QQ-plot of gene loadings, averaged over both independent splits of the data
This plot highlights the relative contribution of each gene to the GEP
Top genes driving this program.
Note: Decartes website is buggy, try refreshing. Also, Decartes fetal adrenal data have been collected at specific time points (89-122 days), all possible cell types of interest may not be represented, do not overinterpret.
The Mean Count column shows the mean read count in cells scoring highly (H > 50) on this gene expression program.
Gene | Loading | Gene.Name | GTEx | DepMap | Descartes | Mean.Counts | Mean.Tpm | |
---|---|---|---|---|---|---|---|---|
1 | COX4I2 | 0.0147104 | cytochrome c oxidase subunit 4I2 | GTEx | DepMap | Descartes | 2.26 | 927.70 |
2 | THY1 | 0.0146440 | Thy-1 cell surface antigen | GTEx | DepMap | Descartes | 13.79 | 742.36 |
3 | HIGD1B | 0.0136130 | HIG1 hypoxia inducible domain family member 1B | GTEx | DepMap | Descartes | 3.75 | 1610.68 |
4 | PDGFRB | 0.0134208 | platelet derived growth factor receptor beta | GTEx | DepMap | Descartes | 4.42 | 217.91 |
5 | NOTCH3 | 0.0132354 | notch receptor 3 | GTEx | DepMap | Descartes | 3.41 | 110.86 |
6 | UACA | 0.0130159 | uveal autoantigen with coiled-coil domains and ankyrin repeats | GTEx | DepMap | Descartes | 5.52 | 192.40 |
7 | TDO2 | 0.0125950 | tryptophan 2,3-dioxygenase | GTEx | DepMap | Descartes | 0.92 | 59.42 |
8 | ABCC9 | 0.0125613 | ATP binding cassette subfamily C member 9 | GTEx | DepMap | Descartes | 0.87 | 28.68 |
9 | BGN | 0.0123491 | biglycan | GTEx | DepMap | Descartes | 8.73 | 927.61 |
10 | EDNRA | 0.0115854 | endothelin receptor type A | GTEx | DepMap | Descartes | 1.01 | 68.00 |
11 | PRRX1 | 0.0110480 | paired related homeobox 1 | GTEx | DepMap | Descartes | 1.59 | 103.43 |
12 | NR2F2 | 0.0103802 | nuclear receptor subfamily 2 group F member 2 | GTEx | DepMap | Descartes | 5.29 | 260.73 |
13 | CALD1 | 0.0103556 | caldesmon 1 | GTEx | DepMap | Descartes | 18.61 | 904.51 |
14 | TINAGL1 | 0.0101246 | tubulointerstitial nephritis antigen like 1 | GTEx | DepMap | Descartes | 2.62 | 151.45 |
15 | PLXDC1 | 0.0099939 | plexin domain containing 1 | GTEx | DepMap | Descartes | 1.94 | 77.85 |
16 | MCAM | 0.0099203 | melanoma cell adhesion molecule | GTEx | DepMap | Descartes | 4.70 | 231.86 |
17 | IGFBP7 | 0.0096524 | insulin like growth factor binding protein 7 | GTEx | DepMap | Descartes | 103.55 | 18269.22 |
18 | COL4A2 | 0.0095712 | collagen type IV alpha 2 chain | GTEx | DepMap | Descartes | 11.87 | 405.34 |
19 | RRAS | 0.0088673 | RAS related | GTEx | DepMap | Descartes | 2.65 | 683.93 |
20 | CSPG4 | 0.0088577 | chondroitin sulfate proteoglycan 4 | GTEx | DepMap | Descartes | 0.83 | 23.04 |
21 | RASL12 | 0.0088023 | RAS like family 12 | GTEx | DepMap | Descartes | 0.48 | 44.79 |
22 | ANO1 | 0.0087127 | anoctamin 1 | GTEx | DepMap | Descartes | 0.61 | 34.04 |
23 | ENPEP | 0.0085302 | glutamyl aminopeptidase | GTEx | DepMap | Descartes | 0.73 | 26.67 |
24 | KCNJ8 | 0.0084889 | potassium inwardly rectifying channel subfamily J member 8 | GTEx | DepMap | Descartes | 1.19 | 133.66 |
25 | PDE1A | 0.0084705 | phosphodiesterase 1A | GTEx | DepMap | Descartes | 0.55 | 29.62 |
26 | FILIP1L | 0.0082999 | filamin A interacting protein 1 like | GTEx | DepMap | Descartes | 2.76 | 165.16 |
27 | COL4A1 | 0.0081674 | collagen type IV alpha 1 chain | GTEx | DepMap | Descartes | 11.15 | 355.87 |
28 | EPS8 | 0.0081558 | epidermal growth factor receptor pathway substrate 8 | GTEx | DepMap | Descartes | 2.20 | 112.02 |
29 | NDUFA4L2 | 0.0081134 | NDUFA4 mitochondrial complex associated like 2 | GTEx | DepMap | Descartes | 12.29 | 2637.34 |
30 | COL18A1 | 0.0079902 | collagen type XVIII alpha 1 chain | GTEx | DepMap | Descartes | 5.23 | 196.09 |
31 | MYLK | 0.0079320 | myosin light chain kinase | GTEx | DepMap | Descartes | 2.72 | 62.55 |
32 | ARHGAP42 | 0.0078839 | Rho GTPase activating protein 42 | GTEx | DepMap | Descartes | 0.68 | 23.53 |
33 | OLFML2A | 0.0078782 | olfactomedin like 2A | GTEx | DepMap | Descartes | 1.35 | 54.44 |
34 | PDGFA | 0.0077919 | platelet derived growth factor subunit A | GTEx | DepMap | Descartes | 1.65 | 178.71 |
35 | EHD2 | 0.0075984 | EH domain containing 2 | GTEx | DepMap | Descartes | 1.08 | 77.07 |
36 | EVA1B | 0.0075854 | eva-1 homolog B | GTEx | DepMap | Descartes | 2.46 | NA |
37 | TPM2 | 0.0075721 | tropomyosin 2 | GTEx | DepMap | Descartes | 12.38 | 1920.98 |
38 | SPARCL1 | 0.0075613 | SPARC like 1 | GTEx | DepMap | Descartes | 10.26 | 877.47 |
39 | GPRC5C | 0.0072363 | G protein-coupled receptor class C group 5 member C | GTEx | DepMap | Descartes | 0.80 | 84.24 |
40 | CD248 | 0.0071984 | CD248 molecule | GTEx | DepMap | Descartes | 1.13 | 113.36 |
41 | CD36 | 0.0071958 | CD36 molecule | GTEx | DepMap | Descartes | 2.95 | 117.56 |
42 | ITGA1 | 0.0071668 | integrin subunit alpha 1 | GTEx | DepMap | Descartes | 3.01 | 69.14 |
43 | STEAP4 | 0.0071268 | STEAP4 metalloreductase | GTEx | DepMap | Descartes | 0.92 | 26.53 |
44 | REM1 | 0.0070027 | RRAD and GEM like GTPase 1 | GTEx | DepMap | Descartes | 0.43 | 65.45 |
45 | MFGE8 | 0.0068689 | milk fat globule EGF and factor V/VIII domain containing | GTEx | DepMap | Descartes | 3.13 | 341.13 |
46 | COL6A2 | 0.0068538 | collagen type VI alpha 2 chain | GTEx | DepMap | Descartes | 7.32 | 535.99 |
47 | SOD3 | 0.0067720 | superoxide dismutase 3 | GTEx | DepMap | Descartes | 2.92 | 615.00 |
48 | COL5A2 | 0.0067385 | collagen type V alpha 2 chain | GTEx | DepMap | Descartes | 2.29 | 75.12 |
49 | TRPC6 | 0.0067112 | transient receptor potential cation channel subfamily C member 6 | GTEx | DepMap | Descartes | 0.22 | 10.17 |
50 | SPARC | 0.0066699 | secreted protein acidic and cysteine rich | GTEx | DepMap | Descartes | 19.87 | 1288.70 |
UMAP plots showing activity of gene expression program identified in GEP 25. Cancer Associated Fibroblast: Intermediate [Myo:Inf]:
CNV Data procured from inferCNV.
Outer tracks are putative CNV regions (gains = red, losses = blue) for each patient
Inner track is expression data representing:
The top cells expressing this GEP (purple)
Random cells (n =50) from the reference set used in inferCNV (orange)
Gene set Enrichments for this program, caculated from top 50 genes
mSigDB Cell Types Gene Set:
P-value | OR | Lower 95% CI | FDR | FWER | Genes Found | Gene Set Size | |
---|---|---|---|---|---|---|---|
FAN_EMBRYONIC_CTX_BRAIN_ENDOTHELIAL_2 | 2.44e-46 | 108.89 | 57.10 | 1.64e-43 | 1.64e-43 | 35THY1, HIGD1B, PDGFRB, NOTCH3, UACA, ABCC9, BGN, EDNRA, NR2F2, CALD1, PLXDC1, MCAM, IGFBP7, COL4A2, CSPG4, RASL12, KCNJ8, COL4A1, EPS8, NDUFA4L2, COL18A1, MYLK, ARHGAP42, OLFML2A, EHD2, TPM2, SPARCL1, GPRC5C, CD248, ITGA1, MFGE8, COL6A2, COL5A2, TRPC6, SPARC |
303 |
DURANTE_ADULT_OLFACTORY_NEUROEPITHELIUM_VASCULAR_SMOOTH_MUSCLE_CELLS | 1.05e-26 | 93.39 | 47.23 | 1.17e-24 | 7.01e-24 | 18COX4I2, HIGD1B, PDGFRB, NOTCH3, NR2F2, CALD1, TINAGL1, MCAM, IGFBP7, FILIP1L, NDUFA4L2, MYLK, TPM2, SPARCL1, STEAP4, MFGE8, SOD3, SPARC |
93 |
DESCARTES_MAIN_FETAL_SMOOTH_MUSCLE_CELLS | 8.28e-18 | 106.68 | 45.15 | 3.97e-16 | 5.55e-15 | 11COX4I2, HIGD1B, PDGFRB, NOTCH3, ABCC9, CSPG4, RASL12, ANO1, KCNJ8, NDUFA4L2, MYLK |
44 |
RUBENSTEIN_SKELETAL_MUSCLE_PERICYTES | 2.06e-30 | 80.38 | 42.57 | 4.62e-28 | 1.39e-27 | 22COX4I2, HIGD1B, PDGFRB, NOTCH3, ABCC9, NR2F2, CALD1, TINAGL1, MCAM, IGFBP7, COL4A2, KCNJ8, COL4A1, EPS8, NDUFA4L2, TPM2, SPARCL1, CD36, STEAP4, MFGE8, COL6A2, SPARC |
144 |
TRAVAGLINI_LUNG_VASCULAR_SMOOTH_MUSCLE_CELL | 6.28e-20 | 91.07 | 41.81 | 3.83e-18 | 4.21e-17 | 13COX4I2, NOTCH3, BGN, CALD1, TINAGL1, MCAM, IGFBP7, EPS8, MYLK, PDGFA, TPM2, ITGA1, SOD3 |
61 |
MANNO_MIDBRAIN_NEUROTYPES_HPERIC | 1.38e-38 | 58.73 | 29.35 | 4.64e-36 | 9.28e-36 | 39COX4I2, THY1, HIGD1B, PDGFRB, NOTCH3, UACA, ABCC9, BGN, EDNRA, NR2F2, CALD1, PLXDC1, MCAM, IGFBP7, COL4A2, RRAS, CSPG4, RASL12, ENPEP, KCNJ8, FILIP1L, COL4A1, EPS8, NDUFA4L2, COL18A1, MYLK, ARHGAP42, OLFML2A, EHD2, EVA1B, TPM2, SPARCL1, GPRC5C, CD248, ITGA1, MFGE8, COL5A2, TRPC6, SPARC |
795 |
AIZARANI_LIVER_C33_STELLATE_CELLS_2 | 1.27e-20 | 53.38 | 26.71 | 8.49e-19 | 8.49e-18 | 16NOTCH3, UACA, BGN, NR2F2, CALD1, MCAM, IGFBP7, COL4A2, COL4A1, MYLK, TPM2, SPARCL1, ITGA1, COL6A2, SOD3, SPARC |
126 |
DESCARTES_FETAL_HEART_SMOOTH_MUSCLE_CELLS | 6.62e-12 | 64.16 | 24.33 | 2.34e-10 | 4.44e-09 | 8COX4I2, HIGD1B, PDGFRB, NOTCH3, ABCC9, ENPEP, KCNJ8, NDUFA4L2 |
45 |
FAN_EMBRYONIC_CTX_BIG_GROUPS_BRAIN_ENDOTHELIAL | 5.60e-26 | 36.78 | 20.04 | 5.37e-24 | 3.76e-23 | 25HIGD1B, PDGFRB, NOTCH3, UACA, BGN, EDNRA, NR2F2, CALD1, PLXDC1, MCAM, IGFBP7, COL4A2, RRAS, CSPG4, KCNJ8, COL4A1, NDUFA4L2, COL18A1, EVA1B, TPM2, CD248, ITGA1, COL6A2, COL5A2, SPARC |
365 |
GAO_LARGE_INTESTINE_ADULT_CJ_IMMUNE_CELLS | 1.57e-28 | 36.27 | 19.83 | 2.64e-26 | 1.06e-25 | 29THY1, HIGD1B, PDGFRB, NOTCH3, BGN, EDNRA, CALD1, MCAM, IGFBP7, COL4A2, CSPG4, KCNJ8, PDE1A, FILIP1L, COL4A1, NDUFA4L2, COL18A1, OLFML2A, EHD2, EVA1B, TPM2, SPARCL1, CD36, ITGA1, STEAP4, MFGE8, COL6A2, COL5A2, SPARC |
505 |
TRAVAGLINI_LUNG_PERICYTE_CELL | 1.43e-14 | 38.65 | 17.86 | 5.64e-13 | 9.59e-12 | 12COX4I2, HIGD1B, PDGFRB, NOTCH3, PLXDC1, MCAM, COL4A2, CSPG4, COL4A1, NDUFA4L2, ITGA1, TRPC6 |
114 |
DESCARTES_FETAL_CEREBELLUM_VASCULAR_ENDOTHELIAL_CELLS | 2.71e-27 | 31.14 | 17.00 | 3.64e-25 | 1.82e-24 | 30HIGD1B, PDGFRB, NOTCH3, UACA, ABCC9, BGN, EDNRA, CALD1, TINAGL1, PLXDC1, MCAM, IGFBP7, COL4A2, RRAS, RASL12, ENPEP, KCNJ8, COL4A1, NDUFA4L2, COL18A1, OLFML2A, EHD2, EVA1B, GPRC5C, CD248, ITGA1, REM1, COL6A2, TRPC6, SPARC |
633 |
DESCARTES_FETAL_MUSCLE_SMOOTH_MUSCLE_CELLS | 1.66e-11 | 39.69 | 16.32 | 5.58e-10 | 1.12e-08 | 9COX4I2, PDGFRB, ABCC9, EDNRA, RASL12, ANO1, ENPEP, NDUFA4L2, STEAP4 |
78 |
MENON_FETAL_KIDNEY_3_STROMAL_CELLS | 2.36e-11 | 38.04 | 15.67 | 7.53e-10 | 1.58e-08 | 9UACA, NR2F2, CALD1, COL4A2, COL4A1, MYLK, TPM2, COL5A2, SPARC |
81 |
DURANTE_ADULT_OLFACTORY_NEUROEPITHELIUM_FIBROBLASTS_STROMAL_CELLS | 2.64e-11 | 37.51 | 15.47 | 8.04e-10 | 1.77e-08 | 9THY1, BGN, PRRX1, NR2F2, CALD1, IGFBP7, TPM2, COL6A2, SPARC |
82 |
FAN_OVARY_CL14_MATURE_SMOOTH_MUSCLE_CELL | 1.28e-18 | 26.72 | 14.07 | 7.17e-17 | 8.61e-16 | 19HIGD1B, NOTCH3, BGN, NR2F2, CALD1, TINAGL1, MCAM, IGFBP7, RASL12, EPS8, NDUFA4L2, COL18A1, MYLK, EHD2, TPM2, SPARCL1, MFGE8, SOD3, SPARC |
306 |
DESCARTES_FETAL_CEREBRUM_VASCULAR_ENDOTHELIAL_CELLS | 1.91e-22 | 24.25 | 13.29 | 1.60e-20 | 1.28e-19 | 26COX4I2, HIGD1B, PDGFRB, NOTCH3, UACA, ABCC9, BGN, EDNRA, TINAGL1, PLXDC1, MCAM, IGFBP7, COL4A2, RRAS, RASL12, KCNJ8, COL4A1, COL18A1, OLFML2A, EHD2, EVA1B, GPRC5C, CD248, ITGA1, COL6A2, SPARC |
585 |
MURARO_PANCREAS_MESENCHYMAL_STROMAL_CELL | 3.36e-22 | 22.50 | 12.35 | 2.50e-20 | 2.25e-19 | 27THY1, PDGFRB, NOTCH3, UACA, BGN, EDNRA, PRRX1, NR2F2, CALD1, PLXDC1, IGFBP7, COL4A2, RASL12, ANO1, COL4A1, EPS8, COL18A1, MYLK, OLFML2A, EHD2, TPM2, CD248, ITGA1, MFGE8, COL6A2, COL5A2, SPARC |
680 |
HU_FETAL_RETINA_FIBROBLAST | 3.81e-18 | 22.84 | 12.17 | 1.97e-16 | 2.55e-15 | 20THY1, PDGFRB, NOTCH3, UACA, BGN, EDNRA, PRRX1, NR2F2, CALD1, MCAM, IGFBP7, COL4A2, COL4A1, EPS8, EVA1B, TPM2, CD248, COL6A2, COL5A2, SPARC |
385 |
AIZARANI_LIVER_C21_STELLATE_CELLS_1 | 3.42e-13 | 24.24 | 11.63 | 1.27e-11 | 2.29e-10 | 13THY1, BGN, NR2F2, CALD1, IGFBP7, COL4A2, RRAS, FILIP1L, COL4A1, MYLK, COL6A2, SOD3, SPARC |
194 |
Dowload full table
mSigDB Hallmark Gene Sets:
P-value | OR | Lower 95% CI | FDR | FWER | Genes Found | Gene Set Size | |
---|---|---|---|---|---|---|---|
HALLMARK_EPITHELIAL_MESENCHYMAL_TRANSITION | 1.15e-11 | 20.99 | 9.83 | 5.75e-10 | 5.75e-10 | 12THY1, PDGFRB, BGN, PRRX1, CALD1, COL4A2, COL4A1, MYLK, TPM2, COL6A2, COL5A2, SPARC |
200 |
HALLMARK_MYOGENESIS | 9.73e-07 | 12.40 | 4.96 | 2.43e-05 | 4.87e-05 | 8IGFBP7, COL4A2, MYLK, TPM2, CD36, COL6A2, SOD3, SPARC |
200 |
HALLMARK_ANGIOGENESIS | 3.84e-04 | 24.16 | 4.58 | 6.40e-03 | 1.92e-02 | 3KCNJ8, PDGFA, COL5A2 |
36 |
HALLMARK_ADIPOGENESIS | 7.71e-03 | 5.55 | 1.44 | 9.64e-02 | 3.85e-01 | 4COL4A1, MYLK, SPARCL1, CD36 |
200 |
HALLMARK_XENOBIOTIC_METABOLISM | 4.35e-02 | 4.05 | 0.80 | 3.63e-01 | 1.00e+00 | 3TDO2, ENPEP, CD36 |
200 |
HALLMARK_KRAS_SIGNALING_UP | 4.35e-02 | 4.05 | 0.80 | 3.63e-01 | 1.00e+00 | 3PRRX1, ANO1, SPARCL1 |
200 |
HALLMARK_UV_RESPONSE_DN | 1.10e-01 | 3.67 | 0.43 | 6.08e-01 | 1.00e+00 | 2PDGFRB, COL5A2 |
144 |
HALLMARK_FATTY_ACID_METABOLISM | 1.28e-01 | 3.34 | 0.39 | 6.08e-01 | 1.00e+00 | 2TDO2, CD36 |
158 |
HALLMARK_APOPTOSIS | 1.32e-01 | 3.28 | 0.38 | 6.08e-01 | 1.00e+00 | 2PDGFRB, BGN |
161 |
HALLMARK_APICAL_JUNCTION | 1.85e-01 | 2.63 | 0.31 | 6.60e-01 | 1.00e+00 | 2THY1, RRAS |
200 |
HALLMARK_COMPLEMENT | 1.85e-01 | 2.63 | 0.31 | 6.60e-01 | 1.00e+00 | 2COL4A2, CD36 |
200 |
HALLMARK_NOTCH_SIGNALING | 1.20e-01 | 8.23 | 0.20 | 6.08e-01 | 1.00e+00 | 1NOTCH3 |
32 |
HALLMARK_HEDGEHOG_SIGNALING | 1.34e-01 | 7.29 | 0.18 | 6.08e-01 | 1.00e+00 | 1THY1 |
36 |
HALLMARK_APICAL_SURFACE | 1.61e-01 | 5.93 | 0.14 | 6.60e-01 | 1.00e+00 | 1THY1 |
44 |
HALLMARK_IL6_JAK_STAT3_SIGNALING | 2.93e-01 | 2.97 | 0.07 | 9.75e-01 | 1.00e+00 | 1CD36 |
87 |
HALLMARK_ANDROGEN_RESPONSE | 3.28e-01 | 2.58 | 0.06 | 1.00e+00 | 1.00e+00 | 1STEAP4 |
100 |
HALLMARK_COAGULATION | 4.22e-01 | 1.86 | 0.05 | 1.00e+00 | 1.00e+00 | 1SPARC |
138 |
HALLMARK_HYPOXIA | 5.47e-01 | 1.28 | 0.03 | 1.00e+00 | 1.00e+00 | 1BGN |
200 |
HALLMARK_P53_PATHWAY | 5.47e-01 | 1.28 | 0.03 | 1.00e+00 | 1.00e+00 | 1PDGFA |
200 |
HALLMARK_ALLOGRAFT_REJECTION | 5.47e-01 | 1.28 | 0.03 | 1.00e+00 | 1.00e+00 | 1THY1 |
200 |
Dowload full table
KEGG Pathways:
P-value | OR | Lower 95% CI | FDR | FWER | Genes Found | Gene Set Size | |
---|---|---|---|---|---|---|---|
KEGG_ECM_RECEPTOR_INTERACTION | 9.07e-07 | 21.83 | 7.39 | 8.72e-05 | 1.69e-04 | 6COL4A2, COL4A1, CD36, ITGA1, COL6A2, COL5A2 |
84 |
KEGG_FOCAL_ADHESION | 9.38e-07 | 12.47 | 4.99 | 8.72e-05 | 1.74e-04 | 8PDGFRB, COL4A2, COL4A1, MYLK, PDGFA, ITGA1, COL6A2, COL5A2 |
199 |
KEGG_REGULATION_OF_ACTIN_CYTOSKELETON | 1.42e-03 | 6.68 | 2.05 | 8.82e-02 | 2.64e-01 | 5PDGFRB, RRAS, MYLK, PDGFA, ITGA1 |
213 |
KEGG_CALCIUM_SIGNALING_PATHWAY | 5.16e-03 | 6.25 | 1.62 | 2.40e-01 | 9.60e-01 | 4PDGFRB, EDNRA, PDE1A, MYLK |
178 |
KEGG_VASCULAR_SMOOTH_MUSCLE_CONTRACTION | 1.05e-02 | 7.12 | 1.40 | 3.90e-01 | 1.00e+00 | 3EDNRA, CALD1, MYLK |
115 |
KEGG_GLIOMA | 2.73e-02 | 8.26 | 0.95 | 6.11e-01 | 1.00e+00 | 2PDGFRB, PDGFA |
65 |
KEGG_PATHWAYS_IN_CANCER | 3.70e-02 | 3.39 | 0.88 | 6.11e-01 | 1.00e+00 | 4PDGFRB, COL4A2, COL4A1, PDGFA |
325 |
KEGG_MELANOMA | 3.21e-02 | 7.55 | 0.87 | 6.11e-01 | 1.00e+00 | 2PDGFRB, PDGFA |
71 |
KEGG_CARDIAC_MUSCLE_CONTRACTION | 3.90e-02 | 6.76 | 0.78 | 6.11e-01 | 1.00e+00 | 2COX4I2, TPM2 |
79 |
KEGG_HYPERTROPHIC_CARDIOMYOPATHY_HCM | 4.26e-02 | 6.43 | 0.74 | 6.11e-01 | 1.00e+00 | 2TPM2, ITGA1 |
83 |
KEGG_SMALL_CELL_LUNG_CANCER | 4.36e-02 | 6.35 | 0.74 | 6.11e-01 | 1.00e+00 | 2COL4A2, COL4A1 |
84 |
KEGG_HEMATOPOIETIC_CELL_LINEAGE | 4.64e-02 | 6.13 | 0.71 | 6.11e-01 | 1.00e+00 | 2CD36, ITGA1 |
87 |
KEGG_PROSTATE_CANCER | 4.83e-02 | 5.98 | 0.69 | 6.11e-01 | 1.00e+00 | 2PDGFRB, PDGFA |
89 |
KEGG_DILATED_CARDIOMYOPATHY | 4.93e-02 | 5.92 | 0.69 | 6.11e-01 | 1.00e+00 | 2TPM2, ITGA1 |
90 |
KEGG_GAP_JUNCTION | 4.93e-02 | 5.92 | 0.69 | 6.11e-01 | 1.00e+00 | 2PDGFRB, PDGFA |
90 |
KEGG_MAPK_SIGNALING_PATHWAY | 8.58e-02 | 3.02 | 0.60 | 8.87e-01 | 1.00e+00 | 3PDGFRB, RRAS, PDGFA |
267 |
KEGG_PARKINSONS_DISEASE | 9.30e-02 | 4.07 | 0.47 | 8.87e-01 | 1.00e+00 | 2COX4I2, NDUFA4L2 |
130 |
KEGG_OXIDATIVE_PHOSPHORYLATION | 9.54e-02 | 4.01 | 0.47 | 8.87e-01 | 1.00e+00 | 2COX4I2, NDUFA4L2 |
132 |
KEGG_RENIN_ANGIOTENSIN_SYSTEM | 6.56e-02 | 15.93 | 0.37 | 7.62e-01 | 1.00e+00 | 1ENPEP |
17 |
KEGG_ALZHEIMERS_DISEASE | 1.39e-01 | 3.18 | 0.37 | 1.00e+00 | 1.00e+00 | 2COX4I2, NDUFA4L2 |
166 |
Dowload full table
CHR Positional Gene Sets:
P-value | OR | Lower 95% CI | FDR | FWER | Genes Found | Gene Set Size | |
---|---|---|---|---|---|---|---|
chr12p12 | 8.63e-03 | 7.67 | 1.50 | 1.00e+00 | 1.00e+00 | 3ABCC9, KCNJ8, EPS8 |
107 |
chr11q22 | 5.73e-02 | 5.42 | 0.63 | 1.00e+00 | 1.00e+00 | 2ARHGAP42, TRPC6 |
98 |
chr2q32 | 6.78e-02 | 4.91 | 0.57 | 1.00e+00 | 1.00e+00 | 2PDE1A, COL5A2 |
108 |
chr7q21 | 1.36e-01 | 3.21 | 0.38 | 1.00e+00 | 1.00e+00 | 2CD36, STEAP4 |
164 |
chr15q26 | 1.75e-01 | 2.73 | 0.32 | 1.00e+00 | 1.00e+00 | 2NR2F2, MFGE8 |
193 |
chr11q23 | 1.92e-01 | 2.57 | 0.30 | 1.00e+00 | 1.00e+00 | 2THY1, MCAM |
205 |
chr20q11 | 2.37e-01 | 2.22 | 0.26 | 1.00e+00 | 1.00e+00 | 2COX4I2, REM1 |
237 |
chr21q22 | 3.99e-01 | 1.48 | 0.17 | 1.00e+00 | 1.00e+00 | 2COL18A1, COL6A2 |
353 |
chr11q13 | 6.78e-01 | 1.24 | 0.15 | 1.00e+00 | 1.00e+00 | 2ANO1, CD248 |
421 |
chr3q12 | 1.67e-01 | 5.67 | 0.14 | 1.00e+00 | 1.00e+00 | 1FILIP1L |
46 |
chr7q33 | 1.87e-01 | 5.00 | 0.12 | 1.00e+00 | 1.00e+00 | 1CALD1 |
52 |
chr15q23 | 2.28e-01 | 3.99 | 0.10 | 1.00e+00 | 1.00e+00 | 1UACA |
65 |
chr4q22 | 2.43e-01 | 3.70 | 0.09 | 1.00e+00 | 1.00e+00 | 1SPARCL1 |
70 |
chr4q12 | 2.70e-01 | 3.27 | 0.08 | 1.00e+00 | 1.00e+00 | 1IGFBP7 |
79 |
chr5q11 | 2.87e-01 | 3.04 | 0.07 | 1.00e+00 | 1.00e+00 | 1ITGA1 |
85 |
chr4q25 | 2.93e-01 | 2.97 | 0.07 | 1.00e+00 | 1.00e+00 | 1ENPEP |
87 |
chr5q33 | 3.52e-01 | 2.36 | 0.06 | 1.00e+00 | 1.00e+00 | 1SPARC |
109 |
chr4q32 | 3.62e-01 | 2.28 | 0.06 | 1.00e+00 | 1.00e+00 | 1TDO2 |
113 |
chr15q24 | 3.69e-01 | 2.22 | 0.05 | 1.00e+00 | 1.00e+00 | 1CSPG4 |
116 |
chr19q13 | 4.39e-01 | 0.45 | 0.05 | 1.00e+00 | 1.00e+00 | 2RRAS, EHD2 |
1165 |
Dowload full table
Transcription Factor Targets:
P-value | OR | Lower 95% CI | FDR | FWER | Genes Found | Gene Set Size | |
---|---|---|---|---|---|---|---|
SRF_C | 1.48e-03 | 6.61 | 2.03 | 5.10e-01 | 1.00e+00 | 5NR2F2, CALD1, MCAM, MYLK, CD248 |
215 |
SRF_Q5_01 | 1.80e-03 | 6.31 | 1.94 | 5.10e-01 | 1.00e+00 | 5NR2F2, CALD1, MYLK, TPM2, CD248 |
225 |
CCAWWNAAGG_SRF_Q4 | 5.05e-03 | 9.38 | 1.83 | 5.95e-01 | 1.00e+00 | 3CALD1, MYLK, TPM2 |
88 |
SRF_Q6 | 2.73e-03 | 5.72 | 1.76 | 5.10e-01 | 1.00e+00 | 5NR2F2, CALD1, MYLK, TPM2, CD248 |
248 |
AP3_Q6 | 2.88e-03 | 5.65 | 1.73 | 5.10e-01 | 1.00e+00 | 5EDNRA, CALD1, ENPEP, MYLK, SPARC |
251 |
CEBP_Q3 | 3.07e-03 | 5.56 | 1.71 | 5.10e-01 | 1.00e+00 | 5PDGFRB, EDNRA, NR2F2, CALD1, NDUFA4L2 |
255 |
WGGAATGY_TEF1_Q6 | 3.60e-03 | 4.48 | 1.55 | 5.10e-01 | 1.00e+00 | 6TINAGL1, RRAS, PDE1A, PDGFA, GPRC5C, SPARC |
387 |
AAANWWTGC_UNKNOWN | 7.07e-03 | 5.69 | 1.47 | 7.04e-01 | 1.00e+00 | 4PDGFRB, NR2F2, MYLK, SPARCL1 |
195 |
HOX13_01 | 1.43e-02 | 11.83 | 1.35 | 7.04e-01 | 1.00e+00 | 2PRRX1, CALD1 |
46 |
PAX4_04 | 1.11e-02 | 4.96 | 1.29 | 7.04e-01 | 1.00e+00 | 4CALD1, PDE1A, MYLK, STEAP4 |
223 |
SRF_Q4 | 1.23e-02 | 4.81 | 1.25 | 7.04e-01 | 1.00e+00 | 4NR2F2, CALD1, MYLK, TPM2 |
230 |
SRF_01 | 1.74e-02 | 10.62 | 1.22 | 7.04e-01 | 1.00e+00 | 2CALD1, CD248 |
51 |
ATF1_Q6 | 1.36e-02 | 4.67 | 1.21 | 7.04e-01 | 1.00e+00 | 4CALD1, MCAM, PDE1A, PDGFA |
237 |
MEF2_03 | 1.42e-02 | 4.61 | 1.19 | 7.04e-01 | 1.00e+00 | 4PRRX1, MYLK, TPM2, MFGE8 |
240 |
S8_01 | 1.56e-02 | 4.47 | 1.16 | 7.04e-01 | 1.00e+00 | 4PRRX1, CALD1, GPRC5C, CD36 |
247 |
LFA1_Q6 | 1.64e-02 | 4.40 | 1.14 | 7.04e-01 | 1.00e+00 | 4PRRX1, RASL12, NDUFA4L2, OLFML2A |
251 |
AP4_Q6_01 | 1.77e-02 | 4.30 | 1.11 | 7.04e-01 | 1.00e+00 | 4MCAM, RASL12, NDUFA4L2, MYLK |
257 |
MEIS1BHOXA9_01 | 1.90e-02 | 5.66 | 1.11 | 7.18e-01 | 1.00e+00 | 3NR2F2, TPM2, STEAP4 |
144 |
NR2E3_TARGET_GENES | 2.37e-02 | 50.83 | 1.06 | 7.66e-01 | 1.00e+00 | 1EPS8 |
6 |
RORA2_01 | 2.34e-02 | 5.21 | 1.03 | 7.66e-01 | 1.00e+00 | 3COX4I2, MYLK, STEAP4 |
156 |
Dowload full table
GO Biological Processes:
P-value | OR | Lower 95% CI | FDR | FWER | Genes Found | Gene Set Size | |
---|---|---|---|---|---|---|---|
GOBP_CELL_MIGRATION_INVOLVED_IN_KIDNEY_DEVELOPMENT | 1.54e-04 | 172.68 | 14.09 | 1.44e-01 | 1.00e+00 | 2PDGFRB, PDGFA |
5 |
GOBP_TONIC_SMOOTH_MUSCLE_CONTRACTION | 6.85e-04 | 64.86 | 6.55 | 4.27e-01 | 1.00e+00 | 2EDNRA, MYLK |
10 |
GOBP_BLOOD_VESSEL_MORPHOGENESIS | 1.80e-11 | 10.68 | 5.61 | 1.35e-07 | 1.35e-07 | 18THY1, PDGFRB, EDNRA, PRRX1, NR2F2, CALD1, PLXDC1, MCAM, COL4A2, RRAS, CSPG4, ENPEP, COL4A1, COL18A1, MYLK, PDGFA, MFGE8, SPARC |
677 |
GOBP_COLLAGEN_ACTIVATED_TYROSINE_KINASE_RECEPTOR_SIGNALING_PATHWAY | 9.99e-04 | 51.89 | 5.39 | 5.34e-01 | 1.00e+00 | 2COL4A2, COL4A1 |
12 |
GOBP_DERMATAN_SULFATE_METABOLIC_PROCESS | 1.18e-03 | 47.19 | 4.96 | 5.39e-01 | 1.00e+00 | 2BGN, CSPG4 |
13 |
GOBP_VASCULATURE_DEVELOPMENT | 1.84e-10 | 9.16 | 4.82 | 6.88e-07 | 1.38e-06 | 18THY1, PDGFRB, EDNRA, PRRX1, NR2F2, CALD1, PLXDC1, MCAM, COL4A2, RRAS, CSPG4, ENPEP, COL4A1, COL18A1, MYLK, PDGFA, MFGE8, SPARC |
786 |
GOBP_CHONDROITIN_SULFATE_CATABOLIC_PROCESS | 1.37e-03 | 43.30 | 4.59 | 5.39e-01 | 1.00e+00 | 2BGN, CSPG4 |
14 |
GOBP_PLATELET_DERIVED_GROWTH_FACTOR_RECEPTOR_BETA_SIGNALING_PATHWAY | 1.37e-03 | 43.30 | 4.59 | 5.39e-01 | 1.00e+00 | 2PDGFRB, PDGFA |
14 |
GOBP_COLLAGEN_ACTIVATED_SIGNALING_PATHWAY | 1.58e-03 | 39.95 | 4.27 | 5.53e-01 | 1.00e+00 | 2COL4A2, COL4A1 |
15 |
GOBP_TUBE_MORPHOGENESIS | 1.43e-09 | 7.98 | 4.20 | 3.57e-06 | 1.07e-05 | 18THY1, PDGFRB, EDNRA, PRRX1, NR2F2, CALD1, PLXDC1, MCAM, COL4A2, RRAS, CSPG4, ENPEP, COL4A1, COL18A1, MYLK, PDGFA, MFGE8, SPARC |
900 |
GOBP_DERMATAN_SULFATE_PROTEOGLYCAN_METABOLIC_PROCESS | 1.80e-03 | 37.11 | 3.99 | 5.85e-01 | 1.00e+00 | 2BGN, CSPG4 |
16 |
GOBP_CIRCULATORY_SYSTEM_DEVELOPMENT | 6.66e-09 | 6.84 | 3.64 | 1.25e-05 | 4.99e-05 | 19THY1, PDGFRB, EDNRA, PRRX1, NR2F2, CALD1, PLXDC1, MCAM, COL4A2, RRAS, CSPG4, ENPEP, KCNJ8, COL4A1, COL18A1, MYLK, PDGFA, MFGE8, SPARC |
1140 |
GOBP_EXTERNAL_ENCAPSULATING_STRUCTURE_ORGANIZATION | 2.20e-06 | 8.10 | 3.58 | 2.36e-03 | 1.65e-02 | 10BGN, COL4A2, COL4A1, COL18A1, OLFML2A, PDGFA, ITGA1, COL6A2, COL5A2, SPARC |
396 |
GOBP_RETINA_VASCULATURE_DEVELOPMENT_IN_CAMERA_TYPE_EYE | 2.28e-03 | 32.49 | 3.53 | 6.82e-01 | 1.00e+00 | 2PDGFRB, COL4A1 |
18 |
GOBP_TUBE_DEVELOPMENT | 2.21e-08 | 6.60 | 3.47 | 3.31e-05 | 1.66e-04 | 18THY1, PDGFRB, EDNRA, PRRX1, NR2F2, CALD1, PLXDC1, MCAM, COL4A2, RRAS, CSPG4, ENPEP, COL4A1, COL18A1, MYLK, PDGFA, MFGE8, SPARC |
1085 |
GOBP_ANATOMICAL_STRUCTURE_FORMATION_INVOLVED_IN_MORPHOGENESIS | 4.59e-08 | 6.26 | 3.30 | 5.72e-05 | 3.43e-04 | 18THY1, PDGFRB, EDNRA, CALD1, PLXDC1, MCAM, COL4A2, RRAS, CSPG4, ENPEP, COL4A1, COL18A1, PDGFA, EHD2, CD36, MFGE8, COL5A2, SPARC |
1142 |
GOBP_POSITIVE_REGULATION_OF_CELL_MATRIX_ADHESION | 1.26e-03 | 15.63 | 3.02 | 5.39e-01 | 1.00e+00 | 3THY1, RRAS, CD36 |
54 |
GOBP_POSITIVE_REGULATION_OF_MESENCHYMAL_CELL_PROLIFERATION | 3.10e-03 | 27.37 | 3.01 | 7.25e-01 | 1.00e+00 | 2PRRX1, PDGFA |
21 |
GOBP_POSITIVE_REGULATION_OF_PHOSPHOPROTEIN_PHOSPHATASE_ACTIVITY | 3.10e-03 | 27.37 | 3.01 | 7.25e-01 | 1.00e+00 | 2PDGFRB, ITGA1 |
21 |
GOBP_PLATELET_DERIVED_GROWTH_FACTOR_RECEPTOR_SIGNALING_PATHWAY | 1.48e-03 | 14.76 | 2.85 | 5.53e-01 | 1.00e+00 | 3PDGFRB, CSPG4, PDGFA |
57 |
Dowload full table
Immunological Gene Sets:
P-value | OR | Lower 95% CI | FDR | FWER | Genes Found | Gene Set Size | |
---|---|---|---|---|---|---|---|
GSE2405_0H_VS_3H_A_PHAGOCYTOPHILUM_STIM_NEUTROPHIL_UP | 1.19e-05 | 10.54 | 3.95 | 5.79e-02 | 5.79e-02 | 7BGN, IGFBP7, RRAS, COL4A1, OLFML2A, SPARCL1, MFGE8 |
200 |
GSE27670_CTRL_VS_BLIMP1_TRANSDUCED_GC_BCELL_DN | 1.24e-04 | 8.78 | 3.02 | 3.01e-01 | 6.03e-01 | 6TINAGL1, RRAS, ENPEP, EPS8, COL5A2, SPARC |
200 |
GSE29618_PRE_VS_DAY7_POST_TIV_FLU_VACCINE_BCELL_UP | 9.88e-04 | 7.27 | 2.23 | 1.00e+00 | 1.00e+00 | 5HIGD1B, BGN, EDNRA, CSPG4, OLFML2A |
196 |
GSE1460_INTRATHYMIC_T_PROGENITOR_VS_THYMIC_STROMAL_CELL_DN | 1.08e-03 | 7.12 | 2.18 | 1.00e+00 | 1.00e+00 | 5EDNRA, RRAS, OLFML2A, PDGFA, COL6A2 |
200 |
GSE20715_WT_VS_TLR4_KO_LUNG_UP | 1.08e-03 | 7.12 | 2.18 | 1.00e+00 | 1.00e+00 | 5BGN, ANO1, PDGFA, CD36, SOD3 |
200 |
GSE3720_UNSTIM_VS_LPS_STIM_VD2_GAMMADELTA_TCELL_DN | 3.03e-03 | 7.29 | 1.88 | 1.00e+00 | 1.00e+00 | 4KCNJ8, COL4A1, EPS8, SOD3 |
153 |
GSE40685_NAIVE_CD4_TCELL_VS_FOXP3_KO_TREG_PRECURSOR_DN | 7.07e-03 | 5.69 | 1.47 | 1.00e+00 | 1.00e+00 | 4COL4A2, REM1, COL6A2, SPARC |
195 |
GSE29618_PRE_VS_DAY7_FLU_VACCINE_BCELL_UP | 7.20e-03 | 5.66 | 1.47 | 1.00e+00 | 1.00e+00 | 4HIGD1B, CSPG4, NDUFA4L2, OLFML2A |
196 |
GSE1460_DP_THYMOCYTE_VS_NAIVE_CD4_TCELL_CORD_BLOOD_DN | 7.45e-03 | 5.60 | 1.45 | 1.00e+00 | 1.00e+00 | 4KCNJ8, EHD2, TPM2, TRPC6 |
198 |
GSE36476_YOUNG_VS_OLD_DONOR_MEMORY_CD4_TCELL_DN | 7.45e-03 | 5.60 | 1.45 | 1.00e+00 | 1.00e+00 | 4TDO2, MYLK, SOD3, TRPC6 |
198 |
GSE360_LOW_DOSE_B_MALAYI_VS_M_TUBERCULOSIS_MAC_DN | 7.58e-03 | 5.57 | 1.44 | 1.00e+00 | 1.00e+00 | 4NOTCH3, TDO2, CD36, REM1 |
199 |
GSE5589_WT_VS_IL6_KO_LPS_AND_IL6_STIM_MACROPHAGE_45MIN_DN | 7.58e-03 | 5.57 | 1.44 | 1.00e+00 | 1.00e+00 | 4COL4A2, CSPG4, COL4A1, CD36 |
199 |
GSE16450_IMMATURE_VS_MATURE_NEURON_CELL_LINE_6H_IFNA_STIM_UP | 7.58e-03 | 5.57 | 1.44 | 1.00e+00 | 1.00e+00 | 4HIGD1B, IGFBP7, OLFML2A, ITGA1 |
199 |
GSE1460_NAIVE_CD4_TCELL_ADULT_BLOOD_VS_THYMIC_STROMAL_CELL_DN | 7.71e-03 | 5.55 | 1.44 | 1.00e+00 | 1.00e+00 | 4EDNRA, OLFML2A, PDGFA, COL6A2 |
200 |
GSE30083_SP3_VS_SP4_THYMOCYTE_UP | 7.71e-03 | 5.55 | 1.44 | 1.00e+00 | 1.00e+00 | 4NOTCH3, UACA, ABCC9, MCAM |
200 |
GSE30962_ACUTE_VS_CHRONIC_LCMV_PRIMARY_INF_CD8_TCELL_UP | 7.71e-03 | 5.55 | 1.44 | 1.00e+00 | 1.00e+00 | 4RRAS, RASL12, KCNJ8, EVA1B |
200 |
GSE360_L_DONOVANI_VS_L_MAJOR_MAC_DN | 7.71e-03 | 5.55 | 1.44 | 1.00e+00 | 1.00e+00 | 4THY1, PRRX1, ENPEP, PDE1A |
200 |
GSE7852_LN_VS_FAT_TCONV_DN | 7.71e-03 | 5.55 | 1.44 | 1.00e+00 | 1.00e+00 | 4KCNJ8, COL4A1, SPARCL1, ITGA1 |
200 |
GSE2405_S_AUREUS_VS_A_PHAGOCYTOPHILUM_NEUTROPHIL_UP | 7.71e-03 | 5.55 | 1.44 | 1.00e+00 | 1.00e+00 | 4BGN, IGFBP7, COL4A2, TPM2 |
200 |
GSE4748_CTRL_VS_LPS_AND_CYANOBACTERIUM_LPSLIKE_STIM_DC_3H_DN | 7.71e-03 | 5.55 | 1.44 | 1.00e+00 | 1.00e+00 | 4COL4A1, EHD2, CD36, COL6A2 |
200 |
Top Ranked Transcription Factors for this Gene Expression Program:
Gene Symbol | TF Rank | DNA Binding Domain | Motif Status | IUPAC PWM | GTEx | DepMap | Decartes |
---|---|---|---|---|---|---|---|
NOTCH3 | 5 | No | Unlikely to be sequence specific TF | Not a DNA binding protein | No motif | None | Fragment of NOTCH. Is a coactivator. |
PRRX1 | 11 | Yes | Known motif | Monomer or homomultimer | High-throughput in vitro | None | None |
NR2F2 | 12 | Yes | Known motif | Monomer or homomultimer | 100 perc ID - in vitro | None | None |
CD36 | 41 | No | Unlikely to be sequence specific TF | Not a DNA binding protein | No motif | None | None |
ID3 | 69 | No | Unlikely to be sequence specific TF | Not a DNA binding protein | No motif | None | ID bHLH proteins lack the basic region and should not be able to bind DNA. The HT-SELEX motif for ID4 is likely by a co-precipitated protein or it is a contamination |
TGFB1I1 | 74 | No | Unlikely to be sequence specific TF | Not a DNA binding protein | No motif | None | Available evidence suggests that it acts as a co-factor |
EBF2 | 79 | Yes | Known motif | Monomer or homomultimer | In vivo/Misc source | Only known motifs are from Transfac or HocoMoco - origin is uncertain | EBF1 has a nice HT-SELEX model and based on this paper (PMID:23499423). EBF2 binds similar motif to control brown/beige fat cell identity. |
MEF2C | 89 | Yes | Known motif | Monomer or homomultimer | High-throughput in vitro | None | None |
HEYL | 109 | Yes | Inferred motif | Monomer or homomultimer | High-throughput in vitro | None | None |
TBX15 | 119 | Yes | Known motif | Monomer or homomultimer | High-throughput in vitro | None | None |
HEY2 | 123 | Yes | Known motif | Monomer or homomultimer | High-throughput in vitro | None | None |
AGT | 162 | No | Unlikely to be sequence specific TF | Not a DNA binding protein | No motif | None | None |
MSC | 178 | Yes | Known motif | Monomer or homomultimer | High-throughput in vitro | None | None |
LPP | 182 | No | Unlikely to be sequence specific TF | Not a DNA binding protein | No motif | None | znfLIM is probably not a DNA binding domain (PMID: 8506279). The protein has been reported to be coactivator for ETV4 (PMID: 16738319). |
EPAS1 | 184 | Yes | Known motif | Monomer or homomultimer | In vivo/Misc source | Only known motifs are from Transfac or HocoMoco - origin is uncertain | None |
SNAI2 | 192 | Yes | Known motif | Monomer or homomultimer | High-throughput in vitro | None | None |
GLI3 | 201 | Yes | Known motif | Monomer or homomultimer | High-throughput in vitro | None | None |
RUNX1 | 223 | Yes | Known motif | Monomer or homomultimer | In vivo/Misc source | Only known motifs are from Transfac or HocoMoco - origin is uncertain | None |
ZFP36L1 | 228 | No | ssDNA/RNA binding | Not a DNA binding protein | No motif | None | RNA-binding protein (PMID: 27102483; PMID: 17013884). |
HOXB7 | 234 | Yes | Known motif | Monomer or homomultimer | High-throughput in vitro | None | None |
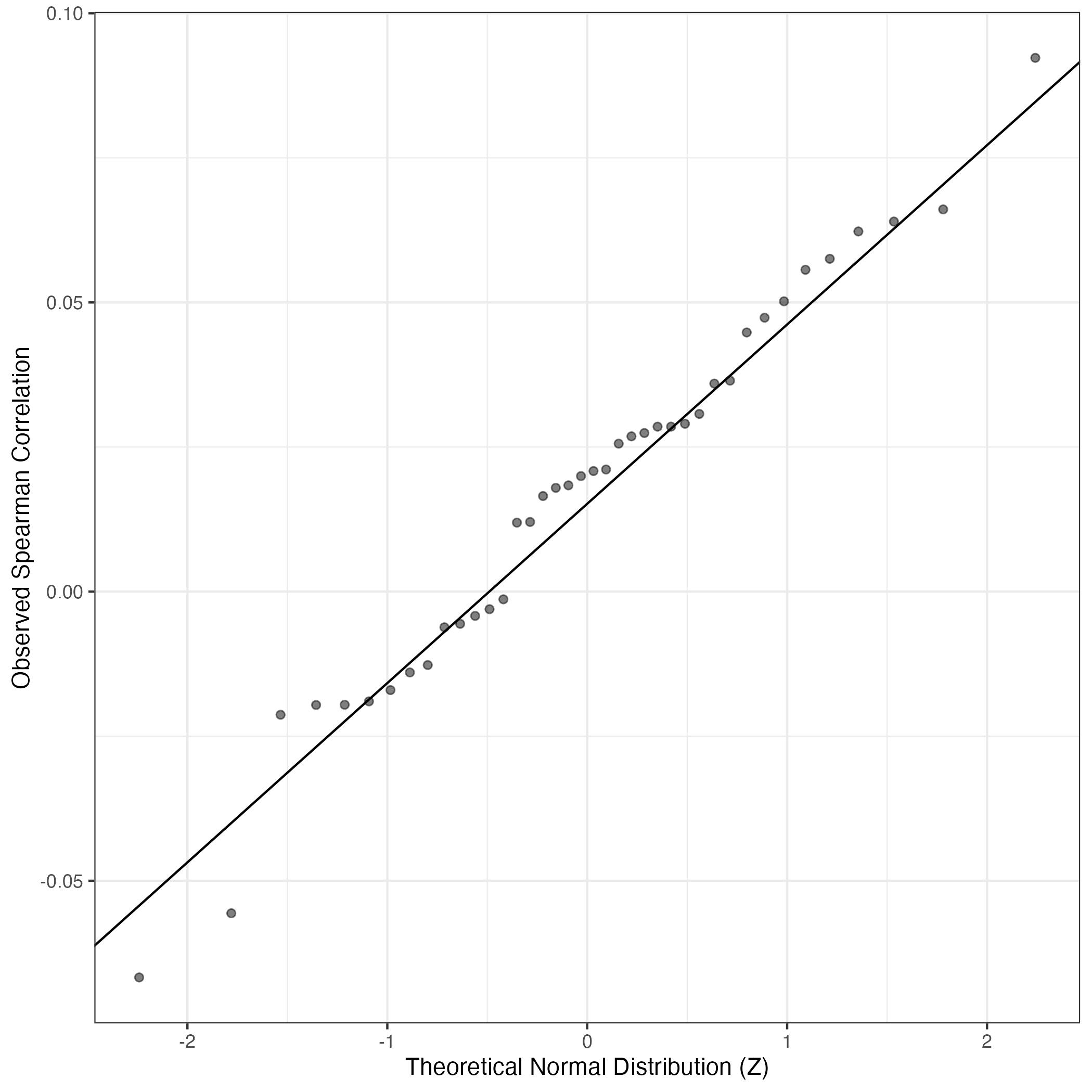
QQ Plot showing correlations with other GEPs in this dataset, calculated by Spearman correlation:
Interactive QQ-plot of gene loadings:
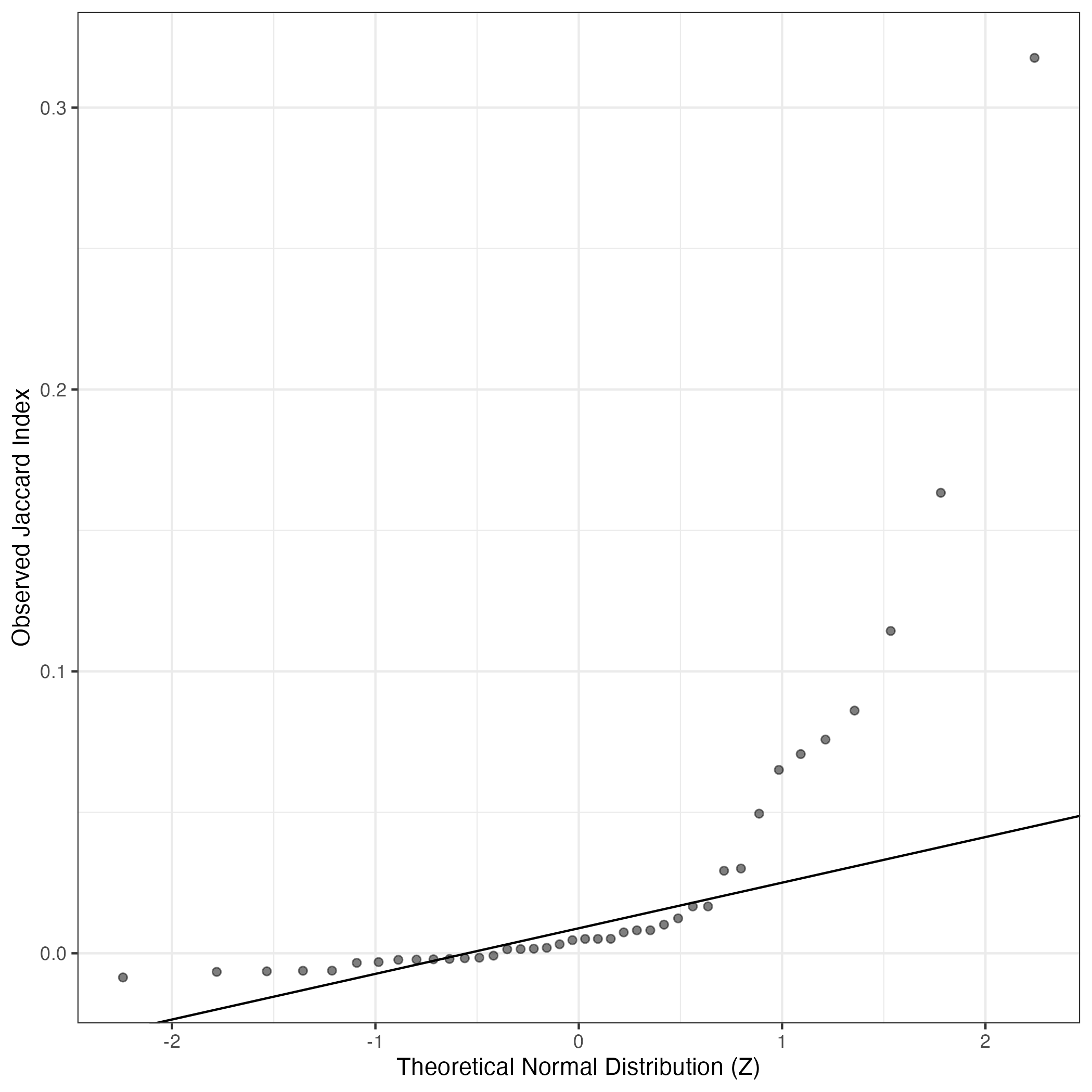
A similar QQ-plot as above, but only for instances where the H value is e.g. > 25, i.e. we are confident that the expression program is active above noise. Agreemenet between these binary vectors is tested using the Jaccard Index, with the P-values calculated by an exact test:
Interactive QQ-plot:
Singler cell type annotations for the top 50 cells on this program.
Cell ID | Singler label | Singler Delta | Activity Score | Top Singler Raw Scores |
---|---|---|---|---|
T230_TGTTGAGGTCTACTGA-1 | Smooth_muscle_cells:vascular | 0.16 | 1861.50 | Raw ScoresMSC: 0.4, Smooth_muscle_cells:vascular: 0.4, Fibroblasts:foreskin: 0.39, Tissue_stem_cells:adipose-derived_MSC_AM3: 0.39, Tissue_stem_cells:lipoma-derived_MSC: 0.39, Neurons:Schwann_cell: 0.39, Tissue_stem_cells:BM_MSC: 0.38, iPS_cells:skin_fibroblast: 0.38, iPS_cells:foreskin_fibrobasts: 0.38, iPS_cells:PDB_fibroblasts: 0.38 |
T200_ATAGACCGTACGCTTA-1 | Fibroblasts:foreskin | 0.14 | 1724.98 | Raw ScoresMSC: 0.4, Fibroblasts:foreskin: 0.4, Tissue_stem_cells:adipose-derived_MSC_AM3: 0.39, Smooth_muscle_cells:vascular: 0.39, Neurons:Schwann_cell: 0.39, Tissue_stem_cells:lipoma-derived_MSC: 0.39, Endothelial_cells:HUVEC:PR8-infected: 0.39, iPS_cells:skin_fibroblast: 0.39, iPS_cells:fibroblasts: 0.39, Endothelial_cells:HUVEC:H5N1-infected: 0.39 |
T200_CCTATCGTCCCGAATA-1 | Smooth_muscle_cells:vascular | 0.16 | 1502.61 | Raw ScoresMSC: 0.38, Smooth_muscle_cells:vascular: 0.37, Neurons:Schwann_cell: 0.37, Fibroblasts:foreskin: 0.36, iPS_cells:CRL2097_foreskin: 0.35, iPS_cells:skin_fibroblast: 0.35, Tissue_stem_cells:adipose-derived_MSC_AM3: 0.35, iPS_cells:PDB_fibroblasts: 0.35, iPS_cells:fibroblasts: 0.35, Tissue_stem_cells:lipoma-derived_MSC: 0.35 |
T200_TGATGCATCGAAGGAC-1 | Neurons:adrenal_medulla_cell_line | 0.09 | 1342.05 | Raw ScoresNeurons:Schwann_cell: 0.34, MSC: 0.33, Fibroblasts:foreskin: 0.32, Smooth_muscle_cells:vascular: 0.32, Tissue_stem_cells:dental_pulp: 0.32, iPS_cells:foreskin_fibrobasts: 0.31, Tissue_stem_cells:lipoma-derived_MSC: 0.31, iPS_cells:CRL2097_foreskin: 0.31, iPS_cells:adipose_stem_cells: 0.31, Tissue_stem_cells:adipose-derived_MSC_AM3: 0.31 |
T214_ATTCAGGGTATTGAGA-1 | Osteoblasts | 0.10 | 1323.22 | Raw ScoresOsteoblasts: 0.32, iPS_cells:adipose_stem_cells: 0.32, Tissue_stem_cells:BM_MSC:BMP2: 0.31, iPS_cells:CRL2097_foreskin: 0.31, Osteoblasts:BMP2: 0.31, Tissue_stem_cells:BM_MSC:TGFb3: 0.31, Tissue_stem_cells:iliac_MSC: 0.31, Smooth_muscle_cells:bronchial: 0.31, Fibroblasts:breast: 0.31, Smooth_muscle_cells:bronchial:vit_D: 0.31 |
T214_GCTTTCGCATAATCCG-1 | Tissue_stem_cells:BM_MSC:BMP2 | 0.12 | 1160.17 | Raw ScoresiPS_cells:adipose_stem_cells: 0.38, Tissue_stem_cells:iliac_MSC: 0.37, Tissue_stem_cells:BM_MSC:BMP2: 0.37, Fibroblasts:breast: 0.37, MSC: 0.36, Fibroblasts:foreskin: 0.36, iPS_cells:CRL2097_foreskin: 0.36, Neurons:Schwann_cell: 0.36, Smooth_muscle_cells:vascular: 0.36, Tissue_stem_cells:adipose-derived_MSC_AM3: 0.36 |
T200_ACAAAGAGTCCGGACT-1 | Endothelial_cells:HUVEC:IFNg | 0.09 | 1148.87 | Raw ScoresFibroblasts:foreskin: 0.36, Tissue_stem_cells:iliac_MSC: 0.36, Smooth_muscle_cells:vascular: 0.36, iPS_cells:adipose_stem_cells: 0.36, Tissue_stem_cells:BM_MSC: 0.36, Tissue_stem_cells:BM_MSC:BMP2: 0.36, Fibroblasts:breast: 0.36, Neurons:Schwann_cell: 0.36, Osteoblasts: 0.35, MSC: 0.35 |
T214_TCGCACTTCCTTATCA-1 | Smooth_muscle_cells:vascular | 0.17 | 1107.74 | Raw ScoresMSC: 0.39, Fibroblasts:foreskin: 0.38, Smooth_muscle_cells:vascular: 0.38, iPS_cells:CRL2097_foreskin: 0.37, Tissue_stem_cells:adipose-derived_MSC_AM3: 0.37, Tissue_stem_cells:lipoma-derived_MSC: 0.37, iPS_cells:skin_fibroblast: 0.37, iPS_cells:foreskin_fibrobasts: 0.37, iPS_cells:fibroblasts: 0.37, Neurons:Schwann_cell: 0.37 |
T200_CACAGGCTCAAATGAG-1 | Tissue_stem_cells:BM_MSC:BMP2 | 0.16 | 1094.42 | Raw ScoresTissue_stem_cells:BM_MSC:BMP2: 0.39, iPS_cells:adipose_stem_cells: 0.38, Tissue_stem_cells:BM_MSC:TGFb3: 0.38, Fibroblasts:breast: 0.37, Tissue_stem_cells:BM_MSC: 0.37, Osteoblasts: 0.37, Tissue_stem_cells:iliac_MSC: 0.37, Fibroblasts:foreskin: 0.37, iPS_cells:CRL2097_foreskin: 0.37, Smooth_muscle_cells:vascular: 0.37 |
T214_AGTTCGACAGAGCCCT-1 | Tissue_stem_cells:BM_MSC:BMP2 | 0.14 | 1086.34 | Raw ScoresiPS_cells:adipose_stem_cells: 0.37, Tissue_stem_cells:BM_MSC:TGFb3: 0.36, Tissue_stem_cells:BM_MSC:BMP2: 0.36, Smooth_muscle_cells:bronchial: 0.36, Tissue_stem_cells:iliac_MSC: 0.36, Fibroblasts:breast: 0.36, Smooth_muscle_cells:bronchial:vit_D: 0.36, Osteoblasts: 0.36, iPS_cells:CRL2097_foreskin: 0.35, Smooth_muscle_cells:vascular: 0.35 |
T214_GTTCTATCAATAACGA-1 | Tissue_stem_cells:BM_MSC:TGFb3 | 0.12 | 1029.52 | Raw ScoresTissue_stem_cells:BM_MSC:BMP2: 0.34, Fibroblasts:breast: 0.34, iPS_cells:adipose_stem_cells: 0.34, Tissue_stem_cells:BM_MSC: 0.34, Tissue_stem_cells:BM_MSC:TGFb3: 0.33, Smooth_muscle_cells:vascular: 0.33, MSC: 0.33, iPS_cells:CRL2097_foreskin: 0.33, Fibroblasts:foreskin: 0.33, Neurons:Schwann_cell: 0.33 |
T214_TGATGCATCATACGAC-1 | Tissue_stem_cells:BM_MSC:BMP2 | 0.14 | 999.37 | Raw ScoresiPS_cells:adipose_stem_cells: 0.37, iPS_cells:CRL2097_foreskin: 0.37, Tissue_stem_cells:iliac_MSC: 0.37, Fibroblasts:breast: 0.37, Tissue_stem_cells:BM_MSC:BMP2: 0.36, Osteoblasts: 0.36, Tissue_stem_cells:BM_MSC:TGFb3: 0.36, Smooth_muscle_cells:bronchial: 0.36, Tissue_stem_cells:BM_MSC: 0.36, Fibroblasts:foreskin: 0.35 |
T200_GCCAACGCATGAAGGC-1 | Tissue_stem_cells:BM_MSC:BMP2 | 0.11 | 937.43 | Raw ScoresTissue_stem_cells:BM_MSC:BMP2: 0.34, iPS_cells:adipose_stem_cells: 0.33, Tissue_stem_cells:BM_MSC:TGFb3: 0.33, Fibroblasts:foreskin: 0.33, Fibroblasts:breast: 0.33, Osteoblasts: 0.33, Smooth_muscle_cells:bronchial: 0.33, Tissue_stem_cells:iliac_MSC: 0.33, Smooth_muscle_cells:vascular: 0.32, Smooth_muscle_cells:bronchial:vit_D: 0.32 |
T230_ACTATGGCACGGTGAA-1 | iPS_cells:adipose_stem_cells | 0.18 | 926.97 | Raw ScoresiPS_cells:adipose_stem_cells: 0.42, MSC: 0.42, Tissue_stem_cells:BM_MSC: 0.41, iPS_cells:CRL2097_foreskin: 0.41, Fibroblasts:foreskin: 0.41, Smooth_muscle_cells:vascular: 0.41, Fibroblasts:breast: 0.41, Neurons:Schwann_cell: 0.41, iPS_cells:foreskin_fibrobasts: 0.4, iPS_cells:PDB_fibroblasts: 0.4 |
T200_CTCCATGGTACGACAG-1 | Tissue_stem_cells:BM_MSC:BMP2 | 0.14 | 924.48 | Raw ScoresTissue_stem_cells:BM_MSC:BMP2: 0.38, iPS_cells:adipose_stem_cells: 0.37, Tissue_stem_cells:BM_MSC:TGFb3: 0.37, Osteoblasts: 0.36, Fibroblasts:breast: 0.36, Osteoblasts:BMP2: 0.35, Tissue_stem_cells:BM_MSC: 0.35, Smooth_muscle_cells:bronchial: 0.35, Tissue_stem_cells:iliac_MSC: 0.35, Chondrocytes:MSC-derived: 0.35 |
T214_TTGTGTTAGAGTCGAC-1 | Tissue_stem_cells:BM_MSC:BMP2 | 0.12 | 881.24 | Raw ScoresTissue_stem_cells:BM_MSC:BMP2: 0.34, iPS_cells:adipose_stem_cells: 0.34, Tissue_stem_cells:iliac_MSC: 0.34, Tissue_stem_cells:BM_MSC:TGFb3: 0.34, Osteoblasts: 0.34, Tissue_stem_cells:BM_MSC: 0.34, Fibroblasts:breast: 0.34, Smooth_muscle_cells:vascular: 0.33, Tissue_stem_cells:BM_MSC:osteogenic: 0.33, Chondrocytes:MSC-derived: 0.33 |
T200_AATAGAGGTGCTTCAA-1 | Tissue_stem_cells:BM_MSC:BMP2 | 0.11 | 817.57 | Raw ScoresTissue_stem_cells:BM_MSC:BMP2: 0.37, iPS_cells:adipose_stem_cells: 0.37, Smooth_muscle_cells:vascular: 0.36, Smooth_muscle_cells:bronchial: 0.36, Fibroblasts:foreskin: 0.36, Tissue_stem_cells:iliac_MSC: 0.36, iPS_cells:CRL2097_foreskin: 0.36, Neurons:Schwann_cell: 0.36, Smooth_muscle_cells:bronchial:vit_D: 0.36, Fibroblasts:breast: 0.36 |
T200_TCTACATTCCAGCTCT-1 | Smooth_muscle_cells:vascular | 0.14 | 817.22 | Raw ScoresFibroblasts:foreskin: 0.38, Fibroblasts:breast: 0.38, iPS_cells:adipose_stem_cells: 0.38, iPS_cells:CRL2097_foreskin: 0.38, MSC: 0.38, Smooth_muscle_cells:vascular: 0.37, iPS_cells:foreskin_fibrobasts: 0.37, Tissue_stem_cells:BM_MSC:BMP2: 0.37, Neurons:Schwann_cell: 0.37, Tissue_stem_cells:BM_MSC: 0.36 |
T214_CCTTGTGAGGGTCACA-1 | Tissue_stem_cells:iliac_MSC | 0.11 | 791.44 | Raw ScoresiPS_cells:adipose_stem_cells: 0.35, Tissue_stem_cells:BM_MSC:TGFb3: 0.34, Tissue_stem_cells:BM_MSC:BMP2: 0.34, Tissue_stem_cells:BM_MSC: 0.33, Fibroblasts:breast: 0.33, Smooth_muscle_cells:bronchial: 0.33, Osteoblasts: 0.33, Tissue_stem_cells:iliac_MSC: 0.33, Smooth_muscle_cells:vascular: 0.33, Neurons:Schwann_cell: 0.33 |
T200_GACTTCCTCCCTCTCC-1 | Tissue_stem_cells:BM_MSC:BMP2 | 0.16 | 789.33 | Raw ScoresOsteoblasts: 0.37, Tissue_stem_cells:BM_MSC:BMP2: 0.37, Tissue_stem_cells:BM_MSC:TGFb3: 0.36, iPS_cells:adipose_stem_cells: 0.36, Smooth_muscle_cells:bronchial: 0.36, Fibroblasts:breast: 0.36, Tissue_stem_cells:iliac_MSC: 0.36, Tissue_stem_cells:BM_MSC: 0.36, iPS_cells:CRL2097_foreskin: 0.36, Smooth_muscle_cells:bronchial:vit_D: 0.35 |
T200_GTTTGGAAGTTGAAGT-1 | Tissue_stem_cells:BM_MSC:BMP2 | 0.14 | 784.56 | Raw ScoresTissue_stem_cells:BM_MSC:BMP2: 0.36, iPS_cells:adipose_stem_cells: 0.36, Fibroblasts:foreskin: 0.36, Fibroblasts:breast: 0.36, Tissue_stem_cells:BM_MSC:TGFb3: 0.36, Tissue_stem_cells:iliac_MSC: 0.35, Osteoblasts: 0.35, iPS_cells:CRL2097_foreskin: 0.35, Smooth_muscle_cells:bronchial: 0.35, Tissue_stem_cells:BM_MSC: 0.35 |
T214_GTTGTGACATTGTGCA-1 | iPS_cells:adipose_stem_cells | 0.15 | 784.35 | Raw ScoresiPS_cells:adipose_stem_cells: 0.35, Tissue_stem_cells:BM_MSC:BMP2: 0.35, Tissue_stem_cells:BM_MSC:TGFb3: 0.35, Osteoblasts: 0.34, Tissue_stem_cells:BM_MSC: 0.34, Fibroblasts:breast: 0.34, iPS_cells:CRL2097_foreskin: 0.34, Chondrocytes:MSC-derived: 0.34, Smooth_muscle_cells:bronchial: 0.34, Smooth_muscle_cells:vascular: 0.34 |
T214_ACTATGGAGACTAAGT-1 | iPS_cells:adipose_stem_cells | 0.15 | 769.89 | Raw ScoresiPS_cells:adipose_stem_cells: 0.38, Tissue_stem_cells:BM_MSC:BMP2: 0.37, Tissue_stem_cells:BM_MSC:TGFb3: 0.37, iPS_cells:CRL2097_foreskin: 0.37, Tissue_stem_cells:BM_MSC: 0.37, Osteoblasts: 0.37, Fibroblasts:breast: 0.37, Smooth_muscle_cells:bronchial: 0.37, Tissue_stem_cells:iliac_MSC: 0.37, MSC: 0.37 |
T214_GGAGGTATCGTAACTG-1 | Tissue_stem_cells:BM_MSC:BMP2 | 0.12 | 769.86 | Raw ScoresTissue_stem_cells:BM_MSC:BMP2: 0.32, iPS_cells:adipose_stem_cells: 0.32, Fibroblasts:breast: 0.31, Tissue_stem_cells:iliac_MSC: 0.31, Smooth_muscle_cells:bronchial: 0.31, iPS_cells:CRL2097_foreskin: 0.31, Tissue_stem_cells:BM_MSC:TGFb3: 0.31, Smooth_muscle_cells:bronchial:vit_D: 0.31, Fibroblasts:foreskin: 0.31, Osteoblasts: 0.3 |
T214_GTGGAGAGTCGATGCC-1 | Tissue_stem_cells:BM_MSC:TGFb3 | 0.12 | 754.26 | Raw ScoresSmooth_muscle_cells:bronchial: 0.33, Smooth_muscle_cells:bronchial:vit_D: 0.33, iPS_cells:adipose_stem_cells: 0.33, Tissue_stem_cells:BM_MSC:TGFb3: 0.33, Tissue_stem_cells:BM_MSC:BMP2: 0.32, Fibroblasts:breast: 0.32, Smooth_muscle_cells:vascular: 0.32, Tissue_stem_cells:iliac_MSC: 0.32, Osteoblasts: 0.32, iPS_cells:CRL2097_foreskin: 0.32 |
T200_GTCAAACGTCCAGCCA-1 | Endothelial_cells:HUVEC:IFNg | 0.10 | 747.69 | Raw ScoresEndothelial_cells:lymphatic:TNFa_48h: 0.37, Endothelial_cells:lymphatic: 0.37, Endothelial_cells:HUVEC:IFNg: 0.37, Endothelial_cells:blood_vessel: 0.37, Endothelial_cells:HUVEC:PR8-infected: 0.37, Endothelial_cells:lymphatic:KSHV: 0.35, Endothelial_cells:HUVEC:B._anthracis_LT: 0.35, Endothelial_cells:HUVEC:H5N1-infected: 0.35, Endothelial_cells:HUVEC: 0.35, Tissue_stem_cells:BM_MSC:BMP2: 0.35 |
T214_TCCTAATTCACCTCGT-1 | Osteoblasts | 0.14 | 745.61 | Raw ScoresiPS_cells:adipose_stem_cells: 0.35, Fibroblasts:breast: 0.35, iPS_cells:CRL2097_foreskin: 0.34, Smooth_muscle_cells:bronchial:vit_D: 0.34, Tissue_stem_cells:BM_MSC:TGFb3: 0.34, Smooth_muscle_cells:bronchial: 0.34, Tissue_stem_cells:BM_MSC:BMP2: 0.34, Smooth_muscle_cells:vascular: 0.34, Tissue_stem_cells:BM_MSC: 0.33, Osteoblasts: 0.33 |
T214_GAATCGTGTTGTCCCT-1 | Smooth_muscle_cells:vascular | 0.12 | 745.51 | Raw ScoresiPS_cells:adipose_stem_cells: 0.35, Smooth_muscle_cells:vascular: 0.35, Tissue_stem_cells:BM_MSC:BMP2: 0.35, Fibroblasts:breast: 0.35, Tissue_stem_cells:iliac_MSC: 0.35, Osteoblasts: 0.35, Tissue_stem_cells:BM_MSC:TGFb3: 0.34, Tissue_stem_cells:BM_MSC: 0.34, Smooth_muscle_cells:bronchial: 0.34, iPS_cells:CRL2097_foreskin: 0.34 |
T200_GTTACCCCATAACCCA-1 | Fibroblasts:foreskin | 0.13 | 729.18 | Raw ScoresTissue_stem_cells:BM_MSC:BMP2: 0.38, iPS_cells:adipose_stem_cells: 0.38, Fibroblasts:foreskin: 0.38, Tissue_stem_cells:BM_MSC:TGFb3: 0.38, Smooth_muscle_cells:bronchial: 0.37, Smooth_muscle_cells:vascular: 0.37, Fibroblasts:breast: 0.37, Smooth_muscle_cells:bronchial:vit_D: 0.37, Tissue_stem_cells:iliac_MSC: 0.37, Tissue_stem_cells:BM_MSC: 0.37 |
T200_TAATTCCGTTCTCGCT-1 | Tissue_stem_cells:BM_MSC:BMP2 | 0.15 | 726.31 | Raw ScoresiPS_cells:adipose_stem_cells: 0.37, Osteoblasts: 0.37, Tissue_stem_cells:BM_MSC:BMP2: 0.37, Fibroblasts:breast: 0.37, Tissue_stem_cells:BM_MSC: 0.37, iPS_cells:CRL2097_foreskin: 0.36, Tissue_stem_cells:BM_MSC:TGFb3: 0.36, Fibroblasts:foreskin: 0.36, Smooth_muscle_cells:vascular: 0.36, Tissue_stem_cells:iliac_MSC: 0.36 |
T214_TGCTCGTAGATGAACT-1 | Tissue_stem_cells:BM_MSC:BMP2 | 0.11 | 726.29 | Raw ScoresFibroblasts:foreskin: 0.34, Tissue_stem_cells:BM_MSC:BMP2: 0.34, iPS_cells:CRL2097_foreskin: 0.34, iPS_cells:adipose_stem_cells: 0.34, iPS_cells:foreskin_fibrobasts: 0.34, MSC: 0.34, Tissue_stem_cells:BM_MSC: 0.33, Smooth_muscle_cells:vascular: 0.33, Tissue_stem_cells:iliac_MSC: 0.33, Osteoblasts: 0.33 |
T214_ACGATGTGTACCGTGC-1 | Neurons:Schwann_cell | 0.08 | 724.59 | Raw ScoresiPS_cells:adipose_stem_cells: 0.33, Tissue_stem_cells:BM_MSC:BMP2: 0.33, Tissue_stem_cells:BM_MSC: 0.32, Tissue_stem_cells:BM_MSC:TGFb3: 0.32, Osteoblasts: 0.32, Tissue_stem_cells:iliac_MSC: 0.32, Fibroblasts:breast: 0.32, Fibroblasts:foreskin: 0.32, Tissue_stem_cells:BM_MSC:osteogenic: 0.32, Smooth_muscle_cells:vascular: 0.32 |
T214_AGCCAATAGATCCCAT-1 | Tissue_stem_cells:BM_MSC:TGFb3 | 0.11 | 711.30 | Raw ScoresiPS_cells:adipose_stem_cells: 0.34, Smooth_muscle_cells:bronchial: 0.34, Tissue_stem_cells:BM_MSC:TGFb3: 0.34, iPS_cells:CRL2097_foreskin: 0.34, Tissue_stem_cells:BM_MSC:BMP2: 0.34, Smooth_muscle_cells:bronchial:vit_D: 0.34, Tissue_stem_cells:iliac_MSC: 0.34, Tissue_stem_cells:BM_MSC: 0.33, Fibroblasts:breast: 0.33, Osteoblasts: 0.33 |
T200_CTGGCAGTCAGCTGTA-1 | Tissue_stem_cells:BM_MSC:BMP2 | 0.13 | 708.73 | Raw ScoresiPS_cells:adipose_stem_cells: 0.35, Fibroblasts:breast: 0.35, Osteoblasts: 0.35, Tissue_stem_cells:iliac_MSC: 0.35, Tissue_stem_cells:BM_MSC:BMP2: 0.35, Fibroblasts:foreskin: 0.34, iPS_cells:CRL2097_foreskin: 0.34, Smooth_muscle_cells:bronchial: 0.34, Smooth_muscle_cells:vascular: 0.34, Tissue_stem_cells:BM_MSC: 0.34 |
T200_GAACGTTTCATAGGCT-1 | Tissue_stem_cells:BM_MSC:BMP2 | 0.12 | 707.55 | Raw ScoresTissue_stem_cells:BM_MSC:BMP2: 0.39, iPS_cells:adipose_stem_cells: 0.38, Tissue_stem_cells:iliac_MSC: 0.38, Fibroblasts:foreskin: 0.38, Fibroblasts:breast: 0.38, Tissue_stem_cells:BM_MSC:TGFb3: 0.37, Smooth_muscle_cells:vascular: 0.37, iPS_cells:CRL2097_foreskin: 0.37, Tissue_stem_cells:BM_MSC: 0.37, Osteoblasts: 0.37 |
T200_ACTTATCGTCCTCCAT-1 | Tissue_stem_cells:BM_MSC:BMP2 | 0.13 | 705.47 | Raw ScoresSmooth_muscle_cells:vascular: 0.39, iPS_cells:adipose_stem_cells: 0.39, MSC: 0.39, Fibroblasts:foreskin: 0.38, Fibroblasts:breast: 0.38, iPS_cells:CRL2097_foreskin: 0.38, iPS_cells:foreskin_fibrobasts: 0.38, iPS_cells:skin_fibroblast: 0.38, iPS_cells:PDB_fibroblasts: 0.38, Neurons:Schwann_cell: 0.37 |
T200_AAGTTCGGTCCTCCTA-1 | Tissue_stem_cells:BM_MSC:BMP2 | 0.15 | 691.73 | Raw ScoresiPS_cells:adipose_stem_cells: 0.38, Fibroblasts:breast: 0.38, Osteoblasts: 0.38, Tissue_stem_cells:BM_MSC: 0.38, Smooth_muscle_cells:vascular: 0.38, Tissue_stem_cells:BM_MSC:BMP2: 0.37, iPS_cells:CRL2097_foreskin: 0.37, Tissue_stem_cells:iliac_MSC: 0.37, MSC: 0.37, Tissue_stem_cells:BM_MSC:TGFb3: 0.37 |
T200_GGTGATTCACAACCGC-1 | Fibroblasts:foreskin | 0.13 | 689.38 | Raw ScoresTissue_stem_cells:BM_MSC:BMP2: 0.35, Fibroblasts:foreskin: 0.35, iPS_cells:adipose_stem_cells: 0.34, Tissue_stem_cells:BM_MSC:TGFb3: 0.34, Tissue_stem_cells:BM_MSC: 0.34, Osteoblasts: 0.33, Tissue_stem_cells:iliac_MSC: 0.33, Smooth_muscle_cells:vascular: 0.33, Smooth_muscle_cells:bronchial: 0.33, Fibroblasts:breast: 0.33 |
T200_TAGAGTCCACATATGC-1 | Smooth_muscle_cells:vascular | 0.15 | 681.62 | Raw ScoresSmooth_muscle_cells:vascular: 0.32, MSC: 0.32, Fibroblasts:foreskin: 0.32, Tissue_stem_cells:BM_MSC: 0.31, Fibroblasts:breast: 0.31, Neurons:Schwann_cell: 0.31, iPS_cells:CRL2097_foreskin: 0.31, iPS_cells:foreskin_fibrobasts: 0.31, Osteoblasts: 0.31, iPS_cells:adipose_stem_cells: 0.3 |
T200_ATCGTCCGTACCCGAC-1 | Smooth_muscle_cells:bronchial | 0.15 | 678.96 | Raw ScoresSmooth_muscle_cells:bronchial: 0.35, Smooth_muscle_cells:bronchial:vit_D: 0.35, Tissue_stem_cells:BM_MSC:BMP2: 0.34, Osteoblasts: 0.34, iPS_cells:CRL2097_foreskin: 0.34, Tissue_stem_cells:BM_MSC:TGFb3: 0.34, iPS_cells:adipose_stem_cells: 0.34, Fibroblasts:breast: 0.34, Tissue_stem_cells:iliac_MSC: 0.33, Chondrocytes:MSC-derived: 0.33 |
T200_CGGAATTAGGATACGC-1 | Tissue_stem_cells:BM_MSC:BMP2 | 0.12 | 669.93 | Raw ScoresTissue_stem_cells:BM_MSC:BMP2: 0.33, Smooth_muscle_cells:bronchial: 0.33, Fibroblasts:breast: 0.33, iPS_cells:adipose_stem_cells: 0.33, Smooth_muscle_cells:bronchial:vit_D: 0.33, Tissue_stem_cells:BM_MSC:TGFb3: 0.32, iPS_cells:CRL2097_foreskin: 0.32, Fibroblasts:foreskin: 0.32, Osteoblasts: 0.32, Tissue_stem_cells:iliac_MSC: 0.32 |
T200_ACTGTCCTCTCGGCTT-1 | Tissue_stem_cells:BM_MSC:BMP2 | 0.12 | 664.71 | Raw ScoresFibroblasts:foreskin: 0.37, Tissue_stem_cells:BM_MSC:BMP2: 0.36, Osteoblasts: 0.35, iPS_cells:adipose_stem_cells: 0.35, Tissue_stem_cells:BM_MSC:TGFb3: 0.35, Fibroblasts:breast: 0.35, Tissue_stem_cells:iliac_MSC: 0.35, Tissue_stem_cells:BM_MSC: 0.35, iPS_cells:CRL2097_foreskin: 0.34, Smooth_muscle_cells:vascular: 0.34 |
T200_GCACGTGCAGAGAGGG-1 | Tissue_stem_cells:BM_MSC:BMP2 | 0.13 | 658.37 | Raw ScoresSmooth_muscle_cells:bronchial: 0.35, Tissue_stem_cells:BM_MSC:BMP2: 0.35, Smooth_muscle_cells:bronchial:vit_D: 0.35, Tissue_stem_cells:iliac_MSC: 0.35, Fibroblasts:foreskin: 0.34, Tissue_stem_cells:BM_MSC:TGFb3: 0.34, iPS_cells:adipose_stem_cells: 0.34, Fibroblasts:breast: 0.34, Osteoblasts: 0.34, iPS_cells:CRL2097_foreskin: 0.34 |
T200_TACTTCATCGGTCATA-1 | Tissue_stem_cells:BM_MSC:BMP2 | 0.14 | 631.16 | Raw ScoresiPS_cells:adipose_stem_cells: 0.36, Tissue_stem_cells:BM_MSC:BMP2: 0.36, Fibroblasts:breast: 0.36, iPS_cells:CRL2097_foreskin: 0.36, Tissue_stem_cells:BM_MSC:TGFb3: 0.36, Smooth_muscle_cells:vascular: 0.35, Fibroblasts:foreskin: 0.35, Smooth_muscle_cells:bronchial: 0.35, Osteoblasts: 0.35, MSC: 0.35 |
T200_CGTGATACAAACCATC-1 | Tissue_stem_cells:BM_MSC | 0.12 | 624.79 | Raw ScoresFibroblasts:foreskin: 0.36, iPS_cells:adipose_stem_cells: 0.36, Tissue_stem_cells:BM_MSC: 0.36, Smooth_muscle_cells:vascular: 0.36, Fibroblasts:breast: 0.36, Tissue_stem_cells:BM_MSC:BMP2: 0.35, Tissue_stem_cells:iliac_MSC: 0.35, Osteoblasts: 0.35, MSC: 0.35, Neurons:Schwann_cell: 0.35 |
T200_CTCCAACTCGTTCCCA-1 | Fibroblasts:foreskin | 0.14 | 620.22 | Raw ScoresTissue_stem_cells:BM_MSC:BMP2: 0.38, Osteoblasts: 0.38, Tissue_stem_cells:BM_MSC:TGFb3: 0.37, Tissue_stem_cells:iliac_MSC: 0.37, Fibroblasts:foreskin: 0.37, Fibroblasts:breast: 0.37, iPS_cells:adipose_stem_cells: 0.37, Smooth_muscle_cells:bronchial: 0.37, Tissue_stem_cells:BM_MSC: 0.37, Chondrocytes:MSC-derived: 0.37 |
T214_GGGATCCGTAGACGGT-1 | Neurons:adrenal_medulla_cell_line | 0.10 | 615.08 | Raw ScoresMSC: 0.32, Smooth_muscle_cells:vascular: 0.31, Fibroblasts:foreskin: 0.31, Tissue_stem_cells:lipoma-derived_MSC: 0.31, Tissue_stem_cells:adipose-derived_MSC_AM3: 0.31, Fibroblasts:breast: 0.31, Neurons:Schwann_cell: 0.31, iPS_cells:CRL2097_foreskin: 0.31, iPS_cells:fibroblasts: 0.31, iPS_cells:skin_fibroblast: 0.31 |
T200_CAGCCAGTCACAATGC-1 | Tissue_stem_cells:BM_MSC:BMP2 | 0.15 | 612.01 | Raw ScoresiPS_cells:adipose_stem_cells: 0.38, Tissue_stem_cells:BM_MSC:BMP2: 0.37, Fibroblasts:breast: 0.37, Osteoblasts: 0.37, Tissue_stem_cells:BM_MSC:TGFb3: 0.37, Tissue_stem_cells:BM_MSC: 0.37, iPS_cells:CRL2097_foreskin: 0.37, Smooth_muscle_cells:vascular: 0.37, Smooth_muscle_cells:bronchial: 0.36, Tissue_stem_cells:iliac_MSC: 0.36 |
T214_CTCACTGGTCTAGGTT-1 | Fibroblasts:breast | 0.14 | 598.07 | Raw ScoresiPS_cells:adipose_stem_cells: 0.35, Osteoblasts: 0.35, iPS_cells:CRL2097_foreskin: 0.34, Fibroblasts:breast: 0.34, Smooth_muscle_cells:bronchial: 0.34, Tissue_stem_cells:BM_MSC:BMP2: 0.34, Smooth_muscle_cells:bronchial:vit_D: 0.34, Tissue_stem_cells:iliac_MSC: 0.34, Tissue_stem_cells:BM_MSC:TGFb3: 0.34, Tissue_stem_cells:BM_MSC: 0.34 |
T214_AGGGCTCAGCAATAAC-1 | Smooth_muscle_cells:vascular | 0.12 | 595.53 | Raw ScoresiPS_cells:adipose_stem_cells: 0.32, Tissue_stem_cells:iliac_MSC: 0.32, Tissue_stem_cells:BM_MSC:TGFb3: 0.32, Tissue_stem_cells:BM_MSC:BMP2: 0.32, Osteoblasts: 0.31, Fibroblasts:breast: 0.31, Smooth_muscle_cells:bronchial: 0.31, Smooth_muscle_cells:bronchial:vit_D: 0.31, iPS_cells:CRL2097_foreskin: 0.31, Smooth_muscle_cells:vascular: 0.31 |
Below shows the significant enrichments of this GEP for literature curated gene lists
This data was procured from existing single cell RNA-seq maps of neuroblastoma or related relevant data.
High ranks indicate this gene is a driver of this GEP.
These curated gene list are ranked by the P-value (on this GEP) of their constituent genes.
The Mean Count column shows the mean read count in cells scoring highly (H > 50) on this gene expression program.
Genes | Weight | Rank | GTEx | DepMap | Decartes | Mean.Counts | Mean.TPM |
---|---|---|---|---|---|---|---|
THY1 | 0.0146440 | 2 | GTEx | DepMap | Descartes | 13.79 | 742.36 |
BGN | 0.0123491 | 9 | GTEx | DepMap | Descartes | 8.73 | 927.61 |
IGFBP7 | 0.0096524 | 17 | GTEx | DepMap | Descartes | 103.55 | 18269.22 |
COL4A1 | 0.0081674 | 27 | GTEx | DepMap | Descartes | 11.15 | 355.87 |
MYLK | 0.0079320 | 31 | GTEx | DepMap | Descartes | 2.72 | 62.55 |
TPM2 | 0.0075721 | 37 | GTEx | DepMap | Descartes | 12.38 | 1920.98 |
COL5A2 | 0.0067385 | 48 | GTEx | DepMap | Descartes | 2.29 | 75.12 |
MYL9 | 0.0064715 | 52 | GTEx | DepMap | Descartes | 10.56 | 972.47 |
PGF | 0.0062857 | 55 | GTEx | DepMap | Descartes | 2.43 | 181.05 |
MEF2C | 0.0049908 | 89 | GTEx | DepMap | Descartes | 2.39 | 83.10 |
TPM1 | 0.0049695 | 90 | GTEx | DepMap | Descartes | 11.17 | 675.25 |
COL1A2 | 0.0047484 | 94 | GTEx | DepMap | Descartes | 13.52 | 548.51 |
TAGLN | 0.0047201 | 95 | GTEx | DepMap | Descartes | 25.55 | 1662.64 |
ACTA2 | 0.0046909 | 99 | GTEx | DepMap | Descartes | 19.00 | 3282.71 |
COL3A1 | 0.0042771 | 117 | GTEx | DepMap | Descartes | 8.30 | 396.73 |
MMP11 | 0.0032938 | 165 | GTEx | DepMap | Descartes | 0.83 | 60.12 |
ITGA7 | 0.0032501 | 170 | GTEx | DepMap | Descartes | 0.38 | 22.48 |
RGS5 | 0.0031504 | 175 | GTEx | DepMap | Descartes | 15.45 | 719.24 |
FN1 | 0.0030971 | 180 | GTEx | DepMap | Descartes | 11.77 | 287.80 |
TNC | 0.0022269 | 272 | GTEx | DepMap | Descartes | 1.14 | 25.70 |
COL1A1 | 0.0022105 | 277 | GTEx | DepMap | Descartes | 15.29 | 592.79 |
COL12A1 | 0.0017774 | 361 | GTEx | DepMap | Descartes | 0.59 | 9.19 |
CNN3 | 0.0015478 | 422 | GTEx | DepMap | Descartes | 3.00 | 324.42 |
MYH11 | 0.0012020 | 551 | GTEx | DepMap | Descartes | 0.79 | 31.75 |
COL14A1 | 0.0011530 | 563 | GTEx | DepMap | Descartes | 0.54 | 17.45 |
COL5A1 | 0.0011137 | 578 | GTEx | DepMap | Descartes | 0.87 | 19.02 |
HOPX | 0.0006093 | 984 | GTEx | DepMap | Descartes | 0.71 | 56.27 |
TMEM119 | 0.0005954 | 1006 | GTEx | DepMap | Descartes | 0.17 | 17.23 |
TGFB1 | 0.0005940 | 1008 | GTEx | DepMap | Descartes | 0.96 | 70.11 |
POSTN | 0.0004185 | 1330 | GTEx | DepMap | Descartes | 3.43 | 198.36 |
CNN2 | 0.0003857 | 1400 | GTEx | DepMap | Descartes | 0.51 | 48.95 |
COL13A1 | 0.0003830 | 1408 | GTEx | DepMap | Descartes | 0.03 | 2.43 |
TGFBR2 | 0.0003217 | 1634 | GTEx | DepMap | Descartes | 0.83 | 29.89 |
IGFBP3 | 0.0002008 | 2211 | GTEx | DepMap | Descartes | 0.70 | 31.14 |
COL8A1 | -0.0000121 | 5258 | GTEx | DepMap | Descartes | 0.47 | 15.31 |
COL10A1 | -0.0000175 | 5418 | GTEx | DepMap | Descartes | 0.00 | 0.00 |
TGFB2 | -0.0000774 | 7363 | GTEx | DepMap | Descartes | 0.09 | 2.51 |
VEGFA | -0.0000952 | 7935 | GTEx | DepMap | Descartes | 0.17 | 2.66 |
WNT5A | -0.0001100 | 8397 | GTEx | DepMap | Descartes | 0.03 | 0.54 |
VCAN | -0.0001224 | 8758 | GTEx | DepMap | Descartes | 1.27 | 18.14 |
TGFBR1 | -0.0001839 | 10170 | GTEx | DepMap | Descartes | 0.22 | 5.59 |
LUM | -0.0002489 | 11147 | GTEx | DepMap | Descartes | 2.37 | 237.67 |
COL11A1 | -0.0002506 | 11161 | GTEx | DepMap | Descartes | 0.02 | 0.20 |
MMP2 | -0.0003338 | 11840 | GTEx | DepMap | Descartes | 0.63 | 31.29 |
DCN | -0.0003785 | 12024 | GTEx | DepMap | Descartes | 2.23 | 73.35 |
THBS2 | -0.0004143 | 12149 | GTEx | DepMap | Descartes | 0.49 | 20.13 |
COL15A1 | -0.0004495 | 12248 | GTEx | DepMap | Descartes | 1.00 | 24.94 |
THBS1 | -0.0008999 | 12533 | GTEx | DepMap | Descartes | 0.88 | 17.20 |
ACTG2 | -0.0018245 | 12549 | GTEx | DepMap | Descartes | 0.92 | 86.84 |
Mesenchymal cells (Yuan)
Obtained from Fig. 1 of Yuan et al. https://www.biorxiv.org/content/10.1101/2020.05.15.097469v1:
Wilcoxon ranksum test P-value for gene set overrepresentation: 3.38e-04
Mean rank of genes in gene set: 118.75
Rank on gene expression program of genes in gene set:
Genes | Weight | Rank | GTEx | DepMap | Decartes | Mean.Counts | Mean.TPM |
---|---|---|---|---|---|---|---|
COL6A1 | 0.0058418 | 65 | GTEx | DepMap | Descartes | 4.76 | 264.36 |
COL1A2 | 0.0047484 | 94 | GTEx | DepMap | Descartes | 13.52 | 548.51 |
COL3A1 | 0.0042771 | 117 | GTEx | DepMap | Descartes | 8.30 | 396.73 |
VIM | 0.0027993 | 199 | GTEx | DepMap | Descartes | 38.66 | 3064.49 |
Stroma (Hanemaaijer)
Marker genes obtained from Supplementary Table SD of Hanemaaijer et al (PMID 33500353). The authors generated single-cell RNA-seq data (sort-seq, 2,229 cells total) from mouse adrenal glads at E13.5, E14.5, E17.5, E18.5, P1 and P5. These were marker genes that matched with a similar dataset generated by Furlan et al (PMID 28684471). This particular set of markers are for the broad Stroma cluster:
Wilcoxon ranksum test P-value for gene set overrepresentation: 3.40e-04
Mean rank of genes in gene set: 771.2
Rank on gene expression program of genes in gene set:
Genes | Weight | Rank | GTEx | DepMap | Decartes | Mean.Counts | Mean.TPM |
---|---|---|---|---|---|---|---|
COL6A1 | 0.0058418 | 65 | GTEx | DepMap | Descartes | 4.76 | 264.36 |
COL3A1 | 0.0042771 | 117 | GTEx | DepMap | Descartes | 8.30 | 396.73 |
FN1 | 0.0030971 | 180 | GTEx | DepMap | Descartes | 11.77 | 287.80 |
COL5A1 | 0.0011137 | 578 | GTEx | DepMap | Descartes | 0.87 | 19.02 |
GPC3 | 0.0001221 | 2916 | GTEx | DepMap | Descartes | 0.28 | 22.15 |
Below shows ranks on this GEP for literature curated gene lists for large gene sets
These include those reported as mesenchymal/adrenergic by Van Groningen et al.
High ranks indicate this gene is a driver of this GEP (note these results are not ordered).
The Mean Count column shows the mean read count in cells scoring highly (H > 50) on this gene expression program.
VanGroningen Adrenergic Genes
Adrenergic marker genes from Supplementary Table 2 of Van Groningen et al. Nature Genetics 2017. These genes were identified by differential expression analysis of mesenchymal-like and adrenergic-like neuroblastoma cell lines.
Wilcoxon ranksum test P-value for gene set overrepresentation: 1.00e+00
Mean rank of genes in gene set: 10648.68
Median rank of genes in gene set: 11712
Rank on gene expression program of top 30 genes in gene set:
Genes | Weight | Rank | GTEx | DepMap | Descartes | Mean.Counts | Mean.TPM |
---|---|---|---|---|---|---|---|
RGS5 | 0.0031504 | 175 | GTEx | DepMap | Descartes | 15.45 | 719.24 |
CYGB | 0.0023880 | 243 | GTEx | DepMap | Descartes | 1.63 | 194.99 |
SYNPO2 | 0.0010389 | 616 | GTEx | DepMap | Descartes | 0.88 | 12.59 |
SLIT3 | 0.0008385 | 741 | GTEx | DepMap | Descartes | 1.48 | 41.03 |
GNB1 | 0.0002800 | 1802 | GTEx | DepMap | Descartes | 1.35 | 84.83 |
ARHGEF7 | 0.0002434 | 1969 | GTEx | DepMap | Descartes | 0.46 | 15.78 |
NFIL3 | 0.0002159 | 2118 | GTEx | DepMap | Descartes | 0.27 | 30.50 |
NET1 | 0.0002119 | 2148 | GTEx | DepMap | Descartes | 0.35 | 20.26 |
EML4 | 0.0001909 | 2268 | GTEx | DepMap | Descartes | 0.46 | 20.84 |
ANP32A | 0.0001678 | 2481 | GTEx | DepMap | Descartes | 1.21 | 58.98 |
CETN3 | 0.0001278 | 2859 | GTEx | DepMap | Descartes | 0.25 | 23.74 |
AKAP12 | 0.0001059 | 3085 | GTEx | DepMap | Descartes | 1.86 | 40.85 |
KLF13 | 0.0000882 | 3314 | GTEx | DepMap | Descartes | 0.41 | 12.38 |
KLHL23 | 0.0000858 | 3343 | GTEx | DepMap | Descartes | 1.05 | 44.88 |
TUBB4B | 0.0000740 | 3515 | GTEx | DepMap | Descartes | 2.51 | 214.23 |
SETD7 | 0.0000655 | 3626 | GTEx | DepMap | Descartes | 0.21 | 4.90 |
HEY1 | 0.0000491 | 3909 | GTEx | DepMap | Descartes | 0.15 | 6.85 |
FBXO8 | 0.0000418 | 4016 | GTEx | DepMap | Descartes | 0.40 | 35.10 |
FAM167A | 0.0000396 | 4053 | GTEx | DepMap | Descartes | 0.01 | 0.51 |
FKBP4 | 0.0000226 | 4379 | GTEx | DepMap | Descartes | 1.03 | 59.53 |
TMEM108 | 0.0000155 | 4527 | GTEx | DepMap | Descartes | 0.14 | 3.77 |
AHSA1 | 0.0000025 | 4829 | GTEx | DepMap | Descartes | 0.86 | 129.44 |
RET | -0.0000013 | 4924 | GTEx | DepMap | Descartes | 0.02 | 0.88 |
CD200 | -0.0000053 | 5037 | GTEx | DepMap | Descartes | 0.46 | 41.89 |
MSH6 | -0.0000082 | 5116 | GTEx | DepMap | Descartes | 0.43 | 10.84 |
EXOC5 | -0.0000160 | 5376 | GTEx | DepMap | Descartes | 0.29 | 5.32 |
PHPT1 | -0.0000170 | 5397 | GTEx | DepMap | Descartes | 3.28 | 487.76 |
MAGI3 | -0.0000230 | 5644 | GTEx | DepMap | Descartes | 0.15 | 3.09 |
RAB6B | -0.0000242 | 5683 | GTEx | DepMap | Descartes | 0.28 | 9.85 |
SHC3 | -0.0000511 | 6527 | GTEx | DepMap | Descartes | 0.01 | 0.66 |
VanGroningen Mesenchymal Genes
Mesenchymal marker genes from Supplementary Table 2 of Van Groningen et al. Nature Genetics 2017. These genes were identified by differential expression analysis of mesenchymal-like and adrenergic-like neuroblastoma cell lines.
Wilcoxon ranksum test P-value for gene set overrepresentation: 6.62e-85
Mean rank of genes in gene set: 2948.77
Median rank of genes in gene set: 1230
Rank on gene expression program of top 30 genes in gene set:
Genes | Weight | Rank | GTEx | DepMap | Descartes | Mean.Counts | Mean.TPM |
---|---|---|---|---|---|---|---|
BGN | 0.0123491 | 9 | GTEx | DepMap | Descartes | 8.73 | 927.61 |
EDNRA | 0.0115854 | 10 | GTEx | DepMap | Descartes | 1.01 | 68.00 |
PRRX1 | 0.0110480 | 11 | GTEx | DepMap | Descartes | 1.59 | 103.43 |
CALD1 | 0.0103556 | 13 | GTEx | DepMap | Descartes | 18.61 | 904.51 |
COL4A2 | 0.0095712 | 18 | GTEx | DepMap | Descartes | 11.87 | 405.34 |
FILIP1L | 0.0082999 | 26 | GTEx | DepMap | Descartes | 2.76 | 165.16 |
COL4A1 | 0.0081674 | 27 | GTEx | DepMap | Descartes | 11.15 | 355.87 |
EPS8 | 0.0081558 | 28 | GTEx | DepMap | Descartes | 2.20 | 112.02 |
OLFML2A | 0.0078782 | 33 | GTEx | DepMap | Descartes | 1.35 | 54.44 |
EHD2 | 0.0075984 | 35 | GTEx | DepMap | Descartes | 1.08 | 77.07 |
TPM2 | 0.0075721 | 37 | GTEx | DepMap | Descartes | 12.38 | 1920.98 |
SPARCL1 | 0.0075613 | 38 | GTEx | DepMap | Descartes | 10.26 | 877.47 |
COL6A2 | 0.0068538 | 46 | GTEx | DepMap | Descartes | 7.32 | 535.99 |
COL5A2 | 0.0067385 | 48 | GTEx | DepMap | Descartes | 2.29 | 75.12 |
SPARC | 0.0066699 | 50 | GTEx | DepMap | Descartes | 19.87 | 1288.70 |
IFITM3 | 0.0062687 | 56 | GTEx | DepMap | Descartes | 27.51 | 10279.85 |
SYDE1 | 0.0061214 | 60 | GTEx | DepMap | Descartes | 0.44 | 26.39 |
COL6A1 | 0.0058418 | 65 | GTEx | DepMap | Descartes | 4.76 | 264.36 |
ITGB1 | 0.0057107 | 67 | GTEx | DepMap | Descartes | 8.91 | 559.81 |
ID3 | 0.0056153 | 69 | GTEx | DepMap | Descartes | 9.41 | 2653.03 |
PLS3 | 0.0054992 | 71 | GTEx | DepMap | Descartes | 1.10 | 81.51 |
TGFB1I1 | 0.0053590 | 74 | GTEx | DepMap | Descartes | 2.38 | 121.32 |
TNS1 | 0.0053075 | 76 | GTEx | DepMap | Descartes | 0.87 | 19.20 |
PEAK1 | 0.0051454 | 83 | GTEx | DepMap | Descartes | 0.89 | NA |
TIMP1 | 0.0050978 | 84 | GTEx | DepMap | Descartes | 39.35 | 7448.88 |
KANK2 | 0.0050055 | 86 | GTEx | DepMap | Descartes | 0.76 | 37.89 |
S1PR3 | 0.0049977 | 87 | GTEx | DepMap | Descartes | 0.56 | 18.02 |
TPM1 | 0.0049695 | 90 | GTEx | DepMap | Descartes | 11.17 | 675.25 |
A2M | 0.0047065 | 96 | GTEx | DepMap | Descartes | 5.05 | 251.09 |
OLFML2B | 0.0047064 | 97 | GTEx | DepMap | Descartes | 1.72 | 149.03 |
Descartes adrenocortical markers
Top 50 marker genes of adrenocortical cells in the Decartes fetal adrenal single cell map (https://atlas.brotmanbaty.org/bbi/human-gene-expression-during-development/cell/adrenocortical/in/adrenal)
Wilcoxon ranksum test P-value for gene set overrepresentation: 9.99e-01
Mean rank of genes in gene set: 8171.86
Median rank of genes in gene set: 9020
Rank on gene expression program of top 30 genes in gene set:
Genes | Weight | Rank | GTEx | DepMap | Descartes | Mean.Counts | Mean.TPM |
---|---|---|---|---|---|---|---|
PAPSS2 | 0.0006825 | 903 | GTEx | DepMap | Descartes | 0.23 | 11.77 |
FDX1 | 0.0002931 | 1740 | GTEx | DepMap | Descartes | 0.67 | 44.50 |
SH3PXD2B | 0.0002558 | 1916 | GTEx | DepMap | Descartes | 0.17 | 3.58 |
POR | 0.0002099 | 2152 | GTEx | DepMap | Descartes | 0.41 | 34.74 |
NPC1 | 0.0000774 | 3464 | GTEx | DepMap | Descartes | 0.05 | 2.53 |
GRAMD1B | 0.0000431 | 3994 | GTEx | DepMap | Descartes | 0.06 | 1.08 |
IGF1R | 0.0000276 | 4276 | GTEx | DepMap | Descartes | 0.27 | 4.00 |
SCAP | 0.0000185 | 4463 | GTEx | DepMap | Descartes | 0.22 | 8.63 |
PDE10A | -0.0000074 | 5092 | GTEx | DepMap | Descartes | 0.11 | 2.16 |
INHA | -0.0000624 | 6885 | GTEx | DepMap | Descartes | 0.00 | 0.00 |
STAR | -0.0000656 | 6995 | GTEx | DepMap | Descartes | 0.01 | 0.22 |
FDXR | -0.0000730 | 7225 | GTEx | DepMap | Descartes | 0.13 | 11.20 |
LDLR | -0.0000750 | 7288 | GTEx | DepMap | Descartes | 0.16 | 5.77 |
ERN1 | -0.0000885 | 7711 | GTEx | DepMap | Descartes | 0.08 | 1.97 |
FREM2 | -0.0000908 | 7785 | GTEx | DepMap | Descartes | 0.01 | 0.05 |
BAIAP2L1 | -0.0001000 | 8081 | GTEx | DepMap | Descartes | 0.01 | 0.54 |
SGCZ | -0.0001279 | 8916 | GTEx | DepMap | Descartes | 0.01 | 0.10 |
DHCR24 | -0.0001292 | 8938 | GTEx | DepMap | Descartes | 0.05 | 1.54 |
CYB5B | -0.0001360 | 9102 | GTEx | DepMap | Descartes | 0.38 | 16.97 |
FDPS | -0.0001403 | 9205 | GTEx | DepMap | Descartes | 1.14 | 98.99 |
SLC16A9 | -0.0001575 | 9583 | GTEx | DepMap | Descartes | 0.02 | 0.41 |
FRMD5 | -0.0001583 | 9600 | GTEx | DepMap | Descartes | 0.02 | 0.38 |
MSMO1 | -0.0001840 | 10171 | GTEx | DepMap | Descartes | 0.17 | 12.86 |
SCARB1 | -0.0002015 | 10506 | GTEx | DepMap | Descartes | 0.10 | 2.85 |
HMGCR | -0.0002114 | 10655 | GTEx | DepMap | Descartes | 0.09 | 3.12 |
HMGCS1 | -0.0002252 | 10841 | GTEx | DepMap | Descartes | 0.20 | 6.16 |
GSTA4 | -0.0002324 | 10950 | GTEx | DepMap | Descartes | 0.69 | 76.40 |
DNER | -0.0002434 | 11079 | GTEx | DepMap | Descartes | 0.08 | 2.65 |
SLC1A2 | -0.0002601 | 11272 | GTEx | DepMap | Descartes | 0.04 | 0.27 |
APOC1 | -0.0002794 | 11471 | GTEx | DepMap | Descartes | 1.77 | 361.73 |
Descartes chromaffin markers
Top 50 marker genes of chromaffin cells in the Decartes fetal adrenal single cell map (https://atlas.brotmanbaty.org/bbi/human-gene-expression-during-development/cell/chromaffin/in/adrenal)
Wilcoxon ranksum test P-value for gene set overrepresentation: 1.00e+00
Mean rank of genes in gene set: 11045.05
Median rank of genes in gene set: 11868
Rank on gene expression program of top 30 genes in gene set:
Genes | Weight | Rank | GTEx | DepMap | Descartes | Mean.Counts | Mean.TPM |
---|---|---|---|---|---|---|---|
SYNPO2 | 0.0010389 | 616 | GTEx | DepMap | Descartes | 0.88 | 12.59 |
FAT3 | -0.0000251 | 5715 | GTEx | DepMap | Descartes | 0.09 | 1.00 |
EPHA6 | -0.0001183 | 8647 | GTEx | DepMap | Descartes | 0.01 | 0.22 |
ANKFN1 | -0.0001231 | 8775 | GTEx | DepMap | Descartes | 0.00 | 0.00 |
RPH3A | -0.0001273 | 8898 | GTEx | DepMap | Descartes | 0.03 | 0.54 |
RYR2 | -0.0001373 | 9138 | GTEx | DepMap | Descartes | 0.09 | 0.87 |
SLC44A5 | -0.0001381 | 9159 | GTEx | DepMap | Descartes | 0.02 | 0.46 |
ALK | -0.0001612 | 9668 | GTEx | DepMap | Descartes | 0.02 | 0.79 |
PTCHD1 | -0.0001905 | 10300 | GTEx | DepMap | Descartes | 0.04 | 0.39 |
HS3ST5 | -0.0001971 | 10429 | GTEx | DepMap | Descartes | 0.00 | 0.09 |
EYA4 | -0.0002182 | 10747 | GTEx | DepMap | Descartes | 0.01 | 0.25 |
PLXNA4 | -0.0002270 | 10868 | GTEx | DepMap | Descartes | 0.03 | 0.26 |
TMEM132C | -0.0002346 | 10969 | GTEx | DepMap | Descartes | 0.02 | 0.65 |
KCNB2 | -0.0002349 | 10975 | GTEx | DepMap | Descartes | 0.03 | 0.98 |
CNKSR2 | -0.0002464 | 11107 | GTEx | DepMap | Descartes | 0.04 | 0.50 |
SLC6A2 | -0.0002508 | 11165 | GTEx | DepMap | Descartes | 0.03 | 0.73 |
EYA1 | -0.0002527 | 11188 | GTEx | DepMap | Descartes | 0.06 | 1.19 |
TMEFF2 | -0.0002964 | 11594 | GTEx | DepMap | Descartes | 0.12 | 3.48 |
RBFOX1 | -0.0002980 | 11600 | GTEx | DepMap | Descartes | 0.03 | 0.96 |
IL7 | -0.0003293 | 11809 | GTEx | DepMap | Descartes | 0.12 | 6.76 |
NTRK1 | -0.0003393 | 11868 | GTEx | DepMap | Descartes | 0.10 | 3.24 |
RGMB | -0.0003636 | 11966 | GTEx | DepMap | Descartes | 0.17 | 3.98 |
REEP1 | -0.0003810 | 12035 | GTEx | DepMap | Descartes | 0.18 | 5.72 |
GAL | -0.0003935 | 12078 | GTEx | DepMap | Descartes | 0.29 | 60.76 |
GREM1 | -0.0004763 | 12292 | GTEx | DepMap | Descartes | 0.01 | 0.07 |
CNTFR | -0.0005129 | 12358 | GTEx | DepMap | Descartes | 0.15 | 6.92 |
MARCH11 | -0.0005158 | 12362 | GTEx | DepMap | Descartes | 0.82 | NA |
MAB21L2 | -0.0005217 | 12369 | GTEx | DepMap | Descartes | 0.48 | 16.81 |
ELAVL2 | -0.0005449 | 12387 | GTEx | DepMap | Descartes | 0.38 | 9.59 |
CCND1 | -0.0005506 | 12393 | GTEx | DepMap | Descartes | 3.34 | 134.92 |
Descartes Vascular_endothelial markers
Top 50 marker genes of Vascular_endothelial cells in the Decartes fetal adrenal single cell map (https://atlas.brotmanbaty.org/bbi/human-gene-expression-during-development/cell/vascular_endothelial/in/adrenal)
Wilcoxon ranksum test P-value for gene set overrepresentation: 1.00e+00
Mean rank of genes in gene set: 9864.53
Median rank of genes in gene set: 11243.5
Rank on gene expression program of top 30 genes in gene set:
Genes | Weight | Rank | GTEx | DepMap | Descartes | Mean.Counts | Mean.TPM |
---|---|---|---|---|---|---|---|
ARHGAP29 | 0.0025321 | 232 | GTEx | DepMap | Descartes | 1.54 | 39.30 |
EHD3 | 0.0006043 | 995 | GTEx | DepMap | Descartes | 0.08 | 3.78 |
CALCRL | 0.0004124 | 1343 | GTEx | DepMap | Descartes | 0.34 | 9.82 |
CYP26B1 | 0.0000894 | 3287 | GTEx | DepMap | Descartes | 0.20 | 6.44 |
F8 | 0.0000240 | 4346 | GTEx | DepMap | Descartes | 0.06 | 1.29 |
MMRN2 | -0.0000469 | 6410 | GTEx | DepMap | Descartes | 0.32 | 13.73 |
NR5A2 | -0.0000787 | 7400 | GTEx | DepMap | Descartes | 0.03 | 0.93 |
IRX3 | -0.0000948 | 7919 | GTEx | DepMap | Descartes | 0.07 | 3.25 |
CDH13 | -0.0001070 | 8299 | GTEx | DepMap | Descartes | 0.28 | 6.52 |
ESM1 | -0.0001366 | 9124 | GTEx | DepMap | Descartes | 0.50 | 24.16 |
CRHBP | -0.0001588 | 9620 | GTEx | DepMap | Descartes | 0.00 | 0.00 |
HYAL2 | -0.0001712 | 9898 | GTEx | DepMap | Descartes | 0.75 | 31.48 |
KANK3 | -0.0001879 | 10259 | GTEx | DepMap | Descartes | 0.13 | 7.58 |
CEACAM1 | -0.0001906 | 10302 | GTEx | DepMap | Descartes | 0.07 | 3.17 |
RASIP1 | -0.0001963 | 10415 | GTEx | DepMap | Descartes | 0.18 | 7.52 |
MYRIP | -0.0002180 | 10743 | GTEx | DepMap | Descartes | 0.02 | 0.37 |
SHANK3 | -0.0002249 | 10838 | GTEx | DepMap | Descartes | 0.09 | 1.25 |
CHRM3 | -0.0002371 | 10997 | GTEx | DepMap | Descartes | 0.13 | 1.21 |
ID1 | -0.0002407 | 11045 | GTEx | DepMap | Descartes | 1.20 | 196.42 |
NOTCH4 | -0.0002771 | 11442 | GTEx | DepMap | Descartes | 0.31 | 6.02 |
BTNL9 | -0.0002893 | 11538 | GTEx | DepMap | Descartes | 0.04 | 1.27 |
NPR1 | -0.0002913 | 11552 | GTEx | DepMap | Descartes | 0.02 | 0.79 |
EFNB2 | -0.0003406 | 11876 | GTEx | DepMap | Descartes | 0.37 | 9.01 |
FLT4 | -0.0003612 | 11960 | GTEx | DepMap | Descartes | 0.08 | 1.91 |
SHE | -0.0003772 | 12021 | GTEx | DepMap | Descartes | 0.09 | 1.56 |
TEK | -0.0004236 | 12176 | GTEx | DepMap | Descartes | 0.08 | 2.18 |
GALNT15 | -0.0004286 | 12189 | GTEx | DepMap | Descartes | 0.02 | NA |
KDR | -0.0004749 | 12287 | GTEx | DepMap | Descartes | 0.28 | 5.63 |
ROBO4 | -0.0004756 | 12290 | GTEx | DepMap | Descartes | 0.29 | 8.38 |
CLDN5 | -0.0004962 | 12330 | GTEx | DepMap | Descartes | 0.79 | 42.64 |
Descartes stromal markers
Top 50 marker genes of stromal cells in the Decartes fetal adrenal single cell map (https://atlas.brotmanbaty.org/bbi/human-gene-expression-during-development/cell/stromal/in/adrenal)
Wilcoxon ranksum test P-value for gene set overrepresentation: 3.64e-04
Mean rank of genes in gene set: 4432.93
Median rank of genes in gene set: 1380.5
Rank on gene expression program of top 30 genes in gene set:
Genes | Weight | Rank | GTEx | DepMap | Descartes | Mean.Counts | Mean.TPM |
---|---|---|---|---|---|---|---|
ABCC9 | 0.0125613 | 8 | GTEx | DepMap | Descartes | 0.87 | 28.68 |
EDNRA | 0.0115854 | 10 | GTEx | DepMap | Descartes | 1.01 | 68.00 |
PRRX1 | 0.0110480 | 11 | GTEx | DepMap | Descartes | 1.59 | 103.43 |
CD248 | 0.0071984 | 40 | GTEx | DepMap | Descartes | 1.13 | 113.36 |
COL1A2 | 0.0047484 | 94 | GTEx | DepMap | Descartes | 13.52 | 548.51 |
ACTA2 | 0.0046909 | 99 | GTEx | DepMap | Descartes | 19.00 | 3282.71 |
COL3A1 | 0.0042771 | 117 | GTEx | DepMap | Descartes | 8.30 | 396.73 |
COL6A3 | 0.0037783 | 142 | GTEx | DepMap | Descartes | 2.14 | 45.92 |
MGP | 0.0036359 | 149 | GTEx | DepMap | Descartes | 15.41 | 2620.98 |
PCDH18 | 0.0034607 | 155 | GTEx | DepMap | Descartes | 0.29 | 13.68 |
COL1A1 | 0.0022105 | 277 | GTEx | DepMap | Descartes | 15.29 | 592.79 |
CDH11 | 0.0020815 | 306 | GTEx | DepMap | Descartes | 0.90 | 30.97 |
ADAMTSL3 | 0.0020797 | 307 | GTEx | DepMap | Descartes | 0.08 | 2.54 |
LAMC3 | 0.0018723 | 338 | GTEx | DepMap | Descartes | 0.03 | 0.69 |
PCOLCE | 0.0017803 | 360 | GTEx | DepMap | Descartes | 2.87 | 465.31 |
COL12A1 | 0.0017774 | 361 | GTEx | DepMap | Descartes | 0.59 | 9.19 |
ITGA11 | 0.0016407 | 402 | GTEx | DepMap | Descartes | 0.13 | 3.06 |
ADAMTS2 | 0.0012390 | 530 | GTEx | DepMap | Descartes | 0.34 | 10.92 |
LRRC17 | 0.0011395 | 565 | GTEx | DepMap | Descartes | 0.14 | 19.66 |
PAMR1 | 0.0008185 | 768 | GTEx | DepMap | Descartes | 0.12 | 9.81 |
COL27A1 | 0.0008058 | 786 | GTEx | DepMap | Descartes | 0.12 | 3.35 |
POSTN | 0.0004185 | 1330 | GTEx | DepMap | Descartes | 3.43 | 198.36 |
GLI2 | 0.0003750 | 1431 | GTEx | DepMap | Descartes | 0.04 | 1.04 |
BICC1 | 0.0003476 | 1537 | GTEx | DepMap | Descartes | 0.16 | 7.42 |
IGFBP3 | 0.0002008 | 2211 | GTEx | DepMap | Descartes | 0.70 | 31.14 |
ELN | 0.0001827 | 2347 | GTEx | DepMap | Descartes | 0.45 | 25.67 |
DKK2 | -0.0000368 | 6065 | GTEx | DepMap | Descartes | 0.02 | 1.27 |
C7 | -0.0000499 | 6499 | GTEx | DepMap | Descartes | 0.18 | 8.03 |
GAS2 | -0.0000878 | 7681 | GTEx | DepMap | Descartes | 0.02 | 1.18 |
CLDN11 | -0.0001390 | 9177 | GTEx | DepMap | Descartes | 0.02 | 0.89 |
Descartes sympathoblasts markers
Top 50 marker genes of sympathoblasts cells in the Decartes fetal adrenal single cell map (https://atlas.brotmanbaty.org/bbi/human-gene-expression-during-development/cell/sympathoblasts/in/adrenal)
Wilcoxon ranksum test P-value for gene set overrepresentation: 1.00e+00
Mean rank of genes in gene set: 9128.11
Median rank of genes in gene set: 8943.5
Rank on gene expression program of top 30 genes in gene set:
Genes | Weight | Rank | GTEx | DepMap | Descartes | Mean.Counts | Mean.TPM |
---|---|---|---|---|---|---|---|
LAMA3 | 0.0006253 | 960 | GTEx | DepMap | Descartes | 0.03 | 0.65 |
ROBO1 | 0.0003525 | 1522 | GTEx | DepMap | Descartes | 0.36 | 10.09 |
SLC35F3 | -0.0000550 | 6624 | GTEx | DepMap | Descartes | 0.01 | 0.78 |
CNTN3 | -0.0000591 | 6761 | GTEx | DepMap | Descartes | 0.00 | 0.09 |
SLC24A2 | -0.0000593 | 6763 | GTEx | DepMap | Descartes | 0.00 | 0.00 |
GRM7 | -0.0000722 | 7204 | GTEx | DepMap | Descartes | 0.00 | 0.00 |
PENK | -0.0000783 | 7391 | GTEx | DepMap | Descartes | 0.01 | 2.34 |
GALNTL6 | -0.0000854 | 7615 | GTEx | DepMap | Descartes | 0.01 | 0.45 |
TBX20 | -0.0000872 | 7667 | GTEx | DepMap | Descartes | 0.00 | 0.00 |
CDH18 | -0.0000883 | 7703 | GTEx | DepMap | Descartes | 0.00 | 0.13 |
SORCS3 | -0.0000883 | 7704 | GTEx | DepMap | Descartes | 0.01 | 0.20 |
ST18 | -0.0000951 | 7934 | GTEx | DepMap | Descartes | 0.00 | 0.00 |
EML6 | -0.0001054 | 8249 | GTEx | DepMap | Descartes | 0.01 | 0.18 |
AGBL4 | -0.0001067 | 8287 | GTEx | DepMap | Descartes | 0.03 | 0.76 |
TENM1 | -0.0001082 | 8337 | GTEx | DepMap | Descartes | 0.02 | NA |
PCSK2 | -0.0001132 | 8496 | GTEx | DepMap | Descartes | 0.01 | 0.35 |
DGKK | -0.0001153 | 8558 | GTEx | DepMap | Descartes | 0.00 | 0.00 |
HTATSF1 | -0.0001166 | 8600 | GTEx | DepMap | Descartes | 0.49 | 29.60 |
CCSER1 | -0.0001294 | 8942 | GTEx | DepMap | Descartes | 0.02 | NA |
PACRG | -0.0001295 | 8945 | GTEx | DepMap | Descartes | 0.02 | 2.93 |
CDH12 | -0.0001316 | 8994 | GTEx | DepMap | Descartes | 0.00 | 0.00 |
SLC18A1 | -0.0001489 | 9409 | GTEx | DepMap | Descartes | 0.02 | 0.88 |
FGF14 | -0.0001602 | 9643 | GTEx | DepMap | Descartes | 0.02 | 0.29 |
KSR2 | -0.0001912 | 10319 | GTEx | DepMap | Descartes | 0.02 | 0.15 |
SPOCK3 | -0.0002078 | 10602 | GTEx | DepMap | Descartes | 0.02 | 1.19 |
GRID2 | -0.0002549 | 11212 | GTEx | DepMap | Descartes | 0.04 | 0.70 |
FAM155A | -0.0002611 | 11279 | GTEx | DepMap | Descartes | 0.13 | 1.59 |
NTNG1 | -0.0002613 | 11281 | GTEx | DepMap | Descartes | 0.14 | 2.71 |
UNC80 | -0.0002792 | 11466 | GTEx | DepMap | Descartes | 0.08 | 0.63 |
TIAM1 | -0.0002902 | 11545 | GTEx | DepMap | Descartes | 0.08 | 1.59 |
Descartes erythroblasts markers
Top 50 marker genes of erythroblasts cells in the Decartes fetal adrenal single cell map (https://atlas.brotmanbaty.org/bbi/human-gene-expression-during-development/cell/erythroblasts/in/adrenal)
Wilcoxon ranksum test P-value for gene set overrepresentation: 4.15e-01
Mean rank of genes in gene set: 6130.31
Median rank of genes in gene set: 6364
Rank on gene expression program of top 30 genes in gene set:
Genes | Weight | Rank | GTEx | DepMap | Descartes | Mean.Counts | Mean.TPM |
---|---|---|---|---|---|---|---|
SELENBP1 | 0.0042494 | 120 | GTEx | DepMap | Descartes | 0.43 | 47.21 |
SPECC1 | 0.0017223 | 374 | GTEx | DepMap | Descartes | 0.38 | 11.38 |
CAT | 0.0007706 | 816 | GTEx | DepMap | Descartes | 0.52 | 53.53 |
RAPGEF2 | 0.0005527 | 1073 | GTEx | DepMap | Descartes | 0.42 | 9.35 |
MICAL2 | 0.0005082 | 1149 | GTEx | DepMap | Descartes | 0.24 | 8.29 |
TRAK2 | 0.0004171 | 1335 | GTEx | DepMap | Descartes | 0.20 | 6.29 |
GYPC | 0.0003815 | 1412 | GTEx | DepMap | Descartes | 1.46 | 165.55 |
RGS6 | 0.0001380 | 2758 | GTEx | DepMap | Descartes | 0.02 | 1.45 |
BLVRB | 0.0001345 | 2791 | GTEx | DepMap | Descartes | 0.77 | 111.98 |
RHD | -0.0000181 | 5455 | GTEx | DepMap | Descartes | 0.00 | 0.00 |
SLC25A37 | -0.0000209 | 5568 | GTEx | DepMap | Descartes | 0.39 | 15.70 |
SLC25A21 | -0.0000232 | 5648 | GTEx | DepMap | Descartes | 0.00 | 0.00 |
SLC4A1 | -0.0000420 | 6257 | GTEx | DepMap | Descartes | 0.00 | 0.00 |
ALAS2 | -0.0000446 | 6339 | GTEx | DepMap | Descartes | 0.00 | 0.00 |
CPOX | -0.0000454 | 6364 | GTEx | DepMap | Descartes | 0.08 | 4.49 |
XPO7 | -0.0000477 | 6434 | GTEx | DepMap | Descartes | 0.13 | 4.13 |
TFR2 | -0.0000568 | 6682 | GTEx | DepMap | Descartes | 0.06 | 2.06 |
GCLC | -0.0000696 | 7117 | GTEx | DepMap | Descartes | 0.10 | 6.86 |
SPTB | -0.0000878 | 7682 | GTEx | DepMap | Descartes | 0.02 | 0.27 |
ABCB10 | -0.0000971 | 7995 | GTEx | DepMap | Descartes | 0.01 | 0.75 |
TMCC2 | -0.0001288 | 8930 | GTEx | DepMap | Descartes | 0.03 | 1.22 |
FECH | -0.0001385 | 9169 | GTEx | DepMap | Descartes | 0.08 | 1.67 |
DENND4A | -0.0001716 | 9906 | GTEx | DepMap | Descartes | 0.13 | 2.74 |
SOX6 | -0.0001857 | 10213 | GTEx | DepMap | Descartes | 0.02 | 0.32 |
MARCH3 | -0.0001908 | 10306 | GTEx | DepMap | Descartes | 0.07 | NA |
ANK1 | -0.0002214 | 10785 | GTEx | DepMap | Descartes | 0.02 | 0.23 |
TSPAN5 | -0.0002650 | 11324 | GTEx | DepMap | Descartes | 0.45 | 20.26 |
SNCA | -0.0003406 | 11875 | GTEx | DepMap | Descartes | 0.16 | 5.82 |
EPB41 | -0.0003465 | 11902 | GTEx | DepMap | Descartes | 0.10 | 2.27 |
NA | NA | NA | NA | NA | NA | NA | NA |
Descartes myeloid markers
Top 50 marker genes of myeloid cells in the Decartes fetal adrenal single cell map (https://atlas.brotmanbaty.org/bbi/human-gene-expression-during-development/cell/myeloid/in/adrenal)
Wilcoxon ranksum test P-value for gene set overrepresentation: 9.89e-01
Mean rank of genes in gene set: 7612.08
Median rank of genes in gene set: 9632.5
Rank on gene expression program of top 30 genes in gene set:
Genes | Weight | Rank | GTEx | DepMap | Descartes | Mean.Counts | Mean.TPM |
---|---|---|---|---|---|---|---|
AXL | 0.0026067 | 218 | GTEx | DepMap | Descartes | 0.91 | 47.05 |
ADAP2 | 0.0016002 | 412 | GTEx | DepMap | Descartes | 0.58 | 46.16 |
TGFBI | 0.0010617 | 604 | GTEx | DepMap | Descartes | 1.71 | 88.33 |
CST3 | 0.0010559 | 609 | GTEx | DepMap | Descartes | 12.09 | 845.64 |
ITPR2 | 0.0006586 | 926 | GTEx | DepMap | Descartes | 0.34 | 4.95 |
PTPRE | 0.0005436 | 1085 | GTEx | DepMap | Descartes | 0.58 | 19.28 |
CTSC | 0.0002363 | 2008 | GTEx | DepMap | Descartes | 1.56 | 51.24 |
IFNGR1 | 0.0002094 | 2153 | GTEx | DepMap | Descartes | 0.48 | 41.47 |
RGL1 | 0.0002059 | 2170 | GTEx | DepMap | Descartes | 0.19 | 7.91 |
RBPJ | 0.0001346 | 2787 | GTEx | DepMap | Descartes | 0.89 | 29.69 |
SLC9A9 | 0.0000889 | 3292 | GTEx | DepMap | Descartes | 0.11 | 5.90 |
CD163L1 | -0.0000601 | 6797 | GTEx | DepMap | Descartes | 0.16 | 8.12 |
LGMN | -0.0000831 | 7555 | GTEx | DepMap | Descartes | 1.13 | 79.94 |
SPP1 | -0.0001042 | 8205 | GTEx | DepMap | Descartes | 0.37 | 50.39 |
HRH1 | -0.0001136 | 8509 | GTEx | DepMap | Descartes | 0.06 | 1.50 |
ATP8B4 | -0.0001252 | 8845 | GTEx | DepMap | Descartes | 0.02 | 0.64 |
SFMBT2 | -0.0001255 | 8852 | GTEx | DepMap | Descartes | 0.02 | 0.20 |
FGD2 | -0.0001295 | 8946 | GTEx | DepMap | Descartes | 0.02 | 0.62 |
CTSB | -0.0001584 | 9606 | GTEx | DepMap | Descartes | 1.59 | 75.70 |
CPVL | -0.0001608 | 9659 | GTEx | DepMap | Descartes | 0.16 | 11.39 |
WWP1 | -0.0001659 | 9785 | GTEx | DepMap | Descartes | 0.20 | 7.51 |
CSF1R | -0.0001752 | 9979 | GTEx | DepMap | Descartes | 0.17 | 5.91 |
HCK | -0.0001829 | 10155 | GTEx | DepMap | Descartes | 0.11 | 5.66 |
MERTK | -0.0001958 | 10406 | GTEx | DepMap | Descartes | 0.07 | 2.04 |
CTSD | -0.0002001 | 10479 | GTEx | DepMap | Descartes | 1.60 | 147.20 |
MSR1 | -0.0002021 | 10514 | GTEx | DepMap | Descartes | 0.10 | 2.98 |
SLC1A3 | -0.0002054 | 10564 | GTEx | DepMap | Descartes | 0.05 | 1.60 |
SLCO2B1 | -0.0002055 | 10566 | GTEx | DepMap | Descartes | 0.12 | 3.71 |
MS4A4A | -0.0002255 | 10844 | GTEx | DepMap | Descartes | 0.24 | 15.36 |
CTSS | -0.0002298 | 10907 | GTEx | DepMap | Descartes | 0.58 | 25.13 |
Descartes Schwann markers
Top 50 marker genes of Schwann cells in the Decartes fetal adrenal single cell map (https://atlas.brotmanbaty.org/bbi/human-gene-expression-during-development/cell/schwann/in/adrenal)
Wilcoxon ranksum test P-value for gene set overrepresentation: 9.73e-02
Mean rank of genes in gene set: 5567.93
Median rank of genes in gene set: 5545.5
Rank on gene expression program of top 30 genes in gene set:
Genes | Weight | Rank | GTEx | DepMap | Descartes | Mean.Counts | Mean.TPM |
---|---|---|---|---|---|---|---|
COL18A1 | 0.0079902 | 30 | GTEx | DepMap | Descartes | 5.23 | 196.09 |
OLFML2A | 0.0078782 | 33 | GTEx | DepMap | Descartes | 1.35 | 54.44 |
COL5A2 | 0.0067385 | 48 | GTEx | DepMap | Descartes | 2.29 | 75.12 |
LAMA4 | 0.0048177 | 93 | GTEx | DepMap | Descartes | 2.20 | 70.94 |
LAMC1 | 0.0041591 | 124 | GTEx | DepMap | Descartes | 1.40 | 40.72 |
VIM | 0.0027993 | 199 | GTEx | DepMap | Descartes | 38.66 | 3064.49 |
STARD13 | 0.0022100 | 279 | GTEx | DepMap | Descartes | 0.38 | 13.23 |
LAMB1 | 0.0017069 | 382 | GTEx | DepMap | Descartes | 1.07 | 39.83 |
EDNRB | 0.0014677 | 442 | GTEx | DepMap | Descartes | 0.40 | 18.70 |
EGFLAM | 0.0012524 | 523 | GTEx | DepMap | Descartes | 0.29 | 15.54 |
PLCE1 | 0.0010341 | 618 | GTEx | DepMap | Descartes | 0.32 | 6.10 |
PTN | 0.0006112 | 981 | GTEx | DepMap | Descartes | 1.14 | 157.41 |
PAG1 | 0.0003022 | 1713 | GTEx | DepMap | Descartes | 0.33 | 6.35 |
NRXN3 | 0.0002336 | 2017 | GTEx | DepMap | Descartes | 0.06 | 1.68 |
GRIK3 | 0.0001555 | 2579 | GTEx | DepMap | Descartes | 0.04 | 0.82 |
IL1RAPL1 | 0.0001489 | 2644 | GTEx | DepMap | Descartes | 0.01 | 0.84 |
SOX5 | 0.0001411 | 2718 | GTEx | DepMap | Descartes | 0.20 | 5.21 |
PMP22 | 0.0001012 | 3143 | GTEx | DepMap | Descartes | 1.52 | 191.15 |
DST | 0.0000895 | 3286 | GTEx | DepMap | Descartes | 2.03 | 17.40 |
SLC35F1 | 0.0000621 | 3675 | GTEx | DepMap | Descartes | 0.10 | 3.75 |
PTPRZ1 | -0.0000123 | 5268 | GTEx | DepMap | Descartes | 0.05 | 0.75 |
MPZ | -0.0000199 | 5521 | GTEx | DepMap | Descartes | 0.10 | 12.91 |
COL25A1 | -0.0000210 | 5570 | GTEx | DepMap | Descartes | 0.02 | 0.60 |
MDGA2 | -0.0000280 | 5799 | GTEx | DepMap | Descartes | 0.00 | 0.00 |
XKR4 | -0.0000359 | 6040 | GTEx | DepMap | Descartes | 0.03 | 0.27 |
TRPM3 | -0.0000440 | 6323 | GTEx | DepMap | Descartes | 0.00 | 0.02 |
IL1RAPL2 | -0.0000671 | 7045 | GTEx | DepMap | Descartes | 0.00 | 0.00 |
ERBB3 | -0.0000736 | 7242 | GTEx | DepMap | Descartes | 0.14 | 3.19 |
ERBB4 | -0.0000791 | 7415 | GTEx | DepMap | Descartes | 0.00 | 0.02 |
LRRTM4 | -0.0001070 | 8301 | GTEx | DepMap | Descartes | 0.01 | 0.30 |
Descartes Megakaryocytes markers
Top 50 marker genes of Megakaryocytes cells in the Decartes fetal adrenal single cell map (https://atlas.brotmanbaty.org/bbi/human-gene-expression-during-development/cell/megakaryocytes/in/adrenal)
Wilcoxon ranksum test P-value for gene set overrepresentation: 3.37e-03
Mean rank of genes in gene set: 4814.38
Median rank of genes in gene set: 2185
Rank on gene expression program of top 30 genes in gene set:
Genes | Weight | Rank | GTEx | DepMap | Descartes | Mean.Counts | Mean.TPM |
---|---|---|---|---|---|---|---|
MYLK | 0.0079320 | 31 | GTEx | DepMap | Descartes | 2.72 | 62.55 |
TRPC6 | 0.0067112 | 49 | GTEx | DepMap | Descartes | 0.22 | 10.17 |
MYH9 | 0.0052703 | 78 | GTEx | DepMap | Descartes | 3.41 | 114.48 |
TLN1 | 0.0044101 | 111 | GTEx | DepMap | Descartes | 2.57 | 66.24 |
ANGPT1 | 0.0041980 | 121 | GTEx | DepMap | Descartes | 0.41 | 24.38 |
VCL | 0.0038550 | 140 | GTEx | DepMap | Descartes | 1.53 | 42.48 |
TPM4 | 0.0036455 | 148 | GTEx | DepMap | Descartes | 6.80 | 292.62 |
INPP4B | 0.0032696 | 169 | GTEx | DepMap | Descartes | 0.71 | 21.65 |
STOM | 0.0030211 | 186 | GTEx | DepMap | Descartes | 1.95 | 144.24 |
FLNA | 0.0022252 | 273 | GTEx | DepMap | Descartes | 3.08 | 83.00 |
LIMS1 | 0.0021922 | 281 | GTEx | DepMap | Descartes | 2.58 | 117.04 |
ACTN1 | 0.0020159 | 312 | GTEx | DepMap | Descartes | 2.26 | 102.27 |
ARHGAP6 | 0.0019608 | 323 | GTEx | DepMap | Descartes | 0.21 | 9.02 |
LTBP1 | 0.0017664 | 365 | GTEx | DepMap | Descartes | 0.63 | 23.20 |
RAP1B | 0.0015168 | 431 | GTEx | DepMap | Descartes | 2.02 | 34.82 |
ITGB3 | 0.0014612 | 444 | GTEx | DepMap | Descartes | 0.01 | 0.31 |
PDE3A | 0.0014385 | 448 | GTEx | DepMap | Descartes | 0.31 | 9.81 |
GP1BA | 0.0012695 | 513 | GTEx | DepMap | Descartes | 0.11 | 9.63 |
GSN | 0.0007123 | 874 | GTEx | DepMap | Descartes | 4.17 | 159.31 |
TGFB1 | 0.0005940 | 1008 | GTEx | DepMap | Descartes | 0.96 | 70.11 |
ZYX | 0.0003867 | 1396 | GTEx | DepMap | Descartes | 0.82 | 75.24 |
SLC2A3 | 0.0003440 | 1550 | GTEx | DepMap | Descartes | 1.17 | 51.00 |
TMSB4X | 0.0002041 | 2185 | GTEx | DepMap | Descartes | 79.59 | 9675.23 |
ACTB | 0.0000247 | 4332 | GTEx | DepMap | Descartes | 34.03 | 3117.53 |
TUBB1 | -0.0000413 | 6236 | GTEx | DepMap | Descartes | 0.00 | 0.81 |
SLC24A3 | -0.0000549 | 6621 | GTEx | DepMap | Descartes | 0.01 | 0.35 |
UBASH3B | -0.0000747 | 7272 | GTEx | DepMap | Descartes | 0.04 | 0.96 |
P2RX1 | -0.0000818 | 7507 | GTEx | DepMap | Descartes | 0.01 | 0.32 |
HIPK2 | -0.0000876 | 7679 | GTEx | DepMap | Descartes | 0.43 | 5.14 |
ITGA2B | -0.0001061 | 8269 | GTEx | DepMap | Descartes | 0.00 | 0.09 |
Descartes Lyphoid markers
Top 50 marker genes of Lyphoid cells in the Decartes fetal adrenal single cell map (https://atlas.brotmanbaty.org/bbi/human-gene-expression-during-development/cell/lymphoid/in/adrenal)
Wilcoxon ranksum test P-value for gene set overrepresentation: 9.57e-01
Mean rank of genes in gene set: 7230.98
Median rank of genes in gene set: 9383
Rank on gene expression program of top 30 genes in gene set:
Genes | Weight | Rank | GTEx | DepMap | Descartes | Mean.Counts | Mean.TPM |
---|---|---|---|---|---|---|---|
B2M | 0.0023363 | 248 | GTEx | DepMap | Descartes | 108.80 | 11029.31 |
SP100 | 0.0016531 | 398 | GTEx | DepMap | Descartes | 1.20 | 52.01 |
ARID5B | 0.0012940 | 502 | GTEx | DepMap | Descartes | 1.49 | 48.93 |
ARHGAP15 | 0.0012578 | 518 | GTEx | DepMap | Descartes | 0.72 | 57.72 |
ARHGDIB | 0.0011942 | 554 | GTEx | DepMap | Descartes | 3.59 | 741.28 |
ETS1 | 0.0011132 | 579 | GTEx | DepMap | Descartes | 1.01 | 42.23 |
MSN | 0.0009141 | 694 | GTEx | DepMap | Descartes | 1.61 | 83.01 |
RCSD1 | 0.0007793 | 806 | GTEx | DepMap | Descartes | 0.43 | 21.83 |
DOCK10 | 0.0007254 | 863 | GTEx | DepMap | Descartes | 0.37 | 11.27 |
PLEKHA2 | 0.0004962 | 1170 | GTEx | DepMap | Descartes | 0.20 | 8.15 |
MBNL1 | 0.0003573 | 1498 | GTEx | DepMap | Descartes | 0.84 | 29.82 |
ITPKB | 0.0002421 | 1974 | GTEx | DepMap | Descartes | 0.12 | 4.48 |
LEF1 | 0.0000418 | 4018 | GTEx | DepMap | Descartes | 0.25 | 11.69 |
FOXP1 | 0.0000284 | 4256 | GTEx | DepMap | Descartes | 1.12 | 26.70 |
NCALD | 0.0000107 | 4629 | GTEx | DepMap | Descartes | 0.15 | 9.29 |
CD44 | 0.0000023 | 4836 | GTEx | DepMap | Descartes | 1.02 | 42.25 |
ANKRD44 | -0.0000345 | 5991 | GTEx | DepMap | Descartes | 0.16 | 4.11 |
WIPF1 | -0.0000811 | 7488 | GTEx | DepMap | Descartes | 0.33 | 13.09 |
BCL2 | -0.0001098 | 8394 | GTEx | DepMap | Descartes | 0.26 | 8.31 |
MCTP2 | -0.0001219 | 8741 | GTEx | DepMap | Descartes | 0.03 | 0.64 |
SAMD3 | -0.0001258 | 8863 | GTEx | DepMap | Descartes | 0.03 | 1.31 |
CCL5 | -0.0001714 | 9903 | GTEx | DepMap | Descartes | 0.19 | 24.98 |
CCND3 | -0.0001733 | 9948 | GTEx | DepMap | Descartes | 0.38 | 28.45 |
SCML4 | -0.0001877 | 10252 | GTEx | DepMap | Descartes | 0.01 | 0.17 |
IKZF1 | -0.0001997 | 10474 | GTEx | DepMap | Descartes | 0.06 | 1.40 |
SKAP1 | -0.0002021 | 10516 | GTEx | DepMap | Descartes | 0.03 | 3.36 |
PRKCH | -0.0002045 | 10553 | GTEx | DepMap | Descartes | 0.12 | 4.08 |
PITPNC1 | -0.0002140 | 10692 | GTEx | DepMap | Descartes | 0.24 | 6.19 |
STK39 | -0.0002257 | 10851 | GTEx | DepMap | Descartes | 0.22 | 11.03 |
PDE3B | -0.0002391 | 11025 | GTEx | DepMap | Descartes | 0.01 | 0.17 |
Below shows the ranks on this GEP for immune marker gene lists curated by CellTypist (https://www.celltypist.org/encyclopedia).
High ranks indicate this gene is a driver of this GEP.
These curated gene list are ranked by P-value (on this GEP) of their constituent genes.
The Mean Count column shows the mean read count in cells scoring highly (H > 50) on this gene expression program.
Genes | Weight | Rank | GTEx | DepMap | Decartes | Mean.Counts | Mean.TPM |
---|---|---|---|---|---|---|---|
PRRX1 | 0.0110480 | 11 | GTEx | DepMap | Descartes | 1.59 | 103.43 |
SMOC2 | 0.0055699 | 70 | GTEx | DepMap | Descartes | 1.30 | 118.94 |
EBF2 | 0.0052508 | 79 | GTEx | DepMap | Descartes | 0.46 | 24.23 |
OLFML1 | 0.0049107 | 91 | GTEx | DepMap | Descartes | 0.28 | 29.04 |
F10 | 0.0010118 | 630 | GTEx | DepMap | Descartes | 0.07 | 13.84 |
ANGPTL1 | 0.0005002 | 1164 | GTEx | DepMap | Descartes | 0.05 | 4.66 |
NTRK2 | 0.0003427 | 1555 | GTEx | DepMap | Descartes | 0.38 | 13.11 |
PDGFRA | -0.0001925 | 10341 | GTEx | DepMap | Descartes | 0.13 | 4.53 |
SFRP1 | -0.0005065 | 12350 | GTEx | DepMap | Descartes | 0.27 | 7.25 |
pDC precursor: pDC precursor (curated markers)
precursors of plasmacytoid dendritic cells which have intermixed lymphoid and myeloid origins and give rise to plasmacytoid dendritic cells:
Wilcoxon ranksum test P-value for gene set overrepresentation: 2.32e-02
Mean rank of genes in gene set: 1171.5
Rank on gene expression program of genes in gene set:
Genes | Weight | Rank | GTEx | DepMap | Decartes | Mean.Counts | Mean.TPM |
---|---|---|---|---|---|---|---|
IRF7 | 0.0006598 | 923 | GTEx | DepMap | Descartes | 0.86 | 106.22 |
CCDC50 | 0.0003793 | 1420 | GTEx | DepMap | Descartes | 0.90 | 19.16 |
B cells: Transitional B cells (curated markers)
immature B cell precursors in the bone marrow which connect Pre-B cells with mature naive B cells and are subject to the process of B cell selection:
Wilcoxon ranksum test P-value for gene set overrepresentation: 4.83e-02
Mean rank of genes in gene set: 255
Rank on gene expression program of genes in gene set:
Genes | Weight | Rank | GTEx | DepMap | Decartes | Mean.Counts | Mean.TPM |
---|---|---|---|---|---|---|---|
MYO1C | 0.0022965 | 255 | GTEx | DepMap | Descartes | 1.06 | 50.49 |