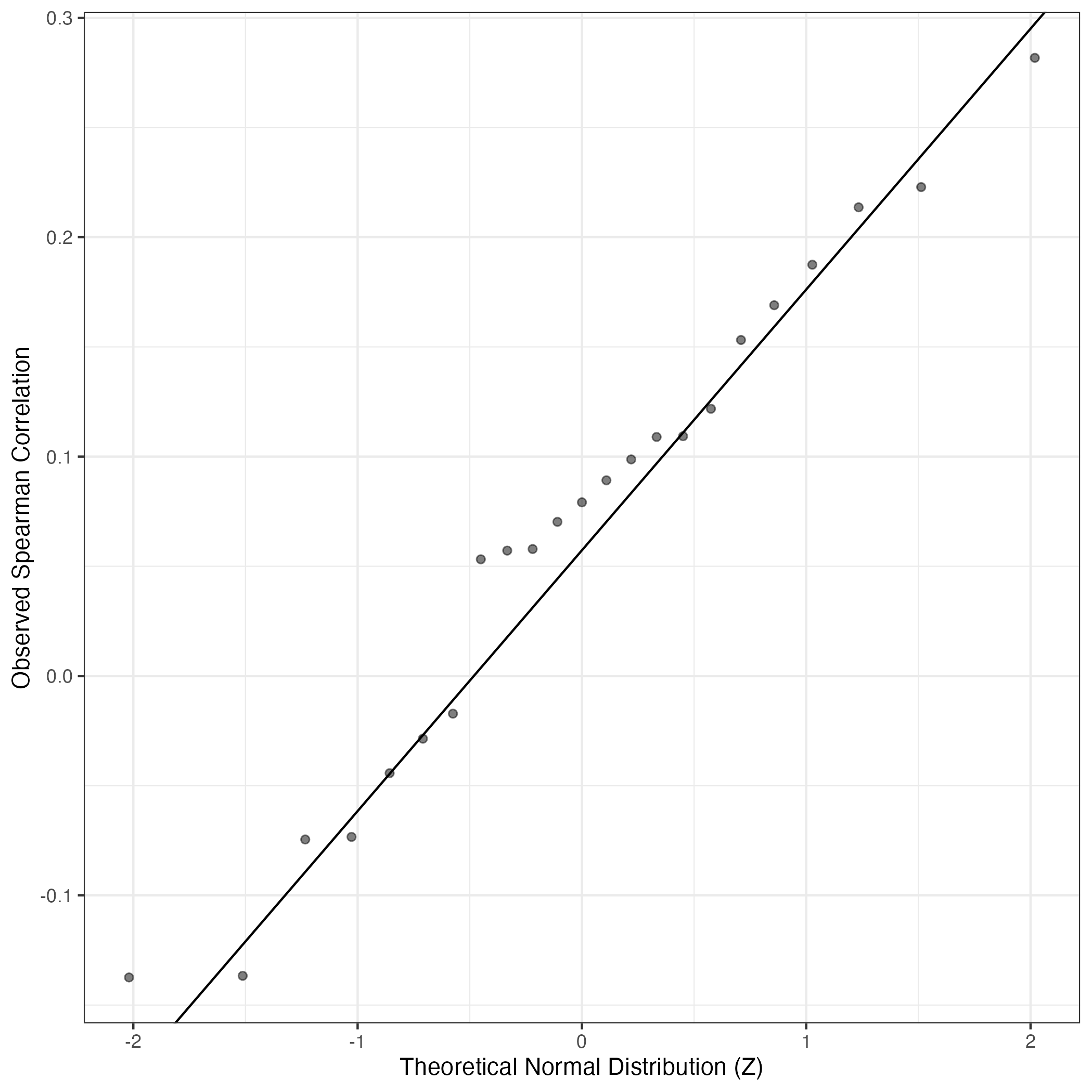
QQ-plot of gene loadings, averaged over both independent splits of the data
This plot highlights the relative contribution of each gene to the GEP
Top genes driving this program.
Note: Decartes website is buggy, try refreshing. Also, Decartes fetal adrenal data have been collected at specific time points (89-122 days), all possible cell types of interest may not be represented, do not overinterpret.
The Mean Count column shows the mean read count in cells scoring highly (H > 50) on this gene expression program.
Gene | Loading | Gene.Name | GTEx | DepMap | Descartes | Mean.Counts | Mean.Tpm | |
---|---|---|---|---|---|---|---|---|
1 | KRT14 | 0.0050032 | keratin 14 | GTEx | DepMap | Descartes | 42.09 | 1654.69 |
2 | KRT15 | 0.0049546 | keratin 15 | GTEx | DepMap | Descartes | 20.40 | 867.77 |
3 | GJB2 | 0.0048984 | gap junction protein beta 2 | GTEx | DepMap | Descartes | 10.51 | 274.53 |
4 | CXCL14 | 0.0048557 | C-X-C motif chemokine ligand 14 | GTEx | DepMap | Descartes | 59.48 | 1348.30 |
5 | GJB6 | 0.0046867 | gap junction protein beta 6 | GTEx | DepMap | Descartes | 6.27 | 122.71 |
6 | TRP63 | 0.0045718 | NA | GTEx | DepMap | Descartes | 5.63 | 4.03 |
7 | IRX2 | 0.0043663 | iroquois homeobox 2 | GTEx | DepMap | Descartes | 4.69 | 138.58 |
8 | PDGFA | 0.0043593 | platelet derived growth factor subunit A | GTEx | DepMap | Descartes | 14.36 | 114.21 |
9 | S100A11 | 0.0043558 | S100 calcium binding protein A11 | GTEx | DepMap | Descartes | 22.38 | 547.26 |
10 | KREMEN2 | 0.0041362 | kringle containing transmembrane protein 2 | GTEx | DepMap | Descartes | 5.43 | 209.92 |
11 | WNT6 | 0.0040850 | Wnt family member 6 | GTEx | DepMap | Descartes | 8.82 | 111.03 |
12 | 5730508B09RIK | 0.0039940 | NA | GTEx | DepMap | Descartes | 2.24 | NA |
13 | LMO1 | 0.0039662 | LIM domain only 1 | GTEx | DepMap | Descartes | 5.52 | 29.52 |
14 | KRT5 | 0.0038820 | keratin 5 | GTEx | DepMap | Descartes | 25.39 | 654.07 |
15 | IRX4 | 0.0038660 | iroquois homeobox 4 | GTEx | DepMap | Descartes | 2.21 | 44.30 |
16 | ARHGDIB | 0.0038312 | Rho GDP dissociation inhibitor beta | GTEx | DepMap | Descartes | 2.81 | 24.27 |
17 | PDLIM1 | 0.0036480 | PDZ and LIM domain 1 | GTEx | DepMap | Descartes | 5.60 | 16.78 |
18 | BCAM | 0.0036366 | basal cell adhesion molecule (Lutheran blood group) | GTEx | DepMap | Descartes | 7.87 | 104.41 |
19 | WNT4 | 0.0036076 | Wnt family member 4 | GTEx | DepMap | Descartes | 10.96 | 82.64 |
20 | RPS2 | 0.0035785 | ribosomal protein S2 | GTEx | DepMap | Descartes | 90.52 | 3353.94 |
21 | BARX2 | 0.0035740 | BARX homeobox 2 | GTEx | DepMap | Descartes | 2.20 | 5.15 |
22 | HPGDS | 0.0035318 | hematopoietic prostaglandin D synthase | GTEx | DepMap | Descartes | 1.72 | 11.42 |
23 | SIVA1 | 0.0035174 | SIVA1 apoptosis inducing factor | GTEx | DepMap | Descartes | 15.90 | 545.57 |
24 | FGFR2 | 0.0033607 | fibroblast growth factor receptor 2 | GTEx | DepMap | Descartes | 4.16 | 0.22 |
25 | IFITM3 | 0.0033358 | interferon induced transmembrane protein 3 | GTEx | DepMap | Descartes | 8.74 | 1206.57 |
26 | RPL13 | 0.0033047 | ribosomal protein L13 | GTEx | DepMap | Descartes | 160.58 | 7914.68 |
27 | FZD10 | 0.0032039 | frizzled class receptor 10 | GTEx | DepMap | Descartes | 2.35 | 110.76 |
28 | MT2 | 0.0031852 | NA | GTEx | DepMap | Descartes | 2.76 | 470.71 |
29 | WNT3 | 0.0031588 | Wnt family member 3 | GTEx | DepMap | Descartes | 2.74 | 10.98 |
30 | FGFBP1 | 0.0030683 | fibroblast growth factor binding protein 1 | GTEx | DepMap | Descartes | 3.52 | 198.49 |
31 | MT1 | 0.0030604 | NA | GTEx | DepMap | Descartes | 7.45 | 1007.12 |
32 | WNT7B | 0.0030346 | Wnt family member 7B | GTEx | DepMap | Descartes | 4.58 | 18.47 |
33 | TXNDC17 | 0.0030312 | thioredoxin domain containing 17 | GTEx | DepMap | Descartes | 10.97 | 632.06 |
34 | WNT10A | 0.0029554 | Wnt family member 10A | GTEx | DepMap | Descartes | 1.49 | 21.63 |
35 | GM13219 | 0.0029495 | NA | GTEx | DepMap | Descartes | 0.72 | 1.21 |
36 | RPS23 | 0.0029065 | ribosomal protein S23 | GTEx | DepMap | Descartes | 72.60 | 4672.81 |
37 | 4631405K08RIK | 0.0028718 | NA | GTEx | DepMap | Descartes | 2.66 | NA |
38 | IRX6 | 0.0028619 | iroquois homeobox 6 | GTEx | DepMap | Descartes | 1.43 | 42.67 |
39 | RPL36 | 0.0028478 | ribosomal protein L36 | GTEx | DepMap | Descartes | 64.82 | 11109.00 |
40 | FZD6 | 0.0028463 | frizzled class receptor 6 | GTEx | DepMap | Descartes | 1.74 | 8.00 |
41 | RPS19 | 0.0028186 | ribosomal protein S19 | GTEx | DepMap | Descartes | 114.77 | 2977.77 |
42 | FERMT1 | 0.0028127 | FERM domain containing kindlin 1 | GTEx | DepMap | Descartes | 2.03 | 8.08 |
43 | RPL41 | 0.0027999 | ribosomal protein L41 | GTEx | DepMap | Descartes | 163.12 | 20080.18 |
44 | RPL39 | 0.0027847 | ribosomal protein L39 | GTEx | DepMap | Descartes | 90.48 | 4195.00 |
45 | RPLP0 | 0.0027811 | ribosomal protein lateral stalk subunit P0 | GTEx | DepMap | Descartes | 114.04 | 3821.83 |
46 | RPL23 | 0.0027798 | ribosomal protein L23 | GTEx | DepMap | Descartes | 138.54 | 3982.48 |
47 | RPL22 | 0.0027545 | ribosomal protein L22 | GTEx | DepMap | Descartes | 48.89 | 820.51 |
48 | PKP3 | 0.0027415 | plakophilin 3 | GTEx | DepMap | Descartes | 2.32 | 32.62 |
49 | RPL37A | 0.0027370 | ribosomal protein L37a | GTEx | DepMap | Descartes | 73.65 | 3871.11 |
50 | FTH1 | 0.0027354 | ferritin heavy chain 1 | GTEx | DepMap | Descartes | 60.58 | 2143.33 |
UMAP plots showing activity of gene expression program identified in GEP 22. Lymphocytes:
Gene set Enrichments for this program, caculated from top 50 genes
mSigDB Cell Types Gene Set:
P-value | OR | Lower 95% CI | FDR | FWER | Genes Found | Gene Set Size | |
---|---|---|---|---|---|---|---|
DURANTE_ADULT_OLFACTORY_NEUROEPITHELIUM_OLFACTORY_HORIZONTAL_BASAL_CELLS | 1.49e-07 | 111.20 | 25.91 | 3.84e-06 | 9.97e-05 | 4KRT15, CXCL14, KRT5, BCAM |
19 |
BUSSLINGER_GASTRIC_PPP1R1B_POSITIVE_CELLS | 1.03e-14 | 49.40 | 22.21 | 6.94e-12 | 6.94e-12 | 11RPS2, RPL13, RPS23, RPL36, RPS19, RPL41, RPL39, RPLP0, RPL23, RPL22, RPL37A |
121 |
BUSSLINGER_GASTRIC_LYZ_POSITIVE_CELLS | 9.56e-12 | 41.44 | 17.26 | 9.16e-10 | 6.41e-09 | 9RPS2, RPL13, RPS23, RPL36, RPL41, RPL39, RPLP0, RPL23, RPL37A |
111 |
TRAVAGLINI_LUNG_CD4_NAIVE_T_CELL | 1.19e-12 | 39.47 | 17.20 | 2.40e-10 | 7.99e-10 | 10RPS2, RPL13, RPS23, RPL36, RPS19, RPL41, RPL39, RPLP0, RPL23, RPL37A |
132 |
RUBENSTEIN_SKELETAL_MUSCLE_T_CELLS | 2.51e-14 | 36.00 | 16.82 | 8.43e-12 | 1.69e-11 | 12ARHGDIB, RPS2, RPL13, RPS23, RPL36, RPS19, RPL41, RPL39, RPLP0, RPL23, RPL22, RPL37A |
181 |
BUSSLINGER_ESOPHAGEAL_QUIESCENT_BASAL_CELLS | 1.02e-09 | 44.81 | 16.43 | 5.27e-08 | 6.85e-07 | 7KRT14, KRT15, CXCL14, PDLIM1, IFITM3, RPL13, FTH1 |
77 |
BUSSLINGER_DUODENAL_TRANSIT_AMPLIFYING_CELLS | 1.87e-12 | 29.71 | 13.50 | 2.51e-10 | 1.25e-09 | 11RPS2, RPL13, RPS23, RPL36, RPS19, RPL41, RPL39, RPLP0, RPL23, RPL22, RPL37A |
194 |
RUBENSTEIN_SKELETAL_MUSCLE_B_CELLS | 2.20e-11 | 28.83 | 12.65 | 1.34e-09 | 1.48e-08 | 10RPS2, RPL13, RPS23, RPL36, RPS19, RPL41, RPL39, RPL23, RPL22, RPL37A |
177 |
TRAVAGLINI_LUNG_BRONCHIAL_VESSEL_1_CELL | 8.80e-12 | 25.52 | 11.62 | 9.16e-10 | 5.91e-09 | 11RPS2, RPL13, RPS23, RPL36, RPS19, RPL41, RPL39, RPLP0, RPL23, RPL22, RPL37A |
224 |
TRAVAGLINI_LUNG_CLUB_CELL | 1.60e-08 | 29.31 | 10.88 | 6.14e-07 | 1.08e-05 | 7ARHGDIB, RPL13, RPS23, RPL36, RPS19, RPL39, RPL37A |
114 |
BUSSLINGER_ESOPHAGEAL_PROLIFERATING_BASAL_CELLS | 9.88e-07 | 32.92 | 9.88 | 2.21e-05 | 6.63e-04 | 5KRT14, KRT15, CXCL14, KRT5, IFITM3 |
70 |
LAKE_ADULT_KIDNEY_C23_ENDOTHELIAL_CELLS_AVR | 3.20e-08 | 26.34 | 9.80 | 1.02e-06 | 2.15e-05 | 7RPS2, IFITM3, RPL13, RPS23, RPS19, RPLP0, FTH1 |
126 |
BUSSLINGER_DUODENAL_DIFFERENTIATING_STEM_CELLS | 1.14e-11 | 20.78 | 9.78 | 9.57e-10 | 7.65e-09 | 12PDLIM1, RPS2, RPL13, RPS23, RPL36, RPS19, RPL41, RPL39, RPLP0, RPL23, RPL22, RPL37A |
305 |
RUBENSTEIN_SKELETAL_MUSCLE_SATELLITE_CELLS | 1.37e-11 | 20.43 | 9.62 | 9.57e-10 | 9.22e-09 | 12CXCL14, RPS2, RPL13, RPS23, RPL36, RPS19, RPL41, RPL39, RPLP0, RPL23, RPL22, RPL37A |
310 |
BUSSLINGER_DUODENAL_STEM_CELLS | 1.43e-11 | 20.36 | 9.59 | 9.57e-10 | 9.57e-09 | 12PDLIM1, RPS2, RPL13, RPS23, RPL36, RPS19, FERMT1, RPL41, RPL39, RPL23, RPL22, RPL37A |
311 |
LAKE_ADULT_KIDNEY_C7_PROXIMAL_TUBULE_EPITHELIAL_CELLS_S3 | 5.14e-08 | 24.49 | 9.13 | 1.50e-06 | 3.45e-05 | 7CXCL14, RPL13, RPS23, RPS19, RPL23, RPL37A, FTH1 |
135 |
FAN_OVARY_CL0_XBP1_SELK_HIGH_STROMAL_CELL | 7.63e-08 | 23.06 | 8.60 | 2.13e-06 | 5.12e-05 | 7RPS2, RPL13, RPS23, RPL36, RPS19, RPL41, RPL39 |
143 |
RUBENSTEIN_SKELETAL_MUSCLE_PCV_ENDOTHELIAL_CELLS | 5.01e-09 | 19.58 | 8.27 | 2.24e-07 | 3.36e-06 | 9PDLIM1, BCAM, RPS2, IFITM3, RPS23, RPL36, RPS19, RPLP0, RPL22 |
225 |
LAKE_ADULT_KIDNEY_C8_DECENDING_THIN_LIMB | 1.74e-09 | 17.98 | 7.93 | 8.34e-08 | 1.17e-06 | 10RPS2, IFITM3, RPL13, RPS23, RPS19, RPL41, RPLP0, RPL23, RPL37A, FTH1 |
278 |
TRAVAGLINI_LUNG_PROXIMAL_BASAL_CELL | 1.43e-12 | 14.80 | 7.59 | 2.40e-10 | 9.58e-10 | 16KRT15, KRT5, PDLIM1, BCAM, RPS2, RPL13, RPS23, RPL36, RPS19, FERMT1, RPL41, RPL39, RPLP0, RPL23, RPL22, PKP3 |
629 |
Dowload full table
mSigDB Hallmark Gene Sets:
P-value | OR | Lower 95% CI | FDR | FWER | Genes Found | Gene Set Size | |
---|---|---|---|---|---|---|---|
HALLMARK_MYC_TARGETS_V1 | 1.46e-02 | 6.25 | 1.23 | 7.29e-01 | 7.29e-01 | 3RPS2, RPLP0, RPL22 |
200 |
HALLMARK_ESTROGEN_RESPONSE_LATE | 9.29e-02 | 4.06 | 0.47 | 7.35e-01 | 1.00e+00 | 2CXCL14, PKP3 |
200 |
HALLMARK_P53_PATHWAY | 9.29e-02 | 4.06 | 0.47 | 7.35e-01 | 1.00e+00 | 2PDGFA, RPL36 |
200 |
HALLMARK_ALLOGRAFT_REJECTION | 9.29e-02 | 4.06 | 0.47 | 7.35e-01 | 1.00e+00 | 2RPS19, RPL39 |
200 |
HALLMARK_KRAS_SIGNALING_DN | 9.29e-02 | 4.06 | 0.47 | 7.35e-01 | 1.00e+00 | 2KRT15, KRT5 |
200 |
HALLMARK_ANGIOGENESIS | 8.89e-02 | 11.24 | 0.27 | 7.35e-01 | 1.00e+00 | 1PDGFA |
36 |
HALLMARK_WNT_BETA_CATENIN_SIGNALING | 1.03e-01 | 9.59 | 0.23 | 7.35e-01 | 1.00e+00 | 1WNT6 |
42 |
HALLMARK_REACTIVE_OXYGEN_SPECIES_PATHWAY | 1.19e-01 | 8.19 | 0.20 | 7.44e-01 | 1.00e+00 | 1PDLIM1 |
49 |
HALLMARK_CHOLESTEROL_HOMEOSTASIS | 1.74e-01 | 5.39 | 0.13 | 9.67e-01 | 1.00e+00 | 1S100A11 |
74 |
HALLMARK_INTERFERON_ALPHA_RESPONSE | 2.22e-01 | 4.10 | 0.10 | 1.00e+00 | 1.00e+00 | 1IFITM3 |
97 |
HALLMARK_DNA_REPAIR | 3.21e-01 | 2.64 | 0.07 | 1.00e+00 | 1.00e+00 | 1BCAM |
150 |
HALLMARK_APOPTOSIS | 3.40e-01 | 2.46 | 0.06 | 1.00e+00 | 1.00e+00 | 1IFITM3 |
161 |
HALLMARK_IL2_STAT5_SIGNALING | 4.01e-01 | 1.99 | 0.05 | 1.00e+00 | 1.00e+00 | 1IFITM3 |
199 |
HALLMARK_ESTROGEN_RESPONSE_EARLY | 4.03e-01 | 1.98 | 0.05 | 1.00e+00 | 1.00e+00 | 1KRT15 |
200 |
HALLMARK_INTERFERON_GAMMA_RESPONSE | 4.03e-01 | 1.98 | 0.05 | 1.00e+00 | 1.00e+00 | 1IFITM3 |
200 |
HALLMARK_HEME_METABOLISM | 4.03e-01 | 1.98 | 0.05 | 1.00e+00 | 1.00e+00 | 1BCAM |
200 |
HALLMARK_TNFA_SIGNALING_VIA_NFKB | 1.00e+00 | 0.00 | 0.00 | 1.00e+00 | 1.00e+00 | 0 |
200 |
HALLMARK_HYPOXIA | 1.00e+00 | 0.00 | 0.00 | 1.00e+00 | 1.00e+00 | 0 |
200 |
HALLMARK_MITOTIC_SPINDLE | 1.00e+00 | 0.00 | 0.00 | 1.00e+00 | 1.00e+00 | 0 |
199 |
HALLMARK_TGF_BETA_SIGNALING | 1.00e+00 | 0.00 | 0.00 | 1.00e+00 | 1.00e+00 | 0 |
54 |
Dowload full table
KEGG Pathways:
P-value | OR | Lower 95% CI | FDR | FWER | Genes Found | Gene Set Size | |
---|---|---|---|---|---|---|---|
KEGG_RIBOSOME | 2.81e-16 | 70.48 | 31.37 | 5.22e-14 | 5.22e-14 | 11RPS2, RPL13, RPS23, RPL36, RPS19, RPL41, RPL39, RPLP0, RPL23, RPL22, RPL37A |
88 |
KEGG_BASAL_CELL_CARCINOMA | 9.06e-11 | 65.24 | 23.58 | 8.43e-09 | 1.69e-08 | 7WNT6, WNT4, FZD10, WNT3, WNT7B, WNT10A, FZD6 |
55 |
KEGG_HEDGEHOG_SIGNALING_PATHWAY | 3.22e-07 | 41.97 | 12.48 | 9.97e-06 | 5.98e-05 | 5WNT6, WNT4, WNT3, WNT7B, WNT10A |
56 |
KEGG_MELANOGENESIS | 6.91e-09 | 33.36 | 12.34 | 4.28e-07 | 1.29e-06 | 7WNT6, WNT4, FZD10, WNT3, WNT7B, WNT10A, FZD6 |
101 |
KEGG_WNT_SIGNALING_PATHWAY | 1.10e-07 | 21.80 | 8.13 | 4.25e-06 | 2.06e-05 | 7WNT6, WNT4, FZD10, WNT3, WNT7B, WNT10A, FZD6 |
151 |
KEGG_PATHWAYS_IN_CANCER | 1.14e-07 | 13.39 | 5.67 | 4.25e-06 | 2.13e-05 | 9PDGFA, WNT6, WNT4, FGFR2, FZD10, WNT3, WNT7B, WNT10A, FZD6 |
325 |
KEGG_PROSTATE_CANCER | 2.21e-02 | 9.23 | 1.07 | 5.86e-01 | 1.00e+00 | 2PDGFA, FGFR2 |
89 |
KEGG_REGULATION_OF_ACTIN_CYTOSKELETON | 1.03e-01 | 3.81 | 0.45 | 1.00e+00 | 1.00e+00 | 2PDGFA, FGFR2 |
213 |
KEGG_CYTOKINE_CYTOKINE_RECEPTOR_INTERACTION | 1.47e-01 | 3.05 | 0.36 | 1.00e+00 | 1.00e+00 | 2CXCL14, PDGFA |
265 |
KEGG_MAPK_SIGNALING_PATHWAY | 1.48e-01 | 3.03 | 0.36 | 1.00e+00 | 1.00e+00 | 2PDGFA, FGFR2 |
267 |
KEGG_PORPHYRIN_AND_CHLOROPHYLL_METABOLISM | 1.01e-01 | 9.83 | 0.24 | 1.00e+00 | 1.00e+00 | 1FTH1 |
41 |
KEGG_VASOPRESSIN_REGULATED_WATER_REABSORPTION | 1.08e-01 | 9.15 | 0.22 | 1.00e+00 | 1.00e+00 | 1ARHGDIB |
44 |
KEGG_ARACHIDONIC_ACID_METABOLISM | 1.39e-01 | 6.90 | 0.17 | 1.00e+00 | 1.00e+00 | 1HPGDS |
58 |
KEGG_GLIOMA | 1.55e-01 | 6.15 | 0.15 | 1.00e+00 | 1.00e+00 | 1PDGFA |
65 |
KEGG_MELANOMA | 1.68e-01 | 5.62 | 0.14 | 1.00e+00 | 1.00e+00 | 1PDGFA |
71 |
KEGG_GAP_JUNCTION | 2.08e-01 | 4.42 | 0.11 | 1.00e+00 | 1.00e+00 | 1PDGFA |
90 |
KEGG_NEUROTROPHIN_SIGNALING_PATHWAY | 2.78e-01 | 3.15 | 0.08 | 1.00e+00 | 1.00e+00 | 1ARHGDIB |
126 |
KEGG_ENDOCYTOSIS | 3.73e-01 | 2.19 | 0.05 | 1.00e+00 | 1.00e+00 | 1FGFR2 |
181 |
KEGG_CHEMOKINE_SIGNALING_PATHWAY | 3.86e-01 | 2.09 | 0.05 | 1.00e+00 | 1.00e+00 | 1CXCL14 |
189 |
KEGG_FOCAL_ADHESION | 4.01e-01 | 1.99 | 0.05 | 1.00e+00 | 1.00e+00 | 1PDGFA |
199 |
Dowload full table
CHR Positional Gene Sets:
P-value | OR | Lower 95% CI | FDR | FWER | Genes Found | Gene Set Size | |
---|---|---|---|---|---|---|---|
chr2q35 | 4.16e-03 | 10.00 | 1.97 | 1.00e+00 | 1.00e+00 | 3WNT6, WNT10A, RPL37A |
126 |
chr17q21 | 1.09e-01 | 2.71 | 0.54 | 1.00e+00 | 1.00e+00 | 3KRT14, KRT15, WNT3 |
457 |
chr5p15 | 8.45e-02 | 4.30 | 0.50 | 1.00e+00 | 1.00e+00 | 2IRX2, IRX4 |
189 |
chr13q12 | 1.19e-01 | 3.49 | 0.41 | 1.00e+00 | 1.00e+00 | 2GJB2, GJB6 |
232 |
chr12q24 | 2.60e-01 | 2.07 | 0.24 | 1.00e+00 | 1.00e+00 | 2FZD10, RPLP0 |
390 |
chr12q13 | 2.76e-01 | 1.98 | 0.23 | 1.00e+00 | 1.00e+00 | 2KRT5, RPL41 |
407 |
chr16p13 | 2.76e-01 | 1.98 | 0.23 | 1.00e+00 | 1.00e+00 | 2KREMEN2, RPS2 |
407 |
chr1p36 | 6.80e-01 | 1.23 | 0.14 | 1.00e+00 | 1.00e+00 | 2WNT4, RPL22 |
656 |
chr4q22 | 1.66e-01 | 5.70 | 0.14 | 1.00e+00 | 1.00e+00 | 1HPGDS |
70 |
chrXq24 | 1.87e-01 | 4.98 | 0.12 | 1.00e+00 | 1.00e+00 | 1RPL39 |
80 |
chr16q12 | 2.20e-01 | 4.14 | 0.10 | 1.00e+00 | 1.00e+00 | 1IRX6 |
96 |
chr20p12 | 2.36e-01 | 3.82 | 0.09 | 1.00e+00 | 1.00e+00 | 1FERMT1 |
104 |
chr12p12 | 2.41e-01 | 3.71 | 0.09 | 1.00e+00 | 1.00e+00 | 1ARHGDIB |
107 |
chr19q13 | 1.00e+00 | 0.69 | 0.08 | 1.00e+00 | 1.00e+00 | 2BCAM, RPS19 |
1165 |
chr7p22 | 2.68e-01 | 3.28 | 0.08 | 1.00e+00 | 1.00e+00 | 1PDGFA |
121 |
chr4p15 | 2.70e-01 | 3.25 | 0.08 | 1.00e+00 | 1.00e+00 | 1FGFBP1 |
122 |
chr16q24 | 2.85e-01 | 3.05 | 0.08 | 1.00e+00 | 1.00e+00 | 1RPL13 |
130 |
chr5q14 | 2.85e-01 | 3.05 | 0.08 | 1.00e+00 | 1.00e+00 | 1RPS23 |
130 |
chr17q12 | 3.09e-01 | 2.77 | 0.07 | 1.00e+00 | 1.00e+00 | 1RPL23 |
143 |
chr8q22 | 3.26e-01 | 2.59 | 0.06 | 1.00e+00 | 1.00e+00 | 1FZD6 |
153 |
Dowload full table
Transcription Factor Targets:
P-value | OR | Lower 95% CI | FDR | FWER | Genes Found | Gene Set Size | |
---|---|---|---|---|---|---|---|
ZZZ3_TARGET_GENES | 2.63e-04 | 14.33 | 3.69 | 1.27e-01 | 2.98e-01 | 4RPS2, RPS23, RPL41, RPL37A |
121 |
AP3_Q6 | 4.40e-04 | 8.71 | 2.67 | 1.27e-01 | 4.99e-01 | 5CXCL14, IRX2, LMO1, IRX4, WNT3 |
251 |
P300_01 | 4.81e-04 | 8.53 | 2.62 | 1.27e-01 | 5.45e-01 | 5GJB2, WNT4, WNT3, WNT7B, WNT10A |
256 |
TST1_01 | 5.62e-04 | 8.24 | 2.53 | 1.27e-01 | 6.36e-01 | 5IRX2, PDGFA, WNT6, WNT4, FGFR2 |
265 |
HMX1_01 | 5.51e-03 | 19.57 | 2.23 | 2.71e-01 | 1.00e+00 | 2KREMEN2, IRX4 |
43 |
TAATTA_CHX10_01 | 1.68e-04 | 5.20 | 2.21 | 1.27e-01 | 1.90e-01 | 9GJB6, IRX2, LMO1, IRX4, ARHGDIB, PDLIM1, FZD10, IRX6, PKP3 |
823 |
AGCYRWTTC_UNKNOWN | 3.72e-03 | 10.42 | 2.05 | 2.61e-01 | 1.00e+00 | 3LMO1, FGFR2, RPLP0 |
121 |
CHX10_01 | 2.72e-03 | 7.48 | 1.94 | 2.61e-01 | 1.00e+00 | 4IRX2, LMO1, IRX4, WNT10A |
228 |
VDR_Q3 | 2.90e-03 | 7.35 | 1.91 | 2.61e-01 | 1.00e+00 | 4CXCL14, LMO1, BCAM, FGFR2 |
232 |
TGACGTCA_ATF3_Q6 | 3.03e-03 | 7.26 | 1.88 | 2.61e-01 | 1.00e+00 | 4IRX4, WNT10A, IRX6, RPL41 |
235 |
PPARA_02 | 4.84e-03 | 9.47 | 1.86 | 2.61e-01 | 1.00e+00 | 3LMO1, WNT4, PKP3 |
133 |
YTTCCNNNGGAMR_UNKNOWN | 7.97e-03 | 16.06 | 1.84 | 3.34e-01 | 1.00e+00 | 2IRX2, RPL41 |
52 |
TGACAGNY_MEIS1_01 | 1.07e-03 | 4.36 | 1.76 | 2.02e-01 | 1.00e+00 | 8KRT14, IRX4, ARHGDIB, PDLIM1, WNT4, BARX2, WNT3, WNT10A |
850 |
COUP_DR1_Q6 | 3.99e-03 | 6.71 | 1.74 | 2.61e-01 | 1.00e+00 | 4CXCL14, BCAM, IRX6, PKP3 |
254 |
P53_02 | 4.04e-03 | 6.68 | 1.73 | 2.61e-01 | 1.00e+00 | 4KRT15, BCAM, RPS19, PKP3 |
255 |
WGGAATGY_TEF1_Q6 | 2.91e-03 | 5.61 | 1.73 | 2.61e-01 | 1.00e+00 | 5KRT14, PDGFA, BCAM, FGFR2, FERMT1 |
387 |
MEIS1BHOXA9_01 | 6.02e-03 | 8.73 | 1.72 | 2.73e-01 | 1.00e+00 | 3WNT6, PDLIM1, RPLP0 |
144 |
CREBP1_Q2 | 4.33e-03 | 6.55 | 1.70 | 2.61e-01 | 1.00e+00 | 4IRX4, WNT10A, IRX6, RPL41 |
260 |
CREBP1CJUN_01 | 4.56e-03 | 6.45 | 1.67 | 2.61e-01 | 1.00e+00 | 4IRX4, WNT10A, IRX6, RPL41 |
264 |
E12_Q6 | 4.62e-03 | 6.42 | 1.67 | 2.61e-01 | 1.00e+00 | 4GJB2, CXCL14, WNT6, IRX6 |
265 |
Dowload full table
GO Biological Processes:
P-value | OR | Lower 95% CI | FDR | FWER | Genes Found | Gene Set Size | |
---|---|---|---|---|---|---|---|
GOBP_COTRANSLATIONAL_PROTEIN_TARGETING_TO_MEMBRANE | 2.60e-15 | 56.54 | 25.36 | 1.94e-11 | 1.94e-11 | 11RPS2, RPL13, RPS23, RPL36, RPS19, RPL41, RPL39, RPLP0, RPL23, RPL22, RPL37A |
107 |
GOBP_NUCLEAR_TRANSCRIBED_MRNA_CATABOLIC_PROCESS_NONSENSE_MEDIATED_DECAY | 9.42e-15 | 49.86 | 22.41 | 2.58e-11 | 7.05e-11 | 11RPS2, RPL13, RPS23, RPL36, RPS19, RPL41, RPL39, RPLP0, RPL23, RPL22, RPL37A |
120 |
GOBP_ESTABLISHMENT_OF_PROTEIN_LOCALIZATION_TO_ENDOPLASMIC_RETICULUM | 1.03e-14 | 49.40 | 22.21 | 2.58e-11 | 7.74e-11 | 11RPS2, RPL13, RPS23, RPL36, RPS19, RPL41, RPL39, RPLP0, RPL23, RPL22, RPL37A |
121 |
GOBP_PROTEIN_LOCALIZATION_TO_ENDOPLASMIC_RETICULUM | 1.04e-13 | 39.35 | 17.81 | 1.56e-10 | 7.82e-10 | 11RPS2, RPL13, RPS23, RPL36, RPS19, RPL41, RPL39, RPLP0, RPL23, RPL22, RPL37A |
149 |
GOBP_EPITHELIAL_MESENCHYMAL_CELL_SIGNALING | 9.77e-05 | 199.39 | 17.66 | 1.43e-02 | 7.31e-01 | 2PDGFA, WNT6 |
6 |
GOBP_VIRAL_GENE_EXPRESSION | 7.32e-14 | 32.72 | 15.30 | 1.37e-10 | 5.48e-10 | 12RPS2, IFITM3, RPL13, RPS23, RPL36, RPS19, RPL41, RPL39, RPLP0, RPL23, RPL22, RPL37A |
198 |
GOBP_INTERCELLULAR_TRANSPORT | 1.36e-04 | 159.06 | 14.87 | 1.86e-02 | 1.00e+00 | 2GJB2, GJB6 |
7 |
GOBP_NON_CANONICAL_WNT_SIGNALING_PATHWAY_VIA_MAPK_CASCADE | 1.36e-04 | 159.06 | 14.87 | 1.86e-02 | 1.00e+00 | 2WNT4, FZD10 |
7 |
GOBP_TRANSLATIONAL_INITIATION | 1.77e-12 | 29.87 | 13.57 | 2.20e-09 | 1.32e-08 | 11RPS2, RPL13, RPS23, RPL36, RPS19, RPL41, RPL39, RPLP0, RPL23, RPL22, RPL37A |
193 |
GOBP_NUCLEAR_TRANSCRIBED_MRNA_CATABOLIC_PROCESS | 3.97e-12 | 27.58 | 12.55 | 3.71e-09 | 2.97e-08 | 11RPS2, RPL13, RPS23, RPL36, RPS19, RPL41, RPL39, RPLP0, RPL23, RPL22, RPL37A |
208 |
GOBP_PROTEIN_TARGETING_TO_MEMBRANE | 3.97e-12 | 27.58 | 12.55 | 3.71e-09 | 2.97e-08 | 11RPS2, RPL13, RPS23, RPL36, RPS19, RPL41, RPL39, RPLP0, RPL23, RPL22, RPL37A |
208 |
GOBP_CELLULAR_RESPONSE_TO_RETINOIC_ACID | 6.31e-07 | 36.25 | 10.85 | 2.25e-04 | 4.72e-03 | 5WNT6, FGFR2, FZD10, WNT3, WNT7B |
64 |
GOBP_CYTOPLASMIC_TRANSLATION | 2.38e-07 | 27.37 | 9.31 | 1.11e-04 | 1.78e-03 | 6RPS23, RPL36, RPL41, RPL39, RPLP0, RPL22 |
102 |
GOBP_RESPONSE_TO_RETINOIC_ACID | 2.52e-07 | 27.09 | 9.22 | 1.11e-04 | 1.88e-03 | 6GJB2, WNT6, FGFR2, FZD10, WNT3, WNT7B |
103 |
GOBP_LIMB_BUD_FORMATION | 3.55e-04 | 88.95 | 9.12 | 4.35e-02 | 1.00e+00 | 2FGFR2, WNT3 |
11 |
GOBP_LOOP_OF_HENLE_DEVELOPMENT | 3.55e-04 | 88.95 | 9.12 | 4.35e-02 | 1.00e+00 | 2IRX2, WNT7B |
11 |
GOBP_MOLTING_CYCLE | 2.82e-07 | 26.51 | 9.03 | 1.17e-04 | 2.11e-03 | 6KRT14, PDGFA, FGFR2, WNT10A, FZD6, FERMT1 |
105 |
GOBP_HEMIDESMOSOME_ASSEMBLY | 4.25e-04 | 79.97 | 8.32 | 5.05e-02 | 1.00e+00 | 2KRT14, KRT5 |
12 |
GOBP_SKIN_EPIDERMIS_DEVELOPMENT | 2.44e-06 | 27.10 | 8.18 | 5.90e-04 | 1.83e-02 | 5PDGFA, FGFR2, WNT10A, FZD6, FERMT1 |
84 |
GOBP_GAP_JUNCTION_ASSEMBLY | 5.02e-04 | 72.76 | 7.65 | 5.60e-02 | 1.00e+00 | 2GJB2, GJB6 |
13 |
Dowload full table
Immunological Gene Sets:
P-value | OR | Lower 95% CI | FDR | FWER | Genes Found | Gene Set Size | |
---|---|---|---|---|---|---|---|
GSE2405_0H_VS_24H_A_PHAGOCYTOPHILUM_STIM_NEUTROPHIL_UP | 8.25e-14 | 32.37 | 15.15 | 4.02e-10 | 4.02e-10 | 12PDLIM1, RPS2, RPL13, RPS23, RPL36, RPS19, RPL41, RPL39, RPLP0, RPL23, RPL22, RPL37A |
200 |
GSE2405_0H_VS_9H_A_PHAGOCYTOPHILUM_STIM_NEUTROPHIL_DN | 7.29e-11 | 25.35 | 11.14 | 1.78e-07 | 3.55e-07 | 10RPS2, RPL13, RPS23, RPL36, RPS19, RPL39, RPLP0, RPL23, RPL22, RPL37A |
200 |
GSE3720_UNSTIM_VS_LPS_STIM_VD2_GAMMADELTA_TCELL_UP | 9.68e-09 | 23.08 | 9.21 | 1.57e-05 | 4.72e-05 | 8RPS2, RPL36, RPS19, RPL39, RPLP0, RPL23, RPL22, RPL37A |
167 |
GSE41978_KLRG1_HIGH_VS_LOW_EFFECTOR_CD8_TCELL_DN | 7.32e-07 | 16.26 | 6.09 | 7.13e-04 | 3.57e-03 | 7RPS2, RPS23, RPS19, RPL39, RPLP0, RPL23, RPL22 |
200 |
GSE41978_ID2_KO_VS_ID2_KO_AND_BIM_KO_KLRG1_LOW_EFFECTOR_CD8_TCELL_DN | 7.32e-07 | 16.26 | 6.09 | 7.13e-04 | 3.57e-03 | 7RPL13, RPS23, RPL41, RPLP0, RPL23, RPL22, RPL37A |
200 |
GSE3720_UNSTIM_VS_PMA_STIM_VD2_GAMMADELTA_TCELL_UP | 5.49e-06 | 15.55 | 5.34 | 4.45e-03 | 2.67e-02 | 6RPS2, RPL36, RPL39, RPLP0, RPL23, RPL37A |
175 |
GSE22886_NAIVE_BCELL_VS_DC_UP | 1.10e-05 | 13.68 | 4.71 | 6.92e-03 | 5.38e-02 | 6PDLIM1, FZD10, RPS23, FZD6, RPL22, RPL37A |
198 |
GSE22886_NAIVE_BCELL_VS_NEUTROPHIL_UP | 1.14e-05 | 13.61 | 4.69 | 6.92e-03 | 5.54e-02 | 6PDLIM1, RPS19, RPL41, RPL39, RPL23, RPL37A |
199 |
GSE6269_FLU_VS_E_COLI_INF_PBMC_DN | 6.19e-05 | 13.46 | 4.12 | 3.35e-02 | 3.01e-01 | 5BCAM, FGFR2, RPL13, RPL23, RPL22 |
164 |
GSE14000_TRANSLATED_RNA_VS_MRNA_16H_LPS_DC_DN | 1.39e-04 | 11.27 | 3.45 | 5.07e-02 | 6.77e-01 | 5RPS2, RPL36, RPL39, RPL23, RPL37A |
195 |
GSE10239_NAIVE_VS_DAY4.5_EFF_CD8_TCELL_UP | 1.53e-04 | 11.04 | 3.38 | 5.07e-02 | 7.43e-01 | 5RPL13, RPL36, RPLP0, RPL22, RPL37A |
199 |
GSE2585_THYMIC_DC_VS_MTEC_DN | 1.53e-04 | 11.04 | 3.38 | 5.07e-02 | 7.43e-01 | 5KRT14, S100A11, BARX2, IFITM3, RPL22 |
199 |
GSE42088_UNINF_VS_LEISHMANIA_INF_DC_4H_DN | 1.53e-04 | 11.04 | 3.38 | 5.07e-02 | 7.43e-01 | 5IFITM3, RPL13, RPS19, RPL39, RPL22 |
199 |
GSE29618_MONOCYTE_VS_MDC_DAY7_FLU_VACCINE_DN | 1.56e-04 | 10.98 | 3.37 | 5.07e-02 | 7.61e-01 | 5PDLIM1, RPS2, RPS23, RPL36, RPLP0 |
200 |
GSE24574_BCL6_HIGH_TFH_VS_TFH_CD4_TCELL_DN | 1.56e-04 | 10.98 | 3.37 | 5.07e-02 | 7.61e-01 | 5RPL13, RPS23, RPL23, RPL22, FTH1 |
200 |
GSE12505_WT_VS_E2_2_HET_PDC_DN | 7.17e-04 | 10.89 | 2.81 | 2.18e-01 | 1.00e+00 | 4IFITM3, RPL13, RPL41, RPL37A |
158 |
GSE3565_DUSP1_VS_WT_SPLENOCYTES_POST_LPS_INJECTION_UP | 8.23e-04 | 10.47 | 2.71 | 2.24e-01 | 1.00e+00 | 4RPS2, RPL13, RPL36, RPLP0 |
164 |
GSE13547_CTRL_VS_ANTI_IGM_STIM_BCELL_2H_DN | 8.80e-04 | 10.28 | 2.66 | 2.24e-01 | 1.00e+00 | 4RPL13, RPS23, RPS19, RPL22 |
167 |
GSE1925_CTRL_VS_IFNG_PRIMED_MACROPHAGE_3H_IFNG_STIM_UP | 1.02e-03 | 9.86 | 2.55 | 2.24e-01 | 1.00e+00 | 4RPS2, RPL36, RPLP0, RPL22 |
174 |
GSE3565_CTRL_VS_LPS_INJECTED_SPLENOCYTES_DN | 1.05e-03 | 9.80 | 2.53 | 2.24e-01 | 1.00e+00 | 4RPS2, RPL13, RPL36, RPLP0 |
175 |
Top Ranked Transcription Factors for this Gene Expression Program:
Gene Symbol | TF Rank | DNA Binding Domain | Motif Status | IUPAC PWM | GTEx | DepMap | Decartes |
---|---|---|---|---|---|---|---|
IRX2 | 7 | Yes | Known motif | Monomer or homomultimer | High-throughput in vitro | None | None |
IRX4 | 15 | Yes | Known motif | Monomer or homomultimer | 100 perc ID - in vitro | None | None |
BARX2 | 21 | Yes | Known motif | Monomer or homomultimer | High-throughput in vitro | Has a putative AT-hook | None |
SIVA1 | 23 | No | Unlikely to be sequence specific TF | Not a DNA binding protein | No motif | None | Affects transcription through interactions with NF-kappaB (PMID: 16491128) |
IRX6 | 38 | Yes | Inferred motif | Monomer or homomultimer | High-throughput in vitro | None | None |
FZD6 | 40 | No | Unlikely to be sequence specific TF | Not a DNA binding protein | No motif | None | None |
CTNNB1 | 51 | No | Unlikely to be sequence specific TF | Not a DNA binding protein | No motif | Only known motifs are from Transfac or HocoMoco - origin is uncertain | This is beta catenin - acts as co-factor with TCF/LEF |
LEF1 | 55 | Yes | Known motif | Monomer or homomultimer | High-throughput in vitro | None | None |
RPL36A | 71 | No | Unlikely to be sequence specific TF | Not a DNA binding protein | No motif | None | Protein is a ribosomal component |
TRIM29 | 74 | No | Unlikely to be sequence specific TF | Not a DNA binding protein | No motif | None | Previous evidence for TF activity (PMID: 8188213) is based on sequence analysis and does not provide DNA-binding evidence. Based on EntrezGene information, its likely a transcriptional co-factor |
TFAP2B | 84 | Yes | Known motif | Monomer or homomultimer | High-throughput in vitro | None | None |
NPM1 | 87 | No | Unlikely to be sequence specific TF | Low specificity DNA-binding protein | No motif | None | No evidence for sequence-specific DNA-binding (PMID: 2223875) |
IRX5 | 90 | Yes | Known motif | Monomer or homomultimer | High-throughput in vitro | None | None |
WNT3A | 93 | No | Unlikely to be sequence specific TF | Not a DNA binding protein | No motif | None | None |
GRHL2 | 97 | Yes | Known motif | Monomer or homomultimer | In vivo/Misc source | None | None |
RPS27A | 119 | No | ssDNA/RNA binding | Not a DNA binding protein | No motif | None | None |
HMGA1 | 121 | Yes | Known motif | Monomer or homomultimer | In vivo/Misc source | Only known motifs are from Transfac or HocoMoco - origin is uncertain | None |
BMP7 | 122 | No | Unlikely to be sequence specific TF | Not a DNA binding protein | No motif | None | None |
BCL11B | 135 | Yes | Known motif | Monomer or homomultimer | High-throughput in vitro | None | None |
SATB1 | 153 | Yes | Known motif | Low specificity DNA-binding protein | In vivo/Misc source | Only known motifs are from Transfac or HocoMoco - origin is uncertain | SATBs were analyzed by Gwenael Badis and Mike Berger a decade ago; by PBMs. It did not yield a motif; instead; the signal was very closely proportional to nucleotide content, as the name suggests (Special AT Binding). |
QQ Plot showing correlations with other GEPs in this dataset, calculated by Spearman correlation:
Interactive QQ-plot of gene loadings:
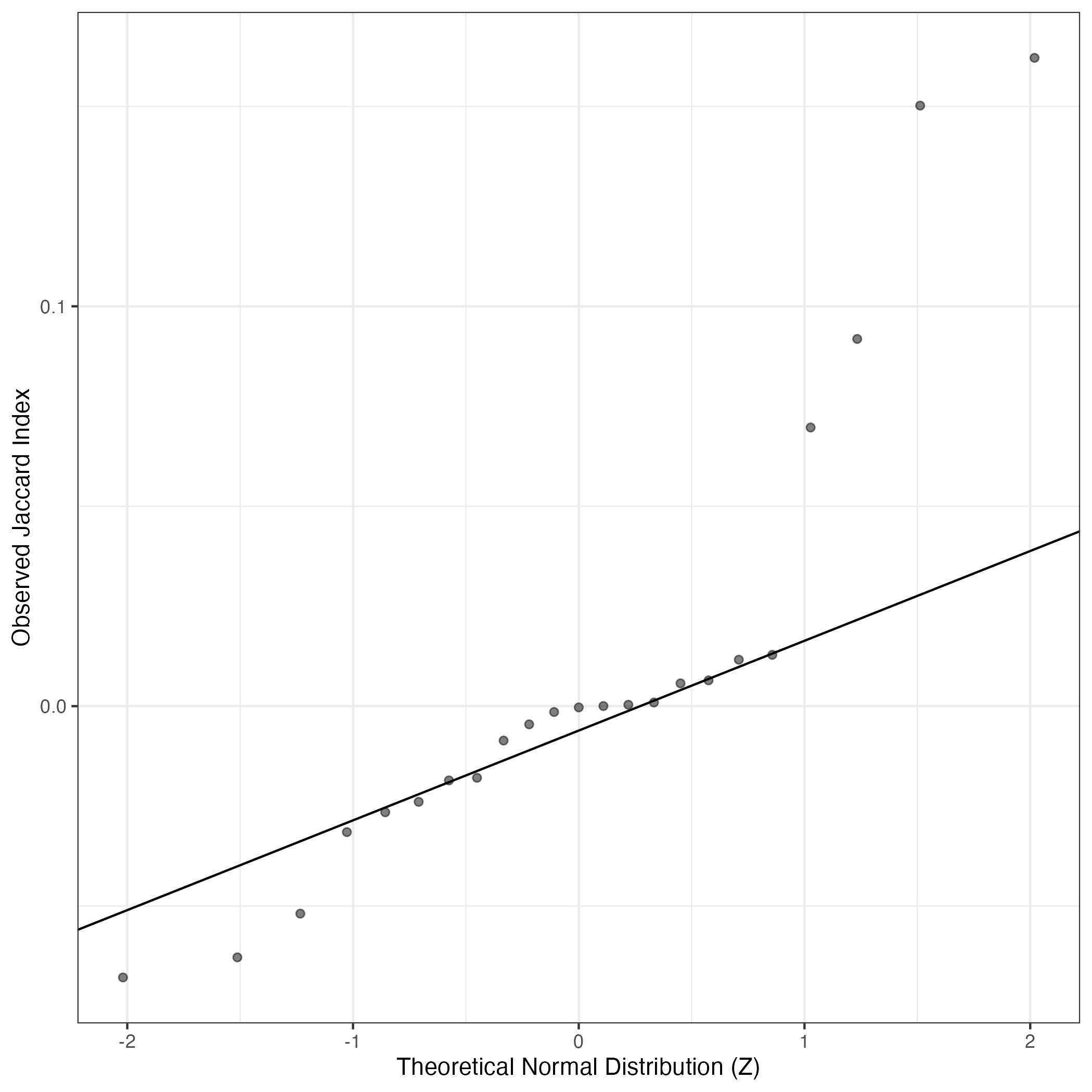
A similar QQ-plot as above, but only for instances where the H value is e.g. > 25, i.e. we are confident that the expression program is active above noise. Agreemenet between these binary vectors is tested using the Jaccard Index, with the P-values calculated by an exact test:
Interactive QQ-plot:
Singler cell type annotations for the top 50 cells on this program.
Cell ID | Singler label | Singler Delta | Activity Score | Top Singler Raw Scores |
---|---|---|---|---|
X72_GGTAATCGTATCGTTG | Neuroepithelial_cell:ESC-derived | 0.37 | 1541.93 | Raw ScoresNeuroepithelial_cell:ESC-derived: 0.76, Neurons:ES_cell-derived_neural_precursor: 0.76, iPS_cells:CRL2097_foreskin-derived:d20_hepatic_diff: 0.74, MSC: 0.74, Embryonic_stem_cells: 0.72, Keratinocytes: 0.68, Fibroblasts:breast: 0.68, Keratinocytes:IL26: 0.68, iPS_cells:adipose_stem_cells: 0.68, Chondrocytes:MSC-derived: 0.66 |
X72_GTCTTTAGTGGCACTC | Neuroepithelial_cell:ESC-derived | 0.32 | 1432.69 | Raw ScoresNeuroepithelial_cell:ESC-derived: 0.71, Neurons:ES_cell-derived_neural_precursor: 0.68, MSC: 0.67, Keratinocytes:IL26: 0.65, Keratinocytes: 0.65, iPS_cells:CRL2097_foreskin-derived:d20_hepatic_diff: 0.64, Embryonic_stem_cells: 0.64, Chondrocytes:MSC-derived: 0.63, Keratinocytes:IL20: 0.63, Keratinocytes:IFNg: 0.62 |
X72_TCATTCAAGGGACCAT | Neuroepithelial_cell:ESC-derived | 0.27 | 1186.61 | Raw ScoresNeuroepithelial_cell:ESC-derived: 0.61, Neurons:ES_cell-derived_neural_precursor: 0.59, Erythroblast: 0.56, Gametocytes:oocyte: 0.56, Chondrocytes:MSC-derived: 0.56, MSC: 0.55, DC:monocyte-derived:immature: 0.54, iPS_cells:PDB_2lox-17: 0.5, Smooth_muscle_cells:bronchial: 0.48, Macrophage:monocyte-derived:IL-4/Dex/cntrl: 0.48 |
X72_GACCTTCTCATCTGTT | Chondrocytes:MSC-derived | 0.31 | 1179.57 | Raw ScoresChondrocytes:MSC-derived: 0.72, MSC: 0.66, iPS_cells:adipose_stem_cells: 0.66, Osteoblasts: 0.65, Smooth_muscle_cells:bronchial: 0.64, Smooth_muscle_cells:bronchial:vit_D: 0.64, Fibroblasts:breast: 0.63, Neuroepithelial_cell:ESC-derived: 0.62, Neurons:ES_cell-derived_neural_precursor: 0.62, Osteoblasts:BMP2: 0.61 |
X72_AGCGTATTCCAAGCAT | Neuroepithelial_cell:ESC-derived | 0.37 | 1151.99 | Raw ScoresNeuroepithelial_cell:ESC-derived: 0.76, Neurons:ES_cell-derived_neural_precursor: 0.76, iPS_cells:CRL2097_foreskin-derived:d20_hepatic_diff: 0.74, MSC: 0.74, Embryonic_stem_cells: 0.72, Keratinocytes: 0.68, Fibroblasts:breast: 0.68, Keratinocytes:IL26: 0.68, iPS_cells:adipose_stem_cells: 0.68, Chondrocytes:MSC-derived: 0.66 |
X72_CGAGTTAGTTAGGCCC | Neuroepithelial_cell:ESC-derived | 0.38 | 1118.94 | Raw ScoresNeuroepithelial_cell:ESC-derived: 0.76, Neurons:ES_cell-derived_neural_precursor: 0.76, iPS_cells:CRL2097_foreskin-derived:d20_hepatic_diff: 0.74, MSC: 0.73, Embryonic_stem_cells: 0.73, Fibroblasts:breast: 0.68, Keratinocytes: 0.68, Keratinocytes:IL26: 0.68, iPS_cells:adipose_stem_cells: 0.68, Keratinocytes:KGF: 0.67 |
X72_ACATGCATCGGCTTGG | Neuroepithelial_cell:ESC-derived | 0.37 | 1099.88 | Raw ScoresNeuroepithelial_cell:ESC-derived: 0.76, Neurons:ES_cell-derived_neural_precursor: 0.76, iPS_cells:CRL2097_foreskin-derived:d20_hepatic_diff: 0.74, MSC: 0.74, Embryonic_stem_cells: 0.72, Keratinocytes: 0.68, Fibroblasts:breast: 0.68, Keratinocytes:IL26: 0.68, iPS_cells:adipose_stem_cells: 0.68, Chondrocytes:MSC-derived: 0.66 |
X72_TTGCTGCGTCGGTGTC | iPS_cells:adipose_stem_cells | 0.35 | 1089.82 | Raw ScoresiPS_cells:adipose_stem_cells: 0.79, Fibroblasts:breast: 0.79, MSC: 0.74, Neurons:ES_cell-derived_neural_precursor: 0.74, Chondrocytes:MSC-derived: 0.73, Neuroepithelial_cell:ESC-derived: 0.72, Tissue_stem_cells:BM_MSC:TGFb3: 0.69, Smooth_muscle_cells:vascular: 0.66, Smooth_muscle_cells:vascular:IL-17: 0.66, Embryonic_stem_cells: 0.66 |
X71_ATCCCTGTCCATTCAT | iPS_cells:adipose_stem_cells | 0.35 | 1023.49 | Raw ScoresiPS_cells:adipose_stem_cells: 0.79, Fibroblasts:breast: 0.79, MSC: 0.74, Neurons:ES_cell-derived_neural_precursor: 0.74, Chondrocytes:MSC-derived: 0.73, Neuroepithelial_cell:ESC-derived: 0.72, Tissue_stem_cells:BM_MSC:TGFb3: 0.69, Smooth_muscle_cells:vascular: 0.66, Smooth_muscle_cells:vascular:IL-17: 0.66, Embryonic_stem_cells: 0.66 |
X71_TATCTGTTCACTACGA | Neuroepithelial_cell:ESC-derived | 0.37 | 1021.56 | Raw ScoresNeuroepithelial_cell:ESC-derived: 0.76, Neurons:ES_cell-derived_neural_precursor: 0.76, iPS_cells:CRL2097_foreskin-derived:d20_hepatic_diff: 0.75, Embryonic_stem_cells: 0.73, MSC: 0.73, Keratinocytes: 0.69, Keratinocytes:IL26: 0.69, Fibroblasts:breast: 0.69, iPS_cells:adipose_stem_cells: 0.69, Keratinocytes:KGF: 0.67 |
X71_ATCATTCCACACAGAG | Neuroepithelial_cell:ESC-derived | 0.33 | 1019.58 | Raw ScoresNeuroepithelial_cell:ESC-derived: 0.68, Neurons:ES_cell-derived_neural_precursor: 0.68, MSC: 0.65, Chondrocytes:MSC-derived: 0.64, Gametocytes:oocyte: 0.63, iPS_cells:CRL2097_foreskin-derived:d20_hepatic_diff: 0.6, iPS_cells:PDB_2lox-17: 0.59, Erythroblast: 0.59, Embryonic_stem_cells: 0.58, Neurons:adrenal_medulla_cell_line: 0.55 |
X72_GCTTTCGGTATGCTTG | Chondrocytes:MSC-derived | 0.31 | 988.26 | Raw ScoresChondrocytes:MSC-derived: 0.72, MSC: 0.67, iPS_cells:adipose_stem_cells: 0.65, Osteoblasts: 0.64, Neuroepithelial_cell:ESC-derived: 0.64, Smooth_muscle_cells:bronchial: 0.63, Smooth_muscle_cells:bronchial:vit_D: 0.63, Neurons:ES_cell-derived_neural_precursor: 0.63, Fibroblasts:breast: 0.63, Osteoblasts:BMP2: 0.61 |
X72_ATCGCCTTCTTACGTT | Neuroepithelial_cell:ESC-derived | 0.31 | 987.25 | Raw ScoresNeuroepithelial_cell:ESC-derived: 0.71, Neurons:ES_cell-derived_neural_precursor: 0.68, MSC: 0.66, Keratinocytes:IL26: 0.63, Keratinocytes: 0.63, Chondrocytes:MSC-derived: 0.62, iPS_cells:CRL2097_foreskin-derived:d20_hepatic_diff: 0.62, Embryonic_stem_cells: 0.62, Keratinocytes:IL20: 0.6, Keratinocytes:KGF: 0.6 |
X71_TAGATCGCATCCTAAG | Neurons:ES_cell-derived_neural_precursor | 0.40 | 963.46 | Raw ScoresNeurons:ES_cell-derived_neural_precursor: 0.68, iPS_cells:CRL2097_foreskin-derived:d20_hepatic_diff: 0.68, Neuroepithelial_cell:ESC-derived: 0.65, Embryonic_stem_cells: 0.65, Keratinocytes:KGF: 0.64, iPS_cells:adipose_stem_cells: 0.64, iPS_cells:fibroblast-derived:Direct_del._reprog: 0.64, Keratinocytes:IL26: 0.63, Fibroblasts:breast: 0.63, Keratinocytes: 0.63 |
X72_GAAGCCCTCGGAGATG | iPS_cells:CRL2097_foreskin-derived:d20_hepatic_diff | 0.38 | 945.04 | Raw ScoresiPS_cells:CRL2097_foreskin-derived:d20_hepatic_diff: 0.75, Neuroepithelial_cell:ESC-derived: 0.75, Neurons:ES_cell-derived_neural_precursor: 0.75, Embryonic_stem_cells: 0.73, MSC: 0.72, Fibroblasts:breast: 0.7, Keratinocytes: 0.7, Keratinocytes:IL26: 0.7, iPS_cells:adipose_stem_cells: 0.7, Astrocyte:Embryonic_stem_cell-derived: 0.68 |
X72_CGGGACTCACCCATAA | Smooth_muscle_cells:vascular | 0.30 | 938.65 | Raw ScoresSmooth_muscle_cells:vascular: 0.73, Fibroblasts:breast: 0.71, Chondrocytes:MSC-derived: 0.71, Epithelial_cells:bronchial: 0.7, Keratinocytes:KGF: 0.7, iPS_cells:adipose_stem_cells: 0.7, Smooth_muscle_cells:vascular:IL-17: 0.7, iPS_cells:CRL2097_foreskin-derived:d20_hepatic_diff: 0.7, Neutrophil:GM-CSF_IFNg: 0.69, Keratinocytes:IL19: 0.69 |
X72_GCTACAAAGTATGATG | Neuroepithelial_cell:ESC-derived | 0.33 | 937.13 | Raw ScoresNeuroepithelial_cell:ESC-derived: 0.68, Neurons:ES_cell-derived_neural_precursor: 0.68, MSC: 0.65, Chondrocytes:MSC-derived: 0.64, Gametocytes:oocyte: 0.63, iPS_cells:CRL2097_foreskin-derived:d20_hepatic_diff: 0.6, iPS_cells:PDB_2lox-17: 0.59, Erythroblast: 0.59, Embryonic_stem_cells: 0.58, Neurons:adrenal_medulla_cell_line: 0.55 |
X71_AGGTTGTGTGATTAGA | Neuroepithelial_cell:ESC-derived | 0.33 | 928.20 | Raw ScoresNeuroepithelial_cell:ESC-derived: 0.68, Neurons:ES_cell-derived_neural_precursor: 0.68, MSC: 0.65, Chondrocytes:MSC-derived: 0.64, Gametocytes:oocyte: 0.63, iPS_cells:CRL2097_foreskin-derived:d20_hepatic_diff: 0.6, iPS_cells:PDB_2lox-17: 0.59, Erythroblast: 0.59, Embryonic_stem_cells: 0.58, Neurons:adrenal_medulla_cell_line: 0.55 |
X72_ATTCCCGCAATGGCAG | Neuroepithelial_cell:ESC-derived | 0.38 | 918.68 | Raw ScoresNeuroepithelial_cell:ESC-derived: 0.76, Neurons:ES_cell-derived_neural_precursor: 0.76, iPS_cells:CRL2097_foreskin-derived:d20_hepatic_diff: 0.74, MSC: 0.73, Embryonic_stem_cells: 0.73, Fibroblasts:breast: 0.68, Keratinocytes: 0.68, Keratinocytes:IL26: 0.68, iPS_cells:adipose_stem_cells: 0.68, Keratinocytes:KGF: 0.67 |
X72_AGTTCCCTCCAACACA | Neuroepithelial_cell:ESC-derived | 0.35 | 858.82 | Raw ScoresNeuroepithelial_cell:ESC-derived: 0.58, Neurons:ES_cell-derived_neural_precursor: 0.58, Erythroblast: 0.57, Gametocytes:oocyte: 0.57, MSC: 0.57, Chondrocytes:MSC-derived: 0.54, iPS_cells:CRL2097_foreskin-derived:d20_hepatic_diff: 0.54, Keratinocytes:KGF: 0.5, Neurons:adrenal_medulla_cell_line: 0.5, iPS_cells:adipose_stem_cells: 0.5 |
X72_ACCAACAAGGCCTGAA | Neurons:ES_cell-derived_neural_precursor | 0.40 | 849.82 | Raw ScoresNeurons:ES_cell-derived_neural_precursor: 0.68, iPS_cells:CRL2097_foreskin-derived:d20_hepatic_diff: 0.68, Neuroepithelial_cell:ESC-derived: 0.65, Embryonic_stem_cells: 0.65, Keratinocytes:KGF: 0.64, iPS_cells:adipose_stem_cells: 0.64, iPS_cells:fibroblast-derived:Direct_del._reprog: 0.64, Keratinocytes:IL26: 0.63, Fibroblasts:breast: 0.63, Keratinocytes: 0.63 |
X71_GGTCACGTCCCATAAG | Gametocytes:oocyte | 0.39 | 822.04 | Raw ScoresGametocytes:oocyte: 0.71, Neurons:ES_cell-derived_neural_precursor: 0.66, iPS_cells:CRL2097_foreskin-derived:d20_hepatic_diff: 0.66, Erythroblast: 0.6, Neuroepithelial_cell:ESC-derived: 0.59, MSC: 0.58, Chondrocytes:MSC-derived: 0.55, Embryonic_stem_cells: 0.51, Neurons:adrenal_medulla_cell_line: 0.49, Smooth_muscle_cells:bronchial:vit_D: 0.48 |
X71_ACTTTGTAGAAGATCT | Neuroepithelial_cell:ESC-derived | 0.38 | 818.21 | Raw ScoresNeuroepithelial_cell:ESC-derived: 0.76, Neurons:ES_cell-derived_neural_precursor: 0.76, iPS_cells:CRL2097_foreskin-derived:d20_hepatic_diff: 0.74, MSC: 0.73, Embryonic_stem_cells: 0.73, Fibroblasts:breast: 0.68, Keratinocytes: 0.68, Keratinocytes:IL26: 0.68, iPS_cells:adipose_stem_cells: 0.68, Keratinocytes:KGF: 0.67 |
X72_ACGATGTCATACGCAT | Neuroepithelial_cell:ESC-derived | 0.37 | 806.00 | Raw ScoresNeuroepithelial_cell:ESC-derived: 0.76, Neurons:ES_cell-derived_neural_precursor: 0.76, iPS_cells:CRL2097_foreskin-derived:d20_hepatic_diff: 0.74, MSC: 0.74, Embryonic_stem_cells: 0.72, Keratinocytes: 0.68, Fibroblasts:breast: 0.68, Keratinocytes:IL26: 0.68, iPS_cells:adipose_stem_cells: 0.68, Chondrocytes:MSC-derived: 0.66 |
X72_AAGGAATCAACCAACT | Neuroepithelial_cell:ESC-derived | 0.35 | 800.67 | Raw ScoresNeuroepithelial_cell:ESC-derived: 0.58, Neurons:ES_cell-derived_neural_precursor: 0.58, Erythroblast: 0.57, Gametocytes:oocyte: 0.57, MSC: 0.57, Chondrocytes:MSC-derived: 0.54, iPS_cells:CRL2097_foreskin-derived:d20_hepatic_diff: 0.54, Keratinocytes:KGF: 0.5, Neurons:adrenal_medulla_cell_line: 0.5, iPS_cells:adipose_stem_cells: 0.5 |
X71_GACTCAAGTCTGTGCG | Neuroepithelial_cell:ESC-derived | 0.37 | 788.79 | Raw ScoresNeuroepithelial_cell:ESC-derived: 0.76, Neurons:ES_cell-derived_neural_precursor: 0.76, iPS_cells:CRL2097_foreskin-derived:d20_hepatic_diff: 0.75, Embryonic_stem_cells: 0.73, MSC: 0.73, Keratinocytes: 0.69, Keratinocytes:IL26: 0.69, Fibroblasts:breast: 0.69, iPS_cells:adipose_stem_cells: 0.69, Keratinocytes:KGF: 0.67 |
X72_TCTCTGGAGGAAGAAC | Neuroepithelial_cell:ESC-derived | 0.38 | 781.92 | Raw ScoresNeuroepithelial_cell:ESC-derived: 0.76, Neurons:ES_cell-derived_neural_precursor: 0.76, iPS_cells:CRL2097_foreskin-derived:d20_hepatic_diff: 0.74, MSC: 0.73, Embryonic_stem_cells: 0.73, Fibroblasts:breast: 0.68, Keratinocytes: 0.68, Keratinocytes:IL26: 0.68, iPS_cells:adipose_stem_cells: 0.68, Keratinocytes:KGF: 0.67 |
X71_GAGTTTGAGACTACCT | Chondrocytes:MSC-derived | 0.31 | 767.35 | Raw ScoresChondrocytes:MSC-derived: 0.72, iPS_cells:adipose_stem_cells: 0.66, MSC: 0.66, Osteoblasts: 0.65, Smooth_muscle_cells:bronchial: 0.64, Smooth_muscle_cells:bronchial:vit_D: 0.64, Fibroblasts:breast: 0.63, Neurons:ES_cell-derived_neural_precursor: 0.62, Neuroepithelial_cell:ESC-derived: 0.61, Osteoblasts:BMP2: 0.61 |
X72_ATCCATTAGAATACAC | iPS_cells:CRL2097_foreskin-derived:d20_hepatic_diff | 0.38 | 764.31 | Raw ScoresiPS_cells:CRL2097_foreskin-derived:d20_hepatic_diff: 0.75, Neuroepithelial_cell:ESC-derived: 0.75, Neurons:ES_cell-derived_neural_precursor: 0.75, Embryonic_stem_cells: 0.73, MSC: 0.72, Fibroblasts:breast: 0.7, Keratinocytes: 0.7, Keratinocytes:IL26: 0.7, iPS_cells:adipose_stem_cells: 0.7, Astrocyte:Embryonic_stem_cell-derived: 0.68 |
X72_CTGAGGCTCAGCAGAG | Neuroepithelial_cell:ESC-derived | 0.33 | 764.14 | Raw ScoresNeuroepithelial_cell:ESC-derived: 0.68, Neurons:ES_cell-derived_neural_precursor: 0.68, MSC: 0.65, Chondrocytes:MSC-derived: 0.64, Gametocytes:oocyte: 0.63, iPS_cells:CRL2097_foreskin-derived:d20_hepatic_diff: 0.6, iPS_cells:PDB_2lox-17: 0.59, Erythroblast: 0.59, Embryonic_stem_cells: 0.58, Neurons:adrenal_medulla_cell_line: 0.55 |
X72_TTTACTGTCACCACAA | Neuroepithelial_cell:ESC-derived | 0.32 | 751.45 | Raw ScoresNeuroepithelial_cell:ESC-derived: 0.7, Neurons:ES_cell-derived_neural_precursor: 0.67, MSC: 0.66, Keratinocytes: 0.65, Keratinocytes:IL26: 0.65, Embryonic_stem_cells: 0.63, iPS_cells:CRL2097_foreskin-derived:d20_hepatic_diff: 0.63, Keratinocytes:IL20: 0.63, Keratinocytes:IFNg: 0.63, Keratinocytes:KGF: 0.62 |
X72_CGAAGGACATTGTACG | Neuroepithelial_cell:ESC-derived | 0.37 | 737.31 | Raw ScoresNeuroepithelial_cell:ESC-derived: 0.76, Neurons:ES_cell-derived_neural_precursor: 0.76, iPS_cells:CRL2097_foreskin-derived:d20_hepatic_diff: 0.74, MSC: 0.74, Embryonic_stem_cells: 0.72, Keratinocytes: 0.68, Fibroblasts:breast: 0.68, Keratinocytes:IL26: 0.68, iPS_cells:adipose_stem_cells: 0.68, Chondrocytes:MSC-derived: 0.66 |
X72_TGAACGTAGCATGCGA | Chondrocytes:MSC-derived | 0.33 | 722.52 | Raw ScoresChondrocytes:MSC-derived: 0.63, iPS_cells:adipose_stem_cells: 0.61, Smooth_muscle_cells:bronchial: 0.58, Smooth_muscle_cells:bronchial:vit_D: 0.58, Fibroblasts:breast: 0.57, MSC: 0.56, Osteoblasts: 0.54, Neurons:ES_cell-derived_neural_precursor: 0.53, Osteoblasts:BMP2: 0.52, Erythroblast: 0.51 |
X71_CCTACGTAGTCATACC | Neuroepithelial_cell:ESC-derived | 0.31 | 718.14 | Raw ScoresNeuroepithelial_cell:ESC-derived: 0.47, MSC: 0.45, Neurons:ES_cell-derived_neural_precursor: 0.44, Chondrocytes:MSC-derived: 0.41, iPS_cells:CRL2097_foreskin-derived:d20_hepatic_diff: 0.41, Gametocytes:oocyte: 0.38, iPS_cells:PDB_2lox-17: 0.38, iPS_cells:PDB_1lox-17Puro-10: 0.37, Embryonic_stem_cells: 0.37, iPS_cells:adipose_stem_cell-derived:lentiviral: 0.36 |
X72_TTGTTGTGTAGCTCGC | Neuroepithelial_cell:ESC-derived | 0.33 | 715.95 | Raw ScoresNeuroepithelial_cell:ESC-derived: 0.68, Neurons:ES_cell-derived_neural_precursor: 0.68, MSC: 0.65, Chondrocytes:MSC-derived: 0.64, Gametocytes:oocyte: 0.63, iPS_cells:CRL2097_foreskin-derived:d20_hepatic_diff: 0.6, iPS_cells:PDB_2lox-17: 0.59, Erythroblast: 0.59, Embryonic_stem_cells: 0.58, Neurons:adrenal_medulla_cell_line: 0.55 |
X71_GATCAGTTCTAGAACC | Neuroepithelial_cell:ESC-derived | 0.30 | 712.31 | Raw ScoresNeuroepithelial_cell:ESC-derived: 0.67, Neurons:ES_cell-derived_neural_precursor: 0.64, Keratinocytes: 0.62, Keratinocytes:IL26: 0.61, MSC: 0.61, Chondrocytes:MSC-derived: 0.59, Keratinocytes:IL20: 0.59, Keratinocytes:IFNg: 0.59, Keratinocytes:KGF: 0.59, Embryonic_stem_cells: 0.58 |
X72_TTCCGTGTCAACTCTT | Neuroepithelial_cell:ESC-derived | 0.37 | 712.12 | Raw ScoresNeuroepithelial_cell:ESC-derived: 0.76, Neurons:ES_cell-derived_neural_precursor: 0.76, iPS_cells:CRL2097_foreskin-derived:d20_hepatic_diff: 0.74, MSC: 0.74, Embryonic_stem_cells: 0.72, Keratinocytes: 0.68, Fibroblasts:breast: 0.68, Keratinocytes:IL26: 0.68, iPS_cells:adipose_stem_cells: 0.68, Chondrocytes:MSC-derived: 0.66 |
X72_TCAATTCGTCCAGAAG | Neuroepithelial_cell:ESC-derived | 0.38 | 697.91 | Raw ScoresNeuroepithelial_cell:ESC-derived: 0.76, Neurons:ES_cell-derived_neural_precursor: 0.76, iPS_cells:CRL2097_foreskin-derived:d20_hepatic_diff: 0.74, MSC: 0.73, Embryonic_stem_cells: 0.73, Fibroblasts:breast: 0.68, Keratinocytes: 0.68, Keratinocytes:IL26: 0.68, iPS_cells:adipose_stem_cells: 0.68, Keratinocytes:KGF: 0.67 |
X72_ACGTACAGTGCTATTG | Neuroepithelial_cell:ESC-derived | 0.33 | 681.77 | Raw ScoresNeuroepithelial_cell:ESC-derived: 0.68, Neurons:ES_cell-derived_neural_precursor: 0.68, MSC: 0.65, Chondrocytes:MSC-derived: 0.64, Gametocytes:oocyte: 0.63, iPS_cells:CRL2097_foreskin-derived:d20_hepatic_diff: 0.6, iPS_cells:PDB_2lox-17: 0.59, Erythroblast: 0.59, Embryonic_stem_cells: 0.58, Neurons:adrenal_medulla_cell_line: 0.55 |
X71_GGTGGCTGTTCTTAGG | Neuroepithelial_cell:ESC-derived | 0.33 | 677.31 | Raw ScoresNeuroepithelial_cell:ESC-derived: 0.68, Neurons:ES_cell-derived_neural_precursor: 0.68, MSC: 0.65, Chondrocytes:MSC-derived: 0.64, Gametocytes:oocyte: 0.63, iPS_cells:CRL2097_foreskin-derived:d20_hepatic_diff: 0.6, iPS_cells:PDB_2lox-17: 0.59, Erythroblast: 0.59, Embryonic_stem_cells: 0.58, Neurons:adrenal_medulla_cell_line: 0.55 |
X72_GAACGTTAGTAGACAT | Neuroepithelial_cell:ESC-derived | 0.37 | 657.37 | Raw ScoresNeuroepithelial_cell:ESC-derived: 0.76, Neurons:ES_cell-derived_neural_precursor: 0.76, iPS_cells:CRL2097_foreskin-derived:d20_hepatic_diff: 0.74, MSC: 0.74, Embryonic_stem_cells: 0.72, Keratinocytes: 0.68, Fibroblasts:breast: 0.68, Keratinocytes:IL26: 0.68, iPS_cells:adipose_stem_cells: 0.68, Chondrocytes:MSC-derived: 0.66 |
X71_GTATTTCTCCGCAAAT | Neurons:ES_cell-derived_neural_precursor | 0.40 | 652.16 | Raw ScoresNeurons:ES_cell-derived_neural_precursor: 0.68, iPS_cells:CRL2097_foreskin-derived:d20_hepatic_diff: 0.68, Neuroepithelial_cell:ESC-derived: 0.65, Embryonic_stem_cells: 0.65, Keratinocytes:KGF: 0.64, iPS_cells:adipose_stem_cells: 0.64, iPS_cells:fibroblast-derived:Direct_del._reprog: 0.64, Keratinocytes:IL26: 0.63, Fibroblasts:breast: 0.63, Keratinocytes: 0.63 |
X72_CTGAGCGCAGACCCGT | iPS_cells:CRL2097_foreskin-derived:d20_hepatic_diff | 0.40 | 650.82 | Raw ScoresiPS_cells:CRL2097_foreskin-derived:d20_hepatic_diff: 0.68, Neurons:ES_cell-derived_neural_precursor: 0.68, Keratinocytes:KGF: 0.65, iPS_cells:adipose_stem_cells: 0.65, iPS_cells:fibroblast-derived:Direct_del._reprog: 0.65, Fibroblasts:breast: 0.65, Keratinocytes: 0.65, Keratinocytes:IL19: 0.65, Keratinocytes:IL20: 0.65, Keratinocytes:IL22: 0.65 |
X72_ATTTACCCAACTGCCG | iPS_cells:CRL2097_foreskin-derived:d20_hepatic_diff | 0.38 | 649.18 | Raw ScoresiPS_cells:CRL2097_foreskin-derived:d20_hepatic_diff: 0.75, Neuroepithelial_cell:ESC-derived: 0.75, Neurons:ES_cell-derived_neural_precursor: 0.75, Embryonic_stem_cells: 0.74, MSC: 0.72, Keratinocytes: 0.7, Keratinocytes:IL26: 0.7, Fibroblasts:breast: 0.7, iPS_cells:adipose_stem_cells: 0.7, Astrocyte:Embryonic_stem_cell-derived: 0.68 |
X72_TTTCAGTAGAATGTTG | Neuroepithelial_cell:ESC-derived | 0.35 | 648.03 | Raw ScoresNeuroepithelial_cell:ESC-derived: 0.58, Neurons:ES_cell-derived_neural_precursor: 0.58, Erythroblast: 0.57, Gametocytes:oocyte: 0.57, MSC: 0.57, Chondrocytes:MSC-derived: 0.54, iPS_cells:CRL2097_foreskin-derived:d20_hepatic_diff: 0.54, Keratinocytes:KGF: 0.5, Neurons:adrenal_medulla_cell_line: 0.5, iPS_cells:adipose_stem_cells: 0.5 |
X72_ACGTCCTCACGACGAA | Neuroepithelial_cell:ESC-derived | 0.35 | 647.90 | Raw ScoresNeuroepithelial_cell:ESC-derived: 0.58, Neurons:ES_cell-derived_neural_precursor: 0.58, Erythroblast: 0.57, Gametocytes:oocyte: 0.57, MSC: 0.57, Chondrocytes:MSC-derived: 0.54, iPS_cells:CRL2097_foreskin-derived:d20_hepatic_diff: 0.54, Keratinocytes:KGF: 0.5, Neurons:adrenal_medulla_cell_line: 0.5, iPS_cells:adipose_stem_cells: 0.5 |
X72_AGAAATGGTGACGCCT | Neuroepithelial_cell:ESC-derived | 0.38 | 638.88 | Raw ScoresNeuroepithelial_cell:ESC-derived: 0.76, Neurons:ES_cell-derived_neural_precursor: 0.75, iPS_cells:CRL2097_foreskin-derived:d20_hepatic_diff: 0.74, MSC: 0.74, Embryonic_stem_cells: 0.72, Fibroblasts:breast: 0.68, Keratinocytes: 0.68, Keratinocytes:IL26: 0.68, iPS_cells:adipose_stem_cells: 0.67, Astrocyte:Embryonic_stem_cell-derived: 0.66 |
X71_AGTAGTCCAATGGGTG | Neuroepithelial_cell:ESC-derived | 0.35 | 630.85 | Raw ScoresNeuroepithelial_cell:ESC-derived: 0.58, Neurons:ES_cell-derived_neural_precursor: 0.58, Erythroblast: 0.57, Gametocytes:oocyte: 0.57, MSC: 0.57, Chondrocytes:MSC-derived: 0.54, iPS_cells:CRL2097_foreskin-derived:d20_hepatic_diff: 0.54, Keratinocytes:KGF: 0.5, Neurons:adrenal_medulla_cell_line: 0.5, iPS_cells:adipose_stem_cells: 0.5 |
X72_TCGTAGACAATCTCGA | iPS_cells:CRL2097_foreskin-derived:d20_hepatic_diff | 0.41 | 630.59 | Raw ScoresiPS_cells:CRL2097_foreskin-derived:d20_hepatic_diff: 0.64, Neuroepithelial_cell:ESC-derived: 0.62, Neurons:ES_cell-derived_neural_precursor: 0.62, Astrocyte:Embryonic_stem_cell-derived: 0.61, Embryonic_stem_cells: 0.61, Fibroblasts:breast: 0.61, Keratinocytes: 0.61, Keratinocytes:IL26: 0.61, iPS_cells:adipose_stem_cells: 0.6, Keratinocytes:KGF: 0.58 |
X71_GAATAGAGTTTACTTC | iPS_cells:adipose_stem_cells | 0.41 | 629.65 | Raw ScoresiPS_cells:adipose_stem_cells: 0.75, Fibroblasts:breast: 0.74, Chondrocytes:MSC-derived: 0.68, Neurons:ES_cell-derived_neural_precursor: 0.65, MSC: 0.63, Tissue_stem_cells:BM_MSC:TGFb3: 0.63, Smooth_muscle_cells:vascular: 0.63, Smooth_muscle_cells:vascular:IL-17: 0.61, Neuroepithelial_cell:ESC-derived: 0.6, Embryonic_stem_cells: 0.59 |
Below shows the significant enrichments of this GEP for literature curated gene lists
This data was procured from existing single cell RNA-seq maps of neuroblastoma or related relevant data.
High ranks indicate this gene is a driver of this GEP.
These curated gene list are ranked by the P-value (on this GEP) of their constituent genes.
The Mean Count column shows the mean read count in cells scoring highly (H > 50) on this gene expression program.
Genes | Weight | Rank | GTEx | DepMap | Decartes | Mean.Counts | Mean.TPM |
---|---|---|---|---|---|---|---|
COL17A1 | 0.0026180 | 64 | GTEx | DepMap | Descartes | 2.40 | 7.13 |
LAMA3 | 0.0018566 | 183 | GTEx | DepMap | Descartes | 0.69 | 0.46 |
LAMB3 | 0.0013322 | 336 | GTEx | DepMap | Descartes | 0.34 | 0.47 |
JUP | 0.0005934 | 1016 | GTEx | DepMap | Descartes | 2.66 | 11.43 |
ITGA2 | 0.0004670 | 1343 | GTEx | DepMap | Descartes | 0.14 | 0.20 |
Adrenal Premordium (Hanemaaijer)
Marker genes obtained from Supplementary Table SD of Hanemaaijer et al (PMID 33500353). The authors generated single-cell RNA-seq data (sort-seq, 2,229 cells total) from mouse adrenal glads at E13.5, E14.5, E17.5, E18.5, P1 and P5. These were marker genes that matched with a similar dataset generated by Furlan et al (PMID 28684471). This particular set of markers are for the Adrenal Premordium subcluster, which is part of the Cortex cluster.:
Wilcoxon ranksum test P-value for gene set overrepresentation: 1.64e-04
Mean rank of genes in gene set: 703
Rank on gene expression program of genes in gene set:
Genes | Weight | Rank | GTEx | DepMap | Decartes | Mean.Counts | Mean.TPM |
---|---|---|---|---|---|---|---|
RPS2 | 0.0035785 | 20 | GTEx | DepMap | Descartes | 90.52 | 3353.94 |
NPM1 | 0.0024341 | 87 | GTEx | DepMap | Descartes | 67.98 | 917.92 |
MIF | 0.0007320 | 770 | GTEx | DepMap | Descartes | 26.67 | 4604.17 |
TK1 | 0.0006515 | 906 | GTEx | DepMap | Descartes | 2.34 | 30.80 |
TPI1 | 0.0003649 | 1732 | GTEx | DepMap | Descartes | 12.47 | 524.15 |
Translation (Dong)
Markers obtained in computationally inferred meta program (by NMF applied to their neuroblastoma sc-RNA-seq data) from Fig. 5(a) of Dong et al. (PMID 32946775).:
Wilcoxon ranksum test P-value for gene set overrepresentation: 6.41e-03
Mean rank of genes in gene set: 1648.67
Rank on gene expression program of genes in gene set:
Genes | Weight | Rank | GTEx | DepMap | Decartes | Mean.Counts | Mean.TPM |
---|---|---|---|---|---|---|---|
EIF3L | 0.0005112 | 1201 | GTEx | DepMap | Descartes | 5.29 | 39.62 |
EIF3E | 0.0003666 | 1726 | GTEx | DepMap | Descartes | 9.74 | 45.67 |
EIF3F | 0.0003127 | 2019 | GTEx | DepMap | Descartes | 20.06 | 366.71 |
Below shows ranks on this GEP for literature curated gene lists for large gene sets
These include those reported as mesenchymal/adrenergic by Van Groningen et al.
High ranks indicate this gene is a driver of this GEP (note these results are not ordered).
The Mean Count column shows the mean read count in cells scoring highly (H > 50) on this gene expression program.
VanGroningen Adrenergic Genes
Adrenergic marker genes from Supplementary Table 2 of Van Groningen et al. Nature Genetics 2017. These genes were identified by differential expression analysis of mesenchymal-like and adrenergic-like neuroblastoma cell lines.
Wilcoxon ranksum test P-value for gene set overrepresentation: 1.00e+00
Mean rank of genes in gene set: 14239.46
Median rank of genes in gene set: 17099
Rank on gene expression program of top 30 genes in gene set:
Genes | Weight | Rank | GTEx | DepMap | Descartes | Mean.Counts | Mean.TPM |
---|---|---|---|---|---|---|---|
TFAP2B | 0.0024454 | 84 | GTEx | DepMap | Descartes | 10.13 | 55.27 |
HMGA1 | 0.0022118 | 121 | GTEx | DepMap | Descartes | 1.66 | 32.31 |
BMP7 | 0.0022018 | 122 | GTEx | DepMap | Descartes | 2.86 | 6.80 |
RBBP8 | 0.0021382 | 129 | GTEx | DepMap | Descartes | 2.28 | 3.02 |
SATB1 | 0.0020096 | 153 | GTEx | DepMap | Descartes | 3.05 | 4.60 |
NET1 | 0.0015786 | 241 | GTEx | DepMap | Descartes | 2.67 | 10.59 |
GATA3 | 0.0015089 | 262 | GTEx | DepMap | Descartes | 2.20 | 10.48 |
PTS | 0.0014180 | 296 | GTEx | DepMap | Descartes | 1.69 | 32.73 |
MCM2 | 0.0010799 | 445 | GTEx | DepMap | Descartes | 1.88 | 17.21 |
GMNN | 0.0009946 | 494 | GTEx | DepMap | Descartes | 2.94 | 40.46 |
DTD1 | 0.0009329 | 545 | GTEx | DepMap | Descartes | 1.36 | 1.19 |
PDK1 | 0.0009239 | 550 | GTEx | DepMap | Descartes | 1.23 | 6.16 |
LSM4 | 0.0009134 | 558 | GTEx | DepMap | Descartes | 8.45 | 229.58 |
KIF21A | 0.0008925 | 584 | GTEx | DepMap | Descartes | 3.37 | 4.42 |
MCM6 | 0.0008738 | 610 | GTEx | DepMap | Descartes | 2.75 | 14.38 |
RANBP1 | 0.0007654 | 722 | GTEx | DepMap | Descartes | 14.76 | 215.93 |
ACVR1B | 0.0007216 | 786 | GTEx | DepMap | Descartes | 0.52 | 1.80 |
MSH6 | 0.0007113 | 801 | GTEx | DepMap | Descartes | 1.12 | 9.61 |
CETN3 | 0.0006838 | 840 | GTEx | DepMap | Descartes | 4.04 | 38.03 |
UCP2 | 0.0006838 | 841 | GTEx | DepMap | Descartes | 2.47 | 47.28 |
NUDT11 | 0.0006390 | 922 | GTEx | DepMap | Descartes | 0.77 | 15.00 |
OLFM1 | 0.0006002 | 1000 | GTEx | DepMap | Descartes | 4.32 | 19.21 |
BMPR1B | 0.0005725 | 1064 | GTEx | DepMap | Descartes | 0.43 | 0.19 |
RRM2 | 0.0005334 | 1140 | GTEx | DepMap | Descartes | 3.24 | 73.59 |
HK2 | 0.0004978 | 1248 | GTEx | DepMap | Descartes | 0.65 | 1.84 |
DNAJC9 | 0.0004495 | 1407 | GTEx | DepMap | Descartes | 3.26 | 107.09 |
TRAP1 | 0.0004182 | 1515 | GTEx | DepMap | Descartes | 1.38 | 5.55 |
LSM3 | 0.0004062 | 1568 | GTEx | DepMap | Descartes | 4.49 | 90.08 |
FIGNL1 | 0.0004061 | 1569 | GTEx | DepMap | Descartes | 0.80 | 4.54 |
FAM60A | 0.0003886 | 1639 | GTEx | DepMap | Descartes | 2.57 | NA |
VanGroningen Mesenchymal Genes
Mesenchymal marker genes from Supplementary Table 2 of Van Groningen et al. Nature Genetics 2017. These genes were identified by differential expression analysis of mesenchymal-like and adrenergic-like neuroblastoma cell lines.
Wilcoxon ranksum test P-value for gene set overrepresentation: 1.00e+00
Mean rank of genes in gene set: 12168.56
Median rank of genes in gene set: 14731
Rank on gene expression program of top 30 genes in gene set:
Genes | Weight | Rank | GTEx | DepMap | Descartes | Mean.Counts | Mean.TPM |
---|---|---|---|---|---|---|---|
PDLIM1 | 0.0036480 | 17 | GTEx | DepMap | Descartes | 5.60 | 16.78 |
IFITM3 | 0.0033358 | 25 | GTEx | DepMap | Descartes | 8.74 | 1206.57 |
SVIL | 0.0027190 | 52 | GTEx | DepMap | Descartes | 5.26 | 3.75 |
ANXA2 | 0.0025804 | 69 | GTEx | DepMap | Descartes | 16.82 | 65.29 |
AJUBA | 0.0025627 | 73 | GTEx | DepMap | Descartes | 2.20 | 35.33 |
WLS | 0.0023614 | 95 | GTEx | DepMap | Descartes | 6.67 | 10.40 |
PTPN14 | 0.0023590 | 96 | GTEx | DepMap | Descartes | 2.31 | 2.31 |
SOSTDC1 | 0.0022951 | 110 | GTEx | DepMap | Descartes | 6.73 | 290.00 |
ELF1 | 0.0016652 | 221 | GTEx | DepMap | Descartes | 2.03 | 2.90 |
SDC4 | 0.0016592 | 222 | GTEx | DepMap | Descartes | 2.74 | 21.24 |
PDGFC | 0.0015896 | 236 | GTEx | DepMap | Descartes | 2.02 | 1.74 |
SEMA3F | 0.0014633 | 278 | GTEx | DepMap | Descartes | 1.82 | 10.36 |
LUZP1 | 0.0014137 | 299 | GTEx | DepMap | Descartes | 3.29 | 5.40 |
EHD2 | 0.0013665 | 317 | GTEx | DepMap | Descartes | 0.92 | 6.90 |
YAP1 | 0.0013274 | 339 | GTEx | DepMap | Descartes | 2.16 | 4.09 |
SUCLG2 | 0.0013237 | 340 | GTEx | DepMap | Descartes | 2.21 | 1.20 |
EGFR | 0.0012226 | 377 | GTEx | DepMap | Descartes | 1.40 | 1.22 |
GAS1 | 0.0011695 | 404 | GTEx | DepMap | Descartes | 6.36 | 295.22 |
GJA1 | 0.0011381 | 416 | GTEx | DepMap | Descartes | 5.66 | 31.51 |
MYL12A | 0.0011012 | 432 | GTEx | DepMap | Descartes | 9.33 | 130.61 |
PHLDA3 | 0.0010828 | 444 | GTEx | DepMap | Descartes | 1.93 | 103.97 |
IL13RA1 | 0.0010700 | 448 | GTEx | DepMap | Descartes | 0.33 | 0.94 |
DUSP14 | 0.0010666 | 449 | GTEx | DepMap | Descartes | 0.60 | 4.07 |
PTBP1 | 0.0010475 | 460 | GTEx | DepMap | Descartes | 6.42 | 93.10 |
ABRACL | 0.0010285 | 472 | GTEx | DepMap | Descartes | 5.80 | 63.95 |
ITM2B | 0.0009444 | 534 | GTEx | DepMap | Descartes | 14.22 | 93.32 |
CD164 | 0.0009388 | 538 | GTEx | DepMap | Descartes | 2.42 | 28.01 |
MBD2 | 0.0008764 | 602 | GTEx | DepMap | Descartes | 2.54 | 6.21 |
HES1 | 0.0008759 | 603 | GTEx | DepMap | Descartes | 2.48 | 94.47 |
TWSG1 | 0.0008748 | 606 | GTEx | DepMap | Descartes | 1.39 | 6.87 |
Descartes adrenocortical markers
Top 50 marker genes of adrenocortical cells in the Decartes fetal adrenal single cell map (https://atlas.brotmanbaty.org/bbi/human-gene-expression-during-development/cell/adrenocortical/in/adrenal)
Wilcoxon ranksum test P-value for gene set overrepresentation: 8.26e-01
Mean rank of genes in gene set: 10471.19
Median rank of genes in gene set: 12931.5
Rank on gene expression program of top 30 genes in gene set:
Genes | Weight | Rank | GTEx | DepMap | Descartes | Mean.Counts | Mean.TPM |
---|---|---|---|---|---|---|---|
HSPE1 | 0.0026935 | 56 | GTEx | DepMap | Descartes | 26.60 | 1213.63 |
FREM2 | 0.0019853 | 160 | GTEx | DepMap | Descartes | 1.61 | 1.54 |
APOC1 | 0.0015866 | 237 | GTEx | DepMap | Descartes | 0.91 | 45.02 |
HSPD1 | 0.0014882 | 271 | GTEx | DepMap | Descartes | 16.14 | 228.58 |
GSTA4 | 0.0004274 | 1475 | GTEx | DepMap | Descartes | 3.11 | 17.17 |
CYB5B | 0.0004240 | 1491 | GTEx | DepMap | Descartes | 1.34 | 4.80 |
DHCR24 | 0.0003374 | 1874 | GTEx | DepMap | Descartes | 1.25 | 6.41 |
SCAP | 0.0003324 | 1905 | GTEx | DepMap | Descartes | 0.70 | 2.09 |
ERN1 | 0.0002937 | 2132 | GTEx | DepMap | Descartes | 0.14 | 0.22 |
SCARB1 | 0.0002277 | 2575 | GTEx | DepMap | Descartes | 0.37 | 0.82 |
BAIAP2L1 | 0.0001365 | 3528 | GTEx | DepMap | Descartes | 0.17 | 0.25 |
FDX1 | 0.0001297 | 3611 | GTEx | DepMap | Descartes | 1.20 | 7.72 |
INHA | 0.0001225 | 3731 | GTEx | DepMap | Descartes | 0.26 | 12.96 |
CLU | 0.0000771 | 4435 | GTEx | DepMap | Descartes | 0.43 | 5.33 |
CYP17A1 | 0.0000104 | 5988 | GTEx | DepMap | Descartes | 0.00 | 0.02 |
LDLR | -0.0000004 | 6367 | GTEx | DepMap | Descartes | 0.46 | 2.45 |
SH3PXD2B | -0.0000601 | 9592 | GTEx | DepMap | Descartes | 0.61 | 0.99 |
CYP11B1 | -0.0000670 | 9995 | GTEx | DepMap | Descartes | 0.00 | 0.00 |
STAR | -0.0000703 | 10157 | GTEx | DepMap | Descartes | 0.01 | 0.21 |
CYP11A1 | -0.0001018 | 11554 | GTEx | DepMap | Descartes | 0.00 | 0.00 |
MC2R | -0.0001428 | 12862 | GTEx | DepMap | Descartes | 0.00 | 0.01 |
DHCR7 | -0.0001478 | 13001 | GTEx | DepMap | Descartes | 0.61 | 3.65 |
FDXR | -0.0001546 | 13169 | GTEx | DepMap | Descartes | 0.29 | 5.10 |
SLC16A9 | -0.0001564 | 13205 | GTEx | DepMap | Descartes | 0.01 | 0.03 |
TM7SF2 | -0.0001604 | 13305 | GTEx | DepMap | Descartes | 0.19 | 4.23 |
SGCZ | -0.0001915 | 14026 | GTEx | DepMap | Descartes | 0.01 | 0.00 |
NPC1 | -0.0002228 | 14632 | GTEx | DepMap | Descartes | 0.43 | 1.32 |
PDE10A | -0.0002264 | 14710 | GTEx | DepMap | Descartes | 0.32 | 0.10 |
GRAMD1B | -0.0003068 | 15926 | GTEx | DepMap | Descartes | 0.06 | 0.03 |
MSMO1 | -0.0003581 | 16584 | GTEx | DepMap | Descartes | 1.25 | 12.13 |
Descartes chromaffin markers
Top 50 marker genes of chromaffin cells in the Decartes fetal adrenal single cell map (https://atlas.brotmanbaty.org/bbi/human-gene-expression-during-development/cell/chromaffin/in/adrenal)
Wilcoxon ranksum test P-value for gene set overrepresentation: 1.00e+00
Mean rank of genes in gene set: 15939.27
Median rank of genes in gene set: 17490
Rank on gene expression program of top 30 genes in gene set:
Genes | Weight | Rank | GTEx | DepMap | Descartes | Mean.Counts | Mean.TPM |
---|---|---|---|---|---|---|---|
RGMB | 0.0005988 | 1004 | GTEx | DepMap | Descartes | 0.90 | 4.40 |
SYNPO2 | 0.0000042 | 6210 | GTEx | DepMap | Descartes | 0.42 | 0.34 |
IL7 | -0.0000451 | 8732 | GTEx | DepMap | Descartes | 0.00 | 0.00 |
EPHA6 | -0.0000645 | 9853 | GTEx | DepMap | Descartes | 0.00 | 0.00 |
ALK | -0.0000647 | 9865 | GTEx | DepMap | Descartes | 0.00 | 0.00 |
ANKFN1 | -0.0000652 | 9886 | GTEx | DepMap | Descartes | 0.00 | 0.00 |
SLC44A5 | -0.0001035 | 11609 | GTEx | DepMap | Descartes | 0.01 | 0.00 |
CNKSR2 | -0.0001051 | 11667 | GTEx | DepMap | Descartes | 0.31 | 0.20 |
RYR2 | -0.0001581 | 13248 | GTEx | DepMap | Descartes | 0.04 | 0.01 |
PTCHD1 | -0.0001686 | 13508 | GTEx | DepMap | Descartes | 0.02 | 0.02 |
SLC6A2 | -0.0001780 | 13724 | GTEx | DepMap | Descartes | 0.01 | 0.04 |
HMX1 | -0.0002182 | 14542 | GTEx | DepMap | Descartes | 0.04 | 0.32 |
RPH3A | -0.0002262 | 14704 | GTEx | DepMap | Descartes | 0.01 | 0.01 |
GREM1 | -0.0002863 | 15636 | GTEx | DepMap | Descartes | 0.02 | 0.19 |
GAL | -0.0003272 | 16194 | GTEx | DepMap | Descartes | 0.18 | 3.33 |
PRPH | -0.0003380 | 16337 | GTEx | DepMap | Descartes | 0.96 | 20.54 |
EYA4 | -0.0003389 | 16354 | GTEx | DepMap | Descartes | 0.03 | 0.01 |
HS3ST5 | -0.0003389 | 16356 | GTEx | DepMap | Descartes | 0.03 | 0.01 |
NTRK1 | -0.0003526 | 16514 | GTEx | DepMap | Descartes | 0.27 | 1.58 |
MARCH11 | -0.0003917 | 16948 | GTEx | DepMap | Descartes | 0.03 | 0.02 |
NPY | -0.0004108 | 17136 | GTEx | DepMap | Descartes | 0.31 | 7.46 |
KCNB2 | -0.0004332 | 17346 | GTEx | DepMap | Descartes | 0.06 | 0.02 |
EYA1 | -0.0004720 | 17634 | GTEx | DepMap | Descartes | 0.23 | 0.23 |
CCND1 | -0.0005318 | 18009 | GTEx | DepMap | Descartes | 2.60 | 30.85 |
TMEM132C | -0.0005541 | 18107 | GTEx | DepMap | Descartes | 0.12 | 0.04 |
FAT3 | -0.0006010 | 18335 | GTEx | DepMap | Descartes | 0.15 | 0.03 |
PLXNA4 | -0.0006461 | 18505 | GTEx | DepMap | Descartes | 0.17 | 0.03 |
TMEFF2 | -0.0006635 | 18570 | GTEx | DepMap | Descartes | 0.17 | 0.06 |
REEP1 | -0.0006722 | 18598 | GTEx | DepMap | Descartes | 0.16 | 0.14 |
MAB21L2 | -0.0007062 | 18693 | GTEx | DepMap | Descartes | 0.14 | 4.39 |
Descartes Vascular_endothelial markers
Top 50 marker genes of Vascular_endothelial cells in the Decartes fetal adrenal single cell map (https://atlas.brotmanbaty.org/bbi/human-gene-expression-during-development/cell/vascular_endothelial/in/adrenal)
Wilcoxon ranksum test P-value for gene set overrepresentation: 9.58e-01
Mean rank of genes in gene set: 11130.77
Median rank of genes in gene set: 12152
Rank on gene expression program of top 30 genes in gene set:
Genes | Weight | Rank | GTEx | DepMap | Descartes | Mean.Counts | Mean.TPM |
---|---|---|---|---|---|---|---|
IRX3 | 0.0010586 | 455 | GTEx | DepMap | Descartes | 0.89 | 42.74 |
HYAL2 | 0.0007003 | 815 | GTEx | DepMap | Descartes | 1.68 | 51.55 |
EFNB2 | 0.0006834 | 842 | GTEx | DepMap | Descartes | 1.56 | 4.87 |
CDH13 | 0.0006027 | 998 | GTEx | DepMap | Descartes | 1.24 | 0.21 |
PODXL | 0.0000574 | 4835 | GTEx | DepMap | Descartes | 0.35 | 0.93 |
DNASE1L3 | 0.0000326 | 5410 | GTEx | DepMap | Descartes | 0.00 | 0.02 |
F8 | 0.0000013 | 6317 | GTEx | DepMap | Descartes | 0.04 | 0.02 |
BTNL9 | -0.0000236 | 7459 | GTEx | DepMap | Descartes | 0.00 | 0.01 |
GALNT15 | -0.0000390 | 8378 | GTEx | DepMap | Descartes | 0.00 | 0.00 |
ARHGAP29 | -0.0000428 | 8596 | GTEx | DepMap | Descartes | 1.59 | 3.01 |
CEACAM1 | -0.0000547 | 9270 | GTEx | DepMap | Descartes | 0.00 | 0.01 |
FCGR2B | -0.0000598 | 9578 | GTEx | DepMap | Descartes | 0.00 | 0.00 |
CRHBP | -0.0000690 | 10091 | GTEx | DepMap | Descartes | 0.00 | 0.06 |
ECSCR | -0.0000780 | 10531 | GTEx | DepMap | Descartes | 0.06 | 0.85 |
FLT4 | -0.0000855 | 10882 | GTEx | DepMap | Descartes | 0.01 | 0.02 |
TMEM88 | -0.0000891 | 11047 | GTEx | DepMap | Descartes | 0.14 | 9.22 |
MYRIP | -0.0000934 | 11239 | GTEx | DepMap | Descartes | 0.01 | 0.00 |
SOX18 | -0.0000938 | 11254 | GTEx | DepMap | Descartes | 0.00 | 0.19 |
PTPRB | -0.0001037 | 11616 | GTEx | DepMap | Descartes | 0.01 | 0.00 |
ROBO4 | -0.0001076 | 11748 | GTEx | DepMap | Descartes | 0.00 | 0.03 |
CLDN5 | -0.0001183 | 12119 | GTEx | DepMap | Descartes | 0.01 | 2.13 |
NR5A2 | -0.0001192 | 12152 | GTEx | DepMap | Descartes | 0.00 | 0.00 |
SHANK3 | -0.0001201 | 12178 | GTEx | DepMap | Descartes | 0.02 | 0.04 |
ESM1 | -0.0001206 | 12198 | GTEx | DepMap | Descartes | 0.00 | 0.01 |
TIE1 | -0.0001231 | 12282 | GTEx | DepMap | Descartes | 0.00 | 0.05 |
SLCO2A1 | -0.0001260 | 12365 | GTEx | DepMap | Descartes | 0.03 | 0.04 |
SHE | -0.0001527 | 13131 | GTEx | DepMap | Descartes | 0.00 | 0.03 |
MMRN2 | -0.0001532 | 13141 | GTEx | DepMap | Descartes | 0.01 | 0.03 |
CDH5 | -0.0001545 | 13168 | GTEx | DepMap | Descartes | 0.01 | 0.02 |
NPR1 | -0.0001633 | 13389 | GTEx | DepMap | Descartes | 0.01 | 0.08 |
Descartes stromal markers
Top 50 marker genes of stromal cells in the Decartes fetal adrenal single cell map (https://atlas.brotmanbaty.org/bbi/human-gene-expression-during-development/cell/stromal/in/adrenal)
Wilcoxon ranksum test P-value for gene set overrepresentation: 1.00e+00
Mean rank of genes in gene set: 15169.52
Median rank of genes in gene set: 16902
Rank on gene expression program of top 30 genes in gene set:
Genes | Weight | Rank | GTEx | DepMap | Descartes | Mean.Counts | Mean.TPM |
---|---|---|---|---|---|---|---|
DCN | 0.0006259 | 947 | GTEx | DepMap | Descartes | 5.52 | 23.32 |
GLI2 | 0.0003399 | 1856 | GTEx | DepMap | Descartes | 0.37 | 0.21 |
COL12A1 | 0.0000253 | 5580 | GTEx | DepMap | Descartes | 1.37 | 1.53 |
POSTN | -0.0000002 | 6363 | GTEx | DepMap | Descartes | 3.06 | 13.06 |
SULT1E1 | -0.0000270 | 7663 | GTEx | DepMap | Descartes | 0.00 | 0.00 |
FREM1 | -0.0000317 | 7946 | GTEx | DepMap | Descartes | 0.24 | 0.20 |
C7 | -0.0000693 | 10099 | GTEx | DepMap | Descartes | 0.00 | 0.00 |
FNDC1 | -0.0000946 | 11285 | GTEx | DepMap | Descartes | 0.05 | 0.07 |
ABCA6 | -0.0001228 | 12273 | GTEx | DepMap | Descartes | 0.00 | 0.01 |
LAMC3 | -0.0001459 | 12949 | GTEx | DepMap | Descartes | 0.00 | 0.01 |
ADAMTSL3 | -0.0001660 | 13450 | GTEx | DepMap | Descartes | 0.01 | 0.00 |
ITGA11 | -0.0001884 | 13976 | GTEx | DepMap | Descartes | 0.01 | 0.02 |
ELN | -0.0001964 | 14140 | GTEx | DepMap | Descartes | 0.23 | 0.68 |
SCARA5 | -0.0002050 | 14322 | GTEx | DepMap | Descartes | 0.02 | 0.02 |
ABCC9 | -0.0002095 | 14407 | GTEx | DepMap | Descartes | 0.04 | 0.03 |
RSPO3 | -0.0002612 | 15292 | GTEx | DepMap | Descartes | 0.72 | 1.05 |
ADAMTS2 | -0.0002700 | 15418 | GTEx | DepMap | Descartes | 0.07 | 0.03 |
COL27A1 | -0.0002903 | 15694 | GTEx | DepMap | Descartes | 0.85 | 0.94 |
PAMR1 | -0.0003080 | 15941 | GTEx | DepMap | Descartes | 0.05 | 0.05 |
HHIP | -0.0003164 | 16050 | GTEx | DepMap | Descartes | 0.04 | 0.04 |
PCDH18 | -0.0003388 | 16353 | GTEx | DepMap | Descartes | 0.79 | 8.02 |
CLDN11 | -0.0003620 | 16626 | GTEx | DepMap | Descartes | 0.09 | 0.86 |
ACTA2 | -0.0003828 | 16859 | GTEx | DepMap | Descartes | 1.17 | 7.62 |
PRICKLE1 | -0.0003914 | 16945 | GTEx | DepMap | Descartes | 0.28 | 0.42 |
DKK2 | -0.0004183 | 17213 | GTEx | DepMap | Descartes | 0.25 | 0.21 |
SFRP2 | -0.0004337 | 17351 | GTEx | DepMap | Descartes | 1.47 | 23.45 |
OGN | -0.0004495 | 17458 | GTEx | DepMap | Descartes | 0.40 | 2.69 |
IGFBP3 | -0.0004523 | 17481 | GTEx | DepMap | Descartes | 0.60 | 8.43 |
CCDC80 | -0.0004856 | 17736 | GTEx | DepMap | Descartes | 0.28 | 1.01 |
LOX | -0.0004879 | 17751 | GTEx | DepMap | Descartes | 0.24 | 1.69 |
Descartes sympathoblasts markers
Top 50 marker genes of sympathoblasts cells in the Decartes fetal adrenal single cell map (https://atlas.brotmanbaty.org/bbi/human-gene-expression-during-development/cell/sympathoblasts/in/adrenal)
Wilcoxon ranksum test P-value for gene set overrepresentation: 1.00e+00
Mean rank of genes in gene set: 13874
Median rank of genes in gene set: 15316.5
Rank on gene expression program of top 30 genes in gene set:
Genes | Weight | Rank | GTEx | DepMap | Descartes | Mean.Counts | Mean.TPM |
---|---|---|---|---|---|---|---|
LAMA3 | 0.0018566 | 183 | GTEx | DepMap | Descartes | 0.69 | 0.46 |
TIAM1 | 0.0003589 | 1763 | GTEx | DepMap | Descartes | 1.18 | 0.42 |
NTNG1 | 0.0000915 | 4201 | GTEx | DepMap | Descartes | 0.64 | 0.28 |
PNMT | -0.0000032 | 6483 | GTEx | DepMap | Descartes | 0.03 | 2.47 |
KCTD16 | -0.0000429 | 8607 | GTEx | DepMap | Descartes | 0.00 | 0.00 |
PCSK2 | -0.0000621 | 9721 | GTEx | DepMap | Descartes | 0.29 | 0.15 |
AGBL4 | -0.0000950 | 11300 | GTEx | DepMap | Descartes | 0.00 | 0.00 |
FGF14 | -0.0001016 | 11545 | GTEx | DepMap | Descartes | 0.01 | 0.00 |
SLC35F3 | -0.0001078 | 11764 | GTEx | DepMap | Descartes | 0.00 | 0.00 |
EML6 | -0.0001221 | 12255 | GTEx | DepMap | Descartes | 0.02 | 0.01 |
CDH12 | -0.0001360 | 12667 | GTEx | DepMap | Descartes | 0.02 | 0.00 |
CNTN3 | -0.0001581 | 13247 | GTEx | DepMap | Descartes | 0.04 | 0.01 |
GALNTL6 | -0.0001714 | 13581 | GTEx | DepMap | Descartes | 0.01 | 0.00 |
CDH18 | -0.0001729 | 13614 | GTEx | DepMap | Descartes | 0.01 | 0.00 |
GRM7 | -0.0001797 | 13765 | GTEx | DepMap | Descartes | 0.00 | 0.00 |
SLC24A2 | -0.0001856 | 13909 | GTEx | DepMap | Descartes | 0.02 | 0.01 |
ARC | -0.0001938 | 14081 | GTEx | DepMap | Descartes | 0.02 | 0.61 |
ROBO1 | -0.0002079 | 14379 | GTEx | DepMap | Descartes | 0.66 | 0.12 |
SCG2 | -0.0002335 | 14829 | GTEx | DepMap | Descartes | 0.03 | 0.65 |
PACRG | -0.0002385 | 14922 | GTEx | DepMap | Descartes | 0.03 | 0.01 |
C1QL1 | -0.0002588 | 15248 | GTEx | DepMap | Descartes | 0.12 | 2.33 |
TBX20 | -0.0002686 | 15385 | GTEx | DepMap | Descartes | 0.03 | 0.06 |
TENM1 | -0.0002784 | 15535 | GTEx | DepMap | Descartes | 0.02 | 0.00 |
CHGB | -0.0002788 | 15538 | GTEx | DepMap | Descartes | 0.53 | 5.76 |
KSR2 | -0.0002958 | 15769 | GTEx | DepMap | Descartes | 0.04 | 0.02 |
GCH1 | -0.0003013 | 15839 | GTEx | DepMap | Descartes | 0.03 | 0.10 |
SORCS3 | -0.0003016 | 15844 | GTEx | DepMap | Descartes | 0.03 | 0.01 |
SLC18A1 | -0.0003047 | 15896 | GTEx | DepMap | Descartes | 0.04 | 0.11 |
DGKK | -0.0003187 | 16075 | GTEx | DepMap | Descartes | 0.10 | 0.10 |
MGAT4C | -0.0003253 | 16159 | GTEx | DepMap | Descartes | 0.02 | 0.00 |
Descartes erythroblasts markers
Top 50 marker genes of erythroblasts cells in the Decartes fetal adrenal single cell map (https://atlas.brotmanbaty.org/bbi/human-gene-expression-during-development/cell/erythroblasts/in/adrenal)
Wilcoxon ranksum test P-value for gene set overrepresentation: 9.64e-01
Mean rank of genes in gene set: 11340.56
Median rank of genes in gene set: 11391.5
Rank on gene expression program of top 30 genes in gene set:
Genes | Weight | Rank | GTEx | DepMap | Descartes | Mean.Counts | Mean.TPM |
---|---|---|---|---|---|---|---|
SOX6 | 0.0006944 | 828 | GTEx | DepMap | Descartes | 1.38 | 0.39 |
CPOX | 0.0003778 | 1683 | GTEx | DepMap | Descartes | 0.74 | 2.06 |
SLC25A37 | 0.0001694 | 3159 | GTEx | DepMap | Descartes | 0.39 | 1.27 |
XPO7 | 0.0001292 | 3618 | GTEx | DepMap | Descartes | 1.14 | 1.55 |
CR1L | 0.0001250 | 3692 | GTEx | DepMap | Descartes | 0.87 | 3.94 |
SELENBP1 | 0.0001009 | 4029 | GTEx | DepMap | Descartes | 0.60 | 7.53 |
GCLC | 0.0000568 | 4852 | GTEx | DepMap | Descartes | 0.48 | 1.58 |
HEMGN | 0.0000275 | 5529 | GTEx | DepMap | Descartes | 0.03 | 0.19 |
EPB42 | -0.0000256 | 7576 | GTEx | DepMap | Descartes | 0.00 | 0.02 |
RHAG | -0.0000470 | 8852 | GTEx | DepMap | Descartes | 0.01 | 0.03 |
SLC4A1 | -0.0000757 | 10438 | GTEx | DepMap | Descartes | 0.00 | 0.00 |
RHD | -0.0000759 | 10445 | GTEx | DepMap | Descartes | 0.02 | 0.08 |
ALAS2 | -0.0000783 | 10541 | GTEx | DepMap | Descartes | 0.02 | 0.07 |
GYPA | -0.0000789 | 10576 | GTEx | DepMap | Descartes | 0.00 | 0.02 |
TMEM56 | -0.0000794 | 10606 | GTEx | DepMap | Descartes | 0.03 | 0.03 |
SLC25A21 | -0.0000802 | 10641 | GTEx | DepMap | Descartes | 0.01 | 0.00 |
TFR2 | -0.0000812 | 10692 | GTEx | DepMap | Descartes | 0.01 | 0.07 |
SPTA1 | -0.0000856 | 10883 | GTEx | DepMap | Descartes | 0.00 | 0.00 |
ABCB10 | -0.0001115 | 11900 | GTEx | DepMap | Descartes | 0.32 | 1.43 |
RGS6 | -0.0001384 | 12735 | GTEx | DepMap | Descartes | 0.02 | 0.01 |
MICAL2 | -0.0001602 | 13300 | GTEx | DepMap | Descartes | 0.07 | 0.05 |
CAT | -0.0001664 | 13463 | GTEx | DepMap | Descartes | 0.84 | 4.10 |
MARCH3 | -0.0001694 | 13532 | GTEx | DepMap | Descartes | 0.01 | 0.01 |
BLVRB | -0.0001979 | 14167 | GTEx | DepMap | Descartes | 0.67 | 5.27 |
DENND4A | -0.0002135 | 14476 | GTEx | DepMap | Descartes | 0.07 | 0.07 |
FECH | -0.0002823 | 15583 | GTEx | DepMap | Descartes | 0.67 | 2.65 |
SNCA | -0.0002859 | 15628 | GTEx | DepMap | Descartes | 0.10 | 0.07 |
SPECC1 | -0.0003017 | 15845 | GTEx | DepMap | Descartes | 0.39 | 0.20 |
TRAK2 | -0.0003096 | 15963 | GTEx | DepMap | Descartes | 0.24 | 0.48 |
SPTB | -0.0003426 | 16403 | GTEx | DepMap | Descartes | 0.04 | 0.04 |
Descartes myeloid markers
Top 50 marker genes of myeloid cells in the Decartes fetal adrenal single cell map (https://atlas.brotmanbaty.org/bbi/human-gene-expression-during-development/cell/myeloid/in/adrenal)
Wilcoxon ranksum test P-value for gene set overrepresentation: 7.36e-01
Mean rank of genes in gene set: 10208.02
Median rank of genes in gene set: 9457
Rank on gene expression program of top 30 genes in gene set:
Genes | Weight | Rank | GTEx | DepMap | Descartes | Mean.Counts | Mean.TPM |
---|---|---|---|---|---|---|---|
FGD2 | 0.0014028 | 304 | GTEx | DepMap | Descartes | 0.45 | 4.03 |
CD74 | 0.0010922 | 437 | GTEx | DepMap | Descartes | 0.16 | 3.30 |
HRH1 | 0.0002492 | 2412 | GTEx | DepMap | Descartes | 0.00 | 0.00 |
CTSB | 0.0002025 | 2796 | GTEx | DepMap | Descartes | 2.93 | 20.82 |
AXL | 0.0001984 | 2841 | GTEx | DepMap | Descartes | 0.94 | 5.12 |
PTPRE | 0.0000884 | 4251 | GTEx | DepMap | Descartes | 0.35 | 0.35 |
MPEG1 | 0.0000749 | 4477 | GTEx | DepMap | Descartes | 0.01 | 0.39 |
MS4A4A | -0.0000130 | 6893 | GTEx | DepMap | Descartes | 0.00 | 0.00 |
RNASE1 | -0.0000221 | 7388 | GTEx | DepMap | Descartes | 0.00 | 0.06 |
CD14 | -0.0000231 | 7439 | GTEx | DepMap | Descartes | 0.01 | 0.66 |
FGL2 | -0.0000271 | 7669 | GTEx | DepMap | Descartes | 0.03 | 0.47 |
MS4A7 | -0.0000285 | 7749 | GTEx | DepMap | Descartes | 0.00 | 0.00 |
C1QA | -0.0000334 | 8061 | GTEx | DepMap | Descartes | 0.00 | 0.05 |
MSR1 | -0.0000349 | 8146 | GTEx | DepMap | Descartes | 0.00 | 0.00 |
SLC1A3 | -0.0000364 | 8240 | GTEx | DepMap | Descartes | 1.03 | 1.83 |
ATP8B4 | -0.0000388 | 8370 | GTEx | DepMap | Descartes | 0.00 | 0.00 |
CTSS | -0.0000427 | 8590 | GTEx | DepMap | Descartes | 0.00 | 0.01 |
CYBB | -0.0000464 | 8813 | GTEx | DepMap | Descartes | 0.00 | 0.00 |
C1QC | -0.0000527 | 9160 | GTEx | DepMap | Descartes | 0.00 | 0.15 |
LGMN | -0.0000553 | 9308 | GTEx | DepMap | Descartes | 0.59 | 1.63 |
CSF1R | -0.0000558 | 9339 | GTEx | DepMap | Descartes | 0.00 | 0.00 |
C1QB | -0.0000597 | 9575 | GTEx | DepMap | Descartes | 0.00 | 0.04 |
SPP1 | -0.0000652 | 9889 | GTEx | DepMap | Descartes | 0.02 | 0.31 |
SLC9A9 | -0.0000769 | 10482 | GTEx | DepMap | Descartes | 0.08 | 0.02 |
HCK | -0.0000777 | 10514 | GTEx | DepMap | Descartes | 0.02 | 0.06 |
CPVL | -0.0000889 | 11039 | GTEx | DepMap | Descartes | 0.00 | 0.00 |
ADAP2 | -0.0000994 | 11468 | GTEx | DepMap | Descartes | 0.00 | 0.00 |
SLCO2B1 | -0.0001027 | 11587 | GTEx | DepMap | Descartes | 0.00 | 0.00 |
ABCA1 | -0.0001355 | 12652 | GTEx | DepMap | Descartes | 0.23 | 0.22 |
ITPR2 | -0.0001398 | 12776 | GTEx | DepMap | Descartes | 0.23 | 0.09 |
Descartes Schwann markers
Top 50 marker genes of Schwann cells in the Decartes fetal adrenal single cell map (https://atlas.brotmanbaty.org/bbi/human-gene-expression-during-development/cell/schwann/in/adrenal)
Wilcoxon ranksum test P-value for gene set overrepresentation: 1.00e+00
Mean rank of genes in gene set: 14520.09
Median rank of genes in gene set: 16278
Rank on gene expression program of top 30 genes in gene set:
Genes | Weight | Rank | GTEx | DepMap | Descartes | Mean.Counts | Mean.TPM |
---|---|---|---|---|---|---|---|
COL18A1 | 0.0017437 | 208 | GTEx | DepMap | Descartes | 5.41 | 7.51 |
DST | 0.0008791 | 599 | GTEx | DepMap | Descartes | 5.88 | 2.18 |
HMGA2 | 0.0007667 | 718 | GTEx | DepMap | Descartes | 13.31 | 19.32 |
LAMB1 | 0.0004896 | 1278 | GTEx | DepMap | Descartes | 3.02 | 6.68 |
LAMC1 | 0.0003054 | 2060 | GTEx | DepMap | Descartes | 1.12 | 1.31 |
VCAN | 0.0002856 | 2182 | GTEx | DepMap | Descartes | 5.33 | 8.81 |
ERBB3 | -0.0000495 | 8973 | GTEx | DepMap | Descartes | 0.72 | 4.03 |
TRPM3 | -0.0000750 | 10409 | GTEx | DepMap | Descartes | 0.03 | 0.00 |
SCN7A | -0.0001183 | 12116 | GTEx | DepMap | Descartes | 0.06 | 0.04 |
PTPRZ1 | -0.0001439 | 12889 | GTEx | DepMap | Descartes | 0.80 | 0.59 |
OLFML2A | -0.0001621 | 13355 | GTEx | DepMap | Descartes | 0.09 | 0.28 |
IL1RAPL2 | -0.0001707 | 13563 | GTEx | DepMap | Descartes | 0.01 | 0.00 |
GRIK3 | -0.0002314 | 14805 | GTEx | DepMap | Descartes | 0.01 | 0.01 |
LRRTM4 | -0.0002331 | 14825 | GTEx | DepMap | Descartes | 0.01 | 0.00 |
CDH19 | -0.0002591 | 15253 | GTEx | DepMap | Descartes | 0.06 | 0.06 |
XKR4 | -0.0002618 | 15300 | GTEx | DepMap | Descartes | 0.02 | NA |
MPZ | -0.0002870 | 15651 | GTEx | DepMap | Descartes | 0.33 | 2.63 |
IL1RAPL1 | -0.0002924 | 15724 | GTEx | DepMap | Descartes | 0.03 | 0.00 |
PTN | -0.0002968 | 15784 | GTEx | DepMap | Descartes | 12.81 | 19.26 |
COL25A1 | -0.0003024 | 15857 | GTEx | DepMap | Descartes | 0.23 | 0.07 |
PAG1 | -0.0003237 | 16142 | GTEx | DepMap | Descartes | 0.18 | 0.15 |
STARD13 | -0.0003271 | 16192 | GTEx | DepMap | Descartes | 0.11 | 0.06 |
MDGA2 | -0.0003301 | 16233 | GTEx | DepMap | Descartes | 0.04 | 0.01 |
ADAMTS5 | -0.0003330 | 16278 | GTEx | DepMap | Descartes | 0.29 | 0.71 |
SORCS1 | -0.0003464 | 16454 | GTEx | DepMap | Descartes | 0.09 | 0.02 |
FAM134B | -0.0003726 | 16742 | GTEx | DepMap | Descartes | 0.18 | NA |
ERBB4 | -0.0004255 | 17275 | GTEx | DepMap | Descartes | 0.03 | 0.00 |
GFRA3 | -0.0004554 | 17500 | GTEx | DepMap | Descartes | 0.31 | 0.84 |
PLP1 | -0.0004619 | 17556 | GTEx | DepMap | Descartes | 0.45 | 2.48 |
COL5A2 | -0.0004704 | 17623 | GTEx | DepMap | Descartes | 2.25 | 2.14 |
Descartes Megakaryocytes markers
Top 50 marker genes of Megakaryocytes cells in the Decartes fetal adrenal single cell map (https://atlas.brotmanbaty.org/bbi/human-gene-expression-during-development/cell/megakaryocytes/in/adrenal)
Wilcoxon ranksum test P-value for gene set overrepresentation: 9.97e-01
Mean rank of genes in gene set: 11913.77
Median rank of genes in gene set: 12223
Rank on gene expression program of top 30 genes in gene set:
Genes | Weight | Rank | GTEx | DepMap | Descartes | Mean.Counts | Mean.TPM |
---|---|---|---|---|---|---|---|
MYH9 | 0.0015331 | 257 | GTEx | DepMap | Descartes | 3.32 | 5.64 |
CD9 | 0.0008136 | 662 | GTEx | DepMap | Descartes | 4.94 | 20.97 |
STON2 | 0.0007128 | 798 | GTEx | DepMap | Descartes | 0.31 | 0.29 |
SLC2A3 | 0.0002453 | 2438 | GTEx | DepMap | Descartes | 2.32 | 3.76 |
RAB27B | 0.0002412 | 2474 | GTEx | DepMap | Descartes | 0.21 | 0.16 |
SLC24A3 | 0.0000475 | 5047 | GTEx | DepMap | Descartes | 0.24 | 0.08 |
FLNA | 0.0000400 | 5238 | GTEx | DepMap | Descartes | 4.11 | 21.21 |
PSTPIP2 | 0.0000238 | 5622 | GTEx | DepMap | Descartes | 0.00 | 0.01 |
ZYX | -0.0000160 | 7035 | GTEx | DepMap | Descartes | 2.35 | 33.17 |
ACTN1 | -0.0000352 | 8165 | GTEx | DepMap | Descartes | 1.54 | 2.37 |
BIN2 | -0.0000496 | 8978 | GTEx | DepMap | Descartes | 0.00 | 0.01 |
MED12L | -0.0000585 | 9509 | GTEx | DepMap | Descartes | 0.07 | 0.03 |
CD84 | -0.0000605 | 9625 | GTEx | DepMap | Descartes | 0.00 | 0.00 |
TRPC6 | -0.0000640 | 9822 | GTEx | DepMap | Descartes | 0.00 | 0.00 |
MCTP1 | -0.0000666 | 9971 | GTEx | DepMap | Descartes | 0.01 | 0.00 |
ITGA2B | -0.0000698 | 10130 | GTEx | DepMap | Descartes | 0.05 | 0.53 |
GP9 | -0.0000745 | 10385 | GTEx | DepMap | Descartes | 0.00 | 0.08 |
SPN | -0.0000776 | 10509 | GTEx | DepMap | Descartes | 0.00 | 0.07 |
P2RX1 | -0.0000789 | 10577 | GTEx | DepMap | Descartes | 0.00 | 0.00 |
PPBP | -0.0000865 | 10943 | GTEx | DepMap | Descartes | 0.00 | 0.00 |
PF4 | -0.0000873 | 10969 | GTEx | DepMap | Descartes | 0.00 | 0.47 |
FERMT3 | -0.0000873 | 10975 | GTEx | DepMap | Descartes | 0.02 | 0.10 |
MMRN1 | -0.0000999 | 11488 | GTEx | DepMap | Descartes | 0.00 | 0.01 |
ITGB3 | -0.0001212 | 12223 | GTEx | DepMap | Descartes | 0.02 | 0.03 |
PLEK | -0.0001438 | 12886 | GTEx | DepMap | Descartes | 0.01 | 0.01 |
VCL | -0.0001449 | 12913 | GTEx | DepMap | Descartes | 0.89 | 1.13 |
DOK6 | -0.0001547 | 13173 | GTEx | DepMap | Descartes | 0.01 | 0.00 |
TLN1 | -0.0002173 | 14523 | GTEx | DepMap | Descartes | 2.48 | 11.07 |
TGFB1 | -0.0002210 | 14598 | GTEx | DepMap | Descartes | 0.21 | 1.72 |
INPP4B | -0.0002362 | 14882 | GTEx | DepMap | Descartes | 0.05 | 0.01 |
Descartes Lyphoid markers
Top 50 marker genes of Lyphoid cells in the Decartes fetal adrenal single cell map (https://atlas.brotmanbaty.org/bbi/human-gene-expression-during-development/cell/lymphoid/in/adrenal)
Wilcoxon ranksum test P-value for gene set overrepresentation: 1.00e+00
Mean rank of genes in gene set: 12935.57
Median rank of genes in gene set: 14958
Rank on gene expression program of top 30 genes in gene set:
Genes | Weight | Rank | GTEx | DepMap | Descartes | Mean.Counts | Mean.TPM |
---|---|---|---|---|---|---|---|
ARHGDIB | 0.0038312 | 16 | GTEx | DepMap | Descartes | 2.81 | 24.27 |
LEF1 | 0.0026970 | 55 | GTEx | DepMap | Descartes | 2.75 | 3.71 |
PRKCH | 0.0010345 | 469 | GTEx | DepMap | Descartes | 0.53 | 0.42 |
MCTP2 | 0.0004664 | 1345 | GTEx | DepMap | Descartes | 0.09 | 0.06 |
CCND3 | 0.0003876 | 1647 | GTEx | DepMap | Descartes | 7.81 | 13.51 |
ABLIM1 | 0.0002433 | 2461 | GTEx | DepMap | Descartes | 2.21 | 1.00 |
ARID5B | 0.0000311 | 5440 | GTEx | DepMap | Descartes | 1.43 | 1.07 |
SORL1 | 0.0000133 | 5899 | GTEx | DepMap | Descartes | 0.50 | 0.44 |
B2M | 0.0000069 | 6110 | GTEx | DepMap | Descartes | 0.95 | 24.00 |
SP100 | -0.0000117 | 6837 | GTEx | DepMap | Descartes | 0.00 | 0.00 |
NKG7 | -0.0000466 | 8832 | GTEx | DepMap | Descartes | 0.00 | 0.14 |
PTPRC | -0.0000584 | 9501 | GTEx | DepMap | Descartes | 0.00 | 0.00 |
FOXP1 | -0.0000734 | 10326 | GTEx | DepMap | Descartes | 4.60 | 1.07 |
IKZF1 | -0.0001080 | 11769 | GTEx | DepMap | Descartes | 0.01 | 0.01 |
PLEKHA2 | -0.0001261 | 12373 | GTEx | DepMap | Descartes | 0.04 | 0.09 |
SCML4 | -0.0001286 | 12449 | GTEx | DepMap | Descartes | 0.01 | 0.01 |
ARHGAP15 | -0.0001429 | 12863 | GTEx | DepMap | Descartes | 0.01 | 0.00 |
MBNL1 | -0.0002275 | 14733 | GTEx | DepMap | Descartes | 1.62 | 1.40 |
RCSD1 | -0.0002321 | 14812 | GTEx | DepMap | Descartes | 0.32 | 0.65 |
ITPKB | -0.0002353 | 14860 | GTEx | DepMap | Descartes | 0.36 | 0.58 |
LCP1 | -0.0002379 | 14914 | GTEx | DepMap | Descartes | 0.01 | 0.01 |
RAP1GAP2 | -0.0002437 | 15002 | GTEx | DepMap | Descartes | 0.01 | 0.01 |
SKAP1 | -0.0002738 | 15470 | GTEx | DepMap | Descartes | 0.05 | 0.02 |
ANKRD44 | -0.0003114 | 15985 | GTEx | DepMap | Descartes | 0.42 | 0.23 |
FAM65B | -0.0003752 | 16777 | GTEx | DepMap | Descartes | 0.03 | NA |
PITPNC1 | -0.0003905 | 16937 | GTEx | DepMap | Descartes | 0.65 | 0.34 |
BCL2 | -0.0004149 | 17168 | GTEx | DepMap | Descartes | 0.84 | 0.74 |
DOCK10 | -0.0004171 | 17196 | GTEx | DepMap | Descartes | 0.07 | 0.03 |
NCALD | -0.0004647 | 17580 | GTEx | DepMap | Descartes | 0.10 | 0.02 |
CD44 | -0.0004724 | 17638 | GTEx | DepMap | Descartes | 0.13 | 0.15 |
Below shows the ranks on this GEP for immune marker gene lists curated by CellTypist (https://www.celltypist.org/encyclopedia).
High ranks indicate this gene is a driver of this GEP.
These curated gene list are ranked by P-value (on this GEP) of their constituent genes.
The Mean Count column shows the mean read count in cells scoring highly (H > 50) on this gene expression program.
Genes | Weight | Rank | GTEx | DepMap | Decartes | Mean.Counts | Mean.TPM |
---|---|---|---|---|---|---|---|
RPS17 | 0.0018797 | 174 | GTEx | DepMap | Descartes | 31.53 | 1721.03 |
CD74 | 0.0010922 | 437 | GTEx | DepMap | Descartes | 0.16 | 3.30 |
HES1 | 0.0008759 | 603 | GTEx | DepMap | Descartes | 2.48 | 94.47 |
MT-ATP8 | 0.0003325 | 1901 | GTEx | DepMap | Descartes | 1.10 | 760.90 |
MT-ND3 | 0.0003237 | 1947 | GTEx | DepMap | Descartes | 25.60 | 9975.60 |
B cells: Naive B cells (model markers)
mature B lymphocytes which express cell-surface IgM and IgD and have not been exposed to/activated by antigens:
Wilcoxon ranksum test P-value for gene set overrepresentation: 3.85e-04
Mean rank of genes in gene set: 282.5
Rank on gene expression program of genes in gene set:
Genes | Weight | Rank | GTEx | DepMap | Decartes | Mean.Counts | Mean.TPM |
---|---|---|---|---|---|---|---|
RPL41 | 0.0027999 | 43 | GTEx | DepMap | Descartes | 163.12 | 20080.18 |
RPS17 | 0.0018797 | 174 | GTEx | DepMap | Descartes | 31.53 | 1721.03 |
CD74 | 0.0010922 | 437 | GTEx | DepMap | Descartes | 0.16 | 3.30 |
YBX3 | 0.0010265 | 476 | GTEx | DepMap | Descartes | 7.94 | 42.81 |
Mono-mac: Mono-mac (model markers)
mononuclear phagocytes including monocytes and macrophages that are involved in the regulation of innate and adaptive immunity:
Wilcoxon ranksum test P-value for gene set overrepresentation: 2.76e-02
Mean rank of genes in gene set: 5298.83
Rank on gene expression program of genes in gene set:
Genes | Weight | Rank | GTEx | DepMap | Decartes | Mean.Counts | Mean.TPM |
---|---|---|---|---|---|---|---|
FTH1 | 0.0027354 | 50 | GTEx | DepMap | Descartes | 60.58 | 2143.33 |
SAT1 | 0.0004636 | 1357 | GTEx | DepMap | Descartes | 1.10 | 49.91 |
S100A2 | 0.0000736 | 4507 | GTEx | DepMap | Descartes | 0.00 | 0.00 |
KRT13 | -0.0000310 | 7887 | GTEx | DepMap | Descartes | 0.00 | 0.21 |
NKG7 | -0.0000466 | 8832 | GTEx | DepMap | Descartes | 0.00 | 0.14 |
C1QC | -0.0000527 | 9160 | GTEx | DepMap | Descartes | 0.00 | 0.15 |