (H > 50) on this gene expression program.
Gene | Loading | Gene.Name | GTEx | DepMap | Descartes | Mean.Counts | Mean.Tpm | |
---|---|---|---|---|---|---|---|---|
1 | DDX1 | 0.0158633 | DEAD-box helicase 1 | GTEx | DepMap | Descartes | 29.80 | 12467.16 |
2 | NBAS | 0.0139290 | NBAS subunit of NRZ tethering complex | GTEx | DepMap | Descartes | 22.11 | 3463.35 |
3 | NPY | 0.0073355 | neuropeptide Y | GTEx | DepMap | Descartes | 12.07 | 19672.14 |
4 | ST6GALNAC3 | 0.0069006 | ST6 N-acetylgalactosaminide alpha-2,6-sialyltransferase 3 | GTEx | DepMap | Descartes | 2.67 | 393.47 |
5 | CSGALNACT1 | 0.0054500 | chondroitin sulfate N-acetylgalactosaminyltransferase 1 | GTEx | DepMap | Descartes | 1.17 | 274.63 |
6 | RPL13 | 0.0053096 | ribosomal protein L13 | GTEx | DepMap | Descartes | 7.04 | 1735.60 |
7 | RTN1 | 0.0050176 | reticulon 1 | GTEx | DepMap | Descartes | 5.87 | 1807.53 |
8 | GMDS | 0.0048873 | GDP-mannose 4,6-dehydratase | GTEx | DepMap | Descartes | 1.16 | 706.48 |
9 | RPSA | 0.0048441 | ribosomal protein SA | GTEx | DepMap | Descartes | 2.40 | 1236.48 |
10 | HDAC9 | 0.0048368 | histone deacetylase 9 | GTEx | DepMap | Descartes | 3.36 | 365.83 |
11 | CALN1 | 0.0047495 | calneuron 1 | GTEx | DepMap | Descartes | 1.10 | 116.32 |
12 | RPL18 | 0.0044153 | ribosomal protein L18 | GTEx | DepMap | Descartes | 3.26 | 939.33 |
13 | TLL2 | 0.0041707 | tolloid like 2 | GTEx | DepMap | Descartes | 0.26 | 43.66 |
14 | FTH1 | 0.0040451 | ferritin heavy chain 1 | GTEx | DepMap | Descartes | 3.31 | 2719.50 |
15 | RPL22L1 | 0.0039826 | ribosomal protein L22 like 1 | GTEx | DepMap | Descartes | 0.44 | 308.06 |
16 | CBLN2 | 0.0039485 | cerebellin 2 precursor | GTEx | DepMap | Descartes | 0.26 | 86.09 |
17 | CPNE4 | 0.0038434 | copine 4 | GTEx | DepMap | Descartes | 0.79 | 154.24 |
18 | FILIP1L | 0.0038250 | filamin A interacting protein 1 like | GTEx | DepMap | Descartes | 1.17 | 288.46 |
19 | CDH8 | 0.0036754 | cadherin 8 | GTEx | DepMap | Descartes | 1.28 | 136.33 |
20 | TOM1L1 | 0.0035069 | target of myb1 like 1 membrane trafficking protein | GTEx | DepMap | Descartes | 1.15 | 485.48 |
21 | PRKCA | 0.0033967 | protein kinase C alpha | GTEx | DepMap | Descartes | 2.67 | 299.12 |
22 | DLG2 | 0.0033586 | discs large MAGUK scaffold protein 2 | GTEx | DepMap | Descartes | 5.10 | 641.52 |
23 | TENM2 | 0.0033531 | teneurin transmembrane protein 2 | GTEx | DepMap | Descartes | 2.76 | NA |
24 | CHRM2 | 0.0031327 | cholinergic receptor muscarinic 2 | GTEx | DepMap | Descartes | 2.11 | 367.37 |
25 | KCTD16 | 0.0030773 | potassium channel tetramerization domain containing 16 | GTEx | DepMap | Descartes | 2.48 | 169.00 |
26 | TMTC1 | 0.0030409 | transmembrane O-mannosyltransferase targeting cadherins 1 | GTEx | DepMap | Descartes | 1.01 | 113.23 |
27 | MARCH11 | 0.0030166 | NA | GTEx | DepMap | Descartes | 3.02 | NA |
28 | HOXD3 | 0.0029850 | homeobox D3 | GTEx | DepMap | Descartes | 0.98 | 380.24 |
29 | FAM49A | 0.0029815 | NA | GTEx | DepMap | Descartes | 1.01 | NA |
30 | SERPINF1 | 0.0029664 | serpin family F member 1 | GTEx | DepMap | Descartes | 0.33 | 236.76 |
31 | CORIN | 0.0029491 | corin, serine peptidase | GTEx | DepMap | Descartes | 0.27 | 51.21 |
32 | NACA | 0.0029030 | nascent polypeptide associated complex subunit alpha | GTEx | DepMap | Descartes | 1.61 | 284.77 |
33 | NDUFA4 | 0.0028139 | NDUFA4 mitochondrial complex associated | GTEx | DepMap | Descartes | 0.97 | 616.64 |
34 | ROBO1 | 0.0028049 | roundabout guidance receptor 1 | GTEx | DepMap | Descartes | 5.19 | 673.84 |
35 | PPIB | 0.0028036 | peptidylprolyl isomerase B | GTEx | DepMap | Descartes | 0.68 | 607.38 |
36 | NME1 | 0.0027775 | NME/NM23 nucleoside diphosphate kinase 1 | GTEx | DepMap | Descartes | 0.86 | 698.82 |
37 | GAL | 0.0027490 | galanin and GMAP prepropeptide | GTEx | DepMap | Descartes | 1.23 | 2071.07 |
38 | TMSB4X | 0.0027151 | thymosin beta 4 X-linked | GTEx | DepMap | Descartes | 5.16 | 2727.79 |
39 | EEF1B2 | 0.0026877 | eukaryotic translation elongation factor 1 beta 2 | GTEx | DepMap | Descartes | 0.68 | 842.22 |
40 | EPHA6 | 0.0026804 | EPH receptor A6 | GTEx | DepMap | Descartes | 1.94 | 484.59 |
41 | CLDN11 | 0.0026777 | claudin 11 | GTEx | DepMap | Descartes | 0.41 | 164.09 |
42 | EEF2 | 0.0026540 | eukaryotic translation elongation factor 2 | GTEx | DepMap | Descartes | 2.20 | 738.52 |
43 | EIF1 | 0.0026082 | eukaryotic translation initiation factor 1 | GTEx | DepMap | Descartes | 1.60 | 747.40 |
44 | SERP1 | 0.0025968 | stress associated endoplasmic reticulum protein 1 | GTEx | DepMap | Descartes | 0.75 | 199.21 |
45 | GREB1L | 0.0025684 | GREB1 like retinoic acid receptor coactivator | GTEx | DepMap | Descartes | 0.83 | 101.46 |
46 | MAP3K13 | 0.0025420 | mitogen-activated protein kinase kinase kinase 13 | GTEx | DepMap | Descartes | 1.17 | 118.52 |
47 | ANGPT2 | 0.0024859 | angiopoietin 2 | GTEx | DepMap | Descartes | 0.44 | 78.77 |
48 | SEC62 | 0.0024494 | SEC62 homolog, preprotein translocation factor | GTEx | DepMap | Descartes | 1.14 | 179.04 |
49 | MYRIP | 0.0024410 | myosin VIIA and Rab interacting protein | GTEx | DepMap | Descartes | 0.56 | 111.05 |
50 | SEMA3A | 0.0024346 | semaphorin 3A | GTEx | DepMap | Descartes | 0.93 | 103.64 |
UMAP plots showing activity of gene expression program identified in community:18. Neuroblastoma: MYCN
CNV Data procured from inferCNV.
Outer tracks are putative CNV regions (gains = red, losses = blue) for each patient
Inner track is expression data representing:
The top cells expressing this GEP (purple)
Random cells (n =50) from the reference set used in inferCNV (orange)
Gene set Enrichments for this program, caculated from top 50 genes
mSigDB Cell Types Gene Set:
P-value | OR | Lower 95% CI | FDR | FWER | Genes Found | Gene Set Size | |
---|---|---|---|---|---|---|---|
LAKE_ADULT_KIDNEY_C8_DECENDING_THIN_LIMB | 7.18e-09 | 13.20 | 6.03 | 4.82e-06 | 4.82e-06 | 11RPL13, RPSA, RPL18, FTH1, NACA, NDUFA4, PPIB, EEF1B2, EEF2, EIF1, SEC62 |
278 |
LAKE_ADULT_KIDNEY_C18_COLLECTING_DUCT_PRINCIPAL_CELLS_MEDULLA | 3.17e-08 | 11.34 | 5.19 | 1.06e-05 | 2.13e-05 | 11RPL13, RPSA, RPL18, FTH1, NACA, NDUFA4, PPIB, TMSB4X, EEF2, EIF1, SEC62 |
322 |
LAKE_ADULT_KIDNEY_C23_ENDOTHELIAL_CELLS_AVR | 9.51e-06 | 14.20 | 4.85 | 7.98e-04 | 6.38e-03 | 6ST6GALNAC3, RPL13, RPL18, FTH1, TMSB4X, EIF1 |
126 |
LAKE_ADULT_KIDNEY_C9_THIN_ASCENDING_LIMB | 7.91e-07 | 10.60 | 4.48 | 1.33e-04 | 5.31e-04 | 9RPL13, RPSA, RPL18, FTH1, NACA, NDUFA4, PPIB, EEF2, EIF1 |
268 |
TRAVAGLINI_LUNG_BRONCHIAL_VESSEL_1_CELL | 2.25e-06 | 11.02 | 4.42 | 2.88e-04 | 1.51e-03 | 8RPL13, RPSA, RPL18, RPL22L1, NACA, NME1, EEF2, ANGPT2 |
224 |
RUBENSTEIN_SKELETAL_MUSCLE_T_CELLS | 6.24e-06 | 11.69 | 4.38 | 5.98e-04 | 4.18e-03 | 7RPL13, RPSA, RPL18, TMSB4X, EEF1B2, EIF1, SERP1 |
181 |
LAKE_ADULT_KIDNEY_C19_COLLECTING_DUCT_INTERCALATED_CELLS_TYPE_A_MEDULLA | 3.94e-07 | 9.89 | 4.37 | 8.82e-05 | 2.65e-04 | 10RPL13, RPSA, RPL18, FTH1, NACA, NDUFA4, TMSB4X, EEF2, EIF1, SEC62 |
326 |
CUI_DEVELOPING_HEART_COMPACT_ATRIAL_CARDIOMYOCYTE | 1.58e-03 | 39.95 | 4.27 | 4.23e-02 | 1.00e+00 | 2RPL13, FTH1 |
15 |
RUBENSTEIN_SKELETAL_MUSCLE_SATELLITE_CELLS | 2.57e-06 | 9.12 | 3.86 | 2.88e-04 | 1.73e-03 | 9RPL13, RPSA, RPL18, RPL22L1, NACA, NDUFA4, EEF1B2, EEF2, EIF1 |
310 |
LAKE_ADULT_KIDNEY_C7_PROXIMAL_TUBULE_EPITHELIAL_CELLS_S3 | 1.83e-04 | 10.68 | 3.26 | 1.23e-02 | 1.23e-01 | 5RPL13, RPSA, RPL18, FTH1, EEF2 |
135 |
LAKE_ADULT_KIDNEY_C12_THICK_ASCENDING_LIMB | 1.31e-05 | 7.38 | 3.13 | 9.77e-04 | 8.79e-03 | 9RPL13, RPSA, RPL18, FTH1, KCTD16, NACA, NDUFA4, PPIB, EEF2 |
381 |
FAN_OVARY_CL0_XBP1_SELK_HIGH_STROMAL_CELL | 2.39e-04 | 10.06 | 3.07 | 1.46e-02 | 1.60e-01 | 5RPL13, RPL18, NACA, EIF1, SERP1 |
143 |
BUSSLINGER_GASTRIC_CHIEF_CELLS | 1.40e-03 | 15.04 | 2.91 | 4.21e-02 | 9.42e-01 | 3FTH1, EEF2, SEC62 |
56 |
DESCARTES_FETAL_SPLEEN_VASCULAR_ENDOTHELIAL_CELLS | 1.48e-03 | 14.76 | 2.85 | 4.21e-02 | 9.92e-01 | 3HOXD3, GREB1L, MYRIP |
57 |
BUSSLINGER_GASTRIC_LYZ_POSITIVE_CELLS | 9.45e-04 | 10.15 | 2.61 | 3.52e-02 | 6.34e-01 | 4RPL13, RPL18, EEF1B2, EEF2 |
111 |
TRAVAGLINI_LUNG_CLUB_CELL | 1.04e-03 | 9.88 | 2.54 | 3.68e-02 | 7.00e-01 | 4RPL13, RPL18, TMSB4X, SERP1 |
114 |
BUSSLINGER_GASTRIC_PPP1R1B_POSITIVE_CELLS | 1.30e-03 | 9.29 | 2.39 | 4.15e-02 | 8.71e-01 | 4RPL13, RPL18, EEF1B2, EEF2 |
121 |
DESCARTES_MAIN_FETAL_MESANGIAL_CELLS | 5.10e-03 | 20.80 | 2.32 | 9.78e-02 | 1.00e+00 | 2TMTC1, CLDN11 |
27 |
TRAVAGLINI_LUNG_BASAL_CELL | 8.22e-04 | 7.59 | 2.32 | 3.24e-02 | 5.51e-01 | 5RPL13, RPSA, SERPINF1, NACA, EIF1 |
188 |
MENON_FETAL_KIDNEY_1_EMBRYONIC_RED_BLOOD_CELLS | 1.51e-03 | 8.91 | 2.29 | 4.21e-02 | 1.00e+00 | 4RPSA, FTH1, NACA, EEF1B2 |
126 |
Dowload full table
mSigDB Hallmark Gene Sets:
P-value | OR | Lower 95% CI | FDR | FWER | Genes Found | Gene Set Size | |
---|---|---|---|---|---|---|---|
HALLMARK_MYC_TARGETS_V1 | 4.35e-02 | 4.05 | 0.80 | 1.00e+00 | 1.00e+00 | 3RPL18, NME1, EEF1B2 |
200 |
HALLMARK_UNFOLDED_PROTEIN_RESPONSE | 7.33e-02 | 4.69 | 0.55 | 1.00e+00 | 1.00e+00 | 2EEF2, SERP1 |
113 |
HALLMARK_APICAL_JUNCTION | 1.85e-01 | 2.63 | 0.31 | 1.00e+00 | 1.00e+00 | 2CDH8, CLDN11 |
200 |
HALLMARK_ALLOGRAFT_REJECTION | 1.85e-01 | 2.63 | 0.31 | 1.00e+00 | 1.00e+00 | 2HDAC9, NME1 |
200 |
HALLMARK_NOTCH_SIGNALING | 1.20e-01 | 8.23 | 0.20 | 1.00e+00 | 1.00e+00 | 1PRKCA |
32 |
HALLMARK_HEDGEHOG_SIGNALING | 1.34e-01 | 7.29 | 0.18 | 1.00e+00 | 1.00e+00 | 1RTN1 |
36 |
HALLMARK_PROTEIN_SECRETION | 3.17e-01 | 2.68 | 0.07 | 1.00e+00 | 1.00e+00 | 1TOM1L1 |
96 |
HALLMARK_UV_RESPONSE_DN | 4.35e-01 | 1.78 | 0.04 | 1.00e+00 | 1.00e+00 | 1PRKCA |
144 |
HALLMARK_DNA_REPAIR | 4.49e-01 | 1.71 | 0.04 | 1.00e+00 | 1.00e+00 | 1NME1 |
150 |
HALLMARK_UV_RESPONSE_UP | 4.66e-01 | 1.62 | 0.04 | 1.00e+00 | 1.00e+00 | 1GAL |
158 |
HALLMARK_TNFA_SIGNALING_VIA_NFKB | 5.47e-01 | 1.28 | 0.03 | 1.00e+00 | 1.00e+00 | 1EIF1 |
200 |
HALLMARK_HYPOXIA | 5.47e-01 | 1.28 | 0.03 | 1.00e+00 | 1.00e+00 | 1PRKCA |
200 |
HALLMARK_ESTROGEN_RESPONSE_LATE | 5.47e-01 | 1.28 | 0.03 | 1.00e+00 | 1.00e+00 | 1GAL |
200 |
HALLMARK_MTORC1_SIGNALING | 5.47e-01 | 1.28 | 0.03 | 1.00e+00 | 1.00e+00 | 1SERP1 |
200 |
HALLMARK_E2F_TARGETS | 5.47e-01 | 1.28 | 0.03 | 1.00e+00 | 1.00e+00 | 1NME1 |
200 |
HALLMARK_EPITHELIAL_MESENCHYMAL_TRANSITION | 5.47e-01 | 1.28 | 0.03 | 1.00e+00 | 1.00e+00 | 1PPIB |
200 |
HALLMARK_OXIDATIVE_PHOSPHORYLATION | 5.47e-01 | 1.28 | 0.03 | 1.00e+00 | 1.00e+00 | 1NDUFA4 |
200 |
HALLMARK_P53_PATHWAY | 5.47e-01 | 1.28 | 0.03 | 1.00e+00 | 1.00e+00 | 1RPL18 |
200 |
HALLMARK_KRAS_SIGNALING_UP | 5.47e-01 | 1.28 | 0.03 | 1.00e+00 | 1.00e+00 | 1HDAC9 |
200 |
HALLMARK_KRAS_SIGNALING_DN | 5.47e-01 | 1.28 | 0.03 | 1.00e+00 | 1.00e+00 | 1TENM2 |
200 |
Dowload full table
KEGG Pathways:
P-value | OR | Lower 95% CI | FDR | FWER | Genes Found | Gene Set Size | |
---|---|---|---|---|---|---|---|
KEGG_RIBOSOME | 3.96e-04 | 12.93 | 3.31 | 7.37e-02 | 7.37e-02 | 4RPL13, RPSA, RPL18, RPL22L1 |
88 |
KEGG_AXON_GUIDANCE | 1.42e-02 | 6.33 | 1.24 | 1.00e+00 | 1.00e+00 | 3ROBO1, EPHA6, SEMA3A |
129 |
KEGG_LEUKOCYTE_TRANSENDOTHELIAL_MIGRATION | 7.67e-02 | 4.57 | 0.53 | 1.00e+00 | 1.00e+00 | 2PRKCA, CLDN11 |
116 |
KEGG_TIGHT_JUNCTION | 9.54e-02 | 4.01 | 0.47 | 1.00e+00 | 1.00e+00 | 2PRKCA, CLDN11 |
132 |
KEGG_GLYCOSPHINGOLIPID_BIOSYNTHESIS_GANGLIO_SERIES | 5.81e-02 | 18.20 | 0.42 | 1.00e+00 | 1.00e+00 | 1ST6GALNAC3 |
15 |
KEGG_CALCIUM_SIGNALING_PATHWAY | 1.55e-01 | 2.96 | 0.35 | 1.00e+00 | 1.00e+00 | 2PRKCA, CHRM2 |
178 |
KEGG_REGULATION_OF_ACTIN_CYTOSKELETON | 2.03e-01 | 2.47 | 0.29 | 1.00e+00 | 1.00e+00 | 2CHRM2, TMSB4X |
213 |
KEGG_GLYCOSAMINOGLYCAN_BIOSYNTHESIS_CHONDROITIN_SULFATE | 8.40e-02 | 12.14 | 0.29 | 1.00e+00 | 1.00e+00 | 1CSGALNACT1 |
22 |
KEGG_PROTEIN_EXPORT | 9.13e-02 | 11.08 | 0.26 | 1.00e+00 | 1.00e+00 | 1SEC62 |
24 |
KEGG_MAPK_SIGNALING_PATHWAY | 2.80e-01 | 1.97 | 0.23 | 1.00e+00 | 1.00e+00 | 2PRKCA, MAP3K13 |
267 |
KEGG_FRUCTOSE_AND_MANNOSE_METABOLISM | 1.27e-01 | 7.73 | 0.19 | 1.00e+00 | 1.00e+00 | 1GMDS |
34 |
KEGG_PORPHYRIN_AND_CHLOROPHYLL_METABOLISM | 1.51e-01 | 6.37 | 0.15 | 1.00e+00 | 1.00e+00 | 1FTH1 |
41 |
KEGG_ALDOSTERONE_REGULATED_SODIUM_REABSORPTION | 1.54e-01 | 6.22 | 0.15 | 1.00e+00 | 1.00e+00 | 1PRKCA |
42 |
KEGG_AMINO_SUGAR_AND_NUCLEOTIDE_SUGAR_METABOLISM | 1.61e-01 | 5.93 | 0.14 | 1.00e+00 | 1.00e+00 | 1GMDS |
44 |
KEGG_VIBRIO_CHOLERAE_INFECTION | 1.94e-01 | 4.81 | 0.12 | 1.00e+00 | 1.00e+00 | 1PRKCA |
54 |
KEGG_NON_SMALL_CELL_LUNG_CANCER | 1.94e-01 | 4.81 | 0.12 | 1.00e+00 | 1.00e+00 | 1PRKCA |
54 |
KEGG_PATHOGENIC_ESCHERICHIA_COLI_INFECTION | 2.00e-01 | 4.64 | 0.11 | 1.00e+00 | 1.00e+00 | 1PRKCA |
56 |
KEGG_GLIOMA | 2.28e-01 | 3.99 | 0.10 | 1.00e+00 | 1.00e+00 | 1PRKCA |
65 |
KEGG_ADIPOCYTOKINE_SIGNALING_PATHWAY | 2.34e-01 | 3.86 | 0.09 | 1.00e+00 | 1.00e+00 | 1NPY |
67 |
KEGG_LONG_TERM_POTENTIATION | 2.43e-01 | 3.70 | 0.09 | 1.00e+00 | 1.00e+00 | 1PRKCA |
70 |
Dowload full table
CHR Positional Gene Sets:
P-value | OR | Lower 95% CI | FDR | FWER | Genes Found | Gene Set Size | |
---|---|---|---|---|---|---|---|
chr3q26 | 3.64e-02 | 4.36 | 0.86 | 1.00e+00 | 1.00e+00 | 3RPL22L1, CLDN11, SEC62 |
186 |
chr2p24 | 3.47e-02 | 7.23 | 0.84 | 1.00e+00 | 1.00e+00 | 2DDX1, NBAS |
74 |
chr7p21 | 4.26e-02 | 6.43 | 0.74 | 1.00e+00 | 1.00e+00 | 2HDAC9, NDUFA4 |
83 |
chr3p22 | 1.37e-01 | 3.19 | 0.37 | 1.00e+00 | 1.00e+00 | 2RPSA, MYRIP |
165 |
chr4p12 | 9.13e-02 | 11.08 | 0.26 | 1.00e+00 | 1.00e+00 | 1CORIN |
24 |
chr5q34 | 1.41e-01 | 6.89 | 0.17 | 1.00e+00 | 1.00e+00 | 1TENM2 |
38 |
chr3q12 | 1.67e-01 | 5.67 | 0.14 | 1.00e+00 | 1.00e+00 | 1FILIP1L |
46 |
chr17q21 | 6.95e-01 | 1.14 | 0.13 | 1.00e+00 | 1.00e+00 | 2NME1, EIF1 |
457 |
chr3q11 | 1.81e-01 | 5.21 | 0.13 | 1.00e+00 | 1.00e+00 | 1EPHA6 |
50 |
chr7q33 | 1.87e-01 | 5.00 | 0.12 | 1.00e+00 | 1.00e+00 | 1CHRM2 |
52 |
chr18q22 | 2.16e-01 | 4.25 | 0.10 | 1.00e+00 | 1.00e+00 | 1CBLN2 |
61 |
chr3p12 | 2.31e-01 | 3.92 | 0.10 | 1.00e+00 | 1.00e+00 | 1ROBO1 |
66 |
chr16q21 | 2.55e-01 | 3.49 | 0.09 | 1.00e+00 | 1.00e+00 | 1CDH8 |
74 |
chr12p11 | 2.64e-01 | 3.36 | 0.08 | 1.00e+00 | 1.00e+00 | 1TMTC1 |
77 |
chr18q11 | 2.73e-01 | 3.23 | 0.08 | 1.00e+00 | 1.00e+00 | 1GREB1L |
80 |
chr6p25 | 2.78e-01 | 3.15 | 0.08 | 1.00e+00 | 1.00e+00 | 1GMDS |
82 |
chr17q22 | 2.90e-01 | 3.00 | 0.07 | 1.00e+00 | 1.00e+00 | 1TOM1L1 |
86 |
chr17q24 | 3.12e-01 | 2.74 | 0.07 | 1.00e+00 | 1.00e+00 | 1PRKCA |
94 |
chr7p15 | 3.17e-01 | 2.68 | 0.07 | 1.00e+00 | 1.00e+00 | 1NPY |
96 |
chr3q27 | 3.67e-01 | 2.24 | 0.06 | 1.00e+00 | 1.00e+00 | 1MAP3K13 |
115 |
Dowload full table
Transcription Factor Targets:
P-value | OR | Lower 95% CI | FDR | FWER | Genes Found | Gene Set Size | |
---|---|---|---|---|---|---|---|
GTF2A2_TARGET_GENES | 3.50e-03 | 3.95 | 1.49 | 1.00e+00 | 1.00e+00 | 7RPL13, RPSA, RPL18, RPL22L1, TMSB4X, EEF2, EIF1 |
522 |
PSMB5_TARGET_GENES | 6.61e-03 | 4.60 | 1.41 | 1.00e+00 | 1.00e+00 | 5RPSA, FTH1, TMSB4X, EEF2, EIF1 |
307 |
ARID3B_TARGET_GENES | 1.05e-02 | 7.12 | 1.40 | 1.00e+00 | 1.00e+00 | 3CDH8, TENM2, GAL |
115 |
FOXE1_TARGET_GENES | 5.45e-03 | 3.31 | 1.34 | 1.00e+00 | 1.00e+00 | 8RPL13, RPL18, RPL22L1, NACA, NDUFA4, EEF2, GREB1L, SEC62 |
728 |
FAC1_01 | 1.13e-02 | 4.94 | 1.28 | 1.00e+00 | 1.00e+00 | 4HDAC9, DLG2, ROBO1, SEMA3A |
224 |
WTGAAAT_UNKNOWN | 8.85e-03 | 3.29 | 1.24 | 1.00e+00 | 1.00e+00 | 7GMDS, HDAC9, TLL2, DLG2, HOXD3, ROBO1, SEMA3A |
625 |
PIT1_Q6 | 1.40e-02 | 4.63 | 1.20 | 1.00e+00 | 1.00e+00 | 4DLG2, TMTC1, HOXD3, SEMA3A |
239 |
P53_DECAMER_Q2 | 1.80e-02 | 4.28 | 1.11 | 1.00e+00 | 1.00e+00 | 4RPSA, DLG2, MAP3K13, ANGPT2 |
258 |
AREB6_02 | 1.82e-02 | 4.26 | 1.11 | 1.00e+00 | 1.00e+00 | 4RTN1, DLG2, HOXD3, SEMA3A |
259 |
CP2_01 | 1.84e-02 | 4.25 | 1.10 | 1.00e+00 | 1.00e+00 | 4RTN1, RPSA, HDAC9, EIF1 |
260 |
TST1_01 | 1.96e-02 | 4.16 | 1.08 | 1.00e+00 | 1.00e+00 | 4RTN1, DLG2, HOXD3, TMSB4X |
265 |
AMEF2_Q6 | 1.96e-02 | 4.16 | 1.08 | 1.00e+00 | 1.00e+00 | 4RTN1, HDAC9, DLG2, SEMA3A |
265 |
ATF_01 | 2.00e-02 | 4.13 | 1.07 | 1.00e+00 | 1.00e+00 | 4CPNE4, EIF1, MAP3K13, SEC62 |
267 |
NR2E3_TARGET_GENES | 2.37e-02 | 50.83 | 1.06 | 1.00e+00 | 1.00e+00 | 1PPIB |
6 |
ZFP37_TARGET_GENES | 2.37e-02 | 50.83 | 1.06 | 1.00e+00 | 1.00e+00 | 1SERP1 |
6 |
FOXH1_TARGET_GENES | 1.95e-02 | 2.60 | 1.05 | 1.00e+00 | 1.00e+00 | 8GMDS, CPNE4, TOM1L1, HOXD3, TMSB4X, MAP3K13, ANGPT2, SEC62 |
924 |
CEBP_01 | 2.25e-02 | 3.98 | 1.03 | 1.00e+00 | 1.00e+00 | 4CALN1, DLG2, ANGPT2, SEMA3A |
277 |
TATA_C | 2.47e-02 | 3.87 | 1.00 | 1.00e+00 | 1.00e+00 | 4NPY, RTN1, EEF2, SEMA3A |
285 |
ISL1_TARGET_GENES | 2.90e-02 | 2.56 | 0.97 | 1.00e+00 | 1.00e+00 | 7HDAC9, RPL22L1, FILIP1L, TOM1L1, EPHA6, GREB1L, SEMA3A |
803 |
ADA2_TARGET_GENES | 3.65e-02 | 2.43 | 0.92 | 1.00e+00 | 1.00e+00 | 7DDX1, RPL13, RPL18, TENM2, NME1, EEF2, SEMA3A |
846 |
Dowload full table
GO Biological Processes:
P-value | OR | Lower 95% CI | FDR | FWER | Genes Found | Gene Set Size | |
---|---|---|---|---|---|---|---|
GOBP_CYTOPLASMIC_TRANSLATION | 6.90e-04 | 11.09 | 2.84 | 9.71e-01 | 1.00e+00 | 4RPSA, RPL18, RPL22L1, EEF2 |
102 |
GOBP_COTRANSLATIONAL_PROTEIN_TARGETING_TO_MEMBRANE | 8.25e-04 | 10.55 | 2.71 | 9.71e-01 | 1.00e+00 | 4RPL13, RPSA, RPL18, SEC62 |
107 |
GOBP_NEGATIVE_REGULATION_OF_CHEMOTAXIS | 2.06e-03 | 13.07 | 2.53 | 1.00e+00 | 1.00e+00 | 3ROBO1, ANGPT2, SEMA3A |
64 |
GOBP_FOREBRAIN_NEURON_DEVELOPMENT | 4.39e-03 | 22.60 | 2.52 | 1.00e+00 | 1.00e+00 | 2ROBO1, SEMA3A |
25 |
GOBP_BLOOD_VESSEL_ENDOTHELIAL_CELL_MIGRATION | 5.97e-04 | 8.17 | 2.50 | 9.71e-01 | 1.00e+00 | 5HDAC9, PRKCA, ROBO1, TMSB4X, ANGPT2 |
175 |
GOBP_CRANIAL_NERVE_MORPHOGENESIS | 4.74e-03 | 21.66 | 2.42 | 1.00e+00 | 1.00e+00 | 2HOXD3, SEMA3A |
26 |
GOBP_NUCLEAR_TRANSCRIBED_MRNA_CATABOLIC_PROCESS_NONSENSE_MEDIATED_DECAY | 1.26e-03 | 9.37 | 2.41 | 9.71e-01 | 1.00e+00 | 4NBAS, RPL13, RPSA, RPL18 |
120 |
GOBP_ESTABLISHMENT_OF_PROTEIN_LOCALIZATION_TO_ENDOPLASMIC_RETICULUM | 1.30e-03 | 9.29 | 2.39 | 9.71e-01 | 1.00e+00 | 4RPL13, RPSA, RPL18, SEC62 |
121 |
GOBP_TRANSLATIONAL_INITIATION | 9.23e-04 | 7.39 | 2.26 | 9.71e-01 | 1.00e+00 | 5DDX1, RPL13, RPSA, RPL18, EIF1 |
193 |
GOBP_OLFACTORY_LOBE_DEVELOPMENT | 5.48e-03 | 20.00 | 2.24 | 1.00e+00 | 1.00e+00 | 2ROBO1, SEMA3A |
28 |
GOBP_NEURON_PROJECTION_ARBORIZATION | 5.48e-03 | 20.00 | 2.24 | 1.00e+00 | 1.00e+00 | 2MAP3K13, SEMA3A |
28 |
GOBP_ENDOTHELIAL_CELL_MIGRATION | 7.01e-04 | 6.27 | 2.16 | 9.71e-01 | 1.00e+00 | 6HDAC9, PRKCA, SERPINF1, ROBO1, TMSB4X, ANGPT2 |
278 |
GOBP_POSITIVE_REGULATION_OF_BLOOD_VESSEL_ENDOTHELIAL_CELL_MIGRATION | 3.23e-03 | 11.08 | 2.16 | 1.00e+00 | 1.00e+00 | 3HDAC9, PRKCA, TMSB4X |
75 |
GOBP_TISSUE_MIGRATION | 4.77e-04 | 5.68 | 2.14 | 9.71e-01 | 1.00e+00 | 7HDAC9, PRKCA, SERPINF1, ROBO1, TMSB4X, ANGPT2, SEMA3A |
365 |
GOBP_PROTEIN_TARGETING_TO_MEMBRANE | 1.28e-03 | 6.84 | 2.10 | 9.71e-01 | 1.00e+00 | 5RPL13, RPSA, RPL18, NACA, SEC62 |
208 |
GOBP_REGULATION_OF_EPITHELIAL_CELL_MIGRATION | 9.16e-04 | 5.94 | 2.05 | 9.71e-01 | 1.00e+00 | 6HDAC9, PRKCA, SERPINF1, TMSB4X, ANGPT2, SEMA3A |
293 |
GOBP_CENTRAL_NERVOUS_SYSTEM_NEURON_DEVELOPMENT | 4.01e-03 | 10.22 | 1.99 | 1.00e+00 | 1.00e+00 | 3NPY, ROBO1, SEMA3A |
81 |
GOBP_PROTEIN_LOCALIZATION_TO_ENDOPLASMIC_RETICULUM | 2.76e-03 | 7.50 | 1.93 | 1.00e+00 | 1.00e+00 | 4RPL13, RPSA, RPL18, SEC62 |
149 |
GOBP_REGULATION_OF_ENDOTHELIAL_CELL_MIGRATION | 2.02e-03 | 6.15 | 1.89 | 1.00e+00 | 1.00e+00 | 5HDAC9, PRKCA, SERPINF1, TMSB4X, ANGPT2 |
231 |
GOBP_NUCLEOTIDE_SUGAR_METABOLIC_PROCESS | 9.43e-03 | 14.87 | 1.69 | 1.00e+00 | 1.00e+00 | 2CSGALNACT1, GMDS |
37 |
Dowload full table
Immunological Gene Sets:
P-value | OR | Lower 95% CI | FDR | FWER | Genes Found | Gene Set Size | |
---|---|---|---|---|---|---|---|
GSE34205_HEALTHY_VS_FLU_INF_INFANT_PBMC_UP | 1.11e-05 | 10.65 | 3.99 | 5.42e-02 | 5.42e-02 | 7ST6GALNAC3, RPL13, RTN1, RPL18, NACA, EEF1B2, EEF2 |
198 |
GSE3565_CTRL_VS_LPS_INJECTED_SPLENOCYTES_DN | 5.98e-05 | 10.09 | 3.46 | 1.46e-01 | 2.91e-01 | 6RPL13, RPL18, FILIP1L, NME1, EEF1B2, EEF2 |
175 |
GSE3565_DUSP1_VS_WT_SPLENOCYTES_DN | 6.60e-04 | 7.98 | 2.44 | 6.57e-01 | 1.00e+00 | 5RPL18, FILIP1L, NME1, EEF1B2, EEF2 |
179 |
GSE22886_TH1_VS_TH2_48H_ACT_UP | 1.03e-03 | 7.19 | 2.20 | 6.57e-01 | 1.00e+00 | 5NPY, RTN1, TLL2, DLG2, EEF2 |
198 |
GSE24142_EARLY_THYMIC_PROGENITOR_VS_DN2_THYMOCYTE_FETAL_DN | 1.08e-03 | 7.12 | 2.18 | 6.57e-01 | 1.00e+00 | 5NPY, TLL2, TOM1L1, PRKCA, GAL |
200 |
GSE2405_0H_VS_9H_A_PHAGOCYTOPHILUM_STIM_NEUTROPHIL_DN | 1.08e-03 | 7.12 | 2.18 | 6.57e-01 | 1.00e+00 | 5RPL13, RPSA, RPL18, RPL22L1, EEF1B2 |
200 |
GSE2405_0H_VS_24H_A_PHAGOCYTOPHILUM_STIM_NEUTROPHIL_UP | 1.08e-03 | 7.12 | 2.18 | 6.57e-01 | 1.00e+00 | 5RPL13, RPSA, RPL18, RPL22L1, EEF1B2 |
200 |
GSE21927_SPLEEN_C57BL6_VS_4T1_TUMOR_BALBC_MONOCYTES_UP | 1.08e-03 | 7.12 | 2.18 | 6.57e-01 | 1.00e+00 | 5RPL13, RPL18, NACA, EEF1B2, EEF2 |
200 |
GSE3565_CTRL_VS_LPS_INJECTED_DUSP1_KO_SPLENOCYTES_DN | 4.49e-03 | 6.51 | 1.68 | 1.00e+00 | 1.00e+00 | 4RPL18, FILIP1L, EEF1B2, EEF2 |
171 |
GSE3720_LPS_VS_PMA_STIM_VD1_GAMMADELTA_TCELL_DN | 4.58e-03 | 6.47 | 1.67 | 1.00e+00 | 1.00e+00 | 4RPSA, RPL18, FILIP1L, EEF1B2 |
172 |
GSE33292_DN3_THYMOCYTE_VS_TCELL_LYMPHOMA_FROM_TCF1_KO_UP | 4.67e-03 | 6.43 | 1.66 | 1.00e+00 | 1.00e+00 | 4NBAS, FTH1, NACA, NME1 |
173 |
GSE3720_UNSTIM_VS_PMA_STIM_VD2_GAMMADELTA_TCELL_UP | 4.87e-03 | 6.36 | 1.64 | 1.00e+00 | 1.00e+00 | 4RPSA, RPL18, NACA, EEF1B2 |
175 |
GSE14000_TRANSLATED_RNA_VS_MRNA_DC_DN | 6.95e-03 | 5.72 | 1.48 | 1.00e+00 | 1.00e+00 | 4RPSA, RPL18, EEF1B2, SERP1 |
194 |
GSE3982_EOSINOPHIL_VS_TH2_UP | 7.07e-03 | 5.69 | 1.47 | 1.00e+00 | 1.00e+00 | 4EIF1, SERP1, ANGPT2, SEC62 |
195 |
GSE3982_MAC_VS_NEUTROPHIL_DN | 7.07e-03 | 5.69 | 1.47 | 1.00e+00 | 1.00e+00 | 4CSGALNACT1, FTH1, CHRM2, SERP1 |
195 |
GSE22886_NAIVE_CD4_TCELL_VS_NKCELL_UP | 7.20e-03 | 5.66 | 1.47 | 1.00e+00 | 1.00e+00 | 4CSGALNACT1, PRKCA, EEF2, ANGPT2 |
196 |
GSE3982_MAC_VS_BCELL_DN | 7.32e-03 | 5.63 | 1.46 | 1.00e+00 | 1.00e+00 | 4CSGALNACT1, RPSA, CORIN, ROBO1 |
197 |
GSE26351_WNT_VS_BMP_PATHWAY_STIM_HEMATOPOIETIC_PROGENITORS_UP | 7.58e-03 | 5.57 | 1.44 | 1.00e+00 | 1.00e+00 | 4RTN1, RPL18, FILIP1L, GAL |
199 |
GSE34515_CD16_NEG_VS_POS_MONOCYTE_DN | 7.58e-03 | 5.57 | 1.44 | 1.00e+00 | 1.00e+00 | 4RPL13, RPL18, PRKCA, PPIB |
199 |
GSE42088_UNINF_VS_LEISHMANIA_INF_DC_4H_DN | 7.58e-03 | 5.57 | 1.44 | 1.00e+00 | 1.00e+00 | 4RPL13, RPL18, NACA, SERP1 |
199 |
Top Ranked Transcription Factors for this Gene Expression Program:
Gene Symbol | TF Rank | DNA Binding Domain | Motif Status | IUPAC PWM | GTEx | DepMap | Decartes |
---|---|---|---|---|---|---|---|
HDAC9 | 10 | No | Unlikely to be sequence specific TF | Not a DNA binding protein | No motif | None | Histone deacetylase; likely to be a transcriptional cofactor |
HOXD3 | 28 | Yes | Known motif | Monomer or homomultimer | High-throughput in vitro | None | None |
MAP3K13 | 46 | No | Unlikely to be sequence specific TF | Not a DNA binding protein | No motif | None | None |
TWIST1 | 51 | Yes | Known motif | Monomer or homomultimer | In vivo/Misc source | Only known motifs are from Transfac or HocoMoco - origin is uncertain | Can form both homodimers and heterodimers with TCF3 (PMID: 16502419). |
GLIS1 | 77 | Yes | Known motif | Monomer or homomultimer | High-throughput in vitro | None | None |
UBB | 99 | No | Unlikely to be sequence specific TF | Not a DNA binding protein | No motif | None | None |
BMP4 | 132 | No | Unlikely to be sequence specific TF | Not a DNA binding protein | No motif | None | Likely a cofactor. |
YEATS2 | 141 | No | Unlikely to be sequence specific TF | Not a DNA binding protein | No motif | None | None |
HNRNPA1 | 143 | No | ssDNA/RNA binding | Not a DNA binding protein | No motif | None | Binds single stranded DNA in the structure (PDB: 1PGZ) |
NFE2L3 | 144 | Yes | Known motif | Obligate heteromer | In vivo/Misc source | Only known motifs are from Transfac or HocoMoco - origin is uncertain | Tested on HT-SELEX and PBM. Neither yielded a motif. Likely an obligate heteromer (PMID: 23661758). Strong preference for forming heterodimers with MAFG and MAFK over homodimers (PMID: 12805554). |
TFDP2 | 146 | Yes | Inferred motif | Obligate heteromer | In vivo/Misc source | None | None |
NPM1 | 148 | No | Unlikely to be sequence specific TF | Low specificity DNA-binding protein | No motif | None | No evidence for sequence-specific DNA-binding (PMID: 2223875) |
EDF1 | 152 | No | Unlikely to be sequence specific TF | Not a DNA binding protein | No motif | None | Known co-factor that binds DNA indirectly through interactions with TFs (PMID:12040021) |
SOX11 | 161 | Yes | Known motif | Monomer or homomultimer | 100 perc ID - in vitro | None | None |
FOXC1 | 164 | Yes | Known motif | Monomer or homomultimer | High-throughput in vitro | None | None |
HOXD10 | 177 | Yes | Known motif | Monomer or homomultimer | High-throughput in vitro | None | None |
RFX4 | 191 | Yes | Known motif | Monomer or homomultimer | High-throughput in vitro | None | None |
ETV1 | 197 | Yes | Known motif | Monomer or homomultimer | High-throughput in vitro | None | None |
RARB | 198 | Yes | Known motif | Monomer or homomultimer | High-throughput in vitro | None | None |
NR6A1 | 202 | Yes | Known motif | Monomer or homomultimer | High-throughput in vitro | None | None |
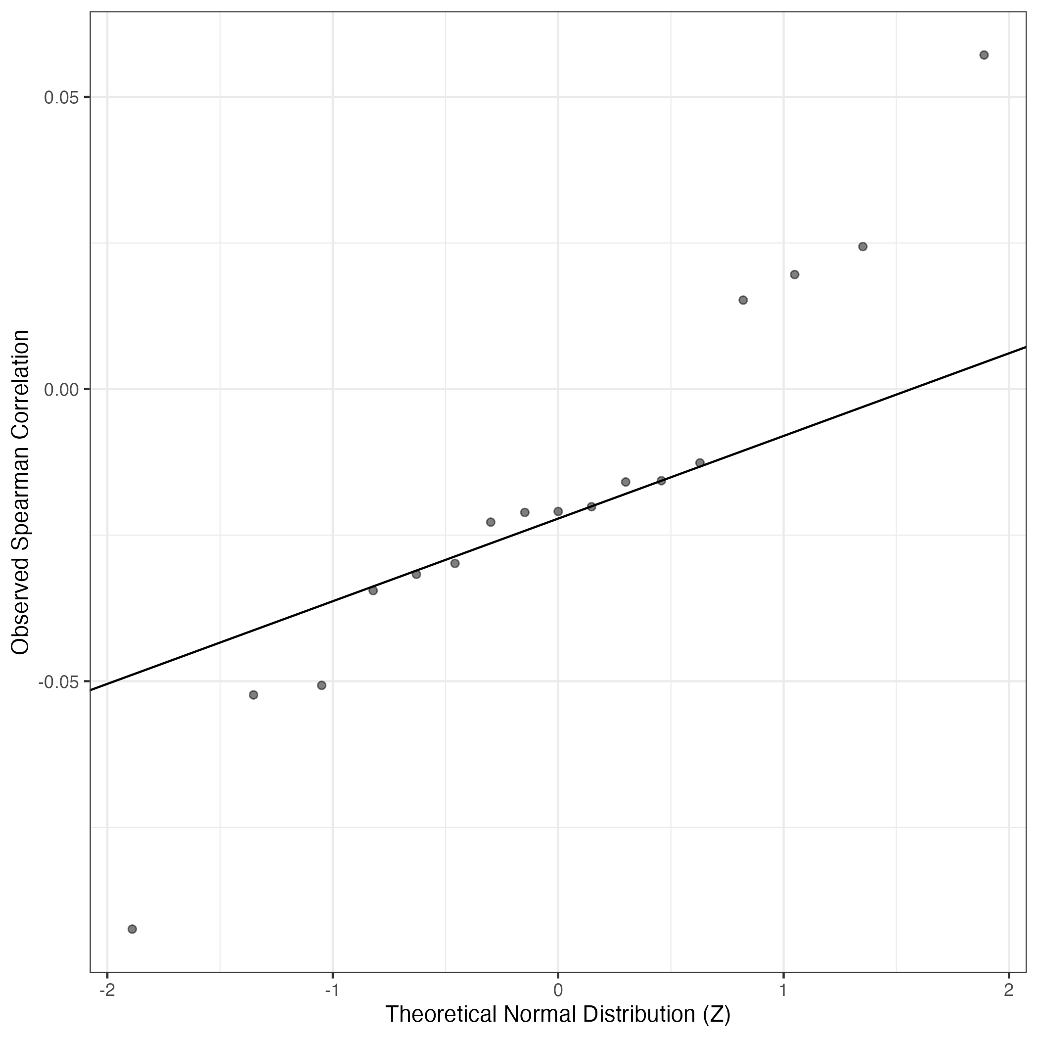
QQ Plot showing correlations with other Gene Expression Programs in this dataset, calculated by Spearman correlation:
Interactive QQ-plot of gene loadings:
A similar QQ-plot as above, but only for instances where the H value is e.g. > 25, i.e. we are confident that the expression program is active above noise. Agreemenet between these binary vectors is tested using the Jaccard Index, with the P-values calculated by an exact test:
Interactive QQ-plot:
Singler cell type annotations for the top 50 cells on this program.
Cell ID | Singler label | Singler Delta | Activity Score | Top Singler Raw Scores |
---|---|---|---|---|
NB06_CAGTAACGTAAACACA-1 | Neurons:adrenal_medulla_cell_line | 0.24 | 897.72 | Raw ScoresNeurons:adrenal_medulla_cell_line: 0.46, Neuroepithelial_cell:ESC-derived: 0.39, Astrocyte:Embryonic_stem_cell-derived: 0.39, Neurons:ES_cell-derived_neural_precursor: 0.36, iPS_cells:PDB_1lox-21Puro-20: 0.33, Embryonic_stem_cells: 0.33, iPS_cells:PDB_1lox-17Puro-10: 0.33, iPS_cells:PDB_1lox-21Puro-26: 0.33, Tissue_stem_cells:CD326-CD56+: 0.33, iPS_cells:PDB_1lox-17Puro-5: 0.33 |
NB08_TTAGGACCAGGGAGAG-1 | Neurons:adrenal_medulla_cell_line | 0.23 | 777.42 | Raw ScoresNeurons:adrenal_medulla_cell_line: 0.42, Neuroepithelial_cell:ESC-derived: 0.36, Astrocyte:Embryonic_stem_cell-derived: 0.33, Neurons:ES_cell-derived_neural_precursor: 0.33, iPS_cells:PDB_1lox-21Puro-20: 0.32, iPS_cells:PDB_1lox-21Puro-26: 0.32, iPS_cells:PDB_1lox-17Puro-10: 0.32, Embryonic_stem_cells: 0.32, iPS_cells:PDB_1lox-17Puro-5: 0.32, iPS_cells:PDB_2lox-22: 0.32 |
NB11_CGTCCATTCGTAGATC-1 | Neurons:adrenal_medulla_cell_line | 0.22 | 721.83 | Raw ScoresNeurons:adrenal_medulla_cell_line: 0.33, Neuroepithelial_cell:ESC-derived: 0.28, Astrocyte:Embryonic_stem_cell-derived: 0.27, Neurons:ES_cell-derived_neural_precursor: 0.27, iPS_cells:PDB_1lox-17Puro-10: 0.25, iPS_cells:PDB_1lox-21Puro-20: 0.25, iPS_cells:PDB_1lox-21Puro-26: 0.25, iPS_cells:PDB_1lox-17Puro-5: 0.25, Embryonic_stem_cells: 0.24, iPS_cells:PDB_2lox-22: 0.24 |
NB01_TATCAGGAGAAGCCCA-1 | Neurons:adrenal_medulla_cell_line | 0.26 | 670.92 | Raw ScoresNeurons:adrenal_medulla_cell_line: 0.42, Neuroepithelial_cell:ESC-derived: 0.38, Astrocyte:Embryonic_stem_cell-derived: 0.36, Neurons:ES_cell-derived_neural_precursor: 0.35, iPS_cells:PDB_1lox-21Puro-20: 0.34, iPS_cells:PDB_1lox-21Puro-26: 0.34, iPS_cells:PDB_1lox-17Puro-10: 0.34, iPS_cells:PDB_1lox-17Puro-5: 0.33, Embryonic_stem_cells: 0.33, iPS_cells:skin_fibroblast-derived: 0.32 |
NB07_AGGTCCGAGCAATATG-1 | Monocyte:CD16- | 0.08 | 447.62 | Raw ScoresMonocyte:CD16-: 0.26, Monocyte:CD14+: 0.26, Monocyte:CD16+: 0.26, Macrophage:monocyte-derived:M-CSF/IFNg: 0.26, Monocyte: 0.25, Macrophage:monocyte-derived:M-CSF: 0.25, Macrophage:monocyte-derived:IL-4/Dex/cntrl: 0.25, DC:monocyte-derived:anti-DC-SIGN_2h: 0.25, DC:monocyte-derived: 0.25, Monocyte:leukotriene_D4: 0.25 |
NB05_TGCGTGGCAGACAAAT-1 | Neurons:adrenal_medulla_cell_line | 0.15 | 423.38 | Raw ScoresNeurons:adrenal_medulla_cell_line: 0.33, Neuroepithelial_cell:ESC-derived: 0.33, Astrocyte:Embryonic_stem_cell-derived: 0.32, Endothelial_cells:HUVEC:VEGF: 0.3, Endothelial_cells:lymphatic:TNFa_48h: 0.3, Neurons:ES_cell-derived_neural_precursor: 0.3, Endothelial_cells:lymphatic: 0.3, Endothelial_cells:HUVEC: 0.29, MSC: 0.29, iPS_cells:CRL2097_foreskin: 0.29 |
NB11_TGTCCCAAGACAAAGG-1 | Neurons:adrenal_medulla_cell_line | 0.18 | 386.23 | Raw ScoresNeurons:adrenal_medulla_cell_line: 0.27, Neuroepithelial_cell:ESC-derived: 0.25, Neurons:ES_cell-derived_neural_precursor: 0.23, Astrocyte:Embryonic_stem_cell-derived: 0.22, iPS_cells:PDB_1lox-21Puro-20: 0.22, iPS_cells:PDB_1lox-17Puro-10: 0.22, iPS_cells:PDB_1lox-21Puro-26: 0.22, iPS_cells:PDB_1lox-17Puro-5: 0.22, Embryonic_stem_cells: 0.21, iPS_cells:PDB_2lox-22: 0.21 |
NB11_CATCCACGTCATATCG-1 | Neurons:adrenal_medulla_cell_line | 0.12 | 379.88 | Raw ScoresNeurons:adrenal_medulla_cell_line: 0.27, Neuroepithelial_cell:ESC-derived: 0.26, Astrocyte:Embryonic_stem_cell-derived: 0.24, iPS_cells:PDB_1lox-17Puro-10: 0.24, iPS_cells:PDB_1lox-17Puro-5: 0.23, iPS_cells:PDB_1lox-21Puro-26: 0.23, iPS_cells:PDB_2lox-22: 0.23, iPS_cells:PDB_1lox-21Puro-20: 0.23, iPS_cells:fibroblast-derived:Retroviral_transf: 0.23, Neurons:ES_cell-derived_neural_precursor: 0.23 |
NB04_GGGTTGCAGTAGCCGA-1 | Neurons:adrenal_medulla_cell_line | 0.24 | 335.71 | Raw ScoresNeurons:adrenal_medulla_cell_line: 0.4, Neuroepithelial_cell:ESC-derived: 0.33, Astrocyte:Embryonic_stem_cell-derived: 0.33, Neurons:ES_cell-derived_neural_precursor: 0.3, iPS_cells:PDB_1lox-21Puro-20: 0.28, iPS_cells:PDB_1lox-17Puro-10: 0.28, iPS_cells:PDB_1lox-21Puro-26: 0.28, Embryonic_stem_cells: 0.28, iPS_cells:PDB_1lox-17Puro-5: 0.28, iPS_cells:PDB_2lox-22: 0.27 |
NB06_AGAGTGGAGCCCAATT-1 | Neurons:adrenal_medulla_cell_line | 0.22 | 331.67 | Raw ScoresNeurons:adrenal_medulla_cell_line: 0.41, Astrocyte:Embryonic_stem_cell-derived: 0.35, Neuroepithelial_cell:ESC-derived: 0.35, Neurons:ES_cell-derived_neural_precursor: 0.31, iPS_cells:PDB_1lox-21Puro-20: 0.3, iPS_cells:PDB_1lox-17Puro-10: 0.3, Embryonic_stem_cells: 0.3, iPS_cells:PDB_1lox-21Puro-26: 0.3, iPS_cells:PDB_1lox-17Puro-5: 0.29, iPS_cells:PDB_2lox-22: 0.29 |
NB06_GGAATAAGTGACGGTA-1 | Neurons:adrenal_medulla_cell_line | 0.18 | 326.49 | Raw ScoresNeurons:adrenal_medulla_cell_line: 0.38, Astrocyte:Embryonic_stem_cell-derived: 0.33, Neuroepithelial_cell:ESC-derived: 0.32, Neurons:ES_cell-derived_neural_precursor: 0.29, Neurons:Schwann_cell: 0.28, Embryonic_stem_cells: 0.28, iPS_cells:PDB_1lox-21Puro-20: 0.27, MSC: 0.27, iPS_cells:PDB_1lox-17Puro-10: 0.27, Tissue_stem_cells:CD326-CD56+: 0.27 |
NB06_CACCAGGCACAACGTT-1 | Neurons:adrenal_medulla_cell_line | 0.26 | 320.31 | Raw ScoresNeurons:adrenal_medulla_cell_line: 0.46, Neuroepithelial_cell:ESC-derived: 0.38, Astrocyte:Embryonic_stem_cell-derived: 0.38, Neurons:ES_cell-derived_neural_precursor: 0.34, iPS_cells:PDB_1lox-21Puro-20: 0.33, iPS_cells:PDB_1lox-17Puro-10: 0.33, iPS_cells:PDB_1lox-21Puro-26: 0.33, iPS_cells:PDB_1lox-17Puro-5: 0.33, iPS_cells:PDB_2lox-22: 0.32, Embryonic_stem_cells: 0.32 |
NB14_GTAACGTCACCAGATT-1 | Neurons:adrenal_medulla_cell_line | 0.11 | 302.09 | Raw ScoresNeurons:adrenal_medulla_cell_line: 0.27, Neuroepithelial_cell:ESC-derived: 0.23, Astrocyte:Embryonic_stem_cell-derived: 0.22, Neurons:ES_cell-derived_neural_precursor: 0.22, iPS_cells:PDB_1lox-21Puro-26: 0.21, iPS_cells:PDB_2lox-22: 0.21, iPS_cells:PDB_1lox-17Puro-10: 0.21, iPS_cells:PDB_1lox-21Puro-20: 0.21, iPS_cells:PDB_1lox-17Puro-5: 0.21, iPS_cells:PDB_2lox-5: 0.21 |
NB01_CCTTCGAAGGCCGAAT-1 | Neurons:adrenal_medulla_cell_line | 0.14 | 278.38 | Raw ScoresNeurons:adrenal_medulla_cell_line: 0.24, Neuroepithelial_cell:ESC-derived: 0.21, Neurons:ES_cell-derived_neural_precursor: 0.2, Astrocyte:Embryonic_stem_cell-derived: 0.2, Embryonic_stem_cells: 0.18, iPS_cells:PDB_1lox-17Puro-10: 0.18, iPS_cells:PDB_1lox-21Puro-20: 0.18, iPS_cells:PDB_1lox-21Puro-26: 0.18, iPS_cells:PDB_1lox-17Puro-5: 0.18, iPS_cells:PDB_2lox-5: 0.18 |
NB07_AACCGCGCATTAGCCA-1 | Neurons:adrenal_medulla_cell_line | 0.17 | 267.77 | Raw ScoresNeurons:adrenal_medulla_cell_line: 0.29, Neuroepithelial_cell:ESC-derived: 0.26, Astrocyte:Embryonic_stem_cell-derived: 0.25, Neurons:ES_cell-derived_neural_precursor: 0.23, Embryonic_stem_cells: 0.21, iPS_cells:PDB_1lox-21Puro-20: 0.21, iPS_cells:PDB_1lox-17Puro-10: 0.21, iPS_cells:PDB_1lox-21Puro-26: 0.21, iPS_cells:PDB_1lox-17Puro-5: 0.21, iPS_cells:PDB_2lox-22: 0.21 |
NB06_TAGTTGGCATGTCCTC-1 | Neurons:adrenal_medulla_cell_line | 0.16 | 258.26 | Raw ScoresNeurons:adrenal_medulla_cell_line: 0.36, Astrocyte:Embryonic_stem_cell-derived: 0.32, Neuroepithelial_cell:ESC-derived: 0.32, Neurons:Schwann_cell: 0.29, Neurons:ES_cell-derived_neural_precursor: 0.29, Embryonic_stem_cells: 0.28, Smooth_muscle_cells:bronchial: 0.28, iPS_cells:PDB_1lox-17Puro-10: 0.28, iPS_cells:PDB_1lox-21Puro-20: 0.27, iPS_cells:PDB_1lox-21Puro-26: 0.27 |
NB11_GGCAATTTCTCCGGTT-1 | Neurons:adrenal_medulla_cell_line | 0.14 | 239.86 | Raw ScoresNeurons:adrenal_medulla_cell_line: 0.25, Neuroepithelial_cell:ESC-derived: 0.22, Astrocyte:Embryonic_stem_cell-derived: 0.2, Neurons:ES_cell-derived_neural_precursor: 0.2, Embryonic_stem_cells: 0.19, iPS_cells:PDB_1lox-17Puro-5: 0.18, iPS_cells:PDB_2lox-5: 0.18, iPS_cells:PDB_2lox-22: 0.18, iPS_cells:PDB_1lox-17Puro-10: 0.18, iPS_cells:PDB_1lox-21Puro-20: 0.18 |
NB01_CGATCGGGTACCGAGA-1 | Neurons:adrenal_medulla_cell_line | 0.16 | 216.53 | Raw ScoresNeurons:adrenal_medulla_cell_line: 0.26, Neuroepithelial_cell:ESC-derived: 0.22, Neurons:ES_cell-derived_neural_precursor: 0.21, Astrocyte:Embryonic_stem_cell-derived: 0.2, iPS_cells:PDB_1lox-21Puro-26: 0.2, iPS_cells:PDB_1lox-21Puro-20: 0.2, iPS_cells:PDB_1lox-17Puro-10: 0.19, iPS_cells:PDB_1lox-17Puro-5: 0.19, Embryonic_stem_cells: 0.19, iPS_cells:PDB_2lox-22: 0.19 |
NB11_TTATGCTGTATATGGA-1 | Tissue_stem_cells:CD326-CD56+ | 0.04 | 214.58 | Raw ScoresNeurons:adrenal_medulla_cell_line: 0.14, Neuroepithelial_cell:ESC-derived: 0.12, Tissue_stem_cells:CD326-CD56+: 0.12, Embryonic_stem_cells: 0.12, MSC: 0.12, Neurons:ES_cell-derived_neural_precursor: 0.12, iPS_cells:PDB_2lox-22: 0.12, iPS_cells:fibroblast-derived:Direct_del._reprog: 0.12, iPS_cells:CRL2097_foreskin: 0.11, iPS_cells:PDB_2lox-17: 0.11 |
NB01_GGCTCGAAGAAACCGC-1 | Neurons:adrenal_medulla_cell_line | 0.11 | 206.47 | Raw ScoresNeurons:adrenal_medulla_cell_line: 0.2, Neuroepithelial_cell:ESC-derived: 0.18, Neurons:ES_cell-derived_neural_precursor: 0.16, Astrocyte:Embryonic_stem_cell-derived: 0.16, Embryonic_stem_cells: 0.15, iPS_cells:PDB_1lox-21Puro-20: 0.15, iPS_cells:PDB_1lox-21Puro-26: 0.15, Tissue_stem_cells:CD326-CD56+: 0.15, iPS_cells:PDB_1lox-17Puro-10: 0.15, iPS_cells:PDB_2lox-5: 0.15 |
NB06_GAAACTCCATTCGACA-1 | Neurons:adrenal_medulla_cell_line | 0.13 | 198.09 | Raw ScoresNeurons:adrenal_medulla_cell_line: 0.27, Astrocyte:Embryonic_stem_cell-derived: 0.25, Neuroepithelial_cell:ESC-derived: 0.24, Neurons:ES_cell-derived_neural_precursor: 0.22, Smooth_muscle_cells:bronchial: 0.21, Endothelial_cells:lymphatic: 0.21, Smooth_muscle_cells:bronchial:vit_D: 0.21, Embryonic_stem_cells: 0.21, Neurons:Schwann_cell: 0.21, Endothelial_cells:HUVEC: 0.2 |
NB01_CGTTAGACATGCCACG-1 | Neurons:adrenal_medulla_cell_line | 0.15 | 192.21 | Raw ScoresNeurons:adrenal_medulla_cell_line: 0.24, Neuroepithelial_cell:ESC-derived: 0.21, Neurons:ES_cell-derived_neural_precursor: 0.2, Astrocyte:Embryonic_stem_cell-derived: 0.2, iPS_cells:PDB_1lox-21Puro-20: 0.19, iPS_cells:PDB_1lox-21Puro-26: 0.19, iPS_cells:PDB_1lox-17Puro-10: 0.19, iPS_cells:PDB_1lox-17Puro-5: 0.18, Embryonic_stem_cells: 0.18, iPS_cells:PDB_2lox-22: 0.18 |
NB06_GATCGATAGCTGAAAT-1 | Neurons:adrenal_medulla_cell_line | 0.19 | 184.14 | Raw ScoresNeurons:adrenal_medulla_cell_line: 0.34, Neuroepithelial_cell:ESC-derived: 0.29, Astrocyte:Embryonic_stem_cell-derived: 0.28, Neurons:ES_cell-derived_neural_precursor: 0.26, iPS_cells:PDB_1lox-21Puro-20: 0.24, Embryonic_stem_cells: 0.24, iPS_cells:PDB_1lox-17Puro-10: 0.24, iPS_cells:PDB_1lox-21Puro-26: 0.24, iPS_cells:PDB_1lox-17Puro-5: 0.24, iPS_cells:PDB_2lox-22: 0.23 |
NB01_AAATGCCTCTGGTTCC-1 | Neurons:adrenal_medulla_cell_line | 0.18 | 149.72 | Raw ScoresNeurons:adrenal_medulla_cell_line: 0.27, Neuroepithelial_cell:ESC-derived: 0.23, Neurons:ES_cell-derived_neural_precursor: 0.22, iPS_cells:PDB_1lox-21Puro-20: 0.21, iPS_cells:PDB_1lox-17Puro-10: 0.21, iPS_cells:PDB_1lox-21Puro-26: 0.21, iPS_cells:PDB_1lox-17Puro-5: 0.21, Astrocyte:Embryonic_stem_cell-derived: 0.21, Embryonic_stem_cells: 0.2, iPS_cells:PDB_2lox-22: 0.2 |
NB11_TGGCGCACACGCGAAA-1 | Neurons:adrenal_medulla_cell_line | 0.12 | 149.71 | Raw ScoresNeurons:adrenal_medulla_cell_line: 0.19, Neurons:ES_cell-derived_neural_precursor: 0.16, Neuroepithelial_cell:ESC-derived: 0.16, Astrocyte:Embryonic_stem_cell-derived: 0.16, iPS_cells:PDB_1lox-21Puro-20: 0.15, iPS_cells:PDB_1lox-17Puro-5: 0.15, iPS_cells:PDB_1lox-17Puro-10: 0.15, iPS_cells:PDB_1lox-21Puro-26: 0.15, Embryonic_stem_cells: 0.15, iPS_cells:PDB_2lox-21: 0.14 |
NB06_ACCTTTACAAATTGCC-1 | Neurons:adrenal_medulla_cell_line | 0.23 | 148.82 | Raw ScoresNeurons:adrenal_medulla_cell_line: 0.39, Neuroepithelial_cell:ESC-derived: 0.32, Astrocyte:Embryonic_stem_cell-derived: 0.32, Neurons:ES_cell-derived_neural_precursor: 0.29, iPS_cells:PDB_1lox-21Puro-20: 0.28, iPS_cells:PDB_1lox-21Puro-26: 0.28, iPS_cells:PDB_1lox-17Puro-10: 0.28, iPS_cells:PDB_1lox-17Puro-5: 0.28, Embryonic_stem_cells: 0.27, iPS_cells:PDB_2lox-22: 0.27 |
NB01_CCTCTGAAGTTAAGTG-1 | Neurons:adrenal_medulla_cell_line | 0.08 | 147.73 | Raw ScoresNeurons:adrenal_medulla_cell_line: 0.2, Neuroepithelial_cell:ESC-derived: 0.18, Astrocyte:Embryonic_stem_cell-derived: 0.18, iPS_cells:CRL2097_foreskin-derived:undiff.: 0.18, iPS_cells:PDB_1lox-21Puro-20: 0.18, iPS_cells:PDB_2lox-22: 0.18, iPS_cells:PDB_1lox-17Puro-10: 0.18, iPS_cells:PDB_2lox-21: 0.17, Embryonic_stem_cells: 0.17, iPS_cells:PDB_1lox-17Puro-5: 0.17 |
NB01_TCAGATGTCGTAGATC-1 | Neurons:adrenal_medulla_cell_line | 0.21 | 147.44 | Raw ScoresNeurons:adrenal_medulla_cell_line: 0.34, Neuroepithelial_cell:ESC-derived: 0.3, Astrocyte:Embryonic_stem_cell-derived: 0.29, Neurons:ES_cell-derived_neural_precursor: 0.29, iPS_cells:PDB_1lox-21Puro-20: 0.26, Embryonic_stem_cells: 0.26, iPS_cells:PDB_1lox-21Puro-26: 0.26, iPS_cells:PDB_1lox-17Puro-10: 0.26, iPS_cells:PDB_1lox-17Puro-5: 0.26, iPS_cells:skin_fibroblast-derived: 0.26 |
NB06_GTGCTTCCATTGCGGC-1 | Neurons:adrenal_medulla_cell_line | 0.19 | 142.08 | Raw ScoresNeurons:adrenal_medulla_cell_line: 0.33, Neuroepithelial_cell:ESC-derived: 0.27, Astrocyte:Embryonic_stem_cell-derived: 0.26, Neurons:ES_cell-derived_neural_precursor: 0.25, iPS_cells:PDB_1lox-21Puro-20: 0.23, iPS_cells:PDB_1lox-17Puro-10: 0.23, iPS_cells:PDB_1lox-21Puro-26: 0.23, iPS_cells:PDB_1lox-17Puro-5: 0.23, Embryonic_stem_cells: 0.23, iPS_cells:PDB_2lox-22: 0.23 |
NB06_ACACCCTCATACGCCG-1 | Neurons:adrenal_medulla_cell_line | 0.18 | 140.80 | Raw ScoresNeurons:adrenal_medulla_cell_line: 0.28, Neuroepithelial_cell:ESC-derived: 0.23, Astrocyte:Embryonic_stem_cell-derived: 0.22, Neurons:ES_cell-derived_neural_precursor: 0.21, iPS_cells:PDB_1lox-21Puro-20: 0.2, iPS_cells:PDB_1lox-21Puro-26: 0.2, iPS_cells:PDB_1lox-17Puro-10: 0.2, iPS_cells:PDB_1lox-17Puro-5: 0.2, Embryonic_stem_cells: 0.2, iPS_cells:PDB_2lox-22: 0.2 |
NB03_CGATCGGCATCACGAT-1 | Neurons:adrenal_medulla_cell_line | 0.21 | 140.60 | Raw ScoresNeurons:adrenal_medulla_cell_line: 0.37, Neuroepithelial_cell:ESC-derived: 0.32, Astrocyte:Embryonic_stem_cell-derived: 0.3, Neurons:ES_cell-derived_neural_precursor: 0.29, iPS_cells:PDB_1lox-21Puro-20: 0.28, iPS_cells:PDB_1lox-21Puro-26: 0.28, iPS_cells:PDB_1lox-17Puro-10: 0.28, iPS_cells:PDB_1lox-17Puro-5: 0.28, iPS_cells:PDB_2lox-22: 0.27, Embryonic_stem_cells: 0.27 |
NB06_CACACTCTCTCTTATG-1 | Neurons:adrenal_medulla_cell_line | 0.17 | 136.62 | Raw ScoresNeurons:adrenal_medulla_cell_line: 0.31, Neuroepithelial_cell:ESC-derived: 0.28, Astrocyte:Embryonic_stem_cell-derived: 0.26, Neurons:ES_cell-derived_neural_precursor: 0.25, iPS_cells:PDB_1lox-21Puro-20: 0.24, Embryonic_stem_cells: 0.24, iPS_cells:PDB_1lox-17Puro-10: 0.24, iPS_cells:PDB_1lox-21Puro-26: 0.23, iPS_cells:PDB_1lox-17Puro-5: 0.23, iPS_cells:PDB_2lox-22: 0.23 |
NB12_CCGTACTGTCTTCTCG-1 | Neurons:adrenal_medulla_cell_line | 0.25 | 136.44 | Raw ScoresNeurons:adrenal_medulla_cell_line: 0.39, Neuroepithelial_cell:ESC-derived: 0.33, Astrocyte:Embryonic_stem_cell-derived: 0.33, Neurons:ES_cell-derived_neural_precursor: 0.3, iPS_cells:PDB_1lox-21Puro-20: 0.29, iPS_cells:PDB_1lox-21Puro-26: 0.29, iPS_cells:PDB_1lox-17Puro-10: 0.29, iPS_cells:PDB_1lox-17Puro-5: 0.28, Embryonic_stem_cells: 0.28, iPS_cells:PDB_2lox-22: 0.27 |
NB06_TGGGCGTCAAGCTGAG-1 | Neurons:adrenal_medulla_cell_line | 0.17 | 132.60 | Raw ScoresNeurons:adrenal_medulla_cell_line: 0.3, Neuroepithelial_cell:ESC-derived: 0.25, Astrocyte:Embryonic_stem_cell-derived: 0.25, Neurons:ES_cell-derived_neural_precursor: 0.23, Neurons:Schwann_cell: 0.21, Embryonic_stem_cells: 0.21, iPS_cells:PDB_1lox-21Puro-20: 0.21, iPS_cells:PDB_1lox-17Puro-10: 0.21, iPS_cells:PDB_1lox-21Puro-26: 0.21, iPS_cells:PDB_1lox-17Puro-5: 0.21 |
NB01_CGTCTACCAAAGAATC-1 | Neurons:adrenal_medulla_cell_line | 0.16 | 131.89 | Raw ScoresNeurons:adrenal_medulla_cell_line: 0.24, Neuroepithelial_cell:ESC-derived: 0.19, Astrocyte:Embryonic_stem_cell-derived: 0.19, Neurons:ES_cell-derived_neural_precursor: 0.18, iPS_cells:PDB_1lox-21Puro-26: 0.18, iPS_cells:PDB_1lox-17Puro-10: 0.18, iPS_cells:PDB_1lox-21Puro-20: 0.18, iPS_cells:PDB_1lox-17Puro-5: 0.18, Embryonic_stem_cells: 0.17, iPS_cells:PDB_2lox-22: 0.17 |
NB01_CCACGGAAGTAGGCCA-1 | Neurons:adrenal_medulla_cell_line | 0.24 | 130.54 | Raw ScoresNeurons:adrenal_medulla_cell_line: 0.37, Neuroepithelial_cell:ESC-derived: 0.32, Astrocyte:Embryonic_stem_cell-derived: 0.31, Neurons:ES_cell-derived_neural_precursor: 0.3, iPS_cells:PDB_1lox-21Puro-20: 0.29, iPS_cells:PDB_1lox-21Puro-26: 0.29, iPS_cells:PDB_1lox-17Puro-10: 0.29, iPS_cells:PDB_1lox-17Puro-5: 0.28, Embryonic_stem_cells: 0.28, iPS_cells:skin_fibroblast-derived: 0.28 |
NB11_CATATTCAGGCTATCT-1 | Neurons:adrenal_medulla_cell_line | 0.09 | 129.37 | Raw ScoresNeurons:adrenal_medulla_cell_line: 0.19, Neuroepithelial_cell:ESC-derived: 0.19, Neurons:ES_cell-derived_neural_precursor: 0.18, Embryonic_stem_cells: 0.17, Tissue_stem_cells:CD326-CD56+: 0.17, Astrocyte:Embryonic_stem_cell-derived: 0.17, iPS_cells:fibroblast-derived:Retroviral_transf: 0.17, iPS_cells:PDB_2lox-22: 0.17, iPS_cells:PDB_1lox-17Puro-10: 0.17, iPS_cells:PDB_1lox-21Puro-26: 0.17 |
NB07_CTGCTGTTCTTCATGT-1 | Neurons:adrenal_medulla_cell_line | 0.14 | 128.98 | Raw ScoresNeurons:adrenal_medulla_cell_line: 0.26, Neuroepithelial_cell:ESC-derived: 0.23, Astrocyte:Embryonic_stem_cell-derived: 0.22, Neurons:ES_cell-derived_neural_precursor: 0.21, Embryonic_stem_cells: 0.19, iPS_cells:PDB_1lox-17Puro-10: 0.19, iPS_cells:PDB_1lox-17Puro-5: 0.19, iPS_cells:PDB_1lox-21Puro-20: 0.19, iPS_cells:PDB_1lox-21Puro-26: 0.18, iPS_cells:CRL2097_foreskin-derived:undiff.: 0.18 |
NB01_CTCTAATCAAGCTGGA-1 | Neurons:adrenal_medulla_cell_line | 0.13 | 128.58 | Raw ScoresNeurons:adrenal_medulla_cell_line: 0.2, Neuroepithelial_cell:ESC-derived: 0.17, Neurons:ES_cell-derived_neural_precursor: 0.16, Astrocyte:Embryonic_stem_cell-derived: 0.16, Embryonic_stem_cells: 0.15, iPS_cells:PDB_1lox-21Puro-26: 0.14, iPS_cells:PDB_1lox-21Puro-20: 0.14, iPS_cells:PDB_1lox-17Puro-10: 0.14, Smooth_muscle_cells:bronchial: 0.14, iPS_cells:PDB_1lox-17Puro-5: 0.14 |
NB07_CGCGGTAGTCCGTTAA-1 | Neurons:adrenal_medulla_cell_line | 0.25 | 128.20 | Raw ScoresNeurons:adrenal_medulla_cell_line: 0.42, Neuroepithelial_cell:ESC-derived: 0.36, Astrocyte:Embryonic_stem_cell-derived: 0.34, Neurons:ES_cell-derived_neural_precursor: 0.33, iPS_cells:PDB_1lox-21Puro-20: 0.32, iPS_cells:PDB_1lox-17Puro-10: 0.32, iPS_cells:PDB_1lox-21Puro-26: 0.32, iPS_cells:PDB_1lox-17Puro-5: 0.31, iPS_cells:PDB_2lox-22: 0.31, Embryonic_stem_cells: 0.3 |
NB08_TAGTTGGGTGCCTTGG-1 | Neurons:adrenal_medulla_cell_line | 0.16 | 127.85 | Raw ScoresNeurons:adrenal_medulla_cell_line: 0.27, Neuroepithelial_cell:ESC-derived: 0.24, Neurons:ES_cell-derived_neural_precursor: 0.22, iPS_cells:PDB_2lox-22: 0.22, iPS_cells:PDB_1lox-17Puro-5: 0.22, iPS_cells:PDB_2lox-21: 0.22, iPS_cells:PDB_1lox-17Puro-10: 0.22, iPS_cells:PDB_2lox-17: 0.22, Embryonic_stem_cells: 0.22, iPS_cells:PDB_1lox-21Puro-20: 0.22 |
NB08_GCGAGAACATGGTTGT-1 | Neurons:adrenal_medulla_cell_line | 0.08 | 127.01 | Raw ScoresNeurons:adrenal_medulla_cell_line: 0.12, Neuroepithelial_cell:ESC-derived: 0.09, Neurons:ES_cell-derived_neural_precursor: 0.09, Astrocyte:Embryonic_stem_cell-derived: 0.09, Neurons:Schwann_cell: 0.08, Smooth_muscle_cells:bronchial:vit_D: 0.08, Smooth_muscle_cells:bronchial: 0.08, MSC: 0.08, Tissue_stem_cells:CD326-CD56+: 0.08, Endothelial_cells:lymphatic:TNFa_48h: 0.08 |
NB11_AACTCTTTCACTCTTA-1 | Neurons:adrenal_medulla_cell_line | 0.11 | 126.37 | Raw ScoresNeurons:adrenal_medulla_cell_line: 0.21, Neuroepithelial_cell:ESC-derived: 0.19, Neurons:ES_cell-derived_neural_precursor: 0.18, Embryonic_stem_cells: 0.18, MSC: 0.17, Neurons:Schwann_cell: 0.17, Astrocyte:Embryonic_stem_cell-derived: 0.17, iPS_cells:CRL2097_foreskin: 0.17, iPS_cells:skin_fibroblast: 0.17, iPS_cells:foreskin_fibrobasts: 0.17 |
NB01_ATCGAGTCATGAGCGA-1 | Neurons:adrenal_medulla_cell_line | 0.12 | 125.70 | Raw ScoresNeurons:adrenal_medulla_cell_line: 0.24, Neuroepithelial_cell:ESC-derived: 0.2, Neurons:ES_cell-derived_neural_precursor: 0.2, iPS_cells:PDB_1lox-17Puro-10: 0.19, iPS_cells:PDB_1lox-17Puro-5: 0.19, iPS_cells:PDB_1lox-21Puro-26: 0.19, iPS_cells:PDB_1lox-21Puro-20: 0.19, Astrocyte:Embryonic_stem_cell-derived: 0.19, iPS_cells:PDB_2lox-5: 0.19, iPS_cells:PDB_2lox-22: 0.18 |
NB11_GATCGTAAGGTGCTAG-1 | Neurons:adrenal_medulla_cell_line | 0.13 | 124.32 | Raw ScoresNeurons:adrenal_medulla_cell_line: 0.23, Neuroepithelial_cell:ESC-derived: 0.19, Neurons:ES_cell-derived_neural_precursor: 0.18, Astrocyte:Embryonic_stem_cell-derived: 0.18, iPS_cells:PDB_1lox-21Puro-20: 0.17, iPS_cells:PDB_1lox-21Puro-26: 0.17, iPS_cells:PDB_1lox-17Puro-5: 0.17, iPS_cells:PDB_1lox-17Puro-10: 0.17, iPS_cells:PDB_2lox-5: 0.16, Embryonic_stem_cells: 0.16 |
NB01_CTGCGGAGTTCGAATC-1 | Neurons:adrenal_medulla_cell_line | 0.25 | 123.46 | Raw ScoresNeurons:adrenal_medulla_cell_line: 0.4, Neuroepithelial_cell:ESC-derived: 0.35, Astrocyte:Embryonic_stem_cell-derived: 0.34, Neurons:ES_cell-derived_neural_precursor: 0.33, iPS_cells:PDB_1lox-21Puro-20: 0.32, iPS_cells:PDB_1lox-21Puro-26: 0.32, iPS_cells:PDB_1lox-17Puro-10: 0.32, iPS_cells:PDB_1lox-17Puro-5: 0.32, Embryonic_stem_cells: 0.31, iPS_cells:PDB_2lox-22: 0.3 |
NB03_AAGGTTCAGCCACCTG-1 | Astrocyte:Embryonic_stem_cell-derived | 0.03 | 121.57 | Raw ScoresEndothelial_cells:lymphatic:TNFa_48h: 0.19, Endothelial_cells:lymphatic: 0.19, Endothelial_cells:HUVEC:Serum_Amyloid_A: 0.17, Endothelial_cells:HUVEC:VEGF: 0.17, Endothelial_cells:lymphatic:KSHV: 0.17, Endothelial_cells:HUVEC: 0.17, Endothelial_cells:HUVEC:IL-1b: 0.17, Endothelial_cells:HUVEC:FPV-infected: 0.17, Endothelial_cells:HUVEC:B._anthracis_LT: 0.17, Endothelial_cells:blood_vessel: 0.17 |
NB14_ATAACGCTCTTTAGTC-1 | Neurons:adrenal_medulla_cell_line | 0.16 | 121.34 | Raw ScoresNeurons:adrenal_medulla_cell_line: 0.28, Neuroepithelial_cell:ESC-derived: 0.24, Astrocyte:Embryonic_stem_cell-derived: 0.22, Neurons:ES_cell-derived_neural_precursor: 0.22, iPS_cells:PDB_1lox-21Puro-20: 0.22, iPS_cells:PDB_1lox-17Puro-10: 0.21, iPS_cells:PDB_1lox-21Puro-26: 0.21, Embryonic_stem_cells: 0.21, iPS_cells:PDB_1lox-17Puro-5: 0.21, iPS_cells:CRL2097_foreskin-derived:undiff.: 0.21 |
NB01_GTTACAGCACAAGCCC-1 | Neurons:adrenal_medulla_cell_line | 0.12 | 120.86 | Raw ScoresNeurons:adrenal_medulla_cell_line: 0.21, Neuroepithelial_cell:ESC-derived: 0.17, Astrocyte:Embryonic_stem_cell-derived: 0.17, iPS_cells:PDB_1lox-21Puro-20: 0.17, iPS_cells:PDB_1lox-17Puro-5: 0.16, iPS_cells:PDB_1lox-17Puro-10: 0.16, iPS_cells:PDB_1lox-21Puro-26: 0.16, Neurons:ES_cell-derived_neural_precursor: 0.16, Embryonic_stem_cells: 0.16, iPS_cells:PDB_2lox-22: 0.16 |
NB06_CGATTGACATATACCG-1 | Neurons:adrenal_medulla_cell_line | 0.20 | 120.77 | Raw ScoresNeurons:adrenal_medulla_cell_line: 0.33, Neuroepithelial_cell:ESC-derived: 0.27, Astrocyte:Embryonic_stem_cell-derived: 0.27, Neurons:ES_cell-derived_neural_precursor: 0.24, Embryonic_stem_cells: 0.23, iPS_cells:PDB_1lox-21Puro-20: 0.22, iPS_cells:PDB_1lox-17Puro-10: 0.22, iPS_cells:PDB_1lox-17Puro-5: 0.22, iPS_cells:PDB_1lox-21Puro-26: 0.22, iPS_cells:PDB_2lox-22: 0.22 |
Below shows the significant enrichments of this GEP for literature curated gene lists
This data was procured from existing single cell RNA-seq maps of neuroblastoma or related relevant data.
High ranks indicate this gene is a driver of this GEP.
These curated gene list are ranked by the P-value (on this GEP) of their constituent genes.
The Mean Count column shows the mean read count in cells scoring highly (H > 50) on this gene expression program.
Genes | Weight | Rank | GTEx | DepMap | Decartes | Mean.Counts | Mean.TPM |
---|---|---|---|---|---|---|---|
EIF3E | 0.0010373 | 279 | GTEx | DepMap | Descartes | 0.61 | 354.04 |
EIF3F | 0.0008078 | 412 | GTEx | DepMap | Descartes | 0.30 | 41.41 |
EIF3L | 0.0008070 | 413 | GTEx | DepMap | Descartes | 0.47 | 161.14 |
Other T cells (Yuan)
Obtained from Fig. 6 of Yuan et al. https://www.biorxiv.org/content/10.1101/2020.05.15.097469v1:
Wilcoxon ranksum test P-value for gene set overrepresentation: 1.03e-02
Mean rank of genes in gene set: 2850.83
Rank on gene expression program of genes in gene set:
Genes | Weight | Rank | GTEx | DepMap | Decartes | Mean.Counts | Mean.TPM |
---|---|---|---|---|---|---|---|
TCF7 | 0.0008470 | 384 | GTEx | DepMap | Descartes | 0.16 | 32.30 |
LEF1 | 0.0001690 | 2013 | GTEx | DepMap | Descartes | 0.02 | 4.05 |
CCR7 | 0.0001253 | 2357 | GTEx | DepMap | Descartes | 0.01 | 4.27 |
SELL | 0.0001233 | 2376 | GTEx | DepMap | Descartes | 0.01 | 4.52 |
CD4 | -0.0000238 | 4199 | GTEx | DepMap | Descartes | 0.01 | 1.57 |
FOXP3 | -0.0001103 | 5776 | GTEx | DepMap | Descartes | 0.00 | 0.00 |
Meta5 unclear (Dong)
Markers obtained in computationally inferred meta program (by NMF applied to their neuroblastoma sc-RNA-seq data) from Fig. 5(a) of Dong et al. (PMID 32946775).:
Wilcoxon ranksum test P-value for gene set overrepresentation: 1.13e-02
Mean rank of genes in gene set: 432
Rank on gene expression program of genes in gene set:
Genes | Weight | Rank | GTEx | DepMap | Decartes | Mean.Counts | Mean.TPM |
---|---|---|---|---|---|---|---|
STMN2 | 0.0023112 | 59 | GTEx | DepMap | Descartes | 4.54 | 2365.72 |
STMN1 | 0.0005077 | 805 | GTEx | DepMap | Descartes | 2.17 | 673.06 |
Below shows ranks on this GEP for literature curated gene lists for large gene sets
These include those reported as mesenchymal/adrenergic by Van Groningen et al.
High ranks indicate this gene is a driver of this GEP (note these results are not ordered).
The Mean Count column shows the mean read count in cells scoring highly (H > 50) on this gene expression program.
VanGroningen Adrenergic Genes
Adrenergic marker genes from Supplementary Table 2 of Van Groningen et al. Nature Genetics 2017. These genes were identified by differential expression analysis of mesenchymal-like and adrenergic-like neuroblastoma cell lines.
Wilcoxon ranksum test P-value for gene set overrepresentation: 1.00e+00
Mean rank of genes in gene set: 7187.29
Median rank of genes in gene set: 8404
Rank on gene expression program of top 30 genes in gene set:
Genes | Weight | Rank | GTEx | DepMap | Descartes | Mean.Counts | Mean.TPM |
---|---|---|---|---|---|---|---|
NPY | 0.0073355 | 3 | GTEx | DepMap | Descartes | 12.07 | 19672.14 |
RTN1 | 0.0050176 | 7 | GTEx | DepMap | Descartes | 5.87 | 1807.53 |
MARCH11 | 0.0030166 | 27 | GTEx | DepMap | Descartes | 3.02 | NA |
GAL | 0.0027490 | 37 | GTEx | DepMap | Descartes | 1.23 | 2071.07 |
MYRIP | 0.0024410 | 49 | GTEx | DepMap | Descartes | 0.56 | 111.05 |
STMN2 | 0.0023112 | 59 | GTEx | DepMap | Descartes | 4.54 | 2365.72 |
TMEM108 | 0.0016325 | 118 | GTEx | DepMap | Descartes | 1.50 | 330.75 |
KLHL13 | 0.0015251 | 138 | GTEx | DepMap | Descartes | 1.95 | 384.13 |
RBP1 | 0.0014136 | 157 | GTEx | DepMap | Descartes | 0.52 | 304.34 |
SOX11 | 0.0014003 | 161 | GTEx | DepMap | Descartes | 1.99 | 192.28 |
SYNPO2 | 0.0013393 | 175 | GTEx | DepMap | Descartes | 1.21 | 82.62 |
CHGB | 0.0010821 | 264 | GTEx | DepMap | Descartes | 1.93 | 817.20 |
PRSS12 | 0.0010010 | 297 | GTEx | DepMap | Descartes | 0.30 | 69.90 |
SLC35G2 | 0.0009734 | 305 | GTEx | DepMap | Descartes | 0.41 | NA |
AKAP12 | 0.0009664 | 306 | GTEx | DepMap | Descartes | 0.86 | 104.73 |
LSM3 | 0.0009664 | 307 | GTEx | DepMap | Descartes | 0.20 | 67.15 |
RBMS3 | 0.0009583 | 314 | GTEx | DepMap | Descartes | 6.38 | 728.96 |
PHPT1 | 0.0008826 | 356 | GTEx | DepMap | Descartes | 0.43 | 371.68 |
EIF1B | 0.0008626 | 376 | GTEx | DepMap | Descartes | 0.37 | 403.14 |
TUBB2B | 0.0008590 | 378 | GTEx | DepMap | Descartes | 2.41 | 1142.24 |
GLRX | 0.0007710 | 444 | GTEx | DepMap | Descartes | 0.10 | 30.85 |
MSH6 | 0.0007373 | 480 | GTEx | DepMap | Descartes | 0.32 | 38.18 |
SEC11C | 0.0007373 | 481 | GTEx | DepMap | Descartes | 0.31 | 151.57 |
CXCR4 | 0.0006809 | 542 | GTEx | DepMap | Descartes | 0.14 | 71.71 |
TMOD1 | 0.0006635 | 566 | GTEx | DepMap | Descartes | 1.38 | 393.47 |
SCG3 | 0.0006435 | 586 | GTEx | DepMap | Descartes | 0.34 | 106.26 |
NEFM | 0.0006238 | 615 | GTEx | DepMap | Descartes | 0.28 | 68.91 |
GAP43 | 0.0005802 | 678 | GTEx | DepMap | Descartes | 0.90 | 422.02 |
DTD1 | 0.0005579 | 714 | GTEx | DepMap | Descartes | 0.31 | 76.29 |
GDPD1 | 0.0005572 | 717 | GTEx | DepMap | Descartes | 0.33 | 102.49 |
VanGroningen Mesenchymal Genes
Mesenchymal marker genes from Supplementary Table 2 of Van Groningen et al. Nature Genetics 2017. These genes were identified by differential expression analysis of mesenchymal-like and adrenergic-like neuroblastoma cell lines.
Wilcoxon ranksum test P-value for gene set overrepresentation: 1.00e+00
Mean rank of genes in gene set: 7618.98
Median rank of genes in gene set: 8434
Rank on gene expression program of top 30 genes in gene set:
Genes | Weight | Rank | GTEx | DepMap | Descartes | Mean.Counts | Mean.TPM |
---|---|---|---|---|---|---|---|
FILIP1L | 0.0038250 | 18 | GTEx | DepMap | Descartes | 1.17 | 288.46 |
ROBO1 | 0.0028049 | 34 | GTEx | DepMap | Descartes | 5.19 | 673.84 |
PPIB | 0.0028036 | 35 | GTEx | DepMap | Descartes | 0.68 | 607.38 |
PRDX4 | 0.0016517 | 114 | GTEx | DepMap | Descartes | 0.22 | 282.33 |
MANF | 0.0015738 | 129 | GTEx | DepMap | Descartes | 0.20 | 173.06 |
MAML2 | 0.0012562 | 199 | GTEx | DepMap | Descartes | 0.69 | 94.73 |
PDIA3 | 0.0010941 | 260 | GTEx | DepMap | Descartes | 0.58 | 161.72 |
LAPTM4A | 0.0009442 | 321 | GTEx | DepMap | Descartes | 0.36 | 285.54 |
PCOLCE2 | 0.0009072 | 341 | GTEx | DepMap | Descartes | 0.06 | 21.29 |
OSTC | 0.0008386 | 390 | GTEx | DepMap | Descartes | 0.20 | 205.82 |
PLK2 | 0.0007928 | 425 | GTEx | DepMap | Descartes | 0.09 | 34.96 |
HS3ST3A1 | 0.0007692 | 446 | GTEx | DepMap | Descartes | 0.08 | 17.66 |
CDH11 | 0.0007669 | 448 | GTEx | DepMap | Descartes | 0.27 | 37.85 |
POLR2L | 0.0007601 | 456 | GTEx | DepMap | Descartes | 0.37 | 484.21 |
MAN2A1 | 0.0006863 | 534 | GTEx | DepMap | Descartes | 0.23 | 40.84 |
CD63 | 0.0006808 | 543 | GTEx | DepMap | Descartes | 0.66 | 574.02 |
FLRT2 | 0.0006795 | 544 | GTEx | DepMap | Descartes | 0.25 | 7.56 |
SLC16A4 | 0.0006753 | 552 | GTEx | DepMap | Descartes | 0.12 | 52.67 |
RCN1 | 0.0006619 | 569 | GTEx | DepMap | Descartes | 0.08 | 35.29 |
SSR3 | 0.0006322 | 602 | GTEx | DepMap | Descartes | 0.15 | 47.34 |
APP | 0.0005877 | 663 | GTEx | DepMap | Descartes | 1.44 | 415.15 |
ACAP2 | 0.0005866 | 666 | GTEx | DepMap | Descartes | 0.69 | 96.99 |
B2M | 0.0005592 | 710 | GTEx | DepMap | Descartes | 1.23 | 497.20 |
ANTXR1 | 0.0004211 | 998 | GTEx | DepMap | Descartes | 0.21 | 37.21 |
IQGAP2 | 0.0004020 | 1044 | GTEx | DepMap | Descartes | 0.13 | 20.20 |
AMMECR1 | 0.0003561 | 1159 | GTEx | DepMap | Descartes | 0.12 | 23.59 |
SKIL | 0.0003528 | 1168 | GTEx | DepMap | Descartes | 0.23 | 31.27 |
CRELD2 | 0.0003452 | 1193 | GTEx | DepMap | Descartes | 0.10 | 47.72 |
MYL12B | 0.0003409 | 1205 | GTEx | DepMap | Descartes | 0.21 | 168.33 |
NANS | 0.0003061 | 1318 | GTEx | DepMap | Descartes | 0.06 | 24.65 |
Descartes adrenocortical markers
Top 50 marker genes of adrenocortical cells in the Decartes fetal adrenal single cell map (https://atlas.brotmanbaty.org/bbi/human-gene-expression-during-development/cell/adrenocortical/in/adrenal)
Wilcoxon ranksum test P-value for gene set overrepresentation: 9.32e-01
Mean rank of genes in gene set: 7175.25
Median rank of genes in gene set: 7743
Rank on gene expression program of top 30 genes in gene set:
Genes | Weight | Rank | GTEx | DepMap | Descartes | Mean.Counts | Mean.TPM |
---|---|---|---|---|---|---|---|
SGCZ | 0.0017420 | 103 | GTEx | DepMap | Descartes | 0.78 | 106.85 |
MSMO1 | 0.0001799 | 1916 | GTEx | DepMap | Descartes | 0.16 | 62.59 |
HMGCS1 | 0.0001748 | 1966 | GTEx | DepMap | Descartes | 0.21 | 35.51 |
DHCR7 | 0.0001676 | 2022 | GTEx | DepMap | Descartes | 0.05 | 15.54 |
FDX1 | 0.0001619 | 2068 | GTEx | DepMap | Descartes | 0.06 | 18.82 |
GSTA4 | 0.0001233 | 2377 | GTEx | DepMap | Descartes | 0.25 | 147.65 |
STAR | 0.0000743 | 2858 | GTEx | DepMap | Descartes | 0.00 | 1.74 |
TM7SF2 | 0.0000003 | 3806 | GTEx | DepMap | Descartes | 0.11 | 58.46 |
SCAP | -0.0000187 | 4109 | GTEx | DepMap | Descartes | 0.22 | 45.83 |
SLC1A2 | -0.0000398 | 4446 | GTEx | DepMap | Descartes | 0.30 | 26.42 |
SLC16A9 | -0.0000537 | 4700 | GTEx | DepMap | Descartes | 0.12 | 24.86 |
ERN1 | -0.0000839 | 5273 | GTEx | DepMap | Descartes | 0.05 | 4.29 |
HMGCR | -0.0001116 | 5803 | GTEx | DepMap | Descartes | 0.17 | 34.64 |
FRMD5 | -0.0001151 | 5881 | GTEx | DepMap | Descartes | 1.46 | 248.71 |
CLU | -0.0001579 | 6780 | GTEx | DepMap | Descartes | 0.44 | 120.24 |
GRAMD1B | -0.0001595 | 6820 | GTEx | DepMap | Descartes | 0.12 | 14.57 |
FREM2 | -0.0001810 | 7230 | GTEx | DepMap | Descartes | 0.00 | 0.15 |
FDXR | -0.0001963 | 7501 | GTEx | DepMap | Descartes | 0.04 | 16.18 |
LDLR | -0.0002279 | 7985 | GTEx | DepMap | Descartes | 0.05 | 8.17 |
NPC1 | -0.0002621 | 8492 | GTEx | DepMap | Descartes | 0.19 | 33.62 |
FDPS | -0.0002648 | 8516 | GTEx | DepMap | Descartes | 0.36 | 166.02 |
CYB5B | -0.0002664 | 8538 | GTEx | DepMap | Descartes | 0.13 | 28.11 |
POR | -0.0002734 | 8646 | GTEx | DepMap | Descartes | 0.10 | 36.51 |
INHA | -0.0002903 | 8875 | GTEx | DepMap | Descartes | 0.01 | 3.05 |
BAIAP2L1 | -0.0002904 | 8876 | GTEx | DepMap | Descartes | 0.03 | 7.67 |
DHCR24 | -0.0003879 | 10028 | GTEx | DepMap | Descartes | 0.07 | 10.54 |
SH3BP5 | -0.0004070 | 10245 | GTEx | DepMap | Descartes | 0.09 | 24.68 |
PAPSS2 | -0.0004329 | 10453 | GTEx | DepMap | Descartes | 0.03 | 7.95 |
IGF1R | -0.0004408 | 10532 | GTEx | DepMap | Descartes | 1.05 | 76.72 |
SCARB1 | -0.0004968 | 10963 | GTEx | DepMap | Descartes | 0.08 | 14.32 |
Descartes chromaffin markers
Top 50 marker genes of chromaffin cells in the Decartes fetal adrenal single cell map (https://atlas.brotmanbaty.org/bbi/human-gene-expression-during-development/cell/chromaffin/in/adrenal)
Wilcoxon ranksum test P-value for gene set overrepresentation: 7.40e-01
Mean rank of genes in gene set: 6639.02
Median rank of genes in gene set: 8931
Rank on gene expression program of top 30 genes in gene set:
Genes | Weight | Rank | GTEx | DepMap | Descartes | Mean.Counts | Mean.TPM |
---|---|---|---|---|---|---|---|
NPY | 0.0073355 | 3 | GTEx | DepMap | Descartes | 12.07 | 19672.14 |
MARCH11 | 0.0030166 | 27 | GTEx | DepMap | Descartes | 3.02 | NA |
GAL | 0.0027490 | 37 | GTEx | DepMap | Descartes | 1.23 | 2071.07 |
EPHA6 | 0.0026804 | 40 | GTEx | DepMap | Descartes | 1.94 | 484.59 |
STMN2 | 0.0023112 | 59 | GTEx | DepMap | Descartes | 4.54 | 2365.72 |
SYNPO2 | 0.0013393 | 175 | GTEx | DepMap | Descartes | 1.21 | 82.62 |
RYR2 | 0.0009830 | 302 | GTEx | DepMap | Descartes | 5.06 | 256.87 |
TUBB2B | 0.0008590 | 378 | GTEx | DepMap | Descartes | 2.41 | 1142.24 |
MAB21L1 | 0.0006530 | 576 | GTEx | DepMap | Descartes | 0.25 | 80.33 |
KCNB2 | 0.0006042 | 644 | GTEx | DepMap | Descartes | 2.09 | 521.45 |
GAP43 | 0.0005802 | 678 | GTEx | DepMap | Descartes | 0.90 | 422.02 |
SLC44A5 | 0.0004127 | 1014 | GTEx | DepMap | Descartes | 0.72 | 174.32 |
TUBA1A | 0.0003811 | 1089 | GTEx | DepMap | Descartes | 4.37 | 2225.35 |
MAB21L2 | 0.0003716 | 1110 | GTEx | DepMap | Descartes | 0.21 | 82.83 |
TUBB2A | 0.0003294 | 1238 | GTEx | DepMap | Descartes | 0.70 | 357.77 |
MLLT11 | 0.0001917 | 1849 | GTEx | DepMap | Descartes | 0.71 | 295.01 |
BASP1 | 0.0001523 | 2147 | GTEx | DepMap | Descartes | 1.08 | 594.05 |
RBFOX1 | 0.0001132 | 2473 | GTEx | DepMap | Descartes | 5.69 | 1068.56 |
RPH3A | -0.0000918 | 5441 | GTEx | DepMap | Descartes | 0.05 | 7.10 |
GREM1 | -0.0002832 | 8770 | GTEx | DepMap | Descartes | 0.01 | 0.51 |
REEP1 | -0.0002943 | 8931 | GTEx | DepMap | Descartes | 0.32 | 78.74 |
CNTFR | -0.0003219 | 9303 | GTEx | DepMap | Descartes | 0.20 | 88.53 |
ISL1 | -0.0003365 | 9499 | GTEx | DepMap | Descartes | 0.90 | 367.71 |
CNKSR2 | -0.0004590 | 10690 | GTEx | DepMap | Descartes | 0.67 | 67.17 |
MAP1B | -0.0004863 | 10886 | GTEx | DepMap | Descartes | 2.17 | 154.71 |
FAT3 | -0.0005423 | 11235 | GTEx | DepMap | Descartes | 0.29 | 11.74 |
PTCHD1 | -0.0006250 | 11610 | GTEx | DepMap | Descartes | 0.11 | 8.23 |
ELAVL2 | -0.0006514 | 11696 | GTEx | DepMap | Descartes | 1.14 | 224.57 |
NTRK1 | -0.0007055 | 11863 | GTEx | DepMap | Descartes | 0.19 | 46.07 |
RGMB | -0.0008103 | 12081 | GTEx | DepMap | Descartes | 0.25 | 54.86 |
Descartes Vascular_endothelial markers
Top 50 marker genes of Vascular_endothelial cells in the Decartes fetal adrenal single cell map (https://atlas.brotmanbaty.org/bbi/human-gene-expression-during-development/cell/vascular_endothelial/in/adrenal)
Wilcoxon ranksum test P-value for gene set overrepresentation: 1.57e-01
Mean rank of genes in gene set: 5684.18
Median rank of genes in gene set: 5876.5
Rank on gene expression program of top 30 genes in gene set:
Genes | Weight | Rank | GTEx | DepMap | Descartes | Mean.Counts | Mean.TPM |
---|---|---|---|---|---|---|---|
MYRIP | 0.0024410 | 49 | GTEx | DepMap | Descartes | 0.56 | 111.05 |
ARHGAP29 | 0.0015943 | 123 | GTEx | DepMap | Descartes | 0.36 | 45.14 |
RAMP2 | 0.0008202 | 406 | GTEx | DepMap | Descartes | 0.14 | 193.74 |
CHRM3 | 0.0007629 | 454 | GTEx | DepMap | Descartes | 1.59 | 200.61 |
CDH13 | 0.0003550 | 1163 | GTEx | DepMap | Descartes | 0.41 | 43.62 |
HYAL2 | 0.0003461 | 1188 | GTEx | DepMap | Descartes | 0.08 | 22.76 |
CYP26B1 | 0.0001065 | 2542 | GTEx | DepMap | Descartes | 0.00 | 0.97 |
IRX3 | 0.0000673 | 2942 | GTEx | DepMap | Descartes | 0.01 | 1.94 |
CEACAM1 | 0.0000573 | 3033 | GTEx | DepMap | Descartes | 0.07 | 19.36 |
GALNT15 | 0.0000528 | 3084 | GTEx | DepMap | Descartes | 0.01 | NA |
EHD3 | 0.0000462 | 3165 | GTEx | DepMap | Descartes | 0.03 | 5.58 |
BTNL9 | -0.0000127 | 4003 | GTEx | DepMap | Descartes | 0.01 | 1.33 |
F8 | -0.0000489 | 4601 | GTEx | DepMap | Descartes | 0.01 | 2.13 |
ROBO4 | -0.0000603 | 4815 | GTEx | DepMap | Descartes | 0.02 | 2.82 |
MMRN2 | -0.0000652 | 4918 | GTEx | DepMap | Descartes | 0.01 | 2.58 |
ESM1 | -0.0000762 | 5132 | GTEx | DepMap | Descartes | 0.01 | 1.93 |
SHE | -0.0000799 | 5199 | GTEx | DepMap | Descartes | 0.01 | 1.12 |
KANK3 | -0.0000870 | 5340 | GTEx | DepMap | Descartes | 0.02 | 6.62 |
CLDN5 | -0.0001134 | 5847 | GTEx | DepMap | Descartes | 0.02 | 8.50 |
SLCO2A1 | -0.0001163 | 5906 | GTEx | DepMap | Descartes | 0.01 | 2.05 |
KDR | -0.0001334 | 6259 | GTEx | DepMap | Descartes | 0.01 | 1.70 |
NPR1 | -0.0001382 | 6357 | GTEx | DepMap | Descartes | 0.00 | 0.00 |
RASIP1 | -0.0001414 | 6419 | GTEx | DepMap | Descartes | 0.02 | 5.27 |
NOTCH4 | -0.0001438 | 6470 | GTEx | DepMap | Descartes | 0.03 | 3.49 |
CRHBP | -0.0001544 | 6700 | GTEx | DepMap | Descartes | 0.00 | 3.49 |
PLVAP | -0.0001563 | 6745 | GTEx | DepMap | Descartes | 0.03 | 13.59 |
TEK | -0.0001782 | 7176 | GTEx | DepMap | Descartes | 0.03 | 8.24 |
CDH5 | -0.0002167 | 7812 | GTEx | DepMap | Descartes | 0.01 | 2.35 |
NR5A2 | -0.0002500 | 8313 | GTEx | DepMap | Descartes | 0.02 | 1.99 |
TIE1 | -0.0002620 | 8491 | GTEx | DepMap | Descartes | 0.01 | 2.51 |
Descartes stromal markers
Top 50 marker genes of stromal cells in the Decartes fetal adrenal single cell map (https://atlas.brotmanbaty.org/bbi/human-gene-expression-during-development/cell/stromal/in/adrenal)
Wilcoxon ranksum test P-value for gene set overrepresentation: 9.84e-01
Mean rank of genes in gene set: 7443.59
Median rank of genes in gene set: 9499
Rank on gene expression program of top 30 genes in gene set:
Genes | Weight | Rank | GTEx | DepMap | Descartes | Mean.Counts | Mean.TPM |
---|---|---|---|---|---|---|---|
CLDN11 | 0.0026777 | 41 | GTEx | DepMap | Descartes | 0.41 | 164.09 |
DKK2 | 0.0023795 | 54 | GTEx | DepMap | Descartes | 0.17 | 51.91 |
CDH11 | 0.0007669 | 448 | GTEx | DepMap | Descartes | 0.27 | 37.85 |
OGN | 0.0006420 | 589 | GTEx | DepMap | Descartes | 0.08 | 23.88 |
HHIP | 0.0005162 | 788 | GTEx | DepMap | Descartes | 0.17 | 17.62 |
ADAMTSL3 | 0.0005112 | 798 | GTEx | DepMap | Descartes | 0.08 | 11.73 |
SCARA5 | 0.0003058 | 1322 | GTEx | DepMap | Descartes | 0.01 | 1.64 |
PCOLCE | 0.0002067 | 1768 | GTEx | DepMap | Descartes | 0.57 | 379.21 |
ACTA2 | 0.0001637 | 2055 | GTEx | DepMap | Descartes | 0.13 | 100.40 |
PDGFRA | 0.0001330 | 2295 | GTEx | DepMap | Descartes | 0.02 | 3.69 |
GAS2 | 0.0000480 | 3153 | GTEx | DepMap | Descartes | 0.11 | 45.59 |
LRRC17 | 0.0000393 | 3260 | GTEx | DepMap | Descartes | 0.04 | 17.67 |
RSPO3 | -0.0000338 | 4349 | GTEx | DepMap | Descartes | 0.00 | NA |
ABCC9 | -0.0000652 | 4920 | GTEx | DepMap | Descartes | 0.02 | 1.31 |
LAMC3 | -0.0000844 | 5288 | GTEx | DepMap | Descartes | 0.02 | 2.21 |
MGP | -0.0000897 | 5398 | GTEx | DepMap | Descartes | 0.12 | 57.11 |
IGFBP3 | -0.0001573 | 6766 | GTEx | DepMap | Descartes | 0.02 | 3.48 |
EDNRA | -0.0001664 | 6946 | GTEx | DepMap | Descartes | 0.02 | 3.07 |
PCDH18 | -0.0002105 | 7719 | GTEx | DepMap | Descartes | 0.00 | 0.06 |
CD248 | -0.0002347 | 8096 | GTEx | DepMap | Descartes | 0.02 | 7.53 |
ABCA6 | -0.0002545 | 8373 | GTEx | DepMap | Descartes | 0.02 | 2.34 |
PAMR1 | -0.0003147 | 9200 | GTEx | DepMap | Descartes | 0.04 | 12.07 |
LOX | -0.0003654 | 9798 | GTEx | DepMap | Descartes | 0.00 | 0.00 |
FREM1 | -0.0003717 | 9851 | GTEx | DepMap | Descartes | 0.13 | 11.33 |
GLI2 | -0.0003768 | 9916 | GTEx | DepMap | Descartes | 0.01 | 1.08 |
COL27A1 | -0.0003872 | 10017 | GTEx | DepMap | Descartes | 0.01 | 0.66 |
SFRP2 | -0.0004049 | 10224 | GTEx | DepMap | Descartes | 0.00 | 0.64 |
ITGA11 | -0.0004213 | 10355 | GTEx | DepMap | Descartes | 0.00 | 0.29 |
C7 | -0.0004228 | 10372 | GTEx | DepMap | Descartes | 0.02 | 2.46 |
CCDC80 | -0.0004465 | 10586 | GTEx | DepMap | Descartes | 0.01 | 0.78 |
Descartes sympathoblasts markers
Top 50 marker genes of sympathoblasts cells in the Decartes fetal adrenal single cell map (https://atlas.brotmanbaty.org/bbi/human-gene-expression-during-development/cell/sympathoblasts/in/adrenal)
Wilcoxon ranksum test P-value for gene set overrepresentation: 1.00e+00
Mean rank of genes in gene set: 9087.13
Median rank of genes in gene set: 11407.5
Rank on gene expression program of top 30 genes in gene set:
Genes | Weight | Rank | GTEx | DepMap | Descartes | Mean.Counts | Mean.TPM |
---|---|---|---|---|---|---|---|
KCTD16 | 0.0030773 | 25 | GTEx | DepMap | Descartes | 2.48 | 169.00 |
ROBO1 | 0.0028049 | 34 | GTEx | DepMap | Descartes | 5.19 | 673.84 |
MGAT4C | 0.0021124 | 69 | GTEx | DepMap | Descartes | 0.98 | 38.38 |
PCSK1N | 0.0014653 | 149 | GTEx | DepMap | Descartes | 1.90 | 1748.90 |
SORCS3 | 0.0011519 | 235 | GTEx | DepMap | Descartes | 0.10 | 18.67 |
CHGB | 0.0010821 | 264 | GTEx | DepMap | Descartes | 1.93 | 817.20 |
TENM1 | 0.0000878 | 2719 | GTEx | DepMap | Descartes | 0.62 | NA |
CDH12 | 0.0000194 | 3527 | GTEx | DepMap | Descartes | 0.20 | 40.41 |
DGKK | -0.0001046 | 5665 | GTEx | DepMap | Descartes | 0.01 | 1.39 |
CNTN3 | -0.0002044 | 7617 | GTEx | DepMap | Descartes | 0.06 | 9.21 |
TBX20 | -0.0002206 | 7871 | GTEx | DepMap | Descartes | 0.12 | 63.55 |
PENK | -0.0002675 | 8563 | GTEx | DepMap | Descartes | 0.00 | 0.28 |
HTATSF1 | -0.0003498 | 9634 | GTEx | DepMap | Descartes | 0.12 | 42.66 |
SLC24A2 | -0.0004572 | 10673 | GTEx | DepMap | Descartes | 0.04 | 3.38 |
NTNG1 | -0.0004667 | 10749 | GTEx | DepMap | Descartes | 0.85 | 134.65 |
GRM7 | -0.0004915 | 10923 | GTEx | DepMap | Descartes | 0.25 | 52.86 |
PACRG | -0.0005325 | 11181 | GTEx | DepMap | Descartes | 0.39 | 195.33 |
GCH1 | -0.0005351 | 11196 | GTEx | DepMap | Descartes | 0.26 | 71.52 |
TIAM1 | -0.0005613 | 11342 | GTEx | DepMap | Descartes | 0.78 | 97.36 |
LAMA3 | -0.0005908 | 11473 | GTEx | DepMap | Descartes | 0.05 | 3.04 |
C1QL1 | -0.0006754 | 11782 | GTEx | DepMap | Descartes | 0.04 | 43.34 |
ARC | -0.0007373 | 11945 | GTEx | DepMap | Descartes | 0.04 | 12.28 |
GALNTL6 | -0.0008318 | 12117 | GTEx | DepMap | Descartes | 0.33 | 74.11 |
SLC18A1 | -0.0008367 | 12125 | GTEx | DepMap | Descartes | 0.15 | 41.99 |
CDH18 | -0.0008996 | 12197 | GTEx | DepMap | Descartes | 0.19 | 42.98 |
KSR2 | -0.0009515 | 12254 | GTEx | DepMap | Descartes | 0.34 | 13.80 |
UNC80 | -0.0009753 | 12274 | GTEx | DepMap | Descartes | 0.65 | 38.41 |
ST18 | -0.0009961 | 12294 | GTEx | DepMap | Descartes | 0.02 | 3.20 |
SLC35F3 | -0.0010765 | 12357 | GTEx | DepMap | Descartes | 0.13 | 33.93 |
SPOCK3 | -0.0010923 | 12369 | GTEx | DepMap | Descartes | 0.12 | 32.42 |
Descartes erythroblasts markers
Top 50 marker genes of erythroblasts cells in the Decartes fetal adrenal single cell map (https://atlas.brotmanbaty.org/bbi/human-gene-expression-during-development/cell/erythroblasts/in/adrenal)
Wilcoxon ranksum test P-value for gene set overrepresentation: 6.15e-01
Mean rank of genes in gene set: 6470.93
Median rank of genes in gene set: 7170
Rank on gene expression program of top 30 genes in gene set:
Genes | Weight | Rank | GTEx | DepMap | Descartes | Mean.Counts | Mean.TPM |
---|---|---|---|---|---|---|---|
SNCA | 0.0010803 | 266 | GTEx | DepMap | Descartes | 0.32 | 91.61 |
RGS6 | 0.0002765 | 1430 | GTEx | DepMap | Descartes | 0.03 | 3.65 |
RHD | 0.0002166 | 1708 | GTEx | DepMap | Descartes | 0.04 | 13.90 |
ALAS2 | 0.0002034 | 1782 | GTEx | DepMap | Descartes | 0.00 | 1.66 |
CAT | 0.0001456 | 2193 | GTEx | DepMap | Descartes | 0.09 | 39.12 |
GYPC | 0.0001270 | 2340 | GTEx | DepMap | Descartes | 0.02 | 11.40 |
MARCH3 | 0.0000758 | 2843 | GTEx | DepMap | Descartes | 0.19 | NA |
SPECC1 | 0.0000515 | 3107 | GTEx | DepMap | Descartes | 0.03 | 3.62 |
SLC25A21 | 0.0000417 | 3227 | GTEx | DepMap | Descartes | 0.01 | 2.22 |
EPB41 | -0.0000618 | 4854 | GTEx | DepMap | Descartes | 0.61 | 79.87 |
BLVRB | -0.0000972 | 5541 | GTEx | DepMap | Descartes | 0.02 | 14.78 |
TRAK2 | -0.0001505 | 6617 | GTEx | DepMap | Descartes | 0.13 | 19.54 |
SPTB | -0.0001532 | 6665 | GTEx | DepMap | Descartes | 0.08 | 7.68 |
TFR2 | -0.0001537 | 6679 | GTEx | DepMap | Descartes | 0.26 | 76.32 |
SLC4A1 | -0.0001778 | 7170 | GTEx | DepMap | Descartes | 0.00 | 0.13 |
CPOX | -0.0001810 | 7229 | GTEx | DepMap | Descartes | 0.03 | 9.48 |
ABCB10 | -0.0001918 | 7421 | GTEx | DepMap | Descartes | 0.12 | 24.48 |
TSPAN5 | -0.0001958 | 7497 | GTEx | DepMap | Descartes | 0.74 | 186.07 |
ANK1 | -0.0002514 | 8333 | GTEx | DepMap | Descartes | 0.22 | 22.87 |
TMCC2 | -0.0002536 | 8363 | GTEx | DepMap | Descartes | 0.03 | 6.44 |
FECH | -0.0002811 | 8750 | GTEx | DepMap | Descartes | 0.05 | 5.63 |
SELENBP1 | -0.0003015 | 9017 | GTEx | DepMap | Descartes | 0.00 | 0.28 |
SLC25A37 | -0.0003269 | 9373 | GTEx | DepMap | Descartes | 0.10 | 19.48 |
MICAL2 | -0.0003592 | 9728 | GTEx | DepMap | Descartes | 0.04 | 5.15 |
XPO7 | -0.0003875 | 10021 | GTEx | DepMap | Descartes | 0.25 | 45.10 |
DENND4A | -0.0004192 | 10336 | GTEx | DepMap | Descartes | 0.59 | 63.40 |
GCLC | -0.0005181 | 11107 | GTEx | DepMap | Descartes | 0.08 | 20.36 |
RAPGEF2 | -0.0007087 | 11873 | GTEx | DepMap | Descartes | 0.43 | 48.48 |
SOX6 | -0.0008892 | 12187 | GTEx | DepMap | Descartes | 0.54 | 42.89 |
NA | NA | NA | NA | NA | NA | NA | NA |
Descartes myeloid markers
Top 50 marker genes of myeloid cells in the Decartes fetal adrenal single cell map (https://atlas.brotmanbaty.org/bbi/human-gene-expression-during-development/cell/myeloid/in/adrenal)
Wilcoxon ranksum test P-value for gene set overrepresentation: 1.00e+00
Mean rank of genes in gene set: 8261.42
Median rank of genes in gene set: 8852.5
Rank on gene expression program of top 30 genes in gene set:
Genes | Weight | Rank | GTEx | DepMap | Descartes | Mean.Counts | Mean.TPM |
---|---|---|---|---|---|---|---|
MARCH1 | 0.0012657 | 193 | GTEx | DepMap | Descartes | 0.29 | NA |
CST3 | 0.0008824 | 357 | GTEx | DepMap | Descartes | 0.30 | 101.06 |
TGFBI | 0.0004301 | 974 | GTEx | DepMap | Descartes | 0.12 | 29.71 |
CD74 | 0.0001693 | 2009 | GTEx | DepMap | Descartes | 0.23 | 62.49 |
WWP1 | -0.0000119 | 3992 | GTEx | DepMap | Descartes | 0.20 | 40.73 |
FGL2 | -0.0000460 | 4552 | GTEx | DepMap | Descartes | 0.01 | 3.25 |
CPVL | -0.0000537 | 4701 | GTEx | DepMap | Descartes | 0.04 | 22.86 |
PTPRE | -0.0000657 | 4928 | GTEx | DepMap | Descartes | 0.13 | 23.74 |
FGD2 | -0.0001001 | 5589 | GTEx | DepMap | Descartes | 0.01 | 2.97 |
RBPJ | -0.0001602 | 6833 | GTEx | DepMap | Descartes | 0.67 | 107.79 |
MS4A4A | -0.0001668 | 6954 | GTEx | DepMap | Descartes | 0.00 | 5.08 |
CD163 | -0.0001694 | 7010 | GTEx | DepMap | Descartes | 0.01 | 2.29 |
HCK | -0.0001805 | 7215 | GTEx | DepMap | Descartes | 0.01 | 7.08 |
AXL | -0.0002145 | 7776 | GTEx | DepMap | Descartes | 0.04 | 7.01 |
ADAP2 | -0.0002282 | 7993 | GTEx | DepMap | Descartes | 0.05 | 14.33 |
ATP8B4 | -0.0002447 | 8231 | GTEx | DepMap | Descartes | 0.03 | 5.15 |
SLC9A9 | -0.0002512 | 8332 | GTEx | DepMap | Descartes | 0.09 | 20.09 |
LGMN | -0.0002805 | 8740 | GTEx | DepMap | Descartes | 0.08 | 34.58 |
CSF1R | -0.0002831 | 8768 | GTEx | DepMap | Descartes | 0.01 | 2.53 |
CTSS | -0.0002948 | 8937 | GTEx | DepMap | Descartes | 0.05 | 11.98 |
SLC1A3 | -0.0003546 | 9684 | GTEx | DepMap | Descartes | 0.01 | 3.04 |
CYBB | -0.0003595 | 9729 | GTEx | DepMap | Descartes | 0.01 | 3.75 |
SLCO2B1 | -0.0003703 | 9833 | GTEx | DepMap | Descartes | 0.02 | 2.34 |
IFNGR1 | -0.0003904 | 10060 | GTEx | DepMap | Descartes | 0.08 | 38.39 |
MERTK | -0.0004020 | 10189 | GTEx | DepMap | Descartes | 0.02 | 6.41 |
HRH1 | -0.0004189 | 10332 | GTEx | DepMap | Descartes | 0.06 | 13.43 |
CD14 | -0.0004212 | 10354 | GTEx | DepMap | Descartes | 0.03 | 16.48 |
ITPR2 | -0.0004738 | 10795 | GTEx | DepMap | Descartes | 0.20 | 16.42 |
ABCA1 | -0.0004941 | 10943 | GTEx | DepMap | Descartes | 0.06 | 5.71 |
CTSC | -0.0004944 | 10949 | GTEx | DepMap | Descartes | 0.02 | 3.59 |
Descartes Schwann markers
Top 50 marker genes of Schwann cells in the Decartes fetal adrenal single cell map (https://atlas.brotmanbaty.org/bbi/human-gene-expression-during-development/cell/schwann/in/adrenal)
Wilcoxon ranksum test P-value for gene set overrepresentation: 9.07e-01
Mean rank of genes in gene set: 6996.89
Median rank of genes in gene set: 8120
Rank on gene expression program of top 30 genes in gene set:
Genes | Weight | Rank | GTEx | DepMap | Descartes | Mean.Counts | Mean.TPM |
---|---|---|---|---|---|---|---|
IL1RAPL1 | 0.0018031 | 94 | GTEx | DepMap | Descartes | 0.70 | 183.79 |
PLCE1 | 0.0016547 | 113 | GTEx | DepMap | Descartes | 0.25 | 20.58 |
EGFLAM | 0.0011917 | 221 | GTEx | DepMap | Descartes | 0.27 | 54.81 |
SOX5 | 0.0010996 | 258 | GTEx | DepMap | Descartes | 1.08 | 147.98 |
IL1RAPL2 | 0.0009118 | 336 | GTEx | DepMap | Descartes | 0.18 | 61.99 |
VCAN | 0.0008919 | 351 | GTEx | DepMap | Descartes | 0.43 | 35.30 |
PAG1 | 0.0007006 | 518 | GTEx | DepMap | Descartes | 0.81 | 63.97 |
SLC35F1 | 0.0006039 | 645 | GTEx | DepMap | Descartes | 0.12 | 22.66 |
NRXN1 | 0.0005852 | 667 | GTEx | DepMap | Descartes | 2.98 | 281.69 |
PPP2R2B | 0.0005627 | 703 | GTEx | DepMap | Descartes | 1.34 | 117.87 |
SFRP1 | 0.0002383 | 1605 | GTEx | DepMap | Descartes | 0.13 | 29.91 |
PLP1 | 0.0001256 | 2354 | GTEx | DepMap | Descartes | 0.00 | 0.26 |
PTPRZ1 | 0.0000665 | 2950 | GTEx | DepMap | Descartes | 0.01 | 0.84 |
COL25A1 | 0.0000283 | 3414 | GTEx | DepMap | Descartes | 0.04 | 5.68 |
EDNRB | 0.0000276 | 3421 | GTEx | DepMap | Descartes | 0.00 | 0.19 |
OLFML2A | 0.0000258 | 3440 | GTEx | DepMap | Descartes | 0.01 | 2.08 |
MPZ | -0.0000606 | 4826 | GTEx | DepMap | Descartes | 0.01 | 6.23 |
SCN7A | -0.0001607 | 6843 | GTEx | DepMap | Descartes | 0.28 | 31.86 |
MDGA2 | -0.0001642 | 6904 | GTEx | DepMap | Descartes | 0.00 | 0.05 |
HMGA2 | -0.0001885 | 7357 | GTEx | DepMap | Descartes | 0.01 | 0.76 |
LAMA4 | -0.0002176 | 7829 | GTEx | DepMap | Descartes | 0.07 | 7.54 |
ERBB3 | -0.0002214 | 7882 | GTEx | DepMap | Descartes | 0.00 | 0.74 |
ADAMTS5 | -0.0002534 | 8358 | GTEx | DepMap | Descartes | 0.01 | 2.11 |
MARCKS | -0.0003027 | 9039 | GTEx | DepMap | Descartes | 0.91 | 216.75 |
KCTD12 | -0.0003030 | 9042 | GTEx | DepMap | Descartes | 0.01 | 2.02 |
PMP22 | -0.0003904 | 10058 | GTEx | DepMap | Descartes | 0.32 | 128.55 |
GRIK3 | -0.0003941 | 10104 | GTEx | DepMap | Descartes | 0.02 | 1.36 |
GFRA3 | -0.0004022 | 10192 | GTEx | DepMap | Descartes | 0.15 | 53.84 |
STARD13 | -0.0004380 | 10497 | GTEx | DepMap | Descartes | 0.08 | 12.55 |
XKR4 | -0.0004546 | 10646 | GTEx | DepMap | Descartes | 0.22 | 9.62 |
Descartes Megakaryocytes markers
Top 50 marker genes of Megakaryocytes cells in the Decartes fetal adrenal single cell map (https://atlas.brotmanbaty.org/bbi/human-gene-expression-during-development/cell/megakaryocytes/in/adrenal)
Wilcoxon ranksum test P-value for gene set overrepresentation: 9.85e-01
Mean rank of genes in gene set: 7447.56
Median rank of genes in gene set: 7692
Rank on gene expression program of top 30 genes in gene set:
Genes | Weight | Rank | GTEx | DepMap | Descartes | Mean.Counts | Mean.TPM |
---|---|---|---|---|---|---|---|
TMSB4X | 0.0027151 | 38 | GTEx | DepMap | Descartes | 5.16 | 2727.79 |
ANGPT1 | 0.0010561 | 272 | GTEx | DepMap | Descartes | 0.07 | 17.15 |
GP1BA | 0.0002819 | 1398 | GTEx | DepMap | Descartes | 0.03 | 14.32 |
VCL | 0.0002098 | 1744 | GTEx | DepMap | Descartes | 0.20 | 27.48 |
ITGB3 | 0.0001278 | 2334 | GTEx | DepMap | Descartes | 0.00 | 0.00 |
PSTPIP2 | 0.0001055 | 2553 | GTEx | DepMap | Descartes | 0.03 | 8.70 |
MMRN1 | 0.0000540 | 3065 | GTEx | DepMap | Descartes | 0.01 | 2.47 |
TLN1 | 0.0000446 | 3184 | GTEx | DepMap | Descartes | 0.11 | 12.90 |
MED12L | 0.0000146 | 3609 | GTEx | DepMap | Descartes | 0.17 | 17.14 |
TUBB1 | 0.0000086 | 3697 | GTEx | DepMap | Descartes | 0.00 | 0.56 |
STOM | -0.0000108 | 3967 | GTEx | DepMap | Descartes | 0.06 | 18.40 |
MYLK | -0.0000188 | 4111 | GTEx | DepMap | Descartes | 0.05 | 3.98 |
CD9 | -0.0000230 | 4179 | GTEx | DepMap | Descartes | 0.18 | 88.85 |
SPN | -0.0000658 | 4930 | GTEx | DepMap | Descartes | 0.01 | 1.46 |
TGFB1 | -0.0000723 | 5050 | GTEx | DepMap | Descartes | 0.12 | 45.50 |
LTBP1 | -0.0000744 | 5091 | GTEx | DepMap | Descartes | 0.06 | 11.37 |
FERMT3 | -0.0001310 | 6214 | GTEx | DepMap | Descartes | 0.01 | 7.02 |
P2RX1 | -0.0001338 | 6270 | GTEx | DepMap | Descartes | 0.00 | 0.32 |
FLI1 | -0.0001774 | 7161 | GTEx | DepMap | Descartes | 0.05 | 9.19 |
SLC24A3 | -0.0001931 | 7445 | GTEx | DepMap | Descartes | 0.07 | 18.79 |
TRPC6 | -0.0002030 | 7597 | GTEx | DepMap | Descartes | 0.02 | 2.82 |
ARHGAP6 | -0.0002060 | 7645 | GTEx | DepMap | Descartes | 0.03 | 3.74 |
PLEK | -0.0002090 | 7692 | GTEx | DepMap | Descartes | 0.01 | 7.33 |
ITGA2B | -0.0002351 | 8104 | GTEx | DepMap | Descartes | 0.08 | 20.30 |
CD84 | -0.0002360 | 8114 | GTEx | DepMap | Descartes | 0.02 | 1.71 |
ACTN1 | -0.0002369 | 8119 | GTEx | DepMap | Descartes | 0.31 | 60.44 |
TPM4 | -0.0002372 | 8124 | GTEx | DepMap | Descartes | 0.20 | 46.38 |
RAB27B | -0.0003493 | 9630 | GTEx | DepMap | Descartes | 0.11 | 13.55 |
DOK6 | -0.0003542 | 9678 | GTEx | DepMap | Descartes | 0.29 | 31.04 |
UBASH3B | -0.0003546 | 9685 | GTEx | DepMap | Descartes | 0.05 | 5.99 |
Descartes Lyphoid markers
Top 50 marker genes of Lyphoid cells in the Decartes fetal adrenal single cell map (https://atlas.brotmanbaty.org/bbi/human-gene-expression-during-development/cell/lymphoid/in/adrenal)
Wilcoxon ranksum test P-value for gene set overrepresentation: 8.85e-01
Mean rank of genes in gene set: 6944.26
Median rank of genes in gene set: 6988.5
Rank on gene expression program of top 30 genes in gene set:
Genes | Weight | Rank | GTEx | DepMap | Descartes | Mean.Counts | Mean.TPM |
---|---|---|---|---|---|---|---|
SORL1 | 0.0014191 | 155 | GTEx | DepMap | Descartes | 0.54 | 48.37 |
TMSB10 | 0.0011800 | 225 | GTEx | DepMap | Descartes | 7.02 | 16488.51 |
GNG2 | 0.0007876 | 431 | GTEx | DepMap | Descartes | 0.89 | 231.74 |
B2M | 0.0005592 | 710 | GTEx | DepMap | Descartes | 1.23 | 497.20 |
ABLIM1 | 0.0004948 | 829 | GTEx | DepMap | Descartes | 0.34 | 46.86 |
CCND3 | 0.0002048 | 1778 | GTEx | DepMap | Descartes | 0.14 | 57.70 |
RCSD1 | 0.0001721 | 1980 | GTEx | DepMap | Descartes | 0.02 | 2.67 |
LEF1 | 0.0001690 | 2013 | GTEx | DepMap | Descartes | 0.02 | 4.05 |
SKAP1 | 0.0001502 | 2162 | GTEx | DepMap | Descartes | 0.05 | 22.06 |
ARHGAP15 | 0.0001349 | 2276 | GTEx | DepMap | Descartes | 0.10 | 30.77 |
PITPNC1 | 0.0000704 | 2905 | GTEx | DepMap | Descartes | 1.06 | 158.27 |
SAMD3 | 0.0000697 | 2914 | GTEx | DepMap | Descartes | 0.02 | 4.14 |
CCL5 | 0.0000257 | 3445 | GTEx | DepMap | Descartes | 0.02 | 13.01 |
ARID5B | -0.0000216 | 4160 | GTEx | DepMap | Descartes | 0.13 | 17.77 |
ARHGDIB | -0.0000463 | 4556 | GTEx | DepMap | Descartes | 0.01 | 8.46 |
IKZF1 | -0.0000682 | 4979 | GTEx | DepMap | Descartes | 0.03 | 4.04 |
PTPRC | -0.0000834 | 5264 | GTEx | DepMap | Descartes | 0.02 | 2.79 |
PRKCH | -0.0000841 | 5280 | GTEx | DepMap | Descartes | 0.05 | 11.51 |
MCTP2 | -0.0000987 | 5566 | GTEx | DepMap | Descartes | 0.04 | 4.61 |
MBNL1 | -0.0001392 | 6376 | GTEx | DepMap | Descartes | 0.49 | 73.03 |
ETS1 | -0.0001511 | 6631 | GTEx | DepMap | Descartes | 0.04 | 6.66 |
ITPKB | -0.0001878 | 7346 | GTEx | DepMap | Descartes | 0.01 | 1.58 |
LCP1 | -0.0002408 | 8179 | GTEx | DepMap | Descartes | 0.02 | 2.93 |
SP100 | -0.0002937 | 8924 | GTEx | DepMap | Descartes | 0.05 | 7.74 |
PLEKHA2 | -0.0003006 | 9007 | GTEx | DepMap | Descartes | 0.04 | 6.73 |
PDE3B | -0.0003300 | 9416 | GTEx | DepMap | Descartes | 0.33 | 50.09 |
EVL | -0.0003548 | 9687 | GTEx | DepMap | Descartes | 1.15 | 286.69 |
BCL2 | -0.0003744 | 9889 | GTEx | DepMap | Descartes | 2.26 | 267.13 |
MSN | -0.0004161 | 10312 | GTEx | DepMap | Descartes | 0.03 | 9.35 |
WIPF1 | -0.0004272 | 10400 | GTEx | DepMap | Descartes | 0.18 | 35.36 |
Below shows the ranks on this GEP for immune marker gene lists curated by CellTypist (https://www.celltypist.org/encyclopedia).
High ranks indicate this gene is a driver of this GEP.
These curated gene list are ranked by P-value (on this GEP) of their constituent genes.
The Mean Count column shows the mean read count in cells scoring highly (H > 50) on this gene expression program.
Genes | Weight | Rank | GTEx | DepMap | Decartes | Mean.Counts | Mean.TPM |
---|---|---|---|---|---|---|---|
KLRG1 | 0.0004683 | 879 | GTEx | DepMap | Descartes | 0.12 | 57.64 |
IL7R | 0.0001629 | 2061 | GTEx | DepMap | Descartes | 0.01 | 2.68 |
BMP3 | 0.0001123 | 2485 | GTEx | DepMap | Descartes | 0.00 | 0.61 |
KLRB1 | 0.0001005 | 2588 | GTEx | DepMap | Descartes | 0.02 | 13.84 |
B-cell lineage: Large pre-B cells (model markers)
proliferative B lymphocyte precursors derived from Pro-B cells and expressing membrane μ chains with surrogate light chains in their receptors:
Wilcoxon ranksum test P-value for gene set overrepresentation: 4.40e-02
Mean rank of genes in gene set: 94
Rank on gene expression program of genes in gene set:
Genes | Weight | Rank | GTEx | DepMap | Decartes | Mean.Counts | Mean.TPM |
---|---|---|---|---|---|---|---|
IL1RAPL1 | 0.0018031 | 94 | GTEx | DepMap | Descartes | 0.7 | 183.79 |
DC: DC1 (model markers)
conventional type 1 dendritic cells which constitute a rare dendritic cell population with superior cross-presentation ability:
Wilcoxon ranksum test P-value for gene set overrepresentation: 4.40e-02
Mean rank of genes in gene set: 94
Rank on gene expression program of genes in gene set:
Genes | Weight | Rank | GTEx | DepMap | Decartes | Mean.Counts | Mean.TPM |
---|---|---|---|---|---|---|---|
IL1RAPL1 | 0.0018031 | 94 | GTEx | DepMap | Descartes | 0.7 | 183.79 |