QQ-plot of gene loadings, averaged over both independent splits of the data
This plot highlights the relative contribution of each gene to the GEP
Top genes driving this program.
Note: Decartes website is buggy, try refreshing. Also, Decartes fetal adrenal data have been collected at specific time points (89-122 days), all possible cell types of interest may not be represented, do not overinterpret.
The Mean Count column shows the mean read count in cells scoring highly (H > 50) on this gene expression program.
Gene | Loading | Gene.Name | GTEx | DepMap | Descartes | Mean.Counts | Mean.Tpm | |
---|---|---|---|---|---|---|---|---|
1 | GAP43 | 0.0112243 | growth associated protein 43 | GTEx | DepMap | Descartes | 8.60 | 1082.75 |
2 | STMN2 | 0.0110361 | stathmin 2 | GTEx | DepMap | Descartes | 35.30 | 4938.40 |
3 | TUBA1A | 0.0110181 | tubulin alpha 1a | GTEx | DepMap | Descartes | 55.46 | 7192.96 |
4 | TUBB2B | 0.0108096 | tubulin beta 2B class IIb | GTEx | DepMap | Descartes | 14.83 | 1894.63 |
5 | RTN1 | 0.0101995 | reticulon 1 | GTEx | DepMap | Descartes | 5.67 | 432.10 |
6 | PRPH | 0.0100022 | peripherin | GTEx | DepMap | Descartes | 7.40 | 885.51 |
7 | TUBB2A | 0.0092530 | tubulin beta 2A class IIa | GTEx | DepMap | Descartes | 8.44 | 1190.15 |
8 | NPY | 0.0089387 | neuropeptide Y | GTEx | DepMap | Descartes | 10.21 | 2904.38 |
9 | MLLT11 | 0.0087034 | MLLT11 transcription factor 7 cofactor | GTEx | DepMap | Descartes | 5.47 | 573.58 |
10 | STMN4 | 0.0086812 | stathmin 4 | GTEx | DepMap | Descartes | 4.20 | 525.60 |
11 | BASP1 | 0.0082951 | brain abundant membrane attached signal protein 1 | GTEx | DepMap | Descartes | 6.71 | 1024.40 |
12 | ELAVL2 | 0.0079324 | ELAV like RNA binding protein 2 | GTEx | DepMap | Descartes | 2.31 | 155.96 |
13 | NEFL | 0.0078596 | neurofilament light chain | GTEx | DepMap | Descartes | 2.16 | 114.20 |
14 | ELAVL4 | 0.0077910 | ELAV like RNA binding protein 4 | GTEx | DepMap | Descartes | 3.62 | 296.05 |
15 | UCHL1 | 0.0077061 | ubiquitin C-terminal hydrolase L1 | GTEx | DepMap | Descartes | 6.71 | 1020.56 |
16 | MAP1B | 0.0075657 | microtubule associated protein 1B | GTEx | DepMap | Descartes | 9.78 | 252.64 |
17 | PHOX2A | 0.0075320 | paired like homeobox 2A | GTEx | DepMap | Descartes | 4.99 | 850.00 |
18 | ARHGDIG | 0.0075244 | Rho GDP dissociation inhibitor gamma | GTEx | DepMap | Descartes | 1.04 | 187.84 |
19 | EEF1A2 | 0.0074534 | eukaryotic translation elongation factor 1 alpha 2 | GTEx | DepMap | Descartes | 7.66 | 496.18 |
20 | ISL1 | 0.0073100 | ISL LIM homeobox 1 | GTEx | DepMap | Descartes | 2.77 | 350.13 |
21 | TTC9B | 0.0070166 | tetratricopeptide repeat domain 9B | GTEx | DepMap | Descartes | 1.55 | 186.30 |
22 | INA | 0.0069639 | internexin neuronal intermediate filament protein alpha | GTEx | DepMap | Descartes | 1.57 | 127.08 |
23 | SLC6A2 | 0.0069573 | solute carrier family 6 member 2 | GTEx | DepMap | Descartes | 1.66 | 144.99 |
24 | RGS5 | 0.0069440 | regulator of G protein signaling 5 | GTEx | DepMap | Descartes | 13.59 | 655.10 |
25 | VSTM2L | 0.0069201 | V-set and transmembrane domain containing 2 like | GTEx | DepMap | Descartes | 2.20 | 340.92 |
26 | PHOX2B | 0.0069169 | paired like homeobox 2B | GTEx | DepMap | Descartes | 3.81 | 440.86 |
27 | PCSK1N | 0.0068769 | proprotein convertase subtilisin/kexin type 1 inhibitor | GTEx | DepMap | Descartes | 11.24 | 2593.93 |
28 | TAGLN3 | 0.0068564 | transgelin 3 | GTEx | DepMap | Descartes | 2.08 | 342.62 |
29 | NSG2 | 0.0068519 | neuronal vesicle trafficking associated 2 | GTEx | DepMap | Descartes | 1.48 | NA |
30 | NSG1 | 0.0068294 | neuronal vesicle trafficking associated 1 | GTEx | DepMap | Descartes | 2.11 | NA |
31 | NEFM | 0.0066107 | neurofilament medium chain | GTEx | DepMap | Descartes | 2.65 | 208.67 |
32 | CRMP1 | 0.0065745 | collapsin response mediator protein 1 | GTEx | DepMap | Descartes | 2.79 | 254.03 |
33 | GAL | 0.0064879 | galanin and GMAP prepropeptide | GTEx | DepMap | Descartes | 7.96 | 2926.22 |
34 | CALB2 | 0.0064785 | calbindin 2 | GTEx | DepMap | Descartes | 0.82 | 89.59 |
35 | DCX | 0.0064235 | doublecortin | GTEx | DepMap | Descartes | 1.48 | 47.92 |
36 | NNAT | 0.0064057 | neuronatin | GTEx | DepMap | Descartes | 4.74 | 1083.88 |
37 | SCN9A | 0.0063741 | sodium voltage-gated channel alpha subunit 9 | GTEx | DepMap | Descartes | 2.34 | 75.44 |
38 | TFAP2B | 0.0063735 | transcription factor AP-2 beta | GTEx | DepMap | Descartes | 1.81 | 104.64 |
39 | RBFOX1 | 0.0063655 | RNA binding fox-1 homolog 1 | GTEx | DepMap | Descartes | 1.50 | 101.89 |
40 | KIF21A | 0.0062746 | kinesin family member 21A | GTEx | DepMap | Descartes | 3.48 | 159.60 |
41 | EML5 | 0.0059671 | EMAP like 5 | GTEx | DepMap | Descartes | 2.79 | 99.98 |
42 | MAOA | 0.0058806 | monoamine oxidase A | GTEx | DepMap | Descartes | 1.54 | 72.84 |
43 | GNG3 | 0.0058752 | G protein subunit gamma 3 | GTEx | DepMap | Descartes | 1.97 | 567.26 |
44 | MAB21L1 | 0.0057873 | mab-21 like 1 | GTEx | DepMap | Descartes | 1.68 | 170.56 |
45 | CNTN1 | 0.0057812 | contactin 1 | GTEx | DepMap | Descartes | 3.52 | 169.24 |
46 | DPYSL3 | 0.0057371 | dihydropyrimidinase like 3 | GTEx | DepMap | Descartes | 2.59 | 127.79 |
47 | ANK2 | 0.0056829 | ankyrin 2 | GTEx | DepMap | Descartes | 2.33 | 46.80 |
48 | SHOX2 | 0.0056122 | short stature homeobox 2 | GTEx | DepMap | Descartes | 0.45 | 26.02 |
49 | PLXNA4 | 0.0055974 | plexin A4 | GTEx | DepMap | Descartes | 1.26 | 30.89 |
50 | GNAO1 | 0.0055926 | G protein subunit alpha o1 | GTEx | DepMap | Descartes | 1.44 | 70.99 |
UMAP plots showing activity of gene expression program identified in GEP 7. Peripheral Nervous System I:
Gene set Enrichments for this program, caculated from top 50 genes
mSigDB Cell Types Gene Set:
P-value | OR | Lower 95% CI | FDR | FWER | Genes Found | Gene Set Size | |
---|---|---|---|---|---|---|---|
HU_FETAL_RETINA_HORIZONTAL | 9.63e-22 | 250.11 | 104.84 | 3.40e-20 | 6.46e-19 | 11STMN2, TUBA1A, TUBB2B, RTN1, MLLT11, STMN4, INA, TAGLN3, NSG2, NNAT, TFAP2B |
40 |
DESCARTES_FETAL_INTESTINE_ENS_NEURONS | 1.57e-40 | 173.66 | 93.52 | 3.50e-38 | 1.05e-37 | 24GAP43, STMN2, TUBB2B, PRPH, TUBB2A, MLLT11, STMN4, ELAVL4, UCHL1, MAP1B, PHOX2A, ARHGDIG, EEF1A2, TTC9B, INA, SLC6A2, TAGLN3, NSG2, NEFM, GAL, DCX, EML5, GNG3, CNTN1 |
160 |
DURANTE_ADULT_OLFACTORY_NEUROEPITHELIUM_GLOBOSE_BASAL_CELLS | 1.20e-17 | 215.50 | 83.97 | 3.51e-16 | 8.07e-15 | 9STMN2, TUBA1A, TUBB2B, RTN1, STMN4, ELAVL4, UCHL1, MAP1B, CALB2 |
35 |
DESCARTES_FETAL_PANCREAS_ENS_NEURONS | 4.13e-38 | 156.09 | 83.59 | 5.54e-36 | 2.77e-35 | 23GAP43, STMN2, TUBA1A, TUBB2B, PRPH, TUBB2A, NPY, MLLT11, STMN4, ELAVL4, UCHL1, MAP1B, PHOX2A, ARHGDIG, TTC9B, INA, NSG2, GAL, NNAT, EML5, GNG3, DPYSL3, ANK2 |
163 |
MANNO_MIDBRAIN_NEUROTYPES_HOMTN | 6.31e-51 | 153.66 | 81.77 | 4.24e-48 | 4.24e-48 | 34GAP43, STMN2, TUBA1A, TUBB2B, RTN1, PRPH, TUBB2A, MLLT11, STMN4, BASP1, ELAVL2, NEFL, ELAVL4, UCHL1, MAP1B, PHOX2A, EEF1A2, ISL1, TTC9B, INA, VSTM2L, PHOX2B, TAGLN3, NSG1, NEFM, CRMP1, DCX, SCN9A, RBFOX1, KIF21A, GNG3, DPYSL3, ANK2, PLXNA4 |
389 |
DESCARTES_FETAL_ADRENAL_CHROMAFFIN_CELLS | 2.24e-32 | 157.48 | 81.34 | 1.67e-30 | 1.50e-29 | 19GAP43, TUBB2B, PRPH, TUBB2A, NPY, MLLT11, STMN4, BASP1, ELAVL2, MAP1B, ARHGDIG, ISL1, TTC9B, SLC6A2, GAL, RBFOX1, MAB21L1, SHOX2, PLXNA4 |
119 |
DURANTE_ADULT_OLFACTORY_NEUROEPITHELIUM_IMMATURE_NEURONS | 3.74e-33 | 144.54 | 75.28 | 3.59e-31 | 2.51e-30 | 20GAP43, STMN2, TUBA1A, TUBB2B, RTN1, TUBB2A, STMN4, BASP1, ELAVL4, UCHL1, MAP1B, EEF1A2, INA, PCSK1N, NSG1, CRMP1, CALB2, DCX, SCN9A, DPYSL3 |
139 |
HU_FETAL_RETINA_AMACRINE | 2.97e-19 | 136.67 | 59.94 | 9.05e-18 | 1.99e-16 | 11STMN2, TUBB2B, RTN1, TUBB2A, MLLT11, INA, TAGLN3, NSG2, NNAT, TFAP2B, MAB21L1 |
64 |
DESCARTES_FETAL_STOMACH_ENS_NEURONS | 1.30e-20 | 130.85 | 59.33 | 4.15e-19 | 8.72e-18 | 12GAP43, STMN2, TUBB2B, PRPH, TUBB2A, NPY, ELAVL4, UCHL1, EEF1A2, INA, DCX, EML5 |
74 |
HU_FETAL_RETINA_RGC | 8.45e-41 | 93.36 | 50.90 | 2.84e-38 | 5.67e-38 | 30GAP43, STMN2, TUBA1A, TUBB2B, RTN1, PRPH, TUBB2A, MLLT11, STMN4, BASP1, ELAVL2, NEFL, ELAVL4, UCHL1, MAP1B, ISL1, TTC9B, INA, VSTM2L, PCSK1N, TAGLN3, NSG1, NEFM, CRMP1, CALB2, DCX, SCN9A, DPYSL3, ANK2, GNAO1 |
443 |
MANNO_MIDBRAIN_NEUROTYPES_HDA | 4.61e-39 | 81.34 | 44.27 | 7.73e-37 | 3.09e-36 | 30GAP43, STMN2, TUBA1A, TUBB2B, RTN1, MLLT11, STMN4, BASP1, ELAVL2, ELAVL4, UCHL1, MAP1B, EEF1A2, TTC9B, INA, TAGLN3, NSG2, NSG1, CRMP1, CALB2, DCX, NNAT, SCN9A, GNG3, MAB21L1, CNTN1, DPYSL3, ANK2, PLXNA4, GNAO1 |
506 |
MANNO_MIDBRAIN_NEUROTYPES_HNBML1 | 6.77e-31 | 71.87 | 38.88 | 4.13e-29 | 4.54e-28 | 23GAP43, STMN2, TUBA1A, TUBB2B, RTN1, MLLT11, BASP1, ELAVL2, ELAVL4, UCHL1, MAP1B, TTC9B, INA, PCSK1N, TAGLN3, NSG1, CRMP1, DCX, NNAT, KIF21A, GNG3, DPYSL3, ANK2 |
328 |
DESCARTES_FETAL_LUNG_VISCERAL_NEURONS | 1.72e-25 | 74.62 | 38.70 | 6.41e-24 | 1.15e-22 | 18GAP43, STMN2, TUBB2B, PRPH, TUBB2A, MLLT11, STMN4, MAP1B, PHOX2A, EEF1A2, TTC9B, PHOX2B, NSG2, NEFM, GAL, DCX, RBFOX1, EML5 |
212 |
MANNO_MIDBRAIN_NEUROTYPES_HNBM | 3.18e-28 | 67.96 | 36.42 | 1.33e-26 | 2.14e-25 | 21GAP43, STMN2, TUBA1A, TUBB2B, MLLT11, STMN4, ELAVL2, ELAVL4, MAP1B, INA, TAGLN3, NSG1, CRMP1, CALB2, DCX, NNAT, GNG3, MAB21L1, DPYSL3, ANK2, SHOX2 |
295 |
MANNO_MIDBRAIN_NEUROTYPES_HSERT | 4.88e-33 | 65.80 | 36.02 | 4.09e-31 | 3.27e-30 | 26GAP43, STMN2, RTN1, TUBB2A, MLLT11, STMN4, BASP1, ELAVL2, UCHL1, MAP1B, EEF1A2, TTC9B, INA, PCSK1N, NSG2, NSG1, CRMP1, DCX, SCN9A, RBFOX1, MAOA, GNG3, CNTN1, DPYSL3, ANK2, GNAO1 |
450 |
DESCARTES_FETAL_HEART_VISCERAL_NEURONS | 9.88e-16 | 83.39 | 35.92 | 2.65e-14 | 6.63e-13 | 10PRPH, ELAVL2, ELAVL4, PHOX2A, ISL1, SLC6A2, PHOX2B, GAL, EML5, MAB21L1 |
87 |
MANNO_MIDBRAIN_NEUROTYPES_HRN | 7.48e-29 | 64.63 | 34.84 | 3.58e-27 | 5.02e-26 | 22GAP43, STMN2, TUBB2B, RTN1, MLLT11, STMN4, BASP1, ELAVL2, ELAVL4, UCHL1, MAP1B, INA, TAGLN3, NSG2, NSG1, CRMP1, DCX, NNAT, RBFOX1, GNG3, DPYSL3, ANK2 |
335 |
TRAVAGLINI_LUNG_NEUROENDOCRINE_CELL | 1.27e-17 | 70.03 | 32.47 | 3.56e-16 | 8.55e-15 | 12STMN2, TUBB2B, ELAVL4, UCHL1, MAP1B, INA, PCSK1N, TAGLN3, CRMP1, NNAT, DPYSL3, GNAO1 |
128 |
MANNO_MIDBRAIN_NEUROTYPES_HDA1 | 1.35e-33 | 58.98 | 32.30 | 1.51e-31 | 9.03e-31 | 28GAP43, STMN2, TUBB2B, RTN1, MLLT11, STMN4, BASP1, ELAVL2, ELAVL4, UCHL1, MAP1B, TTC9B, INA, PCSK1N, NSG2, NSG1, CRMP1, DCX, NNAT, SCN9A, KIF21A, GNG3, MAB21L1, CNTN1, DPYSL3, ANK2, PLXNA4, GNAO1 |
584 |
DURANTE_ADULT_OLFACTORY_NEUROEPITHELIUM_MATURE_NEURONS | 7.29e-21 | 64.11 | 31.94 | 2.44e-19 | 4.89e-18 | 15GAP43, STMN2, TUBA1A, TUBB2B, RTN1, STMN4, NEFL, UCHL1, MAP1B, TTC9B, PCSK1N, TAGLN3, NSG1, CALB2, SCN9A |
187 |
Dowload full table
mSigDB Hallmark Gene Sets:
P-value | OR | Lower 95% CI | FDR | FWER | Genes Found | Gene Set Size | |
---|---|---|---|---|---|---|---|
HALLMARK_HEDGEHOG_SIGNALING | 2.22e-03 | 31.54 | 3.57 | 5.85e-02 | 1.11e-01 | 2RTN1, CRMP1 |
36 |
HALLMARK_PANCREAS_BETA_CELLS | 2.73e-03 | 28.23 | 3.21 | 5.85e-02 | 1.36e-01 | 2ISL1, DCX |
40 |
HALLMARK_UV_RESPONSE_UP | 3.51e-03 | 10.61 | 2.09 | 5.85e-02 | 1.76e-01 | 3GAL, MAOA, SHOX2 |
158 |
HALLMARK_KRAS_SIGNALING_DN | 6.73e-03 | 8.34 | 1.65 | 8.41e-02 | 3.37e-01 | 3ARHGDIG, TFAP2B, SHOX2 |
200 |
HALLMARK_ESTROGEN_RESPONSE_EARLY | 5.67e-02 | 5.42 | 0.63 | 4.05e-01 | 1.00e+00 | 2TUBB2B, CALB2 |
200 |
HALLMARK_APICAL_JUNCTION | 5.67e-02 | 5.42 | 0.63 | 4.05e-01 | 1.00e+00 | 2CALB2, CNTN1 |
200 |
HALLMARK_EPITHELIAL_MESENCHYMAL_TRANSITION | 5.67e-02 | 5.42 | 0.63 | 4.05e-01 | 1.00e+00 | 2BASP1, DPYSL3 |
200 |
HALLMARK_UNFOLDED_PROTEIN_RESPONSE | 1.96e-01 | 4.69 | 0.12 | 8.90e-01 | 1.00e+00 | 1TUBB2A |
113 |
HALLMARK_SPERMATOGENESIS | 2.30e-01 | 3.92 | 0.10 | 8.90e-01 | 1.00e+00 | 1PCSK1N |
135 |
HALLMARK_UV_RESPONSE_DN | 2.43e-01 | 3.68 | 0.09 | 8.90e-01 | 1.00e+00 | 1MAP1B |
144 |
HALLMARK_FATTY_ACID_METABOLISM | 2.63e-01 | 3.35 | 0.08 | 8.90e-01 | 1.00e+00 | 1MAOA |
158 |
HALLMARK_IL2_STAT5_SIGNALING | 3.19e-01 | 2.66 | 0.07 | 8.90e-01 | 1.00e+00 | 1SCN9A |
199 |
HALLMARK_TNFA_SIGNALING_VIA_NFKB | 3.20e-01 | 2.64 | 0.07 | 8.90e-01 | 1.00e+00 | 1TUBB2A |
200 |
HALLMARK_ESTROGEN_RESPONSE_LATE | 3.20e-01 | 2.64 | 0.07 | 8.90e-01 | 1.00e+00 | 1GAL |
200 |
HALLMARK_MYOGENESIS | 3.20e-01 | 2.64 | 0.07 | 8.90e-01 | 1.00e+00 | 1GNAO1 |
200 |
HALLMARK_MTORC1_SIGNALING | 3.20e-01 | 2.64 | 0.07 | 8.90e-01 | 1.00e+00 | 1MLLT11 |
200 |
HALLMARK_XENOBIOTIC_METABOLISM | 3.20e-01 | 2.64 | 0.07 | 8.90e-01 | 1.00e+00 | 1MAOA |
200 |
HALLMARK_KRAS_SIGNALING_UP | 3.20e-01 | 2.64 | 0.07 | 8.90e-01 | 1.00e+00 | 1PCSK1N |
200 |
HALLMARK_HYPOXIA | 1.00e+00 | 0.00 | 0.00 | 1.00e+00 | 1.00e+00 | 0 |
200 |
HALLMARK_CHOLESTEROL_HOMEOSTASIS | 1.00e+00 | 0.00 | 0.00 | 1.00e+00 | 1.00e+00 | 0 |
74 |
Dowload full table
KEGG Pathways:
P-value | OR | Lower 95% CI | FDR | FWER | Genes Found | Gene Set Size | |
---|---|---|---|---|---|---|---|
KEGG_AMYOTROPHIC_LATERAL_SCLEROSIS_ALS | 1.49e-04 | 32.83 | 6.33 | 1.63e-02 | 2.77e-02 | 3PRPH, NEFL, NEFM |
53 |
KEGG_PATHOGENIC_ESCHERICHIA_COLI_INFECTION | 1.75e-04 | 31.00 | 5.99 | 1.63e-02 | 3.26e-02 | 3TUBA1A, TUBB2B, TUBB2A |
56 |
KEGG_GAP_JUNCTION | 7.07e-04 | 18.89 | 3.69 | 4.38e-02 | 1.31e-01 | 3TUBA1A, TUBB2B, TUBB2A |
90 |
KEGG_PHENYLALANINE_METABOLISM | 3.43e-02 | 30.89 | 0.73 | 1.00e+00 | 1.00e+00 | 1MAOA |
18 |
KEGG_HISTIDINE_METABOLISM | 5.46e-02 | 18.77 | 0.45 | 1.00e+00 | 1.00e+00 | 1MAOA |
29 |
KEGG_GLYCINE_SERINE_AND_THREONINE_METABOLISM | 5.83e-02 | 17.51 | 0.42 | 1.00e+00 | 1.00e+00 | 1MAOA |
31 |
KEGG_TRYPTOPHAN_METABOLISM | 7.46e-02 | 13.48 | 0.33 | 1.00e+00 | 1.00e+00 | 1MAOA |
40 |
KEGG_TYROSINE_METABOLISM | 7.81e-02 | 12.81 | 0.31 | 1.00e+00 | 1.00e+00 | 1MAOA |
42 |
KEGG_TASTE_TRANSDUCTION | 9.58e-02 | 10.31 | 0.25 | 1.00e+00 | 1.00e+00 | 1GNG3 |
52 |
KEGG_ARGININE_AND_PROLINE_METABOLISM | 9.93e-02 | 9.91 | 0.24 | 1.00e+00 | 1.00e+00 | 1MAOA |
54 |
KEGG_ADIPOCYTOKINE_SIGNALING_PATHWAY | 1.22e-01 | 7.96 | 0.19 | 1.00e+00 | 1.00e+00 | 1NPY |
67 |
KEGG_LONG_TERM_DEPRESSION | 1.27e-01 | 7.62 | 0.19 | 1.00e+00 | 1.00e+00 | 1GNAO1 |
70 |
KEGG_DRUG_METABOLISM_CYTOCHROME_P450 | 1.30e-01 | 7.40 | 0.18 | 1.00e+00 | 1.00e+00 | 1MAOA |
72 |
KEGG_MELANOGENESIS | 1.78e-01 | 5.26 | 0.13 | 1.00e+00 | 1.00e+00 | 1GNAO1 |
101 |
KEGG_PARKINSONS_DISEASE | 2.22e-01 | 4.08 | 0.10 | 1.00e+00 | 1.00e+00 | 1UCHL1 |
130 |
KEGG_CELL_ADHESION_MOLECULES_CAMS | 2.27e-01 | 3.98 | 0.10 | 1.00e+00 | 1.00e+00 | 1CNTN1 |
133 |
KEGG_CHEMOKINE_SIGNALING_PATHWAY | 3.06e-01 | 2.80 | 0.07 | 1.00e+00 | 1.00e+00 | 1GNG3 |
189 |
KEGG_N_GLYCAN_BIOSYNTHESIS | 1.00e+00 | 0.00 | 0.00 | 1.00e+00 | 1.00e+00 | 0 |
46 |
KEGG_OTHER_GLYCAN_DEGRADATION | 1.00e+00 | 0.00 | 0.00 | 1.00e+00 | 1.00e+00 | 0 |
16 |
KEGG_O_GLYCAN_BIOSYNTHESIS | 1.00e+00 | 0.00 | 0.00 | 1.00e+00 | 1.00e+00 | 0 |
30 |
Dowload full table
CHR Positional Gene Sets:
P-value | OR | Lower 95% CI | FDR | FWER | Genes Found | Gene Set Size | |
---|---|---|---|---|---|---|---|
chr4p13 | 1.65e-03 | 36.97 | 4.16 | 2.70e-01 | 4.58e-01 | 2UCHL1, PHOX2B |
31 |
chr8p21 | 1.94e-03 | 13.15 | 2.58 | 2.70e-01 | 5.40e-01 | 3STMN4, NEFL, NEFM |
128 |
chr12q12 | 5.65e-03 | 19.17 | 2.20 | 5.23e-01 | 1.00e+00 | 2KIF21A, CNTN1 |
58 |
chr6p25 | 1.10e-02 | 13.42 | 1.55 | 7.64e-01 | 1.00e+00 | 2TUBB2B, TUBB2A |
82 |
chr3q13 | 5.03e-02 | 5.80 | 0.68 | 1.00e+00 | 1.00e+00 | 2GAP43, TAGLN3 |
187 |
chr4p16 | 6.22e-02 | 5.14 | 0.60 | 1.00e+00 | 1.00e+00 | 2NSG1, CRMP1 |
211 |
chr20q11 | 7.60e-02 | 4.57 | 0.53 | 1.00e+00 | 1.00e+00 | 2VSTM2L, NNAT |
237 |
chrXp11 | 1.57e-01 | 2.92 | 0.34 | 1.00e+00 | 1.00e+00 | 2PCSK1N, MAOA |
370 |
chr16q13 | 7.46e-02 | 13.48 | 0.33 | 1.00e+00 | 1.00e+00 | 1GNAO1 |
40 |
chr12q13 | 1.82e-01 | 2.65 | 0.31 | 1.00e+00 | 1.00e+00 | 2TUBA1A, PRPH |
407 |
chr16p13 | 1.82e-01 | 2.65 | 0.31 | 1.00e+00 | 1.00e+00 | 2ARHGDIG, RBFOX1 |
407 |
chr11q13 | 1.91e-01 | 2.56 | 0.30 | 1.00e+00 | 1.00e+00 | 2PHOX2A, GAL |
421 |
chr14q31 | 1.03e-01 | 9.56 | 0.23 | 1.00e+00 | 1.00e+00 | 1EML5 |
56 |
chr1p33 | 1.10e-01 | 8.91 | 0.22 | 1.00e+00 | 1.00e+00 | 1ELAVL4 |
60 |
chr13q13 | 1.40e-01 | 6.83 | 0.17 | 1.00e+00 | 1.00e+00 | 1MAB21L1 |
78 |
chr5q11 | 1.52e-01 | 6.26 | 0.15 | 1.00e+00 | 1.00e+00 | 1ISL1 |
85 |
chr4q25 | 1.55e-01 | 6.11 | 0.15 | 1.00e+00 | 1.00e+00 | 1ANK2 |
87 |
chrXq23 | 1.58e-01 | 5.97 | 0.15 | 1.00e+00 | 1.00e+00 | 1DCX |
89 |
chr7q32 | 1.60e-01 | 5.91 | 0.14 | 1.00e+00 | 1.00e+00 | 1PLXNA4 |
90 |
chr16q12 | 1.70e-01 | 5.53 | 0.14 | 1.00e+00 | 1.00e+00 | 1SLC6A2 |
96 |
Dowload full table
Transcription Factor Targets:
P-value | OR | Lower 95% CI | FDR | FWER | Genes Found | Gene Set Size | |
---|---|---|---|---|---|---|---|
NCX_01 | 4.53e-08 | 24.79 | 9.28 | 6.07e-06 | 5.13e-05 | 7GAP43, ELAVL2, ELAVL4, ISL1, PHOX2B, DCX, ANK2 |
176 |
YAATNRNNNYNATT_UNKNOWN | 1.73e-06 | 28.90 | 8.77 | 1.09e-04 | 1.96e-03 | 5ELAVL2, ELAVL4, PHOX2B, DCX, SHOX2 |
104 |
PAX4_03 | 2.92e-08 | 19.78 | 7.94 | 5.51e-06 | 3.30e-05 | 8STMN2, MAP1B, PCSK1N, TFAP2B, RBFOX1, MAB21L1, ANK2, GNAO1 |
256 |
AFP1_Q6 | 4.14e-08 | 18.88 | 7.57 | 6.07e-06 | 4.69e-05 | 8MLLT11, ELAVL2, INA, PHOX2B, DCX, RBFOX1, DPYSL3, SHOX2 |
268 |
MSX1_01 | 1.06e-06 | 20.78 | 7.14 | 7.53e-05 | 1.21e-03 | 6STMN4, ELAVL2, PHOX2B, RBFOX1, MAB21L1, SHOX2 |
175 |
CHX10_01 | 2.61e-07 | 18.96 | 7.12 | 2.69e-05 | 2.96e-04 | 7GAP43, BASP1, PHOX2B, TFAP2B, MAOA, SHOX2, GNAO1 |
228 |
SOX9_B1 | 3.48e-07 | 18.15 | 6.82 | 3.28e-05 | 3.94e-04 | 7MLLT11, BASP1, ELAVL2, ELAVL4, DCX, TFAP2B, GNAO1 |
238 |
PAX4_02 | 3.78e-07 | 17.91 | 6.73 | 3.30e-05 | 4.29e-04 | 7STMN2, MAP1B, PHOX2B, DCX, NNAT, RBFOX1, MAB21L1 |
241 |
SRY_02 | 6.11e-07 | 16.64 | 6.25 | 4.95e-05 | 6.92e-04 | 7ELAVL2, ELAVL4, MAP1B, TFAP2B, RBFOX1, MAB21L1, GNAO1 |
259 |
EN1_01 | 6.30e-05 | 20.92 | 5.38 | 2.23e-03 | 7.14e-02 | 4GAP43, ISL1, RBFOX1, ANK2 |
111 |
SYATTGTG_UNKNOWN | 5.36e-06 | 15.54 | 5.36 | 3.04e-04 | 6.08e-03 | 6RTN1, PCSK1N, TAGLN3, NNAT, KIF21A, DPYSL3 |
232 |
EVI1_05 | 2.11e-05 | 16.93 | 5.18 | 8.85e-04 | 2.39e-02 | 5RTN1, ELAVL4, ISL1, RBFOX1, GNAO1 |
174 |
TAAYNRNNTCC_UNKNOWN | 2.11e-05 | 16.93 | 5.18 | 8.85e-04 | 2.39e-02 | 5GAP43, ISL1, SLC6A2, PHOX2B, TFAP2B |
174 |
TCCATTKW_UNKNOWN | 6.66e-06 | 14.95 | 5.15 | 3.43e-04 | 7.54e-03 | 6ELAVL2, ELAVL4, PHOX2B, NNAT, RBFOX1, GNAO1 |
241 |
RYTGCNWTGGNR_UNKNOWN | 7.98e-05 | 19.65 | 5.05 | 2.58e-03 | 9.05e-02 | 4PCSK1N, NNAT, TFAP2B, ANK2 |
118 |
CTGCAGY_UNKNOWN | 1.61e-08 | 10.61 | 5.03 | 5.51e-06 | 1.82e-05 | 12STMN2, TUBA1A, NEFL, ELAVL4, MAP1B, TTC9B, PCSK1N, DCX, NNAT, GNG3, DPYSL3, SHOX2 |
779 |
GGGYGTGNY_UNKNOWN | 4.82e-08 | 10.76 | 4.95 | 6.07e-06 | 5.46e-05 | 11GAP43, TUBA1A, RTN1, MLLT11, STMN4, UCHL1, MAP1B, PHOX2B, CRMP1, DCX, SHOX2 |
686 |
GCANCTGNY_MYOD_Q6 | 1.15e-08 | 9.82 | 4.77 | 5.51e-06 | 1.30e-05 | 13STMN2, TUBB2B, MLLT11, ELAVL2, ELAVL4, ISL1, PCSK1N, NSG2, NNAT, RBFOX1, EML5, ANK2, SHOX2 |
935 |
TAATTA_CHX10_01 | 2.89e-08 | 10.03 | 4.75 | 5.51e-06 | 3.27e-05 | 12GAP43, STMN2, BASP1, ELAVL2, ELAVL4, MAP1B, PHOX2B, DCX, RBFOX1, MAB21L1, SHOX2, GNAO1 |
823 |
TST1_01 | 1.14e-05 | 13.56 | 4.68 | 5.49e-04 | 1.29e-02 | 6RTN1, ELAVL2, ELAVL4, ISL1, PHOX2B, DCX |
265 |
Dowload full table
GO Biological Processes:
P-value | OR | Lower 95% CI | FDR | FWER | Genes Found | Gene Set Size | |
---|---|---|---|---|---|---|---|
GOBP_SYMPATHETIC_NERVOUS_SYSTEM_DEVELOPMENT | 7.25e-08 | 131.30 | 30.97 | 7.75e-05 | 5.43e-04 | 4PHOX2A, PHOX2B, TFAP2B, PLXNA4 |
21 |
GOBP_SINOATRIAL_NODE_CELL_DEVELOPMENT | 3.66e-05 | 352.61 | 29.06 | 8.30e-03 | 2.74e-01 | 2ISL1, SHOX2 |
5 |
GOBP_SINOATRIAL_NODE_DEVELOPMENT | 5.49e-05 | 267.63 | 23.60 | 1.17e-02 | 4.10e-01 | 2ISL1, SHOX2 |
6 |
GOBP_PARASYMPATHETIC_NERVOUS_SYSTEM_DEVELOPMENT | 3.76e-06 | 126.05 | 22.32 | 1.28e-03 | 2.81e-02 | 3PHOX2A, PHOX2B, PLXNA4 |
16 |
GOBP_NORADRENERGIC_NEURON_DIFFERENTIATION | 7.67e-05 | 213.09 | 19.86 | 1.47e-02 | 5.74e-01 | 2PHOX2A, PHOX2B |
7 |
GOBP_INTERMEDIATE_FILAMENT_BUNDLE_ASSEMBLY | 7.67e-05 | 213.09 | 19.86 | 1.47e-02 | 5.74e-01 | 2NEFL, NEFM |
7 |
GOBP_CARDIAC_PACEMAKER_CELL_DIFFERENTIATION | 7.67e-05 | 213.09 | 19.86 | 1.47e-02 | 5.74e-01 | 2ISL1, SHOX2 |
7 |
GOBP_NEUROFILAMENT_CYTOSKELETON_ORGANIZATION | 1.02e-04 | 177.85 | 17.16 | 1.86e-02 | 7.64e-01 | 2NEFL, INA |
8 |
GOBP_PERIPHERAL_NERVOUS_SYSTEM_AXON_REGENERATION | 1.31e-04 | 152.29 | 15.11 | 2.33e-02 | 9.81e-01 | 2NEFL, MAP1B |
9 |
GOBP_CRANIAL_NERVE_DEVELOPMENT | 1.74e-06 | 54.57 | 13.64 | 7.65e-04 | 1.30e-02 | 4PHOX2A, ISL1, PHOX2B, PLXNA4 |
45 |
GOBP_AUTONOMIC_NERVOUS_SYSTEM_DEVELOPMENT | 1.90e-06 | 53.27 | 13.33 | 7.90e-04 | 1.42e-02 | 4PHOX2A, PHOX2B, TFAP2B, PLXNA4 |
46 |
GOBP_TRIGEMINAL_NERVE_DEVELOPMENT | 2.00e-04 | 118.87 | 12.19 | 3.25e-02 | 1.00e+00 | 2ISL1, PLXNA4 |
11 |
GOBP_INTERMEDIATE_FILAMENT_BASED_PROCESS | 2.89e-06 | 47.56 | 11.97 | 1.08e-03 | 2.16e-02 | 4PRPH, NEFL, INA, NEFM |
51 |
GOBP_RESPONSE_TO_AXON_INJURY | 3.89e-07 | 39.72 | 11.96 | 2.91e-04 | 2.91e-03 | 5GAP43, NEFL, MAP1B, ISL1, DPYSL3 |
77 |
GOBP_NEURON_PROJECTION_REGENERATION | 4.85e-06 | 41.48 | 10.47 | 1.51e-03 | 3.63e-02 | 4GAP43, NEFL, MAP1B, ISL1 |
58 |
GOBP_CARDIAC_CONDUCTION_SYSTEM_DEVELOPMENT | 2.83e-04 | 97.16 | 10.22 | 4.32e-02 | 1.00e+00 | 2ISL1, SHOX2 |
13 |
GOBP_POSTSYNAPTIC_CYTOSKELETON_ORGANIZATION | 2.83e-04 | 97.16 | 10.22 | 4.32e-02 | 1.00e+00 | 2NEFL, INA |
13 |
GOBP_NEURAL_NUCLEUS_DEVELOPMENT | 5.56e-06 | 39.97 | 10.11 | 1.66e-03 | 4.16e-02 | 4BASP1, PHOX2A, INA, PHOX2B |
60 |
GOBP_CARDIAC_ATRIUM_DEVELOPMENT | 4.27e-05 | 51.26 | 9.72 | 9.39e-03 | 3.19e-01 | 3ISL1, ANK2, SHOX2 |
35 |
GOBP_ENTERIC_NERVOUS_SYSTEM_DEVELOPMENT | 3.80e-04 | 82.36 | 8.80 | 5.68e-02 | 1.00e+00 | 2PHOX2A, PHOX2B |
15 |
Dowload full table
Immunological Gene Sets:
P-value | OR | Lower 95% CI | FDR | FWER | Genes Found | Gene Set Size | |
---|---|---|---|---|---|---|---|
GSE7218_UNSTIM_VS_ANTIGEN_STIM_THROUGH_IGM_BCELL_DN | 8.52e-05 | 19.30 | 4.97 | 4.61e-02 | 4.15e-01 | 4GAP43, PRPH, ELAVL4, NSG1 |
120 |
GSE21546_UNSTIM_VS_ANTI_CD3_STIM_SAP1A_KO_DP_THYMOCYTES_UP | 3.90e-05 | 14.83 | 4.54 | 2.49e-02 | 1.90e-01 | 5TUBB2A, MLLT11, UCHL1, TAGLN3, ANK2 |
198 |
GSE29949_MICROGLIA_VS_DC_BRAIN_UP | 3.90e-05 | 14.83 | 4.54 | 2.49e-02 | 1.90e-01 | 5BASP1, NEFM, MAB21L1, ANK2, SHOX2 |
198 |
GSE5589_WT_VS_IL10_KO_LPS_AND_IL6_STIM_MACROPHAGE_45MIN_UP | 3.99e-05 | 14.75 | 4.52 | 2.49e-02 | 1.95e-01 | 5ARHGDIG, NSG1, KIF21A, DPYSL3, GNAO1 |
199 |
GSE18804_SPLEEN_MACROPHAGE_VS_TUMORAL_MACROPHAGE_UP | 3.99e-05 | 14.75 | 4.52 | 2.49e-02 | 1.95e-01 | 5RTN1, BASP1, ISL1, GAL, CNTN1 |
199 |
GSE19825_NAIVE_VS_DAY3_EFF_CD8_TCELL_UP | 4.09e-05 | 14.68 | 4.50 | 2.49e-02 | 1.99e-01 | 5NPY, STMN4, ELAVL2, ELAVL4, VSTM2L |
200 |
GSE24142_EARLY_THYMIC_PROGENITOR_VS_DN2_THYMOCYTE_FETAL_DN | 4.09e-05 | 14.68 | 4.50 | 2.49e-02 | 1.99e-01 | 5TUBB2B, TUBB2A, NPY, BASP1, GAL |
200 |
GSE26488_CTRL_VS_PEPTIDE_INJECTION_HDAC7_DELTAP_TG_OT2_THYMOCYTE_UP | 4.09e-05 | 14.68 | 4.50 | 2.49e-02 | 1.99e-01 | 5RTN1, PRPH, GAL, CALB2, TFAP2B |
200 |
GSE43955_1H_VS_42H_ACT_CD4_TCELL_DN | 4.09e-05 | 14.68 | 4.50 | 2.49e-02 | 1.99e-01 | 5STMN2, MLLT11, ELAVL4, GAL, NNAT |
200 |
GSE37532_TREG_VS_TCONV_CD4_TCELL_FROM_VISCERAL_ADIPOSE_TISSUE_UP | 1.38e-04 | 16.96 | 4.37 | 6.72e-02 | 6.72e-01 | 4GAP43, NEFL, RGS5, NEFM |
136 |
GSE23321_EFFECTOR_MEMORY_VS_NAIVE_CD8_TCELL_UP | 5.49e-04 | 11.66 | 3.02 | 1.25e-01 | 1.00e+00 | 4BASP1, RGS5, NNAT, SCN9A |
196 |
GSE36476_CTRL_VS_TSST_ACT_72H_MEMORY_CD4_TCELL_OLD_UP | 5.60e-04 | 11.60 | 3.00 | 1.25e-01 | 1.00e+00 | 4TUBA1A, PRPH, MLLT11, GNAO1 |
197 |
GSE22886_TH1_VS_TH2_48H_ACT_UP | 5.71e-04 | 11.54 | 2.99 | 1.25e-01 | 1.00e+00 | 4TUBB2B, RTN1, NPY, MAOA |
198 |
GSE360_CTRL_VS_T_GONDII_DC_DN | 5.71e-04 | 11.54 | 2.99 | 1.25e-01 | 1.00e+00 | 4TUBB2A, BASP1, INA, GAL |
198 |
GSE46606_UNSTIM_VS_CD40L_IL2_IL5_1DAY_STIMULATED_IRF4HIGH_SORTED_BCELL_UP | 5.71e-04 | 11.54 | 2.99 | 1.25e-01 | 1.00e+00 | 4RTN1, TTC9B, NEFM, SCN9A |
198 |
GSE6674_CPG_VS_CPG_AND_ANTI_IGM_STIM_BCELL_UP | 5.81e-04 | 11.49 | 2.97 | 1.25e-01 | 1.00e+00 | 4TUBA1A, TUBB2B, TUBB2A, NSG2 |
199 |
GSE26351_WNT_VS_BMP_PATHWAY_STIM_HEMATOPOIETIC_PROGENITORS_UP | 5.81e-04 | 11.49 | 2.97 | 1.25e-01 | 1.00e+00 | 4RTN1, SLC6A2, GAL, EML5 |
199 |
GSE1448_ANTI_VALPHA2_VS_VBETA5_DP_THYMOCYTE_UP | 5.92e-04 | 11.43 | 2.96 | 1.25e-01 | 1.00e+00 | 4PRPH, TUBB2A, NSG2, MAOA |
200 |
GSE3982_MAC_VS_BASOPHIL_UP | 5.92e-04 | 11.43 | 2.96 | 1.25e-01 | 1.00e+00 | 4RTN1, TUBB2A, UCHL1, CALB2 |
200 |
GSE4748_CTRL_VS_LPS_AND_CYANOBACTERIUM_LPSLIKE_STIM_DC_3H_UP | 5.92e-04 | 11.43 | 2.96 | 1.25e-01 | 1.00e+00 | 4UCHL1, RGS5, RBFOX1, DPYSL3 |
200 |
Top Ranked Transcription Factors for this Gene Expression Program:
Gene Symbol | TF Rank | DNA Binding Domain | Motif Status | IUPAC PWM | GTEx | DepMap | Decartes |
---|---|---|---|---|---|---|---|
MLLT11 | 9 | No | Unlikely to be sequence specific TF | Not a DNA binding protein | No motif | None | None |
PHOX2A | 17 | Yes | Known motif | Monomer or homomultimer | High-throughput in vitro | None | None |
ISL1 | 20 | Yes | Known motif | Monomer or homomultimer | High-throughput in vitro | None | None |
PHOX2B | 26 | Yes | Known motif | Monomer or homomultimer | High-throughput in vitro | None | None |
TFAP2B | 38 | Yes | Known motif | Monomer or homomultimer | High-throughput in vitro | None | None |
SHOX2 | 48 | Yes | Known motif | Monomer or homomultimer | High-throughput in vitro | None | None |
PLXNA4 | 49 | No | Unlikely to be sequence specific TF | Not a DNA binding protein | No motif | None | Protein is a semaphorin receptor that operates far upstream on the signaling cascade (PMID: 12591607). |
HAND2 | 55 | Yes | Known motif | Monomer or homomultimer | High-throughput in vitro | None | None |
GATA3 | 65 | Yes | Known motif | Monomer or homomultimer | High-throughput in vitro | None | None |
GATA2 | 75 | Yes | Known motif | Monomer or homomultimer | High-throughput in vitro | None | None |
TLX2 | 92 | Yes | Known motif | Monomer or homomultimer | High-throughput in vitro | None | None |
SOX4 | 104 | Yes | Known motif | Monomer or homomultimer | High-throughput in vitro | None | Also binds ssDNA loops. |
BEX1 | 105 | No | Unlikely to be sequence specific TF | Not a DNA binding protein | No motif | None | Likely a cofactor- (PMID: 16314316) shows results for related BEX2 |
HAND1 | 115 | Yes | Known motif | Obligate heteromer | In vivo/Misc source | Only known motifs are from Transfac or HocoMoco - origin is uncertain | Obligate heteromer (PMID: 10611232). |
MYT1L | 143 | Yes | Inferred motif | Monomer or homomultimer | High-throughput in vitro | None | None |
ZFHX3 | 153 | Yes | Known motif | Monomer or homomultimer | High-throughput in vitro | None | None |
HMX1 | 154 | Yes | Known motif | Monomer or homomultimer | High-throughput in vitro | None | None |
NTRK1 | 157 | No | Unlikely to be sequence specific TF | Not a DNA binding protein | No motif | None | Membrane bound receptor protein |
TOX | 162 | No | Unlikely to be sequence specific TF | Low specificity DNA-binding protein | No motif | None | Predicted to be a non- or low specificity TF (PMID: 12697058). However, there is a DAM-id based motif with SSSSGNNGCG-consensus (PMID: 25527292), but this does not look like HMG-site |
ZNF704 | 185 | Yes | Known motif | Monomer or homomultimer | High-throughput in vitro | Single C2H2 domain | None |
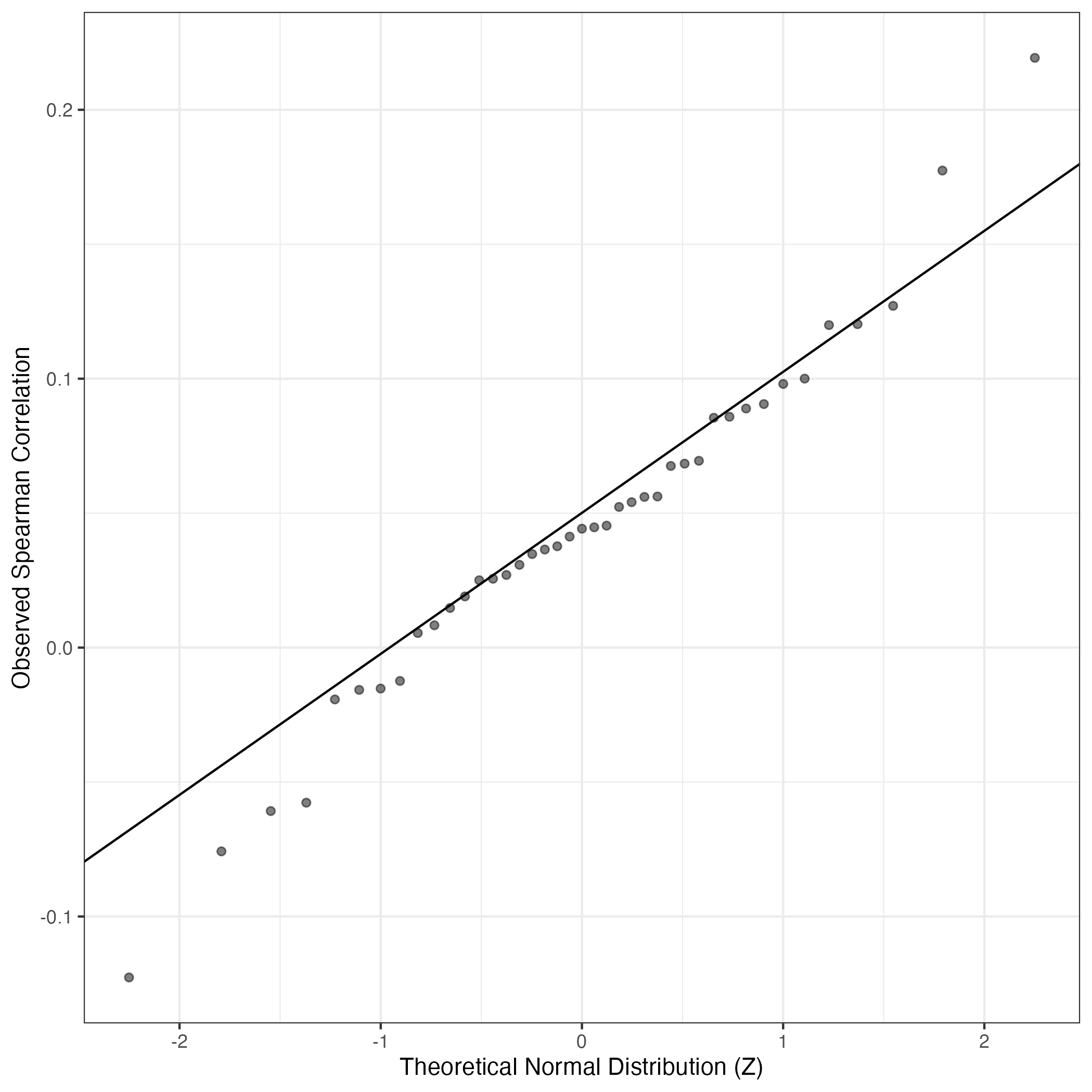
QQ Plot showing correlations with other GEPs in this dataset, calculated by Spearman correlation:
Interactive QQ-plot of gene loadings:
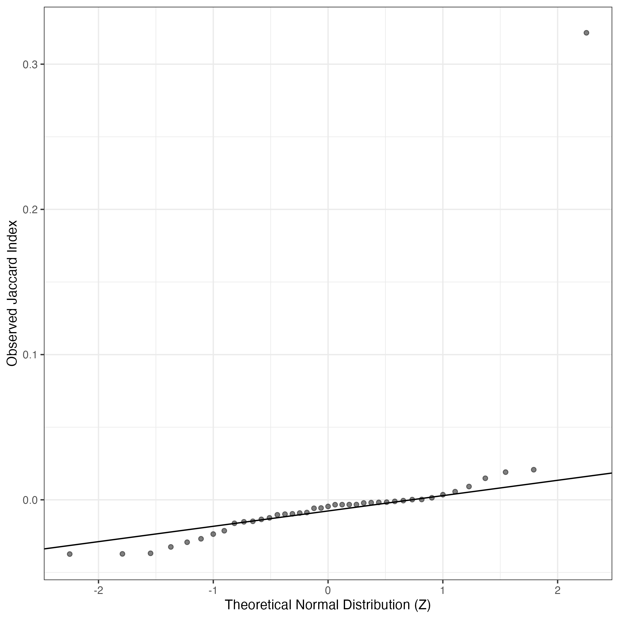
A similar QQ-plot as above, but only for instances where the H value is e.g. > 25, i.e. we are confident that the expression program is active above noise. Agreemenet between these binary vectors is tested using the Jaccard Index, with the P-values calculated by an exact test:
Interactive QQ-plot:
Singler cell type annotations for the top 50 cells on this program.
Cell ID | Singler label | Singler Delta | Activity Score | Top Singler Raw Scores |
---|---|---|---|---|
R53a_w9.5_AGACCCGGTCATCCGG-1 | Neurons:adrenal_medulla_cell_line | 0.23 | 1690.79 | Raw ScoresNeurons:adrenal_medulla_cell_line: 0.51, Neuroepithelial_cell:ESC-derived: 0.45, Astrocyte:Embryonic_stem_cell-derived: 0.44, Neurons:ES_cell-derived_neural_precursor: 0.41, iPS_cells:PDB_1lox-17Puro-10: 0.41, iPS_cells:PDB_1lox-21Puro-20: 0.41, iPS_cells:PDB_1lox-17Puro-5: 0.41, iPS_cells:PDB_2lox-22: 0.41, iPS_cells:PDB_1lox-21Puro-26: 0.41, Embryonic_stem_cells: 0.4 |
R48b_w12_ATATCCTCAGAAGTGC-1 | Neurons:adrenal_medulla_cell_line | 0.23 | 1623.24 | Raw ScoresNeurons:adrenal_medulla_cell_line: 0.49, Neuroepithelial_cell:ESC-derived: 0.43, Astrocyte:Embryonic_stem_cell-derived: 0.42, iPS_cells:PDB_1lox-21Puro-20: 0.38, iPS_cells:PDB_1lox-17Puro-10: 0.38, Neurons:ES_cell-derived_neural_precursor: 0.38, iPS_cells:PDB_1lox-21Puro-26: 0.38, iPS_cells:PDB_1lox-17Puro-5: 0.38, iPS_cells:PDB_2lox-22: 0.38, Embryonic_stem_cells: 0.38 |
R39_w9.5_CCGGGTACAGACCCGT-1 | Neurons:adrenal_medulla_cell_line | 0.25 | 1454.43 | Raw ScoresNeurons:adrenal_medulla_cell_line: 0.51, Neuroepithelial_cell:ESC-derived: 0.48, Astrocyte:Embryonic_stem_cell-derived: 0.44, iPS_cells:PDB_1lox-17Puro-10: 0.44, iPS_cells:PDB_1lox-21Puro-20: 0.44, iPS_cells:PDB_1lox-17Puro-5: 0.43, iPS_cells:PDB_1lox-21Puro-26: 0.43, Neurons:ES_cell-derived_neural_precursor: 0.43, iPS_cells:PDB_2lox-22: 0.43, Embryonic_stem_cells: 0.42 |
R53a_w9.5_TTTATGCCAAATGATG-1 | Neurons:adrenal_medulla_cell_line | 0.23 | 1453.12 | Raw ScoresNeurons:adrenal_medulla_cell_line: 0.47, Neuroepithelial_cell:ESC-derived: 0.42, Astrocyte:Embryonic_stem_cell-derived: 0.41, iPS_cells:PDB_1lox-21Puro-20: 0.38, iPS_cells:PDB_1lox-17Puro-10: 0.38, iPS_cells:PDB_1lox-17Puro-5: 0.38, Neurons:ES_cell-derived_neural_precursor: 0.38, iPS_cells:PDB_1lox-21Puro-26: 0.38, iPS_cells:PDB_2lox-22: 0.37, iPS_cells:PDB_2lox-21: 0.37 |
R53a_w9.5_TCGGTCTTCATGTCTT-1 | Neurons:adrenal_medulla_cell_line | 0.22 | 1318.71 | Raw ScoresNeurons:adrenal_medulla_cell_line: 0.48, Neuroepithelial_cell:ESC-derived: 0.41, Astrocyte:Embryonic_stem_cell-derived: 0.4, iPS_cells:PDB_1lox-17Puro-10: 0.37, iPS_cells:PDB_1lox-21Puro-20: 0.37, iPS_cells:PDB_2lox-22: 0.37, iPS_cells:PDB_1lox-17Puro-5: 0.37, iPS_cells:PDB_1lox-21Puro-26: 0.37, Neurons:ES_cell-derived_neural_precursor: 0.37, iPS_cells:PDB_2lox-17: 0.37 |
R30_w8.5_GATTCGACAATAGGAT-1 | Neurons:adrenal_medulla_cell_line | 0.22 | 1151.23 | Raw ScoresNeurons:adrenal_medulla_cell_line: 0.49, Neuroepithelial_cell:ESC-derived: 0.43, Astrocyte:Embryonic_stem_cell-derived: 0.4, iPS_cells:PDB_1lox-21Puro-20: 0.39, iPS_cells:PDB_1lox-21Puro-26: 0.39, iPS_cells:PDB_1lox-17Puro-10: 0.39, iPS_cells:PDB_1lox-17Puro-5: 0.38, iPS_cells:adipose_stem_cell-derived:minicircle-derived: 0.38, Embryonic_stem_cells: 0.38, iPS_cells:PDB_2lox-22: 0.38 |
R53a_w9.5_TTCACGCGTTGCGAAG-1 | Neurons:adrenal_medulla_cell_line | 0.24 | 1149.53 | Raw ScoresNeurons:adrenal_medulla_cell_line: 0.53, Neuroepithelial_cell:ESC-derived: 0.47, Astrocyte:Embryonic_stem_cell-derived: 0.45, iPS_cells:PDB_1lox-17Puro-10: 0.44, iPS_cells:PDB_1lox-21Puro-20: 0.44, iPS_cells:PDB_1lox-17Puro-5: 0.44, iPS_cells:PDB_1lox-21Puro-26: 0.44, iPS_cells:PDB_2lox-22: 0.44, iPS_cells:PDB_2lox-21: 0.43, iPS_cells:PDB_2lox-5: 0.43 |
R53a_w9.5_AACTTCTAGCCGCACT-1 | Neurons:adrenal_medulla_cell_line | 0.22 | 1143.70 | Raw ScoresNeurons:adrenal_medulla_cell_line: 0.48, Astrocyte:Embryonic_stem_cell-derived: 0.42, Neuroepithelial_cell:ESC-derived: 0.42, Neurons:ES_cell-derived_neural_precursor: 0.39, iPS_cells:PDB_1lox-17Puro-10: 0.39, iPS_cells:PDB_1lox-21Puro-20: 0.39, iPS_cells:PDB_1lox-17Puro-5: 0.38, iPS_cells:PDB_1lox-21Puro-26: 0.38, iPS_cells:PDB_2lox-22: 0.38, iPS_cells:CRL2097_foreskin-derived:undiff.: 0.38 |
R53a_w9.5_GGTAACTCATGAGTAA-1 | Neurons:adrenal_medulla_cell_line | 0.20 | 1081.51 | Raw ScoresNeurons:adrenal_medulla_cell_line: 0.45, Neuroepithelial_cell:ESC-derived: 0.39, Astrocyte:Embryonic_stem_cell-derived: 0.37, iPS_cells:PDB_1lox-21Puro-20: 0.36, iPS_cells:PDB_2lox-22: 0.36, iPS_cells:PDB_1lox-21Puro-26: 0.36, iPS_cells:PDB_1lox-17Puro-10: 0.36, iPS_cells:PDB_2lox-21: 0.36, iPS_cells:PDB_1lox-17Puro-5: 0.35, iPS_cells:PDB_2lox-17: 0.35 |
R39_w9.5_GATTCGACACATATGC-1 | Neurons:adrenal_medulla_cell_line | 0.21 | 1005.95 | Raw ScoresNeurons:adrenal_medulla_cell_line: 0.47, Neuroepithelial_cell:ESC-derived: 0.42, Astrocyte:Embryonic_stem_cell-derived: 0.39, iPS_cells:PDB_1lox-21Puro-20: 0.38, iPS_cells:PDB_1lox-17Puro-10: 0.38, iPS_cells:PDB_1lox-17Puro-5: 0.38, iPS_cells:PDB_1lox-21Puro-26: 0.38, iPS_cells:PDB_2lox-22: 0.38, iPS_cells:PDB_2lox-21: 0.37, iPS_cells:PDB_2lox-5: 0.37 |
R53a_w9.5_TATCAGGAGGGACTGT-1 | Neurons:adrenal_medulla_cell_line | 0.21 | 1004.53 | Raw ScoresNeurons:adrenal_medulla_cell_line: 0.47, Neuroepithelial_cell:ESC-derived: 0.43, Astrocyte:Embryonic_stem_cell-derived: 0.41, iPS_cells:PDB_1lox-17Puro-10: 0.39, iPS_cells:PDB_1lox-21Puro-20: 0.39, Neurons:ES_cell-derived_neural_precursor: 0.39, iPS_cells:PDB_1lox-17Puro-5: 0.39, iPS_cells:PDB_1lox-21Puro-26: 0.39, iPS_cells:PDB_2lox-22: 0.39, iPS_cells:PDB_2lox-21: 0.38 |
R53a_w9.5_ATCGCCTCAGCCTATA-1 | Neurons:adrenal_medulla_cell_line | 0.21 | 986.28 | Raw ScoresNeurons:adrenal_medulla_cell_line: 0.48, Neuroepithelial_cell:ESC-derived: 0.44, Astrocyte:Embryonic_stem_cell-derived: 0.42, Neurons:ES_cell-derived_neural_precursor: 0.4, iPS_cells:PDB_1lox-17Puro-10: 0.4, iPS_cells:PDB_1lox-17Puro-5: 0.4, iPS_cells:PDB_1lox-21Puro-20: 0.39, iPS_cells:PDB_1lox-21Puro-26: 0.39, Embryonic_stem_cells: 0.39, iPS_cells:PDB_2lox-22: 0.39 |
R53a_w9.5_TGTTCCGTCTCTCAAT-1 | Neurons:adrenal_medulla_cell_line | 0.22 | 974.82 | Raw ScoresNeurons:adrenal_medulla_cell_line: 0.44, Neuroepithelial_cell:ESC-derived: 0.39, Astrocyte:Embryonic_stem_cell-derived: 0.37, Neurons:ES_cell-derived_neural_precursor: 0.36, iPS_cells:PDB_1lox-21Puro-20: 0.35, iPS_cells:PDB_1lox-17Puro-10: 0.35, Embryonic_stem_cells: 0.35, iPS_cells:PDB_1lox-21Puro-26: 0.35, iPS_cells:PDB_1lox-17Puro-5: 0.34, iPS_cells:PDB_2lox-22: 0.34 |
R53a_w9.5_TCATGAGAGCACCCAC-1 | Neurons:adrenal_medulla_cell_line | 0.21 | 972.10 | Raw ScoresNeurons:adrenal_medulla_cell_line: 0.46, Neuroepithelial_cell:ESC-derived: 0.4, Astrocyte:Embryonic_stem_cell-derived: 0.39, iPS_cells:PDB_1lox-21Puro-20: 0.38, iPS_cells:PDB_1lox-17Puro-10: 0.37, iPS_cells:PDB_1lox-17Puro-5: 0.37, iPS_cells:PDB_1lox-21Puro-26: 0.37, iPS_cells:PDB_2lox-22: 0.37, iPS_cells:CRL2097_foreskin-derived:undiff.: 0.37, iPS_cells:PDB_2lox-5: 0.37 |
R53a_w9.5_CTCATGCCATAGGTTC-1 | Neurons:adrenal_medulla_cell_line | 0.23 | 928.48 | Raw ScoresNeurons:adrenal_medulla_cell_line: 0.5, Neuroepithelial_cell:ESC-derived: 0.44, Astrocyte:Embryonic_stem_cell-derived: 0.43, iPS_cells:PDB_1lox-21Puro-20: 0.4, iPS_cells:PDB_1lox-17Puro-10: 0.4, iPS_cells:PDB_1lox-21Puro-26: 0.4, iPS_cells:PDB_1lox-17Puro-5: 0.4, iPS_cells:PDB_2lox-22: 0.4, iPS_cells:PDB_2lox-21: 0.39, iPS_cells:PDB_2lox-5: 0.39 |
R53a_w9.5_TCAATCTGTATCTCGA-1 | Neurons:adrenal_medulla_cell_line | 0.22 | 927.51 | Raw ScoresNeurons:adrenal_medulla_cell_line: 0.47, Neuroepithelial_cell:ESC-derived: 0.42, Astrocyte:Embryonic_stem_cell-derived: 0.41, iPS_cells:PDB_1lox-21Puro-20: 0.39, iPS_cells:PDB_1lox-17Puro-10: 0.39, iPS_cells:PDB_1lox-17Puro-5: 0.38, iPS_cells:PDB_1lox-21Puro-26: 0.38, Neurons:ES_cell-derived_neural_precursor: 0.38, iPS_cells:PDB_2lox-22: 0.38, iPS_cells:CRL2097_foreskin-derived:undiff.: 0.38 |
R53a_w9.5_ATTGGGTCAGCAGTTT-1 | Neurons:adrenal_medulla_cell_line | 0.19 | 913.84 | Raw ScoresNeurons:adrenal_medulla_cell_line: 0.44, Neuroepithelial_cell:ESC-derived: 0.39, Astrocyte:Embryonic_stem_cell-derived: 0.38, iPS_cells:PDB_1lox-21Puro-20: 0.36, iPS_cells:PDB_1lox-17Puro-10: 0.36, iPS_cells:PDB_1lox-17Puro-5: 0.35, iPS_cells:PDB_1lox-21Puro-26: 0.35, iPS_cells:PDB_2lox-22: 0.35, iPS_cells:adipose_stem_cell-derived:minicircle-derived: 0.35, iPS_cells:CRL2097_foreskin-derived:undiff.: 0.35 |
R63_w12GP_TGTGAGTGTTGCCTAA-1 | Neurons:adrenal_medulla_cell_line | 0.18 | 901.24 | Raw ScoresNeurons:adrenal_medulla_cell_line: 0.44, Neuroepithelial_cell:ESC-derived: 0.39, Astrocyte:Embryonic_stem_cell-derived: 0.38, iPS_cells:PDB_1lox-21Puro-20: 0.36, iPS_cells:PDB_2lox-22: 0.36, iPS_cells:PDB_1lox-21Puro-26: 0.36, iPS_cells:PDB_1lox-17Puro-10: 0.36, iPS_cells:PDB_2lox-17: 0.35, iPS_cells:PDB_2lox-21: 0.35, iPS_cells:PDB_2lox-5: 0.35 |
R53a_w9.5_CTTGAGAAGCCAGTAG-1 | Neurons:adrenal_medulla_cell_line | 0.21 | 898.97 | Raw ScoresNeurons:adrenal_medulla_cell_line: 0.48, Neuroepithelial_cell:ESC-derived: 0.43, Astrocyte:Embryonic_stem_cell-derived: 0.42, iPS_cells:PDB_1lox-21Puro-20: 0.4, iPS_cells:PDB_1lox-17Puro-10: 0.4, iPS_cells:PDB_1lox-21Puro-26: 0.4, iPS_cells:PDB_1lox-17Puro-5: 0.4, iPS_cells:PDB_2lox-22: 0.39, Embryonic_stem_cells: 0.39, iPS_cells:PDB_2lox-17: 0.39 |
R48b_w12_CTTCCGAGTTCCACAA-1 | Neurons:adrenal_medulla_cell_line | 0.22 | 819.78 | Raw ScoresNeurons:adrenal_medulla_cell_line: 0.47, Neuroepithelial_cell:ESC-derived: 0.41, Astrocyte:Embryonic_stem_cell-derived: 0.41, Neurons:ES_cell-derived_neural_precursor: 0.38, iPS_cells:PDB_1lox-17Puro-10: 0.37, iPS_cells:PDB_1lox-21Puro-20: 0.36, iPS_cells:PDB_1lox-17Puro-5: 0.36, iPS_cells:PDB_1lox-21Puro-26: 0.36, Embryonic_stem_cells: 0.36, iPS_cells:CRL2097_foreskin-derived:undiff.: 0.35 |
R30_w8.5_CAGCGTGTCTGATGGT-1 | Neurons:adrenal_medulla_cell_line | 0.18 | 814.61 | Raw ScoresNeurons:adrenal_medulla_cell_line: 0.42, Neuroepithelial_cell:ESC-derived: 0.37, Astrocyte:Embryonic_stem_cell-derived: 0.37, iPS_cells:adipose_stem_cell-derived:minicircle-derived: 0.33, iPS_cells:PDB_1lox-21Puro-20: 0.33, Neurons:ES_cell-derived_neural_precursor: 0.33, iPS_cells:PDB_1lox-17Puro-10: 0.33, iPS_cells:PDB_2lox-22: 0.33, iPS_cells:PDB_1lox-17Puro-5: 0.33, iPS_cells:adipose_stem_cell-derived:lentiviral: 0.33 |
R48a_w14.5_GATCAGTGTACCGTCG-1 | Neurons:adrenal_medulla_cell_line | 0.18 | 806.79 | Raw ScoresNeurons:adrenal_medulla_cell_line: 0.44, Neuroepithelial_cell:ESC-derived: 0.42, Astrocyte:Embryonic_stem_cell-derived: 0.4, iPS_cells:PDB_1lox-21Puro-20: 0.37, iPS_cells:PDB_1lox-17Puro-10: 0.37, iPS_cells:PDB_1lox-17Puro-5: 0.37, iPS_cells:PDB_2lox-22: 0.37, Embryonic_stem_cells: 0.37, iPS_cells:PDB_2lox-5: 0.37, iPS_cells:PDB_1lox-21Puro-26: 0.37 |
R53c_w9.5_CCACGAGTCCGTGCGA-1 | Neurons:adrenal_medulla_cell_line | 0.22 | 792.59 | Raw ScoresNeurons:adrenal_medulla_cell_line: 0.48, Neuroepithelial_cell:ESC-derived: 0.42, Astrocyte:Embryonic_stem_cell-derived: 0.41, iPS_cells:PDB_1lox-21Puro-20: 0.39, Neurons:ES_cell-derived_neural_precursor: 0.39, iPS_cells:PDB_1lox-17Puro-10: 0.39, iPS_cells:PDB_1lox-21Puro-26: 0.39, iPS_cells:PDB_1lox-17Puro-5: 0.38, iPS_cells:PDB_2lox-22: 0.38, iPS_cells:PDB_2lox-21: 0.38 |
R53a_w9.5_CATCGGGCAGTGTGGA-1 | Neurons:adrenal_medulla_cell_line | 0.19 | 765.10 | Raw ScoresNeurons:adrenal_medulla_cell_line: 0.44, Neuroepithelial_cell:ESC-derived: 0.38, Astrocyte:Embryonic_stem_cell-derived: 0.37, iPS_cells:PDB_1lox-21Puro-20: 0.35, iPS_cells:PDB_1lox-17Puro-10: 0.35, iPS_cells:PDB_1lox-17Puro-5: 0.35, iPS_cells:PDB_2lox-22: 0.35, iPS_cells:adipose_stem_cell-derived:minicircle-derived: 0.35, iPS_cells:PDB_1lox-21Puro-26: 0.35, Embryonic_stem_cells: 0.35 |
R53a_w9.5_TGGTACATCCACAGCG-1 | Neurons:adrenal_medulla_cell_line | 0.21 | 759.77 | Raw ScoresNeurons:adrenal_medulla_cell_line: 0.44, Neuroepithelial_cell:ESC-derived: 0.38, Astrocyte:Embryonic_stem_cell-derived: 0.37, Neurons:ES_cell-derived_neural_precursor: 0.35, iPS_cells:PDB_1lox-17Puro-10: 0.34, iPS_cells:PDB_1lox-21Puro-26: 0.34, iPS_cells:PDB_1lox-21Puro-20: 0.34, iPS_cells:PDB_1lox-17Puro-5: 0.34, iPS_cells:PDB_2lox-22: 0.34, Embryonic_stem_cells: 0.33 |
R53a_w9.5_AGCTACATCTGAGCAT-1 | Neurons:adrenal_medulla_cell_line | 0.21 | 752.29 | Raw ScoresNeurons:adrenal_medulla_cell_line: 0.47, Neuroepithelial_cell:ESC-derived: 0.41, Astrocyte:Embryonic_stem_cell-derived: 0.4, iPS_cells:PDB_1lox-21Puro-20: 0.38, Neurons:ES_cell-derived_neural_precursor: 0.37, iPS_cells:PDB_1lox-17Puro-10: 0.37, iPS_cells:PDB_1lox-17Puro-5: 0.37, iPS_cells:PDB_2lox-22: 0.37, Embryonic_stem_cells: 0.37, iPS_cells:PDB_1lox-21Puro-26: 0.37 |
R53a_w9.5_GTTTACTCATAATCCG-1 | Neurons:adrenal_medulla_cell_line | 0.22 | 733.68 | Raw ScoresNeurons:adrenal_medulla_cell_line: 0.48, Neuroepithelial_cell:ESC-derived: 0.42, Astrocyte:Embryonic_stem_cell-derived: 0.41, Neurons:ES_cell-derived_neural_precursor: 0.39, iPS_cells:PDB_1lox-21Puro-20: 0.39, iPS_cells:PDB_1lox-17Puro-10: 0.38, iPS_cells:PDB_1lox-21Puro-26: 0.38, iPS_cells:PDB_1lox-17Puro-5: 0.38, iPS_cells:PDB_2lox-22: 0.38, Embryonic_stem_cells: 0.38 |
R53a_w9.5_GAACGTTGTCAAACGG-1 | Neurons:adrenal_medulla_cell_line | 0.22 | 720.53 | Raw ScoresNeurons:adrenal_medulla_cell_line: 0.48, Neuroepithelial_cell:ESC-derived: 0.43, Astrocyte:Embryonic_stem_cell-derived: 0.41, iPS_cells:PDB_1lox-21Puro-20: 0.39, iPS_cells:PDB_1lox-17Puro-5: 0.39, Neurons:ES_cell-derived_neural_precursor: 0.39, iPS_cells:PDB_1lox-17Puro-10: 0.39, iPS_cells:PDB_2lox-22: 0.39, iPS_cells:PDB_1lox-21Puro-26: 0.39, iPS_cells:CRL2097_foreskin-derived:undiff.: 0.38 |
R53a_w9.5_CATCGCTTCGATACGT-1 | Neurons:adrenal_medulla_cell_line | 0.24 | 717.22 | Raw ScoresNeurons:adrenal_medulla_cell_line: 0.48, Neuroepithelial_cell:ESC-derived: 0.43, Astrocyte:Embryonic_stem_cell-derived: 0.42, iPS_cells:PDB_1lox-17Puro-10: 0.4, iPS_cells:PDB_1lox-17Puro-5: 0.4, iPS_cells:PDB_1lox-21Puro-20: 0.4, Neurons:ES_cell-derived_neural_precursor: 0.4, iPS_cells:PDB_1lox-21Puro-26: 0.39, iPS_cells:PDB_2lox-22: 0.39, iPS_cells:PDB_2lox-21: 0.38 |
R53a_w9.5_GTGTGGCCATGGTACT-1 | Neurons:adrenal_medulla_cell_line | 0.19 | 710.73 | Raw ScoresNeurons:adrenal_medulla_cell_line: 0.44, Neuroepithelial_cell:ESC-derived: 0.4, Astrocyte:Embryonic_stem_cell-derived: 0.39, Neurons:ES_cell-derived_neural_precursor: 0.36, iPS_cells:PDB_1lox-21Puro-20: 0.35, iPS_cells:PDB_1lox-17Puro-10: 0.35, iPS_cells:PDB_2lox-22: 0.35, iPS_cells:PDB_1lox-17Puro-5: 0.35, Embryonic_stem_cells: 0.35, iPS_cells:PDB_1lox-21Puro-26: 0.35 |
R53a_w9.5_CACGGGTTCCACTTTA-1 | Neurons:adrenal_medulla_cell_line | 0.21 | 693.41 | Raw ScoresNeurons:adrenal_medulla_cell_line: 0.46, Neuroepithelial_cell:ESC-derived: 0.4, Astrocyte:Embryonic_stem_cell-derived: 0.39, iPS_cells:PDB_1lox-21Puro-20: 0.37, Neurons:ES_cell-derived_neural_precursor: 0.37, iPS_cells:PDB_1lox-17Puro-5: 0.37, iPS_cells:PDB_1lox-17Puro-10: 0.37, iPS_cells:PDB_1lox-21Puro-26: 0.36, iPS_cells:PDB_2lox-22: 0.36, iPS_cells:CRL2097_foreskin-derived:undiff.: 0.36 |
R53a_w9.5_ATCCCTGTCTTGGGCG-1 | Neurons:adrenal_medulla_cell_line | 0.20 | 687.66 | Raw ScoresNeurons:adrenal_medulla_cell_line: 0.42, Neuroepithelial_cell:ESC-derived: 0.37, Astrocyte:Embryonic_stem_cell-derived: 0.36, Neurons:ES_cell-derived_neural_precursor: 0.33, iPS_cells:PDB_1lox-17Puro-5: 0.33, iPS_cells:PDB_1lox-17Puro-10: 0.33, Embryonic_stem_cells: 0.32, iPS_cells:PDB_1lox-21Puro-20: 0.32, iPS_cells:PDB_2lox-22: 0.32, iPS_cells:PDB_1lox-21Puro-26: 0.32 |
R53a_w9.5_TCTTAGTGTTTGTGGT-1 | Neurons:adrenal_medulla_cell_line | 0.24 | 676.61 | Raw ScoresNeurons:adrenal_medulla_cell_line: 0.46, Neuroepithelial_cell:ESC-derived: 0.41, Astrocyte:Embryonic_stem_cell-derived: 0.4, iPS_cells:PDB_1lox-21Puro-20: 0.37, Neurons:ES_cell-derived_neural_precursor: 0.37, iPS_cells:PDB_1lox-21Puro-26: 0.37, iPS_cells:PDB_1lox-17Puro-10: 0.37, iPS_cells:PDB_1lox-17Puro-5: 0.37, iPS_cells:PDB_2lox-22: 0.36, iPS_cells:PDB_2lox-21: 0.36 |
R53a_w9.5_TTAATCCCATCCTTGC-1 | Neurons:adrenal_medulla_cell_line | 0.19 | 674.50 | Raw ScoresNeurons:adrenal_medulla_cell_line: 0.43, Neuroepithelial_cell:ESC-derived: 0.37, Astrocyte:Embryonic_stem_cell-derived: 0.36, iPS_cells:PDB_1lox-17Puro-10: 0.34, iPS_cells:PDB_1lox-21Puro-20: 0.34, iPS_cells:PDB_1lox-17Puro-5: 0.34, iPS_cells:PDB_1lox-21Puro-26: 0.34, iPS_cells:PDB_2lox-22: 0.34, Neurons:ES_cell-derived_neural_precursor: 0.34, Embryonic_stem_cells: 0.33 |
R53a_w9.5_CTCAAGATCCGAAGGA-1 | Neurons:adrenal_medulla_cell_line | 0.19 | 652.23 | Raw ScoresNeurons:adrenal_medulla_cell_line: 0.43, Neuroepithelial_cell:ESC-derived: 0.38, Astrocyte:Embryonic_stem_cell-derived: 0.36, iPS_cells:PDB_1lox-21Puro-20: 0.36, iPS_cells:PDB_1lox-21Puro-26: 0.35, iPS_cells:PDB_1lox-17Puro-10: 0.35, iPS_cells:PDB_1lox-17Puro-5: 0.35, iPS_cells:PDB_2lox-22: 0.35, iPS_cells:PDB_2lox-17: 0.35, Neurons:ES_cell-derived_neural_precursor: 0.35 |
R53a_w9.5_ATTCACTGTTTAGTCG-1 | Neurons:adrenal_medulla_cell_line | 0.21 | 649.54 | Raw ScoresNeurons:adrenal_medulla_cell_line: 0.45, Neuroepithelial_cell:ESC-derived: 0.39, Astrocyte:Embryonic_stem_cell-derived: 0.38, iPS_cells:PDB_1lox-21Puro-20: 0.36, iPS_cells:PDB_1lox-17Puro-5: 0.36, iPS_cells:PDB_1lox-17Puro-10: 0.36, iPS_cells:PDB_2lox-22: 0.35, Neurons:ES_cell-derived_neural_precursor: 0.35, iPS_cells:PDB_1lox-21Puro-26: 0.35, iPS_cells:PDB_2lox-5: 0.35 |
R53a_w9.5_CATCCGTAGTCATGCT-1 | Neurons:adrenal_medulla_cell_line | 0.20 | 637.77 | Raw ScoresNeurons:adrenal_medulla_cell_line: 0.46, Neuroepithelial_cell:ESC-derived: 0.4, iPS_cells:PDB_1lox-21Puro-20: 0.38, Astrocyte:Embryonic_stem_cell-derived: 0.38, iPS_cells:PDB_1lox-17Puro-10: 0.38, iPS_cells:PDB_1lox-21Puro-26: 0.37, iPS_cells:PDB_1lox-17Puro-5: 0.37, iPS_cells:PDB_2lox-22: 0.37, iPS_cells:PDB_2lox-21: 0.37, iPS_cells:PDB_2lox-17: 0.37 |
R53a_w9.5_GGTGGCTTCGAAGCAG-1 | Neurons:adrenal_medulla_cell_line | 0.19 | 635.34 | Raw ScoresNeurons:adrenal_medulla_cell_line: 0.43, Neuroepithelial_cell:ESC-derived: 0.38, Astrocyte:Embryonic_stem_cell-derived: 0.36, iPS_cells:PDB_1lox-21Puro-20: 0.35, iPS_cells:PDB_1lox-21Puro-26: 0.35, iPS_cells:PDB_1lox-17Puro-5: 0.35, iPS_cells:PDB_2lox-22: 0.34, iPS_cells:PDB_1lox-17Puro-10: 0.34, iPS_cells:CRL2097_foreskin-derived:undiff.: 0.34, iPS_cells:PDB_2lox-21: 0.34 |
R53c_w9.5_AACACACGTCAGCTTA-1 | Neurons:adrenal_medulla_cell_line | 0.23 | 626.99 | Raw ScoresNeurons:adrenal_medulla_cell_line: 0.46, Neuroepithelial_cell:ESC-derived: 0.39, Astrocyte:Embryonic_stem_cell-derived: 0.39, iPS_cells:PDB_1lox-21Puro-20: 0.36, Neurons:ES_cell-derived_neural_precursor: 0.36, iPS_cells:PDB_1lox-21Puro-26: 0.36, iPS_cells:PDB_1lox-17Puro-10: 0.36, iPS_cells:PDB_1lox-17Puro-5: 0.36, iPS_cells:PDB_2lox-22: 0.35, iPS_cells:PDB_2lox-21: 0.35 |
R53a_w9.5_TCTAACTGTTGAGAGC-1 | Neurons:adrenal_medulla_cell_line | 0.19 | 624.28 | Raw ScoresNeurons:adrenal_medulla_cell_line: 0.43, Neuroepithelial_cell:ESC-derived: 0.38, Astrocyte:Embryonic_stem_cell-derived: 0.38, iPS_cells:PDB_1lox-21Puro-20: 0.34, iPS_cells:PDB_1lox-17Puro-10: 0.34, iPS_cells:PDB_1lox-21Puro-26: 0.34, Neurons:ES_cell-derived_neural_precursor: 0.34, iPS_cells:PDB_1lox-17Puro-5: 0.34, iPS_cells:PDB_2lox-22: 0.34, Embryonic_stem_cells: 0.34 |
R53a_w9.5_GACCGTGGTACGAAAT-1 | Neurons:adrenal_medulla_cell_line | 0.21 | 623.05 | Raw ScoresNeurons:adrenal_medulla_cell_line: 0.42, Neuroepithelial_cell:ESC-derived: 0.36, Astrocyte:Embryonic_stem_cell-derived: 0.36, iPS_cells:PDB_1lox-21Puro-20: 0.33, Neurons:ES_cell-derived_neural_precursor: 0.33, iPS_cells:PDB_1lox-21Puro-26: 0.33, iPS_cells:PDB_1lox-17Puro-10: 0.33, iPS_cells:PDB_1lox-17Puro-5: 0.33, iPS_cells:PDB_2lox-22: 0.32, iPS_cells:CRL2097_foreskin-derived:undiff.: 0.32 |
R30_w8.5_GTGAGCCTCTAGTCAG-1 | Neurons:adrenal_medulla_cell_line | 0.22 | 618.52 | Raw ScoresNeurons:adrenal_medulla_cell_line: 0.46, Neuroepithelial_cell:ESC-derived: 0.39, Astrocyte:Embryonic_stem_cell-derived: 0.38, iPS_cells:PDB_1lox-21Puro-20: 0.35, iPS_cells:PDB_1lox-17Puro-10: 0.35, Neurons:ES_cell-derived_neural_precursor: 0.35, iPS_cells:PDB_1lox-21Puro-26: 0.35, iPS_cells:PDB_1lox-17Puro-5: 0.35, iPS_cells:PDB_2lox-22: 0.35, iPS_cells:PDB_2lox-21: 0.35 |
R53a_w9.5_ATTCTTGTCTTCGTGC-1 | Neurons:adrenal_medulla_cell_line | 0.21 | 618.12 | Raw ScoresNeurons:adrenal_medulla_cell_line: 0.45, Neuroepithelial_cell:ESC-derived: 0.38, Astrocyte:Embryonic_stem_cell-derived: 0.37, iPS_cells:PDB_1lox-21Puro-20: 0.35, iPS_cells:PDB_1lox-17Puro-10: 0.35, iPS_cells:PDB_1lox-17Puro-5: 0.35, iPS_cells:PDB_1lox-21Puro-26: 0.35, iPS_cells:PDB_2lox-22: 0.34, Neurons:ES_cell-derived_neural_precursor: 0.34, iPS_cells:PDB_2lox-5: 0.34 |
R53a_w9.5_TGGAACTGTTGCGAAG-1 | Neurons:adrenal_medulla_cell_line | 0.19 | 611.37 | Raw ScoresNeurons:adrenal_medulla_cell_line: 0.42, Neuroepithelial_cell:ESC-derived: 0.37, Astrocyte:Embryonic_stem_cell-derived: 0.36, iPS_cells:PDB_1lox-21Puro-20: 0.34, iPS_cells:PDB_2lox-22: 0.34, iPS_cells:PDB_1lox-17Puro-10: 0.34, iPS_cells:PDB_1lox-21Puro-26: 0.34, iPS_cells:PDB_2lox-17: 0.34, iPS_cells:PDB_2lox-21: 0.34, iPS_cells:PDB_1lox-17Puro-5: 0.34 |
R53a_w9.5_GTTGTAGGTACGCTAT-1 | Neurons:adrenal_medulla_cell_line | 0.20 | 608.76 | Raw ScoresNeurons:adrenal_medulla_cell_line: 0.43, Neuroepithelial_cell:ESC-derived: 0.38, Astrocyte:Embryonic_stem_cell-derived: 0.36, Neurons:ES_cell-derived_neural_precursor: 0.34, iPS_cells:PDB_1lox-21Puro-20: 0.34, iPS_cells:PDB_1lox-17Puro-10: 0.34, Embryonic_stem_cells: 0.34, iPS_cells:PDB_2lox-22: 0.34, iPS_cells:PDB_1lox-17Puro-5: 0.33, iPS_cells:PDB_1lox-21Puro-26: 0.33 |
R53a_w9.5_GTTGTAGCATCCGAAT-1 | Neurons:adrenal_medulla_cell_line | 0.21 | 607.47 | Raw ScoresNeurons:adrenal_medulla_cell_line: 0.44, Neuroepithelial_cell:ESC-derived: 0.39, Astrocyte:Embryonic_stem_cell-derived: 0.37, iPS_cells:PDB_1lox-21Puro-20: 0.35, iPS_cells:PDB_1lox-17Puro-5: 0.35, iPS_cells:PDB_1lox-17Puro-10: 0.35, iPS_cells:PDB_1lox-21Puro-26: 0.35, Neurons:ES_cell-derived_neural_precursor: 0.35, iPS_cells:PDB_2lox-22: 0.34, iPS_cells:CRL2097_foreskin-derived:undiff.: 0.34 |
R53a_w9.5_GGAATCTTCTTTACAC-1 | Neurons:adrenal_medulla_cell_line | 0.22 | 592.36 | Raw ScoresNeurons:adrenal_medulla_cell_line: 0.46, Neuroepithelial_cell:ESC-derived: 0.4, Astrocyte:Embryonic_stem_cell-derived: 0.39, iPS_cells:PDB_1lox-21Puro-20: 0.36, Neurons:ES_cell-derived_neural_precursor: 0.36, iPS_cells:PDB_2lox-22: 0.35, iPS_cells:PDB_1lox-21Puro-26: 0.35, iPS_cells:PDB_1lox-17Puro-10: 0.35, iPS_cells:PDB_1lox-17Puro-5: 0.35, iPS_cells:CRL2097_foreskin-derived:undiff.: 0.35 |
R30_w8.5_ACACCAACACCAAATC-1 | Neurons:adrenal_medulla_cell_line | 0.21 | 590.63 | Raw ScoresNeurons:adrenal_medulla_cell_line: 0.43, Neuroepithelial_cell:ESC-derived: 0.37, Astrocyte:Embryonic_stem_cell-derived: 0.36, iPS_cells:PDB_1lox-21Puro-20: 0.33, iPS_cells:PDB_1lox-17Puro-10: 0.33, iPS_cells:PDB_1lox-21Puro-26: 0.33, Neurons:ES_cell-derived_neural_precursor: 0.33, iPS_cells:PDB_1lox-17Puro-5: 0.33, iPS_cells:PDB_2lox-22: 0.32, iPS_cells:PDB_2lox-21: 0.32 |
R48b_w12_ATCACGACAGCAGTCC-1 | Neurons:adrenal_medulla_cell_line | 0.22 | 587.89 | Raw ScoresNeurons:adrenal_medulla_cell_line: 0.46, Neuroepithelial_cell:ESC-derived: 0.4, Astrocyte:Embryonic_stem_cell-derived: 0.39, iPS_cells:PDB_1lox-21Puro-20: 0.37, iPS_cells:PDB_1lox-21Puro-26: 0.37, iPS_cells:PDB_1lox-17Puro-10: 0.37, iPS_cells:PDB_1lox-17Puro-5: 0.37, Neurons:ES_cell-derived_neural_precursor: 0.36, iPS_cells:PDB_2lox-22: 0.36, Embryonic_stem_cells: 0.36 |
R48a_w14.5_CCCGGAAAGTCTAACC-1 | Neurons:adrenal_medulla_cell_line | 0.19 | 582.14 | Raw ScoresNeurons:adrenal_medulla_cell_line: 0.44, Neuroepithelial_cell:ESC-derived: 0.41, Astrocyte:Embryonic_stem_cell-derived: 0.4, Neurons:Schwann_cell: 0.37, Embryonic_stem_cells: 0.36, iPS_cells:CRL2097_foreskin-derived:undiff.: 0.36, iPS_cells:PDB_1lox-21Puro-20: 0.36, iPS_cells:PDB_1lox-17Puro-10: 0.36, iPS_cells:PDB_2lox-5: 0.36, Neurons:ES_cell-derived_neural_precursor: 0.36 |
Below shows the significant enrichments of this GEP for literature curated gene lists
This data was procured from existing single cell RNA-seq maps of neuroblastoma or related relevant data.
High ranks indicate this gene is a driver of this GEP.
These curated gene list are ranked by the P-value (on this GEP) of their constituent genes.
The Mean Count column shows the mean read count in cells scoring highly (H > 50) on this gene expression program.
Genes | Weight | Rank | GTEx | DepMap | Decartes | Mean.Counts | Mean.TPM |
---|---|---|---|---|---|---|---|
UCHL1 | 0.0077061 | 15 | GTEx | DepMap | Descartes | 6.71 | 1020.56 |
MAP1B | 0.0075657 | 16 | GTEx | DepMap | Descartes | 9.78 | 252.64 |
PHOX2A | 0.0075320 | 17 | GTEx | DepMap | Descartes | 4.99 | 850.00 |
PHOX2B | 0.0069169 | 26 | GTEx | DepMap | Descartes | 3.81 | 440.86 |
PCSK1N | 0.0068769 | 27 | GTEx | DepMap | Descartes | 11.24 | 2593.93 |
NNAT | 0.0064057 | 36 | GTEx | DepMap | Descartes | 4.74 | 1083.88 |
EML5 | 0.0059671 | 41 | GTEx | DepMap | Descartes | 2.79 | 99.98 |
HAND2 | 0.0054164 | 55 | GTEx | DepMap | Descartes | 4.51 | 520.97 |
GATA3 | 0.0051390 | 65 | GTEx | DepMap | Descartes | 2.59 | 279.42 |
DBH | 0.0045442 | 91 | GTEx | DepMap | Descartes | 7.20 | 767.12 |
CYB561 | 0.0025594 | 307 | GTEx | DepMap | Descartes | 1.51 | 140.09 |
DDC | 0.0023465 | 364 | GTEx | DepMap | Descartes | 1.31 | 174.48 |
SLC18A1 | 0.0021559 | 418 | GTEx | DepMap | Descartes | 1.62 | 166.42 |
CHGB | 0.0021444 | 423 | GTEx | DepMap | Descartes | 19.93 | 2131.01 |
TH | 0.0020609 | 451 | GTEx | DepMap | Descartes | 4.28 | 615.66 |
DISP2 | 0.0018202 | 545 | GTEx | DepMap | Descartes | 0.18 | 4.10 |
CHGA | -0.0000253 | 15518 | GTEx | DepMap | Descartes | 25.01 | 3155.11 |
Neuroblast (Hanemaaijer)
Marker genes obtained from Supplementary Table SD of Hanemaaijer et al (PMID 33500353). The authors generated single-cell RNA-seq data (sort-seq, 2,229 cells total) from mouse adrenal glads at E13.5, E14.5, E17.5, E18.5, P1 and P5. These were marker genes that matched with a similar dataset generated by Furlan et al (PMID 28684471). This particular set of markers are for the Neuroblast subcluster, which is part of the Adrenal Medulla cluster.:
Wilcoxon ranksum test P-value for gene set overrepresentation: 2.33e-10
Mean rank of genes in gene set: 33.92
Rank on gene expression program of genes in gene set:
Genes | Weight | Rank | GTEx | DepMap | Decartes | Mean.Counts | Mean.TPM |
---|---|---|---|---|---|---|---|
STMN2 | 0.0110361 | 2 | GTEx | DepMap | Descartes | 35.30 | 4938.40 |
RTN1 | 0.0101995 | 5 | GTEx | DepMap | Descartes | 5.67 | 432.10 |
PRPH | 0.0100022 | 6 | GTEx | DepMap | Descartes | 7.40 | 885.51 |
BASP1 | 0.0082951 | 11 | GTEx | DepMap | Descartes | 6.71 | 1024.40 |
NEFL | 0.0078596 | 13 | GTEx | DepMap | Descartes | 2.16 | 114.20 |
ELAVL4 | 0.0077910 | 14 | GTEx | DepMap | Descartes | 3.62 | 296.05 |
ISL1 | 0.0073100 | 20 | GTEx | DepMap | Descartes | 2.77 | 350.13 |
INA | 0.0069639 | 22 | GTEx | DepMap | Descartes | 1.57 | 127.08 |
NEFM | 0.0066107 | 31 | GTEx | DepMap | Descartes | 2.65 | 208.67 |
ELAVL3 | 0.0052790 | 59 | GTEx | DepMap | Descartes | 1.18 | 79.51 |
STMN1 | 0.0052688 | 60 | GTEx | DepMap | Descartes | 23.53 | 2159.10 |
TUBB3 | 0.0051264 | 67 | GTEx | DepMap | Descartes | 0.32 | 37.82 |
CCND1 | 0.0038815 | 131 | GTEx | DepMap | Descartes | 6.03 | 472.28 |
Adrenergic Fig 1D (Olsen)
Similar to above, but for selected adrenergic marker genes:
Wilcoxon ranksum test P-value for gene set overrepresentation: 2.79e-10
Mean rank of genes in gene set: 92.15
Rank on gene expression program of genes in gene set:
Genes | Weight | Rank | GTEx | DepMap | Decartes | Mean.Counts | Mean.TPM |
---|---|---|---|---|---|---|---|
STMN2 | 0.0110361 | 2 | GTEx | DepMap | Descartes | 35.30 | 4938.40 |
RTN1 | 0.0101995 | 5 | GTEx | DepMap | Descartes | 5.67 | 432.10 |
MLLT11 | 0.0087034 | 9 | GTEx | DepMap | Descartes | 5.47 | 573.58 |
ELAVL4 | 0.0077910 | 14 | GTEx | DepMap | Descartes | 3.62 | 296.05 |
UCHL1 | 0.0077061 | 15 | GTEx | DepMap | Descartes | 6.71 | 1020.56 |
MAP1B | 0.0075657 | 16 | GTEx | DepMap | Descartes | 9.78 | 252.64 |
ISL1 | 0.0073100 | 20 | GTEx | DepMap | Descartes | 2.77 | 350.13 |
RGS5 | 0.0069440 | 24 | GTEx | DepMap | Descartes | 13.59 | 655.10 |
DBH | 0.0045442 | 91 | GTEx | DepMap | Descartes | 7.20 | 767.12 |
CD24 | 0.0044518 | 95 | GTEx | DepMap | Descartes | 5.45 | NA |
BEX1 | 0.0043455 | 105 | GTEx | DepMap | Descartes | 8.30 | 2744.84 |
NRG1 | 0.0023859 | 351 | GTEx | DepMap | Descartes | 0.30 | 7.17 |
TH | 0.0020609 | 451 | GTEx | DepMap | Descartes | 4.28 | 615.66 |
Below shows ranks on this GEP for literature curated gene lists for large gene sets
These include those reported as mesenchymal/adrenergic by Van Groningen et al.
High ranks indicate this gene is a driver of this GEP (note these results are not ordered).
The Mean Count column shows the mean read count in cells scoring highly (H > 50) on this gene expression program.
VanGroningen Adrenergic Genes
Adrenergic marker genes from Supplementary Table 2 of Van Groningen et al. Nature Genetics 2017. These genes were identified by differential expression analysis of mesenchymal-like and adrenergic-like neuroblastoma cell lines.
Wilcoxon ranksum test P-value for gene set overrepresentation: 2.49e-113
Mean rank of genes in gene set: 4107.62
Median rank of genes in gene set: 902
Rank on gene expression program of top 30 genes in gene set:
Genes | Weight | Rank | GTEx | DepMap | Descartes | Mean.Counts | Mean.TPM |
---|---|---|---|---|---|---|---|
GAP43 | 0.0112243 | 1 | GTEx | DepMap | Descartes | 8.60 | 1082.75 |
STMN2 | 0.0110361 | 2 | GTEx | DepMap | Descartes | 35.30 | 4938.40 |
TUBB2B | 0.0108096 | 4 | GTEx | DepMap | Descartes | 14.83 | 1894.63 |
RTN1 | 0.0101995 | 5 | GTEx | DepMap | Descartes | 5.67 | 432.10 |
PRPH | 0.0100022 | 6 | GTEx | DepMap | Descartes | 7.40 | 885.51 |
TUBB2A | 0.0092530 | 7 | GTEx | DepMap | Descartes | 8.44 | 1190.15 |
NPY | 0.0089387 | 8 | GTEx | DepMap | Descartes | 10.21 | 2904.38 |
STMN4 | 0.0086812 | 10 | GTEx | DepMap | Descartes | 4.20 | 525.60 |
ELAVL2 | 0.0079324 | 12 | GTEx | DepMap | Descartes | 2.31 | 155.96 |
NEFL | 0.0078596 | 13 | GTEx | DepMap | Descartes | 2.16 | 114.20 |
ELAVL4 | 0.0077910 | 14 | GTEx | DepMap | Descartes | 3.62 | 296.05 |
MAP1B | 0.0075657 | 16 | GTEx | DepMap | Descartes | 9.78 | 252.64 |
PHOX2A | 0.0075320 | 17 | GTEx | DepMap | Descartes | 4.99 | 850.00 |
EEF1A2 | 0.0074534 | 19 | GTEx | DepMap | Descartes | 7.66 | 496.18 |
ISL1 | 0.0073100 | 20 | GTEx | DepMap | Descartes | 2.77 | 350.13 |
INA | 0.0069639 | 22 | GTEx | DepMap | Descartes | 1.57 | 127.08 |
RGS5 | 0.0069440 | 24 | GTEx | DepMap | Descartes | 13.59 | 655.10 |
PHOX2B | 0.0069169 | 26 | GTEx | DepMap | Descartes | 3.81 | 440.86 |
TAGLN3 | 0.0068564 | 28 | GTEx | DepMap | Descartes | 2.08 | 342.62 |
NSG1 | 0.0068294 | 30 | GTEx | DepMap | Descartes | 2.11 | NA |
NEFM | 0.0066107 | 31 | GTEx | DepMap | Descartes | 2.65 | 208.67 |
CRMP1 | 0.0065745 | 32 | GTEx | DepMap | Descartes | 2.79 | 254.03 |
GAL | 0.0064879 | 33 | GTEx | DepMap | Descartes | 7.96 | 2926.22 |
DCX | 0.0064235 | 35 | GTEx | DepMap | Descartes | 1.48 | 47.92 |
NNAT | 0.0064057 | 36 | GTEx | DepMap | Descartes | 4.74 | 1083.88 |
TFAP2B | 0.0063735 | 38 | GTEx | DepMap | Descartes | 1.81 | 104.64 |
KIF21A | 0.0062746 | 40 | GTEx | DepMap | Descartes | 3.48 | 159.60 |
DPYSL3 | 0.0057371 | 46 | GTEx | DepMap | Descartes | 2.59 | 127.79 |
ANK2 | 0.0056829 | 47 | GTEx | DepMap | Descartes | 2.33 | 46.80 |
GDAP1L1 | 0.0055792 | 51 | GTEx | DepMap | Descartes | 1.05 | 97.84 |
VanGroningen Mesenchymal Genes
Mesenchymal marker genes from Supplementary Table 2 of Van Groningen et al. Nature Genetics 2017. These genes were identified by differential expression analysis of mesenchymal-like and adrenergic-like neuroblastoma cell lines.
Wilcoxon ranksum test P-value for gene set overrepresentation: 1.00e+00
Mean rank of genes in gene set: 21880.35
Median rank of genes in gene set: 24452
Rank on gene expression program of top 30 genes in gene set:
Genes | Weight | Rank | GTEx | DepMap | Descartes | Mean.Counts | Mean.TPM |
---|---|---|---|---|---|---|---|
CD44 | 0.0042083 | 111 | GTEx | DepMap | Descartes | 2.20 | 101.21 |
TMEFF2 | 0.0033827 | 189 | GTEx | DepMap | Descartes | 0.38 | 33.72 |
TRIL | 0.0014119 | 771 | GTEx | DepMap | Descartes | 0.38 | 21.17 |
DLC1 | 0.0012797 | 893 | GTEx | DepMap | Descartes | 2.82 | 128.31 |
ENAH | 0.0012760 | 898 | GTEx | DepMap | Descartes | 0.97 | 22.30 |
NES | 0.0010863 | 1143 | GTEx | DepMap | Descartes | 0.92 | 52.77 |
FAM102B | 0.0008462 | 1536 | GTEx | DepMap | Descartes | 0.24 | 8.45 |
SEL1L3 | 0.0006971 | 1981 | GTEx | DepMap | Descartes | 0.11 | 6.44 |
ACTN1 | 0.0006260 | 2240 | GTEx | DepMap | Descartes | 0.57 | 39.24 |
ATP1B1 | 0.0006209 | 2263 | GTEx | DepMap | Descartes | 1.50 | 156.58 |
PDE3A | 0.0006167 | 2283 | GTEx | DepMap | Descartes | 0.22 | 8.49 |
VIM | 0.0005786 | 2426 | GTEx | DepMap | Descartes | 10.99 | 1140.22 |
CBFB | 0.0005786 | 2427 | GTEx | DepMap | Descartes | 0.49 | 42.49 |
SSBP4 | 0.0005697 | 2470 | GTEx | DepMap | Descartes | 1.52 | 228.02 |
ATXN1 | 0.0005535 | 2520 | GTEx | DepMap | Descartes | 0.34 | 11.07 |
RBMS1 | 0.0004378 | 3211 | GTEx | DepMap | Descartes | 1.32 | 97.95 |
ATP8B2 | 0.0004377 | 3213 | GTEx | DepMap | Descartes | 0.18 | 11.32 |
ANXA2 | 0.0004349 | 3225 | GTEx | DepMap | Descartes | 3.19 | 219.44 |
FAM43A | 0.0003843 | 3651 | GTEx | DepMap | Descartes | 0.35 | 31.63 |
KIF13A | 0.0003697 | 3781 | GTEx | DepMap | Descartes | 0.21 | 10.17 |
SFT2D2 | 0.0003523 | 3966 | GTEx | DepMap | Descartes | 0.29 | 8.11 |
KDM5B | 0.0003421 | 4059 | GTEx | DepMap | Descartes | 0.55 | 17.76 |
ARMCX2 | 0.0003325 | 4147 | GTEx | DepMap | Descartes | 0.34 | 30.40 |
FAM3C | 0.0003231 | 4245 | GTEx | DepMap | Descartes | 0.73 | 74.35 |
DMD | 0.0003065 | 4437 | GTEx | DepMap | Descartes | 0.57 | 12.22 |
PALLD | 0.0002704 | 4856 | GTEx | DepMap | Descartes | 0.37 | 19.36 |
DKK3 | 0.0002350 | 5373 | GTEx | DepMap | Descartes | 0.60 | 16.10 |
SHC1 | 0.0002144 | 5714 | GTEx | DepMap | Descartes | 0.52 | 39.94 |
DNAJC10 | 0.0001920 | 6117 | GTEx | DepMap | Descartes | 0.50 | 7.10 |
ACAP2 | 0.0001780 | 6405 | GTEx | DepMap | Descartes | 0.59 | 27.23 |
Descartes adrenocortical markers
Top 50 marker genes of adrenocortical cells in the Decartes fetal adrenal single cell map (https://atlas.brotmanbaty.org/bbi/human-gene-expression-during-development/cell/adrenocortical/in/adrenal)
Wilcoxon ranksum test P-value for gene set overrepresentation: 1.00e+00
Mean rank of genes in gene set: 19628.11
Median rank of genes in gene set: 24484.5
Rank on gene expression program of top 30 genes in gene set:
Genes | Weight | Rank | GTEx | DepMap | Descartes | Mean.Counts | Mean.TPM |
---|---|---|---|---|---|---|---|
JAKMIP2 | 0.0014831 | 725 | GTEx | DepMap | Descartes | 0.64 | 19.03 |
DNER | 0.0011683 | 1038 | GTEx | DepMap | Descartes | 0.23 | 16.93 |
SLC1A2 | 0.0010907 | 1134 | GTEx | DepMap | Descartes | 0.26 | 6.31 |
FRMD5 | 0.0005271 | 2649 | GTEx | DepMap | Descartes | 0.11 | 6.78 |
CLU | 0.0003785 | 3698 | GTEx | DepMap | Descartes | 1.53 | 151.86 |
HMGCR | 0.0003060 | 4440 | GTEx | DepMap | Descartes | 0.77 | 42.22 |
PDE10A | 0.0002177 | 5655 | GTEx | DepMap | Descartes | 0.15 | 5.23 |
SGCZ | 0.0001821 | 6311 | GTEx | DepMap | Descartes | 0.00 | 0.03 |
HMGCS1 | 0.0001351 | 7332 | GTEx | DepMap | Descartes | 1.19 | 54.52 |
TM7SF2 | 0.0001252 | 7599 | GTEx | DepMap | Descartes | 0.86 | 89.19 |
SH3PXD2B | 0.0000199 | 11399 | GTEx | DepMap | Descartes | 0.11 | 3.50 |
IGF1R | -0.0000530 | 18235 | GTEx | DepMap | Descartes | 0.57 | 13.84 |
NPC1 | -0.0001013 | 20510 | GTEx | DepMap | Descartes | 0.13 | 9.02 |
GSTA4 | -0.0001026 | 20546 | GTEx | DepMap | Descartes | 1.14 | 155.94 |
PEG3 | -0.0001480 | 21812 | GTEx | DepMap | Descartes | 1.16 | NA |
FDPS | -0.0001784 | 22418 | GTEx | DepMap | Descartes | 1.97 | 207.10 |
SLC2A14 | -0.0002130 | 22992 | GTEx | DepMap | Descartes | 0.01 | 0.25 |
DHCR7 | -0.0002170 | 23064 | GTEx | DepMap | Descartes | 0.27 | 18.68 |
MSMO1 | -0.0002458 | 23436 | GTEx | DepMap | Descartes | 1.00 | 86.39 |
FREM2 | -0.0002682 | 23703 | GTEx | DepMap | Descartes | 0.03 | 0.52 |
SCAP | -0.0002782 | 23800 | GTEx | DepMap | Descartes | 0.34 | 20.29 |
SLC16A9 | -0.0003546 | 24451 | GTEx | DepMap | Descartes | 0.17 | 10.65 |
LDLR | -0.0003549 | 24454 | GTEx | DepMap | Descartes | 0.31 | 12.35 |
BAIAP2L1 | -0.0003633 | 24515 | GTEx | DepMap | Descartes | 0.03 | 1.32 |
CYP17A1 | -0.0003761 | 24599 | GTEx | DepMap | Descartes | 1.98 | 61.27 |
CYP11B1 | -0.0004383 | 24927 | GTEx | DepMap | Descartes | 0.31 | 12.52 |
CYP21A2 | -0.0004416 | 24950 | GTEx | DepMap | Descartes | 0.42 | 18.87 |
LINC00473 | -0.0004457 | 24971 | GTEx | DepMap | Descartes | 0.16 | NA |
ERN1 | -0.0004524 | 25009 | GTEx | DepMap | Descartes | 0.09 | 2.56 |
DHCR24 | -0.0004684 | 25068 | GTEx | DepMap | Descartes | 1.25 | 37.62 |
Descartes chromaffin markers
Top 50 marker genes of chromaffin cells in the Decartes fetal adrenal single cell map (https://atlas.brotmanbaty.org/bbi/human-gene-expression-during-development/cell/chromaffin/in/adrenal)
Wilcoxon ranksum test P-value for gene set overrepresentation: 1.07e-29
Mean rank of genes in gene set: 271.86
Median rank of genes in gene set: 118.5
Rank on gene expression program of top 30 genes in gene set:
Genes | Weight | Rank | GTEx | DepMap | Descartes | Mean.Counts | Mean.TPM |
---|---|---|---|---|---|---|---|
GAP43 | 0.0112243 | 1 | GTEx | DepMap | Descartes | 8.60 | 1082.75 |
STMN2 | 0.0110361 | 2 | GTEx | DepMap | Descartes | 35.30 | 4938.40 |
TUBA1A | 0.0110181 | 3 | GTEx | DepMap | Descartes | 55.46 | 7192.96 |
TUBB2B | 0.0108096 | 4 | GTEx | DepMap | Descartes | 14.83 | 1894.63 |
PRPH | 0.0100022 | 6 | GTEx | DepMap | Descartes | 7.40 | 885.51 |
TUBB2A | 0.0092530 | 7 | GTEx | DepMap | Descartes | 8.44 | 1190.15 |
NPY | 0.0089387 | 8 | GTEx | DepMap | Descartes | 10.21 | 2904.38 |
MLLT11 | 0.0087034 | 9 | GTEx | DepMap | Descartes | 5.47 | 573.58 |
STMN4 | 0.0086812 | 10 | GTEx | DepMap | Descartes | 4.20 | 525.60 |
BASP1 | 0.0082951 | 11 | GTEx | DepMap | Descartes | 6.71 | 1024.40 |
ELAVL2 | 0.0079324 | 12 | GTEx | DepMap | Descartes | 2.31 | 155.96 |
MAP1B | 0.0075657 | 16 | GTEx | DepMap | Descartes | 9.78 | 252.64 |
ISL1 | 0.0073100 | 20 | GTEx | DepMap | Descartes | 2.77 | 350.13 |
SLC6A2 | 0.0069573 | 23 | GTEx | DepMap | Descartes | 1.66 | 144.99 |
GAL | 0.0064879 | 33 | GTEx | DepMap | Descartes | 7.96 | 2926.22 |
RBFOX1 | 0.0063655 | 39 | GTEx | DepMap | Descartes | 1.50 | 101.89 |
MAB21L1 | 0.0057873 | 44 | GTEx | DepMap | Descartes | 1.68 | 170.56 |
PLXNA4 | 0.0055974 | 49 | GTEx | DepMap | Descartes | 1.26 | 30.89 |
MAB21L2 | 0.0051165 | 70 | GTEx | DepMap | Descartes | 0.84 | 99.83 |
IL7 | 0.0049107 | 79 | GTEx | DepMap | Descartes | 0.64 | 100.93 |
MARCH11 | 0.0043686 | 102 | GTEx | DepMap | Descartes | 0.46 | NA |
SYNPO2 | 0.0043060 | 106 | GTEx | DepMap | Descartes | 1.07 | 21.76 |
CCND1 | 0.0038815 | 131 | GTEx | DepMap | Descartes | 6.03 | 472.28 |
PTCHD1 | 0.0038058 | 141 | GTEx | DepMap | Descartes | 0.55 | 16.07 |
HMX1 | 0.0036574 | 154 | GTEx | DepMap | Descartes | 0.62 | 91.73 |
NTRK1 | 0.0036314 | 157 | GTEx | DepMap | Descartes | 0.29 | 22.43 |
CNKSR2 | 0.0036013 | 163 | GTEx | DepMap | Descartes | 0.75 | 34.58 |
REEP1 | 0.0035504 | 170 | GTEx | DepMap | Descartes | 0.58 | 38.20 |
TMEFF2 | 0.0033827 | 189 | GTEx | DepMap | Descartes | 0.38 | 33.72 |
CNTFR | 0.0033769 | 190 | GTEx | DepMap | Descartes | 1.01 | 149.95 |
Descartes Vascular_endothelial markers
Top 50 marker genes of Vascular_endothelial cells in the Decartes fetal adrenal single cell map (https://atlas.brotmanbaty.org/bbi/human-gene-expression-during-development/cell/vascular_endothelial/in/adrenal)
Wilcoxon ranksum test P-value for gene set overrepresentation: 1.00e+00
Mean rank of genes in gene set: 24678.14
Median rank of genes in gene set: 25315
Rank on gene expression program of top 30 genes in gene set:
Genes | Weight | Rank | GTEx | DepMap | Descartes | Mean.Counts | Mean.TPM |
---|---|---|---|---|---|---|---|
MYRIP | 0.0002016 | 5934 | GTEx | DepMap | Descartes | 0.03 | 1.94 |
ESM1 | -0.0002536 | 23521 | GTEx | DepMap | Descartes | 0.03 | 2.48 |
NR5A2 | -0.0002539 | 23527 | GTEx | DepMap | Descartes | 0.00 | 0.11 |
GALNT15 | -0.0002700 | 23719 | GTEx | DepMap | Descartes | 0.01 | NA |
CDH13 | -0.0003360 | 24316 | GTEx | DepMap | Descartes | 0.04 | 1.53 |
CHRM3 | -0.0003497 | 24415 | GTEx | DepMap | Descartes | 0.03 | 1.06 |
EFNB2 | -0.0003574 | 24476 | GTEx | DepMap | Descartes | 0.42 | 29.36 |
DNASE1L3 | -0.0003985 | 24729 | GTEx | DepMap | Descartes | 0.07 | 5.93 |
NOTCH4 | -0.0004134 | 24802 | GTEx | DepMap | Descartes | 0.12 | 4.78 |
APLNR | -0.0004266 | 24863 | GTEx | DepMap | Descartes | 0.02 | 1.43 |
SLCO2A1 | -0.0004298 | 24879 | GTEx | DepMap | Descartes | 0.01 | 0.57 |
CRHBP | -0.0004315 | 24889 | GTEx | DepMap | Descartes | 0.02 | 2.94 |
SHANK3 | -0.0004402 | 24944 | GTEx | DepMap | Descartes | 0.11 | 3.77 |
PODXL | -0.0004526 | 25011 | GTEx | DepMap | Descartes | 0.05 | 2.72 |
CEACAM1 | -0.0004670 | 25058 | GTEx | DepMap | Descartes | 0.02 | 2.08 |
FLT4 | -0.0004750 | 25088 | GTEx | DepMap | Descartes | 0.02 | 0.98 |
FCGR2B | -0.0004789 | 25104 | GTEx | DepMap | Descartes | 0.05 | 2.35 |
BTNL9 | -0.0004796 | 25109 | GTEx | DepMap | Descartes | 0.06 | 5.08 |
SHE | -0.0004821 | 25121 | GTEx | DepMap | Descartes | 0.01 | 0.68 |
ID1 | -0.0004955 | 25178 | GTEx | DepMap | Descartes | 1.15 | 207.44 |
CYP26B1 | -0.0005136 | 25228 | GTEx | DepMap | Descartes | 0.05 | 2.97 |
NPR1 | -0.0005375 | 25306 | GTEx | DepMap | Descartes | 0.03 | 2.14 |
IRX3 | -0.0005428 | 25324 | GTEx | DepMap | Descartes | 0.02 | 1.62 |
TEK | -0.0005544 | 25342 | GTEx | DepMap | Descartes | 0.03 | 1.76 |
PTPRB | -0.0005585 | 25355 | GTEx | DepMap | Descartes | 0.05 | 1.39 |
TIE1 | -0.0005697 | 25379 | GTEx | DepMap | Descartes | 0.02 | 1.58 |
RASIP1 | -0.0005701 | 25380 | GTEx | DepMap | Descartes | 0.07 | 4.70 |
ROBO4 | -0.0005776 | 25397 | GTEx | DepMap | Descartes | 0.02 | 0.74 |
SOX18 | -0.0005842 | 25412 | GTEx | DepMap | Descartes | 0.05 | 6.63 |
ARHGAP29 | -0.0005905 | 25430 | GTEx | DepMap | Descartes | 0.34 | 14.43 |
Descartes stromal markers
Top 50 marker genes of stromal cells in the Decartes fetal adrenal single cell map (https://atlas.brotmanbaty.org/bbi/human-gene-expression-during-development/cell/stromal/in/adrenal)
Wilcoxon ranksum test P-value for gene set overrepresentation: 1.00e+00
Mean rank of genes in gene set: 23097.31
Median rank of genes in gene set: 23985
Rank on gene expression program of top 30 genes in gene set:
Genes | Weight | Rank | GTEx | DepMap | Descartes | Mean.Counts | Mean.TPM |
---|---|---|---|---|---|---|---|
ADAMTS2 | 0.0003773 | 3712 | GTEx | DepMap | Descartes | 0.12 | 6.02 |
ZNF385D | -0.0000663 | 19034 | GTEx | DepMap | Descartes | 0.03 | 0.55 |
CCDC102B | -0.0000764 | 19525 | GTEx | DepMap | Descartes | 0.07 | 6.07 |
FREM1 | -0.0000825 | 19833 | GTEx | DepMap | Descartes | 0.13 | 3.22 |
GAS2 | -0.0000917 | 20184 | GTEx | DepMap | Descartes | 0.03 | 3.03 |
ABCA6 | -0.0001246 | 21223 | GTEx | DepMap | Descartes | 0.02 | 0.66 |
ADAMTSL3 | -0.0001508 | 21874 | GTEx | DepMap | Descartes | 0.01 | 0.20 |
ITGA11 | -0.0001546 | 21949 | GTEx | DepMap | Descartes | 0.01 | 0.17 |
SCARA5 | -0.0001769 | 22384 | GTEx | DepMap | Descartes | 0.00 | 0.20 |
MXRA5 | -0.0001797 | 22445 | GTEx | DepMap | Descartes | 0.01 | 0.27 |
DKK2 | -0.0001807 | 22464 | GTEx | DepMap | Descartes | 0.02 | 0.99 |
FNDC1 | -0.0001854 | 22540 | GTEx | DepMap | Descartes | 0.01 | 0.40 |
LUM | -0.0001877 | 22582 | GTEx | DepMap | Descartes | 0.04 | 3.53 |
SFRP2 | -0.0001916 | 22646 | GTEx | DepMap | Descartes | 0.05 | 3.73 |
PRICKLE1 | -0.0002044 | 22857 | GTEx | DepMap | Descartes | 0.06 | 2.44 |
GLI2 | -0.0002240 | 23181 | GTEx | DepMap | Descartes | 0.02 | 0.58 |
LAMC3 | -0.0002401 | 23382 | GTEx | DepMap | Descartes | 0.01 | 0.29 |
ELN | -0.0002449 | 23429 | GTEx | DepMap | Descartes | 0.10 | 8.66 |
PAMR1 | -0.0002478 | 23462 | GTEx | DepMap | Descartes | 0.02 | 1.08 |
ACTA2 | -0.0002528 | 23514 | GTEx | DepMap | Descartes | 0.07 | 11.07 |
ABCC9 | -0.0002588 | 23586 | GTEx | DepMap | Descartes | 0.04 | 1.42 |
COL27A1 | -0.0002714 | 23736 | GTEx | DepMap | Descartes | 0.02 | 0.83 |
MGP | -0.0002725 | 23743 | GTEx | DepMap | Descartes | 0.12 | 10.60 |
POSTN | -0.0002900 | 23921 | GTEx | DepMap | Descartes | 0.18 | 15.51 |
CLDN11 | -0.0002968 | 23985 | GTEx | DepMap | Descartes | 0.08 | 7.11 |
LOX | -0.0003043 | 24052 | GTEx | DepMap | Descartes | 0.02 | 0.71 |
PRRX1 | -0.0003076 | 24072 | GTEx | DepMap | Descartes | 0.05 | 3.17 |
CCDC80 | -0.0003178 | 24156 | GTEx | DepMap | Descartes | 0.11 | 2.58 |
COL12A1 | -0.0003341 | 24293 | GTEx | DepMap | Descartes | 0.16 | 2.84 |
PCDH18 | -0.0003353 | 24304 | GTEx | DepMap | Descartes | 0.06 | 2.19 |
Descartes sympathoblasts markers
Top 50 marker genes of sympathoblasts cells in the Decartes fetal adrenal single cell map (https://atlas.brotmanbaty.org/bbi/human-gene-expression-during-development/cell/sympathoblasts/in/adrenal)
Wilcoxon ranksum test P-value for gene set overrepresentation: 8.19e-09
Mean rank of genes in gene set: 6568.8
Median rank of genes in gene set: 2135
Rank on gene expression program of top 30 genes in gene set:
Genes | Weight | Rank | GTEx | DepMap | Descartes | Mean.Counts | Mean.TPM |
---|---|---|---|---|---|---|---|
PCSK1N | 0.0068769 | 27 | GTEx | DepMap | Descartes | 11.24 | 2593.93 |
FGF14 | 0.0025524 | 308 | GTEx | DepMap | Descartes | 0.78 | 19.02 |
LINC00632 | 0.0021668 | 412 | GTEx | DepMap | Descartes | 0.77 | NA |
SLC18A1 | 0.0021559 | 418 | GTEx | DepMap | Descartes | 1.62 | 166.42 |
CHGB | 0.0021444 | 423 | GTEx | DepMap | Descartes | 19.93 | 2131.01 |
SCG2 | 0.0017167 | 580 | GTEx | DepMap | Descartes | 4.79 | 524.91 |
UNC80 | 0.0016517 | 620 | GTEx | DepMap | Descartes | 1.01 | 25.24 |
NTNG1 | 0.0016469 | 623 | GTEx | DepMap | Descartes | 0.51 | 31.75 |
C1QL1 | 0.0016124 | 642 | GTEx | DepMap | Descartes | 1.75 | 278.17 |
TMEM130 | 0.0015257 | 703 | GTEx | DepMap | Descartes | 0.24 | 18.37 |
GCH1 | 0.0014986 | 718 | GTEx | DepMap | Descartes | 0.70 | 65.31 |
KCTD16 | 0.0012149 | 979 | GTEx | DepMap | Descartes | 0.23 | 4.45 |
HTATSF1 | 0.0011932 | 1011 | GTEx | DepMap | Descartes | 3.57 | 322.17 |
TENM1 | 0.0011464 | 1054 | GTEx | DepMap | Descartes | 0.24 | NA |
GALNTL6 | 0.0010404 | 1202 | GTEx | DepMap | Descartes | 0.10 | 6.54 |
CDH18 | 0.0009353 | 1368 | GTEx | DepMap | Descartes | 0.14 | 8.15 |
AGBL4 | 0.0008836 | 1458 | GTEx | DepMap | Descartes | 0.19 | 12.75 |
KSR2 | 0.0008598 | 1513 | GTEx | DepMap | Descartes | 0.20 | 3.41 |
TBX20 | 0.0008326 | 1576 | GTEx | DepMap | Descartes | 0.07 | 10.58 |
SPOCK3 | 0.0007100 | 1934 | GTEx | DepMap | Descartes | 0.31 | 26.38 |
PCSK2 | 0.0006907 | 2008 | GTEx | DepMap | Descartes | 0.52 | 30.30 |
DGKK | 0.0006664 | 2081 | GTEx | DepMap | Descartes | 0.39 | 16.30 |
FAM155A | 0.0006371 | 2189 | GTEx | DepMap | Descartes | 0.30 | 10.02 |
MGAT4C | 0.0004532 | 3094 | GTEx | DepMap | Descartes | 0.31 | 3.09 |
GRID2 | 0.0004388 | 3202 | GTEx | DepMap | Descartes | 0.27 | 12.66 |
CNTNAP5 | 0.0003959 | 3549 | GTEx | DepMap | Descartes | 0.04 | 2.20 |
LAMA3 | 0.0003199 | 4286 | GTEx | DepMap | Descartes | 0.15 | 4.70 |
EML6 | 0.0002566 | 5031 | GTEx | DepMap | Descartes | 0.11 | 4.06 |
CDH12 | 0.0001503 | 6966 | GTEx | DepMap | Descartes | 0.09 | 6.60 |
GRM7 | 0.0001379 | 7265 | GTEx | DepMap | Descartes | 0.04 | 1.83 |
Descartes erythroblasts markers
Top 50 marker genes of erythroblasts cells in the Decartes fetal adrenal single cell map (https://atlas.brotmanbaty.org/bbi/human-gene-expression-during-development/cell/erythroblasts/in/adrenal)
Wilcoxon ranksum test P-value for gene set overrepresentation: 1.00e+00
Mean rank of genes in gene set: 21829.71
Median rank of genes in gene set: 24769
Rank on gene expression program of top 30 genes in gene set:
Genes | Weight | Rank | GTEx | DepMap | Descartes | Mean.Counts | Mean.TPM |
---|---|---|---|---|---|---|---|
HECTD4 | 0.0006238 | 2250 | GTEx | DepMap | Descartes | 0.53 | NA |
TSPAN5 | 0.0004018 | 3507 | GTEx | DepMap | Descartes | 0.35 | 26.82 |
SPTB | 0.0003619 | 3874 | GTEx | DepMap | Descartes | 0.14 | 5.42 |
DENND4A | 0.0001421 | 7168 | GTEx | DepMap | Descartes | 0.26 | 9.48 |
EPB41 | 0.0001307 | 7447 | GTEx | DepMap | Descartes | 0.66 | 34.65 |
RAPGEF2 | 0.0000948 | 8487 | GTEx | DepMap | Descartes | 0.36 | 13.16 |
SOX6 | 0.0000540 | 9899 | GTEx | DepMap | Descartes | 0.17 | 4.59 |
XPO7 | -0.0001478 | 21805 | GTEx | DepMap | Descartes | 0.24 | 15.83 |
TRAK2 | -0.0001677 | 22215 | GTEx | DepMap | Descartes | 0.20 | 8.85 |
HBZ | -0.0001732 | 22328 | GTEx | DepMap | Descartes | 0.37 | 113.14 |
RGS6 | -0.0001846 | 22524 | GTEx | DepMap | Descartes | 0.00 | 0.27 |
ABCB10 | -0.0001850 | 22530 | GTEx | DepMap | Descartes | 0.13 | 10.29 |
TFR2 | -0.0001920 | 22652 | GTEx | DepMap | Descartes | 0.03 | 2.93 |
RHD | -0.0001976 | 22735 | GTEx | DepMap | Descartes | 0.00 | 0.43 |
ANK1 | -0.0001993 | 22768 | GTEx | DepMap | Descartes | 0.09 | 2.89 |
SLC25A21 | -0.0002221 | 23151 | GTEx | DepMap | Descartes | 0.01 | 0.42 |
TMCC2 | -0.0002337 | 23317 | GTEx | DepMap | Descartes | 0.08 | 5.50 |
GCLC | -0.0002792 | 23817 | GTEx | DepMap | Descartes | 0.13 | 8.36 |
MICAL2 | -0.0002830 | 23862 | GTEx | DepMap | Descartes | 0.02 | 0.54 |
GYPE | -0.0002970 | 23987 | GTEx | DepMap | Descartes | 0.01 | 0.72 |
RHCE | -0.0003512 | 24430 | GTEx | DepMap | Descartes | 0.03 | 3.18 |
SPTA1 | -0.0003558 | 24460 | GTEx | DepMap | Descartes | 0.03 | 0.97 |
SPECC1 | -0.0003614 | 24501 | GTEx | DepMap | Descartes | 0.13 | 3.67 |
CR1L | -0.0003880 | 24677 | GTEx | DepMap | Descartes | 0.02 | 1.16 |
RHAG | -0.0004262 | 24861 | GTEx | DepMap | Descartes | 0.02 | 2.61 |
SLC4A1 | -0.0004303 | 24881 | GTEx | DepMap | Descartes | 0.06 | 2.85 |
TMEM56 | -0.0004345 | 24913 | GTEx | DepMap | Descartes | 0.07 | NA |
MARCH3 | -0.0004723 | 25078 | GTEx | DepMap | Descartes | 0.06 | NA |
CPOX | -0.0004927 | 25167 | GTEx | DepMap | Descartes | 0.13 | 13.45 |
FECH | -0.0005128 | 25224 | GTEx | DepMap | Descartes | 0.18 | 6.13 |
Descartes myeloid markers
Top 50 marker genes of myeloid cells in the Decartes fetal adrenal single cell map (https://atlas.brotmanbaty.org/bbi/human-gene-expression-during-development/cell/myeloid/in/adrenal)
Wilcoxon ranksum test P-value for gene set overrepresentation: 1.00e+00
Mean rank of genes in gene set: 21950.94
Median rank of genes in gene set: 23451.5
Rank on gene expression program of top 30 genes in gene set:
Genes | Weight | Rank | GTEx | DepMap | Descartes | Mean.Counts | Mean.TPM |
---|---|---|---|---|---|---|---|
HRH1 | 0.0017872 | 563 | GTEx | DepMap | Descartes | 0.29 | 17.06 |
RBPJ | 0.0009007 | 1427 | GTEx | DepMap | Descartes | 1.57 | 80.82 |
FMN1 | 0.0008109 | 1634 | GTEx | DepMap | Descartes | 0.18 | 3.79 |
CD163L1 | 0.0000177 | 11519 | GTEx | DepMap | Descartes | 0.02 | 1.48 |
MS4A4E | -0.0000747 | 19464 | GTEx | DepMap | Descartes | 0.00 | 0.00 |
MARCH1 | -0.0000781 | 19623 | GTEx | DepMap | Descartes | 0.04 | NA |
WWP1 | -0.0000986 | 20410 | GTEx | DepMap | Descartes | 0.25 | 13.91 |
SPP1 | -0.0001100 | 20777 | GTEx | DepMap | Descartes | 0.08 | 10.57 |
HCK | -0.0001698 | 22256 | GTEx | DepMap | Descartes | 0.00 | 0.00 |
ATP8B4 | -0.0001751 | 22361 | GTEx | DepMap | Descartes | 0.00 | 0.13 |
MS4A4A | -0.0001888 | 22601 | GTEx | DepMap | Descartes | 0.01 | 1.26 |
MSR1 | -0.0001991 | 22766 | GTEx | DepMap | Descartes | 0.00 | 0.31 |
CD14 | -0.0002018 | 22811 | GTEx | DepMap | Descartes | 0.03 | 4.10 |
ADAP2 | -0.0002057 | 22881 | GTEx | DepMap | Descartes | 0.01 | 1.78 |
CST3 | -0.0002101 | 22949 | GTEx | DepMap | Descartes | 1.65 | 131.64 |
SLCO2B1 | -0.0002111 | 22965 | GTEx | DepMap | Descartes | 0.01 | 0.25 |
IFNGR1 | -0.0002114 | 22969 | GTEx | DepMap | Descartes | 0.27 | 31.75 |
VSIG4 | -0.0002134 | 23005 | GTEx | DepMap | Descartes | 0.01 | 0.76 |
FGD2 | -0.0002159 | 23044 | GTEx | DepMap | Descartes | 0.01 | 0.37 |
MPEG1 | -0.0002240 | 23182 | GTEx | DepMap | Descartes | 0.00 | 0.17 |
CTSS | -0.0002289 | 23254 | GTEx | DepMap | Descartes | 0.02 | 1.29 |
MS4A7 | -0.0002326 | 23301 | GTEx | DepMap | Descartes | 0.01 | 0.97 |
HLA-DPA1 | -0.0002369 | 23348 | GTEx | DepMap | Descartes | 0.02 | 0.71 |
CD163 | -0.0002467 | 23449 | GTEx | DepMap | Descartes | 0.02 | 1.00 |
CYBB | -0.0002468 | 23450 | GTEx | DepMap | Descartes | 0.02 | 1.44 |
HLA-DRA | -0.0002469 | 23453 | GTEx | DepMap | Descartes | 0.02 | 4.15 |
SLC1A3 | -0.0002551 | 23548 | GTEx | DepMap | Descartes | 0.02 | 0.85 |
CSF1R | -0.0002561 | 23556 | GTEx | DepMap | Descartes | 0.01 | 0.74 |
C1QC | -0.0002736 | 23758 | GTEx | DepMap | Descartes | 0.02 | 4.35 |
C1QB | -0.0002746 | 23770 | GTEx | DepMap | Descartes | 0.03 | 9.84 |
Descartes Schwann markers
Top 50 marker genes of Schwann cells in the Decartes fetal adrenal single cell map (https://atlas.brotmanbaty.org/bbi/human-gene-expression-during-development/cell/schwann/in/adrenal)
Wilcoxon ranksum test P-value for gene set overrepresentation: 9.98e-01
Mean rank of genes in gene set: 15976.45
Median rank of genes in gene set: 22559
Rank on gene expression program of top 30 genes in gene set:
Genes | Weight | Rank | GTEx | DepMap | Descartes | Mean.Counts | Mean.TPM |
---|---|---|---|---|---|---|---|
GFRA3 | 0.0038772 | 132 | GTEx | DepMap | Descartes | 0.80 | 132.71 |
PAG1 | 0.0024749 | 329 | GTEx | DepMap | Descartes | 1.19 | 37.01 |
DST | 0.0021000 | 436 | GTEx | DepMap | Descartes | 3.86 | 54.38 |
SFRP1 | 0.0020897 | 441 | GTEx | DepMap | Descartes | 1.83 | 125.17 |
PPP2R2B | 0.0018865 | 513 | GTEx | DepMap | Descartes | 0.28 | 6.14 |
NRXN1 | 0.0011801 | 1021 | GTEx | DepMap | Descartes | 0.95 | 28.65 |
SOX5 | 0.0011579 | 1046 | GTEx | DepMap | Descartes | 0.30 | 13.02 |
PMP22 | 0.0010024 | 1255 | GTEx | DepMap | Descartes | 1.44 | 214.14 |
NLGN4X | 0.0009753 | 1306 | GTEx | DepMap | Descartes | 0.37 | 21.14 |
XKR4 | 0.0008267 | 1598 | GTEx | DepMap | Descartes | 0.13 | 1.89 |
SCN7A | 0.0006571 | 2117 | GTEx | DepMap | Descartes | 0.20 | 7.10 |
VIM | 0.0005786 | 2426 | GTEx | DepMap | Descartes | 10.99 | 1140.22 |
MARCKS | 0.0004832 | 2875 | GTEx | DepMap | Descartes | 5.59 | 382.73 |
ZNF536 | 0.0004086 | 3446 | GTEx | DepMap | Descartes | 0.17 | 12.65 |
SORCS1 | 0.0003038 | 4475 | GTEx | DepMap | Descartes | 0.14 | 5.28 |
GRIK3 | 0.0001683 | 6596 | GTEx | DepMap | Descartes | 0.07 | 2.05 |
FIGN | 0.0000099 | 11929 | GTEx | DepMap | Descartes | 0.16 | 5.14 |
LAMA4 | -0.0000157 | 14101 | GTEx | DepMap | Descartes | 0.46 | 20.26 |
MDGA2 | -0.0000694 | 19210 | GTEx | DepMap | Descartes | 0.01 | 0.58 |
EGFLAM | -0.0000747 | 19461 | GTEx | DepMap | Descartes | 0.16 | 9.59 |
IL1RAPL2 | -0.0000980 | 20389 | GTEx | DepMap | Descartes | 0.00 | 0.21 |
PLCE1 | -0.0000997 | 20451 | GTEx | DepMap | Descartes | 0.07 | 1.67 |
LRRTM4 | -0.0001355 | 21518 | GTEx | DepMap | Descartes | 0.03 | 1.85 |
IL1RAPL1 | -0.0001656 | 22177 | GTEx | DepMap | Descartes | 0.01 | 0.62 |
ERBB4 | -0.0001864 | 22559 | GTEx | DepMap | Descartes | 0.01 | 0.32 |
TRPM3 | -0.0001908 | 22632 | GTEx | DepMap | Descartes | 0.07 | 1.55 |
GAS7 | -0.0002099 | 22948 | GTEx | DepMap | Descartes | 0.13 | 4.63 |
SLC35F1 | -0.0002121 | 22982 | GTEx | DepMap | Descartes | 0.06 | 2.71 |
MPZ | -0.0002256 | 23212 | GTEx | DepMap | Descartes | 0.07 | 9.44 |
SOX10 | -0.0002271 | 23229 | GTEx | DepMap | Descartes | 0.02 | 1.59 |
Descartes Megakaryocytes markers
Top 50 marker genes of Megakaryocytes cells in the Decartes fetal adrenal single cell map (https://atlas.brotmanbaty.org/bbi/human-gene-expression-during-development/cell/megakaryocytes/in/adrenal)
Wilcoxon ranksum test P-value for gene set overrepresentation: 1.00e+00
Mean rank of genes in gene set: 19637.12
Median rank of genes in gene set: 22856
Rank on gene expression program of top 30 genes in gene set:
Genes | Weight | Rank | GTEx | DepMap | Descartes | Mean.Counts | Mean.TPM |
---|---|---|---|---|---|---|---|
PRKAR2B | 0.0010803 | 1150 | GTEx | DepMap | Descartes | 1.06 | 75.27 |
RAB27B | 0.0010728 | 1157 | GTEx | DepMap | Descartes | 0.38 | 14.74 |
ACTN1 | 0.0006260 | 2240 | GTEx | DepMap | Descartes | 0.57 | 39.24 |
PDE3A | 0.0006167 | 2283 | GTEx | DepMap | Descartes | 0.22 | 8.49 |
CD9 | 0.0005954 | 2357 | GTEx | DepMap | Descartes | 1.49 | 210.83 |
STON2 | 0.0003901 | 3601 | GTEx | DepMap | Descartes | 0.15 | 9.90 |
ACTB | 0.0002768 | 4783 | GTEx | DepMap | Descartes | 19.53 | 2240.05 |
TMSB4X | 0.0002312 | 5425 | GTEx | DepMap | Descartes | 16.78 | 2431.52 |
DOK6 | 0.0002028 | 5903 | GTEx | DepMap | Descartes | 0.09 | 2.64 |
PPBP | -0.0000773 | 19583 | GTEx | DepMap | Descartes | 0.01 | 1.64 |
ITGA2B | -0.0000784 | 19632 | GTEx | DepMap | Descartes | 0.01 | 1.10 |
PF4 | -0.0000802 | 19721 | GTEx | DepMap | Descartes | 0.01 | 2.17 |
GP1BA | -0.0000837 | 19873 | GTEx | DepMap | Descartes | 0.00 | 0.03 |
SLC24A3 | -0.0000903 | 20131 | GTEx | DepMap | Descartes | 0.01 | 0.30 |
MCTP1 | -0.0000929 | 20226 | GTEx | DepMap | Descartes | 0.01 | 0.56 |
ITGB3 | -0.0001105 | 20798 | GTEx | DepMap | Descartes | 0.00 | 0.08 |
GP9 | -0.0001248 | 21228 | GTEx | DepMap | Descartes | 0.01 | 0.97 |
HIPK2 | -0.0001524 | 21907 | GTEx | DepMap | Descartes | 0.42 | 8.92 |
P2RX1 | -0.0001652 | 22170 | GTEx | DepMap | Descartes | 0.00 | 0.27 |
TRPC6 | -0.0001706 | 22276 | GTEx | DepMap | Descartes | 0.00 | 0.21 |
INPP4B | -0.0001803 | 22454 | GTEx | DepMap | Descartes | 0.05 | 1.34 |
CD84 | -0.0001823 | 22494 | GTEx | DepMap | Descartes | 0.00 | 0.08 |
TUBB1 | -0.0001918 | 22648 | GTEx | DepMap | Descartes | 0.02 | 1.53 |
SPN | -0.0002001 | 22786 | GTEx | DepMap | Descartes | 0.01 | 1.01 |
BIN2 | -0.0002044 | 22856 | GTEx | DepMap | Descartes | 0.01 | 0.53 |
PLEK | -0.0002068 | 22893 | GTEx | DepMap | Descartes | 0.01 | 1.27 |
FERMT3 | -0.0002270 | 23228 | GTEx | DepMap | Descartes | 0.01 | 1.41 |
ZYX | -0.0002624 | 23639 | GTEx | DepMap | Descartes | 0.14 | 19.05 |
UBASH3B | -0.0002702 | 23724 | GTEx | DepMap | Descartes | 0.02 | 0.43 |
THBS1 | -0.0002733 | 23755 | GTEx | DepMap | Descartes | 0.02 | 0.54 |
Descartes Lyphoid markers
Top 50 marker genes of Lyphoid cells in the Decartes fetal adrenal single cell map (https://atlas.brotmanbaty.org/bbi/human-gene-expression-during-development/cell/lymphoid/in/adrenal)
Wilcoxon ranksum test P-value for gene set overrepresentation: 9.88e-01
Mean rank of genes in gene set: 15344.31
Median rank of genes in gene set: 22734.5
Rank on gene expression program of top 30 genes in gene set:
Genes | Weight | Rank | GTEx | DepMap | Descartes | Mean.Counts | Mean.TPM |
---|---|---|---|---|---|---|---|
CD44 | 0.0042083 | 111 | GTEx | DepMap | Descartes | 2.20 | 101.21 |
GNG2 | 0.0036312 | 158 | GTEx | DepMap | Descartes | 1.79 | 134.94 |
TOX | 0.0036090 | 162 | GTEx | DepMap | Descartes | 0.66 | 49.53 |
TMSB10 | 0.0035820 | 165 | GTEx | DepMap | Descartes | 40.25 | 21375.79 |
BCL2 | 0.0034234 | 187 | GTEx | DepMap | Descartes | 0.95 | 39.20 |
EVL | 0.0028378 | 262 | GTEx | DepMap | Descartes | 2.00 | 163.53 |
STK39 | 0.0016978 | 593 | GTEx | DepMap | Descartes | 0.46 | 42.54 |
RAP1GAP2 | 0.0014990 | 717 | GTEx | DepMap | Descartes | 0.24 | 11.65 |
SCML4 | 0.0013628 | 812 | GTEx | DepMap | Descartes | 0.15 | 11.77 |
FYN | 0.0013616 | 817 | GTEx | DepMap | Descartes | 1.10 | 91.88 |
SORL1 | 0.0011942 | 1010 | GTEx | DepMap | Descartes | 0.42 | 13.04 |
FOXP1 | 0.0011309 | 1072 | GTEx | DepMap | Descartes | 0.93 | 35.73 |
ABLIM1 | 0.0006974 | 1979 | GTEx | DepMap | Descartes | 0.42 | 15.71 |
BACH2 | 0.0006885 | 2013 | GTEx | DepMap | Descartes | 0.10 | 4.11 |
NCALD | 0.0006368 | 2193 | GTEx | DepMap | Descartes | 0.27 | 16.11 |
PDE3B | 0.0004710 | 2973 | GTEx | DepMap | Descartes | 0.17 | 9.10 |
DOCK10 | 0.0004469 | 3147 | GTEx | DepMap | Descartes | 0.21 | 11.34 |
PITPNC1 | 0.0003746 | 3734 | GTEx | DepMap | Descartes | 0.27 | 10.79 |
ANKRD44 | 0.0000062 | 12129 | GTEx | DepMap | Descartes | 0.23 | 11.07 |
LINC00299 | -0.0001021 | 20531 | GTEx | DepMap | Descartes | 0.00 | 0.00 |
NKG7 | -0.0001117 | 20844 | GTEx | DepMap | Descartes | 0.02 | 11.47 |
CCL5 | -0.0001122 | 20853 | GTEx | DepMap | Descartes | 0.01 | 1.96 |
MSN | -0.0001401 | 21618 | GTEx | DepMap | Descartes | 0.51 | 34.75 |
SAMD3 | -0.0001860 | 22551 | GTEx | DepMap | Descartes | 0.00 | 0.43 |
SKAP1 | -0.0002079 | 22918 | GTEx | DepMap | Descartes | 0.01 | 0.84 |
LCP1 | -0.0002247 | 23192 | GTEx | DepMap | Descartes | 0.07 | 5.29 |
CELF2 | -0.0002532 | 23518 | GTEx | DepMap | Descartes | 0.13 | 4.72 |
ARHGAP15 | -0.0002655 | 23673 | GTEx | DepMap | Descartes | 0.01 | 1.00 |
PTPRC | -0.0002797 | 23824 | GTEx | DepMap | Descartes | 0.01 | 0.57 |
MCTP2 | -0.0003067 | 24063 | GTEx | DepMap | Descartes | 0.01 | 0.32 |
Below shows the ranks on this GEP for immune marker gene lists curated by CellTypist (https://www.celltypist.org/encyclopedia).
High ranks indicate this gene is a driver of this GEP.
These curated gene list are ranked by P-value (on this GEP) of their constituent genes.
The Mean Count column shows the mean read count in cells scoring highly (H > 50) on this gene expression program.
Genes | Weight | Rank | GTEx | DepMap | Decartes | Mean.Counts | Mean.TPM |
---|---|---|---|---|---|---|---|
SMPD3 | 0.0023805 | 353 | GTEx | DepMap | Descartes | 0.23 | 14.39 |
CD8A | 0.0002728 | 4830 | GTEx | DepMap | Descartes | 0.02 | 1.34 |
CD1A | -0.0000242 | 15369 | GTEx | DepMap | Descartes | 0.00 | 0.00 |
T cells: CD8a/b(entry) (model markers)
T lymphocytes with CD8 alpha/beta heterodimers in the late double-positive (entry) stage during T cell development:
Wilcoxon ranksum test P-value for gene set overrepresentation: 1.33e-01
Mean rank of genes in gene set: 10287.4
Rank on gene expression program of genes in gene set:
Genes | Weight | Rank | GTEx | DepMap | Decartes | Mean.Counts | Mean.TPM |
---|---|---|---|---|---|---|---|
CD44 | 0.0042083 | 111 | GTEx | DepMap | Descartes | 2.20 | 101.21 |
TMSB10 | 0.0035820 | 165 | GTEx | DepMap | Descartes | 40.25 | 21375.79 |
MALAT1 | 0.0013572 | 819 | GTEx | DepMap | Descartes | 433.37 | 13946.98 |
SATB1 | 0.0010189 | 1231 | GTEx | DepMap | Descartes | 0.46 | 19.26 |
RPL10 | 0.0008073 | 1643 | GTEx | DepMap | Descartes | 40.74 | 4412.01 |
RPS27 | 0.0000715 | 9250 | GTEx | DepMap | Descartes | 26.47 | 10428.52 |
CD1E | -0.0000182 | 14488 | GTEx | DepMap | Descartes | 0.00 | 0.00 |
ITM2A | -0.0002952 | 23970 | GTEx | DepMap | Descartes | 0.04 | 4.18 |
FTL | -0.0005954 | 25442 | GTEx | DepMap | Descartes | 11.92 | 3180.47 |
MT-ND2 | -0.0009165 | 25755 | GTEx | DepMap | Descartes | 9.39 | 2286.54 |
ILC: ILC2 (curated markers)
innate lymphoid cell subpopulation II that promotes type 2 inflammation and is involved in immune response against large extracellular pathogens:
Wilcoxon ranksum test P-value for gene set overrepresentation: 1.45e-01
Mean rank of genes in gene set: 8356
Rank on gene expression program of genes in gene set:
Genes | Weight | Rank | GTEx | DepMap | Decartes | Mean.Counts | Mean.TPM |
---|---|---|---|---|---|---|---|
GATA3 | 0.0051390 | 65 | GTEx | DepMap | Descartes | 2.59 | 279.42 |
KLRG1 | 0.0007245 | 1880 | GTEx | DepMap | Descartes | 0.08 | 13.79 |
HPGDS | -0.0002202 | 23123 | GTEx | DepMap | Descartes | 0.00 | 0.63 |