QQ-plot of gene loadings, averaged over both independent splits of the data
This plot highlights the relative contribution of each gene to the GEP
Top genes driving this program.
Note: Decartes website is buggy, try refreshing. Also, Decartes fetal adrenal data have been collected at specific time points (89-122 days), all possible cell types of interest may not be represented, do not overinterpret.
The Mean Count column shows the mean read count in cells scoring highly (H > 50) on this gene expression program.
Gene | Loading | Gene.Name | GTEx | DepMap | Descartes | Mean.Counts | Mean.Tpm | |
---|---|---|---|---|---|---|---|---|
1 | NR2F1 | 0.0187136 | nuclear receptor subfamily 2 group F member 1 | GTEx | DepMap | Descartes | 7.35 | 301.96 |
2 | ETV1 | 0.0123977 | ETS variant transcription factor 1 | GTEx | DepMap | Descartes | 2.25 | 60.63 |
3 | TAC1 | 0.0111723 | tachykinin precursor 1 | GTEx | DepMap | Descartes | 1.22 | 189.87 |
4 | MEIS2 | 0.0099818 | Meis homeobox 2 | GTEx | DepMap | Descartes | 4.97 | 153.56 |
5 | PLD5 | 0.0092181 | phospholipase D family member 5 | GTEx | DepMap | Descartes | 1.42 | 27.29 |
6 | OLFM3 | 0.0091720 | olfactomedin 3 | GTEx | DepMap | Descartes | 1.44 | 75.73 |
7 | HHIP | 0.0089561 | hedgehog interacting protein | GTEx | DepMap | Descartes | 0.92 | 16.27 |
8 | KIF21A | 0.0080186 | kinesin family member 21A | GTEx | DepMap | Descartes | 8.34 | 202.39 |
9 | MARCH11 | 0.0073842 | NA | GTEx | DepMap | Descartes | 7.02 | NA |
10 | TOMM20 | 0.0070459 | translocase of outer mitochondrial membrane 20 | GTEx | DepMap | Descartes | 11.84 | 514.60 |
11 | GRIA4 | 0.0069884 | glutamate ionotropic receptor AMPA type subunit 4 | GTEx | DepMap | Descartes | 1.62 | 48.54 |
12 | DLX6 | 0.0069303 | distal-less homeobox 6 | GTEx | DepMap | Descartes | 0.69 | 45.26 |
13 | SRSF9 | 0.0068737 | serine and arginine rich splicing factor 9 | GTEx | DepMap | Descartes | 9.87 | 817.93 |
14 | CHML | 0.0063858 | CHM like Rab escort protein | GTEx | DepMap | Descartes | 1.83 | 35.44 |
15 | PDZRN4 | 0.0062702 | PDZ domain containing ring finger 4 | GTEx | DepMap | Descartes | 0.12 | 4.69 |
16 | NME1 | 0.0062598 | NME/NM23 nucleoside diphosphate kinase 1 | GTEx | DepMap | Descartes | 19.69 | 1579.51 |
17 | DPYSL3 | 0.0061678 | dihydropyrimidinase like 3 | GTEx | DepMap | Descartes | 3.33 | 95.55 |
18 | ADAM22 | 0.0061676 | ADAM metallopeptidase domain 22 | GTEx | DepMap | Descartes | 1.60 | 28.78 |
19 | SLC25A3 | 0.0060933 | solute carrier family 25 member 3 | GTEx | DepMap | Descartes | 13.69 | 315.72 |
20 | CDH10 | 0.0060667 | cadherin 10 | GTEx | DepMap | Descartes | 0.26 | 12.19 |
21 | PCDH10 | 0.0060360 | protocadherin 10 | GTEx | DepMap | Descartes | 0.87 | 16.54 |
22 | RAN | 0.0059933 | RAN, member RAS oncogene family | GTEx | DepMap | Descartes | 18.37 | 1011.06 |
23 | TDRD12 | 0.0059396 | tudor domain containing 12 | GTEx | DepMap | Descartes | 0.41 | 13.49 |
24 | TRAF3IP2 | 0.0058486 | TRAF3 interacting protein 2 | GTEx | DepMap | Descartes | 0.42 | 11.33 |
25 | PRSS12 | 0.0057596 | serine protease 12 | GTEx | DepMap | Descartes | 1.14 | 36.49 |
26 | GNG4 | 0.0057447 | G protein subunit gamma 4 | GTEx | DepMap | Descartes | 4.34 | 122.07 |
27 | ALYREF | 0.0055372 | Aly/REF export factor | GTEx | DepMap | Descartes | 4.44 | 540.89 |
28 | GAD1 | 0.0054304 | glutamate decarboxylase 1 | GTEx | DepMap | Descartes | 0.18 | 6.75 |
29 | TNC | 0.0052690 | tenascin C | GTEx | DepMap | Descartes | 0.35 | 6.75 |
30 | PEBP1 | 0.0052248 | phosphatidylethanolamine binding protein 1 | GTEx | DepMap | Descartes | 18.25 | 1758.53 |
31 | SHISA3 | 0.0052236 | shisa family member 3 | GTEx | DepMap | Descartes | 0.29 | 18.22 |
32 | HTR4 | 0.0050946 | 5-hydroxytryptamine receptor 4 | GTEx | DepMap | Descartes | 0.11 | 4.77 |
33 | SNRPF | 0.0049859 | small nuclear ribonucleoprotein polypeptide F | GTEx | DepMap | Descartes | 7.01 | 729.77 |
34 | ANK2 | 0.0047824 | ankyrin 2 | GTEx | DepMap | Descartes | 2.52 | 26.36 |
35 | SLC1A2 | 0.0047025 | solute carrier family 1 member 2 | GTEx | DepMap | Descartes | 0.90 | 12.02 |
36 | PPA1 | 0.0046935 | inorganic pyrophosphatase 1 | GTEx | DepMap | Descartes | 11.45 | 440.61 |
37 | SRP9 | 0.0046840 | signal recognition particle 9 | GTEx | DepMap | Descartes | 9.04 | 797.41 |
38 | CHRM2 | 0.0045941 | cholinergic receptor muscarinic 2 | GTEx | DepMap | Descartes | 0.94 | 24.42 |
39 | NTNG1 | 0.0045729 | netrin G1 | GTEx | DepMap | Descartes | 0.71 | 24.72 |
40 | GRIA2 | 0.0045064 | glutamate ionotropic receptor AMPA type subunit 2 | GTEx | DepMap | Descartes | 1.72 | 49.93 |
41 | TENM1 | 0.0045003 | teneurin transmembrane protein 1 | GTEx | DepMap | Descartes | 0.23 | NA |
42 | NPM1 | 0.0044902 | nucleophosmin 1 | GTEx | DepMap | Descartes | 33.27 | 2579.68 |
43 | TWIST1 | 0.0044112 | twist family bHLH transcription factor 1 | GTEx | DepMap | Descartes | 5.40 | 463.67 |
44 | LIN7A | 0.0043891 | lin-7 homolog A, crumbs cell polarity complex component | GTEx | DepMap | Descartes | 0.35 | 9.58 |
45 | ALKBH2 | 0.0042778 | alkB homolog 2, alpha-ketoglutarate dependent dioxygenase | GTEx | DepMap | Descartes | 1.65 | 197.68 |
46 | OSBPL8 | 0.0042053 | oxysterol binding protein like 8 | GTEx | DepMap | Descartes | 2.38 | 48.84 |
47 | ARX | 0.0041911 | aristaless related homeobox | GTEx | DepMap | Descartes | 0.47 | 24.14 |
48 | SUMO2 | 0.0041686 | small ubiquitin like modifier 2 | GTEx | DepMap | Descartes | 30.52 | 1355.05 |
49 | ODC1 | 0.0041637 | ornithine decarboxylase 1 | GTEx | DepMap | Descartes | 6.18 | 342.36 |
50 | NBEA | 0.0041078 | neurobeachin | GTEx | DepMap | Descartes | 2.25 | 29.32 |
UMAP plots showing activity of gene expression program identified in GEP 36. Neuroblastoma #6:
CNV Data procured from inferCNV.
Outer tracks are putative CNV regions (gains = red, losses = blue) for each patient
Inner track is expression data representing:
The top cells expressing this GEP (purple)
Random cells (n =50) from the reference set used in inferCNV (orange)
Gene set Enrichments for this program, caculated from top 50 genes
mSigDB Cell Types Gene Set:
P-value | OR | Lower 95% CI | FDR | FWER | Genes Found | Gene Set Size | |
---|---|---|---|---|---|---|---|
ZHONG_PFC_C7_SST_LHX6_POS_PUTATIVE_MIGRATING_INTERNEURON | 2.09e-05 | 72.24 | 12.54 | 6.26e-03 | 1.40e-02 | 3PDZRN4, GAD1, ARX |
14 |
FAN_EMBRYONIC_CTX_IN_4_INTERNEURON | 6.85e-04 | 64.86 | 6.55 | 3.54e-02 | 4.60e-01 | 2PDZRN4, GAD1 |
10 |
ZHONG_PFC_C6_DLX5_GAD1_GAD2_POS_INTERNEURON | 1.58e-03 | 39.95 | 4.27 | 6.22e-02 | 1.00e+00 | 2GAD1, ARX |
15 |
DESCARTES_MAIN_FETAL_ENS_NEURONS | 6.07e-04 | 20.43 | 3.90 | 3.44e-02 | 4.07e-01 | 3ETV1, DPYSL3, HTR4 |
42 |
MANNO_MIDBRAIN_NEUROTYPES_HNBML5 | 1.14e-06 | 7.77 | 3.56 | 7.65e-04 | 7.65e-04 | 11TAC1, KIF21A, GRIA4, DPYSL3, PRSS12, GAD1, ANK2, NTNG1, GRIA2, TENM1, NBEA |
465 |
FAN_EMBRYONIC_CTX_NSC_1 | 2.28e-03 | 32.49 | 3.53 | 7.12e-02 | 1.00e+00 | 2NME1, GAD1 |
18 |
ZHONG_PFC_MAJOR_TYPES_INTERNEURON | 2.28e-03 | 32.49 | 3.53 | 7.12e-02 | 1.00e+00 | 2GAD1, ARX |
18 |
DESCARTES_FETAL_CEREBRUM_INHIBITORY_NEURONS | 8.44e-04 | 18.11 | 3.48 | 4.04e-02 | 5.66e-01 | 3DLX6, HTR4, ARX |
47 |
HAY_BONE_MARROW_EARLY_ERYTHROBLAST | 5.29e-04 | 11.94 | 3.06 | 3.44e-02 | 3.55e-01 | 4NME1, PEBP1, PPA1, NPM1 |
95 |
FAN_OVARY_CL10_PUTATIVE_EARLY_ATRESIA_GRANULOSA_CELL | 8.57e-05 | 7.62 | 2.87 | 9.59e-03 | 5.75e-02 | 7SRSF9, NME1, RAN, PEBP1, SNRPF, SRP9, SUMO2 |
274 |
DESCARTES_FETAL_PANCREAS_ENS_NEURONS | 4.33e-04 | 8.79 | 2.69 | 3.23e-02 | 2.91e-01 | 5OLFM3, DLX6, DPYSL3, PCDH10, ANK2 |
163 |
HU_FETAL_RETINA_AMACRINE | 2.06e-03 | 13.07 | 2.53 | 7.12e-02 | 1.00e+00 | 3MEIS2, GRIA4, GRIA2 |
64 |
MANNO_MIDBRAIN_NEUROTYPES_HDA1 | 5.75e-05 | 5.45 | 2.42 | 7.71e-03 | 3.86e-02 | 10TAC1, OLFM3, KIF21A, PDZRN4, DPYSL3, ADAM22, ANK2, NTNG1, TENM1, NBEA |
584 |
MANNO_MIDBRAIN_NEUROTYPES_HNBML1 | 2.54e-04 | 6.34 | 2.39 | 2.44e-02 | 1.71e-01 | 7TAC1, OLFM3, KIF21A, DPYSL3, ANK2, GRIA2, TENM1 |
328 |
MANNO_MIDBRAIN_NEUROTYPES_HNBGABA | 4.84e-05 | 5.10 | 2.34 | 7.71e-03 | 3.25e-02 | 11TAC1, MEIS2, OLFM3, KIF21A, GRIA4, DPYSL3, ANK2, SLC1A2, GRIA2, TENM1, NBEA |
703 |
MENON_FETAL_KIDNEY_1_EMBRYONIC_RED_BLOOD_CELLS | 1.51e-03 | 8.91 | 2.29 | 6.22e-02 | 1.00e+00 | 4RAN, SRP9, NPM1, SUMO2 |
126 |
MANNO_MIDBRAIN_NEUROTYPES_HGABA | 2.80e-05 | 4.46 | 2.21 | 6.26e-03 | 1.88e-02 | 14TAC1, OLFM3, KIF21A, GRIA4, PDZRN4, DPYSL3, PRSS12, GAD1, ANK2, SLC1A2, NTNG1, GRIA2, TENM1, NBEA |
1105 |
MENON_FETAL_KIDNEY_3_STROMAL_CELLS | 4.01e-03 | 10.22 | 1.99 | 9.61e-02 | 1.00e+00 | 3NR2F1, MEIS2, TNC |
81 |
MANNO_MIDBRAIN_NEUROTYPES_HDA | 6.16e-04 | 4.78 | 1.93 | 3.44e-02 | 4.13e-01 | 8TAC1, OLFM3, GRIA4, PDZRN4, DPYSL3, ANK2, NTNG1, TENM1 |
506 |
MURARO_PANCREAS_PANCREATIC_POLYPEPTIDE_CELL | 3.17e-03 | 7.20 | 1.86 | 8.52e-02 | 1.00e+00 | 4ETV1, MEIS2, DPYSL3, ARX |
155 |
Dowload full table
mSigDB Hallmark Gene Sets:
P-value | OR | Lower 95% CI | FDR | FWER | Genes Found | Gene Set Size | |
---|---|---|---|---|---|---|---|
HALLMARK_MYC_TARGETS_V1 | 1.08e-03 | 7.12 | 2.18 | 5.40e-02 | 5.40e-02 | 5NME1, SLC25A3, RAN, NPM1, ODC1 |
200 |
HALLMARK_SPERMATOGENESIS | 9.90e-02 | 3.92 | 0.46 | 1.00e+00 | 1.00e+00 | 2GAD1, PEBP1 |
135 |
HALLMARK_DNA_REPAIR | 1.18e-01 | 3.52 | 0.41 | 1.00e+00 | 1.00e+00 | 2NME1, ALYREF |
150 |
HALLMARK_G2M_CHECKPOINT | 1.85e-01 | 2.63 | 0.31 | 1.00e+00 | 1.00e+00 | 2MEIS2, ODC1 |
200 |
HALLMARK_E2F_TARGETS | 1.85e-01 | 2.63 | 0.31 | 1.00e+00 | 1.00e+00 | 2NME1, RAN |
200 |
HALLMARK_EPITHELIAL_MESENCHYMAL_TRANSITION | 1.85e-01 | 2.63 | 0.31 | 1.00e+00 | 1.00e+00 | 2DPYSL3, TNC |
200 |
HALLMARK_ALLOGRAFT_REJECTION | 1.85e-01 | 2.63 | 0.31 | 1.00e+00 | 1.00e+00 | 2NME1, NPM1 |
200 |
HALLMARK_PANCREAS_BETA_CELLS | 1.47e-01 | 6.54 | 0.16 | 1.00e+00 | 1.00e+00 | 1SRP9 |
40 |
HALLMARK_APICAL_SURFACE | 1.61e-01 | 5.93 | 0.14 | 1.00e+00 | 1.00e+00 | 1NTNG1 |
44 |
HALLMARK_MYC_TARGETS_V2 | 2.06e-01 | 4.47 | 0.11 | 1.00e+00 | 1.00e+00 | 1NPM1 |
58 |
HALLMARK_UNFOLDED_PROTEIN_RESPONSE | 3.62e-01 | 2.28 | 0.06 | 1.00e+00 | 1.00e+00 | 1NPM1 |
113 |
HALLMARK_FATTY_ACID_METABOLISM | 4.66e-01 | 1.62 | 0.04 | 1.00e+00 | 1.00e+00 | 1ODC1 |
158 |
HALLMARK_IL2_STAT5_SIGNALING | 5.45e-01 | 1.29 | 0.03 | 1.00e+00 | 1.00e+00 | 1ODC1 |
199 |
HALLMARK_TNFA_SIGNALING_VIA_NFKB | 5.47e-01 | 1.28 | 0.03 | 1.00e+00 | 1.00e+00 | 1TNC |
200 |
HALLMARK_MTORC1_SIGNALING | 5.47e-01 | 1.28 | 0.03 | 1.00e+00 | 1.00e+00 | 1PPA1 |
200 |
HALLMARK_INFLAMMATORY_RESPONSE | 5.47e-01 | 1.28 | 0.03 | 1.00e+00 | 1.00e+00 | 1SLC1A2 |
200 |
HALLMARK_XENOBIOTIC_METABOLISM | 5.47e-01 | 1.28 | 0.03 | 1.00e+00 | 1.00e+00 | 1GAD1 |
200 |
HALLMARK_OXIDATIVE_PHOSPHORYLATION | 5.47e-01 | 1.28 | 0.03 | 1.00e+00 | 1.00e+00 | 1SLC25A3 |
200 |
HALLMARK_KRAS_SIGNALING_UP | 5.47e-01 | 1.28 | 0.03 | 1.00e+00 | 1.00e+00 | 1ETV1 |
200 |
HALLMARK_HYPOXIA | 1.00e+00 | 0.00 | 0.00 | 1.00e+00 | 1.00e+00 | 0 |
200 |
Dowload full table
KEGG Pathways:
P-value | OR | Lower 95% CI | FDR | FWER | Genes Found | Gene Set Size | |
---|---|---|---|---|---|---|---|
KEGG_SPLICEOSOME | 1.37e-02 | 6.43 | 1.26 | 1.00e+00 | 1.00e+00 | 3SRSF9, ALYREF, SNRPF |
127 |
KEGG_AMYOTROPHIC_LATERAL_SCLEROSIS_ALS | 1.87e-02 | 10.20 | 1.17 | 1.00e+00 | 1.00e+00 | 2SLC1A2, GRIA2 |
53 |
KEGG_NEUROACTIVE_LIGAND_RECEPTOR_INTERACTION | 2.13e-02 | 4.06 | 1.05 | 1.00e+00 | 1.00e+00 | 4GRIA4, HTR4, CHRM2, GRIA2 |
272 |
KEGG_TAURINE_AND_HYPOTAURINE_METABOLISM | 3.91e-02 | 28.30 | 0.63 | 1.00e+00 | 1.00e+00 | 1GAD1 |
10 |
KEGG_CALCIUM_SIGNALING_PATHWAY | 1.55e-01 | 2.96 | 0.35 | 1.00e+00 | 1.00e+00 | 2HTR4, CHRM2 |
178 |
KEGG_BETA_ALANINE_METABOLISM | 8.40e-02 | 12.14 | 0.29 | 1.00e+00 | 1.00e+00 | 1GAD1 |
22 |
KEGG_PROTEIN_EXPORT | 9.13e-02 | 11.08 | 0.26 | 1.00e+00 | 1.00e+00 | 1SRP9 |
24 |
KEGG_ALANINE_ASPARTATE_AND_GLUTAMATE_METABOLISM | 1.20e-01 | 8.23 | 0.20 | 1.00e+00 | 1.00e+00 | 1GAD1 |
32 |
KEGG_BUTANOATE_METABOLISM | 1.27e-01 | 7.73 | 0.19 | 1.00e+00 | 1.00e+00 | 1GAD1 |
34 |
KEGG_TYPE_I_DIABETES_MELLITUS | 1.57e-01 | 6.07 | 0.15 | 1.00e+00 | 1.00e+00 | 1GAD1 |
43 |
KEGG_GLUTATHIONE_METABOLISM | 1.81e-01 | 5.21 | 0.13 | 1.00e+00 | 1.00e+00 | 1ODC1 |
50 |
KEGG_ARGININE_AND_PROLINE_METABOLISM | 1.94e-01 | 4.81 | 0.12 | 1.00e+00 | 1.00e+00 | 1ODC1 |
54 |
KEGG_BASAL_CELL_CARCINOMA | 1.97e-01 | 4.72 | 0.12 | 1.00e+00 | 1.00e+00 | 1HHIP |
55 |
KEGG_HEDGEHOG_SIGNALING_PATHWAY | 2.00e-01 | 4.64 | 0.11 | 1.00e+00 | 1.00e+00 | 1HHIP |
56 |
KEGG_LONG_TERM_POTENTIATION | 2.43e-01 | 3.70 | 0.09 | 1.00e+00 | 1.00e+00 | 1GRIA2 |
70 |
KEGG_LONG_TERM_DEPRESSION | 2.43e-01 | 3.70 | 0.09 | 1.00e+00 | 1.00e+00 | 1GRIA2 |
70 |
KEGG_ECM_RECEPTOR_INTERACTION | 2.84e-01 | 3.07 | 0.08 | 1.00e+00 | 1.00e+00 | 1TNC |
84 |
KEGG_PYRIMIDINE_METABOLISM | 3.23e-01 | 2.63 | 0.06 | 1.00e+00 | 1.00e+00 | 1NME1 |
98 |
KEGG_AXON_GUIDANCE | 4.01e-01 | 1.99 | 0.05 | 1.00e+00 | 1.00e+00 | 1NTNG1 |
129 |
KEGG_OXIDATIVE_PHOSPHORYLATION | 4.08e-01 | 1.95 | 0.05 | 1.00e+00 | 1.00e+00 | 1PPA1 |
132 |
Dowload full table
CHR Positional Gene Sets:
P-value | OR | Lower 95% CI | FDR | FWER | Genes Found | Gene Set Size | |
---|---|---|---|---|---|---|---|
chr12q12 | 2.21e-02 | 9.30 | 1.07 | 1.00e+00 | 1.00e+00 | 2KIF21A, PDZRN4 |
58 |
chr1q43 | 2.36e-02 | 8.98 | 1.03 | 1.00e+00 | 1.00e+00 | 2PLD5, CHML |
60 |
chr7q21 | 2.65e-02 | 4.95 | 0.98 | 1.00e+00 | 1.00e+00 | 3TAC1, DLX6, ADAM22 |
164 |
chr7p21 | 4.26e-02 | 6.43 | 0.74 | 1.00e+00 | 1.00e+00 | 2ETV1, TWIST1 |
83 |
chr12q24 | 6.33e-02 | 2.82 | 0.73 | 1.00e+00 | 1.00e+00 | 4SRSF9, RAN, PEBP1, ALKBH2 |
390 |
chr1q42 | 6.08e-02 | 3.51 | 0.69 | 1.00e+00 | 1.00e+00 | 3TOMM20, GNG4, SRP9 |
230 |
chr12q21 | 9.06e-02 | 4.13 | 0.48 | 1.00e+00 | 1.00e+00 | 2LIN7A, OSBPL8 |
128 |
chr12q23 | 1.11e-01 | 3.64 | 0.42 | 1.00e+00 | 1.00e+00 | 2SLC25A3, SNRPF |
145 |
chr17q25 | 3.22e-01 | 1.77 | 0.21 | 1.00e+00 | 1.00e+00 | 2ALYREF, SUMO2 |
297 |
chr4p13 | 1.16e-01 | 8.50 | 0.20 | 1.00e+00 | 1.00e+00 | 1SHISA3 |
31 |
chr5p14 | 1.20e-01 | 8.23 | 0.20 | 1.00e+00 | 1.00e+00 | 1CDH10 |
32 |
chrXq25 | 1.74e-01 | 5.43 | 0.13 | 1.00e+00 | 1.00e+00 | 1TENM1 |
48 |
chr7q33 | 1.87e-01 | 5.00 | 0.12 | 1.00e+00 | 1.00e+00 | 1CHRM2 |
52 |
chr4q26 | 1.90e-01 | 4.91 | 0.12 | 1.00e+00 | 1.00e+00 | 1PRSS12 |
53 |
chr15q14 | 2.00e-01 | 4.64 | 0.11 | 1.00e+00 | 1.00e+00 | 1MEIS2 |
56 |
chr5q15 | 2.13e-01 | 4.32 | 0.11 | 1.00e+00 | 1.00e+00 | 1NR2F1 |
60 |
chr13q13 | 2.67e-01 | 3.31 | 0.08 | 1.00e+00 | 1.00e+00 | 1NBEA |
78 |
chrXp21 | 2.78e-01 | 3.15 | 0.08 | 1.00e+00 | 1.00e+00 | 1ARX |
82 |
chr4q25 | 2.93e-01 | 2.97 | 0.07 | 1.00e+00 | 1.00e+00 | 1ANK2 |
87 |
chr11q22 | 3.23e-01 | 2.63 | 0.06 | 1.00e+00 | 1.00e+00 | 1GRIA4 |
98 |
Dowload full table
Transcription Factor Targets:
P-value | OR | Lower 95% CI | FDR | FWER | Genes Found | Gene Set Size | |
---|---|---|---|---|---|---|---|
NCX_01 | 6.12e-04 | 8.12 | 2.49 | 3.40e-01 | 6.94e-01 | 5NR2F1, ETV1, PDZRN4, GNG4, ANK2 |
176 |
PPARA_TARGET_GENES | 2.25e-03 | 12.65 | 2.46 | 3.40e-01 | 1.00e+00 | 3NME1, SLC25A3, ALKBH2 |
66 |
ZNF547_TARGET_GENES | 2.76e-03 | 7.50 | 1.93 | 3.40e-01 | 1.00e+00 | 4TRAF3IP2, GNG4, SHISA3, ANK2 |
149 |
NKX61_01 | 2.17e-03 | 6.04 | 1.85 | 3.40e-01 | 1.00e+00 | 5NR2F1, PDZRN4, CDH10, TENM1, ARX |
235 |
POU6F1_01 | 2.38e-03 | 5.91 | 1.81 | 3.40e-01 | 1.00e+00 | 5NR2F1, ETV1, MEIS2, PDZRN4, TENM1 |
240 |
S8_01 | 2.69e-03 | 5.74 | 1.76 | 3.40e-01 | 1.00e+00 | 5ETV1, TAC1, PDZRN4, PRSS12, ANK2 |
247 |
CDX2_Q5 | 3.50e-03 | 5.38 | 1.65 | 3.40e-01 | 1.00e+00 | 5MEIS2, PDZRN4, GAD1, TWIST1, ARX |
263 |
SOX5_01 | 3.79e-03 | 5.28 | 1.62 | 3.40e-01 | 1.00e+00 | 5HHIP, PDZRN4, PRSS12, ANK2, TWIST1 |
268 |
OCT1_06 | 3.79e-03 | 5.28 | 1.62 | 3.40e-01 | 1.00e+00 | 5NR2F1, CHML, PDZRN4, DPYSL3, HTR4 |
268 |
AFP1_Q6 | 3.79e-03 | 5.28 | 1.62 | 3.40e-01 | 1.00e+00 | 5NR2F1, MEIS2, PDZRN4, DPYSL3, TENM1 |
268 |
OCT1_B | 3.84e-03 | 5.26 | 1.62 | 3.40e-01 | 1.00e+00 | 5ETV1, DPYSL3, TRAF3IP2, SLC1A2, TWIST1 |
269 |
OCT_C | 3.90e-03 | 5.24 | 1.61 | 3.40e-01 | 1.00e+00 | 5ETV1, DPYSL3, CDH10, TRAF3IP2, SLC1A2 |
270 |
POU3F2_01 | 7.58e-03 | 8.06 | 1.58 | 5.73e-01 | 1.00e+00 | 3PDZRN4, CDH10, TWIST1 |
102 |
YTAATTAA_LHX3_01 | 6.70e-03 | 5.78 | 1.50 | 5.43e-01 | 1.00e+00 | 4HHIP, PDZRN4, CDH10, OSBPL8 |
192 |
RP58_01 | 9.39e-03 | 5.22 | 1.35 | 5.81e-01 | 1.00e+00 | 4TAC1, KIF21A, ANK2, ARX |
212 |
ZNF512B_TARGET_GENES | 1.03e-02 | 5.08 | 1.32 | 5.81e-01 | 1.00e+00 | 4NR2F1, MEIS2, DPYSL3, GAD1 |
218 |
PAX4_04 | 1.11e-02 | 4.96 | 1.29 | 5.81e-01 | 1.00e+00 | 4ETV1, HHIP, PDZRN4, CDH10 |
223 |
LHX3_01 | 1.27e-02 | 4.77 | 1.24 | 5.81e-01 | 1.00e+00 | 4TAC1, HHIP, PDZRN4, PCDH10 |
232 |
PIT1_Q6 | 1.40e-02 | 4.63 | 1.20 | 5.81e-01 | 1.00e+00 | 4MEIS2, HHIP, TENM1, TWIST1 |
239 |
EVI1_04 | 1.44e-02 | 4.59 | 1.19 | 5.81e-01 | 1.00e+00 | 4NR2F1, MEIS2, PDZRN4, TWIST1 |
241 |
Dowload full table
GO Biological Processes:
P-value | OR | Lower 95% CI | FDR | FWER | Genes Found | Gene Set Size | |
---|---|---|---|---|---|---|---|
GOBP_RIBOSOMAL_LARGE_SUBUNIT_EXPORT_FROM_NUCLEUS | 3.22e-04 | 103.49 | 9.64 | 1.00e+00 | 1.00e+00 | 2RAN, NPM1 |
7 |
GOBP_RIBOSOMAL_SMALL_SUBUNIT_EXPORT_FROM_NUCLEUS | 4.28e-04 | 86.37 | 8.33 | 1.00e+00 | 1.00e+00 | 2RAN, NPM1 |
8 |
GOBP_RRNA_CONTAINING_RIBONUCLEOPROTEIN_COMPLEX_EXPORT_FROM_NUCLEUS | 1.58e-03 | 39.95 | 4.27 | 1.00e+00 | 1.00e+00 | 2RAN, NPM1 |
15 |
GOBP_GTP_METABOLIC_PROCESS | 4.05e-03 | 23.65 | 2.62 | 1.00e+00 | 1.00e+00 | 2NME1, RAN |
24 |
GOBP_IONOTROPIC_GLUTAMATE_RECEPTOR_SIGNALING_PATHWAY | 5.10e-03 | 20.80 | 2.32 | 1.00e+00 | 1.00e+00 | 2GRIA4, GRIA2 |
27 |
GOBP_EPITHELIAL_TUBE_BRANCHING_INVOLVED_IN_LUNG_MORPHOGENESIS | 5.10e-03 | 20.80 | 2.32 | 1.00e+00 | 1.00e+00 | 2HHIP, TNC |
27 |
GOBP_ESTABLISHMENT_OF_RNA_LOCALIZATION | 1.08e-03 | 7.12 | 2.18 | 1.00e+00 | 1.00e+00 | 5TOMM20, SRSF9, RAN, ALYREF, NPM1 |
200 |
GOBP_POSITIVE_REGULATION_OF_FILOPODIUM_ASSEMBLY | 6.27e-03 | 18.58 | 2.09 | 1.00e+00 | 1.00e+00 | 2DPYSL3, TENM1 |
30 |
GOBP_RNA_EXPORT_FROM_NUCLEUS | 2.32e-03 | 7.87 | 2.03 | 1.00e+00 | 1.00e+00 | 4SRSF9, RAN, ALYREF, NPM1 |
142 |
GOBP_RNA_LOCALIZATION | 2.09e-03 | 6.09 | 1.87 | 1.00e+00 | 1.00e+00 | 5TOMM20, SRSF9, RAN, ALYREF, NPM1 |
233 |
GOBP_REGULATION_OF_NMDA_RECEPTOR_ACTIVITY | 8.94e-03 | 15.30 | 1.73 | 1.00e+00 | 1.00e+00 | 2GRIA4, GRIA2 |
36 |
GOBP_NUCLEOBASE_CONTAINING_COMPOUND_TRANSPORT | 2.92e-03 | 5.62 | 1.73 | 1.00e+00 | 1.00e+00 | 5TOMM20, SRSF9, RAN, ALYREF, NPM1 |
252 |
GOBP_TRNA_TRANSPORT | 9.43e-03 | 14.87 | 1.69 | 1.00e+00 | 1.00e+00 | 2TOMM20, RAN |
37 |
GOBP_NCRNA_EXPORT_FROM_NUCLEUS | 9.92e-03 | 14.46 | 1.64 | 1.00e+00 | 1.00e+00 | 2RAN, NPM1 |
38 |
GOBP_SEROTONIN_RECEPTOR_SIGNALING_PATHWAY | 1.04e-02 | 14.07 | 1.60 | 1.00e+00 | 1.00e+00 | 2HTR4, CHRM2 |
39 |
GOBP_GUANOSINE_CONTAINING_COMPOUND_METABOLIC_PROCESS | 1.10e-02 | 13.70 | 1.56 | 1.00e+00 | 1.00e+00 | 2NME1, RAN |
40 |
GOBP_PROTEIN_CONTAINING_COMPLEX_LOCALIZATION | 4.74e-03 | 5.00 | 1.54 | 1.00e+00 | 1.00e+00 | 5SRSF9, ADAM22, RAN, ALYREF, NPM1 |
283 |
GOBP_NUCLEAR_EXPORT | 7.84e-03 | 5.52 | 1.43 | 1.00e+00 | 1.00e+00 | 4SRSF9, RAN, ALYREF, NPM1 |
201 |
GOBP_SYNAPTIC_SIGNALING | 4.81e-03 | 3.38 | 1.37 | 1.00e+00 | 1.00e+00 | 8TAC1, GAD1, HTR4, SLC1A2, CHRM2, NTNG1, GRIA2, LIN7A |
712 |
GOBP_REGULATION_OF_FILOPODIUM_ASSEMBLY | 1.43e-02 | 11.83 | 1.35 | 1.00e+00 | 1.00e+00 | 2DPYSL3, TENM1 |
46 |
Dowload full table
Immunological Gene Sets:
P-value | OR | Lower 95% CI | FDR | FWER | Genes Found | Gene Set Size | |
---|---|---|---|---|---|---|---|
GSE32901_NAIVE_VS_TH17_NEG_CD4_TCELL_DN | 1.46e-03 | 8.98 | 2.31 | 1.00e+00 | 1.00e+00 | 4TNC, PEBP1, GRIA2, ODC1 |
125 |
GSE3720_VD1_VS_VD2_GAMMADELTA_TCELL_WITH_PMA_STIM_UP | 1.08e-03 | 7.12 | 2.18 | 1.00e+00 | 1.00e+00 | 5CHML, NME1, SLC25A3, GAD1, ODC1 |
200 |
GSE13547_2H_VS_12_H_ANTI_IGM_STIM_BCELL_DN | 5.79e-03 | 6.04 | 1.56 | 1.00e+00 | 1.00e+00 | 4NME1, RAN, ALYREF, PPA1 |
184 |
GSE14699_DELETIONAL_TOLERANCE_VS_ACTIVATED_CD8_TCELL_DN | 6.01e-03 | 5.97 | 1.55 | 1.00e+00 | 1.00e+00 | 4NME1, RAN, ALYREF, PPA1 |
186 |
GSE37301_LYMPHOID_PRIMED_MPP_VS_RAG2_KO_NK_CELL_DN | 6.95e-03 | 5.72 | 1.48 | 1.00e+00 | 1.00e+00 | 4CDH10, PRSS12, SNRPF, ANK2 |
194 |
GSE41176_WT_VS_TAK1_KO_ANTI_IGM_STIM_BCELL_1H_UP | 7.45e-03 | 5.60 | 1.45 | 1.00e+00 | 1.00e+00 | 4PEBP1, SNRPF, ALKBH2, NBEA |
198 |
GSE22886_NEUTROPHIL_VS_MONOCYTE_DN | 7.58e-03 | 5.57 | 1.44 | 1.00e+00 | 1.00e+00 | 4TOMM20, SLC25A3, RAN, SNRPF |
199 |
GSE5589_WT_VS_IL10_KO_LPS_AND_IL6_STIM_MACROPHAGE_45MIN_UP | 7.58e-03 | 5.57 | 1.44 | 1.00e+00 | 1.00e+00 | 4KIF21A, DPYSL3, SLC25A3, GRIA2 |
199 |
GSE19923_WT_VS_HEB_KO_DP_THYMOCYTE_DN | 7.58e-03 | 5.57 | 1.44 | 1.00e+00 | 1.00e+00 | 4SRSF9, SLC25A3, ALYREF, PEBP1 |
199 |
GSE22935_24H_VS_48H_MBOVIS_BCG_STIM_MYD88_KO_MACROPHAGE_DN | 7.58e-03 | 5.57 | 1.44 | 1.00e+00 | 1.00e+00 | 4GAD1, NTNG1, GRIA2, LIN7A |
199 |
GSE19941_UNSTIM_VS_LPS_AND_IL10_STIM_IL10_KO_NFKBP50_KO_MACROPHAGE_DN | 7.58e-03 | 5.57 | 1.44 | 1.00e+00 | 1.00e+00 | 4TAC1, CHML, ALYREF, OSBPL8 |
199 |
GSE29618_MONOCYTE_VS_MDC_DN | 7.71e-03 | 5.55 | 1.44 | 1.00e+00 | 1.00e+00 | 4NME1, PEBP1, SNRPF, PPA1 |
200 |
GSE31082_DN_VS_CD4_SP_THYMOCYTE_UP | 7.71e-03 | 5.55 | 1.44 | 1.00e+00 | 1.00e+00 | 4SRSF9, SLC25A3, SNRPF, PPA1 |
200 |
GSE9650_EFFECTOR_VS_MEMORY_CD8_TCELL_DN | 7.71e-03 | 5.55 | 1.44 | 1.00e+00 | 1.00e+00 | 4NME1, PRSS12, NPM1, ODC1 |
200 |
GSE5589_UNSTIM_VS_45MIN_LPS_AND_IL10_STIM_MACROPHAGE_DN | 7.71e-03 | 5.55 | 1.44 | 1.00e+00 | 1.00e+00 | 4OLFM3, TOMM20, CHML, GRIA2 |
200 |
GSE32986_UNSTIM_VS_CURDLAN_LOWDOSE_STIM_DC_UP | 7.71e-03 | 5.55 | 1.44 | 1.00e+00 | 1.00e+00 | 4NME1, RAN, PPA1, ODC1 |
200 |
GSE37301_LYMPHOID_PRIMED_MPP_VS_GRAN_MONO_PROGENITOR_UP | 7.71e-03 | 5.55 | 1.44 | 1.00e+00 | 1.00e+00 | 4TOMM20, ADAM22, RAN, ODC1 |
200 |
GSE40666_NAIVE_VS_EFFECTOR_CD8_TCELL_WITH_IFNA_STIM_90MIN_DN | 7.71e-03 | 5.55 | 1.44 | 1.00e+00 | 1.00e+00 | 4SRSF9, ALYREF, PEBP1, PPA1 |
200 |
GSE3720_UNSTIM_VS_PMA_STIM_VD1_GAMMADELTA_TCELL_UP | 3.17e-02 | 4.61 | 0.91 | 1.00e+00 | 1.00e+00 | 3RAN, TRAF3IP2, ODC1 |
176 |
GSE21360_TERTIARY_VS_QUATERNARY_MEMORY_CD8_TCELL_DN | 3.22e-02 | 4.59 | 0.90 | 1.00e+00 | 1.00e+00 | 3TRAF3IP2, SLC1A2, ODC1 |
177 |
Top Ranked Transcription Factors for this Gene Expression Program:
Gene Symbol | TF Rank | DNA Binding Domain | Motif Status | IUPAC PWM | GTEx | DepMap | Decartes |
---|---|---|---|---|---|---|---|
NR2F1 | 1 | Yes | Known motif | Monomer or homomultimer | High-throughput in vitro | None | None |
ETV1 | 2 | Yes | Known motif | Monomer or homomultimer | High-throughput in vitro | None | None |
MEIS2 | 4 | Yes | Known motif | Monomer or homomultimer | High-throughput in vitro | None | None |
DLX6 | 12 | Yes | Known motif | Monomer or homomultimer | High-throughput in vitro | None | None |
NPM1 | 42 | No | Unlikely to be sequence specific TF | Low specificity DNA-binding protein | No motif | None | No evidence for sequence-specific DNA-binding (PMID: 2223875) |
TWIST1 | 43 | Yes | Known motif | Monomer or homomultimer | In vivo/Misc source | Only known motifs are from Transfac or HocoMoco - origin is uncertain | Can form both homodimers and heterodimers with TCF3 (PMID: 16502419). |
ALKBH2 | 45 | No | Unlikely to be sequence specific TF | Low specificity DNA-binding protein | No motif | None | Dioxygenase that repairs alkylated DNA and RNA containing 1-methyladenine and 3-methylcytosine by oxidative demethylation. Binds DNA in the crystal structure (PDB: 3BTX) |
ARX | 47 | Yes | Known motif | Monomer or homomultimer | High-throughput in vitro | None | None |
MYCN | 51 | Yes | Known motif | Monomer or homomultimer | High-throughput in vitro | None | None |
TFAP2A | 59 | Yes | Known motif | Monomer or homomultimer | High-throughput in vitro | None | None |
HNRNPU | 63 | No | ssDNA/RNA binding | Not a DNA binding protein | No motif | None | Binds pre-mRNA in vivo and binds both RNA and ssDNA in vitro (PMID: 1628625) |
MAZ | 64 | Yes | Known motif | Monomer or homomultimer | High-throughput in vitro | ChIP-seq motif is consistent with recognition code (RCADE) | None |
PTEN | 76 | No | Unlikely to be sequence specific TF | Not a DNA binding protein | No motif | None | None |
HNRNPA3 | 86 | No | ssDNA/RNA binding | Not a DNA binding protein | No motif | None | Protein is a well established RBP |
HNRNPAB | 89 | No | ssDNA/RNA binding | Not a DNA binding protein | No motif | None | HNRNPAB proteins are involved in pre-mRNA splicing. However; RRM domains can also constitute ssDNA binding domains |
GULP1 | 91 | No | Unlikely to be sequence specific TF | Not a DNA binding protein | No motif | None | Based on the alignments, the protein is only weakly related to the other bZIP proteins and lacks the basic region required for DNA binding |
TCF4 | 93 | Yes | Known motif | Monomer or homomultimer | High-throughput in vitro | None | None |
NFYB | 99 | Yes | Known motif | Obligate heteromer | In vivo/Misc source | None | Obligate heterotrimer of NFYA, NFYB, and NFYC |
TBX2 | 100 | Yes | Known motif | Monomer or homomultimer | High-throughput in vitro | None | None |
MAPK10 | 107 | No | Unlikely to be sequence specific TF | Not a DNA binding protein | No motif | None | Protein is a kinase |
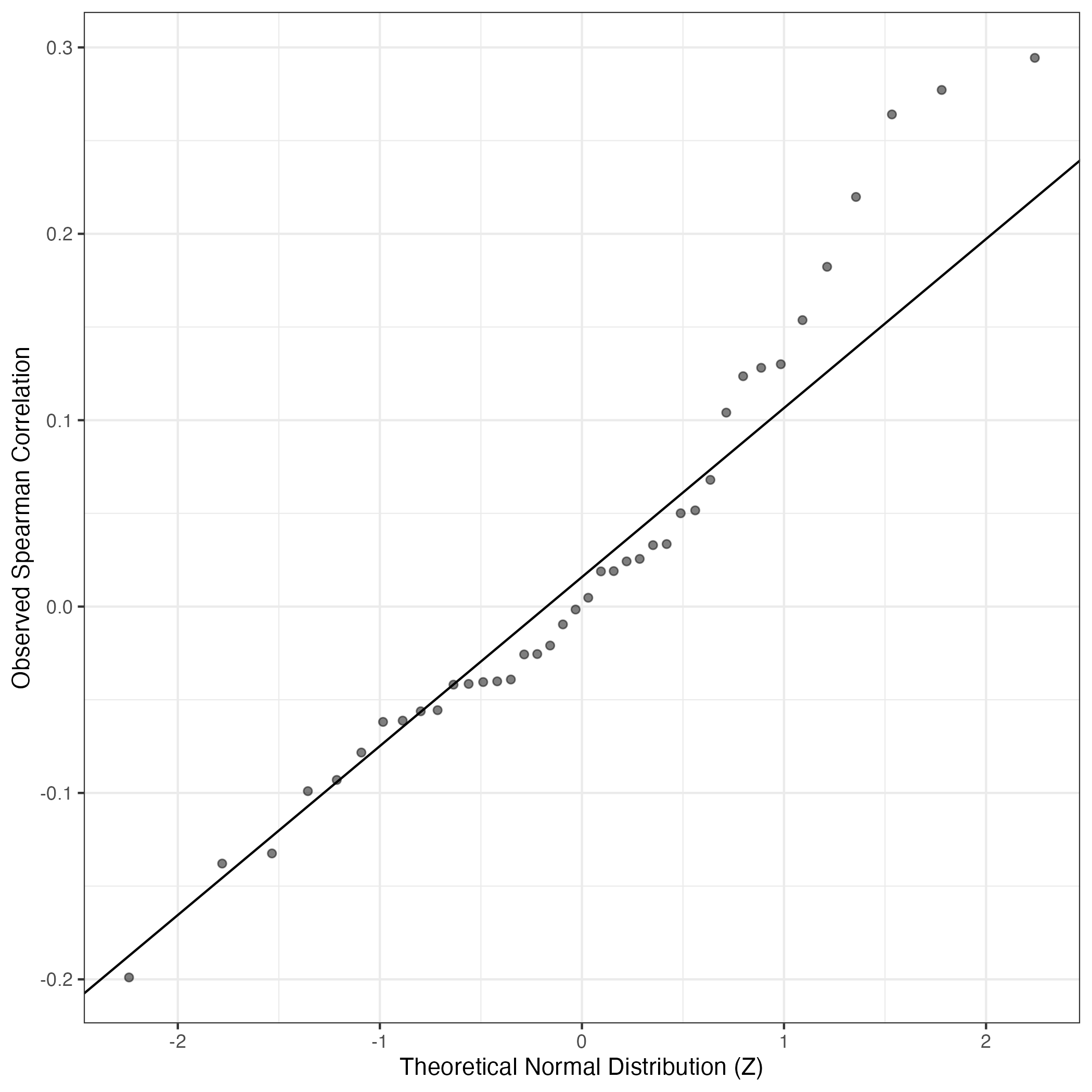
QQ Plot showing correlations with other GEPs in this dataset, calculated by Spearman correlation:
Interactive QQ-plot of gene loadings:
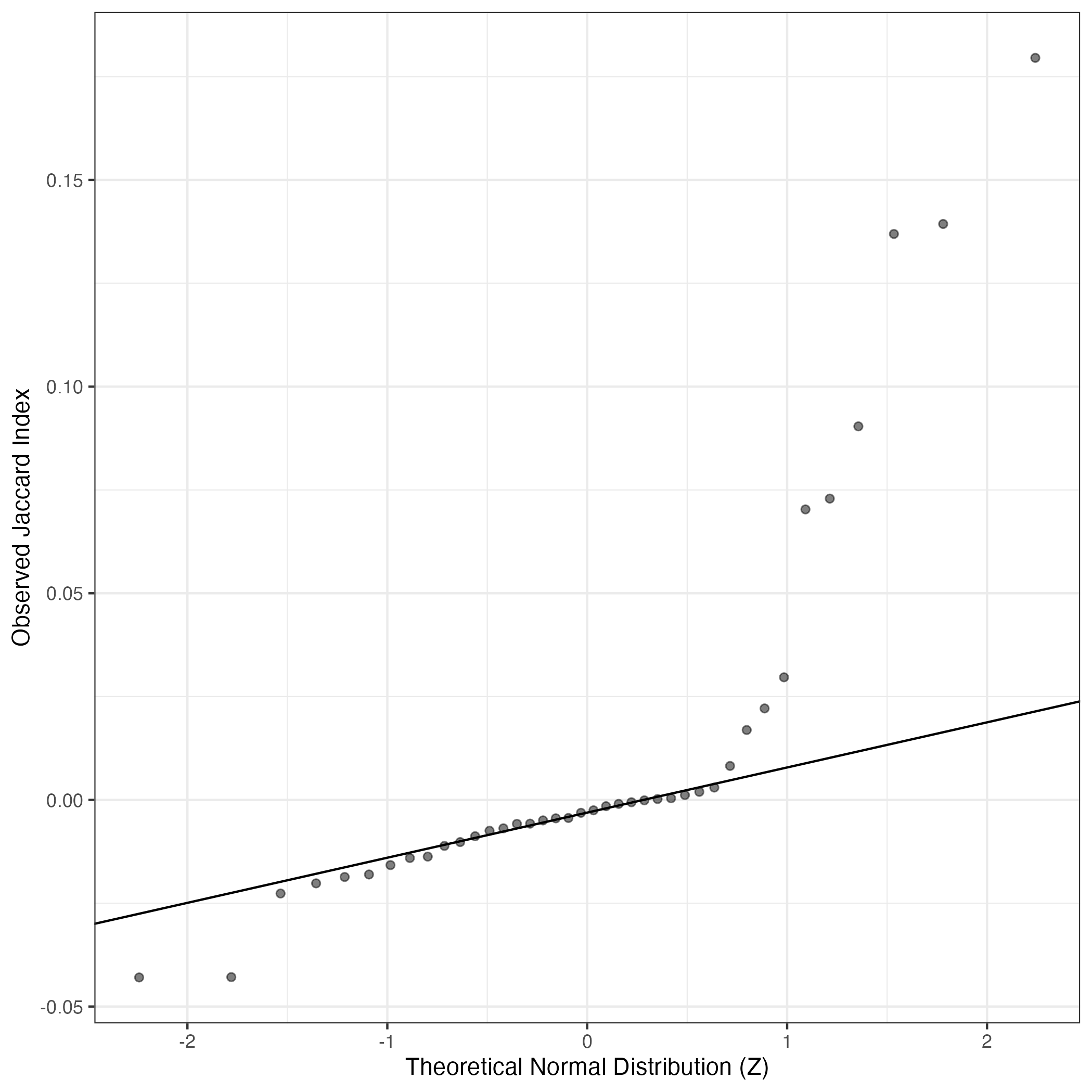
A similar QQ-plot as above, but only for instances where the H value is e.g. > 25, i.e. we are confident that the expression program is active above noise. Agreemenet between these binary vectors is tested using the Jaccard Index, with the P-values calculated by an exact test:
Interactive QQ-plot:
Singler cell type annotations for the top 50 cells on this program.
Cell ID | Singler label | Singler Delta | Activity Score | Top Singler Raw Scores |
---|---|---|---|---|
T230_AGGACGAGTTACTCAG-1 | Neurons:adrenal_medulla_cell_line | 0.21 | 842.78 | Raw ScoresNeurons:adrenal_medulla_cell_line: 0.41, Neuroepithelial_cell:ESC-derived: 0.39, Astrocyte:Embryonic_stem_cell-derived: 0.36, iPS_cells:PDB_1lox-17Puro-10: 0.35, iPS_cells:PDB_1lox-21Puro-20: 0.35, iPS_cells:PDB_1lox-21Puro-26: 0.35, iPS_cells:PDB_2lox-22: 0.35, iPS_cells:PDB_1lox-17Puro-5: 0.35, Neurons:ES_cell-derived_neural_precursor: 0.35, Embryonic_stem_cells: 0.35 |
T230_TTTGGTTGTTCCTTGC-1 | B_cell:Naive | 0.10 | 600.23 | Raw ScoresB_cell:Memory: 0.33, B_cell:Naive: 0.33, B_cell:immature: 0.32, B_cell:Germinal_center: 0.31, B_cell:CXCR4-_centrocyte: 0.31, B_cell:CXCR4+_centroblast: 0.31, B_cell: 0.29, Pro-B_cell_CD34+: 0.29, B_cell:Plasma_cell: 0.29, GMP: 0.28 |
T230_TCACAAGAGGTGCCTC-1 | Neurons:adrenal_medulla_cell_line | 0.19 | 463.87 | Raw ScoresNeurons:adrenal_medulla_cell_line: 0.41, Neuroepithelial_cell:ESC-derived: 0.37, iPS_cells:PDB_1lox-21Puro-20: 0.35, iPS_cells:PDB_2lox-22: 0.35, iPS_cells:PDB_1lox-21Puro-26: 0.35, iPS_cells:PDB_1lox-17Puro-5: 0.35, iPS_cells:PDB_1lox-17Puro-10: 0.35, iPS_cells:PDB_2lox-21: 0.35, iPS_cells:PDB_2lox-17: 0.35, iPS_cells:CRL2097_foreskin-derived:undiff.: 0.35 |
T230_CTTCCGAGTCATACCA-1 | Neurons:adrenal_medulla_cell_line | 0.16 | 428.44 | Raw ScoresNeurons:adrenal_medulla_cell_line: 0.34, Neuroepithelial_cell:ESC-derived: 0.3, Astrocyte:Embryonic_stem_cell-derived: 0.29, iPS_cells:PDB_2lox-5: 0.28, iPS_cells:PDB_1lox-21Puro-20: 0.28, iPS_cells:PDB_2lox-22: 0.28, iPS_cells:PDB_2lox-21: 0.27, iPS_cells:PDB_2lox-17: 0.27, iPS_cells:PDB_1lox-21Puro-26: 0.27, iPS_cells:PDB_1lox-17Puro-10: 0.27 |
T230_GGGTGTCGTCACTACA-1 | Neurons:adrenal_medulla_cell_line | 0.17 | 407.69 | Raw ScoresNeurons:adrenal_medulla_cell_line: 0.37, Neuroepithelial_cell:ESC-derived: 0.34, iPS_cells:PDB_2lox-22: 0.32, iPS_cells:PDB_1lox-21Puro-20: 0.32, Astrocyte:Embryonic_stem_cell-derived: 0.32, iPS_cells:PDB_1lox-21Puro-26: 0.31, iPS_cells:PDB_1lox-17Puro-10: 0.31, iPS_cells:PDB_2lox-17: 0.31, iPS_cells:PDB_2lox-5: 0.31, iPS_cells:PDB_2lox-21: 0.31 |
T230_CAGGTATCAGCTCATA-1 | Neurons:adrenal_medulla_cell_line | 0.18 | 400.68 | Raw ScoresNeurons:adrenal_medulla_cell_line: 0.35, Neuroepithelial_cell:ESC-derived: 0.3, Astrocyte:Embryonic_stem_cell-derived: 0.29, iPS_cells:PDB_1lox-21Puro-20: 0.28, iPS_cells:PDB_2lox-22: 0.28, iPS_cells:PDB_1lox-21Puro-26: 0.28, iPS_cells:PDB_1lox-17Puro-10: 0.28, iPS_cells:PDB_2lox-17: 0.28, iPS_cells:PDB_2lox-21: 0.28, Neurons:ES_cell-derived_neural_precursor: 0.28 |
T230_CGTCAAATCAGACCTA-1 | Neurons:adrenal_medulla_cell_line | 0.21 | 382.88 | Raw ScoresNeurons:adrenal_medulla_cell_line: 0.39, Neuroepithelial_cell:ESC-derived: 0.36, iPS_cells:PDB_1lox-21Puro-26: 0.34, iPS_cells:PDB_1lox-21Puro-20: 0.34, iPS_cells:PDB_1lox-17Puro-10: 0.34, iPS_cells:PDB_2lox-22: 0.34, iPS_cells:PDB_2lox-21: 0.33, iPS_cells:PDB_1lox-17Puro-5: 0.33, Neurons:ES_cell-derived_neural_precursor: 0.33, iPS_cells:PDB_2lox-17: 0.33 |
T230_GTCAGCGCAGGGAATC-1 | Neurons:adrenal_medulla_cell_line | 0.21 | 379.57 | Raw ScoresNeurons:adrenal_medulla_cell_line: 0.41, Neuroepithelial_cell:ESC-derived: 0.38, iPS_cells:PDB_1lox-21Puro-20: 0.35, Neurons:ES_cell-derived_neural_precursor: 0.35, iPS_cells:PDB_1lox-17Puro-10: 0.35, Astrocyte:Embryonic_stem_cell-derived: 0.35, iPS_cells:PDB_1lox-21Puro-26: 0.35, iPS_cells:PDB_2lox-22: 0.35, iPS_cells:PDB_1lox-17Puro-5: 0.35, iPS_cells:PDB_2lox-17: 0.35 |
T230_TATCGCCTCTCGGTAA-1 | Neurons:adrenal_medulla_cell_line | 0.17 | 377.86 | Raw ScoresNeurons:adrenal_medulla_cell_line: 0.36, Neuroepithelial_cell:ESC-derived: 0.34, iPS_cells:PDB_1lox-21Puro-20: 0.31, iPS_cells:PDB_2lox-22: 0.31, iPS_cells:PDB_1lox-21Puro-26: 0.31, iPS_cells:PDB_1lox-17Puro-10: 0.31, Neurons:ES_cell-derived_neural_precursor: 0.31, iPS_cells:PDB_2lox-17: 0.31, Astrocyte:Embryonic_stem_cell-derived: 0.31, iPS_cells:PDB_1lox-17Puro-5: 0.31 |
T230_GAACTGTCATCTTTCA-1 | Neurons:adrenal_medulla_cell_line | 0.22 | 373.87 | Raw ScoresNeurons:adrenal_medulla_cell_line: 0.4, Neuroepithelial_cell:ESC-derived: 0.36, iPS_cells:PDB_1lox-17Puro-10: 0.34, iPS_cells:PDB_1lox-21Puro-26: 0.34, iPS_cells:PDB_1lox-21Puro-20: 0.34, iPS_cells:PDB_2lox-22: 0.33, iPS_cells:PDB_1lox-17Puro-5: 0.33, Astrocyte:Embryonic_stem_cell-derived: 0.33, iPS_cells:PDB_2lox-17: 0.33, iPS_cells:PDB_2lox-21: 0.33 |
T230_ACTTAGGAGATCACTC-1 | Neurons:adrenal_medulla_cell_line | 0.22 | 365.18 | Raw ScoresNeurons:adrenal_medulla_cell_line: 0.4, Neuroepithelial_cell:ESC-derived: 0.37, iPS_cells:PDB_1lox-21Puro-20: 0.35, iPS_cells:PDB_1lox-17Puro-10: 0.35, iPS_cells:PDB_1lox-21Puro-26: 0.35, iPS_cells:PDB_2lox-22: 0.34, iPS_cells:PDB_1lox-17Puro-5: 0.34, Neurons:ES_cell-derived_neural_precursor: 0.34, iPS_cells:PDB_2lox-21: 0.34, iPS_cells:PDB_2lox-17: 0.34 |
T230_AGGTGTTGTCAAGTTC-1 | Neurons:adrenal_medulla_cell_line | 0.18 | 356.32 | Raw ScoresNeurons:adrenal_medulla_cell_line: 0.4, Neuroepithelial_cell:ESC-derived: 0.36, iPS_cells:PDB_2lox-22: 0.35, iPS_cells:PDB_1lox-17Puro-10: 0.35, iPS_cells:PDB_1lox-21Puro-20: 0.35, iPS_cells:PDB_1lox-21Puro-26: 0.35, iPS_cells:PDB_2lox-21: 0.35, iPS_cells:PDB_2lox-17: 0.35, iPS_cells:PDB_1lox-17Puro-5: 0.35, iPS_cells:PDB_2lox-5: 0.35 |
T230_CAGGTATCACCCAACG-1 | Neurons:adrenal_medulla_cell_line | 0.18 | 355.97 | Raw ScoresNeurons:adrenal_medulla_cell_line: 0.36, Neuroepithelial_cell:ESC-derived: 0.32, Astrocyte:Embryonic_stem_cell-derived: 0.31, iPS_cells:PDB_2lox-22: 0.29, iPS_cells:PDB_1lox-21Puro-20: 0.29, iPS_cells:PDB_2lox-5: 0.29, iPS_cells:PDB_2lox-21: 0.29, iPS_cells:PDB_1lox-17Puro-10: 0.29, iPS_cells:PDB_1lox-17Puro-5: 0.29, iPS_cells:PDB_1lox-21Puro-26: 0.29 |
T230_CCTTTGGCATTCTGTT-1 | Neurons:adrenal_medulla_cell_line | 0.20 | 353.04 | Raw ScoresNeurons:adrenal_medulla_cell_line: 0.4, Neuroepithelial_cell:ESC-derived: 0.37, iPS_cells:PDB_1lox-21Puro-20: 0.35, iPS_cells:PDB_1lox-21Puro-26: 0.35, iPS_cells:PDB_1lox-17Puro-10: 0.35, iPS_cells:PDB_1lox-17Puro-5: 0.35, iPS_cells:PDB_2lox-22: 0.35, iPS_cells:PDB_2lox-21: 0.35, iPS_cells:PDB_2lox-17: 0.35, Embryonic_stem_cells: 0.34 |
T230_CATTGTTTCCGTATAG-1 | Neurons:adrenal_medulla_cell_line | 0.18 | 349.48 | Raw ScoresNeurons:adrenal_medulla_cell_line: 0.36, Neuroepithelial_cell:ESC-derived: 0.34, iPS_cells:PDB_1lox-21Puro-20: 0.32, iPS_cells:PDB_1lox-21Puro-26: 0.32, iPS_cells:PDB_1lox-17Puro-5: 0.32, iPS_cells:PDB_2lox-22: 0.32, iPS_cells:PDB_1lox-17Puro-10: 0.32, iPS_cells:PDB_2lox-21: 0.32, iPS_cells:PDB_2lox-17: 0.32, Embryonic_stem_cells: 0.32 |
T230_TTGGGCGCATCGCCTT-1 | Neurons:adrenal_medulla_cell_line | 0.17 | 338.75 | Raw ScoresNeurons:adrenal_medulla_cell_line: 0.36, Neuroepithelial_cell:ESC-derived: 0.32, Astrocyte:Embryonic_stem_cell-derived: 0.31, iPS_cells:PDB_1lox-21Puro-20: 0.29, iPS_cells:PDB_2lox-22: 0.29, Neurons:ES_cell-derived_neural_precursor: 0.29, Embryonic_stem_cells: 0.29, iPS_cells:PDB_1lox-21Puro-26: 0.29, iPS_cells:PDB_1lox-17Puro-10: 0.29, iPS_cells:PDB_2lox-21: 0.29 |
T230_ACACTGAAGGTTCACT-1 | Neurons:adrenal_medulla_cell_line | 0.20 | 335.27 | Raw ScoresNeurons:adrenal_medulla_cell_line: 0.41, Neuroepithelial_cell:ESC-derived: 0.38, iPS_cells:PDB_1lox-21Puro-20: 0.36, iPS_cells:PDB_1lox-21Puro-26: 0.36, iPS_cells:PDB_2lox-22: 0.36, iPS_cells:PDB_1lox-17Puro-5: 0.35, iPS_cells:PDB_1lox-17Puro-10: 0.35, Astrocyte:Embryonic_stem_cell-derived: 0.35, iPS_cells:PDB_2lox-21: 0.35, iPS_cells:PDB_2lox-17: 0.35 |
T230_GTCACTCAGTTCGCAT-1 | Neurons:adrenal_medulla_cell_line | 0.12 | 323.63 | Raw ScoresNeurons:adrenal_medulla_cell_line: 0.37, Neuroepithelial_cell:ESC-derived: 0.34, iPS_cells:PDB_2lox-22: 0.33, Pro-B_cell_CD34+: 0.33, iPS_cells:PDB_1lox-21Puro-20: 0.32, iPS_cells:PDB_1lox-21Puro-26: 0.32, iPS_cells:PDB_2lox-21: 0.32, iPS_cells:CRL2097_foreskin-derived:undiff.: 0.32, iPS_cells:PDB_1lox-17Puro-10: 0.32, iPS_cells:PDB_1lox-17Puro-5: 0.32 |
T230_TCGCAGGCATGACTGT-1 | Neurons:adrenal_medulla_cell_line | 0.22 | 312.48 | Raw ScoresNeurons:adrenal_medulla_cell_line: 0.39, Neuroepithelial_cell:ESC-derived: 0.36, iPS_cells:PDB_1lox-21Puro-20: 0.34, iPS_cells:PDB_1lox-21Puro-26: 0.34, iPS_cells:PDB_2lox-22: 0.34, iPS_cells:PDB_1lox-17Puro-10: 0.33, Neurons:ES_cell-derived_neural_precursor: 0.33, iPS_cells:PDB_1lox-17Puro-5: 0.33, iPS_cells:PDB_2lox-17: 0.33, iPS_cells:PDB_2lox-21: 0.33 |
T230_AAGTACCTCTCGCTCA-1 | Neurons:adrenal_medulla_cell_line | 0.18 | 309.96 | Raw ScoresNeurons:adrenal_medulla_cell_line: 0.38, Neuroepithelial_cell:ESC-derived: 0.36, iPS_cells:PDB_1lox-21Puro-20: 0.35, iPS_cells:PDB_1lox-21Puro-26: 0.34, iPS_cells:PDB_2lox-22: 0.34, iPS_cells:PDB_1lox-17Puro-10: 0.34, iPS_cells:PDB_2lox-17: 0.34, iPS_cells:PDB_2lox-21: 0.34, iPS_cells:PDB_1lox-17Puro-5: 0.34, Astrocyte:Embryonic_stem_cell-derived: 0.34 |
T230_TTCATGTCAATTTCGG-1 | Neurons:adrenal_medulla_cell_line | 0.20 | 309.10 | Raw ScoresNeurons:adrenal_medulla_cell_line: 0.36, Neuroepithelial_cell:ESC-derived: 0.33, iPS_cells:PDB_1lox-21Puro-26: 0.32, iPS_cells:PDB_1lox-21Puro-20: 0.32, iPS_cells:PDB_1lox-17Puro-10: 0.31, iPS_cells:PDB_2lox-22: 0.31, iPS_cells:PDB_1lox-17Puro-5: 0.31, iPS_cells:PDB_2lox-17: 0.31, iPS_cells:PDB_2lox-21: 0.31, Embryonic_stem_cells: 0.3 |
T230_TCTTAGTCACAGTCGC-1 | Neurons:adrenal_medulla_cell_line | 0.16 | 306.06 | Raw ScoresNeurons:adrenal_medulla_cell_line: 0.33, Neuroepithelial_cell:ESC-derived: 0.31, iPS_cells:PDB_1lox-21Puro-20: 0.3, iPS_cells:PDB_2lox-22: 0.3, iPS_cells:PDB_1lox-21Puro-26: 0.3, iPS_cells:PDB_1lox-17Puro-10: 0.3, Astrocyte:Embryonic_stem_cell-derived: 0.3, iPS_cells:PDB_1lox-17Puro-5: 0.3, iPS_cells:PDB_2lox-21: 0.3, iPS_cells:PDB_2lox-17: 0.3 |
T230_TGAGTCACACGGATCC-1 | Neurons:adrenal_medulla_cell_line | 0.18 | 304.04 | Raw ScoresNeurons:adrenal_medulla_cell_line: 0.38, Neuroepithelial_cell:ESC-derived: 0.35, iPS_cells:PDB_1lox-21Puro-20: 0.34, iPS_cells:PDB_2lox-22: 0.34, iPS_cells:PDB_1lox-21Puro-26: 0.34, iPS_cells:PDB_2lox-17: 0.34, iPS_cells:PDB_2lox-21: 0.34, iPS_cells:PDB_1lox-17Puro-10: 0.34, iPS_cells:PDB_1lox-17Puro-5: 0.34, Embryonic_stem_cells: 0.33 |
T230_TACCTGCGTAGGCTGA-1 | Neurons:adrenal_medulla_cell_line | 0.16 | 303.46 | Raw ScoresNeurons:adrenal_medulla_cell_line: 0.34, Neuroepithelial_cell:ESC-derived: 0.3, Astrocyte:Embryonic_stem_cell-derived: 0.28, iPS_cells:PDB_2lox-22: 0.28, iPS_cells:PDB_1lox-17Puro-5: 0.27, Embryonic_stem_cells: 0.27, iPS_cells:PDB_1lox-21Puro-20: 0.27, iPS_cells:PDB_1lox-17Puro-10: 0.27, iPS_cells:PDB_1lox-21Puro-26: 0.27, iPS_cells:CRL2097_foreskin-derived:undiff.: 0.27 |
T200_AGAAGCGAGATAGCAT-1 | Neurons:adrenal_medulla_cell_line | 0.16 | 301.19 | Raw ScoresNeurons:adrenal_medulla_cell_line: 0.34, Neuroepithelial_cell:ESC-derived: 0.3, Astrocyte:Embryonic_stem_cell-derived: 0.3, Neurons:ES_cell-derived_neural_precursor: 0.27, iPS_cells:PDB_1lox-17Puro-10: 0.27, iPS_cells:PDB_1lox-17Puro-5: 0.27, iPS_cells:PDB_1lox-21Puro-20: 0.27, iPS_cells:PDB_1lox-21Puro-26: 0.27, Embryonic_stem_cells: 0.27, iPS_cells:PDB_2lox-22: 0.26 |
T230_TGTTCCGCAAAGGATT-1 | Neurons:adrenal_medulla_cell_line | 0.20 | 294.32 | Raw ScoresNeurons:adrenal_medulla_cell_line: 0.41, Neuroepithelial_cell:ESC-derived: 0.38, iPS_cells:PDB_1lox-21Puro-20: 0.36, iPS_cells:PDB_1lox-21Puro-26: 0.36, iPS_cells:PDB_1lox-17Puro-10: 0.36, iPS_cells:PDB_1lox-17Puro-5: 0.36, iPS_cells:PDB_2lox-22: 0.36, iPS_cells:PDB_2lox-21: 0.36, iPS_cells:PDB_2lox-17: 0.36, Embryonic_stem_cells: 0.35 |
T230_GGACGTCTCTTAGTTC-1 | Neurons:adrenal_medulla_cell_line | 0.14 | 293.91 | Raw ScoresNeurons:adrenal_medulla_cell_line: 0.33, Neuroepithelial_cell:ESC-derived: 0.31, iPS_cells:PDB_1lox-21Puro-20: 0.28, Astrocyte:Embryonic_stem_cell-derived: 0.28, iPS_cells:PDB_2lox-22: 0.28, iPS_cells:PDB_1lox-17Puro-10: 0.28, iPS_cells:PDB_2lox-17: 0.28, iPS_cells:PDB_2lox-5: 0.28, iPS_cells:PDB_2lox-21: 0.28, iPS_cells:PDB_1lox-21Puro-26: 0.28 |
T230_TTCAATCCAACGATTC-1 | Neurons:adrenal_medulla_cell_line | 0.16 | 289.14 | Raw ScoresNeurons:adrenal_medulla_cell_line: 0.38, Neuroepithelial_cell:ESC-derived: 0.36, iPS_cells:PDB_1lox-21Puro-20: 0.34, Astrocyte:Embryonic_stem_cell-derived: 0.34, iPS_cells:PDB_1lox-21Puro-26: 0.34, iPS_cells:PDB_1lox-17Puro-10: 0.34, iPS_cells:PDB_2lox-22: 0.33, iPS_cells:PDB_2lox-21: 0.33, iPS_cells:PDB_1lox-17Puro-5: 0.33, iPS_cells:PDB_2lox-17: 0.33 |
T230_TTGAACGGTATTGACC-1 | Neurons:adrenal_medulla_cell_line | 0.19 | 288.48 | Raw ScoresNeurons:adrenal_medulla_cell_line: 0.39, Neuroepithelial_cell:ESC-derived: 0.34, Astrocyte:Embryonic_stem_cell-derived: 0.32, iPS_cells:PDB_2lox-22: 0.32, iPS_cells:PDB_1lox-21Puro-20: 0.32, iPS_cells:PDB_2lox-17: 0.32, iPS_cells:PDB_1lox-17Puro-10: 0.32, iPS_cells:PDB_1lox-21Puro-26: 0.32, Neurons:ES_cell-derived_neural_precursor: 0.32, iPS_cells:PDB_2lox-21: 0.32 |
T230_AATAGAGTCACTTGGA-1 | Neurons:adrenal_medulla_cell_line | 0.15 | 287.17 | Raw ScoresNeurons:adrenal_medulla_cell_line: 0.34, Neuroepithelial_cell:ESC-derived: 0.31, iPS_cells:PDB_1lox-21Puro-20: 0.3, iPS_cells:PDB_1lox-21Puro-26: 0.29, iPS_cells:PDB_2lox-5: 0.29, iPS_cells:PDB_2lox-22: 0.29, iPS_cells:PDB_2lox-21: 0.29, iPS_cells:PDB_2lox-17: 0.29, iPS_cells:PDB_1lox-17Puro-10: 0.29, iPS_cells:PDB_1lox-17Puro-5: 0.29 |
T230_GCTGCAGAGACGACTG-1 | Neurons:adrenal_medulla_cell_line | 0.14 | 283.18 | Raw ScoresNeurons:adrenal_medulla_cell_line: 0.33, Neuroepithelial_cell:ESC-derived: 0.29, Astrocyte:Embryonic_stem_cell-derived: 0.28, iPS_cells:PDB_2lox-22: 0.27, iPS_cells:PDB_1lox-17Puro-5: 0.27, iPS_cells:PDB_1lox-17Puro-10: 0.27, iPS_cells:PDB_2lox-17: 0.26, iPS_cells:PDB_1lox-21Puro-20: 0.26, iPS_cells:PDB_1lox-21Puro-26: 0.26, iPS_cells:PDB_2lox-21: 0.26 |
T230_CCCGGAAAGAGGGCGA-1 | Neurons:adrenal_medulla_cell_line | 0.21 | 279.59 | Raw ScoresNeurons:adrenal_medulla_cell_line: 0.4, Neuroepithelial_cell:ESC-derived: 0.36, iPS_cells:PDB_2lox-22: 0.35, iPS_cells:PDB_2lox-21: 0.34, iPS_cells:PDB_1lox-21Puro-20: 0.34, iPS_cells:PDB_2lox-17: 0.34, iPS_cells:PDB_1lox-21Puro-26: 0.34, iPS_cells:PDB_1lox-17Puro-10: 0.34, iPS_cells:PDB_1lox-17Puro-5: 0.34, Embryonic_stem_cells: 0.34 |
T230_TTTATGCGTCATTCCC-1 | Neurons:adrenal_medulla_cell_line | 0.19 | 279.03 | Raw ScoresNeurons:adrenal_medulla_cell_line: 0.37, Neuroepithelial_cell:ESC-derived: 0.35, iPS_cells:PDB_2lox-22: 0.33, iPS_cells:PDB_1lox-21Puro-20: 0.33, iPS_cells:PDB_1lox-21Puro-26: 0.33, iPS_cells:PDB_2lox-21: 0.33, iPS_cells:PDB_1lox-17Puro-10: 0.33, iPS_cells:PDB_2lox-17: 0.33, iPS_cells:PDB_1lox-17Puro-5: 0.32, Embryonic_stem_cells: 0.32 |
T230_CACGTTCAGTGGCCTC-1 | Neurons:adrenal_medulla_cell_line | 0.19 | 276.06 | Raw ScoresNeurons:adrenal_medulla_cell_line: 0.39, Neuroepithelial_cell:ESC-derived: 0.35, iPS_cells:PDB_1lox-21Puro-20: 0.33, iPS_cells:PDB_1lox-17Puro-10: 0.33, iPS_cells:PDB_1lox-21Puro-26: 0.33, iPS_cells:PDB_1lox-17Puro-5: 0.33, iPS_cells:PDB_2lox-22: 0.33, Astrocyte:Embryonic_stem_cell-derived: 0.33, Neurons:ES_cell-derived_neural_precursor: 0.33, iPS_cells:PDB_2lox-21: 0.32 |
T230_GGTGTTACAGGAAGTC-1 | Neurons:adrenal_medulla_cell_line | 0.14 | 276.00 | Raw ScoresNeurons:adrenal_medulla_cell_line: 0.36, Neuroepithelial_cell:ESC-derived: 0.34, iPS_cells:PDB_2lox-22: 0.33, iPS_cells:PDB_2lox-17: 0.33, iPS_cells:PDB_1lox-21Puro-20: 0.33, iPS_cells:PDB_2lox-21: 0.33, iPS_cells:PDB_1lox-21Puro-26: 0.33, iPS_cells:PDB_1lox-17Puro-10: 0.33, iPS_cells:PDB_1lox-17Puro-5: 0.33, iPS_cells:PDB_2lox-5: 0.33 |
T230_GTCACTCCATTGTAGC-1 | Neurons:adrenal_medulla_cell_line | 0.17 | 274.92 | Raw ScoresNeurons:adrenal_medulla_cell_line: 0.37, Neuroepithelial_cell:ESC-derived: 0.34, iPS_cells:PDB_2lox-22: 0.33, iPS_cells:PDB_1lox-21Puro-20: 0.33, iPS_cells:PDB_2lox-21: 0.32, iPS_cells:PDB_1lox-21Puro-26: 0.32, iPS_cells:PDB_2lox-17: 0.32, iPS_cells:PDB_1lox-17Puro-10: 0.32, iPS_cells:PDB_1lox-17Puro-5: 0.32, Astrocyte:Embryonic_stem_cell-derived: 0.32 |
T230_CATACAGAGGTTCACT-1 | Neurons:adrenal_medulla_cell_line | 0.18 | 274.50 | Raw ScoresNeurons:adrenal_medulla_cell_line: 0.38, Neuroepithelial_cell:ESC-derived: 0.35, Astrocyte:Embryonic_stem_cell-derived: 0.34, iPS_cells:PDB_1lox-21Puro-20: 0.32, iPS_cells:PDB_1lox-17Puro-10: 0.32, iPS_cells:PDB_2lox-5: 0.32, iPS_cells:PDB_1lox-21Puro-26: 0.32, iPS_cells:PDB_2lox-22: 0.32, iPS_cells:PDB_2lox-21: 0.31, iPS_cells:PDB_2lox-17: 0.31 |
T230_GTGGTTAAGCACTCGC-1 | Neurons:adrenal_medulla_cell_line | 0.19 | 272.84 | Raw ScoresNeurons:adrenal_medulla_cell_line: 0.36, Neuroepithelial_cell:ESC-derived: 0.34, iPS_cells:PDB_1lox-17Puro-10: 0.32, iPS_cells:PDB_1lox-21Puro-26: 0.32, iPS_cells:PDB_1lox-17Puro-5: 0.32, iPS_cells:PDB_1lox-21Puro-20: 0.32, Astrocyte:Embryonic_stem_cell-derived: 0.31, Neurons:ES_cell-derived_neural_precursor: 0.31, iPS_cells:PDB_2lox-22: 0.31, Embryonic_stem_cells: 0.31 |
T230_ACATTTCCATGAGAAT-1 | Neurons:adrenal_medulla_cell_line | 0.19 | 270.89 | Raw ScoresNeurons:adrenal_medulla_cell_line: 0.39, Neuroepithelial_cell:ESC-derived: 0.35, iPS_cells:PDB_1lox-21Puro-20: 0.33, iPS_cells:PDB_1lox-17Puro-10: 0.33, iPS_cells:PDB_1lox-21Puro-26: 0.33, iPS_cells:PDB_2lox-22: 0.33, iPS_cells:PDB_1lox-17Puro-5: 0.33, iPS_cells:PDB_2lox-21: 0.32, iPS_cells:PDB_2lox-17: 0.32, Embryonic_stem_cells: 0.32 |
T230_TGTGCGGAGTGCTCAT-1 | Neurons:adrenal_medulla_cell_line | 0.21 | 268.01 | Raw ScoresNeurons:adrenal_medulla_cell_line: 0.42, Neuroepithelial_cell:ESC-derived: 0.38, iPS_cells:PDB_1lox-21Puro-20: 0.37, iPS_cells:PDB_1lox-21Puro-26: 0.37, iPS_cells:PDB_1lox-17Puro-10: 0.37, iPS_cells:PDB_1lox-17Puro-5: 0.37, iPS_cells:PDB_2lox-22: 0.37, Embryonic_stem_cells: 0.36, iPS_cells:PDB_2lox-17: 0.36, Neurons:ES_cell-derived_neural_precursor: 0.36 |
T230_TCACGCTGTTCCTACC-1 | Neurons:adrenal_medulla_cell_line | 0.20 | 263.30 | Raw ScoresNeurons:adrenal_medulla_cell_line: 0.38, Neuroepithelial_cell:ESC-derived: 0.35, Astrocyte:Embryonic_stem_cell-derived: 0.33, iPS_cells:PDB_1lox-17Puro-10: 0.33, iPS_cells:PDB_1lox-21Puro-26: 0.33, iPS_cells:PDB_1lox-17Puro-5: 0.33, iPS_cells:PDB_1lox-21Puro-20: 0.33, iPS_cells:PDB_2lox-22: 0.32, Neurons:ES_cell-derived_neural_precursor: 0.32, iPS_cells:CRL2097_foreskin-derived:undiff.: 0.32 |
T230_CCTAAGACACTGGACC-1 | Neurons:adrenal_medulla_cell_line | 0.18 | 257.25 | Raw ScoresNeurons:adrenal_medulla_cell_line: 0.41, Neuroepithelial_cell:ESC-derived: 0.38, iPS_cells:PDB_2lox-22: 0.37, iPS_cells:PDB_1lox-21Puro-20: 0.36, iPS_cells:PDB_2lox-17: 0.36, iPS_cells:PDB_2lox-21: 0.36, iPS_cells:PDB_1lox-21Puro-26: 0.36, iPS_cells:PDB_1lox-17Puro-10: 0.36, iPS_cells:PDB_1lox-17Puro-5: 0.36, iPS_cells:CRL2097_foreskin-derived:undiff.: 0.36 |
T200_AGACAGGAGCGCACAA-1 | Neurons:adrenal_medulla_cell_line | 0.16 | 256.67 | Raw ScoresNeurons:adrenal_medulla_cell_line: 0.36, Neuroepithelial_cell:ESC-derived: 0.33, iPS_cells:PDB_2lox-22: 0.31, Embryonic_stem_cells: 0.31, iPS_cells:PDB_2lox-21: 0.31, iPS_cells:PDB_2lox-17: 0.31, iPS_cells:fibroblast-derived:Retroviral_transf: 0.31, iPS_cells:adipose_stem_cell-derived:minicircle-derived: 0.31, iPS_cells:CRL2097_foreskin-derived:undiff.: 0.31, iPS_cells:PDB_2lox-5: 0.31 |
T230_CATACAGAGAGATCGC-1 | Neurons:adrenal_medulla_cell_line | 0.22 | 256.16 | Raw ScoresNeurons:adrenal_medulla_cell_line: 0.42, Neuroepithelial_cell:ESC-derived: 0.38, iPS_cells:PDB_1lox-21Puro-20: 0.35, iPS_cells:PDB_1lox-17Puro-10: 0.35, iPS_cells:PDB_1lox-21Puro-26: 0.35, Neurons:ES_cell-derived_neural_precursor: 0.35, iPS_cells:PDB_1lox-17Puro-5: 0.35, iPS_cells:PDB_2lox-22: 0.34, Embryonic_stem_cells: 0.34, iPS_cells:PDB_2lox-21: 0.34 |
T230_AGCTTCCGTAGAATAC-1 | Neurons:adrenal_medulla_cell_line | 0.10 | 254.81 | Raw ScoresNeurons:adrenal_medulla_cell_line: 0.29, Neuroepithelial_cell:ESC-derived: 0.27, iPS_cells:CRL2097_foreskin-derived:undiff.: 0.26, iPS_cells:PDB_2lox-22: 0.26, iPS_cells:PDB_2lox-5: 0.26, iPS_cells:PDB_2lox-21: 0.26, iPS_cells:adipose_stem_cell-derived:minicircle-derived: 0.26, iPS_cells:PDB_2lox-17: 0.26, iPS_cells:adipose_stem_cell-derived:lentiviral: 0.25, Embryonic_stem_cells: 0.25 |
T230_TATGTTCAGTTGCTGT-1 | Neurons:adrenal_medulla_cell_line | 0.20 | 253.68 | Raw ScoresNeurons:adrenal_medulla_cell_line: 0.38, Neuroepithelial_cell:ESC-derived: 0.36, Astrocyte:Embryonic_stem_cell-derived: 0.33, iPS_cells:PDB_1lox-21Puro-20: 0.33, iPS_cells:PDB_1lox-17Puro-10: 0.33, iPS_cells:PDB_1lox-21Puro-26: 0.33, iPS_cells:PDB_1lox-17Puro-5: 0.33, Neurons:ES_cell-derived_neural_precursor: 0.33, iPS_cells:PDB_2lox-22: 0.33, Embryonic_stem_cells: 0.32 |
T230_TCTGCCAGTGAGAACC-1 | Neurons:adrenal_medulla_cell_line | 0.17 | 253.29 | Raw ScoresNeurons:adrenal_medulla_cell_line: 0.38, Neuroepithelial_cell:ESC-derived: 0.34, Astrocyte:Embryonic_stem_cell-derived: 0.33, iPS_cells:PDB_1lox-21Puro-20: 0.32, iPS_cells:PDB_1lox-17Puro-10: 0.32, iPS_cells:PDB_2lox-22: 0.32, iPS_cells:PDB_1lox-21Puro-26: 0.32, iPS_cells:PDB_2lox-21: 0.32, iPS_cells:PDB_1lox-17Puro-5: 0.32, iPS_cells:PDB_2lox-17: 0.32 |
T230_CCTCAGTGTTTACCTT-1 | Neurons:adrenal_medulla_cell_line | 0.16 | 252.23 | Raw ScoresNeurons:adrenal_medulla_cell_line: 0.33, Neuroepithelial_cell:ESC-derived: 0.3, Astrocyte:Embryonic_stem_cell-derived: 0.29, iPS_cells:PDB_1lox-21Puro-20: 0.27, iPS_cells:PDB_1lox-17Puro-10: 0.27, iPS_cells:PDB_2lox-22: 0.27, iPS_cells:PDB_1lox-21Puro-26: 0.27, iPS_cells:PDB_2lox-5: 0.27, iPS_cells:PDB_1lox-17Puro-5: 0.27, iPS_cells:PDB_2lox-21: 0.27 |
T200_TGAGGAGTCCTACCGT-1 | Neurons:adrenal_medulla_cell_line | 0.15 | 250.53 | Raw ScoresNeurons:adrenal_medulla_cell_line: 0.33, Neuroepithelial_cell:ESC-derived: 0.3, Astrocyte:Embryonic_stem_cell-derived: 0.3, MSC: 0.3, Neurons:Schwann_cell: 0.3, iPS_cells:CRL2097_foreskin: 0.3, Fibroblasts:foreskin: 0.29, iPS_cells:foreskin_fibrobasts: 0.29, Embryonic_stem_cells: 0.29, Tissue_stem_cells:CD326-CD56+: 0.29 |
T230_TTTAGTCTCCTCGATC-1 | Neurons:adrenal_medulla_cell_line | 0.16 | 250.25 | Raw ScoresNeurons:adrenal_medulla_cell_line: 0.37, Neuroepithelial_cell:ESC-derived: 0.34, iPS_cells:PDB_2lox-22: 0.34, iPS_cells:PDB_2lox-17: 0.34, iPS_cells:PDB_2lox-21: 0.34, iPS_cells:PDB_1lox-21Puro-20: 0.33, iPS_cells:PDB_1lox-21Puro-26: 0.33, iPS_cells:PDB_1lox-17Puro-5: 0.33, iPS_cells:PDB_2lox-5: 0.33, iPS_cells:PDB_1lox-17Puro-10: 0.33 |
Below shows the significant enrichments of this GEP for literature curated gene lists
This data was procured from existing single cell RNA-seq maps of neuroblastoma or related relevant data.
High ranks indicate this gene is a driver of this GEP.
These curated gene list are ranked by the P-value (on this GEP) of their constituent genes.
The Mean Count column shows the mean read count in cells scoring highly (H > 50) on this gene expression program.
Genes | Weight | Rank | GTEx | DepMap | Decartes | Mean.Counts | Mean.TPM |
---|---|---|---|---|---|---|---|
ATRX | 0.0025317 | 172 | GTEx | DepMap | Descartes | 3.84 | 47.70 |
ZFHX3 | 0.0007652 | 1890 | GTEx | DepMap | Descartes | 5.33 | 42.46 |
Bridge (Hanemaaijer)
Marker genes obtained from Supplementary Table SD of Hanemaaijer et al (PMID 33500353). The authors generated single-cell RNA-seq data (sort-seq, 2,229 cells total) from mouse adrenal glads at E13.5, E14.5, E17.5, E18.5, P1 and P5. These were marker genes that matched with a similar dataset generated by Furlan et al (PMID 28684471). This particular set of markers are for the Bridge subcluster, which is part of the Adrenal Medulla cluster.:
Wilcoxon ranksum test P-value for gene set overrepresentation: 3.94e-02
Mean rank of genes in gene set: 4437.42
Rank on gene expression program of genes in gene set:
Genes | Weight | Rank | GTEx | DepMap | Decartes | Mean.Counts | Mean.TPM |
---|---|---|---|---|---|---|---|
DPYSL3 | 0.0061678 | 17 | GTEx | DepMap | Descartes | 3.33 | 95.55 |
LDHB | 0.0039089 | 55 | GTEx | DepMap | Descartes | 19.62 | 1716.72 |
SOX11 | 0.0028506 | 121 | GTEx | DepMap | Descartes | 5.92 | 96.47 |
CKB | 0.0025598 | 165 | GTEx | DepMap | Descartes | 11.73 | 1122.51 |
NFASC | 0.0010707 | 1129 | GTEx | DepMap | Descartes | 0.33 | 4.75 |
WDR6 | 0.0009485 | 1394 | GTEx | DepMap | Descartes | 0.87 | 27.93 |
DLL3 | 0.0008370 | 1671 | GTEx | DepMap | Descartes | 0.91 | 54.74 |
GSE1 | 0.0002081 | 4943 | GTEx | DepMap | Descartes | 0.53 | NA |
RCC2 | -0.0001409 | 8508 | GTEx | DepMap | Descartes | 0.53 | 17.00 |
TBX20 | -0.0003621 | 10609 | GTEx | DepMap | Descartes | 0.00 | 0.00 |
MIAT | -0.0008595 | 12157 | GTEx | DepMap | Descartes | 0.58 | 8.12 |
CDKN1C | -0.0015139 | 12480 | GTEx | DepMap | Descartes | 0.66 | 44.65 |
Adrenergic immature (Olsen)
Stated on pages 6 and 7 of the main text of Olsen et al. https://www.biorxiv.org/content/10.1101/2020.05.04.077057v1 - it is argued that upon reanalysis of the adrenergic neuroblastoma cells, there is further heterogeneity, grouped into proliferating, mature and immature cell populations. These is a marker listed for the immature adrenergic cells. SOX11 is referenced as important in early phases of pro-adrenergic differentiation (cites PMID 20147379) whereas SOX4 appears later. SOX11 is also associated with poor outcome in neuroblatoma bulk RNA-seq data (Olsen analysis).:
Wilcoxon ranksum test P-value for gene set overrepresentation: 4.47e-02
Mean rank of genes in gene set: 121
Rank on gene expression program of genes in gene set:
Genes | Weight | Rank | GTEx | DepMap | Decartes | Mean.Counts | Mean.TPM |
---|---|---|---|---|---|---|---|
SOX11 | 0.0028506 | 121 | GTEx | DepMap | Descartes | 5.92 | 96.47 |
Below shows ranks on this GEP for literature curated gene lists for large gene sets
These include those reported as mesenchymal/adrenergic by Van Groningen et al.
High ranks indicate this gene is a driver of this GEP (note these results are not ordered).
The Mean Count column shows the mean read count in cells scoring highly (H > 50) on this gene expression program.
VanGroningen Adrenergic Genes
Adrenergic marker genes from Supplementary Table 2 of Van Groningen et al. Nature Genetics 2017. These genes were identified by differential expression analysis of mesenchymal-like and adrenergic-like neuroblastoma cell lines.
Wilcoxon ranksum test P-value for gene set overrepresentation: 3.55e-08
Mean rank of genes in gene set: 5170.83
Median rank of genes in gene set: 3509
Rank on gene expression program of top 30 genes in gene set:
Genes | Weight | Rank | GTEx | DepMap | Descartes | Mean.Counts | Mean.TPM |
---|---|---|---|---|---|---|---|
KIF21A | 0.0080186 | 8 | GTEx | DepMap | Descartes | 8.34 | 202.39 |
MARCH11 | 0.0073842 | 9 | GTEx | DepMap | Descartes | 7.02 | NA |
CHML | 0.0063858 | 14 | GTEx | DepMap | Descartes | 1.83 | 35.44 |
DPYSL3 | 0.0061678 | 17 | GTEx | DepMap | Descartes | 3.33 | 95.55 |
ADAM22 | 0.0061676 | 18 | GTEx | DepMap | Descartes | 1.60 | 28.78 |
PRSS12 | 0.0057596 | 25 | GTEx | DepMap | Descartes | 1.14 | 36.49 |
GNG4 | 0.0057447 | 26 | GTEx | DepMap | Descartes | 4.34 | 122.07 |
ANK2 | 0.0047824 | 34 | GTEx | DepMap | Descartes | 2.52 | 26.36 |
GRIA2 | 0.0045064 | 40 | GTEx | DepMap | Descartes | 1.72 | 49.93 |
NBEA | 0.0041078 | 50 | GTEx | DepMap | Descartes | 2.25 | 29.32 |
RNF150 | 0.0037470 | 62 | GTEx | DepMap | Descartes | 1.09 | 16.24 |
KLHL13 | 0.0035607 | 69 | GTEx | DepMap | Descartes | 1.34 | 41.29 |
CCNI | 0.0031990 | 90 | GTEx | DepMap | Descartes | 27.78 | 1414.35 |
TMEM108 | 0.0031609 | 94 | GTEx | DepMap | Descartes | 0.55 | 15.94 |
ST3GAL6 | 0.0031369 | 98 | GTEx | DepMap | Descartes | 0.86 | 35.03 |
CDC42EP3 | 0.0030527 | 104 | GTEx | DepMap | Descartes | 2.04 | 58.37 |
MSI2 | 0.0030139 | 108 | GTEx | DepMap | Descartes | 2.11 | 40.65 |
SOX11 | 0.0028506 | 121 | GTEx | DepMap | Descartes | 5.92 | 96.47 |
HEY1 | 0.0027290 | 133 | GTEx | DepMap | Descartes | 0.29 | 11.72 |
UNC79 | 0.0026880 | 140 | GTEx | DepMap | Descartes | 0.41 | 7.51 |
ELAVL3 | 0.0026649 | 146 | GTEx | DepMap | Descartes | 4.66 | 136.69 |
FKBP4 | 0.0026457 | 150 | GTEx | DepMap | Descartes | 3.24 | 119.29 |
SYNPO2 | 0.0025755 | 162 | GTEx | DepMap | Descartes | 0.75 | 7.40 |
CKB | 0.0025598 | 165 | GTEx | DepMap | Descartes | 11.73 | 1122.51 |
KIF5C | 0.0024845 | 182 | GTEx | DepMap | Descartes | 5.46 | 110.80 |
CCND1 | 0.0023474 | 212 | GTEx | DepMap | Descartes | 10.70 | 402.85 |
AKAP1 | 0.0022704 | 225 | GTEx | DepMap | Descartes | 1.09 | 35.96 |
NEFM | 0.0021777 | 248 | GTEx | DepMap | Descartes | 2.54 | 114.11 |
CCSAP | 0.0020885 | 271 | GTEx | DepMap | Descartes | 0.79 | NA |
ELAVL2 | 0.0020626 | 276 | GTEx | DepMap | Descartes | 1.84 | 67.71 |
VanGroningen Mesenchymal Genes
Mesenchymal marker genes from Supplementary Table 2 of Van Groningen et al. Nature Genetics 2017. These genes were identified by differential expression analysis of mesenchymal-like and adrenergic-like neuroblastoma cell lines.
Wilcoxon ranksum test P-value for gene set overrepresentation: 1.00e+00
Mean rank of genes in gene set: 7971.29
Median rank of genes in gene set: 9036
Rank on gene expression program of top 30 genes in gene set:
Genes | Weight | Rank | GTEx | DepMap | Descartes | Mean.Counts | Mean.TPM |
---|---|---|---|---|---|---|---|
TNC | 0.0052690 | 29 | GTEx | DepMap | Descartes | 0.35 | 6.75 |
DNM3OS | 0.0038991 | 56 | GTEx | DepMap | Descartes | 0.21 | 13.33 |
PTPRG | 0.0034859 | 75 | GTEx | DepMap | Descartes | 0.43 | 7.27 |
ENAH | 0.0034655 | 77 | GTEx | DepMap | Descartes | 3.10 | 32.98 |
ATP2B1 | 0.0028134 | 123 | GTEx | DepMap | Descartes | 1.66 | 36.45 |
SHROOM3 | 0.0026276 | 151 | GTEx | DepMap | Descartes | 0.15 | 2.14 |
PPIB | 0.0025893 | 159 | GTEx | DepMap | Descartes | 7.15 | 836.54 |
PRDX4 | 0.0020668 | 274 | GTEx | DepMap | Descartes | 3.39 | 462.77 |
RCN1 | 0.0017996 | 397 | GTEx | DepMap | Descartes | 1.13 | 60.97 |
PDIA6 | 0.0016759 | 470 | GTEx | DepMap | Descartes | 3.26 | 163.90 |
SMAD3 | 0.0016723 | 474 | GTEx | DepMap | Descartes | 0.23 | 5.24 |
MBTPS1 | 0.0016404 | 499 | GTEx | DepMap | Descartes | 0.88 | 29.60 |
SEC14L1 | 0.0015893 | 524 | GTEx | DepMap | Descartes | 1.04 | 27.84 |
FAT1 | 0.0015759 | 530 | GTEx | DepMap | Descartes | 0.16 | 1.63 |
EGR3 | 0.0015678 | 535 | GTEx | DepMap | Descartes | 0.74 | 23.17 |
PCDH18 | 0.0015639 | 542 | GTEx | DepMap | Descartes | 0.11 | 2.83 |
PRDX6 | 0.0014984 | 598 | GTEx | DepMap | Descartes | 3.80 | 293.33 |
KDM5B | 0.0014824 | 616 | GTEx | DepMap | Descartes | 1.16 | 17.50 |
CKAP4 | 0.0014559 | 633 | GTEx | DepMap | Descartes | 1.01 | 45.89 |
SVIL | 0.0014076 | 677 | GTEx | DepMap | Descartes | 0.24 | 4.68 |
OSTC | 0.0013784 | 711 | GTEx | DepMap | Descartes | 2.84 | 380.08 |
COL11A1 | 0.0013625 | 724 | GTEx | DepMap | Descartes | 0.15 | 2.88 |
ELAVL1 | 0.0013356 | 758 | GTEx | DepMap | Descartes | 1.03 | 23.77 |
LMAN1 | 0.0012112 | 914 | GTEx | DepMap | Descartes | 1.39 | 39.70 |
F2R | 0.0011893 | 938 | GTEx | DepMap | Descartes | 0.51 | 18.36 |
ARL1 | 0.0011562 | 983 | GTEx | DepMap | Descartes | 0.70 | 31.79 |
DDR2 | 0.0011238 | 1041 | GTEx | DepMap | Descartes | 0.46 | 6.63 |
JAM3 | 0.0011185 | 1049 | GTEx | DepMap | Descartes | 0.36 | 14.36 |
SPRED1 | 0.0011057 | 1062 | GTEx | DepMap | Descartes | 0.21 | 4.13 |
RAP1B | 0.0011040 | 1066 | GTEx | DepMap | Descartes | 1.24 | 12.90 |
Descartes adrenocortical markers
Top 50 marker genes of adrenocortical cells in the Decartes fetal adrenal single cell map (https://atlas.brotmanbaty.org/bbi/human-gene-expression-during-development/cell/adrenocortical/in/adrenal)
Wilcoxon ranksum test P-value for gene set overrepresentation: 3.85e-01
Mean rank of genes in gene set: 6099.08
Median rank of genes in gene set: 6182.5
Rank on gene expression program of top 30 genes in gene set:
Genes | Weight | Rank | GTEx | DepMap | Descartes | Mean.Counts | Mean.TPM |
---|---|---|---|---|---|---|---|
SLC1A2 | 0.0047025 | 35 | GTEx | DepMap | Descartes | 0.90 | 12.02 |
BAIAP2L1 | 0.0027226 | 135 | GTEx | DepMap | Descartes | 0.07 | 2.87 |
IGF1R | 0.0015090 | 593 | GTEx | DepMap | Descartes | 0.51 | 6.19 |
GSTA4 | 0.0009513 | 1387 | GTEx | DepMap | Descartes | 1.86 | 152.99 |
SH3BP5 | 0.0008524 | 1620 | GTEx | DepMap | Descartes | 0.98 | 40.60 |
HMGCR | 0.0008473 | 1640 | GTEx | DepMap | Descartes | 0.51 | 16.22 |
PDE10A | 0.0008356 | 1676 | GTEx | DepMap | Descartes | 0.21 | 3.48 |
SCARB1 | 0.0007837 | 1834 | GTEx | DepMap | Descartes | 0.21 | 4.88 |
JAKMIP2 | 0.0006131 | 2468 | GTEx | DepMap | Descartes | 0.56 | 8.78 |
SCAP | 0.0006020 | 2514 | GTEx | DepMap | Descartes | 0.38 | 12.55 |
FDX1 | 0.0005086 | 2921 | GTEx | DepMap | Descartes | 0.82 | 36.17 |
SLC16A9 | 0.0005058 | 2935 | GTEx | DepMap | Descartes | 0.18 | 6.41 |
FDPS | 0.0004451 | 3299 | GTEx | DepMap | Descartes | 1.88 | 123.83 |
GRAMD1B | 0.0003577 | 3829 | GTEx | DepMap | Descartes | 0.11 | 2.10 |
MSMO1 | 0.0002834 | 4367 | GTEx | DepMap | Descartes | 0.55 | 33.31 |
DHCR7 | 0.0002003 | 5001 | GTEx | DepMap | Descartes | 0.20 | 10.26 |
NPC1 | 0.0000948 | 5845 | GTEx | DepMap | Descartes | 0.06 | 1.94 |
FRMD5 | 0.0000852 | 5937 | GTEx | DepMap | Descartes | 0.08 | 2.04 |
FREM2 | 0.0000331 | 6428 | GTEx | DepMap | Descartes | 0.00 | 0.01 |
SH3PXD2B | -0.0000186 | 6977 | GTEx | DepMap | Descartes | 0.06 | 1.09 |
SGCZ | -0.0000268 | 7093 | GTEx | DepMap | Descartes | 0.03 | 0.53 |
POR | -0.0000783 | 7741 | GTEx | DepMap | Descartes | 0.32 | 19.12 |
STAR | -0.0001223 | 8251 | GTEx | DepMap | Descartes | 0.02 | 0.67 |
ERN1 | -0.0001281 | 8339 | GTEx | DepMap | Descartes | 0.15 | 2.81 |
FDXR | -0.0001440 | 8548 | GTEx | DepMap | Descartes | 0.20 | 11.77 |
HMGCS1 | -0.0002205 | 9424 | GTEx | DepMap | Descartes | 0.40 | 10.15 |
INHA | -0.0002504 | 9734 | GTEx | DepMap | Descartes | 0.01 | 0.68 |
PAPSS2 | -0.0002552 | 9779 | GTEx | DepMap | Descartes | 0.02 | 1.33 |
TM7SF2 | -0.0002574 | 9802 | GTEx | DepMap | Descartes | 0.43 | 30.48 |
PEG3 | -0.0002756 | 9984 | GTEx | DepMap | Descartes | 0.38 | NA |
Descartes chromaffin markers
Top 50 marker genes of chromaffin cells in the Decartes fetal adrenal single cell map (https://atlas.brotmanbaty.org/bbi/human-gene-expression-during-development/cell/chromaffin/in/adrenal)
Wilcoxon ranksum test P-value for gene set overrepresentation: 1.00e+00
Mean rank of genes in gene set: 8280.73
Median rank of genes in gene set: 11737
Rank on gene expression program of top 30 genes in gene set:
Genes | Weight | Rank | GTEx | DepMap | Descartes | Mean.Counts | Mean.TPM |
---|---|---|---|---|---|---|---|
MARCH11 | 0.0073842 | 9 | GTEx | DepMap | Descartes | 7.02 | NA |
MAB21L1 | 0.0027088 | 136 | GTEx | DepMap | Descartes | 2.85 | 139.21 |
FAT3 | 0.0026532 | 149 | GTEx | DepMap | Descartes | 0.51 | 4.00 |
SYNPO2 | 0.0025755 | 162 | GTEx | DepMap | Descartes | 0.75 | 7.40 |
CCND1 | 0.0023474 | 212 | GTEx | DepMap | Descartes | 10.70 | 402.85 |
EPHA6 | 0.0022504 | 230 | GTEx | DepMap | Descartes | 0.18 | 8.86 |
ELAVL2 | 0.0020626 | 276 | GTEx | DepMap | Descartes | 1.84 | 67.71 |
BASP1 | 0.0016559 | 489 | GTEx | DepMap | Descartes | 14.51 | 1118.04 |
ISL1 | 0.0009901 | 1301 | GTEx | DepMap | Descartes | 3.55 | 222.54 |
IL7 | 0.0007493 | 1953 | GTEx | DepMap | Descartes | 0.63 | 55.17 |
MAP1B | 0.0007117 | 2092 | GTEx | DepMap | Descartes | 12.35 | 150.10 |
SLC44A5 | 0.0001938 | 5051 | GTEx | DepMap | Descartes | 0.12 | 3.84 |
TUBB2B | 0.0001906 | 5081 | GTEx | DepMap | Descartes | 28.28 | 2063.90 |
CNKSR2 | 0.0000556 | 6221 | GTEx | DepMap | Descartes | 0.20 | 3.23 |
PTCHD1 | -0.0000437 | 7315 | GTEx | DepMap | Descartes | 0.18 | 2.09 |
MLLT11 | -0.0001410 | 8509 | GTEx | DepMap | Descartes | 8.37 | 473.37 |
RYR2 | -0.0003618 | 10607 | GTEx | DepMap | Descartes | 0.16 | 1.16 |
REEP1 | -0.0003784 | 10722 | GTEx | DepMap | Descartes | 0.42 | 14.80 |
RPH3A | -0.0003912 | 10799 | GTEx | DepMap | Descartes | 0.06 | 1.63 |
ANKFN1 | -0.0004315 | 11006 | GTEx | DepMap | Descartes | 0.01 | 0.21 |
RGMB | -0.0006198 | 11737 | GTEx | DepMap | Descartes | 0.40 | 11.32 |
TUBB2A | -0.0006435 | 11803 | GTEx | DepMap | Descartes | 4.84 | 383.93 |
GREM1 | -0.0006875 | 11903 | GTEx | DepMap | Descartes | 0.01 | 0.08 |
KCNB2 | -0.0007360 | 11993 | GTEx | DepMap | Descartes | 0.05 | 1.98 |
HS3ST5 | -0.0007455 | 12007 | GTEx | DepMap | Descartes | 0.02 | 0.57 |
ALK | -0.0007789 | 12062 | GTEx | DepMap | Descartes | 0.09 | 1.83 |
MAB21L2 | -0.0008600 | 12159 | GTEx | DepMap | Descartes | 1.04 | 51.23 |
TMEFF2 | -0.0008646 | 12166 | GTEx | DepMap | Descartes | 0.16 | 6.76 |
PLXNA4 | -0.0009899 | 12274 | GTEx | DepMap | Descartes | 0.02 | 0.25 |
TUBA1A | -0.0010198 | 12303 | GTEx | DepMap | Descartes | 34.67 | 2391.35 |
Descartes Vascular_endothelial markers
Top 50 marker genes of Vascular_endothelial cells in the Decartes fetal adrenal single cell map (https://atlas.brotmanbaty.org/bbi/human-gene-expression-during-development/cell/vascular_endothelial/in/adrenal)
Wilcoxon ranksum test P-value for gene set overrepresentation: 9.97e-01
Mean rank of genes in gene set: 7913.13
Median rank of genes in gene set: 8373
Rank on gene expression program of top 30 genes in gene set:
Genes | Weight | Rank | GTEx | DepMap | Descartes | Mean.Counts | Mean.TPM |
---|---|---|---|---|---|---|---|
RAMP2 | 0.0016479 | 495 | GTEx | DepMap | Descartes | 2.46 | 397.02 |
HYAL2 | 0.0009915 | 1298 | GTEx | DepMap | Descartes | 0.92 | 32.49 |
EFNB2 | 0.0004850 | 3054 | GTEx | DepMap | Descartes | 0.30 | 8.54 |
CHRM3 | 0.0004019 | 3539 | GTEx | DepMap | Descartes | 0.49 | 8.73 |
SHANK3 | 0.0002845 | 4357 | GTEx | DepMap | Descartes | 0.04 | 0.88 |
F8 | 0.0000803 | 5987 | GTEx | DepMap | Descartes | 0.01 | 0.19 |
EHD3 | 0.0000706 | 6074 | GTEx | DepMap | Descartes | 0.04 | 1.33 |
ESM1 | 0.0000589 | 6194 | GTEx | DepMap | Descartes | 0.06 | 2.55 |
NR5A2 | 0.0000121 | 6640 | GTEx | DepMap | Descartes | 0.00 | 0.05 |
ARHGAP29 | -0.0000220 | 7021 | GTEx | DepMap | Descartes | 0.39 | 5.82 |
KDR | -0.0000654 | 7581 | GTEx | DepMap | Descartes | 0.02 | 0.32 |
RASIP1 | -0.0000672 | 7604 | GTEx | DepMap | Descartes | 0.01 | 0.42 |
TMEM88 | -0.0000853 | 7828 | GTEx | DepMap | Descartes | 0.06 | 10.61 |
PLVAP | -0.0001069 | 8088 | GTEx | DepMap | Descartes | 0.10 | 3.95 |
PTPRB | -0.0001099 | 8110 | GTEx | DepMap | Descartes | 0.01 | 0.08 |
NPR1 | -0.0001106 | 8120 | GTEx | DepMap | Descartes | 0.01 | 0.11 |
GALNT15 | -0.0001167 | 8178 | GTEx | DepMap | Descartes | 0.01 | NA |
SHE | -0.0001196 | 8217 | GTEx | DepMap | Descartes | 0.00 | 0.02 |
BTNL9 | -0.0001275 | 8328 | GTEx | DepMap | Descartes | 0.00 | 0.02 |
CEACAM1 | -0.0001340 | 8418 | GTEx | DepMap | Descartes | 0.00 | 0.12 |
ROBO4 | -0.0001348 | 8431 | GTEx | DepMap | Descartes | 0.01 | 0.23 |
FLT4 | -0.0001371 | 8467 | GTEx | DepMap | Descartes | 0.00 | 0.05 |
CALCRL | -0.0001390 | 8488 | GTEx | DepMap | Descartes | 0.01 | 0.29 |
TEK | -0.0001440 | 8549 | GTEx | DepMap | Descartes | 0.00 | 0.03 |
CDH5 | -0.0001514 | 8629 | GTEx | DepMap | Descartes | 0.01 | 0.17 |
KANK3 | -0.0001915 | 9101 | GTEx | DepMap | Descartes | 0.00 | 0.05 |
SLCO2A1 | -0.0001939 | 9122 | GTEx | DepMap | Descartes | 0.00 | 0.03 |
CRHBP | -0.0002055 | 9246 | GTEx | DepMap | Descartes | 0.00 | 0.05 |
TIE1 | -0.0002210 | 9426 | GTEx | DepMap | Descartes | 0.00 | 0.07 |
MMRN2 | -0.0002348 | 9579 | GTEx | DepMap | Descartes | 0.00 | 0.03 |
Descartes stromal markers
Top 50 marker genes of stromal cells in the Decartes fetal adrenal single cell map (https://atlas.brotmanbaty.org/bbi/human-gene-expression-during-development/cell/stromal/in/adrenal)
Wilcoxon ranksum test P-value for gene set overrepresentation: 9.99e-01
Mean rank of genes in gene set: 8017.34
Median rank of genes in gene set: 9449.5
Rank on gene expression program of top 30 genes in gene set:
Genes | Weight | Rank | GTEx | DepMap | Descartes | Mean.Counts | Mean.TPM |
---|---|---|---|---|---|---|---|
HHIP | 0.0089561 | 7 | GTEx | DepMap | Descartes | 0.92 | 16.27 |
DKK2 | 0.0022336 | 233 | GTEx | DepMap | Descartes | 0.05 | 1.70 |
PCOLCE | 0.0019787 | 311 | GTEx | DepMap | Descartes | 3.35 | 316.99 |
PCDH18 | 0.0015639 | 542 | GTEx | DepMap | Descartes | 0.11 | 2.83 |
PRICKLE1 | 0.0010936 | 1088 | GTEx | DepMap | Descartes | 0.47 | 10.80 |
ADAMTSL3 | 0.0003490 | 3888 | GTEx | DepMap | Descartes | 0.01 | 0.10 |
LRRC17 | 0.0003052 | 4203 | GTEx | DepMap | Descartes | 0.04 | 2.16 |
GAS2 | 0.0002924 | 4296 | GTEx | DepMap | Descartes | 0.03 | 1.74 |
LAMC3 | 0.0000913 | 5871 | GTEx | DepMap | Descartes | 0.01 | 0.05 |
EDNRA | 0.0000425 | 6344 | GTEx | DepMap | Descartes | 0.03 | 0.93 |
C7 | 0.0000354 | 6407 | GTEx | DepMap | Descartes | 0.06 | 1.35 |
IGFBP3 | 0.0000158 | 6598 | GTEx | DepMap | Descartes | 0.08 | 2.77 |
SFRP2 | -0.0000404 | 7270 | GTEx | DepMap | Descartes | 0.00 | 0.17 |
ITGA11 | -0.0000713 | 7663 | GTEx | DepMap | Descartes | 0.00 | 0.01 |
BICC1 | -0.0000743 | 7701 | GTEx | DepMap | Descartes | 0.03 | 0.73 |
COL27A1 | -0.0000842 | 7818 | GTEx | DepMap | Descartes | 0.01 | 0.10 |
CD248 | -0.0000908 | 7887 | GTEx | DepMap | Descartes | 0.06 | 3.13 |
ABCC9 | -0.0001073 | 8092 | GTEx | DepMap | Descartes | 0.01 | 0.18 |
ABCA6 | -0.0001521 | 8641 | GTEx | DepMap | Descartes | 0.01 | 0.25 |
CLDN11 | -0.0001623 | 8763 | GTEx | DepMap | Descartes | 0.06 | 2.37 |
SCARA5 | -0.0001663 | 8814 | GTEx | DepMap | Descartes | 0.00 | 0.00 |
RSPO3 | -0.0002187 | 9401 | GTEx | DepMap | Descartes | 0.00 | NA |
FREM1 | -0.0002289 | 9498 | GTEx | DepMap | Descartes | 0.01 | 0.11 |
LUM | -0.0002323 | 9541 | GTEx | DepMap | Descartes | 0.21 | 10.92 |
ACTA2 | -0.0002345 | 9573 | GTEx | DepMap | Descartes | 0.20 | 11.54 |
MGP | -0.0002646 | 9867 | GTEx | DepMap | Descartes | 0.13 | 6.53 |
OGN | -0.0002658 | 9882 | GTEx | DepMap | Descartes | 0.00 | 0.00 |
CCDC80 | -0.0002659 | 9884 | GTEx | DepMap | Descartes | 0.04 | 0.61 |
GLI2 | -0.0002706 | 9927 | GTEx | DepMap | Descartes | 0.00 | 0.00 |
PRRX1 | -0.0003057 | 10197 | GTEx | DepMap | Descartes | 0.01 | 0.34 |
Descartes sympathoblasts markers
Top 50 marker genes of sympathoblasts cells in the Decartes fetal adrenal single cell map (https://atlas.brotmanbaty.org/bbi/human-gene-expression-during-development/cell/sympathoblasts/in/adrenal)
Wilcoxon ranksum test P-value for gene set overrepresentation: 9.80e-01
Mean rank of genes in gene set: 7483.58
Median rank of genes in gene set: 8594
Rank on gene expression program of top 30 genes in gene set:
Genes | Weight | Rank | GTEx | DepMap | Descartes | Mean.Counts | Mean.TPM |
---|---|---|---|---|---|---|---|
NTNG1 | 0.0045729 | 39 | GTEx | DepMap | Descartes | 0.71 | 24.72 |
TENM1 | 0.0045003 | 41 | GTEx | DepMap | Descartes | 0.23 | NA |
TIAM1 | 0.0013848 | 706 | GTEx | DepMap | Descartes | 0.40 | 7.75 |
CCSER1 | 0.0012262 | 895 | GTEx | DepMap | Descartes | 0.15 | NA |
HTATSF1 | 0.0010279 | 1220 | GTEx | DepMap | Descartes | 1.31 | 59.94 |
GRM7 | 0.0009786 | 1333 | GTEx | DepMap | Descartes | 0.04 | 1.16 |
SPOCK3 | 0.0006890 | 2165 | GTEx | DepMap | Descartes | 0.13 | 6.88 |
ARC | 0.0006195 | 2438 | GTEx | DepMap | Descartes | 3.02 | 148.27 |
GALNTL6 | 0.0003756 | 3721 | GTEx | DepMap | Descartes | 0.09 | 2.79 |
CHGB | 0.0002747 | 4437 | GTEx | DepMap | Descartes | 4.11 | 275.71 |
KSR2 | 0.0001709 | 5225 | GTEx | DepMap | Descartes | 0.08 | 0.69 |
FAM155A | 0.0001499 | 5395 | GTEx | DepMap | Descartes | 0.35 | 5.64 |
SLC35F3 | 0.0001403 | 5478 | GTEx | DepMap | Descartes | 0.02 | 0.95 |
KCTD16 | 0.0001131 | 5700 | GTEx | DepMap | Descartes | 0.40 | 4.54 |
ST18 | 0.0000207 | 6553 | GTEx | DepMap | Descartes | 0.00 | 0.00 |
SORCS3 | -0.0000383 | 7243 | GTEx | DepMap | Descartes | 0.04 | 1.28 |
FGF14 | -0.0000847 | 7822 | GTEx | DepMap | Descartes | 0.16 | 1.99 |
UNC80 | -0.0001359 | 8442 | GTEx | DepMap | Descartes | 0.24 | 2.62 |
SLC24A2 | -0.0001434 | 8536 | GTEx | DepMap | Descartes | 0.00 | 0.02 |
PENK | -0.0001533 | 8652 | GTEx | DepMap | Descartes | 0.01 | 0.62 |
CNTN3 | -0.0001651 | 8797 | GTEx | DepMap | Descartes | 0.00 | 0.09 |
PACRG | -0.0002125 | 9327 | GTEx | DepMap | Descartes | 0.09 | 8.82 |
CDH18 | -0.0002958 | 10121 | GTEx | DepMap | Descartes | 0.02 | 0.42 |
PCSK2 | -0.0003009 | 10157 | GTEx | DepMap | Descartes | 0.01 | 0.45 |
DGKK | -0.0003203 | 10302 | GTEx | DepMap | Descartes | 0.01 | 0.42 |
CDH12 | -0.0003328 | 10415 | GTEx | DepMap | Descartes | 0.03 | 1.10 |
LAMA3 | -0.0003449 | 10499 | GTEx | DepMap | Descartes | 0.00 | 0.00 |
TBX20 | -0.0003621 | 10609 | GTEx | DepMap | Descartes | 0.00 | 0.00 |
ROBO1 | -0.0003802 | 10731 | GTEx | DepMap | Descartes | 0.18 | 3.34 |
EML6 | -0.0004448 | 11072 | GTEx | DepMap | Descartes | 0.02 | 0.29 |
Descartes erythroblasts markers
Top 50 marker genes of erythroblasts cells in the Decartes fetal adrenal single cell map (https://atlas.brotmanbaty.org/bbi/human-gene-expression-during-development/cell/erythroblasts/in/adrenal)
Wilcoxon ranksum test P-value for gene set overrepresentation: 9.58e-01
Mean rank of genes in gene set: 7432.72
Median rank of genes in gene set: 7993
Rank on gene expression program of top 30 genes in gene set:
Genes | Weight | Rank | GTEx | DepMap | Descartes | Mean.Counts | Mean.TPM |
---|---|---|---|---|---|---|---|
EPB41 | 0.0007593 | 1912 | GTEx | DepMap | Descartes | 0.65 | 15.01 |
GCLC | 0.0007592 | 1913 | GTEx | DepMap | Descartes | 0.21 | 8.03 |
RAPGEF2 | 0.0007455 | 1974 | GTEx | DepMap | Descartes | 0.37 | 6.66 |
ABCB10 | 0.0007055 | 2114 | GTEx | DepMap | Descartes | 0.11 | 3.64 |
SPECC1 | 0.0006624 | 2258 | GTEx | DepMap | Descartes | 0.16 | 2.68 |
XPO7 | 0.0005534 | 2722 | GTEx | DepMap | Descartes | 0.36 | 10.11 |
TFR2 | 0.0003239 | 4058 | GTEx | DepMap | Descartes | 0.13 | 5.00 |
CAT | 0.0001999 | 5002 | GTEx | DepMap | Descartes | 0.43 | 24.51 |
SLC25A37 | 0.0001018 | 5787 | GTEx | DepMap | Descartes | 0.53 | 14.62 |
DENND4A | 0.0000888 | 5892 | GTEx | DepMap | Descartes | 0.27 | 4.62 |
SLC25A21 | -0.0000124 | 6908 | GTEx | DepMap | Descartes | 0.00 | 0.00 |
RGS6 | -0.0000239 | 7043 | GTEx | DepMap | Descartes | 0.00 | 0.04 |
TRAK2 | -0.0000631 | 7546 | GTEx | DepMap | Descartes | 0.15 | 2.99 |
RHD | -0.0000675 | 7609 | GTEx | DepMap | Descartes | 0.00 | 0.00 |
ALAS2 | -0.0000998 | 7993 | GTEx | DepMap | Descartes | 0.00 | 0.00 |
MICAL2 | -0.0001172 | 8180 | GTEx | DepMap | Descartes | 0.02 | 0.50 |
TMCC2 | -0.0001177 | 8189 | GTEx | DepMap | Descartes | 0.06 | 2.04 |
SLC4A1 | -0.0001490 | 8600 | GTEx | DepMap | Descartes | 0.00 | 0.00 |
SPTB | -0.0001635 | 8776 | GTEx | DepMap | Descartes | 0.08 | 1.15 |
CPOX | -0.0001846 | 9020 | GTEx | DepMap | Descartes | 0.07 | 3.49 |
SELENBP1 | -0.0002900 | 10093 | GTEx | DepMap | Descartes | 0.00 | 0.16 |
MARCH3 | -0.0003305 | 10392 | GTEx | DepMap | Descartes | 0.03 | NA |
TSPAN5 | -0.0003919 | 10806 | GTEx | DepMap | Descartes | 0.75 | 24.10 |
ANK1 | -0.0004163 | 10933 | GTEx | DepMap | Descartes | 0.05 | 0.82 |
FECH | -0.0005607 | 11562 | GTEx | DepMap | Descartes | 0.06 | 0.91 |
BLVRB | -0.0005857 | 11648 | GTEx | DepMap | Descartes | 0.22 | 18.83 |
SOX6 | -0.0007577 | 12025 | GTEx | DepMap | Descartes | 0.02 | 0.30 |
SNCA | -0.0009455 | 12238 | GTEx | DepMap | Descartes | 0.31 | 13.10 |
GYPC | -0.0011059 | 12356 | GTEx | DepMap | Descartes | 0.12 | 6.86 |
NA | NA | NA | NA | NA | NA | NA | NA |
Descartes myeloid markers
Top 50 marker genes of myeloid cells in the Decartes fetal adrenal single cell map (https://atlas.brotmanbaty.org/bbi/human-gene-expression-during-development/cell/myeloid/in/adrenal)
Wilcoxon ranksum test P-value for gene set overrepresentation: 1.00e+00
Mean rank of genes in gene set: 9735.05
Median rank of genes in gene set: 10824.5
Rank on gene expression program of top 30 genes in gene set:
Genes | Weight | Rank | GTEx | DepMap | Descartes | Mean.Counts | Mean.TPM |
---|---|---|---|---|---|---|---|
TGFBI | 0.0032708 | 87 | GTEx | DepMap | Descartes | 0.97 | 35.98 |
SFMBT2 | 0.0010034 | 1275 | GTEx | DepMap | Descartes | 0.11 | 2.14 |
RBPJ | 0.0002420 | 4693 | GTEx | DepMap | Descartes | 1.41 | 32.39 |
MARCH1 | 0.0001013 | 5792 | GTEx | DepMap | Descartes | 0.12 | NA |
IFNGR1 | 0.0000697 | 6089 | GTEx | DepMap | Descartes | 0.45 | 26.34 |
PTPRE | -0.0000416 | 7289 | GTEx | DepMap | Descartes | 0.18 | 4.29 |
WWP1 | -0.0001089 | 8105 | GTEx | DepMap | Descartes | 0.12 | 3.75 |
RGL1 | -0.0001129 | 8140 | GTEx | DepMap | Descartes | 0.05 | 1.45 |
HRH1 | -0.0001815 | 8985 | GTEx | DepMap | Descartes | 0.02 | 0.50 |
ABCA1 | -0.0002181 | 9393 | GTEx | DepMap | Descartes | 0.13 | 1.50 |
FMN1 | -0.0002388 | 9624 | GTEx | DepMap | Descartes | 0.21 | 1.95 |
SLC1A3 | -0.0002549 | 9777 | GTEx | DepMap | Descartes | 0.02 | 0.68 |
ATP8B4 | -0.0002628 | 9850 | GTEx | DepMap | Descartes | 0.00 | 0.06 |
FGD2 | -0.0002704 | 9924 | GTEx | DepMap | Descartes | 0.01 | 0.12 |
MERTK | -0.0003051 | 10195 | GTEx | DepMap | Descartes | 0.03 | 0.58 |
CPVL | -0.0003395 | 10455 | GTEx | DepMap | Descartes | 0.08 | 3.48 |
SLC9A9 | -0.0003819 | 10740 | GTEx | DepMap | Descartes | 0.01 | 0.33 |
SPP1 | -0.0003877 | 10772 | GTEx | DepMap | Descartes | 2.17 | 245.99 |
MSR1 | -0.0003908 | 10796 | GTEx | DepMap | Descartes | 0.08 | 2.19 |
CD163 | -0.0004001 | 10853 | GTEx | DepMap | Descartes | 0.07 | 1.18 |
LGMN | -0.0004436 | 11064 | GTEx | DepMap | Descartes | 0.43 | 24.56 |
CSF1R | -0.0004445 | 11071 | GTEx | DepMap | Descartes | 0.04 | 1.01 |
HCK | -0.0004552 | 11118 | GTEx | DepMap | Descartes | 0.02 | 1.12 |
SLCO2B1 | -0.0004636 | 11160 | GTEx | DepMap | Descartes | 0.03 | 0.39 |
AXL | -0.0004640 | 11165 | GTEx | DepMap | Descartes | 0.03 | 0.64 |
ADAP2 | -0.0004848 | 11249 | GTEx | DepMap | Descartes | 0.04 | 1.33 |
CYBB | -0.0004862 | 11258 | GTEx | DepMap | Descartes | 0.07 | 1.42 |
MS4A4A | -0.0004905 | 11279 | GTEx | DepMap | Descartes | 0.09 | 4.78 |
CD14 | -0.0005146 | 11394 | GTEx | DepMap | Descartes | 0.34 | 19.71 |
CST3 | -0.0005192 | 11408 | GTEx | DepMap | Descartes | 2.85 | 121.96 |
Descartes Schwann markers
Top 50 marker genes of Schwann cells in the Decartes fetal adrenal single cell map (https://atlas.brotmanbaty.org/bbi/human-gene-expression-during-development/cell/schwann/in/adrenal)
Wilcoxon ranksum test P-value for gene set overrepresentation: 9.99e-01
Mean rank of genes in gene set: 7961.09
Median rank of genes in gene set: 8919
Rank on gene expression program of top 30 genes in gene set:
Genes | Weight | Rank | GTEx | DepMap | Descartes | Mean.Counts | Mean.TPM |
---|---|---|---|---|---|---|---|
NRXN1 | 0.0035237 | 71 | GTEx | DepMap | Descartes | 2.82 | 44.66 |
COL25A1 | 0.0031515 | 96 | GTEx | DepMap | Descartes | 0.18 | 3.11 |
MARCKS | 0.0025152 | 178 | GTEx | DepMap | Descartes | 14.25 | 459.50 |
SLC35F1 | 0.0012954 | 796 | GTEx | DepMap | Descartes | 0.19 | 5.59 |
IL1RAPL1 | 0.0010677 | 1132 | GTEx | DepMap | Descartes | 0.05 | 2.15 |
ADAMTS5 | 0.0009815 | 1321 | GTEx | DepMap | Descartes | 0.05 | 1.12 |
PLCE1 | 0.0006191 | 2442 | GTEx | DepMap | Descartes | 0.19 | 2.54 |
LAMB1 | 0.0004443 | 3303 | GTEx | DepMap | Descartes | 0.40 | 9.93 |
ERBB4 | 0.0002955 | 4275 | GTEx | DepMap | Descartes | 0.14 | 1.93 |
DST | 0.0002563 | 4565 | GTEx | DepMap | Descartes | 2.68 | 17.10 |
TRPM3 | 0.0002470 | 4650 | GTEx | DepMap | Descartes | 0.02 | 0.18 |
STARD13 | 0.0001699 | 5241 | GTEx | DepMap | Descartes | 0.04 | 0.85 |
SOX5 | 0.0000489 | 6285 | GTEx | DepMap | Descartes | 0.27 | 5.33 |
VCAN | 0.0000269 | 6481 | GTEx | DepMap | Descartes | 1.30 | 14.54 |
PTN | -0.0000357 | 7200 | GTEx | DepMap | Descartes | 0.86 | 81.11 |
EGFLAM | -0.0000701 | 7648 | GTEx | DepMap | Descartes | 0.11 | 3.28 |
IL1RAPL2 | -0.0000821 | 7789 | GTEx | DepMap | Descartes | 0.00 | 0.00 |
LRRTM4 | -0.0000989 | 7980 | GTEx | DepMap | Descartes | 0.04 | 2.26 |
HMGA2 | -0.0001223 | 8253 | GTEx | DepMap | Descartes | 0.00 | 0.00 |
MDGA2 | -0.0001318 | 8382 | GTEx | DepMap | Descartes | 0.00 | 0.00 |
MPZ | -0.0001641 | 8788 | GTEx | DepMap | Descartes | 0.01 | 0.89 |
EDNRB | -0.0001722 | 8884 | GTEx | DepMap | Descartes | 0.00 | 0.06 |
PTPRZ1 | -0.0001788 | 8954 | GTEx | DepMap | Descartes | 0.00 | 0.01 |
SCN7A | -0.0002364 | 9599 | GTEx | DepMap | Descartes | 0.24 | 4.52 |
PLP1 | -0.0002580 | 9808 | GTEx | DepMap | Descartes | 0.00 | 0.07 |
XKR4 | -0.0002672 | 9897 | GTEx | DepMap | Descartes | 0.01 | 0.09 |
NRXN3 | -0.0002880 | 10082 | GTEx | DepMap | Descartes | 0.02 | 0.26 |
OLFML2A | -0.0003324 | 10412 | GTEx | DepMap | Descartes | 0.01 | 0.19 |
KCTD12 | -0.0003548 | 10562 | GTEx | DepMap | Descartes | 0.13 | 2.34 |
ERBB3 | -0.0003580 | 10586 | GTEx | DepMap | Descartes | 0.00 | 0.02 |
Descartes Megakaryocytes markers
Top 50 marker genes of Megakaryocytes cells in the Decartes fetal adrenal single cell map (https://atlas.brotmanbaty.org/bbi/human-gene-expression-during-development/cell/megakaryocytes/in/adrenal)
Wilcoxon ranksum test P-value for gene set overrepresentation: 1.00e+00
Mean rank of genes in gene set: 8596.4
Median rank of genes in gene set: 9515
Rank on gene expression program of top 30 genes in gene set:
Genes | Weight | Rank | GTEx | DepMap | Descartes | Mean.Counts | Mean.TPM |
---|---|---|---|---|---|---|---|
ANGPT1 | 0.0035057 | 74 | GTEx | DepMap | Descartes | 0.17 | 5.45 |
TPM4 | 0.0018760 | 348 | GTEx | DepMap | Descartes | 2.89 | 81.08 |
RAP1B | 0.0011040 | 1066 | GTEx | DepMap | Descartes | 1.24 | 12.90 |
PRKAR2B | 0.0009928 | 1294 | GTEx | DepMap | Descartes | 0.90 | 34.47 |
HIPK2 | 0.0005546 | 2718 | GTEx | DepMap | Descartes | 0.64 | 5.64 |
MED12L | 0.0003260 | 4047 | GTEx | DepMap | Descartes | 0.05 | 0.63 |
DOK6 | 0.0001375 | 5504 | GTEx | DepMap | Descartes | 0.17 | 2.68 |
MCTP1 | 0.0000722 | 6056 | GTEx | DepMap | Descartes | 0.05 | 1.22 |
VCL | 0.0000598 | 6187 | GTEx | DepMap | Descartes | 0.23 | 4.09 |
ITGA2B | 0.0000052 | 6725 | GTEx | DepMap | Descartes | 0.02 | 0.87 |
SLC24A3 | -0.0000249 | 7054 | GTEx | DepMap | Descartes | 0.01 | 0.27 |
ZYX | -0.0000440 | 7317 | GTEx | DepMap | Descartes | 0.33 | 21.47 |
ACTN1 | -0.0000578 | 7482 | GTEx | DepMap | Descartes | 0.65 | 18.82 |
GP1BA | -0.0000809 | 7774 | GTEx | DepMap | Descartes | 0.00 | 0.03 |
MMRN1 | -0.0000931 | 7913 | GTEx | DepMap | Descartes | 0.00 | 0.01 |
ARHGAP6 | -0.0001033 | 8042 | GTEx | DepMap | Descartes | 0.01 | 0.06 |
FLNA | -0.0001052 | 8071 | GTEx | DepMap | Descartes | 0.32 | 5.67 |
TUBB1 | -0.0001264 | 8320 | GTEx | DepMap | Descartes | 0.00 | 0.00 |
TRPC6 | -0.0001366 | 8454 | GTEx | DepMap | Descartes | 0.01 | 0.12 |
ITGB3 | -0.0001372 | 8469 | GTEx | DepMap | Descartes | 0.00 | 0.00 |
P2RX1 | -0.0001618 | 8757 | GTEx | DepMap | Descartes | 0.00 | 0.00 |
LIMS1 | -0.0001919 | 9105 | GTEx | DepMap | Descartes | 0.90 | 26.63 |
STOM | -0.0002300 | 9515 | GTEx | DepMap | Descartes | 0.20 | 7.96 |
LTBP1 | -0.0002321 | 9539 | GTEx | DepMap | Descartes | 0.02 | 0.36 |
MYLK | -0.0002777 | 10003 | GTEx | DepMap | Descartes | 0.02 | 0.15 |
THBS1 | -0.0002867 | 10076 | GTEx | DepMap | Descartes | 0.05 | 0.97 |
PSTPIP2 | -0.0003110 | 10234 | GTEx | DepMap | Descartes | 0.01 | 0.41 |
INPP4B | -0.0003159 | 10269 | GTEx | DepMap | Descartes | 0.05 | 0.65 |
UBASH3B | -0.0003181 | 10284 | GTEx | DepMap | Descartes | 0.02 | 0.27 |
RAB27B | -0.0004020 | 10867 | GTEx | DepMap | Descartes | 0.02 | 0.40 |
Descartes Lyphoid markers
Top 50 marker genes of Lyphoid cells in the Decartes fetal adrenal single cell map (https://atlas.brotmanbaty.org/bbi/human-gene-expression-during-development/cell/lymphoid/in/adrenal)
Wilcoxon ranksum test P-value for gene set overrepresentation: 1.00e+00
Mean rank of genes in gene set: 9441.98
Median rank of genes in gene set: 11447
Rank on gene expression program of top 30 genes in gene set:
Genes | Weight | Rank | GTEx | DepMap | Descartes | Mean.Counts | Mean.TPM |
---|---|---|---|---|---|---|---|
TOX | 0.0029377 | 113 | GTEx | DepMap | Descartes | 1.04 | 36.83 |
CELF2 | 0.0014975 | 600 | GTEx | DepMap | Descartes | 0.96 | 18.85 |
ARID5B | 0.0010368 | 1199 | GTEx | DepMap | Descartes | 0.65 | 13.03 |
MCTP2 | 0.0006551 | 2288 | GTEx | DepMap | Descartes | 0.07 | 1.40 |
BACH2 | 0.0006433 | 2331 | GTEx | DepMap | Descartes | 0.33 | 5.10 |
EVL | 0.0003749 | 3729 | GTEx | DepMap | Descartes | 3.15 | 115.40 |
ABLIM1 | 0.0003691 | 3762 | GTEx | DepMap | Descartes | 0.40 | 7.21 |
FYN | 0.0002628 | 4526 | GTEx | DepMap | Descartes | 1.68 | 66.24 |
STK39 | 0.0002040 | 4976 | GTEx | DepMap | Descartes | 0.67 | 27.02 |
SORL1 | -0.0000368 | 7215 | GTEx | DepMap | Descartes | 0.25 | 3.27 |
PITPNC1 | -0.0000762 | 7723 | GTEx | DepMap | Descartes | 0.33 | 6.90 |
PDE3B | -0.0002355 | 9586 | GTEx | DepMap | Descartes | 0.20 | 4.31 |
NCALD | -0.0002511 | 9741 | GTEx | DepMap | Descartes | 0.12 | 4.38 |
BCL2 | -0.0003633 | 10620 | GTEx | DepMap | Descartes | 0.53 | 10.56 |
SAMD3 | -0.0003653 | 10638 | GTEx | DepMap | Descartes | 0.01 | 0.24 |
ITPKB | -0.0003737 | 10696 | GTEx | DepMap | Descartes | 0.00 | 0.12 |
MBNL1 | -0.0003792 | 10727 | GTEx | DepMap | Descartes | 0.42 | 8.70 |
RAP1GAP2 | -0.0004138 | 10922 | GTEx | DepMap | Descartes | 0.19 | 4.13 |
ANKRD44 | -0.0004502 | 11098 | GTEx | DepMap | Descartes | 0.15 | 2.98 |
CCL5 | -0.0004907 | 11280 | GTEx | DepMap | Descartes | 0.15 | 23.11 |
FOXP1 | -0.0005293 | 11443 | GTEx | DepMap | Descartes | 1.18 | 18.11 |
SCML4 | -0.0005315 | 11451 | GTEx | DepMap | Descartes | 0.06 | 1.95 |
PLEKHA2 | -0.0005336 | 11461 | GTEx | DepMap | Descartes | 0.03 | 0.66 |
PRKCH | -0.0005498 | 11516 | GTEx | DepMap | Descartes | 0.01 | 0.48 |
SKAP1 | -0.0005558 | 11545 | GTEx | DepMap | Descartes | 0.01 | 0.65 |
LEF1 | -0.0005852 | 11646 | GTEx | DepMap | Descartes | 0.01 | 0.27 |
ARHGAP15 | -0.0006014 | 11678 | GTEx | DepMap | Descartes | 0.03 | 1.15 |
IKZF1 | -0.0006188 | 11733 | GTEx | DepMap | Descartes | 0.03 | 0.53 |
RCSD1 | -0.0006226 | 11747 | GTEx | DepMap | Descartes | 0.02 | 0.36 |
ETS1 | -0.0006751 | 11879 | GTEx | DepMap | Descartes | 0.03 | 0.75 |
Below shows the ranks on this GEP for immune marker gene lists curated by CellTypist (https://www.celltypist.org/encyclopedia).
High ranks indicate this gene is a driver of this GEP.
These curated gene list are ranked by P-value (on this GEP) of their constituent genes.
The Mean Count column shows the mean read count in cells scoring highly (H > 50) on this gene expression program.
Genes | Weight | Rank | GTEx | DepMap | Decartes | Mean.Counts | Mean.TPM |
---|---|---|---|---|---|---|---|
CKB | 0.0025598 | 165 | GTEx | DepMap | Descartes | 11.73 | 1122.51 |
pDC: pDC (model markers)
rare plasmacytoid dendritic cell subpopulation which serves as the major source of type I interferons when the body is infected by a virus:
Wilcoxon ranksum test P-value for gene set overrepresentation: 6.85e-02
Mean rank of genes in gene set: 2465
Rank on gene expression program of genes in gene set:
Genes | Weight | Rank | GTEx | DepMap | Decartes | Mean.Counts | Mean.TPM |
---|---|---|---|---|---|---|---|
TRIM71 | 0.0009777 | 1337 | GTEx | DepMap | Descartes | 0.07 | 1.23 |
OGDHL | 0.0003938 | 3593 | GTEx | DepMap | Descartes | 0.16 | 6.38 |
ILC: ILC2 (model markers)
innate lymphoid cell subpopulation II that promotes type 2 inflammation and is involved in immune response against large extracellular pathogens:
Wilcoxon ranksum test P-value for gene set overrepresentation: 7.44e-02
Mean rank of genes in gene set: 1045
Rank on gene expression program of genes in gene set:
Genes | Weight | Rank | GTEx | DepMap | Decartes | Mean.Counts | Mean.TPM |
---|---|---|---|---|---|---|---|
IL17RB | 0.0011213 | 1045 | GTEx | DepMap | Descartes | 0.05 | 2.4 |