QQ-plot of gene loadings, averaged over both independent splits of the data
This plot highlights the relative contribution of each gene to the GEP
Top genes driving this program.
Note: Decartes website is buggy, try refreshing. Also, Decartes fetal adrenal data have been collected at specific time points (89-122 days), all possible cell types of interest may not be represented, do not overinterpret.
The Mean Count column shows the mean read count in cells scoring highly (H > 50) on this gene expression program.
Gene | Loading | Gene.Name | GTEx | DepMap | Descartes | Mean.Counts | Mean.Tpm | |
---|---|---|---|---|---|---|---|---|
1 | UPK3B | 0.0093712 | uroplakin 3B | GTEx | DepMap | Descartes | 7.46 | 189.74 |
2 | LRRN4 | 0.0088483 | leucine rich repeat neuronal 4 | GTEx | DepMap | Descartes | 0.89 | 11.92 |
3 | MUC16 | 0.0077628 | mucin 16, cell surface associated | GTEx | DepMap | Descartes | 0.63 | 0.56 |
4 | DPP4 | 0.0068566 | dipeptidyl peptidase 4 | GTEx | DepMap | Descartes | 1.34 | 3.17 |
5 | MSLN | 0.0068430 | mesothelin | GTEx | DepMap | Descartes | 0.82 | 25.40 |
6 | FOLR1 | 0.0061294 | folate receptor alpha | GTEx | DepMap | Descartes | 0.30 | 5.45 |
7 | TM4SF5 | 0.0060805 | transmembrane 4 L six family member 5 | GTEx | DepMap | Descartes | 1.05 | 35.70 |
8 | MYRF | 0.0058908 | myelin regulatory factor | GTEx | DepMap | Descartes | 1.46 | 6.97 |
9 | NME8 | 0.0057348 | NME/NM23 family member 8 | GTEx | DepMap | Descartes | 0.00 | 0.00 |
10 | WT1 | 0.0056861 | WT1 transcription factor | GTEx | DepMap | Descartes | 3.95 | 14.67 |
11 | SMIM1 | 0.0056602 | small integral membrane protein 1 (Vel blood group) | GTEx | DepMap | Descartes | 3.07 | 102.77 |
12 | CLDN15 | 0.0055930 | claudin 15 | GTEx | DepMap | Descartes | 0.58 | 11.10 |
13 | PKHD1L1 | 0.0053502 | PKHD1 like 1 | GTEx | DepMap | Descartes | 0.20 | 0.33 |
14 | MYBPC2 | 0.0050360 | myosin binding protein C2 | GTEx | DepMap | Descartes | 0.05 | 0.45 |
15 | GATA6 | 0.0047101 | GATA binding protein 6 | GTEx | DepMap | Descartes | 4.45 | 24.59 |
16 | RSPO1 | 0.0044183 | R-spondin 1 | GTEx | DepMap | Descartes | 2.05 | 18.32 |
17 | APELA | 0.0044009 | apelin receptor early endogenous ligand | GTEx | DepMap | Descartes | 0.96 | 17.18 |
18 | GM20186 | 0.0042276 | NA | GTEx | DepMap | Descartes | 1.64 | 175.79 |
19 | GM15866 | 0.0040782 | NA | GTEx | DepMap | Descartes | 0.00 | 0.01 |
20 | 9230104L09RIK | 0.0039635 | NA | GTEx | DepMap | Descartes | 0.03 | NA |
21 | S100A6 | 0.0039453 | S100 calcium binding protein A6 | GTEx | DepMap | Descartes | 4.93 | 76.87 |
22 | TMEM151A | 0.0038270 | transmembrane protein 151A | GTEx | DepMap | Descartes | 0.79 | 10.84 |
23 | PODXL | 0.0037318 | podocalyxin like | GTEx | DepMap | Descartes | 1.73 | 6.40 |
24 | BNC1 | 0.0036653 | basonuclin 1 | GTEx | DepMap | Descartes | 0.95 | 5.99 |
25 | TBX18 | 0.0036650 | T-box transcription factor 18 | GTEx | DepMap | Descartes | 1.69 | 10.52 |
26 | FMO2 | 0.0036276 | flavin containing dimethylaniline monoxygenase 2 | GTEx | DepMap | Descartes | 0.53 | 3.38 |
27 | GUCY1A3 | 0.0036246 | NA | GTEx | DepMap | Descartes | 4.35 | NA |
28 | CEBPB | 0.0035860 | CCAAT enhancer binding protein beta | GTEx | DepMap | Descartes | 2.92 | 311.54 |
29 | KRT7 | 0.0035681 | keratin 7 | GTEx | DepMap | Descartes | 3.29 | 36.57 |
30 | MYLK2 | 0.0034663 | myosin light chain kinase 2 | GTEx | DepMap | Descartes | 0.01 | 0.21 |
31 | GM13431 | 0.0033691 | NA | GTEx | DepMap | Descartes | 0.09 | 2.00 |
32 | LRP2 | 0.0033504 | LDL receptor related protein 2 | GTEx | DepMap | Descartes | 0.31 | 0.32 |
33 | NXF3 | 0.0033251 | nuclear RNA export factor 3 | GTEx | DepMap | Descartes | 0.01 | 0.09 |
34 | FREM3 | 0.0032593 | FRAS1 related extracellular matrix 3 | GTEx | DepMap | Descartes | 0.07 | 0.15 |
35 | SPON2 | 0.0032493 | spondin 2 | GTEx | DepMap | Descartes | 2.87 | 32.06 |
36 | LOXL1 | 0.0032274 | lysyl oxidase like 1 | GTEx | DepMap | Descartes | 3.16 | 23.73 |
37 | TGM2 | 0.0032170 | transglutaminase 2 | GTEx | DepMap | Descartes | 1.87 | 12.04 |
38 | PLSCR2 | 0.0032129 | phospholipid scramblase 2 | GTEx | DepMap | Descartes | 0.34 | 2.80 |
39 | ILDR2 | 0.0031973 | immunoglobulin like domain containing receptor 2 | GTEx | DepMap | Descartes | 0.78 | 2.47 |
40 | RNF213 | 0.0031784 | ring finger protein 213 | GTEx | DepMap | Descartes | 0.55 | 0.95 |
41 | GATA4 | 0.0031768 | GATA binding protein 4 | GTEx | DepMap | Descartes | 0.89 | 2.62 |
42 | MMP23 | 0.0030717 | NA | GTEx | DepMap | Descartes | 1.84 | 159.53 |
43 | CAPN6 | 0.0030447 | calpain 6 | GTEx | DepMap | Descartes | 7.07 | 46.77 |
44 | ENPEP | 0.0029935 | glutamyl aminopeptidase | GTEx | DepMap | Descartes | 0.54 | 1.46 |
45 | CHST4 | 0.0029778 | carbohydrate sulfotransferase 4 | GTEx | DepMap | Descartes | 0.03 | 0.59 |
46 | RP24-159C12.10 | 0.0029528 | NA | GTEx | DepMap | Descartes | 0.00 | NA |
47 | GPR39 | 0.0029455 | G protein-coupled receptor 39 | GTEx | DepMap | Descartes | 0.06 | 0.05 |
48 | GM12840 | 0.0029409 | NA | GTEx | DepMap | Descartes | 1.89 | 838.49 |
49 | SEMA3D | 0.0028613 | semaphorin 3D | GTEx | DepMap | Descartes | 2.02 | 1.70 |
50 | FAM110C | 0.0028266 | family with sequence similarity 110 member C | GTEx | DepMap | Descartes | 0.06 | 1.69 |
UMAP plots showing activity of gene expression program identified in GEP 20. Stromal II:
Gene set Enrichments for this program, caculated from top 50 genes
mSigDB Cell Types Gene Set:
P-value | OR | Lower 95% CI | FDR | FWER | Genes Found | Gene Set Size | |
---|---|---|---|---|---|---|---|
DESCARTES_FETAL_PANCREAS_MESOTHELIAL_CELLS | 8.10e-17 | 79.76 | 35.34 | 2.72e-14 | 5.43e-14 | 11UPK3B, LRRN4, MUC16, MSLN, MYRF, WT1, CLDN15, RSPO1, TMEM151A, BNC1, LRP2 |
79 |
DESCARTES_FETAL_INTESTINE_MESOTHELIAL_CELLS | 1.88e-16 | 73.34 | 32.56 | 4.22e-14 | 1.26e-13 | 11LRRN4, MUC16, MSLN, MYRF, WT1, RSPO1, TMEM151A, BNC1, LRP2, SEMA3D, FAM110C |
85 |
DESCARTES_FETAL_STOMACH_MESOTHELIAL_CELLS | 3.99e-10 | 87.27 | 28.30 | 3.35e-08 | 2.68e-07 | 6UPK3B, WT1, RSPO1, BNC1, LRP2, FAM110C |
36 |
DESCARTES_FETAL_HEART_EPICARDIAL_FAT_CELLS | 1.89e-13 | 48.16 | 20.88 | 2.53e-11 | 1.26e-10 | 10UPK3B, LRRN4, MSLN, MYRF, WT1, RSPO1, BNC1, KRT7, LRP2, FAM110C |
110 |
DESCARTES_FETAL_SPLEEN_MESOTHELIAL_CELLS | 4.20e-17 | 41.44 | 20.26 | 2.72e-14 | 2.82e-14 | 14UPK3B, LRRN4, MUC16, MSLN, MYRF, CLDN15, RSPO1, TMEM151A, BNC1, KRT7, LRP2, ILDR2, CAPN6, SEMA3D |
195 |
DESCARTES_FETAL_LUNG_MESOTHELIAL_CELLS | 5.77e-12 | 43.99 | 18.30 | 6.45e-10 | 3.87e-09 | 9LRRN4, MSLN, WT1, CLDN15, RSPO1, BNC1, TBX18, GATA4, FAM110C |
105 |
CUI_DEVELOPING_HEART_C6_EPICARDIAL_CELL | 6.11e-14 | 33.25 | 15.56 | 1.02e-11 | 4.10e-11 | 12UPK3B, LRRN4, MUC16, MSLN, MYRF, WT1, CLDN15, PKHD1L1, S100A6, BNC1, KRT7, LRP2 |
195 |
DESCARTES_FETAL_LIVER_MESOTHELIAL_CELLS | 1.37e-11 | 20.43 | 9.62 | 1.32e-09 | 9.22e-09 | 12UPK3B, MUC16, DPP4, MSLN, MYRF, WT1, RSPO1, PODXL, BNC1, KRT7, LRP2, FAM110C |
310 |
DESCARTES_MAIN_FETAL_EPICARDIAL_FAT_CELLS | 2.91e-04 | 26.17 | 5.03 | 1.50e-02 | 1.95e-01 | 3LRRN4, MSLN, TBX18 |
50 |
GAO_SMALL_INTESTINE_24W_C4_ENTEROCYTE_PROGENITOR_SUBTYPE_2 | 1.13e-04 | 18.02 | 4.62 | 6.88e-03 | 7.57e-02 | 4DPP4, SMIM1, TGM2, FAM110C |
97 |
TRAVAGLINI_LUNG_MESOTHELIAL_CELL | 4.89e-08 | 9.56 | 4.53 | 3.65e-06 | 3.28e-05 | 12UPK3B, MUC16, MSLN, MYRF, WT1, CLDN15, GATA6, S100A6, PODXL, BNC1, LRP2, FAM110C |
649 |
TRAVAGLINI_LUNG_ALVEOLAR_EPITHELIAL_TYPE_1_CELL | 5.47e-05 | 8.17 | 3.08 | 3.67e-03 | 3.67e-02 | 7UPK3B, LRRN4, MSLN, FOLR1, MYRF, KRT7, RNF213 |
391 |
AIZARANI_LIVER_C7_EPCAM_POS_BILE_DUCT_CELLS_2 | 2.37e-04 | 10.01 | 3.07 | 1.33e-02 | 1.59e-01 | 5MYRF, S100A6, KRT7, CHST4, FAM110C |
219 |
TRAVAGLINI_LUNG_LIPOFIBROBLAST_CELL | 5.34e-04 | 11.80 | 3.05 | 2.51e-02 | 3.58e-01 | 4WT1, GATA6, TBX18, CEBPB |
146 |
TRAVAGLINI_LUNG_GOBLET_CELL | 5.62e-04 | 11.64 | 3.00 | 2.51e-02 | 3.77e-01 | 4MUC16, PODXL, KRT7, TGM2 |
148 |
MURARO_PANCREAS_EPSILON_CELL | 5.76e-03 | 19.12 | 2.18 | 1.68e-01 | 1.00e+00 | 2TM4SF5, SPON2 |
44 |
MENON_FETAL_KIDNEY_4_PODOCYTES | 1.89e-03 | 8.30 | 2.15 | 7.94e-02 | 1.00e+00 | 4WT1, S100A6, PODXL, ENPEP |
206 |
DESCARTES_FETAL_ADRENAL_CSH1_CSH2_POSITIVE_CELLS | 2.32e-03 | 7.83 | 2.03 | 9.16e-02 | 1.00e+00 | 4KRT7, LRP2, TGM2, CAPN6 |
218 |
DESCARTES_FETAL_THYMUS_VASCULAR_ENDOTHELIAL_CELLS | 4.64e-03 | 9.61 | 1.89 | 1.56e-01 | 1.00e+00 | 3PKHD1L1, PODXL, TGM2 |
131 |
DESCARTES_FETAL_EYE_CORNEAL_AND_CONJUNCTIVAL_EPITHELIAL_CELLS | 3.41e-03 | 7.01 | 1.82 | 1.21e-01 | 1.00e+00 | 4MUC16, MSLN, S100A6, KRT7 |
243 |
Dowload full table
mSigDB Hallmark Gene Sets:
P-value | OR | Lower 95% CI | FDR | FWER | Genes Found | Gene Set Size | |
---|---|---|---|---|---|---|---|
HALLMARK_ESTROGEN_RESPONSE_EARLY | 9.29e-02 | 4.06 | 0.47 | 1.00e+00 | 1.00e+00 | 2PODXL, TGM2 |
200 |
HALLMARK_COMPLEMENT | 9.29e-02 | 4.06 | 0.47 | 1.00e+00 | 1.00e+00 | 2DPP4, CEBPB |
200 |
HALLMARK_EPITHELIAL_MESENCHYMAL_TRANSITION | 9.29e-02 | 4.06 | 0.47 | 1.00e+00 | 1.00e+00 | 2LOXL1, TGM2 |
200 |
HALLMARK_PANCREAS_BETA_CELLS | 9.83e-02 | 10.09 | 0.24 | 1.00e+00 | 1.00e+00 | 1DPP4 |
40 |
HALLMARK_UNFOLDED_PROTEIN_RESPONSE | 2.53e-01 | 3.51 | 0.09 | 1.00e+00 | 1.00e+00 | 1CEBPB |
113 |
HALLMARK_COAGULATION | 3.00e-01 | 2.87 | 0.07 | 1.00e+00 | 1.00e+00 | 1DPP4 |
138 |
HALLMARK_IL2_STAT5_SIGNALING | 4.01e-01 | 1.99 | 0.05 | 1.00e+00 | 1.00e+00 | 1TGM2 |
199 |
HALLMARK_TNFA_SIGNALING_VIA_NFKB | 4.03e-01 | 1.98 | 0.05 | 1.00e+00 | 1.00e+00 | 1CEBPB |
200 |
HALLMARK_HYPOXIA | 4.03e-01 | 1.98 | 0.05 | 1.00e+00 | 1.00e+00 | 1TGM2 |
200 |
HALLMARK_INTERFERON_GAMMA_RESPONSE | 4.03e-01 | 1.98 | 0.05 | 1.00e+00 | 1.00e+00 | 1RNF213 |
200 |
HALLMARK_APICAL_JUNCTION | 4.03e-01 | 1.98 | 0.05 | 1.00e+00 | 1.00e+00 | 1CLDN15 |
200 |
HALLMARK_XENOBIOTIC_METABOLISM | 4.03e-01 | 1.98 | 0.05 | 1.00e+00 | 1.00e+00 | 1ENPEP |
200 |
HALLMARK_GLYCOLYSIS | 4.03e-01 | 1.98 | 0.05 | 1.00e+00 | 1.00e+00 | 1CHST4 |
200 |
HALLMARK_KRAS_SIGNALING_DN | 4.03e-01 | 1.98 | 0.05 | 1.00e+00 | 1.00e+00 | 1UPK3B |
200 |
HALLMARK_CHOLESTEROL_HOMEOSTASIS | 1.00e+00 | 0.00 | 0.00 | 1.00e+00 | 1.00e+00 | 0 |
74 |
HALLMARK_MITOTIC_SPINDLE | 1.00e+00 | 0.00 | 0.00 | 1.00e+00 | 1.00e+00 | 0 |
199 |
HALLMARK_WNT_BETA_CATENIN_SIGNALING | 1.00e+00 | 0.00 | 0.00 | 1.00e+00 | 1.00e+00 | 0 |
42 |
HALLMARK_TGF_BETA_SIGNALING | 1.00e+00 | 0.00 | 0.00 | 1.00e+00 | 1.00e+00 | 0 |
54 |
HALLMARK_IL6_JAK_STAT3_SIGNALING | 1.00e+00 | 0.00 | 0.00 | 1.00e+00 | 1.00e+00 | 0 |
87 |
HALLMARK_DNA_REPAIR | 1.00e+00 | 0.00 | 0.00 | 1.00e+00 | 1.00e+00 | 0 |
150 |
Dowload full table
KEGG Pathways:
P-value | OR | Lower 95% CI | FDR | FWER | Genes Found | Gene Set Size | |
---|---|---|---|---|---|---|---|
KEGG_GLYCOSAMINOGLYCAN_BIOSYNTHESIS_KERATAN_SULFATE | 3.81e-02 | 28.08 | 0.65 | 1.00e+00 | 1.00e+00 | 1CHST4 |
15 |
KEGG_RENIN_ANGIOTENSIN_SYSTEM | 4.31e-02 | 24.57 | 0.57 | 1.00e+00 | 1.00e+00 | 1ENPEP |
17 |
KEGG_HEDGEHOG_SIGNALING_PATHWAY | 1.35e-01 | 7.15 | 0.17 | 1.00e+00 | 1.00e+00 | 1LRP2 |
56 |
KEGG_DRUG_METABOLISM_CYTOCHROME_P450 | 1.70e-01 | 5.54 | 0.14 | 1.00e+00 | 1.00e+00 | 1FMO2 |
72 |
KEGG_VASCULAR_SMOOTH_MUSCLE_CONTRACTION | 2.57e-01 | 3.45 | 0.08 | 1.00e+00 | 1.00e+00 | 1MYLK2 |
115 |
KEGG_LEUKOCYTE_TRANSENDOTHELIAL_MIGRATION | 2.59e-01 | 3.42 | 0.08 | 1.00e+00 | 1.00e+00 | 1CLDN15 |
116 |
KEGG_AXON_GUIDANCE | 2.83e-01 | 3.07 | 0.08 | 1.00e+00 | 1.00e+00 | 1SEMA3D |
129 |
KEGG_TIGHT_JUNCTION | 2.89e-01 | 3.00 | 0.07 | 1.00e+00 | 1.00e+00 | 1CLDN15 |
132 |
KEGG_CELL_ADHESION_MOLECULES_CAMS | 2.91e-01 | 2.98 | 0.07 | 1.00e+00 | 1.00e+00 | 1CLDN15 |
133 |
KEGG_CALCIUM_SIGNALING_PATHWAY | 3.68e-01 | 2.22 | 0.05 | 1.00e+00 | 1.00e+00 | 1MYLK2 |
178 |
KEGG_HUNTINGTONS_DISEASE | 3.74e-01 | 2.17 | 0.05 | 1.00e+00 | 1.00e+00 | 1TGM2 |
182 |
KEGG_FOCAL_ADHESION | 4.01e-01 | 1.99 | 0.05 | 1.00e+00 | 1.00e+00 | 1MYLK2 |
199 |
KEGG_REGULATION_OF_ACTIN_CYTOSKELETON | 4.22e-01 | 1.86 | 0.05 | 1.00e+00 | 1.00e+00 | 1MYLK2 |
213 |
KEGG_N_GLYCAN_BIOSYNTHESIS | 1.00e+00 | 0.00 | 0.00 | 1.00e+00 | 1.00e+00 | 0 |
46 |
KEGG_OTHER_GLYCAN_DEGRADATION | 1.00e+00 | 0.00 | 0.00 | 1.00e+00 | 1.00e+00 | 0 |
16 |
KEGG_O_GLYCAN_BIOSYNTHESIS | 1.00e+00 | 0.00 | 0.00 | 1.00e+00 | 1.00e+00 | 0 |
30 |
KEGG_GLYCOSAMINOGLYCAN_DEGRADATION | 1.00e+00 | 0.00 | 0.00 | 1.00e+00 | 1.00e+00 | 0 |
21 |
KEGG_GLYCEROLIPID_METABOLISM | 1.00e+00 | 0.00 | 0.00 | 1.00e+00 | 1.00e+00 | 0 |
49 |
KEGG_GLYCOSYLPHOSPHATIDYLINOSITOL_GPI_ANCHOR_BIOSYNTHESIS | 1.00e+00 | 0.00 | 0.00 | 1.00e+00 | 1.00e+00 | 0 |
25 |
KEGG_GLYCEROPHOSPHOLIPID_METABOLISM | 1.00e+00 | 0.00 | 0.00 | 1.00e+00 | 1.00e+00 | 0 |
77 |
Dowload full table
CHR Positional Gene Sets:
P-value | OR | Lower 95% CI | FDR | FWER | Genes Found | Gene Set Size | |
---|---|---|---|---|---|---|---|
chr1q24 | 3.99e-02 | 6.64 | 0.77 | 1.00e+00 | 1.00e+00 | 2FMO2, ILDR2 |
123 |
chr20q11 | 1.23e-01 | 3.42 | 0.40 | 1.00e+00 | 1.00e+00 | 2MYLK2, TGM2 |
237 |
chr11q13 | 2.89e-01 | 1.92 | 0.22 | 1.00e+00 | 1.00e+00 | 2FOLR1, TMEM151A |
421 |
chr8q23 | 1.08e-01 | 9.15 | 0.22 | 1.00e+00 | 1.00e+00 | 1PKHD1L1 |
44 |
chr18q11 | 1.87e-01 | 4.98 | 0.12 | 1.00e+00 | 1.00e+00 | 1GATA6 |
80 |
chr4q25 | 2.01e-01 | 4.57 | 0.11 | 1.00e+00 | 1.00e+00 | 1ENPEP |
87 |
chrXq23 | 2.05e-01 | 4.47 | 0.11 | 1.00e+00 | 1.00e+00 | 1CAPN6 |
89 |
chr7q32 | 2.08e-01 | 4.42 | 0.11 | 1.00e+00 | 1.00e+00 | 1PODXL |
90 |
chr6q14 | 2.14e-01 | 4.28 | 0.11 | 1.00e+00 | 1.00e+00 | 1TBX18 |
93 |
chr20p12 | 2.36e-01 | 3.82 | 0.09 | 1.00e+00 | 1.00e+00 | 1LRRN4 |
104 |
chr4q32 | 2.53e-01 | 3.51 | 0.09 | 1.00e+00 | 1.00e+00 | 1APELA |
113 |
chr15q24 | 2.59e-01 | 3.42 | 0.08 | 1.00e+00 | 1.00e+00 | 1LOXL1 |
116 |
chr2p25 | 2.61e-01 | 3.39 | 0.08 | 1.00e+00 | 1.00e+00 | 1FAM110C |
117 |
chr2q24 | 2.76e-01 | 3.17 | 0.08 | 1.00e+00 | 1.00e+00 | 1DPP4 |
125 |
chr2q21 | 3.14e-01 | 2.71 | 0.07 | 1.00e+00 | 1.00e+00 | 1GPR39 |
146 |
chr15q25 | 3.24e-01 | 2.61 | 0.06 | 1.00e+00 | 1.00e+00 | 1BNC1 |
152 |
chr4q31 | 3.33e-01 | 2.52 | 0.06 | 1.00e+00 | 1.00e+00 | 1FREM3 |
157 |
chr7p14 | 3.43e-01 | 2.43 | 0.06 | 1.00e+00 | 1.00e+00 | 1NME8 |
163 |
chr7q21 | 3.45e-01 | 2.41 | 0.06 | 1.00e+00 | 1.00e+00 | 1SEMA3D |
164 |
chr2q31 | 3.50e-01 | 2.37 | 0.06 | 1.00e+00 | 1.00e+00 | 1LRP2 |
167 |
Dowload full table
Transcription Factor Targets:
P-value | OR | Lower 95% CI | FDR | FWER | Genes Found | Gene Set Size | |
---|---|---|---|---|---|---|---|
GATA1_03 | 3.56e-03 | 6.93 | 1.80 | 1.00e+00 | 1.00e+00 | 4MYRF, GATA6, TMEM151A, GATA4 |
246 |
STAT3_02 | 6.49e-03 | 8.48 | 1.67 | 1.00e+00 | 1.00e+00 | 3BNC1, LRP2, RNF213 |
148 |
GATAAGR_GATA_C | 7.01e-03 | 5.68 | 1.48 | 1.00e+00 | 1.00e+00 | 4TM4SF5, MYRF, PKHD1L1, CHST4 |
299 |
SREBP1_02 | 2.16e-02 | 9.34 | 1.08 | 1.00e+00 | 1.00e+00 | 2CEBPB, LOXL1 |
88 |
MZF1_01 | 2.34e-02 | 5.19 | 1.03 | 1.00e+00 | 1.00e+00 | 3GATA6, LRP2, RNF213 |
240 |
GCM_Q2 | 2.47e-02 | 5.08 | 1.01 | 1.00e+00 | 1.00e+00 | 3GATA6, ILDR2, SEMA3D |
245 |
NRF2_Q4 | 2.81e-02 | 4.83 | 0.95 | 1.00e+00 | 1.00e+00 | 3CLDN15, TMEM151A, CAPN6 |
258 |
ER_Q6_02 | 2.84e-02 | 4.81 | 0.95 | 1.00e+00 | 1.00e+00 | 3MYBPC2, CEBPB, GATA4 |
259 |
GATA_C | 3.09e-02 | 4.64 | 0.92 | 1.00e+00 | 1.00e+00 | 3MYRF, PKHD1L1, GATA6 |
268 |
AML_Q6 | 3.12e-02 | 4.63 | 0.92 | 1.00e+00 | 1.00e+00 | 3MYRF, MYBPC2, GATA4 |
269 |
IK2_01 | 3.24e-02 | 4.56 | 0.90 | 1.00e+00 | 1.00e+00 | 3FOLR1, LRP2, RNF213 |
273 |
AP1_C | 3.33e-02 | 4.51 | 0.89 | 1.00e+00 | 1.00e+00 | 3CLDN15, CAPN6, CHST4 |
276 |
GATA1_05 | 3.57e-02 | 4.38 | 0.87 | 1.00e+00 | 1.00e+00 | 3GATA6, CEBPB, GATA4 |
284 |
RNGTGGGC_UNKNOWN | 4.45e-02 | 2.75 | 0.85 | 1.00e+00 | 1.00e+00 | 5MYRF, TMEM151A, CEBPB, LRP2, CAPN6 |
784 |
TGANTCA_AP1_C | 5.79e-02 | 2.32 | 0.81 | 1.00e+00 | 1.00e+00 | 6MYRF, CLDN15, TMEM151A, ILDR2, CAPN6, CHST4 |
1139 |
TTCNRGNNNNTTC_HSF_Q6 | 6.01e-02 | 5.25 | 0.61 | 1.00e+00 | 1.00e+00 | 2MYRF, GATA6 |
155 |
TGACAGNY_MEIS1_01 | 1.59e-01 | 1.98 | 0.52 | 1.00e+00 | 1.00e+00 | 4GATA6, CEBPB, MYLK2, CAPN6 |
850 |
GGGTGGRR_PAX4_03 | 2.47e-01 | 1.64 | 0.51 | 1.00e+00 | 1.00e+00 | 5MSLN, FOLR1, GATA6, TMEM151A, LRP2 |
1310 |
STTTCRNTTT_IRF_Q6 | 8.68e-02 | 4.23 | 0.49 | 1.00e+00 | 1.00e+00 | 2GATA6, LRP2 |
192 |
ZNF768_TARGET_GENES | 2.59e-01 | 1.60 | 0.49 | 1.00e+00 | 1.00e+00 | 5DPP4, MYRF, RSPO1, TBX18, KRT7 |
1346 |
Dowload full table
GO Biological Processes:
P-value | OR | Lower 95% CI | FDR | FWER | Genes Found | Gene Set Size | |
---|---|---|---|---|---|---|---|
GOBP_FOLATE_IMPORT_ACROSS_PLASMA_MEMBRANE | 6.52e-05 | 265.22 | 21.74 | 5.80e-02 | 4.88e-01 | 2FOLR1, LRP2 |
5 |
GOBP_POSITIVE_REGULATION_OF_CARDIOBLAST_DIFFERENTIATION | 9.77e-05 | 199.39 | 17.66 | 6.09e-02 | 7.31e-01 | 2GATA6, GATA4 |
6 |
GOBP_FOLATE_TRANSMEMBRANE_TRANSPORT | 9.77e-05 | 199.39 | 17.66 | 6.09e-02 | 7.31e-01 | 2FOLR1, LRP2 |
6 |
GOBP_FOLIC_ACID_TRANSPORT | 1.82e-04 | 133.25 | 12.84 | 8.26e-02 | 1.00e+00 | 2FOLR1, LRP2 |
8 |
GOBP_REGULATION_OF_CARDIOBLAST_DIFFERENTIATION | 1.82e-04 | 133.25 | 12.84 | 8.26e-02 | 1.00e+00 | 2GATA6, GATA4 |
8 |
GOBP_CARDIAC_MUSCLE_CELL_FATE_COMMITMENT | 2.33e-04 | 114.17 | 11.31 | 8.31e-02 | 1.00e+00 | 2WT1, TBX18 |
9 |
GOBP_REGULATION_OF_CELL_CELL_ADHESION_MEDIATED_BY_INTEGRIN | 3.55e-04 | 88.95 | 9.12 | 1.02e-01 | 1.00e+00 | 2DPP4, PODXL |
11 |
GOBP_CARDIAC_CELL_FATE_COMMITMENT | 5.02e-04 | 72.76 | 7.65 | 1.34e-01 | 1.00e+00 | 2WT1, TBX18 |
13 |
GOBP_ANIMAL_ORGAN_FORMATION | 1.83e-05 | 29.38 | 7.44 | 5.80e-02 | 1.37e-01 | 4FOLR1, WT1, GATA6, LRP2 |
61 |
GOBP_CELLULAR_RESPONSE_TO_GONADOTROPIN_STIMULUS | 6.73e-04 | 61.64 | 6.58 | 1.48e-01 | 1.00e+00 | 2WT1, GATA6 |
15 |
GOBP_CELL_CELL_ADHESION_MEDIATED_BY_INTEGRIN | 8.69e-04 | 53.46 | 5.78 | 1.65e-01 | 1.00e+00 | 2DPP4, PODXL |
17 |
GOBP_VITAMIN_TRANSMEMBRANE_TRANSPORT | 8.69e-04 | 53.46 | 5.78 | 1.65e-01 | 1.00e+00 | 2FOLR1, LRP2 |
17 |
GOBP_MUSCLE_CELL_FATE_COMMITMENT | 8.69e-04 | 53.46 | 5.78 | 1.65e-01 | 1.00e+00 | 2WT1, TBX18 |
17 |
GOBP_CORONARY_VASCULATURE_DEVELOPMENT | 1.99e-04 | 29.98 | 5.74 | 8.26e-02 | 1.00e+00 | 3GATA6, APELA, LRP2 |
44 |
GOBP_POSITIVE_REGULATION_OF_STEM_CELL_DIFFERENTIATION | 9.75e-04 | 50.06 | 5.44 | 1.77e-01 | 1.00e+00 | 2GATA6, GATA4 |
18 |
GOBP_CARDIOBLAST_DIFFERENTIATION | 1.09e-03 | 47.13 | 5.15 | 1.84e-01 | 1.00e+00 | 2GATA6, GATA4 |
19 |
GOBP_CARDIOCYTE_DIFFERENTIATION | 3.34e-05 | 15.41 | 4.70 | 5.80e-02 | 2.50e-01 | 5FOLR1, WT1, GATA6, TBX18, GATA4 |
144 |
GOBP_GLOMERULAR_EPITHELIAL_CELL_DIFFERENTIATION | 1.33e-03 | 42.26 | 4.64 | 1.99e-01 | 1.00e+00 | 2WT1, PODXL |
21 |
GOBP_POSITIVE_REGULATION_OF_CARDIOCYTE_DIFFERENTIATION | 1.33e-03 | 42.26 | 4.64 | 1.99e-01 | 1.00e+00 | 2GATA6, GATA4 |
21 |
GOBP_CARDIAC_MUSCLE_TISSUE_DEVELOPMENT | 1.46e-05 | 13.01 | 4.48 | 5.80e-02 | 1.09e-01 | 6WT1, GATA6, TBX18, MYLK2, LRP2, GATA4 |
208 |
Dowload full table
Immunological Gene Sets:
P-value | OR | Lower 95% CI | FDR | FWER | Genes Found | Gene Set Size | |
---|---|---|---|---|---|---|---|
GSE13547_WT_VS_ZFX_KO_BCELL_ANTI_IGM_STIM_12H_UP | 6.37e-03 | 8.54 | 1.68 | 1.00e+00 | 1.00e+00 | 3LRRN4, GATA4, ENPEP |
147 |
GSE40274_CTRL_VS_FOXP3_AND_EOS_TRANSDUCED_ACTIVATED_CD4_TCELL_UP | 9.30e-03 | 7.41 | 1.46 | 1.00e+00 | 1.00e+00 | 3DPP4, S100A6, PODXL |
169 |
GSE45365_WT_VS_IFNAR_KO_CD8A_DC_MCMV_INFECTION_DN | 1.33e-02 | 6.48 | 1.28 | 1.00e+00 | 1.00e+00 | 3MSLN, WT1, MYBPC2 |
193 |
GSE26928_NAIVE_VS_CXCR5_POS_CD4_TCELL_DN | 1.34e-02 | 6.44 | 1.27 | 1.00e+00 | 1.00e+00 | 3NME8, LRP2, NXF3 |
194 |
GSE29618_PRE_VS_DAY7_POST_TIV_FLU_VACCINE_BCELL_UP | 1.38e-02 | 6.38 | 1.26 | 1.00e+00 | 1.00e+00 | 3UPK3B, WT1, MYBPC2 |
196 |
GSE22033_UNTREATED_VS_MRL24_TREATED_MEF_DN | 1.40e-02 | 6.34 | 1.25 | 1.00e+00 | 1.00e+00 | 3GATA6, PLSCR2, GATA4 |
197 |
GSE2128_C57BL6_VS_NOD_THYMOCYTE_MIMETOPE_NEGATIVE_SELECTION_UP | 1.42e-02 | 6.31 | 1.25 | 1.00e+00 | 1.00e+00 | 3MYBPC2, CHST4, FAM110C |
198 |
GSE41176_WT_VS_TAK1_KO_UNSTIM_BCELL_UP | 1.42e-02 | 6.31 | 1.25 | 1.00e+00 | 1.00e+00 | 3PODXL, SPON2, LOXL1 |
198 |
GSE7460_CTRL_VS_FOXP3_OVEREXPR_TCONV_UP | 1.44e-02 | 6.28 | 1.24 | 1.00e+00 | 1.00e+00 | 3MYBPC2, RSPO1, MYLK2 |
199 |
GSE8621_UNSTIM_VS_LPS_PRIMED_AND_LPS_STIM_MACROPHAGE_UP | 1.44e-02 | 6.28 | 1.24 | 1.00e+00 | 1.00e+00 | 3S100A6, TGM2, FAM110C |
199 |
GSE21379_WT_VS_SAP_KO_CD4_TCELL_DN | 1.44e-02 | 6.28 | 1.24 | 1.00e+00 | 1.00e+00 | 3DPP4, MYBPC2, ENPEP |
199 |
GSE29949_MICROGLIA_VS_DC_BRAIN_DN | 1.44e-02 | 6.28 | 1.24 | 1.00e+00 | 1.00e+00 | 3MYRF, MYBPC2, ENPEP |
199 |
GSE29949_CD8_POS_DC_SPLEEN_VS_MONOCYTE_BONE_MARROW_DN | 1.44e-02 | 6.28 | 1.24 | 1.00e+00 | 1.00e+00 | 3MYRF, BNC1, CEBPB |
199 |
GSE36009_WT_VS_NLRP10_KO_DC_LPS_STIM_UP | 1.44e-02 | 6.28 | 1.24 | 1.00e+00 | 1.00e+00 | 3FOLR1, S100A6, CEBPB |
199 |
GSE40184_HEALTHY_VS_HCV_INFECTED_DONOR_PBMC_UP | 1.44e-02 | 6.28 | 1.24 | 1.00e+00 | 1.00e+00 | 3DPP4, CAPN6, GPR39 |
199 |
GSE35543_IN_VIVO_NTREG_VS_IN_VITRO_ITREG_UP | 1.44e-02 | 6.28 | 1.24 | 1.00e+00 | 1.00e+00 | 3TM4SF5, WT1, GATA4 |
199 |
GSE13229_MATURE_VS_INTMATURE_NKCELL_UP | 1.46e-02 | 6.25 | 1.23 | 1.00e+00 | 1.00e+00 | 3MUC16, NME8, CEBPB |
200 |
GSE17721_PAM3CSK4_VS_CPG_2H_BMDC_DN | 1.46e-02 | 6.25 | 1.23 | 1.00e+00 | 1.00e+00 | 3RSPO1, LRP2, CAPN6 |
200 |
GSE17721_PAM3CSK4_VS_CPG_12H_BMDC_UP | 1.46e-02 | 6.25 | 1.23 | 1.00e+00 | 1.00e+00 | 3S100A6, MYLK2, FAM110C |
200 |
GSE17721_LPS_VS_CPG_6H_BMDC_UP | 1.46e-02 | 6.25 | 1.23 | 1.00e+00 | 1.00e+00 | 3TGM2, CAPN6, FAM110C |
200 |
Top Ranked Transcription Factors for this Gene Expression Program:
Gene Symbol | TF Rank | DNA Binding Domain | Motif Status | IUPAC PWM | GTEx | DepMap | Decartes |
---|---|---|---|---|---|---|---|
MYRF | 8 | Yes | Known motif | Monomer or homomultimer | High-throughput in vitro | None | Mouse ortholog binds a highly similar motif. |
WT1 | 10 | Yes | Known motif | Monomer or homomultimer | High-throughput in vitro | None | Crystal structure (PDB:2JP9) is with dsDNA GCGCAGACGCCCCCGCG, which is consistent with the PWMs |
PKHD1L1 | 13 | No | Unlikely to be sequence specific TF | Not a DNA binding protein | No motif | None | Membrane receptor (PMID: 12620974) |
GATA6 | 15 | Yes | Known motif | Monomer or homomultimer | High-throughput in vitro | None | None |
BNC1 | 24 | Yes | Inferred motif | Monomer or homomultimer | In vivo/Misc source | None | None |
TBX18 | 25 | Yes | Known motif | Monomer or homomultimer | High-throughput in vitro | None | None |
CEBPB | 28 | Yes | Known motif | Monomer or homomultimer | High-throughput in vitro | None | None |
GATA4 | 41 | Yes | Known motif | Monomer or homomultimer | High-throughput in vitro | None | None |
ATF3 | 88 | Yes | Known motif | Monomer or homomultimer | High-throughput in vitro | None | None |
AEBP1 | 93 | Yes | Likely to be sequence specific TF | Monomer or homomultimer | No motif | None | This is a protease, but its ability to bind DNA is supported by both gel-shift (PMID: 15654748) and ChIP (PMID: 22723309). |
NR1H4 | 94 | Yes | Known motif | Monomer or homomultimer | High-throughput in vitro | None | Also binds DNA as heterodimer with RXRA (PMID: 11870371) |
ANXA3 | 96 | No | Unlikely to be sequence specific TF | Not a DNA binding protein | No motif | None | Protein operates far upstream on the signaling cascade. |
PTGIS | 109 | No | Unlikely to be sequence specific TF | Not a DNA binding protein | No motif | None | It is a cytochrome p450 enzyme |
PLAGL1 | 138 | Yes | Known motif | Monomer or homomultimer | In vivo/Misc source | Only known motifs are from Transfac or HocoMoco - origin is uncertain | None |
CREB3L1 | 140 | Yes | Known motif | Monomer or homomultimer | High-throughput in vitro | None | None |
PLSCR1 | 145 | Yes | Likely to be sequence specific TF | Monomer or homomultimer | No motif | None | PLSCR1 has been demonstrated to bind a GTAACCATGTGGA sequence in the IP3R1 promoter (PMID:16091359), mediated by a specific portion of the protein. |
BTG2 | 154 | No | Unlikely to be sequence specific TF | Not a DNA binding protein | No motif | None | Transcriptional co-factor (PMID: 10617598) |
CD36 | 157 | No | Unlikely to be sequence specific TF | Not a DNA binding protein | No motif | None | None |
TCF21 | 181 | Yes | Known motif | Monomer or homomultimer | High-throughput in vitro | None | None |
MST1R | 190 | No | Unlikely to be sequence specific TF | Not a DNA binding protein | No motif | None | None |
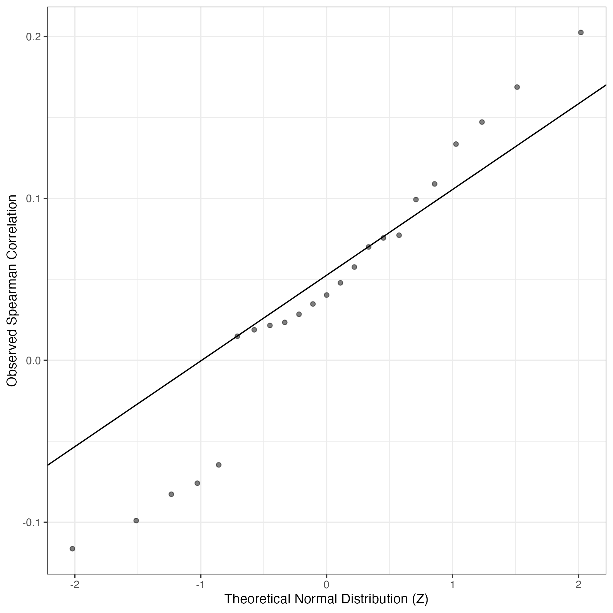
QQ Plot showing correlations with other GEPs in this dataset, calculated by Spearman correlation:
Interactive QQ-plot of gene loadings:
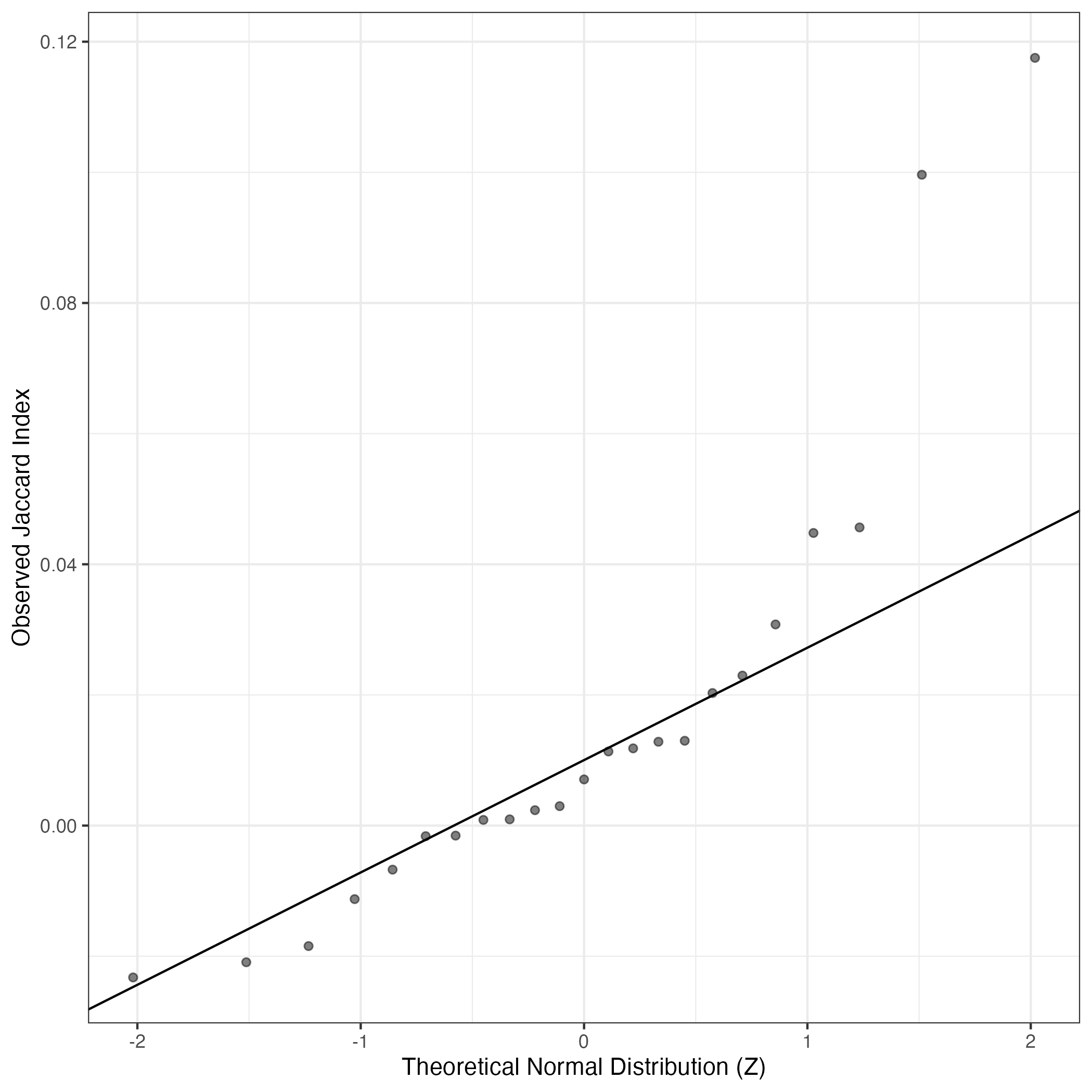
A similar QQ-plot as above, but only for instances where the H value is e.g. > 25, i.e. we are confident that the expression program is active above noise. Agreemenet between these binary vectors is tested using the Jaccard Index, with the P-values calculated by an exact test:
Interactive QQ-plot:
Singler cell type annotations for the top 50 cells on this program.
Cell ID | Singler label | Singler Delta | Activity Score | Top Singler Raw Scores |
---|---|---|---|---|
X71_CGAAGTTCATAGGCGA | Neuroepithelial_cell:ESC-derived | 0.38 | 2675.73 | Raw ScoresNeuroepithelial_cell:ESC-derived: 0.76, Neurons:ES_cell-derived_neural_precursor: 0.75, iPS_cells:CRL2097_foreskin-derived:d20_hepatic_diff: 0.74, MSC: 0.74, Embryonic_stem_cells: 0.72, Fibroblasts:breast: 0.68, Keratinocytes: 0.68, Keratinocytes:IL26: 0.68, iPS_cells:adipose_stem_cells: 0.67, Astrocyte:Embryonic_stem_cell-derived: 0.66 |
X71_GGTGATTAGCTCTTCC | Keratinocytes:KGF | 0.46 | 2152.08 | Raw ScoresKeratinocytes:KGF: 0.58, iPS_cells:CRL2097_foreskin-derived:d20_hepatic_diff: 0.58, iPS_cells:adipose_stem_cells: 0.58, iPS_cells:fibroblast-derived:Direct_del._reprog: 0.57, Keratinocytes: 0.57, Keratinocytes:IFNg: 0.57, Keratinocytes:IL19: 0.57, Keratinocytes:IL1b: 0.57, Keratinocytes:IL20: 0.57, Keratinocytes:IL22: 0.57 |
X71_CAATTTCTCCGGTAGC | Keratinocytes | 0.34 | 1985.30 | Raw ScoresKeratinocytes: 0.57, Keratinocytes:IFNg: 0.56, Keratinocytes:IL20: 0.56, Keratinocytes:IL26: 0.56, Keratinocytes:IL24: 0.54, Fibroblasts:breast: 0.54, Keratinocytes:KGF: 0.54, iPS_cells:fibroblast-derived:Direct_del._reprog: 0.54, Keratinocytes:IL19: 0.54, Keratinocytes:IL22: 0.54 |
X72_TCGAAGTGTGTCGATT | iPS_cells:CRL2097_foreskin-derived:d20_hepatic_diff | 0.40 | 1922.38 | Raw ScoresiPS_cells:CRL2097_foreskin-derived:d20_hepatic_diff: 0.68, Neurons:ES_cell-derived_neural_precursor: 0.68, iPS_cells:adipose_stem_cells: 0.65, Keratinocytes:KGF: 0.65, Neuroepithelial_cell:ESC-derived: 0.65, iPS_cells:fibroblast-derived:Direct_del._reprog: 0.65, Embryonic_stem_cells: 0.64, Fibroblasts:breast: 0.64, Keratinocytes: 0.64, Keratinocytes:IL19: 0.64 |
X71_TGAGGAGCAAGCCATT | Neuroepithelial_cell:ESC-derived | 0.37 | 1571.43 | Raw ScoresNeuroepithelial_cell:ESC-derived: 0.76, Neurons:ES_cell-derived_neural_precursor: 0.76, iPS_cells:CRL2097_foreskin-derived:d20_hepatic_diff: 0.75, Embryonic_stem_cells: 0.73, MSC: 0.73, Keratinocytes: 0.69, Keratinocytes:IL26: 0.69, Fibroblasts:breast: 0.69, iPS_cells:adipose_stem_cells: 0.69, Keratinocytes:KGF: 0.67 |
X71_GGTGAAGTCTAGACCA | Neuroepithelial_cell:ESC-derived | 0.40 | 1370.59 | Raw ScoresNeuroepithelial_cell:ESC-derived: 0.54, Neurons:ES_cell-derived_neural_precursor: 0.54, Chondrocytes:MSC-derived: 0.5, iPS_cells:CRL2097_foreskin-derived:d20_hepatic_diff: 0.48, MSC: 0.47, Neurons:adrenal_medulla_cell_line: 0.46, Embryonic_stem_cells: 0.45, iPS_cells:adipose_stem_cells: 0.44, Gametocytes:oocyte: 0.44, Astrocyte:Embryonic_stem_cell-derived: 0.43 |
X71_CCTTTGGTCACTCGAA | Neuroepithelial_cell:ESC-derived | 0.33 | 1191.93 | Raw ScoresNeuroepithelial_cell:ESC-derived: 0.68, Neurons:ES_cell-derived_neural_precursor: 0.68, MSC: 0.65, Chondrocytes:MSC-derived: 0.64, Gametocytes:oocyte: 0.62, iPS_cells:CRL2097_foreskin-derived:d20_hepatic_diff: 0.6, iPS_cells:PDB_2lox-17: 0.59, Erythroblast: 0.58, Embryonic_stem_cells: 0.57, Neurons:adrenal_medulla_cell_line: 0.55 |
X71_CAGTTCCCACAGTCGC | Erythroblast | 0.30 | 1020.01 | Raw ScoresErythroblast: 0.48, Neuroepithelial_cell:ESC-derived: 0.45, Neurons:ES_cell-derived_neural_precursor: 0.45, Gametocytes:oocyte: 0.45, DC:monocyte-derived:immature: 0.44, Chondrocytes:MSC-derived: 0.43, Macrophage:monocyte-derived:IL-4/Dex/cntrl: 0.4, MSC: 0.4, Macrophage:monocyte-derived:IL-4/Dex/TGFb: 0.4, Keratinocytes:KGF: 0.39 |
X71_GGAGAACAGCATAGGC | iPS_cells:CRL2097_foreskin-derived:d20_hepatic_diff | 0.41 | 1004.53 | Raw ScoresiPS_cells:CRL2097_foreskin-derived:d20_hepatic_diff: 0.64, Astrocyte:Embryonic_stem_cell-derived: 0.62, Fibroblasts:breast: 0.62, Keratinocytes: 0.62, Keratinocytes:IL26: 0.62, Neuroepithelial_cell:ESC-derived: 0.61, Neurons:ES_cell-derived_neural_precursor: 0.61, Embryonic_stem_cells: 0.61, iPS_cells:adipose_stem_cells: 0.61, Keratinocytes:KGF: 0.59 |
X71_CGTAGTATCCTAAACG | Neuroepithelial_cell:ESC-derived | 0.30 | 943.34 | Raw ScoresNeuroepithelial_cell:ESC-derived: 0.44, Neurons:ES_cell-derived_neural_precursor: 0.41, Chondrocytes:MSC-derived: 0.4, DC:monocyte-derived:immature: 0.4, Erythroblast: 0.37, MSC: 0.35, Gametocytes:oocyte: 0.35, Keratinocytes:IL26: 0.35, Keratinocytes: 0.34, Neurons:adrenal_medulla_cell_line: 0.34 |
X72_CCCTCTCTCGCCCAGA | Neuroepithelial_cell:ESC-derived | 0.40 | 909.41 | Raw ScoresNeuroepithelial_cell:ESC-derived: 0.54, Neurons:ES_cell-derived_neural_precursor: 0.54, Chondrocytes:MSC-derived: 0.5, iPS_cells:CRL2097_foreskin-derived:d20_hepatic_diff: 0.48, MSC: 0.47, Neurons:adrenal_medulla_cell_line: 0.46, Embryonic_stem_cells: 0.45, iPS_cells:adipose_stem_cells: 0.44, Gametocytes:oocyte: 0.44, Astrocyte:Embryonic_stem_cell-derived: 0.43 |
X71_GACTATGCACGCTGCA | iPS_cells:CRL2097_foreskin-derived:d20_hepatic_diff | 0.40 | 882.46 | Raw ScoresiPS_cells:CRL2097_foreskin-derived:d20_hepatic_diff: 0.68, Neurons:ES_cell-derived_neural_precursor: 0.68, Keratinocytes:KGF: 0.65, iPS_cells:adipose_stem_cells: 0.65, iPS_cells:fibroblast-derived:Direct_del._reprog: 0.65, Fibroblasts:breast: 0.65, Keratinocytes: 0.65, Keratinocytes:IL19: 0.65, Keratinocytes:IL20: 0.65, Keratinocytes:IL22: 0.65 |
X71_CCTCATGGTTGCATGT | iPS_cells:CRL2097_foreskin-derived:d20_hepatic_diff | 0.40 | 803.40 | Raw ScoresiPS_cells:CRL2097_foreskin-derived:d20_hepatic_diff: 0.68, Neurons:ES_cell-derived_neural_precursor: 0.68, Keratinocytes:KGF: 0.65, iPS_cells:adipose_stem_cells: 0.65, iPS_cells:fibroblast-derived:Direct_del._reprog: 0.65, Fibroblasts:breast: 0.65, Keratinocytes: 0.65, Keratinocytes:IL19: 0.65, Keratinocytes:IL20: 0.65, Keratinocytes:IL22: 0.65 |
X71_TGTTGGATCCAAACCA | Neuroepithelial_cell:ESC-derived | 0.35 | 795.93 | Raw ScoresNeuroepithelial_cell:ESC-derived: 0.58, Neurons:ES_cell-derived_neural_precursor: 0.58, Erythroblast: 0.57, Gametocytes:oocyte: 0.57, MSC: 0.57, Chondrocytes:MSC-derived: 0.54, iPS_cells:CRL2097_foreskin-derived:d20_hepatic_diff: 0.54, Keratinocytes:KGF: 0.5, Neurons:adrenal_medulla_cell_line: 0.5, iPS_cells:adipose_stem_cells: 0.5 |
X71_GTGCTGGAGAGAGCCT | iPS_cells:CRL2097_foreskin-derived:d20_hepatic_diff | 0.38 | 724.44 | Raw ScoresiPS_cells:CRL2097_foreskin-derived:d20_hepatic_diff: 0.75, Neuroepithelial_cell:ESC-derived: 0.75, Neurons:ES_cell-derived_neural_precursor: 0.75, Embryonic_stem_cells: 0.73, MSC: 0.72, Fibroblasts:breast: 0.7, Keratinocytes: 0.7, Keratinocytes:IL26: 0.7, iPS_cells:adipose_stem_cells: 0.7, Astrocyte:Embryonic_stem_cell-derived: 0.68 |
X72_CCTCCTCAGGATACGC | iPS_cells:CRL2097_foreskin-derived:d20_hepatic_diff | 0.40 | 697.64 | Raw ScoresiPS_cells:CRL2097_foreskin-derived:d20_hepatic_diff: 0.68, Neurons:ES_cell-derived_neural_precursor: 0.68, Keratinocytes:KGF: 0.65, iPS_cells:adipose_stem_cells: 0.65, iPS_cells:fibroblast-derived:Direct_del._reprog: 0.65, Fibroblasts:breast: 0.65, Keratinocytes: 0.65, Keratinocytes:IL19: 0.65, Keratinocytes:IL20: 0.65, Keratinocytes:IL22: 0.65 |
X71_TGCGGGTTCCAGCACG | iPS_cells:CRL2097_foreskin-derived:d20_hepatic_diff | 0.41 | 693.69 | Raw ScoresiPS_cells:CRL2097_foreskin-derived:d20_hepatic_diff: 0.64, Astrocyte:Embryonic_stem_cell-derived: 0.62, Fibroblasts:breast: 0.62, Keratinocytes: 0.62, Keratinocytes:IL26: 0.62, Neuroepithelial_cell:ESC-derived: 0.61, Neurons:ES_cell-derived_neural_precursor: 0.61, Embryonic_stem_cells: 0.61, iPS_cells:adipose_stem_cells: 0.61, Keratinocytes:KGF: 0.59 |
X71_CCGTGAGCACCGGAAA | Keratinocytes | 0.31 | 683.93 | Raw ScoresKeratinocytes: 0.58, Neuroepithelial_cell:ESC-derived: 0.57, Neurons:ES_cell-derived_neural_precursor: 0.57, Keratinocytes:IL20: 0.57, Keratinocytes:IL26: 0.57, Keratinocytes:IFNg: 0.56, Keratinocytes:KGF: 0.56, iPS_cells:fibroblast-derived:Direct_del._reprog: 0.56, Keratinocytes:IL24: 0.55, Keratinocytes:IL19: 0.55 |
X71_TTCCTAACAACCAACT | Keratinocytes:KGF | 0.48 | 666.21 | Raw ScoresNeuroepithelial_cell:ESC-derived: 0.42, Keratinocytes:KGF: 0.42, Neurons:ES_cell-derived_neural_precursor: 0.42, Neurons:adrenal_medulla_cell_line: 0.42, iPS_cells:CRL2097_foreskin-derived:d20_hepatic_diff: 0.42, iPS_cells:adipose_stem_cells: 0.42, Chondrocytes:MSC-derived: 0.42, iPS_cells:fibroblast-derived:Direct_del._reprog: 0.41, Erythroblast: 0.4, Gametocytes:oocyte: 0.4 |
X71_GTTAGACGTATCGTTG | iPS_cells:adipose_stem_cells | 0.52 | 593.75 | Raw ScoresiPS_cells:adipose_stem_cells: 0.68, Fibroblasts:breast: 0.67, Chondrocytes:MSC-derived: 0.57, Smooth_muscle_cells:vascular: 0.54, Tissue_stem_cells:BM_MSC:TGFb3: 0.54, Smooth_muscle_cells:vascular:IL-17: 0.51, Keratinocytes:KGF: 0.49, Neurons:ES_cell-derived_neural_precursor: 0.49, Epithelial_cells:bronchial: 0.48, iPS_cells:fibroblast-derived:Direct_del._reprog: 0.48 |
X71_TGTAACGGTTAACCTG | Neuroepithelial_cell:ESC-derived | 0.35 | 537.09 | Raw ScoresNeuroepithelial_cell:ESC-derived: 0.58, Neurons:ES_cell-derived_neural_precursor: 0.58, Erythroblast: 0.57, Gametocytes:oocyte: 0.57, MSC: 0.57, Chondrocytes:MSC-derived: 0.54, iPS_cells:CRL2097_foreskin-derived:d20_hepatic_diff: 0.54, Keratinocytes:KGF: 0.5, Neurons:adrenal_medulla_cell_line: 0.5, iPS_cells:adipose_stem_cells: 0.5 |
X71_AGGGTGACAGGCTATT | Keratinocytes:KGF | 0.48 | 535.50 | Raw ScoresNeuroepithelial_cell:ESC-derived: 0.42, Keratinocytes:KGF: 0.42, Neurons:ES_cell-derived_neural_precursor: 0.42, Neurons:adrenal_medulla_cell_line: 0.42, iPS_cells:CRL2097_foreskin-derived:d20_hepatic_diff: 0.42, iPS_cells:adipose_stem_cells: 0.42, Chondrocytes:MSC-derived: 0.42, iPS_cells:fibroblast-derived:Direct_del._reprog: 0.41, Erythroblast: 0.4, Gametocytes:oocyte: 0.4 |
X71_CGGGACTCAGAACCGA | Neuroepithelial_cell:ESC-derived | 0.38 | 521.70 | Raw ScoresNeuroepithelial_cell:ESC-derived: 0.76, Neurons:ES_cell-derived_neural_precursor: 0.75, iPS_cells:CRL2097_foreskin-derived:d20_hepatic_diff: 0.74, MSC: 0.74, Embryonic_stem_cells: 0.72, Fibroblasts:breast: 0.68, Keratinocytes: 0.68, Keratinocytes:IL26: 0.68, iPS_cells:adipose_stem_cells: 0.67, Astrocyte:Embryonic_stem_cell-derived: 0.66 |
X71_ATTTCTGTCAGCCTCT | Keratinocytes:KGF | 0.48 | 503.58 | Raw ScoresNeuroepithelial_cell:ESC-derived: 0.42, Keratinocytes:KGF: 0.42, Neurons:ES_cell-derived_neural_precursor: 0.42, Neurons:adrenal_medulla_cell_line: 0.42, iPS_cells:CRL2097_foreskin-derived:d20_hepatic_diff: 0.42, iPS_cells:adipose_stem_cells: 0.42, Chondrocytes:MSC-derived: 0.42, iPS_cells:fibroblast-derived:Direct_del._reprog: 0.41, Erythroblast: 0.4, Gametocytes:oocyte: 0.4 |
X71_ATGTCTTTCATGTCTT | Neuroepithelial_cell:ESC-derived | 0.35 | 503.42 | Raw ScoresNeuroepithelial_cell:ESC-derived: 0.58, Neurons:ES_cell-derived_neural_precursor: 0.58, Erythroblast: 0.57, Gametocytes:oocyte: 0.57, MSC: 0.57, Chondrocytes:MSC-derived: 0.54, iPS_cells:CRL2097_foreskin-derived:d20_hepatic_diff: 0.54, Keratinocytes:KGF: 0.5, Neurons:adrenal_medulla_cell_line: 0.5, iPS_cells:adipose_stem_cells: 0.5 |
X71_ATCTCTATCGCGGACT | iPS_cells:adipose_stem_cells | 0.45 | 493.46 | Raw ScoresChondrocytes:MSC-derived: 0.54, iPS_cells:adipose_stem_cells: 0.54, Fibroblasts:breast: 0.49, Smooth_muscle_cells:bronchial:vit_D: 0.46, Smooth_muscle_cells:bronchial: 0.46, Smooth_muscle_cells:vascular: 0.37, Tissue_stem_cells:BM_MSC:TGFb3: 0.36, MSC: 0.36, Osteoblasts: 0.35, Neurons:ES_cell-derived_neural_precursor: 0.35 |
X71_CAACGATCAGCTGTGC | Neuroepithelial_cell:ESC-derived | 0.35 | 455.96 | Raw ScoresNeuroepithelial_cell:ESC-derived: 0.58, Neurons:ES_cell-derived_neural_precursor: 0.58, Erythroblast: 0.57, Gametocytes:oocyte: 0.57, MSC: 0.57, Chondrocytes:MSC-derived: 0.54, iPS_cells:CRL2097_foreskin-derived:d20_hepatic_diff: 0.54, Keratinocytes:KGF: 0.5, Neurons:adrenal_medulla_cell_line: 0.5, iPS_cells:adipose_stem_cells: 0.5 |
X71_GTCGAATCATTGGGAG | Neuroepithelial_cell:ESC-derived | 0.35 | 452.59 | Raw ScoresNeuroepithelial_cell:ESC-derived: 0.58, Neurons:ES_cell-derived_neural_precursor: 0.58, Erythroblast: 0.57, Gametocytes:oocyte: 0.57, MSC: 0.57, Chondrocytes:MSC-derived: 0.54, iPS_cells:CRL2097_foreskin-derived:d20_hepatic_diff: 0.54, Keratinocytes:KGF: 0.5, Neurons:adrenal_medulla_cell_line: 0.5, iPS_cells:adipose_stem_cells: 0.5 |
X72_TCAGTTTGTAGGTAGC | Fibroblasts:breast | 0.42 | 445.43 | Raw ScoresFibroblasts:breast: 0.48, Keratinocytes: 0.48, Keratinocytes:IFNg: 0.47, Keratinocytes:IL1b: 0.47, Keratinocytes:IL20: 0.47, Keratinocytes:IL26: 0.47, Keratinocytes:IL24: 0.45, Keratinocytes:KGF: 0.45, iPS_cells:fibroblast-derived:Direct_del._reprog: 0.45, Keratinocytes:IL19: 0.45 |
X71_TCAGCCTAGTTCCTGA | Keratinocytes:KGF | 0.48 | 432.87 | Raw ScoresNeuroepithelial_cell:ESC-derived: 0.42, Keratinocytes:KGF: 0.42, Neurons:ES_cell-derived_neural_precursor: 0.42, Neurons:adrenal_medulla_cell_line: 0.42, iPS_cells:CRL2097_foreskin-derived:d20_hepatic_diff: 0.42, iPS_cells:adipose_stem_cells: 0.42, Chondrocytes:MSC-derived: 0.42, iPS_cells:fibroblast-derived:Direct_del._reprog: 0.41, Erythroblast: 0.4, Gametocytes:oocyte: 0.4 |
X70_TCAGTGAAGGTTAGTA | Neuroepithelial_cell:ESC-derived | 0.35 | 418.61 | Raw ScoresNeuroepithelial_cell:ESC-derived: 0.58, Neurons:ES_cell-derived_neural_precursor: 0.58, Erythroblast: 0.57, Gametocytes:oocyte: 0.57, MSC: 0.57, Chondrocytes:MSC-derived: 0.54, iPS_cells:CRL2097_foreskin-derived:d20_hepatic_diff: 0.54, Keratinocytes:KGF: 0.5, Neurons:adrenal_medulla_cell_line: 0.5, iPS_cells:adipose_stem_cells: 0.5 |
X71_CCGGGTATCATAGCAC | Neuroepithelial_cell:ESC-derived | 0.40 | 396.63 | Raw ScoresNeuroepithelial_cell:ESC-derived: 0.54, Neurons:ES_cell-derived_neural_precursor: 0.54, Chondrocytes:MSC-derived: 0.5, iPS_cells:CRL2097_foreskin-derived:d20_hepatic_diff: 0.48, MSC: 0.47, Neurons:adrenal_medulla_cell_line: 0.46, Embryonic_stem_cells: 0.45, iPS_cells:adipose_stem_cells: 0.44, Gametocytes:oocyte: 0.44, Astrocyte:Embryonic_stem_cell-derived: 0.43 |
X71_CATTGCCGTATCGCGC | Neuroepithelial_cell:ESC-derived | 0.40 | 386.59 | Raw ScoresNeuroepithelial_cell:ESC-derived: 0.54, Neurons:ES_cell-derived_neural_precursor: 0.54, Chondrocytes:MSC-derived: 0.5, iPS_cells:CRL2097_foreskin-derived:d20_hepatic_diff: 0.48, MSC: 0.47, Neurons:adrenal_medulla_cell_line: 0.46, Embryonic_stem_cells: 0.45, iPS_cells:adipose_stem_cells: 0.44, Gametocytes:oocyte: 0.44, Astrocyte:Embryonic_stem_cell-derived: 0.43 |
X71_GTATTGGCAAATGCGG | Neuroepithelial_cell:ESC-derived | 0.33 | 382.55 | Raw ScoresNeuroepithelial_cell:ESC-derived: 0.68, Neurons:ES_cell-derived_neural_precursor: 0.68, MSC: 0.65, Chondrocytes:MSC-derived: 0.64, Gametocytes:oocyte: 0.62, iPS_cells:CRL2097_foreskin-derived:d20_hepatic_diff: 0.6, iPS_cells:PDB_2lox-17: 0.59, Erythroblast: 0.58, Embryonic_stem_cells: 0.57, Neurons:adrenal_medulla_cell_line: 0.55 |
X71_TATCAGGCAACAGCCC | Neuroepithelial_cell:ESC-derived | 0.33 | 372.21 | Raw ScoresNeuroepithelial_cell:ESC-derived: 0.68, Neurons:ES_cell-derived_neural_precursor: 0.68, MSC: 0.65, Chondrocytes:MSC-derived: 0.64, Gametocytes:oocyte: 0.62, iPS_cells:CRL2097_foreskin-derived:d20_hepatic_diff: 0.6, iPS_cells:PDB_2lox-17: 0.59, Erythroblast: 0.58, Embryonic_stem_cells: 0.57, Neurons:adrenal_medulla_cell_line: 0.55 |
X71_GGGTCTGAGACTCGAG | Neurons:ES_cell-derived_neural_precursor | 0.40 | 370.02 | Raw ScoresNeurons:ES_cell-derived_neural_precursor: 0.68, iPS_cells:CRL2097_foreskin-derived:d20_hepatic_diff: 0.68, Neuroepithelial_cell:ESC-derived: 0.65, Embryonic_stem_cells: 0.65, Keratinocytes:KGF: 0.64, iPS_cells:adipose_stem_cells: 0.64, iPS_cells:fibroblast-derived:Direct_del._reprog: 0.64, Keratinocytes:IL26: 0.63, Fibroblasts:breast: 0.63, Keratinocytes: 0.63 |
X72_AGAGAATCAGACCAAG | Chondrocytes:MSC-derived | 0.36 | 353.60 | Raw ScoresChondrocytes:MSC-derived: 0.59, iPS_cells:adipose_stem_cells: 0.57, Fibroblasts:breast: 0.54, Smooth_muscle_cells:bronchial: 0.51, Smooth_muscle_cells:bronchial:vit_D: 0.51, MSC: 0.48, Osteoblasts: 0.47, Neuroepithelial_cell:ESC-derived: 0.45, Neurons:ES_cell-derived_neural_precursor: 0.45, Osteoblasts:BMP2: 0.42 |
X71_GTCATCCAGAGTGTGC | Neuroepithelial_cell:ESC-derived | 0.33 | 345.06 | Raw ScoresNeuroepithelial_cell:ESC-derived: 0.68, Neurons:ES_cell-derived_neural_precursor: 0.68, MSC: 0.65, Chondrocytes:MSC-derived: 0.64, Gametocytes:oocyte: 0.63, iPS_cells:CRL2097_foreskin-derived:d20_hepatic_diff: 0.6, iPS_cells:PDB_2lox-17: 0.59, Erythroblast: 0.59, Embryonic_stem_cells: 0.58, Neurons:adrenal_medulla_cell_line: 0.55 |
X71_CGTAATGCACTGAGGA | Neuroepithelial_cell:ESC-derived | 0.35 | 341.16 | Raw ScoresNeuroepithelial_cell:ESC-derived: 0.58, Neurons:ES_cell-derived_neural_precursor: 0.58, Erythroblast: 0.57, Gametocytes:oocyte: 0.57, MSC: 0.57, Chondrocytes:MSC-derived: 0.54, iPS_cells:CRL2097_foreskin-derived:d20_hepatic_diff: 0.54, Keratinocytes:KGF: 0.5, Neurons:adrenal_medulla_cell_line: 0.5, iPS_cells:adipose_stem_cells: 0.5 |
X71_TTTAGTCCAGCCGTCA | Neurons:ES_cell-derived_neural_precursor | 0.40 | 338.38 | Raw ScoresNeurons:ES_cell-derived_neural_precursor: 0.68, iPS_cells:CRL2097_foreskin-derived:d20_hepatic_diff: 0.68, Neuroepithelial_cell:ESC-derived: 0.65, Embryonic_stem_cells: 0.65, Keratinocytes:KGF: 0.64, iPS_cells:adipose_stem_cells: 0.64, iPS_cells:fibroblast-derived:Direct_del._reprog: 0.64, Keratinocytes:IL26: 0.63, Fibroblasts:breast: 0.63, Keratinocytes: 0.63 |
X71_GGAGCAAGTCTCACAA | Keratinocytes:KGF | 0.48 | 322.52 | Raw ScoresNeuroepithelial_cell:ESC-derived: 0.42, Keratinocytes:KGF: 0.42, Neurons:ES_cell-derived_neural_precursor: 0.42, Neurons:adrenal_medulla_cell_line: 0.42, iPS_cells:CRL2097_foreskin-derived:d20_hepatic_diff: 0.42, iPS_cells:adipose_stem_cells: 0.42, Chondrocytes:MSC-derived: 0.42, iPS_cells:fibroblast-derived:Direct_del._reprog: 0.41, Erythroblast: 0.4, Gametocytes:oocyte: 0.4 |
X72_CCTCTAGGTGTAACGG | Keratinocytes:KGF | 0.48 | 307.20 | Raw ScoresNeuroepithelial_cell:ESC-derived: 0.42, Keratinocytes:KGF: 0.42, Neurons:ES_cell-derived_neural_precursor: 0.42, Neurons:adrenal_medulla_cell_line: 0.42, iPS_cells:CRL2097_foreskin-derived:d20_hepatic_diff: 0.42, iPS_cells:adipose_stem_cells: 0.42, Chondrocytes:MSC-derived: 0.42, iPS_cells:fibroblast-derived:Direct_del._reprog: 0.41, Erythroblast: 0.4, Gametocytes:oocyte: 0.4 |
X71_TATGTTCTCGTTCTAT | Neuroepithelial_cell:ESC-derived | 0.35 | 278.53 | Raw ScoresNeuroepithelial_cell:ESC-derived: 0.58, Neurons:ES_cell-derived_neural_precursor: 0.58, Erythroblast: 0.57, Gametocytes:oocyte: 0.57, MSC: 0.57, Chondrocytes:MSC-derived: 0.54, iPS_cells:CRL2097_foreskin-derived:d20_hepatic_diff: 0.54, Keratinocytes:KGF: 0.5, Neurons:adrenal_medulla_cell_line: 0.5, iPS_cells:adipose_stem_cells: 0.5 |
X70_CTCAACCGTAACTAAG | Neuroepithelial_cell:ESC-derived | 0.35 | 271.71 | Raw ScoresNeuroepithelial_cell:ESC-derived: 0.58, Neurons:ES_cell-derived_neural_precursor: 0.58, Erythroblast: 0.57, Gametocytes:oocyte: 0.57, MSC: 0.57, Chondrocytes:MSC-derived: 0.54, iPS_cells:CRL2097_foreskin-derived:d20_hepatic_diff: 0.54, Keratinocytes:KGF: 0.5, Neurons:adrenal_medulla_cell_line: 0.5, iPS_cells:adipose_stem_cells: 0.5 |
X72_GGTGTCGTCCTCACCA | Neurons:ES_cell-derived_neural_precursor | 0.33 | 270.75 | Raw ScoresNeuroepithelial_cell:ESC-derived: 0.68, Neurons:ES_cell-derived_neural_precursor: 0.68, MSC: 0.64, Chondrocytes:MSC-derived: 0.63, Gametocytes:oocyte: 0.62, iPS_cells:CRL2097_foreskin-derived:d20_hepatic_diff: 0.6, iPS_cells:PDB_2lox-17: 0.59, Erythroblast: 0.57, Embryonic_stem_cells: 0.57, iPS_cells:PDB_1lox-17Puro-10: 0.55 |
X71_GCCAGTGTCACCTCAC | Keratinocytes:KGF | 0.48 | 265.78 | Raw ScoresNeuroepithelial_cell:ESC-derived: 0.42, Keratinocytes:KGF: 0.42, Neurons:ES_cell-derived_neural_precursor: 0.42, Neurons:adrenal_medulla_cell_line: 0.42, iPS_cells:CRL2097_foreskin-derived:d20_hepatic_diff: 0.42, iPS_cells:adipose_stem_cells: 0.42, Chondrocytes:MSC-derived: 0.42, iPS_cells:fibroblast-derived:Direct_del._reprog: 0.41, Erythroblast: 0.4, Gametocytes:oocyte: 0.4 |
X71_CTACTATGTACGGCAA | Keratinocytes:KGF | 0.48 | 260.08 | Raw ScoresNeuroepithelial_cell:ESC-derived: 0.42, Keratinocytes:KGF: 0.42, Neurons:ES_cell-derived_neural_precursor: 0.42, Neurons:adrenal_medulla_cell_line: 0.42, iPS_cells:CRL2097_foreskin-derived:d20_hepatic_diff: 0.42, iPS_cells:adipose_stem_cells: 0.42, Chondrocytes:MSC-derived: 0.42, iPS_cells:fibroblast-derived:Direct_del._reprog: 0.41, Erythroblast: 0.4, Gametocytes:oocyte: 0.4 |
X71_AGGGCTCTCAGAGTGG | Neuroepithelial_cell:ESC-derived | 0.40 | 258.86 | Raw ScoresNeuroepithelial_cell:ESC-derived: 0.54, Neurons:ES_cell-derived_neural_precursor: 0.54, Chondrocytes:MSC-derived: 0.5, iPS_cells:CRL2097_foreskin-derived:d20_hepatic_diff: 0.48, MSC: 0.47, Neurons:adrenal_medulla_cell_line: 0.46, Embryonic_stem_cells: 0.45, iPS_cells:adipose_stem_cells: 0.44, Gametocytes:oocyte: 0.44, Astrocyte:Embryonic_stem_cell-derived: 0.43 |
X70_TGAGGAGTCTTCACAT | Keratinocytes:KGF | 0.48 | 251.21 | Raw ScoresNeuroepithelial_cell:ESC-derived: 0.42, Keratinocytes:KGF: 0.42, Neurons:ES_cell-derived_neural_precursor: 0.42, Neurons:adrenal_medulla_cell_line: 0.42, iPS_cells:CRL2097_foreskin-derived:d20_hepatic_diff: 0.42, iPS_cells:adipose_stem_cells: 0.42, Chondrocytes:MSC-derived: 0.42, iPS_cells:fibroblast-derived:Direct_del._reprog: 0.41, Erythroblast: 0.4, Gametocytes:oocyte: 0.4 |
X70_TCATGGAAGTGATGGC | Neuroepithelial_cell:ESC-derived | 0.35 | 249.50 | Raw ScoresNeuroepithelial_cell:ESC-derived: 0.58, Neurons:ES_cell-derived_neural_precursor: 0.58, Erythroblast: 0.57, Gametocytes:oocyte: 0.57, MSC: 0.57, Chondrocytes:MSC-derived: 0.54, iPS_cells:CRL2097_foreskin-derived:d20_hepatic_diff: 0.54, Keratinocytes:KGF: 0.5, Neurons:adrenal_medulla_cell_line: 0.5, iPS_cells:adipose_stem_cells: 0.5 |
Below shows the significant enrichments of this GEP for literature curated gene lists
This data was procured from existing single cell RNA-seq maps of neuroblastoma or related relevant data.
High ranks indicate this gene is a driver of this GEP.
These curated gene list are ranked by the P-value (on this GEP) of their constituent genes.
The Mean Count column shows the mean read count in cells scoring highly (H > 50) on this gene expression program.
Genes | Weight | Rank | GTEx | DepMap | Decartes | Mean.Counts | Mean.TPM |
---|---|---|---|---|---|---|---|
UPK3B | 0.0093712 | 1 | GTEx | DepMap | Descartes | 7.46 | 189.74 |
MSLN | 0.0068430 | 5 | GTEx | DepMap | Descartes | 0.82 | 25.40 |
KRT19 | 0.0024172 | 66 | GTEx | DepMap | Descartes | 2.63 | 77.51 |
KRT18 | 0.0019610 | 95 | GTEx | DepMap | Descartes | 2.14 | 113.94 |
S100A4 | 0.0014526 | 147 | GTEx | DepMap | Descartes | 0.13 | 8.17 |
S100A10 | 0.0013438 | 165 | GTEx | DepMap | Descartes | 11.57 | 193.75 |
KRT8 | 0.0010259 | 255 | GTEx | DepMap | Descartes | 1.34 | 42.61 |
S100A3 | 0.0001749 | 2088 | GTEx | DepMap | Descartes | 0.07 | 0.83 |
S100A13 | 0.0000811 | 3526 | GTEx | DepMap | Descartes | 0.56 | 8.58 |
H2-EB1 | 0.0000493 | 4445 | GTEx | DepMap | Descartes | 0.04 | 0.28 |
H2-AA | 0.0000418 | 4715 | GTEx | DepMap | Descartes | 0.01 | 0.17 |
H2-AB1 | -0.0000150 | 8209 | GTEx | DepMap | Descartes | 0.03 | 0.23 |
CCL19 | -0.0000264 | 9518 | GTEx | DepMap | Descartes | 0.00 | 0.00 |
CD74 | -0.0000384 | 10851 | GTEx | DepMap | Descartes | 0.02 | 0.29 |
SLPI | -0.0000766 | 14014 | GTEx | DepMap | Descartes | 0.01 | 0.02 |
CD83 | -0.0001571 | 17276 | GTEx | DepMap | Descartes | 0.20 | 1.30 |
EMT II (Kinker)
These marker genes were obtained in a pan cancer cell lines NMF analysis of scRNA-eq data in Kinker et al (PMID 33128048) - 10 metaprograms were recovered that manifest across cancers, this EMT program was enriched in HNSCC cell lines:
Wilcoxon ranksum test P-value for gene set overrepresentation: 4.96e-04
Mean rank of genes in gene set: 479.25
Rank on gene expression program of genes in gene set:
Genes | Weight | Rank | GTEx | DepMap | Decartes | Mean.Counts | Mean.TPM |
---|---|---|---|---|---|---|---|
FN1 | 0.0020147 | 89 | GTEx | DepMap | Descartes | 13.70 | 36.34 |
VIM | 0.0008938 | 318 | GTEx | DepMap | Descartes | 36.39 | 649.58 |
COL5A1 | 0.0005007 | 720 | GTEx | DepMap | Descartes | 5.22 | 5.48 |
AXL | 0.0004681 | 790 | GTEx | DepMap | Descartes | 1.86 | 10.24 |
Adrenal Premordium (Hanemaaijer)
Marker genes obtained from Supplementary Table SD of Hanemaaijer et al (PMID 33500353). The authors generated single-cell RNA-seq data (sort-seq, 2,229 cells total) from mouse adrenal glads at E13.5, E14.5, E17.5, E18.5, P1 and P5. These were marker genes that matched with a similar dataset generated by Furlan et al (PMID 28684471). This particular set of markers are for the Adrenal Premordium subcluster, which is part of the Cortex cluster.:
Wilcoxon ranksum test P-value for gene set overrepresentation: 9.83e-04
Mean rank of genes in gene set: 1941.6
Rank on gene expression program of genes in gene set:
Genes | Weight | Rank | GTEx | DepMap | Decartes | Mean.Counts | Mean.TPM |
---|---|---|---|---|---|---|---|
TPI1 | 0.0007336 | 420 | GTEx | DepMap | Descartes | 14.51 | 663.26 |
NPM1 | 0.0006894 | 456 | GTEx | DepMap | Descartes | 61.52 | 850.47 |
RPS2 | 0.0004439 | 847 | GTEx | DepMap | Descartes | 69.04 | 2617.11 |
MIF | 0.0001388 | 2488 | GTEx | DepMap | Descartes | 26.00 | 4647.70 |
TK1 | 0.0000233 | 5497 | GTEx | DepMap | Descartes | 2.03 | 27.55 |
Below shows ranks on this GEP for literature curated gene lists for large gene sets
These include those reported as mesenchymal/adrenergic by Van Groningen et al.
High ranks indicate this gene is a driver of this GEP (note these results are not ordered).
The Mean Count column shows the mean read count in cells scoring highly (H > 50) on this gene expression program.
VanGroningen Adrenergic Genes
Adrenergic marker genes from Supplementary Table 2 of Van Groningen et al. Nature Genetics 2017. These genes were identified by differential expression analysis of mesenchymal-like and adrenergic-like neuroblastoma cell lines.
Wilcoxon ranksum test P-value for gene set overrepresentation: 1.00e+00
Mean rank of genes in gene set: 13690.87
Median rank of genes in gene set: 16548
Rank on gene expression program of top 30 genes in gene set:
Genes | Weight | Rank | GTEx | DepMap | Descartes | Mean.Counts | Mean.TPM |
---|---|---|---|---|---|---|---|
TMEM108 | 0.0022758 | 74 | GTEx | DepMap | Descartes | 2.61 | 1.95 |
RBP1 | 0.0012698 | 175 | GTEx | DepMap | Descartes | 15.72 | 109.66 |
PEG3 | 0.0012123 | 193 | GTEx | DepMap | Descartes | 23.65 | 145.62 |
NET1 | 0.0006359 | 530 | GTEx | DepMap | Descartes | 2.22 | 8.98 |
DLK1 | 0.0006236 | 546 | GTEx | DepMap | Descartes | 22.88 | 369.64 |
CDC42EP3 | 0.0006235 | 547 | GTEx | DepMap | Descartes | 2.71 | 19.89 |
AKAP12 | 0.0005998 | 570 | GTEx | DepMap | Descartes | 8.18 | 14.42 |
SLIT3 | 0.0005295 | 674 | GTEx | DepMap | Descartes | 1.13 | 0.38 |
HS6ST2 | 0.0004838 | 751 | GTEx | DepMap | Descartes | 1.31 | 0.70 |
CD200 | 0.0004405 | 857 | GTEx | DepMap | Descartes | 0.79 | 5.17 |
CXADR | 0.0004044 | 931 | GTEx | DepMap | Descartes | 1.49 | 4.53 |
UCP2 | 0.0004022 | 940 | GTEx | DepMap | Descartes | 2.70 | 53.13 |
BEX1 | 0.0003716 | 1019 | GTEx | DepMap | Descartes | 2.80 | 261.28 |
MYRIP | 0.0003694 | 1025 | GTEx | DepMap | Descartes | 0.05 | 0.05 |
PLPPR5 | 0.0003553 | 1064 | GTEx | DepMap | Descartes | 0.10 | 0.11 |
POPDC3 | 0.0003015 | 1225 | GTEx | DepMap | Descartes | 0.06 | 0.06 |
SETD7 | 0.0002842 | 1305 | GTEx | DepMap | Descartes | 0.53 | 1.92 |
GRB10 | 0.0002794 | 1329 | GTEx | DepMap | Descartes | 12.17 | 18.14 |
KLHL13 | 0.0002712 | 1367 | GTEx | DepMap | Descartes | 1.48 | 1.71 |
CELF2 | 0.0002404 | 1553 | GTEx | DepMap | Descartes | 3.97 | 0.65 |
ADCYAP1R1 | 0.0002216 | 1683 | GTEx | DepMap | Descartes | 0.21 | 0.80 |
GMNN | 0.0002173 | 1702 | GTEx | DepMap | Descartes | 2.36 | 33.32 |
RAB33A | 0.0001984 | 1841 | GTEx | DepMap | Descartes | 0.23 | 3.85 |
ST3GAL6 | 0.0001936 | 1887 | GTEx | DepMap | Descartes | 0.35 | 0.81 |
CETN3 | 0.0001847 | 1973 | GTEx | DepMap | Descartes | 4.11 | 40.19 |
MCM6 | 0.0001814 | 2014 | GTEx | DepMap | Descartes | 3.20 | 17.31 |
HMGA1 | 0.0001793 | 2035 | GTEx | DepMap | Descartes | 0.71 | 11.78 |
TSPAN7 | 0.0001791 | 2039 | GTEx | DepMap | Descartes | 1.09 | 1.51 |
MSH6 | 0.0001759 | 2081 | GTEx | DepMap | Descartes | 1.01 | 9.07 |
GLRX | 0.0001649 | 2189 | GTEx | DepMap | Descartes | 0.64 | 10.18 |
VanGroningen Mesenchymal Genes
Mesenchymal marker genes from Supplementary Table 2 of Van Groningen et al. Nature Genetics 2017. These genes were identified by differential expression analysis of mesenchymal-like and adrenergic-like neuroblastoma cell lines.
Wilcoxon ranksum test P-value for gene set overrepresentation: 1.71e-24
Mean rank of genes in gene set: 7065.38
Median rank of genes in gene set: 3731
Rank on gene expression program of top 30 genes in gene set:
Genes | Weight | Rank | GTEx | DepMap | Descartes | Mean.Counts | Mean.TPM |
---|---|---|---|---|---|---|---|
CAPN6 | 0.0030447 | 43 | GTEx | DepMap | Descartes | 7.07 | 46.77 |
CFI | 0.0026748 | 58 | GTEx | DepMap | Descartes | 0.21 | 1.14 |
SPARC | 0.0026333 | 61 | GTEx | DepMap | Descartes | 55.70 | 387.48 |
IGFBP6 | 0.0024075 | 69 | GTEx | DepMap | Descartes | 0.58 | 20.35 |
FN1 | 0.0020147 | 89 | GTEx | DepMap | Descartes | 13.70 | 36.34 |
AEBP1 | 0.0019803 | 93 | GTEx | DepMap | Descartes | 2.13 | 40.61 |
MGST1 | 0.0018628 | 100 | GTEx | DepMap | Descartes | 2.97 | 31.01 |
PTRF | 0.0016753 | 115 | GTEx | DepMap | Descartes | 1.75 | NA |
MICAL2 | 0.0016637 | 117 | GTEx | DepMap | Descartes | 0.67 | 0.59 |
NID2 | 0.0016507 | 119 | GTEx | DepMap | Descartes | 2.21 | 6.03 |
TFPI | 0.0016308 | 121 | GTEx | DepMap | Descartes | 1.67 | 6.98 |
PLAGL1 | 0.0014945 | 138 | GTEx | DepMap | Descartes | 9.58 | 22.02 |
PLSCR1 | 0.0014573 | 145 | GTEx | DepMap | Descartes | 0.82 | 5.16 |
COL3A1 | 0.0014476 | 150 | GTEx | DepMap | Descartes | 42.56 | 191.04 |
PCSK5 | 0.0012483 | 182 | GTEx | DepMap | Descartes | 1.12 | 0.52 |
PTN | 0.0010983 | 218 | GTEx | DepMap | Descartes | 53.39 | 92.89 |
COL5A2 | 0.0010880 | 227 | GTEx | DepMap | Descartes | 8.69 | 11.36 |
CDH11 | 0.0010610 | 236 | GTEx | DepMap | Descartes | 5.59 | 5.75 |
SUCLG2 | 0.0010551 | 239 | GTEx | DepMap | Descartes | 2.25 | 1.42 |
CRTAP | 0.0010534 | 240 | GTEx | DepMap | Descartes | 2.60 | 27.12 |
THBS1 | 0.0010503 | 242 | GTEx | DepMap | Descartes | 2.59 | 25.57 |
SDC4 | 0.0010389 | 246 | GTEx | DepMap | Descartes | 2.07 | 16.84 |
CCDC80 | 0.0010382 | 247 | GTEx | DepMap | Descartes | 3.31 | 18.26 |
ANXA5 | 0.0010177 | 258 | GTEx | DepMap | Descartes | 5.45 | 33.08 |
LATS2 | 0.0009620 | 280 | GTEx | DepMap | Descartes | 0.93 | 2.05 |
CYBRD1 | 0.0009550 | 283 | GTEx | DepMap | Descartes | 0.36 | 2.70 |
COL1A1 | 0.0009258 | 297 | GTEx | DepMap | Descartes | 31.38 | 348.79 |
FLRT2 | 0.0009065 | 311 | GTEx | DepMap | Descartes | 3.21 | 6.00 |
VIM | 0.0008938 | 318 | GTEx | DepMap | Descartes | 36.39 | 649.58 |
GAS1 | 0.0008924 | 319 | GTEx | DepMap | Descartes | 9.91 | 478.64 |
Descartes adrenocortical markers
Top 50 marker genes of adrenocortical cells in the Decartes fetal adrenal single cell map (https://atlas.brotmanbaty.org/bbi/human-gene-expression-during-development/cell/adrenocortical/in/adrenal)
Wilcoxon ranksum test P-value for gene set overrepresentation: 8.67e-01
Mean rank of genes in gene set: 10622.33
Median rank of genes in gene set: 13165.5
Rank on gene expression program of top 30 genes in gene set:
Genes | Weight | Rank | GTEx | DepMap | Descartes | Mean.Counts | Mean.TPM |
---|---|---|---|---|---|---|---|
PEG3 | 0.0012123 | 193 | GTEx | DepMap | Descartes | 23.65 | 145.62 |
CYP11B1 | 0.0011434 | 209 | GTEx | DepMap | Descartes | 0.00 | 0.00 |
BAIAP2L1 | 0.0009648 | 276 | GTEx | DepMap | Descartes | 0.32 | 0.62 |
FREM2 | 0.0008757 | 326 | GTEx | DepMap | Descartes | 1.20 | 1.00 |
GSTA4 | 0.0006850 | 460 | GTEx | DepMap | Descartes | 3.40 | 22.21 |
CLU | 0.0005427 | 645 | GTEx | DepMap | Descartes | 1.18 | 15.49 |
HSPE1 | 0.0002905 | 1283 | GTEx | DepMap | Descartes | 20.91 | 905.02 |
FDX1 | 0.0001660 | 2174 | GTEx | DepMap | Descartes | 1.63 | 11.12 |
FDXR | 0.0001004 | 3097 | GTEx | DepMap | Descartes | 0.34 | 7.57 |
NPC1 | 0.0000950 | 3196 | GTEx | DepMap | Descartes | 0.61 | 2.32 |
SCARB1 | 0.0000899 | 3319 | GTEx | DepMap | Descartes | 0.50 | 1.05 |
INHA | 0.0000767 | 3672 | GTEx | DepMap | Descartes | 0.22 | 11.02 |
ERN1 | 0.0000655 | 3975 | GTEx | DepMap | Descartes | 0.09 | 0.15 |
SLC16A9 | 0.0000627 | 4066 | GTEx | DepMap | Descartes | 0.09 | 0.36 |
HSPD1 | 0.0000337 | 5039 | GTEx | DepMap | Descartes | 12.57 | 165.21 |
IGF1R | 0.0000281 | 5264 | GTEx | DepMap | Descartes | 3.01 | 1.48 |
CYB5B | -0.0000324 | 10188 | GTEx | DepMap | Descartes | 1.07 | 4.06 |
SH3PXD2B | -0.0000334 | 10311 | GTEx | DepMap | Descartes | 0.85 | 1.55 |
CYP17A1 | -0.0000459 | 11625 | GTEx | DepMap | Descartes | 0.00 | 0.00 |
GRAMD1B | -0.0000537 | 12362 | GTEx | DepMap | Descartes | 0.12 | 0.07 |
STAR | -0.0000625 | 13070 | GTEx | DepMap | Descartes | 0.02 | 0.38 |
SGCZ | -0.0000650 | 13261 | GTEx | DepMap | Descartes | 0.04 | 0.00 |
SCAP | -0.0000670 | 13397 | GTEx | DepMap | Descartes | 0.46 | 1.24 |
DHCR24 | -0.0000676 | 13445 | GTEx | DepMap | Descartes | 0.96 | 5.12 |
FRMD5 | -0.0000737 | 13841 | GTEx | DepMap | Descartes | 0.03 | 0.02 |
TM7SF2 | -0.0000822 | 14314 | GTEx | DepMap | Descartes | 0.17 | 5.34 |
PAPSS2 | -0.0000907 | 14798 | GTEx | DepMap | Descartes | 0.33 | 1.08 |
APOC1 | -0.0001017 | 15328 | GTEx | DepMap | Descartes | 0.15 | 5.77 |
MC2R | -0.0001093 | 15687 | GTEx | DepMap | Descartes | 0.02 | 0.06 |
CYP11A1 | -0.0001466 | 17004 | GTEx | DepMap | Descartes | 0.00 | 0.00 |
Descartes chromaffin markers
Top 50 marker genes of chromaffin cells in the Decartes fetal adrenal single cell map (https://atlas.brotmanbaty.org/bbi/human-gene-expression-during-development/cell/chromaffin/in/adrenal)
Wilcoxon ranksum test P-value for gene set overrepresentation: 1.00e+00
Mean rank of genes in gene set: 14957.77
Median rank of genes in gene set: 17468
Rank on gene expression program of top 30 genes in gene set:
Genes | Weight | Rank | GTEx | DepMap | Descartes | Mean.Counts | Mean.TPM |
---|---|---|---|---|---|---|---|
PLXNA4 | 0.0010846 | 230 | GTEx | DepMap | Descartes | 0.97 | 0.37 |
SLC44A5 | 0.0002421 | 1538 | GTEx | DepMap | Descartes | 0.04 | 0.03 |
ANKFN1 | 0.0000594 | 4157 | GTEx | DepMap | Descartes | 0.01 | 0.00 |
SYNPO2 | 0.0000155 | 5831 | GTEx | DepMap | Descartes | 0.50 | 0.51 |
IL7 | 0.0000002 | 6763 | GTEx | DepMap | Descartes | 0.00 | 0.00 |
PTCHD1 | -0.0000024 | 6958 | GTEx | DepMap | Descartes | 0.11 | 0.27 |
EPHA6 | -0.0000146 | 8159 | GTEx | DepMap | Descartes | 0.00 | 0.00 |
ALK | -0.0000261 | 9489 | GTEx | DepMap | Descartes | 0.00 | 0.00 |
HS3ST5 | -0.0000375 | 10765 | GTEx | DepMap | Descartes | 0.05 | 0.03 |
HMX1 | -0.0000656 | 13297 | GTEx | DepMap | Descartes | 0.00 | 0.03 |
RPH3A | -0.0000670 | 13395 | GTEx | DepMap | Descartes | 0.01 | 0.03 |
SLC6A2 | -0.0000686 | 13514 | GTEx | DepMap | Descartes | 0.02 | 0.11 |
RYR2 | -0.0000776 | 14069 | GTEx | DepMap | Descartes | 0.18 | 0.03 |
KCNB2 | -0.0000802 | 14200 | GTEx | DepMap | Descartes | 0.23 | 0.07 |
REEP1 | -0.0000829 | 14349 | GTEx | DepMap | Descartes | 0.37 | 0.61 |
NTRK1 | -0.0000835 | 14380 | GTEx | DepMap | Descartes | 0.18 | 1.47 |
PRPH | -0.0000878 | 14643 | GTEx | DepMap | Descartes | 0.21 | 10.16 |
GAL | -0.0000928 | 14887 | GTEx | DepMap | Descartes | 0.12 | 3.27 |
CNKSR2 | -0.0001035 | 15412 | GTEx | DepMap | Descartes | 0.25 | 0.16 |
MARCH11 | -0.0001048 | 15481 | GTEx | DepMap | Descartes | 0.06 | 0.10 |
EYA4 | -0.0001537 | 17196 | GTEx | DepMap | Descartes | 0.15 | 0.10 |
NPY | -0.0001574 | 17283 | GTEx | DepMap | Descartes | 1.51 | 34.93 |
ELAVL2 | -0.0001748 | 17653 | GTEx | DepMap | Descartes | 0.70 | 0.79 |
MAB21L2 | -0.0001800 | 17744 | GTEx | DepMap | Descartes | 0.73 | 30.06 |
CNTFR | -0.0001820 | 17768 | GTEx | DepMap | Descartes | 1.16 | 5.33 |
FAT3 | -0.0002037 | 18120 | GTEx | DepMap | Descartes | 0.35 | 0.08 |
STMN4 | -0.0002140 | 18236 | GTEx | DepMap | Descartes | 0.33 | 4.14 |
GAP43 | -0.0002167 | 18271 | GTEx | DepMap | Descartes | 1.35 | 2.51 |
EYA1 | -0.0002436 | 18558 | GTEx | DepMap | Descartes | 0.25 | 0.18 |
RBFOX1 | -0.0002488 | 18609 | GTEx | DepMap | Descartes | 0.26 | 0.03 |
Descartes Vascular_endothelial markers
Top 50 marker genes of Vascular_endothelial cells in the Decartes fetal adrenal single cell map (https://atlas.brotmanbaty.org/bbi/human-gene-expression-during-development/cell/vascular_endothelial/in/adrenal)
Wilcoxon ranksum test P-value for gene set overrepresentation: 8.26e-02
Mean rank of genes in gene set: 8485.12
Median rank of genes in gene set: 9653
Rank on gene expression program of top 30 genes in gene set:
Genes | Weight | Rank | GTEx | DepMap | Descartes | Mean.Counts | Mean.TPM |
---|---|---|---|---|---|---|---|
PODXL | 0.0037318 | 23 | GTEx | DepMap | Descartes | 1.73 | 6.40 |
TEK | 0.0016456 | 120 | GTEx | DepMap | Descartes | 0.36 | 0.61 |
ARHGAP29 | 0.0015809 | 126 | GTEx | DepMap | Descartes | 2.77 | 6.68 |
TMEM88 | 0.0013705 | 160 | GTEx | DepMap | Descartes | 0.53 | 55.34 |
FLT4 | 0.0004211 | 899 | GTEx | DepMap | Descartes | 0.12 | 0.43 |
MYRIP | 0.0003694 | 1025 | GTEx | DepMap | Descartes | 0.05 | 0.05 |
SLCO2A1 | 0.0003313 | 1132 | GTEx | DepMap | Descartes | 0.13 | 0.16 |
NPR1 | 0.0002813 | 1319 | GTEx | DepMap | Descartes | 0.10 | 1.02 |
CHRM3 | 0.0002409 | 1548 | GTEx | DepMap | Descartes | 0.04 | 0.01 |
KDR | 0.0001965 | 1859 | GTEx | DepMap | Descartes | 0.38 | 1.76 |
F8 | 0.0001859 | 1965 | GTEx | DepMap | Descartes | 0.06 | 0.07 |
HYAL2 | 0.0001403 | 2464 | GTEx | DepMap | Descartes | 1.51 | 44.62 |
ECSCR | 0.0001280 | 2628 | GTEx | DepMap | Descartes | 0.22 | 3.53 |
KANK3 | 0.0000783 | 3609 | GTEx | DepMap | Descartes | 0.19 | 2.51 |
ESM1 | 0.0000475 | 4509 | GTEx | DepMap | Descartes | 0.01 | 0.23 |
PLVAP | 0.0000390 | 4830 | GTEx | DepMap | Descartes | 0.17 | 3.45 |
GALNT15 | 0.0000383 | 4854 | GTEx | DepMap | Descartes | 0.00 | 0.00 |
SHANK3 | 0.0000067 | 6341 | GTEx | DepMap | Descartes | 0.04 | 0.10 |
DNASE1L3 | -0.0000049 | 7148 | GTEx | DepMap | Descartes | 0.00 | 0.01 |
EHD3 | -0.0000157 | 8300 | GTEx | DepMap | Descartes | 0.23 | 1.28 |
CEACAM1 | -0.0000245 | 9299 | GTEx | DepMap | Descartes | 0.00 | 0.05 |
CALCRL | -0.0000276 | 9653 | GTEx | DepMap | Descartes | 0.17 | 0.23 |
EFNB2 | -0.0000315 | 10065 | GTEx | DepMap | Descartes | 1.16 | 3.59 |
FCGR2B | -0.0000336 | 10342 | GTEx | DepMap | Descartes | 0.02 | 0.07 |
CRHBP | -0.0000342 | 10409 | GTEx | DepMap | Descartes | 0.00 | 0.00 |
NR5A2 | -0.0000346 | 10449 | GTEx | DepMap | Descartes | 0.00 | 0.00 |
PTPRB | -0.0000383 | 10840 | GTEx | DepMap | Descartes | 0.01 | 0.02 |
ROBO4 | -0.0000479 | 11812 | GTEx | DepMap | Descartes | 0.00 | 0.10 |
TIE1 | -0.0000532 | 12307 | GTEx | DepMap | Descartes | 0.00 | 0.11 |
BTNL9 | -0.0000563 | 12581 | GTEx | DepMap | Descartes | 0.00 | 0.00 |
Descartes stromal markers
Top 50 marker genes of stromal cells in the Decartes fetal adrenal single cell map (https://atlas.brotmanbaty.org/bbi/human-gene-expression-during-development/cell/stromal/in/adrenal)
Wilcoxon ranksum test P-value for gene set overrepresentation: 9.50e-03
Mean rank of genes in gene set: 7737.43
Median rank of genes in gene set: 4054
Rank on gene expression program of top 30 genes in gene set:
Genes | Weight | Rank | GTEx | DepMap | Descartes | Mean.Counts | Mean.TPM |
---|---|---|---|---|---|---|---|
DCN | 0.0020686 | 85 | GTEx | DepMap | Descartes | 27.19 | 133.05 |
BICC1 | 0.0019269 | 98 | GTEx | DepMap | Descartes | 4.12 | 3.29 |
COL3A1 | 0.0014476 | 150 | GTEx | DepMap | Descartes | 42.56 | 191.04 |
COL1A2 | 0.0011963 | 196 | GTEx | DepMap | Descartes | 36.43 | 172.11 |
PCOLCE | 0.0011697 | 201 | GTEx | DepMap | Descartes | 4.34 | 92.96 |
CDH11 | 0.0010610 | 236 | GTEx | DepMap | Descartes | 5.59 | 5.75 |
CCDC80 | 0.0010382 | 247 | GTEx | DepMap | Descartes | 3.31 | 18.26 |
COL1A1 | 0.0009258 | 297 | GTEx | DepMap | Descartes | 31.38 | 348.79 |
MGP | 0.0006265 | 542 | GTEx | DepMap | Descartes | 4.71 | 286.85 |
RSPO3 | 0.0005669 | 610 | GTEx | DepMap | Descartes | 2.36 | 4.00 |
FNDC1 | 0.0005609 | 618 | GTEx | DepMap | Descartes | 0.20 | 0.49 |
LOX | 0.0005356 | 658 | GTEx | DepMap | Descartes | 2.18 | 27.99 |
ELN | 0.0005148 | 704 | GTEx | DepMap | Descartes | 3.80 | 32.11 |
CD248 | 0.0003839 | 986 | GTEx | DepMap | Descartes | 2.18 | 140.11 |
ADAMTS2 | 0.0003279 | 1144 | GTEx | DepMap | Descartes | 0.63 | 0.75 |
SFRP2 | 0.0002970 | 1251 | GTEx | DepMap | Descartes | 10.36 | 221.17 |
ADAMTSL3 | 0.0002659 | 1397 | GTEx | DepMap | Descartes | 0.10 | 0.08 |
OGN | 0.0001648 | 2192 | GTEx | DepMap | Descartes | 3.05 | 31.83 |
ABCA6 | 0.0001251 | 2677 | GTEx | DepMap | Descartes | 0.04 | 0.12 |
C7 | 0.0001213 | 2744 | GTEx | DepMap | Descartes | 0.00 | 0.00 |
LUM | 0.0001104 | 2922 | GTEx | DepMap | Descartes | 5.46 | 129.91 |
FREM1 | 0.0000787 | 3595 | GTEx | DepMap | Descartes | 0.49 | 0.46 |
LAMC3 | 0.0000640 | 4019 | GTEx | DepMap | Descartes | 0.04 | 0.17 |
COL27A1 | 0.0000620 | 4089 | GTEx | DepMap | Descartes | 1.49 | 1.93 |
SULT1E1 | 0.0000281 | 5262 | GTEx | DepMap | Descartes | 0.02 | 0.14 |
HHIP | 0.0000224 | 5543 | GTEx | DepMap | Descartes | 0.18 | 0.29 |
GLI2 | 0.0000141 | 5911 | GTEx | DepMap | Descartes | 0.33 | 0.20 |
IGFBP3 | 0.0000140 | 5918 | GTEx | DepMap | Descartes | 2.20 | 41.52 |
ITGA11 | 0.0000069 | 6328 | GTEx | DepMap | Descartes | 0.05 | 0.11 |
PRICKLE1 | -0.0000121 | 7867 | GTEx | DepMap | Descartes | 0.67 | 1.19 |
Descartes sympathoblasts markers
Top 50 marker genes of sympathoblasts cells in the Decartes fetal adrenal single cell map (https://atlas.brotmanbaty.org/bbi/human-gene-expression-during-development/cell/sympathoblasts/in/adrenal)
Wilcoxon ranksum test P-value for gene set overrepresentation: 1.00e+00
Mean rank of genes in gene set: 12862.33
Median rank of genes in gene set: 14929.5
Rank on gene expression program of top 30 genes in gene set:
Genes | Weight | Rank | GTEx | DepMap | Descartes | Mean.Counts | Mean.TPM |
---|---|---|---|---|---|---|---|
TBX20 | 0.0006569 | 497 | GTEx | DepMap | Descartes | 0.73 | 2.42 |
ARC | 0.0004539 | 823 | GTEx | DepMap | Descartes | 0.10 | 5.63 |
LAMA3 | 0.0001545 | 2298 | GTEx | DepMap | Descartes | 0.18 | 0.10 |
GRID2 | 0.0000914 | 3280 | GTEx | DepMap | Descartes | 0.28 | 0.03 |
CDH12 | 0.0000629 | 4057 | GTEx | DepMap | Descartes | 0.03 | 0.00 |
GALNTL6 | 0.0000360 | 4940 | GTEx | DepMap | Descartes | 0.06 | 0.01 |
C1QL1 | -0.0000042 | 7099 | GTEx | DepMap | Descartes | 0.33 | 8.25 |
SLC24A2 | -0.0000199 | 8745 | GTEx | DepMap | Descartes | 0.04 | 0.03 |
CNTN3 | -0.0000204 | 8794 | GTEx | DepMap | Descartes | 0.12 | 0.05 |
PNMT | -0.0000219 | 8979 | GTEx | DepMap | Descartes | 0.02 | 2.51 |
GRM7 | -0.0000258 | 9458 | GTEx | DepMap | Descartes | 0.06 | 0.01 |
KCTD16 | -0.0000358 | 10589 | GTEx | DepMap | Descartes | 0.00 | 0.00 |
CDH18 | -0.0000440 | 11414 | GTEx | DepMap | Descartes | 0.05 | 0.01 |
AGBL4 | -0.0000457 | 11599 | GTEx | DepMap | Descartes | 0.00 | 0.00 |
FGF14 | -0.0000462 | 11646 | GTEx | DepMap | Descartes | 0.00 | 0.00 |
EML6 | -0.0000637 | 13163 | GTEx | DepMap | Descartes | 0.03 | 0.01 |
TENM1 | -0.0000662 | 13341 | GTEx | DepMap | Descartes | 0.02 | 0.00 |
PACRG | -0.0000700 | 13597 | GTEx | DepMap | Descartes | 0.06 | 0.02 |
SCG2 | -0.0000732 | 13806 | GTEx | DepMap | Descartes | 0.04 | 1.09 |
SLC35F3 | -0.0000777 | 14073 | GTEx | DepMap | Descartes | 0.01 | 0.00 |
KSR2 | -0.0000918 | 14840 | GTEx | DepMap | Descartes | 0.04 | 0.02 |
MGAT4C | -0.0000954 | 15019 | GTEx | DepMap | Descartes | 0.01 | 0.00 |
CCSER1 | -0.0000975 | 15132 | GTEx | DepMap | Descartes | 0.07 | 0.01 |
CHGB | -0.0001048 | 15482 | GTEx | DepMap | Descartes | 0.49 | 8.15 |
SORCS3 | -0.0001056 | 15514 | GTEx | DepMap | Descartes | 0.11 | 0.04 |
UNC80 | -0.0001091 | 15677 | GTEx | DepMap | Descartes | 0.04 | 0.02 |
DGKK | -0.0001092 | 15678 | GTEx | DepMap | Descartes | 0.13 | 0.17 |
GCH1 | -0.0001152 | 15931 | GTEx | DepMap | Descartes | 0.04 | 0.27 |
CHGA | -0.0001153 | 15934 | GTEx | DepMap | Descartes | 0.33 | 7.65 |
ST18 | -0.0001170 | 16013 | GTEx | DepMap | Descartes | 0.06 | 0.02 |
Descartes erythroblasts markers
Top 50 marker genes of erythroblasts cells in the Decartes fetal adrenal single cell map (https://atlas.brotmanbaty.org/bbi/human-gene-expression-during-development/cell/erythroblasts/in/adrenal)
Wilcoxon ranksum test P-value for gene set overrepresentation: 5.42e-02
Mean rank of genes in gene set: 8173.36
Median rank of genes in gene set: 8124
Rank on gene expression program of top 30 genes in gene set:
Genes | Weight | Rank | GTEx | DepMap | Descartes | Mean.Counts | Mean.TPM |
---|---|---|---|---|---|---|---|
MICAL2 | 0.0016637 | 117 | GTEx | DepMap | Descartes | 0.67 | 0.59 |
SELENBP1 | 0.0006181 | 552 | GTEx | DepMap | Descartes | 0.99 | 15.90 |
GYPC | 0.0003789 | 1003 | GTEx | DepMap | Descartes | 0.78 | 3.88 |
SOX6 | 0.0003517 | 1074 | GTEx | DepMap | Descartes | 1.03 | 0.32 |
RGS6 | 0.0002471 | 1496 | GTEx | DepMap | Descartes | 0.15 | 0.04 |
CPOX | 0.0002423 | 1535 | GTEx | DepMap | Descartes | 0.64 | 2.11 |
TSPAN5 | 0.0001278 | 2631 | GTEx | DepMap | Descartes | 1.07 | 1.18 |
TMEM56 | 0.0000976 | 3146 | GTEx | DepMap | Descartes | 0.08 | 0.20 |
DENND4A | 0.0000814 | 3518 | GTEx | DepMap | Descartes | 0.16 | 0.20 |
CR1L | 0.0000711 | 3807 | GTEx | DepMap | Descartes | 0.97 | 4.34 |
FECH | 0.0000669 | 3936 | GTEx | DepMap | Descartes | 0.89 | 4.08 |
TFR2 | 0.0000641 | 4016 | GTEx | DepMap | Descartes | 0.04 | 0.49 |
SPECC1 | 0.0000597 | 4146 | GTEx | DepMap | Descartes | 0.73 | 0.45 |
SPTA1 | 0.0000266 | 5342 | GTEx | DepMap | Descartes | 0.02 | 0.04 |
XPO7 | -0.0000010 | 6859 | GTEx | DepMap | Descartes | 0.98 | 1.55 |
RAPGEF2 | -0.0000059 | 7235 | GTEx | DepMap | Descartes | 0.64 | 0.44 |
SLC25A37 | -0.0000098 | 7614 | GTEx | DepMap | Descartes | 0.38 | 1.22 |
BLVRB | -0.0000101 | 7645 | GTEx | DepMap | Descartes | 1.29 | 11.64 |
MARCH3 | -0.0000186 | 8603 | GTEx | DepMap | Descartes | 0.03 | 0.02 |
EPB42 | -0.0000240 | 9244 | GTEx | DepMap | Descartes | 0.00 | 0.00 |
RHD | -0.0000344 | 10431 | GTEx | DepMap | Descartes | 0.03 | 0.10 |
ALAS2 | -0.0000359 | 10595 | GTEx | DepMap | Descartes | 0.18 | 0.60 |
RHAG | -0.0000403 | 11042 | GTEx | DepMap | Descartes | 0.00 | 0.00 |
TRAK2 | -0.0000412 | 11149 | GTEx | DepMap | Descartes | 0.27 | 0.70 |
SLC4A1 | -0.0000418 | 11226 | GTEx | DepMap | Descartes | 0.00 | 0.00 |
GYPA | -0.0000437 | 11395 | GTEx | DepMap | Descartes | 0.02 | 0.11 |
HEMGN | -0.0000542 | 12410 | GTEx | DepMap | Descartes | 0.00 | 0.02 |
ABCB10 | -0.0000585 | 12750 | GTEx | DepMap | Descartes | 0.35 | 1.83 |
GCLC | -0.0000667 | 13364 | GTEx | DepMap | Descartes | 0.41 | 1.55 |
CAT | -0.0000668 | 13373 | GTEx | DepMap | Descartes | 1.06 | 6.05 |
Descartes myeloid markers
Top 50 marker genes of myeloid cells in the Decartes fetal adrenal single cell map (https://atlas.brotmanbaty.org/bbi/human-gene-expression-during-development/cell/myeloid/in/adrenal)
Wilcoxon ranksum test P-value for gene set overrepresentation: 3.69e-01
Mean rank of genes in gene set: 9376.48
Median rank of genes in gene set: 10741.5
Rank on gene expression program of top 30 genes in gene set:
Genes | Weight | Rank | GTEx | DepMap | Descartes | Mean.Counts | Mean.TPM |
---|---|---|---|---|---|---|---|
CST3 | 0.0007450 | 411 | GTEx | DepMap | Descartes | 11.80 | 523.18 |
FGL2 | 0.0005366 | 654 | GTEx | DepMap | Descartes | 0.13 | 2.57 |
AXL | 0.0004681 | 790 | GTEx | DepMap | Descartes | 1.86 | 10.24 |
RGL1 | 0.0003449 | 1094 | GTEx | DepMap | Descartes | 1.02 | 0.69 |
FMN1 | 0.0003014 | 1226 | GTEx | DepMap | Descartes | 0.19 | 0.08 |
CTSD | 0.0002234 | 1662 | GTEx | DepMap | Descartes | 4.10 | 59.29 |
CSF1R | 0.0001685 | 2156 | GTEx | DepMap | Descartes | 0.16 | 0.71 |
WWP1 | 0.0001064 | 2989 | GTEx | DepMap | Descartes | 0.93 | 1.28 |
MERTK | 0.0000806 | 3538 | GTEx | DepMap | Descartes | 0.20 | 0.31 |
CTSB | 0.0000787 | 3588 | GTEx | DepMap | Descartes | 3.71 | 26.40 |
MS4A4A | 0.0000752 | 3706 | GTEx | DepMap | Descartes | 0.00 | 0.02 |
CTSC | 0.0000529 | 4333 | GTEx | DepMap | Descartes | 0.39 | 1.39 |
ABCA1 | 0.0000103 | 6137 | GTEx | DepMap | Descartes | 0.47 | 0.51 |
IFNGR1 | 0.0000083 | 6242 | GTEx | DepMap | Descartes | 0.43 | 3.94 |
RNASE1 | -0.0000143 | 8109 | GTEx | DepMap | Descartes | 0.00 | 0.00 |
LGMN | -0.0000210 | 8867 | GTEx | DepMap | Descartes | 0.93 | 2.69 |
HRH1 | -0.0000222 | 9027 | GTEx | DepMap | Descartes | 0.00 | 0.00 |
SFMBT2 | -0.0000225 | 9066 | GTEx | DepMap | Descartes | 0.07 | 0.04 |
CD14 | -0.0000250 | 9354 | GTEx | DepMap | Descartes | 0.05 | 4.02 |
CPVL | -0.0000336 | 10341 | GTEx | DepMap | Descartes | 0.01 | 0.01 |
CYBB | -0.0000362 | 10632 | GTEx | DepMap | Descartes | 0.02 | 0.03 |
CD74 | -0.0000384 | 10851 | GTEx | DepMap | Descartes | 0.02 | 0.29 |
MSR1 | -0.0000473 | 11752 | GTEx | DepMap | Descartes | 0.01 | 0.02 |
MPEG1 | -0.0000477 | 11786 | GTEx | DepMap | Descartes | 0.04 | 0.62 |
MS4A7 | -0.0000504 | 12041 | GTEx | DepMap | Descartes | 0.04 | 0.20 |
CTSS | -0.0000504 | 12046 | GTEx | DepMap | Descartes | 0.04 | 0.15 |
HCK | -0.0000556 | 12519 | GTEx | DepMap | Descartes | 0.03 | 0.05 |
C1QA | -0.0000562 | 12565 | GTEx | DepMap | Descartes | 0.10 | 3.06 |
SLCO2B1 | -0.0000588 | 12772 | GTEx | DepMap | Descartes | 0.02 | 0.07 |
SPP1 | -0.0000588 | 12777 | GTEx | DepMap | Descartes | 0.02 | 0.68 |
Descartes Schwann markers
Top 50 marker genes of Schwann cells in the Decartes fetal adrenal single cell map (https://atlas.brotmanbaty.org/bbi/human-gene-expression-during-development/cell/schwann/in/adrenal)
Wilcoxon ranksum test P-value for gene set overrepresentation: 9.65e-01
Mean rank of genes in gene set: 11134.47
Median rank of genes in gene set: 14595
Rank on gene expression program of top 30 genes in gene set:
Genes | Weight | Rank | GTEx | DepMap | Descartes | Mean.Counts | Mean.TPM |
---|---|---|---|---|---|---|---|
PTN | 0.0010983 | 218 | GTEx | DepMap | Descartes | 53.39 | 92.89 |
COL5A2 | 0.0010880 | 227 | GTEx | DepMap | Descartes | 8.69 | 11.36 |
VIM | 0.0008938 | 318 | GTEx | DepMap | Descartes | 36.39 | 649.58 |
PMP22 | 0.0008882 | 321 | GTEx | DepMap | Descartes | 4.79 | 31.21 |
SFRP1 | 0.0007743 | 389 | GTEx | DepMap | Descartes | 9.63 | 45.75 |
COL18A1 | 0.0006727 | 477 | GTEx | DepMap | Descartes | 3.46 | 4.88 |
LAMB1 | 0.0006146 | 559 | GTEx | DepMap | Descartes | 3.82 | 9.14 |
LAMC1 | 0.0005337 | 663 | GTEx | DepMap | Descartes | 1.38 | 1.77 |
PLCE1 | 0.0004895 | 741 | GTEx | DepMap | Descartes | 0.90 | 0.44 |
PAG1 | 0.0003055 | 1210 | GTEx | DepMap | Descartes | 0.44 | 0.52 |
ADAMTS5 | 0.0002905 | 1284 | GTEx | DepMap | Descartes | 1.32 | 4.88 |
STARD13 | 0.0001974 | 1850 | GTEx | DepMap | Descartes | 0.31 | 0.21 |
SORCS1 | 0.0001016 | 3082 | GTEx | DepMap | Descartes | 0.29 | 0.07 |
IL1RAPL1 | 0.0000908 | 3294 | GTEx | DepMap | Descartes | 0.16 | 0.02 |
XKR4 | 0.0000195 | 5643 | GTEx | DepMap | Descartes | 0.07 | NA |
ERBB4 | 0.0000012 | 6692 | GTEx | DepMap | Descartes | 0.12 | 0.02 |
SCN7A | -0.0000274 | 9631 | GTEx | DepMap | Descartes | 0.00 | 0.01 |
OLFML2A | -0.0000348 | 10474 | GTEx | DepMap | Descartes | 0.13 | 0.38 |
PPP2R2B | -0.0000378 | 10787 | GTEx | DepMap | Descartes | 0.64 | 0.22 |
DST | -0.0000442 | 11432 | GTEx | DepMap | Descartes | 3.28 | 1.10 |
IL1RAPL2 | -0.0000549 | 12461 | GTEx | DepMap | Descartes | 0.04 | 0.00 |
PTPRZ1 | -0.0000616 | 13011 | GTEx | DepMap | Descartes | 0.39 | 0.24 |
GRIK3 | -0.0000797 | 14167 | GTEx | DepMap | Descartes | 0.03 | 0.02 |
LRRTM4 | -0.0000869 | 14595 | GTEx | DepMap | Descartes | 0.04 | 0.01 |
TRPM3 | -0.0000880 | 14648 | GTEx | DepMap | Descartes | 0.04 | 0.01 |
GAS7 | -0.0000912 | 14818 | GTEx | DepMap | Descartes | 0.40 | 0.28 |
MPZ | -0.0001036 | 15413 | GTEx | DepMap | Descartes | 0.62 | 4.77 |
CDH19 | -0.0001109 | 15753 | GTEx | DepMap | Descartes | 0.03 | 0.03 |
FAM134B | -0.0001121 | 15797 | GTEx | DepMap | Descartes | 0.20 | NA |
FIGN | -0.0001196 | 16118 | GTEx | DepMap | Descartes | 0.69 | 0.73 |
Descartes Megakaryocytes markers
Top 50 marker genes of Megakaryocytes cells in the Decartes fetal adrenal single cell map (https://atlas.brotmanbaty.org/bbi/human-gene-expression-during-development/cell/megakaryocytes/in/adrenal)
Wilcoxon ranksum test P-value for gene set overrepresentation: 5.11e-01
Mean rank of genes in gene set: 9686.77
Median rank of genes in gene set: 11700
Rank on gene expression program of top 30 genes in gene set:
Genes | Weight | Rank | GTEx | DepMap | Descartes | Mean.Counts | Mean.TPM |
---|---|---|---|---|---|---|---|
STOM | 0.0018160 | 108 | GTEx | DepMap | Descartes | 0.73 | 6.25 |
THBS1 | 0.0010503 | 242 | GTEx | DepMap | Descartes | 2.59 | 25.57 |
ZYX | 0.0009637 | 277 | GTEx | DepMap | Descartes | 5.23 | 92.19 |
TLN1 | 0.0006385 | 525 | GTEx | DepMap | Descartes | 4.44 | 23.87 |
ARHGAP6 | 0.0006214 | 549 | GTEx | DepMap | Descartes | 0.32 | 0.11 |
GSN | 0.0005776 | 598 | GTEx | DepMap | Descartes | 3.26 | 11.01 |
PDE3A | 0.0003935 | 959 | GTEx | DepMap | Descartes | 0.65 | 0.40 |
MYH9 | 0.0003654 | 1032 | GTEx | DepMap | Descartes | 2.44 | 4.08 |
FLNA | 0.0002943 | 1266 | GTEx | DepMap | Descartes | 7.44 | 44.71 |
TPM4 | 0.0002822 | 1315 | GTEx | DepMap | Descartes | 6.73 | 43.96 |
LTBP1 | 0.0002662 | 1394 | GTEx | DepMap | Descartes | 2.15 | 0.91 |
TMSB4X | 0.0002416 | 1543 | GTEx | DepMap | Descartes | 93.91 | 6481.60 |
MCTP1 | 0.0001123 | 2894 | GTEx | DepMap | Descartes | 0.05 | 0.01 |
TRPC6 | 0.0000394 | 4814 | GTEx | DepMap | Descartes | 0.02 | 0.02 |
TGFB1 | 0.0000339 | 5030 | GTEx | DepMap | Descartes | 0.25 | 2.59 |
STON2 | 0.0000081 | 6257 | GTEx | DepMap | Descartes | 0.11 | 0.10 |
RAB27B | 0.0000011 | 6704 | GTEx | DepMap | Descartes | 0.05 | 0.04 |
MED12L | -0.0000003 | 6803 | GTEx | DepMap | Descartes | 0.07 | 0.03 |
ITGA2B | -0.0000111 | 7768 | GTEx | DepMap | Descartes | 0.08 | 0.68 |
P2RX1 | -0.0000145 | 8148 | GTEx | DepMap | Descartes | 0.00 | 0.02 |
PSTPIP2 | -0.0000223 | 9030 | GTEx | DepMap | Descartes | 0.00 | 0.00 |
VCL | -0.0000286 | 9763 | GTEx | DepMap | Descartes | 1.61 | 2.19 |
ITGB3 | -0.0000409 | 11119 | GTEx | DepMap | Descartes | 0.08 | 0.21 |
DOK6 | -0.0000468 | 11700 | GTEx | DepMap | Descartes | 0.02 | 0.01 |
SLC24A3 | -0.0000482 | 11843 | GTEx | DepMap | Descartes | 0.31 | 0.10 |
ACTN1 | -0.0000497 | 11966 | GTEx | DepMap | Descartes | 2.43 | 4.00 |
BIN2 | -0.0000512 | 12125 | GTEx | DepMap | Descartes | 0.02 | 0.05 |
SPN | -0.0000558 | 12540 | GTEx | DepMap | Descartes | 0.00 | 0.00 |
MMRN1 | -0.0000579 | 12696 | GTEx | DepMap | Descartes | 0.01 | 0.02 |
PPBP | -0.0000717 | 13708 | GTEx | DepMap | Descartes | 0.03 | 3.09 |
Descartes Lyphoid markers
Top 50 marker genes of Lyphoid cells in the Decartes fetal adrenal single cell map (https://atlas.brotmanbaty.org/bbi/human-gene-expression-during-development/cell/lymphoid/in/adrenal)
Wilcoxon ranksum test P-value for gene set overrepresentation: 4.75e-01
Mean rank of genes in gene set: 9611.07
Median rank of genes in gene set: 9956
Rank on gene expression program of top 30 genes in gene set:
Genes | Weight | Rank | GTEx | DepMap | Descartes | Mean.Counts | Mean.TPM |
---|---|---|---|---|---|---|---|
LCP1 | 0.0014926 | 139 | GTEx | DepMap | Descartes | 0.49 | 0.71 |
CCND3 | 0.0011672 | 205 | GTEx | DepMap | Descartes | 11.55 | 21.32 |
RCSD1 | 0.0008374 | 343 | GTEx | DepMap | Descartes | 0.99 | 2.68 |
B2M | 0.0006402 | 520 | GTEx | DepMap | Descartes | 2.10 | 62.27 |
ARHGDIB | 0.0003524 | 1071 | GTEx | DepMap | Descartes | 1.18 | 9.09 |
PLEKHA2 | 0.0002966 | 1254 | GTEx | DepMap | Descartes | 0.21 | 0.70 |
CELF2 | 0.0002404 | 1553 | GTEx | DepMap | Descartes | 3.97 | 0.65 |
MCTP2 | 0.0001781 | 2058 | GTEx | DepMap | Descartes | 0.05 | 0.04 |
TMSB10 | 0.0001500 | 2347 | GTEx | DepMap | Descartes | 57.45 | 6296.39 |
ABLIM1 | 0.0000918 | 3268 | GTEx | DepMap | Descartes | 1.01 | 0.50 |
SP100 | 0.0000772 | 3651 | GTEx | DepMap | Descartes | 0.00 | 0.00 |
STK39 | 0.0000733 | 3749 | GTEx | DepMap | Descartes | 0.98 | 0.62 |
MSN | 0.0000590 | 4168 | GTEx | DepMap | Descartes | 1.25 | 2.66 |
IKZF1 | 0.0000518 | 4367 | GTEx | DepMap | Descartes | 0.02 | 0.04 |
ETS1 | 0.0000504 | 4412 | GTEx | DepMap | Descartes | 0.90 | 1.15 |
ARID5B | 0.0000323 | 5081 | GTEx | DepMap | Descartes | 1.53 | 1.30 |
CD44 | 0.0000220 | 5554 | GTEx | DepMap | Descartes | 0.14 | 0.23 |
ITPKB | 0.0000139 | 5923 | GTEx | DepMap | Descartes | 0.56 | 0.87 |
RAP1GAP2 | -0.0000061 | 7257 | GTEx | DepMap | Descartes | 0.07 | 0.06 |
PTPRC | -0.0000191 | 8651 | GTEx | DepMap | Descartes | 0.02 | 0.02 |
WIPF1 | -0.0000258 | 9457 | GTEx | DepMap | Descartes | 0.42 | 0.72 |
FAM65B | -0.0000347 | 10455 | GTEx | DepMap | Descartes | 0.14 | NA |
MBNL1 | -0.0000406 | 11086 | GTEx | DepMap | Descartes | 1.64 | 1.56 |
NKG7 | -0.0000414 | 11181 | GTEx | DepMap | Descartes | 0.00 | 0.00 |
SCML4 | -0.0000555 | 12516 | GTEx | DepMap | Descartes | 0.01 | 0.01 |
ARHGAP15 | -0.0000564 | 12589 | GTEx | DepMap | Descartes | 0.00 | 0.00 |
PDE3B | -0.0000589 | 12785 | GTEx | DepMap | Descartes | 0.30 | 0.31 |
ANKRD44 | -0.0000635 | 13144 | GTEx | DepMap | Descartes | 0.68 | 0.42 |
SKAP1 | -0.0000878 | 14639 | GTEx | DepMap | Descartes | 0.02 | 0.01 |
NCALD | -0.0000899 | 14745 | GTEx | DepMap | Descartes | 0.33 | 0.11 |
Below shows the ranks on this GEP for immune marker gene lists curated by CellTypist (https://www.celltypist.org/encyclopedia).
High ranks indicate this gene is a driver of this GEP.
These curated gene list are ranked by P-value (on this GEP) of their constituent genes.
The Mean Count column shows the mean read count in cells scoring highly (H > 50) on this gene expression program.
Genes | Weight | Rank | GTEx | DepMap | Decartes | Mean.Counts | Mean.TPM |
---|---|---|---|---|---|---|---|
DCN | 0.0020686 | 85 | GTEx | DepMap | Descartes | 27.19 | 133.05 |
COL1A2 | 0.0011963 | 196 | GTEx | DepMap | Descartes | 36.43 | 172.11 |
COL1A1 | 0.0009258 | 297 | GTEx | DepMap | Descartes | 31.38 | 348.79 |
T cells: Tcm/Naive helper T cells (model markers)
CD4+ helper T lymphocytes mainly localized in secondary lymphoid tissues and sustaining the responses by proliferating and producing new effectors:
Wilcoxon ranksum test P-value for gene set overrepresentation: 4.12e-03
Mean rank of genes in gene set: 3646.33
Rank on gene expression program of genes in gene set:
Genes | Weight | Rank | GTEx | DepMap | Decartes | Mean.Counts | Mean.TPM |
---|---|---|---|---|---|---|---|
CTSL | 0.0012613 | 176 | GTEx | DepMap | Descartes | 8.81 | 126.21 |
FCGRT | 0.0010345 | 249 | GTEx | DepMap | Descartes | 1.19 | 21.71 |
RPS18 | 0.0006802 | 469 | GTEx | DepMap | Descartes | 42.10 | 1507.57 |
TMSB10 | 0.0001500 | 2347 | GTEx | DepMap | Descartes | 57.45 | 6296.39 |
IGFBP1 | -0.0000119 | 7853 | GTEx | DepMap | Descartes | 0.00 | 0.00 |
LTB | -0.0000378 | 10784 | GTEx | DepMap | Descartes | 0.01 | 0.64 |
T cells: Type 17 helper T cells (model markers)
CD4+ helper T lymphocyte subpopulation which is capable of producing interleukin 17 (IL-17) and mediating protective immunity and autoimmunity:
Wilcoxon ranksum test P-value for gene set overrepresentation: 1.09e-02
Mean rank of genes in gene set: 611.5
Rank on gene expression program of genes in gene set:
Genes | Weight | Rank | GTEx | DepMap | Decartes | Mean.Counts | Mean.TPM |
---|---|---|---|---|---|---|---|
S100A4 | 0.0014526 | 147 | GTEx | DepMap | Descartes | 0.13 | 8.17 |
ANXA1 | 0.0003515 | 1076 | GTEx | DepMap | Descartes | 1.21 | 9.94 |