QQ-plot of gene loadings, averaged over both independent splits of the data
This plot highlights the relative contribution of each gene to the GEP
Top genes driving this program.
Note: Decartes website is buggy, try refreshing. Also, Decartes fetal adrenal data have been collected at specific time points (89-122 days), all possible cell types of interest may not be represented, do not overinterpret.
The Mean Count column shows the mean read count in cells scoring highly (H > 50) on this gene expression program.
Gene | Loading | Gene.Name | GTEx | DepMap | Descartes | Mean.Counts | Mean.Tpm | |
---|---|---|---|---|---|---|---|---|
1 | CD79B | 0.0296152 | CD79b molecule | GTEx | DepMap | Descartes | 5.35 | 3003.40 |
2 | MME | 0.0245699 | membrane metalloendopeptidase | GTEx | DepMap | Descartes | 0.63 | 68.48 |
3 | VPREB3 | 0.0241084 | V-set pre-B cell surrogate light chain 3 | GTEx | DepMap | Descartes | 3.96 | 3845.53 |
4 | YBX3 | 0.0179530 | Y-box binding protein 3 | GTEx | DepMap | Descartes | 2.87 | NA |
5 | CD38 | 0.0164767 | CD38 molecule | GTEx | DepMap | Descartes | 0.99 | 106.80 |
6 | RCSD1 | 0.0154890 | RCSD domain containing 1 | GTEx | DepMap | Descartes | 1.68 | 177.44 |
7 | CMTM8 | 0.0145502 | CKLF like MARVEL transmembrane domain containing 8 | GTEx | DepMap | Descartes | 0.78 | 327.22 |
8 | LHPP | 0.0143658 | phospholysine phosphohistidine inorganic pyrophosphate phosphatase | GTEx | DepMap | Descartes | 0.58 | 284.98 |
9 | ARPP21 | 0.0139473 | cAMP regulated phosphoprotein 21 | GTEx | DepMap | Descartes | 1.46 | 236.46 |
10 | ACSM3 | 0.0135876 | acyl-CoA synthetase medium chain family member 3 | GTEx | DepMap | Descartes | 0.29 | 81.60 |
11 | PAX5 | 0.0130521 | paired box 5 | GTEx | DepMap | Descartes | 0.46 | 38.68 |
12 | CDHR3 | 0.0119108 | cadherin related family member 3 | GTEx | DepMap | Descartes | 0.12 | 12.92 |
13 | KANK2 | 0.0117686 | KN motif and ankyrin repeat domains 2 | GTEx | DepMap | Descartes | 0.23 | 27.11 |
14 | BACH2 | 0.0110213 | BTB domain and CNC homolog 2 | GTEx | DepMap | Descartes | 0.64 | 44.10 |
15 | MYB | 0.0109509 | MYB proto-oncogene, transcription factor | GTEx | DepMap | Descartes | 0.41 | 56.25 |
16 | NEIL1 | 0.0108555 | nei like DNA glycosylase 1 | GTEx | DepMap | Descartes | 0.72 | 128.85 |
17 | AMN | 0.0108076 | amnion associated transmembrane protein | GTEx | DepMap | Descartes | 0.15 | 46.24 |
18 | CD72 | 0.0101471 | CD72 molecule | GTEx | DepMap | Descartes | 0.85 | 254.10 |
19 | CMTM7 | 0.0099188 | CKLF like MARVEL transmembrane domain containing 7 | GTEx | DepMap | Descartes | 0.83 | 209.48 |
20 | HIST1H1C | 0.0098155 | NA | GTEx | DepMap | Descartes | 2.06 | NA |
21 | CCDC81 | 0.0097595 | coiled-coil domain containing 81 | GTEx | DepMap | Descartes | 0.15 | 18.54 |
22 | BEST3 | 0.0097458 | bestrophin 3 | GTEx | DepMap | Descartes | 0.03 | 10.20 |
23 | BTK | 0.0089084 | Bruton tyrosine kinase | GTEx | DepMap | Descartes | 0.24 | 58.01 |
24 | MZB1 | 0.0087573 | marginal zone B and B1 cell specific protein | GTEx | DepMap | Descartes | 1.92 | NA |
25 | DPEP1 | 0.0084301 | dipeptidase 1 | GTEx | DepMap | Descartes | 0.05 | 11.71 |
26 | RGS16 | 0.0083162 | regulator of G protein signaling 16 | GTEx | DepMap | Descartes | 1.16 | 360.57 |
27 | SPIB | 0.0082541 | Spi-B transcription factor | GTEx | DepMap | Descartes | 1.15 | 201.93 |
28 | TCF3 | 0.0079983 | transcription factor 3 | GTEx | DepMap | Descartes | 0.96 | 125.35 |
29 | UCP2 | 0.0079747 | uncoupling protein 2 | GTEx | DepMap | Descartes | 2.46 | 640.00 |
30 | NSMCE1 | 0.0078150 | NSE1 homolog, SMC5-SMC6 complex component | GTEx | DepMap | Descartes | 1.25 | 450.32 |
31 | TMEM243 | 0.0075941 | transmembrane protein 243 | GTEx | DepMap | Descartes | 1.41 | NA |
32 | TRABD | 0.0074510 | TraB domain containing | GTEx | DepMap | Descartes | 1.22 | 285.60 |
33 | POU2AF1 | 0.0072977 | POU class 2 homeobox associating factor 1 | GTEx | DepMap | Descartes | 0.21 | 38.58 |
34 | SLC22A16 | 0.0072386 | solute carrier family 22 member 16 | GTEx | DepMap | Descartes | 0.02 | 7.28 |
35 | TBC1D1 | 0.0071203 | TBC1 domain family member 1 | GTEx | DepMap | Descartes | 0.43 | 47.35 |
36 | LMF1 | 0.0071056 | lipase maturation factor 1 | GTEx | DepMap | Descartes | 0.13 | 31.70 |
37 | DTX1 | 0.0068680 | deltex E3 ubiquitin ligase 1 | GTEx | DepMap | Descartes | 0.52 | 96.45 |
38 | ACSS1 | 0.0068486 | acyl-CoA synthetase short chain family member 1 | GTEx | DepMap | Descartes | 0.22 | 29.04 |
39 | SYVN1 | 0.0068135 | synoviolin 1 | GTEx | DepMap | Descartes | 0.30 | 42.61 |
40 | SYK | 0.0067779 | spleen associated tyrosine kinase | GTEx | DepMap | Descartes | 0.37 | 52.17 |
41 | CD37 | 0.0066067 | CD37 molecule | GTEx | DepMap | Descartes | 3.88 | 752.06 |
42 | MEGF11 | 0.0065809 | multiple EGF like domains 11 | GTEx | DepMap | Descartes | 0.00 | 0.00 |
43 | AFF3 | 0.0064918 | AF4/FMR2 family member 3 | GTEx | DepMap | Descartes | 0.60 | 39.33 |
44 | REXO2 | 0.0064598 | RNA exonuclease 2 | GTEx | DepMap | Descartes | 0.81 | 400.08 |
45 | ARRDC5 | 0.0064331 | arrestin domain containing 5 | GTEx | DepMap | Descartes | 0.01 | 8.15 |
46 | CD79A | 0.0063401 | CD79a molecule | GTEx | DepMap | Descartes | 2.52 | 1197.83 |
47 | P4HA2 | 0.0063210 | prolyl 4-hydroxylase subunit alpha 2 | GTEx | DepMap | Descartes | 0.24 | 39.33 |
48 | PBXIP1 | 0.0063209 | PBX homeobox interacting protein 1 | GTEx | DepMap | Descartes | 0.60 | 108.54 |
49 | LDLRAD4 | 0.0062316 | low density lipoprotein receptor class A domain containing 4 | GTEx | DepMap | Descartes | 0.87 | NA |
50 | LRGUK | 0.0061487 | leucine rich repeats and guanylate kinase domain containing | GTEx | DepMap | Descartes | 0.00 | 0.00 |
UMAP plots showing activity of gene expression program identified in GEP 15. Pre-B Cells:
CNV Data procured from inferCNV.
Outer tracks are putative CNV regions (gains = red, losses = blue) for each patient
Inner track is expression data representing:
The top cells expressing this GEP (purple)
Random cells (n =50) from the reference set used in inferCNV (orange)
Gene set Enrichments for this program, caculated from top 50 genes
mSigDB Cell Types Gene Set:
P-value | OR | Lower 95% CI | FDR | FWER | Genes Found | Gene Set Size | |
---|---|---|---|---|---|---|---|
HAY_BONE_MARROW_CD34_POS_PRE_B | 3.12e-28 | 96.63 | 49.37 | 2.09e-25 | 2.09e-25 | 19CD79B, CD38, RCSD1, ACSM3, PAX5, CDHR3, KANK2, BACH2, NEIL1, BEST3, BTK, NSMCE1, TMEM243, TRABD, TBC1D1, DTX1, SYK, AFF3, LDLRAD4 |
98 |
AIZARANI_LIVER_C34_MHC_II_POS_B_CELLS | 2.88e-15 | 36.26 | 17.24 | 9.65e-13 | 1.93e-12 | 13CD79B, VPREB3, YBX3, RCSD1, PAX5, BACH2, SPIB, UCP2, POU2AF1, SYK, CD37, AFF3, CD79A |
134 |
DESCARTES_FETAL_LIVER_LYMPHOID_CELLS | 1.48e-12 | 30.90 | 13.91 | 2.49e-10 | 9.95e-10 | 11CD79B, MME, VPREB3, ARPP21, PAX5, BACH2, CD72, SPIB, POU2AF1, DTX1, CD79A |
125 |
TRAVAGLINI_LUNG_B_CELL | 5.77e-13 | 27.58 | 12.85 | 1.29e-10 | 3.87e-10 | 12CD79B, VPREB3, RCSD1, PAX5, BACH2, CD72, SPIB, TMEM243, POU2AF1, CD37, AFF3, CD79A |
155 |
FAN_EMBRYONIC_CTX_BRAIN_B_CELL | 1.60e-10 | 30.12 | 12.49 | 2.15e-08 | 1.08e-07 | 9CD79B, VPREB3, PAX5, CD72, MZB1, SPIB, CD37, AFF3, CD79A |
100 |
DURANTE_ADULT_OLFACTORY_NEUROEPITHELIUM_B_CELLS | 1.05e-05 | 34.98 | 8.63 | 6.43e-04 | 7.08e-03 | 4CD79B, VPREB3, CD37, CD79A |
35 |
DESCARTES_FETAL_SPLEEN_LYMPHOID_CELLS | 2.55e-08 | 20.51 | 8.14 | 2.85e-06 | 1.71e-05 | 8VPREB3, PAX5, MZB1, SPIB, POU2AF1, DTX1, CD37, CD79A |
124 |
AIZARANI_LIVER_C38_RESIDENT_B_CELLS_3 | 9.91e-05 | 39.79 | 7.33 | 4.75e-03 | 6.65e-02 | 3MZB1, POU2AF1, CD79A |
23 |
HAY_BONE_MARROW_CD34_POS_PRE_PC | 5.10e-07 | 17.38 | 6.46 | 4.89e-05 | 3.42e-04 | 7MME, VPREB3, LHPP, ARPP21, CMTM7, CCDC81, P4HA2 |
124 |
AIZARANI_LIVER_C22_RESIDENT_B_CELLS_2 | 2.96e-04 | 26.56 | 5.01 | 1.13e-02 | 1.99e-01 | 3MZB1, POU2AF1, CD79A |
33 |
DESCARTES_FETAL_ADRENAL_LYMPHOID_CELLS | 3.15e-06 | 13.04 | 4.87 | 2.20e-04 | 2.11e-03 | 7CD79B, ARPP21, PAX5, BACH2, MZB1, SPIB, CD79A |
163 |
DESCARTES_FETAL_PANCREAS_LYMPHOID_CELLS | 3.28e-06 | 12.96 | 4.84 | 2.20e-04 | 2.20e-03 | 7CD79B, VPREB3, PAX5, BACH2, CD72, POU2AF1, CD79A |
164 |
DESCARTES_FETAL_KIDNEY_LYMPHOID_CELLS | 1.26e-06 | 11.96 | 4.79 | 1.05e-04 | 8.43e-04 | 8CD79B, VPREB3, ARPP21, PAX5, BACH2, POU2AF1, CD79A, PBXIP1 |
207 |
AIZARANI_LIVER_C8_RESIDENT_B_CELLS_1 | 3.53e-04 | 24.91 | 4.72 | 1.17e-02 | 2.37e-01 | 3MZB1, POU2AF1, CD79A |
35 |
DESCARTES_FETAL_STOMACH_LYMPHOID_CELLS | 3.03e-04 | 13.93 | 3.55 | 1.13e-02 | 2.03e-01 | 4CD79B, PAX5, BACH2, CD79A |
82 |
RUBENSTEIN_SKELETAL_MUSCLE_B_CELLS | 6.36e-05 | 9.97 | 3.42 | 3.43e-03 | 4.27e-02 | 6CD79B, VPREB3, BTK, TMEM243, CD37, CD79A |
177 |
DESCARTES_FETAL_PLACENTA_LYMPHOID_CELLS | 2.54e-04 | 9.92 | 3.03 | 1.07e-02 | 1.71e-01 | 5CD79B, CD38, MZB1, POU2AF1, CD79A |
145 |
DURANTE_ADULT_OLFACTORY_NEUROEPITHELIUM_PLASMA_CELLS | 3.10e-03 | 27.37 | 3.01 | 8.33e-02 | 1.00e+00 | 2MZB1, CD79A |
21 |
ZHENG_CORD_BLOOD_C10_MULTILYMPHOID_PROGENITOR | 5.72e-04 | 11.68 | 2.99 | 1.74e-02 | 3.84e-01 | 4MME, BTK, MZB1, SYK |
97 |
DESCARTES_FETAL_LUNG_LYMPHOID_CELLS | 3.66e-04 | 9.13 | 2.79 | 1.17e-02 | 2.45e-01 | 5CD79B, VPREB3, PAX5, MZB1, CD79A |
157 |
Dowload full table
mSigDB Hallmark Gene Sets:
P-value | OR | Lower 95% CI | FDR | FWER | Genes Found | Gene Set Size | |
---|---|---|---|---|---|---|---|
HALLMARK_FATTY_ACID_METABOLISM | 1.28e-01 | 3.34 | 0.39 | 1.00e+00 | 1.00e+00 | 2ACSM3, ACSS1 |
158 |
HALLMARK_IL2_STAT5_SIGNALING | 1.83e-01 | 2.64 | 0.31 | 1.00e+00 | 1.00e+00 | 2CD79B, RGS16 |
199 |
HALLMARK_GLYCOLYSIS | 1.85e-01 | 2.63 | 0.31 | 1.00e+00 | 1.00e+00 | 2LHPP, P4HA2 |
200 |
HALLMARK_HEME_METABOLISM | 1.85e-01 | 2.63 | 0.31 | 1.00e+00 | 1.00e+00 | 2UCP2, P4HA2 |
200 |
HALLMARK_KRAS_SIGNALING_UP | 1.85e-01 | 2.63 | 0.31 | 1.00e+00 | 1.00e+00 | 2RGS16, CD37 |
200 |
HALLMARK_NOTCH_SIGNALING | 1.20e-01 | 8.23 | 0.20 | 1.00e+00 | 1.00e+00 | 1DTX1 |
32 |
HALLMARK_IL6_JAK_STAT3_SIGNALING | 2.93e-01 | 2.97 | 0.07 | 1.00e+00 | 1.00e+00 | 1CD38 |
87 |
HALLMARK_APOPTOSIS | 4.72e-01 | 1.59 | 0.04 | 1.00e+00 | 1.00e+00 | 1CD38 |
161 |
HALLMARK_HYPOXIA | 5.47e-01 | 1.28 | 0.03 | 1.00e+00 | 1.00e+00 | 1P4HA2 |
200 |
HALLMARK_ADIPOGENESIS | 5.47e-01 | 1.28 | 0.03 | 1.00e+00 | 1.00e+00 | 1UCP2 |
200 |
HALLMARK_ESTROGEN_RESPONSE_EARLY | 5.47e-01 | 1.28 | 0.03 | 1.00e+00 | 1.00e+00 | 1MYB |
200 |
HALLMARK_ESTROGEN_RESPONSE_LATE | 5.47e-01 | 1.28 | 0.03 | 1.00e+00 | 1.00e+00 | 1MYB |
200 |
HALLMARK_INTERFERON_GAMMA_RESPONSE | 5.47e-01 | 1.28 | 0.03 | 1.00e+00 | 1.00e+00 | 1CD38 |
200 |
HALLMARK_APICAL_JUNCTION | 5.47e-01 | 1.28 | 0.03 | 1.00e+00 | 1.00e+00 | 1SYK |
200 |
HALLMARK_INFLAMMATORY_RESPONSE | 5.47e-01 | 1.28 | 0.03 | 1.00e+00 | 1.00e+00 | 1RGS16 |
200 |
HALLMARK_P53_PATHWAY | 5.47e-01 | 1.28 | 0.03 | 1.00e+00 | 1.00e+00 | 1RGS16 |
200 |
HALLMARK_ALLOGRAFT_REJECTION | 5.47e-01 | 1.28 | 0.03 | 1.00e+00 | 1.00e+00 | 1CD79A |
200 |
HALLMARK_KRAS_SIGNALING_DN | 5.47e-01 | 1.28 | 0.03 | 1.00e+00 | 1.00e+00 | 1ARPP21 |
200 |
HALLMARK_TNFA_SIGNALING_VIA_NFKB | 1.00e+00 | 0.00 | 0.00 | 1.00e+00 | 1.00e+00 | 0 |
200 |
HALLMARK_CHOLESTEROL_HOMEOSTASIS | 1.00e+00 | 0.00 | 0.00 | 1.00e+00 | 1.00e+00 | 0 |
74 |
Dowload full table
KEGG Pathways:
P-value | OR | Lower 95% CI | FDR | FWER | Genes Found | Gene Set Size | |
---|---|---|---|---|---|---|---|
KEGG_B_CELL_RECEPTOR_SIGNALING_PATHWAY | 1.11e-05 | 19.82 | 5.96 | 2.07e-03 | 2.07e-03 | 5CD79B, CD72, BTK, SYK, CD79A |
75 |
KEGG_HEMATOPOIETIC_CELL_LINEAGE | 4.89e-03 | 9.50 | 1.85 | 4.55e-01 | 9.10e-01 | 3MME, CD38, CD37 |
87 |
KEGG_PRIMARY_IMMUNODEFICIENCY | 8.47e-03 | 15.77 | 1.78 | 5.25e-01 | 1.00e+00 | 2BTK, CD79A |
35 |
KEGG_FC_EPSILON_RI_SIGNALING_PATHWAY | 3.90e-02 | 6.76 | 0.78 | 1.00e+00 | 1.00e+00 | 2BTK, SYK |
79 |
KEGG_RENIN_ANGIOTENSIN_SYSTEM | 6.56e-02 | 15.93 | 0.37 | 1.00e+00 | 1.00e+00 | 1MME |
17 |
KEGG_NICOTINATE_AND_NICOTINAMIDE_METABOLISM | 9.13e-02 | 11.08 | 0.26 | 1.00e+00 | 1.00e+00 | 1CD38 |
24 |
KEGG_PROPANOATE_METABOLISM | 1.23e-01 | 7.97 | 0.19 | 1.00e+00 | 1.00e+00 | 1ACSS1 |
33 |
KEGG_BUTANOATE_METABOLISM | 1.27e-01 | 7.73 | 0.19 | 1.00e+00 | 1.00e+00 | 1ACSM3 |
34 |
KEGG_BASE_EXCISION_REPAIR | 1.30e-01 | 7.50 | 0.18 | 1.00e+00 | 1.00e+00 | 1NEIL1 |
35 |
KEGG_PYRUVATE_METABOLISM | 1.47e-01 | 6.54 | 0.16 | 1.00e+00 | 1.00e+00 | 1ACSS1 |
40 |
KEGG_NOTCH_SIGNALING_PATHWAY | 1.71e-01 | 5.54 | 0.13 | 1.00e+00 | 1.00e+00 | 1DTX1 |
47 |
KEGG_ARGININE_AND_PROLINE_METABOLISM | 1.94e-01 | 4.81 | 0.12 | 1.00e+00 | 1.00e+00 | 1P4HA2 |
54 |
KEGG_GLYCOLYSIS_GLUCONEOGENESIS | 2.19e-01 | 4.18 | 0.10 | 1.00e+00 | 1.00e+00 | 1ACSS1 |
62 |
KEGG_FC_GAMMA_R_MEDIATED_PHAGOCYTOSIS | 3.17e-01 | 2.68 | 0.07 | 1.00e+00 | 1.00e+00 | 1SYK |
96 |
KEGG_OXIDATIVE_PHOSPHORYLATION | 4.08e-01 | 1.95 | 0.05 | 1.00e+00 | 1.00e+00 | 1LHPP |
132 |
KEGG_TIGHT_JUNCTION | 4.08e-01 | 1.95 | 0.05 | 1.00e+00 | 1.00e+00 | 1YBX3 |
132 |
KEGG_UBIQUITIN_MEDIATED_PROTEOLYSIS | 4.15e-01 | 1.90 | 0.05 | 1.00e+00 | 1.00e+00 | 1SYVN1 |
135 |
KEGG_NATURAL_KILLER_CELL_MEDIATED_CYTOTOXICITY | 4.20e-01 | 1.88 | 0.05 | 1.00e+00 | 1.00e+00 | 1SYK |
137 |
KEGG_ALZHEIMERS_DISEASE | 4.82e-01 | 1.55 | 0.04 | 1.00e+00 | 1.00e+00 | 1MME |
166 |
KEGG_CALCIUM_SIGNALING_PATHWAY | 5.06e-01 | 1.44 | 0.04 | 1.00e+00 | 1.00e+00 | 1CD38 |
178 |
Dowload full table
CHR Positional Gene Sets:
P-value | OR | Lower 95% CI | FDR | FWER | Genes Found | Gene Set Size | |
---|---|---|---|---|---|---|---|
chr3p22 | 2.70e-02 | 4.92 | 0.97 | 1.00e+00 | 1.00e+00 | 3CMTM8, ARPP21, CMTM7 |
165 |
chr16p12 | 1.36e-01 | 3.21 | 0.38 | 1.00e+00 | 1.00e+00 | 2ACSM3, NSMCE1 |
164 |
chr9p13 | 1.44e-01 | 3.10 | 0.36 | 1.00e+00 | 1.00e+00 | 2PAX5, CD72 |
170 |
chr11q23 | 1.92e-01 | 2.57 | 0.30 | 1.00e+00 | 1.00e+00 | 2POU2AF1, REXO2 |
205 |
chr5q31 | 3.08e-01 | 1.83 | 0.21 | 1.00e+00 | 1.00e+00 | 2MZB1, P4HA2 |
287 |
chr19p13 | 7.66e-01 | 1.04 | 0.21 | 1.00e+00 | 1.00e+00 | 3KANK2, TCF3, ARRDC5 |
773 |
chr11q13 | 6.78e-01 | 1.24 | 0.15 | 1.00e+00 | 1.00e+00 | 2UCP2, SYVN1 |
421 |
chr19q13 | 7.98e-01 | 0.69 | 0.14 | 1.00e+00 | 1.00e+00 | 3SPIB, CD37, CD79A |
1165 |
chr6q15 | 1.74e-01 | 5.43 | 0.13 | 1.00e+00 | 1.00e+00 | 1BACH2 |
48 |
chr7q33 | 1.87e-01 | 5.00 | 0.12 | 1.00e+00 | 1.00e+00 | 1LRGUK |
52 |
chr12q15 | 1.97e-01 | 4.72 | 0.12 | 1.00e+00 | 1.00e+00 | 1BEST3 |
55 |
chr4p14 | 2.25e-01 | 4.05 | 0.10 | 1.00e+00 | 1.00e+00 | 1TBC1D1 |
64 |
chr6q23 | 3.44e-01 | 2.43 | 0.06 | 1.00e+00 | 1.00e+00 | 1MYB |
106 |
chr17q23 | 3.59e-01 | 2.30 | 0.06 | 1.00e+00 | 1.00e+00 | 1CD79B |
112 |
chr15q24 | 3.69e-01 | 2.22 | 0.05 | 1.00e+00 | 1.00e+00 | 1NEIL1 |
116 |
chr6q21 | 3.72e-01 | 2.20 | 0.05 | 1.00e+00 | 1.00e+00 | 1SLC22A16 |
117 |
chr4p15 | 3.84e-01 | 2.11 | 0.05 | 1.00e+00 | 1.00e+00 | 1CD38 |
122 |
chr1q24 | 3.87e-01 | 2.09 | 0.05 | 1.00e+00 | 1.00e+00 | 1RCSD1 |
123 |
chr15q22 | 3.89e-01 | 2.07 | 0.05 | 1.00e+00 | 1.00e+00 | 1MEGF11 |
124 |
chr16q24 | 4.03e-01 | 1.98 | 0.05 | 1.00e+00 | 1.00e+00 | 1DPEP1 |
130 |
Dowload full table
Transcription Factor Targets:
P-value | OR | Lower 95% CI | FDR | FWER | Genes Found | Gene Set Size | |
---|---|---|---|---|---|---|---|
MAML1_TARGET_GENES | 1.79e-09 | 13.16 | 6.20 | 2.03e-06 | 2.03e-06 | 12CD79B, MME, CD72, MZB1, SPIB, TMEM243, POU2AF1, DTX1, SYVN1, CD37, AFF3, LDLRAD4 |
312 |
OLF1_01 | 4.21e-03 | 5.14 | 1.58 | 7.96e-01 | 1.00e+00 | 5CD79B, CMTM8, SPIB, AFF3, CD79A |
275 |
BACH2_TARGET_GENES | 7.34e-04 | 2.97 | 1.53 | 4.16e-01 | 8.31e-01 | 16MME, YBX3, BACH2, MYB, CD72, BEST3, BTK, TCF3, TMEM243, TRABD, POU2AF1, TBC1D1, SYVN1, SYK, CD79A, LDLRAD4 |
1998 |
ZFP28_TARGET_GENES | 1.34e-02 | 6.49 | 1.27 | 1.00e+00 | 1.00e+00 | 3ARPP21, BTK, P4HA2 |
126 |
TGACAGNY_MEIS1_01 | 1.27e-02 | 2.83 | 1.14 | 1.00e+00 | 1.00e+00 | 8BACH2, MYB, BEST3, SPIB, POU2AF1, SYVN1, P4HA2, LRGUK |
850 |
OCT_Q6 | 2.00e-02 | 4.13 | 1.07 | 1.00e+00 | 1.00e+00 | 4VPREB3, BTK, SPIB, SYVN1 |
267 |
CAGCTG_AP4_Q5 | 1.98e-02 | 2.32 | 1.07 | 1.00e+00 | 1.00e+00 | 11CD79B, RCSD1, ARPP21, BACH2, CD72, BEST3, SPIB, LMF1, SYVN1, PBXIP1, LDLRAD4 |
1530 |
GGGTGGRR_PAX4_03 | 2.39e-02 | 2.41 | 1.07 | 1.00e+00 | 1.00e+00 | 10CD79B, YBX3, CD38, BACH2, CCDC81, BTK, DTX1, SYVN1, CD37, PBXIP1 |
1310 |
OCT1_B | 2.05e-02 | 4.10 | 1.06 | 1.00e+00 | 1.00e+00 | 4CD79B, VPREB3, BTK, SPIB |
269 |
POU2AF1_TARGET_GENES | 1.93e-02 | 2.61 | 1.05 | 1.00e+00 | 1.00e+00 | 8CD79B, VPREB3, CD72, MZB1, POU2AF1, SYVN1, CD37, LDLRAD4 |
922 |
OCT1_Q6 | 2.13e-02 | 4.06 | 1.05 | 1.00e+00 | 1.00e+00 | 4VPREB3, BTK, SPIB, SYVN1 |
272 |
TGTTTGY_HNF3_Q6 | 2.10e-02 | 2.75 | 1.04 | 1.00e+00 | 1.00e+00 | 7ARPP21, ACSM3, KANK2, BEST3, SPIB, TMEM243, AFF3 |
748 |
CCCNNGGGAR_OLF1_01 | 3.73e-02 | 3.38 | 0.88 | 1.00e+00 | 1.00e+00 | 4CD79B, CD72, SPIB, POU2AF1 |
326 |
RYCACNNRNNRNCAG_UNKNOWN | 3.64e-02 | 7.04 | 0.81 | 1.00e+00 | 1.00e+00 | 2CD79B, PBXIP1 |
76 |
EGR2_01 | 4.25e-02 | 4.09 | 0.81 | 1.00e+00 | 1.00e+00 | 3ARPP21, MYB, SYVN1 |
198 |
ZNF16_TARGET_GENES | 3.72e-02 | 6.94 | 0.80 | 1.00e+00 | 1.00e+00 | 2CD79B, KANK2 |
77 |
NFXL1_TARGET_GENES | 5.39e-02 | 2.98 | 0.77 | 1.00e+00 | 1.00e+00 | 4RCSD1, CDHR3, TBC1D1, DTX1 |
369 |
TEL2_Q6 | 6.72e-02 | 3.37 | 0.67 | 1.00e+00 | 1.00e+00 | 3SPIB, SYVN1, CD79A |
240 |
TCF4_Q5 | 6.98e-02 | 3.31 | 0.65 | 1.00e+00 | 1.00e+00 | 3MME, BEST3, UCP2 |
244 |
CACBINDINGPROTEIN_Q6 | 7.12e-02 | 3.28 | 0.65 | 1.00e+00 | 1.00e+00 | 3YBX3, CCDC81, SYVN1 |
246 |
Dowload full table
GO Biological Processes:
P-value | OR | Lower 95% CI | FDR | FWER | Genes Found | Gene Set Size | |
---|---|---|---|---|---|---|---|
GOBP_RESPONSE_TO_MOLECULE_OF_FUNGAL_ORIGIN | 1.54e-04 | 172.68 | 14.09 | 1.65e-01 | 1.00e+00 | 2BTK, SYK |
5 |
GOBP_B_CELL_DIFFERENTIATION | 5.52e-08 | 18.44 | 7.33 | 4.13e-04 | 4.13e-04 | 8CD79B, CMTM7, BTK, TCF3, POU2AF1, SYVN1, SYK, CD79A |
137 |
GOBP_B_CELL_RECEPTOR_SIGNALING_PATHWAY | 9.95e-06 | 14.08 | 4.81 | 1.86e-02 | 7.44e-02 | 6CD79B, CD38, PAX5, BTK, SYK, CD79A |
127 |
GOBP_CELLULAR_HYPEROSMOTIC_RESPONSE | 1.37e-03 | 43.30 | 4.59 | 9.83e-01 | 1.00e+00 | 2YBX3, RCSD1 |
14 |
GOBP_B_CELL_ACTIVATION | 3.25e-07 | 10.11 | 4.47 | 1.21e-03 | 2.43e-03 | 10CD79B, CD38, CMTM7, BTK, MZB1, TCF3, POU2AF1, SYVN1, SYK, CD79A |
319 |
GOBP_POSITIVE_REGULATION_OF_B_CELL_DIFFERENTIATION | 1.58e-03 | 39.95 | 4.27 | 9.83e-01 | 1.00e+00 | 2BTK, SYK |
15 |
GOBP_MONONUCLEAR_CELL_DIFFERENTIATION | 3.04e-06 | 7.80 | 3.45 | 7.59e-03 | 2.28e-02 | 10CD79B, MYB, CMTM7, BTK, TCF3, POU2AF1, DTX1, SYVN1, SYK, CD79A |
411 |
GOBP_REGULATION_OF_HISTONE_H3_K9_METHYLATION | 2.81e-03 | 28.89 | 3.17 | 1.00e+00 | 1.00e+00 | 2PAX5, MYB |
20 |
GOBP_B_CELL_PROLIFERATION | 5.50e-04 | 11.81 | 3.03 | 5.14e-01 | 1.00e+00 | 4CD38, BTK, MZB1, CD79A |
96 |
GOBP_LEUKOCYTE_DIFFERENTIATION | 2.41e-05 | 6.07 | 2.69 | 3.01e-02 | 1.81e-01 | 10CD79B, MYB, CMTM7, BTK, TCF3, POU2AF1, DTX1, SYVN1, SYK, CD79A |
525 |
GOBP_REGULATION_OF_B_CELL_PROLIFERATION | 1.80e-03 | 13.75 | 2.66 | 1.00e+00 | 1.00e+00 | 3CD38, BTK, MZB1 |
61 |
GOBP_LYMPHOCYTE_ACTIVATION | 1.48e-05 | 5.39 | 2.55 | 2.22e-02 | 1.11e-01 | 12CD79B, CD38, MYB, CMTM7, BTK, MZB1, TCF3, POU2AF1, DTX1, SYVN1, SYK, CD79A |
745 |
GOBP_HYPEROSMOTIC_RESPONSE | 4.74e-03 | 21.66 | 2.42 | 1.00e+00 | 1.00e+00 | 2YBX3, RCSD1 |
26 |
GOBP_REGULATION_OF_B_CELL_DIFFERENTIATION | 6.27e-03 | 18.58 | 2.09 | 1.00e+00 | 1.00e+00 | 2BTK, SYK |
30 |
GOBP_MATURE_B_CELL_DIFFERENTIATION | 6.69e-03 | 17.94 | 2.02 | 1.00e+00 | 1.00e+00 | 2CMTM7, POU2AF1 |
31 |
GOBP_ANTIGEN_RECEPTOR_MEDIATED_SIGNALING_PATHWAY | 1.34e-03 | 5.50 | 1.90 | 9.83e-01 | 1.00e+00 | 6CD79B, CD38, PAX5, BTK, SYK, CD79A |
316 |
GOBP_HISTONE_H3_K9_METHYLATION | 8.00e-03 | 16.26 | 1.84 | 1.00e+00 | 1.00e+00 | 2PAX5, MYB |
34 |
GOBP_LEUKOTRIENE_METABOLIC_PROCESS | 8.94e-03 | 15.30 | 1.73 | 1.00e+00 | 1.00e+00 | 2DPEP1, SYK |
36 |
GOBP_REGULATION_OF_LYMPHOCYTE_DIFFERENTIATION | 4.87e-03 | 6.36 | 1.64 | 1.00e+00 | 1.00e+00 | 4MYB, BTK, DTX1, SYK |
175 |
GOBP_CELLULAR_RESPONSE_TO_OSMOTIC_STRESS | 1.04e-02 | 14.07 | 1.60 | 1.00e+00 | 1.00e+00 | 2YBX3, RCSD1 |
39 |
Dowload full table
Immunological Gene Sets:
P-value | OR | Lower 95% CI | FDR | FWER | Genes Found | Gene Set Size | |
---|---|---|---|---|---|---|---|
GSE9509_10MIN_VS_30MIN_LPS_STIM_IL10_KO_MACROPHAGE_DN | 3.42e-13 | 24.24 | 11.63 | 8.88e-10 | 1.66e-09 | 13CD79B, VPREB3, LHPP, ARPP21, PAX5, KANK2, NEIL1, CMTM7, TCF3, POU2AF1, DTX1, ACSS1, P4HA2 |
194 |
GSE10325_LUPUS_CD4_TCELL_VS_LUPUS_BCELL_DN | 3.65e-13 | 24.11 | 11.56 | 8.88e-10 | 1.78e-09 | 13CD79B, VPREB3, YBX3, PAX5, CD72, BTK, MZB1, SPIB, TCF3, POU2AF1, SYK, CD37, CD79A |
195 |
GSE9509_LPS_VS_LPS_AND_IL10_STIM_IL10_KO_MACROPHAGE_30MIN_DN | 7.60e-12 | 21.80 | 10.20 | 9.83e-09 | 3.70e-08 | 12CD79B, VPREB3, CD38, ARPP21, PAX5, KANK2, NEIL1, CD72, CMTM7, CCDC81, POU2AF1, DTX1 |
193 |
GSE10325_CD4_TCELL_VS_BCELL_DN | 8.07e-12 | 21.69 | 10.14 | 9.83e-09 | 3.93e-08 | 12CD79B, VPREB3, YBX3, PAX5, CD72, BTK, MZB1, SPIB, TCF3, POU2AF1, SYK, CD79A |
194 |
GSE10325_LUPUS_BCELL_VS_LUPUS_MYELOID_UP | 1.71e-10 | 19.26 | 8.76 | 1.40e-07 | 8.31e-07 | 11CD79B, VPREB3, PAX5, BACH2, CD72, SPIB, TCF3, TMEM243, POU2AF1, REXO2, CD79A |
194 |
GSE10325_BCELL_VS_MYELOID_UP | 1.90e-10 | 19.05 | 8.66 | 1.40e-07 | 9.27e-07 | 11CD79B, VPREB3, PAX5, BACH2, CD72, MZB1, SPIB, TCF3, TMEM243, POU2AF1, CD79A |
196 |
GSE3982_MEMORY_CD4_TCELL_VS_BCELL_DN | 2.01e-10 | 18.95 | 8.62 | 1.40e-07 | 9.78e-07 | 11CD79B, YBX3, CD38, PAX5, BACH2, CD72, MZB1, SPIB, TMEM243, POU2AF1, SYK |
197 |
GSE4984_UNTREATED_VS_GALECTIN1_TREATED_DC_DN | 2.77e-09 | 17.26 | 7.58 | 1.68e-06 | 1.35e-05 | 10CD79B, VPREB3, BACH2, CD72, MZB1, SPIB, POU2AF1, DTX1, AFF3, CD79A |
191 |
GSE29618_BCELL_VS_MONOCYTE_UP | 3.21e-09 | 16.98 | 7.45 | 1.74e-06 | 1.56e-05 | 10CD79B, PAX5, BACH2, CD72, TCF3, TMEM243, POU2AF1, CD37, AFF3, CD79A |
194 |
GSE29618_BCELL_VS_MDC_DAY7_FLU_VACCINE_UP | 4.67e-08 | 15.08 | 6.35 | 2.09e-05 | 2.28e-04 | 9CD79B, VPREB3, PAX5, BACH2, MZB1, TCF3, POU2AF1, CD37, CD79A |
191 |
GSE29618_BCELL_VS_PDC_DAY7_FLU_VACCINE_UP | 5.10e-08 | 14.91 | 6.28 | 2.09e-05 | 2.49e-04 | 9CD79B, VPREB3, YBX3, PAX5, BACH2, CD72, POU2AF1, CD37, CD79A |
193 |
GSE4748_CYANOBACTERIUM_LPSLIKE_VS_LPS_AND_CYANOBACTERIUM_LPSLIKE_STIM_DC_3H_UP | 5.33e-08 | 14.83 | 6.24 | 2.09e-05 | 2.60e-04 | 9CD79B, PAX5, BACH2, CD72, MZB1, SPIB, DTX1, AFF3, CD79A |
194 |
GSE29618_BCELL_VS_MONOCYTE_DAY7_FLU_VACCINE_UP | 5.57e-08 | 14.75 | 6.21 | 2.09e-05 | 2.71e-04 | 9CD79B, VPREB3, PAX5, BACH2, CD72, TCF3, POU2AF1, CD37, CD79A |
195 |
GSE22886_NAIVE_BCELL_VS_MONOCYTE_UP | 6.08e-08 | 14.60 | 6.15 | 2.11e-05 | 2.96e-04 | 9CD79B, VPREB3, PAX5, BACH2, CD72, MZB1, SPIB, POU2AF1, CD79A |
197 |
GSE21379_WT_VS_SAP_KO_CD4_TCELL_DN | 6.62e-08 | 14.44 | 6.08 | 2.15e-05 | 3.22e-04 | 9VPREB3, CD38, ARPP21, MZB1, SPIB, UCP2, POU2AF1, SYVN1, CD79A |
199 |
GSE29618_BCELL_VS_MDC_UP | 7.46e-07 | 12.87 | 5.15 | 2.26e-04 | 3.64e-03 | 8CD79B, PAX5, BACH2, CD72, TMEM243, POU2AF1, CD37, CD79A |
193 |
GSE29618_BCELL_VS_PDC_UP | 8.06e-07 | 12.73 | 5.09 | 2.26e-04 | 3.93e-03 | 8CD79B, YBX3, PAX5, BACH2, CD72, POU2AF1, CD37, CD79A |
195 |
GSE21546_SAP1A_KO_VS_SAP1A_KO_AND_ELK1_KO_DP_THYMOCYTES_DN | 9.38e-07 | 12.47 | 4.99 | 2.26e-04 | 4.57e-03 | 8RCSD1, SPIB, TCF3, UCP2, NSMCE1, TBC1D1, SYVN1, PBXIP1 |
199 |
GSE45881_CXCR6HI_VS_CXCR1LO_COLONIC_LAMINA_PROPRIA_DN | 9.38e-07 | 12.47 | 4.99 | 2.26e-04 | 4.57e-03 | 8CD79B, YBX3, PAX5, CD72, SPIB, TCF3, POU2AF1, CD79A |
199 |
GSE1460_DP_VS_CD4_THYMOCYTE_UP | 9.73e-07 | 12.40 | 4.96 | 2.26e-04 | 4.74e-03 | 8CD38, ARPP21, MYB, NEIL1, CD72, MZB1, TBC1D1, LDLRAD4 |
200 |
Top Ranked Transcription Factors for this Gene Expression Program:
Gene Symbol | TF Rank | DNA Binding Domain | Motif Status | IUPAC PWM | GTEx | DepMap | Decartes |
---|---|---|---|---|---|---|---|
YBX3 | 4 | Yes | Known motif | Monomer or homomultimer | 100 perc ID - in vitro | None | Identical DBD to YBX1. Might also bind RNA. |
PAX5 | 11 | Yes | Known motif | Monomer or homomultimer | High-throughput in vitro | None | PDB:1K78 is a PAX5:ETS1 heterodimer |
BACH2 | 14 | Yes | Known motif | Monomer or homomultimer | High-throughput in vitro | None | Based on Newman et al 2003 (PMID: 12805554), the protein has strong preference for forming heterodimers with MAFG and MAFK over homo-dimerisation. The Homer ChIP-seq motif appears to be a MAF-BACH2 heterodimer. |
MYB | 15 | Yes | Known motif | Monomer or homomultimer | In vivo/Misc source | Only known motifs are from Transfac or HocoMoco - origin is uncertain | Contains 3 Myb DBDs |
NEIL1 | 16 | No | Unlikely to be sequence specific TF | Low specificity DNA-binding protein | No motif | None | DNA glycosylase 1. Binds DNA in the crystal structure (PDB: 5ITR) |
HIST1H1C | 20 | No | Unlikely to be sequence specific TF | Low specificity DNA-binding protein | No motif | None | None |
BTK | 23 | No | Unlikely to be sequence specific TF | Not a DNA binding protein | No motif | None | Involved in the regulation of ARID3A and NFAT in B lymphocyte development; has been thoroughly investigated, but there is no evidence to demonstrate DNA binding activity (see UniProt Q06187) |
SPIB | 27 | Yes | Known motif | Monomer or homomultimer | High-throughput in vitro | None | None |
TCF3 | 28 | Yes | Known motif | Monomer or homomultimer | High-throughput in vitro | None | None |
POU2AF1 | 33 | Yes | Known motif | Obligate heteromer | In vivo/Misc source | Only known motifs are from Transfac or HocoMoco - origin is uncertain | Requires POU2F1 to bind DNA. In the crystal structure (PDB:1CQT), POU2AF1 contacts both the POU2F1 and DNA major groove |
DTX1 | 37 | No | Unlikely to be sequence specific TF | Not a DNA binding protein | No motif | None | This protein is an E3 ligase that operates in the Notch pathway |
SYK | 40 | No | Unlikely to be sequence specific TF | Not a DNA binding protein | No motif | None | Known co-factor |
AFF3 | 43 | No | Unlikely to be sequence specific TF | Not a DNA binding protein | No motif | None | (PMID: 8555498) only says that In vitro-translated LAF-4 was able to bind strongly to double-stranded DNA cellulose - thats more consistent with nonspecific DNA binding. The key issue is whether the Transcription factor AF4/FMR2 (IPR007797) domain really is sequence specific. Most of the work has been done on the one Drosophila ortholog, lilliuputian. I see no evidence of DNA binding. Recent work on this family in human indicate that it functions in coactivation (PMID: 27899651; PMID: 261712 |
TOP2B | 64 | No | Unlikely to be sequence specific TF | Low specificity DNA-binding protein | No motif | None | DNA topoisomerase. Binds DNA in the crystal structure (PDB: 3QX3). |
CIITA | 65 | No | Unlikely to be sequence specific TF | Not a DNA binding protein | No motif | None | Chromatin modifier |
JUND | 66 | Yes | Known motif | Monomer or homomultimer | High-throughput in vitro | None | None |
XBP1 | 71 | Yes | Known motif | Monomer or homomultimer | High-throughput in vitro | None | None |
ZBTB18 | 73 | Yes | Known motif | Monomer or homomultimer | High-throughput in vitro | None | None |
MLXIP | 78 | Yes | Inferred motif | Obligate heteromer | High-throughput in vitro | None | None |
KLF8 | 79 | Yes | Known motif | Monomer or homomultimer | 100 perc ID - in vitro | None | None |
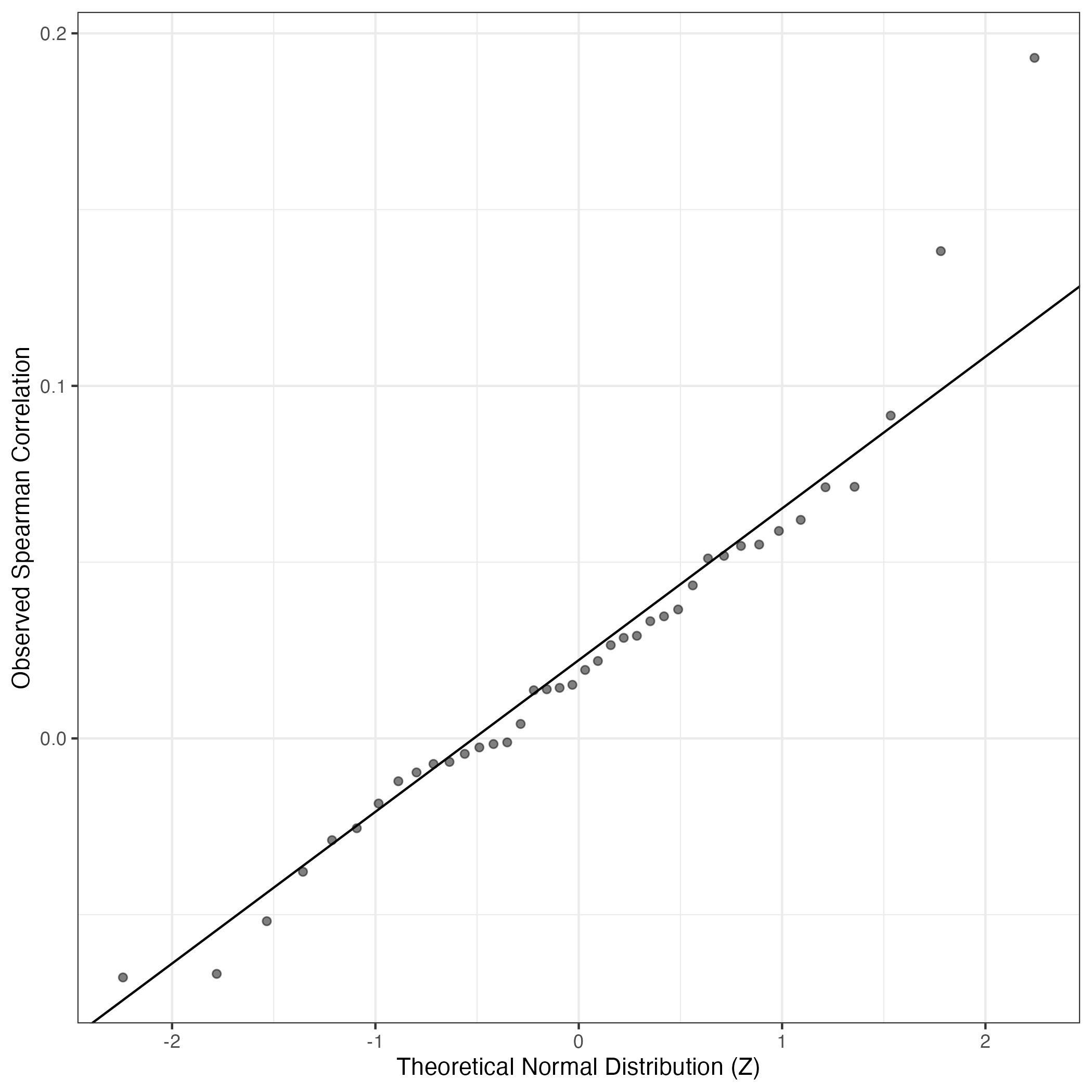
QQ Plot showing correlations with other GEPs in this dataset, calculated by Spearman correlation:
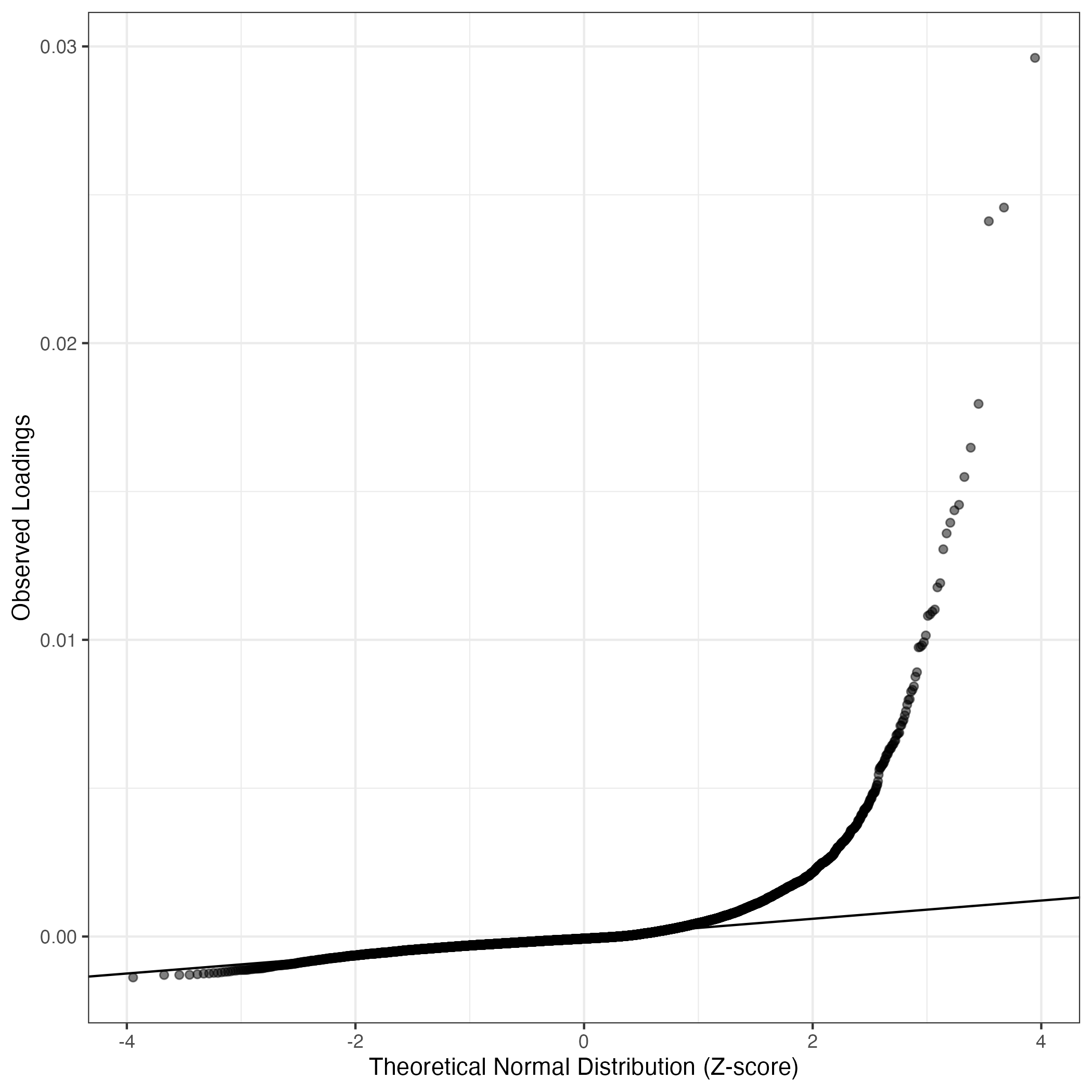
Interactive QQ-plot of gene loadings:
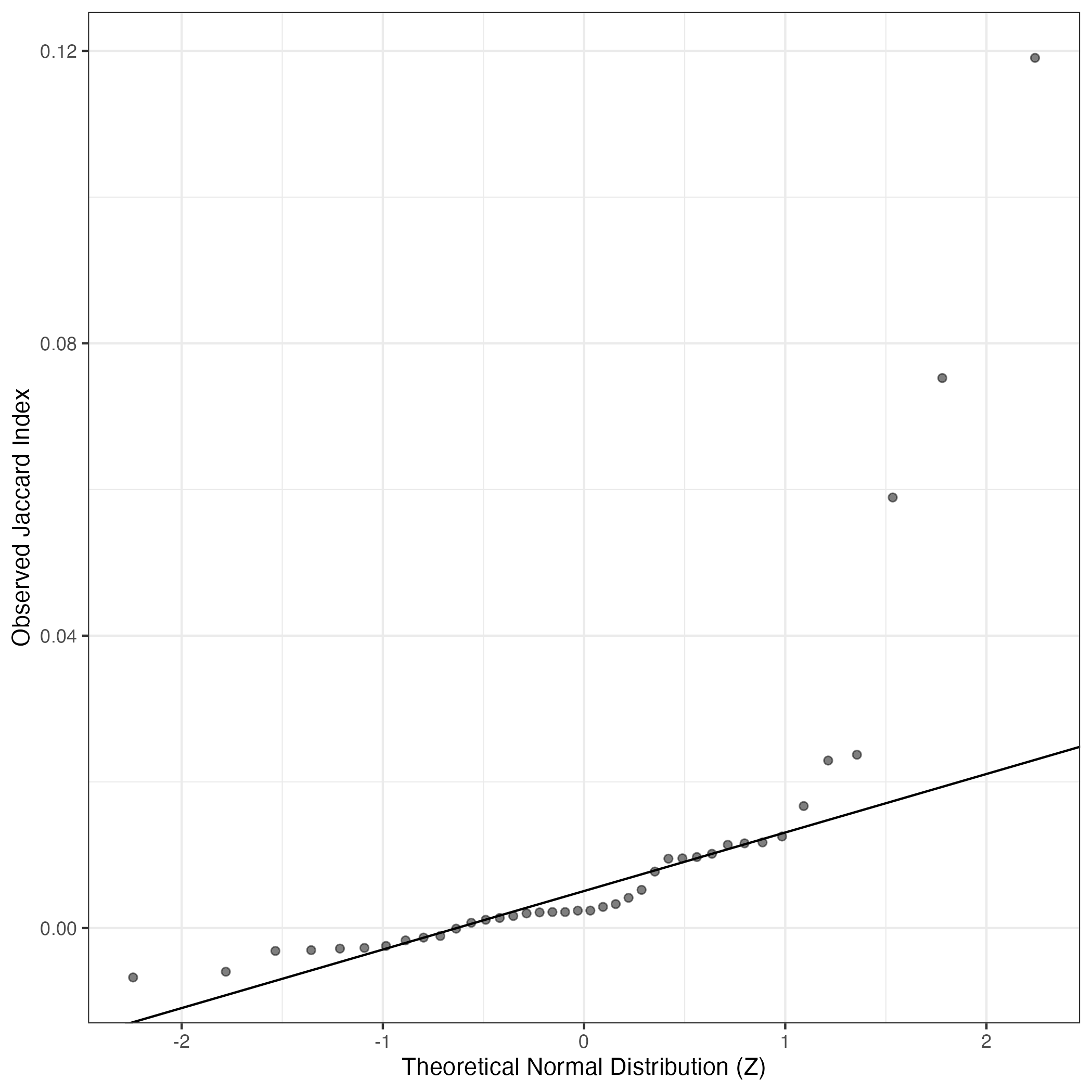
A similar QQ-plot as above, but only for instances where the H value is e.g. > 25, i.e. we are confident that the expression program is active above noise. Agreemenet between these binary vectors is tested using the Jaccard Index, with the P-values calculated by an exact test:
Interactive QQ-plot:
Singler cell type annotations for the top 50 cells on this program.
Cell ID | Singler label | Singler Delta | Activity Score | Top Singler Raw Scores |
---|---|---|---|---|
T188_CTGAGGCAGCGTGCTC-1 | Neurons:adrenal_medulla_cell_line | 0.05 | 870.13 | Raw ScoresPro-B_cell_CD34+: 0.26, B_cell:immature: 0.26, Neurons:adrenal_medulla_cell_line: 0.25, B_cell:Naive: 0.25, B_cell:Plasma_cell: 0.25, B_cell:Memory: 0.25, B_cell:Germinal_center: 0.25, B_cell:CXCR4+_centroblast: 0.24, B_cell:CXCR4-_centrocyte: 0.24, GMP: 0.24 |
T40_TCAGCAACACCAACCG.1 | Pro-B_cell_CD34+ | 0.14 | 720.98 | Raw ScoresPro-B_cell_CD34+: 0.38, B_cell:immature: 0.36, Pre-B_cell_CD34-: 0.35, GMP: 0.34, B_cell:Naive: 0.33, B_cell:Memory: 0.33, BM: 0.33, B_cell: 0.32, B_cell:Germinal_center: 0.32, B_cell:CXCR4-_centrocyte: 0.32 |
T188_CGGACACAGCAACTCT-1 | Pro-B_cell_CD34+ | 0.13 | 601.98 | Raw ScoresPro-B_cell_CD34+: 0.4, B_cell:immature: 0.37, GMP: 0.36, B_cell:Naive: 0.35, B_cell:Memory: 0.35, B_cell:Germinal_center: 0.35, CMP: 0.35, Pre-B_cell_CD34-: 0.34, B_cell:CXCR4+_centroblast: 0.34, B_cell:Plasma_cell: 0.34 |
T188_GATCACAAGTTGTAAG-1 | Pro-B_cell_CD34+ | 0.18 | 585.84 | Raw ScoresPro-B_cell_CD34+: 0.44, GMP: 0.39, B_cell:immature: 0.39, B_cell:CXCR4+_centroblast: 0.38, BM: 0.38, B_cell:Germinal_center: 0.38, CMP: 0.38, HSC_CD34+: 0.37, MEP: 0.36, B_cell:CXCR4-_centrocyte: 0.36 |
T188_GACCCAGCAAATAGCA-1 | Pro-B_cell_CD34+ | 0.10 | 495.47 | Raw ScoresPro-B_cell_CD34+: 0.29, GMP: 0.26, Pre-B_cell_CD34-: 0.26, B_cell:immature: 0.26, CMP: 0.25, HSC_CD34+: 0.24, BM: 0.24, Pro-Myelocyte: 0.24, B_cell:Naive: 0.24, NK_cell: 0.23 |
T40_CTCGAGGCAATGGAGC.1 | Pro-B_cell_CD34+ | 0.15 | 495.37 | Raw ScoresPro-B_cell_CD34+: 0.41, GMP: 0.36, B_cell:immature: 0.35, CMP: 0.35, BM: 0.34, Pre-B_cell_CD34-: 0.34, B_cell:Germinal_center: 0.34, Pro-Myelocyte: 0.33, HSC_CD34+: 0.33, B_cell:CXCR4+_centroblast: 0.33 |
T40_GCCTCTAAGGCCCTTG.1 | Pro-B_cell_CD34+ | 0.18 | 477.79 | Raw ScoresPro-B_cell_CD34+: 0.43, B_cell:immature: 0.38, B_cell:Germinal_center: 0.38, GMP: 0.38, B_cell:CXCR4+_centroblast: 0.38, T_cell:gamma-delta: 0.37, BM: 0.37, T_cell:effector: 0.36, B_cell:CXCR4-_centrocyte: 0.36, CMP: 0.36 |
T188_ATTCGTTAGTTGCCTA-1 | T_cell:CD8+_Central_memory | 0.10 | 472.94 | Raw ScoresNK_cell: 0.39, T_cell:CD4+_effector_memory: 0.39, T_cell:CD4+_central_memory: 0.39, NK_cell:CD56hiCD62L+: 0.38, NK_cell:IL2: 0.37, T_cell:CD8+_Central_memory: 0.37, T_cell:CD8+_effector_memory_RA: 0.37, T_cell:gamma-delta: 0.37, T_cell:CD8+: 0.37, T_cell:CD4+_Naive: 0.37 |
T188_TCGTGCTCAGTTCTAG-1 | Pro-B_cell_CD34+ | 0.08 | 469.33 | Raw ScoresPro-B_cell_CD34+: 0.28, B_cell:immature: 0.28, B_cell:Naive: 0.27, B_cell:Germinal_center: 0.26, B_cell:Memory: 0.26, B_cell:CXCR4+_centroblast: 0.26, B_cell:Plasma_cell: 0.26, B_cell:CXCR4-_centrocyte: 0.26, Pre-B_cell_CD34-: 0.25, B_cell: 0.25 |
T188_TGGTAGTCAGGTAGTG-1 | Pro-B_cell_CD34+ | 0.11 | 466.90 | Raw ScoresPro-B_cell_CD34+: 0.32, B_cell:immature: 0.31, B_cell:Naive: 0.29, B_cell:Memory: 0.29, Pre-B_cell_CD34-: 0.29, B_cell:Germinal_center: 0.29, GMP: 0.28, BM: 0.28, B_cell: 0.28, B_cell:CXCR4+_centroblast: 0.28 |
T188_GCCATGGTCGTGTGAT-1 | Pro-B_cell_CD34+ | 0.07 | 420.36 | Raw ScoresPro-B_cell_CD34+: 0.25, B_cell:immature: 0.24, Neurons:adrenal_medulla_cell_line: 0.23, GMP: 0.23, B_cell:Germinal_center: 0.23, B_cell:Naive: 0.23, B_cell:CXCR4+_centroblast: 0.23, B_cell:Memory: 0.23, CMP: 0.23, B_cell:CXCR4-_centrocyte: 0.22 |
T40_GACGCGTCATTGGGCC.1 | Pro-B_cell_CD34+ | 0.15 | 416.58 | Raw ScoresPro-B_cell_CD34+: 0.39, GMP: 0.38, CMP: 0.37, MEP: 0.35, Pro-Myelocyte: 0.35, HSC_CD34+: 0.35, B_cell:immature: 0.34, BM: 0.34, Pre-B_cell_CD34-: 0.34, B_cell:Germinal_center: 0.33 |
T188_GTGAGTTAGAGCTGCA-1 | Pro-B_cell_CD34+ | 0.10 | 391.76 | Raw ScoresPro-B_cell_CD34+: 0.32, B_cell:immature: 0.3, Pre-B_cell_CD34-: 0.28, GMP: 0.28, B_cell:Naive: 0.28, B_cell:Memory: 0.27, CMP: 0.27, B_cell:CXCR4-_centrocyte: 0.27, B_cell:Germinal_center: 0.27, B_cell:CXCR4+_centroblast: 0.27 |
T34_CCACCTACATAAGACA.1 | GMP | 0.13 | 389.60 | Raw ScoresPro-B_cell_CD34+: 0.38, GMP: 0.38, CMP: 0.37, Pro-Myelocyte: 0.35, MEP: 0.35, HSC_CD34+: 0.35, T_cell:gamma-delta: 0.35, BM: 0.34, Pre-B_cell_CD34-: 0.34, B_cell:Germinal_center: 0.33 |
T188_CATACCCTCAATCCAG-1 | Pro-B_cell_CD34+ | 0.08 | 387.98 | Raw ScoresB_cell:immature: 0.27, Pro-B_cell_CD34+: 0.26, B_cell:Naive: 0.25, B_cell:Germinal_center: 0.25, B_cell:CXCR4+_centroblast: 0.25, B_cell:CXCR4-_centrocyte: 0.25, Pre-B_cell_CD34-: 0.25, B_cell:Memory: 0.25, B_cell:Plasma_cell: 0.24, B_cell: 0.24 |
T188_AACCATGTCCATGAGT-1 | Neurons:adrenal_medulla_cell_line | 0.13 | 381.37 | Raw ScoresNeurons:adrenal_medulla_cell_line: 0.34, Astrocyte:Embryonic_stem_cell-derived: 0.3, Neuroepithelial_cell:ESC-derived: 0.29, Pro-B_cell_CD34+: 0.27, iPS_cells:CRL2097_foreskin-derived:undiff.: 0.27, iPS_cells:PDB_1lox-21Puro-20: 0.27, iPS_cells:PDB_1lox-17Puro-10: 0.27, iPS_cells:PDB_1lox-17Puro-5: 0.26, iPS_cells:PDB_2lox-22: 0.26, iPS_cells:PDB_2lox-5: 0.26 |
T188_TTGTTCAGTCCATACA-1 | Neurons:adrenal_medulla_cell_line | 0.18 | 379.35 | Raw ScoresNeurons:adrenal_medulla_cell_line: 0.37, Neuroepithelial_cell:ESC-derived: 0.34, Astrocyte:Embryonic_stem_cell-derived: 0.32, iPS_cells:PDB_1lox-21Puro-20: 0.3, iPS_cells:PDB_1lox-17Puro-10: 0.3, iPS_cells:PDB_1lox-21Puro-26: 0.3, iPS_cells:PDB_1lox-17Puro-5: 0.3, Neurons:ES_cell-derived_neural_precursor: 0.3, iPS_cells:PDB_2lox-22: 0.3, iPS_cells:PDB_2lox-21: 0.29 |
T40_TACGGTATCCGCAGTG.1 | Pro-B_cell_CD34+ | 0.16 | 375.68 | Raw ScoresPro-B_cell_CD34+: 0.41, B_cell:immature: 0.37, GMP: 0.36, B_cell:Germinal_center: 0.36, B_cell:CXCR4+_centroblast: 0.36, CMP: 0.35, B_cell:CXCR4-_centrocyte: 0.35, BM: 0.35, B_cell:Naive: 0.34, B_cell:Memory: 0.34 |
T188_ATCGGATCATAGCACT-1 | Pro-B_cell_CD34+ | 0.08 | 374.49 | Raw ScoresB_cell:immature: 0.29, Pro-B_cell_CD34+: 0.28, B_cell:Naive: 0.27, B_cell:Memory: 0.27, Pre-B_cell_CD34-: 0.26, B_cell:Germinal_center: 0.26, B_cell:CXCR4+_centroblast: 0.26, B_cell:Plasma_cell: 0.26, B_cell:CXCR4-_centrocyte: 0.26, GMP: 0.25 |
T188_TAACACGCACCTTCGT-1 | Pro-B_cell_CD34+ | 0.16 | 368.27 | Raw ScoresPro-B_cell_CD34+: 0.43, T_cell:effector: 0.41, T_cell:gamma-delta: 0.41, T_cell:CCR10-CLA+1,25(OH)2_vit_D3/IL-12: 0.4, T_cell:CCR10+CLA+1,25(OH)2_vit_D3/IL-12: 0.4, B_cell:immature: 0.4, T_cell:CD4+_central_memory: 0.39, B_cell:Germinal_center: 0.39, NK_cell:IL2: 0.39, NK_cell: 0.39 |
T188_CGAAGTTCATTCCTAT-1 | B_cell:immature | 0.09 | 359.09 | Raw ScoresB_cell:immature: 0.28, Pro-B_cell_CD34+: 0.28, B_cell:Naive: 0.27, B_cell:CXCR4-_centrocyte: 0.26, B_cell:Memory: 0.26, B_cell:Germinal_center: 0.26, Pre-B_cell_CD34-: 0.26, B_cell:CXCR4+_centroblast: 0.26, B_cell: 0.25, B_cell:Plasma_cell: 0.25 |
T188_GACCCTTGTAAGATCA-1 | Pro-B_cell_CD34+ | 0.15 | 332.61 | Raw ScoresPro-B_cell_CD34+: 0.38, B_cell:immature: 0.36, B_cell:Germinal_center: 0.36, B_cell:CXCR4+_centroblast: 0.36, B_cell:CXCR4-_centrocyte: 0.34, BM: 0.33, GMP: 0.33, B_cell:Memory: 0.33, B_cell:Naive: 0.32, Pre-B_cell_CD34-: 0.32 |
T188_GGCACGTAGGCCCGTT-1 | Pro-B_cell_CD34+ | 0.07 | 314.94 | Raw ScoresPro-B_cell_CD34+: 0.27, B_cell:immature: 0.26, B_cell:Germinal_center: 0.25, B_cell:Naive: 0.25, B_cell:CXCR4+_centroblast: 0.24, Pre-B_cell_CD34-: 0.24, B_cell:Plasma_cell: 0.24, B_cell:CXCR4-_centrocyte: 0.24, B_cell:Memory: 0.24, GMP: 0.24 |
T188_TTCACGCGTCCCGTGA-1 | Pro-B_cell_CD34+ | 0.07 | 310.04 | Raw ScoresNeurons:adrenal_medulla_cell_line: 0.33, Pro-B_cell_CD34+: 0.3, Astrocyte:Embryonic_stem_cell-derived: 0.29, Neuroepithelial_cell:ESC-derived: 0.28, GMP: 0.28, CMP: 0.27, B_cell:immature: 0.27, iPS_cells:CRL2097_foreskin-derived:undiff.: 0.26, MEP: 0.26, iPS_cells:PDB_2lox-17: 0.26 |
T175_TCGACCTAGGTCGCCT-1 | Pro-B_cell_CD34+ | 0.11 | 300.29 | Raw ScoresPro-B_cell_CD34+: 0.31, B_cell:immature: 0.28, GMP: 0.27, Pre-B_cell_CD34-: 0.27, CMP: 0.26, B_cell:Naive: 0.26, B_cell:Memory: 0.26, BM: 0.26, B_cell:Germinal_center: 0.25, HSC_CD34+: 0.25 |
T188_CCGCAAGAGGACTATA-1 | B_cell:immature | 0.09 | 293.29 | Raw ScoresB_cell:immature: 0.32, B_cell:Naive: 0.31, Pro-B_cell_CD34+: 0.31, B_cell:Memory: 0.3, Neurons:adrenal_medulla_cell_line: 0.29, B_cell:Germinal_center: 0.29, B_cell:CXCR4-_centrocyte: 0.29, B_cell:CXCR4+_centroblast: 0.29, B_cell:Plasma_cell: 0.29, GMP: 0.28 |
T188_TGATTTCTCTTCGACC-1 | B_cell:immature | 0.09 | 288.12 | Raw ScoresB_cell:immature: 0.28, B_cell:Naive: 0.27, Pro-B_cell_CD34+: 0.27, B_cell:Memory: 0.26, B_cell:Germinal_center: 0.26, B_cell: 0.26, B_cell:CXCR4-_centrocyte: 0.25, B_cell:CXCR4+_centroblast: 0.25, Pre-B_cell_CD34-: 0.25, GMP: 0.24 |
T188_CCATAAGCAATTGTGC-1 | B_cell:immature | 0.10 | 288.08 | Raw ScoresB_cell:immature: 0.32, Pro-B_cell_CD34+: 0.31, B_cell:Naive: 0.31, B_cell:Germinal_center: 0.31, B_cell:Memory: 0.3, B_cell:CXCR4-_centrocyte: 0.29, B_cell:CXCR4+_centroblast: 0.29, Pre-B_cell_CD34-: 0.29, B_cell: 0.29, GMP: 0.28 |
T188_CGTTGGGAGCCGTCGT-1 | Pro-B_cell_CD34+ | 0.09 | 277.63 | Raw ScoresPro-B_cell_CD34+: 0.3, B_cell:immature: 0.27, GMP: 0.26, Pre-B_cell_CD34-: 0.26, BM: 0.26, B_cell:Naive: 0.25, B_cell:Germinal_center: 0.25, B_cell:CXCR4-_centrocyte: 0.25, B_cell:CXCR4+_centroblast: 0.25, CMP: 0.25 |
T188_CTGTATTGTTGGCTAT-1 | Neurons:adrenal_medulla_cell_line | 0.12 | 277.15 | Raw ScoresNeurons:adrenal_medulla_cell_line: 0.35, Pro-B_cell_CD34+: 0.33, Neuroepithelial_cell:ESC-derived: 0.32, B_cell:Germinal_center: 0.31, B_cell:CXCR4+_centroblast: 0.31, Astrocyte:Embryonic_stem_cell-derived: 0.31, T_cell:gamma-delta: 0.3, T_cell:CCR10+CLA+1,25(OH)2_vit_D3/IL-12: 0.3, B_cell:immature: 0.3, T_cell:effector: 0.3 |
T188_TATTCCAAGGAACATT-1 | Pro-B_cell_CD34+ | 0.10 | 274.82 | Raw ScoresPro-B_cell_CD34+: 0.28, B_cell:immature: 0.28, B_cell:Naive: 0.26, Pre-B_cell_CD34-: 0.26, B_cell:Germinal_center: 0.25, GMP: 0.25, B_cell:Memory: 0.25, BM: 0.25, B_cell:CXCR4-_centrocyte: 0.25, B_cell:CXCR4+_centroblast: 0.25 |
T188_GTTGTAGAGGTGCCTC-1 | Pro-B_cell_CD34+ | 0.09 | 263.39 | Raw ScoresPro-B_cell_CD34+: 0.28, B_cell:immature: 0.27, B_cell:Memory: 0.26, B_cell:Naive: 0.26, Pre-B_cell_CD34-: 0.25, B_cell:CXCR4-_centrocyte: 0.25, B_cell:Germinal_center: 0.25, B_cell:Plasma_cell: 0.25, B_cell:CXCR4+_centroblast: 0.25, GMP: 0.25 |
T188_AGAACCTCAAATGAGT-1 | Pro-B_cell_CD34+ | 0.08 | 261.31 | Raw ScoresPro-B_cell_CD34+: 0.28, B_cell:immature: 0.27, B_cell:Naive: 0.26, B_cell:Germinal_center: 0.26, B_cell:Plasma_cell: 0.26, B_cell:CXCR4+_centroblast: 0.26, B_cell:CXCR4-_centrocyte: 0.26, B_cell:Memory: 0.26, Pre-B_cell_CD34-: 0.25, GMP: 0.24 |
T188_CCAAGCGAGTGCAGGT-1 | Pro-B_cell_CD34+ | 0.09 | 260.00 | Raw ScoresB_cell:immature: 0.29, Pro-B_cell_CD34+: 0.29, B_cell:Naive: 0.28, B_cell:Memory: 0.27, B_cell:CXCR4-_centrocyte: 0.27, B_cell: 0.27, B_cell:CXCR4+_centroblast: 0.27, B_cell:Germinal_center: 0.27, Pre-B_cell_CD34-: 0.27, GMP: 0.26 |
T175_ATCGGCGGTTAGGAGC-1 | Neurons:adrenal_medulla_cell_line | 0.12 | 259.58 | Raw ScoresNeurons:adrenal_medulla_cell_line: 0.36, Pro-B_cell_CD34+: 0.31, Neuroepithelial_cell:ESC-derived: 0.29, Astrocyte:Embryonic_stem_cell-derived: 0.29, GMP: 0.29, CMP: 0.29, iPS_cells:CRL2097_foreskin-derived:undiff.: 0.29, B_cell:Germinal_center: 0.28, iPS_cells:PDB_2lox-22: 0.28, iPS_cells:PDB_1lox-17Puro-5: 0.28 |
T188_GTGGCGTAGCTGAGTG-1 | Pro-B_cell_CD34+ | 0.09 | 256.96 | Raw ScoresNeurons:adrenal_medulla_cell_line: 0.35, Pro-B_cell_CD34+: 0.34, B_cell:immature: 0.33, B_cell:CXCR4+_centroblast: 0.32, Neuroepithelial_cell:ESC-derived: 0.31, B_cell:Germinal_center: 0.31, GMP: 0.31, B_cell:CXCR4-_centrocyte: 0.31, B_cell:Naive: 0.31, Astrocyte:Embryonic_stem_cell-derived: 0.3 |
T188_TGTACAGGTACCTGTA-1 | B_cell:Naive | 0.10 | 249.07 | Raw ScoresB_cell:Naive: 0.35, B_cell:Memory: 0.35, B_cell:immature: 0.35, B_cell: 0.33, B_cell:CXCR4-_centrocyte: 0.32, B_cell:Germinal_center: 0.32, B_cell:Plasma_cell: 0.32, T_cell:CD4+_central_memory: 0.32, Pre-B_cell_CD34-: 0.31, NK_cell: 0.31 |
T188_TGGGAGAAGCGGCTCT-1 | Pro-B_cell_CD34+ | 0.07 | 245.08 | Raw ScoresPro-B_cell_CD34+: 0.26, Neurons:adrenal_medulla_cell_line: 0.25, B_cell:immature: 0.24, GMP: 0.24, CMP: 0.24, B_cell:Naive: 0.24, B_cell:CXCR4+_centroblast: 0.23, B_cell:Germinal_center: 0.23, B_cell:CXCR4-_centrocyte: 0.23, B_cell:Memory: 0.23 |
T188_TGTAAGCAGCTTCTAG-1 | Pro-B_cell_CD34+ | 0.08 | 244.57 | Raw ScoresB_cell:immature: 0.27, Pro-B_cell_CD34+: 0.26, B_cell:Naive: 0.26, B_cell: 0.25, B_cell:Memory: 0.25, B_cell:Germinal_center: 0.24, Pre-B_cell_CD34-: 0.24, B_cell:Plasma_cell: 0.24, B_cell:CXCR4+_centroblast: 0.24, B_cell:CXCR4-_centrocyte: 0.24 |
T188_CTTCTCTGTCATACCA-1 | Pro-B_cell_CD34+ | 0.09 | 236.49 | Raw ScoresPro-B_cell_CD34+: 0.3, B_cell:immature: 0.28, GMP: 0.26, Pre-B_cell_CD34-: 0.26, CMP: 0.26, B_cell:Naive: 0.26, B_cell:Memory: 0.26, B_cell:Plasma_cell: 0.25, B_cell:Germinal_center: 0.25, NK_cell:CD56hiCD62L+: 0.25 |
T175_GCATGATTCCGAAATC-1 | Neurons:adrenal_medulla_cell_line | 0.13 | 235.18 | Raw ScoresNeurons:adrenal_medulla_cell_line: 0.35, Neuroepithelial_cell:ESC-derived: 0.31, Astrocyte:Embryonic_stem_cell-derived: 0.3, Pro-B_cell_CD34+: 0.29, iPS_cells:PDB_1lox-21Puro-20: 0.29, iPS_cells:PDB_1lox-17Puro-5: 0.29, iPS_cells:PDB_1lox-17Puro-10: 0.28, iPS_cells:PDB_1lox-21Puro-26: 0.28, iPS_cells:CRL2097_foreskin-derived:undiff.: 0.28, iPS_cells:PDB_2lox-22: 0.28 |
T188_GGGTAGAAGAGCAAGA-1 | Pro-B_cell_CD34+ | 0.09 | 224.90 | Raw ScoresPro-B_cell_CD34+: 0.27, B_cell:immature: 0.26, B_cell:Naive: 0.25, B_cell:CXCR4-_centrocyte: 0.24, B_cell:Germinal_center: 0.24, B_cell:Memory: 0.24, B_cell:CXCR4+_centroblast: 0.24, Pre-B_cell_CD34-: 0.24, B_cell: 0.24, GMP: 0.24 |
T188_ATCCCTGGTCGGATTT-1 | Pro-B_cell_CD34+ | 0.09 | 217.77 | Raw ScoresB_cell:immature: 0.28, Pro-B_cell_CD34+: 0.27, B_cell:Naive: 0.26, B_cell:Germinal_center: 0.25, B_cell:Memory: 0.25, Pre-B_cell_CD34-: 0.25, B_cell: 0.25, GMP: 0.25, B_cell:CXCR4+_centroblast: 0.25, B_cell:CXCR4-_centrocyte: 0.25 |
T188_CCCTCAAAGCAACCAG-1 | Pro-B_cell_CD34+ | 0.10 | 210.46 | Raw ScoresPro-B_cell_CD34+: 0.29, B_cell:immature: 0.28, Pre-B_cell_CD34-: 0.26, B_cell:Naive: 0.26, B_cell:CXCR4+_centroblast: 0.25, B_cell:CXCR4-_centrocyte: 0.25, B_cell:Germinal_center: 0.25, B_cell: 0.25, GMP: 0.25, B_cell:Memory: 0.24 |
T188_TGAGCATCACATTACG-1 | NK_cell:CD56hiCD62L+ | 0.11 | 204.68 | Raw ScoresNK_cell:CD56hiCD62L+: 0.36, NK_cell: 0.36, NK_cell:IL2: 0.34, T_cell:CD4+_effector_memory: 0.34, T_cell:CD4+_central_memory: 0.34, B_cell:Memory: 0.34, B_cell:immature: 0.34, Pro-B_cell_CD34+: 0.33, T_cell:CD4+_Naive: 0.33, B_cell:Naive: 0.33 |
T188_GACCTTCGTGCCCGTA-1 | Pro-B_cell_CD34+ | 0.07 | 204.51 | Raw ScoresPro-B_cell_CD34+: 0.27, B_cell:immature: 0.26, B_cell:Naive: 0.25, B_cell:Germinal_center: 0.24, GMP: 0.24, B_cell:Plasma_cell: 0.24, B_cell:Memory: 0.24, B_cell:CXCR4-_centrocyte: 0.24, B_cell:CXCR4+_centroblast: 0.24, Pre-B_cell_CD34-: 0.24 |
T188_CCCGAAGAGCGACCCT-1 | Pro-B_cell_CD34+ | 0.07 | 185.78 | Raw ScoresPro-B_cell_CD34+: 0.29, Neurons:adrenal_medulla_cell_line: 0.27, GMP: 0.26, CMP: 0.26, B_cell:immature: 0.26, Pre-B_cell_CD34-: 0.25, B_cell:Plasma_cell: 0.24, B_cell:Germinal_center: 0.24, MEP: 0.24, B_cell:CXCR4-_centrocyte: 0.24 |
T188_TAGACCACAACTCCCT-1 | Pro-B_cell_CD34+ | 0.09 | 160.61 | Raw ScoresPro-B_cell_CD34+: 0.27, B_cell:immature: 0.27, B_cell:Germinal_center: 0.25, B_cell:Naive: 0.25, Pre-B_cell_CD34-: 0.25, B_cell:CXCR4+_centroblast: 0.25, B_cell:Memory: 0.25, B_cell:CXCR4-_centrocyte: 0.25, B_cell: 0.25, GMP: 0.24 |
T188_TGCGGCACAACGCATT-1 | Pro-B_cell_CD34+ | 0.08 | 158.26 | Raw ScoresPro-B_cell_CD34+: 0.27, B_cell:immature: 0.27, B_cell:Naive: 0.26, B_cell:CXCR4-_centrocyte: 0.25, B_cell:Germinal_center: 0.25, B_cell:Memory: 0.25, B_cell:CXCR4+_centroblast: 0.25, Pre-B_cell_CD34-: 0.25, GMP: 0.24, B_cell:Plasma_cell: 0.24 |
T188_TAAGTCGCAGAGAGGG-1 | Pro-B_cell_CD34+ | 0.08 | 156.47 | Raw ScoresPro-B_cell_CD34+: 0.28, B_cell:immature: 0.28, B_cell:Naive: 0.27, Pre-B_cell_CD34-: 0.26, B_cell:Memory: 0.26, B_cell:Germinal_center: 0.26, B_cell:CXCR4-_centrocyte: 0.25, GMP: 0.25, B_cell: 0.25, B_cell:CXCR4+_centroblast: 0.25 |
Below shows the significant enrichments of this GEP for literature curated gene lists
This data was procured from existing single cell RNA-seq maps of neuroblastoma or related relevant data.
High ranks indicate this gene is a driver of this GEP.
These curated gene list are ranked by the P-value (on this GEP) of their constituent genes.
The Mean Count column shows the mean read count in cells scoring highly (H > 50) on this gene expression program.
Genes | Weight | Rank | GTEx | DepMap | Decartes | Mean.Counts | Mean.TPM |
---|---|---|---|---|---|---|---|
CD79A | 0.0063401 | 46 | GTEx | DepMap | Descartes | 2.52 | 1197.83 |
Mesencchymal populations mouse (Olsen)
Stated on page 6 of the main text of Olsen et al. https://www.biorxiv.org/content/10.1101/2020.05.04.077057v1 - seems to be referencing previous mouse lineage tracing studies in mouse which sucggested SCPs give rise to autonomic neurons and mesenchymal cells:
Wilcoxon ranksum test P-value for gene set overrepresentation: 5.27e-02
Mean rank of genes in gene set: 2126.5
Rank on gene expression program of genes in gene set:
Genes | Weight | Rank | GTEx | DepMap | Decartes | Mean.Counts | Mean.TPM |
---|---|---|---|---|---|---|---|
FLI1 | 0.0020620 | 306 | GTEx | DepMap | Descartes | 0.21 | 13.38 |
PRRX1 | 0.0000745 | 3947 | GTEx | DepMap | Descartes | 0.03 | 1.06 |
Adrenergic proliferating cluster (Olsen)
Stated on pages 6 and 7 of the main text of Olsen et al. https://www.biorxiv.org/content/10.1101/2020.05.04.077057v1 - it is argued that upon reanalysis of the adrenergic neuroblastoma cells, there is further heterogeneity, grouped into proliferating, mature and immature cell populations. These genes were found as markers for proliferating adrenergic cells:
Wilcoxon ranksum test P-value for gene set overrepresentation: 7.70e-02
Mean rank of genes in gene set: 2624
Rank on gene expression program of genes in gene set:
Genes | Weight | Rank | GTEx | DepMap | Decartes | Mean.Counts | Mean.TPM |
---|---|---|---|---|---|---|---|
EZH2 | 0.0006674 | 1425 | GTEx | DepMap | Descartes | 0.47 | 43.34 |
MKI67 | 0.0000919 | 3823 | GTEx | DepMap | Descartes | 1.35 | 19.70 |
Below shows ranks on this GEP for literature curated gene lists for large gene sets
These include those reported as mesenchymal/adrenergic by Van Groningen et al.
High ranks indicate this gene is a driver of this GEP (note these results are not ordered).
The Mean Count column shows the mean read count in cells scoring highly (H > 50) on this gene expression program.
VanGroningen Adrenergic Genes
Adrenergic marker genes from Supplementary Table 2 of Van Groningen et al. Nature Genetics 2017. These genes were identified by differential expression analysis of mesenchymal-like and adrenergic-like neuroblastoma cell lines.
Wilcoxon ranksum test P-value for gene set overrepresentation: 1.00e+00
Mean rank of genes in gene set: 9628.19
Median rank of genes in gene set: 11242
Rank on gene expression program of top 30 genes in gene set:
Genes | Weight | Rank | GTEx | DepMap | Descartes | Mean.Counts | Mean.TPM |
---|---|---|---|---|---|---|---|
UCP2 | 0.0079747 | 29 | GTEx | DepMap | Descartes | 2.46 | 640.00 |
AKAP12 | 0.0026069 | 206 | GTEx | DepMap | Descartes | 1.08 | 57.87 |
CYFIP2 | 0.0023552 | 256 | GTEx | DepMap | Descartes | 0.56 | 46.46 |
MSI2 | 0.0021376 | 292 | GTEx | DepMap | Descartes | 1.10 | 50.45 |
CXCR4 | 0.0020271 | 319 | GTEx | DepMap | Descartes | 5.09 | 1275.06 |
PPP2R3C | 0.0018519 | 377 | GTEx | DepMap | Descartes | 0.37 | 77.90 |
LYN | 0.0018315 | 388 | GTEx | DepMap | Descartes | 0.34 | 27.23 |
H1FX | 0.0016783 | 459 | GTEx | DepMap | Descartes | 4.57 | NA |
DAPK1 | 0.0013223 | 656 | GTEx | DepMap | Descartes | 0.18 | 7.71 |
GLRX | 0.0009138 | 1032 | GTEx | DepMap | Descartes | 0.87 | 77.83 |
MYBL2 | 0.0008999 | 1049 | GTEx | DepMap | Descartes | 0.43 | 47.10 |
TUBB4B | 0.0008845 | 1073 | GTEx | DepMap | Descartes | 2.78 | 404.06 |
ARHGEF7 | 0.0007525 | 1262 | GTEx | DepMap | Descartes | 0.43 | 28.61 |
RRM2 | 0.0007002 | 1370 | GTEx | DepMap | Descartes | 0.53 | 26.43 |
ANP32A | 0.0006211 | 1515 | GTEx | DepMap | Descartes | 1.28 | 94.94 |
GNB1 | 0.0006011 | 1558 | GTEx | DepMap | Descartes | 0.83 | 76.54 |
NUSAP1 | 0.0005959 | 1571 | GTEx | DepMap | Descartes | 1.41 | 84.73 |
KLF13 | 0.0005880 | 1595 | GTEx | DepMap | Descartes | 0.63 | 32.16 |
CDKN3 | 0.0004773 | 1897 | GTEx | DepMap | Descartes | 0.74 | 131.45 |
RIMS3 | 0.0004581 | 1970 | GTEx | DepMap | Descartes | 0.20 | 9.83 |
SATB1 | 0.0004146 | 2113 | GTEx | DepMap | Descartes | 0.50 | 22.91 |
CELF2 | 0.0003894 | 2207 | GTEx | DepMap | Descartes | 0.57 | 24.14 |
VRK1 | 0.0003862 | 2220 | GTEx | DepMap | Descartes | 0.35 | 55.87 |
PDK1 | 0.0003342 | 2414 | GTEx | DepMap | Descartes | 0.09 | 2.43 |
RBBP8 | 0.0003313 | 2423 | GTEx | DepMap | Descartes | 0.19 | 19.01 |
EVL | 0.0003207 | 2468 | GTEx | DepMap | Descartes | 1.38 | 122.31 |
TBPL1 | 0.0003001 | 2573 | GTEx | DepMap | Descartes | 0.33 | 26.64 |
INO80C | 0.0002701 | 2705 | GTEx | DepMap | Descartes | 0.20 | 21.47 |
CHML | 0.0001940 | 3108 | GTEx | DepMap | Descartes | 0.24 | 10.91 |
ARL6IP1 | 0.0001667 | 3289 | GTEx | DepMap | Descartes | 1.51 | 152.38 |
VanGroningen Mesenchymal Genes
Mesenchymal marker genes from Supplementary Table 2 of Van Groningen et al. Nature Genetics 2017. These genes were identified by differential expression analysis of mesenchymal-like and adrenergic-like neuroblastoma cell lines.
Wilcoxon ranksum test P-value for gene set overrepresentation: 7.57e-01
Mean rank of genes in gene set: 6393.97
Median rank of genes in gene set: 6576
Rank on gene expression program of top 30 genes in gene set:
Genes | Weight | Rank | GTEx | DepMap | Descartes | Mean.Counts | Mean.TPM |
---|---|---|---|---|---|---|---|
KANK2 | 0.0117686 | 13 | GTEx | DepMap | Descartes | 0.23 | 27.11 |
HIST1H2AC | 0.0043038 | 88 | GTEx | DepMap | Descartes | 0.93 | NA |
TRAM1 | 0.0037384 | 109 | GTEx | DepMap | Descartes | 0.87 | 116.58 |
IGF2R | 0.0036611 | 114 | GTEx | DepMap | Descartes | 0.25 | 8.65 |
EDEM1 | 0.0033373 | 134 | GTEx | DepMap | Descartes | 0.29 | 24.97 |
IQGAP2 | 0.0032688 | 139 | GTEx | DepMap | Descartes | 0.42 | 42.49 |
AEBP1 | 0.0032505 | 141 | GTEx | DepMap | Descartes | 0.48 | 52.30 |
MBD2 | 0.0032162 | 144 | GTEx | DepMap | Descartes | 0.44 | 43.29 |
OGFRL1 | 0.0030815 | 156 | GTEx | DepMap | Descartes | 0.34 | 18.96 |
MYADM | 0.0028278 | 179 | GTEx | DepMap | Descartes | 0.78 | 146.42 |
SH3BGRL | 0.0024844 | 232 | GTEx | DepMap | Descartes | 1.05 | 236.10 |
PDLIM1 | 0.0022866 | 265 | GTEx | DepMap | Descartes | 0.51 | 122.43 |
LUZP1 | 0.0022059 | 277 | GTEx | DepMap | Descartes | 0.17 | 11.32 |
CMTM6 | 0.0021451 | 289 | GTEx | DepMap | Descartes | 0.79 | 86.76 |
MYL12A | 0.0018480 | 379 | GTEx | DepMap | Descartes | 3.22 | 992.52 |
JAK1 | 0.0018097 | 398 | GTEx | DepMap | Descartes | 0.97 | 49.27 |
PLEKHA2 | 0.0018086 | 401 | GTEx | DepMap | Descartes | 0.25 | 25.57 |
MOB1A | 0.0017439 | 428 | GTEx | DepMap | Descartes | 0.84 | 72.73 |
RAP1B | 0.0017358 | 431 | GTEx | DepMap | Descartes | 0.94 | 31.79 |
LRP10 | 0.0017144 | 436 | GTEx | DepMap | Descartes | 0.28 | 25.08 |
REST | 0.0016734 | 461 | GTEx | DepMap | Descartes | 0.24 | 14.27 |
TMEM50A | 0.0016730 | 462 | GTEx | DepMap | Descartes | 1.16 | 189.85 |
CREB3L2 | 0.0016652 | 469 | GTEx | DepMap | Descartes | 0.11 | 5.77 |
MAML2 | 0.0016528 | 474 | GTEx | DepMap | Descartes | 0.05 | 3.05 |
TMEM87B | 0.0015584 | 516 | GTEx | DepMap | Descartes | 0.04 | 1.24 |
ROR1 | 0.0015456 | 525 | GTEx | DepMap | Descartes | 0.04 | 5.53 |
ELK3 | 0.0014519 | 573 | GTEx | DepMap | Descartes | 0.09 | 10.90 |
MYL12B | 0.0014312 | 586 | GTEx | DepMap | Descartes | 3.06 | 842.29 |
ELF1 | 0.0013633 | 626 | GTEx | DepMap | Descartes | 0.78 | 119.54 |
SLC16A4 | 0.0012633 | 694 | GTEx | DepMap | Descartes | 0.07 | 16.85 |
Descartes adrenocortical markers
Top 50 marker genes of adrenocortical cells in the Decartes fetal adrenal single cell map (https://atlas.brotmanbaty.org/bbi/human-gene-expression-during-development/cell/adrenocortical/in/adrenal)
Wilcoxon ranksum test P-value for gene set overrepresentation: 9.80e-01
Mean rank of genes in gene set: 7515.17
Median rank of genes in gene set: 8150
Rank on gene expression program of top 30 genes in gene set:
Genes | Weight | Rank | GTEx | DepMap | Descartes | Mean.Counts | Mean.TPM |
---|---|---|---|---|---|---|---|
FDX1 | 0.0017028 | 445 | GTEx | DepMap | Descartes | 0.61 | 81.19 |
NPC1 | 0.0006086 | 1541 | GTEx | DepMap | Descartes | 0.03 | 3.32 |
FDPS | 0.0002347 | 2891 | GTEx | DepMap | Descartes | 0.93 | 138.12 |
SLC16A9 | 0.0001837 | 3186 | GTEx | DepMap | Descartes | 0.05 | 2.77 |
HMGCR | 0.0001554 | 3353 | GTEx | DepMap | Descartes | 0.14 | 12.32 |
STAR | 0.0000841 | 3871 | GTEx | DepMap | Descartes | 0.01 | 0.15 |
SCAP | 0.0000549 | 4122 | GTEx | DepMap | Descartes | 0.15 | 10.03 |
GRAMD1B | 0.0000469 | 4196 | GTEx | DepMap | Descartes | 0.08 | 1.54 |
FDXR | 0.0000263 | 4424 | GTEx | DepMap | Descartes | 0.07 | 5.52 |
HMGCS1 | 0.0000229 | 4464 | GTEx | DepMap | Descartes | 0.16 | 9.93 |
SH3BP5 | 0.0000121 | 4616 | GTEx | DepMap | Descartes | 0.57 | 47.49 |
SCARB1 | -0.0000033 | 4837 | GTEx | DepMap | Descartes | 0.10 | 3.44 |
TM7SF2 | -0.0000430 | 5618 | GTEx | DepMap | Descartes | 0.20 | 33.20 |
FREM2 | -0.0000511 | 5823 | GTEx | DepMap | Descartes | 0.00 | 0.00 |
SGCZ | -0.0001018 | 6979 | GTEx | DepMap | Descartes | 0.00 | 0.00 |
INHA | -0.0001372 | 7812 | GTEx | DepMap | Descartes | 0.00 | 0.00 |
POR | -0.0001441 | 7948 | GTEx | DepMap | Descartes | 0.09 | 17.90 |
BAIAP2L1 | -0.0001455 | 7982 | GTEx | DepMap | Descartes | 0.01 | 0.70 |
APOC1 | -0.0001631 | 8318 | GTEx | DepMap | Descartes | 0.67 | 186.21 |
PDE10A | -0.0001790 | 8618 | GTEx | DepMap | Descartes | 0.04 | 0.73 |
ERN1 | -0.0002053 | 9092 | GTEx | DepMap | Descartes | 0.13 | 5.68 |
FRMD5 | -0.0002248 | 9424 | GTEx | DepMap | Descartes | 0.01 | 0.64 |
PAPSS2 | -0.0002259 | 9441 | GTEx | DepMap | Descartes | 0.04 | 1.29 |
IGF1R | -0.0002347 | 9600 | GTEx | DepMap | Descartes | 0.14 | 2.49 |
SH3PXD2B | -0.0002649 | 10053 | GTEx | DepMap | Descartes | 0.00 | 0.00 |
DNER | -0.0002734 | 10192 | GTEx | DepMap | Descartes | 0.19 | 10.82 |
CYB5B | -0.0002783 | 10259 | GTEx | DepMap | Descartes | 0.23 | 14.83 |
JAKMIP2 | -0.0002959 | 10483 | GTEx | DepMap | Descartes | 0.22 | 5.13 |
PEG3 | -0.0003208 | 10762 | GTEx | DepMap | Descartes | 0.10 | NA |
DHCR7 | -0.0003356 | 10900 | GTEx | DepMap | Descartes | 0.02 | 1.87 |
Descartes chromaffin markers
Top 50 marker genes of chromaffin cells in the Decartes fetal adrenal single cell map (https://atlas.brotmanbaty.org/bbi/human-gene-expression-during-development/cell/chromaffin/in/adrenal)
Wilcoxon ranksum test P-value for gene set overrepresentation: 1.00e+00
Mean rank of genes in gene set: 10764.27
Median rank of genes in gene set: 11831
Rank on gene expression program of top 30 genes in gene set:
Genes | Weight | Rank | GTEx | DepMap | Descartes | Mean.Counts | Mean.TPM |
---|---|---|---|---|---|---|---|
GREM1 | 0.0000107 | 4631 | GTEx | DepMap | Descartes | 0.12 | 2.02 |
RPH3A | -0.0000296 | 5332 | GTEx | DepMap | Descartes | 0.03 | 0.76 |
EPHA6 | -0.0000937 | 6804 | GTEx | DepMap | Descartes | 0.00 | 0.00 |
SLC44A5 | -0.0000970 | 6874 | GTEx | DepMap | Descartes | 0.00 | 0.00 |
PLXNA4 | -0.0001315 | 7693 | GTEx | DepMap | Descartes | 0.14 | 2.28 |
FAT3 | -0.0001407 | 7875 | GTEx | DepMap | Descartes | 0.08 | 1.19 |
RYR2 | -0.0001632 | 8320 | GTEx | DepMap | Descartes | 0.02 | 0.36 |
HS3ST5 | -0.0001752 | 8548 | GTEx | DepMap | Descartes | 0.02 | 0.92 |
ANKFN1 | -0.0001754 | 8553 | GTEx | DepMap | Descartes | 0.04 | 1.33 |
ALK | -0.0001970 | 8963 | GTEx | DepMap | Descartes | 0.04 | 1.20 |
PTCHD1 | -0.0002439 | 9739 | GTEx | DepMap | Descartes | 0.03 | 0.46 |
KCNB2 | -0.0002452 | 9760 | GTEx | DepMap | Descartes | 0.08 | 4.03 |
RGMB | -0.0002724 | 10175 | GTEx | DepMap | Descartes | 0.32 | 13.51 |
CNKSR2 | -0.0003211 | 10766 | GTEx | DepMap | Descartes | 0.12 | 2.51 |
EYA1 | -0.0003593 | 11107 | GTEx | DepMap | Descartes | 0.09 | 3.67 |
SYNPO2 | -0.0004018 | 11424 | GTEx | DepMap | Descartes | 0.04 | 0.41 |
SLC6A2 | -0.0004273 | 11597 | GTEx | DepMap | Descartes | 0.05 | 2.64 |
NTRK1 | -0.0004387 | 11662 | GTEx | DepMap | Descartes | 0.33 | 24.86 |
MAB21L2 | -0.0004490 | 11707 | GTEx | DepMap | Descartes | 0.10 | 7.57 |
TMEM132C | -0.0004667 | 11804 | GTEx | DepMap | Descartes | 0.12 | 4.24 |
EYA4 | -0.0004726 | 11831 | GTEx | DepMap | Descartes | 0.06 | 1.43 |
RBFOX1 | -0.0004858 | 11870 | GTEx | DepMap | Descartes | 0.13 | 5.14 |
NPY | -0.0005065 | 11933 | GTEx | DepMap | Descartes | 1.98 | 639.60 |
MARCH11 | -0.0005103 | 11946 | GTEx | DepMap | Descartes | 0.50 | NA |
REEP1 | -0.0005445 | 12062 | GTEx | DepMap | Descartes | 0.13 | 5.33 |
TMEFF2 | -0.0005565 | 12090 | GTEx | DepMap | Descartes | 0.12 | 6.93 |
ELAVL2 | -0.0005800 | 12153 | GTEx | DepMap | Descartes | 0.16 | 7.47 |
GAL | -0.0006178 | 12235 | GTEx | DepMap | Descartes | 0.58 | 132.57 |
MAB21L1 | -0.0006446 | 12280 | GTEx | DepMap | Descartes | 0.22 | 13.46 |
IL7 | -0.0006513 | 12291 | GTEx | DepMap | Descartes | 0.20 | 20.96 |
Descartes Vascular_endothelial markers
Top 50 marker genes of Vascular_endothelial cells in the Decartes fetal adrenal single cell map (https://atlas.brotmanbaty.org/bbi/human-gene-expression-during-development/cell/vascular_endothelial/in/adrenal)
Wilcoxon ranksum test P-value for gene set overrepresentation: 9.99e-01
Mean rank of genes in gene set: 8041.08
Median rank of genes in gene set: 8734
Rank on gene expression program of top 30 genes in gene set:
Genes | Weight | Rank | GTEx | DepMap | Descartes | Mean.Counts | Mean.TPM |
---|---|---|---|---|---|---|---|
EHD3 | 0.0006956 | 1380 | GTEx | DepMap | Descartes | 0.01 | 0.42 |
RASIP1 | 0.0001723 | 3242 | GTEx | DepMap | Descartes | 0.08 | 3.90 |
TMEM88 | 0.0001078 | 3703 | GTEx | DepMap | Descartes | 0.06 | 43.79 |
ESM1 | 0.0000862 | 3858 | GTEx | DepMap | Descartes | 0.04 | 2.20 |
NR5A2 | 0.0000623 | 4054 | GTEx | DepMap | Descartes | 0.00 | 0.00 |
CRHBP | 0.0000178 | 4537 | GTEx | DepMap | Descartes | 0.00 | 0.00 |
CDH5 | -0.0000464 | 5697 | GTEx | DepMap | Descartes | 0.08 | 3.41 |
CALCRL | -0.0000519 | 5836 | GTEx | DepMap | Descartes | 0.02 | 0.58 |
NPR1 | -0.0000662 | 6172 | GTEx | DepMap | Descartes | 0.03 | 0.83 |
MMRN2 | -0.0000671 | 6199 | GTEx | DepMap | Descartes | 0.04 | 1.71 |
PLVAP | -0.0000919 | 6758 | GTEx | DepMap | Descartes | 0.23 | 15.31 |
FLT4 | -0.0000966 | 6860 | GTEx | DepMap | Descartes | 0.03 | 0.80 |
SHE | -0.0000989 | 6903 | GTEx | DepMap | Descartes | 0.01 | 0.17 |
IRX3 | -0.0001145 | 7287 | GTEx | DepMap | Descartes | 0.01 | 0.25 |
GALNT15 | -0.0001345 | 7752 | GTEx | DepMap | Descartes | 0.00 | NA |
CDH13 | -0.0001538 | 8152 | GTEx | DepMap | Descartes | 0.02 | 0.29 |
PTPRB | -0.0001568 | 8205 | GTEx | DepMap | Descartes | 0.02 | 0.19 |
CYP26B1 | -0.0001577 | 8225 | GTEx | DepMap | Descartes | 0.01 | 0.30 |
F8 | -0.0001811 | 8654 | GTEx | DepMap | Descartes | 0.00 | 0.00 |
BTNL9 | -0.0001891 | 8814 | GTEx | DepMap | Descartes | 0.02 | 1.37 |
CLDN5 | -0.0001940 | 8914 | GTEx | DepMap | Descartes | 0.59 | 28.49 |
KDR | -0.0002080 | 9134 | GTEx | DepMap | Descartes | 0.03 | 0.59 |
MYRIP | -0.0002088 | 9151 | GTEx | DepMap | Descartes | 0.01 | 0.28 |
SHANK3 | -0.0002094 | 9164 | GTEx | DepMap | Descartes | 0.02 | 0.29 |
TEK | -0.0002098 | 9172 | GTEx | DepMap | Descartes | 0.00 | 0.00 |
ROBO4 | -0.0002247 | 9419 | GTEx | DepMap | Descartes | 0.05 | 1.63 |
CHRM3 | -0.0002273 | 9472 | GTEx | DepMap | Descartes | 0.04 | 0.83 |
CEACAM1 | -0.0002359 | 9617 | GTEx | DepMap | Descartes | 0.01 | 0.93 |
PODXL | -0.0002614 | 10007 | GTEx | DepMap | Descartes | 0.05 | 0.97 |
KANK3 | -0.0002779 | 10253 | GTEx | DepMap | Descartes | 0.02 | 0.83 |
Descartes stromal markers
Top 50 marker genes of stromal cells in the Decartes fetal adrenal single cell map (https://atlas.brotmanbaty.org/bbi/human-gene-expression-during-development/cell/stromal/in/adrenal)
Wilcoxon ranksum test P-value for gene set overrepresentation: 5.87e-01
Mean rank of genes in gene set: 6395.2
Median rank of genes in gene set: 6230.5
Rank on gene expression program of top 30 genes in gene set:
Genes | Weight | Rank | GTEx | DepMap | Descartes | Mean.Counts | Mean.TPM |
---|---|---|---|---|---|---|---|
ADAMTS2 | 0.0020021 | 327 | GTEx | DepMap | Descartes | 0.04 | 1.23 |
CLDN11 | 0.0003098 | 2529 | GTEx | DepMap | Descartes | 0.00 | 0.00 |
HHIP | 0.0002328 | 2904 | GTEx | DepMap | Descartes | 0.07 | 2.10 |
COL6A3 | 0.0001095 | 3689 | GTEx | DepMap | Descartes | 0.10 | 1.50 |
ABCC9 | 0.0001028 | 3747 | GTEx | DepMap | Descartes | 0.01 | 0.17 |
COL27A1 | 0.0000968 | 3797 | GTEx | DepMap | Descartes | 0.01 | 0.18 |
PRRX1 | 0.0000745 | 3947 | GTEx | DepMap | Descartes | 0.03 | 1.06 |
RSPO3 | 0.0000680 | 3999 | GTEx | DepMap | Descartes | 0.01 | NA |
MGP | 0.0000219 | 4474 | GTEx | DepMap | Descartes | 1.96 | 296.79 |
COL12A1 | -0.0000009 | 4798 | GTEx | DepMap | Descartes | 0.01 | 0.12 |
EDNRA | -0.0000170 | 5087 | GTEx | DepMap | Descartes | 0.03 | 1.04 |
ITGA11 | -0.0000215 | 5171 | GTEx | DepMap | Descartes | 0.01 | 0.14 |
ADAMTSL3 | -0.0000355 | 5445 | GTEx | DepMap | Descartes | 0.00 | 0.00 |
SFRP2 | -0.0000395 | 5529 | GTEx | DepMap | Descartes | 0.00 | 0.00 |
ABCA6 | -0.0000398 | 5540 | GTEx | DepMap | Descartes | 0.01 | 0.16 |
COL3A1 | -0.0000399 | 5544 | GTEx | DepMap | Descartes | 0.09 | 2.61 |
IGFBP3 | -0.0000475 | 5723 | GTEx | DepMap | Descartes | 0.01 | 0.44 |
PAMR1 | -0.0000566 | 5936 | GTEx | DepMap | Descartes | 0.00 | 0.00 |
LUM | -0.0000618 | 6049 | GTEx | DepMap | Descartes | 0.05 | 2.40 |
DCN | -0.0000645 | 6116 | GTEx | DepMap | Descartes | 0.01 | 1.66 |
POSTN | -0.0000679 | 6217 | GTEx | DepMap | Descartes | 0.16 | 7.67 |
C7 | -0.0000685 | 6226 | GTEx | DepMap | Descartes | 0.05 | 1.75 |
COL1A2 | -0.0000688 | 6235 | GTEx | DepMap | Descartes | 0.26 | 6.69 |
LRRC17 | -0.0000825 | 6560 | GTEx | DepMap | Descartes | 0.00 | 0.00 |
OGN | -0.0000826 | 6561 | GTEx | DepMap | Descartes | 0.00 | 0.00 |
DKK2 | -0.0000857 | 6630 | GTEx | DepMap | Descartes | 0.00 | 0.00 |
BICC1 | -0.0000901 | 6724 | GTEx | DepMap | Descartes | 0.02 | 0.50 |
LOX | -0.0000931 | 6790 | GTEx | DepMap | Descartes | 0.04 | 0.91 |
ISLR | -0.0001002 | 6928 | GTEx | DepMap | Descartes | 0.00 | 0.00 |
PRICKLE1 | -0.0001029 | 7005 | GTEx | DepMap | Descartes | 0.08 | 5.54 |
Descartes sympathoblasts markers
Top 50 marker genes of sympathoblasts cells in the Decartes fetal adrenal single cell map (https://atlas.brotmanbaty.org/bbi/human-gene-expression-during-development/cell/sympathoblasts/in/adrenal)
Wilcoxon ranksum test P-value for gene set overrepresentation: 1.00e+00
Mean rank of genes in gene set: 8818.71
Median rank of genes in gene set: 9544
Rank on gene expression program of top 30 genes in gene set:
Genes | Weight | Rank | GTEx | DepMap | Descartes | Mean.Counts | Mean.TPM |
---|---|---|---|---|---|---|---|
CNTN3 | 0.0006613 | 1440 | GTEx | DepMap | Descartes | 0.01 | 2.21 |
HTATSF1 | 0.0002219 | 2961 | GTEx | DepMap | Descartes | 0.51 | 35.69 |
EML6 | 0.0000990 | 3779 | GTEx | DepMap | Descartes | 0.03 | 0.97 |
SORCS3 | 0.0000164 | 4552 | GTEx | DepMap | Descartes | 0.00 | 0.00 |
PENK | 0.0000005 | 4775 | GTEx | DepMap | Descartes | 0.00 | 0.00 |
TBX20 | -0.0000033 | 4838 | GTEx | DepMap | Descartes | 0.00 | 0.00 |
GRM7 | -0.0000592 | 5989 | GTEx | DepMap | Descartes | 0.00 | 0.00 |
ST18 | -0.0000666 | 6185 | GTEx | DepMap | Descartes | 0.00 | 0.00 |
GCH1 | -0.0000755 | 6373 | GTEx | DepMap | Descartes | 0.30 | 27.06 |
DGKK | -0.0001036 | 7016 | GTEx | DepMap | Descartes | 0.02 | 0.39 |
SPOCK3 | -0.0001090 | 7150 | GTEx | DepMap | Descartes | 0.05 | 2.48 |
SLC24A2 | -0.0001139 | 7273 | GTEx | DepMap | Descartes | 0.00 | 0.00 |
LAMA3 | -0.0001566 | 8194 | GTEx | DepMap | Descartes | 0.01 | 0.13 |
CDH12 | -0.0001902 | 8831 | GTEx | DepMap | Descartes | 0.00 | 0.00 |
TENM1 | -0.0001903 | 8838 | GTEx | DepMap | Descartes | 0.02 | NA |
FGF14 | -0.0002052 | 9091 | GTEx | DepMap | Descartes | 0.05 | 0.64 |
CCSER1 | -0.0002189 | 9324 | GTEx | DepMap | Descartes | 0.05 | NA |
PACRG | -0.0002301 | 9516 | GTEx | DepMap | Descartes | 0.03 | 3.53 |
CDH18 | -0.0002314 | 9542 | GTEx | DepMap | Descartes | 0.00 | 0.00 |
MGAT4C | -0.0002316 | 9546 | GTEx | DepMap | Descartes | 0.05 | 0.40 |
PCSK2 | -0.0002447 | 9753 | GTEx | DepMap | Descartes | 0.00 | 0.00 |
KSR2 | -0.0002489 | 9815 | GTEx | DepMap | Descartes | 0.04 | 0.42 |
NTNG1 | -0.0002502 | 9836 | GTEx | DepMap | Descartes | 0.02 | 0.63 |
AGBL4 | -0.0002554 | 9907 | GTEx | DepMap | Descartes | 0.00 | 0.00 |
GALNTL6 | -0.0002569 | 9934 | GTEx | DepMap | Descartes | 0.03 | 1.20 |
UNC80 | -0.0002849 | 10347 | GTEx | DepMap | Descartes | 0.04 | 1.06 |
SLC35F3 | -0.0003079 | 10623 | GTEx | DepMap | Descartes | 0.00 | 0.00 |
KCTD16 | -0.0003347 | 10895 | GTEx | DepMap | Descartes | 0.05 | 0.50 |
TIAM1 | -0.0003810 | 11279 | GTEx | DepMap | Descartes | 0.04 | 0.97 |
ROBO1 | -0.0004039 | 11439 | GTEx | DepMap | Descartes | 0.04 | 0.75 |
Descartes erythroblasts markers
Top 50 marker genes of erythroblasts cells in the Decartes fetal adrenal single cell map (https://atlas.brotmanbaty.org/bbi/human-gene-expression-during-development/cell/erythroblasts/in/adrenal)
Wilcoxon ranksum test P-value for gene set overrepresentation: 8.48e-01
Mean rank of genes in gene set: 6966.86
Median rank of genes in gene set: 7818
Rank on gene expression program of top 30 genes in gene set:
Genes | Weight | Rank | GTEx | DepMap | Descartes | Mean.Counts | Mean.TPM |
---|---|---|---|---|---|---|---|
CAT | 0.0012913 | 681 | GTEx | DepMap | Descartes | 0.38 | 56.67 |
RGS6 | 0.0012772 | 688 | GTEx | DepMap | Descartes | 0.00 | 0.00 |
EPB41 | 0.0012473 | 704 | GTEx | DepMap | Descartes | 0.43 | 28.70 |
DENND4A | 0.0008804 | 1075 | GTEx | DepMap | Descartes | 0.27 | 14.00 |
TMCC2 | 0.0004396 | 2043 | GTEx | DepMap | Descartes | 0.03 | 1.58 |
MARCH3 | 0.0002791 | 2661 | GTEx | DepMap | Descartes | 0.11 | NA |
SLC4A1 | 0.0000772 | 3923 | GTEx | DepMap | Descartes | 0.00 | 0.00 |
SELENBP1 | 0.0000005 | 4773 | GTEx | DepMap | Descartes | 0.00 | 0.00 |
BLVRB | -0.0000430 | 5619 | GTEx | DepMap | Descartes | 0.43 | 64.11 |
SLC25A21 | -0.0000534 | 5867 | GTEx | DepMap | Descartes | 0.00 | 0.00 |
SLC25A37 | -0.0000862 | 6640 | GTEx | DepMap | Descartes | 0.21 | 15.29 |
SPTB | -0.0000941 | 6814 | GTEx | DepMap | Descartes | 0.06 | 1.04 |
XPO7 | -0.0000945 | 6820 | GTEx | DepMap | Descartes | 0.11 | 5.67 |
RHD | -0.0000947 | 6823 | GTEx | DepMap | Descartes | 0.00 | 0.00 |
MICAL2 | -0.0001375 | 7818 | GTEx | DepMap | Descartes | 0.05 | 1.54 |
SPECC1 | -0.0001463 | 7998 | GTEx | DepMap | Descartes | 0.05 | 1.58 |
ALAS2 | -0.0001504 | 8089 | GTEx | DepMap | Descartes | 0.00 | 0.00 |
CPOX | -0.0001744 | 8529 | GTEx | DepMap | Descartes | 0.02 | 2.38 |
SNCA | -0.0001777 | 8600 | GTEx | DepMap | Descartes | 0.14 | 10.06 |
ABCB10 | -0.0002073 | 9119 | GTEx | DepMap | Descartes | 0.05 | 2.21 |
TFR2 | -0.0002257 | 9438 | GTEx | DepMap | Descartes | 0.01 | 0.29 |
SOX6 | -0.0002480 | 9798 | GTEx | DepMap | Descartes | 0.05 | 0.81 |
GCLC | -0.0002891 | 10414 | GTEx | DepMap | Descartes | 0.03 | 1.20 |
RAPGEF2 | -0.0002916 | 10441 | GTEx | DepMap | Descartes | 0.08 | 2.06 |
FECH | -0.0003149 | 10698 | GTEx | DepMap | Descartes | 0.07 | 1.27 |
ANK1 | -0.0003215 | 10772 | GTEx | DepMap | Descartes | 0.04 | 0.67 |
TRAK2 | -0.0003899 | 11341 | GTEx | DepMap | Descartes | 0.05 | 1.09 |
GYPC | -0.0004337 | 11640 | GTEx | DepMap | Descartes | 0.80 | 110.28 |
TSPAN5 | -0.0006098 | 12213 | GTEx | DepMap | Descartes | 0.23 | 10.67 |
NA | NA | NA | NA | NA | NA | NA | NA |
Descartes myeloid markers
Top 50 marker genes of myeloid cells in the Decartes fetal adrenal single cell map (https://atlas.brotmanbaty.org/bbi/human-gene-expression-during-development/cell/myeloid/in/adrenal)
Wilcoxon ranksum test P-value for gene set overrepresentation: 8.89e-01
Mean rank of genes in gene set: 6990.13
Median rank of genes in gene set: 7823
Rank on gene expression program of top 30 genes in gene set:
Genes | Weight | Rank | GTEx | DepMap | Descartes | Mean.Counts | Mean.TPM |
---|---|---|---|---|---|---|---|
PTPRE | 0.0037716 | 107 | GTEx | DepMap | Descartes | 0.51 | 42.24 |
HRH1 | 0.0018651 | 368 | GTEx | DepMap | Descartes | 0.04 | 1.00 |
HCK | 0.0015318 | 531 | GTEx | DepMap | Descartes | 0.24 | 47.83 |
ITPR2 | 0.0005969 | 1567 | GTEx | DepMap | Descartes | 0.36 | 12.55 |
SLC9A9 | 0.0005337 | 1742 | GTEx | DepMap | Descartes | 0.05 | 4.47 |
CD74 | 0.0004010 | 2175 | GTEx | DepMap | Descartes | 12.39 | 1577.25 |
ABCA1 | 0.0002802 | 2654 | GTEx | DepMap | Descartes | 0.15 | 5.51 |
CTSS | 0.0001948 | 3100 | GTEx | DepMap | Descartes | 1.11 | 89.88 |
MERTK | 0.0000083 | 4661 | GTEx | DepMap | Descartes | 0.02 | 0.67 |
MS4A4A | -0.0000248 | 5237 | GTEx | DepMap | Descartes | 0.18 | 20.37 |
CPVL | -0.0000263 | 5265 | GTEx | DepMap | Descartes | 0.71 | 45.81 |
WWP1 | -0.0000715 | 6300 | GTEx | DepMap | Descartes | 0.12 | 5.72 |
ATP8B4 | -0.0000803 | 6512 | GTEx | DepMap | Descartes | 0.03 | 0.89 |
CD163 | -0.0000959 | 6842 | GTEx | DepMap | Descartes | 0.07 | 2.10 |
SPP1 | -0.0001051 | 7045 | GTEx | DepMap | Descartes | 0.03 | 3.68 |
RGL1 | -0.0001068 | 7092 | GTEx | DepMap | Descartes | 0.03 | 0.87 |
MSR1 | -0.0001134 | 7262 | GTEx | DepMap | Descartes | 0.05 | 1.67 |
CSF1R | -0.0001296 | 7642 | GTEx | DepMap | Descartes | 0.16 | 5.67 |
SFMBT2 | -0.0001315 | 7690 | GTEx | DepMap | Descartes | 0.03 | 0.91 |
LGMN | -0.0001442 | 7956 | GTEx | DepMap | Descartes | 0.25 | 33.67 |
SLC1A3 | -0.0001463 | 7999 | GTEx | DepMap | Descartes | 0.01 | 0.42 |
FGL2 | -0.0001567 | 8197 | GTEx | DepMap | Descartes | 0.40 | 13.32 |
SLCO2B1 | -0.0001598 | 8254 | GTEx | DepMap | Descartes | 0.03 | 0.79 |
CTSB | -0.0001599 | 8258 | GTEx | DepMap | Descartes | 0.49 | 30.28 |
CD14 | -0.0001677 | 8404 | GTEx | DepMap | Descartes | 0.16 | 13.73 |
CTSD | -0.0001703 | 8457 | GTEx | DepMap | Descartes | 0.43 | 52.82 |
IFNGR1 | -0.0001727 | 8506 | GTEx | DepMap | Descartes | 0.26 | 31.38 |
CTSC | -0.0001734 | 8516 | GTEx | DepMap | Descartes | 0.64 | 20.78 |
ADAP2 | -0.0001764 | 8571 | GTEx | DepMap | Descartes | 0.01 | 0.41 |
AXL | -0.0002396 | 9672 | GTEx | DepMap | Descartes | 0.04 | 1.11 |
Descartes Schwann markers
Top 50 marker genes of Schwann cells in the Decartes fetal adrenal single cell map (https://atlas.brotmanbaty.org/bbi/human-gene-expression-during-development/cell/schwann/in/adrenal)
Wilcoxon ranksum test P-value for gene set overrepresentation: 9.82e-01
Mean rank of genes in gene set: 7413.3
Median rank of genes in gene set: 7554
Rank on gene expression program of top 30 genes in gene set:
Genes | Weight | Rank | GTEx | DepMap | Descartes | Mean.Counts | Mean.TPM |
---|---|---|---|---|---|---|---|
GAS7 | 0.0031279 | 154 | GTEx | DepMap | Descartes | 0.14 | 10.52 |
PAG1 | 0.0003411 | 2394 | GTEx | DepMap | Descartes | 0.31 | 7.77 |
PTN | 0.0001677 | 3282 | GTEx | DepMap | Descartes | 0.48 | 67.35 |
VIM | 0.0001168 | 3629 | GTEx | DepMap | Descartes | 6.42 | 515.71 |
COL18A1 | 0.0000887 | 3845 | GTEx | DepMap | Descartes | 0.24 | 5.75 |
IL1RAPL2 | 0.0000812 | 3895 | GTEx | DepMap | Descartes | 0.00 | 0.00 |
NRXN3 | 0.0000771 | 3924 | GTEx | DepMap | Descartes | 0.00 | 0.00 |
HMGA2 | 0.0000697 | 3987 | GTEx | DepMap | Descartes | 0.00 | 0.00 |
PLP1 | 0.0000523 | 4147 | GTEx | DepMap | Descartes | 0.00 | 0.00 |
MPZ | 0.0000320 | 4358 | GTEx | DepMap | Descartes | 0.01 | 1.12 |
PTPRZ1 | 0.0000061 | 4694 | GTEx | DepMap | Descartes | 0.00 | 0.00 |
ERBB3 | 0.0000043 | 4722 | GTEx | DepMap | Descartes | 0.00 | 0.00 |
OLFML2A | -0.0000043 | 4861 | GTEx | DepMap | Descartes | 0.00 | 0.00 |
ERBB4 | -0.0000374 | 5490 | GTEx | DepMap | Descartes | 0.01 | 0.09 |
IL1RAPL1 | -0.0000594 | 5996 | GTEx | DepMap | Descartes | 0.00 | 0.00 |
COL25A1 | -0.0000645 | 6117 | GTEx | DepMap | Descartes | 0.02 | 0.43 |
TRPM3 | -0.0000661 | 6167 | GTEx | DepMap | Descartes | 0.00 | 0.00 |
MDGA2 | -0.0000664 | 6178 | GTEx | DepMap | Descartes | 0.00 | 0.00 |
PLCE1 | -0.0000686 | 6231 | GTEx | DepMap | Descartes | 0.03 | 0.48 |
LAMC1 | -0.0000915 | 6750 | GTEx | DepMap | Descartes | 0.09 | 2.04 |
LRRTM4 | -0.0000917 | 6755 | GTEx | DepMap | Descartes | 0.03 | 1.72 |
STARD13 | -0.0001228 | 7465 | GTEx | DepMap | Descartes | 0.00 | 0.00 |
ADAMTS5 | -0.0001296 | 7643 | GTEx | DepMap | Descartes | 0.00 | 0.00 |
XKR4 | -0.0001448 | 7963 | GTEx | DepMap | Descartes | 0.00 | 0.00 |
LAMA4 | -0.0001483 | 8040 | GTEx | DepMap | Descartes | 0.22 | 4.44 |
COL5A2 | -0.0001501 | 8083 | GTEx | DepMap | Descartes | 0.01 | 0.21 |
SLC35F1 | -0.0001698 | 8444 | GTEx | DepMap | Descartes | 0.01 | 0.13 |
EDNRB | -0.0001800 | 8641 | GTEx | DepMap | Descartes | 0.00 | 0.00 |
SCN7A | -0.0002060 | 9101 | GTEx | DepMap | Descartes | 0.08 | 1.55 |
GRIK3 | -0.0002135 | 9238 | GTEx | DepMap | Descartes | 0.01 | 0.15 |
Descartes Megakaryocytes markers
Top 50 marker genes of Megakaryocytes cells in the Decartes fetal adrenal single cell map (https://atlas.brotmanbaty.org/bbi/human-gene-expression-during-development/cell/megakaryocytes/in/adrenal)
Wilcoxon ranksum test P-value for gene set overrepresentation: 3.34e-01
Mean rank of genes in gene set: 6043.31
Median rank of genes in gene set: 6087
Rank on gene expression program of top 30 genes in gene set:
Genes | Weight | Rank | GTEx | DepMap | Descartes | Mean.Counts | Mean.TPM |
---|---|---|---|---|---|---|---|
P2RX1 | 0.0028643 | 177 | GTEx | DepMap | Descartes | 0.15 | 23.28 |
CD9 | 0.0027385 | 186 | GTEx | DepMap | Descartes | 1.65 | 372.95 |
FLI1 | 0.0020620 | 306 | GTEx | DepMap | Descartes | 0.21 | 13.38 |
RAP1B | 0.0017358 | 431 | GTEx | DepMap | Descartes | 0.94 | 31.79 |
UBASH3B | 0.0009905 | 947 | GTEx | DepMap | Descartes | 0.06 | 2.61 |
TPM4 | 0.0007147 | 1329 | GTEx | DepMap | Descartes | 1.34 | 74.05 |
FERMT3 | 0.0006990 | 1371 | GTEx | DepMap | Descartes | 0.25 | 38.75 |
MYLK | 0.0005727 | 1625 | GTEx | DepMap | Descartes | 0.07 | 1.90 |
MYH9 | 0.0005601 | 1669 | GTEx | DepMap | Descartes | 0.46 | 21.88 |
SPN | 0.0004809 | 1887 | GTEx | DepMap | Descartes | 0.22 | 8.79 |
TLN1 | 0.0004654 | 1942 | GTEx | DepMap | Descartes | 0.47 | 15.70 |
HIPK2 | 0.0003286 | 2434 | GTEx | DepMap | Descartes | 0.22 | 2.63 |
GP1BA | 0.0002206 | 2966 | GTEx | DepMap | Descartes | 0.05 | 2.85 |
TRPC6 | 0.0000450 | 4218 | GTEx | DepMap | Descartes | 0.00 | 0.00 |
VCL | 0.0000278 | 4407 | GTEx | DepMap | Descartes | 0.07 | 4.38 |
CD84 | 0.0000206 | 4493 | GTEx | DepMap | Descartes | 0.11 | 2.73 |
MMRN1 | 0.0000129 | 4603 | GTEx | DepMap | Descartes | 0.09 | 4.67 |
ARHGAP6 | 0.0000058 | 4697 | GTEx | DepMap | Descartes | 0.00 | 0.00 |
ITGA2B | 0.0000048 | 4712 | GTEx | DepMap | Descartes | 0.04 | 1.17 |
LIMS1 | -0.0000039 | 4855 | GTEx | DepMap | Descartes | 0.61 | 34.88 |
ITGB3 | -0.0000467 | 5703 | GTEx | DepMap | Descartes | 0.00 | 0.00 |
RAB27B | -0.0000543 | 5882 | GTEx | DepMap | Descartes | 0.02 | 0.60 |
SLC24A3 | -0.0000631 | 6087 | GTEx | DepMap | Descartes | 0.00 | 0.00 |
THBS1 | -0.0000664 | 6179 | GTEx | DepMap | Descartes | 0.25 | 7.23 |
PSTPIP2 | -0.0000761 | 6388 | GTEx | DepMap | Descartes | 0.04 | 1.93 |
MED12L | -0.0000784 | 6464 | GTEx | DepMap | Descartes | 0.02 | 0.41 |
MCTP1 | -0.0000786 | 6470 | GTEx | DepMap | Descartes | 0.02 | 0.70 |
ANGPT1 | -0.0000958 | 6838 | GTEx | DepMap | Descartes | 0.00 | 0.00 |
STON2 | -0.0001101 | 7179 | GTEx | DepMap | Descartes | 0.06 | 2.84 |
STOM | -0.0001422 | 7897 | GTEx | DepMap | Descartes | 0.10 | 10.59 |
Descartes Lyphoid markers
Top 50 marker genes of Lyphoid cells in the Decartes fetal adrenal single cell map (https://atlas.brotmanbaty.org/bbi/human-gene-expression-during-development/cell/lymphoid/in/adrenal)
Wilcoxon ranksum test P-value for gene set overrepresentation: 4.43e-01
Mean rank of genes in gene set: 6194.71
Median rank of genes in gene set: 6761.5
Rank on gene expression program of top 30 genes in gene set:
Genes | Weight | Rank | GTEx | DepMap | Descartes | Mean.Counts | Mean.TPM |
---|---|---|---|---|---|---|---|
RCSD1 | 0.0154890 | 6 | GTEx | DepMap | Descartes | 1.68 | 177.44 |
BACH2 | 0.0110213 | 14 | GTEx | DepMap | Descartes | 0.64 | 44.10 |
MCTP2 | 0.0039489 | 100 | GTEx | DepMap | Descartes | 0.22 | 18.54 |
DOCK10 | 0.0033267 | 135 | GTEx | DepMap | Descartes | 0.23 | 16.00 |
IKZF1 | 0.0028603 | 178 | GTEx | DepMap | Descartes | 0.70 | 60.22 |
CCND3 | 0.0024758 | 233 | GTEx | DepMap | Descartes | 0.85 | 148.66 |
PLEKHA2 | 0.0018086 | 401 | GTEx | DepMap | Descartes | 0.25 | 25.57 |
ARHGDIB | 0.0017127 | 437 | GTEx | DepMap | Descartes | 3.32 | 997.86 |
FOXP1 | 0.0015876 | 500 | GTEx | DepMap | Descartes | 1.26 | 70.76 |
MBNL1 | 0.0011205 | 809 | GTEx | DepMap | Descartes | 0.62 | 38.12 |
SP100 | 0.0011115 | 819 | GTEx | DepMap | Descartes | 0.44 | 47.02 |
ARHGAP15 | 0.0010394 | 890 | GTEx | DepMap | Descartes | 0.37 | 61.89 |
ETS1 | 0.0009339 | 1009 | GTEx | DepMap | Descartes | 0.36 | 31.16 |
B2M | 0.0007826 | 1210 | GTEx | DepMap | Descartes | 36.69 | 5612.80 |
ARID5B | 0.0007663 | 1247 | GTEx | DepMap | Descartes | 0.43 | 25.97 |
LEF1 | 0.0006973 | 1373 | GTEx | DepMap | Descartes | 0.29 | 26.65 |
CELF2 | 0.0003894 | 2207 | GTEx | DepMap | Descartes | 0.57 | 24.14 |
EVL | 0.0003207 | 2468 | GTEx | DepMap | Descartes | 1.38 | 122.31 |
ANKRD44 | 0.0003067 | 2542 | GTEx | DepMap | Descartes | 0.33 | 18.92 |
MSN | 0.0002259 | 2943 | GTEx | DepMap | Descartes | 0.79 | 62.56 |
PTPRC | -0.0000190 | 5135 | GTEx | DepMap | Descartes | 1.25 | 90.47 |
SAMD3 | -0.0001672 | 8388 | GTEx | DepMap | Descartes | 0.04 | 3.03 |
NCALD | -0.0002574 | 9943 | GTEx | DepMap | Descartes | 0.03 | 1.37 |
SCML4 | -0.0002743 | 10207 | GTEx | DepMap | Descartes | 0.05 | 5.48 |
WIPF1 | -0.0002858 | 10359 | GTEx | DepMap | Descartes | 0.29 | 21.00 |
RAP1GAP2 | -0.0003268 | 10823 | GTEx | DepMap | Descartes | 0.12 | 4.04 |
PDE3B | -0.0003270 | 10825 | GTEx | DepMap | Descartes | 0.20 | 9.26 |
CCL5 | -0.0003292 | 10851 | GTEx | DepMap | Descartes | 0.47 | 102.06 |
STK39 | -0.0003429 | 10967 | GTEx | DepMap | Descartes | 0.15 | 12.82 |
PRKCH | -0.0003495 | 11022 | GTEx | DepMap | Descartes | 0.11 | 6.93 |
Below shows the ranks on this GEP for immune marker gene lists curated by CellTypist (https://www.celltypist.org/encyclopedia).
High ranks indicate this gene is a driver of this GEP.
These curated gene list are ranked by P-value (on this GEP) of their constituent genes.
The Mean Count column shows the mean read count in cells scoring highly (H > 50) on this gene expression program.
Genes | Weight | Rank | GTEx | DepMap | Decartes | Mean.Counts | Mean.TPM |
---|---|---|---|---|---|---|---|
CD79A | 0.0063401 | 46 | GTEx | DepMap | Descartes | 2.52 | 1197.83 |
MALAT1 | 0.0015587 | 515 | GTEx | DepMap | Descartes | 233.42 | 11158.36 |
CD74 | 0.0004010 | 2175 | GTEx | DepMap | Descartes | 12.39 | 1577.25 |
Plasma cells: Plasma cells (curated markers)
B-lymphocyte white blood cells capable of secreting large quantities of immunoglobulins or antibodies:
Wilcoxon ranksum test P-value for gene set overrepresentation: 7.53e-03
Mean rank of genes in gene set: 47.5
Rank on gene expression program of genes in gene set:
Genes | Weight | Rank | GTEx | DepMap | Decartes | Mean.Counts | Mean.TPM |
---|---|---|---|---|---|---|---|
MZB1 | 0.0087573 | 24 | GTEx | DepMap | Descartes | 1.92 | NA |
XBP1 | 0.0048374 | 71 | GTEx | DepMap | Descartes | 1.46 | 349.82 |
B cells: B cells (curated markers)
B lymphocytes with diverse cell surface immunoglobulin receptors recognising specific antigenic epitopes and mediating humoral immunity:
Wilcoxon ranksum test P-value for gene set overrepresentation: 8.96e-03
Mean rank of genes in gene set: 211
Rank on gene expression program of genes in gene set:
Genes | Weight | Rank | GTEx | DepMap | Decartes | Mean.Counts | Mean.TPM |
---|---|---|---|---|---|---|---|
CD79A | 0.0063401 | 46 | GTEx | DepMap | Descartes | 2.52 | 1197.83 |
CD19 | 0.0018570 | 376 | GTEx | DepMap | Descartes | 0.20 | 45.41 |