Program: 21. Mast Cells.

Program: 21. Mast Cells.




Submit a comment on this gene expression program’s interpretation: CLICK

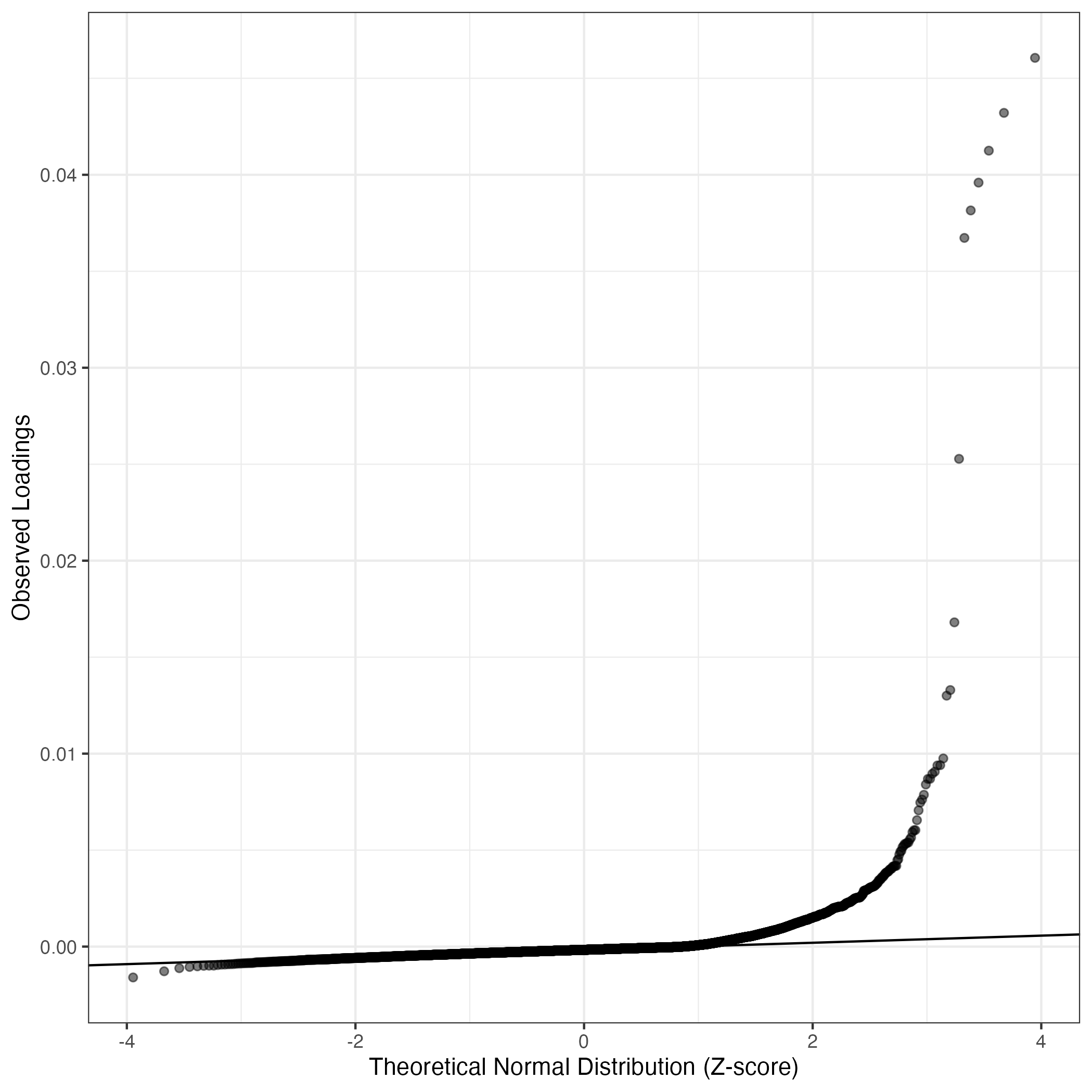
QQ-plot of gene loadings, averaged over both independent splits of the data
This plot highlights the relative contribution of each gene to the GEP

Interactive QQ Plot
## Error in apply(allData[cellsHGreaterThan50, ], 2, mean): dim(X) must have a positive length
## Error in apply(allDataTpm[cellsHGreaterThan50, ], 2, mean): dim(X) must have a positive length
## Error in eval(expr, envir, enclos): object 'meanCountsHOver50' not found
## Error in eval(expr, envir, enclos): object 'meanTpmHOver50' not found
## Error in data.frame(Gene = geneCardsLink, Loading = dftoDisplay[, 2], : object 'countHighScoringCells' not found
## Error in rownames(dftForKable) <- rn: object 'dftForKable' not found

Top genes driving this program.
Note: Decartes website is buggy, try refreshing. Also, Decartes fetal adrenal data have been collected at specific time points (89-122 days), all possible cell types of interest may not be represented, do not overinterpret.
The Mean Count column shows the mean read count in cells scoring highly (H > 50) on this gene expression program.

## Error in kable(dftForKable[1:50, ], row.names = TRUE): object 'dftForKable' not found
## Error in eval(quote(list(...)), env): object 'countHighScoringCells' not found


Dowload full table


UMAP plots showing activity of gene expression program identified in GEP 21. Mast Cells:

Interactive UMAP Plot


Boxlot showing activity of gene expression program identified in GEP 21. Mast Cells:
Interactive Boxplot


CNV Data procured from inferCNV.
Outer tracks are putative CNV regions (gains = red, losses = blue) for each patient
Inner track is expression data representing:
    The top cells expressing this GEP (purple)
    Random cells (n =50) from the reference set used in inferCNV (orange)

Interactive BioCircos Plot


Gene set Enrichments for this program, caculated from top 50 genes


mSigDB Cell Types Gene Set:

P-value OR Lower 95% CI FDR FWER Genes Found Gene Set Size
DURANTE_ADULT_OLFACTORY_NEUROEPITHELIUM_MAST_CELLS 1.47e-28 122.73 61.33 2.47e-26 9.87e-26
18TPSB2, CPA3, HPGDS, HPGD, VWA5A, GATA2, LIF, LMO4, RGS13, MAOB, KIT, RGS1, SLC18A2, TNFAIP3, ARHGAP18, ALOX5AP, SAMSN1, PPP1R15A
75
TRAVAGLINI_LUNG_BASOPHIL_MAST_1_CELL 7.99e-40 83.06 44.85 5.36e-37 5.36e-37
31TPSB2, CPA3, HPGDS, HPGD, IL5RA, CDK15, VWA5A, GATA2, LIF, LMO4, RGS13, ENPP3, MAOB, BACE2, KIT, CNRIP1, RGS1, CD63, SLC18A2, CD82, RPS6KA5, SVOPL, LAX1, GALC, ANXA1, ARHGAP18, ALOX5AP, ALDH1A1, SAMSN1, SQSTM1, PPP1R15A
276
CUI_DEVELOPING_HEART_C7_MAST_CELL 1.31e-29 73.07 38.81 2.94e-27 8.82e-27
22TPSB2, CPA3, HPGDS, HPGD, VWA5A, GATA2, LIF, RGS13, ENPP3, BACE2, KIT, CNRIP1, RGS1, SLC18A2, ANXA1, TNFAIP3, ARHGAP18, ALOX5AP, ALDH1A1, SAMSN1, SQSTM1, PPP1R15A
156
TRAVAGLINI_LUNG_BASOPHIL_MAST_2_CELL 3.87e-35 51.87 27.80 1.30e-32 2.60e-32
33TPSB2, CPA3, HPGDS, HPGD, IL5RA, IL13, CDK15, VWA5A, GATA2, LIF, LMO4, RGS13, ENPP3, MAOB, BACE2, KIT, CNRIP1, RGS1, CD63, SLC18A2, CD82, KLF6, RPS6KA5, SVOPL, LAX1, GALC, ANXA1, TNFAIP3, ARHGAP18, ALDH1A1, SAMSN1, SQSTM1, PPP1R15A
502
HAY_BONE_MARROW_CD34_POS_EO_B_MAST 9.05e-09 98.65 26.68 1.01e-06 6.07e-06
5TPSB2, HPGDS, HPGD, CDK15, LMO4
19
ZHENG_CORD_BLOOD_C2_PUTATIVE_BASOPHIL_EOSINOPHIL_MAST_CELL_PROGENITOR 3.15e-12 36.29 15.67 4.23e-10 2.11e-09
10HPGDS, GATA2, LMO4, BACE2, CNRIP1, CD63, CD82, ANXA1, ALOX5AP, PPP1R15A
96
ZHENG_CORD_BLOOD_C4_PUTATIVE_EARLY_ERYTHROID_COMMITMENT 3.86e-05 15.09 4.57 2.85e-03 2.59e-02
5CPA3, HPGDS, GATA2, KIT, PSTPIP2
97
AIZARANI_LIVER_C28_NK_NKT_CELLS_6 4.25e-05 14.77 4.47 2.85e-03 2.85e-02
5KIT, RGS1, ANXA1, TNFAIP3, SAMSN1
99
DURANTE_ADULT_OLFACTORY_NEUROEPITHELIUM_CD8_T_CELLS 1.94e-04 15.74 4.01 1.08e-02 1.30e-01
4RGS1, TNFAIP3, ALOX5AP, SAMSN1
73
DESCARTES_FETAL_HEART_MEGAKARYOCYTES 7.64e-05 12.97 3.94 4.66e-03 5.13e-02
5TPSB2, CPA3, VWA5A, KIT, PSTPIP2
112
MURARO_PANCREAS_DUCTAL_CELL 2.15e-07 5.60 2.95 2.06e-05 1.44e-04
18CPA3, LIF, LMO4, MAOB, CXCL3, BACE2, KIT, IGF2BP2, RGS1, CD63, KLF6, ANXA1, TNFAIP3, ARHGAP18, AMOTL1, ALOX5AP, SQSTM1, PON2
1276
FAN_OVARY_CL12_T_LYMPHOCYTE_NK_CELL_2 4.10e-04 8.90 2.72 2.12e-02 2.75e-01
5KLF6, ANXA1, TNFAIP3, ALOX5AP, SAMSN1
161
AIZARANI_LIVER_C25_KUPFFER_CELLS_4 5.82e-04 8.22 2.51 2.79e-02 3.90e-01
5CXCL3, RGS1, ANXA1, PSTPIP2, SAMSN1
174
AIZARANI_LIVER_C39_EPCAM_POS_BILE_DUCT_CELLS_4 7.47e-04 7.76 2.38 3.13e-02 5.01e-01
5LIF, CXCL3, CD63, KLF6, SQSTM1
184
CUI_DEVELOPING_HEART_VASCULAR_ENDOTHELIAL_CELL 9.23e-04 7.39 2.26 3.64e-02 6.19e-01
5GATA2, CXCL3, TNFAIP3, ALDH1A1, PPP1R15A
193
CUI_DEVELOPING_HEART_C8_MACROPHAGE 6.63e-04 6.34 2.19 2.96e-02 4.45e-01
6HPGDS, RGS1, KLF6, ARHGAP18, ALOX5AP, SAMSN1
275
DURANTE_ADULT_OLFACTORY_NEUROEPITHELIUM_RESPIRATORY_SECRETORY_CELLS 5.87e-03 19.27 2.16 1.42e-01 1.00e+00
2CXCL3, ANXA1
29
BUSSLINGER_GASTRIC_IMMUNE_CELLS 3.52e-05 3.99 2.05 2.85e-03 2.36e-02
16TPSB2, CPA3, VWA5A, GATA2, KIT, RGS1, SLC18A2, KLF6, RPS6KA5, LAX1, ANXA1, TNFAIP3, ALOX5AP, SAMSN1, FBXO11, PPP1R15A
1490
BUSSLINGER_DUODENAL_TUFT_CELLS 4.01e-03 10.22 1.99 1.12e-01 1.00e+00
3HPGDS, ALOX5AP, PSTPIP2
81
BUSSLINGER_GASTRIC_OXYNTIC_ENTEROCHROMAFFIN_LIKE_CELLS 4.59e-03 9.72 1.90 1.23e-01 1.00e+00
3MAOB, SLC18A2, ALDH1A1
85

Dowload full table

mSigDB Hallmark Gene Sets:

P-value OR Lower 95% CI FDR FWER Genes Found Gene Set Size
HALLMARK_TNFA_SIGNALING_VIA_NFKB 1.24e-04 8.78 3.02 6.18e-03 6.18e-03
6LIF, CXCL3, KLF6, TNFAIP3, SQSTM1, PPP1R15A
200
HALLMARK_INFLAMMATORY_RESPONSE 7.71e-03 5.55 1.44 9.64e-02 3.85e-01
4LIF, RGS1, CD82, KLF6
200
HALLMARK_P53_PATHWAY 7.71e-03 5.55 1.44 9.64e-02 3.85e-01
4VWA5A, LIF, CD82, PPP1R15A
200
HALLMARK_KRAS_SIGNALING_UP 7.71e-03 5.55 1.44 9.64e-02 3.85e-01
4VWA5A, LIF, TNFAIP3, PPP1R15A
200
HALLMARK_IL2_STAT5_SIGNALING 4.30e-02 4.07 0.80 3.63e-01 1.00e+00
3IL13, LIF, KLF6
199
HALLMARK_HYPOXIA 4.35e-02 4.05 0.80 3.63e-01 1.00e+00
3KLF6, TNFAIP3, PPP1R15A
200
HALLMARK_PROTEIN_SECRETION 5.52e-02 5.54 0.64 3.94e-01 1.00e+00
2CD63, GALC
96
HALLMARK_FATTY_ACID_METABOLISM 1.28e-01 3.34 0.39 7.33e-01 1.00e+00
2HPGD, ALDH1A1
158
HALLMARK_APOPTOSIS 1.32e-01 3.28 0.38 7.33e-01 1.00e+00
2ANXA1, SQSTM1
161
HALLMARK_MTORC1_SIGNALING 1.85e-01 2.63 0.31 8.06e-01 1.00e+00
2SQSTM1, PPP1R15A
200
HALLMARK_ALLOGRAFT_REJECTION 1.85e-01 2.63 0.31 8.06e-01 1.00e+00
2IL13, LIF
200
HALLMARK_TGF_BETA_SIGNALING 1.94e-01 4.81 0.12 8.06e-01 1.00e+00
1PPP1R15A
54
HALLMARK_IL6_JAK_STAT3_SIGNALING 2.93e-01 2.97 0.07 1.00e+00 1.00e+00
1CXCL3
87
HALLMARK_ANDROGEN_RESPONSE 3.28e-01 2.58 0.06 1.00e+00 1.00e+00
1HPGD
100
HALLMARK_PEROXISOME 3.39e-01 2.48 0.06 1.00e+00 1.00e+00
1ALDH1A1
104
HALLMARK_PI3K_AKT_MTOR_SIGNALING 3.41e-01 2.45 0.06 1.00e+00 1.00e+00
1SQSTM1
105
HALLMARK_BILE_ACID_METABOLISM 3.59e-01 2.30 0.06 1.00e+00 1.00e+00
1ALDH1A1
112
HALLMARK_COAGULATION 4.22e-01 1.86 0.05 1.00e+00 1.00e+00
1ANXA1
138
HALLMARK_UV_RESPONSE_DN 4.35e-01 1.78 0.04 1.00e+00 1.00e+00
1KIT
144
HALLMARK_UV_RESPONSE_UP 4.66e-01 1.62 0.04 1.00e+00 1.00e+00
1SQSTM1
158

Dowload full table

KEGG Pathways:

P-value OR Lower 95% CI FDR FWER Genes Found Gene Set Size
KEGG_CYTOKINE_CYTOKINE_RECEPTOR_INTERACTION 3.61e-03 5.34 1.64 6.72e-01 6.72e-01
5IL5RA, IL13, LIF, CXCL3, KIT
265
KEGG_JAK_STAT_SIGNALING_PATHWAY 2.30e-02 5.25 1.03 1.00e+00 1.00e+00
3IL5RA, IL13, LIF
155
KEGG_HEMATOPOIETIC_CELL_LINEAGE 4.64e-02 6.13 0.71 1.00e+00 1.00e+00
2IL5RA, KIT
87
KEGG_LYSOSOME 8.24e-02 4.38 0.51 1.00e+00 1.00e+00
2CD63, GALC
121
KEGG_RIBOFLAVIN_METABOLISM 6.18e-02 16.98 0.40 1.00e+00 1.00e+00
1ENPP3
16
KEGG_PANTOTHENATE_AND_COA_BIOSYNTHESIS 6.18e-02 16.98 0.40 1.00e+00 1.00e+00
1ENPP3
16
KEGG_RENIN_ANGIOTENSIN_SYSTEM 6.56e-02 15.93 0.37 1.00e+00 1.00e+00
1CPA3
17
KEGG_PHENYLALANINE_METABOLISM 6.93e-02 14.99 0.35 1.00e+00 1.00e+00
1MAOB
18
KEGG_NICOTINATE_AND_NICOTINAMIDE_METABOLISM 9.13e-02 11.08 0.26 1.00e+00 1.00e+00
1ENPP3
24
KEGG_HISTIDINE_METABOLISM 1.09e-01 9.11 0.22 1.00e+00 1.00e+00
1MAOB
29
KEGG_ASTHMA 1.13e-01 8.79 0.21 1.00e+00 1.00e+00
1IL13
30
KEGG_GLYCINE_SERINE_AND_THREONINE_METABOLISM 1.16e-01 8.50 0.20 1.00e+00 1.00e+00
1MAOB
31
KEGG_SPHINGOLIPID_METABOLISM 1.44e-01 6.71 0.16 1.00e+00 1.00e+00
1GALC
39
KEGG_TRYPTOPHAN_METABOLISM 1.47e-01 6.54 0.16 1.00e+00 1.00e+00
1MAOB
40
KEGG_TYROSINE_METABOLISM 1.54e-01 6.22 0.15 1.00e+00 1.00e+00
1MAOB
42
KEGG_BLADDER_CANCER 1.54e-01 6.22 0.15 1.00e+00 1.00e+00
1RPS6KA5
42
KEGG_STARCH_AND_SUCROSE_METABOLISM 1.87e-01 5.00 0.12 1.00e+00 1.00e+00
1ENPP3
52
KEGG_ARGININE_AND_PROLINE_METABOLISM 1.94e-01 4.81 0.12 1.00e+00 1.00e+00
1MAOB
54
KEGG_INOSITOL_PHOSPHATE_METABOLISM 1.94e-01 4.81 0.12 1.00e+00 1.00e+00
1ISYNA1
54
KEGG_ACUTE_MYELOID_LEUKEMIA 2.03e-01 4.55 0.11 1.00e+00 1.00e+00
1KIT
57

Dowload full table

CHR Positional Gene Sets:

P-value OR Lower 95% CI FDR FWER Genes Found Gene Set Size
chr1q31 3.21e-02 7.55 0.87 1.00e+00 1.00e+00
2RGS13, RGS1
71
chr6q23 6.57e-02 5.01 0.58 1.00e+00 1.00e+00
2ENPP3, TNFAIP3
106
chr9q21 1.68e-01 2.80 0.33 1.00e+00 1.00e+00
2ANXA1, ALDH1A1
188
chr2q33 1.78e-01 2.70 0.32 1.00e+00 1.00e+00
2CDK15, MDH1B
195
chr3p26 1.61e-01 5.93 0.14 1.00e+00 1.00e+00
1IL5RA
44
chr21q11 1.67e-01 5.67 0.14 1.00e+00 1.00e+00
1SAMSN1
46
chr14q31 2.00e-01 4.64 0.11 1.00e+00 1.00e+00
1GALC
56
chr2p14 2.06e-01 4.47 0.11 1.00e+00 1.00e+00
1CNRIP1
58
chr4q22 2.43e-01 3.70 0.09 1.00e+00 1.00e+00
1HPGDS
70
chr4q12 2.70e-01 3.27 0.08 1.00e+00 1.00e+00
1KIT
79
chr2q36 2.78e-01 3.15 0.08 1.00e+00 1.00e+00
1FAM124B
82
chrXp21 2.78e-01 3.15 0.08 1.00e+00 1.00e+00
1IL1RAPL1
82
chr10p15 2.90e-01 3.00 0.07 1.00e+00 1.00e+00
1KLF6
86
chr14q22 3.01e-01 2.87 0.07 1.00e+00 1.00e+00
1TMEM260
90
chr2p16 3.64e-01 2.26 0.06 1.00e+00 1.00e+00
1FBXO11
114
chr3q27 3.67e-01 2.24 0.06 1.00e+00 1.00e+00
1IGF2BP2
115
chr6q22 3.77e-01 2.16 0.05 1.00e+00 1.00e+00
1ARHGAP18
119
chr10q25 3.94e-01 2.04 0.05 1.00e+00 1.00e+00
1SLC18A2
126
chr1p22 4.01e-01 1.99 0.05 1.00e+00 1.00e+00
1LMO4
129
chr3q21 4.22e-01 1.86 0.05 1.00e+00 1.00e+00
1GATA2
138

Dowload full table

Transcription Factor Targets:

P-value OR Lower 95% CI FDR FWER Genes Found Gene Set Size
PXR_Q2 4.96e-04 6.71 2.32 5.62e-01 5.62e-01
6CDK15, LMO4, SLC18A2, RPS6KA5, ARHGAP18, IL1RAPL1
260
HOX13_01 1.43e-02 11.83 1.35 1.00e+00 1.00e+00
2LMO4, FBXO11
46
HNF6_Q6 1.40e-02 4.63 1.20 1.00e+00 1.00e+00
4LMO4, FAM83F, IL1RAPL1, FBXO11
239
YATGNWAAT_OCT_C 1.34e-02 3.84 1.18 1.00e+00 1.00e+00
5LMO4, BACE2, SLC24A3, ALDH1A1, IL1RAPL1
367
FOXO1_02 1.60e-02 4.44 1.15 1.00e+00 1.00e+00
4LMO4, MOBP, IL1RAPL1, SQSTM1
249
TGGAAA_NFAT_Q4_01 1.89e-02 2.29 1.11 1.00e+00 1.00e+00
13IL13, LIF, LMO4, ENPP3, MOBP, RGS1, CD82, ARHGAP18, AMOTL1, ALDH1A1, IL1RAPL1, ISYNA1, FBXO11
1934
SRY_02 1.82e-02 4.26 1.11 1.00e+00 1.00e+00
4IL5RA, GATA2, LMO4, MOBP
259
PBX1_01 1.84e-02 4.25 1.10 1.00e+00 1.00e+00
4LIF, SLC18A2, IL1RAPL1, FBXO11
260
ATF_01 2.00e-02 4.13 1.07 1.00e+00 1.00e+00
4LMO4, SLC18A2, AMOTL1, PPP1R15A
267
NFAT_Q4_01 2.00e-02 4.13 1.07 1.00e+00 1.00e+00
4IL13, AMOTL1, IL1RAPL1, ISYNA1
267
AFP1_Q6 2.03e-02 4.12 1.07 1.00e+00 1.00e+00
4LMO4, BACE2, SLC18A2, IL1RAPL1
268
HTF_01 3.21e-02 7.55 0.87 1.00e+00 1.00e+00
2RGS1, IL1RAPL1
71
TGCTGAY_UNKNOWN 5.66e-02 2.56 0.79 1.00e+00 1.00e+00
5CDK15, LMO4, MAOB, FBXO11, PPP1R15A
547
TFIII_Q6 4.73e-02 3.91 0.77 1.00e+00 1.00e+00
3CDK15, LMO4, RPS6KA5
207
FOX_Q2 5.07e-02 3.80 0.75 1.00e+00 1.00e+00
3LMO4, RPS6KA5, FBXO11
213
CREB_Q4_01 5.30e-02 3.73 0.74 1.00e+00 1.00e+00
3LMO4, SLC18A2, PPP1R15A
217
FOXJ2_TARGET_GENES 7.30e-02 2.37 0.73 1.00e+00 1.00e+00
5IL5RA, RPS6KA5, ISYNA1, PSTPIP2, PPP1R15A
591
TFEB_TARGET_GENES 1.54e-01 1.73 0.70 1.00e+00 1.00e+00
8CPA3, FAM124B, CNRIP1, CD63, KLF6, TNFAIP3, ALOX5AP, SQSTM1
1387
VDR_Q3 6.21e-02 3.48 0.69 1.00e+00 1.00e+00
3LIF, LMO4, JAKMIP3
232
OCT1_03 6.46e-02 3.42 0.68 1.00e+00 1.00e+00
3LMO4, IL1RAPL1, FBXO11
236

Dowload full table

GO Biological Processes:

P-value OR Lower 95% CI FDR FWER Genes Found Gene Set Size
GOBP_MAST_CELL_PROLIFERATION 1.54e-04 172.68 14.09 2.31e-01 1.00e+00
2ENPP3, KIT
5
GOBP_LIPOXYGENASE_PATHWAY 3.20e-05 61.17 10.83 1.29e-01 2.40e-01
3HPGD, ALOX5AP, PON2
16
GOBP_LIPOXIN_METABOLIC_PROCESS 4.28e-04 86.37 8.33 4.01e-01 1.00e+00
2HPGD, ALOX5AP
8
GOBP_MAST_CELL_ACTIVATION_INVOLVED_IN_IMMUNE_RESPONSE 3.46e-05 25.26 6.32 1.29e-01 2.58e-01
4IL13, GATA2, ENPP3, KIT
47
GOBP_REGULATION_OF_MAST_CELL_ACTIVATION_INVOLVED_IN_IMMUNE_RESPONSE 2.22e-04 29.50 5.54 2.77e-01 1.00e+00
3IL13, GATA2, ENPP3
30
GOBP_VENTRAL_SPINAL_CORD_INTERNEURON_DIFFERENTIATION 1.18e-03 47.19 4.96 6.18e-01 1.00e+00
2GATA2, LMO4
13
GOBP_POSITIVE_REGULATION_OF_MAST_CELL_ACTIVATION_INVOLVED_IN_IMMUNE_RESPONSE 1.18e-03 47.19 4.96 6.18e-01 1.00e+00
2IL13, GATA2
13
GOBP_MAST_CELL_ACTIVATION 9.06e-05 19.39 4.91 2.22e-01 6.78e-01
4IL13, GATA2, ENPP3, KIT
60
GOBP_NEGATIVE_REGULATION_OF_ENDOTHELIAL_CELL_APOPTOTIC_PROCESS 3.24e-04 25.71 4.86 3.46e-01 1.00e+00
3IL13, GATA2, TNFAIP3
34
GOBP_REGULATION_OF_MAST_CELL_ACTIVATION 5.65e-04 20.97 4.00 4.70e-01 1.00e+00
3IL13, GATA2, ENPP3
41
GOBP_ICOSANOID_METABOLIC_PROCESS 1.19e-04 11.77 3.58 2.22e-01 8.88e-01
5HPGDS, HPGD, ANXA1, ALOX5AP, PON2
123
GOBP_PROSTANOID_METABOLIC_PROCESS 8.97e-04 17.71 3.40 6.18e-01 1.00e+00
3HPGDS, HPGD, ANXA1
48
GOBP_POSITIVE_REGULATION_OF_MAST_CELL_ACTIVATION 2.54e-03 30.58 3.34 8.03e-01 1.00e+00
2IL13, GATA2
19
GOBP_NEGATIVE_REGULATION_OF_EPITHELIAL_CELL_APOPTOTIC_PROCESS 1.01e-03 16.95 3.26 6.18e-01 1.00e+00
3IL13, GATA2, TNFAIP3
50
GOBP_SEROTONIN_TRANSPORT 2.81e-03 28.89 3.17 8.03e-01 1.00e+00
2MAOB, SLC18A2
20
GOBP_VASCULAR_WOUND_HEALING 3.10e-03 27.37 3.01 8.03e-01 1.00e+00
2GATA2, TNFAIP3
21
GOBP_ICOSANOID_BIOSYNTHETIC_PROCESS 1.40e-03 15.04 2.91 6.18e-01 1.00e+00
3HPGDS, ANXA1, ALOX5AP
56
GOBP_REGULATION_OF_MACROPHAGE_DIFFERENTIATION 3.40e-03 26.01 2.87 8.18e-01 1.00e+00
2GATA2, LIF
22
GOBP_EMBRYONIC_HEMOPOIESIS 3.72e-03 24.78 2.74 8.18e-01 1.00e+00
2GATA2, KIT
23
GOBP_POSITIVE_REGULATION_OF_LEUKOCYTE_DEGRANULATION 3.72e-03 24.78 2.74 8.18e-01 1.00e+00
2IL13, GATA2
23

Dowload full table

Immunological Gene Sets:

P-value OR Lower 95% CI FDR FWER Genes Found Gene Set Size
GSE24671_CTRL_VS_BAKIMULC_INFECTED_MOUSE_SPLENOCYTES_DN 4.15e-06 12.48 4.67 2.02e-02 2.02e-02
7CPA3, CXCL3, SLC18A2, KLF6, TNFAIP3, SAMSN1, PPP1R15A
170
GSE3982_BASOPHIL_VS_CENT_MEMORY_CD4_TCELL_UP 1.19e-05 10.54 3.95 2.89e-02 5.79e-02
7FAM124B, BACE2, KIT, GALC, ANXA1, PSTPIP2, SQSTM1
200
GSE25085_FETAL_BM_VS_ADULT_BM_SP4_THYMIC_IMPLANT_DN 1.20e-04 8.83 3.04 1.00e-01 5.86e-01
6CXCL3, IGF2BP2, CD82, KLF6, TNFAIP3, PSTPIP2
199
GSE14769_UNSTIM_VS_40MIN_LPS_BMDM_DN 1.24e-04 8.78 3.02 1.00e-01 6.03e-01
6CXCL3, RGS1, KLF6, TNFAIP3, SQSTM1, PPP1R15A
200
GSE7852_TREG_VS_TCONV_FAT_UP 1.24e-04 8.78 3.02 1.00e-01 6.03e-01
6HPGD, BACE2, GALC, ANXA1, SAMSN1, SQSTM1
200
GSE32986_CURDLAN_HIGHDOSE_VS_GMCSF_AND_CURDLAN_HIGHDOSE_STIM_DC_DN 1.24e-04 8.78 3.02 1.00e-01 6.03e-01
6LMO4, CXCL3, TNFAIP3, PSTPIP2, SAMSN1, PPP1R15A
200
GSE27241_CTRL_VS_DIGOXIN_TREATED_CD4_TCELL_IN_TH17_POLARIZING_CONDITIONS_UP 4.22e-04 8.84 2.70 1.64e-01 1.00e+00
5IL13, FAM124B, TNFAIP3, SAMSN1, PPP1R15A
162
GSE6259_33D1_POS_DC_VS_CD4_TCELL_DN 6.12e-04 8.12 2.49 1.64e-01 1.00e+00
5HPGDS, HPGD, FAM83F, GALC, TNFAIP3
176
GSE37301_HEMATOPOIETIC_STEM_CELL_VS_GRAN_MONO_PROGENITOR_DN 6.12e-04 8.12 2.49 1.64e-01 1.00e+00
5KIT, KLF6, RPS6KA5, GALC, SQSTM1
176
GSE37301_MULTIPOTENT_PROGENITOR_VS_LYMPHOID_PRIMED_MPP_DN 6.94e-04 7.89 2.42 1.64e-01 1.00e+00
5IL13, LIF, RPS6KA5, ANXA1, SAMSN1
181
GSE2706_R848_VS_R848_AND_LPS_2H_STIM_DC_DN 8.61e-04 7.51 2.30 1.64e-01 1.00e+00
5CXCL3, KLF6, TNFAIP3, AMOTL1, PPP1R15A
190
GSE46606_UNSTIM_VS_CD40L_IL2_IL5_DAY3_STIMULATED_BCELL_UP 9.66e-04 7.31 2.24 1.64e-01 1.00e+00
5LMO4, ENPP3, LAX1, GALC, SLC24A3
195
GSE2706_2H_VS_8H_LPS_STIM_DC_UP 9.88e-04 7.27 2.23 1.64e-01 1.00e+00
5LIF, SLC18A2, GALC, PPP1R15A, PON2
196
GSE24026_PD1_LIGATION_VS_CTRL_IN_ACT_TCELL_LINE_UP 1.01e-03 7.23 2.22 1.64e-01 1.00e+00
5CD63, SLC18A2, LAX1, ANXA1, ALOX5AP
197
GSE26290_CTRL_VS_AKT_INHIBITOR_TREATED_ANTI_CD3_AND_IL2_STIM_CD8_TCELL_DN 1.01e-03 7.23 2.22 1.64e-01 1.00e+00
5LIF, CD82, RPS6KA5, PSTPIP2, SAMSN1
197
GSE28408_LY6G_POS_VS_NEG_DC_UP 1.01e-03 7.23 2.22 1.64e-01 1.00e+00
5RGS1, RPS6KA5, LAX1, TNFAIP3, PSTPIP2
197
GSE17721_0.5H_VS_12H_LPS_BMDC_DN 1.06e-03 7.16 2.19 1.64e-01 1.00e+00
5ENPP3, ANXA1, SAMSN1, FBXO11, SQSTM1
199
GSE8621_UNSTIM_VS_LPS_PRIMED_AND_LPS_STIM_MACROPHAGE_UP 1.06e-03 7.16 2.19 1.64e-01 1.00e+00
5CPA3, SLC18A2, KLF6, TNFAIP3, ALDH1A1
199
GSE16385_ROSIGLITAZONE_IL4_VS_IL4_ALONE_STIM_MACROPHAGE_12H_DN 1.06e-03 7.16 2.19 1.64e-01 1.00e+00
5HPGDS, IGF2BP2, ANXA1, ISYNA1, SAMSN1
199
GSE41176_UNSTIM_VS_ANTI_IGM_STIM_TAK1_KO_BCELL_24H_DN 1.06e-03 7.16 2.19 1.64e-01 1.00e+00
5CD82, TNFAIP3, SLC24A3, PSTPIP2, SAMSN1
199

Dowload full table

Top Ranked Transcription Factors for this Gene Expression Program:

Gene Symbol TF Rank DNA Binding Domain Motif Status IUPAC PWM GTEx DepMap Decartes
GATA2 9 Yes Known motif Monomer or homomultimer High-throughput in vitro None None
LMO4 11 No Unlikely to be sequence specific TF Not a DNA binding protein No motif None None
KIT 19 No Unlikely to be sequence specific TF Not a DNA binding protein No motif None None
KLF6 28 Yes Known motif Monomer or homomultimer High-throughput in vitro None None
RPS6KA5 29 No Unlikely to be sequence specific TF Not a DNA binding protein No motif None No DBD - its a kinase. Included only because GO says its an upstream regulator of CREB and NF-kappaB
TNFAIP3 34 No Unlikely to be sequence specific TF Not a DNA binding protein No motif None Inhibits NFKB-activation. No evidence for direct binding to DNA
NFKBIZ 56 No Unlikely to be sequence specific TF Not a DNA binding protein No motif None None
TSC22D1 60 Yes Likely to be sequence specific TF Monomer or homomultimer No motif None TSC22D1 appears to homo- and heterodimerize with other TFs to affect transcription (PMID: 10488076). In vitro, it has been shown to bind GC-rich DNA sequences (PMID: 9022669)
JUN 64 Yes Known motif Monomer or homomultimer High-throughput in vitro None None
NR4A1 65 Yes Known motif Monomer or homomultimer High-throughput in vitro None None
BHLHE40 75 Yes Known motif Monomer or homomultimer High-throughput in vitro None None
POLA1 81 No Unlikely to be sequence specific TF Low specificity DNA-binding protein No motif None Binds DNA in the crystal structure (PDB: 4Q5V)
PBX1 82 Yes Known motif Monomer or homomultimer High-throughput in vitro None None
LARP1B 91 No ssDNA/RNA binding Not a DNA binding protein No motif None None
FANK1 93 No Unlikely to be sequence specific TF Not a DNA binding protein No motif None Binds JUN to control its activity (PMID: 20978819), but there is no evidence that it binds DNA itself
TBX1 98 Yes Known motif Monomer or homomultimer High-throughput in vitro None None
KLF10 102 Yes Known motif Monomer or homomultimer High-throughput in vitro None None
CHD4 103 No Unlikely to be sequence specific TF Low specificity DNA-binding protein No motif None CHD4 is likely not a sequence-specific DNA-binding protein despite having a partial match to an HMG box. This protein binds to the DNA backbone, but binds poly(ADP-ribose) with higher affinity (PMID: 26565020).
NFKB1 115 Yes Known motif Monomer or homomultimer High-throughput in vitro None None
TCEAL8 119 No Unlikely to be sequence specific TF Not a DNA binding protein No motif None Lacks a canonical DBD



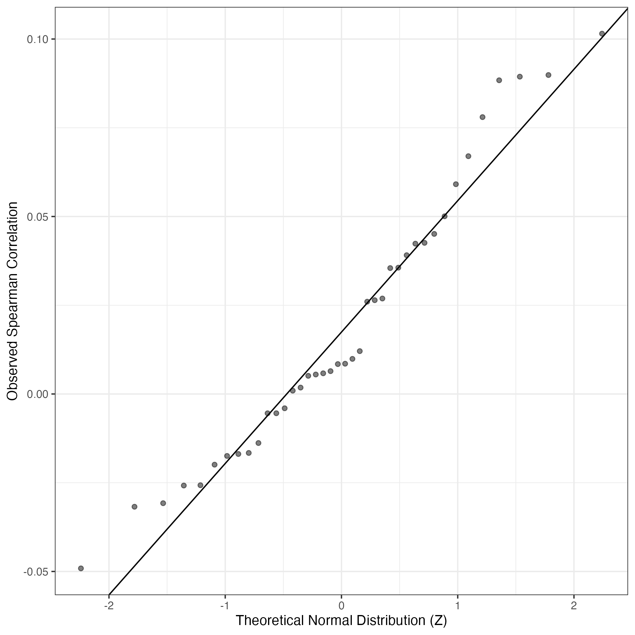
QQ Plot showing correlations with other GEPs in this dataset, calculated by Spearman correlation:

Interactive QQ-plot of gene loadings:

Interactive QQ Plot


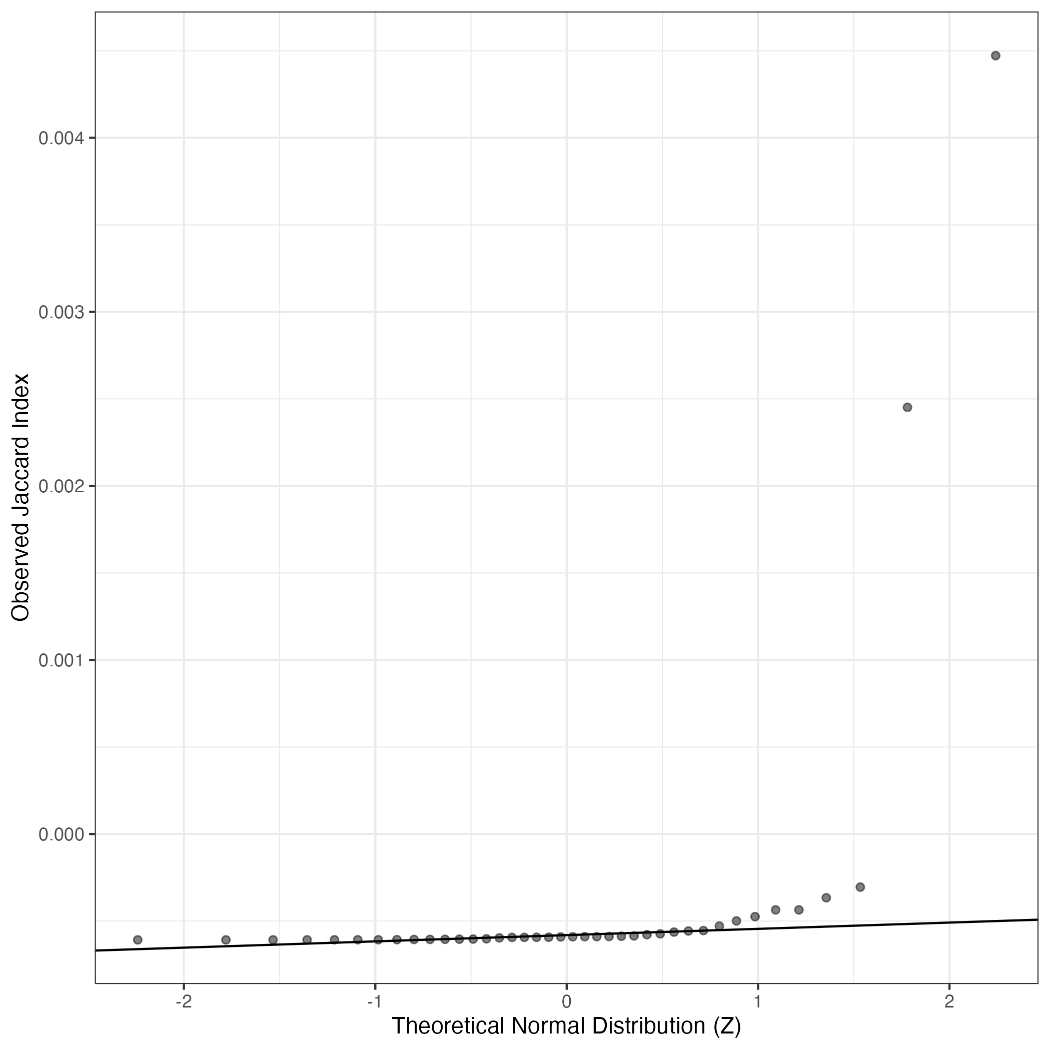
A similar QQ-plot as above, but only for instances where the H value is e.g. > 25, i.e. we are confident that the expression program is active above noise. Agreemenet between these binary vectors is tested using the Jaccard Index, with the P-values calculated by an exact test:

Interactive QQ-plot:

Interactive QQ Plot


Singler cell type annotations for the top 50 cells on this program.

## Error in 1:nrow(topCellsAnnotMat): argument of length 0
Cell ID Singler label Singler Delta Activity Score Top Singler Raw Scores
STDY7685342_CGGACACCACCTATCC CMP 0.08 883.25
Raw Scores



Below shows the significant enrichments of this GEP for literature curated gene lists
  This data was procured from existing single cell RNA-seq maps of neuroblastoma or related relevant data.
  High ranks indicate this gene is a driver of this GEP.
  These curated gene list are ranked by the P-value (on this GEP) of their constituent genes.
  The Mean Count column shows the mean read count in cells scoring highly (H > 50) on this gene expression program.


Stress response (Dong)
Markers obtained in computationally inferred meta program (by NMF applied to their neuroblastoma sc-RNA-seq data) from Fig. 5(a) of Dong et al. (PMID 32946775).:
Wilcoxon ranksum test P-value for gene set overrepresentation: 1.92e-03
Mean rank of genes in gene set: 229.33
Rank on gene expression program of genes in gene set:
## Error in data.frame(Genes = geneCardsLinkSmallGsets, Weight = theseGenes, : object 'countHighScoringCells' not found


Below shows ranks on this GEP for literature curated gene lists for large gene sets
  These include those reported as mesenchymal/adrenergic by Van Groningen et al.
  High ranks indicate this gene is a driver of this GEP (note these results are not ordered).
  The Mean Count column shows the mean read count in cells scoring highly (H > 50) on this gene expression program.


VanGroningen Adrenergic Genes
Adrenergic marker genes from Supplementary Table 2 of Van Groningen et al. Nature Genetics 2017. These genes were identified by differential expression analysis of mesenchymal-like and adrenergic-like neuroblastoma cell lines.
Wilcoxon ranksum test P-value for gene set overrepresentation: 1.00e+00
Mean rank of genes in gene set: 8647.27
Median rank of genes in gene set: 9790
Rank on gene expression program of top 30 genes in gene set:

## Error in data.frame(Genes = geneCardsLinkSmallGsets, Weight = theseGenes, : object 'countHighScoringCells' not found



Below shows the ranks on this GEP for immune marker gene lists curated by CellTypist (https://www.celltypist.org/encyclopedia).
  High ranks indicate this gene is a driver of this GEP.
  These curated gene list are ranked by P-value (on this GEP) of their constituent genes.
  The Mean Count column shows the mean read count in cells scoring highly (H > 50) on this gene expression program.


Granulocytes: Granulocytes (curated markers)
cells of innate immune system with specific granules in the cytoplasm including neutrophils:
Wilcoxon ranksum test P-value for gene set overrepresentation: 1.41e-03
Mean rank of genes in gene set: 30
Rank on gene expression program of genes in gene set:
## Error in data.frame(Genes = geneCardsLinkSmallGsets, Weight = theseGenes, : object 'countHighScoringCells' not found