Program description and justification of annotation: 3.
Submit a comment on this gene expression program’s interpretation: CLICK
QQ-plot of gene loadings, averaged over both independent splits of the data
This plot highlights the relative contribution of each gene to the GEP
Top genes driving this program.
Note: Decartes website is buggy, try refreshing. Also, Decartes fetal adrenal data have been collected at specific time points (89-122 days), all possible cell types of interest may not be represented, do not overinterpret.
The Mean Count column shows the mean read count in cells scoring highly (H > 50) on this gene expression program.
Gene | Loading | Gene.Name | GTEx | DepMap | Descartes | Mean.Counts | Mean.Tpm | |
---|---|---|---|---|---|---|---|---|
1 | THBS1 | 0.0168432 | thrombospondin 1 | GTEx | DepMap | Descartes | 1.73 | 816.02 |
2 | SERPINE1 | 0.0162922 | serpin family E member 1 | GTEx | DepMap | Descartes | 6.18 | 7025.02 |
3 | FOSB | 0.0143859 | FosB proto-oncogene, AP-1 transcription factor subunit | GTEx | DepMap | Descartes | 1.40 | 1571.47 |
4 | THBS2 | 0.0139843 | thrombospondin 2 | GTEx | DepMap | Descartes | 1.07 | 664.87 |
5 | COL8A1 | 0.0133032 | collagen type VIII alpha 1 chain | GTEx | DepMap | Descartes | 0.80 | 429.63 |
6 | ANXA1 | 0.0130613 | annexin A1 | GTEx | DepMap | Descartes | 1.19 | 1911.66 |
7 | IGF1 | 0.0127384 | insulin like growth factor 1 | GTEx | DepMap | Descartes | 0.52 | 280.94 |
8 | COL5A2 | 0.0124605 | collagen type V alpha 2 chain | GTEx | DepMap | Descartes | 1.46 | 665.52 |
9 | FAP | 0.0118736 | fibroblast activation protein alpha | GTEx | DepMap | Descartes | 0.58 | 702.87 |
10 | FGF7 | 0.0116557 | fibroblast growth factor 7 | GTEx | DepMap | Descartes | 0.33 | 223.12 |
11 | IL1R1 | 0.0116421 | interleukin 1 receptor type 1 | GTEx | DepMap | Descartes | 0.57 | 438.89 |
12 | VCAN | 0.0114270 | versican | GTEx | DepMap | Descartes | 1.26 | 328.37 |
13 | NR4A1 | 0.0114033 | nuclear receptor subfamily 4 group A member 1 | GTEx | DepMap | Descartes | 1.15 | 984.51 |
14 | ADAM12 | 0.0113491 | ADAM metallopeptidase domain 12 | GTEx | DepMap | Descartes | 0.89 | 323.96 |
15 | COL12A1 | 0.0109872 | collagen type XII alpha 1 chain | GTEx | DepMap | Descartes | 0.54 | 138.89 |
16 | ITGBL1 | 0.0109079 | integrin subunit beta like 1 | GTEx | DepMap | Descartes | 0.54 | 376.52 |
17 | CRISPLD2 | 0.0106638 | cysteine rich secretory protein LCCL domain containing 2 | GTEx | DepMap | Descartes | 0.57 | 476.64 |
18 | EMP1 | 0.0102362 | epithelial membrane protein 1 | GTEx | DepMap | Descartes | 0.89 | 572.62 |
19 | NR4A3 | 0.0095350 | nuclear receptor subfamily 4 group A member 3 | GTEx | DepMap | Descartes | 0.31 | 224.98 |
20 | ATP10A | 0.0091303 | ATPase phospholipid transporting 10A (putative) | GTEx | DepMap | Descartes | 0.35 | 168.52 |
21 | COL14A1 | 0.0091133 | collagen type XIV alpha 1 chain | GTEx | DepMap | Descartes | 0.38 | 171.34 |
22 | MEDAG | 0.0089254 | mesenteric estrogen dependent adipogenesis | GTEx | DepMap | Descartes | 0.21 | NA |
23 | MYOF | 0.0088402 | myoferlin | GTEx | DepMap | Descartes | 0.43 | 197.97 |
24 | LMCD1 | 0.0086581 | LIM and cysteine rich domains 1 | GTEx | DepMap | Descartes | 0.34 | 137.66 |
25 | PLOD2 | 0.0086185 | procollagen-lysine,2-oxoglutarate 5-dioxygenase 2 | GTEx | DepMap | Descartes | 0.46 | 385.65 |
26 | GLIS3 | 0.0086090 | GLIS family zinc finger 3 | GTEx | DepMap | Descartes | 0.92 | 409.34 |
27 | NFATC2 | 0.0085361 | nuclear factor of activated T cells 2 | GTEx | DepMap | Descartes | 0.71 | 281.21 |
28 | COL3A1 | 0.0083839 | collagen type III alpha 1 chain | GTEx | DepMap | Descartes | 3.01 | 1612.77 |
29 | AEBP1 | 0.0082526 | AE binding protein 1 | GTEx | DepMap | Descartes | 1.56 | 1518.95 |
30 | CNN1 | 0.0081424 | calponin 1 | GTEx | DepMap | Descartes | 0.19 | 325.10 |
31 | OSMR | 0.0080611 | oncostatin M receptor | GTEx | DepMap | Descartes | 0.31 | 179.48 |
32 | TIMP1 | 0.0079781 | TIMP metallopeptidase inhibitor 1 | GTEx | DepMap | Descartes | 2.25 | 7429.49 |
33 | IFITM10 | 0.0079239 | interferon induced transmembrane protein 10 | GTEx | DepMap | Descartes | 0.18 | 210.10 |
34 | GPRC5A | 0.0078836 | G protein-coupled receptor class C group 5 member A | GTEx | DepMap | Descartes | 0.19 | 91.36 |
35 | CALD1 | 0.0078469 | caldesmon 1 | GTEx | DepMap | Descartes | 2.31 | 1398.36 |
36 | COMP | 0.0078245 | cartilage oligomeric matrix protein | GTEx | DepMap | Descartes | 0.94 | 1211.97 |
37 | DUSP1 | 0.0077226 | dual specificity phosphatase 1 | GTEx | DepMap | Descartes | 1.20 | 2266.34 |
38 | GADD45B | 0.0076873 | growth arrest and DNA damage inducible beta | GTEx | DepMap | Descartes | 0.44 | 958.11 |
39 | GFPT2 | 0.0076852 | glutamine-fructose-6-phosphate transaminase 2 | GTEx | DepMap | Descartes | 0.31 | 417.92 |
40 | NTM | 0.0076824 | neurotrimin | GTEx | DepMap | Descartes | 0.54 | 471.44 |
41 | MMP19 | 0.0076343 | matrix metallopeptidase 19 | GTEx | DepMap | Descartes | 0.33 | 340.14 |
42 | INHBA | 0.0075904 | inhibin subunit beta A | GTEx | DepMap | Descartes | 0.23 | 156.28 |
43 | PRKG1 | 0.0074105 | protein kinase cGMP-dependent 1 | GTEx | DepMap | Descartes | 1.32 | 505.15 |
44 | COL5A1 | 0.0073162 | collagen type V alpha 1 chain | GTEx | DepMap | Descartes | 0.74 | 286.41 |
45 | PARD3B | 0.0072839 | par-3 family cell polarity regulator beta | GTEx | DepMap | Descartes | 0.74 | 265.11 |
46 | MYL9 | 0.0071514 | myosin light chain 9 | GTEx | DepMap | Descartes | 0.35 | 419.11 |
47 | PLAU | 0.0070691 | plasminogen activator, urokinase | GTEx | DepMap | Descartes | 0.34 | 514.83 |
48 | IGFBP7 | 0.0070574 | insulin like growth factor binding protein 7 | GTEx | DepMap | Descartes | 1.48 | 2839.58 |
49 | ZFP36 | 0.0070450 | ZFP36 ring finger protein | GTEx | DepMap | Descartes | 0.68 | 1388.99 |
50 | CDH11 | 0.0070042 | cadherin 11 | GTEx | DepMap | Descartes | 0.59 | 258.81 |
UMAP plots showing activity of gene expression program identified in community:3. Cancer Associated Fibroblast: Myofibroblastic (IGF1+)
CNV Data procured from inferCNV.
Outer tracks are putative CNV regions (gains = red, losses = blue) for each patient
Inner track is expression data representing:
The top cells expressing this GEP (purple)
Random cells (n =50) from the reference set used in inferCNV (orange)
Gene set Enrichments for this program, caculated from top 50 genes
mSigDB Cell Types Gene Set:
P-value | OR | Lower 95% CI | FDR | FWER | Genes Found | Gene Set Size | |
---|---|---|---|---|---|---|---|
DESCARTES_FETAL_EYE_STROMAL_CELLS | 3.79e-14 | 44.55 | 19.83 | 5.08e-12 | 2.54e-11 | 11THBS1, THBS2, COL5A2, COL12A1, ITGBL1, COL14A1, MEDAG, COL3A1, MMP19, INHBA, COL5A1 |
90 |
AIZARANI_LIVER_C21_STELLATE_CELLS_1 | 1.40e-17 | 33.03 | 16.71 | 4.69e-15 | 9.37e-15 | 16THBS1, SERPINE1, FOSB, THBS2, CRISPLD2, EMP1, COL14A1, COL3A1, AEBP1, TIMP1, CALD1, MMP19, COL5A1, MYL9, IGFBP7, ZFP36 |
194 |
DESCARTES_MAIN_FETAL_STROMAL_CELLS | 1.02e-06 | 67.68 | 15.86 | 3.44e-05 | 6.87e-04 | 4THBS2, COL12A1, ITGBL1, COL5A1 |
20 |
MURARO_PANCREAS_MESENCHYMAL_STROMAL_CELL | 2.05e-26 | 28.91 | 15.78 | 1.37e-23 | 1.37e-23 | 30THBS1, SERPINE1, THBS2, COL8A1, ANXA1, COL5A2, FAP, FGF7, IL1R1, VCAN, ADAM12, COL12A1, CRISPLD2, EMP1, MEDAG, MYOF, LMCD1, PLOD2, COL3A1, AEBP1, OSMR, TIMP1, CALD1, GFPT2, INHBA, PRKG1, COL5A1, PLAU, IGFBP7, CDH11 |
680 |
DURANTE_ADULT_OLFACTORY_NEUROEPITHELIUM_VASCULAR_SMOOTH_MUSCLE_CELLS | 8.31e-11 | 32.63 | 13.51 | 7.97e-09 | 5.58e-08 | 9THBS1, CRISPLD2, COL14A1, CNN1, CALD1, GADD45B, MYL9, IGFBP7, ZFP36 |
93 |
DURANTE_ADULT_OLFACTORY_NEUROEPITHELIUM_FIBROBLASTS_STROMAL_CELLS | 9.58e-10 | 32.13 | 12.59 | 6.43e-08 | 6.43e-07 | 8FGF7, ITGBL1, COL3A1, AEBP1, TIMP1, CALD1, IGFBP7, CDH11 |
82 |
TRAVAGLINI_LUNG_ADVENTITIAL_FIBROBLAST_CELL | 4.58e-16 | 23.08 | 11.91 | 1.02e-13 | 3.07e-13 | 17FOSB, THBS2, ANXA1, IGF1, FGF7, IL1R1, NR4A1, EMP1, MEDAG, COL3A1, TIMP1, GPRC5A, DUSP1, GFPT2, NTM, PLAU, ZFP36 |
296 |
TRAVAGLINI_LUNG_LIPOFIBROBLAST_CELL | 2.06e-10 | 22.97 | 10.03 | 1.63e-08 | 1.38e-07 | 10THBS2, FGF7, IL1R1, NR4A3, MEDAG, COL3A1, TIMP1, GPRC5A, GFPT2, MMP19 |
146 |
DESCARTES_FETAL_THYMUS_STROMAL_CELLS | 2.64e-09 | 21.41 | 8.97 | 1.18e-07 | 1.77e-06 | 9THBS2, COL5A2, VCAN, ADAM12, COL12A1, COL14A1, COL3A1, TIMP1, COL5A1 |
137 |
GAO_LARGE_INTESTINE_24W_C1_DCLK1POS_PROGENITOR | 1.10e-07 | 22.09 | 8.17 | 4.62e-06 | 7.39e-05 | 7THBS2, COL8A1, COL5A2, VCAN, COL14A1, COL3A1, COL5A1 |
99 |
HAY_BONE_MARROW_STROMAL | 7.27e-15 | 13.23 | 7.18 | 1.22e-12 | 4.87e-12 | 22FOSB, THBS2, COL5A2, FAP, FGF7, IL1R1, COL12A1, ITGBL1, EMP1, COL14A1, MEDAG, LMCD1, COL3A1, OSMR, GPRC5A, CALD1, GADD45B, MMP19, COL5A1, IGFBP7, ZFP36, CDH11 |
765 |
TRAVAGLINI_LUNG_MYOFIBROBLAST_CELL | 5.50e-06 | 23.11 | 6.92 | 1.37e-04 | 3.69e-03 | 5VCAN, COL12A1, COL3A1, COMP, NTM |
65 |
CUI_DEVELOPING_HEART_C3_FIBROBLAST_LIKE_CELL | 3.45e-07 | 18.49 | 6.86 | 1.28e-05 | 2.31e-04 | 7THBS2, COL5A2, COL12A1, COL14A1, TIMP1, COL5A1, IGFBP7 |
117 |
FAN_OVARY_CL6_PUTATIVE_EARLY_ATRETIC_FOLLICLE_THECAL_CELL_2 | 1.16e-09 | 13.70 | 6.45 | 7.06e-08 | 7.77e-07 | 12FOSB, IGF1, NR4A1, COL3A1, AEBP1, TIMP1, CALD1, DUSP1, GADD45B, MYL9, ZFP36, CDH11 |
300 |
FAN_EMBRYONIC_CTX_BRAIN_ENDOTHELIAL_2 | 1.29e-09 | 13.56 | 6.39 | 7.23e-08 | 8.68e-07 | 12COL5A2, ADAM12, MYOF, COL3A1, AEBP1, TIMP1, CALD1, NTM, PRKG1, MYL9, IGFBP7, CDH11 |
303 |
AIZARANI_LIVER_C33_STELLATE_CELLS_2 | 5.68e-07 | 17.09 | 6.36 | 2.01e-05 | 3.81e-04 | 7CRISPLD2, COL3A1, CALD1, PRKG1, COL5A1, MYL9, IGFBP7 |
126 |
AIZARANI_LIVER_C29_MVECS_2 | 1.85e-09 | 13.12 | 6.18 | 8.89e-08 | 1.24e-06 | 12SERPINE1, FOSB, COL8A1, ANXA1, IL1R1, EMP1, MYOF, NFATC2, COL3A1, TIMP1, GPRC5A, IGFBP7 |
313 |
GAO_LARGE_INTESTINE_ADULT_CJ_IMMUNE_CELLS | 2.90e-11 | 12.04 | 6.16 | 3.25e-09 | 1.95e-08 | 16ANXA1, COL5A2, IL1R1, VCAN, COL12A1, CRISPLD2, COL14A1, COL3A1, AEBP1, CALD1, MMP19, COL5A1, MYL9, PLAU, IGFBP7, CDH11 |
505 |
DESCARTES_FETAL_INTESTINE_SMOOTH_MUSCLE_CELLS | 4.42e-05 | 23.58 | 5.93 | 8.24e-04 | 2.96e-02 | 4FGF7, CNN1, NTM, MYL9 |
50 |
HU_FETAL_RETINA_FIBROBLAST | 1.54e-09 | 11.81 | 5.71 | 7.95e-08 | 1.03e-06 | 13FOSB, COL5A2, VCAN, COL3A1, AEBP1, TIMP1, CALD1, GADD45B, COL5A1, MYL9, IGFBP7, ZFP36, CDH11 |
385 |
Dowload full table
mSigDB Hallmark Gene Sets:
P-value | OR | Lower 95% CI | FDR | FWER | Genes Found | Gene Set Size | |
---|---|---|---|---|---|---|---|
HALLMARK_EPITHELIAL_MESENCHYMAL_TRANSITION | 4.34e-22 | 42.31 | 22.14 | 2.17e-20 | 2.17e-20 | 19THBS1, SERPINE1, THBS2, COL5A2, FAP, VCAN, ADAM12, COL12A1, PLOD2, COL3A1, TIMP1, CALD1, COMP, GADD45B, NTM, INHBA, COL5A1, MYL9, CDH11 |
200 |
HALLMARK_ANGIOGENESIS | 1.18e-05 | 33.91 | 8.38 | 1.97e-04 | 5.91e-04 | 4COL5A2, VCAN, COL3A1, TIMP1 |
36 |
HALLMARK_TNFA_SIGNALING_VIA_NFKB | 4.29e-09 | 16.45 | 7.22 | 1.07e-07 | 2.15e-07 | 10SERPINE1, FOSB, NR4A1, NR4A3, DUSP1, GADD45B, GFPT2, INHBA, PLAU, ZFP36 |
200 |
HALLMARK_COAGULATION | 1.59e-05 | 12.91 | 4.42 | 1.99e-04 | 7.96e-04 | 6THBS1, SERPINE1, ANXA1, TIMP1, COMP, PLAU |
138 |
HALLMARK_MYOGENESIS | 1.24e-04 | 8.78 | 3.02 | 1.24e-03 | 6.18e-03 | 6IGF1, ADAM12, COL3A1, AEBP1, GADD45B, IGFBP7 |
200 |
HALLMARK_INFLAMMATORY_RESPONSE | 1.08e-03 | 7.12 | 2.18 | 7.71e-03 | 5.40e-02 | 5SERPINE1, IL1R1, OSMR, TIMP1, INHBA |
200 |
HALLMARK_KRAS_SIGNALING_UP | 1.08e-03 | 7.12 | 2.18 | 7.71e-03 | 5.40e-02 | 5ITGBL1, EMP1, GFPT2, INHBA, PLAU |
200 |
HALLMARK_UV_RESPONSE_DN | 2.44e-03 | 7.76 | 2.00 | 1.53e-02 | 1.22e-01 | 4SERPINE1, COL5A2, COL3A1, DUSP1 |
144 |
HALLMARK_APOPTOSIS | 3.63e-03 | 6.92 | 1.79 | 2.02e-02 | 1.82e-01 | 4ANXA1, EMP1, TIMP1, GADD45B |
161 |
HALLMARK_HYPOXIA | 7.71e-03 | 5.55 | 1.44 | 3.85e-02 | 3.85e-01 | 4SERPINE1, DUSP1, COL5A1, ZFP36 |
200 |
HALLMARK_TGF_BETA_SIGNALING | 1.94e-02 | 10.01 | 1.15 | 8.80e-02 | 9.68e-01 | 2THBS1, SERPINE1 |
54 |
HALLMARK_APICAL_JUNCTION | 4.35e-02 | 4.05 | 0.80 | 1.55e-01 | 1.00e+00 | 3VCAN, MYL9, CDH11 |
200 |
HALLMARK_XENOBIOTIC_METABOLISM | 4.35e-02 | 4.05 | 0.80 | 1.55e-01 | 1.00e+00 | 3SERPINE1, IGF1, IL1R1 |
200 |
HALLMARK_GLYCOLYSIS | 4.35e-02 | 4.05 | 0.80 | 1.55e-01 | 1.00e+00 | 3VCAN, PLOD2, COL5A1 |
200 |
HALLMARK_IL6_JAK_STAT3_SIGNALING | 4.64e-02 | 6.13 | 0.71 | 1.55e-01 | 1.00e+00 | 2IL1R1, OSMR |
87 |
HALLMARK_UV_RESPONSE_UP | 1.28e-01 | 3.34 | 0.39 | 4.00e-01 | 1.00e+00 | 2FOSB, NR4A1 |
158 |
HALLMARK_IL2_STAT5_SIGNALING | 1.83e-01 | 2.64 | 0.31 | 4.62e-01 | 1.00e+00 | 2EMP1, GADD45B |
199 |
HALLMARK_ESTROGEN_RESPONSE_LATE | 1.85e-01 | 2.63 | 0.31 | 4.62e-01 | 1.00e+00 | 2MYOF, ZFP36 |
200 |
HALLMARK_COMPLEMENT | 1.85e-01 | 2.63 | 0.31 | 4.62e-01 | 1.00e+00 | 2SERPINE1, TIMP1 |
200 |
HALLMARK_ALLOGRAFT_REJECTION | 1.85e-01 | 2.63 | 0.31 | 4.62e-01 | 1.00e+00 | 2TIMP1, INHBA |
200 |
Dowload full table
KEGG Pathways:
P-value | OR | Lower 95% CI | FDR | FWER | Genes Found | Gene Set Size | |
---|---|---|---|---|---|---|---|
KEGG_ECM_RECEPTOR_INTERACTION | 9.07e-07 | 21.83 | 7.39 | 8.72e-05 | 1.69e-04 | 6THBS1, THBS2, COL5A2, COL3A1, COMP, COL5A1 |
84 |
KEGG_FOCAL_ADHESION | 9.38e-07 | 12.47 | 4.99 | 8.72e-05 | 1.74e-04 | 8THBS1, THBS2, IGF1, COL5A2, COL3A1, COMP, COL5A1, MYL9 |
199 |
KEGG_P53_SIGNALING_PATHWAY | 1.47e-04 | 16.96 | 4.31 | 9.14e-03 | 2.74e-02 | 4THBS1, SERPINE1, IGF1, GADD45B |
68 |
KEGG_TGF_BETA_SIGNALING_PATHWAY | 3.63e-04 | 13.24 | 3.39 | 1.69e-02 | 6.75e-02 | 4THBS1, THBS2, COMP, INHBA |
86 |
KEGG_MAPK_SIGNALING_PATHWAY | 5.69e-04 | 6.53 | 2.25 | 2.12e-02 | 1.06e-01 | 6FGF7, IL1R1, NR4A1, NFATC2, DUSP1, GADD45B |
267 |
KEGG_VASCULAR_SMOOTH_MUSCLE_CONTRACTION | 1.05e-02 | 7.12 | 1.40 | 3.25e-01 | 1.00e+00 | 3CALD1, PRKG1, MYL9 |
115 |
KEGG_COMPLEMENT_AND_COAGULATION_CASCADES | 3.05e-02 | 7.77 | 0.90 | 6.64e-01 | 1.00e+00 | 2SERPINE1, PLAU |
69 |
KEGG_LONG_TERM_DEPRESSION | 3.13e-02 | 7.66 | 0.88 | 6.64e-01 | 1.00e+00 | 2IGF1, PRKG1 |
70 |
KEGG_MELANOMA | 3.21e-02 | 7.55 | 0.87 | 6.64e-01 | 1.00e+00 | 2IGF1, FGF7 |
71 |
KEGG_CYTOKINE_CYTOKINE_RECEPTOR_INTERACTION | 8.44e-02 | 3.05 | 0.60 | 1.00e+00 | 1.00e+00 | 3IL1R1, OSMR, INHBA |
265 |
KEGG_REGULATION_OF_ACTIN_CYTOSKELETON | 2.03e-01 | 2.47 | 0.29 | 1.00e+00 | 1.00e+00 | 2FGF7, MYL9 |
213 |
KEGG_ALANINE_ASPARTATE_AND_GLUTAMATE_METABOLISM | 1.20e-01 | 8.23 | 0.20 | 1.00e+00 | 1.00e+00 | 1GFPT2 |
32 |
KEGG_PATHWAYS_IN_CANCER | 3.61e-01 | 1.61 | 0.19 | 1.00e+00 | 1.00e+00 | 2IGF1, FGF7 |
325 |
KEGG_ALDOSTERONE_REGULATED_SODIUM_REABSORPTION | 1.54e-01 | 6.22 | 0.15 | 1.00e+00 | 1.00e+00 | 1IGF1 |
42 |
KEGG_BLADDER_CANCER | 1.54e-01 | 6.22 | 0.15 | 1.00e+00 | 1.00e+00 | 1THBS1 |
42 |
KEGG_LYSINE_DEGRADATION | 1.61e-01 | 5.93 | 0.14 | 1.00e+00 | 1.00e+00 | 1PLOD2 |
44 |
KEGG_AMINO_SUGAR_AND_NUCLEOTIDE_SUGAR_METABOLISM | 1.61e-01 | 5.93 | 0.14 | 1.00e+00 | 1.00e+00 | 1GFPT2 |
44 |
KEGG_MTOR_SIGNALING_PATHWAY | 1.87e-01 | 5.00 | 0.12 | 1.00e+00 | 1.00e+00 | 1IGF1 |
52 |
KEGG_GLIOMA | 2.28e-01 | 3.99 | 0.10 | 1.00e+00 | 1.00e+00 | 1IGF1 |
65 |
KEGG_B_CELL_RECEPTOR_SIGNALING_PATHWAY | 2.58e-01 | 3.45 | 0.08 | 1.00e+00 | 1.00e+00 | 1NFATC2 |
75 |
Dowload full table
CHR Positional Gene Sets:
P-value | OR | Lower 95% CI | FDR | FWER | Genes Found | Gene Set Size | |
---|---|---|---|---|---|---|---|
chr2q32 | 6.78e-02 | 4.91 | 0.57 | 1.00e+00 | 1.00e+00 | 2COL5A2, COL3A1 |
108 |
chr15q12 | 5.81e-02 | 18.20 | 0.42 | 1.00e+00 | 1.00e+00 | 1ATP10A |
15 |
chr5q35 | 2.16e-01 | 2.37 | 0.28 | 1.00e+00 | 1.00e+00 | 2DUSP1, GFPT2 |
222 |
chr19p13 | 7.66e-01 | 1.04 | 0.21 | 1.00e+00 | 1.00e+00 | 3CNN1, COMP, GADD45B |
773 |
chr11q25 | 1.16e-01 | 8.50 | 0.20 | 1.00e+00 | 1.00e+00 | 1NTM |
31 |
chr12p13 | 3.72e-01 | 1.57 | 0.18 | 1.00e+00 | 1.00e+00 | 2EMP1, GPRC5A |
333 |
chr12q13 | 6.71e-01 | 1.29 | 0.15 | 1.00e+00 | 1.00e+00 | 2NR4A1, MMP19 |
407 |
chr3q12 | 1.67e-01 | 5.67 | 0.14 | 1.00e+00 | 1.00e+00 | 1COL8A1 |
46 |
chr7p13 | 1.81e-01 | 5.21 | 0.13 | 1.00e+00 | 1.00e+00 | 1AEBP1 |
50 |
chr7q33 | 1.87e-01 | 5.00 | 0.12 | 1.00e+00 | 1.00e+00 | 1CALD1 |
52 |
chr13q33 | 1.97e-01 | 4.72 | 0.12 | 1.00e+00 | 1.00e+00 | 1ITGBL1 |
55 |
chr15q14 | 2.00e-01 | 4.64 | 0.11 | 1.00e+00 | 1.00e+00 | 1THBS1 |
56 |
chr16q21 | 2.55e-01 | 3.49 | 0.09 | 1.00e+00 | 1.00e+00 | 1CDH11 |
74 |
chr6q27 | 2.58e-01 | 3.45 | 0.08 | 1.00e+00 | 1.00e+00 | 1THBS2 |
75 |
chr4q12 | 2.70e-01 | 3.27 | 0.08 | 1.00e+00 | 1.00e+00 | 1IGFBP7 |
79 |
chr6q14 | 3.09e-01 | 2.77 | 0.07 | 1.00e+00 | 1.00e+00 | 1COL12A1 |
93 |
chr9p24 | 3.31e-01 | 2.55 | 0.06 | 1.00e+00 | 1.00e+00 | 1GLIS3 |
101 |
chr19q13 | 4.39e-01 | 0.45 | 0.05 | 1.00e+00 | 1.00e+00 | 2FOSB, ZFP36 |
1165 |
chr2q24 | 3.91e-01 | 2.06 | 0.05 | 1.00e+00 | 1.00e+00 | 1FAP |
125 |
chr5p13 | 3.99e-01 | 2.01 | 0.05 | 1.00e+00 | 1.00e+00 | 1OSMR |
128 |
Dowload full table
Transcription Factor Targets:
P-value | OR | Lower 95% CI | FDR | FWER | Genes Found | Gene Set Size | |
---|---|---|---|---|---|---|---|
SRF_C | 1.27e-07 | 13.32 | 5.62 | 1.44e-04 | 1.44e-04 | 9THBS1, FOSB, COL8A1, NR4A1, LMCD1, CNN1, CALD1, GFPT2, MYL9 |
215 |
FREAC4_01 | 2.84e-05 | 11.59 | 3.97 | 1.61e-02 | 3.22e-02 | 6IGF1, NR4A1, EMP1, CALD1, DUSP1, INHBA |
153 |
CCAWWNAAGG_SRF_Q4 | 3.96e-04 | 12.93 | 3.31 | 6.41e-02 | 4.49e-01 | 4THBS1, FOSB, NR4A1, CALD1 |
88 |
SRF_01 | 1.07e-03 | 16.60 | 3.20 | 1.21e-01 | 1.00e+00 | 3THBS1, FOSB, CALD1 |
51 |
SRF_Q6 | 4.63e-05 | 8.44 | 3.17 | 1.75e-02 | 5.24e-02 | 7THBS1, FOSB, IGF1, NR4A1, CNN1, CALD1, MYL9 |
248 |
SRF_Q5_01 | 2.32e-04 | 7.78 | 2.68 | 4.93e-02 | 2.63e-01 | 6THBS1, FOSB, FGF7, CNN1, CALD1, MYL9 |
225 |
SRF_Q4 | 2.61e-04 | 7.61 | 2.62 | 4.93e-02 | 2.96e-01 | 6THBS1, FOSB, NR4A1, CNN1, CALD1, MYL9 |
230 |
FREAC2_01 | 5.37e-04 | 6.61 | 2.28 | 7.59e-02 | 6.08e-01 | 6IGF1, ADAM12, EMP1, CALD1, DUSP1, INHBA |
264 |
TGGAAA_NFAT_Q4_01 | 1.59e-04 | 3.36 | 1.75 | 4.49e-02 | 1.80e-01 | 17COL8A1, IGF1, FAP, FGF7, VCAN, NR4A1, ADAM12, COL12A1, EMP1, NR4A3, PLOD2, NFATC2, CNN1, CALD1, GADD45B, INHBA, IGFBP7 |
1934 |
NFAT_Q6 | 2.78e-03 | 5.69 | 1.75 | 2.42e-01 | 1.00e+00 | 5COL8A1, FAP, EMP1, PLOD2, COL3A1 |
249 |
AAAYWAACM_HFH4_01 | 3.44e-03 | 5.41 | 1.66 | 2.56e-01 | 1.00e+00 | 5FOSB, ITGBL1, NR4A3, CALD1, DUSP1 |
262 |
TATAAA_TATA_01 | 6.03e-04 | 3.37 | 1.64 | 7.59e-02 | 6.83e-01 | 13SERPINE1, THBS2, COL8A1, ANXA1, IGF1, NR4A1, NR4A3, PLOD2, GLIS3, CNN1, CALD1, MMP19, INHBA |
1317 |
CTAWWWATA_RSRFC4_Q2 | 2.76e-03 | 4.74 | 1.64 | 2.42e-01 | 1.00e+00 | 6THBS2, COL8A1, IGF1, FAP, NR4A1, LMCD1 |
366 |
CREB_Q2 | 3.84e-03 | 5.26 | 1.62 | 2.56e-01 | 1.00e+00 | 5FOSB, NR4A3, LMCD1, DUSP1, GADD45B |
269 |
HNF3_Q6 | 6.70e-03 | 5.78 | 1.50 | 3.18e-01 | 1.00e+00 | 4FOSB, NR4A1, NR4A3, CALD1 |
192 |
YYCATTCAWW_UNKNOWN | 6.70e-03 | 5.78 | 1.50 | 3.18e-01 | 1.00e+00 | 4FOSB, VCAN, NR4A3, INHBA |
192 |
E4F1_Q6 | 5.39e-03 | 4.84 | 1.49 | 3.06e-01 | 1.00e+00 | 5FOSB, NR4A1, NR4A3, CALD1, DUSP1 |
292 |
AAANWWTGC_UNKNOWN | 7.07e-03 | 5.69 | 1.47 | 3.18e-01 | 1.00e+00 | 4THBS2, FGF7, DUSP1, INHBA |
195 |
PSMB5_TARGET_GENES | 6.61e-03 | 4.60 | 1.41 | 3.18e-01 | 1.00e+00 | 5THBS1, SERPINE1, EMP1, DUSP1, ZFP36 |
307 |
COMP1_01 | 1.12e-02 | 6.94 | 1.36 | 3.64e-01 | 1.00e+00 | 3IGF1, NR4A3, CALD1 |
118 |
Dowload full table
GO Biological Processes:
P-value | OR | Lower 95% CI | FDR | FWER | Genes Found | Gene Set Size | |
---|---|---|---|---|---|---|---|
GOBP_COLLAGEN_FIBRIL_ORGANIZATION | 1.54e-09 | 43.22 | 15.60 | 3.83e-06 | 1.15e-05 | 7COL5A2, COL12A1, COL14A1, COL3A1, AEBP1, COMP, COL5A1 |
54 |
GOBP_RESPONSE_TO_CORTICOTROPIN_RELEASING_HORMONE | 1.54e-04 | 172.68 | 14.09 | 3.50e-02 | 1.00e+00 | 2NR4A1, NR4A3 |
5 |
GOBP_REGULATION_OF_ENDODERMAL_CELL_DIFFERENTIATION | 1.54e-04 | 172.68 | 14.09 | 3.50e-02 | 1.00e+00 | 2COL5A2, COL5A1 |
5 |
GOBP_REGULATION_OF_FIBRINOLYSIS | 2.09e-05 | 72.24 | 12.54 | 7.46e-03 | 1.57e-01 | 3THBS1, SERPINE1, FAP |
14 |
GOBP_FIBRINOLYSIS | 2.63e-06 | 51.58 | 12.40 | 1.66e-03 | 1.97e-02 | 4THBS1, SERPINE1, FAP, PLAU |
25 |
GOBP_ENDODERM_FORMATION | 5.70e-08 | 36.21 | 12.03 | 8.51e-05 | 4.27e-04 | 6COL8A1, COL5A2, COL12A1, DUSP1, INHBA, COL5A1 |
53 |
GOBP_NEGATIVE_REGULATION_OF_PLASMINOGEN_ACTIVATION | 2.31e-04 | 129.66 | 11.45 | 4.54e-02 | 1.00e+00 | 2THBS1, SERPINE1 |
6 |
GOBP_SMOOTH_MUSCLE_CELL_MATRIX_ADHESION | 2.31e-04 | 129.66 | 11.45 | 4.54e-02 | 1.00e+00 | 2SERPINE1, PLAU |
6 |
GOBP_ENDODERMAL_CELL_DIFFERENTIATION | 7.77e-07 | 35.54 | 10.46 | 6.46e-04 | 5.81e-03 | 5COL8A1, COL5A2, COL12A1, INHBA, COL5A1 |
44 |
GOBP_TENDON_DEVELOPMENT | 3.22e-04 | 103.49 | 9.64 | 5.61e-02 | 1.00e+00 | 2COMP, COL5A1 |
7 |
GOBP_NEGATIVE_REGULATION_OF_COAGULATION | 1.81e-06 | 29.51 | 8.75 | 1.35e-03 | 1.35e-02 | 5THBS1, SERPINE1, FAP, PRKG1, PLAU |
52 |
GOBP_ENDODERM_DEVELOPMENT | 5.02e-07 | 24.31 | 8.21 | 4.69e-04 | 3.75e-03 | 6COL8A1, COL5A2, COL12A1, DUSP1, INHBA, COL5A1 |
76 |
GOBP_EXTERNAL_ENCAPSULATING_STRUCTURE_ORGANIZATION | 8.29e-13 | 15.48 | 7.91 | 6.20e-09 | 6.20e-09 | 16THBS1, SERPINE1, COL8A1, COL5A2, FAP, VCAN, ADAM12, COL12A1, CRISPLD2, COL14A1, COL3A1, AEBP1, TIMP1, COMP, MMP19, COL5A1 |
396 |
GOBP_PLASMINOGEN_ACTIVATION | 9.91e-05 | 39.79 | 7.33 | 2.47e-02 | 7.41e-01 | 3THBS1, SERPINE1, PLAU |
23 |
GOBP_NEGATIVE_REGULATION_OF_FIBRINOLYSIS | 6.85e-04 | 64.86 | 6.55 | 1.00e-01 | 1.00e+00 | 2THBS1, SERPINE1 |
10 |
GOBP_REGULATION_OF_COAGULATION | 8.50e-06 | 21.01 | 6.31 | 3.74e-03 | 6.36e-02 | 5THBS1, SERPINE1, FAP, PRKG1, PLAU |
71 |
GOBP_MUSCLE_CELL_MIGRATION | 2.67e-06 | 17.93 | 6.10 | 1.66e-03 | 2.00e-02 | 6SERPINE1, ANXA1, IGF1, NR4A3, PRKG1, PLAU |
101 |
GOBP_NEGATIVE_REGULATION_OF_WOUND_HEALING | 1.04e-05 | 20.11 | 6.05 | 4.33e-03 | 7.79e-02 | 5THBS1, SERPINE1, FAP, PRKG1, PLAU |
74 |
GOBP_REGULATION_OF_TYPE_B_PANCREATIC_CELL_PROLIFERATION | 9.99e-04 | 51.89 | 5.39 | 1.31e-01 | 1.00e+00 | 2NR4A1, NR4A3 |
12 |
GOBP_FORMATION_OF_PRIMARY_GERM_LAYER | 5.64e-06 | 15.63 | 5.33 | 2.89e-03 | 4.22e-02 | 6COL8A1, COL5A2, COL12A1, DUSP1, INHBA, COL5A1 |
115 |
Dowload full table
Immunological Gene Sets:
P-value | OR | Lower 95% CI | FDR | FWER | Genes Found | Gene Set Size | |
---|---|---|---|---|---|---|---|
GSE37605_TREG_VS_TCONV_NOD_FOXP3_FUSION_GFP_UP | 1.82e-06 | 14.23 | 5.31 | 8.87e-03 | 8.87e-03 | 7SERPINE1, FOSB, NR4A1, NR4A3, LMCD1, DUSP1, ZFP36 |
150 |
GSE37605_FOXP3_FUSION_GFP_VS_IRES_GFP_TREG_C57BL6_UP | 7.19e-06 | 11.43 | 4.28 | 1.16e-02 | 3.50e-02 | 7THBS1, SERPINE1, FOSB, NR4A1, NR4A3, DUSP1, ZFP36 |
185 |
GSE36891_UNSTIM_VS_POLYIC_TLR3_STIM_PERITONEAL_MACROPHAGE_UP | 2.45e-05 | 11.92 | 4.08 | 1.98e-02 | 1.19e-01 | 6SERPINE1, FOSB, NR4A1, ADAM12, NR4A3, ZFP36 |
149 |
GSE9988_ANTI_TREM1_VS_CTRL_TREATED_MONOCYTES_UP | 1.11e-05 | 10.65 | 3.99 | 1.16e-02 | 5.42e-02 | 7IL1R1, NR4A1, GPRC5A, DUSP1, GADD45B, MMP19, INHBA |
198 |
GSE36891_POLYIC_TLR3_VS_PAM_TLR2_STIM_PERITONEAL_MACROPHAGE_UP | 2.84e-05 | 11.59 | 3.97 | 1.98e-02 | 1.38e-01 | 6SERPINE1, FOSB, NR4A1, NR4A3, DUSP1, ZFP36 |
153 |
GSE27434_WT_VS_DNMT1_KO_TREG_DN | 1.19e-05 | 10.54 | 3.95 | 1.16e-02 | 5.79e-02 | 7SERPINE1, COL5A2, NR4A1, DUSP1, GADD45B, INHBA, ZFP36 |
200 |
GSE42088_UNINF_VS_LEISHMANIA_INF_DC_2H_DN | 1.19e-05 | 10.54 | 3.95 | 1.16e-02 | 5.79e-02 | 7FOSB, ANXA1, NR4A1, CRISPLD2, DUSP1, IGFBP7, ZFP36 |
200 |
GSE6259_FLT3L_INDUCED_VS_WT_SPLENIC_DC_33D1_POS_DN | 4.04e-05 | 10.85 | 3.73 | 2.46e-02 | 1.97e-01 | 6THBS1, IL1R1, EMP1, GLIS3, PRKG1, PLAU |
163 |
GSE24671_CTRL_VS_BAKIMULC_INFECTED_MOUSE_SPLENOCYTES_DN | 5.10e-05 | 10.39 | 3.57 | 2.76e-02 | 2.48e-01 | 6COL5A2, NR4A1, NR4A3, PLOD2, DUSP1, GADD45B |
170 |
GSE37605_C57BL6_VS_NOD_FOXP3_FUSION_GFP_TREG_DN | 9.64e-05 | 9.21 | 3.17 | 3.35e-02 | 4.70e-01 | 6SERPINE1, FOSB, NR4A1, NR4A3, DUSP1, ZFP36 |
191 |
GSE45365_NK_CELL_VS_BCELL_UP | 1.17e-04 | 8.88 | 3.05 | 3.35e-02 | 5.71e-01 | 6THBS1, SERPINE1, FOSB, DUSP1, ZFP36, CDH11 |
198 |
GSE360_HIGH_DOSE_B_MALAYI_VS_M_TUBERCULOSIS_MAC_DN | 1.20e-04 | 8.83 | 3.04 | 3.35e-02 | 5.86e-01 | 6SERPINE1, VCAN, PLOD2, TIMP1, IGFBP7, ZFP36 |
199 |
GSE45365_NK_CELL_VS_CD11B_DC_DN | 1.20e-04 | 8.83 | 3.04 | 3.35e-02 | 5.86e-01 | 6SERPINE1, OSMR, TIMP1, GPRC5A, DUSP1, ZFP36 |
199 |
GSE17721_LPS_VS_GARDIQUIMOD_1H_BMDC_UP | 1.24e-04 | 8.78 | 3.02 | 3.35e-02 | 6.03e-01 | 6THBS2, VCAN, NR4A1, TIMP1, GADD45B, INHBA |
200 |
GSE17721_12H_VS_24H_PAM3CSK4_BMDC_UP | 1.24e-04 | 8.78 | 3.02 | 3.35e-02 | 6.03e-01 | 6NR4A3, ATP10A, IFITM10, DUSP1, GADD45B, INHBA |
200 |
GSE360_HIGH_DOSE_B_MALAYI_VS_M_TUBERCULOSIS_DC_DN | 1.24e-04 | 8.78 | 3.02 | 3.35e-02 | 6.03e-01 | 6VCAN, NR4A3, MYOF, TIMP1, DUSP1, GADD45B |
200 |
GSE3982_DC_VS_BASOPHIL_UP | 1.24e-04 | 8.78 | 3.02 | 3.35e-02 | 6.03e-01 | 6ADAM12, ATP10A, COL14A1, MYOF, COMP, INHBA |
200 |
GSE4748_CTRL_VS_LPS_STIM_DC_3H_UP | 1.24e-04 | 8.78 | 3.02 | 3.35e-02 | 6.03e-01 | 6SERPINE1, COL5A2, EMP1, COL3A1, INHBA, CDH11 |
200 |
GSE13547_WT_VS_ZFX_KO_BCELL_DN | 6.28e-04 | 8.07 | 2.47 | 1.03e-01 | 1.00e+00 | 5FOSB, ANXA1, NR4A1, EMP1, GADD45B |
177 |
GSE37301_MULTIPOTENT_PROGENITOR_VS_LYMPHOID_PRIMED_MPP_DN | 6.94e-04 | 7.89 | 2.42 | 1.03e-01 | 1.00e+00 | 5FOSB, ANXA1, NR4A1, PLOD2, ZFP36 |
181 |
Top Ranked Transcription Factors for this Gene Expression Program:
Gene Symbol | TF Rank | DNA Binding Domain | Motif Status | IUPAC PWM | GTEx | DepMap | Decartes |
---|---|---|---|---|---|---|---|
FOSB | 3 | Yes | Known motif | Monomer or homomultimer | High-throughput in vitro | None | None |
NR4A1 | 13 | Yes | Known motif | Monomer or homomultimer | High-throughput in vitro | None | None |
NR4A3 | 19 | Yes | Known motif | Monomer or homomultimer | In vivo/Misc source | Only known motifs are from Transfac or HocoMoco - origin is uncertain | None |
GLIS3 | 26 | Yes | Known motif | Monomer or homomultimer | High-throughput in vitro | None | None |
NFATC2 | 27 | Yes | Known motif | Monomer or homomultimer | High-throughput in vitro | None | PDB:1A02 has NFAT, Fos and Jun trimeric complex with non-consensus bZIP target site |
AEBP1 | 29 | Yes | Likely to be sequence specific TF | Monomer or homomultimer | No motif | None | This is a protease, but its ability to bind DNA is supported by both gel-shift (PMID: 15654748) and ChIP (PMID: 22723309). |
ZFP36 | 49 | No | ssDNA/RNA binding | Not a DNA binding protein | No motif | None | RNA binding protein (PMID: 10330172). |
FOS | 51 | Yes | Known motif | Monomer or homomultimer | High-throughput in vitro | None | None |
ERG | 52 | Yes | Known motif | Monomer or homomultimer | High-throughput in vitro | None | None |
ZFP36L1 | 60 | No | ssDNA/RNA binding | Not a DNA binding protein | No motif | None | RNA-binding protein (PMID: 27102483; PMID: 17013884). |
ATF3 | 62 | Yes | Known motif | Monomer or homomultimer | High-throughput in vitro | None | None |
GREM1 | 63 | No | Unlikely to be sequence specific TF | Not a DNA binding protein | No motif | None | None |
SGK1 | 69 | No | Unlikely to be sequence specific TF | Not a DNA binding protein | No motif | None | None |
BHLHE40 | 70 | Yes | Known motif | Monomer or homomultimer | High-throughput in vitro | None | None |
RUNX2 | 72 | Yes | Known motif | Monomer or homomultimer | High-throughput in vitro | None | None |
PRRX1 | 77 | Yes | Known motif | Monomer or homomultimer | High-throughput in vitro | None | None |
PRKD1 | 78 | No | Unlikely to be sequence specific TF | Not a DNA binding protein | No motif | None | None |
FBN1 | 80 | No | Unlikely to be sequence specific TF | Not a DNA binding protein | No motif | None | None |
LPP | 85 | No | Unlikely to be sequence specific TF | Not a DNA binding protein | No motif | None | znfLIM is probably not a DNA binding domain (PMID: 8506279). The protein has been reported to be coactivator for ETV4 (PMID: 16738319). |
PTGIS | 87 | No | Unlikely to be sequence specific TF | Not a DNA binding protein | No motif | None | It is a cytochrome p450 enzyme |
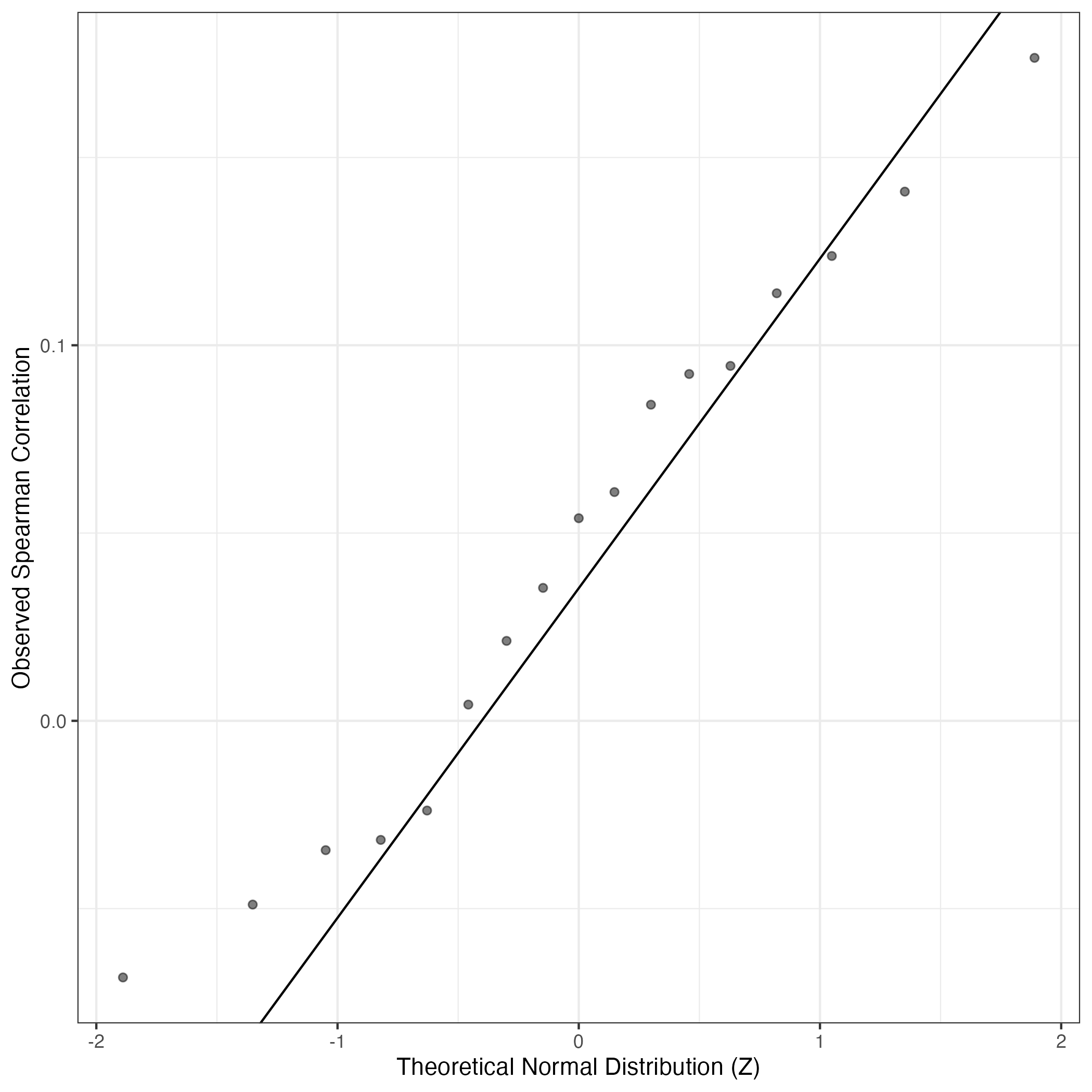
QQ Plot showing correlations with other Gene Expression Programs in this dataset, calculated by Spearman correlation:
Interactive QQ-plot of gene loadings:
A similar QQ-plot as above, but only for instances where the H value is e.g. > 25, i.e. we are confident that the expression program is active above noise. Agreemenet between these binary vectors is tested using the Jaccard Index, with the P-values calculated by an exact test:
Interactive QQ-plot:
Singler cell type annotations for the top 50 cells on this program.
Cell ID | Singler label | Singler Delta | Activity Score | Top Singler Raw Scores |
---|---|---|---|---|
NB02_AGCGGTCCAGATCTGT-1 | Fibroblasts:breast | 0.20 | 1509.35 | Raw ScoresFibroblasts:breast: 0.31, iPS_cells:adipose_stem_cells: 0.3, Smooth_muscle_cells:vascular:IL-17: 0.3, Smooth_muscle_cells:vascular: 0.3, Osteoblasts: 0.29, Chondrocytes:MSC-derived: 0.29, Tissue_stem_cells:BM_MSC:TGFb3: 0.29, Smooth_muscle_cells:bronchial: 0.28, iPS_cells:CRL2097_foreskin: 0.28, Smooth_muscle_cells:bronchial:vit_D: 0.28 |
NB02_GCTTCCACATTCTCAT-1 | iPS_cells:adipose_stem_cells | 0.17 | 1355.22 | Raw ScoresFibroblasts:breast: 0.27, Osteoblasts: 0.27, iPS_cells:adipose_stem_cells: 0.27, Chondrocytes:MSC-derived: 0.26, Osteoblasts:BMP2: 0.26, Smooth_muscle_cells:vascular:IL-17: 0.26, Tissue_stem_cells:BM_MSC: 0.26, iPS_cells:CRL2097_foreskin: 0.26, Smooth_muscle_cells:vascular: 0.26, Tissue_stem_cells:BM_MSC:osteogenic: 0.25 |
NB02_GTCTCGTCATACGCCG-1 | Osteoblasts | 0.22 | 1326.60 | Raw ScoresFibroblasts:breast: 0.33, Osteoblasts: 0.32, iPS_cells:adipose_stem_cells: 0.32, Chondrocytes:MSC-derived: 0.32, Tissue_stem_cells:BM_MSC: 0.31, Smooth_muscle_cells:vascular: 0.31, Smooth_muscle_cells:vascular:IL-17: 0.3, Tissue_stem_cells:BM_MSC:osteogenic: 0.3, Osteoblasts:BMP2: 0.3, Tissue_stem_cells:BM_MSC:TGFb3: 0.3 |
NB03_GCATGCGTCAGTTGAC-1 | Osteoblasts | 0.20 | 923.40 | Raw ScoresFibroblasts:breast: 0.29, Osteoblasts: 0.29, iPS_cells:adipose_stem_cells: 0.29, Chondrocytes:MSC-derived: 0.28, iPS_cells:CRL2097_foreskin: 0.28, Tissue_stem_cells:BM_MSC: 0.27, Smooth_muscle_cells:vascular: 0.27, iPS_cells:PDB_fibroblasts: 0.27, Tissue_stem_cells:BM_MSC:osteogenic: 0.27, Smooth_muscle_cells:vascular:IL-17: 0.27 |
NB02_CCCTCCTGTAGGGACT-1 | Fibroblasts:breast | 0.18 | 878.01 | Raw ScoresFibroblasts:breast: 0.28, Osteoblasts: 0.28, iPS_cells:adipose_stem_cells: 0.27, Smooth_muscle_cells:bronchial:vit_D: 0.27, Smooth_muscle_cells:bronchial: 0.27, Chondrocytes:MSC-derived: 0.27, iPS_cells:CRL2097_foreskin: 0.27, Smooth_muscle_cells:vascular: 0.27, Smooth_muscle_cells:vascular:IL-17: 0.26, Tissue_stem_cells:BM_MSC: 0.26 |
NB02_TGGCTGGGTCCATCCT-1 | Fibroblasts:breast | 0.18 | 861.89 | Raw ScoresFibroblasts:breast: 0.24, iPS_cells:adipose_stem_cells: 0.23, Osteoblasts: 0.23, Tissue_stem_cells:BM_MSC: 0.22, Smooth_muscle_cells:vascular: 0.22, Smooth_muscle_cells:vascular:IL-17: 0.21, iPS_cells:CRL2097_foreskin: 0.21, Chondrocytes:MSC-derived: 0.21, Tissue_stem_cells:BM_MSC:osteogenic: 0.21, Osteoblasts:BMP2: 0.21 |
NB02_CTACGTCAGACATAAC-1 | iPS_cells:adipose_stem_cells | 0.16 | 859.62 | Raw ScoresFibroblasts:breast: 0.25, Osteoblasts: 0.25, iPS_cells:adipose_stem_cells: 0.24, Smooth_muscle_cells:vascular:IL-17: 0.24, Smooth_muscle_cells:vascular: 0.24, Chondrocytes:MSC-derived: 0.24, Tissue_stem_cells:BM_MSC: 0.24, Tissue_stem_cells:BM_MSC:TGFb3: 0.24, Osteoblasts:BMP2: 0.24, Tissue_stem_cells:BM_MSC:BMP2: 0.23 |
NB02_TGACTAGAGCGTAATA-1 | Fibroblasts:breast | 0.17 | 767.47 | Raw ScoresFibroblasts:breast: 0.25, Smooth_muscle_cells:vascular: 0.25, Smooth_muscle_cells:vascular:IL-17: 0.25, iPS_cells:adipose_stem_cells: 0.24, Osteoblasts: 0.24, Chondrocytes:MSC-derived: 0.24, Tissue_stem_cells:BM_MSC:TGFb3: 0.23, Tissue_stem_cells:BM_MSC: 0.23, Osteoblasts:BMP2: 0.23, iPS_cells:CRL2097_foreskin: 0.23 |
NB02_GCTGCTTGTCTGCAAT-1 | Smooth_muscle_cells:vascular:IL-17 | 0.16 | 685.71 | Raw ScoresiPS_cells:adipose_stem_cells: 0.26, Fibroblasts:breast: 0.26, Smooth_muscle_cells:vascular: 0.26, Smooth_muscle_cells:vascular:IL-17: 0.26, Osteoblasts: 0.25, Osteoblasts:BMP2: 0.25, Tissue_stem_cells:BM_MSC: 0.25, Chondrocytes:MSC-derived: 0.24, Tissue_stem_cells:BM_MSC:TGFb3: 0.24, iPS_cells:CRL2097_foreskin: 0.24 |
NB02_GCTTCCATCGTTTGCC-1 | Fibroblasts:breast | 0.14 | 622.88 | Raw ScoresiPS_cells:adipose_stem_cells: 0.22, Fibroblasts:breast: 0.21, Chondrocytes:MSC-derived: 0.21, Smooth_muscle_cells:vascular: 0.21, Osteoblasts: 0.21, Tissue_stem_cells:BM_MSC:TGFb3: 0.2, Smooth_muscle_cells:vascular:IL-17: 0.2, Tissue_stem_cells:BM_MSC:BMP2: 0.2, Smooth_muscle_cells:bronchial: 0.2, Tissue_stem_cells:BM_MSC: 0.2 |
NB02_GCCAAATCAATGAATG-1 | Smooth_muscle_cells:vascular | 0.15 | 618.93 | Raw ScoresFibroblasts:breast: 0.24, Osteoblasts: 0.24, Smooth_muscle_cells:vascular: 0.24, Smooth_muscle_cells:vascular:IL-17: 0.24, iPS_cells:adipose_stem_cells: 0.23, Tissue_stem_cells:BM_MSC:TGFb3: 0.23, Tissue_stem_cells:BM_MSC: 0.23, Smooth_muscle_cells:bronchial: 0.23, Osteoblasts:BMP2: 0.23, Chondrocytes:MSC-derived: 0.23 |
NB02_ATTGGTGTCATGCATG-1 | Fibroblasts:breast | 0.16 | 567.04 | Raw ScoresFibroblasts:breast: 0.26, Smooth_muscle_cells:vascular:IL-17: 0.25, Osteoblasts: 0.25, Tissue_stem_cells:BM_MSC: 0.25, Smooth_muscle_cells:vascular: 0.25, iPS_cells:adipose_stem_cells: 0.24, Tissue_stem_cells:BM_MSC:BMP2: 0.24, Tissue_stem_cells:BM_MSC:osteogenic: 0.24, Chondrocytes:MSC-derived: 0.24, Tissue_stem_cells:BM_MSC:TGFb3: 0.24 |
NB02_TGGACGCTCAGGTAAA-1 | Chondrocytes:MSC-derived | 0.15 | 550.43 | Raw ScoresOsteoblasts: 0.24, Chondrocytes:MSC-derived: 0.24, Fibroblasts:breast: 0.23, Tissue_stem_cells:BM_MSC:TGFb3: 0.23, Smooth_muscle_cells:vascular: 0.23, iPS_cells:adipose_stem_cells: 0.23, Tissue_stem_cells:BM_MSC: 0.23, Tissue_stem_cells:BM_MSC:BMP2: 0.23, Smooth_muscle_cells:vascular:IL-17: 0.22, iPS_cells:CRL2097_foreskin: 0.22 |
NB02_GTTCGGGAGATGCCAG-1 | Tissue_stem_cells:BM_MSC | 0.14 | 544.89 | Raw ScoresFibroblasts:breast: 0.2, Osteoblasts: 0.2, Smooth_muscle_cells:vascular: 0.19, iPS_cells:adipose_stem_cells: 0.19, Chondrocytes:MSC-derived: 0.19, Tissue_stem_cells:BM_MSC: 0.19, Smooth_muscle_cells:vascular:IL-17: 0.19, iPS_cells:CRL2097_foreskin: 0.19, Osteoblasts:BMP2: 0.19, Tissue_stem_cells:BM_MSC:BMP2: 0.18 |
NB02_TATGCCCGTTGTGGCC-1 | Tissue_stem_cells:BM_MSC:BMP2 | 0.14 | 539.78 | Raw ScoresChondrocytes:MSC-derived: 0.22, Osteoblasts: 0.22, Tissue_stem_cells:BM_MSC:TGFb3: 0.22, Tissue_stem_cells:BM_MSC: 0.22, Fibroblasts:breast: 0.22, Tissue_stem_cells:BM_MSC:BMP2: 0.21, Smooth_muscle_cells:vascular:IL-17: 0.21, Smooth_muscle_cells:vascular: 0.21, iPS_cells:adipose_stem_cells: 0.21, Tissue_stem_cells:BM_MSC:osteogenic: 0.21 |
NB02_AGAGCGAGTTCAGTAC-1 | Fibroblasts:breast | 0.13 | 518.80 | Raw ScoresFibroblasts:breast: 0.22, Osteoblasts: 0.22, Smooth_muscle_cells:bronchial:vit_D: 0.22, Smooth_muscle_cells:vascular: 0.22, Smooth_muscle_cells:bronchial: 0.22, Smooth_muscle_cells:vascular:IL-17: 0.22, Chondrocytes:MSC-derived: 0.22, Tissue_stem_cells:BM_MSC:TGFb3: 0.22, iPS_cells:adipose_stem_cells: 0.21, Tissue_stem_cells:BM_MSC:BMP2: 0.21 |
NB02_GTGCAGCGTACCCAAT-1 | Tissue_stem_cells:BM_MSC | 0.14 | 501.44 | Raw ScoresSmooth_muscle_cells:vascular: 0.23, Smooth_muscle_cells:vascular:IL-17: 0.23, Fibroblasts:breast: 0.23, iPS_cells:adipose_stem_cells: 0.23, Tissue_stem_cells:BM_MSC:BMP2: 0.23, Tissue_stem_cells:BM_MSC: 0.23, Osteoblasts: 0.23, Osteoblasts:BMP2: 0.22, Tissue_stem_cells:BM_MSC:TGFb3: 0.22, Smooth_muscle_cells:bronchial: 0.22 |
NB02_CCCAGTTTCGAATGGG-1 | Fibroblasts:breast | 0.14 | 496.98 | Raw ScoresFibroblasts:breast: 0.19, Chondrocytes:MSC-derived: 0.19, iPS_cells:adipose_stem_cells: 0.19, Osteoblasts: 0.19, iPS_cells:CRL2097_foreskin: 0.18, Tissue_stem_cells:BM_MSC:TGFb3: 0.18, Tissue_stem_cells:BM_MSC: 0.18, Tissue_stem_cells:BM_MSC:osteogenic: 0.18, Tissue_stem_cells:BM_MSC:BMP2: 0.17, Smooth_muscle_cells:vascular: 0.17 |
NB02_GCATGTATCTCAACTT-1 | Tissue_stem_cells:BM_MSC | 0.12 | 492.24 | Raw ScoresSmooth_muscle_cells:vascular:IL-17: 0.21, Smooth_muscle_cells:vascular: 0.21, Fibroblasts:breast: 0.2, Osteoblasts: 0.2, Tissue_stem_cells:BM_MSC:TGFb3: 0.19, iPS_cells:adipose_stem_cells: 0.19, Chondrocytes:MSC-derived: 0.19, Tissue_stem_cells:BM_MSC: 0.19, Tissue_stem_cells:BM_MSC:BMP2: 0.19, iPS_cells:CRL2097_foreskin: 0.19 |
NB02_TCTATTGTCAGATAAG-1 | iPS_cells:adipose_stem_cells | 0.10 | 482.31 | Raw ScoresOsteoblasts: 0.18, Chondrocytes:MSC-derived: 0.18, iPS_cells:adipose_stem_cells: 0.18, Fibroblasts:breast: 0.18, Smooth_muscle_cells:vascular:IL-17: 0.18, Tissue_stem_cells:BM_MSC:TGFb3: 0.18, Tissue_stem_cells:BM_MSC:BMP2: 0.18, iPS_cells:CRL2097_foreskin: 0.18, Smooth_muscle_cells:vascular: 0.17, Smooth_muscle_cells:bronchial: 0.17 |
NB02_TCGTACCAGAGTACCG-1 | Tissue_stem_cells:BM_MSC:BMP2 | 0.11 | 466.09 | Raw ScoresOsteoblasts: 0.18, Tissue_stem_cells:BM_MSC:BMP2: 0.18, Chondrocytes:MSC-derived: 0.18, Fibroblasts:breast: 0.17, Osteoblasts:BMP2: 0.17, Tissue_stem_cells:BM_MSC: 0.17, Tissue_stem_cells:BM_MSC:TGFb3: 0.17, iPS_cells:adipose_stem_cells: 0.17, Fibroblasts:foreskin: 0.17, iPS_cells:CRL2097_foreskin: 0.17 |
NB02_GTACTTTTCGCCAAAT-1 | Fibroblasts:breast | 0.14 | 462.40 | Raw ScoresFibroblasts:breast: 0.22, Chondrocytes:MSC-derived: 0.22, iPS_cells:adipose_stem_cells: 0.22, Tissue_stem_cells:BM_MSC:TGFb3: 0.21, Osteoblasts: 0.21, Osteoblasts:BMP2: 0.21, Smooth_muscle_cells:vascular:IL-17: 0.21, Tissue_stem_cells:BM_MSC: 0.21, Smooth_muscle_cells:vascular: 0.21, Tissue_stem_cells:BM_MSC:BMP2: 0.21 |
NB02_GGAATAAAGCGGATCA-1 | Tissue_stem_cells:BM_MSC | 0.13 | 445.78 | Raw ScoresOsteoblasts: 0.21, Chondrocytes:MSC-derived: 0.21, Tissue_stem_cells:BM_MSC:TGFb3: 0.2, Tissue_stem_cells:BM_MSC:BMP2: 0.2, Fibroblasts:breast: 0.2, Tissue_stem_cells:BM_MSC: 0.2, iPS_cells:adipose_stem_cells: 0.2, Tissue_stem_cells:BM_MSC:osteogenic: 0.19, Smooth_muscle_cells:vascular:IL-17: 0.19, Smooth_muscle_cells:vascular: 0.19 |
NB02_TTCCCAGGTACATGTC-1 | Fibroblasts:breast | 0.14 | 412.99 | Raw ScoresFibroblasts:breast: 0.21, Smooth_muscle_cells:vascular:IL-17: 0.2, Smooth_muscle_cells:vascular: 0.2, iPS_cells:CRL2097_foreskin: 0.2, iPS_cells:adipose_stem_cells: 0.2, Osteoblasts: 0.2, Tissue_stem_cells:BM_MSC: 0.19, Chondrocytes:MSC-derived: 0.19, Osteoblasts:BMP2: 0.19, Tissue_stem_cells:BM_MSC:osteogenic: 0.19 |
NB02_TGAAAGACACCGCTAG-1 | Fibroblasts:breast | 0.12 | 401.75 | Raw ScoresChondrocytes:MSC-derived: 0.21, Tissue_stem_cells:BM_MSC:TGFb3: 0.21, iPS_cells:adipose_stem_cells: 0.21, Fibroblasts:breast: 0.21, Tissue_stem_cells:BM_MSC:BMP2: 0.2, Osteoblasts: 0.2, Smooth_muscle_cells:vascular: 0.2, Smooth_muscle_cells:vascular:IL-17: 0.2, Smooth_muscle_cells:bronchial: 0.2, iPS_cells:CRL2097_foreskin: 0.2 |
NB02_AGCCTAAAGATGAGAG-1 | Smooth_muscle_cells:bronchial:vit_D | 0.12 | 401.27 | Raw ScoresFibroblasts:breast: 0.16, Smooth_muscle_cells:vascular:IL-17: 0.16, Tissue_stem_cells:BM_MSC:TGFb3: 0.15, Chondrocytes:MSC-derived: 0.15, Smooth_muscle_cells:bronchial:vit_D: 0.15, Smooth_muscle_cells:vascular: 0.15, iPS_cells:adipose_stem_cells: 0.15, Smooth_muscle_cells:bronchial: 0.15, Tissue_stem_cells:BM_MSC:BMP2: 0.15, Tissue_stem_cells:BM_MSC: 0.14 |
NB02_CTTCTCTTCATCGATG-1 | Tissue_stem_cells:BM_MSC | 0.12 | 400.98 | Raw ScoresOsteoblasts: 0.2, Smooth_muscle_cells:vascular: 0.19, Fibroblasts:breast: 0.19, Tissue_stem_cells:BM_MSC: 0.19, iPS_cells:adipose_stem_cells: 0.19, Smooth_muscle_cells:vascular:IL-17: 0.19, Chondrocytes:MSC-derived: 0.19, Tissue_stem_cells:BM_MSC:BMP2: 0.19, Tissue_stem_cells:BM_MSC:TGFb3: 0.19, iPS_cells:CRL2097_foreskin: 0.19 |
NB02_CATATGGAGAGCTATA-1 | Fibroblasts:breast | 0.12 | 397.04 | Raw ScoresFibroblasts:breast: 0.18, iPS_cells:adipose_stem_cells: 0.17, Smooth_muscle_cells:vascular:IL-17: 0.17, Osteoblasts: 0.17, Tissue_stem_cells:BM_MSC:TGFb3: 0.17, Smooth_muscle_cells:bronchial: 0.17, Smooth_muscle_cells:vascular: 0.17, Chondrocytes:MSC-derived: 0.17, Smooth_muscle_cells:bronchial:vit_D: 0.17, Tissue_stem_cells:BM_MSC: 0.17 |
NB02_GGGAGATCAGGATCGA-1 | Tissue_stem_cells:BM_MSC | 0.11 | 395.15 | Raw ScoresTissue_stem_cells:BM_MSC:TGFb3: 0.21, Tissue_stem_cells:BM_MSC:BMP2: 0.21, Smooth_muscle_cells:vascular:IL-17: 0.21, Osteoblasts: 0.21, Tissue_stem_cells:BM_MSC: 0.21, Smooth_muscle_cells:vascular: 0.21, Fibroblasts:breast: 0.2, Chondrocytes:MSC-derived: 0.2, Tissue_stem_cells:BM_MSC:osteogenic: 0.2, iPS_cells:adipose_stem_cells: 0.2 |
NB02_CATGGCGAGGCGATAC-1 | Fibroblasts:breast | 0.11 | 393.75 | Raw ScoresFibroblasts:breast: 0.2, iPS_cells:adipose_stem_cells: 0.2, Smooth_muscle_cells:vascular:IL-17: 0.19, Chondrocytes:MSC-derived: 0.19, Osteoblasts: 0.19, Tissue_stem_cells:BM_MSC:TGFb3: 0.19, Smooth_muscle_cells:vascular: 0.19, Tissue_stem_cells:BM_MSC:BMP2: 0.19, Smooth_muscle_cells:bronchial: 0.19, Tissue_stem_cells:BM_MSC: 0.18 |
NB02_TACGGGCTCCCATTTA-1 | Fibroblasts:breast | 0.13 | 390.38 | Raw ScoresFibroblasts:breast: 0.17, Smooth_muscle_cells:vascular: 0.16, Osteoblasts: 0.16, Smooth_muscle_cells:vascular:IL-17: 0.16, iPS_cells:adipose_stem_cells: 0.16, Chondrocytes:MSC-derived: 0.16, Tissue_stem_cells:BM_MSC: 0.15, Tissue_stem_cells:BM_MSC:TGFb3: 0.15, Osteoblasts:BMP2: 0.15, iPS_cells:CRL2097_foreskin: 0.15 |
NB02_TTTGGTTCAAGTAGTA-1 | Tissue_stem_cells:BM_MSC | 0.13 | 381.87 | Raw ScoresFibroblasts:breast: 0.17, iPS_cells:adipose_stem_cells: 0.17, Osteoblasts: 0.17, Chondrocytes:MSC-derived: 0.17, Osteoblasts:BMP2: 0.17, Tissue_stem_cells:BM_MSC: 0.16, iPS_cells:CRL2097_foreskin: 0.16, Smooth_muscle_cells:vascular:IL-17: 0.16, Tissue_stem_cells:BM_MSC:TGFb3: 0.16, Tissue_stem_cells:BM_MSC:osteogenic: 0.16 |
NB02_AGTCTTTTCCTTGGTC-1 | Tissue_stem_cells:BM_MSC | 0.16 | 379.78 | Raw ScoresFibroblasts:breast: 0.22, Osteoblasts: 0.21, iPS_cells:adipose_stem_cells: 0.21, Tissue_stem_cells:BM_MSC: 0.21, Osteoblasts:BMP2: 0.2, iPS_cells:CRL2097_foreskin: 0.2, Tissue_stem_cells:BM_MSC:BMP2: 0.2, Chondrocytes:MSC-derived: 0.2, Smooth_muscle_cells:vascular: 0.2, Tissue_stem_cells:BM_MSC:osteogenic: 0.2 |
NB11_ATTGGTGAGGCACATG-1 | Tissue_stem_cells:BM_MSC | 0.11 | 378.79 | Raw ScoresiPS_cells:CRL2097_foreskin: 0.21, iPS_cells:adipose_stem_cells: 0.21, Osteoblasts: 0.2, Osteoblasts:BMP2: 0.2, Fibroblasts:breast: 0.2, MSC: 0.2, Smooth_muscle_cells:bronchial: 0.19, Tissue_stem_cells:BM_MSC: 0.19, Tissue_stem_cells:BM_MSC:TGFb3: 0.19, Chondrocytes:MSC-derived: 0.19 |
NB02_ACGAGCCAGTCTCGGC-1 | Tissue_stem_cells:BM_MSC | 0.12 | 364.46 | Raw ScoresSmooth_muscle_cells:bronchial: 0.19, Osteoblasts: 0.19, Smooth_muscle_cells:bronchial:vit_D: 0.19, Chondrocytes:MSC-derived: 0.19, iPS_cells:CRL2097_foreskin: 0.18, Fibroblasts:breast: 0.18, Smooth_muscle_cells:vascular: 0.18, Tissue_stem_cells:BM_MSC:TGFb3: 0.18, MSC: 0.17, Smooth_muscle_cells:vascular:IL-17: 0.17 |
NB02_AGACGTTTCTGTCTAT-1 | Tissue_stem_cells:BM_MSC | 0.13 | 352.50 | Raw ScoresOsteoblasts: 0.2, Chondrocytes:MSC-derived: 0.2, Tissue_stem_cells:BM_MSC: 0.19, Fibroblasts:breast: 0.19, Smooth_muscle_cells:vascular: 0.19, iPS_cells:adipose_stem_cells: 0.19, Smooth_muscle_cells:vascular:IL-17: 0.19, iPS_cells:CRL2097_foreskin: 0.19, Smooth_muscle_cells:bronchial: 0.19, Tissue_stem_cells:BM_MSC:osteogenic: 0.19 |
NB02_CGGAGCTAGATCCCGC-1 | Fibroblasts:breast | 0.12 | 351.42 | Raw ScoresFibroblasts:breast: 0.18, Smooth_muscle_cells:vascular: 0.18, iPS_cells:adipose_stem_cells: 0.18, Smooth_muscle_cells:vascular:IL-17: 0.17, Smooth_muscle_cells:bronchial: 0.17, Osteoblasts:BMP2: 0.17, Osteoblasts: 0.17, Smooth_muscle_cells:bronchial:vit_D: 0.17, Tissue_stem_cells:BM_MSC: 0.17, iPS_cells:CRL2097_foreskin: 0.16 |
NB02_TACTCATAGTCGTTTG-1 | iPS_cells:adipose_stem_cells | 0.14 | 347.73 | Raw ScoresFibroblasts:breast: 0.22, iPS_cells:adipose_stem_cells: 0.22, Chondrocytes:MSC-derived: 0.21, Smooth_muscle_cells:vascular:IL-17: 0.21, Smooth_muscle_cells:vascular: 0.21, Osteoblasts: 0.21, Tissue_stem_cells:BM_MSC:BMP2: 0.21, Tissue_stem_cells:BM_MSC:TGFb3: 0.2, iPS_cells:CRL2097_foreskin: 0.2, Tissue_stem_cells:BM_MSC: 0.2 |
NB02_TCTCTAAGTACCCAAT-1 | Fibroblasts:breast | 0.14 | 346.98 | Raw ScoresFibroblasts:breast: 0.23, iPS_cells:adipose_stem_cells: 0.22, Osteoblasts: 0.21, Chondrocytes:MSC-derived: 0.21, Tissue_stem_cells:BM_MSC:TGFb3: 0.21, Smooth_muscle_cells:vascular:IL-17: 0.21, iPS_cells:CRL2097_foreskin: 0.21, Smooth_muscle_cells:vascular: 0.21, Osteoblasts:BMP2: 0.21, Tissue_stem_cells:BM_MSC:BMP2: 0.21 |
NB02_AGTGGGAAGCTCAACT-1 | Fibroblasts:breast | 0.14 | 342.67 | Raw ScoresChondrocytes:MSC-derived: 0.2, Fibroblasts:breast: 0.2, Osteoblasts: 0.19, iPS_cells:adipose_stem_cells: 0.19, Smooth_muscle_cells:vascular:IL-17: 0.18, Smooth_muscle_cells:vascular: 0.18, Tissue_stem_cells:BM_MSC:TGFb3: 0.18, Smooth_muscle_cells:bronchial: 0.18, Smooth_muscle_cells:bronchial:vit_D: 0.18, iPS_cells:CRL2097_foreskin: 0.18 |
NB02_TCTGAGACATCCTAGA-1 | iPS_cells:adipose_stem_cells | 0.13 | 342.31 | Raw ScoresFibroblasts:breast: 0.2, Osteoblasts: 0.19, Smooth_muscle_cells:vascular: 0.19, iPS_cells:adipose_stem_cells: 0.19, Chondrocytes:MSC-derived: 0.19, Smooth_muscle_cells:vascular:IL-17: 0.19, Tissue_stem_cells:BM_MSC: 0.19, Tissue_stem_cells:BM_MSC:TGFb3: 0.18, Tissue_stem_cells:BM_MSC:BMP2: 0.18, Osteoblasts:BMP2: 0.18 |
NB02_GATCAGTAGAAGGCCT-1 | Tissue_stem_cells:BM_MSC | 0.13 | 342.03 | Raw ScoresOsteoblasts: 0.2, Fibroblasts:breast: 0.2, Chondrocytes:MSC-derived: 0.2, Tissue_stem_cells:BM_MSC: 0.2, Tissue_stem_cells:BM_MSC:BMP2: 0.2, Smooth_muscle_cells:vascular:IL-17: 0.19, iPS_cells:adipose_stem_cells: 0.19, Tissue_stem_cells:BM_MSC:osteogenic: 0.19, Smooth_muscle_cells:vascular: 0.19, Osteoblasts:BMP2: 0.19 |
NB02_CCTTACGAGTATGACA-1 | Fibroblasts:breast | 0.11 | 339.92 | Raw ScoresFibroblasts:breast: 0.2, Chondrocytes:MSC-derived: 0.2, Smooth_muscle_cells:vascular:IL-17: 0.19, Tissue_stem_cells:BM_MSC:TGFb3: 0.19, Tissue_stem_cells:BM_MSC: 0.19, iPS_cells:adipose_stem_cells: 0.19, Tissue_stem_cells:BM_MSC:BMP2: 0.19, Osteoblasts: 0.19, Smooth_muscle_cells:vascular: 0.19, Osteoblasts:BMP2: 0.18 |
NB02_ATTCTACCAAACTGTC-1 | Tissue_stem_cells:BM_MSC | 0.13 | 335.45 | Raw ScoresFibroblasts:breast: 0.2, Chondrocytes:MSC-derived: 0.19, Tissue_stem_cells:BM_MSC: 0.19, Smooth_muscle_cells:vascular:IL-17: 0.19, iPS_cells:adipose_stem_cells: 0.19, Smooth_muscle_cells:vascular: 0.19, Osteoblasts: 0.19, Tissue_stem_cells:BM_MSC:osteogenic: 0.19, Tissue_stem_cells:BM_MSC:BMP2: 0.19, Tissue_stem_cells:BM_MSC:TGFb3: 0.18 |
NB02_GGAGCAATCCAGATCA-1 | iPS_cells:adipose_stem_cells | 0.13 | 323.64 | Raw ScoresOsteoblasts: 0.19, Fibroblasts:breast: 0.19, Smooth_muscle_cells:bronchial: 0.19, iPS_cells:adipose_stem_cells: 0.19, Smooth_muscle_cells:bronchial:vit_D: 0.19, Tissue_stem_cells:BM_MSC: 0.19, Smooth_muscle_cells:vascular:IL-17: 0.19, Smooth_muscle_cells:vascular: 0.18, Chondrocytes:MSC-derived: 0.18, Tissue_stem_cells:BM_MSC:TGFb3: 0.18 |
NB02_GGCTGGTTCTGATACG-1 | Fibroblasts:breast | 0.10 | 321.27 | Raw ScoresFibroblasts:breast: 0.17, Chondrocytes:MSC-derived: 0.17, Tissue_stem_cells:BM_MSC:TGFb3: 0.16, iPS_cells:adipose_stem_cells: 0.16, Osteoblasts: 0.16, Tissue_stem_cells:BM_MSC:BMP2: 0.16, Smooth_muscle_cells:vascular:IL-17: 0.16, Smooth_muscle_cells:bronchial: 0.16, Smooth_muscle_cells:vascular: 0.16, Smooth_muscle_cells:bronchial:vit_D: 0.16 |
NB02_AGGGATGAGATCTGAA-1 | Chondrocytes:MSC-derived | 0.10 | 320.40 | Raw ScoresOsteoblasts: 0.16, Fibroblasts:breast: 0.16, Chondrocytes:MSC-derived: 0.16, iPS_cells:adipose_stem_cells: 0.15, Smooth_muscle_cells:vascular:IL-17: 0.15, Tissue_stem_cells:BM_MSC: 0.15, Tissue_stem_cells:BM_MSC:TGFb3: 0.15, iPS_cells:CRL2097_foreskin: 0.15, Smooth_muscle_cells:vascular: 0.15, Tissue_stem_cells:BM_MSC:osteogenic: 0.15 |
NB02_TCACGAACACCCATGG-1 | Smooth_muscle_cells:bronchial | 0.14 | 303.03 | Raw ScoresSmooth_muscle_cells:bronchial: 0.18, Fibroblasts:breast: 0.18, Smooth_muscle_cells:bronchial:vit_D: 0.18, Chondrocytes:MSC-derived: 0.17, Smooth_muscle_cells:vascular: 0.17, Osteoblasts: 0.17, Smooth_muscle_cells:vascular:IL-17: 0.17, iPS_cells:adipose_stem_cells: 0.17, Osteoblasts:BMP2: 0.17, Tissue_stem_cells:BM_MSC:TGFb3: 0.17 |
NB02_GACACGCCAACGATCT-1 | Tissue_stem_cells:BM_MSC | 0.09 | 298.27 | Raw ScoresSmooth_muscle_cells:vascular:IL-17: 0.19, Chondrocytes:MSC-derived: 0.18, Tissue_stem_cells:BM_MSC:TGFb3: 0.18, Fibroblasts:breast: 0.18, Osteoblasts: 0.18, Tissue_stem_cells:BM_MSC:BMP2: 0.18, Smooth_muscle_cells:vascular: 0.18, iPS_cells:adipose_stem_cells: 0.18, Tissue_stem_cells:BM_MSC: 0.18, Smooth_muscle_cells:bronchial: 0.17 |
NB02_TCACGAAAGAAGGCCT-1 | Tissue_stem_cells:BM_MSC | 0.12 | 297.93 | Raw ScoresOsteoblasts: 0.19, Fibroblasts:breast: 0.19, Chondrocytes:MSC-derived: 0.18, Tissue_stem_cells:BM_MSC:TGFb3: 0.18, iPS_cells:adipose_stem_cells: 0.18, Tissue_stem_cells:BM_MSC:BMP2: 0.18, Tissue_stem_cells:BM_MSC: 0.18, Osteoblasts:BMP2: 0.18, Tissue_stem_cells:BM_MSC:osteogenic: 0.18, iPS_cells:CRL2097_foreskin: 0.17 |
Below shows the significant enrichments of this GEP for literature curated gene lists
This data was procured from existing single cell RNA-seq maps of neuroblastoma or related relevant data.
High ranks indicate this gene is a driver of this GEP.
These curated gene list are ranked by the P-value (on this GEP) of their constituent genes.
The Mean Count column shows the mean read count in cells scoring highly (H > 50) on this gene expression program.
Genes | Weight | Rank | GTEx | DepMap | Decartes | Mean.Counts | Mean.TPM |
---|---|---|---|---|---|---|---|
THBS1 | 0.0168432 | 1 | GTEx | DepMap | Descartes | 1.73 | 816.02 |
THBS2 | 0.0139843 | 4 | GTEx | DepMap | Descartes | 1.07 | 664.87 |
COL8A1 | 0.0133032 | 5 | GTEx | DepMap | Descartes | 0.80 | 429.63 |
COL5A2 | 0.0124605 | 8 | GTEx | DepMap | Descartes | 1.46 | 665.52 |
VCAN | 0.0114270 | 12 | GTEx | DepMap | Descartes | 1.26 | 328.37 |
COL12A1 | 0.0109872 | 15 | GTEx | DepMap | Descartes | 0.54 | 138.89 |
COL14A1 | 0.0091133 | 21 | GTEx | DepMap | Descartes | 0.38 | 171.34 |
COL3A1 | 0.0083839 | 28 | GTEx | DepMap | Descartes | 3.01 | 1612.77 |
COL5A1 | 0.0073162 | 44 | GTEx | DepMap | Descartes | 0.74 | 286.41 |
MYL9 | 0.0071514 | 46 | GTEx | DepMap | Descartes | 0.35 | 419.11 |
IGFBP7 | 0.0070574 | 48 | GTEx | DepMap | Descartes | 1.48 | 2839.58 |
FN1 | 0.0068893 | 57 | GTEx | DepMap | Descartes | 2.55 | 781.35 |
COL1A2 | 0.0063551 | 68 | GTEx | DepMap | Descartes | 4.66 | 2495.84 |
TPM2 | 0.0063172 | 71 | GTEx | DepMap | Descartes | 0.50 | 1096.28 |
COL11A1 | 0.0056019 | 91 | GTEx | DepMap | Descartes | 0.30 | 107.88 |
COL1A1 | 0.0047772 | 121 | GTEx | DepMap | Descartes | 3.58 | 1668.72 |
TAGLN | 0.0047065 | 124 | GTEx | DepMap | Descartes | 0.37 | 259.46 |
BGN | 0.0044166 | 135 | GTEx | DepMap | Descartes | 0.56 | 804.69 |
MMP2 | 0.0043332 | 137 | GTEx | DepMap | Descartes | 0.43 | 436.88 |
COL4A1 | 0.0040985 | 147 | GTEx | DepMap | Descartes | 0.70 | 329.95 |
DCN | 0.0040748 | 151 | GTEx | DepMap | Descartes | 0.31 | 132.67 |
MYLK | 0.0037222 | 169 | GTEx | DepMap | Descartes | 0.15 | 47.72 |
ACTA2 | 0.0028989 | 234 | GTEx | DepMap | Descartes | 0.26 | 475.83 |
TPM1 | 0.0028015 | 242 | GTEx | DepMap | Descartes | 0.59 | 373.38 |
VEGFA | 0.0025854 | 265 | GTEx | DepMap | Descartes | 0.26 | 86.95 |
LUM | 0.0024644 | 283 | GTEx | DepMap | Descartes | 0.33 | 355.26 |
CNN3 | 0.0024630 | 284 | GTEx | DepMap | Descartes | 0.28 | 439.37 |
TNC | 0.0023736 | 301 | GTEx | DepMap | Descartes | 0.57 | 167.20 |
MYH11 | 0.0021608 | 336 | GTEx | DepMap | Descartes | 0.09 | 37.73 |
COL15A1 | 0.0020944 | 352 | GTEx | DepMap | Descartes | 0.12 | 69.54 |
THY1 | 0.0020894 | 354 | GTEx | DepMap | Descartes | 0.25 | 184.29 |
TGFBR2 | 0.0019092 | 400 | GTEx | DepMap | Descartes | 0.21 | 98.86 |
TGFBR1 | 0.0018023 | 425 | GTEx | DepMap | Descartes | 0.24 | 118.03 |
CNN2 | 0.0015670 | 505 | GTEx | DepMap | Descartes | 0.11 | 140.21 |
TMEM119 | 0.0012549 | 643 | GTEx | DepMap | Descartes | 0.04 | 39.87 |
ITGA7 | 0.0011737 | 697 | GTEx | DepMap | Descartes | 0.07 | 43.55 |
ACTG2 | 0.0009105 | 884 | GTEx | DepMap | Descartes | 0.01 | 42.26 |
IGFBP3 | 0.0006142 | 1267 | GTEx | DepMap | Descartes | 0.09 | 67.23 |
WNT5A | 0.0005489 | 1365 | GTEx | DepMap | Descartes | 0.01 | 6.06 |
TGFB2 | 0.0004982 | 1460 | GTEx | DepMap | Descartes | 0.08 | 34.07 |
TGFB1 | 0.0004847 | 1501 | GTEx | DepMap | Descartes | 0.11 | 125.07 |
MEF2C | 0.0004362 | 1616 | GTEx | DepMap | Descartes | 0.37 | 109.65 |
COL10A1 | 0.0003669 | 1823 | GTEx | DepMap | Descartes | 0.02 | 12.12 |
COL13A1 | 0.0002644 | 2260 | GTEx | DepMap | Descartes | 0.04 | 42.21 |
POSTN | 0.0002049 | 2624 | GTEx | DepMap | Descartes | 0.60 | 402.72 |
MMP11 | 0.0000721 | 3925 | GTEx | DepMap | Descartes | 0.03 | 23.03 |
HOPX | -0.0000563 | 6493 | GTEx | DepMap | Descartes | 0.01 | 6.16 |
PGF | -0.0002571 | 10774 | GTEx | DepMap | Descartes | 0.01 | 11.17 |
RGS5 | -0.0007007 | 12388 | GTEx | DepMap | Descartes | 0.23 | 76.78 |
Inflammatory CAF
These marker genes were curated across cancer subtypes in multiple organ systems as reviewed in Lavie et. al. (PMID 35883004) and contain inflammatory specific CAF genes:
Wilcoxon ranksum test P-value for gene set overrepresentation: 7.47e-10
Mean rank of genes in gene set: 1899.44
Rank on gene expression program of genes in gene set:
Genes | Weight | Rank | GTEx | DepMap | Decartes | Mean.Counts | Mean.TPM |
---|---|---|---|---|---|---|---|
IGF1 | 0.0127384 | 7 | GTEx | DepMap | Descartes | 0.52 | 280.94 |
IL1R1 | 0.0116421 | 11 | GTEx | DepMap | Descartes | 0.57 | 438.89 |
CCL2 | 0.0047007 | 126 | GTEx | DepMap | Descartes | 0.40 | 1431.07 |
C3 | 0.0044258 | 133 | GTEx | DepMap | Descartes | 1.17 | 892.06 |
PDGFD | 0.0042327 | 142 | GTEx | DepMap | Descartes | 0.17 | 152.52 |
C7 | 0.0037792 | 163 | GTEx | DepMap | Descartes | 0.26 | 178.99 |
LIF | 0.0037336 | 167 | GTEx | DepMap | Descartes | 0.11 | 89.63 |
PDGFRA | 0.0036603 | 172 | GTEx | DepMap | Descartes | 0.10 | 47.26 |
PDPN | 0.0035446 | 179 | GTEx | DepMap | Descartes | 0.05 | 51.17 |
PDGFRB | 0.0031915 | 203 | GTEx | DepMap | Descartes | 0.28 | 133.37 |
SERPING1 | 0.0019827 | 383 | GTEx | DepMap | Descartes | 0.26 | 353.06 |
CXCL12 | 0.0018440 | 409 | GTEx | DepMap | Descartes | 0.11 | 112.04 |
GPX3 | 0.0011948 | 683 | GTEx | DepMap | Descartes | 0.08 | 176.60 |
IL33 | 0.0008413 | 945 | GTEx | DepMap | Descartes | 0.05 | 33.56 |
CXCL2 | 0.0007630 | 1038 | GTEx | DepMap | Descartes | 0.11 | 390.83 |
SOD2 | 0.0007263 | 1078 | GTEx | DepMap | Descartes | 0.34 | 82.06 |
CFD | 0.0004466 | 1596 | GTEx | DepMap | Descartes | 0.02 | 61.63 |
CFB | 0.0004229 | 1653 | GTEx | DepMap | Descartes | 0.05 | 67.25 |
IGFBP6 | 0.0003229 | 1988 | GTEx | DepMap | Descartes | 0.05 | 115.03 |
CXCL14 | 0.0000556 | 4167 | GTEx | DepMap | Descartes | 0.02 | 12.83 |
IL10 | 0.0000278 | 4584 | GTEx | DepMap | Descartes | 0.00 | 0.00 |
SCARA5 | -0.0000036 | 5176 | GTEx | DepMap | Descartes | 0.00 | 0.00 |
SCARA3 | -0.0000099 | 5308 | GTEx | DepMap | Descartes | 0.02 | 8.35 |
RGMA | -0.0000677 | 6805 | GTEx | DepMap | Descartes | 0.02 | 2.76 |
HGF | -0.0002276 | 10370 | GTEx | DepMap | Descartes | 0.02 | 13.60 |
Mesenchymal Fig 1D (Olsen)
Selected mesenchymal marker genes shown in Fig. 1D of Olsen et al. https://www.biorxiv.org/content/10.1101/2020.05.04.077057v1 - these are highly expressed in their mesenchymal cluster on their UMAP.:
Wilcoxon ranksum test P-value for gene set overrepresentation: 4.96e-09
Mean rank of genes in gene set: 518.38
Rank on gene expression program of genes in gene set:
Genes | Weight | Rank | GTEx | DepMap | Decartes | Mean.Counts | Mean.TPM |
---|---|---|---|---|---|---|---|
COL3A1 | 0.0083839 | 28 | GTEx | DepMap | Descartes | 3.01 | 1612.77 |
CALD1 | 0.0078469 | 35 | GTEx | DepMap | Descartes | 2.31 | 1398.36 |
SPARC | 0.0069452 | 54 | GTEx | DepMap | Descartes | 1.85 | 1622.50 |
COL6A2 | 0.0069345 | 55 | GTEx | DepMap | Descartes | 1.09 | 1004.38 |
MGP | 0.0067685 | 59 | GTEx | DepMap | Descartes | 0.73 | 1434.24 |
COL1A2 | 0.0063551 | 68 | GTEx | DepMap | Descartes | 4.66 | 2495.84 |
PRRX1 | 0.0060186 | 77 | GTEx | DepMap | Descartes | 0.33 | 235.66 |
COL1A1 | 0.0047772 | 121 | GTEx | DepMap | Descartes | 3.58 | 1668.72 |
BGN | 0.0044166 | 135 | GTEx | DepMap | Descartes | 0.56 | 804.69 |
DCN | 0.0040748 | 151 | GTEx | DepMap | Descartes | 0.31 | 132.67 |
PDGFRA | 0.0036603 | 172 | GTEx | DepMap | Descartes | 0.10 | 47.26 |
LUM | 0.0024644 | 283 | GTEx | DepMap | Descartes | 0.33 | 355.26 |
LEPR | -0.0000176 | 5501 | GTEx | DepMap | Descartes | 0.05 | 17.14 |
Below shows ranks on this GEP for literature curated gene lists for large gene sets
These include those reported as mesenchymal/adrenergic by Van Groningen et al.
High ranks indicate this gene is a driver of this GEP (note these results are not ordered).
The Mean Count column shows the mean read count in cells scoring highly (H > 50) on this gene expression program.
VanGroningen Adrenergic Genes
Adrenergic marker genes from Supplementary Table 2 of Van Groningen et al. Nature Genetics 2017. These genes were identified by differential expression analysis of mesenchymal-like and adrenergic-like neuroblastoma cell lines.
Wilcoxon ranksum test P-value for gene set overrepresentation: 1.00e+00
Mean rank of genes in gene set: 9945.28
Median rank of genes in gene set: 11366
Rank on gene expression program of top 30 genes in gene set:
Genes | Weight | Rank | GTEx | DepMap | Descartes | Mean.Counts | Mean.TPM |
---|---|---|---|---|---|---|---|
DPYSL3 | 0.0020628 | 359 | GTEx | DepMap | Descartes | 0.68 | 357.74 |
CELF2 | 0.0012775 | 633 | GTEx | DepMap | Descartes | 0.33 | 102.68 |
AKAP12 | 0.0011400 | 719 | GTEx | DepMap | Descartes | 0.54 | 195.17 |
NFIL3 | 0.0009998 | 822 | GTEx | DepMap | Descartes | 0.08 | 166.47 |
EML4 | 0.0007519 | 1049 | GTEx | DepMap | Descartes | 0.48 | 247.95 |
PRSS12 | 0.0006960 | 1129 | GTEx | DepMap | Descartes | 0.13 | 74.10 |
SLIT3 | 0.0006544 | 1191 | GTEx | DepMap | Descartes | 1.05 | 264.35 |
PTS | 0.0006534 | 1193 | GTEx | DepMap | Descartes | 0.17 | 536.01 |
GRB10 | 0.0006209 | 1253 | GTEx | DepMap | Descartes | 0.22 | 130.39 |
LMO3 | 0.0005458 | 1369 | GTEx | DepMap | Descartes | 0.01 | 8.72 |
RALGDS | 0.0003061 | 2074 | GTEx | DepMap | Descartes | 0.23 | 121.93 |
KLF13 | 0.0002680 | 2236 | GTEx | DepMap | Descartes | 0.09 | 35.88 |
PARP6 | 0.0002646 | 2259 | GTEx | DepMap | Descartes | 0.15 | 136.61 |
FHOD3 | 0.0002627 | 2268 | GTEx | DepMap | Descartes | 0.20 | 97.05 |
ABLIM1 | 0.0002536 | 2315 | GTEx | DepMap | Descartes | 0.19 | 69.83 |
KLC1 | 0.0002240 | 2487 | GTEx | DepMap | Descartes | 0.23 | 41.39 |
GDI1 | 0.0002182 | 2523 | GTEx | DepMap | Descartes | 0.21 | 162.97 |
NEFL | 0.0001933 | 2704 | GTEx | DepMap | Descartes | 0.06 | 64.04 |
GLDC | 0.0001791 | 2812 | GTEx | DepMap | Descartes | 0.02 | 12.89 |
PBX3 | 0.0001640 | 2932 | GTEx | DepMap | Descartes | 0.40 | 411.62 |
BMP7 | 0.0001482 | 3067 | GTEx | DepMap | Descartes | 0.02 | 12.91 |
NCS1 | 0.0001417 | 3130 | GTEx | DepMap | Descartes | 0.06 | 32.29 |
SYT4 | 0.0001359 | 3187 | GTEx | DepMap | Descartes | 0.12 | 117.72 |
RPS6KA2 | 0.0001206 | 3346 | GTEx | DepMap | Descartes | 0.16 | 56.07 |
EVL | 0.0001062 | 3496 | GTEx | DepMap | Descartes | 0.46 | 289.59 |
TUBB4B | 0.0001010 | 3573 | GTEx | DepMap | Descartes | 0.11 | 179.05 |
NAPB | 0.0000955 | 3644 | GTEx | DepMap | Descartes | 0.07 | 53.53 |
NCOA7 | 0.0000859 | 3757 | GTEx | DepMap | Descartes | 0.38 | NA |
RUFY3 | 0.0000594 | 4109 | GTEx | DepMap | Descartes | 0.33 | 200.09 |
ARHGEF7 | 0.0000552 | 4174 | GTEx | DepMap | Descartes | 0.20 | 101.45 |
VanGroningen Mesenchymal Genes
Mesenchymal marker genes from Supplementary Table 2 of Van Groningen et al. Nature Genetics 2017. These genes were identified by differential expression analysis of mesenchymal-like and adrenergic-like neuroblastoma cell lines.
Wilcoxon ranksum test P-value for gene set overrepresentation: 9.53e-104
Mean rank of genes in gene set: 2589.22
Median rank of genes in gene set: 1134
Rank on gene expression program of top 30 genes in gene set:
Genes | Weight | Rank | GTEx | DepMap | Descartes | Mean.Counts | Mean.TPM |
---|---|---|---|---|---|---|---|
THBS1 | 0.0168432 | 1 | GTEx | DepMap | Descartes | 1.73 | 816.02 |
ANXA1 | 0.0130613 | 6 | GTEx | DepMap | Descartes | 1.19 | 1911.66 |
COL5A2 | 0.0124605 | 8 | GTEx | DepMap | Descartes | 1.46 | 665.52 |
COL12A1 | 0.0109872 | 15 | GTEx | DepMap | Descartes | 0.54 | 138.89 |
EMP1 | 0.0102362 | 18 | GTEx | DepMap | Descartes | 0.89 | 572.62 |
PLOD2 | 0.0086185 | 25 | GTEx | DepMap | Descartes | 0.46 | 385.65 |
COL3A1 | 0.0083839 | 28 | GTEx | DepMap | Descartes | 3.01 | 1612.77 |
AEBP1 | 0.0082526 | 29 | GTEx | DepMap | Descartes | 1.56 | 1518.95 |
TIMP1 | 0.0079781 | 32 | GTEx | DepMap | Descartes | 2.25 | 7429.49 |
CALD1 | 0.0078469 | 35 | GTEx | DepMap | Descartes | 2.31 | 1398.36 |
COL5A1 | 0.0073162 | 44 | GTEx | DepMap | Descartes | 0.74 | 286.41 |
CDH11 | 0.0070042 | 50 | GTEx | DepMap | Descartes | 0.59 | 258.81 |
SPARC | 0.0069452 | 54 | GTEx | DepMap | Descartes | 1.85 | 1622.50 |
COL6A2 | 0.0069345 | 55 | GTEx | DepMap | Descartes | 1.09 | 1004.38 |
FN1 | 0.0068893 | 57 | GTEx | DepMap | Descartes | 2.55 | 781.35 |
MGP | 0.0067685 | 59 | GTEx | DepMap | Descartes | 0.73 | 1434.24 |
ZFP36L1 | 0.0067114 | 60 | GTEx | DepMap | Descartes | 0.65 | 770.15 |
CCDC80 | 0.0067113 | 61 | GTEx | DepMap | Descartes | 0.34 | 85.92 |
MICAL2 | 0.0064247 | 65 | GTEx | DepMap | Descartes | 0.27 | 125.08 |
LMNA | 0.0064104 | 66 | GTEx | DepMap | Descartes | 1.19 | 1360.85 |
SGK1 | 0.0063470 | 69 | GTEx | DepMap | Descartes | 0.43 | 300.15 |
TPM2 | 0.0063172 | 71 | GTEx | DepMap | Descartes | 0.50 | 1096.28 |
MRC2 | 0.0061045 | 74 | GTEx | DepMap | Descartes | 0.48 | 316.42 |
PRRX1 | 0.0060186 | 77 | GTEx | DepMap | Descartes | 0.33 | 235.66 |
FBN1 | 0.0059217 | 80 | GTEx | DepMap | Descartes | 0.64 | 151.82 |
VIM | 0.0059102 | 83 | GTEx | DepMap | Descartes | 1.18 | 1556.78 |
LTBP1 | 0.0058837 | 84 | GTEx | DepMap | Descartes | 0.30 | 158.89 |
LPP | 0.0058596 | 85 | GTEx | DepMap | Descartes | 1.34 | 192.85 |
EGR1 | 0.0056055 | 90 | GTEx | DepMap | Descartes | 0.80 | 963.90 |
COL11A1 | 0.0056019 | 91 | GTEx | DepMap | Descartes | 0.30 | 107.88 |
Descartes adrenocortical markers
Top 50 marker genes of adrenocortical cells in the Decartes fetal adrenal single cell map (https://atlas.brotmanbaty.org/bbi/human-gene-expression-during-development/cell/adrenocortical/in/adrenal)
Wilcoxon ranksum test P-value for gene set overrepresentation: 9.19e-01
Mean rank of genes in gene set: 7118.86
Median rank of genes in gene set: 7686
Rank on gene expression program of top 30 genes in gene set:
Genes | Weight | Rank | GTEx | DepMap | Descartes | Mean.Counts | Mean.TPM |
---|---|---|---|---|---|---|---|
SH3PXD2B | 0.0023996 | 297 | GTEx | DepMap | Descartes | 0.25 | 93.44 |
PAPSS2 | 0.0008393 | 949 | GTEx | DepMap | Descartes | 0.12 | 70.34 |
LDLR | 0.0003523 | 1870 | GTEx | DepMap | Descartes | 0.15 | 89.60 |
NPC1 | 0.0003187 | 2012 | GTEx | DepMap | Descartes | 0.12 | 70.39 |
APOC1 | 0.0002551 | 2307 | GTEx | DepMap | Descartes | 0.38 | 2374.86 |
DHCR7 | 0.0002266 | 2470 | GTEx | DepMap | Descartes | 0.04 | 49.65 |
SH3BP5 | 0.0001881 | 2747 | GTEx | DepMap | Descartes | 0.08 | 83.40 |
ERN1 | 0.0001875 | 2751 | GTEx | DepMap | Descartes | 0.07 | 24.39 |
DHCR24 | 0.0001185 | 3368 | GTEx | DepMap | Descartes | 0.07 | 53.94 |
FDX1 | 0.0000850 | 3769 | GTEx | DepMap | Descartes | 0.02 | 33.38 |
PDE10A | 0.0000319 | 4518 | GTEx | DepMap | Descartes | 0.32 | 83.68 |
INHA | 0.0000167 | 4771 | GTEx | DepMap | Descartes | 0.01 | 21.14 |
SCAP | -0.0000396 | 6085 | GTEx | DepMap | Descartes | 0.10 | 66.77 |
HMGCS1 | -0.0000437 | 6185 | GTEx | DepMap | Descartes | 0.06 | 32.86 |
STAR | -0.0000454 | 6225 | GTEx | DepMap | Descartes | 0.00 | 0.00 |
CLU | -0.0000645 | 6714 | GTEx | DepMap | Descartes | 0.24 | 246.78 |
GRAMD1B | -0.0000675 | 6800 | GTEx | DepMap | Descartes | 0.04 | 15.57 |
POR | -0.0000722 | 6918 | GTEx | DepMap | Descartes | 0.06 | 64.34 |
BAIAP2L1 | -0.0001328 | 8454 | GTEx | DepMap | Descartes | 0.08 | 62.22 |
FREM2 | -0.0001341 | 8490 | GTEx | DepMap | Descartes | 0.00 | 0.74 |
IGF1R | -0.0001368 | 8563 | GTEx | DepMap | Descartes | 0.40 | 74.29 |
FDXR | -0.0001446 | 8759 | GTEx | DepMap | Descartes | 0.02 | 23.15 |
MSMO1 | -0.0001727 | 9368 | GTEx | DepMap | Descartes | 0.03 | 72.51 |
HMGCR | -0.0001926 | 9763 | GTEx | DepMap | Descartes | 0.06 | 35.19 |
SCARB1 | -0.0002073 | 10045 | GTEx | DepMap | Descartes | 0.07 | 32.57 |
FDPS | -0.0002151 | 10173 | GTEx | DepMap | Descartes | 0.17 | 227.54 |
CYB5B | -0.0002250 | 10331 | GTEx | DepMap | Descartes | 0.07 | 37.79 |
SGCZ | -0.0002264 | 10355 | GTEx | DepMap | Descartes | 0.08 | 28.40 |
TM7SF2 | -0.0002304 | 10410 | GTEx | DepMap | Descartes | 0.03 | 26.98 |
GSTA4 | -0.0002447 | 10634 | GTEx | DepMap | Descartes | 0.07 | 84.58 |
Descartes chromaffin markers
Top 50 marker genes of chromaffin cells in the Decartes fetal adrenal single cell map (https://atlas.brotmanbaty.org/bbi/human-gene-expression-during-development/cell/chromaffin/in/adrenal)
Wilcoxon ranksum test P-value for gene set overrepresentation: 1.00e+00
Mean rank of genes in gene set: 11243.88
Median rank of genes in gene set: 12244
Rank on gene expression program of top 30 genes in gene set:
Genes | Weight | Rank | GTEx | DepMap | Descartes | Mean.Counts | Mean.TPM |
---|---|---|---|---|---|---|---|
GREM1 | 0.0065939 | 63 | GTEx | DepMap | Descartes | 0.15 | 39.43 |
RPH3A | 0.0000134 | 4841 | GTEx | DepMap | Descartes | 0.03 | 7.97 |
BASP1 | -0.0001046 | 7790 | GTEx | DepMap | Descartes | 0.31 | 483.81 |
PLXNA4 | -0.0001075 | 7867 | GTEx | DepMap | Descartes | 0.20 | 29.71 |
GAL | -0.0001479 | 8831 | GTEx | DepMap | Descartes | 0.19 | 824.43 |
TUBB2A | -0.0001529 | 8958 | GTEx | DepMap | Descartes | 0.20 | 446.62 |
SYNPO2 | -0.0002043 | 9986 | GTEx | DepMap | Descartes | 0.25 | 44.93 |
CNTFR | -0.0002688 | 10900 | GTEx | DepMap | Descartes | 0.04 | 34.54 |
MAB21L1 | -0.0002916 | 11135 | GTEx | DepMap | Descartes | 0.03 | 25.18 |
MAB21L2 | -0.0002964 | 11183 | GTEx | DepMap | Descartes | 0.02 | 18.25 |
RGMB | -0.0003367 | 11490 | GTEx | DepMap | Descartes | 0.07 | 34.01 |
MAP1B | -0.0003521 | 11586 | GTEx | DepMap | Descartes | 0.59 | 129.33 |
GAP43 | -0.0003848 | 11760 | GTEx | DepMap | Descartes | 0.25 | 291.79 |
SLC6A2 | -0.0003904 | 11781 | GTEx | DepMap | Descartes | 0.04 | 21.95 |
REEP1 | -0.0003938 | 11801 | GTEx | DepMap | Descartes | 0.06 | 33.87 |
PTCHD1 | -0.0003939 | 11802 | GTEx | DepMap | Descartes | 0.03 | 2.66 |
MLLT11 | -0.0004182 | 11904 | GTEx | DepMap | Descartes | 0.16 | 200.56 |
FAT3 | -0.0004313 | 11950 | GTEx | DepMap | Descartes | 0.11 | 10.28 |
TMEFF2 | -0.0004447 | 11997 | GTEx | DepMap | Descartes | 0.05 | 33.31 |
NTRK1 | -0.0004961 | 12130 | GTEx | DepMap | Descartes | 0.06 | 50.13 |
EPHA6 | -0.0005587 | 12244 | GTEx | DepMap | Descartes | 0.19 | 57.75 |
CNKSR2 | -0.0006137 | 12307 | GTEx | DepMap | Descartes | 0.15 | 26.74 |
HS3ST5 | -0.0006545 | 12343 | GTEx | DepMap | Descartes | 0.19 | 71.20 |
SLC44A5 | -0.0006571 | 12347 | GTEx | DepMap | Descartes | 0.18 | 78.07 |
ANKFN1 | -0.0006599 | 12351 | GTEx | DepMap | Descartes | 0.13 | 24.96 |
ISL1 | -0.0007051 | 12394 | GTEx | DepMap | Descartes | 0.14 | 97.53 |
KCNB2 | -0.0007816 | 12428 | GTEx | DepMap | Descartes | 0.20 | 52.54 |
EYA1 | -0.0008146 | 12439 | GTEx | DepMap | Descartes | 0.17 | 56.42 |
MARCH11 | -0.0008156 | 12440 | GTEx | DepMap | Descartes | 0.25 | NA |
EYA4 | -0.0008616 | 12453 | GTEx | DepMap | Descartes | 0.18 | 45.00 |
Descartes Vascular_endothelial markers
Top 50 marker genes of Vascular_endothelial cells in the Decartes fetal adrenal single cell map (https://atlas.brotmanbaty.org/bbi/human-gene-expression-during-development/cell/vascular_endothelial/in/adrenal)
Wilcoxon ranksum test P-value for gene set overrepresentation: 2.87e-02
Mean rank of genes in gene set: 5160.13
Median rank of genes in gene set: 4190
Rank on gene expression program of top 30 genes in gene set:
Genes | Weight | Rank | GTEx | DepMap | Descartes | Mean.Counts | Mean.TPM |
---|---|---|---|---|---|---|---|
TMEM88 | 0.0011749 | 695 | GTEx | DepMap | Descartes | 0.08 | 302.58 |
CALCRL | 0.0008914 | 897 | GTEx | DepMap | Descartes | 0.14 | 66.10 |
FLT4 | 0.0008338 | 962 | GTEx | DepMap | Descartes | 0.03 | 17.75 |
NPR1 | 0.0005753 | 1317 | GTEx | DepMap | Descartes | 0.00 | 4.52 |
CRHBP | 0.0004890 | 1491 | GTEx | DepMap | Descartes | 0.00 | 1.09 |
GALNT15 | 0.0004262 | 1646 | GTEx | DepMap | Descartes | 0.02 | NA |
KANK3 | 0.0003600 | 1846 | GTEx | DepMap | Descartes | 0.05 | 49.13 |
RASIP1 | 0.0003065 | 2070 | GTEx | DepMap | Descartes | 0.02 | 13.08 |
SHANK3 | 0.0002971 | 2108 | GTEx | DepMap | Descartes | 0.06 | 18.70 |
ARHGAP29 | 0.0002154 | 2542 | GTEx | DepMap | Descartes | 0.15 | 57.03 |
SLCO2A1 | 0.0002130 | 2557 | GTEx | DepMap | Descartes | 0.03 | 19.81 |
CYP26B1 | 0.0002050 | 2622 | GTEx | DepMap | Descartes | 0.01 | 4.77 |
TEK | 0.0001631 | 2943 | GTEx | DepMap | Descartes | 0.02 | 9.63 |
TIE1 | 0.0001403 | 3144 | GTEx | DepMap | Descartes | 0.03 | 21.21 |
ROBO4 | 0.0001207 | 3345 | GTEx | DepMap | Descartes | 0.01 | 6.14 |
CDH5 | 0.0001088 | 3473 | GTEx | DepMap | Descartes | 0.01 | 3.63 |
KDR | 0.0001052 | 3508 | GTEx | DepMap | Descartes | 0.03 | 17.52 |
ID1 | 0.0000642 | 4028 | GTEx | DepMap | Descartes | 0.11 | 315.24 |
NR5A2 | 0.0000560 | 4162 | GTEx | DepMap | Descartes | 0.07 | 54.01 |
BTNL9 | 0.0000519 | 4218 | GTEx | DepMap | Descartes | 0.00 | 1.68 |
EHD3 | 0.0000468 | 4286 | GTEx | DepMap | Descartes | 0.02 | 14.01 |
SHE | 0.0000193 | 4719 | GTEx | DepMap | Descartes | 0.01 | 2.74 |
MMRN2 | 0.0000030 | 5042 | GTEx | DepMap | Descartes | 0.01 | 3.42 |
HYAL2 | -0.0000023 | 5149 | GTEx | DepMap | Descartes | 0.03 | 19.01 |
IRX3 | -0.0000588 | 6552 | GTEx | DepMap | Descartes | 0.01 | 6.47 |
NOTCH4 | -0.0000617 | 6641 | GTEx | DepMap | Descartes | 0.04 | 14.43 |
F8 | -0.0000675 | 6798 | GTEx | DepMap | Descartes | 0.00 | 0.18 |
PTPRB | -0.0000816 | 7162 | GTEx | DepMap | Descartes | 0.11 | 24.87 |
PODXL | -0.0000869 | 7312 | GTEx | DepMap | Descartes | 0.04 | 18.99 |
CEACAM1 | -0.0001157 | 8065 | GTEx | DepMap | Descartes | 0.02 | 19.60 |
Descartes stromal markers
Top 50 marker genes of stromal cells in the Decartes fetal adrenal single cell map (https://atlas.brotmanbaty.org/bbi/human-gene-expression-during-development/cell/stromal/in/adrenal)
Wilcoxon ranksum test P-value for gene set overrepresentation: 4.01e-17
Mean rank of genes in gene set: 1733.05
Median rank of genes in gene set: 464
Rank on gene expression program of top 30 genes in gene set:
Genes | Weight | Rank | GTEx | DepMap | Descartes | Mean.Counts | Mean.TPM |
---|---|---|---|---|---|---|---|
COL12A1 | 0.0109872 | 15 | GTEx | DepMap | Descartes | 0.54 | 138.89 |
COL3A1 | 0.0083839 | 28 | GTEx | DepMap | Descartes | 3.01 | 1612.77 |
CDH11 | 0.0070042 | 50 | GTEx | DepMap | Descartes | 0.59 | 258.81 |
MGP | 0.0067685 | 59 | GTEx | DepMap | Descartes | 0.73 | 1434.24 |
CCDC80 | 0.0067113 | 61 | GTEx | DepMap | Descartes | 0.34 | 85.92 |
COL1A2 | 0.0063551 | 68 | GTEx | DepMap | Descartes | 4.66 | 2495.84 |
ITGA11 | 0.0061151 | 73 | GTEx | DepMap | Descartes | 0.22 | 60.63 |
PRRX1 | 0.0060186 | 77 | GTEx | DepMap | Descartes | 0.33 | 235.66 |
SFRP2 | 0.0057483 | 86 | GTEx | DepMap | Descartes | 0.23 | 375.99 |
GLI2 | 0.0055992 | 92 | GTEx | DepMap | Descartes | 0.23 | 117.09 |
ELN | 0.0052270 | 104 | GTEx | DepMap | Descartes | 0.40 | 358.20 |
COL6A3 | 0.0048774 | 118 | GTEx | DepMap | Descartes | 0.70 | 193.72 |
COL1A1 | 0.0047772 | 121 | GTEx | DepMap | Descartes | 3.58 | 1668.72 |
DCN | 0.0040748 | 151 | GTEx | DepMap | Descartes | 0.31 | 132.67 |
C7 | 0.0037792 | 163 | GTEx | DepMap | Descartes | 0.26 | 178.99 |
PDGFRA | 0.0036603 | 172 | GTEx | DepMap | Descartes | 0.10 | 47.26 |
ADAMTS2 | 0.0035727 | 177 | GTEx | DepMap | Descartes | 0.35 | 172.42 |
ACTA2 | 0.0028989 | 234 | GTEx | DepMap | Descartes | 0.26 | 475.83 |
LOX | 0.0026467 | 257 | GTEx | DepMap | Descartes | 0.09 | 67.43 |
LUM | 0.0024644 | 283 | GTEx | DepMap | Descartes | 0.33 | 355.26 |
BICC1 | 0.0021420 | 341 | GTEx | DepMap | Descartes | 1.10 | 687.49 |
CD248 | 0.0017698 | 437 | GTEx | DepMap | Descartes | 0.09 | 84.30 |
COL27A1 | 0.0016191 | 491 | GTEx | DepMap | Descartes | 0.18 | 94.51 |
ABCC9 | 0.0015655 | 506 | GTEx | DepMap | Descartes | 0.11 | 29.54 |
EDNRA | 0.0011858 | 687 | GTEx | DepMap | Descartes | 0.16 | 87.41 |
PRICKLE1 | 0.0010067 | 818 | GTEx | DepMap | Descartes | 0.46 | 185.47 |
ADAMTSL3 | 0.0009683 | 842 | GTEx | DepMap | Descartes | 0.07 | 24.40 |
PAMR1 | 0.0006514 | 1201 | GTEx | DepMap | Descartes | 0.07 | 64.52 |
IGFBP3 | 0.0006142 | 1267 | GTEx | DepMap | Descartes | 0.09 | 67.23 |
LAMC3 | 0.0005497 | 1362 | GTEx | DepMap | Descartes | 0.01 | 11.47 |
Descartes sympathoblasts markers
Top 50 marker genes of sympathoblasts cells in the Decartes fetal adrenal single cell map (https://atlas.brotmanbaty.org/bbi/human-gene-expression-during-development/cell/sympathoblasts/in/adrenal)
Wilcoxon ranksum test P-value for gene set overrepresentation: 1.00e+00
Mean rank of genes in gene set: 10390.71
Median rank of genes in gene set: 11893.5
Rank on gene expression program of top 30 genes in gene set:
Genes | Weight | Rank | GTEx | DepMap | Descartes | Mean.Counts | Mean.TPM |
---|---|---|---|---|---|---|---|
PENK | 0.0010229 | 807 | GTEx | DepMap | Descartes | 0.05 | 139.41 |
MGAT4C | 0.0003982 | 1726 | GTEx | DepMap | Descartes | 0.22 | 22.01 |
GRM7 | 0.0002342 | 2407 | GTEx | DepMap | Descartes | 0.13 | 66.65 |
LAMA3 | 0.0001744 | 2848 | GTEx | DepMap | Descartes | 0.07 | 17.19 |
SORCS3 | 0.0000874 | 3740 | GTEx | DepMap | Descartes | 0.02 | 5.67 |
SLC24A2 | -0.0001302 | 8401 | GTEx | DepMap | Descartes | 0.02 | 4.14 |
CNTN3 | -0.0001367 | 8558 | GTEx | DepMap | Descartes | 0.04 | 12.29 |
DGKK | -0.0001461 | 8789 | GTEx | DepMap | Descartes | 0.00 | 0.00 |
HTATSF1 | -0.0001805 | 9523 | GTEx | DepMap | Descartes | 0.03 | 41.70 |
GCH1 | -0.0002530 | 10718 | GTEx | DepMap | Descartes | 0.11 | 71.94 |
ARC | -0.0002572 | 10776 | GTEx | DepMap | Descartes | 0.01 | 10.06 |
CDH12 | -0.0003027 | 11241 | GTEx | DepMap | Descartes | 0.04 | 9.77 |
SLC35F3 | -0.0003146 | 11333 | GTEx | DepMap | Descartes | 0.14 | 72.33 |
TBX20 | -0.0003344 | 11468 | GTEx | DepMap | Descartes | 0.04 | 38.73 |
C1QL1 | -0.0003622 | 11636 | GTEx | DepMap | Descartes | 0.02 | 22.55 |
KCTD16 | -0.0003684 | 11683 | GTEx | DepMap | Descartes | 0.25 | 30.78 |
SPOCK3 | -0.0003781 | 11733 | GTEx | DepMap | Descartes | 0.07 | 49.20 |
KSR2 | -0.0003926 | 11790 | GTEx | DepMap | Descartes | 0.08 | 5.96 |
ST18 | -0.0004073 | 11856 | GTEx | DepMap | Descartes | 0.03 | 10.69 |
PACRG | -0.0004251 | 11931 | GTEx | DepMap | Descartes | 0.10 | 85.35 |
EML6 | -0.0004633 | 12055 | GTEx | DepMap | Descartes | 0.21 | 39.75 |
GALNTL6 | -0.0004660 | 12063 | GTEx | DepMap | Descartes | 0.08 | 48.25 |
GRID2 | -0.0004925 | 12121 | GTEx | DepMap | Descartes | 0.14 | 27.58 |
TENM1 | -0.0005134 | 12168 | GTEx | DepMap | Descartes | 0.17 | NA |
CDH18 | -0.0005202 | 12181 | GTEx | DepMap | Descartes | 0.07 | 17.85 |
SLC18A1 | -0.0005565 | 12243 | GTEx | DepMap | Descartes | 0.04 | 13.01 |
PCSK2 | -0.0005596 | 12245 | GTEx | DepMap | Descartes | 0.07 | 20.26 |
TIAM1 | -0.0006059 | 12305 | GTEx | DepMap | Descartes | 0.19 | 50.60 |
NTNG1 | -0.0006270 | 12315 | GTEx | DepMap | Descartes | 0.15 | 37.75 |
PCSK1N | -0.0007647 | 12418 | GTEx | DepMap | Descartes | 0.26 | 582.49 |
Descartes erythroblasts markers
Top 50 marker genes of erythroblasts cells in the Decartes fetal adrenal single cell map (https://atlas.brotmanbaty.org/bbi/human-gene-expression-during-development/cell/erythroblasts/in/adrenal)
Wilcoxon ranksum test P-value for gene set overrepresentation: 7.16e-01
Mean rank of genes in gene set: 6658
Median rank of genes in gene set: 6290
Rank on gene expression program of top 30 genes in gene set:
Genes | Weight | Rank | GTEx | DepMap | Descartes | Mean.Counts | Mean.TPM |
---|---|---|---|---|---|---|---|
MICAL2 | 0.0064247 | 65 | GTEx | DepMap | Descartes | 0.27 | 125.08 |
MARCH3 | 0.0021894 | 325 | GTEx | DepMap | Descartes | 0.23 | NA |
SPECC1 | 0.0007657 | 1035 | GTEx | DepMap | Descartes | 0.04 | 9.33 |
SLC25A37 | 0.0003746 | 1799 | GTEx | DepMap | Descartes | 0.11 | 65.56 |
GYPC | 0.0002622 | 2274 | GTEx | DepMap | Descartes | 0.03 | 32.08 |
SLC25A21 | 0.0001417 | 3129 | GTEx | DepMap | Descartes | 0.01 | 4.60 |
DENND4A | 0.0000732 | 3917 | GTEx | DepMap | Descartes | 0.37 | 116.17 |
CPOX | 0.0000642 | 4030 | GTEx | DepMap | Descartes | 0.02 | 9.47 |
BLVRB | 0.0000596 | 4106 | GTEx | DepMap | Descartes | 0.04 | 67.63 |
TRAK2 | 0.0000290 | 4564 | GTEx | DepMap | Descartes | 0.07 | 29.73 |
SNCA | 0.0000077 | 4953 | GTEx | DepMap | Descartes | 0.08 | 62.59 |
ALAS2 | -0.0000188 | 5526 | GTEx | DepMap | Descartes | 0.00 | 0.00 |
SELENBP1 | -0.0000305 | 5829 | GTEx | DepMap | Descartes | 0.02 | 12.54 |
ABCB10 | -0.0000320 | 5875 | GTEx | DepMap | Descartes | 0.06 | 33.31 |
RGS6 | -0.0000483 | 6290 | GTEx | DepMap | Descartes | 0.01 | 1.07 |
SLC4A1 | -0.0000612 | 6629 | GTEx | DepMap | Descartes | 0.00 | 0.00 |
CAT | -0.0000913 | 7439 | GTEx | DepMap | Descartes | 0.03 | 40.95 |
RAPGEF2 | -0.0000952 | 7543 | GTEx | DepMap | Descartes | 0.23 | 65.30 |
RHD | -0.0001173 | 8108 | GTEx | DepMap | Descartes | 0.01 | 2.18 |
TMCC2 | -0.0001688 | 9287 | GTEx | DepMap | Descartes | 0.00 | 1.59 |
SPTB | -0.0001815 | 9544 | GTEx | DepMap | Descartes | 0.03 | 4.80 |
FECH | -0.0002021 | 9954 | GTEx | DepMap | Descartes | 0.02 | 5.67 |
GCLC | -0.0002617 | 10828 | GTEx | DepMap | Descartes | 0.06 | 53.67 |
XPO7 | -0.0002632 | 10843 | GTEx | DepMap | Descartes | 0.09 | 31.71 |
TSPAN5 | -0.0003319 | 11455 | GTEx | DepMap | Descartes | 0.28 | 156.94 |
TFR2 | -0.0003735 | 11709 | GTEx | DepMap | Descartes | 0.06 | 46.21 |
ANK1 | -0.0004357 | 11960 | GTEx | DepMap | Descartes | 0.04 | 8.64 |
SOX6 | -0.0004450 | 11999 | GTEx | DepMap | Descartes | 0.21 | 46.03 |
EPB41 | -0.0004684 | 12067 | GTEx | DepMap | Descartes | 0.15 | 53.63 |
NA | NA | NA | NA | NA | NA | NA | NA |
Descartes myeloid markers
Top 50 marker genes of myeloid cells in the Decartes fetal adrenal single cell map (https://atlas.brotmanbaty.org/bbi/human-gene-expression-during-development/cell/myeloid/in/adrenal)
Wilcoxon ranksum test P-value for gene set overrepresentation: 3.87e-02
Mean rank of genes in gene set: 5238.71
Median rank of genes in gene set: 4270.5
Rank on gene expression program of top 30 genes in gene set:
Genes | Weight | Rank | GTEx | DepMap | Descartes | Mean.Counts | Mean.TPM |
---|---|---|---|---|---|---|---|
AXL | 0.0037928 | 162 | GTEx | DepMap | Descartes | 0.18 | 127.36 |
HRH1 | 0.0032247 | 199 | GTEx | DepMap | Descartes | 0.13 | 75.60 |
PTPRE | 0.0022303 | 316 | GTEx | DepMap | Descartes | 0.37 | 216.26 |
TGFBI | 0.0017941 | 429 | GTEx | DepMap | Descartes | 0.22 | 147.70 |
ABCA1 | 0.0013110 | 621 | GTEx | DepMap | Descartes | 0.18 | 63.86 |
SLC9A9 | 0.0012448 | 651 | GTEx | DepMap | Descartes | 0.17 | 120.03 |
ITPR2 | 0.0010099 | 815 | GTEx | DepMap | Descartes | 0.29 | 70.27 |
CTSC | 0.0006933 | 1131 | GTEx | DepMap | Descartes | 0.07 | 41.68 |
SLCO2B1 | 0.0005947 | 1289 | GTEx | DepMap | Descartes | 0.06 | 28.32 |
CTSD | 0.0005286 | 1395 | GTEx | DepMap | Descartes | 0.40 | 747.98 |
CTSB | 0.0005285 | 1396 | GTEx | DepMap | Descartes | 0.40 | 366.30 |
CSF1R | 0.0005025 | 1451 | GTEx | DepMap | Descartes | 0.04 | 23.22 |
ATP8B4 | 0.0002548 | 2309 | GTEx | DepMap | Descartes | 0.04 | 18.59 |
IFNGR1 | 0.0002020 | 2634 | GTEx | DepMap | Descartes | 0.10 | 132.59 |
CD14 | 0.0001970 | 2675 | GTEx | DepMap | Descartes | 0.06 | 157.97 |
MSR1 | 0.0001632 | 2941 | GTEx | DepMap | Descartes | 0.07 | 62.11 |
MERTK | 0.0000884 | 3729 | GTEx | DepMap | Descartes | 0.04 | 45.01 |
RBPJ | 0.0000761 | 3873 | GTEx | DepMap | Descartes | 0.31 | 145.75 |
LGMN | 0.0000755 | 3880 | GTEx | DepMap | Descartes | 0.09 | 146.90 |
CST3 | 0.0000235 | 4661 | GTEx | DepMap | Descartes | 0.21 | 186.62 |
SFMBT2 | 0.0000176 | 4747 | GTEx | DepMap | Descartes | 0.21 | 59.47 |
CD163 | -0.0000225 | 5614 | GTEx | DepMap | Descartes | 0.02 | 12.79 |
SLC1A3 | -0.0000306 | 5832 | GTEx | DepMap | Descartes | 0.03 | 22.49 |
ADAP2 | -0.0000319 | 5869 | GTEx | DepMap | Descartes | 0.04 | 39.09 |
CPVL | -0.0000476 | 6268 | GTEx | DepMap | Descartes | 0.04 | 68.57 |
MS4A4A | -0.0000862 | 7284 | GTEx | DepMap | Descartes | 0.01 | 27.41 |
HCK | -0.0001203 | 8180 | GTEx | DepMap | Descartes | 0.01 | 14.50 |
WWP1 | -0.0001524 | 8947 | GTEx | DepMap | Descartes | 0.14 | 77.96 |
CD74 | -0.0001866 | 9655 | GTEx | DepMap | Descartes | 0.18 | 147.26 |
MARCH1 | -0.0002050 | 10000 | GTEx | DepMap | Descartes | 0.08 | NA |
Descartes Schwann markers
Top 50 marker genes of Schwann cells in the Decartes fetal adrenal single cell map (https://atlas.brotmanbaty.org/bbi/human-gene-expression-during-development/cell/schwann/in/adrenal)
Wilcoxon ranksum test P-value for gene set overrepresentation: 6.16e-02
Mean rank of genes in gene set: 5434.43
Median rank of genes in gene set: 3303.5
Rank on gene expression program of top 30 genes in gene set:
Genes | Weight | Rank | GTEx | DepMap | Descartes | Mean.Counts | Mean.TPM |
---|---|---|---|---|---|---|---|
COL5A2 | 0.0124605 | 8 | GTEx | DepMap | Descartes | 1.46 | 665.52 |
VCAN | 0.0114270 | 12 | GTEx | DepMap | Descartes | 1.26 | 328.37 |
VIM | 0.0059102 | 83 | GTEx | DepMap | Descartes | 1.18 | 1556.78 |
GAS7 | 0.0055992 | 93 | GTEx | DepMap | Descartes | 0.42 | 162.51 |
COL18A1 | 0.0043111 | 139 | GTEx | DepMap | Descartes | 0.78 | 403.42 |
STARD13 | 0.0026368 | 258 | GTEx | DepMap | Descartes | 0.40 | 183.38 |
LAMC1 | 0.0018290 | 415 | GTEx | DepMap | Descartes | 0.37 | 131.94 |
LAMA4 | 0.0008953 | 895 | GTEx | DepMap | Descartes | 0.09 | 32.67 |
EDNRB | 0.0007946 | 1002 | GTEx | DepMap | Descartes | 0.01 | 12.01 |
HMGA2 | 0.0007925 | 1008 | GTEx | DepMap | Descartes | 0.04 | 6.33 |
PLCE1 | 0.0006629 | 1175 | GTEx | DepMap | Descartes | 0.13 | 20.80 |
KCTD12 | 0.0006425 | 1215 | GTEx | DepMap | Descartes | 0.06 | 28.70 |
FIGN | 0.0005316 | 1389 | GTEx | DepMap | Descartes | 0.19 | 49.24 |
PMP22 | 0.0005252 | 1405 | GTEx | DepMap | Descartes | 0.29 | 442.63 |
NRXN3 | 0.0003913 | 1741 | GTEx | DepMap | Descartes | 0.42 | 130.80 |
SFRP1 | 0.0003904 | 1745 | GTEx | DepMap | Descartes | 0.08 | 46.38 |
PTPRZ1 | 0.0003589 | 1854 | GTEx | DepMap | Descartes | 0.03 | 6.53 |
IL1RAPL2 | 0.0003475 | 1884 | GTEx | DepMap | Descartes | 0.12 | 95.51 |
IL1RAPL1 | 0.0003062 | 2072 | GTEx | DepMap | Descartes | 0.21 | 132.03 |
DST | 0.0002908 | 2127 | GTEx | DepMap | Descartes | 1.25 | 145.76 |
OLFML2A | 0.0002612 | 2282 | GTEx | DepMap | Descartes | 0.03 | 9.83 |
PLP1 | 0.0001832 | 2785 | GTEx | DepMap | Descartes | 0.01 | 7.38 |
GRIK3 | 0.0000808 | 3822 | GTEx | DepMap | Descartes | 0.02 | 6.09 |
SLC35F1 | 0.0000708 | 3944 | GTEx | DepMap | Descartes | 0.07 | 19.56 |
COL25A1 | 0.0000558 | 4165 | GTEx | DepMap | Descartes | 0.02 | 6.85 |
ADAMTS5 | -0.0000037 | 5179 | GTEx | DepMap | Descartes | 0.04 | 10.60 |
MDGA2 | -0.0000449 | 6208 | GTEx | DepMap | Descartes | 0.00 | 0.00 |
MPZ | -0.0001358 | 8532 | GTEx | DepMap | Descartes | 0.00 | 3.96 |
LAMB1 | -0.0001447 | 8761 | GTEx | DepMap | Descartes | 0.23 | 93.19 |
TRPM3 | -0.0001614 | 9143 | GTEx | DepMap | Descartes | 0.10 | 16.17 |
Descartes Megakaryocytes markers
Top 50 marker genes of Megakaryocytes cells in the Decartes fetal adrenal single cell map (https://atlas.brotmanbaty.org/bbi/human-gene-expression-during-development/cell/megakaryocytes/in/adrenal)
Wilcoxon ranksum test P-value for gene set overrepresentation: 1.06e-06
Mean rank of genes in gene set: 3719.33
Median rank of genes in gene set: 2066
Rank on gene expression program of top 30 genes in gene set:
Genes | Weight | Rank | GTEx | DepMap | Descartes | Mean.Counts | Mean.TPM |
---|---|---|---|---|---|---|---|
THBS1 | 0.0168432 | 1 | GTEx | DepMap | Descartes | 1.73 | 816.02 |
LTBP1 | 0.0058837 | 84 | GTEx | DepMap | Descartes | 0.30 | 158.89 |
FLNA | 0.0040770 | 150 | GTEx | DepMap | Descartes | 0.57 | 233.83 |
MYLK | 0.0037222 | 169 | GTEx | DepMap | Descartes | 0.15 | 47.72 |
GSN | 0.0033081 | 191 | GTEx | DepMap | Descartes | 0.36 | 183.13 |
VCL | 0.0030718 | 216 | GTEx | DepMap | Descartes | 0.34 | 117.89 |
ACTN1 | 0.0028670 | 238 | GTEx | DepMap | Descartes | 0.49 | 310.53 |
SLC2A3 | 0.0027997 | 243 | GTEx | DepMap | Descartes | 0.43 | 299.70 |
MYH9 | 0.0023557 | 303 | GTEx | DepMap | Descartes | 0.41 | 167.58 |
SLC24A3 | 0.0020378 | 368 | GTEx | DepMap | Descartes | 0.14 | 117.78 |
ARHGAP6 | 0.0018200 | 420 | GTEx | DepMap | Descartes | 0.10 | 43.11 |
TPM4 | 0.0017085 | 455 | GTEx | DepMap | Descartes | 0.27 | 162.85 |
PDE3A | 0.0016581 | 474 | GTEx | DepMap | Descartes | 0.65 | 247.43 |
TRPC6 | 0.0014400 | 556 | GTEx | DepMap | Descartes | 0.06 | 43.04 |
LIMS1 | 0.0013580 | 592 | GTEx | DepMap | Descartes | 0.28 | 180.59 |
STOM | 0.0013195 | 611 | GTEx | DepMap | Descartes | 0.10 | 112.91 |
P2RX1 | 0.0012757 | 635 | GTEx | DepMap | Descartes | 0.02 | 33.60 |
UBASH3B | 0.0012577 | 642 | GTEx | DepMap | Descartes | 0.18 | 83.90 |
ZYX | 0.0011594 | 704 | GTEx | DepMap | Descartes | 0.13 | 196.09 |
RAP1B | 0.0006884 | 1134 | GTEx | DepMap | Descartes | 0.21 | 53.91 |
TGFB1 | 0.0004847 | 1501 | GTEx | DepMap | Descartes | 0.11 | 125.07 |
FLI1 | 0.0003716 | 1805 | GTEx | DepMap | Descartes | 0.11 | 45.62 |
ACTB | 0.0003073 | 2066 | GTEx | DepMap | Descartes | 1.92 | 2597.29 |
DOK6 | 0.0002779 | 2193 | GTEx | DepMap | Descartes | 0.18 | 55.36 |
STON2 | 0.0002537 | 2314 | GTEx | DepMap | Descartes | 0.06 | 32.93 |
CD9 | 0.0001968 | 2678 | GTEx | DepMap | Descartes | 0.11 | 184.21 |
PSTPIP2 | 0.0001922 | 2710 | GTEx | DepMap | Descartes | 0.02 | 18.86 |
MMRN1 | 0.0001446 | 3095 | GTEx | DepMap | Descartes | 0.01 | 3.24 |
TLN1 | 0.0001438 | 3107 | GTEx | DepMap | Descartes | 0.06 | 19.72 |
ANGPT1 | 0.0001290 | 3257 | GTEx | DepMap | Descartes | 0.02 | 13.55 |
Descartes Lyphoid markers
Top 50 marker genes of Lyphoid cells in the Decartes fetal adrenal single cell map (https://atlas.brotmanbaty.org/bbi/human-gene-expression-during-development/cell/lymphoid/in/adrenal)
Wilcoxon ranksum test P-value for gene set overrepresentation: 4.63e-01
Mean rank of genes in gene set: 6223.55
Median rank of genes in gene set: 5102
Rank on gene expression program of top 30 genes in gene set:
Genes | Weight | Rank | GTEx | DepMap | Descartes | Mean.Counts | Mean.TPM |
---|---|---|---|---|---|---|---|
ARID5B | 0.0050003 | 116 | GTEx | DepMap | Descartes | 0.54 | 213.33 |
MCTP2 | 0.0030986 | 213 | GTEx | DepMap | Descartes | 0.10 | 37.00 |
MBNL1 | 0.0017667 | 438 | GTEx | DepMap | Descartes | 0.60 | 268.37 |
FOXP1 | 0.0015683 | 504 | GTEx | DepMap | Descartes | 1.49 | 449.37 |
CELF2 | 0.0012775 | 633 | GTEx | DepMap | Descartes | 0.33 | 102.68 |
ETS1 | 0.0012221 | 663 | GTEx | DepMap | Descartes | 0.19 | 116.40 |
ITPKB | 0.0012033 | 672 | GTEx | DepMap | Descartes | 0.08 | 34.78 |
SP100 | 0.0011950 | 682 | GTEx | DepMap | Descartes | 0.17 | 97.14 |
MSN | 0.0011259 | 734 | GTEx | DepMap | Descartes | 0.13 | 91.22 |
SAMD3 | 0.0005985 | 1284 | GTEx | DepMap | Descartes | 0.05 | 27.81 |
PRKCH | 0.0005982 | 1286 | GTEx | DepMap | Descartes | 0.17 | 113.44 |
CD44 | 0.0004975 | 1462 | GTEx | DepMap | Descartes | 0.42 | 196.53 |
ABLIM1 | 0.0002536 | 2315 | GTEx | DepMap | Descartes | 0.19 | 69.83 |
LEF1 | 0.0001287 | 3261 | GTEx | DepMap | Descartes | 0.04 | 26.07 |
ARHGDIB | 0.0001067 | 3492 | GTEx | DepMap | Descartes | 0.03 | 52.64 |
EVL | 0.0001062 | 3496 | GTEx | DepMap | Descartes | 0.46 | 289.59 |
NCALD | 0.0000861 | 3755 | GTEx | DepMap | Descartes | 0.20 | 125.85 |
WIPF1 | 0.0000822 | 3801 | GTEx | DepMap | Descartes | 0.16 | 88.37 |
CCND3 | 0.0000662 | 3997 | GTEx | DepMap | Descartes | 0.11 | 128.23 |
PLEKHA2 | 0.0000252 | 4634 | GTEx | DepMap | Descartes | 0.06 | 35.39 |
CCL5 | 0.0000019 | 5060 | GTEx | DepMap | Descartes | 0.01 | 18.84 |
BACH2 | -0.0000020 | 5144 | GTEx | DepMap | Descartes | 0.39 | 114.82 |
SKAP1 | -0.0000627 | 6666 | GTEx | DepMap | Descartes | 0.02 | 27.41 |
DOCK10 | -0.0000693 | 6841 | GTEx | DepMap | Descartes | 0.22 | 78.94 |
ARHGAP15 | -0.0000718 | 6906 | GTEx | DepMap | Descartes | 0.19 | 137.32 |
ANKRD44 | -0.0001427 | 8710 | GTEx | DepMap | Descartes | 0.22 | 61.74 |
PTPRC | -0.0001436 | 8735 | GTEx | DepMap | Descartes | 0.03 | 25.98 |
IKZF1 | -0.0002063 | 10021 | GTEx | DepMap | Descartes | 0.02 | 9.75 |
PITPNC1 | -0.0002217 | 10272 | GTEx | DepMap | Descartes | 0.49 | 206.57 |
B2M | -0.0002333 | 10460 | GTEx | DepMap | Descartes | 1.13 | 1002.93 |
Below shows the ranks on this GEP for immune marker gene lists curated by CellTypist (https://www.celltypist.org/encyclopedia).
High ranks indicate this gene is a driver of this GEP.
These curated gene list are ranked by P-value (on this GEP) of their constituent genes.
The Mean Count column shows the mean read count in cells scoring highly (H > 50) on this gene expression program.
Genes | Weight | Rank | GTEx | DepMap | Decartes | Mean.Counts | Mean.TPM |
---|---|---|---|---|---|---|---|
SMOC2 | 0.0060869 | 75 | GTEx | DepMap | Descartes | 0.23 | 243.55 |
PRRX1 | 0.0060186 | 77 | GTEx | DepMap | Descartes | 0.33 | 235.66 |
PDGFRA | 0.0036603 | 172 | GTEx | DepMap | Descartes | 0.10 | 47.26 |
NTRK2 | 0.0017283 | 445 | GTEx | DepMap | Descartes | 0.12 | 44.14 |
EBF2 | 0.0010814 | 762 | GTEx | DepMap | Descartes | 0.04 | 20.41 |
SFRP1 | 0.0003904 | 1745 | GTEx | DepMap | Descartes | 0.08 | 46.38 |
F10 | 0.0001446 | 3096 | GTEx | DepMap | Descartes | 0.01 | 39.84 |
OLFML1 | -0.0000389 | 6057 | GTEx | DepMap | Descartes | 0.00 | 2.19 |
ANGPTL1 | -0.0003199 | 11368 | GTEx | DepMap | Descartes | 0.05 | 24.54 |
Fibroblasts: Fibroblasts (curated markers)
the most common cells of connective tissues which synthesize the extracellular matrix and collagen to maintain tissue homeostasis:
Wilcoxon ranksum test P-value for gene set overrepresentation: 1.61e-03
Mean rank of genes in gene set: 113.33
Rank on gene expression program of genes in gene set:
Genes | Weight | Rank | GTEx | DepMap | Decartes | Mean.Counts | Mean.TPM |
---|---|---|---|---|---|---|---|
COL1A2 | 0.0063551 | 68 | GTEx | DepMap | Descartes | 4.66 | 2495.84 |
COL1A1 | 0.0047772 | 121 | GTEx | DepMap | Descartes | 3.58 | 1668.72 |
DCN | 0.0040748 | 151 | GTEx | DepMap | Descartes | 0.31 | 132.67 |
DC: Transitional DC (curated markers)
immature dendritic cells which follow dendritic cell precursors and are committed to the mature dendritic cells:
Wilcoxon ranksum test P-value for gene set overrepresentation: 8.92e-03
Mean rank of genes in gene set: 207
Rank on gene expression program of genes in gene set:
Genes | Weight | Rank | GTEx | DepMap | Decartes | Mean.Counts | Mean.TPM |
---|---|---|---|---|---|---|---|
AXL | 0.0037928 | 162 | GTEx | DepMap | Descartes | 0.18 | 127.36 |
KLF4 | 0.0027032 | 252 | GTEx | DepMap | Descartes | 0.06 | 56.59 |