Program description and justification of annotation: 28.
Submit a comment on this gene expression program’s interpretation: CLICK
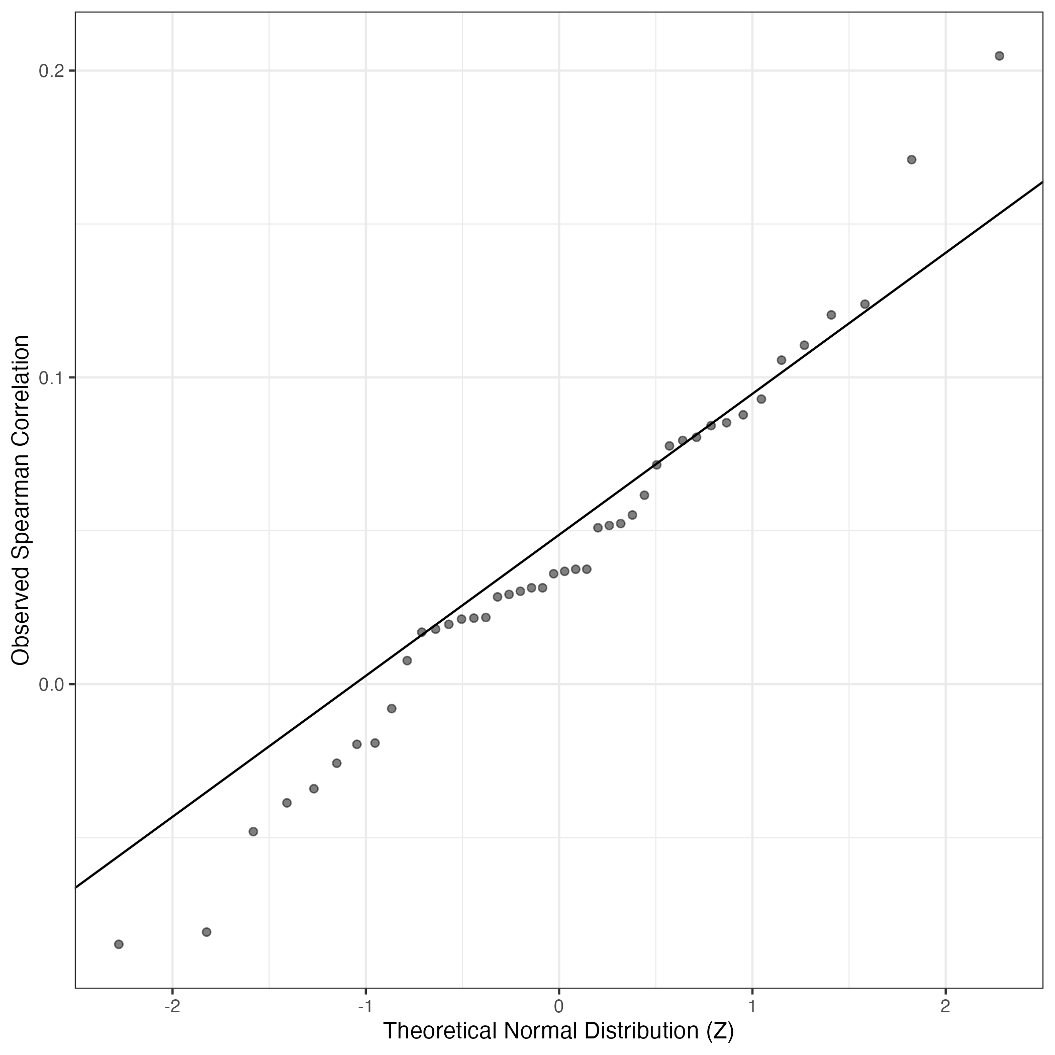
QQ-plot of gene loadings, averaged over both independent splits of the data
This plot highlights the relative contribution of each gene to the GEP
Top genes driving this program.
Note: Decartes website is buggy, try refreshing. Also, Decartes fetal adrenal data have been collected at specific time points (89-122 days), all possible cell types of interest may not be represented, do not overinterpret.
The Mean Count column shows the mean read count in cells scoring highly (H > 50) on this gene expression program.
Gene | Loading | Gene.Name | GTEx | DepMap | Descartes | Mean.Counts | Mean.Tpm | |
---|---|---|---|---|---|---|---|---|
1 | PRG4 | 0.0081483 | proteoglycan 4 | GTEx | DepMap | Descartes | 0.63 | 11.44 |
2 | MARCO | 0.0071543 | macrophage receptor with collagenous structure | GTEx | DepMap | Descartes | 2.18 | 20.81 |
3 | LTC4S | 0.0070262 | leukotriene C4 synthase | GTEx | DepMap | Descartes | 5.53 | 926.33 |
4 | SAA3 | 0.0068432 | NA | GTEx | DepMap | Descartes | 13.71 | 1260.65 |
5 | ITGAM | 0.0067718 | integrin subunit alpha M | GTEx | DepMap | Descartes | 2.69 | 20.52 |
6 | PADI4 | 0.0065152 | peptidyl arginine deiminase 4 | GTEx | DepMap | Descartes | 0.33 | 4.26 |
7 | ARG1 | 0.0065120 | arginase 1 | GTEx | DepMap | Descartes | 11.09 | 325.93 |
8 | CCL6 | 0.0064723 | NA | GTEx | DepMap | Descartes | 20.49 | 1371.96 |
9 | SMPDL3A | 0.0058605 | sphingomyelin phosphodiesterase acid like 3A | GTEx | DepMap | Descartes | 2.93 | 59.50 |
10 | GPX1 | 0.0055320 | glutathione peroxidase 1 | GTEx | DepMap | Descartes | 25.08 | 6052.18 |
11 | ALOX5AP | 0.0053306 | arachidonate 5-lipoxygenase activating protein | GTEx | DepMap | Descartes | 6.94 | 126.35 |
12 | LYZ1 | 0.0053266 | NA | GTEx | DepMap | Descartes | 1.27 | 85.64 |
13 | ADGRE1 | 0.0052971 | adhesion G protein-coupled receptor E1 | GTEx | DepMap | Descartes | 1.68 | 4.57 |
14 | CALML4 | 0.0051168 | calmodulin like 4 | GTEx | DepMap | Descartes | 0.89 | 16.01 |
15 | EMP3 | 0.0050000 | epithelial membrane protein 3 | GTEx | DepMap | Descartes | 8.20 | 931.38 |
16 | ALOX15 | 0.0048325 | arachidonate 15-lipoxygenase | GTEx | DepMap | Descartes | 0.15 | 6.74 |
17 | CCL9 | 0.0048226 | NA | GTEx | DepMap | Descartes | 5.43 | 413.14 |
18 | BST1 | 0.0047278 | bone marrow stromal cell antigen 1 | GTEx | DepMap | Descartes | 0.74 | 12.30 |
19 | WFDC17 | 0.0047130 | NA | GTEx | DepMap | Descartes | 78.89 | 9983.27 |
20 | EMILIN2 | 0.0046067 | elastin microfibril interfacer 2 | GTEx | DepMap | Descartes | 1.44 | 10.69 |
21 | MS4A8A | 0.0045962 | NA | GTEx | DepMap | Descartes | 0.39 | 10.72 |
22 | FN1 | 0.0045828 | fibronectin 1 | GTEx | DepMap | Descartes | 11.40 | 72.61 |
23 | F7 | 0.0044906 | coagulation factor VII | GTEx | DepMap | Descartes | 0.70 | 24.91 |
24 | DPEP2 | 0.0044225 | dipeptidase 2 | GTEx | DepMap | Descartes | 0.75 | 31.03 |
25 | CRIP1 | 0.0042602 | cysteine rich protein 1 | GTEx | DepMap | Descartes | 27.56 | 1379.31 |
26 | ITGB2 | 0.0042340 | integrin subunit beta 2 | GTEx | DepMap | Descartes | 2.72 | 31.71 |
27 | IFITM3 | 0.0042105 | interferon induced transmembrane protein 3 | GTEx | DepMap | Descartes | 28.93 | 10056.50 |
28 | ECM1 | 0.0042100 | extracellular matrix protein 1 | GTEx | DepMap | Descartes | 2.91 | 218.92 |
29 | KLK9 | 0.0041323 | kallikrein related peptidase 9 | GTEx | DepMap | Descartes | 0.10 | 4.45 |
30 | CAPG | 0.0039068 | capping actin protein, gelsolin like | GTEx | DepMap | Descartes | 7.65 | 152.31 |
31 | GM16104 | 0.0038740 | NA | GTEx | DepMap | Descartes | 0.40 | 62.05 |
32 | S100A4 | 0.0035903 | S100 calcium binding protein A4 | GTEx | DepMap | Descartes | 10.43 | 2051.10 |
33 | LYZ2 | 0.0035685 | NA | GTEx | DepMap | Descartes | 147.25 | 9956.02 |
34 | PLTP | 0.0035410 | phospholipid transfer protein | GTEx | DepMap | Descartes | 8.05 | 162.00 |
35 | CD36 | 0.0035295 | CD36 molecule | GTEx | DepMap | Descartes | 4.52 | 14.93 |
36 | CTSS | 0.0035009 | cathepsin S | GTEx | DepMap | Descartes | 28.72 | 375.69 |
37 | H2-D1 | 0.0034775 | NA | GTEx | DepMap | Descartes | 21.81 | 1786.66 |
38 | METRNL | 0.0034093 | meteorin like, glial cell differentiation regulator | GTEx | DepMap | Descartes | 3.51 | 100.94 |
39 | PYCARD | 0.0033990 | PYD and CARD domain containing | GTEx | DepMap | Descartes | 4.57 | 375.77 |
40 | CFP | 0.0033673 | complement factor properdin | GTEx | DepMap | Descartes | 3.80 | 222.80 |
41 | GDA | 0.0033612 | guanine deaminase | GTEx | DepMap | Descartes | 2.26 | 12.89 |
42 | FXYD5 | 0.0032702 | FXYD domain containing ion transport regulator 5 | GTEx | DepMap | Descartes | 8.99 | 396.42 |
43 | KLK8 | 0.0032614 | kallikrein related peptidase 8 | GTEx | DepMap | Descartes | 0.55 | 26.68 |
44 | TIMP2 | 0.0031921 | TIMP metallopeptidase inhibitor 2 | GTEx | DepMap | Descartes | 10.04 | 56.00 |
45 | FOLR2 | 0.0031521 | folate receptor beta | GTEx | DepMap | Descartes | 2.72 | 50.60 |
46 | TSPO | 0.0030355 | translocator protein | GTEx | DepMap | Descartes | 9.89 | 343.07 |
47 | SRGN | 0.0030305 | serglycin | GTEx | DepMap | Descartes | 16.39 | 196.72 |
48 | VSIG4 | 0.0030280 | V-set and immunoglobulin domain containing 4 | GTEx | DepMap | Descartes | 0.66 | 3.18 |
49 | CYBB | 0.0029945 | cytochrome b-245 beta chain | GTEx | DepMap | Descartes | 3.42 | 31.09 |
50 | PRDX5 | 0.0029463 | peroxiredoxin 5 | GTEx | DepMap | Descartes | 11.83 | 1334.03 |
UMAP plots showing activity of gene expression program identified in community:28. M-MDSC
CNV Data procured from inferCNV.
Outer tracks are putative CNV regions (gains = red, losses = blue) for each patient
Inner track is expression data representing:
The top cells expressing this GEP (purple)
Random cells (n =50) from the reference set used in inferCNV (orange)
Gene set Enrichments for this program, caculated from top 50 genes
mSigDB Cell Types Gene Set:
P-value | OR | Lower 95% CI | FDR | FWER | Genes Found | Gene Set Size | |
---|---|---|---|---|---|---|---|
DURANTE_ADULT_OLFACTORY_NEUROEPITHELIUM_DENDRITIC_CELLS | 7.61e-12 | 42.42 | 17.69 | 1.28e-09 | 5.11e-09 | 9EMP3, ITGB2, S100A4, CD36, CTSS, PYCARD, CFP, SRGN, CYBB |
117 |
CUI_DEVELOPING_HEART_C8_MACROPHAGE | 5.05e-14 | 28.02 | 13.50 | 3.39e-11 | 3.39e-11 | 13ITGAM, GPX1, ALOX5AP, ITGB2, S100A4, CD36, CTSS, METRNL, PYCARD, FOLR2, SRGN, VSIG4, CYBB |
275 |
BUSSLINGER_ESOPHAGEAL_DENDRITIC_CELLS | 6.53e-11 | 25.60 | 11.26 | 4.87e-09 | 4.38e-08 | 10GPX1, ALOX5AP, CRIP1, ITGB2, S100A4, CTSS, CFP, FXYD5, SRGN, CYBB |
214 |
CUI_DEVELOPING_HEART_C7_MAST_CELL | 3.07e-09 | 26.86 | 10.71 | 1.37e-07 | 2.06e-06 | 8LTC4S, ITGAM, ALOX5AP, EMP3, CAPG, S100A4, FXYD5, SRGN |
156 |
AIZARANI_LIVER_C6_KUPFFER_CELLS_2 | 1.21e-10 | 23.98 | 10.54 | 8.12e-09 | 8.12e-08 | 10MARCO, GPX1, ITGB2, PLTP, CTSS, PYCARD, CFP, FOLR2, VSIG4, CYBB |
228 |
TRAVAGLINI_LUNG_CLASSICAL_MONOCYTE_CELL | 2.78e-11 | 22.74 | 10.39 | 2.67e-09 | 1.87e-08 | 11ITGAM, GPX1, EMILIN2, S100A4, CD36, CTSS, PYCARD, CFP, TIMP2, TSPO, CYBB |
270 |
TRAVAGLINI_LUNG_MACROPHAGE_CELL | 9.45e-10 | 23.88 | 10.06 | 5.28e-08 | 6.34e-07 | 9MARCO, GPX1, ALOX5AP, FN1, CAPG, CTSS, TSPO, VSIG4, CYBB |
201 |
DURANTE_ADULT_OLFACTORY_NEUROEPITHELIUM_MAST_CELLS | 9.43e-07 | 33.14 | 9.97 | 2.34e-05 | 6.33e-04 | 5LTC4S, ALOX5AP, EMP3, CAPG, SRGN |
75 |
FAN_EMBRYONIC_CTX_BRAIN_MYELOID | 3.66e-08 | 25.74 | 9.60 | 1.44e-06 | 2.46e-05 | 7EMP3, CRIP1, IFITM3, S100A4, CTSS, CFP, FXYD5 |
139 |
ZHONG_PFC_MAJOR_TYPES_MICROGLIA | 8.89e-13 | 19.17 | 9.48 | 2.98e-10 | 5.97e-10 | 14LTC4S, ITGAM, GPX1, ALOX5AP, ITGB2, PLTP, CD36, CTSS, PYCARD, TIMP2, FOLR2, SRGN, VSIG4, CYBB |
438 |
RUBENSTEIN_SKELETAL_MUSCLE_MYELOID_CELLS | 2.02e-11 | 19.70 | 9.28 | 2.52e-09 | 1.35e-08 | 12GPX1, EMP3, CRIP1, ITGB2, S100A4, CTSS, PYCARD, CFP, FXYD5, TSPO, SRGN, CYBB |
347 |
AIZARANI_LIVER_C23_KUPFFER_CELLS_3 | 2.16e-09 | 21.65 | 9.13 | 1.04e-07 | 1.45e-06 | 9ITGAM, EMILIN2, ITGB2, S100A4, CTSS, CFP, TSPO, SRGN, CYBB |
221 |
FAN_OVARY_CL13_MONOCYTE_MACROPHAGE | 1.60e-12 | 18.31 | 9.05 | 3.59e-10 | 1.08e-09 | 14GPX1, ALOX5AP, EMP3, CRIP1, ITGB2, CAPG, S100A4, CTSS, PYCARD, CFP, FXYD5, TSPO, SRGN, VSIG4 |
458 |
FAN_EMBRYONIC_CTX_BIG_GROUPS_BRAIN_IMMUNE | 5.62e-08 | 24.10 | 9.00 | 2.10e-06 | 3.77e-05 | 7EMP3, CRIP1, ITGB2, IFITM3, S100A4, FXYD5, SRGN |
148 |
FAN_EMBRYONIC_CTX_BIG_GROUPS_MICROGLIA | 4.32e-11 | 18.38 | 8.67 | 3.63e-09 | 2.90e-08 | 12LTC4S, ITGAM, GPX1, ALOX5AP, ITGB2, CD36, CTSS, PYCARD, FOLR2, SRGN, VSIG4, CYBB |
371 |
HAY_BONE_MARROW_NEUTROPHIL | 2.25e-11 | 16.85 | 8.16 | 2.52e-09 | 1.51e-08 | 13ITGAM, PADI4, GPX1, BST1, EMILIN2, CAPG, S100A4, PYCARD, CFP, TIMP2, TSPO, SRGN, CYBB |
449 |
DESCARTES_FETAL_MUSCLE_MYELOID_CELLS | 6.23e-07 | 22.96 | 7.86 | 1.62e-05 | 4.18e-04 | 6ITGAM, CTSS, CFP, FOLR2, VSIG4, CYBB |
130 |
AIZARANI_LIVER_C25_KUPFFER_CELLS_4 | 1.69e-07 | 20.37 | 7.62 | 5.67e-06 | 1.13e-04 | 7GPX1, EMILIN2, ITGB2, CTSS, METRNL, SRGN, CYBB |
174 |
CUI_DEVELOPING_HEART_COMPACT_VENTRICULAR_CARDIOMYOCYTE | 1.72e-05 | 29.77 | 7.55 | 3.31e-04 | 1.16e-02 | 4FN1, TIMP2, TSPO, SRGN |
65 |
HU_FETAL_RETINA_MICROGLIA | 1.05e-09 | 15.89 | 7.28 | 5.43e-08 | 7.05e-07 | 11ITGAM, GPX1, ALOX5AP, ITGB2, CD36, CTSS, PYCARD, FOLR2, SRGN, VSIG4, CYBB |
382 |
Dowload full table
mSigDB Hallmark Gene Sets:
P-value | OR | Lower 95% CI | FDR | FWER | Genes Found | Gene Set Size | |
---|---|---|---|---|---|---|---|
HALLMARK_COMPLEMENT | 7.45e-06 | 14.69 | 5.06 | 3.73e-04 | 3.73e-04 | 6ITGAM, FN1, F7, CD36, CTSS, TIMP2 |
200 |
HALLMARK_ALLOGRAFT_REJECTION | 1.08e-04 | 11.91 | 3.65 | 2.70e-03 | 5.39e-03 | 5ITGB2, CAPG, CTSS, CFP, SRGN |
200 |
HALLMARK_APOPTOSIS | 5.71e-04 | 11.57 | 2.99 | 9.52e-03 | 2.86e-02 | 4GPX1, IFITM3, TIMP2, TSPO |
161 |
HALLMARK_IL2_STAT5_SIGNALING | 1.25e-03 | 9.32 | 2.41 | 1.06e-02 | 6.24e-02 | 4SMPDL3A, IFITM3, ECM1, CAPG |
199 |
HALLMARK_EPITHELIAL_MESENCHYMAL_TRANSITION | 1.27e-03 | 9.27 | 2.40 | 1.06e-02 | 6.36e-02 | 4EMP3, FN1, ECM1, CAPG |
200 |
HALLMARK_INFLAMMATORY_RESPONSE | 1.27e-03 | 9.27 | 2.40 | 1.06e-02 | 6.36e-02 | 4MARCO, ADGRE1, EMP3, CYBB |
200 |
HALLMARK_COAGULATION | 4.29e-03 | 9.88 | 1.94 | 3.07e-02 | 2.15e-01 | 3FN1, GDA, KLK8 |
138 |
HALLMARK_KRAS_SIGNALING_UP | 1.18e-02 | 6.77 | 1.34 | 7.36e-02 | 5.89e-01 | 3ARG1, ITGB2, CTSS |
200 |
HALLMARK_PEROXISOME | 2.54e-02 | 8.54 | 0.99 | 1.41e-01 | 1.00e+00 | 2TSPO, PRDX5 |
104 |
HALLMARK_FATTY_ACID_METABOLISM | 5.40e-02 | 5.58 | 0.65 | 2.57e-01 | 1.00e+00 | 2LTC4S, CD36 |
158 |
HALLMARK_HYPOXIA | 8.11e-02 | 4.40 | 0.51 | 2.57e-01 | 1.00e+00 | 2S100A4, PRDX5 |
200 |
HALLMARK_ADIPOGENESIS | 8.11e-02 | 4.40 | 0.51 | 2.57e-01 | 1.00e+00 | 2LTC4S, CD36 |
200 |
HALLMARK_MTORC1_SIGNALING | 8.11e-02 | 4.40 | 0.51 | 2.57e-01 | 1.00e+00 | 2ITGB2, CFP |
200 |
HALLMARK_XENOBIOTIC_METABOLISM | 8.11e-02 | 4.40 | 0.51 | 2.57e-01 | 1.00e+00 | 2ARG1, CD36 |
200 |
HALLMARK_P53_PATHWAY | 8.11e-02 | 4.40 | 0.51 | 2.57e-01 | 1.00e+00 | 2S100A4, KLK8 |
200 |
HALLMARK_ANGIOGENESIS | 8.24e-02 | 12.18 | 0.29 | 2.57e-01 | 1.00e+00 | 1S100A4 |
36 |
HALLMARK_IL6_JAK_STAT3_SIGNALING | 1.87e-01 | 4.96 | 0.12 | 5.51e-01 | 1.00e+00 | 1CD36 |
87 |
HALLMARK_INTERFERON_ALPHA_RESPONSE | 2.06e-01 | 4.44 | 0.11 | 5.73e-01 | 1.00e+00 | 1IFITM3 |
97 |
HALLMARK_BILE_ACID_METABOLISM | 2.34e-01 | 3.84 | 0.09 | 6.16e-01 | 1.00e+00 | 1PRDX5 |
112 |
HALLMARK_SPERMATOGENESIS | 2.75e-01 | 3.18 | 0.08 | 6.87e-01 | 1.00e+00 | 1ALOX15 |
135 |
Dowload full table
KEGG Pathways:
P-value | OR | Lower 95% CI | FDR | FWER | Genes Found | Gene Set Size | |
---|---|---|---|---|---|---|---|
KEGG_ARACHIDONIC_ACID_METABOLISM | 3.57e-04 | 24.24 | 4.69 | 6.64e-02 | 6.64e-02 | 3LTC4S, GPX1, ALOX15 |
58 |
KEGG_LEUKOCYTE_TRANSENDOTHELIAL_MIGRATION | 2.64e-03 | 11.80 | 2.32 | 2.46e-01 | 4.91e-01 | 3ITGAM, ITGB2, CYBB |
116 |
KEGG_PPAR_SIGNALING_PATHWAY | 1.18e-02 | 12.99 | 1.50 | 4.84e-01 | 1.00e+00 | 2PLTP, CD36 |
69 |
KEGG_LEISHMANIA_INFECTION | 1.27e-02 | 12.43 | 1.44 | 4.84e-01 | 1.00e+00 | 2ITGAM, ITGB2 |
72 |
KEGG_REGULATION_OF_ACTIN_CYTOSKELETON | 1.39e-02 | 6.35 | 1.25 | 4.84e-01 | 1.00e+00 | 3ITGAM, FN1, ITGB2 |
213 |
KEGG_ECM_RECEPTOR_INTERACTION | 1.71e-02 | 10.62 | 1.23 | 4.84e-01 | 1.00e+00 | 2FN1, CD36 |
84 |
KEGG_HEMATOPOIETIC_CELL_LINEAGE | 1.82e-02 | 10.24 | 1.19 | 4.84e-01 | 1.00e+00 | 2ITGAM, CD36 |
87 |
KEGG_CELL_ADHESION_MOLECULES_CAMS | 3.97e-02 | 6.65 | 0.77 | 9.24e-01 | 1.00e+00 | 2ITGAM, ITGB2 |
133 |
KEGG_NICOTINATE_AND_NICOTINAMIDE_METABOLISM | 5.57e-02 | 18.53 | 0.44 | 1.00e+00 | 1.00e+00 | 1BST1 |
24 |
KEGG_LINOLEIC_ACID_METABOLISM | 6.69e-02 | 15.22 | 0.37 | 1.00e+00 | 1.00e+00 | 1ALOX15 |
29 |
KEGG_GLUTATHIONE_METABOLISM | 1.12e-01 | 8.70 | 0.21 | 1.00e+00 | 1.00e+00 | 1GPX1 |
50 |
KEGG_AMYOTROPHIC_LATERAL_SCLEROSIS_ALS | 1.19e-01 | 8.20 | 0.20 | 1.00e+00 | 1.00e+00 | 1GPX1 |
53 |
KEGG_ARGININE_AND_PROLINE_METABOLISM | 1.21e-01 | 8.04 | 0.20 | 1.00e+00 | 1.00e+00 | 1ARG1 |
54 |
KEGG_CYTOSOLIC_DNA_SENSING_PATHWAY | 1.23e-01 | 7.90 | 0.19 | 1.00e+00 | 1.00e+00 | 1PYCARD |
55 |
KEGG_NOD_LIKE_RECEPTOR_SIGNALING_PATHWAY | 1.38e-01 | 6.99 | 0.17 | 1.00e+00 | 1.00e+00 | 1PYCARD |
62 |
KEGG_ADIPOCYTOKINE_SIGNALING_PATHWAY | 1.48e-01 | 6.46 | 0.16 | 1.00e+00 | 1.00e+00 | 1CD36 |
67 |
KEGG_COMPLEMENT_AND_COAGULATION_CASCADES | 1.52e-01 | 6.27 | 0.15 | 1.00e+00 | 1.00e+00 | 1F7 |
69 |
KEGG_VIRAL_MYOCARDITIS | 1.54e-01 | 6.18 | 0.15 | 1.00e+00 | 1.00e+00 | 1ITGB2 |
70 |
KEGG_PEROXISOME | 1.70e-01 | 5.54 | 0.14 | 1.00e+00 | 1.00e+00 | 1PRDX5 |
78 |
KEGG_SMALL_CELL_LUNG_CANCER | 1.82e-01 | 5.14 | 0.13 | 1.00e+00 | 1.00e+00 | 1FN1 |
84 |
Dowload full table
CHR Positional Gene Sets:
P-value | OR | Lower 95% CI | FDR | FWER | Genes Found | Gene Set Size | |
---|---|---|---|---|---|---|---|
chr1q21 | 6.40e-02 | 3.43 | 0.68 | 1.00e+00 | 1.00e+00 | 3ECM1, S100A4, CTSS |
392 |
chr19q13 | 3.36e-01 | 1.57 | 0.41 | 1.00e+00 | 1.00e+00 | 4EMP3, KLK9, FXYD5, KLK8 |
1165 |
chrXq12 | 6.02e-02 | 17.06 | 0.41 | 1.00e+00 | 1.00e+00 | 1VSIG4 |
26 |
chr16p11 | 1.28e-01 | 3.34 | 0.39 | 1.00e+00 | 1.00e+00 | 2ITGAM, PYCARD |
263 |
chr17q25 | 1.55e-01 | 2.95 | 0.35 | 1.00e+00 | 1.00e+00 | 2METRNL, TIMP2 |
297 |
chr11q13 | 2.59e-01 | 2.08 | 0.24 | 1.00e+00 | 1.00e+00 | 2FOLR2, PRDX5 |
421 |
chr15q23 | 1.44e-01 | 6.66 | 0.16 | 1.00e+00 | 1.00e+00 | 1CALML4 |
65 |
chr1q31 | 1.56e-01 | 6.09 | 0.15 | 1.00e+00 | 1.00e+00 | 1PRG4 |
71 |
chrXp21 | 1.78e-01 | 5.27 | 0.13 | 1.00e+00 | 1.00e+00 | 1CYBB |
82 |
chr6q23 | 2.23e-01 | 4.06 | 0.10 | 1.00e+00 | 1.00e+00 | 1ARG1 |
106 |
chr6q22 | 2.47e-01 | 3.61 | 0.09 | 1.00e+00 | 1.00e+00 | 1SMPDL3A |
119 |
chr4p15 | 2.52e-01 | 3.52 | 0.09 | 1.00e+00 | 1.00e+00 | 1BST1 |
122 |
chr2q35 | 2.59e-01 | 3.41 | 0.08 | 1.00e+00 | 1.00e+00 | 1FN1 |
126 |
chr2q14 | 3.07e-01 | 2.79 | 0.07 | 1.00e+00 | 1.00e+00 | 1MARCO |
154 |
chr7q21 | 3.23e-01 | 2.62 | 0.06 | 1.00e+00 | 1.00e+00 | 1CD36 |
164 |
chr16q22 | 3.47e-01 | 2.40 | 0.06 | 1.00e+00 | 1.00e+00 | 1DPEP2 |
179 |
chr9q21 | 3.61e-01 | 2.28 | 0.06 | 1.00e+00 | 1.00e+00 | 1GDA |
188 |
chr18p11 | 3.80e-01 | 2.13 | 0.05 | 1.00e+00 | 1.00e+00 | 1EMILIN2 |
201 |
chr10q22 | 3.81e-01 | 2.12 | 0.05 | 1.00e+00 | 1.00e+00 | 1SRGN |
202 |
chr2p11 | 3.86e-01 | 2.09 | 0.05 | 1.00e+00 | 1.00e+00 | 1CAPG |
205 |
Dowload full table
Transcription Factor Targets:
P-value | OR | Lower 95% CI | FDR | FWER | Genes Found | Gene Set Size | |
---|---|---|---|---|---|---|---|
BACH1_01 | 3.40e-03 | 7.02 | 1.82 | 1.00e+00 | 1.00e+00 | 4PADI4, GPX1, EMP3, ECM1 |
263 |
TGATTTRY_GFI1_01 | 5.14e-03 | 6.22 | 1.62 | 1.00e+00 | 1.00e+00 | 4GPX1, EMILIN2, FN1, CD36 |
296 |
TATAAA_TATA_01 | 2.39e-03 | 3.51 | 1.50 | 1.00e+00 | 1.00e+00 | 9MARCO, PADI4, GPX1, EMP3, FN1, ECM1, S100A4, PLTP, CD36 |
1317 |
RYTTCCTG_ETS2_B | 1.22e-02 | 3.08 | 1.17 | 1.00e+00 | 1.00e+00 | 7MARCO, LTC4S, GPX1, ECM1, CTSS, FXYD5, SRGN |
1112 |
SS18_SSX1_FUSION_UNIPROT_Q8IZH1_UNREVIEWED_TARGET_GENES | 2.06e-02 | 9.57 | 1.11 | 1.00e+00 | 1.00e+00 | 2F7, TSPO |
93 |
ADNP_TARGET_GENES | 2.10e-02 | 9.46 | 1.10 | 1.00e+00 | 1.00e+00 | 2PADI4, CTSS |
94 |
TCF11_01 | 2.29e-02 | 5.23 | 1.03 | 1.00e+00 | 1.00e+00 | 3PRG4, ITGAM, GPX1 |
258 |
AP1_Q6 | 2.31e-02 | 5.21 | 1.03 | 1.00e+00 | 1.00e+00 | 3PADI4, GPX1, ECM1 |
259 |
TCF1P_Q6 | 2.60e-02 | 4.98 | 0.98 | 1.00e+00 | 1.00e+00 | 3GPX1, FXYD5, KLK8 |
271 |
HDGF_TARGET_GENES | 2.65e-02 | 4.94 | 0.98 | 1.00e+00 | 1.00e+00 | 3EMP3, ITGB2, PLTP |
273 |
IRF2_01 | 3.76e-02 | 6.85 | 0.80 | 1.00e+00 | 1.00e+00 | 2FXYD5, PRDX5 |
129 |
PR_02 | 4.08e-02 | 6.55 | 0.76 | 1.00e+00 | 1.00e+00 | 2CD36, SRGN |
135 |
CTAWWWATA_RSRFC4_Q2 | 5.44e-02 | 3.68 | 0.73 | 1.00e+00 | 1.00e+00 | 3S100A4, CD36, TIMP2 |
366 |
PR_01 | 4.87e-02 | 5.92 | 0.69 | 1.00e+00 | 1.00e+00 | 2CD36, SRGN |
149 |
RTTTNNNYTGGM_UNKNOWN | 5.22e-02 | 5.69 | 0.66 | 1.00e+00 | 1.00e+00 | 2MARCO, FXYD5 |
155 |
ALX4_01 | 3.75e-02 | 28.41 | 0.66 | 1.00e+00 | 1.00e+00 | 1KLK9 |
16 |
AR_01 | 5.46e-02 | 5.55 | 0.65 | 1.00e+00 | 1.00e+00 | 2PRG4, CD36 |
159 |
FOXD2_TARGET_GENES | 2.05e-01 | 1.86 | 0.58 | 1.00e+00 | 1.00e+00 | 5LTC4S, SMPDL3A, EMILIN2, TSPO, PRDX5 |
1253 |
HNF3_Q6 | 7.57e-02 | 4.58 | 0.54 | 1.00e+00 | 1.00e+00 | 2SRGN, PRDX5 |
192 |
SMN1_SMN2_TARGET_GENES | 1.59e-01 | 1.98 | 0.52 | 1.00e+00 | 1.00e+00 | 4ITGB2, CAPG, S100A4, CTSS |
922 |
Dowload full table
GO Biological Processes:
P-value | OR | Lower 95% CI | FDR | FWER | Genes Found | Gene Set Size | |
---|---|---|---|---|---|---|---|
GOBP_LIPOXIN_METABOLIC_PROCESS | 7.10e-07 | 263.86 | 39.95 | 5.90e-04 | 5.31e-03 | 3LTC4S, ALOX5AP, ALOX15 |
8 |
GOBP_LIPOXYGENASE_PATHWAY | 5.10e-08 | 151.31 | 34.17 | 1.73e-04 | 3.81e-04 | 4LTC4S, GPX1, ALOX5AP, ALOX15 |
16 |
GOBP_NEGATIVE_REGULATION_OF_CELLULAR_AMINE_METABOLIC_PROCESS | 5.55e-05 | 286.32 | 23.57 | 1.48e-02 | 4.16e-01 | 2ITGAM, ITGB2 |
5 |
GOBP_REGULATION_OF_NEUTROPHIL_DEGRANULATION | 8.32e-05 | 214.97 | 19.15 | 1.83e-02 | 6.22e-01 | 2ITGAM, ITGB2 |
6 |
GOBP_POSITIVE_REGULATION_OF_MYELOID_LEUKOCYTE_MEDIATED_IMMUNITY | 8.48e-06 | 95.07 | 16.95 | 4.23e-03 | 6.34e-02 | 3ITGAM, ARG1, ITGB2 |
17 |
GOBP_REGULATION_OF_SUPEROXIDE_METABOLIC_PROCESS | 9.77e-07 | 64.76 | 15.87 | 7.31e-04 | 7.31e-03 | 4ITGAM, BST1, ITGB2, CD36 |
32 |
GOBP_LEUKOTRIENE_METABOLIC_PROCESS | 1.59e-06 | 56.69 | 14.00 | 1.08e-03 | 1.19e-02 | 4LTC4S, ALOX5AP, ALOX15, DPEP2 |
36 |
GOBP_AMYLOID_BETA_CLEARANCE | 1.98e-06 | 53.37 | 13.22 | 1.24e-03 | 1.48e-02 | 4MARCO, ITGAM, ITGB2, CD36 |
38 |
GOBP_REGULATION_OF_ISOMERASE_ACTIVITY | 1.99e-04 | 123.89 | 12.26 | 3.16e-02 | 1.00e+00 | 2ITGAM, ITGB2 |
9 |
GOBP_SUPEROXIDE_METABOLIC_PROCESS | 6.68e-07 | 35.68 | 10.71 | 5.90e-04 | 5.00e-03 | 5ITGAM, BST1, ITGB2, CD36, CYBB |
70 |
GOBP_RESPONSE_TO_SELENIUM_ION | 3.03e-04 | 96.56 | 9.89 | 4.11e-02 | 1.00e+00 | 2ARG1, GPX1 |
11 |
GOBP_REGULATION_OF_NEUTROPHIL_ACTIVATION | 3.03e-04 | 96.56 | 9.89 | 4.11e-02 | 1.00e+00 | 2ITGAM, ITGB2 |
11 |
GOBP_SUPEROXIDE_ANION_GENERATION | 7.89e-05 | 41.67 | 7.89 | 1.79e-02 | 5.91e-01 | 3ITGAM, ITGB2, CYBB |
35 |
GOBP_CELLULAR_OXIDANT_DETOXIFICATION | 4.31e-06 | 23.91 | 7.25 | 2.48e-03 | 3.22e-02 | 5LTC4S, GPX1, ALOX5AP, CD36, PRDX5 |
102 |
GOBP_REGULATION_OF_CATECHOLAMINE_METABOLIC_PROCESS | 5.74e-04 | 66.82 | 7.13 | 6.41e-02 | 1.00e+00 | 2ITGAM, ITGB2 |
15 |
GOBP_REGULATION_OF_MEMBRANE_INVAGINATION | 6.55e-04 | 62.06 | 6.67 | 7.10e-02 | 1.00e+00 | 2ALOX15, CD36 |
16 |
GOBP_CELL_REDOX_HOMEOSTASIS | 1.47e-04 | 33.29 | 6.37 | 2.61e-02 | 1.00e+00 | 3GPX1, CYBB, PRDX5 |
43 |
GOBP_RESPONSE_TO_HYDROPEROXIDE | 7.41e-04 | 57.94 | 6.26 | 7.92e-02 | 1.00e+00 | 2GPX1, CD36 |
17 |
GOBP_CELLULAR_RESPONSE_TO_TOXIC_SUBSTANCE | 1.03e-05 | 19.84 | 6.04 | 4.72e-03 | 7.71e-02 | 5LTC4S, GPX1, ALOX5AP, CD36, PRDX5 |
122 |
GOBP_ICOSANOID_METABOLIC_PROCESS | 1.07e-05 | 19.67 | 5.99 | 4.72e-03 | 8.02e-02 | 5LTC4S, GPX1, ALOX5AP, ALOX15, DPEP2 |
123 |
Dowload full table
Immunological Gene Sets:
P-value | OR | Lower 95% CI | FDR | FWER | Genes Found | Gene Set Size | |
---|---|---|---|---|---|---|---|
GSE42088_2H_VS_24H_LEISHMANIA_INF_DC_UP | 1.11e-12 | 31.18 | 14.17 | 5.41e-09 | 5.41e-09 | 11ITGAM, GPX1, BST1, DPEP2, ITGB2, IFITM3, S100A4, CTSS, PYCARD, TIMP2, TSPO |
200 |
GSE29618_MONOCYTE_VS_PDC_UP | 3.21e-11 | 27.62 | 12.14 | 5.48e-08 | 1.56e-07 | 10MARCO, CALML4, BST1, DPEP2, ITGB2, S100A4, CTSS, CFP, TIMP2, TSPO |
199 |
GSE29618_MONOCYTE_VS_MDC_DAY7_FLU_VACCINE_UP | 3.37e-11 | 27.47 | 12.08 | 5.48e-08 | 1.64e-07 | 10MARCO, ITGAM, SMPDL3A, ADGRE1, BST1, DPEP2, CD36, CTSS, FOLR2, CYBB |
200 |
GSE29618_MONOCYTE_VS_MDC_UP | 9.05e-10 | 24.01 | 10.12 | 1.10e-06 | 4.41e-06 | 9MARCO, ITGAM, ADGRE1, CALML4, BST1, S100A4, CD36, CTSS, CYBB |
200 |
GSE22886_NAIVE_CD8_TCELL_VS_MONOCYTE_DN | 4.31e-07 | 17.62 | 6.61 | 1.75e-04 | 2.10e-03 | 7GPX1, CAPG, CD36, CTSS, CFP, TIMP2, CYBB |
200 |
GSE22886_NAIVE_CD4_TCELL_VS_MONOCYTE_DN | 4.31e-07 | 17.62 | 6.61 | 1.75e-04 | 2.10e-03 | 7ITGAM, GPX1, CAPG, CD36, CTSS, TIMP2, CYBB |
200 |
GSE18893_TCONV_VS_TREG_24H_CULTURE_UP | 4.31e-07 | 17.62 | 6.61 | 1.75e-04 | 2.10e-03 | 7SMPDL3A, GPX1, EMP3, CRIP1, CAPG, S100A4, FXYD5 |
200 |
GSE21670_UNTREATED_VS_IL6_TREATED_STAT3_KO_CD4_TCELL_UP | 4.31e-07 | 17.62 | 6.61 | 1.75e-04 | 2.10e-03 | 7DPEP2, ITGB2, ECM1, CD36, CTSS, TIMP2, CYBB |
200 |
GSE22140_GERMFREE_VS_SPF_MOUSE_CD4_TCELL_DN | 4.31e-07 | 17.62 | 6.61 | 1.75e-04 | 2.10e-03 | 7ALOX5AP, EMP3, CRIP1, S100A4, PLTP, TIMP2, VSIG4 |
200 |
GSE22140_HEALTHY_VS_ARTHRITIC_GERMFREE_MOUSE_CD4_TCELL_DN | 4.31e-07 | 17.62 | 6.61 | 1.75e-04 | 2.10e-03 | 7EMP3, CRIP1, S100A4, PLTP, TIMP2, FOLR2, VSIG4 |
200 |
GSE22935_WT_VS_MYD88_KO_MACROPHAGE_UP | 4.31e-07 | 17.62 | 6.61 | 1.75e-04 | 2.10e-03 | 7MARCO, GPX1, EMILIN2, METRNL, CFP, GDA, CYBB |
200 |
GSE25085_FETAL_LIVER_VS_FETAL_BM_SP4_THYMIC_IMPLANT_DN | 4.31e-07 | 17.62 | 6.61 | 1.75e-04 | 2.10e-03 | 7MARCO, ARG1, BST1, IFITM3, TSPO, SRGN, PRDX5 |
200 |
GSE6269_E_COLI_VS_STREP_PNEUMO_INF_PBMC_DN | 2.57e-06 | 17.80 | 6.11 | 9.64e-04 | 1.25e-02 | 6ITGAM, PADI4, ARG1, ALOX5AP, BST1, CAPG |
166 |
GSE6269_HEALTHY_VS_STAPH_PNEUMO_INF_PBMC_DN | 2.95e-06 | 17.37 | 5.97 | 1.03e-03 | 1.44e-02 | 6BST1, CD36, CTSS, TIMP2, TSPO, CYBB |
170 |
GSE30971_CTRL_VS_LPS_STIM_MACROPHAGE_WBP7_KO_2H_DN | 7.04e-06 | 14.84 | 5.11 | 1.35e-03 | 3.43e-02 | 6GPX1, FN1, S100A4, CD36, PYCARD, VSIG4 |
198 |
GSE10325_LUPUS_CD4_TCELL_VS_LUPUS_MYELOID_DN | 7.45e-06 | 14.69 | 5.06 | 1.35e-03 | 3.63e-02 | 6MARCO, GPX1, CD36, CFP, TIMP2, CYBB |
200 |
GSE10325_LUPUS_BCELL_VS_LUPUS_MYELOID_DN | 7.45e-06 | 14.69 | 5.06 | 1.35e-03 | 3.63e-02 | 6MARCO, ITGAM, S100A4, CD36, CFP, TSPO |
200 |
GSE22886_NAIVE_BCELL_VS_MONOCYTE_DN | 7.45e-06 | 14.69 | 5.06 | 1.35e-03 | 3.63e-02 | 6ITGAM, GPX1, CAPG, S100A4, TIMP2, SRGN |
200 |
GSE29618_PDC_VS_MDC_DN | 7.45e-06 | 14.69 | 5.06 | 1.35e-03 | 3.63e-02 | 6ITGAM, EMP3, ITGB2, IFITM3, S100A4, CFP |
200 |
GSE3982_DC_VS_CENT_MEMORY_CD4_TCELL_UP | 7.45e-06 | 14.69 | 5.06 | 1.35e-03 | 3.63e-02 | 6ALOX15, BST1, FN1, CAPG, CD36, CYBB |
200 |
Top Ranked Transcription Factors for this Gene Expression Program:
Gene Symbol | TF Rank | DNA Binding Domain | Motif Status | IUPAC PWM | GTEx | DepMap | Decartes |
---|---|---|---|---|---|---|---|
ITGB2 | 26 | No | Unlikely to be sequence specific TF | Not a DNA binding protein | No motif | None | None |
CD36 | 35 | No | Unlikely to be sequence specific TF | Not a DNA binding protein | No motif | None | None |
PYCARD | 39 | No | Unlikely to be sequence specific TF | Not a DNA binding protein | No motif | None | None |
ANXA3 | 53 | No | Unlikely to be sequence specific TF | Not a DNA binding protein | No motif | None | Protein operates far upstream on the signaling cascade. |
MLXIPL | 58 | Yes | Known motif | Monomer or homomultimer | High-throughput in vitro | None | None |
KLF2 | 96 | Yes | Known motif | Monomer or homomultimer | High-throughput in vitro | None | None |
CMKLR1 | 152 | No | Unlikely to be sequence specific TF | Not a DNA binding protein | No motif | None | Protein is a G protein-coupled receptor for the chemoattractant adipokine chemerin |
ANXA4 | 158 | No | Unlikely to be sequence specific TF | Not a DNA binding protein | No motif | None | None |
CEBPB | 180 | Yes | Known motif | Monomer or homomultimer | High-throughput in vitro | None | None |
ADAM8 | 192 | No | Unlikely to be sequence specific TF | Not a DNA binding protein | No motif | None | None |
MAFB | 216 | Yes | Known motif | Monomer or homomultimer | 100 perc ID - in vitro | None | PDB:2WTY is a homodimer crystallised with TAATTGCTGACTCAGCAAAT sequence |
CEBPA | 230 | Yes | Known motif | Monomer or homomultimer | 100 perc ID - in vitro | None | None |
SPI1 | 240 | Yes | Known motif | Monomer or homomultimer | High-throughput in vitro | None | None |
CEBPE | 249 | Yes | Known motif | Monomer or homomultimer | High-throughput in vitro | None | Also forms heterodimers. |
HOPX | 253 | No | Unlikely to be sequence specific TF | Not a DNA binding protein | No motif | None | Lacks conserved residues required for DNA binding (PMID: 24287901) |
IRF7 | 270 | Yes | Known motif | Monomer or homomultimer | High-throughput in vitro | None | None |
GLMP | 279 | Yes | Likely to be sequence specific TF | Monomer or homomultimer | No motif | None | Binds GATCCGCCCGCTTGTGGCCAACTGGCTCCAGTCAC dsDNA based on EMSA (PMID: 18021396) |
GLA | 291 | No | Unlikely to be sequence specific TF | Not a DNA binding protein | No motif | None | GLA appears to lack a functional SAND domain. It encodes a well-characterized enzyme, Galactosidase Alpha. Most of the polypeptide encodes a glycoside hydrolase domain and most of the rest encodes another pfam domain called Glycoside hydrolase family 27. It has a low-scoring SAND domain match that almost certainly overlaps with a known domain related to its function as an enzyme. |
LGALS9 | 303 | No | Unlikely to be sequence specific TF | Not a DNA binding protein | No motif | None | None |
IQGAP1 | 315 | No | Unlikely to be sequence specific TF | Not a DNA binding protein | No motif | None | bZIP domain in the protein is just a fragment. |
QQ Plot showing correlations with other Gene Expression Programs in this dataset, calculated by Spearman correlation:
Interactive QQ-plot of gene loadings:
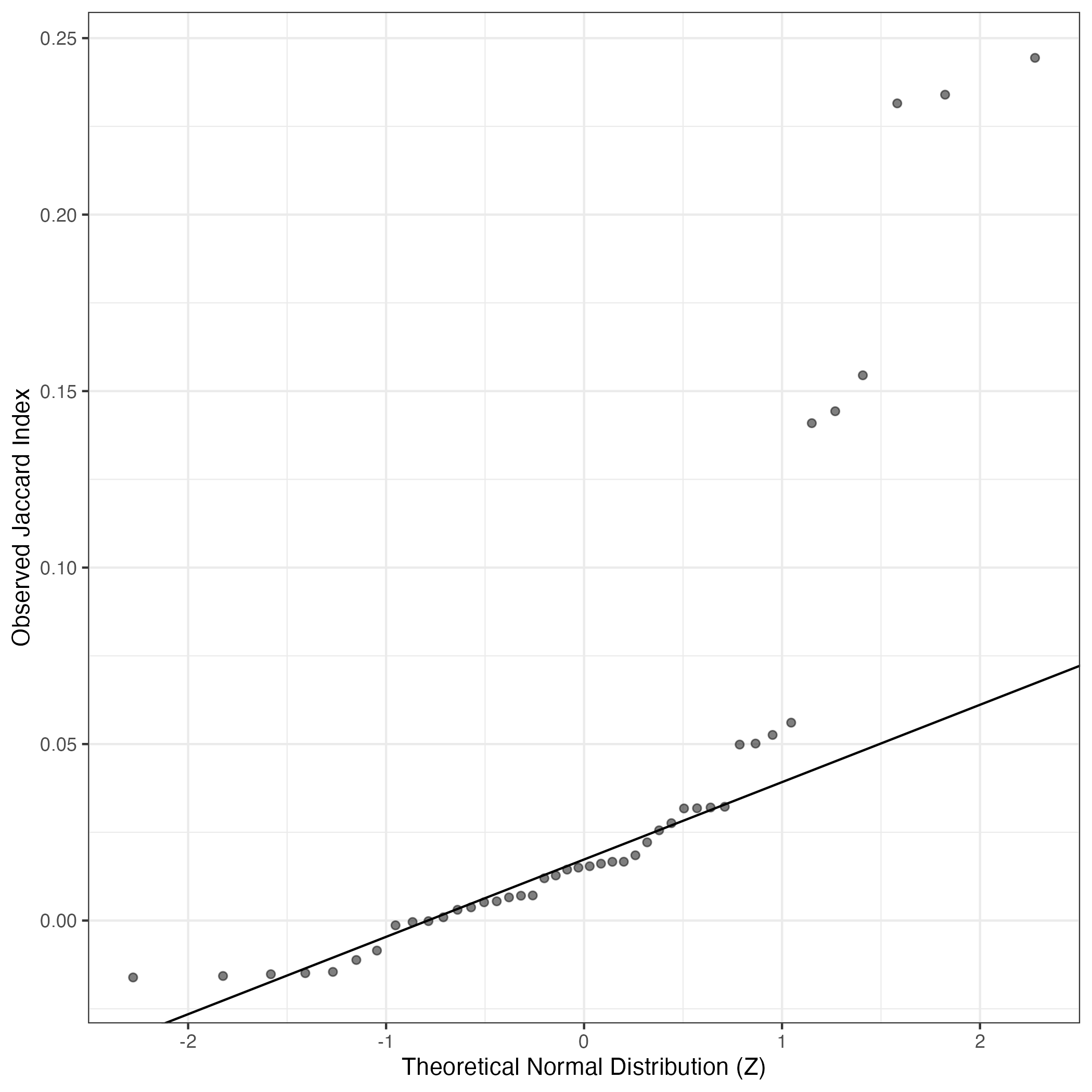
A similar QQ-plot as above, but only for instances where the H value is e.g. > 25, i.e. we are confident that the expression program is active above noise. Agreemenet between these binary vectors is tested using the Jaccard Index, with the P-values calculated by an exact test:
Interactive QQ-plot:
Singler cell type annotations for the top 50 cells on this program.
Cell ID | Singler label | Singler Delta | Activity Score | Top Singler Raw Scores |
---|---|---|---|---|
839_TTCTAGTTCCTTCTGG-1 | Macrophage:monocyte-derived:M-CSF | 0.16 | 5503.22 | Raw ScoresMacrophage:monocyte-derived:M-CSF: 0.54, Macrophage:monocyte-derived:M-CSF/IFNg: 0.54, Monocyte:leukotriene_D4: 0.54, DC:monocyte-derived:AEC-conditioned: 0.53, DC:monocyte-derived: 0.53, Macrophage:monocyte-derived:IL-4/Dex/cntrl: 0.53, Macrophage:monocyte-derived:IL-4/Dex/TGFb: 0.53, Monocyte:anti-FcgRIIB: 0.53, Monocyte: 0.53, Monocyte:CD14+: 0.53 |
839_ACCTGAAGTCATGCAT-1 | Macrophage:monocyte-derived:IL-4/Dex/cntrl | 0.13 | 3751.54 | Raw ScoresMacrophage:monocyte-derived:M-CSF: 0.45, Macrophage:monocyte-derived:IL-4/Dex/cntrl: 0.44, Monocyte:leukotriene_D4: 0.44, Macrophage:monocyte-derived:IL-4/Dex/TGFb: 0.44, DC:monocyte-derived:AEC-conditioned: 0.44, Macrophage:monocyte-derived:M-CSF/IFNg: 0.44, Macrophage:Alveolar: 0.44, Macrophage:monocyte-derived:IL-4/cntrl: 0.44, Macrophage:monocyte-derived:IL-4/TGFb: 0.44, DC:monocyte-derived:anti-DC-SIGN_2h: 0.43 |
839_TTGCTGCTCTGCTTTA-1 | Macrophage:monocyte-derived:M-CSF | 0.05 | 2827.51 | Raw ScoresDC:monocyte-derived:AEC-conditioned: 0.44, GMP: 0.44, Pro-B_cell_CD34+: 0.43, Monocyte:MCSF: 0.43, Pro-Myelocyte: 0.42, Macrophage:monocyte-derived: 0.42, CMP: 0.42, Pre-B_cell_CD34-: 0.42, Macrophage:monocyte-derived:M-CSF: 0.42, Macrophage:monocyte-derived:IL-4/Dex/cntrl: 0.42 |
849_AAGTTCGCAGGCGTTC-1 | Macrophage:Alveolar | 0.11 | 2821.96 | Raw ScoresMonocyte:CD16-: 0.42, Monocyte:CD14+: 0.42, Monocyte:CD16+: 0.42, Macrophage:monocyte-derived:M-CSF: 0.42, Macrophage:monocyte-derived:M-CSF/IFNg: 0.42, Monocyte:leukotriene_D4: 0.42, Macrophage:Alveolar: 0.42, Macrophage:Alveolar:B._anthacis_spores: 0.41, Macrophage:monocyte-derived: 0.41, Monocyte: 0.41 |
887_AAGTTCGGTAAGATAC-1 | Macrophage:monocyte-derived:M-CSF | 0.17 | 2335.36 | Raw ScoresMacrophage:monocyte-derived:M-CSF: 0.53, Macrophage:monocyte-derived:IL-4/Dex/TGFb: 0.52, Macrophage:monocyte-derived:IL-4/Dex/cntrl: 0.52, Monocyte:leukotriene_D4: 0.51, Macrophage:monocyte-derived:M-CSF/IFNg: 0.51, DC:monocyte-derived:immature: 0.51, Monocyte: 0.51, DC:monocyte-derived: 0.51, DC:monocyte-derived:AEC-conditioned: 0.51, DC:monocyte-derived:anti-DC-SIGN_2h: 0.51 |
839_CCGGTAGGTACCTAAC-1 | Macrophage:monocyte-derived:IL-4/Dex/cntrl | 0.14 | 2012.94 | Raw ScoresMacrophage:monocyte-derived:M-CSF: 0.47, Monocyte:leukotriene_D4: 0.47, DC:monocyte-derived:AEC-conditioned: 0.47, Macrophage:monocyte-derived:IL-4/Dex/cntrl: 0.47, Macrophage:monocyte-derived:M-CSF/IFNg: 0.46, Macrophage:monocyte-derived:IL-4/Dex/TGFb: 0.46, DC:monocyte-derived: 0.46, DC:monocyte-derived:anti-DC-SIGN_2h: 0.46, DC:monocyte-derived:immature: 0.46, Macrophage:monocyte-derived:IL-4/cntrl: 0.46 |
839_TGGGAGACACTCCTGT-1 | Macrophage:monocyte-derived:IL-4/Dex/cntrl | 0.12 | 1962.32 | Raw ScoresDC:monocyte-derived:AEC-conditioned: 0.45, Macrophage:monocyte-derived:IL-4/Dex/cntrl: 0.45, Macrophage:monocyte-derived: 0.45, Monocyte:MCSF: 0.45, Macrophage:monocyte-derived:IL-4/Dex/TGFb: 0.44, DC:monocyte-derived: 0.44, Macrophage:monocyte-derived:IL-4/cntrl: 0.44, DC:monocyte-derived:immature: 0.44, Macrophage:monocyte-derived:IL-4/TGFb: 0.44, Macrophage:monocyte-derived:IFNa: 0.44 |
849_GCTTCACGTCCACAGC-1 | Macrophage:monocyte-derived:M-CSF | 0.11 | 1951.69 | Raw ScoresMonocyte:CD16-: 0.41, Monocyte:CD14+: 0.41, Macrophage:monocyte-derived:M-CSF: 0.41, Monocyte:leukotriene_D4: 0.41, Macrophage:monocyte-derived:M-CSF/IFNg: 0.4, Monocyte: 0.4, Monocyte:CD16+: 0.4, Macrophage:monocyte-derived:IL-4/Dex/cntrl: 0.4, Macrophage:monocyte-derived:IL-4/Dex/TGFb: 0.4, DC:monocyte-derived: 0.4 |
839_TCGCAGGGTGCGACAA-1 | Macrophage:monocyte-derived:M-CSF | 0.13 | 1858.49 | Raw ScoresMacrophage:monocyte-derived:M-CSF: 0.46, DC:monocyte-derived:AEC-conditioned: 0.46, Monocyte:leukotriene_D4: 0.46, Monocyte: 0.46, Monocyte:anti-FcgRIIB: 0.46, Monocyte:CD14+: 0.46, Macrophage:monocyte-derived:M-CSF/IFNg: 0.46, Macrophage:monocyte-derived:IL-4/Dex/cntrl: 0.46, Monocyte:CD16-: 0.46, DC:monocyte-derived:anti-DC-SIGN_2h: 0.46 |
839_ATGACCATCGTTGTTT-1 | Macrophage:monocyte-derived:M-CSF | 0.15 | 1799.01 | Raw ScoresMacrophage:monocyte-derived:M-CSF: 0.48, Monocyte:leukotriene_D4: 0.47, Macrophage:monocyte-derived:M-CSF/IFNg: 0.47, Macrophage:monocyte-derived:IL-4/Dex/cntrl: 0.47, DC:monocyte-derived:AEC-conditioned: 0.47, Macrophage:monocyte-derived:IL-4/Dex/TGFb: 0.47, Monocyte: 0.47, Monocyte:anti-FcgRIIB: 0.47, DC:monocyte-derived: 0.46, DC:monocyte-derived:anti-DC-SIGN_2h: 0.46 |
839_TCCGATCGTTTGGAGG-1 | Macrophage:Alveolar | 0.13 | 1760.41 | Raw ScoresMacrophage:monocyte-derived:M-CSF/IFNg: 0.5, Macrophage:monocyte-derived:M-CSF: 0.49, Monocyte:leukotriene_D4: 0.49, DC:monocyte-derived:AEC-conditioned: 0.49, Macrophage:monocyte-derived:IL-4/Dex/cntrl: 0.49, Macrophage:monocyte-derived:IL-4/Dex/TGFb: 0.48, Macrophage:monocyte-derived: 0.48, Macrophage:monocyte-derived:IL-4/cntrl: 0.48, Macrophage:monocyte-derived:IL-4/TGFb: 0.48, DC:monocyte-derived: 0.48 |
839_GTCATCCCAGCTCGGT-1 | DC:monocyte-derived:AEC-conditioned | 0.15 | 1747.95 | Raw ScoresMacrophage:monocyte-derived:M-CSF/IFNg: 0.48, DC:monocyte-derived:AEC-conditioned: 0.47, Macrophage:monocyte-derived:M-CSF: 0.47, Monocyte:anti-FcgRIIB: 0.47, Monocyte:leukotriene_D4: 0.47, DC:monocyte-derived:immature: 0.46, DC:monocyte-derived:Galectin-1: 0.46, Macrophage:monocyte-derived:IFNa: 0.46, DC:monocyte-derived:LPS: 0.46, Macrophage:monocyte-derived:IL-4/cntrl: 0.46 |
839_ACGTACAAGCCTCAAT-1 | Monocyte:leukotriene_D4 | 0.15 | 1715.35 | Raw ScoresMonocyte:leukotriene_D4: 0.47, Macrophage:monocyte-derived:M-CSF: 0.47, Macrophage:monocyte-derived:M-CSF/IFNg: 0.47, DC:monocyte-derived:anti-DC-SIGN_2h: 0.47, Monocyte:anti-FcgRIIB: 0.46, Monocyte: 0.46, Macrophage:monocyte-derived:M-CSF/Pam3Cys: 0.46, DC:monocyte-derived:Galectin-1: 0.46, DC:monocyte-derived:AEC-conditioned: 0.46, Macrophage:monocyte-derived: 0.46 |
831_ACCAAACTCGAAGCAG-1 | Monocyte:CD16- | 0.12 | 1694.93 | Raw ScoresMonocyte:leukotriene_D4: 0.44, DC:monocyte-derived:anti-DC-SIGN_2h: 0.43, Monocyte: 0.43, Monocyte:CD16-: 0.43, Monocyte:CD16+: 0.43, Macrophage:monocyte-derived:M-CSF: 0.43, Monocyte:CD14+: 0.43, Macrophage:monocyte-derived:M-CSF/Pam3Cys: 0.43, Macrophage:monocyte-derived:M-CSF/IFNg: 0.43, Macrophage:monocyte-derived:IL-4/Dex/TGFb: 0.43 |
839_TCATGCCCACATCCCT-1 | Macrophage:monocyte-derived:IL-4/Dex/cntrl | 0.09 | 1623.25 | Raw ScoresMacrophage:monocyte-derived:IL-4/Dex/cntrl: 0.44, Macrophage:monocyte-derived:M-CSF: 0.44, Macrophage:monocyte-derived:IL-4/Dex/TGFb: 0.44, DC:monocyte-derived:immature: 0.43, Macrophage:monocyte-derived:M-CSF/IFNg: 0.43, DC:monocyte-derived: 0.43, DC:monocyte-derived:AEC-conditioned: 0.43, Macrophage:monocyte-derived:IL-4/cntrl: 0.43, Neurons:adrenal_medulla_cell_line: 0.43, Macrophage:monocyte-derived:IL-4/TGFb: 0.43 |
883_ACACGCGCATGCAGGA-1 | Macrophage:monocyte-derived:IL-4/Dex/TGFb | 0.12 | 1585.24 | Raw ScoresMonocyte:leukotriene_D4: 0.43, Macrophage:monocyte-derived:IL-4/Dex/TGFb: 0.43, Macrophage:monocyte-derived:M-CSF: 0.43, DC:monocyte-derived:anti-DC-SIGN_2h: 0.42, Monocyte: 0.42, Macrophage:monocyte-derived:IL-4/Dex/cntrl: 0.42, DC:monocyte-derived: 0.41, Macrophage:monocyte-derived:M-CSF/Pam3Cys: 0.41, DC:monocyte-derived:antiCD40/VAF347: 0.41, Macrophage:monocyte-derived: 0.41 |
839_GTAGCTAGTCAAGTTC-1 | Monocyte:CD16- | 0.13 | 1380.38 | Raw ScoresMacrophage:monocyte-derived:M-CSF: 0.42, Macrophage:monocyte-derived:M-CSF/IFNg: 0.42, Macrophage:monocyte-derived:IL-4/Dex/TGFb: 0.42, Monocyte:leukotriene_D4: 0.42, DC:monocyte-derived:anti-DC-SIGN_2h: 0.42, Monocyte: 0.42, Macrophage:monocyte-derived:IL-4/Dex/cntrl: 0.42, DC:monocyte-derived:immature: 0.42, Monocyte:anti-FcgRIIB: 0.41, DC:monocyte-derived:AEC-conditioned: 0.41 |
839_ATCTTCAAGAGGTGCT-1 | DC:monocyte-derived:immature | 0.13 | 1338.66 | Raw ScoresMacrophage:monocyte-derived:IL-4/Dex/TGFb: 0.43, DC:monocyte-derived:anti-DC-SIGN_2h: 0.42, Macrophage:monocyte-derived:IL-4/Dex/cntrl: 0.42, DC:monocyte-derived:immature: 0.42, Macrophage:monocyte-derived:IL-4/cntrl: 0.42, Macrophage:monocyte-derived:IL-4/TGFb: 0.42, DC:monocyte-derived: 0.42, Macrophage:monocyte-derived: 0.42, DC:monocyte-derived:rosiglitazone: 0.42, Macrophage:monocyte-derived:M-CSF: 0.42 |
839_CCCATTGCAGGCACTC-1 | Macrophage:monocyte-derived:M-CSF | 0.13 | 1338.36 | Raw ScoresMacrophage:monocyte-derived:M-CSF: 0.45, Monocyte:leukotriene_D4: 0.44, DC:monocyte-derived:AEC-conditioned: 0.44, Monocyte:CD14+: 0.44, Macrophage:monocyte-derived:M-CSF/IFNg: 0.44, Monocyte:CD16-: 0.44, Macrophage:monocyte-derived:IL-4/Dex/cntrl: 0.44, Monocyte:CD16+: 0.44, DC:monocyte-derived: 0.44, Monocyte: 0.44 |
839_AAGGTAAAGGTAATCA-1 | Macrophage:monocyte-derived:M-CSF | 0.16 | 1313.91 | Raw ScoresMacrophage:monocyte-derived:M-CSF: 0.45, Macrophage:monocyte-derived:M-CSF/IFNg: 0.45, Monocyte:leukotriene_D4: 0.44, DC:monocyte-derived: 0.44, DC:monocyte-derived:AEC-conditioned: 0.44, Macrophage:monocyte-derived:IL-4/Dex/cntrl: 0.44, Macrophage:monocyte-derived: 0.44, Macrophage:monocyte-derived:IL-4/cntrl: 0.44, Macrophage:monocyte-derived:IL-4/Dex/TGFb: 0.44, DC:monocyte-derived:anti-DC-SIGN_2h: 0.44 |
839_CTACCCAGTATCAGGG-1 | Macrophage:monocyte-derived:IL-4/Dex/cntrl | 0.13 | 1286.87 | Raw ScoresMacrophage:monocyte-derived:M-CSF: 0.45, DC:monocyte-derived:AEC-conditioned: 0.45, Macrophage:monocyte-derived:IL-4/Dex/cntrl: 0.45, Macrophage:monocyte-derived:M-CSF/IFNg: 0.45, Macrophage:monocyte-derived:IL-4/Dex/TGFb: 0.44, Macrophage:monocyte-derived: 0.44, DC:monocyte-derived: 0.44, Monocyte:leukotriene_D4: 0.44, Macrophage:monocyte-derived:IL-4/cntrl: 0.44, Macrophage:monocyte-derived:IFNa: 0.44 |
883_CAGATACCAACGTTAC-1 | Macrophage:monocyte-derived:IL-4/Dex/TGFb | 0.13 | 1252.72 | Raw ScoresMacrophage:monocyte-derived:IL-4/Dex/TGFb: 0.42, Macrophage:monocyte-derived:M-CSF: 0.42, Macrophage:monocyte-derived:IL-4/Dex/cntrl: 0.42, DC:monocyte-derived:anti-DC-SIGN_2h: 0.42, Monocyte:leukotriene_D4: 0.41, Monocyte: 0.41, Monocyte:CD16-: 0.41, Macrophage:monocyte-derived:M-CSF/Pam3Cys: 0.41, DC:monocyte-derived: 0.41, Monocyte:CD16+: 0.41 |
839_TAAGCGTAGTAGCAAT-1 | Macrophage:monocyte-derived:M-CSF | 0.14 | 1224.80 | Raw ScoresMacrophage:monocyte-derived:M-CSF: 0.46, Monocyte:leukotriene_D4: 0.46, Macrophage:monocyte-derived:IL-4/Dex/cntrl: 0.45, Macrophage:monocyte-derived:IL-4/Dex/TGFb: 0.45, Macrophage:monocyte-derived:M-CSF/IFNg: 0.45, DC:monocyte-derived: 0.45, Macrophage:monocyte-derived:IL-4/cntrl: 0.45, Macrophage:monocyte-derived:IL-4/TGFb: 0.45, DC:monocyte-derived:immature: 0.45, DC:monocyte-derived:anti-DC-SIGN_2h: 0.45 |
839_CACAGATTCGCAGTGC-1 | Macrophage:monocyte-derived:M-CSF | 0.14 | 1144.02 | Raw ScoresMacrophage:monocyte-derived:M-CSF: 0.45, Macrophage:monocyte-derived:IL-4/Dex/cntrl: 0.44, Macrophage:monocyte-derived:IL-4/Dex/TGFb: 0.44, Monocyte:leukotriene_D4: 0.44, Monocyte:CD16-: 0.43, Monocyte: 0.43, Monocyte:CD14+: 0.43, Macrophage:monocyte-derived:M-CSF/IFNg: 0.43, DC:monocyte-derived:anti-DC-SIGN_2h: 0.43, DC:monocyte-derived: 0.43 |
839_TCGCACTTCTTAGTTC-1 | Macrophage:monocyte-derived:IL-4/Dex/cntrl | 0.14 | 1139.91 | Raw ScoresMacrophage:monocyte-derived:M-CSF: 0.45, Monocyte:leukotriene_D4: 0.44, Macrophage:monocyte-derived:IL-4/Dex/cntrl: 0.44, Macrophage:monocyte-derived:IL-4/Dex/TGFb: 0.44, DC:monocyte-derived:AEC-conditioned: 0.44, Macrophage:monocyte-derived:M-CSF/IFNg: 0.44, DC:monocyte-derived: 0.44, Monocyte:anti-FcgRIIB: 0.44, Macrophage:monocyte-derived:IL-4/cntrl: 0.43, Macrophage:monocyte-derived:M-CSF/Pam3Cys: 0.43 |
839_CAATTTCGTCATTGCA-1 | Macrophage:monocyte-derived:M-CSF/IFNg | 0.13 | 1116.08 | Raw ScoresMacrophage:monocyte-derived:M-CSF: 0.43, Monocyte:leukotriene_D4: 0.43, Macrophage:monocyte-derived:IL-4/Dex/cntrl: 0.43, DC:monocyte-derived:anti-DC-SIGN_2h: 0.43, Macrophage:monocyte-derived:IL-4/Dex/TGFb: 0.42, DC:monocyte-derived:immature: 0.42, Monocyte: 0.42, Macrophage:monocyte-derived:M-CSF/IFNg: 0.42, Monocyte:anti-FcgRIIB: 0.42, DC:monocyte-derived: 0.42 |
839_TTCCTAAGTATTGGCT-1 | Macrophage:monocyte-derived:IL-4/Dex/TGFb | 0.14 | 1114.24 | Raw ScoresMacrophage:monocyte-derived:M-CSF: 0.42, Macrophage:monocyte-derived:IL-4/Dex/TGFb: 0.42, Macrophage:monocyte-derived:IL-4/Dex/cntrl: 0.42, Macrophage:monocyte-derived:IL-4/TGFb: 0.42, Macrophage:monocyte-derived:IL-4/cntrl: 0.42, Monocyte:leukotriene_D4: 0.42, DC:monocyte-derived: 0.42, Macrophage:monocyte-derived:M-CSF/IFNg: 0.42, Macrophage:monocyte-derived: 0.42, DC:monocyte-derived:immature: 0.42 |
839_TGACTCCAGAGCAGTC-1 | Macrophage:monocyte-derived:M-CSF | 0.15 | 1099.48 | Raw ScoresMacrophage:monocyte-derived:M-CSF: 0.45, Macrophage:monocyte-derived:M-CSF/IFNg: 0.44, DC:monocyte-derived:AEC-conditioned: 0.44, DC:monocyte-derived:anti-DC-SIGN_2h: 0.44, Macrophage:monocyte-derived:IL-4/Dex/TGFb: 0.44, Monocyte:leukotriene_D4: 0.44, DC:monocyte-derived: 0.44, Macrophage:monocyte-derived:IL-4/Dex/cntrl: 0.44, DC:monocyte-derived:Galectin-1: 0.44, Monocyte:anti-FcgRIIB: 0.44 |
839_CGCGTGAAGATACAGT-1 | Macrophage:monocyte-derived:IL-4/Dex/cntrl | 0.12 | 1023.54 | Raw ScoresMacrophage:monocyte-derived:M-CSF: 0.42, Macrophage:monocyte-derived:IL-4/Dex/cntrl: 0.41, Macrophage:monocyte-derived:IL-4/Dex/TGFb: 0.41, DC:monocyte-derived:immature: 0.41, Monocyte:leukotriene_D4: 0.41, DC:monocyte-derived: 0.41, DC:monocyte-derived:anti-DC-SIGN_2h: 0.41, DC:monocyte-derived:AEC-conditioned: 0.41, Macrophage:monocyte-derived:M-CSF/IFNg: 0.4, Macrophage:monocyte-derived:IL-4/cntrl: 0.4 |
864_CACGTTCTCAAAGAAC-1 | Macrophage:monocyte-derived:IL-4/Dex/TGFb | 0.09 | 1008.70 | Raw ScoresMacrophage:monocyte-derived:IL-4/Dex/cntrl: 0.4, Macrophage:monocyte-derived:IL-4/Dex/TGFb: 0.4, DC:monocyte-derived:immature: 0.39, Macrophage:monocyte-derived:IL-4/cntrl: 0.39, Macrophage:monocyte-derived:M-CSF: 0.39, Monocyte:CD14+: 0.39, Macrophage:monocyte-derived:IL-4/TGFb: 0.39, DC:monocyte-derived: 0.39, DC:monocyte-derived:AEC-conditioned: 0.39, Monocyte:CD16-: 0.39 |
839_TGAGGTTTCGTTGTTT-1 | DC:monocyte-derived:anti-DC-SIGN_2h | 0.13 | 973.12 | Raw ScoresMacrophage:monocyte-derived:M-CSF: 0.48, Macrophage:monocyte-derived:IL-4/Dex/TGFb: 0.47, Macrophage:monocyte-derived:IL-4/Dex/cntrl: 0.47, Monocyte:leukotriene_D4: 0.47, Monocyte:anti-FcgRIIB: 0.47, DC:monocyte-derived:anti-DC-SIGN_2h: 0.47, Macrophage:monocyte-derived:M-CSF/Pam3Cys: 0.47, Macrophage:monocyte-derived:M-CSF/IFNg: 0.46, Macrophage:monocyte-derived:IL-4/cntrl: 0.46, Monocyte: 0.46 |
839_TTCAGGAAGCTGCCTG-1 | Macrophage:monocyte-derived:M-CSF | 0.12 | 964.48 | Raw ScoresMacrophage:monocyte-derived:M-CSF: 0.39, Macrophage:monocyte-derived:IL-4/Dex/TGFb: 0.39, Monocyte:leukotriene_D4: 0.39, Monocyte: 0.39, Monocyte:anti-FcgRIIB: 0.38, Macrophage:monocyte-derived:M-CSF/Pam3Cys: 0.38, Macrophage:monocyte-derived:IL-4/Dex/cntrl: 0.38, Macrophage:monocyte-derived:M-CSF/IFNg: 0.38, Macrophage:monocyte-derived: 0.38, Macrophage:monocyte-derived:S._aureus: 0.38 |
839_ATGAGTCTCTACTATC-1 | Macrophage:monocyte-derived:IL-4/Dex/TGFb | 0.14 | 914.07 | Raw ScoresMacrophage:monocyte-derived: 0.45, Macrophage:monocyte-derived:M-CSF: 0.45, DC:monocyte-derived: 0.44, DC:monocyte-derived:AEC-conditioned: 0.44, Macrophage:monocyte-derived:IFNa: 0.44, Macrophage:monocyte-derived:IL-4/Dex/TGFb: 0.44, Macrophage:monocyte-derived:M-CSF/IFNg: 0.44, DC:monocyte-derived:Galectin-1: 0.44, Macrophage:monocyte-derived:S._aureus: 0.44, Monocyte:leukotriene_D4: 0.44 |
839_CATGAGTTCTGGAGAG-1 | Macrophage:monocyte-derived:M-CSF | 0.14 | 900.63 | Raw ScoresMacrophage:monocyte-derived:M-CSF: 0.39, Macrophage:monocyte-derived:IL-4/Dex/TGFb: 0.39, Macrophage:monocyte-derived:IL-4/Dex/cntrl: 0.39, Macrophage:monocyte-derived:IL-4/TGFb: 0.39, DC:monocyte-derived:immature: 0.39, Macrophage:monocyte-derived:IL-4/cntrl: 0.39, Macrophage:monocyte-derived:M-CSF/IFNg: 0.38, DC:monocyte-derived: 0.38, Monocyte:leukotriene_D4: 0.38, DC:monocyte-derived:AEC-conditioned: 0.38 |
839_CATCGTCCACCAATTG-1 | Macrophage:monocyte-derived:M-CSF | 0.12 | 862.50 | Raw ScoresDC:monocyte-derived:immature: 0.39, Macrophage:monocyte-derived:M-CSF: 0.39, DC:monocyte-derived:AEC-conditioned: 0.39, DC:monocyte-derived:anti-DC-SIGN_2h: 0.39, DC:monocyte-derived: 0.39, Macrophage:monocyte-derived:IL-4/Dex/TGFb: 0.39, Monocyte:leukotriene_D4: 0.39, Macrophage:monocyte-derived:M-CSF/IFNg: 0.39, DC:monocyte-derived:Galectin-1: 0.39, DC:monocyte-derived:AM580: 0.39 |
839_TAGACTGAGATAGCAT-1 | DC:monocyte-derived:immature | 0.15 | 856.90 | Raw ScoresMacrophage:monocyte-derived:M-CSF: 0.47, Macrophage:monocyte-derived:M-CSF/IFNg: 0.47, Macrophage:monocyte-derived:IL-4/Dex/cntrl: 0.47, Macrophage:monocyte-derived:IL-4/Dex/TGFb: 0.46, DC:monocyte-derived:immature: 0.46, Monocyte:leukotriene_D4: 0.46, DC:monocyte-derived:AEC-conditioned: 0.46, DC:monocyte-derived: 0.46, Monocyte:anti-FcgRIIB: 0.46, DC:monocyte-derived:anti-DC-SIGN_2h: 0.46 |
839_TTGTGGACATTCGGGC-1 | DC:monocyte-derived:immature | 0.12 | 852.23 | Raw ScoresDC:monocyte-derived:anti-DC-SIGN_2h: 0.42, DC:monocyte-derived:AEC-conditioned: 0.42, Macrophage:monocyte-derived:M-CSF: 0.42, DC:monocyte-derived: 0.42, DC:monocyte-derived:immature: 0.41, Macrophage:monocyte-derived:M-CSF/IFNg: 0.41, Monocyte:leukotriene_D4: 0.41, Monocyte:anti-FcgRIIB: 0.41, Monocyte: 0.41, Macrophage:monocyte-derived:IL-4/Dex/TGFb: 0.41 |
839_TACTTGTCAGTAGATA-1 | Monocyte:CD16- | 0.12 | 848.63 | Raw ScoresMacrophage:monocyte-derived:M-CSF/IFNg: 0.4, Monocyte:CD16-: 0.4, Monocyte:leukotriene_D4: 0.4, Monocyte:CD16+: 0.4, Monocyte:CD14+: 0.4, Monocyte:anti-FcgRIIB: 0.39, Monocyte: 0.39, Macrophage:monocyte-derived:M-CSF: 0.39, DC:monocyte-derived:AEC-conditioned: 0.39, Macrophage:monocyte-derived:IL-4/Dex/cntrl: 0.39 |
839_TATCGCCCATGCCGCA-1 | Macrophage:monocyte-derived:IL-4/Dex/cntrl | 0.08 | 839.46 | Raw ScoresDC:monocyte-derived:AEC-conditioned: 0.38, Macrophage:monocyte-derived:M-CSF: 0.38, Monocyte:leukotriene_D4: 0.37, Pre-B_cell_CD34-: 0.37, Macrophage:monocyte-derived: 0.37, Macrophage:monocyte-derived:M-CSF/IFNg: 0.37, Macrophage:monocyte-derived:IL-4/Dex/cntrl: 0.37, Macrophage:monocyte-derived:IL-4/Dex/TGFb: 0.37, Monocyte: 0.37, DC:monocyte-derived: 0.36 |
856_TCATACTTCCCTCGTA-1 | Macrophage:monocyte-derived:IL-4/Dex/TGFb | 0.13 | 830.92 | Raw ScoresMacrophage:monocyte-derived:IL-4/Dex/TGFb: 0.41, Macrophage:monocyte-derived:M-CSF: 0.41, DC:monocyte-derived:anti-DC-SIGN_2h: 0.4, Monocyte:leukotriene_D4: 0.4, Macrophage:monocyte-derived:IL-4/TGFb: 0.4, Macrophage:monocyte-derived:IL-4/Dex/cntrl: 0.4, Monocyte:CD16-: 0.4, Macrophage:monocyte-derived:IL-4/cntrl: 0.4, Monocyte:CD14+: 0.4, Monocyte: 0.4 |
856_TATTTCGAGAGACAAG-1 | Monocyte:CD16- | 0.10 | 828.14 | Raw ScoresMacrophage:monocyte-derived:IL-4/Dex/TGFb: 0.35, Monocyte:CD14+: 0.35, Monocyte:CD16-: 0.35, Macrophage:monocyte-derived:IL-4/Dex/cntrl: 0.35, Monocyte:CD16+: 0.35, Macrophage:monocyte-derived:M-CSF: 0.35, DC:monocyte-derived:anti-DC-SIGN_2h: 0.35, Monocyte:leukotriene_D4: 0.34, Macrophage:monocyte-derived:IL-4/TGFb: 0.34, DC:monocyte-derived:immature: 0.34 |
839_CAGTTCCAGAGGCTGT-1 | Macrophage:monocyte-derived | 0.13 | 820.00 | Raw ScoresMacrophage:monocyte-derived: 0.43, Macrophage:monocyte-derived:M-CSF: 0.43, Macrophage:monocyte-derived:IL-4/cntrl: 0.43, DC:monocyte-derived:immature: 0.43, Macrophage:monocyte-derived:IL-4/Dex/cntrl: 0.43, DC:monocyte-derived: 0.43, Macrophage:monocyte-derived:IL-4/TGFb: 0.43, Macrophage:monocyte-derived:IL-4/Dex/TGFb: 0.42, DC:monocyte-derived:AEC-conditioned: 0.42, Macrophage:monocyte-derived:S._aureus: 0.42 |
849_AAAGAACGTTGTTGAC-1 | Macrophage:monocyte-derived:IL-4/Dex/cntrl | 0.11 | 811.74 | Raw ScoresMonocyte:MCSF: 0.45, DC:monocyte-derived:AEC-conditioned: 0.45, Macrophage:monocyte-derived: 0.45, Macrophage:monocyte-derived:IL-4/Dex/cntrl: 0.44, Macrophage:monocyte-derived:M-CSF: 0.44, DC:monocyte-derived: 0.44, Macrophage:monocyte-derived:M-CSF/IFNg: 0.44, Macrophage:monocyte-derived:IL-4/Dex/TGFb: 0.44, GMP: 0.44, DC:monocyte-derived:immature: 0.43 |
887_TTCTAGTTCGGCCTTT-1 | DC:monocyte-derived:immature | 0.14 | 798.09 | Raw ScoresMacrophage:monocyte-derived:M-CSF: 0.5, Macrophage:monocyte-derived:M-CSF/IFNg: 0.49, DC:monocyte-derived: 0.49, Monocyte:leukotriene_D4: 0.49, DC:monocyte-derived:AEC-conditioned: 0.49, Macrophage:monocyte-derived:IL-4/Dex/TGFb: 0.49, Macrophage:monocyte-derived:IL-4/Dex/cntrl: 0.49, Macrophage:monocyte-derived:IL-4/cntrl: 0.48, Macrophage:monocyte-derived:IL-4/TGFb: 0.48, DC:monocyte-derived:anti-DC-SIGN_2h: 0.48 |
883_AATAGAGGTATCGCGC-1 | Macrophage:monocyte-derived:IL-4/Dex/TGFb | 0.10 | 790.20 | Raw ScoresDC:monocyte-derived:AEC-conditioned: 0.4, Monocyte:leukotriene_D4: 0.4, DC:monocyte-derived:anti-DC-SIGN_2h: 0.4, Macrophage:monocyte-derived:M-CSF: 0.4, Monocyte:CD16-: 0.4, DC:monocyte-derived: 0.4, Monocyte:CD14+: 0.4, Macrophage:monocyte-derived:M-CSF/IFNg: 0.39, Macrophage:monocyte-derived:IL-4/Dex/cntrl: 0.39, Macrophage:monocyte-derived:IL-4/Dex/TGFb: 0.39 |
839_ATTCGTTAGTCAGCCC-1 | Macrophage:monocyte-derived:IL-4/Dex/cntrl | 0.12 | 742.41 | Raw ScoresMacrophage:monocyte-derived:M-CSF: 0.39, Macrophage:monocyte-derived:IL-4/Dex/TGFb: 0.39, Macrophage:monocyte-derived:IL-4/Dex/cntrl: 0.38, Monocyte:leukotriene_D4: 0.38, Macrophage:monocyte-derived:M-CSF/IFNg: 0.38, DC:monocyte-derived: 0.38, DC:monocyte-derived:anti-DC-SIGN_2h: 0.38, Monocyte: 0.38, DC:monocyte-derived:immature: 0.38, Macrophage:monocyte-derived:IL-4/TGFb: 0.38 |
839_CGTTGGGTCATCACCC-1 | Macrophage:monocyte-derived:M-CSF | 0.15 | 740.63 | Raw ScoresMacrophage:monocyte-derived:M-CSF: 0.46, DC:monocyte-derived:AEC-conditioned: 0.46, Monocyte:leukotriene_D4: 0.46, Macrophage:monocyte-derived:M-CSF/IFNg: 0.46, Monocyte:anti-FcgRIIB: 0.46, Macrophage:monocyte-derived:M-CSF/Pam3Cys: 0.46, DC:monocyte-derived:anti-DC-SIGN_2h: 0.46, Macrophage:monocyte-derived:IL-4/Dex/TGFb: 0.46, Macrophage:monocyte-derived:IL-4/Dex/cntrl: 0.45, DC:monocyte-derived: 0.45 |
839_TGGGAAGTCTGTAAGC-1 | Monocyte:leukotriene_D4 | 0.11 | 734.79 | Raw ScoresDC:monocyte-derived:AEC-conditioned: 0.36, DC:monocyte-derived:immature: 0.36, Macrophage:monocyte-derived:IL-4/Dex/TGFb: 0.36, DC:monocyte-derived: 0.36, Monocyte:leukotriene_D4: 0.36, Macrophage:monocyte-derived:M-CSF: 0.36, DC:monocyte-derived:rosiglitazone: 0.36, DC:monocyte-derived:anti-DC-SIGN_2h: 0.36, DC:monocyte-derived:AM580: 0.36, Monocyte: 0.36 |
839_CTCCCTCAGTGGACTG-1 | Macrophage:monocyte-derived:M-CSF | 0.14 | 718.06 | Raw ScoresMacrophage:monocyte-derived:M-CSF: 0.42, Monocyte:leukotriene_D4: 0.42, Macrophage:monocyte-derived:M-CSF/IFNg: 0.42, Macrophage:monocyte-derived:M-CSF/Pam3Cys: 0.42, Monocyte:anti-FcgRIIB: 0.42, DC:monocyte-derived:AEC-conditioned: 0.41, Monocyte:CD16-: 0.41, Monocyte:CD14+: 0.41, DC:monocyte-derived:anti-DC-SIGN_2h: 0.41, Monocyte: 0.41 |
856_ACACCAAAGTTGAAAC-1 | Macrophage:monocyte-derived:IL-4/Dex/cntrl | 0.12 | 717.26 | Raw ScoresDC:monocyte-derived:anti-DC-SIGN_2h: 0.39, Macrophage:monocyte-derived:M-CSF: 0.39, Macrophage:monocyte-derived:IL-4/Dex/TGFb: 0.39, Monocyte:leukotriene_D4: 0.39, Monocyte:CD14+: 0.39, Macrophage:monocyte-derived:IL-4/Dex/cntrl: 0.39, Monocyte:CD16-: 0.38, DC:monocyte-derived: 0.38, Macrophage:monocyte-derived:M-CSF/IFNg: 0.38, DC:monocyte-derived:AEC-conditioned: 0.38 |
Below shows the significant enrichments of this GEP for literature curated gene lists
This data was procured from existing single cell RNA-seq maps of neuroblastoma or related relevant data.
High ranks indicate this gene is a driver of this GEP.
These curated gene list are ranked by the P-value (on this GEP) of their constituent genes.
The Mean Count column shows the mean read count in cells scoring highly (H > 50) on this gene expression program.
Genes | Weight | Rank | GTEx | DepMap | Decartes | Mean.Counts | Mean.TPM |
---|---|---|---|---|---|---|---|
IFITM3 | 0.0042105 | 27 | GTEx | DepMap | Descartes | 28.93 | 10056.50 |
S100A10 | 0.0020856 | 90 | GTEx | DepMap | Descartes | 10.18 | 370.00 |
B2M | 0.0020682 | 94 | GTEx | DepMap | Descartes | 15.43 | 1117.81 |
Immune (Hanemaaijer)
Marker genes obtained from Supplementary Table SD of Hanemaaijer et al (PMID 33500353). The authors generated single-cell RNA-seq data (sort-seq, 2,229 cells total) from mouse adrenal glads at E13.5, E14.5, E17.5, E18.5, P1 and P5. These were marker genes that matched with a similar dataset generated by Furlan et al (PMID 28684471). This particular set of markers are for the broad Immune cluster:
Wilcoxon ranksum test P-value for gene set overrepresentation: 9.11e-03
Mean rank of genes in gene set: 378
Rank on gene expression program of genes in gene set:
Genes | Weight | Rank | GTEx | DepMap | Decartes | Mean.Counts | Mean.TPM |
---|---|---|---|---|---|---|---|
TMSB4X | 0.0012139 | 204 | GTEx | DepMap | Descartes | 240.61 | 38755.06 |
LCP2 | 0.0005624 | 552 | GTEx | DepMap | Descartes | 1.00 | 8.86 |
Melanocytes (Kameneva)
Marker gene were obtained from Fig. 1D of Kameneva et al (PMID 33833454). These genes were used by the authors to annotate each cell type in their human fetal adrenal scRNA-seq data obtained 6, 8, 9, 11, 12 and 14 weeks post conception.:
Wilcoxon ranksum test P-value for gene set overrepresentation: 1.38e-02
Mean rank of genes in gene set: 3813.5
Rank on gene expression program of genes in gene set:
Genes | Weight | Rank | GTEx | DepMap | Decartes | Mean.Counts | Mean.TPM |
---|---|---|---|---|---|---|---|
MITF | 0.0004732 | 675 | GTEx | DepMap | Descartes | 0.26 | 0.51 |
PMEL | 0.0000910 | 2239 | GTEx | DepMap | Descartes | 0.00 | 0.13 |
TYR | -0.0000021 | 4631 | GTEx | DepMap | Descartes | 0.00 | 0.00 |
DCT | -0.0000152 | 7709 | GTEx | DepMap | Descartes | 0.00 | 0.00 |
Below shows ranks on this GEP for literature curated gene lists for large gene sets
These include those reported as mesenchymal/adrenergic by Van Groningen et al.
High ranks indicate this gene is a driver of this GEP (note these results are not ordered).
The Mean Count column shows the mean read count in cells scoring highly (H > 50) on this gene expression program.
VanGroningen Adrenergic Genes
Adrenergic marker genes from Supplementary Table 2 of Van Groningen et al. Nature Genetics 2017. These genes were identified by differential expression analysis of mesenchymal-like and adrenergic-like neuroblastoma cell lines.
Wilcoxon ranksum test P-value for gene set overrepresentation: 1.00e+00
Mean rank of genes in gene set: 16606.57
Median rank of genes in gene set: 18522
Rank on gene expression program of top 30 genes in gene set:
Genes | Weight | Rank | GTEx | DepMap | Descartes | Mean.Counts | Mean.TPM |
---|---|---|---|---|---|---|---|
GGH | 0.0011271 | 224 | GTEx | DepMap | Descartes | 1.40 | 19.62 |
UCP2 | 0.0008586 | 332 | GTEx | DepMap | Descartes | 7.58 | 326.84 |
GLRX | 0.0003834 | 836 | GTEx | DepMap | Descartes | 0.74 | 26.78 |
LYN | 0.0003219 | 984 | GTEx | DepMap | Descartes | 2.03 | 6.73 |
GCH1 | 0.0003214 | 985 | GTEx | DepMap | Descartes | 0.70 | 6.67 |
AP1S2 | 0.0003204 | 990 | GTEx | DepMap | Descartes | 0.88 | 14.50 |
SEC11C | 0.0002648 | 1155 | GTEx | DepMap | Descartes | 3.23 | 59.42 |
NFIL3 | 0.0002568 | 1179 | GTEx | DepMap | Descartes | 0.40 | 12.60 |
CKB | 0.0002435 | 1224 | GTEx | DepMap | Descartes | 2.60 | 288.14 |
CERK | 0.0002302 | 1281 | GTEx | DepMap | Descartes | 0.80 | 5.85 |
CELF2 | 0.0002220 | 1317 | GTEx | DepMap | Descartes | 1.12 | 0.47 |
DAPK1 | 0.0002133 | 1357 | GTEx | DepMap | Descartes | 0.34 | 0.77 |
KLF13 | 0.0002015 | 1429 | GTEx | DepMap | Descartes | 1.19 | 8.90 |
PTS | 0.0001841 | 1536 | GTEx | DepMap | Descartes | 0.64 | 26.82 |
ATP6V1B2 | 0.0001549 | 1720 | GTEx | DepMap | Descartes | 1.70 | 23.15 |
INO80C | 0.0001511 | 1749 | GTEx | DepMap | Descartes | 0.22 | 4.27 |
ABCA3 | 0.0001370 | 1854 | GTEx | DepMap | Descartes | 0.27 | 1.66 |
LEPROTL1 | 0.0001297 | 1911 | GTEx | DepMap | Descartes | 1.28 | 36.03 |
HK2 | 0.0000981 | 2166 | GTEx | DepMap | Descartes | 0.77 | 6.41 |
BEND4 | 0.0000832 | 2326 | GTEx | DepMap | Descartes | 0.11 | 1.40 |
GNB1 | 0.0000735 | 2438 | GTEx | DepMap | Descartes | 3.18 | 15.33 |
ACVR1B | 0.0000183 | 3474 | GTEx | DepMap | Descartes | 0.12 | 1.13 |
PDK1 | 0.0000133 | 3645 | GTEx | DepMap | Descartes | 0.28 | 2.90 |
ENO2 | 0.0000057 | 3956 | GTEx | DepMap | Descartes | 0.02 | 0.60 |
RNF150 | 0.0000039 | 4055 | GTEx | DepMap | Descartes | 0.17 | 0.23 |
CCDC167 | -0.0000003 | 4356 | GTEx | DepMap | Descartes | 0.43 | 4.23 |
SCAMP5 | -0.0000099 | 6701 | GTEx | DepMap | Descartes | 0.25 | 2.55 |
NET1 | -0.0000100 | 6715 | GTEx | DepMap | Descartes | 0.13 | 0.98 |
HMGA1 | -0.0000154 | 7737 | GTEx | DepMap | Descartes | 0.09 | 5.32 |
SHC3 | -0.0000191 | 8372 | GTEx | DepMap | Descartes | 0.00 | 0.00 |
VanGroningen Mesenchymal Genes
Mesenchymal marker genes from Supplementary Table 2 of Van Groningen et al. Nature Genetics 2017. These genes were identified by differential expression analysis of mesenchymal-like and adrenergic-like neuroblastoma cell lines.
Wilcoxon ranksum test P-value for gene set overrepresentation: 2.23e-15
Mean rank of genes in gene set: 8293.71
Median rank of genes in gene set: 7780.5
Rank on gene expression program of top 30 genes in gene set:
Genes | Weight | Rank | GTEx | DepMap | Descartes | Mean.Counts | Mean.TPM |
---|---|---|---|---|---|---|---|
FN1 | 0.0045828 | 22 | GTEx | DepMap | Descartes | 11.40 | 72.61 |
IFITM3 | 0.0042105 | 27 | GTEx | DepMap | Descartes | 28.93 | 10056.50 |
GRN | 0.0026019 | 55 | GTEx | DepMap | Descartes | 12.04 | 638.65 |
RHOC | 0.0024783 | 61 | GTEx | DepMap | Descartes | 2.50 | 141.35 |
ANXA2 | 0.0024195 | 64 | GTEx | DepMap | Descartes | 9.64 | 91.56 |
LAMP1 | 0.0022627 | 74 | GTEx | DepMap | Descartes | 11.34 | 259.29 |
IFITM2 | 0.0022360 | 77 | GTEx | DepMap | Descartes | 12.61 | 4544.27 |
B2M | 0.0020682 | 94 | GTEx | DepMap | Descartes | 15.43 | 1117.81 |
ADGRE5 | 0.0020521 | 97 | GTEx | DepMap | Descartes | 1.39 | 35.24 |
EMP1 | 0.0020043 | 101 | GTEx | DepMap | Descartes | 1.90 | 35.63 |
PYGL | 0.0018346 | 110 | GTEx | DepMap | Descartes | 0.46 | 4.90 |
NPC2 | 0.0016520 | 135 | GTEx | DepMap | Descartes | 12.36 | 235.00 |
LGALS1 | 0.0015700 | 147 | GTEx | DepMap | Descartes | 26.40 | 2142.35 |
THBS1 | 0.0015520 | 149 | GTEx | DepMap | Descartes | 2.41 | 89.13 |
RAP1B | 0.0013806 | 174 | GTEx | DepMap | Descartes | 4.05 | 53.40 |
RNH1 | 0.0013470 | 178 | GTEx | DepMap | Descartes | 4.17 | 120.50 |
FAM46A | 0.0012225 | 200 | GTEx | DepMap | Descartes | 0.66 | NA |
CD44 | 0.0012123 | 205 | GTEx | DepMap | Descartes | 1.47 | 7.77 |
PLOD3 | 0.0011955 | 206 | GTEx | DepMap | Descartes | 0.72 | 30.02 |
CTSB | 0.0011787 | 211 | GTEx | DepMap | Descartes | 52.72 | 742.00 |
PON2 | 0.0011524 | 217 | GTEx | DepMap | Descartes | 1.04 | 10.05 |
PLXDC2 | 0.0011404 | 220 | GTEx | DepMap | Descartes | 0.17 | 0.14 |
VIM | 0.0010825 | 236 | GTEx | DepMap | Descartes | 16.54 | 691.78 |
ARPC1B | 0.0010737 | 241 | GTEx | DepMap | Descartes | 9.61 | 230.66 |
MYADM | 0.0010649 | 242 | GTEx | DepMap | Descartes | 0.80 | 29.22 |
ANXA5 | 0.0009936 | 274 | GTEx | DepMap | Descartes | 5.72 | 78.05 |
MGST1 | 0.0009821 | 281 | GTEx | DepMap | Descartes | 2.30 | 43.47 |
RGS10 | 0.0009228 | 296 | GTEx | DepMap | Descartes | 2.06 | 17.20 |
CYFIP1 | 0.0009210 | 297 | GTEx | DepMap | Descartes | 1.78 | 7.12 |
EPS8 | 0.0009200 | 298 | GTEx | DepMap | Descartes | 0.48 | 1.10 |
Descartes adrenocortical markers
Top 50 marker genes of adrenocortical cells in the Decartes fetal adrenal single cell map (https://atlas.brotmanbaty.org/bbi/human-gene-expression-during-development/cell/adrenocortical/in/adrenal)
Wilcoxon ranksum test P-value for gene set overrepresentation: 9.82e-01
Mean rank of genes in gene set: 12438.5
Median rank of genes in gene set: 13427
Rank on gene expression program of top 30 genes in gene set:
Genes | Weight | Rank | GTEx | DepMap | Descartes | Mean.Counts | Mean.TPM |
---|---|---|---|---|---|---|---|
SH3BP5 | 0.0003558 | 899 | GTEx | DepMap | Descartes | 0.53 | 2.75 |
PAPSS2 | 0.0002474 | 1210 | GTEx | DepMap | Descartes | 0.14 | 0.62 |
NPC1 | 0.0001317 | 1891 | GTEx | DepMap | Descartes | 1.02 | 7.88 |
SH3PXD2B | 0.0001157 | 2012 | GTEx | DepMap | Descartes | 0.34 | 1.45 |
ERN1 | 0.0001016 | 2131 | GTEx | DepMap | Descartes | 0.14 | 0.75 |
SCARB1 | 0.0000591 | 2650 | GTEx | DepMap | Descartes | 0.24 | 1.63 |
CYP11A1 | 0.0000044 | 4020 | GTEx | DepMap | Descartes | 0.00 | 0.07 |
SULT2A1 | -0.0000043 | 5237 | GTEx | DepMap | Descartes | 0.00 | 0.00 |
GRAMD1B | -0.0000049 | 5418 | GTEx | DepMap | Descartes | 0.47 | 0.57 |
CYP11B1 | -0.0000051 | 5483 | GTEx | DepMap | Descartes | 0.00 | 0.00 |
CYP17A1 | -0.0000111 | 6963 | GTEx | DepMap | Descartes | 0.00 | 0.00 |
POR | -0.0000264 | 9374 | GTEx | DepMap | Descartes | 1.10 | 6.15 |
FREM2 | -0.0000279 | 9557 | GTEx | DepMap | Descartes | 0.00 | 0.01 |
STAR | -0.0000305 | 9868 | GTEx | DepMap | Descartes | 0.01 | 0.13 |
PDE10A | -0.0000339 | 10283 | GTEx | DepMap | Descartes | 0.05 | 0.03 |
DNER | -0.0000390 | 10822 | GTEx | DepMap | Descartes | 0.04 | 0.02 |
LDLR | -0.0000457 | 11507 | GTEx | DepMap | Descartes | 0.09 | 1.27 |
INHA | -0.0000507 | 11971 | GTEx | DepMap | Descartes | 0.01 | 0.60 |
SLC1A2 | -0.0000528 | 12174 | GTEx | DepMap | Descartes | 0.02 | 0.03 |
BAIAP2L1 | -0.0000591 | 12770 | GTEx | DepMap | Descartes | 0.03 | 0.04 |
SCAP | -0.0000654 | 13299 | GTEx | DepMap | Descartes | 0.21 | 1.16 |
SGCZ | -0.0000682 | 13555 | GTEx | DepMap | Descartes | 0.01 | 0.00 |
TM7SF2 | -0.0000735 | 13987 | GTEx | DepMap | Descartes | 0.07 | 2.71 |
FRMD5 | -0.0000923 | 15345 | GTEx | DepMap | Descartes | 0.03 | 0.02 |
SLC16A9 | -0.0000977 | 15665 | GTEx | DepMap | Descartes | 0.06 | 0.48 |
APOC1 | -0.0000981 | 15694 | GTEx | DepMap | Descartes | 0.36 | 42.21 |
GSTA4 | -0.0001059 | 16171 | GTEx | DepMap | Descartes | 0.74 | 2.14 |
FDX1 | -0.0001098 | 16372 | GTEx | DepMap | Descartes | 0.51 | 6.05 |
FDXR | -0.0001269 | 17233 | GTEx | DepMap | Descartes | 0.12 | 3.96 |
CYB5B | -0.0001357 | 17599 | GTEx | DepMap | Descartes | 0.51 | 3.79 |
Descartes chromaffin markers
Top 50 marker genes of chromaffin cells in the Decartes fetal adrenal single cell map (https://atlas.brotmanbaty.org/bbi/human-gene-expression-during-development/cell/chromaffin/in/adrenal)
Wilcoxon ranksum test P-value for gene set overrepresentation: 1.00e+00
Mean rank of genes in gene set: 15904.11
Median rank of genes in gene set: 15878
Rank on gene expression program of top 30 genes in gene set:
Genes | Weight | Rank | GTEx | DepMap | Descartes | Mean.Counts | Mean.TPM |
---|---|---|---|---|---|---|---|
ANKFN1 | -0.0000063 | 5811 | GTEx | DepMap | Descartes | 0.01 | 0.00 |
EPHA6 | -0.0000196 | 8457 | GTEx | DepMap | Descartes | 0.00 | 0.00 |
RPH3A | -0.0000205 | 8566 | GTEx | DepMap | Descartes | 0.01 | 0.02 |
GREM1 | -0.0000251 | 9204 | GTEx | DepMap | Descartes | 0.00 | 0.07 |
GAL | -0.0000287 | 9653 | GTEx | DepMap | Descartes | 0.06 | 2.76 |
SYNPO2 | -0.0000339 | 10276 | GTEx | DepMap | Descartes | 0.01 | 0.01 |
PTCHD1 | -0.0000350 | 10397 | GTEx | DepMap | Descartes | 0.04 | 0.22 |
HS3ST5 | -0.0000432 | 11254 | GTEx | DepMap | Descartes | 0.01 | 0.01 |
SLC6A2 | -0.0000497 | 11882 | GTEx | DepMap | Descartes | 0.02 | 0.04 |
NPY | -0.0000509 | 11991 | GTEx | DepMap | Descartes | 0.47 | 10.28 |
ALK | -0.0000511 | 12020 | GTEx | DepMap | Descartes | 0.01 | 0.00 |
MAB21L1 | -0.0000531 | 12207 | GTEx | DepMap | Descartes | 0.00 | 0.17 |
NTRK1 | -0.0000575 | 12626 | GTEx | DepMap | Descartes | 0.10 | 0.91 |
TMEM132C | -0.0000610 | 12937 | GTEx | DepMap | Descartes | 0.02 | 0.01 |
IL7 | -0.0000674 | 13468 | GTEx | DepMap | Descartes | 0.00 | 0.00 |
RYR2 | -0.0000721 | 13873 | GTEx | DepMap | Descartes | 0.02 | 0.01 |
RGMB | -0.0000736 | 13995 | GTEx | DepMap | Descartes | 0.12 | 1.33 |
EYA4 | -0.0000768 | 14234 | GTEx | DepMap | Descartes | 0.05 | 0.05 |
SLC44A5 | -0.0000864 | 14917 | GTEx | DepMap | Descartes | 0.05 | 0.04 |
KCNB2 | -0.0000887 | 15094 | GTEx | DepMap | Descartes | 0.04 | 0.03 |
FAT3 | -0.0000896 | 15146 | GTEx | DepMap | Descartes | 0.05 | 0.02 |
PLXNA4 | -0.0000993 | 15763 | GTEx | DepMap | Descartes | 0.23 | 0.14 |
HMX1 | -0.0001030 | 15993 | GTEx | DepMap | Descartes | 0.12 | 2.09 |
PRPH | -0.0001164 | 16731 | GTEx | DepMap | Descartes | 0.13 | 4.08 |
TMEFF2 | -0.0001455 | 17969 | GTEx | DepMap | Descartes | 0.11 | 0.07 |
MARCH11 | -0.0001544 | 18255 | GTEx | DepMap | Descartes | 0.14 | 0.22 |
RBFOX1 | -0.0001824 | 19077 | GTEx | DepMap | Descartes | 0.20 | 0.02 |
CNKSR2 | -0.0001838 | 19113 | GTEx | DepMap | Descartes | 0.17 | 0.15 |
REEP1 | -0.0002225 | 19754 | GTEx | DepMap | Descartes | 0.26 | 0.59 |
CNTFR | -0.0002454 | 20032 | GTEx | DepMap | Descartes | 0.19 | 0.92 |
Descartes Vascular_endothelial markers
Top 50 marker genes of Vascular_endothelial cells in the Decartes fetal adrenal single cell map (https://atlas.brotmanbaty.org/bbi/human-gene-expression-during-development/cell/vascular_endothelial/in/adrenal)
Wilcoxon ranksum test P-value for gene set overrepresentation: 9.98e-01
Mean rank of genes in gene set: 13165.37
Median rank of genes in gene set: 14054
Rank on gene expression program of top 30 genes in gene set:
Genes | Weight | Rank | GTEx | DepMap | Descartes | Mean.Counts | Mean.TPM |
---|---|---|---|---|---|---|---|
CEACAM1 | 0.0021760 | 84 | GTEx | DepMap | Descartes | 0.32 | 9.18 |
FCGR2B | 0.0016293 | 140 | GTEx | DepMap | Descartes | 3.04 | 71.10 |
CALCRL | 0.0000915 | 2235 | GTEx | DepMap | Descartes | 0.09 | 0.43 |
EFNB2 | 0.0000900 | 2250 | GTEx | DepMap | Descartes | 0.11 | 0.73 |
KANK3 | 0.0000644 | 2561 | GTEx | DepMap | Descartes | 0.14 | 3.76 |
CRHBP | -0.0000106 | 6850 | GTEx | DepMap | Descartes | 0.00 | 0.00 |
CYP26B1 | -0.0000248 | 9175 | GTEx | DepMap | Descartes | 0.01 | 0.09 |
NPR1 | -0.0000377 | 10687 | GTEx | DepMap | Descartes | 0.07 | 1.33 |
MYRIP | -0.0000385 | 10781 | GTEx | DepMap | Descartes | 0.01 | 0.01 |
CHRM3 | -0.0000475 | 11690 | GTEx | DepMap | Descartes | 0.00 | 0.00 |
BTNL9 | -0.0000513 | 12047 | GTEx | DepMap | Descartes | 0.01 | 0.12 |
NOTCH4 | -0.0000565 | 12533 | GTEx | DepMap | Descartes | 0.07 | 0.84 |
CLDN5 | -0.0000601 | 12866 | GTEx | DepMap | Descartes | 0.05 | 8.92 |
GALNT15 | -0.0000628 | 13075 | GTEx | DepMap | Descartes | 0.01 | 0.08 |
NR5A2 | -0.0000637 | 13153 | GTEx | DepMap | Descartes | 0.00 | 0.00 |
IRX3 | -0.0000639 | 13176 | GTEx | DepMap | Descartes | 0.01 | 0.32 |
HYAL2 | -0.0000663 | 13384 | GTEx | DepMap | Descartes | 0.22 | 13.03 |
SHE | -0.0000670 | 13444 | GTEx | DepMap | Descartes | 0.00 | 0.05 |
F8 | -0.0000675 | 13476 | GTEx | DepMap | Descartes | 0.01 | 0.01 |
ARHGAP29 | -0.0000688 | 13607 | GTEx | DepMap | Descartes | 0.16 | 0.81 |
ESM1 | -0.0000733 | 13970 | GTEx | DepMap | Descartes | 0.07 | 2.38 |
TMEM88 | -0.0000744 | 14054 | GTEx | DepMap | Descartes | 0.01 | 1.93 |
ROBO4 | -0.0000844 | 14774 | GTEx | DepMap | Descartes | 0.03 | 0.70 |
APLNR | -0.0000906 | 15222 | GTEx | DepMap | Descartes | 0.02 | 1.23 |
FLT4 | -0.0000906 | 15223 | GTEx | DepMap | Descartes | 0.02 | 0.18 |
TEK | -0.0000940 | 15437 | GTEx | DepMap | Descartes | 0.04 | 0.14 |
PTPRB | -0.0000995 | 15782 | GTEx | DepMap | Descartes | 0.08 | 0.33 |
CDH5 | -0.0001000 | 15820 | GTEx | DepMap | Descartes | 0.11 | 0.95 |
SHANK3 | -0.0001033 | 16012 | GTEx | DepMap | Descartes | 0.02 | 0.07 |
TIE1 | -0.0001064 | 16190 | GTEx | DepMap | Descartes | 0.01 | 0.20 |
Descartes stromal markers
Top 50 marker genes of stromal cells in the Decartes fetal adrenal single cell map (https://atlas.brotmanbaty.org/bbi/human-gene-expression-during-development/cell/stromal/in/adrenal)
Wilcoxon ranksum test P-value for gene set overrepresentation: 7.67e-01
Mean rank of genes in gene set: 11125.52
Median rank of genes in gene set: 11747.5
Rank on gene expression program of top 30 genes in gene set:
Genes | Weight | Rank | GTEx | DepMap | Descartes | Mean.Counts | Mean.TPM |
---|---|---|---|---|---|---|---|
LOX | 0.0001206 | 1975 | GTEx | DepMap | Descartes | 0.14 | 2.58 |
PDGFRA | 0.0000558 | 2686 | GTEx | DepMap | Descartes | 0.06 | 0.35 |
PRRX1 | 0.0000484 | 2800 | GTEx | DepMap | Descartes | 0.06 | 0.22 |
ABCA6 | 0.0000462 | 2839 | GTEx | DepMap | Descartes | 0.01 | 0.09 |
COL27A1 | 0.0000047 | 4010 | GTEx | DepMap | Descartes | 0.02 | 0.04 |
PRICKLE1 | 0.0000015 | 4214 | GTEx | DepMap | Descartes | 0.02 | 0.05 |
DKK2 | -0.0000034 | 4962 | GTEx | DepMap | Descartes | 0.01 | 0.02 |
FREM1 | -0.0000115 | 7036 | GTEx | DepMap | Descartes | 0.00 | 0.00 |
CD248 | -0.0000172 | 8084 | GTEx | DepMap | Descartes | 0.23 | 23.12 |
ITGA11 | -0.0000217 | 8750 | GTEx | DepMap | Descartes | 0.00 | 0.00 |
SULT1E1 | -0.0000225 | 8861 | GTEx | DepMap | Descartes | 0.00 | 0.00 |
SCARA5 | -0.0000270 | 9450 | GTEx | DepMap | Descartes | 0.02 | 0.04 |
GLI2 | -0.0000295 | 9754 | GTEx | DepMap | Descartes | 0.00 | 0.00 |
C7 | -0.0000299 | 9797 | GTEx | DepMap | Descartes | 0.00 | 0.00 |
MGP | -0.0000312 | 9959 | GTEx | DepMap | Descartes | 0.49 | 30.58 |
ADAMTSL3 | -0.0000346 | 10364 | GTEx | DepMap | Descartes | 0.00 | 0.00 |
PCDH18 | -0.0000357 | 10472 | GTEx | DepMap | Descartes | 0.01 | 0.30 |
PAMR1 | -0.0000409 | 11014 | GTEx | DepMap | Descartes | 0.01 | 0.03 |
COL12A1 | -0.0000409 | 11015 | GTEx | DepMap | Descartes | 0.03 | 0.05 |
COL1A1 | -0.0000417 | 11104 | GTEx | DepMap | Descartes | 1.48 | 18.62 |
COL6A3 | -0.0000421 | 11137 | GTEx | DepMap | Descartes | 0.12 | 0.32 |
ACTA2 | -0.0000468 | 11621 | GTEx | DepMap | Descartes | 0.26 | 4.48 |
POSTN | -0.0000480 | 11732 | GTEx | DepMap | Descartes | 0.37 | 2.41 |
LRRC17 | -0.0000485 | 11763 | GTEx | DepMap | Descartes | 0.04 | 0.25 |
ABCC9 | -0.0000489 | 11795 | GTEx | DepMap | Descartes | 0.03 | 0.08 |
COL1A2 | -0.0000516 | 12077 | GTEx | DepMap | Descartes | 1.88 | 10.12 |
GAS2 | -0.0000533 | 12230 | GTEx | DepMap | Descartes | 0.03 | 0.07 |
COL3A1 | -0.0000569 | 12570 | GTEx | DepMap | Descartes | 4.73 | 25.83 |
OGN | -0.0000590 | 12754 | GTEx | DepMap | Descartes | 0.14 | 2.44 |
ISLR | -0.0000631 | 13100 | GTEx | DepMap | Descartes | 0.09 | 0.49 |
Descartes sympathoblasts markers
Top 50 marker genes of sympathoblasts cells in the Decartes fetal adrenal single cell map (https://atlas.brotmanbaty.org/bbi/human-gene-expression-during-development/cell/sympathoblasts/in/adrenal)
Wilcoxon ranksum test P-value for gene set overrepresentation: 9.99e-01
Mean rank of genes in gene set: 13383.1
Median rank of genes in gene set: 14041.5
Rank on gene expression program of top 30 genes in gene set:
Genes | Weight | Rank | GTEx | DepMap | Descartes | Mean.Counts | Mean.TPM |
---|---|---|---|---|---|---|---|
GCH1 | 0.0003214 | 985 | GTEx | DepMap | Descartes | 0.70 | 6.67 |
PENK | 0.0000032 | 4088 | GTEx | DepMap | Descartes | 0.01 | 0.48 |
ARC | -0.0000003 | 4358 | GTEx | DepMap | Descartes | 0.01 | 0.92 |
KCTD16 | -0.0000072 | 6038 | GTEx | DepMap | Descartes | 0.00 | 0.00 |
SLC35F3 | -0.0000183 | 8242 | GTEx | DepMap | Descartes | 0.00 | 0.00 |
CDH18 | -0.0000243 | 9111 | GTEx | DepMap | Descartes | 0.00 | 0.00 |
CNTN3 | -0.0000280 | 9577 | GTEx | DepMap | Descartes | 0.00 | 0.00 |
CDH12 | -0.0000295 | 9750 | GTEx | DepMap | Descartes | 0.00 | 0.00 |
SORCS3 | -0.0000317 | 10024 | GTEx | DepMap | Descartes | 0.00 | 0.00 |
TENM1 | -0.0000328 | 10140 | GTEx | DepMap | Descartes | 0.00 | 0.00 |
SLC24A2 | -0.0000337 | 10261 | GTEx | DepMap | Descartes | 0.00 | 0.00 |
GRID2 | -0.0000391 | 10840 | GTEx | DepMap | Descartes | 0.01 | 0.00 |
EML6 | -0.0000400 | 10927 | GTEx | DepMap | Descartes | 0.04 | 0.05 |
TIAM1 | -0.0000457 | 11512 | GTEx | DepMap | Descartes | 0.16 | 0.17 |
GRM7 | -0.0000474 | 11679 | GTEx | DepMap | Descartes | 0.00 | 0.00 |
AGBL4 | -0.0000478 | 11717 | GTEx | DepMap | Descartes | 0.01 | 0.00 |
TBX20 | -0.0000539 | 12294 | GTEx | DepMap | Descartes | 0.01 | 0.04 |
PNMT | -0.0000553 | 12413 | GTEx | DepMap | Descartes | 0.00 | 0.68 |
TMEM130 | -0.0000560 | 12476 | GTEx | DepMap | Descartes | 0.03 | 0.29 |
SLC18A1 | -0.0000614 | 12972 | GTEx | DepMap | Descartes | 0.00 | 0.01 |
LAMA3 | -0.0000734 | 13975 | GTEx | DepMap | Descartes | 0.00 | 0.00 |
NTNG1 | -0.0000751 | 14108 | GTEx | DepMap | Descartes | 0.10 | 0.07 |
DGKK | -0.0000881 | 15038 | GTEx | DepMap | Descartes | 0.07 | 0.06 |
SPOCK3 | -0.0000893 | 15128 | GTEx | DepMap | Descartes | 0.06 | 0.03 |
CHGB | -0.0000914 | 15292 | GTEx | DepMap | Descartes | 0.85 | 10.26 |
ST18 | -0.0000922 | 15340 | GTEx | DepMap | Descartes | 0.04 | 0.03 |
PACRG | -0.0000952 | 15494 | GTEx | DepMap | Descartes | 0.04 | 0.01 |
CCSER1 | -0.0001027 | 15983 | GTEx | DepMap | Descartes | 0.06 | 0.01 |
ROBO1 | -0.0001043 | 16065 | GTEx | DepMap | Descartes | 0.04 | 0.01 |
FGF14 | -0.0001079 | 16272 | GTEx | DepMap | Descartes | 0.03 | 0.01 |
Descartes erythroblasts markers
Top 50 marker genes of erythroblasts cells in the Decartes fetal adrenal single cell map (https://atlas.brotmanbaty.org/bbi/human-gene-expression-during-development/cell/erythroblasts/in/adrenal)
Wilcoxon ranksum test P-value for gene set overrepresentation: 9.33e-02
Mean rank of genes in gene set: 9126.6
Median rank of genes in gene set: 8710
Rank on gene expression program of top 30 genes in gene set:
Genes | Weight | Rank | GTEx | DepMap | Descartes | Mean.Counts | Mean.TPM |
---|---|---|---|---|---|---|---|
BLVRB | 0.0014312 | 167 | GTEx | DepMap | Descartes | 4.01 | 72.91 |
SELENBP1 | 0.0002961 | 1041 | GTEx | DepMap | Descartes | 0.22 | 7.60 |
CR1L | 0.0002844 | 1076 | GTEx | DepMap | Descartes | 0.69 | 7.80 |
GYPC | 0.0002823 | 1084 | GTEx | DepMap | Descartes | 0.06 | 0.68 |
SPECC1 | 0.0002513 | 1192 | GTEx | DepMap | Descartes | 0.33 | 0.44 |
SLC25A37 | 0.0001818 | 1548 | GTEx | DepMap | Descartes | 0.31 | 3.32 |
DENND4A | 0.0001206 | 1974 | GTEx | DepMap | Descartes | 0.17 | 0.72 |
CAT | 0.0000947 | 2201 | GTEx | DepMap | Descartes | 0.38 | 3.59 |
FECH | 0.0000504 | 2766 | GTEx | DepMap | Descartes | 0.17 | 1.69 |
ANK1 | 0.0000471 | 2822 | GTEx | DepMap | Descartes | 0.01 | 0.02 |
RHD | -0.0000057 | 5657 | GTEx | DepMap | Descartes | 0.00 | 0.04 |
SLC25A21 | -0.0000069 | 5947 | GTEx | DepMap | Descartes | 0.00 | 0.00 |
SLC4A1 | -0.0000073 | 6088 | GTEx | DepMap | Descartes | 0.00 | 0.00 |
EPB42 | -0.0000115 | 7038 | GTEx | DepMap | Descartes | 0.00 | 0.00 |
RGS6 | -0.0000180 | 8203 | GTEx | DepMap | Descartes | 0.00 | 0.00 |
HEMGN | -0.0000193 | 8408 | GTEx | DepMap | Descartes | 0.00 | 0.00 |
SPTA1 | -0.0000208 | 8615 | GTEx | DepMap | Descartes | 0.00 | 0.00 |
GYPA | -0.0000215 | 8710 | GTEx | DepMap | Descartes | 0.00 | 0.06 |
MARCH3 | -0.0000320 | 10059 | GTEx | DepMap | Descartes | 0.01 | 0.03 |
TSPAN5 | -0.0000343 | 10332 | GTEx | DepMap | Descartes | 0.28 | 0.49 |
GCLC | -0.0000345 | 10344 | GTEx | DepMap | Descartes | 0.19 | 1.61 |
TFR2 | -0.0000430 | 11238 | GTEx | DepMap | Descartes | 0.01 | 0.08 |
TRAK2 | -0.0000554 | 12425 | GTEx | DepMap | Descartes | 0.19 | 0.77 |
SOX6 | -0.0000720 | 13863 | GTEx | DepMap | Descartes | 0.02 | 0.00 |
TMEM56 | -0.0000739 | 14015 | GTEx | DepMap | Descartes | 0.02 | 0.04 |
XPO7 | -0.0000746 | 14069 | GTEx | DepMap | Descartes | 0.30 | 0.80 |
ABCB10 | -0.0000817 | 14585 | GTEx | DepMap | Descartes | 0.09 | 0.82 |
CPOX | -0.0000881 | 15036 | GTEx | DepMap | Descartes | 0.16 | 1.08 |
TMCC2 | -0.0000885 | 15079 | GTEx | DepMap | Descartes | 0.11 | 0.83 |
ALAS2 | -0.0000914 | 15285 | GTEx | DepMap | Descartes | 0.09 | 1.02 |
Descartes myeloid markers
Top 50 marker genes of myeloid cells in the Decartes fetal adrenal single cell map (https://atlas.brotmanbaty.org/bbi/human-gene-expression-during-development/cell/myeloid/in/adrenal)
Wilcoxon ranksum test P-value for gene set overrepresentation: 2.96e-09
Mean rank of genes in gene set: 5235.11
Median rank of genes in gene set: 1114
Rank on gene expression program of top 30 genes in gene set:
Genes | Weight | Rank | GTEx | DepMap | Descartes | Mean.Counts | Mean.TPM |
---|---|---|---|---|---|---|---|
CTSS | 0.0035009 | 36 | GTEx | DepMap | Descartes | 28.72 | 375.69 |
VSIG4 | 0.0030280 | 48 | GTEx | DepMap | Descartes | 0.66 | 3.18 |
CYBB | 0.0029945 | 49 | GTEx | DepMap | Descartes | 3.42 | 31.09 |
C1QA | 0.0028175 | 52 | GTEx | DepMap | Descartes | 40.46 | 4593.78 |
CD14 | 0.0025771 | 57 | GTEx | DepMap | Descartes | 4.48 | 1206.75 |
MSR1 | 0.0023819 | 65 | GTEx | DepMap | Descartes | 2.75 | 15.81 |
C1QB | 0.0023036 | 70 | GTEx | DepMap | Descartes | 43.30 | 2432.81 |
SPP1 | 0.0021781 | 83 | GTEx | DepMap | Descartes | 63.80 | 3283.64 |
CTSD | 0.0020370 | 99 | GTEx | DepMap | Descartes | 48.47 | 1275.45 |
C1QC | 0.0020079 | 100 | GTEx | DepMap | Descartes | 30.63 | 2892.86 |
CST3 | 0.0018097 | 113 | GTEx | DepMap | Descartes | 28.98 | 2689.16 |
LGMN | 0.0013259 | 182 | GTEx | DepMap | Descartes | 15.54 | 117.09 |
CTSB | 0.0011787 | 211 | GTEx | DepMap | Descartes | 52.72 | 742.00 |
CSF1R | 0.0010133 | 260 | GTEx | DepMap | Descartes | 2.61 | 34.28 |
ATP8B4 | 0.0008804 | 322 | GTEx | DepMap | Descartes | 0.29 | 0.88 |
MPEG1 | 0.0008334 | 348 | GTEx | DepMap | Descartes | 5.74 | 546.09 |
RBPJ | 0.0005758 | 541 | GTEx | DepMap | Descartes | 1.38 | 2.98 |
CTSC | 0.0004893 | 651 | GTEx | DepMap | Descartes | 8.56 | 91.96 |
PTPRE | 0.0004734 | 674 | GTEx | DepMap | Descartes | 0.45 | 1.29 |
IFNGR1 | 0.0004218 | 745 | GTEx | DepMap | Descartes | 1.71 | 43.06 |
WWP1 | 0.0003827 | 840 | GTEx | DepMap | Descartes | 1.31 | 4.40 |
ADAP2 | 0.0003226 | 982 | GTEx | DepMap | Descartes | 0.41 | 6.72 |
RGL1 | 0.0002743 | 1114 | GTEx | DepMap | Descartes | 0.71 | 1.19 |
MERTK | 0.0002545 | 1184 | GTEx | DepMap | Descartes | 0.59 | 1.88 |
HCK | 0.0002085 | 1392 | GTEx | DepMap | Descartes | 0.92 | 10.09 |
MARCH1 | 0.0001889 | 1507 | GTEx | DepMap | Descartes | 0.53 | 0.25 |
ABCA1 | 0.0001775 | 1574 | GTEx | DepMap | Descartes | 2.72 | 7.51 |
TGFBI | 0.0001361 | 1860 | GTEx | DepMap | Descartes | 2.16 | 35.78 |
FMN1 | 0.0001048 | 2099 | GTEx | DepMap | Descartes | 0.22 | 0.19 |
SLC9A9 | 0.0000473 | 2821 | GTEx | DepMap | Descartes | 0.30 | 0.19 |
Descartes Schwann markers
Top 50 marker genes of Schwann cells in the Decartes fetal adrenal single cell map (https://atlas.brotmanbaty.org/bbi/human-gene-expression-during-development/cell/schwann/in/adrenal)
Wilcoxon ranksum test P-value for gene set overrepresentation: 8.31e-01
Mean rank of genes in gene set: 11320.6
Median rank of genes in gene set: 11596
Rank on gene expression program of top 30 genes in gene set:
Genes | Weight | Rank | GTEx | DepMap | Descartes | Mean.Counts | Mean.TPM |
---|---|---|---|---|---|---|---|
EDNRB | 0.0012578 | 195 | GTEx | DepMap | Descartes | 0.92 | 9.07 |
VIM | 0.0010825 | 236 | GTEx | DepMap | Descartes | 16.54 | 691.78 |
GAS7 | 0.0007335 | 407 | GTEx | DepMap | Descartes | 0.59 | 1.17 |
KCTD12 | 0.0005141 | 615 | GTEx | DepMap | Descartes | 1.32 | 91.36 |
VCAN | 0.0004215 | 748 | GTEx | DepMap | Descartes | 0.53 | 3.70 |
PMP22 | 0.0003419 | 930 | GTEx | DepMap | Descartes | 2.01 | 20.65 |
PAG1 | 0.0000974 | 2173 | GTEx | DepMap | Descartes | 0.15 | 0.49 |
TRPM3 | 0.0000594 | 2644 | GTEx | DepMap | Descartes | 0.01 | 0.00 |
HMGA2 | 0.0000086 | 3815 | GTEx | DepMap | Descartes | 0.00 | 0.01 |
IL1RAPL2 | -0.0000037 | 5060 | GTEx | DepMap | Descartes | 0.00 | 0.00 |
LAMC1 | -0.0000074 | 6095 | GTEx | DepMap | Descartes | 0.19 | 0.52 |
ERBB3 | -0.0000129 | 7297 | GTEx | DepMap | Descartes | 0.04 | 0.41 |
SOX10 | -0.0000248 | 9173 | GTEx | DepMap | Descartes | 0.00 | 0.06 |
CDH19 | -0.0000254 | 9244 | GTEx | DepMap | Descartes | 0.00 | 0.01 |
SCN7A | -0.0000297 | 9787 | GTEx | DepMap | Descartes | 0.05 | 0.12 |
OLFML2A | -0.0000322 | 10082 | GTEx | DepMap | Descartes | 0.02 | 0.13 |
EGFLAM | -0.0000367 | 10582 | GTEx | DepMap | Descartes | 0.01 | 0.01 |
ERBB4 | -0.0000372 | 10643 | GTEx | DepMap | Descartes | 0.00 | 0.00 |
GRIK3 | -0.0000382 | 10740 | GTEx | DepMap | Descartes | 0.00 | 0.00 |
LRRTM4 | -0.0000389 | 10821 | GTEx | DepMap | Descartes | 0.00 | 0.00 |
PTPRZ1 | -0.0000409 | 11018 | GTEx | DepMap | Descartes | 0.01 | 0.01 |
MPZ | -0.0000460 | 11549 | GTEx | DepMap | Descartes | 0.00 | 0.00 |
PLP1 | -0.0000464 | 11577 | GTEx | DepMap | Descartes | 0.07 | 0.61 |
SLC35F1 | -0.0000466 | 11596 | GTEx | DepMap | Descartes | 0.01 | 0.00 |
NRXN3 | -0.0000603 | 12888 | GTEx | DepMap | Descartes | 0.01 | 0.00 |
COL5A2 | -0.0000656 | 13317 | GTEx | DepMap | Descartes | 0.42 | 0.68 |
IL1RAPL1 | -0.0000662 | 13376 | GTEx | DepMap | Descartes | 0.00 | 0.00 |
COL25A1 | -0.0000717 | 13835 | GTEx | DepMap | Descartes | 0.00 | 0.00 |
MDGA2 | -0.0000732 | 13950 | GTEx | DepMap | Descartes | 0.02 | 0.00 |
SOX5 | -0.0000748 | 14090 | GTEx | DepMap | Descartes | 0.01 | 0.00 |
Descartes Megakaryocytes markers
Top 50 marker genes of Megakaryocytes cells in the Decartes fetal adrenal single cell map (https://atlas.brotmanbaty.org/bbi/human-gene-expression-during-development/cell/megakaryocytes/in/adrenal)
Wilcoxon ranksum test P-value for gene set overrepresentation: 2.53e-07
Mean rank of genes in gene set: 6140.16
Median rank of genes in gene set: 2206
Rank on gene expression program of top 30 genes in gene set:
Genes | Weight | Rank | GTEx | DepMap | Descartes | Mean.Counts | Mean.TPM |
---|---|---|---|---|---|---|---|
PF4 | 0.0022457 | 76 | GTEx | DepMap | Descartes | 19.39 | 6638.99 |
CD84 | 0.0016712 | 133 | GTEx | DepMap | Descartes | 2.13 | 15.73 |
THBS1 | 0.0015520 | 149 | GTEx | DepMap | Descartes | 2.41 | 89.13 |
FERMT3 | 0.0014965 | 157 | GTEx | DepMap | Descartes | 1.67 | 32.58 |
RAP1B | 0.0013806 | 174 | GTEx | DepMap | Descartes | 4.05 | 53.40 |
CD9 | 0.0012519 | 197 | GTEx | DepMap | Descartes | 4.85 | 48.76 |
TMSB4X | 0.0012139 | 204 | GTEx | DepMap | Descartes | 240.61 | 38755.06 |
STOM | 0.0009760 | 285 | GTEx | DepMap | Descartes | 0.50 | 9.46 |
UBASH3B | 0.0007461 | 397 | GTEx | DepMap | Descartes | 0.35 | 0.98 |
TLN1 | 0.0007020 | 429 | GTEx | DepMap | Descartes | 2.58 | 35.34 |
FLNA | 0.0006968 | 437 | GTEx | DepMap | Descartes | 1.77 | 29.61 |
TGFB1 | 0.0005848 | 536 | GTEx | DepMap | Descartes | 2.68 | 61.77 |
ACTB | 0.0004560 | 693 | GTEx | DepMap | Descartes | 125.30 | 12203.58 |
MCTP1 | 0.0004305 | 723 | GTEx | DepMap | Descartes | 0.11 | 0.08 |
PLEK | 0.0004268 | 732 | GTEx | DepMap | Descartes | 1.76 | 8.83 |
FLI1 | 0.0003774 | 856 | GTEx | DepMap | Descartes | 0.49 | 1.67 |
BIN2 | 0.0003577 | 897 | GTEx | DepMap | Descartes | 0.56 | 8.64 |
ZYX | 0.0002635 | 1158 | GTEx | DepMap | Descartes | 1.22 | 44.42 |
TPM4 | 0.0002439 | 1223 | GTEx | DepMap | Descartes | 1.75 | 28.46 |
SPN | 0.0002116 | 1369 | GTEx | DepMap | Descartes | 0.12 | 10.89 |
LTBP1 | 0.0001540 | 1726 | GTEx | DepMap | Descartes | 0.10 | 0.09 |
LIMS1 | 0.0001487 | 1771 | GTEx | DepMap | Descartes | 0.94 | 3.52 |
MYH9 | 0.0001234 | 1954 | GTEx | DepMap | Descartes | 1.73 | 8.53 |
PSTPIP2 | 0.0001192 | 1984 | GTEx | DepMap | Descartes | 0.02 | 0.12 |
ARHGAP6 | 0.0000944 | 2206 | GTEx | DepMap | Descartes | 0.07 | 0.05 |
P2RX1 | 0.0000873 | 2287 | GTEx | DepMap | Descartes | 0.04 | 0.69 |
VCL | 0.0000768 | 2394 | GTEx | DepMap | Descartes | 0.27 | 0.92 |
PPBP | 0.0000500 | 2777 | GTEx | DepMap | Descartes | 0.06 | 15.25 |
GSN | 0.0000427 | 2910 | GTEx | DepMap | Descartes | 1.75 | 11.44 |
TUBB1 | -0.0000019 | 4591 | GTEx | DepMap | Descartes | 0.00 | 0.00 |
Descartes Lyphoid markers
Top 50 marker genes of Lyphoid cells in the Decartes fetal adrenal single cell map (https://atlas.brotmanbaty.org/bbi/human-gene-expression-during-development/cell/lymphoid/in/adrenal)
Wilcoxon ranksum test P-value for gene set overrepresentation: 9.70e-03
Mean rank of genes in gene set: 8346.34
Median rank of genes in gene set: 6243
Rank on gene expression program of top 30 genes in gene set:
Genes | Weight | Rank | GTEx | DepMap | Descartes | Mean.Counts | Mean.TPM |
---|---|---|---|---|---|---|---|
B2M | 0.0020682 | 94 | GTEx | DepMap | Descartes | 15.43 | 1117.81 |
ARHGDIB | 0.0012271 | 198 | GTEx | DepMap | Descartes | 4.74 | 105.56 |
CD44 | 0.0012123 | 205 | GTEx | DepMap | Descartes | 1.47 | 7.77 |
MSN | 0.0009797 | 283 | GTEx | DepMap | Descartes | 3.44 | 19.97 |
LCP1 | 0.0006033 | 515 | GTEx | DepMap | Descartes | 3.64 | 14.79 |
CCND3 | 0.0003372 | 943 | GTEx | DepMap | Descartes | 0.49 | 2.27 |
ITPKB | 0.0002712 | 1127 | GTEx | DepMap | Descartes | 0.41 | 2.15 |
PITPNC1 | 0.0002695 | 1132 | GTEx | DepMap | Descartes | 0.93 | 1.21 |
CELF2 | 0.0002220 | 1317 | GTEx | DepMap | Descartes | 1.12 | 0.47 |
PLEKHA2 | 0.0002112 | 1372 | GTEx | DepMap | Descartes | 0.30 | 2.11 |
SP100 | 0.0001970 | 1459 | GTEx | DepMap | Descartes | 0.77 | 6.10 |
WIPF1 | 0.0001893 | 1506 | GTEx | DepMap | Descartes | 0.56 | 2.58 |
IKZF1 | 0.0001886 | 1509 | GTEx | DepMap | Descartes | 0.39 | 1.99 |
ARHGAP15 | 0.0000946 | 2203 | GTEx | DepMap | Descartes | 0.28 | 0.22 |
PRKCH | 0.0000884 | 2271 | GTEx | DepMap | Descartes | 0.15 | 0.28 |
PDE3B | 0.0000787 | 2372 | GTEx | DepMap | Descartes | 0.23 | 0.64 |
PTPRC | 0.0000728 | 2446 | GTEx | DepMap | Descartes | 2.57 | 12.44 |
RAP1GAP2 | 0.0000694 | 2491 | GTEx | DepMap | Descartes | 0.11 | 0.24 |
ANKRD44 | 0.0000476 | 2815 | GTEx | DepMap | Descartes | 0.34 | 0.57 |
ARID5B | 0.0000329 | 3108 | GTEx | DepMap | Descartes | 0.42 | 0.85 |
RCSD1 | 0.0000223 | 3376 | GTEx | DepMap | Descartes | 0.17 | 1.18 |
SAMD3 | -0.0000073 | 6070 | GTEx | DepMap | Descartes | 0.00 | 0.00 |
MBNL1 | -0.0000087 | 6416 | GTEx | DepMap | Descartes | 2.01 | 5.76 |
BCL2 | -0.0000116 | 7061 | GTEx | DepMap | Descartes | 0.17 | 0.42 |
MCTP2 | -0.0000190 | 8355 | GTEx | DepMap | Descartes | 0.00 | 0.02 |
SCML4 | -0.0000289 | 9676 | GTEx | DepMap | Descartes | 0.02 | 0.08 |
DOCK10 | -0.0000467 | 11615 | GTEx | DepMap | Descartes | 0.53 | 1.02 |
NKG7 | -0.0000535 | 12258 | GTEx | DepMap | Descartes | 0.01 | 1.89 |
CCL5 | -0.0000692 | 13636 | GTEx | DepMap | Descartes | 0.20 | 17.72 |
BACH2 | -0.0000702 | 13722 | GTEx | DepMap | Descartes | 0.11 | 0.10 |
Below shows the ranks on this GEP for immune marker gene lists curated by CellTypist (https://www.celltypist.org/encyclopedia).
High ranks indicate this gene is a driver of this GEP.
These curated gene list are ranked by P-value (on this GEP) of their constituent genes.
The Mean Count column shows the mean read count in cells scoring highly (H > 50) on this gene expression program.
Genes | Weight | Rank | GTEx | DepMap | Decartes | Mean.Counts | Mean.TPM |
---|---|---|---|---|---|---|---|
C1QA | 0.0028175 | 52 | GTEx | DepMap | Descartes | 40.46 | 4593.78 |
TREM2 | 0.0018803 | 106 | GTEx | DepMap | Descartes | 8.48 | 353.92 |
CD68 | 0.0016597 | 134 | GTEx | DepMap | Descartes | 9.33 | 1691.30 |
Mono-mac: Mono-mac (curated markers)
mononuclear phagocytes including monocytes and macrophages that are involved in the regulation of innate and adaptive immunity:
Wilcoxon ranksum test P-value for gene set overrepresentation: 1.76e-03
Mean rank of genes in gene set: 289.33
Rank on gene expression program of genes in gene set:
Genes | Weight | Rank | GTEx | DepMap | Decartes | Mean.Counts | Mean.TPM |
---|---|---|---|---|---|---|---|
C1QC | 0.0020079 | 100 | GTEx | DepMap | Descartes | 30.63 | 2892.86 |
TYROBP | 0.0018682 | 108 | GTEx | DepMap | Descartes | 32.69 | 3103.63 |
HMOX1 | 0.0004790 | 660 | GTEx | DepMap | Descartes | 15.10 | 691.47 |
ILC precursor: ILC precursor (curated markers)
innate lymphoid cell precursors which give rise to innate lymphoid cells and lack the characteristics of their mature progenies:
Wilcoxon ranksum test P-value for gene set overrepresentation: 4.09e-03
Mean rank of genes in gene set: 1241.33
Rank on gene expression program of genes in gene set:
Genes | Weight | Rank | GTEx | DepMap | Decartes | Mean.Counts | Mean.TPM |
---|---|---|---|---|---|---|---|
SCN1B | 0.0005911 | 531 | GTEx | DepMap | Descartes | 0.31 | 10.27 |
LST1 | 0.0003016 | 1026 | GTEx | DepMap | Descartes | 4.19 | 632.83 |
HPN | 0.0000981 | 2167 | GTEx | DepMap | Descartes | 0.02 | 0.73 |