QQ-plot of gene loadings, averaged over both independent splits of the data
This plot highlights the relative contribution of each gene to the GEP
Top genes driving this program.
Note: Decartes website is buggy, try refreshing. Also, Decartes fetal adrenal data have been collected at specific time points (89-122 days), all possible cell types of interest may not be represented, do not overinterpret.
The Mean Count column shows the mean read count in cells scoring highly (H > 50) on this gene expression program.
Gene | Loading | Gene.Name | GTEx | DepMap | Descartes | Mean.Counts | Mean.Tpm | |
---|---|---|---|---|---|---|---|---|
1 | KRTDAP | 0.0115666 | keratinocyte differentiation associated protein | GTEx | DepMap | Descartes | 20.04 | 945.32 |
2 | KRT10 | 0.0103626 | keratin 10 | GTEx | DepMap | Descartes | 10.66 | 383.18 |
3 | KRT1 | 0.0098663 | keratin 1 | GTEx | DepMap | Descartes | 11.18 | 350.20 |
4 | DMKN | 0.0089152 | dermokine | GTEx | DepMap | Descartes | 2.83 | 24.18 |
5 | GLTP | 0.0087865 | glycolipid transfer protein | GTEx | DepMap | Descartes | 9.99 | 53.46 |
6 | AQP3 | 0.0087533 | aquaporin 3 (Gill blood group) | GTEx | DepMap | Descartes | 2.57 | 60.15 |
7 | PERP | 0.0083220 | p53 apoptosis effector related to PMP22 | GTEx | DepMap | Descartes | 50.87 | 562.40 |
8 | PKP1 | 0.0083008 | plakophilin 1 | GTEx | DepMap | Descartes | 4.38 | 10.77 |
9 | MGST1 | 0.0082835 | microsomal glutathione S-transferase 1 | GTEx | DepMap | Descartes | 13.70 | 124.24 |
10 | GSTA2 | 0.0082392 | glutathione S-transferase alpha 2 | GTEx | DepMap | Descartes | 0.13 | 0.65 |
11 | DSP | 0.0078108 | desmoplakin | GTEx | DepMap | Descartes | 24.42 | 59.74 |
12 | JUP | 0.0077008 | junction plakoglobin | GTEx | DepMap | Descartes | 12.16 | 47.40 |
13 | ENDOU | 0.0076410 | endonuclease, poly(U) specific | GTEx | DepMap | Descartes | 1.50 | 10.08 |
14 | ZFP750 | 0.0075813 | NA | GTEx | DepMap | Descartes | 3.13 | 47.68 |
15 | HSPB1 | 0.0074728 | heat shock protein family B (small) member 1 | GTEx | DepMap | Descartes | 28.85 | 2401.04 |
16 | THEM5 | 0.0073568 | thioesterase superfamily member 5 | GTEx | DepMap | Descartes | 0.60 | 18.21 |
17 | DSC3 | 0.0073369 | desmocollin 3 | GTEx | DepMap | Descartes | 3.44 | 11.05 |
18 | TGM3 | 0.0070539 | transglutaminase 3 | GTEx | DepMap | Descartes | 0.36 | 1.35 |
19 | SERPINB12 | 0.0069070 | serpin family B member 12 | GTEx | DepMap | Descartes | 0.29 | 2.10 |
20 | S100A16 | 0.0068108 | S100 calcium binding protein A16 | GTEx | DepMap | Descartes | 10.62 | 227.45 |
21 | MUC15 | 0.0067099 | mucin 15, cell surface associated | GTEx | DepMap | Descartes | 0.33 | 2.44 |
22 | CSTB | 0.0067058 | cystatin B | GTEx | DepMap | Descartes | 15.02 | 866.68 |
23 | FABP5 | 0.0066873 | fatty acid binding protein 5 | GTEx | DepMap | Descartes | 107.36 | 3250.79 |
24 | DSG1B | 0.0064601 | NA | GTEx | DepMap | Descartes | 0.26 | 0.95 |
25 | RAB25 | 0.0063766 | RAB25, member RAS oncogene family | GTEx | DepMap | Descartes | 5.04 | 101.49 |
26 | ASPRV1 | 0.0062644 | aspartic peptidase retroviral like 1 | GTEx | DepMap | Descartes | 2.35 | 232.46 |
27 | ESRP2 | 0.0062444 | epithelial splicing regulatory protein 2 | GTEx | DepMap | Descartes | 3.21 | 54.70 |
28 | ANKRD22 | 0.0061431 | ankyrin repeat domain 22 | GTEx | DepMap | Descartes | 1.17 | 3.36 |
29 | DSG1A | 0.0059719 | NA | GTEx | DepMap | Descartes | 0.59 | 2.45 |
30 | SERPINB3B | 0.0058638 | NA | GTEx | DepMap | Descartes | 0.09 | 0.10 |
31 | TACSTD2 | 0.0057871 | tumor associated calcium signal transducer 2 | GTEx | DepMap | Descartes | 17.36 | 1273.85 |
32 | GRHL3 | 0.0057178 | grainyhead like transcription factor 3 | GTEx | DepMap | Descartes | 4.67 | 17.16 |
33 | SPRR1B | 0.0056647 | small proline rich protein 1B | GTEx | DepMap | Descartes | 0.09 | 5.08 |
34 | GM16136 | 0.0056305 | NA | GTEx | DepMap | Descartes | 11.19 | 871.96 |
35 | FAM83A | 0.0056285 | family with sequence similarity 83 member A | GTEx | DepMap | Descartes | 0.11 | 0.59 |
36 | NOTCH1 | 0.0054945 | notch receptor 1 | GTEx | DepMap | Descartes | 12.79 | 24.71 |
37 | S100A9 | 0.0054456 | S100 calcium binding protein A9 | GTEx | DepMap | Descartes | 0.20 | 9.58 |
38 | SDR16C6 | 0.0054108 | NA | GTEx | DepMap | Descartes | 0.18 | 1.16 |
39 | POU2F3 | 0.0053766 | POU class 2 homeobox 3 | GTEx | DepMap | Descartes | 0.46 | 0.60 |
40 | CDH1 | 0.0053717 | cadherin 1 | GTEx | DepMap | Descartes | 6.66 | 11.61 |
41 | SFN | 0.0053603 | stratifin | GTEx | DepMap | Descartes | 28.27 | 2169.08 |
42 | PAQR5 | 0.0053515 | progestin and adipoQ receptor family member 5 | GTEx | DepMap | Descartes | 1.43 | 2.47 |
43 | PVRL4 | 0.0053431 | NA | GTEx | DepMap | Descartes | 7.13 | NA |
44 | PYCARD | 0.0053040 | PYD and CARD domain containing | GTEx | DepMap | Descartes | 4.31 | 126.18 |
45 | SMAGP | 0.0052655 | small cell adhesion glycoprotein | GTEx | DepMap | Descartes | 2.38 | 18.32 |
46 | DUOXA1 | 0.0052632 | dual oxidase maturation factor 1 | GTEx | DepMap | Descartes | 1.44 | 15.90 |
47 | SMTNL2 | 0.0052271 | smoothelin like 2 | GTEx | DepMap | Descartes | 3.56 | 18.90 |
48 | CAPNS2 | 0.0051955 | calpain small subunit 2 | GTEx | DepMap | Descartes | 0.47 | 82.54 |
49 | TGM1 | 0.0051915 | transglutaminase 1 | GTEx | DepMap | Descartes | 1.82 | 15.68 |
50 | STX19 | 0.0051520 | syntaxin 19 | GTEx | DepMap | Descartes | 0.44 | 6.29 |
UMAP plots showing activity of gene expression program identified in GEP 8. Epithelial Cells I:
Gene set Enrichments for this program, caculated from top 50 genes
mSigDB Cell Types Gene Set:
P-value | OR | Lower 95% CI | FDR | FWER | Genes Found | Gene Set Size | |
---|---|---|---|---|---|---|---|
DURANTE_ADULT_OLFACTORY_NEUROEPITHELIUM_RESPIRATORY_COLUMNAR_CELLS | 3.29e-15 | 182.46 | 65.91 | 7.36e-13 | 2.21e-12 | 8AQP3, PERP, HSPB1, S100A16, CSTB, FABP5, TACSTD2, SFN |
28 |
BUSSLINGER_ESOPHAGEAL_LATE_SUPRABASAL_CELLS | 8.47e-23 | 73.06 | 36.67 | 5.68e-20 | 5.68e-20 | 16DMKN, GLTP, AQP3, PERP, PKP1, DSP, JUP, ENDOU, HSPB1, TGM3, S100A16, CSTB, RAB25, SPRR1B, S100A9, TGM1 |
140 |
DURANTE_ADULT_OLFACTORY_NEUROEPITHELIUM_RESPIRATORY_HORIZONTAL_BASAL_CELLS | 2.28e-10 | 97.16 | 31.22 | 3.06e-08 | 1.53e-07 | 6AQP3, PERP, HSPB1, S100A16, TACSTD2, SFN |
33 |
DESCARTES_FETAL_EYE_CORNEAL_AND_CONJUNCTIVAL_EPITHELIAL_CELLS | 2.54e-17 | 36.23 | 18.12 | 8.54e-15 | 1.71e-14 | 15AQP3, PERP, PKP1, MGST1, DSP, DSC3, MUC15, RAB25, ESRP2, TACSTD2, SPRR1B, FAM83A, S100A9, SFN, CAPNS2 |
243 |
DESCARTES_FETAL_STOMACH_SQUAMOUS_EPITHELIAL_CELLS | 1.91e-08 | 43.06 | 14.45 | 1.83e-06 | 1.28e-05 | 6AQP3, PKP1, TACSTD2, S100A9, SFN, CAPNS2 |
67 |
DESCARTES_MAIN_FETAL_SQUAMOUS_EPITHELIAL_CELLS | 1.27e-09 | 30.33 | 12.04 | 1.42e-07 | 8.55e-07 | 8GLTP, PKP1, DSP, JUP, CSTB, GRHL3, SFN, DUOXA1 |
129 |
DESCARTES_FETAL_LUNG_SQUAMOUS_EPITHELIAL_CELLS | 9.72e-11 | 24.58 | 10.81 | 1.63e-08 | 6.52e-08 | 10GLTP, PERP, PKP1, TACSTD2, GRHL3, SPRR1B, FAM83A, S100A9, SFN, DUOXA1 |
206 |
TRAVAGLINI_LUNG_DIFFERENTIATING_BASAL_CELL | 1.44e-07 | 20.92 | 7.81 | 1.20e-05 | 9.66e-05 | 7GLTP, AQP3, PERP, S100A16, TACSTD2, PYCARD, CAPNS2 |
157 |
BUSSLINGER_GASTRIC_IMMATURE_PIT_CELLS | 2.01e-07 | 19.85 | 7.42 | 1.23e-05 | 1.35e-04 | 7PERP, JUP, HSPB1, S100A16, CSTB, TACSTD2, SFN |
165 |
TRAVAGLINI_LUNG_BASAL_CELL | 4.84e-07 | 17.33 | 6.49 | 2.50e-05 | 3.25e-04 | 7GLTP, AQP3, PERP, PKP1, TACSTD2, SFN, CAPNS2 |
188 |
DESCARTES_FETAL_KIDNEY_URETERIC_BUD_CELLS | 8.34e-07 | 12.58 | 5.05 | 4.00e-05 | 5.60e-04 | 8PERP, PKP1, MUC15, ESRP2, TACSTD2, GRHL3, DUOXA1, CAPNS2 |
300 |
AIZARANI_LIVER_C24_EPCAM_POS_BILE_DUCT_CELLS_3 | 7.52e-06 | 14.69 | 5.05 | 3.15e-04 | 5.05e-03 | 6AQP3, PERP, DSP, HSPB1, TACSTD2, CDH1 |
185 |
BUSSLINGER_GASTRIC_ISTHMUS_CELLS | 1.79e-07 | 10.76 | 4.77 | 1.20e-05 | 1.20e-04 | 10PERP, DSP, JUP, HSPB1, S100A16, CSTB, FABP5, TACSTD2, CDH1, SFN |
458 |
DESCARTES_MAIN_FETAL_CORNEAL_AND_CONJUNCTIVAL_EPITHELIAL_CELLS | 8.31e-06 | 11.09 | 4.17 | 3.28e-04 | 5.58e-03 | 7DSC3, RAB25, TACSTD2, SPRR1B, FAM83A, S100A9, CAPNS2 |
290 |
TRAVAGLINI_LUNG_PROXIMAL_BASAL_CELL | 3.41e-07 | 8.80 | 4.04 | 1.91e-05 | 2.29e-04 | 11GLTP, AQP3, PERP, MGST1, JUP, DSC3, S100A16, RAB25, TACSTD2, PYCARD, CAPNS2 |
629 |
TRAVAGLINI_LUNG_PROLIFERATING_BASAL_CELL | 1.69e-07 | 7.72 | 3.75 | 1.20e-05 | 1.13e-04 | 13GLTP, AQP3, PERP, PKP1, DSP, JUP, HSPB1, DSC3, S100A16, FABP5, TACSTD2, SFN, PYCARD |
891 |
AIZARANI_LIVER_C4_EPCAM_POS_BILE_DUCT_CELLS_1 | 1.26e-04 | 11.51 | 3.53 | 4.70e-03 | 8.47e-02 | 5PERP, DSP, TACSTD2, CDH1, PAQR5 |
191 |
TRAVAGLINI_LUNG_MESOTHELIAL_CELL | 3.88e-06 | 7.55 | 3.35 | 1.73e-04 | 2.60e-03 | 10KRT10, DMKN, AQP3, MGST1, DSP, DSC3, S100A16, FABP5, PYCARD, TGM1 |
649 |
DESCARTES_FETAL_INTESTINE_MESOTHELIAL_CELLS | 1.37e-03 | 15.00 | 2.93 | 4.59e-02 | 9.18e-01 | 3DSC3, SMTNL2, TGM1 |
85 |
AIZARANI_LIVER_C39_EPCAM_POS_BILE_DUCT_CELLS_4 | 1.26e-03 | 9.31 | 2.41 | 4.44e-02 | 8.43e-01 | 4DSP, HSPB1, TACSTD2, CDH1 |
184 |
Dowload full table
mSigDB Hallmark Gene Sets:
P-value | OR | Lower 95% CI | FDR | FWER | Genes Found | Gene Set Size | |
---|---|---|---|---|---|---|---|
HALLMARK_ESTROGEN_RESPONSE_LATE | 1.56e-04 | 10.98 | 3.37 | 7.81e-03 | 7.81e-03 | 5PERP, FABP5, S100A9, CDH1, SFN |
200 |
HALLMARK_ESTROGEN_RESPONSE_EARLY | 1.46e-02 | 6.25 | 1.23 | 1.46e-01 | 7.29e-01 | 3AQP3, ESRP2, SFN |
200 |
HALLMARK_APICAL_JUNCTION | 1.46e-02 | 6.25 | 1.23 | 1.46e-01 | 7.29e-01 | 3JUP, DSC3, CDH1 |
200 |
HALLMARK_P53_PATHWAY | 1.46e-02 | 6.25 | 1.23 | 1.46e-01 | 7.29e-01 | 3PERP, NOTCH1, SFN |
200 |
HALLMARK_KRAS_SIGNALING_DN | 1.46e-02 | 6.25 | 1.23 | 1.46e-01 | 7.29e-01 | 3KRT1, PKP1, TGM1 |
200 |
HALLMARK_NOTCH_SIGNALING | 7.95e-02 | 12.68 | 0.31 | 6.52e-01 | 1.00e+00 | 1NOTCH1 |
32 |
HALLMARK_WNT_BETA_CATENIN_SIGNALING | 1.03e-01 | 9.59 | 0.23 | 6.52e-01 | 1.00e+00 | 1NOTCH1 |
42 |
HALLMARK_APICAL_SURFACE | 1.08e-01 | 9.15 | 0.22 | 6.52e-01 | 1.00e+00 | 1HSPB1 |
44 |
HALLMARK_REACTIVE_OXYGEN_SPECIES_PATHWAY | 1.19e-01 | 8.19 | 0.20 | 6.52e-01 | 1.00e+00 | 1MGST1 |
49 |
HALLMARK_TGF_BETA_SIGNALING | 1.30e-01 | 7.42 | 0.18 | 6.52e-01 | 1.00e+00 | 1CDH1 |
54 |
HALLMARK_CHOLESTEROL_HOMEOSTASIS | 1.74e-01 | 5.39 | 0.13 | 7.91e-01 | 1.00e+00 | 1FABP5 |
74 |
HALLMARK_PI3K_AKT_MTOR_SIGNALING | 2.38e-01 | 3.78 | 0.09 | 9.59e-01 | 1.00e+00 | 1SFN |
105 |
HALLMARK_UV_RESPONSE_UP | 3.35e-01 | 2.51 | 0.06 | 9.59e-01 | 1.00e+00 | 1AQP3 |
158 |
HALLMARK_APOPTOSIS | 3.40e-01 | 2.46 | 0.06 | 9.59e-01 | 1.00e+00 | 1HSPB1 |
161 |
HALLMARK_HYPOXIA | 4.03e-01 | 1.98 | 0.05 | 9.59e-01 | 1.00e+00 | 1PKP1 |
200 |
HALLMARK_MYOGENESIS | 4.03e-01 | 1.98 | 0.05 | 9.59e-01 | 1.00e+00 | 1NOTCH1 |
200 |
HALLMARK_COMPLEMENT | 4.03e-01 | 1.98 | 0.05 | 9.59e-01 | 1.00e+00 | 1S100A9 |
200 |
HALLMARK_XENOBIOTIC_METABOLISM | 4.03e-01 | 1.98 | 0.05 | 9.59e-01 | 1.00e+00 | 1JUP |
200 |
HALLMARK_HEME_METABOLISM | 4.03e-01 | 1.98 | 0.05 | 9.59e-01 | 1.00e+00 | 1AQP3 |
200 |
HALLMARK_ALLOGRAFT_REJECTION | 4.03e-01 | 1.98 | 0.05 | 9.59e-01 | 1.00e+00 | 1KRT1 |
200 |
Dowload full table
KEGG Pathways:
P-value | OR | Lower 95% CI | FDR | FWER | Genes Found | Gene Set Size | |
---|---|---|---|---|---|---|---|
KEGG_GLUTATHIONE_METABOLISM | 7.38e-03 | 16.72 | 1.92 | 5.81e-01 | 1.00e+00 | 2MGST1, GSTA2 |
50 |
KEGG_P53_SIGNALING_PATHWAY | 1.33e-02 | 12.17 | 1.40 | 5.81e-01 | 1.00e+00 | 2PERP, SFN |
68 |
KEGG_METABOLISM_OF_XENOBIOTICS_BY_CYTOCHROME_P450 | 1.41e-02 | 11.81 | 1.36 | 5.81e-01 | 1.00e+00 | 2MGST1, GSTA2 |
70 |
KEGG_DRUG_METABOLISM_CYTOCHROME_P450 | 1.48e-02 | 11.47 | 1.33 | 5.81e-01 | 1.00e+00 | 2MGST1, GSTA2 |
72 |
KEGG_ARRHYTHMOGENIC_RIGHT_VENTRICULAR_CARDIOMYOPATHY_ARVC | 1.56e-02 | 11.15 | 1.29 | 5.81e-01 | 1.00e+00 | 2DSP, JUP |
74 |
KEGG_DORSO_VENTRAL_AXIS_FORMATION | 6.02e-02 | 17.10 | 0.41 | 1.00e+00 | 1.00e+00 | 1NOTCH1 |
24 |
KEGG_THYROID_CANCER | 7.23e-02 | 14.05 | 0.34 | 1.00e+00 | 1.00e+00 | 1CDH1 |
29 |
KEGG_PATHWAYS_IN_CANCER | 2.00e-01 | 2.49 | 0.29 | 1.00e+00 | 1.00e+00 | 2JUP, CDH1 |
325 |
KEGG_PRION_DISEASES | 8.66e-02 | 11.57 | 0.28 | 1.00e+00 | 1.00e+00 | 1NOTCH1 |
35 |
KEGG_SNARE_INTERACTIONS_IN_VESICULAR_TRANSPORT | 9.36e-02 | 10.63 | 0.26 | 1.00e+00 | 1.00e+00 | 1STX19 |
38 |
KEGG_ALDOSTERONE_REGULATED_SODIUM_REABSORPTION | 1.03e-01 | 9.59 | 0.23 | 1.00e+00 | 1.00e+00 | 1SFN |
42 |
KEGG_BLADDER_CANCER | 1.03e-01 | 9.59 | 0.23 | 1.00e+00 | 1.00e+00 | 1CDH1 |
42 |
KEGG_VASOPRESSIN_REGULATED_WATER_REABSORPTION | 1.08e-01 | 9.15 | 0.22 | 1.00e+00 | 1.00e+00 | 1AQP3 |
44 |
KEGG_NOTCH_SIGNALING_PATHWAY | 1.14e-01 | 8.55 | 0.21 | 1.00e+00 | 1.00e+00 | 1NOTCH1 |
47 |
KEGG_ENDOMETRIAL_CANCER | 1.26e-01 | 7.71 | 0.19 | 1.00e+00 | 1.00e+00 | 1CDH1 |
52 |
KEGG_CYTOSOLIC_DNA_SENSING_PATHWAY | 1.33e-01 | 7.28 | 0.18 | 1.00e+00 | 1.00e+00 | 1PYCARD |
55 |
KEGG_PATHOGENIC_ESCHERICHIA_COLI_INFECTION | 1.35e-01 | 7.15 | 0.17 | 1.00e+00 | 1.00e+00 | 1CDH1 |
56 |
KEGG_ACUTE_MYELOID_LEUKEMIA | 1.37e-01 | 7.03 | 0.17 | 1.00e+00 | 1.00e+00 | 1JUP |
57 |
KEGG_NOD_LIKE_RECEPTOR_SIGNALING_PATHWAY | 1.48e-01 | 6.45 | 0.16 | 1.00e+00 | 1.00e+00 | 1PYCARD |
62 |
KEGG_PPAR_SIGNALING_PATHWAY | 1.63e-01 | 5.78 | 0.14 | 1.00e+00 | 1.00e+00 | 1FABP5 |
69 |
Dowload full table
CHR Positional Gene Sets:
P-value | OR | Lower 95% CI | FDR | FWER | Genes Found | Gene Set Size | |
---|---|---|---|---|---|---|---|
chr1q21 | 1.73e-02 | 4.32 | 1.12 | 1.00e+00 | 1.00e+00 | 4THEM5, S100A16, SPRR1B, S100A9 |
392 |
chr12q13 | 8.39e-02 | 3.05 | 0.60 | 1.00e+00 | 1.00e+00 | 3KRT1, ENDOU, SMAGP |
407 |
chr16q22 | 7.70e-02 | 4.54 | 0.53 | 1.00e+00 | 1.00e+00 | 2ESRP2, CDH1 |
179 |
chr17q21 | 3.22e-01 | 1.77 | 0.21 | 1.00e+00 | 1.00e+00 | 2KRT10, JUP |
457 |
chr3q11 | 1.21e-01 | 8.03 | 0.20 | 1.00e+00 | 1.00e+00 | 1STX19 |
50 |
chr11p14 | 1.35e-01 | 7.15 | 0.17 | 1.00e+00 | 1.00e+00 | 1MUC15 |
56 |
chr6p24 | 1.37e-01 | 7.03 | 0.17 | 1.00e+00 | 1.00e+00 | 1DSP |
57 |
chr15q23 | 1.55e-01 | 6.15 | 0.15 | 1.00e+00 | 1.00e+00 | 1PAQR5 |
65 |
chr1p36 | 6.80e-01 | 1.23 | 0.14 | 1.00e+00 | 1.00e+00 | 2GRHL3, SFN |
656 |
chr1q22 | 1.66e-01 | 5.70 | 0.14 | 1.00e+00 | 1.00e+00 | 1RAB25 |
70 |
chr16q12 | 2.20e-01 | 4.14 | 0.10 | 1.00e+00 | 1.00e+00 | 1CAPNS2 |
96 |
chr18q12 | 2.20e-01 | 4.14 | 0.10 | 1.00e+00 | 1.00e+00 | 1DSC3 |
96 |
chr14q12 | 2.30e-01 | 3.93 | 0.10 | 1.00e+00 | 1.00e+00 | 1TGM1 |
101 |
chr6q23 | 2.40e-01 | 3.75 | 0.09 | 1.00e+00 | 1.00e+00 | 1PERP |
106 |
chr12p12 | 2.41e-01 | 3.71 | 0.09 | 1.00e+00 | 1.00e+00 | 1MGST1 |
107 |
chr20p13 | 2.61e-01 | 3.39 | 0.08 | 1.00e+00 | 1.00e+00 | 1TGM3 |
117 |
chr19q13 | 1.00e+00 | 0.69 | 0.08 | 1.00e+00 | 1.00e+00 | 2KRTDAP, DMKN |
1165 |
chr2p13 | 2.98e-01 | 2.89 | 0.07 | 1.00e+00 | 1.00e+00 | 1ASPRV1 |
137 |
chr1p32 | 3.24e-01 | 2.61 | 0.06 | 1.00e+00 | 1.00e+00 | 1TACSTD2 |
152 |
chr15q21 | 3.50e-01 | 2.37 | 0.06 | 1.00e+00 | 1.00e+00 | 1DUOXA1 |
167 |
Dowload full table
Transcription Factor Targets:
P-value | OR | Lower 95% CI | FDR | FWER | Genes Found | Gene Set Size | |
---|---|---|---|---|---|---|---|
CEBPDELTA_Q6 | 4.09e-04 | 8.85 | 2.72 | 2.32e-01 | 4.64e-01 | 5ANKRD22, SPRR1B, NOTCH1, S100A9, STX19 |
247 |
GREB1_TARGET_GENES | 8.38e-05 | 5.18 | 2.30 | 9.49e-02 | 9.49e-02 | 10MGST1, JUP, S100A16, ESRP2, ANKRD22, FAM83A, POU2F3, SMAGP, TGM1, STX19 |
941 |
SOX15_TARGET_GENES | 1.29e-02 | 98.09 | 1.96 | 1.00e+00 | 1.00e+00 | 1NOTCH1 |
5 |
TATA_01 | 4.10e-03 | 6.65 | 1.73 | 1.00e+00 | 1.00e+00 | 4KRT10, KRT1, TGM3, SPRR1B |
256 |
TGANTCA_AP1_C | 5.99e-03 | 3.25 | 1.31 | 1.00e+00 | 1.00e+00 | 8DMKN, PERP, DSC3, TGM3, ANKRD22, SPRR1B, SFN, TGM1 |
1139 |
LHX9_TARGET_GENES | 1.10e-02 | 2.72 | 1.16 | 1.00e+00 | 1.00e+00 | 9DMKN, MGST1, JUP, HSPB1, FABP5, GRHL3, POU2F3, SFN, SMAGP |
1563 |
TAATTA_CHX10_01 | 1.57e-02 | 3.22 | 1.12 | 1.00e+00 | 1.00e+00 | 6AQP3, TGM3, MUC15, TACSTD2, GRHL3, SFN |
823 |
ZNF595_TARGET_GENES | 2.25e-02 | 9.13 | 1.06 | 1.00e+00 | 1.00e+00 | 2KRTDAP, CDH1 |
90 |
PAX4_02 | 2.36e-02 | 5.17 | 1.02 | 1.00e+00 | 1.00e+00 | 3AQP3, TACSTD2, SFN |
241 |
TITF1_Q3 | 2.44e-02 | 5.11 | 1.01 | 1.00e+00 | 1.00e+00 | 3DSC3, S100A16, SFN |
244 |
NKX62_Q2 | 2.49e-02 | 5.06 | 1.00 | 1.00e+00 | 1.00e+00 | 3TGM3, MUC15, SMTNL2 |
246 |
MYOD_Q6 | 2.57e-02 | 5.00 | 0.99 | 1.00e+00 | 1.00e+00 | 3ESRP2, CDH1, TGM1 |
249 |
E2A_Q2 | 2.68e-02 | 4.92 | 0.97 | 1.00e+00 | 1.00e+00 | 3JUP, ESRP2, NOTCH1 |
253 |
GGGYGTGNY_UNKNOWN | 2.78e-02 | 3.15 | 0.97 | 1.00e+00 | 1.00e+00 | 5KRT10, PERP, JUP, SFN, CAPNS2 |
686 |
YGTCCTTGR_UNKNOWN | 2.64e-02 | 8.36 | 0.97 | 1.00e+00 | 1.00e+00 | 2KRT10, ESRP2 |
98 |
LMO2COM_01 | 3.01e-02 | 4.70 | 0.93 | 1.00e+00 | 1.00e+00 | 3ESRP2, PAQR5, SMTNL2 |
265 |
E12_Q6 | 3.01e-02 | 4.70 | 0.93 | 1.00e+00 | 1.00e+00 | 3ESRP2, POU2F3, SMTNL2 |
265 |
NKX25_02 | 3.06e-02 | 4.66 | 0.92 | 1.00e+00 | 1.00e+00 | 3AQP3, MUC15, NOTCH1 |
267 |
OCT1_B | 3.12e-02 | 4.63 | 0.92 | 1.00e+00 | 1.00e+00 | 3GRHL3, NOTCH1, POU2F3 |
269 |
AML1_01 | 3.18e-02 | 4.59 | 0.91 | 1.00e+00 | 1.00e+00 | 3TACSTD2, GRHL3, S100A9 |
271 |
Dowload full table
GO Biological Processes:
P-value | OR | Lower 95% CI | FDR | FWER | Genes Found | Gene Set Size | |
---|---|---|---|---|---|---|---|
GOBP_PEPTIDE_CROSS_LINKING | 3.33e-10 | 90.39 | 29.23 | 3.23e-07 | 2.49e-06 | 6KRT10, KRT1, DSP, TGM3, SPRR1B, TGM1 |
35 |
GOBP_DESMOSOME_ORGANIZATION | 1.93e-06 | 174.63 | 28.31 | 1.20e-03 | 1.44e-02 | 3PERP, DSP, JUP |
10 |
GOBP_RESPONSE_TO_INDOLE_3_METHANOL | 6.52e-05 | 265.22 | 21.74 | 2.32e-02 | 4.88e-01 | 2JUP, CDH1 |
5 |
GOBP_CORNIFICATION | 1.12e-11 | 40.60 | 16.93 | 1.40e-08 | 8.41e-08 | 9KRT10, KRT1, PERP, PKP1, DSP, JUP, DSC3, SPRR1B, TGM1 |
113 |
GOBP_CARDIAC_MUSCLE_CELL_CARDIAC_MUSCLE_CELL_ADHESION | 1.36e-04 | 159.06 | 14.87 | 4.44e-02 | 1.00e+00 | 2DSP, JUP |
7 |
GOBP_KERATINIZATION | 9.23e-12 | 25.40 | 11.57 | 1.38e-08 | 6.91e-08 | 11KRT10, KRT1, PERP, PKP1, DSP, JUP, DSC3, TGM3, SPRR1B, SFN, TGM1 |
225 |
GOBP_EPIDERMIS_DEVELOPMENT | 6.81e-16 | 22.27 | 11.54 | 5.10e-12 | 5.10e-12 | 17KRTDAP, KRT10, KRT1, AQP3, PERP, PKP1, DSP, JUP, DSC3, TGM3, FABP5, GRHL3, SPRR1B, NOTCH1, POU2F3, SFN, TGM1 |
463 |
GOBP_KERATINOCYTE_DIFFERENTIATION | 4.45e-13 | 23.43 | 11.31 | 1.11e-09 | 3.33e-09 | 13KRT10, KRT1, AQP3, PERP, PKP1, DSP, JUP, DSC3, TGM3, SPRR1B, NOTCH1, SFN, TGM1 |
302 |
GOBP_SKIN_DEVELOPMENT | 6.18e-14 | 20.66 | 10.39 | 2.31e-10 | 4.62e-10 | 15KRT10, KRT1, AQP3, PERP, PKP1, DSP, JUP, DSC3, TGM3, ASPRV1, GRHL3, SPRR1B, NOTCH1, SFN, TGM1 |
415 |
GOBP_REGULATION_OF_WATER_LOSS_VIA_SKIN | 4.04e-05 | 53.41 | 9.93 | 1.78e-02 | 3.03e-01 | 3KRT1, GRHL3, SFN |
26 |
GOBP_EPIDERMAL_CELL_DIFFERENTIATION | 3.97e-12 | 19.52 | 9.43 | 7.42e-09 | 2.97e-08 | 13KRT10, KRT1, AQP3, PERP, PKP1, DSP, JUP, DSC3, TGM3, SPRR1B, NOTCH1, SFN, TGM1 |
360 |
GOBP_REGULATION_OF_VENTRICULAR_CARDIAC_MUSCLE_CELL_ACTION_POTENTIAL | 4.25e-04 | 79.97 | 8.32 | 1.22e-01 | 1.00e+00 | 2DSP, JUP |
12 |
GOBP_POSITIVE_REGULATION_OF_EPIDERMIS_DEVELOPMENT | 7.63e-05 | 42.31 | 7.99 | 2.59e-02 | 5.70e-01 | 3KRT10, NOTCH1, SFN |
32 |
GOBP_PROTEIN_HETEROTETRAMERIZATION | 5.84e-04 | 66.76 | 7.07 | 1.41e-01 | 1.00e+00 | 2KRT10, KRT1 |
14 |
GOBP_BUNDLE_OF_HIS_CELL_TO_PURKINJE_MYOCYTE_COMMUNICATION | 5.84e-04 | 66.76 | 7.07 | 1.41e-01 | 1.00e+00 | 2DSP, JUP |
14 |
GOBP_ACTIVATION_OF_CYSTEINE_TYPE_ENDOPEPTIDASE_ACTIVITY | 6.73e-04 | 61.64 | 6.58 | 1.48e-01 | 1.00e+00 | 2PERP, PYCARD |
15 |
GOBP_REGULATION_OF_EPIDERMIS_DEVELOPMENT | 2.98e-05 | 25.78 | 6.55 | 1.40e-02 | 2.23e-01 | 4KRT10, AQP3, NOTCH1, SFN |
69 |
GOBP_EPITHELIAL_CELL_CELL_ADHESION | 8.69e-04 | 53.46 | 5.78 | 1.77e-01 | 1.00e+00 | 2DSP, JUP |
17 |
GOBP_WATER_HOMEOSTASIS | 5.08e-05 | 22.32 | 5.70 | 1.90e-02 | 3.80e-01 | 4KRT1, AQP3, GRHL3, SFN |
79 |
GOBP_EPITHELIAL_CELL_DIFFERENTIATION | 3.45e-10 | 10.88 | 5.49 | 3.23e-07 | 2.58e-06 | 15KRT10, KRT1, AQP3, PERP, PKP1, GSTA2, DSP, JUP, DSC3, TGM3, RAB25, SPRR1B, NOTCH1, SFN, TGM1 |
775 |
Dowload full table
Immunological Gene Sets:
P-value | OR | Lower 95% CI | FDR | FWER | Genes Found | Gene Set Size | |
---|---|---|---|---|---|---|---|
GSE21360_SECONDARY_VS_QUATERNARY_MEMORY_CD8_TCELL_UP | 7.91e-10 | 24.45 | 10.29 | 3.85e-06 | 3.85e-06 | 9KRTDAP, KRT10, KRT1, DMKN, PERP, DSP, DSC3, ASPRV1, S100A9 |
182 |
GSE19888_CTRL_VS_T_CELL_MEMBRANES_ACT_MAST_CELL_DN | 1.80e-09 | 22.15 | 9.33 | 4.39e-06 | 8.79e-06 | 9KRT10, DMKN, PKP1, THEM5, DSC3, ESRP2, GRHL3, NOTCH1, SFN |
200 |
GSE19888_ADENOSINE_A3R_ACT_VS_TCELL_MEMBRANES_ACT_AND_A3R_INH_PRETREAT_IN_MAST_CELL_DN | 1.10e-05 | 13.68 | 4.71 | 1.35e-02 | 5.38e-02 | 6PERP, PKP1, DSP, S100A16, CDH1, CAPNS2 |
198 |
GSE44649_WT_VS_MIR155_KO_NAIVE_CD8_TCELL_UP | 1.10e-05 | 13.68 | 4.71 | 1.35e-02 | 5.38e-02 | 6KRT1, MUC15, FABP5, NOTCH1, CDH1, TGM1 |
198 |
GSE20715_0H_VS_6H_OZONE_TLR4_KO_LUNG_DN | 1.56e-04 | 10.98 | 3.37 | 1.52e-01 | 7.61e-01 | 5DMKN, DSP, HSPB1, ESRP2, TACSTD2 |
200 |
GSE2405_HEAT_KILLED_LYSATE_VS_LIVE_A_PHAGOCYTOPHILUM_STIM_NEUTROPHIL_9H_UP | 1.67e-03 | 8.60 | 2.23 | 5.18e-01 | 1.00e+00 | 4PKP1, ENDOU, CSTB, FABP5 |
199 |
GSE42021_TREG_VS_TCONV_PLN_DN | 1.67e-03 | 8.60 | 2.23 | 5.18e-01 | 1.00e+00 | 4AQP3, PERP, JUP, SMAGP |
199 |
GSE36392_MAC_VS_NEUTROPHIL_IL25_TREATED_LUNG_DN | 1.70e-03 | 8.55 | 2.21 | 5.18e-01 | 1.00e+00 | 4DMKN, PKP1, DSP, GRHL3 |
200 |
GSE2405_HEAT_KILLED_LYSATE_VS_LIVE_A_PHAGOCYTOPHILUM_STIM_NEUTROPHIL_24H_UP | 1.70e-03 | 8.55 | 2.21 | 5.18e-01 | 1.00e+00 | 4PKP1, CSTB, FABP5, CDH1 |
200 |
GSE7219_WT_VS_NIK_NFKB2_KO_LPS_AND_ANTI_CD40_STIM_DC_DN | 1.70e-03 | 8.55 | 2.21 | 5.18e-01 | 1.00e+00 | 4KRT10, JUP, NOTCH1, PYCARD |
200 |
GSE21380_NON_TFH_VS_TFH_CD4_TCELL_DN | 1.70e-03 | 8.55 | 2.21 | 5.18e-01 | 1.00e+00 | 4PERP, DSP, SERPINB12, CDH1 |
200 |
GSE27670_CTRL_VS_BLIMP1_TRANSDUCED_GC_BCELL_UP | 1.70e-03 | 8.55 | 2.21 | 5.18e-01 | 1.00e+00 | 4KRT10, KRT1, TACSTD2, POU2F3 |
200 |
GSE22443_NAIVE_VS_ACT_AND_IL2_TREATED_CD8_TCELL_DN | 1.70e-03 | 8.55 | 2.21 | 5.18e-01 | 1.00e+00 | 4PKP1, MGST1, POU2F3, SFN |
200 |
GSE41867_DAY6_VS_DAY8_LCMV_ARMSTRONG_EFFECTOR_CD8_TCELL_UP | 1.70e-03 | 8.55 | 2.21 | 5.18e-01 | 1.00e+00 | 4KRT10, AQP3, TACSTD2, SFN |
200 |
GSE41978_ID2_KO_VS_ID2_KO_AND_BIM_KO_KLRG1_LOW_EFFECTOR_CD8_TCELL_UP | 1.70e-03 | 8.55 | 2.21 | 5.18e-01 | 1.00e+00 | 4PKP1, ENDOU, MUC15, NOTCH1 |
200 |
GSE45365_NK_CELL_VS_CD8A_DC_UP | 1.70e-03 | 8.55 | 2.21 | 5.18e-01 | 1.00e+00 | 4ENDOU, CSTB, ANKRD22, PYCARD |
200 |
GSE9601_UNTREATED_VS_NFKB_INHIBITOR_TREATED_HCMV_INF_MONOCYTE_UP | 8.72e-03 | 7.60 | 1.50 | 9.86e-01 | 1.00e+00 | 3DSP, POU2F3, CDH1 |
165 |
GSE6259_FLT3L_INDUCED_DEC205_POS_DC_VS_CD8_TCELL_DN | 9.76e-03 | 7.28 | 1.44 | 9.86e-01 | 1.00e+00 | 3CSTB, ASPRV1, NOTCH1 |
172 |
GSE37301_HEMATOPOIETIC_STEM_CELL_VS_CD4_TCELL_UP | 9.91e-03 | 7.24 | 1.43 | 9.86e-01 | 1.00e+00 | 3MGST1, NOTCH1, S100A9 |
173 |
GSE21033_1H_VS_12H_POLYIC_STIM_DC_UP | 1.04e-02 | 7.11 | 1.40 | 9.86e-01 | 1.00e+00 | 3JUP, ENDOU, PYCARD |
176 |
Top Ranked Transcription Factors for this Gene Expression Program:
Gene Symbol | TF Rank | DNA Binding Domain | Motif Status | IUPAC PWM | GTEx | DepMap | Decartes |
---|---|---|---|---|---|---|---|
DSP | 11 | No | Unlikely to be sequence specific TF | Not a DNA binding protein | No motif | None | None |
JUP | 12 | No | Unlikely to be sequence specific TF | Not a DNA binding protein | No motif | None | None |
GRHL3 | 32 | Yes | Likely to be sequence specific TF | Monomer or homomultimer | No motif | None | Binds the same AACCGGTT consensus as the paralog GRHL1 based on SELEX (PMID: 21081122). |
NOTCH1 | 36 | No | Unlikely to be sequence specific TF | Not a DNA binding protein | No motif | None | A transmembrane protein that inhibits MEF2C activation (PMID: 10082551). NOTCH1 does not bind DNA in the structure, and is not required for DNA binding, since RBPJ is bound without it in (PDB:4J2X). |
S100A9 | 37 | No | Unlikely to be sequence specific TF | Not a DNA binding protein | No motif | None | None |
POU2F3 | 39 | Yes | Known motif | Monomer or homomultimer | High-throughput in vitro | None | None |
PYCARD | 44 | No | Unlikely to be sequence specific TF | Not a DNA binding protein | No motif | None | None |
TRIM29 | 52 | No | Unlikely to be sequence specific TF | Not a DNA binding protein | No motif | None | Previous evidence for TF activity (PMID: 8188213) is based on sequence analysis and does not provide DNA-binding evidence. Based on EntrezGene information, its likely a transcriptional co-factor |
CEBPA | 63 | Yes | Known motif | Monomer or homomultimer | 100 perc ID - in vitro | None | None |
GRHL1 | 66 | Yes | Known motif | Monomer or homomultimer | High-throughput in vitro | None | None |
OVOL1 | 68 | Yes | Known motif | Monomer or homomultimer | High-throughput in vitro | None | None |
IQGAP1 | 73 | No | Unlikely to be sequence specific TF | Not a DNA binding protein | No motif | None | bZIP domain in the protein is just a fragment. |
KLF5 | 85 | Yes | Known motif | Monomer or homomultimer | High-throughput in vitro | None | Binds as a monomer and as a dimer (PMID: 25575120). |
FOXN1 | 86 | Yes | Known motif | Monomer or homomultimer | In vivo/Misc source | Only known motifs are from Transfac or HocoMoco - origin is uncertain | None |
HSPA1B | 92 | No | Unlikely to be sequence specific TF | Not a DNA binding protein | No motif | None | None |
IRF6 | 93 | Yes | Known motif | Monomer or homomultimer | High-throughput in vitro | None | None |
SPIB | 110 | Yes | Known motif | Monomer or homomultimer | High-throughput in vitro | None | None |
ELF1 | 136 | Yes | Known motif | Monomer or homomultimer | High-throughput in vitro | None | None |
ZBTB7B | 145 | Yes | Known motif | Monomer or homomultimer | High-throughput in vitro | None | None |
PPP1R13L | 151 | No | Unlikely to be sequence specific TF | Not a DNA binding protein | No motif | None | None |
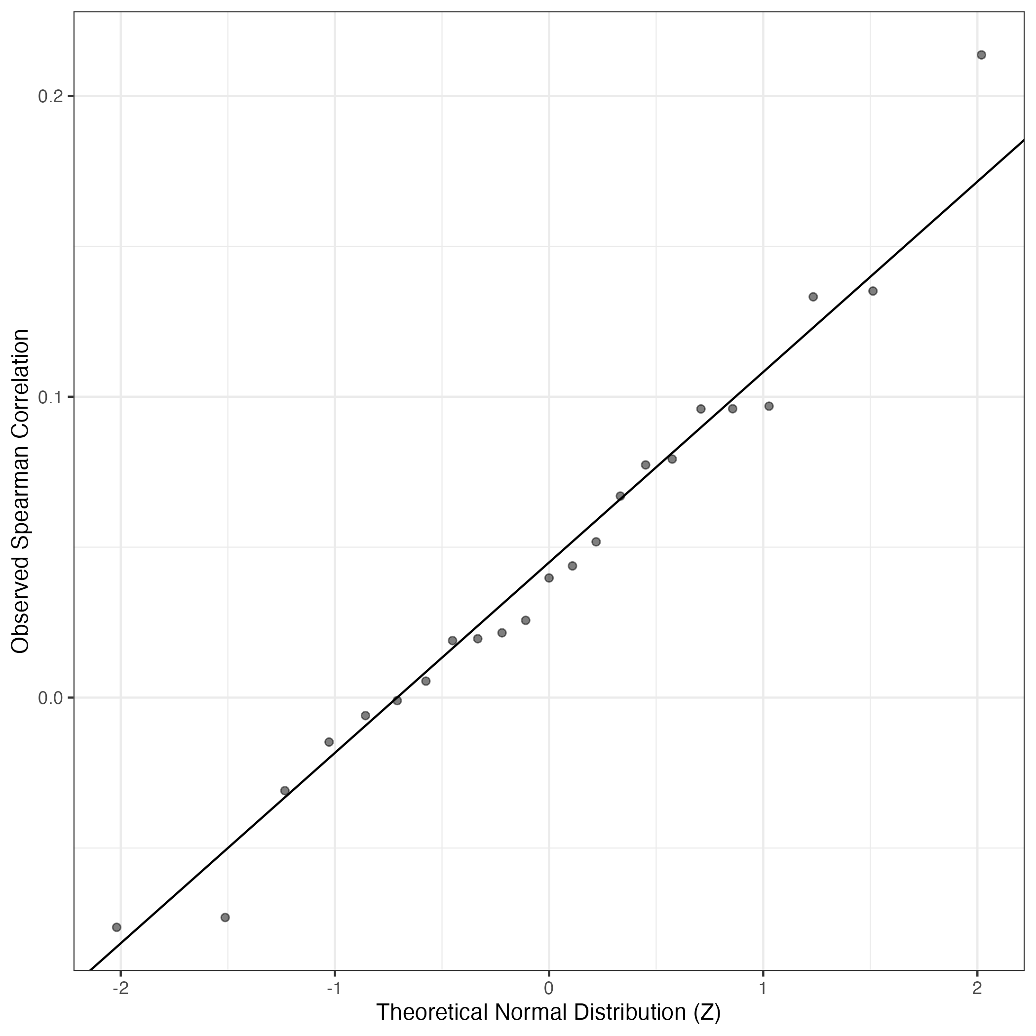
QQ Plot showing correlations with other GEPs in this dataset, calculated by Spearman correlation:
Interactive QQ-plot of gene loadings:
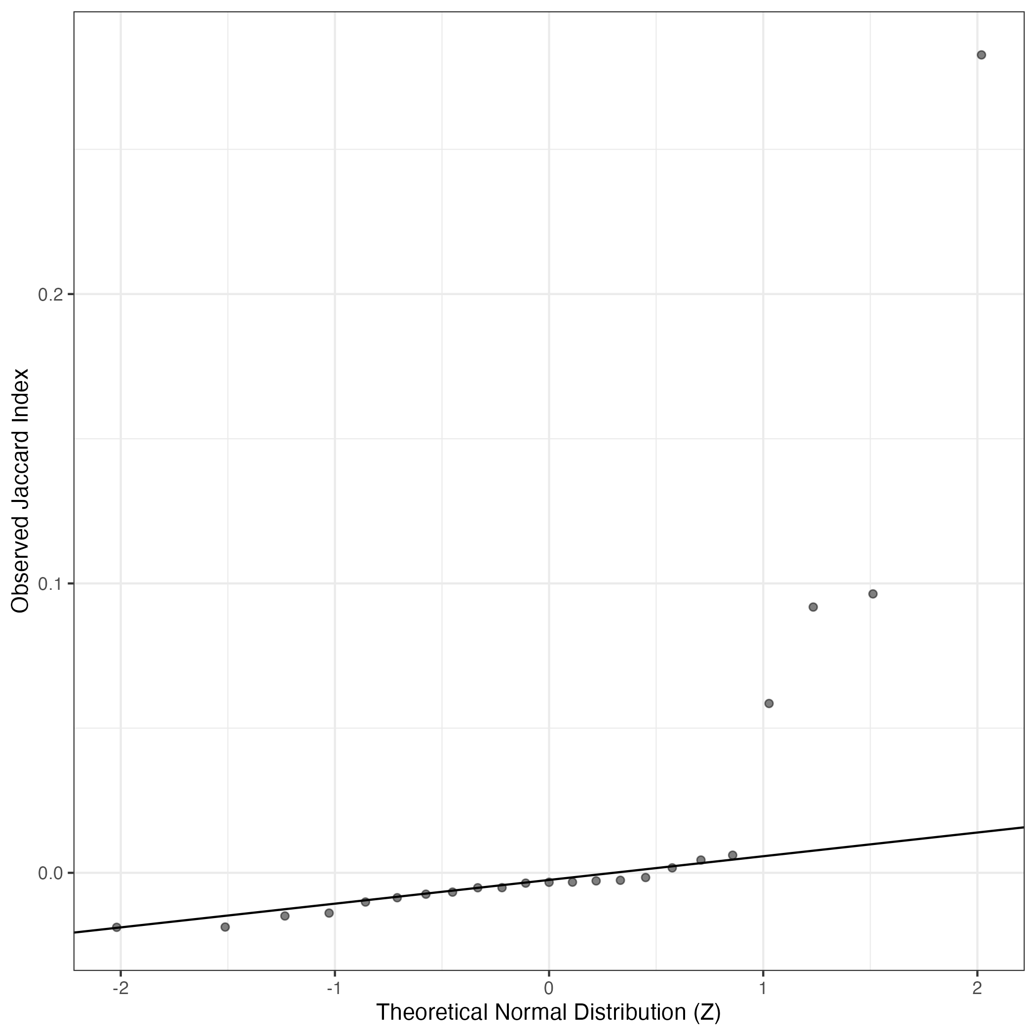
A similar QQ-plot as above, but only for instances where the H value is e.g. > 25, i.e. we are confident that the expression program is active above noise. Agreemenet between these binary vectors is tested using the Jaccard Index, with the P-values calculated by an exact test:
Interactive QQ-plot:
Singler cell type annotations for the top 50 cells on this program.
Cell ID | Singler label | Singler Delta | Activity Score | Top Singler Raw Scores |
---|---|---|---|---|
X71_ACAGGGAGTCTTCCGT | Erythroblast | 0.22 | 1398.27 | Raw ScoresErythroblast: 0.66, Smooth_muscle_cells:bronchial: 0.65, Neuroepithelial_cell:ESC-derived: 0.64, Smooth_muscle_cells:bronchial:vit_D: 0.62, Gametocytes:oocyte: 0.62, Neurons:ES_cell-derived_neural_precursor: 0.62, Chondrocytes:MSC-derived: 0.61, Neutrophil:LPS: 0.61, MSC: 0.61, DC:monocyte-derived:immature: 0.61 |
X72_CTGAGCGCAAGACCTT | Neuroepithelial_cell:ESC-derived | 0.33 | 784.04 | Raw ScoresNeuroepithelial_cell:ESC-derived: 0.68, Neurons:ES_cell-derived_neural_precursor: 0.68, MSC: 0.65, Chondrocytes:MSC-derived: 0.64, Gametocytes:oocyte: 0.63, iPS_cells:CRL2097_foreskin-derived:d20_hepatic_diff: 0.6, iPS_cells:PDB_2lox-17: 0.59, Erythroblast: 0.59, Embryonic_stem_cells: 0.58, Neurons:adrenal_medulla_cell_line: 0.55 |
X72_TCTGTCGTCAACCTTT | Neuroepithelial_cell:ESC-derived | 0.40 | 701.58 | Raw ScoresNeuroepithelial_cell:ESC-derived: 0.54, Neurons:ES_cell-derived_neural_precursor: 0.54, Chondrocytes:MSC-derived: 0.5, iPS_cells:CRL2097_foreskin-derived:d20_hepatic_diff: 0.48, MSC: 0.47, Neurons:adrenal_medulla_cell_line: 0.46, Embryonic_stem_cells: 0.45, iPS_cells:adipose_stem_cells: 0.44, Gametocytes:oocyte: 0.44, Astrocyte:Embryonic_stem_cell-derived: 0.43 |
X72_CCGTTCATCATGTCAG | Neuroepithelial_cell:ESC-derived | 0.31 | 689.31 | Raw ScoresNeuroepithelial_cell:ESC-derived: 0.71, Neurons:ES_cell-derived_neural_precursor: 0.68, MSC: 0.66, Keratinocytes:IL26: 0.63, Keratinocytes: 0.63, Chondrocytes:MSC-derived: 0.62, iPS_cells:CRL2097_foreskin-derived:d20_hepatic_diff: 0.62, Embryonic_stem_cells: 0.62, Keratinocytes:IL20: 0.6, Keratinocytes:KGF: 0.6 |
X71_TCTATCAAGAAGGTAG | Neurons:ES_cell-derived_neural_precursor | 0.40 | 673.78 | Raw ScoresNeurons:ES_cell-derived_neural_precursor: 0.68, iPS_cells:CRL2097_foreskin-derived:d20_hepatic_diff: 0.68, Neuroepithelial_cell:ESC-derived: 0.65, Embryonic_stem_cells: 0.65, Keratinocytes:KGF: 0.64, iPS_cells:adipose_stem_cells: 0.64, iPS_cells:fibroblast-derived:Direct_del._reprog: 0.64, Keratinocytes:IL26: 0.63, Fibroblasts:breast: 0.63, Keratinocytes: 0.63 |
X71_ATTTCACCAGAACCGA | Erythroblast | 0.23 | 670.13 | Raw ScoresErythroblast: 0.67, Neuroepithelial_cell:ESC-derived: 0.66, Smooth_muscle_cells:bronchial: 0.65, Neurons:ES_cell-derived_neural_precursor: 0.64, Gametocytes:oocyte: 0.63, MSC: 0.63, Smooth_muscle_cells:bronchial:vit_D: 0.63, Chondrocytes:MSC-derived: 0.62, DC:monocyte-derived:immature: 0.61, Neutrophil:LPS: 0.6 |
X72_ACTTTGTTCTACGGGC | Neuroepithelial_cell:ESC-derived | 0.40 | 642.99 | Raw ScoresNeuroepithelial_cell:ESC-derived: 0.54, Neurons:ES_cell-derived_neural_precursor: 0.54, Chondrocytes:MSC-derived: 0.5, iPS_cells:CRL2097_foreskin-derived:d20_hepatic_diff: 0.48, MSC: 0.47, Neurons:adrenal_medulla_cell_line: 0.46, Embryonic_stem_cells: 0.45, iPS_cells:adipose_stem_cells: 0.44, Gametocytes:oocyte: 0.44, Astrocyte:Embryonic_stem_cell-derived: 0.43 |
X72_ATCGTAGCACCAGGTC | Neuroepithelial_cell:ESC-derived | 0.29 | 640.22 | Raw ScoresNeuroepithelial_cell:ESC-derived: 0.8, Neurons:ES_cell-derived_neural_precursor: 0.78, MSC: 0.77, iPS_cells:CRL2097_foreskin-derived:d20_hepatic_diff: 0.76, Embryonic_stem_cells: 0.75, Smooth_muscle_cells:vascular: 0.74, Smooth_muscle_cells:vascular:IL-17: 0.73, Tissue_stem_cells:BM_MSC:TGFb3: 0.73, Chondrocytes:MSC-derived: 0.73, iPS_cells:adipose_stem_cells: 0.72 |
X71_TTTACGTGTTCCATTT | Neuroepithelial_cell:ESC-derived | 0.38 | 631.16 | Raw ScoresNeuroepithelial_cell:ESC-derived: 0.76, Neurons:ES_cell-derived_neural_precursor: 0.76, iPS_cells:CRL2097_foreskin-derived:d20_hepatic_diff: 0.74, MSC: 0.73, Embryonic_stem_cells: 0.73, Fibroblasts:breast: 0.68, Keratinocytes: 0.68, Keratinocytes:IL26: 0.68, iPS_cells:adipose_stem_cells: 0.68, Keratinocytes:KGF: 0.67 |
X72_GTTCATTAGTATTCCG | Neuroepithelial_cell:ESC-derived | 0.40 | 623.82 | Raw ScoresNeuroepithelial_cell:ESC-derived: 0.54, Neurons:ES_cell-derived_neural_precursor: 0.54, Chondrocytes:MSC-derived: 0.5, iPS_cells:CRL2097_foreskin-derived:d20_hepatic_diff: 0.48, MSC: 0.47, Neurons:adrenal_medulla_cell_line: 0.46, Embryonic_stem_cells: 0.45, iPS_cells:adipose_stem_cells: 0.44, Gametocytes:oocyte: 0.44, Astrocyte:Embryonic_stem_cell-derived: 0.43 |
X71_ACGTAACTCCAATGCA | iPS_cells:adipose_stem_cells | 0.43 | 600.18 | Raw ScoresiPS_cells:adipose_stem_cells: 0.76, Fibroblasts:breast: 0.75, Chondrocytes:MSC-derived: 0.69, Neurons:ES_cell-derived_neural_precursor: 0.64, Tissue_stem_cells:BM_MSC:TGFb3: 0.63, Smooth_muscle_cells:vascular: 0.63, MSC: 0.62, Smooth_muscle_cells:vascular:IL-17: 0.61, Keratinocytes:KGF: 0.58, Neuroepithelial_cell:ESC-derived: 0.58 |
X71_GAGACCCTCCACATAG | Erythroblast | 0.31 | 594.49 | Raw ScoresErythroblast: 0.5, Neuroepithelial_cell:ESC-derived: 0.47, Neurons:ES_cell-derived_neural_precursor: 0.47, Gametocytes:oocyte: 0.47, DC:monocyte-derived:immature: 0.44, Chondrocytes:MSC-derived: 0.44, MSC: 0.42, Keratinocytes:KGF: 0.4, Macrophage:monocyte-derived:IL-4/Dex/cntrl: 0.4, Smooth_muscle_cells:bronchial: 0.4 |
X71_GGTCACGTCCCATAAG | Gametocytes:oocyte | 0.39 | 565.79 | Raw ScoresGametocytes:oocyte: 0.71, Neurons:ES_cell-derived_neural_precursor: 0.66, iPS_cells:CRL2097_foreskin-derived:d20_hepatic_diff: 0.66, Erythroblast: 0.6, Neuroepithelial_cell:ESC-derived: 0.59, MSC: 0.58, Chondrocytes:MSC-derived: 0.55, Embryonic_stem_cells: 0.51, Neurons:adrenal_medulla_cell_line: 0.49, Smooth_muscle_cells:bronchial:vit_D: 0.48 |
X71_GATCAGTTCTAGAACC | Neuroepithelial_cell:ESC-derived | 0.30 | 556.53 | Raw ScoresNeuroepithelial_cell:ESC-derived: 0.67, Neurons:ES_cell-derived_neural_precursor: 0.64, Keratinocytes: 0.62, Keratinocytes:IL26: 0.61, MSC: 0.61, Chondrocytes:MSC-derived: 0.59, Keratinocytes:IL20: 0.59, Keratinocytes:IFNg: 0.59, Keratinocytes:KGF: 0.59, Embryonic_stem_cells: 0.58 |
X72_TGTTCTAGTCGTCGGT | Neuroepithelial_cell:ESC-derived | 0.37 | 552.60 | Raw ScoresNeuroepithelial_cell:ESC-derived: 0.76, Neurons:ES_cell-derived_neural_precursor: 0.76, iPS_cells:CRL2097_foreskin-derived:d20_hepatic_diff: 0.74, MSC: 0.74, Embryonic_stem_cells: 0.72, Keratinocytes: 0.68, Fibroblasts:breast: 0.68, Keratinocytes:IL26: 0.68, iPS_cells:adipose_stem_cells: 0.68, Chondrocytes:MSC-derived: 0.66 |
X72_TACGCTCAGCGTACAG | iPS_cells:CRL2097_foreskin-derived:d20_hepatic_diff | 0.40 | 545.63 | Raw ScoresiPS_cells:CRL2097_foreskin-derived:d20_hepatic_diff: 0.68, Neurons:ES_cell-derived_neural_precursor: 0.68, iPS_cells:adipose_stem_cells: 0.65, Keratinocytes:KGF: 0.65, Neuroepithelial_cell:ESC-derived: 0.65, iPS_cells:fibroblast-derived:Direct_del._reprog: 0.65, Embryonic_stem_cells: 0.64, Fibroblasts:breast: 0.64, Keratinocytes: 0.64, Keratinocytes:IL19: 0.64 |
X72_ATCGCCTTCTTACGTT | Neuroepithelial_cell:ESC-derived | 0.31 | 527.59 | Raw ScoresNeuroepithelial_cell:ESC-derived: 0.71, Neurons:ES_cell-derived_neural_precursor: 0.68, MSC: 0.66, Keratinocytes:IL26: 0.63, Keratinocytes: 0.63, Chondrocytes:MSC-derived: 0.62, iPS_cells:CRL2097_foreskin-derived:d20_hepatic_diff: 0.62, Embryonic_stem_cells: 0.62, Keratinocytes:IL20: 0.6, Keratinocytes:KGF: 0.6 |
X72_ATTTACCCAACTGCCG | iPS_cells:CRL2097_foreskin-derived:d20_hepatic_diff | 0.38 | 520.00 | Raw ScoresiPS_cells:CRL2097_foreskin-derived:d20_hepatic_diff: 0.75, Neuroepithelial_cell:ESC-derived: 0.75, Neurons:ES_cell-derived_neural_precursor: 0.75, Embryonic_stem_cells: 0.74, MSC: 0.72, Keratinocytes: 0.7, Keratinocytes:IL26: 0.7, Fibroblasts:breast: 0.7, iPS_cells:adipose_stem_cells: 0.7, Astrocyte:Embryonic_stem_cell-derived: 0.68 |
X71_CATCCGTGTCAGTTTG | Keratinocytes:KGF | 0.48 | 516.72 | Raw ScoresNeuroepithelial_cell:ESC-derived: 0.42, Keratinocytes:KGF: 0.42, Neurons:ES_cell-derived_neural_precursor: 0.42, Neurons:adrenal_medulla_cell_line: 0.42, iPS_cells:CRL2097_foreskin-derived:d20_hepatic_diff: 0.42, iPS_cells:adipose_stem_cells: 0.42, Chondrocytes:MSC-derived: 0.42, iPS_cells:fibroblast-derived:Direct_del._reprog: 0.41, Erythroblast: 0.4, Gametocytes:oocyte: 0.4 |
X72_GATGGAGTCTGCGGAC | Neuroepithelial_cell:ESC-derived | 0.38 | 515.98 | Raw ScoresNeuroepithelial_cell:ESC-derived: 0.76, Neurons:ES_cell-derived_neural_precursor: 0.76, iPS_cells:CRL2097_foreskin-derived:d20_hepatic_diff: 0.74, MSC: 0.73, Embryonic_stem_cells: 0.73, Fibroblasts:breast: 0.68, Keratinocytes: 0.68, Keratinocytes:IL26: 0.68, iPS_cells:adipose_stem_cells: 0.68, Keratinocytes:KGF: 0.67 |
X72_TGCACGGCACGGATCC | Neuroepithelial_cell:ESC-derived | 0.33 | 514.30 | Raw ScoresNeuroepithelial_cell:ESC-derived: 0.68, Neurons:ES_cell-derived_neural_precursor: 0.68, MSC: 0.65, Chondrocytes:MSC-derived: 0.64, Gametocytes:oocyte: 0.63, iPS_cells:CRL2097_foreskin-derived:d20_hepatic_diff: 0.6, iPS_cells:PDB_2lox-17: 0.59, Erythroblast: 0.59, Embryonic_stem_cells: 0.58, Neurons:adrenal_medulla_cell_line: 0.55 |
X72_ATTTCTGCATTCCTCG | Neuroepithelial_cell:ESC-derived | 0.35 | 508.84 | Raw ScoresNeuroepithelial_cell:ESC-derived: 0.58, Neurons:ES_cell-derived_neural_precursor: 0.58, Erythroblast: 0.57, Gametocytes:oocyte: 0.57, MSC: 0.57, Chondrocytes:MSC-derived: 0.54, iPS_cells:CRL2097_foreskin-derived:d20_hepatic_diff: 0.54, Keratinocytes:KGF: 0.5, Neurons:adrenal_medulla_cell_line: 0.5, iPS_cells:adipose_stem_cells: 0.5 |
X71_GATTTCTAGCAGGCTA | Neuroepithelial_cell:ESC-derived | 0.35 | 505.16 | Raw ScoresNeuroepithelial_cell:ESC-derived: 0.58, Neurons:ES_cell-derived_neural_precursor: 0.58, Erythroblast: 0.57, Gametocytes:oocyte: 0.57, MSC: 0.57, Chondrocytes:MSC-derived: 0.54, iPS_cells:CRL2097_foreskin-derived:d20_hepatic_diff: 0.54, Keratinocytes:KGF: 0.5, Neurons:adrenal_medulla_cell_line: 0.5, iPS_cells:adipose_stem_cells: 0.5 |
X72_TAGGTTGTCCTCAGGG | iPS_cells:CRL2097_foreskin-derived:d20_hepatic_diff | 0.38 | 504.31 | Raw ScoresiPS_cells:CRL2097_foreskin-derived:d20_hepatic_diff: 0.75, Neuroepithelial_cell:ESC-derived: 0.75, Neurons:ES_cell-derived_neural_precursor: 0.75, Embryonic_stem_cells: 0.73, MSC: 0.72, Fibroblasts:breast: 0.7, Keratinocytes: 0.7, Keratinocytes:IL26: 0.7, iPS_cells:adipose_stem_cells: 0.7, Astrocyte:Embryonic_stem_cell-derived: 0.68 |
X72_TCAAGTGAGATGCGAC | Neuroepithelial_cell:ESC-derived | 0.35 | 503.48 | Raw ScoresNeuroepithelial_cell:ESC-derived: 0.58, Neurons:ES_cell-derived_neural_precursor: 0.58, Erythroblast: 0.57, Gametocytes:oocyte: 0.57, MSC: 0.57, Chondrocytes:MSC-derived: 0.54, iPS_cells:CRL2097_foreskin-derived:d20_hepatic_diff: 0.54, Keratinocytes:KGF: 0.5, Neurons:adrenal_medulla_cell_line: 0.5, iPS_cells:adipose_stem_cells: 0.5 |
X71_TTTGACTCAACCGTGC | Neuroepithelial_cell:ESC-derived | 0.38 | 502.35 | Raw ScoresNeuroepithelial_cell:ESC-derived: 0.76, Neurons:ES_cell-derived_neural_precursor: 0.76, iPS_cells:CRL2097_foreskin-derived:d20_hepatic_diff: 0.74, MSC: 0.73, Embryonic_stem_cells: 0.73, Fibroblasts:breast: 0.68, Keratinocytes: 0.68, Keratinocytes:IL26: 0.68, iPS_cells:adipose_stem_cells: 0.68, Keratinocytes:KGF: 0.67 |
X72_GAACGTTAGTAGACAT | Neuroepithelial_cell:ESC-derived | 0.37 | 495.08 | Raw ScoresNeuroepithelial_cell:ESC-derived: 0.76, Neurons:ES_cell-derived_neural_precursor: 0.76, iPS_cells:CRL2097_foreskin-derived:d20_hepatic_diff: 0.74, MSC: 0.74, Embryonic_stem_cells: 0.72, Keratinocytes: 0.68, Fibroblasts:breast: 0.68, Keratinocytes:IL26: 0.68, iPS_cells:adipose_stem_cells: 0.68, Chondrocytes:MSC-derived: 0.66 |
X71_CCACTTGTCGTGGAAG | Neuroepithelial_cell:ESC-derived | 0.37 | 484.14 | Raw ScoresNeuroepithelial_cell:ESC-derived: 0.76, Neurons:ES_cell-derived_neural_precursor: 0.76, iPS_cells:CRL2097_foreskin-derived:d20_hepatic_diff: 0.75, Embryonic_stem_cells: 0.73, MSC: 0.73, Keratinocytes: 0.69, Keratinocytes:IL26: 0.69, Fibroblasts:breast: 0.69, iPS_cells:adipose_stem_cells: 0.69, Keratinocytes:KGF: 0.67 |
X72_CATGGTATCAACTGGT | Neuroepithelial_cell:ESC-derived | 0.35 | 483.07 | Raw ScoresNeuroepithelial_cell:ESC-derived: 0.58, Neurons:ES_cell-derived_neural_precursor: 0.58, Erythroblast: 0.57, Gametocytes:oocyte: 0.57, MSC: 0.57, Chondrocytes:MSC-derived: 0.54, iPS_cells:CRL2097_foreskin-derived:d20_hepatic_diff: 0.54, Keratinocytes:KGF: 0.5, Neurons:adrenal_medulla_cell_line: 0.5, iPS_cells:adipose_stem_cells: 0.5 |
X71_TCTTAGTGTTGGATCT | Smooth_muscle_cells:bronchial | 0.31 | 470.16 | Raw ScoresSmooth_muscle_cells:bronchial: 0.67, Smooth_muscle_cells:bronchial:vit_D: 0.67, Erythroblast: 0.66, Chondrocytes:MSC-derived: 0.62, Gametocytes:oocyte: 0.61, Neuroepithelial_cell:ESC-derived: 0.58, Neurons:ES_cell-derived_neural_precursor: 0.58, Neutrophil:LPS: 0.58, MSC: 0.58, Epithelial_cells:bronchial: 0.58 |
X72_AGACTCAGTTCAAGTC | iPS_cells:adipose_stem_cells | 0.33 | 469.31 | Raw ScoresiPS_cells:adipose_stem_cells: 0.65, Fibroblasts:breast: 0.64, Chondrocytes:MSC-derived: 0.61, DC:monocyte-derived:anti-DC-SIGN_2h: 0.58, Tissue_stem_cells:BM_MSC:TGFb3: 0.58, MSC: 0.56, Neuroepithelial_cell:ESC-derived: 0.54, Neurons:ES_cell-derived_neural_precursor: 0.54, iPS_cells:fibroblast-derived:Direct_del._reprog: 0.53, Keratinocytes:KGF: 0.52 |
X71_CAGAGCCTCATTCCTA | iPS_cells:CRL2097_foreskin-derived:d20_hepatic_diff | 0.41 | 460.03 | Raw ScoresiPS_cells:CRL2097_foreskin-derived:d20_hepatic_diff: 0.64, Neuroepithelial_cell:ESC-derived: 0.62, Neurons:ES_cell-derived_neural_precursor: 0.62, Astrocyte:Embryonic_stem_cell-derived: 0.61, Embryonic_stem_cells: 0.61, Fibroblasts:breast: 0.61, Keratinocytes: 0.61, Keratinocytes:IL26: 0.61, iPS_cells:adipose_stem_cells: 0.6, Keratinocytes:KGF: 0.58 |
X72_CTCAACCGTGAGTCAG | Neuroepithelial_cell:ESC-derived | 0.33 | 454.22 | Raw ScoresNeuroepithelial_cell:ESC-derived: 0.68, Neurons:ES_cell-derived_neural_precursor: 0.68, MSC: 0.65, Chondrocytes:MSC-derived: 0.64, Gametocytes:oocyte: 0.62, iPS_cells:CRL2097_foreskin-derived:d20_hepatic_diff: 0.6, iPS_cells:PDB_2lox-17: 0.59, Erythroblast: 0.58, Embryonic_stem_cells: 0.57, Neurons:adrenal_medulla_cell_line: 0.55 |
X71_AGGTTACTCGGAAGGT | Neuroepithelial_cell:ESC-derived | 0.35 | 445.43 | Raw ScoresNeuroepithelial_cell:ESC-derived: 0.58, Neurons:ES_cell-derived_neural_precursor: 0.58, Erythroblast: 0.57, Gametocytes:oocyte: 0.57, MSC: 0.57, Chondrocytes:MSC-derived: 0.54, iPS_cells:CRL2097_foreskin-derived:d20_hepatic_diff: 0.54, Keratinocytes:KGF: 0.5, Neurons:adrenal_medulla_cell_line: 0.5, iPS_cells:adipose_stem_cells: 0.5 |
X72_TTCCGTGTCAACTCTT | Neuroepithelial_cell:ESC-derived | 0.37 | 439.47 | Raw ScoresNeuroepithelial_cell:ESC-derived: 0.76, Neurons:ES_cell-derived_neural_precursor: 0.76, iPS_cells:CRL2097_foreskin-derived:d20_hepatic_diff: 0.74, MSC: 0.74, Embryonic_stem_cells: 0.72, Keratinocytes: 0.68, Fibroblasts:breast: 0.68, Keratinocytes:IL26: 0.68, iPS_cells:adipose_stem_cells: 0.68, Chondrocytes:MSC-derived: 0.66 |
X72_AAGTACCAGCGATGGT | Neuroepithelial_cell:ESC-derived | 0.28 | 431.68 | Raw ScoresNeuroepithelial_cell:ESC-derived: 0.79, iPS_cells:CRL2097_foreskin-derived:d20_hepatic_diff: 0.78, Neurons:ES_cell-derived_neural_precursor: 0.78, MSC: 0.77, Embryonic_stem_cells: 0.77, Smooth_muscle_cells:vascular: 0.76, Fibroblasts:breast: 0.75, Smooth_muscle_cells:vascular:IL-17: 0.75, Tissue_stem_cells:BM_MSC:TGFb3: 0.75, iPS_cells:adipose_stem_cells: 0.75 |
X72_TGAGCGCGTGACTAAA | Neuroepithelial_cell:ESC-derived | 0.38 | 418.58 | Raw ScoresNeuroepithelial_cell:ESC-derived: 0.76, Neurons:ES_cell-derived_neural_precursor: 0.76, iPS_cells:CRL2097_foreskin-derived:d20_hepatic_diff: 0.74, MSC: 0.73, Embryonic_stem_cells: 0.73, Fibroblasts:breast: 0.68, Keratinocytes: 0.68, Keratinocytes:IL26: 0.68, iPS_cells:adipose_stem_cells: 0.68, Keratinocytes:KGF: 0.67 |
X72_ATGGAGGTCTTCGACC | Neuroepithelial_cell:ESC-derived | 0.33 | 416.03 | Raw ScoresNeuroepithelial_cell:ESC-derived: 0.68, Neurons:ES_cell-derived_neural_precursor: 0.68, MSC: 0.65, Chondrocytes:MSC-derived: 0.64, Gametocytes:oocyte: 0.63, iPS_cells:CRL2097_foreskin-derived:d20_hepatic_diff: 0.6, iPS_cells:PDB_2lox-17: 0.59, Erythroblast: 0.59, Embryonic_stem_cells: 0.58, Neurons:adrenal_medulla_cell_line: 0.55 |
X72_CACATGAAGAATCGTA | Keratinocytes:KGF | 0.46 | 409.03 | Raw ScoresKeratinocytes:KGF: 0.58, iPS_cells:CRL2097_foreskin-derived:d20_hepatic_diff: 0.58, iPS_cells:adipose_stem_cells: 0.58, iPS_cells:fibroblast-derived:Direct_del._reprog: 0.57, Keratinocytes: 0.57, Keratinocytes:IFNg: 0.57, Keratinocytes:IL19: 0.57, Keratinocytes:IL1b: 0.57, Keratinocytes:IL20: 0.57, Keratinocytes:IL22: 0.57 |
X72_AAAGGGCAGAAGCCAC | Neuroepithelial_cell:ESC-derived | 0.38 | 407.91 | Raw ScoresNeuroepithelial_cell:ESC-derived: 0.76, Neurons:ES_cell-derived_neural_precursor: 0.76, iPS_cells:CRL2097_foreskin-derived:d20_hepatic_diff: 0.75, MSC: 0.73, Embryonic_stem_cells: 0.73, Fibroblasts:breast: 0.69, Keratinocytes: 0.69, Keratinocytes:IL26: 0.69, iPS_cells:adipose_stem_cells: 0.69, Astrocyte:Embryonic_stem_cell-derived: 0.67 |
X71_TAAGCCATCGACGCTG | Neuroepithelial_cell:ESC-derived | 0.33 | 406.32 | Raw ScoresNeuroepithelial_cell:ESC-derived: 0.68, Neurons:ES_cell-derived_neural_precursor: 0.68, MSC: 0.65, Chondrocytes:MSC-derived: 0.64, Gametocytes:oocyte: 0.63, iPS_cells:CRL2097_foreskin-derived:d20_hepatic_diff: 0.6, iPS_cells:PDB_2lox-17: 0.59, Erythroblast: 0.59, Embryonic_stem_cells: 0.58, Neurons:adrenal_medulla_cell_line: 0.55 |
X71_AACCACAAGTCGGCCT | iPS_cells:CRL2097_foreskin-derived:d20_hepatic_diff | 0.40 | 404.24 | Raw ScoresiPS_cells:CRL2097_foreskin-derived:d20_hepatic_diff: 0.68, Neurons:ES_cell-derived_neural_precursor: 0.68, iPS_cells:adipose_stem_cells: 0.65, Keratinocytes:KGF: 0.65, Neuroepithelial_cell:ESC-derived: 0.65, iPS_cells:fibroblast-derived:Direct_del._reprog: 0.65, Embryonic_stem_cells: 0.64, Fibroblasts:breast: 0.64, Keratinocytes: 0.64, Keratinocytes:IL19: 0.64 |
X72_ACCATTTCATTAAAGG | iPS_cells:CRL2097_foreskin-derived:d20_hepatic_diff | 0.40 | 400.56 | Raw ScoresiPS_cells:CRL2097_foreskin-derived:d20_hepatic_diff: 0.68, Neurons:ES_cell-derived_neural_precursor: 0.68, Keratinocytes:KGF: 0.65, iPS_cells:adipose_stem_cells: 0.65, iPS_cells:fibroblast-derived:Direct_del._reprog: 0.65, Fibroblasts:breast: 0.65, Keratinocytes: 0.65, Keratinocytes:IL19: 0.65, Keratinocytes:IL20: 0.65, Keratinocytes:IL22: 0.65 |
X71_GGAACCCTCCTGGCTT | Neuroepithelial_cell:ESC-derived | 0.38 | 393.74 | Raw ScoresNeuroepithelial_cell:ESC-derived: 0.76, Neurons:ES_cell-derived_neural_precursor: 0.76, iPS_cells:CRL2097_foreskin-derived:d20_hepatic_diff: 0.74, MSC: 0.73, Embryonic_stem_cells: 0.73, Fibroblasts:breast: 0.68, Keratinocytes: 0.68, Keratinocytes:IL26: 0.68, iPS_cells:adipose_stem_cells: 0.68, Keratinocytes:KGF: 0.67 |
X72_CATTCCGTCACCCTTG | Neuroepithelial_cell:ESC-derived | 0.35 | 388.81 | Raw ScoresNeuroepithelial_cell:ESC-derived: 0.58, Neurons:ES_cell-derived_neural_precursor: 0.58, Erythroblast: 0.57, Gametocytes:oocyte: 0.57, MSC: 0.57, Chondrocytes:MSC-derived: 0.54, iPS_cells:CRL2097_foreskin-derived:d20_hepatic_diff: 0.54, Keratinocytes:KGF: 0.5, Neurons:adrenal_medulla_cell_line: 0.5, iPS_cells:adipose_stem_cells: 0.5 |
X72_TTTGACTGTTGCATGT | iPS_cells:CRL2097_foreskin-derived:d20_hepatic_diff | 0.41 | 387.55 | Raw ScoresiPS_cells:CRL2097_foreskin-derived:d20_hepatic_diff: 0.64, Neuroepithelial_cell:ESC-derived: 0.62, Neurons:ES_cell-derived_neural_precursor: 0.62, Astrocyte:Embryonic_stem_cell-derived: 0.61, Embryonic_stem_cells: 0.61, Fibroblasts:breast: 0.61, Keratinocytes: 0.61, Keratinocytes:IL26: 0.61, iPS_cells:adipose_stem_cells: 0.6, Keratinocytes:KGF: 0.58 |
X72_TCAGGTATCTACACAG | Neuroepithelial_cell:ESC-derived | 0.40 | 386.03 | Raw ScoresNeuroepithelial_cell:ESC-derived: 0.54, Neurons:ES_cell-derived_neural_precursor: 0.54, Chondrocytes:MSC-derived: 0.5, iPS_cells:CRL2097_foreskin-derived:d20_hepatic_diff: 0.48, MSC: 0.47, Neurons:adrenal_medulla_cell_line: 0.46, Embryonic_stem_cells: 0.45, iPS_cells:adipose_stem_cells: 0.44, Gametocytes:oocyte: 0.44, Astrocyte:Embryonic_stem_cell-derived: 0.43 |
X72_GACGTTAGTCCCGTGA | Smooth_muscle_cells:vascular | 0.32 | 377.91 | Raw ScoresSmooth_muscle_cells:vascular: 0.74, Fibroblasts:breast: 0.72, Epithelial_cells:bronchial: 0.72, Keratinocytes:KGF: 0.71, iPS_cells:adipose_stem_cells: 0.71, Smooth_muscle_cells:vascular:IL-17: 0.71, Chondrocytes:MSC-derived: 0.7, Keratinocytes:IL19: 0.7, Keratinocytes:IL20: 0.7, Keratinocytes:IL22: 0.7 |
X71_TCACGGGGTCAGACTT | iPS_cells:CRL2097_foreskin-derived:d20_hepatic_diff | 0.41 | 368.56 | Raw ScoresiPS_cells:CRL2097_foreskin-derived:d20_hepatic_diff: 0.64, Astrocyte:Embryonic_stem_cell-derived: 0.62, Fibroblasts:breast: 0.62, Keratinocytes: 0.62, Keratinocytes:IL26: 0.62, Neuroepithelial_cell:ESC-derived: 0.61, Neurons:ES_cell-derived_neural_precursor: 0.61, Embryonic_stem_cells: 0.61, iPS_cells:adipose_stem_cells: 0.61, Keratinocytes:KGF: 0.59 |
X71_GCACTAAAGGCACAAC | Neuroepithelial_cell:ESC-derived | 0.33 | 364.93 | Raw ScoresNeuroepithelial_cell:ESC-derived: 0.68, Neurons:ES_cell-derived_neural_precursor: 0.68, MSC: 0.65, Chondrocytes:MSC-derived: 0.64, Gametocytes:oocyte: 0.63, iPS_cells:CRL2097_foreskin-derived:d20_hepatic_diff: 0.6, iPS_cells:PDB_2lox-17: 0.59, Erythroblast: 0.59, Embryonic_stem_cells: 0.58, Neurons:adrenal_medulla_cell_line: 0.55 |
Below shows the significant enrichments of this GEP for literature curated gene lists
This data was procured from existing single cell RNA-seq maps of neuroblastoma or related relevant data.
High ranks indicate this gene is a driver of this GEP.
These curated gene list are ranked by the P-value (on this GEP) of their constituent genes.
The Mean Count column shows the mean read count in cells scoring highly (H > 50) on this gene expression program.
Genes | Weight | Rank | GTEx | DepMap | Decartes | Mean.Counts | Mean.TPM |
---|---|---|---|---|---|---|---|
RPS2 | 0.0018420 | 247 | GTEx | DepMap | Descartes | 146.76 | 3557.38 |
TK1 | 0.0014758 | 331 | GTEx | DepMap | Descartes | 4.44 | 42.87 |
NPM1 | 0.0006645 | 826 | GTEx | DepMap | Descartes | 94.98 | 836.94 |
TPI1 | 0.0002870 | 1883 | GTEx | DepMap | Descartes | 19.33 | 539.96 |
MIF | 0.0001643 | 2885 | GTEx | DepMap | Descartes | 38.46 | 4295.65 |
EpiSen (Kinker)
These marker genes were obtained in a pan cancer cell lines NMF analysis of scRNA-eq data in Kinker et al (PMID 33128048) - 10 metaprograms were recovered that manifest across cancers, an epithelial senescence associated program.:
Wilcoxon ranksum test P-value for gene set overrepresentation: 2.42e-03
Mean rank of genes in gene set: 2636.2
Rank on gene expression program of genes in gene set:
Genes | Weight | Rank | GTEx | DepMap | Decartes | Mean.Counts | Mean.TPM |
---|---|---|---|---|---|---|---|
AQP3 | 0.0087533 | 6 | GTEx | DepMap | Descartes | 2.57 | 60.15 |
SPRR1B | 0.0056647 | 33 | GTEx | DepMap | Descartes | 0.09 | 5.08 |
S100A9 | 0.0054456 | 37 | GTEx | DepMap | Descartes | 0.20 | 9.58 |
CLDN4 | 0.0020422 | 208 | GTEx | DepMap | Descartes | 4.29 | 283.84 |
SLPI | -0.0000983 | 12897 | GTEx | DepMap | Descartes | 0.00 | 0.00 |
IFN Response (Kinker)
These marker genes were obtained in a pan cancer cell lines NMF analysis of scRNA-eq data in Kinker et al (PMID 33128048) - 10 metaprograms were recovered that manifest across cancers, this program contained interferon response genes.:
Wilcoxon ranksum test P-value for gene set overrepresentation: 7.78e-03
Mean rank of genes in gene set: 3629
Rank on gene expression program of genes in gene set:
Genes | Weight | Rank | GTEx | DepMap | Decartes | Mean.Counts | Mean.TPM |
---|---|---|---|---|---|---|---|
IFIT1 | 0.0027473 | 130 | GTEx | DepMap | Descartes | 0.20 | 2.50 |
ISG15 | 0.0004280 | 1281 | GTEx | DepMap | Descartes | 0.07 | 6.76 |
IFIT2 | 0.0001881 | 2617 | GTEx | DepMap | Descartes | 0.21 | 0.84 |
ISG20 | 0.0000990 | 3790 | GTEx | DepMap | Descartes | 0.02 | 0.37 |
IFIT3 | -0.0000529 | 10327 | GTEx | DepMap | Descartes | 0.00 | 0.06 |
Below shows ranks on this GEP for literature curated gene lists for large gene sets
These include those reported as mesenchymal/adrenergic by Van Groningen et al.
High ranks indicate this gene is a driver of this GEP (note these results are not ordered).
The Mean Count column shows the mean read count in cells scoring highly (H > 50) on this gene expression program.
VanGroningen Adrenergic Genes
Adrenergic marker genes from Supplementary Table 2 of Van Groningen et al. Nature Genetics 2017. These genes were identified by differential expression analysis of mesenchymal-like and adrenergic-like neuroblastoma cell lines.
Wilcoxon ranksum test P-value for gene set overrepresentation: 1.00e+00
Mean rank of genes in gene set: 13914.53
Median rank of genes in gene set: 16316.5
Rank on gene expression program of top 30 genes in gene set:
Genes | Weight | Rank | GTEx | DepMap | Descartes | Mean.Counts | Mean.TPM |
---|---|---|---|---|---|---|---|
ABLIM1 | 0.0050352 | 55 | GTEx | DepMap | Descartes | 9.11 | 3.93 |
TIAM1 | 0.0025550 | 149 | GTEx | DepMap | Descartes | 3.54 | 1.02 |
GLDC | 0.0022697 | 181 | GTEx | DepMap | Descartes | 1.13 | 1.83 |
GATA3 | 0.0019322 | 225 | GTEx | DepMap | Descartes | 4.53 | 15.42 |
ACVR1B | 0.0008147 | 663 | GTEx | DepMap | Descartes | 1.05 | 2.73 |
PDK1 | 0.0007097 | 771 | GTEx | DepMap | Descartes | 2.07 | 6.60 |
PRIM1 | 0.0006844 | 800 | GTEx | DepMap | Descartes | 2.40 | 16.85 |
NET1 | 0.0005869 | 938 | GTEx | DepMap | Descartes | 3.91 | 10.09 |
GLRX | 0.0005663 | 984 | GTEx | DepMap | Descartes | 1.87 | 19.75 |
DAPK1 | 0.0005342 | 1045 | GTEx | DepMap | Descartes | 1.58 | 0.95 |
CACNA1B | 0.0004871 | 1128 | GTEx | DepMap | Descartes | 0.89 | 0.60 |
HMGA1 | 0.0004813 | 1141 | GTEx | DepMap | Descartes | 2.24 | 28.62 |
ANP32A | 0.0004177 | 1328 | GTEx | DepMap | Descartes | 13.65 | 35.02 |
RANBP1 | 0.0003863 | 1439 | GTEx | DepMap | Descartes | 22.23 | 228.11 |
FAM60A | 0.0003717 | 1488 | GTEx | DepMap | Descartes | 4.85 | NA |
MCM6 | 0.0003504 | 1572 | GTEx | DepMap | Descartes | 4.14 | 14.48 |
PBK | 0.0003502 | 1574 | GTEx | DepMap | Descartes | 2.32 | 19.05 |
POLB | 0.0003450 | 1595 | GTEx | DepMap | Descartes | 2.21 | 9.52 |
TRAP1 | 0.0003351 | 1646 | GTEx | DepMap | Descartes | 2.24 | 5.35 |
MCM2 | 0.0003348 | 1650 | GTEx | DepMap | Descartes | 2.73 | 16.18 |
MAGI3 | 0.0003325 | 1663 | GTEx | DepMap | Descartes | 0.78 | 0.41 |
MSH6 | 0.0003202 | 1711 | GTEx | DepMap | Descartes | 1.70 | 10.16 |
HK2 | 0.0003161 | 1729 | GTEx | DepMap | Descartes | 1.05 | 1.93 |
CENPU | 0.0003158 | 1731 | GTEx | DepMap | Descartes | 0.69 | 2.23 |
PTS | 0.0002867 | 1884 | GTEx | DepMap | Descartes | 2.56 | 31.18 |
BEX1 | 0.0002557 | 2076 | GTEx | DepMap | Descartes | 6.59 | 391.18 |
NFIL3 | 0.0002413 | 2162 | GTEx | DepMap | Descartes | 0.96 | 7.40 |
SATB1 | 0.0002249 | 2283 | GTEx | DepMap | Descartes | 4.67 | 4.29 |
GMNN | 0.0002221 | 2308 | GTEx | DepMap | Descartes | 4.26 | 39.95 |
DNAJB1 | 0.0002077 | 2441 | GTEx | DepMap | Descartes | 2.85 | 67.49 |
VanGroningen Mesenchymal Genes
Mesenchymal marker genes from Supplementary Table 2 of Van Groningen et al. Nature Genetics 2017. These genes were identified by differential expression analysis of mesenchymal-like and adrenergic-like neuroblastoma cell lines.
Wilcoxon ranksum test P-value for gene set overrepresentation: 1.00e+00
Mean rank of genes in gene set: 12410.58
Median rank of genes in gene set: 15609
Rank on gene expression program of top 30 genes in gene set:
Genes | Weight | Rank | GTEx | DepMap | Descartes | Mean.Counts | Mean.TPM |
---|---|---|---|---|---|---|---|
MGST1 | 0.0082835 | 9 | GTEx | DepMap | Descartes | 13.70 | 124.24 |
HSPB1 | 0.0074728 | 15 | GTEx | DepMap | Descartes | 28.85 | 2401.04 |
ANXA1 | 0.0046376 | 62 | GTEx | DepMap | Descartes | 10.28 | 62.18 |
GJA1 | 0.0034841 | 98 | GTEx | DepMap | Descartes | 15.00 | 67.20 |
CTSC | 0.0034748 | 100 | GTEx | DepMap | Descartes | 2.43 | 10.71 |
CD44 | 0.0030539 | 113 | GTEx | DepMap | Descartes | 0.88 | 1.31 |
ELF1 | 0.0027090 | 136 | GTEx | DepMap | Descartes | 4.80 | 5.45 |
ITM2B | 0.0024694 | 159 | GTEx | DepMap | Descartes | 29.40 | 142.25 |
RNH1 | 0.0022472 | 184 | GTEx | DepMap | Descartes | 8.20 | 76.24 |
ANXA2 | 0.0020698 | 204 | GTEx | DepMap | Descartes | 32.37 | 82.94 |
HEXB | 0.0020124 | 214 | GTEx | DepMap | Descartes | 2.49 | 14.06 |
HES1 | 0.0019930 | 216 | GTEx | DepMap | Descartes | 6.20 | 196.19 |
EMP1 | 0.0019342 | 224 | GTEx | DepMap | Descartes | 8.90 | 44.73 |
ABRACL | 0.0018334 | 248 | GTEx | DepMap | Descartes | 11.79 | 95.79 |
PON2 | 0.0015906 | 306 | GTEx | DepMap | Descartes | 2.59 | 9.28 |
IFITM3 | 0.0013146 | 385 | GTEx | DepMap | Descartes | 13.11 | 1264.68 |
PLAGL1 | 0.0012363 | 412 | GTEx | DepMap | Descartes | 6.03 | 10.14 |
LMNA | 0.0010908 | 492 | GTEx | DepMap | Descartes | 4.56 | 16.45 |
MBD2 | 0.0010612 | 507 | GTEx | DepMap | Descartes | 4.43 | 7.34 |
ERLIN1 | 0.0010454 | 514 | GTEx | DepMap | Descartes | 1.15 | 3.40 |
PLK2 | 0.0010152 | 528 | GTEx | DepMap | Descartes | 3.15 | 58.88 |
SDC4 | 0.0010126 | 531 | GTEx | DepMap | Descartes | 4.54 | 23.57 |
JAK1 | 0.0009965 | 538 | GTEx | DepMap | Descartes | 4.86 | 4.64 |
NR3C1 | 0.0009708 | 552 | GTEx | DepMap | Descartes | 3.05 | 3.03 |
GNG12 | 0.0009627 | 560 | GTEx | DepMap | Descartes | 2.26 | 1.86 |
CREG1 | 0.0009023 | 586 | GTEx | DepMap | Descartes | 1.55 | 15.89 |
TNFRSF1A | 0.0008803 | 605 | GTEx | DepMap | Descartes | 2.91 | 25.57 |
KDM5B | 0.0008289 | 647 | GTEx | DepMap | Descartes | 9.47 | 13.82 |
PLXDC2 | 0.0008251 | 650 | GTEx | DepMap | Descartes | 2.28 | 0.66 |
SFT2D2 | 0.0007088 | 773 | GTEx | DepMap | Descartes | 1.08 | 5.54 |
Descartes adrenocortical markers
Top 50 marker genes of adrenocortical cells in the Decartes fetal adrenal single cell map (https://atlas.brotmanbaty.org/bbi/human-gene-expression-during-development/cell/adrenocortical/in/adrenal)
Wilcoxon ranksum test P-value for gene set overrepresentation: 1.30e-01
Mean rank of genes in gene set: 8694.36
Median rank of genes in gene set: 8582
Rank on gene expression program of top 30 genes in gene set:
Genes | Weight | Rank | GTEx | DepMap | Descartes | Mean.Counts | Mean.TPM |
---|---|---|---|---|---|---|---|
FDPS | 0.0012220 | 419 | GTEx | DepMap | Descartes | 6.26 | 73.58 |
APOC1 | 0.0011936 | 433 | GTEx | DepMap | Descartes | 2.09 | 72.05 |
HSPD1 | 0.0009464 | 568 | GTEx | DepMap | Descartes | 24.35 | 236.08 |
CYB5B | 0.0007152 | 764 | GTEx | DepMap | Descartes | 2.37 | 6.39 |
HSPE1 | 0.0006713 | 820 | GTEx | DepMap | Descartes | 37.80 | 1082.32 |
DHCR24 | 0.0005783 | 952 | GTEx | DepMap | Descartes | 2.38 | 8.62 |
GSTA4 | 0.0005684 | 980 | GTEx | DepMap | Descartes | 6.22 | 23.27 |
MSMO1 | 0.0004198 | 1320 | GTEx | DepMap | Descartes | 2.54 | 18.51 |
HMGCS1 | 0.0004097 | 1355 | GTEx | DepMap | Descartes | 6.50 | 36.69 |
LDLR | 0.0003501 | 1576 | GTEx | DepMap | Descartes | 0.83 | 3.01 |
ERN1 | 0.0003034 | 1792 | GTEx | DepMap | Descartes | 0.28 | 0.33 |
DHCR7 | 0.0002249 | 2286 | GTEx | DepMap | Descartes | 1.13 | 4.92 |
BAIAP2L1 | 0.0002221 | 2309 | GTEx | DepMap | Descartes | 0.36 | 0.33 |
SCAP | 0.0001648 | 2877 | GTEx | DepMap | Descartes | 1.10 | 2.11 |
CYP17A1 | 0.0001463 | 3133 | GTEx | DepMap | Descartes | 0.01 | 0.15 |
NPC1 | 0.0001074 | 3669 | GTEx | DepMap | Descartes | 0.87 | 2.01 |
SCARB1 | 0.0000792 | 4191 | GTEx | DepMap | Descartes | 0.56 | 0.89 |
TM7SF2 | 0.0000675 | 4430 | GTEx | DepMap | Descartes | 0.34 | 6.13 |
HMGCR | 0.0000569 | 4683 | GTEx | DepMap | Descartes | 2.48 | 12.86 |
FDX1 | 0.0000431 | 4987 | GTEx | DepMap | Descartes | 1.90 | 8.52 |
INHA | 0.0000136 | 5899 | GTEx | DepMap | Descartes | 0.41 | 10.81 |
GRAMD1B | -0.0000672 | 11265 | GTEx | DepMap | Descartes | 0.11 | 0.03 |
SLC16A9 | -0.0000713 | 11543 | GTEx | DepMap | Descartes | 0.01 | 0.03 |
CYP11A1 | -0.0000761 | 11816 | GTEx | DepMap | Descartes | 0.00 | 0.01 |
CLU | -0.0000883 | 12450 | GTEx | DepMap | Descartes | 0.53 | 2.88 |
SH3PXD2B | -0.0000971 | 12846 | GTEx | DepMap | Descartes | 0.90 | 0.93 |
CYP11B1 | -0.0001010 | 13004 | GTEx | DepMap | Descartes | 0.00 | 0.00 |
STAR | -0.0001029 | 13093 | GTEx | DepMap | Descartes | 0.01 | 0.06 |
SGCZ | -0.0001036 | 13130 | GTEx | DepMap | Descartes | 0.00 | 0.00 |
MC2R | -0.0001057 | 13210 | GTEx | DepMap | Descartes | 0.00 | 0.00 |
Descartes chromaffin markers
Top 50 marker genes of chromaffin cells in the Decartes fetal adrenal single cell map (https://atlas.brotmanbaty.org/bbi/human-gene-expression-during-development/cell/chromaffin/in/adrenal)
Wilcoxon ranksum test P-value for gene set overrepresentation: 1.00e+00
Mean rank of genes in gene set: 15633.91
Median rank of genes in gene set: 17296.5
Rank on gene expression program of top 30 genes in gene set:
Genes | Weight | Rank | GTEx | DepMap | Descartes | Mean.Counts | Mean.TPM |
---|---|---|---|---|---|---|---|
ALK | 0.0001248 | 3425 | GTEx | DepMap | Descartes | 0.00 | 0.00 |
ANKFN1 | -0.0000197 | 7784 | GTEx | DepMap | Descartes | 0.00 | 0.00 |
IL7 | -0.0000283 | 8465 | GTEx | DepMap | Descartes | 0.00 | 0.00 |
EPHA6 | -0.0000348 | 8985 | GTEx | DepMap | Descartes | 0.01 | 0.00 |
SLC44A5 | -0.0000450 | 9785 | GTEx | DepMap | Descartes | 0.01 | 0.00 |
SLC6A2 | -0.0000566 | 10591 | GTEx | DepMap | Descartes | 0.03 | 0.08 |
PTCHD1 | -0.0000766 | 11841 | GTEx | DepMap | Descartes | 0.00 | 0.00 |
HMX1 | -0.0000793 | 11963 | GTEx | DepMap | Descartes | 0.11 | 0.50 |
RPH3A | -0.0001112 | 13444 | GTEx | DepMap | Descartes | 0.01 | 0.01 |
PRPH | -0.0001240 | 13943 | GTEx | DepMap | Descartes | 1.43 | 23.00 |
HS3ST5 | -0.0001282 | 14093 | GTEx | DepMap | Descartes | 0.08 | 0.02 |
GAL | -0.0001397 | 14479 | GTEx | DepMap | Descartes | 0.20 | 7.17 |
CNKSR2 | -0.0001509 | 14817 | GTEx | DepMap | Descartes | 0.55 | 0.21 |
NTRK1 | -0.0001513 | 14831 | GTEx | DepMap | Descartes | 0.25 | 2.18 |
EYA4 | -0.0001532 | 14893 | GTEx | DepMap | Descartes | 0.03 | 0.01 |
RYR2 | -0.0001540 | 14914 | GTEx | DepMap | Descartes | 0.01 | 0.00 |
NPY | -0.0001581 | 15039 | GTEx | DepMap | Descartes | 0.18 | 3.19 |
GREM1 | -0.0001761 | 15531 | GTEx | DepMap | Descartes | 0.00 | 0.02 |
MARCH11 | -0.0001834 | 15726 | GTEx | DepMap | Descartes | 0.04 | 0.02 |
KCNB2 | -0.0001996 | 16092 | GTEx | DepMap | Descartes | 0.05 | 0.01 |
CCND1 | -0.0002211 | 16511 | GTEx | DepMap | Descartes | 4.02 | 29.48 |
SYNPO2 | -0.0002659 | 17279 | GTEx | DepMap | Descartes | 0.52 | 0.21 |
EYA1 | -0.0002679 | 17314 | GTEx | DepMap | Descartes | 0.27 | 0.13 |
TMEFF2 | -0.0002848 | 17513 | GTEx | DepMap | Descartes | 0.17 | 0.03 |
PLXNA4 | -0.0002930 | 17609 | GTEx | DepMap | Descartes | 0.35 | 0.06 |
FAT3 | -0.0003001 | 17699 | GTEx | DepMap | Descartes | 0.22 | 0.03 |
MAB21L2 | -0.0003091 | 17800 | GTEx | DepMap | Descartes | 0.13 | 2.78 |
REEP1 | -0.0003138 | 17859 | GTEx | DepMap | Descartes | 0.21 | 0.13 |
TMEM132C | -0.0003263 | 17988 | GTEx | DepMap | Descartes | 0.13 | 0.03 |
RGMB | -0.0003276 | 17996 | GTEx | DepMap | Descartes | 0.92 | 2.34 |
Descartes Vascular_endothelial markers
Top 50 marker genes of Vascular_endothelial cells in the Decartes fetal adrenal single cell map (https://atlas.brotmanbaty.org/bbi/human-gene-expression-during-development/cell/vascular_endothelial/in/adrenal)
Wilcoxon ranksum test P-value for gene set overrepresentation: 8.59e-01
Mean rank of genes in gene set: 10578.79
Median rank of genes in gene set: 10788
Rank on gene expression program of top 30 genes in gene set:
Genes | Weight | Rank | GTEx | DepMap | Descartes | Mean.Counts | Mean.TPM |
---|---|---|---|---|---|---|---|
ARHGAP29 | 0.0008767 | 609 | GTEx | DepMap | Descartes | 4.73 | 7.24 |
EFNB2 | 0.0002377 | 2190 | GTEx | DepMap | Descartes | 2.67 | 5.43 |
FCGR2B | 0.0001429 | 3170 | GTEx | DepMap | Descartes | 0.03 | 0.24 |
RASIP1 | 0.0000997 | 3776 | GTEx | DepMap | Descartes | 0.15 | 1.30 |
CRHBP | 0.0000964 | 3836 | GTEx | DepMap | Descartes | 0.08 | 0.69 |
GALNT15 | 0.0000438 | 4968 | GTEx | DepMap | Descartes | 0.01 | 0.01 |
IRX3 | 0.0000283 | 5385 | GTEx | DepMap | Descartes | 1.28 | 37.18 |
BTNL9 | 0.0000283 | 5386 | GTEx | DepMap | Descartes | 0.00 | 0.00 |
MYRIP | 0.0000210 | 5638 | GTEx | DepMap | Descartes | 0.02 | 0.01 |
F8 | -0.0000065 | 6840 | GTEx | DepMap | Descartes | 0.06 | 0.02 |
ESM1 | -0.0000097 | 7043 | GTEx | DepMap | Descartes | 0.00 | 0.00 |
TEK | -0.0000338 | 8919 | GTEx | DepMap | Descartes | 0.02 | 0.02 |
CEACAM1 | -0.0000369 | 9171 | GTEx | DepMap | Descartes | 0.00 | 0.00 |
ROBO4 | -0.0000398 | 9398 | GTEx | DepMap | Descartes | 0.01 | 0.03 |
SHE | -0.0000423 | 9574 | GTEx | DepMap | Descartes | 0.00 | 0.03 |
PTPRB | -0.0000459 | 9857 | GTEx | DepMap | Descartes | 0.02 | 0.01 |
SHANK3 | -0.0000473 | 9946 | GTEx | DepMap | Descartes | 0.03 | 0.03 |
SOX18 | -0.0000475 | 9958 | GTEx | DepMap | Descartes | 0.01 | 0.25 |
NR5A2 | -0.0000484 | 10016 | GTEx | DepMap | Descartes | 0.01 | 0.00 |
CLDN5 | -0.0000557 | 10534 | GTEx | DepMap | Descartes | 0.00 | 0.04 |
FLT4 | -0.0000578 | 10668 | GTEx | DepMap | Descartes | 0.00 | 0.00 |
MMRN2 | -0.0000596 | 10788 | GTEx | DepMap | Descartes | 0.02 | 0.04 |
CDH5 | -0.0000663 | 11215 | GTEx | DepMap | Descartes | 0.00 | 0.00 |
TIE1 | -0.0000710 | 11526 | GTEx | DepMap | Descartes | 0.00 | 0.02 |
PLVAP | -0.0000773 | 11867 | GTEx | DepMap | Descartes | 0.01 | 0.10 |
ECSCR | -0.0000779 | 11898 | GTEx | DepMap | Descartes | 0.06 | 0.51 |
EHD3 | -0.0000828 | 12148 | GTEx | DepMap | Descartes | 0.20 | 0.59 |
NPR1 | -0.0000919 | 12618 | GTEx | DepMap | Descartes | 0.01 | 0.03 |
APLNR | -0.0000982 | 12893 | GTEx | DepMap | Descartes | 0.00 | 0.04 |
DNASE1L3 | -0.0000993 | 12938 | GTEx | DepMap | Descartes | 0.01 | 0.07 |
Descartes stromal markers
Top 50 marker genes of stromal cells in the Decartes fetal adrenal single cell map (https://atlas.brotmanbaty.org/bbi/human-gene-expression-during-development/cell/stromal/in/adrenal)
Wilcoxon ranksum test P-value for gene set overrepresentation: 1.00e+00
Mean rank of genes in gene set: 15538.93
Median rank of genes in gene set: 17116
Rank on gene expression program of top 30 genes in gene set:
Genes | Weight | Rank | GTEx | DepMap | Descartes | Mean.Counts | Mean.TPM |
---|---|---|---|---|---|---|---|
SCARA5 | 0.0002243 | 2291 | GTEx | DepMap | Descartes | 0.11 | 0.11 |
PAMR1 | -0.0000243 | 8146 | GTEx | DepMap | Descartes | 0.08 | 0.04 |
ITGA11 | -0.0000266 | 8333 | GTEx | DepMap | Descartes | 0.01 | 0.01 |
SULT1E1 | -0.0000311 | 8714 | GTEx | DepMap | Descartes | 0.00 | 0.00 |
C7 | -0.0000375 | 9212 | GTEx | DepMap | Descartes | 0.00 | 0.00 |
ABCA6 | -0.0000423 | 9577 | GTEx | DepMap | Descartes | 0.00 | 0.00 |
COL6A3 | -0.0000569 | 10616 | GTEx | DepMap | Descartes | 0.86 | 0.81 |
ADAMTSL3 | -0.0000626 | 10979 | GTEx | DepMap | Descartes | 0.01 | 0.00 |
ELN | -0.0000930 | 12673 | GTEx | DepMap | Descartes | 0.26 | 0.38 |
LAMC3 | -0.0000944 | 12738 | GTEx | DepMap | Descartes | 0.00 | 0.00 |
ACTA2 | -0.0001108 | 13437 | GTEx | DepMap | Descartes | 2.22 | 8.96 |
FNDC1 | -0.0001246 | 13963 | GTEx | DepMap | Descartes | 0.03 | 0.02 |
ABCC9 | -0.0001261 | 14015 | GTEx | DepMap | Descartes | 0.02 | 0.01 |
HHIP | -0.0001286 | 14108 | GTEx | DepMap | Descartes | 0.03 | 0.02 |
ADAMTS2 | -0.0001596 | 15077 | GTEx | DepMap | Descartes | 0.07 | 0.01 |
CLDN11 | -0.0001824 | 15705 | GTEx | DepMap | Descartes | 0.06 | 0.19 |
GLI2 | -0.0001829 | 15718 | GTEx | DepMap | Descartes | 0.51 | 0.16 |
MGP | -0.0001999 | 16102 | GTEx | DepMap | Descartes | 0.41 | 7.47 |
OGN | -0.0002011 | 16126 | GTEx | DepMap | Descartes | 0.32 | 1.14 |
CCDC80 | -0.0002101 | 16317 | GTEx | DepMap | Descartes | 0.30 | 0.76 |
IGFBP3 | -0.0002242 | 16563 | GTEx | DepMap | Descartes | 0.88 | 5.87 |
PRICKLE1 | -0.0002327 | 16737 | GTEx | DepMap | Descartes | 0.34 | 0.30 |
DKK2 | -0.0002489 | 17010 | GTEx | DepMap | Descartes | 0.27 | 0.13 |
SFRP2 | -0.0002621 | 17222 | GTEx | DepMap | Descartes | 1.98 | 16.73 |
GAS2 | -0.0002724 | 17370 | GTEx | DepMap | Descartes | 0.66 | 0.38 |
LOX | -0.0002736 | 17382 | GTEx | DepMap | Descartes | 0.20 | 0.77 |
BICC1 | -0.0002904 | 17578 | GTEx | DepMap | Descartes | 0.43 | 0.12 |
POSTN | -0.0003027 | 17732 | GTEx | DepMap | Descartes | 2.64 | 6.86 |
CD248 | -0.0003049 | 17753 | GTEx | DepMap | Descartes | 0.22 | 5.57 |
LUM | -0.0003263 | 17987 | GTEx | DepMap | Descartes | 0.62 | 4.75 |
Descartes sympathoblasts markers
Top 50 marker genes of sympathoblasts cells in the Decartes fetal adrenal single cell map (https://atlas.brotmanbaty.org/bbi/human-gene-expression-during-development/cell/sympathoblasts/in/adrenal)
Wilcoxon ranksum test P-value for gene set overrepresentation: 1.00e+00
Mean rank of genes in gene set: 12872.4
Median rank of genes in gene set: 13966
Rank on gene expression program of top 30 genes in gene set:
Genes | Weight | Rank | GTEx | DepMap | Descartes | Mean.Counts | Mean.TPM |
---|---|---|---|---|---|---|---|
TIAM1 | 0.0025550 | 149 | GTEx | DepMap | Descartes | 3.54 | 1.02 |
PNMT | 0.0002904 | 1860 | GTEx | DepMap | Descartes | 0.12 | 6.81 |
LAMA3 | 0.0002145 | 2377 | GTEx | DepMap | Descartes | 0.82 | 0.36 |
SLC24A2 | 0.0000336 | 5240 | GTEx | DepMap | Descartes | 0.02 | 0.02 |
FGF14 | -0.0000045 | 6728 | GTEx | DepMap | Descartes | 0.01 | 0.00 |
KCTD16 | -0.0000218 | 7951 | GTEx | DepMap | Descartes | 0.01 | 0.00 |
AGBL4 | -0.0000278 | 8422 | GTEx | DepMap | Descartes | 0.00 | 0.00 |
EML6 | -0.0000495 | 10099 | GTEx | DepMap | Descartes | 0.03 | 0.01 |
CDH12 | -0.0000579 | 10671 | GTEx | DepMap | Descartes | 0.03 | 0.00 |
SLC35F3 | -0.0000591 | 10760 | GTEx | DepMap | Descartes | 0.01 | 0.00 |
GALNTL6 | -0.0000707 | 11507 | GTEx | DepMap | Descartes | 0.02 | 0.00 |
CDH18 | -0.0000744 | 11731 | GTEx | DepMap | Descartes | 0.00 | 0.00 |
CNTN3 | -0.0000871 | 12389 | GTEx | DepMap | Descartes | 0.05 | 0.01 |
GRM7 | -0.0000888 | 12469 | GTEx | DepMap | Descartes | 0.00 | 0.00 |
SCG2 | -0.0000913 | 12583 | GTEx | DepMap | Descartes | 0.00 | 0.00 |
ARC | -0.0001059 | 13216 | GTEx | DepMap | Descartes | 0.01 | 0.33 |
PACRG | -0.0001081 | 13309 | GTEx | DepMap | Descartes | 0.04 | 0.01 |
TENM1 | -0.0001118 | 13470 | GTEx | DepMap | Descartes | 0.05 | 0.00 |
SORCS3 | -0.0001152 | 13609 | GTEx | DepMap | Descartes | 0.04 | 0.01 |
TBX20 | -0.0001175 | 13705 | GTEx | DepMap | Descartes | 0.01 | 0.03 |
ROBO1 | -0.0001187 | 13756 | GTEx | DepMap | Descartes | 1.10 | 0.12 |
CHGB | -0.0001305 | 14176 | GTEx | DepMap | Descartes | 0.71 | 8.45 |
SLC18A1 | -0.0001357 | 14341 | GTEx | DepMap | Descartes | 0.04 | 0.11 |
CHGA | -0.0001403 | 14495 | GTEx | DepMap | Descartes | 0.34 | 5.18 |
GCH1 | -0.0001407 | 14504 | GTEx | DepMap | Descartes | 0.03 | 0.09 |
C1QL1 | -0.0001447 | 14635 | GTEx | DepMap | Descartes | 0.14 | 1.49 |
CCSER1 | -0.0001496 | 14789 | GTEx | DepMap | Descartes | 0.17 | 0.01 |
KSR2 | -0.0001502 | 14801 | GTEx | DepMap | Descartes | 0.05 | 0.01 |
GRID2 | -0.0001521 | 14851 | GTEx | DepMap | Descartes | 0.07 | 0.00 |
DGKK | -0.0001549 | 14943 | GTEx | DepMap | Descartes | 0.14 | 0.12 |
Descartes erythroblasts markers
Top 50 marker genes of erythroblasts cells in the Decartes fetal adrenal single cell map (https://atlas.brotmanbaty.org/bbi/human-gene-expression-during-development/cell/erythroblasts/in/adrenal)
Wilcoxon ranksum test P-value for gene set overrepresentation: 7.01e-01
Mean rank of genes in gene set: 10154
Median rank of genes in gene set: 10347.5
Rank on gene expression program of top 30 genes in gene set:
Genes | Weight | Rank | GTEx | DepMap | Descartes | Mean.Counts | Mean.TPM |
---|---|---|---|---|---|---|---|
FECH | 0.0008771 | 608 | GTEx | DepMap | Descartes | 2.32 | 7.08 |
ABCB10 | 0.0006442 | 851 | GTEx | DepMap | Descartes | 0.93 | 3.36 |
SLC25A37 | 0.0002361 | 2200 | GTEx | DepMap | Descartes | 0.81 | 1.82 |
CR1L | 0.0002114 | 2402 | GTEx | DepMap | Descartes | 1.45 | 4.48 |
XPO7 | 0.0001512 | 3051 | GTEx | DepMap | Descartes | 1.85 | 1.55 |
CPOX | 0.0001392 | 3222 | GTEx | DepMap | Descartes | 1.22 | 2.34 |
HEMGN | 0.0001261 | 3401 | GTEx | DepMap | Descartes | 0.07 | 0.47 |
TFR2 | 0.0000681 | 4418 | GTEx | DepMap | Descartes | 0.02 | 0.17 |
GYPA | 0.0000184 | 5729 | GTEx | DepMap | Descartes | 0.00 | 0.05 |
SELENBP1 | 0.0000068 | 6185 | GTEx | DepMap | Descartes | 0.75 | 5.45 |
SLC4A1 | 0.0000016 | 6401 | GTEx | DepMap | Descartes | 0.00 | 0.00 |
RHD | -0.0000026 | 6630 | GTEx | DepMap | Descartes | 0.00 | 0.00 |
EPB42 | -0.0000158 | 7495 | GTEx | DepMap | Descartes | 0.00 | 0.00 |
ALAS2 | -0.0000221 | 7974 | GTEx | DepMap | Descartes | 0.00 | 0.00 |
SLC25A21 | -0.0000291 | 8529 | GTEx | DepMap | Descartes | 0.00 | 0.00 |
GCLC | -0.0000303 | 8655 | GTEx | DepMap | Descartes | 0.83 | 1.76 |
TSPAN5 | -0.0000363 | 9120 | GTEx | DepMap | Descartes | 1.06 | 0.71 |
SPTA1 | -0.0000501 | 10141 | GTEx | DepMap | Descartes | 0.00 | 0.00 |
RHAG | -0.0000561 | 10554 | GTEx | DepMap | Descartes | 0.00 | 0.00 |
EPB41 | -0.0000572 | 10634 | GTEx | DepMap | Descartes | 2.52 | 1.56 |
MARCH3 | -0.0000806 | 12039 | GTEx | DepMap | Descartes | 0.02 | 0.01 |
TMEM56 | -0.0000988 | 12918 | GTEx | DepMap | Descartes | 0.03 | 0.03 |
DENND4A | -0.0001188 | 13760 | GTEx | DepMap | Descartes | 0.05 | 0.03 |
SNCA | -0.0001267 | 14042 | GTEx | DepMap | Descartes | 0.16 | 0.07 |
MICAL2 | -0.0001271 | 14052 | GTEx | DepMap | Descartes | 0.04 | 0.01 |
BLVRB | -0.0001457 | 14669 | GTEx | DepMap | Descartes | 0.91 | 4.45 |
RGS6 | -0.0001462 | 14685 | GTEx | DepMap | Descartes | 0.03 | 0.00 |
TRAK2 | -0.0001486 | 14754 | GTEx | DepMap | Descartes | 0.39 | 0.48 |
SPTB | -0.0001912 | 15904 | GTEx | DepMap | Descartes | 0.06 | 0.04 |
ANK1 | -0.0001994 | 16086 | GTEx | DepMap | Descartes | 0.08 | 0.02 |
Descartes myeloid markers
Top 50 marker genes of myeloid cells in the Decartes fetal adrenal single cell map (https://atlas.brotmanbaty.org/bbi/human-gene-expression-during-development/cell/myeloid/in/adrenal)
Wilcoxon ranksum test P-value for gene set overrepresentation: 3.46e-01
Mean rank of genes in gene set: 9323.5
Median rank of genes in gene set: 8914.5
Rank on gene expression program of top 30 genes in gene set:
Genes | Weight | Rank | GTEx | DepMap | Descartes | Mean.Counts | Mean.TPM |
---|---|---|---|---|---|---|---|
CTSC | 0.0034748 | 100 | GTEx | DepMap | Descartes | 2.43 | 10.71 |
CST3 | 0.0005857 | 939 | GTEx | DepMap | Descartes | 14.04 | 378.36 |
SPP1 | 0.0003927 | 1414 | GTEx | DepMap | Descartes | 1.17 | 31.37 |
HRH1 | 0.0002014 | 2504 | GTEx | DepMap | Descartes | 0.00 | 0.00 |
ITPR2 | 0.0001640 | 2890 | GTEx | DepMap | Descartes | 0.50 | 0.14 |
CTSD | 0.0001482 | 3099 | GTEx | DepMap | Descartes | 6.39 | 66.85 |
RNASE1 | 0.0000964 | 3837 | GTEx | DepMap | Descartes | 0.01 | 0.39 |
FGD2 | 0.0000625 | 4555 | GTEx | DepMap | Descartes | 0.56 | 3.07 |
MERTK | 0.0000496 | 4837 | GTEx | DepMap | Descartes | 0.27 | 0.27 |
WWP1 | 0.0000471 | 4891 | GTEx | DepMap | Descartes | 1.05 | 0.92 |
CYBB | -0.0000004 | 6507 | GTEx | DepMap | Descartes | 0.01 | 0.02 |
FGL2 | -0.0000072 | 6877 | GTEx | DepMap | Descartes | 0.02 | 0.28 |
C1QA | -0.0000103 | 7092 | GTEx | DepMap | Descartes | 0.37 | 20.32 |
MS4A4A | -0.0000111 | 7156 | GTEx | DepMap | Descartes | 0.00 | 0.00 |
HCK | -0.0000129 | 7278 | GTEx | DepMap | Descartes | 0.06 | 0.14 |
CTSS | -0.0000160 | 7506 | GTEx | DepMap | Descartes | 0.06 | 0.29 |
ATP8B4 | -0.0000183 | 7677 | GTEx | DepMap | Descartes | 0.00 | 0.00 |
ABCA1 | -0.0000225 | 8008 | GTEx | DepMap | Descartes | 0.42 | 0.30 |
C1QB | -0.0000236 | 8092 | GTEx | DepMap | Descartes | 0.36 | 9.31 |
CD14 | -0.0000262 | 8308 | GTEx | DepMap | Descartes | 0.02 | 0.97 |
MSR1 | -0.0000287 | 8493 | GTEx | DepMap | Descartes | 0.00 | 0.01 |
SLC9A9 | -0.0000391 | 9336 | GTEx | DepMap | Descartes | 0.11 | 0.01 |
SLCO2B1 | -0.0000452 | 9795 | GTEx | DepMap | Descartes | 0.00 | 0.00 |
C1QC | -0.0000478 | 9974 | GTEx | DepMap | Descartes | 0.22 | 10.84 |
CSF1R | -0.0000525 | 10291 | GTEx | DepMap | Descartes | 0.07 | 0.33 |
MPEG1 | -0.0000539 | 10409 | GTEx | DepMap | Descartes | 0.02 | 0.56 |
PTPRE | -0.0000569 | 10619 | GTEx | DepMap | Descartes | 0.57 | 0.34 |
SFMBT2 | -0.0000583 | 10700 | GTEx | DepMap | Descartes | 0.06 | 0.03 |
CPVL | -0.0000665 | 11231 | GTEx | DepMap | Descartes | 0.00 | 0.00 |
CTSB | -0.0000683 | 11345 | GTEx | DepMap | Descartes | 4.25 | 19.70 |
Descartes Schwann markers
Top 50 marker genes of Schwann cells in the Decartes fetal adrenal single cell map (https://atlas.brotmanbaty.org/bbi/human-gene-expression-during-development/cell/schwann/in/adrenal)
Wilcoxon ranksum test P-value for gene set overrepresentation: 1.00e+00
Mean rank of genes in gene set: 14050.02
Median rank of genes in gene set: 15728
Rank on gene expression program of top 30 genes in gene set:
Genes | Weight | Rank | GTEx | DepMap | Descartes | Mean.Counts | Mean.TPM |
---|---|---|---|---|---|---|---|
ERBB3 | 0.0011221 | 471 | GTEx | DepMap | Descartes | 1.87 | 8.52 |
COL18A1 | 0.0002967 | 1820 | GTEx | DepMap | Descartes | 7.70 | 6.99 |
GAS7 | 0.0000705 | 4374 | GTEx | DepMap | Descartes | 0.30 | 0.12 |
OLFML2A | 0.0000705 | 4375 | GTEx | DepMap | Descartes | 0.21 | 0.54 |
PTPRZ1 | 0.0000624 | 4559 | GTEx | DepMap | Descartes | 1.15 | 0.57 |
PPP2R2B | 0.0000553 | 4716 | GTEx | DepMap | Descartes | 1.24 | 0.37 |
MARCKS | 0.0000197 | 5691 | GTEx | DepMap | Descartes | 19.33 | 330.80 |
MPZ | -0.0000570 | 10621 | GTEx | DepMap | Descartes | 0.27 | 1.21 |
IL1RAPL2 | -0.0000660 | 11196 | GTEx | DepMap | Descartes | 0.02 | 0.00 |
SCN7A | -0.0000744 | 11730 | GTEx | DepMap | Descartes | 0.07 | 0.04 |
TRPM3 | -0.0000809 | 12053 | GTEx | DepMap | Descartes | 0.04 | 0.00 |
PAG1 | -0.0000814 | 12080 | GTEx | DepMap | Descartes | 0.28 | 0.18 |
IL1RAPL1 | -0.0000973 | 12855 | GTEx | DepMap | Descartes | 0.04 | 0.00 |
LRRTM4 | -0.0001004 | 12975 | GTEx | DepMap | Descartes | 0.02 | 0.00 |
CDH19 | -0.0001054 | 13199 | GTEx | DepMap | Descartes | 0.05 | 0.03 |
GRIK3 | -0.0001215 | 13856 | GTEx | DepMap | Descartes | 0.01 | 0.00 |
XKR4 | -0.0001275 | 14067 | GTEx | DepMap | Descartes | 0.02 | NA |
VIM | -0.0001320 | 14223 | GTEx | DepMap | Descartes | 16.22 | 165.37 |
ADAMTS5 | -0.0001344 | 14305 | GTEx | DepMap | Descartes | 0.43 | 0.62 |
SORCS1 | -0.0001394 | 14472 | GTEx | DepMap | Descartes | 0.11 | 0.01 |
MDGA2 | -0.0001677 | 15314 | GTEx | DepMap | Descartes | 0.06 | 0.01 |
PLP1 | -0.0001731 | 15457 | GTEx | DepMap | Descartes | 0.50 | 1.85 |
GFRA3 | -0.0001783 | 15599 | GTEx | DepMap | Descartes | 0.27 | 0.73 |
EDNRB | -0.0001834 | 15728 | GTEx | DepMap | Descartes | 0.93 | 1.88 |
ERBB4 | -0.0001962 | 16017 | GTEx | DepMap | Descartes | 0.04 | 0.00 |
STARD13 | -0.0001962 | 16018 | GTEx | DepMap | Descartes | 0.09 | 0.02 |
SOX10 | -0.0001978 | 16053 | GTEx | DepMap | Descartes | 0.24 | 0.85 |
FAM134B | -0.0001991 | 16076 | GTEx | DepMap | Descartes | 0.27 | NA |
SLC35F1 | -0.0002105 | 16326 | GTEx | DepMap | Descartes | 0.13 | 0.02 |
NRXN3 | -0.0002264 | 16608 | GTEx | DepMap | Descartes | 0.26 | 0.01 |
Descartes Megakaryocytes markers
Top 50 marker genes of Megakaryocytes cells in the Decartes fetal adrenal single cell map (https://atlas.brotmanbaty.org/bbi/human-gene-expression-during-development/cell/megakaryocytes/in/adrenal)
Wilcoxon ranksum test P-value for gene set overrepresentation: 9.98e-01
Mean rank of genes in gene set: 11963.81
Median rank of genes in gene set: 11897
Rank on gene expression program of top 30 genes in gene set:
Genes | Weight | Rank | GTEx | DepMap | Descartes | Mean.Counts | Mean.TPM |
---|---|---|---|---|---|---|---|
CD9 | 0.0039312 | 82 | GTEx | DepMap | Descartes | 16.64 | 58.39 |
RAB27B | 0.0006685 | 824 | GTEx | DepMap | Descartes | 0.52 | 0.30 |
STON2 | 0.0005602 | 995 | GTEx | DepMap | Descartes | 0.56 | 0.35 |
MYH9 | 0.0005503 | 1021 | GTEx | DepMap | Descartes | 5.59 | 5.90 |
BIN2 | 0.0002809 | 1919 | GTEx | DepMap | Descartes | 0.04 | 0.28 |
FLNA | 0.0001177 | 3515 | GTEx | DepMap | Descartes | 6.67 | 22.27 |
VCL | 0.0000900 | 3958 | GTEx | DepMap | Descartes | 1.48 | 1.31 |
ITGA2B | 0.0000634 | 4533 | GTEx | DepMap | Descartes | 0.09 | 0.68 |
TPM4 | 0.0000624 | 4558 | GTEx | DepMap | Descartes | 5.89 | 22.90 |
CD84 | -0.0000081 | 6938 | GTEx | DepMap | Descartes | 0.02 | 0.06 |
MED12L | -0.0000087 | 6976 | GTEx | DepMap | Descartes | 0.13 | 0.03 |
ITGB3 | -0.0000184 | 7682 | GTEx | DepMap | Descartes | 0.01 | 0.01 |
P2RX1 | -0.0000287 | 8499 | GTEx | DepMap | Descartes | 0.00 | 0.00 |
HIPK2 | -0.0000397 | 9393 | GTEx | DepMap | Descartes | 2.76 | 1.37 |
TRPC6 | -0.0000524 | 10285 | GTEx | DepMap | Descartes | 0.00 | 0.00 |
PLEK | -0.0000586 | 10723 | GTEx | DepMap | Descartes | 0.07 | 0.12 |
MCTP1 | -0.0000637 | 11051 | GTEx | DepMap | Descartes | 0.01 | 0.00 |
GP9 | -0.0000664 | 11227 | GTEx | DepMap | Descartes | 0.01 | 0.40 |
RAP1B | -0.0000701 | 11456 | GTEx | DepMap | Descartes | 3.70 | 11.51 |
MYLK | -0.0000731 | 11654 | GTEx | DepMap | Descartes | 0.21 | 0.03 |
PPBP | -0.0000738 | 11690 | GTEx | DepMap | Descartes | 0.00 | 0.00 |
FERMT3 | -0.0000752 | 11768 | GTEx | DepMap | Descartes | 0.02 | 0.06 |
DOK6 | -0.0000760 | 11812 | GTEx | DepMap | Descartes | 0.00 | 0.00 |
MMRN1 | -0.0000779 | 11897 | GTEx | DepMap | Descartes | 0.00 | 0.00 |
GSN | -0.0001160 | 13639 | GTEx | DepMap | Descartes | 1.06 | 1.89 |
INPP4B | -0.0001289 | 14120 | GTEx | DepMap | Descartes | 0.07 | 0.01 |
PF4 | -0.0001333 | 14259 | GTEx | DepMap | Descartes | 0.06 | 9.46 |
ANGPT1 | -0.0001393 | 14466 | GTEx | DepMap | Descartes | 0.11 | 0.03 |
STOM | -0.0001421 | 14564 | GTEx | DepMap | Descartes | 0.06 | 0.26 |
SPN | -0.0001536 | 14900 | GTEx | DepMap | Descartes | 0.00 | 0.00 |
Descartes Lyphoid markers
Top 50 marker genes of Lyphoid cells in the Decartes fetal adrenal single cell map (https://atlas.brotmanbaty.org/bbi/human-gene-expression-during-development/cell/lymphoid/in/adrenal)
Wilcoxon ranksum test P-value for gene set overrepresentation: 1.00e+00
Mean rank of genes in gene set: 13039.93
Median rank of genes in gene set: 15048
Rank on gene expression program of top 30 genes in gene set:
Genes | Weight | Rank | GTEx | DepMap | Descartes | Mean.Counts | Mean.TPM |
---|---|---|---|---|---|---|---|
ABLIM1 | 0.0050352 | 55 | GTEx | DepMap | Descartes | 9.11 | 3.93 |
CD44 | 0.0030539 | 113 | GTEx | DepMap | Descartes | 0.88 | 1.31 |
FOXP1 | 0.0009583 | 562 | GTEx | DepMap | Descartes | 9.47 | 1.73 |
PRKCH | 0.0006442 | 850 | GTEx | DepMap | Descartes | 1.21 | 0.63 |
MCTP2 | 0.0005043 | 1099 | GTEx | DepMap | Descartes | 0.15 | 0.08 |
ARID5B | 0.0002268 | 2270 | GTEx | DepMap | Descartes | 2.37 | 1.26 |
CCND3 | 0.0000715 | 4352 | GTEx | DepMap | Descartes | 11.87 | 12.42 |
MBNL1 | -0.0000052 | 6758 | GTEx | DepMap | Descartes | 2.70 | 1.51 |
PTPRC | -0.0000076 | 6903 | GTEx | DepMap | Descartes | 0.01 | 0.01 |
SCML4 | -0.0000408 | 9467 | GTEx | DepMap | Descartes | 0.01 | 0.00 |
LCP1 | -0.0000518 | 10252 | GTEx | DepMap | Descartes | 0.07 | 0.10 |
NKG7 | -0.0000572 | 10635 | GTEx | DepMap | Descartes | 0.00 | 0.00 |
ARHGAP15 | -0.0000655 | 11160 | GTEx | DepMap | Descartes | 0.01 | 0.00 |
PLEKHA2 | -0.0000701 | 11457 | GTEx | DepMap | Descartes | 0.06 | 0.11 |
RCSD1 | -0.0000989 | 12929 | GTEx | DepMap | Descartes | 0.51 | 0.71 |
SP100 | -0.0001126 | 13501 | GTEx | DepMap | Descartes | 0.00 | 0.00 |
ITPKB | -0.0001253 | 13989 | GTEx | DepMap | Descartes | 0.60 | 0.52 |
RAP1GAP2 | -0.0001360 | 14352 | GTEx | DepMap | Descartes | 0.03 | 0.01 |
SORL1 | -0.0001487 | 14758 | GTEx | DepMap | Descartes | 0.89 | 0.51 |
FAM65B | -0.0001512 | 14826 | GTEx | DepMap | Descartes | 0.05 | NA |
B2M | -0.0001531 | 14891 | GTEx | DepMap | Descartes | 1.37 | 22.60 |
SKAP1 | -0.0001637 | 15205 | GTEx | DepMap | Descartes | 0.04 | 0.01 |
NCALD | -0.0001692 | 15354 | GTEx | DepMap | Descartes | 0.17 | 0.02 |
IKZF1 | -0.0001731 | 15456 | GTEx | DepMap | Descartes | 0.00 | 0.00 |
WIPF1 | -0.0001796 | 15634 | GTEx | DepMap | Descartes | 0.15 | 0.12 |
ARHGDIB | -0.0001936 | 15967 | GTEx | DepMap | Descartes | 2.80 | 13.08 |
DOCK10 | -0.0002057 | 16227 | GTEx | DepMap | Descartes | 0.09 | 0.02 |
PDE3B | -0.0002713 | 17357 | GTEx | DepMap | Descartes | 0.08 | 0.06 |
ANKRD44 | -0.0003048 | 17751 | GTEx | DepMap | Descartes | 0.48 | 0.14 |
ETS1 | -0.0003195 | 17913 | GTEx | DepMap | Descartes | 0.14 | 0.07 |
Below shows the ranks on this GEP for immune marker gene lists curated by CellTypist (https://www.celltypist.org/encyclopedia).
High ranks indicate this gene is a driver of this GEP.
These curated gene list are ranked by P-value (on this GEP) of their constituent genes.
The Mean Count column shows the mean read count in cells scoring highly (H > 50) on this gene expression program.
Genes | Weight | Rank | GTEx | DepMap | Decartes | Mean.Counts | Mean.TPM |
---|---|---|---|---|---|---|---|
RPS17 | 0.0010460 | 513 | GTEx | DepMap | Descartes | 49.24 | 1802.22 |
NEAT1 | 0.0003084 | 1765 | GTEx | DepMap | Descartes | 1.05 | 6.19 |
SAT1 | 0.0000319 | 5288 | GTEx | DepMap | Descartes | 1.46 | 39.14 |
TYROBP | -0.0000217 | 7940 | GTEx | DepMap | Descartes | 0.32 | 13.14 |
T cells: Type 1 helper T cells (model markers)
CD4+ helper T lymphocyte subpopulation which is capable of producing interferon-gamma and modulating cell-mediated immune responses:
Wilcoxon ranksum test P-value for gene set overrepresentation: 1.90e-02
Mean rank of genes in gene set: 3876.75
Rank on gene expression program of genes in gene set:
Genes | Weight | Rank | GTEx | DepMap | Decartes | Mean.Counts | Mean.TPM |
---|---|---|---|---|---|---|---|
ANXA1 | 0.0046376 | 62 | GTEx | DepMap | Descartes | 10.28 | 62.18 |
RPL17 | 0.0017681 | 265 | GTEx | DepMap | Descartes | 145.63 | 2874.22 |
CEBPB | 0.0015247 | 316 | GTEx | DepMap | Descartes | 2.24 | 162.07 |
PRDM16 | -0.0001525 | 14864 | GTEx | DepMap | Descartes | 0.03 | 0.01 |
B cells: Naive B cells (model markers)
mature B lymphocytes which express cell-surface IgM and IgD and have not been exposed to/activated by antigens:
Wilcoxon ranksum test P-value for gene set overrepresentation: 3.43e-02
Mean rank of genes in gene set: 4585.5
Rank on gene expression program of genes in gene set:
Genes | Weight | Rank | GTEx | DepMap | Decartes | Mean.Counts | Mean.TPM |
---|---|---|---|---|---|---|---|
YBX3 | 0.0021213 | 200 | GTEx | DepMap | Descartes | 15.63 | 64.53 |
RPL41 | 0.0010549 | 509 | GTEx | DepMap | Descartes | 255.26 | 19803.93 |
RPS17 | 0.0010460 | 513 | GTEx | DepMap | Descartes | 49.24 | 1802.22 |
CD74 | -0.0002552 | 17120 | GTEx | DepMap | Descartes | 0.08 | 0.71 |