QQ-plot of gene loadings, averaged over both independent splits of the data
This plot highlights the relative contribution of each gene to the GEP
Top genes driving this program.
Note: Decartes website is buggy, try refreshing. Also, Decartes fetal adrenal data have been collected at specific time points (89-122 days), all possible cell types of interest may not be represented, do not overinterpret.
The Mean Count column shows the mean read count in cells scoring highly (H > 50) on this gene expression program.
Gene | Loading | Gene.Name | GTEx | DepMap | Descartes | Mean.Counts | Mean.Tpm | |
---|---|---|---|---|---|---|---|---|
1 | FABP7 | 0.0103156 | fatty acid binding protein 7 | GTEx | DepMap | Descartes | 48.17 | 6406.76 |
2 | HOPX | 0.0093146 | HOP homeobox | GTEx | DepMap | Descartes | 2.50 | 53.83 |
3 | SOX2 | 0.0082424 | SRY-box transcription factor 2 | GTEx | DepMap | Descartes | 5.68 | 1677.10 |
4 | FGFBP3 | 0.0081386 | fibroblast growth factor binding protein 3 | GTEx | DepMap | Descartes | 4.78 | 1985.10 |
5 | CKB | 0.0078835 | creatine kinase B | GTEx | DepMap | Descartes | 24.92 | 5167.76 |
6 | LXN | 0.0078288 | latexin | GTEx | DepMap | Descartes | 4.10 | 555.24 |
7 | TTYH1 | 0.0077113 | tweety family member 1 | GTEx | DepMap | Descartes | 6.53 | 219.62 |
8 | FAM181B | 0.0076951 | family with sequence similarity 181 member B | GTEx | DepMap | Descartes | 2.25 | 671.85 |
9 | HES5 | 0.0074790 | hes family bHLH transcription factor 5 | GTEx | DepMap | Descartes | 3.27 | 1373.48 |
10 | ALDOC | 0.0070024 | aldolase, fructose-bisphosphate C | GTEx | DepMap | Descartes | 2.23 | 417.00 |
11 | ALDH1L1 | 0.0069064 | aldehyde dehydrogenase 1 family member L1 | GTEx | DepMap | Descartes | 0.82 | 6.42 |
12 | RFX4 | 0.0068429 | regulatory factor X4 | GTEx | DepMap | Descartes | 1.12 | 4.47 |
13 | MT3 | 0.0065435 | metallothionein 3 | GTEx | DepMap | Descartes | 1.37 | 712.85 |
14 | ACOT1 | 0.0065003 | acyl-CoA thioesterase 1 | GTEx | DepMap | Descartes | 3.09 | 167.72 |
15 | CSPG5 | 0.0064110 | chondroitin sulfate proteoglycan 5 | GTEx | DepMap | Descartes | 1.83 | 71.44 |
16 | FAM181A | 0.0063530 | family with sequence similarity 181 member A | GTEx | DepMap | Descartes | 0.45 | 40.64 |
17 | BCAN | 0.0063092 | brevican | GTEx | DepMap | Descartes | 0.87 | 68.51 |
18 | PEA15A | 0.0062609 | NA | GTEx | DepMap | Descartes | 3.43 | 213.56 |
19 | SPARCL1 | 0.0062420 | SPARC like 1 | GTEx | DepMap | Descartes | 3.92 | 81.95 |
20 | DBI | 0.0061831 | diazepam binding inhibitor, acyl-CoA binding protein | GTEx | DepMap | Descartes | 33.00 | 2360.94 |
21 | SLC6A11 | 0.0060891 | solute carrier family 6 member 11 | GTEx | DepMap | Descartes | 0.46 | 3.43 |
22 | BC024139 | 0.0059752 | NA | GTEx | DepMap | Descartes | 0.48 | 54.18 |
23 | PTPRZ1 | 0.0058731 | protein tyrosine phosphatase receptor type Z1 | GTEx | DepMap | Descartes | 3.59 | 12.00 |
24 | PHYHIPL | 0.0057402 | phytanoyl-CoA 2-hydroxylase interacting protein like | GTEx | DepMap | Descartes | 2.44 | 15.00 |
25 | QK | 0.0057164 | NA | GTEx | DepMap | Descartes | 7.49 | 32.21 |
26 | GM3764 | 0.0056974 | NA | GTEx | DepMap | Descartes | 3.54 | 123.90 |
27 | VIT | 0.0055797 | vitrin | GTEx | DepMap | Descartes | 0.40 | 2.15 |
28 | SLC1A3 | 0.0055766 | solute carrier family 1 member 3 | GTEx | DepMap | Descartes | 2.60 | 24.80 |
29 | GPM6B | 0.0055455 | glycoprotein M6B | GTEx | DepMap | Descartes | 4.86 | 17.44 |
30 | ADGRV1 | 0.0052192 | adhesion G protein-coupled receptor V1 | GTEx | DepMap | Descartes | 0.50 | 0.55 |
31 | SOX21 | 0.0051156 | SRY-box transcription factor 21 | GTEx | DepMap | Descartes | 0.72 | 108.20 |
32 | AI854517 | 0.0048966 | NA | GTEx | DepMap | Descartes | 1.48 | NA |
33 | GM14662 | 0.0048650 | NA | GTEx | DepMap | Descartes | 0.01 | 0.48 |
34 | SLC25A18 | 0.0048586 | solute carrier family 25 member 18 | GTEx | DepMap | Descartes | 0.25 | 9.39 |
35 | NDRG2 | 0.0048271 | NDRG family member 2 | GTEx | DepMap | Descartes | 2.15 | 198.40 |
36 | GNAI2 | 0.0047479 | G protein subunit alpha i2 | GTEx | DepMap | Descartes | 9.12 | 237.41 |
37 | PGPEP1 | 0.0047006 | pyroglutamyl-peptidase I | GTEx | DepMap | Descartes | 2.01 | 91.49 |
38 | SPON1 | 0.0044825 | spondin 1 | GTEx | DepMap | Descartes | 2.28 | 4.22 |
39 | PDPN | 0.0044539 | podoplanin | GTEx | DepMap | Descartes | 2.12 | 40.04 |
40 | SERPINE2 | 0.0044285 | serpin family E member 2 | GTEx | DepMap | Descartes | 5.40 | 41.49 |
41 | PLA2G7 | 0.0043174 | phospholipase A2 group VII | GTEx | DepMap | Descartes | 0.78 | 11.25 |
42 | WSCD1 | 0.0042501 | WSC domain containing 1 | GTEx | DepMap | Descartes | 1.14 | 23.02 |
43 | FGF15 | 0.0042375 | NA | GTEx | DepMap | Descartes | 0.77 | 83.90 |
44 | PAX6 | 0.0041901 | paired box 6 | GTEx | DepMap | Descartes | 0.86 | 19.15 |
45 | MFSD2A | 0.0041815 | major facilitator superfamily domain containing 2A | GTEx | DepMap | Descartes | 0.55 | 34.99 |
46 | VIM | 0.0041736 | vimentin | GTEx | DepMap | Descartes | 37.56 | 1691.56 |
47 | GDPD2 | 0.0041723 | glycerophosphodiester phosphodiesterase domain containing 2 | GTEx | DepMap | Descartes | 0.40 | 24.75 |
48 | RLBP1 | 0.0041403 | retinaldehyde binding protein 1 | GTEx | DepMap | Descartes | 0.36 | 19.29 |
49 | ILDR2 | 0.0041261 | immunoglobulin like domain containing receptor 2 | GTEx | DepMap | Descartes | 0.51 | 3.83 |
50 | ID4 | 0.0041077 | inhibitor of DNA binding 4, HLH protein | GTEx | DepMap | Descartes | 1.23 | 109.78 |
UMAP plots showing activity of gene expression program identified in GEP 7. Peripheral Nervous System II:
Gene set Enrichments for this program, caculated from top 50 genes
mSigDB Cell Types Gene Set:
P-value | OR | Lower 95% CI | FDR | FWER | Genes Found | Gene Set Size | |
---|---|---|---|---|---|---|---|
HU_FETAL_RETINA_MULLER | 9.93e-16 | 127.75 | 50.50 | 7.40e-14 | 6.66e-13 | 9FABP7, SOX2, CKB, TTYH1, PTPRZ1, SLC1A3, GPM6B, SPON1, VIM |
42 |
FAN_EMBRYONIC_CTX_BIG_GROUPS_GLIAL | 4.82e-27 | 94.04 | 48.31 | 1.08e-24 | 3.23e-24 | 18FABP7, HOPX, SOX2, CKB, TTYH1, ALDOC, RFX4, MT3, BCAN, DBI, PTPRZ1, SLC1A3, GPM6B, NDRG2, SPON1, SERPINE2, WSCD1, VIM |
133 |
ZHONG_PFC_MAJOR_TYPES_ASTROCYTES | 1.48e-33 | 69.77 | 38.08 | 9.95e-31 | 9.95e-31 | 26FABP7, HOPX, SOX2, TTYH1, FAM181B, HES5, ALDOC, RFX4, MT3, CSPG5, BCAN, SPARCL1, DBI, PTPRZ1, PHYHIPL, SLC1A3, GPM6B, SLC25A18, NDRG2, SPON1, PDPN, SERPINE2, WSCD1, VIM, GDPD2, ID4 |
325 |
ZHONG_PFC_C9_ORG_OTHER | 1.43e-16 | 75.51 | 33.46 | 1.37e-14 | 9.61e-14 | 11FABP7, HOPX, TTYH1, MT3, BCAN, DBI, PTPRZ1, SLC1A3, GPM6B, NDRG2, PDPN |
83 |
MANNO_MIDBRAIN_NEUROTYPES_HRGL2B | 1.87e-28 | 46.46 | 25.36 | 6.27e-26 | 1.25e-25 | 25SOX2, FGFBP3, TTYH1, FAM181B, HES5, RFX4, MT3, CSPG5, BCAN, SPARCL1, DBI, PTPRZ1, PHYHIPL, SLC1A3, GPM6B, SOX21, SLC25A18, NDRG2, PDPN, SERPINE2, WSCD1, VIM, GDPD2, ILDR2, ID4 |
440 |
MANNO_MIDBRAIN_NEUROTYPES_HRGL2C | 9.41e-25 | 45.76 | 24.51 | 1.26e-22 | 6.31e-22 | 21FABP7, SOX2, FGFBP3, TTYH1, FAM181B, HES5, MT3, CSPG5, BCAN, SPARCL1, DBI, PTPRZ1, SLC1A3, GPM6B, SLC25A18, NDRG2, PDPN, SERPINE2, WSCD1, GDPD2, ILDR2 |
326 |
MANNO_MIDBRAIN_NEUROTYPES_HRGL2A | 1.01e-26 | 36.40 | 19.95 | 1.70e-24 | 6.79e-24 | 26FABP7, SOX2, FGFBP3, TTYH1, FAM181B, HES5, ALDOC, RFX4, MT3, CSPG5, BCAN, SPARCL1, PTPRZ1, PHYHIPL, SLC1A3, GPM6B, SOX21, SLC25A18, NDRG2, PDPN, SERPINE2, WSCD1, VIM, GDPD2, ILDR2, ID4 |
600 |
ZHONG_PFC_MAJOR_TYPES_OPC | 7.76e-11 | 44.20 | 17.38 | 4.34e-09 | 5.21e-08 | 8TTYH1, MT3, CSPG5, BCAN, DBI, PTPRZ1, GPM6B, SERPINE2 |
91 |
FAN_EMBRYONIC_CTX_ASTROCYTE_2 | 1.40e-13 | 38.28 | 17.31 | 9.39e-12 | 9.39e-11 | 11SOX2, TTYH1, ALDOC, ALDH1L1, MT3, SLC25A18, NDRG2, SPON1, SERPINE2, GDPD2, ID4 |
153 |
MANNO_MIDBRAIN_NEUROTYPES_HRGL1 | 4.40e-19 | 31.34 | 16.39 | 4.92e-17 | 2.95e-16 | 18FABP7, SOX2, TTYH1, HES5, RFX4, CSPG5, BCAN, VIT, GPM6B, ADGRV1, SOX21, SLC25A18, PDPN, WSCD1, VIM, GDPD2, ILDR2, ID4 |
364 |
DESCARTES_MAIN_FETAL_ASTROCYTES | 1.81e-07 | 47.49 | 14.07 | 8.09e-06 | 1.21e-04 | 5FGFBP3, RFX4, SLC6A11, PHYHIPL, GPM6B |
50 |
MANNO_MIDBRAIN_NEUROTYPES_HOPC | 4.05e-16 | 25.91 | 13.23 | 3.40e-14 | 2.72e-13 | 16FABP7, SOX2, FGFBP3, TTYH1, FAM181B, HES5, MT3, CSPG5, BCAN, DBI, PTPRZ1, PHYHIPL, GPM6B, NDRG2, SERPINE2, WSCD1 |
366 |
FAN_EMBRYONIC_CTX_ASTROCYTE_1 | 5.17e-08 | 35.97 | 12.15 | 2.48e-06 | 3.47e-05 | 6FABP7, ALDOC, SPARCL1, SLC1A3, ADGRV1, PAX6 |
79 |
DESCARTES_FETAL_INTESTINE_ENS_GLIA | 3.84e-07 | 40.37 | 12.03 | 1.61e-05 | 2.58e-04 | 5SOX2, TTYH1, BCAN, PTPRZ1, RLBP1 |
58 |
DURANTE_ADULT_OLFACTORY_NEUROEPITHELIUM_OLFACTORY_ENSHEATHING_GLIA | 1.70e-08 | 29.04 | 10.78 | 8.80e-07 | 1.14e-05 | 7TTYH1, MT3, DBI, GPM6B, NDRG2, SERPINE2, VIM |
115 |
MANNO_MIDBRAIN_NEUROTYPES_HRGL3 | 3.70e-13 | 16.26 | 8.33 | 2.26e-11 | 2.48e-10 | 16SOX2, TTYH1, HES5, RFX4, MT3, CSPG5, BCAN, SPARCL1, SLC1A3, GPM6B, ADGRV1, SPON1, PDPN, VIM, GDPD2, ID4 |
574 |
DESCARTES_FETAL_ADRENAL_SCHWANN_CELLS | 9.45e-07 | 21.35 | 7.30 | 3.73e-05 | 6.34e-04 | 6SOX2, FGFBP3, TTYH1, BCAN, PTPRZ1, GPM6B |
129 |
DESCARTES_FETAL_PANCREAS_ENS_GLIA | 3.93e-05 | 23.94 | 6.09 | 1.39e-03 | 2.64e-02 | 4SOX2, FAM181B, BCAN, PTPRZ1 |
74 |
MANNO_MIDBRAIN_NEUROTYPES_HPROGBP | 1.03e-05 | 10.71 | 4.03 | 3.85e-04 | 6.93e-03 | 7SOX2, HES5, RFX4, VIT, PDPN, VIM, ILDR2 |
300 |
CUI_DEVELOPING_HEART_COMPACT_VENTRICULAR_CARDIOMYOCYTE | 6.29e-04 | 19.82 | 3.85 | 1.92e-02 | 4.22e-01 | 3ALDOC, SPARCL1, VIM |
65 |
Dowload full table
mSigDB Hallmark Gene Sets:
P-value | OR | Lower 95% CI | FDR | FWER | Genes Found | Gene Set Size | |
---|---|---|---|---|---|---|---|
HALLMARK_HYPOXIA | 1.46e-02 | 6.25 | 1.23 | 3.64e-01 | 7.29e-01 | 3LXN, ALDOC, BCAN |
200 |
HALLMARK_COMPLEMENT | 1.46e-02 | 6.25 | 1.23 | 3.64e-01 | 7.29e-01 | 3MT3, GNAI2, PLA2G7 |
200 |
HALLMARK_EPITHELIAL_MESENCHYMAL_TRANSITION | 9.29e-02 | 4.06 | 0.47 | 9.83e-01 | 1.00e+00 | 2SERPINE2, VIM |
200 |
HALLMARK_KRAS_SIGNALING_UP | 9.29e-02 | 4.06 | 0.47 | 9.83e-01 | 1.00e+00 | 2SPARCL1, SPON1 |
200 |
HALLMARK_PANCREAS_BETA_CELLS | 9.83e-02 | 10.09 | 0.24 | 9.83e-01 | 1.00e+00 | 1PAX6 |
40 |
HALLMARK_CHOLESTEROL_HOMEOSTASIS | 1.74e-01 | 5.39 | 0.13 | 1.00e+00 | 1.00e+00 | 1ALDOC |
74 |
HALLMARK_ANDROGEN_RESPONSE | 2.28e-01 | 3.97 | 0.10 | 1.00e+00 | 1.00e+00 | 1DBI |
100 |
HALLMARK_IL2_STAT5_SIGNALING | 4.01e-01 | 1.99 | 0.05 | 1.00e+00 | 1.00e+00 | 1HOPX |
199 |
HALLMARK_ADIPOGENESIS | 4.03e-01 | 1.98 | 0.05 | 1.00e+00 | 1.00e+00 | 1SPARCL1 |
200 |
HALLMARK_ESTROGEN_RESPONSE_LATE | 4.03e-01 | 1.98 | 0.05 | 1.00e+00 | 1.00e+00 | 1CKB |
200 |
HALLMARK_MYOGENESIS | 4.03e-01 | 1.98 | 0.05 | 1.00e+00 | 1.00e+00 | 1CKB |
200 |
HALLMARK_APICAL_JUNCTION | 4.03e-01 | 1.98 | 0.05 | 1.00e+00 | 1.00e+00 | 1GNAI2 |
200 |
HALLMARK_INFLAMMATORY_RESPONSE | 4.03e-01 | 1.98 | 0.05 | 1.00e+00 | 1.00e+00 | 1PDPN |
200 |
HALLMARK_XENOBIOTIC_METABOLISM | 4.03e-01 | 1.98 | 0.05 | 1.00e+00 | 1.00e+00 | 1NDRG2 |
200 |
HALLMARK_HEME_METABOLISM | 4.03e-01 | 1.98 | 0.05 | 1.00e+00 | 1.00e+00 | 1ALDH1L1 |
200 |
HALLMARK_TNFA_SIGNALING_VIA_NFKB | 1.00e+00 | 0.00 | 0.00 | 1.00e+00 | 1.00e+00 | 0 |
200 |
HALLMARK_MITOTIC_SPINDLE | 1.00e+00 | 0.00 | 0.00 | 1.00e+00 | 1.00e+00 | 0 |
199 |
HALLMARK_WNT_BETA_CATENIN_SIGNALING | 1.00e+00 | 0.00 | 0.00 | 1.00e+00 | 1.00e+00 | 0 |
42 |
HALLMARK_TGF_BETA_SIGNALING | 1.00e+00 | 0.00 | 0.00 | 1.00e+00 | 1.00e+00 | 0 |
54 |
HALLMARK_IL6_JAK_STAT3_SIGNALING | 1.00e+00 | 0.00 | 0.00 | 1.00e+00 | 1.00e+00 | 0 |
87 |
Dowload full table
KEGG Pathways:
P-value | OR | Lower 95% CI | FDR | FWER | Genes Found | Gene Set Size | |
---|---|---|---|---|---|---|---|
KEGG_PPAR_SIGNALING_PATHWAY | 1.37e-02 | 11.98 | 1.38 | 1.00e+00 | 1.00e+00 | 2FABP7, DBI |
69 |
KEGG_ONE_CARBON_POOL_BY_FOLATE | 4.31e-02 | 24.57 | 0.57 | 1.00e+00 | 1.00e+00 | 1ALDH1L1 |
17 |
KEGG_BIOSYNTHESIS_OF_UNSATURATED_FATTY_ACIDS | 5.54e-02 | 18.72 | 0.44 | 1.00e+00 | 1.00e+00 | 1ACOT1 |
22 |
KEGG_MATURITY_ONSET_DIABETES_OF_THE_YOUNG | 6.27e-02 | 16.38 | 0.39 | 1.00e+00 | 1.00e+00 | 1PAX6 |
25 |
KEGG_PENTOSE_PHOSPHATE_PATHWAY | 6.75e-02 | 15.12 | 0.36 | 1.00e+00 | 1.00e+00 | 1ALDOC |
27 |
KEGG_ETHER_LIPID_METABOLISM | 8.19e-02 | 12.29 | 0.30 | 1.00e+00 | 1.00e+00 | 1PLA2G7 |
33 |
KEGG_FRUCTOSE_AND_MANNOSE_METABOLISM | 8.42e-02 | 11.92 | 0.29 | 1.00e+00 | 1.00e+00 | 1ALDOC |
34 |
KEGG_NOTCH_SIGNALING_PATHWAY | 1.14e-01 | 8.55 | 0.21 | 1.00e+00 | 1.00e+00 | 1HES5 |
47 |
KEGG_ARGININE_AND_PROLINE_METABOLISM | 1.30e-01 | 7.42 | 0.18 | 1.00e+00 | 1.00e+00 | 1CKB |
54 |
KEGG_GLYCOLYSIS_GLUCONEOGENESIS | 1.48e-01 | 6.45 | 0.16 | 1.00e+00 | 1.00e+00 | 1ALDOC |
62 |
KEGG_EPITHELIAL_CELL_SIGNALING_IN_HELICOBACTER_PYLORI_INFECTION | 1.61e-01 | 5.87 | 0.14 | 1.00e+00 | 1.00e+00 | 1PTPRZ1 |
68 |
KEGG_LONG_TERM_DEPRESSION | 1.66e-01 | 5.70 | 0.14 | 1.00e+00 | 1.00e+00 | 1GNAI2 |
70 |
KEGG_PROGESTERONE_MEDIATED_OOCYTE_MATURATION | 1.97e-01 | 4.68 | 0.11 | 1.00e+00 | 1.00e+00 | 1GNAI2 |
85 |
KEGG_TGF_BETA_SIGNALING_PATHWAY | 1.99e-01 | 4.63 | 0.11 | 1.00e+00 | 1.00e+00 | 1ID4 |
86 |
KEGG_GAP_JUNCTION | 2.08e-01 | 4.42 | 0.11 | 1.00e+00 | 1.00e+00 | 1GNAI2 |
90 |
KEGG_MELANOGENESIS | 2.30e-01 | 3.93 | 0.10 | 1.00e+00 | 1.00e+00 | 1GNAI2 |
101 |
KEGG_LEUKOCYTE_TRANSENDOTHELIAL_MIGRATION | 2.59e-01 | 3.42 | 0.08 | 1.00e+00 | 1.00e+00 | 1GNAI2 |
116 |
KEGG_AXON_GUIDANCE | 2.83e-01 | 3.07 | 0.08 | 1.00e+00 | 1.00e+00 | 1GNAI2 |
129 |
KEGG_TIGHT_JUNCTION | 2.89e-01 | 3.00 | 0.07 | 1.00e+00 | 1.00e+00 | 1GNAI2 |
132 |
KEGG_CHEMOKINE_SIGNALING_PATHWAY | 3.86e-01 | 2.09 | 0.05 | 1.00e+00 | 1.00e+00 | 1GNAI2 |
189 |
Dowload full table
CHR Positional Gene Sets:
P-value | OR | Lower 95% CI | FDR | FWER | Genes Found | Gene Set Size | |
---|---|---|---|---|---|---|---|
chr3p21 | 1.81e-01 | 2.66 | 0.31 | 1.00e+00 | 1.00e+00 | 2CSPG5, GNAI2 |
304 |
chr16q13 | 9.83e-02 | 10.09 | 0.24 | 1.00e+00 | 1.00e+00 | 1MT3 |
40 |
chr14q32 | 4.01e-01 | 1.48 | 0.17 | 1.00e+00 | 1.00e+00 | 2CKB, FAM181A |
546 |
chr10p13 | 1.53e-01 | 6.24 | 0.15 | 1.00e+00 | 1.00e+00 | 1VIM |
64 |
chr1p36 | 6.80e-01 | 1.23 | 0.14 | 1.00e+00 | 1.00e+00 | 2HES5, PDPN |
656 |
chr4q22 | 1.66e-01 | 5.70 | 0.14 | 1.00e+00 | 1.00e+00 | 1SPARCL1 |
70 |
chr4q12 | 1.85e-01 | 5.04 | 0.12 | 1.00e+00 | 1.00e+00 | 1HOPX |
79 |
chr2q36 | 1.91e-01 | 4.86 | 0.12 | 1.00e+00 | 1.00e+00 | 1SERPINE2 |
82 |
chr13q32 | 2.18e-01 | 4.19 | 0.10 | 1.00e+00 | 1.00e+00 | 1SOX21 |
95 |
chr2p22 | 2.24e-01 | 4.06 | 0.10 | 1.00e+00 | 1.00e+00 | 1VIT |
98 |
chr10q21 | 2.59e-01 | 3.42 | 0.08 | 1.00e+00 | 1.00e+00 | 1PHYHIPL |
116 |
chr6q22 | 2.65e-01 | 3.33 | 0.08 | 1.00e+00 | 1.00e+00 | 1FABP7 |
119 |
chr1q24 | 2.72e-01 | 3.22 | 0.08 | 1.00e+00 | 1.00e+00 | 1ILDR2 |
123 |
chr5p13 | 2.81e-01 | 3.10 | 0.08 | 1.00e+00 | 1.00e+00 | 1SLC1A3 |
128 |
chr7q31 | 2.83e-01 | 3.07 | 0.08 | 1.00e+00 | 1.00e+00 | 1PTPRZ1 |
129 |
chr5q14 | 2.85e-01 | 3.05 | 0.08 | 1.00e+00 | 1.00e+00 | 1ADGRV1 |
130 |
chr3q21 | 3.00e-01 | 2.87 | 0.07 | 1.00e+00 | 1.00e+00 | 1ALDH1L1 |
138 |
chr11q14 | 3.05e-01 | 2.81 | 0.07 | 1.00e+00 | 1.00e+00 | 1FAM181B |
141 |
chr12q23 | 3.12e-01 | 2.73 | 0.07 | 1.00e+00 | 1.00e+00 | 1RFX4 |
145 |
chr3p25 | 3.12e-01 | 2.73 | 0.07 | 1.00e+00 | 1.00e+00 | 1SLC6A11 |
145 |
Dowload full table
Transcription Factor Targets:
P-value | OR | Lower 95% CI | FDR | FWER | Genes Found | Gene Set Size | |
---|---|---|---|---|---|---|---|
EFC_Q6 | 6.63e-04 | 7.93 | 2.44 | 3.75e-01 | 7.51e-01 | 5SOX2, RFX4, VIT, PAX6, GDPD2 |
275 |
WTGAAAT_UNKNOWN | 1.49e-04 | 5.95 | 2.40 | 1.69e-01 | 1.69e-01 | 8SOX2, FGFBP3, SPARCL1, VIT, SLC1A3, GPM6B, PLA2G7, PAX6 |
625 |
CCAWYNNGAAR_UNKNOWN | 6.49e-03 | 8.48 | 1.67 | 9.93e-01 | 1.00e+00 | 3GNAI2, MFSD2A, ID4 |
148 |
HSF1_01 | 5.33e-03 | 6.16 | 1.60 | 9.93e-01 | 1.00e+00 | 4RFX4, DBI, ILDR2, ID4 |
276 |
CCAATNNSNNNGCG_UNKNOWN | 1.05e-02 | 13.85 | 1.59 | 9.93e-01 | 1.00e+00 | 2SOX2, PAX6 |
60 |
AACTTT_UNKNOWN | 1.39e-03 | 3.18 | 1.51 | 5.26e-01 | 1.00e+00 | 12SOX2, RFX4, SPARCL1, SLC6A11, VIT, SLC1A3, ADGRV1, SOX21, PDPN, PAX6, VIM, ILDR2 |
1928 |
WTTGKCTG_UNKNOWN | 9.65e-03 | 4.17 | 1.29 | 9.93e-01 | 1.00e+00 | 5CSPG5, SPARCL1, VIM, ILDR2, ID4 |
519 |
YYCATTCAWW_UNKNOWN | 1.31e-02 | 6.51 | 1.28 | 9.93e-01 | 1.00e+00 | 3CKB, RFX4, MFSD2A |
192 |
RREB1_01 | 1.64e-02 | 5.97 | 1.18 | 9.93e-01 | 1.00e+00 | 3NDRG2, VIM, ID4 |
209 |
GGGTGGRR_PAX4_03 | 1.28e-02 | 2.82 | 1.14 | 9.93e-01 | 1.00e+00 | 8SLC6A11, GPM6B, NDRG2, GNAI2, PAX6, MFSD2A, VIM, GDPD2 |
1310 |
SRY_01 | 2.05e-02 | 5.47 | 1.08 | 9.93e-01 | 1.00e+00 | 3RFX4, SPON1, PAX6 |
228 |
FOXJ2_02 | 2.41e-02 | 5.13 | 1.01 | 9.93e-01 | 1.00e+00 | 3SOX2, GPM6B, PAX6 |
243 |
CTCNANGTGNY_UNKNOWN | 2.44e-02 | 8.73 | 1.01 | 9.93e-01 | 1.00e+00 | 2CKB, RFX4 |
94 |
FOXM1_01 | 2.54e-02 | 5.02 | 0.99 | 9.93e-01 | 1.00e+00 | 3FABP7, FGFBP3, PAX6 |
248 |
NFAT_Q6 | 2.57e-02 | 5.00 | 0.99 | 9.93e-01 | 1.00e+00 | 3SPARCL1, SOX21, NDRG2 |
249 |
NFY_C | 2.60e-02 | 4.98 | 0.99 | 9.93e-01 | 1.00e+00 | 3SOX2, GNAI2, PAX6 |
250 |
YGTCCTTGR_UNKNOWN | 2.64e-02 | 8.36 | 0.97 | 9.93e-01 | 1.00e+00 | 2MT3, PHYHIPL |
98 |
TATA_01 | 2.76e-02 | 4.86 | 0.96 | 9.93e-01 | 1.00e+00 | 3CKB, MT3, NDRG2 |
256 |
MTF1_Q4 | 2.76e-02 | 4.86 | 0.96 | 9.93e-01 | 1.00e+00 | 3SPARCL1, GPM6B, GNAI2 |
256 |
MYB_Q6 | 2.78e-02 | 4.84 | 0.96 | 9.93e-01 | 1.00e+00 | 3RFX4, FAM181A, ID4 |
257 |
Dowload full table
GO Biological Processes:
P-value | OR | Lower 95% CI | FDR | FWER | Genes Found | Gene Set Size | |
---|---|---|---|---|---|---|---|
GOBP_GLIAL_CELL_FATE_COMMITMENT | 2.33e-04 | 114.17 | 11.31 | 1.94e-01 | 1.00e+00 | 2SOX2, HES5 |
9 |
GOBP_L_ASPARTATE_TRANSMEMBRANE_TRANSPORT | 3.55e-04 | 88.95 | 9.12 | 2.66e-01 | 1.00e+00 | 2SLC1A3, SLC25A18 |
11 |
GOBP_DERMATAN_SULFATE_METABOLIC_PROCESS | 5.02e-04 | 72.76 | 7.65 | 3.32e-01 | 1.00e+00 | 2CSPG5, BCAN |
13 |
GOBP_CHONDROITIN_SULFATE_CATABOLIC_PROCESS | 5.84e-04 | 66.76 | 7.07 | 3.32e-01 | 1.00e+00 | 2CSPG5, BCAN |
14 |
GOBP_NEUROTRANSMITTER_UPTAKE | 1.28e-04 | 35.11 | 6.68 | 1.60e-01 | 9.59e-01 | 3SLC6A11, SLC1A3, GPM6B |
38 |
GOBP_ASTROCYTE_DIFFERENTIATION | 3.53e-05 | 24.65 | 6.27 | 6.60e-02 | 2.64e-01 | 4HES5, MT3, SERPINE2, VIM |
72 |
GOBP_DERMATAN_SULFATE_PROTEOGLYCAN_METABOLIC_PROCESS | 7.68e-04 | 57.26 | 6.15 | 3.59e-01 | 1.00e+00 | 2CSPG5, BCAN |
16 |
GOBP_GLIAL_CELL_DIFFERENTIATION | 1.01e-06 | 15.46 | 5.80 | 3.78e-03 | 7.57e-03 | 7SOX2, HES5, MT3, CSPG5, PTPRZ1, SERPINE2, VIM |
210 |
GOBP_NEGATIVE_REGULATION_OF_ADENYLATE_CYCLASE_ACTIVITY | 1.09e-03 | 47.13 | 5.15 | 4.21e-01 | 1.00e+00 | 2ADGRV1, GNAI2 |
19 |
GOBP_REGULATION_OF_PLATELET_AGGREGATION | 1.09e-03 | 47.13 | 5.15 | 4.21e-01 | 1.00e+00 | 2PDPN, SERPINE2 |
19 |
GOBP_NEURONAL_STEM_CELL_POPULATION_MAINTENANCE | 1.09e-03 | 47.13 | 5.15 | 4.21e-01 | 1.00e+00 | 2SOX2, HES5 |
19 |
GOBP_GLIOGENESIS | 7.11e-06 | 11.37 | 4.28 | 1.77e-02 | 5.32e-02 | 7SOX2, HES5, MT3, CSPG5, PTPRZ1, SERPINE2, VIM |
283 |
GOBP_C4_DICARBOXYLATE_TRANSPORT | 1.74e-03 | 36.48 | 4.05 | 4.21e-01 | 1.00e+00 | 2SLC1A3, SLC25A18 |
24 |
GOBP_REGULATION_OF_ASTROCYTE_DIFFERENTIATION | 1.74e-03 | 36.48 | 4.05 | 4.21e-01 | 1.00e+00 | 2HES5, SERPINE2 |
24 |
GOBP_GLIAL_CELL_DEVELOPMENT | 1.96e-04 | 15.52 | 3.99 | 1.83e-01 | 1.00e+00 | 4HES5, MT3, CSPG5, VIM |
112 |
GOBP_REGULATION_OF_PROTEIN_MATURATION | 5.74e-04 | 20.49 | 3.97 | 3.32e-01 | 1.00e+00 | 3RFX4, SPON1, SERPINE2 |
63 |
GOBP_L_GLUTAMATE_TRANSMEMBRANE_TRANSPORT | 1.89e-03 | 34.87 | 3.88 | 4.21e-01 | 1.00e+00 | 2SLC1A3, SLC25A18 |
25 |
GOBP_CHONDROITIN_SULFATE_BIOSYNTHETIC_PROCESS | 1.89e-03 | 34.87 | 3.88 | 4.21e-01 | 1.00e+00 | 2CSPG5, BCAN |
25 |
GOBP_NEGATIVE_REGULATION_OF_LYASE_ACTIVITY | 1.89e-03 | 34.87 | 3.88 | 4.21e-01 | 1.00e+00 | 2ADGRV1, GNAI2 |
25 |
GOBP_CENTRAL_NERVOUS_SYSTEM_DEVELOPMENT | 6.24e-08 | 7.77 | 3.86 | 4.66e-04 | 4.66e-04 | 14SOX2, CKB, HES5, RFX4, MT3, BCAN, SLC6A11, PTPRZ1, VIT, NDRG2, SERPINE2, PAX6, MFSD2A, VIM |
980 |
Dowload full table
Immunological Gene Sets:
P-value | OR | Lower 95% CI | FDR | FWER | Genes Found | Gene Set Size | |
---|---|---|---|---|---|---|---|
GSE43955_TH0_VS_TGFB_IL6_TH17_ACT_CD4_TCELL_4H_DN | 1.56e-04 | 10.98 | 3.37 | 5.18e-01 | 7.61e-01 | 5CKB, HES5, GNAI2, PAX6, VIM |
200 |
GSE21360_NAIVE_VS_PRIMARY_MEMORY_CD8_TCELL_UP | 1.02e-03 | 9.86 | 2.55 | 5.18e-01 | 1.00e+00 | 4ALDOC, SPON1, PDPN, SERPINE2 |
174 |
GSE18791_UNSTIM_VS_NEWCATSLE_VIRUS_DC_2H_UP | 1.23e-03 | 9.36 | 2.42 | 5.18e-01 | 1.00e+00 | 4FGFBP3, CSPG5, FAM181A, PAX6 |
183 |
GSE14699_DELETIONAL_TOLERANCE_VS_ACTIVATED_CD8_TCELL_DN | 1.31e-03 | 9.21 | 2.38 | 5.18e-01 | 1.00e+00 | 4HOPX, DBI, SERPINE2, VIM |
186 |
GSE26928_EFF_MEM_VS_CENTR_MEM_CD4_TCELL_UP | 1.41e-03 | 9.01 | 2.33 | 5.18e-01 | 1.00e+00 | 4HOPX, FGFBP3, FAM181B, PLA2G7 |
190 |
GSE26928_CENTR_MEMORY_VS_CXCR5_POS_CD4_TCELL_UP | 1.41e-03 | 9.01 | 2.33 | 5.18e-01 | 1.00e+00 | 4HOPX, FAM181B, PTPRZ1, ID4 |
190 |
GSE29618_PRE_VS_DAY7_POST_LAIV_FLU_VACCINE_MDC_UP | 1.61e-03 | 8.68 | 2.25 | 5.18e-01 | 1.00e+00 | 4HOPX, PLA2G7, PAX6, RLBP1 |
197 |
GSE2770_TGFB_AND_IL4_VS_IL4_TREATED_ACT_CD4_TCELL_48H_UP | 1.64e-03 | 8.64 | 2.24 | 5.18e-01 | 1.00e+00 | 4SLC1A3, SERPINE2, PLA2G7, MFSD2A |
198 |
GSE44649_WT_VS_MIR155_KO_NAIVE_CD8_TCELL_UP | 1.64e-03 | 8.64 | 2.24 | 5.18e-01 | 1.00e+00 | 4ALDH1L1, DBI, SLC1A3, ADGRV1 |
198 |
GSE37533_UNTREATED_VS_PIOGLIZATONE_TREATED_CD4_TCELL_PPARG1_AND_FOXP3_TRASDUCED_UP | 1.67e-03 | 8.60 | 2.23 | 5.18e-01 | 1.00e+00 | 4SLC1A3, NDRG2, PDPN, VIM |
199 |
GSE13306_RA_VS_UNTREATED_MEM_CD4_TCELL_DN | 1.70e-03 | 8.55 | 2.21 | 5.18e-01 | 1.00e+00 | 4ALDOC, PDPN, MFSD2A, VIM |
200 |
GSE14350_TREG_VS_TEFF_DN | 1.70e-03 | 8.55 | 2.21 | 5.18e-01 | 1.00e+00 | 4CKB, HES5, BCAN, SOX21 |
200 |
GSE360_L_DONOVANI_VS_L_MAJOR_MAC_DN | 1.70e-03 | 8.55 | 2.21 | 5.18e-01 | 1.00e+00 | 4MT3, PDPN, PLA2G7, ID4 |
200 |
GSE360_L_MAJOR_VS_B_MALAYI_HIGH_DOSE_MAC_UP | 1.70e-03 | 8.55 | 2.21 | 5.18e-01 | 1.00e+00 | 4MT3, PDPN, PLA2G7, PAX6 |
200 |
GSE2405_0H_VS_3H_A_PHAGOCYTOPHILUM_STIM_NEUTROPHIL_UP | 1.70e-03 | 8.55 | 2.21 | 5.18e-01 | 1.00e+00 | 4SPARCL1, PTPRZ1, PDPN, SERPINE2 |
200 |
GSE18203_CTRL_VS_INTRATUMORAL_CPG_INJ_MC38_TUMOR_DN | 1.70e-03 | 8.55 | 2.21 | 5.18e-01 | 1.00e+00 | 4HOPX, LXN, DBI, GPM6B |
200 |
GSE37605_TREG_VS_TCONV_C57BL6_FOXP3_FUSION_GFP_UP | 5.04e-03 | 9.32 | 1.83 | 8.55e-01 | 1.00e+00 | 3FABP7, ALDOC, SPON1 |
135 |
GSE6090_UNSTIM_VS_DC_SIGN_STIM_DC_DN | 6.25e-03 | 8.61 | 1.69 | 8.55e-01 | 1.00e+00 | 3SPON1, SERPINE2, PLA2G7 |
146 |
GSE6259_FLT3L_INDUCED_33D1_POS_DC_VS_CD8_TCELL_DN | 6.73e-03 | 8.37 | 1.65 | 8.55e-01 | 1.00e+00 | 3ALDOC, GPM6B, PLA2G7 |
150 |
GSE6259_FLT3L_INDUCED_33D1_POS_DC_VS_CD4_TCELL_DN | 9.45e-03 | 7.37 | 1.45 | 8.55e-01 | 1.00e+00 | 3CKB, ALDOC, GPM6B |
170 |
Top Ranked Transcription Factors for this Gene Expression Program:
Gene Symbol | TF Rank | DNA Binding Domain | Motif Status | IUPAC PWM | GTEx | DepMap | Decartes |
---|---|---|---|---|---|---|---|
HOPX | 2 | No | Unlikely to be sequence specific TF | Not a DNA binding protein | No motif | None | Lacks conserved residues required for DNA binding (PMID: 24287901) |
SOX2 | 3 | Yes | Known motif | Monomer or homomultimer | High-throughput in vitro | None | None |
HES5 | 9 | Yes | Known motif | Monomer or homomultimer | High-throughput in vitro | None | None |
RFX4 | 12 | Yes | Known motif | Monomer or homomultimer | High-throughput in vitro | None | None |
SOX21 | 31 | Yes | Known motif | Monomer or homomultimer | High-throughput in vitro | None | None |
PAX6 | 44 | Yes | Known motif | Monomer or homomultimer | High-throughput in vitro | None | None |
ID4 | 50 | No | Unlikely to be sequence specific TF | Not a DNA binding protein | No motif | None | ID bHLH proteins lack the basic region and should not be able to bind DNA. The HT-SELEX motif for ID4 is likely by a co-precipitated protein or it is a contamination |
FOXB1 | 57 | Yes | Known motif | Monomer or homomultimer | High-throughput in vitro | None | None |
PAX3 | 58 | Yes | Known motif | Monomer or homomultimer | High-throughput in vitro | None | None |
FOXJ1 | 85 | Yes | Known motif | Monomer or homomultimer | 100 perc ID - in vitro | None | None |
SOX1 | 87 | Yes | Known motif | Monomer or homomultimer | 100 perc ID - in vitro | None | None |
PLPP3 | 88 | No | Unlikely to be sequence specific TF | Not a DNA binding protein | No motif | None | None |
NR2F1 | 92 | Yes | Known motif | Monomer or homomultimer | High-throughput in vitro | None | None |
SOX3 | 95 | Yes | Known motif | Monomer or homomultimer | High-throughput in vitro | None | None |
DBX2 | 104 | Yes | Inferred motif | Monomer or homomultimer | High-throughput in vitro | None | None |
HOXB13 | 105 | Yes | Known motif | Monomer or homomultimer | High-throughput in vitro | None | Also forms heterodimers. |
SALL1 | 106 | Yes | Inferred motif | Monomer or homomultimer | In vivo/Misc source | None | None |
NKX6-1 | 107 | Yes | Known motif | Monomer or homomultimer | 100 perc ID - in vitro | None | None |
ADGRA1 | 113 | No | Unlikely to be sequence specific TF | Not a DNA binding protein | No motif | None | None |
NPAS3 | 119 | Yes | Inferred motif | Obligate heteromer | In vivo/Misc source | None | Likely obligate heteromer (PMID: 9374395; PMID: 27782878). |
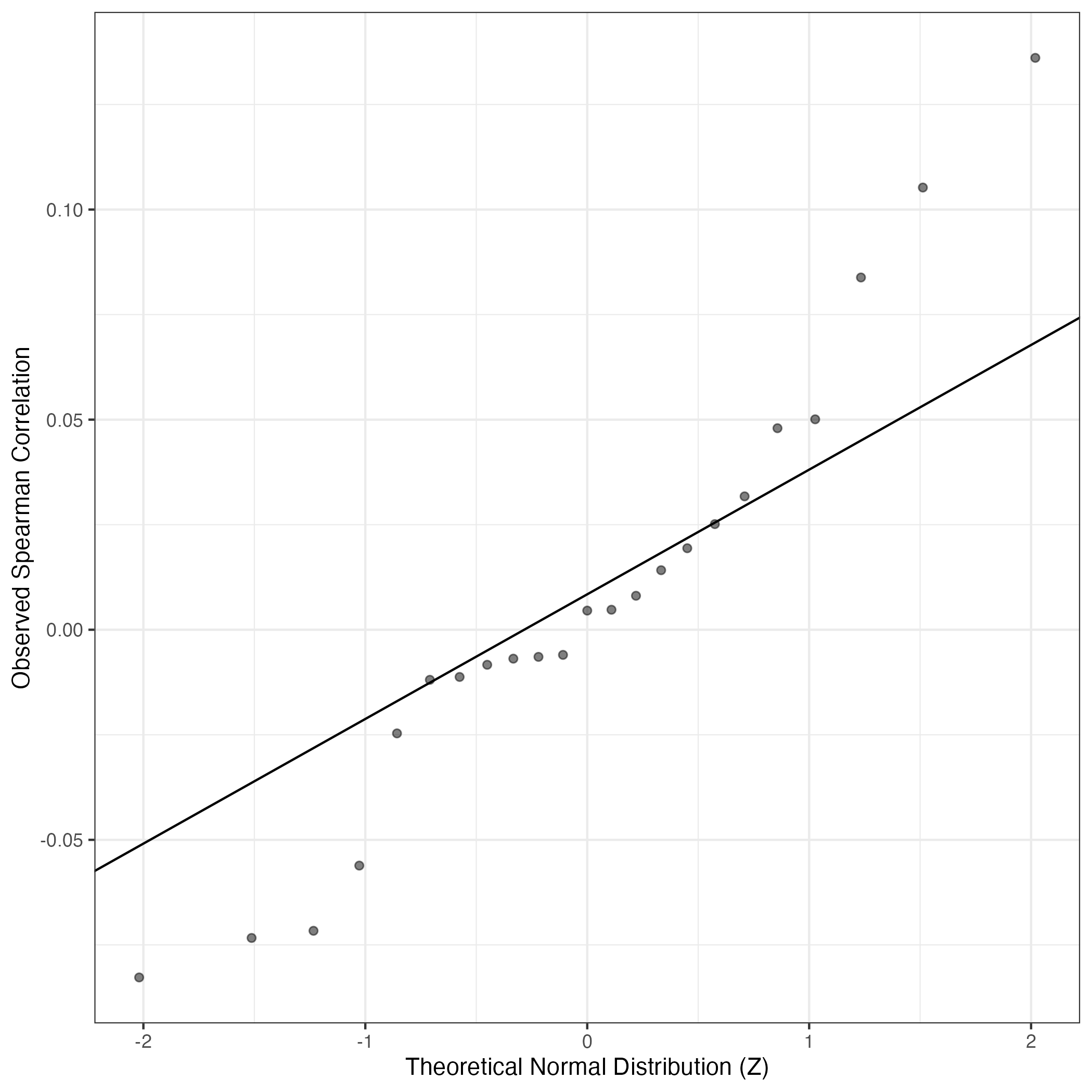
QQ Plot showing correlations with other GEPs in this dataset, calculated by Spearman correlation:
Interactive QQ-plot of gene loadings:
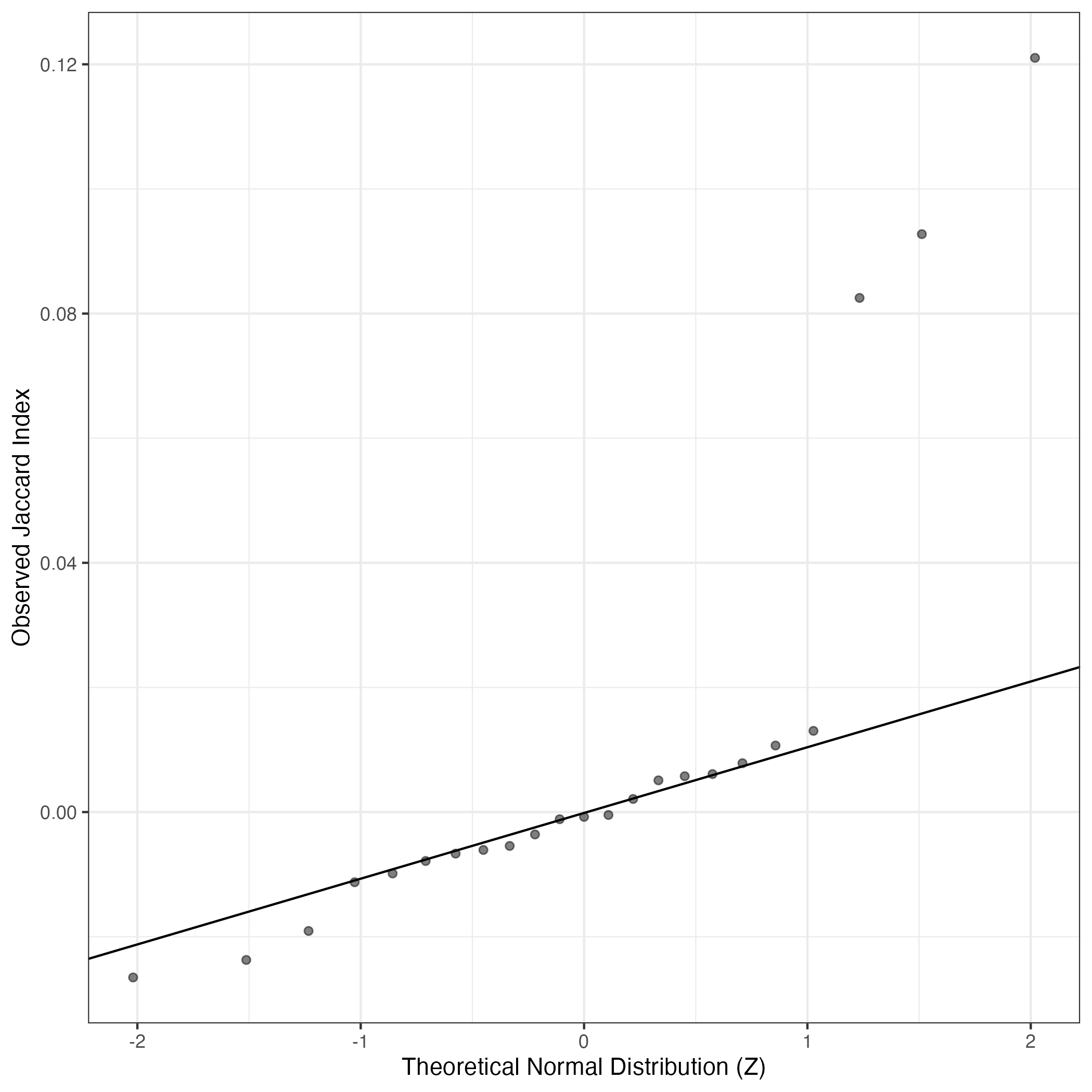
A similar QQ-plot as above, but only for instances where the H value is e.g. > 25, i.e. we are confident that the expression program is active above noise. Agreemenet between these binary vectors is tested using the Jaccard Index, with the P-values calculated by an exact test:
Interactive QQ-plot:
Singler cell type annotations for the top 50 cells on this program.
Cell ID | Singler label | Singler Delta | Activity Score | Top Singler Raw Scores |
---|---|---|---|---|
X72_ACTACGAGTACTGACT | Neuroepithelial_cell:ESC-derived | 0.38 | 1662.66 | Raw ScoresNeuroepithelial_cell:ESC-derived: 0.76, Neurons:ES_cell-derived_neural_precursor: 0.75, iPS_cells:CRL2097_foreskin-derived:d20_hepatic_diff: 0.74, MSC: 0.74, Embryonic_stem_cells: 0.72, Fibroblasts:breast: 0.68, Keratinocytes: 0.68, Keratinocytes:IL26: 0.68, iPS_cells:adipose_stem_cells: 0.67, Astrocyte:Embryonic_stem_cell-derived: 0.66 |
X71_TCCAGAAGTGGCGCTT | iPS_cells:CRL2097_foreskin-derived:d20_hepatic_diff | 0.40 | 1660.12 | Raw ScoresiPS_cells:CRL2097_foreskin-derived:d20_hepatic_diff: 0.68, Neurons:ES_cell-derived_neural_precursor: 0.68, iPS_cells:adipose_stem_cells: 0.65, Keratinocytes:KGF: 0.65, Neuroepithelial_cell:ESC-derived: 0.65, iPS_cells:fibroblast-derived:Direct_del._reprog: 0.65, Embryonic_stem_cells: 0.64, Fibroblasts:breast: 0.64, Keratinocytes: 0.64, Keratinocytes:IL19: 0.64 |
X72_GCAGCTGCAGTCTACA | Keratinocytes:IL22 | 0.22 | 1648.50 | Raw ScoresKeratinocytes:IL22: 0.42, Tissue_stem_cells:BM_MSC:BMP2: 0.42, DC:monocyte-derived:A._fumigatus_germ_tubes_6h: 0.42, DC:monocyte-derived:AM580: 0.42, DC:monocyte-derived:CD40L: 0.42, DC:monocyte-derived:LPS: 0.42, DC:monocyte-derived:Schuler_treatment: 0.42, DC:monocyte-derived:mature: 0.42, Endothelial_cells:HUVEC:Serum_Amyloid_A: 0.42, Epithelial_cells:bladder: 0.42 |
X72_AGCGCCAAGCGCCTAC | iPS_cells:CRL2097_foreskin | 0.20 | 1629.19 | Raw ScoresiPS_cells:CRL2097_foreskin: 0.57, DC:monocyte-derived:Poly(IC): 0.54, Endothelial_cells:HUVEC:Serum_Amyloid_A: 0.53, Fibroblasts:foreskin: 0.53, iPS_cells:foreskin_fibrobasts: 0.53, Endothelial_cells:HUVEC:IL-1b: 0.52, iPS_cells:CRL2097_foreskin-derived:undiff.: 0.52, iPS_cells:skin_fibroblast: 0.52, MSC: 0.51, Endothelial_cells:lymphatic:KSHV: 0.49 |
X72_GTCATCCTCGCCAACG | iPS_cells:CRL2097_foreskin-derived:d20_hepatic_diff | 0.38 | 1353.20 | Raw ScoresiPS_cells:CRL2097_foreskin-derived:d20_hepatic_diff: 0.75, Neuroepithelial_cell:ESC-derived: 0.75, Neurons:ES_cell-derived_neural_precursor: 0.75, Embryonic_stem_cells: 0.74, MSC: 0.72, Keratinocytes: 0.7, Keratinocytes:IL26: 0.7, Fibroblasts:breast: 0.7, iPS_cells:adipose_stem_cells: 0.7, Astrocyte:Embryonic_stem_cell-derived: 0.68 |
X72_ATTGTTCGTTGTTGTG | Neuroepithelial_cell:ESC-derived | 0.40 | 1138.58 | Raw ScoresNeuroepithelial_cell:ESC-derived: 0.54, Neurons:ES_cell-derived_neural_precursor: 0.54, Chondrocytes:MSC-derived: 0.5, iPS_cells:CRL2097_foreskin-derived:d20_hepatic_diff: 0.48, MSC: 0.47, Neurons:adrenal_medulla_cell_line: 0.46, Embryonic_stem_cells: 0.45, iPS_cells:adipose_stem_cells: 0.44, Gametocytes:oocyte: 0.44, Astrocyte:Embryonic_stem_cell-derived: 0.43 |
X72_TTCACCGTCTCATTGT | Keratinocytes:KGF | 0.48 | 1020.11 | Raw ScoresNeuroepithelial_cell:ESC-derived: 0.42, Keratinocytes:KGF: 0.42, Neurons:ES_cell-derived_neural_precursor: 0.42, Neurons:adrenal_medulla_cell_line: 0.42, iPS_cells:CRL2097_foreskin-derived:d20_hepatic_diff: 0.42, iPS_cells:adipose_stem_cells: 0.42, Chondrocytes:MSC-derived: 0.42, iPS_cells:fibroblast-derived:Direct_del._reprog: 0.41, Erythroblast: 0.4, Gametocytes:oocyte: 0.4 |
X71_CTGCTCAAGGACAGCT | Astrocyte:Embryonic_stem_cell-derived | 0.00 | 970.41 | Raw ScoresAstrocyte:Embryonic_stem_cell-derived: 0.5, BM: 0.5, B_cell: 0.5, B_cell:CXCR4+_centroblast: 0.5, B_cell:CXCR4-_centrocyte: 0.5, B_cell:Germinal_center: 0.5, B_cell:Memory: 0.5, B_cell:Naive: 0.5, B_cell:Plasma_cell: 0.5, B_cell:immature: 0.5 |
X71_AAGTGAAGTTCGAACT | Erythroblast | 0.31 | 925.76 | Raw ScoresErythroblast: 0.58, Gametocytes:oocyte: 0.57, Neuroepithelial_cell:ESC-derived: 0.57, Neurons:ES_cell-derived_neural_precursor: 0.57, MSC: 0.57, Chondrocytes:MSC-derived: 0.54, iPS_cells:CRL2097_foreskin-derived:d20_hepatic_diff: 0.53, Smooth_muscle_cells:bronchial: 0.49, Smooth_muscle_cells:bronchial:vit_D: 0.49, Keratinocytes:KGF: 0.48 |
X72_CATAGACTCACACGAT | Astrocyte:Embryonic_stem_cell-derived | 0.00 | 895.42 | Raw ScoresAstrocyte:Embryonic_stem_cell-derived: 0.5, BM: 0.5, B_cell: 0.5, B_cell:CXCR4+_centroblast: 0.5, B_cell:CXCR4-_centrocyte: 0.5, B_cell:Germinal_center: 0.5, B_cell:Memory: 0.5, B_cell:Naive: 0.5, B_cell:Plasma_cell: 0.5, B_cell:immature: 0.5 |
X72_TATTGGGAGTCATGCT | Monocyte | 0.00 | 881.85 | Raw ScoresMonocyte: 0.42, T_cell:CD4+: 0.42, B_cell: 0.42, B_cell:CXCR4+_centroblast: 0.42, B_cell:CXCR4-_centrocyte: 0.42, B_cell:Germinal_center: 0.42, B_cell:Memory: 0.42, B_cell:Naive: 0.42, B_cell:Plasma_cell: 0.42, B_cell:immature: 0.42 |
X71_CTCCTTTGTAGAGTTA | Neurons:ES_cell-derived_neural_precursor | 0.33 | 740.33 | Raw ScoresGametocytes:oocyte: 0.57, Neurons:ES_cell-derived_neural_precursor: 0.57, Erythroblast: 0.57, MSC: 0.57, Neuroepithelial_cell:ESC-derived: 0.57, Chondrocytes:MSC-derived: 0.54, iPS_cells:CRL2097_foreskin-derived:d20_hepatic_diff: 0.53, Keratinocytes:KGF: 0.49, Neurons:adrenal_medulla_cell_line: 0.49, Smooth_muscle_cells:bronchial: 0.49 |
X71_TGCTGAAAGTAAGACT | Neuroepithelial_cell:ESC-derived | 0.35 | 691.51 | Raw ScoresNeuroepithelial_cell:ESC-derived: 0.58, Neurons:ES_cell-derived_neural_precursor: 0.58, Erythroblast: 0.57, Gametocytes:oocyte: 0.57, MSC: 0.57, Chondrocytes:MSC-derived: 0.54, iPS_cells:CRL2097_foreskin-derived:d20_hepatic_diff: 0.54, Keratinocytes:KGF: 0.5, Neurons:adrenal_medulla_cell_line: 0.5, iPS_cells:adipose_stem_cells: 0.5 |
X71_TTAGTCTAGCAGTCTT | Neuroepithelial_cell:ESC-derived | 0.35 | 690.64 | Raw ScoresNeuroepithelial_cell:ESC-derived: 0.58, Neurons:ES_cell-derived_neural_precursor: 0.58, Erythroblast: 0.57, Gametocytes:oocyte: 0.57, MSC: 0.57, Chondrocytes:MSC-derived: 0.54, iPS_cells:CRL2097_foreskin-derived:d20_hepatic_diff: 0.54, Keratinocytes:KGF: 0.5, Neurons:adrenal_medulla_cell_line: 0.5, iPS_cells:adipose_stem_cells: 0.5 |
X72_GATGAGGGTCTGTAAC | Astrocyte:Embryonic_stem_cell-derived | 0.00 | 686.73 | Raw ScoresAstrocyte:Embryonic_stem_cell-derived: 0.5, BM: 0.5, B_cell: 0.5, B_cell:CXCR4+_centroblast: 0.5, B_cell:CXCR4-_centrocyte: 0.5, B_cell:Germinal_center: 0.5, B_cell:Memory: 0.5, B_cell:Naive: 0.5, B_cell:Plasma_cell: 0.5, B_cell:immature: 0.5 |
X72_TTCCACGCAACTCGTA | Keratinocytes:KGF | 0.48 | 686.18 | Raw ScoresNeuroepithelial_cell:ESC-derived: 0.42, Keratinocytes:KGF: 0.42, Neurons:ES_cell-derived_neural_precursor: 0.42, Neurons:adrenal_medulla_cell_line: 0.42, iPS_cells:CRL2097_foreskin-derived:d20_hepatic_diff: 0.42, iPS_cells:adipose_stem_cells: 0.42, Chondrocytes:MSC-derived: 0.42, iPS_cells:fibroblast-derived:Direct_del._reprog: 0.41, Erythroblast: 0.4, Gametocytes:oocyte: 0.4 |
X72_CCGATGGCAGCGTTGC | Neuroepithelial_cell:ESC-derived | 0.37 | 685.55 | Raw ScoresNeuroepithelial_cell:ESC-derived: 0.53, Neurons:ES_cell-derived_neural_precursor: 0.53, Chondrocytes:MSC-derived: 0.49, iPS_cells:CRL2097_foreskin-derived:d20_hepatic_diff: 0.48, MSC: 0.47, Neurons:adrenal_medulla_cell_line: 0.45, Embryonic_stem_cells: 0.44, Gametocytes:oocyte: 0.43, iPS_cells:adipose_stem_cells: 0.43, Astrocyte:Embryonic_stem_cell-derived: 0.43 |
X71_GTTACCCGTGTTGAGG | Keratinocytes:KGF | 0.48 | 669.14 | Raw ScoresNeuroepithelial_cell:ESC-derived: 0.42, Keratinocytes:KGF: 0.42, Neurons:ES_cell-derived_neural_precursor: 0.42, Neurons:adrenal_medulla_cell_line: 0.42, iPS_cells:CRL2097_foreskin-derived:d20_hepatic_diff: 0.42, iPS_cells:adipose_stem_cells: 0.42, Chondrocytes:MSC-derived: 0.42, iPS_cells:fibroblast-derived:Direct_del._reprog: 0.41, Erythroblast: 0.4, Gametocytes:oocyte: 0.4 |
X71_CACGGGTTCGACATAC | Astrocyte:Embryonic_stem_cell-derived | 0.00 | 667.55 | Raw ScoresAstrocyte:Embryonic_stem_cell-derived: 0.5, BM: 0.5, B_cell: 0.5, B_cell:CXCR4+_centroblast: 0.5, B_cell:CXCR4-_centrocyte: 0.5, B_cell:Germinal_center: 0.5, B_cell:Memory: 0.5, B_cell:Naive: 0.5, B_cell:Plasma_cell: 0.5, B_cell:immature: 0.5 |
X72_TACCGGGGTATGCAAA | Astrocyte:Embryonic_stem_cell-derived | 0.00 | 646.58 | Raw ScoresAstrocyte:Embryonic_stem_cell-derived: 0.5, BM: 0.5, B_cell: 0.5, B_cell:CXCR4+_centroblast: 0.5, B_cell:CXCR4-_centrocyte: 0.5, B_cell:Germinal_center: 0.5, B_cell:Memory: 0.5, B_cell:Naive: 0.5, B_cell:Plasma_cell: 0.5, B_cell:immature: 0.5 |
X70_CTAACCCGTCACTACA | Neuroepithelial_cell:ESC-derived | 0.35 | 636.10 | Raw ScoresNeuroepithelial_cell:ESC-derived: 0.58, Neurons:ES_cell-derived_neural_precursor: 0.58, Erythroblast: 0.57, Gametocytes:oocyte: 0.57, MSC: 0.57, Chondrocytes:MSC-derived: 0.54, iPS_cells:CRL2097_foreskin-derived:d20_hepatic_diff: 0.54, Keratinocytes:KGF: 0.5, Neurons:adrenal_medulla_cell_line: 0.5, iPS_cells:adipose_stem_cells: 0.5 |
X71_CCATAAGAGCAGTACG | Monocyte | 0.00 | 634.52 | Raw ScoresMonocyte: 0.42, T_cell:CD4+: 0.42, B_cell: 0.42, B_cell:CXCR4+_centroblast: 0.42, B_cell:CXCR4-_centrocyte: 0.42, B_cell:Germinal_center: 0.42, B_cell:Memory: 0.42, B_cell:Naive: 0.42, B_cell:Plasma_cell: 0.42, B_cell:immature: 0.42 |
X71_CATTCTAAGAACAGGA | Keratinocytes:KGF | 0.48 | 628.95 | Raw ScoresNeuroepithelial_cell:ESC-derived: 0.42, Keratinocytes:KGF: 0.42, Neurons:ES_cell-derived_neural_precursor: 0.42, Neurons:adrenal_medulla_cell_line: 0.42, iPS_cells:CRL2097_foreskin-derived:d20_hepatic_diff: 0.42, iPS_cells:adipose_stem_cells: 0.42, Chondrocytes:MSC-derived: 0.42, iPS_cells:fibroblast-derived:Direct_del._reprog: 0.41, Erythroblast: 0.4, Gametocytes:oocyte: 0.4 |
X71_CCTCACAAGTGCTCAT | Erythroblast | 0.31 | 621.26 | Raw ScoresErythroblast: 0.58, Gametocytes:oocyte: 0.57, Neuroepithelial_cell:ESC-derived: 0.57, Neurons:ES_cell-derived_neural_precursor: 0.57, MSC: 0.57, Chondrocytes:MSC-derived: 0.54, iPS_cells:CRL2097_foreskin-derived:d20_hepatic_diff: 0.53, Smooth_muscle_cells:bronchial: 0.49, Smooth_muscle_cells:bronchial:vit_D: 0.49, Keratinocytes:KGF: 0.48 |
X71_ACTTATCAGCGACTTT | Neuroepithelial_cell:ESC-derived | 0.35 | 614.49 | Raw ScoresNeuroepithelial_cell:ESC-derived: 0.58, Neurons:ES_cell-derived_neural_precursor: 0.58, Erythroblast: 0.57, Gametocytes:oocyte: 0.57, MSC: 0.57, Chondrocytes:MSC-derived: 0.54, iPS_cells:CRL2097_foreskin-derived:d20_hepatic_diff: 0.54, Keratinocytes:KGF: 0.5, Neurons:adrenal_medulla_cell_line: 0.5, iPS_cells:adipose_stem_cells: 0.5 |
X70_AGTCATGAGCCAAGCA | Keratinocytes:KGF | 0.48 | 610.47 | Raw ScoresNeuroepithelial_cell:ESC-derived: 0.42, Keratinocytes:KGF: 0.42, Neurons:ES_cell-derived_neural_precursor: 0.42, Neurons:adrenal_medulla_cell_line: 0.42, iPS_cells:CRL2097_foreskin-derived:d20_hepatic_diff: 0.42, iPS_cells:adipose_stem_cells: 0.42, Chondrocytes:MSC-derived: 0.42, iPS_cells:fibroblast-derived:Direct_del._reprog: 0.41, Erythroblast: 0.4, Gametocytes:oocyte: 0.4 |
X72_GACCGTGAGAAGGTAG | Astrocyte:Embryonic_stem_cell-derived | 0.00 | 579.81 | Raw ScoresAstrocyte:Embryonic_stem_cell-derived: 0.5, BM: 0.5, B_cell: 0.5, B_cell:CXCR4+_centroblast: 0.5, B_cell:CXCR4-_centrocyte: 0.5, B_cell:Germinal_center: 0.5, B_cell:Memory: 0.5, B_cell:Naive: 0.5, B_cell:Plasma_cell: 0.5, B_cell:immature: 0.5 |
X71_GAGCTGCGTAACATCC | Keratinocytes:KGF | 0.48 | 573.18 | Raw ScoresNeuroepithelial_cell:ESC-derived: 0.42, Keratinocytes:KGF: 0.42, Neurons:ES_cell-derived_neural_precursor: 0.42, Neurons:adrenal_medulla_cell_line: 0.42, iPS_cells:CRL2097_foreskin-derived:d20_hepatic_diff: 0.42, iPS_cells:adipose_stem_cells: 0.42, Chondrocytes:MSC-derived: 0.42, iPS_cells:fibroblast-derived:Direct_del._reprog: 0.41, Erythroblast: 0.4, Gametocytes:oocyte: 0.4 |
X72_ACACAGTGTTCAAGGG | Astrocyte:Embryonic_stem_cell-derived | 0.00 | 559.92 | Raw ScoresAstrocyte:Embryonic_stem_cell-derived: 0.5, BM: 0.5, B_cell: 0.5, B_cell:CXCR4+_centroblast: 0.5, B_cell:CXCR4-_centrocyte: 0.5, B_cell:Germinal_center: 0.5, B_cell:Memory: 0.5, B_cell:Naive: 0.5, B_cell:Plasma_cell: 0.5, B_cell:immature: 0.5 |
X72_CCTGTTGTCGTAGTCA | Neuroepithelial_cell:ESC-derived | 0.33 | 553.59 | Raw ScoresNeuroepithelial_cell:ESC-derived: 0.68, Neurons:ES_cell-derived_neural_precursor: 0.68, MSC: 0.65, Chondrocytes:MSC-derived: 0.64, Gametocytes:oocyte: 0.63, iPS_cells:CRL2097_foreskin-derived:d20_hepatic_diff: 0.6, iPS_cells:PDB_2lox-17: 0.59, Erythroblast: 0.59, Embryonic_stem_cells: 0.58, Neurons:adrenal_medulla_cell_line: 0.55 |
X71_ACTCCCACACACCAGC | Neuroepithelial_cell:ESC-derived | 0.35 | 548.69 | Raw ScoresNeuroepithelial_cell:ESC-derived: 0.58, Neurons:ES_cell-derived_neural_precursor: 0.58, Erythroblast: 0.57, Gametocytes:oocyte: 0.57, MSC: 0.57, Chondrocytes:MSC-derived: 0.54, iPS_cells:CRL2097_foreskin-derived:d20_hepatic_diff: 0.54, Keratinocytes:KGF: 0.5, Neurons:adrenal_medulla_cell_line: 0.5, iPS_cells:adipose_stem_cells: 0.5 |
X71_ATCGTCCAGCCAGAGT | Erythroblast | 0.31 | 535.38 | Raw ScoresErythroblast: 0.58, Gametocytes:oocyte: 0.57, Neuroepithelial_cell:ESC-derived: 0.57, Neurons:ES_cell-derived_neural_precursor: 0.57, MSC: 0.57, Chondrocytes:MSC-derived: 0.54, iPS_cells:CRL2097_foreskin-derived:d20_hepatic_diff: 0.53, Smooth_muscle_cells:bronchial: 0.49, Smooth_muscle_cells:bronchial:vit_D: 0.49, Keratinocytes:KGF: 0.48 |
X71_CCACACTAGATCCCAT | Keratinocytes:IL22 | 0.22 | 522.09 | Raw ScoresKeratinocytes:IL22: 0.42, Tissue_stem_cells:BM_MSC:BMP2: 0.42, DC:monocyte-derived:A._fumigatus_germ_tubes_6h: 0.42, DC:monocyte-derived:AM580: 0.42, DC:monocyte-derived:CD40L: 0.42, DC:monocyte-derived:LPS: 0.42, DC:monocyte-derived:Schuler_treatment: 0.42, DC:monocyte-derived:mature: 0.42, Endothelial_cells:HUVEC:Serum_Amyloid_A: 0.42, Epithelial_cells:bladder: 0.42 |
X70_TAACTTCCAAATGCGG | Neuroepithelial_cell:ESC-derived | 0.40 | 516.19 | Raw ScoresNeuroepithelial_cell:ESC-derived: 0.54, Neurons:ES_cell-derived_neural_precursor: 0.54, Chondrocytes:MSC-derived: 0.5, iPS_cells:CRL2097_foreskin-derived:d20_hepatic_diff: 0.48, MSC: 0.47, Neurons:adrenal_medulla_cell_line: 0.46, Embryonic_stem_cells: 0.45, iPS_cells:adipose_stem_cells: 0.44, Gametocytes:oocyte: 0.44, Astrocyte:Embryonic_stem_cell-derived: 0.43 |
X71_GATTCTTAGCATGGGT | Astrocyte:Embryonic_stem_cell-derived | 0.00 | 513.90 | Raw ScoresAstrocyte:Embryonic_stem_cell-derived: 0.5, BM: 0.5, B_cell: 0.5, B_cell:CXCR4+_centroblast: 0.5, B_cell:CXCR4-_centrocyte: 0.5, B_cell:Germinal_center: 0.5, B_cell:Memory: 0.5, B_cell:Naive: 0.5, B_cell:Plasma_cell: 0.5, B_cell:immature: 0.5 |
X71_GCAACCGAGGGAGGTG | Chondrocytes:MSC-derived | 0.31 | 507.62 | Raw ScoresChondrocytes:MSC-derived: 0.72, MSC: 0.66, iPS_cells:adipose_stem_cells: 0.66, Osteoblasts: 0.65, Smooth_muscle_cells:bronchial: 0.64, Smooth_muscle_cells:bronchial:vit_D: 0.64, Fibroblasts:breast: 0.63, Neuroepithelial_cell:ESC-derived: 0.62, Neurons:ES_cell-derived_neural_precursor: 0.62, Osteoblasts:BMP2: 0.61 |
X70_AGGCCACCACAGACGA | Astrocyte:Embryonic_stem_cell-derived | 0.00 | 490.84 | Raw ScoresAstrocyte:Embryonic_stem_cell-derived: 0.5, BM: 0.5, B_cell: 0.5, B_cell:CXCR4+_centroblast: 0.5, B_cell:CXCR4-_centrocyte: 0.5, B_cell:Germinal_center: 0.5, B_cell:Memory: 0.5, B_cell:Naive: 0.5, B_cell:Plasma_cell: 0.5, B_cell:immature: 0.5 |
X72_GCCAGCACACCATAAC | Keratinocytes:IL22 | 0.22 | 485.79 | Raw ScoresKeratinocytes:IL22: 0.42, Tissue_stem_cells:BM_MSC:BMP2: 0.42, DC:monocyte-derived:A._fumigatus_germ_tubes_6h: 0.42, DC:monocyte-derived:AM580: 0.42, DC:monocyte-derived:CD40L: 0.42, DC:monocyte-derived:LPS: 0.42, DC:monocyte-derived:Schuler_treatment: 0.42, DC:monocyte-derived:mature: 0.42, Endothelial_cells:HUVEC:Serum_Amyloid_A: 0.42, Epithelial_cells:bladder: 0.42 |
X71_TCCACGTAGGTTTGAA | Monocyte | 0.00 | 482.09 | Raw ScoresMonocyte: 0.42, T_cell:CD4+: 0.42, B_cell: 0.42, B_cell:CXCR4+_centroblast: 0.42, B_cell:CXCR4-_centrocyte: 0.42, B_cell:Germinal_center: 0.42, B_cell:Memory: 0.42, B_cell:Naive: 0.42, B_cell:Plasma_cell: 0.42, B_cell:immature: 0.42 |
X72_TCCTAATCATATTCGG | Astrocyte:Embryonic_stem_cell-derived | 0.00 | 481.06 | Raw ScoresAstrocyte:Embryonic_stem_cell-derived: 0.5, BM: 0.5, B_cell: 0.5, B_cell:CXCR4+_centroblast: 0.5, B_cell:CXCR4-_centrocyte: 0.5, B_cell:Germinal_center: 0.5, B_cell:Memory: 0.5, B_cell:Naive: 0.5, B_cell:Plasma_cell: 0.5, B_cell:immature: 0.5 |
X72_TTGACCCGTCGGTGTC | Neurons:ES_cell-derived_neural_precursor | 0.38 | 478.93 | Raw ScoresNeurons:ES_cell-derived_neural_precursor: 0.68, iPS_cells:CRL2097_foreskin-derived:d20_hepatic_diff: 0.67, Neuroepithelial_cell:ESC-derived: 0.65, Embryonic_stem_cells: 0.65, Keratinocytes:KGF: 0.64, iPS_cells:adipose_stem_cells: 0.64, iPS_cells:fibroblast-derived:Direct_del._reprog: 0.64, MSC: 0.63, Fibroblasts:breast: 0.63, Keratinocytes: 0.63 |
X71_AAGCGTTAGAATGTTG | Neuroepithelial_cell:ESC-derived | 0.35 | 478.59 | Raw ScoresNeuroepithelial_cell:ESC-derived: 0.58, Neurons:ES_cell-derived_neural_precursor: 0.58, Erythroblast: 0.57, Gametocytes:oocyte: 0.57, MSC: 0.57, Chondrocytes:MSC-derived: 0.54, iPS_cells:CRL2097_foreskin-derived:d20_hepatic_diff: 0.54, Keratinocytes:KGF: 0.5, Neurons:adrenal_medulla_cell_line: 0.5, iPS_cells:adipose_stem_cells: 0.5 |
X72_GGAGCAAAGTCCTGCG | Monocyte | 0.00 | 462.05 | Raw ScoresMonocyte: 0.42, T_cell:CD4+: 0.42, B_cell: 0.42, B_cell:CXCR4+_centroblast: 0.42, B_cell:CXCR4-_centrocyte: 0.42, B_cell:Germinal_center: 0.42, B_cell:Memory: 0.42, B_cell:Naive: 0.42, B_cell:Plasma_cell: 0.42, B_cell:immature: 0.42 |
X72_TACCTGCTCCTCTTTC | Astrocyte:Embryonic_stem_cell-derived | 0.00 | 461.84 | Raw ScoresAstrocyte:Embryonic_stem_cell-derived: 0.5, BM: 0.5, B_cell: 0.5, B_cell:CXCR4+_centroblast: 0.5, B_cell:CXCR4-_centrocyte: 0.5, B_cell:Germinal_center: 0.5, B_cell:Memory: 0.5, B_cell:Naive: 0.5, B_cell:Plasma_cell: 0.5, B_cell:immature: 0.5 |
X71_TCTTCCTGTAGAGACC | Keratinocytes:KGF | 0.48 | 458.78 | Raw ScoresNeuroepithelial_cell:ESC-derived: 0.42, Keratinocytes:KGF: 0.42, Neurons:ES_cell-derived_neural_precursor: 0.42, Neurons:adrenal_medulla_cell_line: 0.42, iPS_cells:CRL2097_foreskin-derived:d20_hepatic_diff: 0.42, iPS_cells:adipose_stem_cells: 0.42, Chondrocytes:MSC-derived: 0.42, iPS_cells:fibroblast-derived:Direct_del._reprog: 0.41, Erythroblast: 0.4, Gametocytes:oocyte: 0.4 |
X72_GTGCACGCACTTCAGA | Astrocyte:Embryonic_stem_cell-derived | 0.00 | 453.92 | Raw ScoresAstrocyte:Embryonic_stem_cell-derived: 0.5, BM: 0.5, B_cell: 0.5, B_cell:CXCR4+_centroblast: 0.5, B_cell:CXCR4-_centrocyte: 0.5, B_cell:Germinal_center: 0.5, B_cell:Memory: 0.5, B_cell:Naive: 0.5, B_cell:Plasma_cell: 0.5, B_cell:immature: 0.5 |
X72_TCCCATGTCGCAGTGC | Keratinocytes:KGF | 0.48 | 453.88 | Raw ScoresNeuroepithelial_cell:ESC-derived: 0.42, Keratinocytes:KGF: 0.42, Neurons:ES_cell-derived_neural_precursor: 0.42, Neurons:adrenal_medulla_cell_line: 0.42, iPS_cells:CRL2097_foreskin-derived:d20_hepatic_diff: 0.42, iPS_cells:adipose_stem_cells: 0.42, Chondrocytes:MSC-derived: 0.42, iPS_cells:fibroblast-derived:Direct_del._reprog: 0.41, Erythroblast: 0.4, Gametocytes:oocyte: 0.4 |
X70_TGGATGTGTACTAACC | Keratinocytes:KGF | 0.48 | 453.08 | Raw ScoresNeuroepithelial_cell:ESC-derived: 0.42, Keratinocytes:KGF: 0.42, Neurons:ES_cell-derived_neural_precursor: 0.42, Neurons:adrenal_medulla_cell_line: 0.42, iPS_cells:CRL2097_foreskin-derived:d20_hepatic_diff: 0.42, iPS_cells:adipose_stem_cells: 0.42, Chondrocytes:MSC-derived: 0.42, iPS_cells:fibroblast-derived:Direct_del._reprog: 0.41, Erythroblast: 0.4, Gametocytes:oocyte: 0.4 |
X71_TTCGCTGAGCTGTTCA | Keratinocytes:KGF | 0.48 | 449.42 | Raw ScoresNeuroepithelial_cell:ESC-derived: 0.42, Keratinocytes:KGF: 0.42, Neurons:ES_cell-derived_neural_precursor: 0.42, Neurons:adrenal_medulla_cell_line: 0.42, iPS_cells:CRL2097_foreskin-derived:d20_hepatic_diff: 0.42, iPS_cells:adipose_stem_cells: 0.42, Chondrocytes:MSC-derived: 0.42, iPS_cells:fibroblast-derived:Direct_del._reprog: 0.41, Erythroblast: 0.4, Gametocytes:oocyte: 0.4 |
X71_CTTTCGGAGGTGATCG | Endothelial_cells:lymphatic | 0.10 | 442.72 | Raw ScoresEndothelial_cells:lymphatic: 0.36, B_cell:CXCR4+_centroblast: 0.36, B_cell:CXCR4-_centrocyte: 0.36, DC:monocyte-derived: 0.36, Endothelial_cells:lymphatic:KSHV: 0.36, Neurons:Schwann_cell: 0.36, B_cell:immature: 0.36, CMP: 0.36, DC:monocyte-derived:AEC-conditioned: 0.36, Endothelial_cells:HUVEC: 0.36 |
Below shows the significant enrichments of this GEP for literature curated gene lists
This data was procured from existing single cell RNA-seq maps of neuroblastoma or related relevant data.
High ranks indicate this gene is a driver of this GEP.
These curated gene list are ranked by the P-value (on this GEP) of their constituent genes.
The Mean Count column shows the mean read count in cells scoring highly (H > 50) on this gene expression program.
Genes | Weight | Rank | GTEx | DepMap | Decartes | Mean.Counts | Mean.TPM |
---|---|---|---|---|---|---|---|
RPN2 | 0.0005998 | 1037 | GTEx | DepMap | Descartes | 2.28 | 18.55 |
PDIA3 | 0.0004227 | 1608 | GTEx | DepMap | Descartes | 4.88 | 80.62 |
HSPA5 | 0.0003490 | 1992 | GTEx | DepMap | Descartes | 6.36 | 514.22 |
OS9 | 0.0001690 | 3922 | GTEx | DepMap | Descartes | 0.97 | 19.62 |
HSPA8 | 0.0001198 | 4780 | GTEx | DepMap | Descartes | 24.70 | 1007.71 |
Angioblast (Hanemaaijer)
Marker genes obtained from Supplementary Table SD of Hanemaaijer et al (PMID 33500353). The authors generated single-cell RNA-seq data (sort-seq, 2,229 cells total) from mouse adrenal glads at E13.5, E14.5, E17.5, E18.5, P1 and P5. These were marker genes that matched with a similar dataset generated by Furlan et al (PMID 28684471). This particular set of markers are for Angioblast subcluster of Endothelium cluster:
Wilcoxon ranksum test P-value for gene set overrepresentation: 4.03e-03
Mean rank of genes in gene set: 1131
Rank on gene expression program of genes in gene set:
Genes | Weight | Rank | GTEx | DepMap | Decartes | Mean.Counts | Mean.TPM |
---|---|---|---|---|---|---|---|
PREX1 | 0.0024494 | 139 | GTEx | DepMap | Descartes | 0.51 | 1.47 |
NES | 0.0021524 | 173 | GTEx | DepMap | Descartes | 2.34 | 108.71 |
MAP4K4 | 0.0002290 | 3081 | GTEx | DepMap | Descartes | 3.73 | 12.59 |
Muscle progenitor (Jansky)
Mentioned in the main text (Jansky et al, Nature Genetics (2021)), page 1, that PAX7+ Muscle progenitor were identified in their fetal adrenal glands, this is also highlighted in the UMAP plot on their Fig 1B. Additional genes also shown in their Extended data Figure 2D.:
Wilcoxon ranksum test P-value for gene set overrepresentation: 4.52e-03
Mean rank of genes in gene set: 1255
Rank on gene expression program of genes in gene set:
Genes | Weight | Rank | GTEx | DepMap | Decartes | Mean.Counts | Mean.TPM |
---|---|---|---|---|---|---|---|
PAX3 | 0.0038502 | 58 | GTEx | DepMap | Descartes | 1.84 | 11.28 |
PAX7 | 0.0011419 | 434 | GTEx | DepMap | Descartes | 0.17 | 0.94 |
CDON | 0.0002140 | 3273 | GTEx | DepMap | Descartes | 0.29 | 1.24 |
Below shows ranks on this GEP for literature curated gene lists for large gene sets
These include those reported as mesenchymal/adrenergic by Van Groningen et al.
High ranks indicate this gene is a driver of this GEP (note these results are not ordered).
The Mean Count column shows the mean read count in cells scoring highly (H > 50) on this gene expression program.
VanGroningen Adrenergic Genes
Adrenergic marker genes from Supplementary Table 2 of Van Groningen et al. Nature Genetics 2017. These genes were identified by differential expression analysis of mesenchymal-like and adrenergic-like neuroblastoma cell lines.
Wilcoxon ranksum test P-value for gene set overrepresentation: 1.00e+00
Mean rank of genes in gene set: 12266.46
Median rank of genes in gene set: 15672.5
Rank on gene expression program of top 30 genes in gene set:
Genes | Weight | Rank | GTEx | DepMap | Descartes | Mean.Counts | Mean.TPM |
---|---|---|---|---|---|---|---|
CKB | 0.0078835 | 5 | GTEx | DepMap | Descartes | 24.92 | 5167.76 |
PHYHIPL | 0.0057402 | 24 | GTEx | DepMap | Descartes | 2.44 | 15.00 |
ADCYAP1R1 | 0.0029371 | 94 | GTEx | DepMap | Descartes | 0.53 | 8.09 |
MSI2 | 0.0027411 | 110 | GTEx | DepMap | Descartes | 2.63 | 2.89 |
HEY1 | 0.0025543 | 125 | GTEx | DepMap | Descartes | 0.72 | 71.38 |
CXCR4 | 0.0024754 | 134 | GTEx | DepMap | Descartes | 0.15 | 22.56 |
SLIT1 | 0.0023872 | 144 | GTEx | DepMap | Descartes | 0.45 | 1.70 |
ASCL1 | 0.0023562 | 149 | GTEx | DepMap | Descartes | 1.59 | 333.29 |
GLDC | 0.0020463 | 181 | GTEx | DepMap | Descartes | 0.23 | 2.34 |
NCAN | 0.0019381 | 208 | GTEx | DepMap | Descartes | 0.99 | 17.91 |
RBP1 | 0.0017661 | 238 | GTEx | DepMap | Descartes | 4.23 | 98.71 |
ASRGL1 | 0.0013527 | 338 | GTEx | DepMap | Descartes | 0.66 | 10.58 |
FZD3 | 0.0011359 | 438 | GTEx | DepMap | Descartes | 0.82 | 6.27 |
HES6 | 0.0010484 | 488 | GTEx | DepMap | Descartes | 2.08 | 410.78 |
NMNAT2 | 0.0010285 | 502 | GTEx | DepMap | Descartes | 0.27 | 0.67 |
TSPAN7 | 0.0010118 | 519 | GTEx | DepMap | Descartes | 0.95 | 2.78 |
TUBB2B | 0.0009924 | 529 | GTEx | DepMap | Descartes | 25.36 | 2887.64 |
MIAT | 0.0009655 | 550 | GTEx | DepMap | Descartes | 1.44 | 46.64 |
LRRTM2 | 0.0009583 | 555 | GTEx | DepMap | Descartes | 0.19 | 13.36 |
ARL6IP1 | 0.0009223 | 591 | GTEx | DepMap | Descartes | 6.65 | 277.63 |
LMO3 | 0.0008522 | 669 | GTEx | DepMap | Descartes | 0.16 | 0.48 |
GGH | 0.0008260 | 697 | GTEx | DepMap | Descartes | 0.50 | 9.23 |
CENPV | 0.0008082 | 713 | GTEx | DepMap | Descartes | 1.01 | 36.34 |
SLC35G2 | 0.0008038 | 719 | GTEx | DepMap | Descartes | 0.05 | 1.62 |
PBK | 0.0007846 | 747 | GTEx | DepMap | Descartes | 0.68 | 17.40 |
SHC3 | 0.0007504 | 792 | GTEx | DepMap | Descartes | 0.02 | 0.13 |
TTC8 | 0.0007405 | 801 | GTEx | DepMap | Descartes | 0.26 | 1.66 |
KIF21A | 0.0007229 | 824 | GTEx | DepMap | Descartes | 2.24 | 6.74 |
DNER | 0.0006245 | 998 | GTEx | DepMap | Descartes | 1.18 | 1.93 |
CETN3 | 0.0006141 | 1014 | GTEx | DepMap | Descartes | 2.19 | 45.25 |
VanGroningen Mesenchymal Genes
Mesenchymal marker genes from Supplementary Table 2 of Van Groningen et al. Nature Genetics 2017. These genes were identified by differential expression analysis of mesenchymal-like and adrenergic-like neuroblastoma cell lines.
Wilcoxon ranksum test P-value for gene set overrepresentation: 1.00e+00
Mean rank of genes in gene set: 10579.6
Median rank of genes in gene set: 11890
Rank on gene expression program of top 30 genes in gene set:
Genes | Weight | Rank | GTEx | DepMap | Descartes | Mean.Counts | Mean.TPM |
---|---|---|---|---|---|---|---|
SPARCL1 | 0.0062420 | 19 | GTEx | DepMap | Descartes | 3.92 | 81.95 |
SERPINE2 | 0.0044285 | 40 | GTEx | DepMap | Descartes | 5.40 | 41.49 |
VIM | 0.0041736 | 46 | GTEx | DepMap | Descartes | 37.56 | 1691.56 |
PTN | 0.0035815 | 69 | GTEx | DepMap | Descartes | 20.66 | 118.63 |
LHFP | 0.0024371 | 141 | GTEx | DepMap | Descartes | 1.05 | 2.79 |
GNG12 | 0.0022735 | 158 | GTEx | DepMap | Descartes | 0.81 | 3.23 |
PON2 | 0.0022314 | 160 | GTEx | DepMap | Descartes | 0.80 | 12.45 |
ITM2B | 0.0021920 | 167 | GTEx | DepMap | Descartes | 7.81 | 141.32 |
NFIA | 0.0021581 | 170 | GTEx | DepMap | Descartes | 3.09 | 4.42 |
NES | 0.0021524 | 173 | GTEx | DepMap | Descartes | 2.34 | 108.71 |
ID3 | 0.0019956 | 197 | GTEx | DepMap | Descartes | 6.91 | 1079.39 |
CNN3 | 0.0018582 | 219 | GTEx | DepMap | Descartes | 5.77 | 75.34 |
LAMP1 | 0.0018500 | 220 | GTEx | DepMap | Descartes | 4.00 | 120.53 |
LIX1L | 0.0016124 | 265 | GTEx | DepMap | Descartes | 0.71 | 10.03 |
WLS | 0.0016113 | 266 | GTEx | DepMap | Descartes | 2.03 | 8.21 |
MGST1 | 0.0015935 | 270 | GTEx | DepMap | Descartes | 1.45 | 48.77 |
SOX9 | 0.0015772 | 275 | GTEx | DepMap | Descartes | 2.60 | 233.69 |
ID1 | 0.0014137 | 311 | GTEx | DepMap | Descartes | 3.16 | 1085.38 |
ARL4A | 0.0014069 | 318 | GTEx | DepMap | Descartes | 1.54 | 24.66 |
IGFBP5 | 0.0013992 | 320 | GTEx | DepMap | Descartes | 8.13 | 176.11 |
DKK3 | 0.0013647 | 334 | GTEx | DepMap | Descartes | 0.21 | 3.57 |
CYBRD1 | 0.0012149 | 393 | GTEx | DepMap | Descartes | 0.15 | 4.01 |
ASPH | 0.0012143 | 394 | GTEx | DepMap | Descartes | 1.11 | 2.26 |
PROM1 | 0.0011758 | 417 | GTEx | DepMap | Descartes | 0.36 | 1.95 |
HES1 | 0.0011359 | 439 | GTEx | DepMap | Descartes | 1.09 | 105.42 |
SHROOM3 | 0.0011085 | 452 | GTEx | DepMap | Descartes | 0.11 | 0.20 |
ZFP36L1 | 0.0010741 | 470 | GTEx | DepMap | Descartes | 3.40 | 185.25 |
PPT1 | 0.0010738 | 471 | GTEx | DepMap | Descartes | 0.75 | 16.06 |
JAM3 | 0.0010674 | 477 | GTEx | DepMap | Descartes | 1.45 | 10.66 |
FGFR1 | 0.0010150 | 515 | GTEx | DepMap | Descartes | 1.15 | 7.23 |
Descartes adrenocortical markers
Top 50 marker genes of adrenocortical cells in the Decartes fetal adrenal single cell map (https://atlas.brotmanbaty.org/bbi/human-gene-expression-during-development/cell/adrenocortical/in/adrenal)
Wilcoxon ranksum test P-value for gene set overrepresentation: 2.42e-01
Mean rank of genes in gene set: 9062.26
Median rank of genes in gene set: 8164.5
Rank on gene expression program of top 30 genes in gene set:
Genes | Weight | Rank | GTEx | DepMap | Descartes | Mean.Counts | Mean.TPM |
---|---|---|---|---|---|---|---|
GSTA4 | 0.0032436 | 79 | GTEx | DepMap | Descartes | 2.21 | 48.21 |
HMGCS1 | 0.0014127 | 313 | GTEx | DepMap | Descartes | 3.36 | 85.41 |
MSMO1 | 0.0011600 | 425 | GTEx | DepMap | Descartes | 1.31 | 43.70 |
SLC1A2 | 0.0008481 | 671 | GTEx | DepMap | Descartes | 0.86 | 3.66 |
DHCR7 | 0.0006613 | 919 | GTEx | DepMap | Descartes | 0.50 | 7.45 |
DNER | 0.0006245 | 998 | GTEx | DepMap | Descartes | 1.18 | 1.93 |
NPC1 | 0.0005237 | 1223 | GTEx | DepMap | Descartes | 0.34 | 3.51 |
DHCR24 | 0.0003920 | 1751 | GTEx | DepMap | Descartes | 0.63 | 8.33 |
HMGCR | 0.0003584 | 1932 | GTEx | DepMap | Descartes | 1.36 | 30.75 |
HSPE1 | 0.0003248 | 2154 | GTEx | DepMap | Descartes | 8.21 | 844.44 |
POR | 0.0002671 | 2646 | GTEx | DepMap | Descartes | 0.69 | 5.04 |
TM7SF2 | 0.0002646 | 2674 | GTEx | DepMap | Descartes | 0.17 | 10.67 |
IGF1R | 0.0002338 | 3021 | GTEx | DepMap | Descartes | 1.53 | 1.99 |
SCAP | 0.0001820 | 3733 | GTEx | DepMap | Descartes | 0.30 | 2.35 |
SCARB1 | 0.0001312 | 4554 | GTEx | DepMap | Descartes | 0.14 | 1.11 |
SH3PXD2B | 0.0000854 | 5518 | GTEx | DepMap | Descartes | 0.45 | 1.67 |
JAKMIP2 | 0.0000606 | 6158 | GTEx | DepMap | Descartes | 0.35 | 0.65 |
FDPS | 0.0000470 | 6547 | GTEx | DepMap | Descartes | 1.92 | 69.89 |
HSPD1 | 0.0000228 | 7283 | GTEx | DepMap | Descartes | 5.10 | 175.37 |
LDLR | 0.0000207 | 7352 | GTEx | DepMap | Descartes | 0.19 | 2.58 |
CYP17A1 | 0.0000009 | 8123 | GTEx | DepMap | Descartes | 0.00 | 0.00 |
SLC16A9 | -0.0000009 | 8206 | GTEx | DepMap | Descartes | 0.01 | 0.10 |
FDXR | -0.0000116 | 8710 | GTEx | DepMap | Descartes | 0.18 | 7.37 |
ERN1 | -0.0000161 | 8980 | GTEx | DepMap | Descartes | 0.03 | 0.20 |
STAR | -0.0000203 | 9259 | GTEx | DepMap | Descartes | 0.01 | 0.51 |
MC2R | -0.0000774 | 13332 | GTEx | DepMap | Descartes | 0.00 | 0.00 |
GRAMD1B | -0.0000917 | 14022 | GTEx | DepMap | Descartes | 0.12 | 0.15 |
FRMD5 | -0.0000989 | 14321 | GTEx | DepMap | Descartes | 0.07 | 0.09 |
BAIAP2L1 | -0.0001101 | 14759 | GTEx | DepMap | Descartes | 0.05 | 0.13 |
CYB5B | -0.0001288 | 15319 | GTEx | DepMap | Descartes | 0.53 | 4.44 |
Descartes chromaffin markers
Top 50 marker genes of chromaffin cells in the Decartes fetal adrenal single cell map (https://atlas.brotmanbaty.org/bbi/human-gene-expression-during-development/cell/chromaffin/in/adrenal)
Wilcoxon ranksum test P-value for gene set overrepresentation: 1.00e+00
Mean rank of genes in gene set: 13807.95
Median rank of genes in gene set: 16689.5
Rank on gene expression program of top 30 genes in gene set:
Genes | Weight | Rank | GTEx | DepMap | Descartes | Mean.Counts | Mean.TPM |
---|---|---|---|---|---|---|---|
CNTFR | 0.0015086 | 290 | GTEx | DepMap | Descartes | 0.94 | 15.20 |
TMEM132C | 0.0014081 | 316 | GTEx | DepMap | Descartes | 0.51 | 0.61 |
FAT3 | 0.0011468 | 427 | GTEx | DepMap | Descartes | 0.54 | 0.46 |
TUBB2B | 0.0009924 | 529 | GTEx | DepMap | Descartes | 25.36 | 2887.64 |
CCND1 | 0.0002330 | 3036 | GTEx | DepMap | Descartes | 3.04 | 83.97 |
PLXNA4 | 0.0002275 | 3102 | GTEx | DepMap | Descartes | 0.73 | 0.41 |
TUBB2A | 0.0001716 | 3883 | GTEx | DepMap | Descartes | 5.56 | 502.91 |
IL7 | 0.0001126 | 4918 | GTEx | DepMap | Descartes | 0.01 | 0.01 |
SLC44A5 | 0.0000467 | 6557 | GTEx | DepMap | Descartes | 0.01 | 0.02 |
ANKFN1 | 0.0000457 | 6583 | GTEx | DepMap | Descartes | 0.01 | 0.01 |
SYNPO2 | -0.0000151 | 8918 | GTEx | DepMap | Descartes | 0.10 | 0.19 |
ALK | -0.0000480 | 11454 | GTEx | DepMap | Descartes | 0.00 | 0.00 |
EPHA6 | -0.0000583 | 12182 | GTEx | DepMap | Descartes | 0.01 | 0.00 |
RPH3A | -0.0000604 | 12323 | GTEx | DepMap | Descartes | 0.04 | 0.32 |
NPY | -0.0001186 | 15010 | GTEx | DepMap | Descartes | 0.65 | 32.98 |
GREM1 | -0.0001351 | 15488 | GTEx | DepMap | Descartes | 0.04 | 0.75 |
HMX1 | -0.0001397 | 15607 | GTEx | DepMap | Descartes | 0.28 | 2.53 |
PTCHD1 | -0.0001415 | 15655 | GTEx | DepMap | Descartes | 0.00 | 0.00 |
HS3ST5 | -0.0001419 | 15664 | GTEx | DepMap | Descartes | 0.06 | 0.06 |
SLC6A2 | -0.0001518 | 15907 | GTEx | DepMap | Descartes | 0.01 | 0.04 |
EYA4 | -0.0001583 | 16058 | GTEx | DepMap | Descartes | 0.01 | 0.01 |
RYR2 | -0.0001868 | 16613 | GTEx | DepMap | Descartes | 0.03 | 0.02 |
PRPH | -0.0001952 | 16766 | GTEx | DepMap | Descartes | 3.83 | 75.21 |
GAL | -0.0001963 | 16784 | GTEx | DepMap | Descartes | 0.94 | 28.16 |
NTRK1 | -0.0002251 | 17235 | GTEx | DepMap | Descartes | 1.11 | 10.25 |
REEP1 | -0.0002462 | 17489 | GTEx | DepMap | Descartes | 0.48 | 1.04 |
MARCH11 | -0.0002636 | 17666 | GTEx | DepMap | Descartes | 0.07 | 0.11 |
TMEFF2 | -0.0002837 | 17871 | GTEx | DepMap | Descartes | 0.45 | 0.30 |
CNKSR2 | -0.0003265 | 18192 | GTEx | DepMap | Descartes | 0.15 | 0.15 |
KCNB2 | -0.0003327 | 18249 | GTEx | DepMap | Descartes | 0.19 | 0.07 |
Descartes Vascular_endothelial markers
Top 50 marker genes of Vascular_endothelial cells in the Decartes fetal adrenal single cell map (https://atlas.brotmanbaty.org/bbi/human-gene-expression-during-development/cell/vascular_endothelial/in/adrenal)
Wilcoxon ranksum test P-value for gene set overrepresentation: 9.01e-01
Mean rank of genes in gene set: 10760.56
Median rank of genes in gene set: 12820
Rank on gene expression program of top 30 genes in gene set:
Genes | Weight | Rank | GTEx | DepMap | Descartes | Mean.Counts | Mean.TPM |
---|---|---|---|---|---|---|---|
ID1 | 0.0014137 | 311 | GTEx | DepMap | Descartes | 3.16 | 1085.38 |
CDH13 | 0.0012766 | 367 | GTEx | DepMap | Descartes | 0.69 | 0.39 |
CALCRL | 0.0009381 | 575 | GTEx | DepMap | Descartes | 0.09 | 0.57 |
NOTCH4 | 0.0008270 | 695 | GTEx | DepMap | Descartes | 0.13 | 2.84 |
IRX3 | 0.0008248 | 702 | GTEx | DepMap | Descartes | 0.36 | 56.50 |
PODXL | 0.0006624 | 916 | GTEx | DepMap | Descartes | 0.21 | 1.55 |
EFNB2 | 0.0005415 | 1167 | GTEx | DepMap | Descartes | 0.68 | 6.24 |
HYAL2 | 0.0002575 | 2766 | GTEx | DepMap | Descartes | 0.55 | 48.01 |
MYRIP | 0.0000641 | 6066 | GTEx | DepMap | Descartes | 0.01 | 0.00 |
EHD3 | 0.0000601 | 6172 | GTEx | DepMap | Descartes | 0.23 | 2.28 |
CEACAM1 | 0.0000384 | 6777 | GTEx | DepMap | Descartes | 0.01 | 0.16 |
GALNT15 | 0.0000243 | 7231 | GTEx | DepMap | Descartes | 0.01 | 0.01 |
KANK3 | 0.0000061 | 7893 | GTEx | DepMap | Descartes | 0.09 | 2.31 |
DNASE1L3 | -0.0000216 | 9342 | GTEx | DepMap | Descartes | 0.00 | 0.00 |
FCGR2B | -0.0000271 | 9762 | GTEx | DepMap | Descartes | 0.00 | 0.00 |
BTNL9 | -0.0000348 | 10389 | GTEx | DepMap | Descartes | 0.00 | 0.00 |
PTPRB | -0.0000382 | 10685 | GTEx | DepMap | Descartes | 0.01 | 0.04 |
KDR | -0.0000560 | 12031 | GTEx | DepMap | Descartes | 0.02 | 0.25 |
CRHBP | -0.0000566 | 12070 | GTEx | DepMap | Descartes | 0.00 | 0.00 |
ROBO4 | -0.0000629 | 12510 | GTEx | DepMap | Descartes | 0.00 | 0.00 |
MMRN2 | -0.0000665 | 12718 | GTEx | DepMap | Descartes | 0.01 | 0.11 |
TIE1 | -0.0000681 | 12820 | GTEx | DepMap | Descartes | 0.00 | 0.00 |
SHANK3 | -0.0000770 | 13310 | GTEx | DepMap | Descartes | 0.02 | 0.06 |
FLT4 | -0.0000803 | 13478 | GTEx | DepMap | Descartes | 0.00 | 0.00 |
ESM1 | -0.0000818 | 13570 | GTEx | DepMap | Descartes | 0.00 | 0.00 |
CLDN5 | -0.0000824 | 13604 | GTEx | DepMap | Descartes | 0.01 | 0.71 |
NR5A2 | -0.0000869 | 13804 | GTEx | DepMap | Descartes | 0.03 | 0.01 |
SHE | -0.0001042 | 14523 | GTEx | DepMap | Descartes | 0.01 | 0.06 |
APLNR | -0.0001044 | 14532 | GTEx | DepMap | Descartes | 0.00 | 1.03 |
F8 | -0.0001046 | 14541 | GTEx | DepMap | Descartes | 0.01 | 0.02 |
Descartes stromal markers
Top 50 marker genes of stromal cells in the Decartes fetal adrenal single cell map (https://atlas.brotmanbaty.org/bbi/human-gene-expression-during-development/cell/stromal/in/adrenal)
Wilcoxon ranksum test P-value for gene set overrepresentation: 1.00e+00
Mean rank of genes in gene set: 14783.15
Median rank of genes in gene set: 17744.5
Rank on gene expression program of top 30 genes in gene set:
Genes | Weight | Rank | GTEx | DepMap | Descartes | Mean.Counts | Mean.TPM |
---|---|---|---|---|---|---|---|
SFRP2 | 0.0018450 | 221 | GTEx | DepMap | Descartes | 2.42 | 263.08 |
CCDC80 | 0.0004307 | 1567 | GTEx | DepMap | Descartes | 0.25 | 4.28 |
CDH11 | 0.0004272 | 1582 | GTEx | DepMap | Descartes | 1.12 | 2.53 |
HHIP | 0.0002288 | 3085 | GTEx | DepMap | Descartes | 0.08 | 0.27 |
ABCA6 | 0.0002089 | 3348 | GTEx | DepMap | Descartes | 0.01 | 0.08 |
RSPO3 | 0.0000641 | 6065 | GTEx | DepMap | Descartes | 0.35 | 1.28 |
FNDC1 | 0.0000396 | 6742 | GTEx | DepMap | Descartes | 0.03 | 0.07 |
GLI2 | 0.0000009 | 8121 | GTEx | DepMap | Descartes | 0.11 | 0.14 |
FREM1 | -0.0000109 | 8677 | GTEx | DepMap | Descartes | 0.05 | 0.07 |
SULT1E1 | -0.0000233 | 9478 | GTEx | DepMap | Descartes | 0.00 | 0.00 |
C7 | -0.0000287 | 9865 | GTEx | DepMap | Descartes | 0.00 | 0.00 |
EDNRA | -0.0000529 | 11809 | GTEx | DepMap | Descartes | 0.14 | 0.80 |
ADAMTSL3 | -0.0000891 | 13907 | GTEx | DepMap | Descartes | 0.01 | 0.00 |
SCARA5 | -0.0001379 | 15564 | GTEx | DepMap | Descartes | 0.00 | 0.01 |
LAMC3 | -0.0001384 | 15578 | GTEx | DepMap | Descartes | 0.01 | 0.04 |
ELN | -0.0001539 | 15951 | GTEx | DepMap | Descartes | 0.08 | 0.39 |
ADAMTS2 | -0.0001625 | 16149 | GTEx | DepMap | Descartes | 0.02 | 0.02 |
ITGA11 | -0.0001716 | 16333 | GTEx | DepMap | Descartes | 0.01 | 0.01 |
ABCC9 | -0.0001722 | 16344 | GTEx | DepMap | Descartes | 0.02 | 0.01 |
PAMR1 | -0.0001761 | 16405 | GTEx | DepMap | Descartes | 0.03 | 0.13 |
DCN | -0.0002467 | 17496 | GTEx | DepMap | Descartes | 1.12 | 8.08 |
PCDH18 | -0.0002672 | 17710 | GTEx | DepMap | Descartes | 0.37 | 8.02 |
ACTA2 | -0.0002688 | 17724 | GTEx | DepMap | Descartes | 0.94 | 7.16 |
COL12A1 | -0.0002730 | 17765 | GTEx | DepMap | Descartes | 0.42 | 0.74 |
COL27A1 | -0.0003287 | 18211 | GTEx | DepMap | Descartes | 0.42 | 0.73 |
LOX | -0.0003317 | 18238 | GTEx | DepMap | Descartes | 0.08 | 1.01 |
CLDN11 | -0.0003389 | 18294 | GTEx | DepMap | Descartes | 0.05 | 1.02 |
OGN | -0.0003472 | 18339 | GTEx | DepMap | Descartes | 0.28 | 2.96 |
PRICKLE1 | -0.0003541 | 18383 | GTEx | DepMap | Descartes | 0.16 | 0.49 |
IGFBP3 | -0.0003830 | 18549 | GTEx | DepMap | Descartes | 0.15 | 2.96 |
Descartes sympathoblasts markers
Top 50 marker genes of sympathoblasts cells in the Decartes fetal adrenal single cell map (https://atlas.brotmanbaty.org/bbi/human-gene-expression-during-development/cell/sympathoblasts/in/adrenal)
Wilcoxon ranksum test P-value for gene set overrepresentation: 1.00e+00
Mean rank of genes in gene set: 13439.38
Median rank of genes in gene set: 16549
Rank on gene expression program of top 30 genes in gene set:
Genes | Weight | Rank | GTEx | DepMap | Descartes | Mean.Counts | Mean.TPM |
---|---|---|---|---|---|---|---|
GRID2 | 0.0020330 | 187 | GTEx | DepMap | Descartes | 0.65 | 0.25 |
PACRG | 0.0010812 | 462 | GTEx | DepMap | Descartes | 0.15 | 0.20 |
GRM7 | 0.0005139 | 1253 | GTEx | DepMap | Descartes | 0.05 | 0.03 |
ARC | 0.0004724 | 1393 | GTEx | DepMap | Descartes | 0.09 | 7.86 |
ROBO1 | 0.0004448 | 1501 | GTEx | DepMap | Descartes | 0.63 | 0.39 |
AGBL4 | 0.0001632 | 4019 | GTEx | DepMap | Descartes | 0.01 | 0.00 |
SLC35F3 | 0.0000924 | 5342 | GTEx | DepMap | Descartes | 0.01 | 0.01 |
UNC80 | 0.0000556 | 6299 | GTEx | DepMap | Descartes | 0.07 | 0.12 |
FGF14 | 0.0000507 | 6437 | GTEx | DepMap | Descartes | 0.01 | 0.00 |
C1QL1 | 0.0000253 | 7198 | GTEx | DepMap | Descartes | 0.24 | 14.67 |
EML6 | -0.0000251 | 9597 | GTEx | DepMap | Descartes | 0.04 | 0.03 |
PNMT | -0.0000675 | 12783 | GTEx | DepMap | Descartes | 0.01 | 0.31 |
SORCS3 | -0.0000885 | 13872 | GTEx | DepMap | Descartes | 0.07 | 0.03 |
KCTD16 | -0.0000920 | 14033 | GTEx | DepMap | Descartes | 0.00 | 0.00 |
SLC24A2 | -0.0000955 | 14185 | GTEx | DepMap | Descartes | 0.02 | 0.02 |
GALNTL6 | -0.0001115 | 14813 | GTEx | DepMap | Descartes | 0.02 | 0.00 |
CDH18 | -0.0001325 | 15412 | GTEx | DepMap | Descartes | 0.00 | 0.00 |
CNTN3 | -0.0001337 | 15449 | GTEx | DepMap | Descartes | 0.01 | 0.00 |
SCG2 | -0.0001557 | 15998 | GTEx | DepMap | Descartes | 0.06 | 3.60 |
CDH12 | -0.0001658 | 16222 | GTEx | DepMap | Descartes | 0.03 | 0.00 |
GCH1 | -0.0001830 | 16534 | GTEx | DepMap | Descartes | 0.06 | 0.35 |
KSR2 | -0.0001842 | 16564 | GTEx | DepMap | Descartes | 0.09 | 0.07 |
TBX20 | -0.0001878 | 16635 | GTEx | DepMap | Descartes | 0.02 | 0.04 |
LAMA3 | -0.0001939 | 16740 | GTEx | DepMap | Descartes | 0.03 | 0.01 |
MGAT4C | -0.0001977 | 16811 | GTEx | DepMap | Descartes | 0.04 | 0.00 |
DGKK | -0.0001996 | 16850 | GTEx | DepMap | Descartes | 0.14 | 0.23 |
TENM1 | -0.0002023 | 16893 | GTEx | DepMap | Descartes | 0.03 | 0.00 |
HTATSF1 | -0.0002025 | 16899 | GTEx | DepMap | Descartes | 1.18 | 27.98 |
CHGB | -0.0002183 | 17131 | GTEx | DepMap | Descartes | 0.94 | 17.49 |
SLC18A1 | -0.0002201 | 17151 | GTEx | DepMap | Descartes | 0.05 | 0.13 |
Descartes erythroblasts markers
Top 50 marker genes of erythroblasts cells in the Decartes fetal adrenal single cell map (https://atlas.brotmanbaty.org/bbi/human-gene-expression-during-development/cell/erythroblasts/in/adrenal)
Wilcoxon ranksum test P-value for gene set overrepresentation: 7.44e-01
Mean rank of genes in gene set: 10273.89
Median rank of genes in gene set: 11269
Rank on gene expression program of top 30 genes in gene set:
Genes | Weight | Rank | GTEx | DepMap | Descartes | Mean.Counts | Mean.TPM |
---|---|---|---|---|---|---|---|
SOX6 | 0.0017454 | 245 | GTEx | DepMap | Descartes | 0.98 | 0.92 |
CAT | 0.0006694 | 906 | GTEx | DepMap | Descartes | 0.85 | 11.44 |
SPECC1 | 0.0005778 | 1087 | GTEx | DepMap | Descartes | 0.37 | 0.64 |
SELENBP1 | 0.0005229 | 1225 | GTEx | DepMap | Descartes | 0.27 | 11.00 |
CR1L | 0.0003370 | 2068 | GTEx | DepMap | Descartes | 0.41 | 5.53 |
RAPGEF2 | 0.0002043 | 3414 | GTEx | DepMap | Descartes | 0.37 | 0.51 |
SLC25A21 | 0.0001851 | 3683 | GTEx | DepMap | Descartes | 0.00 | 0.00 |
GCLC | 0.0001244 | 4689 | GTEx | DepMap | Descartes | 0.23 | 1.51 |
TSPAN5 | 0.0001078 | 5006 | GTEx | DepMap | Descartes | 0.76 | 2.39 |
MARCH3 | 0.0000561 | 6281 | GTEx | DepMap | Descartes | 0.04 | 0.12 |
RHD | 0.0000176 | 7458 | GTEx | DepMap | Descartes | 0.01 | 0.28 |
BLVRB | 0.0000148 | 7555 | GTEx | DepMap | Descartes | 0.36 | 6.15 |
DENND4A | 0.0000102 | 7727 | GTEx | DepMap | Descartes | 0.09 | 0.17 |
ABCB10 | -0.0000094 | 8594 | GTEx | DepMap | Descartes | 0.19 | 1.82 |
SLC4A1 | -0.0000269 | 9741 | GTEx | DepMap | Descartes | 0.00 | 0.10 |
GYPA | -0.0000284 | 9841 | GTEx | DepMap | Descartes | 0.00 | 0.04 |
EPB42 | -0.0000295 | 9917 | GTEx | DepMap | Descartes | 0.00 | 0.00 |
TFR2 | -0.0000342 | 10336 | GTEx | DepMap | Descartes | 0.02 | 0.23 |
TMEM56 | -0.0000586 | 12202 | GTEx | DepMap | Descartes | 0.01 | 0.03 |
ALAS2 | -0.0000591 | 12229 | GTEx | DepMap | Descartes | 0.00 | 0.00 |
HEMGN | -0.0000617 | 12411 | GTEx | DepMap | Descartes | 0.00 | 0.00 |
RHAG | -0.0000655 | 12655 | GTEx | DepMap | Descartes | 0.00 | 0.00 |
SPTA1 | -0.0000661 | 12684 | GTEx | DepMap | Descartes | 0.00 | 0.00 |
CPOX | -0.0000700 | 12940 | GTEx | DepMap | Descartes | 0.22 | 1.16 |
SPTB | -0.0000947 | 14152 | GTEx | DepMap | Descartes | 0.07 | 0.16 |
SLC25A37 | -0.0001042 | 14522 | GTEx | DepMap | Descartes | 0.11 | 0.54 |
FECH | -0.0001186 | 15008 | GTEx | DepMap | Descartes | 0.24 | 2.27 |
RGS6 | -0.0001196 | 15042 | GTEx | DepMap | Descartes | 0.01 | 0.00 |
SNCA | -0.0001302 | 15361 | GTEx | DepMap | Descartes | 0.34 | 0.48 |
TRAK2 | -0.0001440 | 15711 | GTEx | DepMap | Descartes | 0.18 | 0.80 |
Descartes myeloid markers
Top 50 marker genes of myeloid cells in the Decartes fetal adrenal single cell map (https://atlas.brotmanbaty.org/bbi/human-gene-expression-during-development/cell/myeloid/in/adrenal)
Wilcoxon ranksum test P-value for gene set overrepresentation: 1.77e-02
Mean rank of genes in gene set: 7854.88
Median rank of genes in gene set: 8712
Rank on gene expression program of top 30 genes in gene set:
Genes | Weight | Rank | GTEx | DepMap | Descartes | Mean.Counts | Mean.TPM |
---|---|---|---|---|---|---|---|
SLC1A3 | 0.0055766 | 28 | GTEx | DepMap | Descartes | 2.60 | 24.80 |
CST3 | 0.0010068 | 522 | GTEx | DepMap | Descartes | 5.88 | 645.32 |
RNASE1 | 0.0009552 | 562 | GTEx | DepMap | Descartes | 0.01 | 8.18 |
IFNGR1 | 0.0007654 | 774 | GTEx | DepMap | Descartes | 0.27 | 7.06 |
CTSD | 0.0007150 | 836 | GTEx | DepMap | Descartes | 1.74 | 78.26 |
FGL2 | 0.0005872 | 1065 | GTEx | DepMap | Descartes | 0.03 | 1.15 |
ABCA1 | 0.0005368 | 1182 | GTEx | DepMap | Descartes | 0.33 | 1.02 |
HRH1 | 0.0004677 | 1413 | GTEx | DepMap | Descartes | 0.00 | 0.00 |
CTSB | 0.0003638 | 1894 | GTEx | DepMap | Descartes | 1.32 | 26.18 |
SLC9A9 | 0.0003122 | 2249 | GTEx | DepMap | Descartes | 0.14 | 0.03 |
PTPRE | 0.0003087 | 2271 | GTEx | DepMap | Descartes | 0.16 | 0.47 |
LGMN | 0.0002536 | 2812 | GTEx | DepMap | Descartes | 0.45 | 2.98 |
ITPR2 | 0.0001706 | 3902 | GTEx | DepMap | Descartes | 0.18 | 0.20 |
RGL1 | 0.0001634 | 4009 | GTEx | DepMap | Descartes | 0.39 | 0.50 |
SFMBT2 | 0.0001088 | 4986 | GTEx | DepMap | Descartes | 0.05 | 0.14 |
WWP1 | 0.0000599 | 6176 | GTEx | DepMap | Descartes | 0.42 | 1.35 |
MERTK | 0.0000140 | 7583 | GTEx | DepMap | Descartes | 0.03 | 0.05 |
C1QA | 0.0000027 | 8030 | GTEx | DepMap | Descartes | 0.01 | 0.42 |
MSR1 | -0.0000009 | 8202 | GTEx | DepMap | Descartes | 0.00 | 0.00 |
MS4A7 | -0.0000026 | 8277 | GTEx | DepMap | Descartes | 0.00 | 0.00 |
CTSS | -0.0000116 | 8711 | GTEx | DepMap | Descartes | 0.00 | 0.00 |
CYBB | -0.0000117 | 8713 | GTEx | DepMap | Descartes | 0.00 | 0.00 |
CSF1R | -0.0000127 | 8771 | GTEx | DepMap | Descartes | 0.01 | 0.09 |
C1QC | -0.0000131 | 8791 | GTEx | DepMap | Descartes | 0.00 | 0.00 |
MPEG1 | -0.0000150 | 8914 | GTEx | DepMap | Descartes | 0.00 | 0.00 |
C1QB | -0.0000157 | 8953 | GTEx | DepMap | Descartes | 0.00 | 0.00 |
CD14 | -0.0000200 | 9243 | GTEx | DepMap | Descartes | 0.00 | 0.12 |
RBPJ | -0.0000308 | 10021 | GTEx | DepMap | Descartes | 0.83 | 1.69 |
AXL | -0.0000323 | 10158 | GTEx | DepMap | Descartes | 0.28 | 4.93 |
ATP8B4 | -0.0000360 | 10501 | GTEx | DepMap | Descartes | 0.00 | 0.00 |
Descartes Schwann markers
Top 50 marker genes of Schwann cells in the Decartes fetal adrenal single cell map (https://atlas.brotmanbaty.org/bbi/human-gene-expression-during-development/cell/schwann/in/adrenal)
Wilcoxon ranksum test P-value for gene set overrepresentation: 7.92e-01
Mean rank of genes in gene set: 10327.34
Median rank of genes in gene set: 12205
Rank on gene expression program of top 30 genes in gene set:
Genes | Weight | Rank | GTEx | DepMap | Descartes | Mean.Counts | Mean.TPM |
---|---|---|---|---|---|---|---|
PTPRZ1 | 0.0058731 | 23 | GTEx | DepMap | Descartes | 3.59 | 12.00 |
VIM | 0.0041736 | 46 | GTEx | DepMap | Descartes | 37.56 | 1691.56 |
PTN | 0.0035815 | 69 | GTEx | DepMap | Descartes | 20.66 | 118.63 |
MARCKS | 0.0029658 | 90 | GTEx | DepMap | Descartes | 18.54 | 1288.10 |
PLCE1 | 0.0018900 | 215 | GTEx | DepMap | Descartes | 0.76 | 1.10 |
EDNRB | 0.0009880 | 536 | GTEx | DepMap | Descartes | 8.03 | 93.11 |
SLC35F1 | 0.0009230 | 589 | GTEx | DepMap | Descartes | 0.53 | 0.53 |
PPP2R2B | 0.0008075 | 714 | GTEx | DepMap | Descartes | 0.74 | 0.90 |
ERBB4 | 0.0008054 | 717 | GTEx | DepMap | Descartes | 0.26 | 0.17 |
SORCS1 | 0.0006002 | 1036 | GTEx | DepMap | Descartes | 0.32 | 0.23 |
PAG1 | 0.0005803 | 1083 | GTEx | DepMap | Descartes | 0.31 | 0.67 |
SFRP1 | 0.0005474 | 1150 | GTEx | DepMap | Descartes | 2.11 | 25.13 |
DST | 0.0004849 | 1341 | GTEx | DepMap | Descartes | 4.41 | 2.94 |
MDGA2 | 0.0004567 | 1452 | GTEx | DepMap | Descartes | 0.15 | 0.08 |
ADAMTS5 | 0.0004023 | 1701 | GTEx | DepMap | Descartes | 0.99 | 5.90 |
LAMC1 | 0.0003359 | 2079 | GTEx | DepMap | Descartes | 0.64 | 1.38 |
SOX5 | 0.0002172 | 3220 | GTEx | DepMap | Descartes | 0.77 | 0.27 |
PLP1 | 0.0000868 | 5476 | GTEx | DepMap | Descartes | 1.92 | 28.42 |
IL1RAPL1 | 0.0000641 | 6063 | GTEx | DepMap | Descartes | 0.16 | 0.03 |
PMP22 | -0.0000009 | 8200 | GTEx | DepMap | Descartes | 1.14 | 14.69 |
SOX10 | -0.0000313 | 10068 | GTEx | DepMap | Descartes | 0.90 | 24.24 |
GRIK3 | -0.0000553 | 11966 | GTEx | DepMap | Descartes | 0.05 | 0.08 |
TRPM3 | -0.0000584 | 12187 | GTEx | DepMap | Descartes | 0.02 | 0.00 |
MPZ | -0.0000587 | 12205 | GTEx | DepMap | Descartes | 1.34 | 32.43 |
OLFML2A | -0.0000776 | 13343 | GTEx | DepMap | Descartes | 0.23 | 1.58 |
IL1RAPL2 | -0.0000799 | 13455 | GTEx | DepMap | Descartes | 0.01 | 0.00 |
CDH19 | -0.0000826 | 13609 | GTEx | DepMap | Descartes | 0.15 | 0.32 |
SCN7A | -0.0001231 | 15149 | GTEx | DepMap | Descartes | 0.15 | 0.08 |
STARD13 | -0.0001446 | 15731 | GTEx | DepMap | Descartes | 0.23 | 0.28 |
FAM134B | -0.0001699 | 16306 | GTEx | DepMap | Descartes | 0.31 | NA |
Descartes Megakaryocytes markers
Top 50 marker genes of Megakaryocytes cells in the Decartes fetal adrenal single cell map (https://atlas.brotmanbaty.org/bbi/human-gene-expression-during-development/cell/megakaryocytes/in/adrenal)
Wilcoxon ranksum test P-value for gene set overrepresentation: 9.81e-01
Mean rank of genes in gene set: 11343.53
Median rank of genes in gene set: 11806
Rank on gene expression program of top 30 genes in gene set:
Genes | Weight | Rank | GTEx | DepMap | Descartes | Mean.Counts | Mean.TPM |
---|---|---|---|---|---|---|---|
CD9 | 0.0008912 | 625 | GTEx | DepMap | Descartes | 1.55 | 16.30 |
VCL | 0.0007863 | 741 | GTEx | DepMap | Descartes | 0.68 | 2.59 |
HIPK2 | 0.0006567 | 928 | GTEx | DepMap | Descartes | 1.33 | 2.83 |
TMSB4X | 0.0004544 | 1468 | GTEx | DepMap | Descartes | 60.94 | 9450.14 |
MED12L | 0.0004158 | 1639 | GTEx | DepMap | Descartes | 0.11 | 0.14 |
LIMS1 | 0.0003414 | 2037 | GTEx | DepMap | Descartes | 0.92 | 2.56 |
STON2 | 0.0003287 | 2127 | GTEx | DepMap | Descartes | 0.07 | 0.22 |
ANGPT1 | 0.0002828 | 2482 | GTEx | DepMap | Descartes | 0.10 | 0.24 |
STOM | 0.0002043 | 3412 | GTEx | DepMap | Descartes | 0.13 | 2.29 |
DOK6 | 0.0001867 | 3659 | GTEx | DepMap | Descartes | 0.03 | 0.02 |
UBASH3B | 0.0001667 | 3955 | GTEx | DepMap | Descartes | 0.48 | 0.85 |
MCTP1 | 0.0000994 | 5204 | GTEx | DepMap | Descartes | 0.00 | 0.00 |
RAP1B | 0.0000764 | 5749 | GTEx | DepMap | Descartes | 1.27 | 13.54 |
SPN | 0.0000478 | 6528 | GTEx | DepMap | Descartes | 0.00 | 0.00 |
SLC24A3 | 0.0000275 | 7140 | GTEx | DepMap | Descartes | 0.14 | 0.07 |
INPP4B | -0.0000203 | 9257 | GTEx | DepMap | Descartes | 0.03 | 0.01 |
CD84 | -0.0000231 | 9467 | GTEx | DepMap | Descartes | 0.00 | 0.00 |
BIN2 | -0.0000281 | 9819 | GTEx | DepMap | Descartes | 0.00 | 0.00 |
FERMT3 | -0.0000381 | 10678 | GTEx | DepMap | Descartes | 0.00 | 0.00 |
P2RX1 | -0.0000384 | 10694 | GTEx | DepMap | Descartes | 0.01 | 0.04 |
GP9 | -0.0000408 | 10891 | GTEx | DepMap | Descartes | 0.01 | 0.52 |
PF4 | -0.0000414 | 10944 | GTEx | DepMap | Descartes | 0.04 | 3.56 |
PPBP | -0.0000506 | 11635 | GTEx | DepMap | Descartes | 0.00 | 0.00 |
TRPC6 | -0.0000529 | 11806 | GTEx | DepMap | Descartes | 0.00 | 0.00 |
PSTPIP2 | -0.0000565 | 12062 | GTEx | DepMap | Descartes | 0.00 | 0.00 |
MMRN1 | -0.0000743 | 13162 | GTEx | DepMap | Descartes | 0.00 | 0.01 |
ITGA2B | -0.0000773 | 13327 | GTEx | DepMap | Descartes | 0.01 | 0.23 |
ITGB3 | -0.0000790 | 13405 | GTEx | DepMap | Descartes | 0.03 | 0.17 |
PLEK | -0.0000934 | 14096 | GTEx | DepMap | Descartes | 0.02 | 0.03 |
RAB27B | -0.0001818 | 16513 | GTEx | DepMap | Descartes | 0.03 | 0.01 |
Descartes Lyphoid markers
Top 50 marker genes of Lyphoid cells in the Decartes fetal adrenal single cell map (https://atlas.brotmanbaty.org/bbi/human-gene-expression-during-development/cell/lymphoid/in/adrenal)
Wilcoxon ranksum test P-value for gene set overrepresentation: 1.00e+00
Mean rank of genes in gene set: 12620.19
Median rank of genes in gene set: 14726
Rank on gene expression program of top 30 genes in gene set:
Genes | Weight | Rank | GTEx | DepMap | Descartes | Mean.Counts | Mean.TPM |
---|---|---|---|---|---|---|---|
BCL2 | 0.0019987 | 196 | GTEx | DepMap | Descartes | 1.29 | 4.28 |
NCALD | 0.0015088 | 289 | GTEx | DepMap | Descartes | 0.67 | 0.68 |
STK39 | 0.0006376 | 973 | GTEx | DepMap | Descartes | 0.60 | 1.06 |
CELF2 | 0.0004976 | 1304 | GTEx | DepMap | Descartes | 2.50 | 1.16 |
FYN | 0.0004955 | 1308 | GTEx | DepMap | Descartes | 1.46 | 3.01 |
MSN | 0.0003114 | 2255 | GTEx | DepMap | Descartes | 0.74 | 2.80 |
ITPKB | 0.0002255 | 3123 | GTEx | DepMap | Descartes | 0.17 | 1.06 |
PLEKHA2 | 0.0001007 | 5170 | GTEx | DepMap | Descartes | 0.06 | 0.32 |
CD44 | 0.0000750 | 5784 | GTEx | DepMap | Descartes | 0.12 | 0.25 |
DOCK10 | 0.0000050 | 7934 | GTEx | DepMap | Descartes | 0.12 | 0.16 |
PITPNC1 | 0.0000024 | 8050 | GTEx | DepMap | Descartes | 0.55 | 0.80 |
BACH2 | -0.0000151 | 8919 | GTEx | DepMap | Descartes | 0.65 | 0.62 |
SP100 | -0.0000175 | 9060 | GTEx | DepMap | Descartes | 0.00 | 0.00 |
PTPRC | -0.0000313 | 10075 | GTEx | DepMap | Descartes | 0.00 | 0.00 |
WIPF1 | -0.0000397 | 10798 | GTEx | DepMap | Descartes | 0.14 | 0.56 |
IKZF1 | -0.0000449 | 11206 | GTEx | DepMap | Descartes | 0.00 | 0.00 |
NKG7 | -0.0000534 | 11836 | GTEx | DepMap | Descartes | 0.00 | 0.00 |
PDE3B | -0.0000550 | 11946 | GTEx | DepMap | Descartes | 0.16 | 0.40 |
LCP1 | -0.0000992 | 14331 | GTEx | DepMap | Descartes | 0.02 | 0.05 |
SCML4 | -0.0001012 | 14412 | GTEx | DepMap | Descartes | 0.01 | 0.00 |
PRKCH | -0.0001075 | 14657 | GTEx | DepMap | Descartes | 0.09 | 0.10 |
ARHGAP15 | -0.0001110 | 14795 | GTEx | DepMap | Descartes | 0.01 | 0.00 |
MCTP2 | -0.0001245 | 15192 | GTEx | DepMap | Descartes | 0.01 | 0.00 |
RAP1GAP2 | -0.0001271 | 15260 | GTEx | DepMap | Descartes | 0.07 | 0.06 |
FAM65B | -0.0001860 | 16596 | GTEx | DepMap | Descartes | 0.09 | NA |
SORL1 | -0.0002060 | 16960 | GTEx | DepMap | Descartes | 0.19 | 0.27 |
B2M | -0.0002130 | 17068 | GTEx | DepMap | Descartes | 0.42 | 22.75 |
SKAP1 | -0.0002958 | 17978 | GTEx | DepMap | Descartes | 0.03 | 0.04 |
ANKRD44 | -0.0003320 | 18241 | GTEx | DepMap | Descartes | 0.16 | 0.15 |
CCND3 | -0.0003461 | 18330 | GTEx | DepMap | Descartes | 1.97 | 8.22 |
Below shows the ranks on this GEP for immune marker gene lists curated by CellTypist (https://www.celltypist.org/encyclopedia).
High ranks indicate this gene is a driver of this GEP.
These curated gene list are ranked by P-value (on this GEP) of their constituent genes.
The Mean Count column shows the mean read count in cells scoring highly (H > 50) on this gene expression program.
Genes | Weight | Rank | GTEx | DepMap | Decartes | Mean.Counts | Mean.TPM |
---|---|---|---|---|---|---|---|
CKB | 0.0078835 | 5 | GTEx | DepMap | Descartes | 24.92 | 5167.76 |
MNP: MNP (curated markers)
mononuclear phagocytes including dendritic cells:
Wilcoxon ranksum test P-value for gene set overrepresentation: 6.16e-02
Mean rank of genes in gene set: 1065
Rank on gene expression program of genes in gene set:
Genes | Weight | Rank | GTEx | DepMap | Decartes | Mean.Counts | Mean.TPM |
---|---|---|---|---|---|---|---|
FGL2 | 0.0005872 | 1065 | GTEx | DepMap | Descartes | 0.03 | 1.15 |
Macrophages: Kupffer cells (curated markers)
resident macrophages in liver under non-inflammatory conditions which line the hepatic sinusoids and are involved in erythrocyte clearance:
Wilcoxon ranksum test P-value for gene set overrepresentation: 7.47e-02
Mean rank of genes in gene set: 3975.5
Rank on gene expression program of genes in gene set:
Genes | Weight | Rank | GTEx | DepMap | Decartes | Mean.Counts | Mean.TPM |
---|---|---|---|---|---|---|---|
VCAM1 | 0.0017817 | 237 | GTEx | DepMap | Descartes | 0.57 | 18.14 |
CD5L | 0.0000106 | 7714 | GTEx | DepMap | Descartes | 0.00 | 0.00 |