QQ-plot of gene loadings, averaged over both independent splits of the data
This plot highlights the relative contribution of each gene to the GEP
Top genes driving this program. Note: Decartes website is buggy, try refreshing. Also, Decartes fetal adrenal data have been collected at specific time points (89-122 days), all possible cell types of interest may not be represented, do not overinterpret. The Mean Count column shows the mean read count in cells scoring highly (H > 50) on this gene expression program (currently only calculated for the cells in the first 50/50 split of the data).
Note: Decartes website is buggy, try refreshing. Also, Decartes fetal adrenal data have been collected at specific time points (89-122 days), all possible cell types of interest may not be represented, do not overinterpret.
The Mean Count column shows the mean read count in cells scoring highly (H > 50) on this gene expression program.
Gene | Loading | Gene.Name | GTEx | DepMap | Descartes | Mean.Counts | Mean.Tpm | |
---|---|---|---|---|---|---|---|---|
1 | CCDC80 | 0.0069867 | coiled-coil domain containing 80 | GTEx | DepMap | Descartes | 33.69 | 633.28 |
2 | MFAP4 | 0.0064586 | microfibril associated protein 4 | GTEx | DepMap | Descartes | 12.90 | 1457.21 |
3 | ELN | 0.0058802 | elastin | GTEx | DepMap | Descartes | 7.57 | 418.48 |
4 | COL14A1 | 0.0057922 | collagen type XIV alpha 1 chain | GTEx | DepMap | Descartes | 17.57 | 538.62 |
5 | FBLN1 | 0.0057041 | fibulin 1 | GTEx | DepMap | Descartes | 15.83 | 1496.02 |
6 | MEDAG | 0.0054877 | mesenteric estrogen dependent adipogenesis | GTEx | DepMap | Descartes | 8.77 | NA |
7 | DPT | 0.0054854 | dermatopontin | GTEx | DepMap | Descartes | 4.56 | 540.73 |
8 | SFRP2 | 0.0054421 | secreted frizzled related protein 2 | GTEx | DepMap | Descartes | 15.81 | 1250.54 |
9 | C7 | 0.0049521 | complement C7 | GTEx | DepMap | Descartes | 33.04 | 1506.66 |
10 | IER3 | 0.0048569 | immediate early response 3 | GTEx | DepMap | Descartes | 40.01 | 6324.02 |
11 | COL3A1 | 0.0047243 | collagen type III alpha 1 chain | GTEx | DepMap | Descartes | 126.13 | 4329.75 |
12 | IL1R1 | 0.0045265 | interleukin 1 receptor type 1 | GTEx | DepMap | Descartes | 6.96 | 344.84 |
13 | MGP | 0.0044677 | matrix Gla protein | GTEx | DepMap | Descartes | 85.27 | 13772.01 |
14 | CXCL2 | 0.0044151 | C-X-C motif chemokine ligand 2 | GTEx | DepMap | Descartes | 42.48 | 8440.64 |
15 | AEBP1 | 0.0044091 | AE binding protein 1 | GTEx | DepMap | Descartes | 16.00 | 903.07 |
16 | SPARC | 0.0043564 | secreted protein acidic and cysteine rich | GTEx | DepMap | Descartes | 97.15 | 5083.02 |
17 | MMP2 | 0.0042331 | matrix metallopeptidase 2 | GTEx | DepMap | Descartes | 9.61 | 638.66 |
18 | IGF1 | 0.0041845 | insulin like growth factor 1 | GTEx | DepMap | Descartes | 6.83 | 194.87 |
19 | HTRA1 | 0.0041513 | HtrA serine peptidase 1 | GTEx | DepMap | Descartes | 5.77 | 556.98 |
20 | SERPINE1 | 0.0041502 | serpin family E member 1 | GTEx | DepMap | Descartes | 39.35 | 2874.66 |
21 | GPRC5A | 0.0040932 | G protein-coupled receptor class C group 5 member A | GTEx | DepMap | Descartes | 5.66 | 215.98 |
22 | ITGBL1 | 0.0038962 | integrin subunit beta like 1 | GTEx | DepMap | Descartes | 2.70 | 116.73 |
23 | C1QTNF3 | 0.0037791 | C1q and TNF related 3 | GTEx | DepMap | Descartes | 0.92 | 53.26 |
24 | GEM | 0.0037334 | GTP binding protein overexpressed in skeletal muscle | GTEx | DepMap | Descartes | 23.11 | 2469.73 |
25 | FOSL1 | 0.0036147 | FOS like 1, AP-1 transcription factor subunit | GTEx | DepMap | Descartes | 4.72 | 613.63 |
26 | PTX3 | 0.0035189 | pentraxin 3 | GTEx | DepMap | Descartes | 8.97 | 1283.17 |
27 | GFPT2 | 0.0035085 | glutamine-fructose-6-phosphate transaminase 2 | GTEx | DepMap | Descartes | 6.74 | 582.97 |
28 | IGF2 | 0.0034368 | insulin like growth factor 2 | GTEx | DepMap | Descartes | 16.34 | 672.03 |
29 | INHBA | 0.0034119 | inhibin subunit beta A | GTEx | DepMap | Descartes | 21.30 | 824.31 |
30 | PLXDC2 | 0.0033209 | plexin domain containing 2 | GTEx | DepMap | Descartes | 4.28 | 75.65 |
31 | MXRA8 | 0.0032390 | matrix remodeling associated 8 | GTEx | DepMap | Descartes | 5.95 | 482.37 |
32 | BGN | 0.0030837 | biglycan | GTEx | DepMap | Descartes | 26.43 | 2394.09 |
33 | ANTXR1 | 0.0030827 | ANTXR cell adhesion molecule 1 | GTEx | DepMap | Descartes | 4.00 | 134.04 |
34 | FBLN2 | 0.0030609 | fibulin 2 | GTEx | DepMap | Descartes | 4.66 | 258.03 |
35 | ERRFI1 | 0.0030548 | ERBB receptor feedback inhibitor 1 | GTEx | DepMap | Descartes | 8.35 | 627.77 |
36 | LIF | 0.0029922 | LIF interleukin 6 family cytokine | GTEx | DepMap | Descartes | 9.18 | 518.19 |
37 | VASN | 0.0029598 | vasorin | GTEx | DepMap | Descartes | 3.45 | 306.79 |
38 | SLC39A14 | 0.0029184 | solute carrier family 39 member 14 | GTEx | DepMap | Descartes | 4.06 | 223.46 |
39 | PODN | 0.0029106 | podocan | GTEx | DepMap | Descartes | 2.98 | 222.72 |
40 | CDKN1A | 0.0029028 | cyclin dependent kinase inhibitor 1A | GTEx | DepMap | Descartes | 20.30 | 2082.46 |
41 | CHRDL1 | 0.0028977 | chordin like 1 | GTEx | DepMap | Descartes | 1.54 | 105.48 |
42 | COL1A2 | 0.0028888 | collagen type I alpha 2 chain | GTEx | DepMap | Descartes | 100.15 | 3194.77 |
43 | VEGFA | 0.0028868 | vascular endothelial growth factor A | GTEx | DepMap | Descartes | 7.40 | 152.45 |
44 | CTSK | 0.0028755 | cathepsin K | GTEx | DepMap | Descartes | 5.09 | 672.21 |
45 | C3 | 0.0028723 | complement C3 | GTEx | DepMap | Descartes | 13.87 | 728.68 |
46 | LOX | 0.0028262 | lysyl oxidase | GTEx | DepMap | Descartes | 2.26 | 99.28 |
47 | SPSB1 | 0.0028231 | splA/ryanodine receptor domain and SOCS box containing 1 | GTEx | DepMap | Descartes | 5.57 | 402.25 |
48 | TNFAIP6 | 0.0028042 | TNF alpha induced protein 6 | GTEx | DepMap | Descartes | 3.54 | 542.25 |
49 | PRELP | 0.0027685 | proline and arginine rich end leucine rich repeat protein | GTEx | DepMap | Descartes | 9.84 | 408.64 |
50 | TUBA1C | 0.0027628 | tubulin alpha 1c | GTEx | DepMap | Descartes | 5.08 | 406.42 |
UMAP plots showing activity of gene expression program identified in community:7. Cancer Associated Fibroblast: Intermediate [Myo:Inf] (IGF1+)
CNV Data procured from inferCNV.
Outer tracks are putative CNV regions (gains = red, losses = blue) for each patient
Inner track is expression data representing:
The top cells expressing this GEP (purple)
Random cells (n =50) from the reference set used in inferCNV (orange)
Gene set Enrichments for this program, caculated from top 50 genes
mSigDB Cell Types Gene Set:
P-value | OR | Lower 95% CI | FDR | FWER | Genes Found | Gene Set Size | |
---|---|---|---|---|---|---|---|
CUI_DEVELOPING_HEART_SMOOTH_MUSCLE_CELL | 2.31e-19 | 109.27 | 48.03 | 1.72e-17 | 1.55e-16 | 12CCDC80, ELN, COL14A1, FBLN1, SFRP2, COL3A1, SPARC, C1QTNF3, BGN, COL1A2, CTSK, LOX |
48 |
GAO_LARGE_INTESTINE_24W_C1_DCLK1POS_PROGENITOR | 2.94e-24 | 78.35 | 39.27 | 6.58e-22 | 1.97e-21 | 17CCDC80, COL14A1, FBLN1, DPT, SFRP2, C7, COL3A1, MGP, SPARC, MMP2, HTRA1, C1QTNF3, VASN, COL1A2, C3, LOX, TNFAIP6 |
99 |
DESCARTES_FETAL_EYE_STROMAL_CELLS | 2.29e-19 | 63.83 | 30.49 | 1.72e-17 | 1.54e-16 | 14COL14A1, MEDAG, DPT, SFRP2, COL3A1, MGP, SPARC, ITGBL1, INHBA, VASN, PODN, COL1A2, LOX, TNFAIP6 |
90 |
TRAVAGLINI_LUNG_ADVENTITIAL_FIBROBLAST_CELL | 6.57e-30 | 50.17 | 27.28 | 4.41e-27 | 4.41e-27 | 26CCDC80, FBLN1, MEDAG, DPT, SFRP2, C7, COL3A1, IL1R1, MGP, MMP2, IGF1, GPRC5A, C1QTNF3, FOSL1, PTX3, GFPT2, FBLN2, ERRFI1, PODN, CHRDL1, COL1A2, VEGFA, CTSK, C3, LOX, SPSB1 |
296 |
AIZARANI_LIVER_C21_STELLATE_CELLS_1 | 5.24e-24 | 47.90 | 25.23 | 8.79e-22 | 3.51e-21 | 20CCDC80, MFAP4, COL14A1, FBLN1, DPT, C7, IER3, COL3A1, MGP, AEBP1, SPARC, MMP2, SERPINE1, GEM, BGN, ANTXR1, FBLN2, CDKN1A, COL1A2, PRELP |
194 |
DESCARTES_FETAL_THYMUS_STROMAL_CELLS | 5.03e-20 | 48.53 | 24.36 | 5.63e-18 | 3.38e-17 | 16CCDC80, MFAP4, ELN, COL14A1, FBLN1, SFRP2, COL3A1, MGP, SPARC, MMP2, IGF2, BGN, FBLN2, COL1A2, C3, LOX |
137 |
DESCARTES_FETAL_KIDNEY_STROMAL_CELLS | 1.43e-19 | 45.19 | 22.71 | 1.37e-17 | 9.57e-17 | 16COL14A1, MEDAG, DPT, SFRP2, COL3A1, MGP, SPARC, IGF1, PTX3, FBLN2, PODN, CHRDL1, COL1A2, LOX, TNFAIP6, PRELP |
146 |
DURANTE_ADULT_OLFACTORY_NEUROEPITHELIUM_FIBROBLASTS_STROMAL_CELLS | 1.31e-14 | 49.59 | 21.99 | 5.50e-13 | 8.81e-12 | 11MFAP4, FBLN1, SFRP2, COL3A1, MGP, AEBP1, SPARC, ITGBL1, MXRA8, BGN, COL1A2 |
82 |
CUI_DEVELOPING_HEART_C3_FIBROBLAST_LIKE_CELL | 4.80e-16 | 42.17 | 19.96 | 2.68e-14 | 3.22e-13 | 13MFAP4, ELN, COL14A1, FBLN1, DPT, C7, MGP, SPARC, MMP2, MXRA8, FBLN2, COL1A2, LOX |
117 |
TRAVAGLINI_LUNG_LIPOFIBROBLAST_CELL | 2.47e-16 | 36.80 | 17.90 | 1.51e-14 | 1.66e-13 | 14CCDC80, MEDAG, C7, COL3A1, IL1R1, CXCL2, GPRC5A, FOSL1, GFPT2, ERRFI1, CDKN1A, VEGFA, C3, TUBA1C |
146 |
DESCARTES_FETAL_STOMACH_STROMAL_CELLS | 8.79e-10 | 47.20 | 16.97 | 2.95e-08 | 5.90e-07 | 7MFAP4, FBLN1, DPT, SFRP2, C7, COL3A1, INHBA |
50 |
CUI_DEVELOPING_HEART_COMPACT_VENTRICULAR_CARDIOMYOCYTE | 1.44e-10 | 41.68 | 16.18 | 5.38e-09 | 9.68e-08 | 8ELN, DPT, C7, COL3A1, MGP, SPARC, MMP2, COL1A2 |
65 |
RUBENSTEIN_SKELETAL_MUSCLE_FAP_CELLS | 4.28e-15 | 29.44 | 14.39 | 1.91e-13 | 2.87e-12 | 14CCDC80, MFAP4, FBLN1, DPT, COL3A1, MGP, MMP2, IGF1, MXRA8, FBLN2, PODN, CHRDL1, COL1A2, C3 |
179 |
HAY_BONE_MARROW_STROMAL | 5.49e-25 | 25.54 | 13.96 | 1.84e-22 | 3.69e-22 | 30CCDC80, COL14A1, FBLN1, MEDAG, DPT, C7, COL3A1, IL1R1, MGP, CXCL2, MMP2, HTRA1, GPRC5A, ITGBL1, GEM, PTX3, IGF2, MXRA8, BGN, ANTXR1, ERRFI1, VASN, SLC39A14, PODN, CHRDL1, COL1A2, CTSK, LOX, TNFAIP6, PRELP |
765 |
CUI_DEVELOPING_HEART_C5_VALVAR_CELL | 1.26e-15 | 27.75 | 13.84 | 6.02e-14 | 8.42e-13 | 15CCDC80, MFAP4, ELN, IER3, MGP, CXCL2, AEBP1, IGF1, GEM, BGN, ERRFI1, CDKN1A, CTSK, TNFAIP6, PRELP |
208 |
RUBENSTEIN_SKELETAL_MUSCLE_FBN1_FAP_CELLS | 1.23e-17 | 25.96 | 13.54 | 8.24e-16 | 8.24e-15 | 18CCDC80, MFAP4, ELN, COL14A1, FBLN1, MEDAG, COL3A1, MGP, MMP2, HTRA1, C1QTNF3, GFPT2, MXRA8, FBLN2, CHRDL1, COL1A2, CTSK, C3 |
289 |
MURARO_PANCREAS_MESENCHYMAL_STROMAL_CELL | 3.36e-22 | 22.50 | 12.35 | 4.51e-20 | 2.25e-19 | 27CCDC80, MFAP4, MEDAG, SFRP2, IER3, COL3A1, IL1R1, MGP, AEBP1, SPARC, MMP2, HTRA1, SERPINE1, GEM, GFPT2, INHBA, MXRA8, BGN, ANTXR1, LIF, VASN, COL1A2, CTSK, LOX, SPSB1, TNFAIP6, TUBA1C |
680 |
FAN_OVARY_CL6_PUTATIVE_EARLY_ATRETIC_FOLLICLE_THECAL_CELL_2 | 5.70e-16 | 22.74 | 11.74 | 2.94e-14 | 3.83e-13 | 17CCDC80, MFAP4, FBLN1, C7, IER3, COL3A1, MGP, AEBP1, SPARC, MMP2, IGF1, HTRA1, MXRA8, BGN, COL1A2, CTSK, PRELP |
300 |
DESCARTES_FETAL_LUNG_MESOTHELIAL_CELLS | 6.90e-09 | 24.52 | 9.69 | 1.93e-07 | 4.63e-06 | 8ELN, MGP, GEM, GFPT2, LIF, PODN, C3, PRELP |
105 |
DESCARTES_FETAL_ADRENAL_STROMAL_CELLS | 3.25e-10 | 21.83 | 9.55 | 1.15e-08 | 2.18e-07 | 10CCDC80, SFRP2, C7, COL3A1, MGP, ITGBL1, PODN, CHRDL1, LOX, PRELP |
153 |
Dowload full table
mSigDB Hallmark Gene Sets:
P-value | OR | Lower 95% CI | FDR | FWER | Genes Found | Gene Set Size | |
---|---|---|---|---|---|---|---|
HALLMARK_EPITHELIAL_MESENCHYMAL_TRANSITION | 2.27e-17 | 31.95 | 16.17 | 1.13e-15 | 1.13e-15 | 16ELN, FBLN1, COL3A1, MGP, SPARC, MMP2, HTRA1, SERPINE1, GEM, PTX3, INHBA, BGN, FBLN2, COL1A2, VEGFA, LOX |
200 |
HALLMARK_TNFA_SIGNALING_VIA_NFKB | 5.03e-13 | 23.47 | 11.26 | 1.26e-11 | 2.51e-11 | 13IER3, CXCL2, SERPINE1, GEM, FOSL1, PTX3, GFPT2, INHBA, LIF, CDKN1A, VEGFA, SPSB1, TNFAIP6 |
200 |
HALLMARK_COAGULATION | 1.59e-05 | 12.91 | 4.42 | 1.99e-04 | 7.96e-04 | 6SPARC, MMP2, HTRA1, SERPINE1, CTSK, C3 |
138 |
HALLMARK_HYPOXIA | 1.19e-05 | 10.54 | 3.95 | 1.98e-04 | 5.94e-04 | 7IER3, SERPINE1, BGN, ERRFI1, CDKN1A, VEGFA, LOX |
200 |
HALLMARK_INFLAMMATORY_RESPONSE | 1.24e-04 | 8.78 | 3.02 | 1.24e-03 | 6.18e-03 | 6IL1R1, SERPINE1, INHBA, LIF, CDKN1A, TNFAIP6 |
200 |
HALLMARK_MYOGENESIS | 1.08e-03 | 7.12 | 2.18 | 7.71e-03 | 5.40e-02 | 5COL3A1, AEBP1, SPARC, IGF1, CDKN1A |
200 |
HALLMARK_KRAS_SIGNALING_UP | 1.08e-03 | 7.12 | 2.18 | 7.71e-03 | 5.40e-02 | 5ITGBL1, GFPT2, IGF2, INHBA, LIF |
200 |
HALLMARK_APOPTOSIS | 3.63e-03 | 6.92 | 1.79 | 2.27e-02 | 1.82e-01 | 4IER3, MMP2, BGN, CDKN1A |
161 |
HALLMARK_ANGIOGENESIS | 8.94e-03 | 15.30 | 1.73 | 4.47e-02 | 4.47e-01 | 2COL3A1, VEGFA |
36 |
HALLMARK_XENOBIOTIC_METABOLISM | 7.71e-03 | 5.55 | 1.44 | 4.28e-02 | 3.85e-01 | 4FBLN1, IL1R1, IGF1, SERPINE1 |
200 |
HALLMARK_UV_RESPONSE_DN | 1.90e-02 | 5.66 | 1.11 | 8.64e-02 | 9.50e-01 | 3COL3A1, SERPINE1, COL1A2 |
144 |
HALLMARK_P53_PATHWAY | 4.35e-02 | 4.05 | 0.80 | 1.81e-01 | 1.00e+00 | 3IER3, LIF, CDKN1A |
200 |
HALLMARK_INTERFERON_GAMMA_RESPONSE | 1.85e-01 | 2.63 | 0.31 | 5.38e-01 | 1.00e+00 | 2CDKN1A, TNFAIP6 |
200 |
HALLMARK_COMPLEMENT | 1.85e-01 | 2.63 | 0.31 | 5.38e-01 | 1.00e+00 | 2SERPINE1, C3 |
200 |
HALLMARK_GLYCOLYSIS | 1.85e-01 | 2.63 | 0.31 | 5.38e-01 | 1.00e+00 | 2IER3, VEGFA |
200 |
HALLMARK_ALLOGRAFT_REJECTION | 1.85e-01 | 2.63 | 0.31 | 5.38e-01 | 1.00e+00 | 2INHBA, LIF |
200 |
HALLMARK_HEDGEHOG_SIGNALING | 1.34e-01 | 7.29 | 0.18 | 5.14e-01 | 1.00e+00 | 1VEGFA |
36 |
HALLMARK_TGF_BETA_SIGNALING | 1.94e-01 | 4.81 | 0.12 | 5.38e-01 | 1.00e+00 | 1SERPINE1 |
54 |
HALLMARK_CHOLESTEROL_HOMEOSTASIS | 2.55e-01 | 3.49 | 0.09 | 6.71e-01 | 1.00e+00 | 1ERRFI1 |
74 |
HALLMARK_IL6_JAK_STAT3_SIGNALING | 2.93e-01 | 2.97 | 0.07 | 7.31e-01 | 1.00e+00 | 1IL1R1 |
87 |
Dowload full table
KEGG Pathways:
P-value | OR | Lower 95% CI | FDR | FWER | Genes Found | Gene Set Size | |
---|---|---|---|---|---|---|---|
KEGG_BLADDER_CANCER | 6.07e-04 | 20.43 | 3.90 | 1.13e-01 | 1.13e-01 | 3MMP2, CDKN1A, VEGFA |
42 |
KEGG_P53_SIGNALING_PATHWAY | 2.45e-03 | 12.27 | 2.38 | 1.58e-01 | 4.55e-01 | 3IGF1, SERPINE1, CDKN1A |
68 |
KEGG_COMPLEMENT_AND_COAGULATION_CASCADES | 2.55e-03 | 12.08 | 2.35 | 1.58e-01 | 4.75e-01 | 3C7, SERPINE1, C3 |
69 |
KEGG_CYTOKINE_CYTOKINE_RECEPTOR_INTERACTION | 3.61e-03 | 5.34 | 1.64 | 1.68e-01 | 6.72e-01 | 5IL1R1, CXCL2, INHBA, LIF, VEGFA |
265 |
KEGG_FOCAL_ADHESION | 7.58e-03 | 5.57 | 1.44 | 2.82e-01 | 1.00e+00 | 4COL3A1, IGF1, COL1A2, VEGFA |
199 |
KEGG_MTOR_SIGNALING_PATHWAY | 1.80e-02 | 10.41 | 1.19 | 5.59e-01 | 1.00e+00 | 2IGF1, VEGFA |
52 |
KEGG_GLIOMA | 2.73e-02 | 8.26 | 0.95 | 7.26e-01 | 1.00e+00 | 2IGF1, CDKN1A |
65 |
KEGG_PATHWAYS_IN_CANCER | 3.70e-02 | 3.39 | 0.88 | 7.65e-01 | 1.00e+00 | 4MMP2, IGF1, CDKN1A, VEGFA |
325 |
KEGG_MELANOMA | 3.21e-02 | 7.55 | 0.87 | 7.47e-01 | 1.00e+00 | 2IGF1, CDKN1A |
71 |
KEGG_ECM_RECEPTOR_INTERACTION | 4.36e-02 | 6.35 | 0.74 | 8.10e-01 | 1.00e+00 | 2COL3A1, COL1A2 |
84 |
KEGG_PROSTATE_CANCER | 4.83e-02 | 5.98 | 0.69 | 8.17e-01 | 1.00e+00 | 2IGF1, CDKN1A |
89 |
KEGG_SYSTEMIC_LUPUS_ERYTHEMATOSUS | 1.04e-01 | 3.80 | 0.44 | 1.00e+00 | 1.00e+00 | 2C7, C3 |
139 |
KEGG_WNT_SIGNALING_PATHWAY | 1.19e-01 | 3.50 | 0.41 | 1.00e+00 | 1.00e+00 | 2SFRP2, FOSL1 |
151 |
KEGG_ALANINE_ASPARTATE_AND_GLUTAMATE_METABOLISM | 1.20e-01 | 8.23 | 0.20 | 1.00e+00 | 1.00e+00 | 1GFPT2 |
32 |
KEGG_PRION_DISEASES | 1.30e-01 | 7.50 | 0.18 | 1.00e+00 | 1.00e+00 | 1C7 |
35 |
KEGG_ALDOSTERONE_REGULATED_SODIUM_REABSORPTION | 1.54e-01 | 6.22 | 0.15 | 1.00e+00 | 1.00e+00 | 1IGF1 |
42 |
KEGG_AMINO_SUGAR_AND_NUCLEOTIDE_SUGAR_METABOLISM | 1.61e-01 | 5.93 | 0.14 | 1.00e+00 | 1.00e+00 | 1GFPT2 |
44 |
KEGG_PATHOGENIC_ESCHERICHIA_COLI_INFECTION | 2.00e-01 | 4.64 | 0.11 | 1.00e+00 | 1.00e+00 | 1TUBA1C |
56 |
KEGG_NOD_LIKE_RECEPTOR_SIGNALING_PATHWAY | 2.19e-01 | 4.18 | 0.10 | 1.00e+00 | 1.00e+00 | 1CXCL2 |
62 |
KEGG_LONG_TERM_DEPRESSION | 2.43e-01 | 3.70 | 0.09 | 1.00e+00 | 1.00e+00 | 1IGF1 |
70 |
Dowload full table
CHR Positional Gene Sets:
P-value | OR | Lower 95% CI | FDR | FWER | Genes Found | Gene Set Size | |
---|---|---|---|---|---|---|---|
chr5p13 | 9.06e-02 | 4.13 | 0.48 | 1.00e+00 | 1.00e+00 | 2C7, C1QTNF3 |
128 |
chr6p21 | 4.27e-01 | 1.72 | 0.34 | 1.00e+00 | 1.00e+00 | 3IER3, CDKN1A, VEGFA |
467 |
chr1p36 | 7.38e-01 | 1.22 | 0.24 | 1.00e+00 | 1.00e+00 | 3MXRA8, ERRFI1, SPSB1 |
656 |
chr7p13 | 1.81e-01 | 5.21 | 0.13 | 1.00e+00 | 1.00e+00 | 1AEBP1 |
50 |
chr2q23 | 1.84e-01 | 5.10 | 0.12 | 1.00e+00 | 1.00e+00 | 1TNFAIP6 |
51 |
chr13q33 | 1.97e-01 | 4.72 | 0.12 | 1.00e+00 | 1.00e+00 | 1ITGBL1 |
55 |
chrXq23 | 2.98e-01 | 2.90 | 0.07 | 1.00e+00 | 1.00e+00 | 1CHRDL1 |
89 |
chr16q12 | 3.17e-01 | 2.68 | 0.07 | 1.00e+00 | 1.00e+00 | 1MMP2 |
96 |
chr12p12 | 3.46e-01 | 2.41 | 0.06 | 1.00e+00 | 1.00e+00 | 1MGP |
107 |
chr2q32 | 3.49e-01 | 2.38 | 0.06 | 1.00e+00 | 1.00e+00 | 1COL3A1 |
108 |
chr5q33 | 3.52e-01 | 2.36 | 0.06 | 1.00e+00 | 1.00e+00 | 1SPARC |
109 |
chr5q23 | 3.57e-01 | 2.32 | 0.06 | 1.00e+00 | 1.00e+00 | 1LOX |
111 |
chr1q24 | 3.87e-01 | 2.09 | 0.05 | 1.00e+00 | 1.00e+00 | 1DPT |
123 |
chr8p21 | 3.99e-01 | 2.01 | 0.05 | 1.00e+00 | 1.00e+00 | 1SLC39A14 |
128 |
chr10p12 | 4.15e-01 | 1.90 | 0.05 | 1.00e+00 | 1.00e+00 | 1PLXDC2 |
135 |
chr2p13 | 4.20e-01 | 1.88 | 0.05 | 1.00e+00 | 1.00e+00 | 1ANTXR1 |
137 |
chr12q23 | 4.38e-01 | 1.77 | 0.04 | 1.00e+00 | 1.00e+00 | 1IGF1 |
145 |
chr3p25 | 4.38e-01 | 1.77 | 0.04 | 1.00e+00 | 1.00e+00 | 1FBLN2 |
145 |
chr2q11 | 4.40e-01 | 1.76 | 0.04 | 1.00e+00 | 1.00e+00 | 1IL1R1 |
146 |
chr1p32 | 4.53e-01 | 1.69 | 0.04 | 1.00e+00 | 1.00e+00 | 1PODN |
152 |
Dowload full table
Transcription Factor Targets:
P-value | OR | Lower 95% CI | FDR | FWER | Genes Found | Gene Set Size | |
---|---|---|---|---|---|---|---|
FREAC4_01 | 3.25e-04 | 9.38 | 2.87 | 1.84e-01 | 3.68e-01 | 5IGF1, INHBA, VASN, CDKN1A, LOX |
153 |
SRF_Q6 | 2.73e-03 | 5.72 | 1.76 | 3.54e-01 | 1.00e+00 | 5IGF1, FOSL1, PODN, COL1A2, PRELP |
248 |
TGGAAA_NFAT_Q4_01 | 1.59e-04 | 3.36 | 1.75 | 1.80e-01 | 1.80e-01 | 17CCDC80, IER3, MGP, IGF1, C1QTNF3, INHBA, MXRA8, ANTXR1, ERRFI1, LIF, PODN, CDKN1A, COL1A2, VEGFA, CTSK, LOX, PRELP |
1934 |
AACTTT_UNKNOWN | 5.19e-04 | 3.08 | 1.58 | 1.96e-01 | 5.88e-01 | 16CCDC80, COL3A1, SPARC, MMP2, IGF1, ITGBL1, GEM, FOSL1, GFPT2, INHBA, PLXDC2, CHRDL1, COL1A2, VEGFA, LOX, TUBA1C |
1928 |
CCCNNNNNNAAGWT_UNKNOWN | 7.99e-03 | 7.90 | 1.55 | 4.32e-01 | 1.00e+00 | 3IER3, IGF1, INHBA |
104 |
GTGGGTGK_UNKNOWN | 5.78e-03 | 4.76 | 1.46 | 4.32e-01 | 1.00e+00 | 5SPARC, IGF1, SERPINE1, CHRDL1, VEGFA |
297 |
FREAC7_01 | 7.71e-03 | 5.55 | 1.44 | 4.32e-01 | 1.00e+00 | 4IER3, CXCL2, MXRA8, ERRFI1 |
200 |
PSMB5_TARGET_GENES | 6.61e-03 | 4.60 | 1.41 | 4.32e-01 | 1.00e+00 | 5IER3, SERPINE1, VASN, VEGFA, TUBA1C |
307 |
HFH8_01 | 8.81e-03 | 5.33 | 1.38 | 4.32e-01 | 1.00e+00 | 4CXCL2, C1QTNF3, INHBA, MXRA8 |
208 |
HNF3ALPHA_Q6 | 9.24e-03 | 5.25 | 1.36 | 4.32e-01 | 1.00e+00 | 4ERRFI1, VASN, CDKN1A, CHRDL1 |
211 |
RP58_01 | 9.39e-03 | 5.22 | 1.35 | 4.32e-01 | 1.00e+00 | 4COL3A1, IGF1, GFPT2, PODN |
212 |
FOX_Q2 | 9.54e-03 | 5.20 | 1.35 | 4.32e-01 | 1.00e+00 | 4ITGBL1, ERRFI1, VASN, CDKN1A |
213 |
GGGTGGRR_PAX4_03 | 6.10e-03 | 2.72 | 1.25 | 4.32e-01 | 1.00e+00 | 11ELN, SPARC, IGF1, SERPINE1, IGF2, LIF, SLC39A14, PODN, CDKN1A, CHRDL1, PRELP |
1310 |
VDR_Q3 | 1.27e-02 | 4.77 | 1.24 | 4.49e-01 | 1.00e+00 | 4PLXDC2, ERRFI1, LIF, VEGFA |
232 |
FOXO1_01 | 1.58e-02 | 4.45 | 1.16 | 5.19e-01 | 1.00e+00 | 4C1QTNF3, INHBA, PLXDC2, MXRA8 |
248 |
HFH1_01 | 1.64e-02 | 4.40 | 1.14 | 5.19e-01 | 1.00e+00 | 4C1QTNF3, INHBA, MXRA8, ERRFI1 |
251 |
ATF3_Q6 | 1.69e-02 | 4.37 | 1.13 | 5.19e-01 | 1.00e+00 | 4IGF1, GEM, MXRA8, CDKN1A |
253 |
AP4_01 | 1.96e-02 | 4.16 | 1.08 | 5.19e-01 | 1.00e+00 | 4IGF1, SERPINE1, VEGFA, TUBA1C |
265 |
POU3F2_02 | 1.96e-02 | 4.16 | 1.08 | 5.19e-01 | 1.00e+00 | 4CCDC80, SFRP2, ERRFI1, LOX |
265 |
WGTTNNNNNAAA_UNKNOWN | 1.82e-02 | 3.11 | 1.08 | 5.19e-01 | 1.00e+00 | 6IER3, MGP, MMP2, PLXDC2, CDKN1A, VEGFA |
554 |
Dowload full table
GO Biological Processes:
P-value | OR | Lower 95% CI | FDR | FWER | Genes Found | Gene Set Size | |
---|---|---|---|---|---|---|---|
GOBP_COLLAGEN_FIBRIL_ORGANIZATION | 1.54e-09 | 43.22 | 15.60 | 5.75e-06 | 1.15e-05 | 7COL14A1, DPT, SFRP2, COL3A1, AEBP1, COL1A2, LOX |
54 |
GOBP_LUNG_VASCULATURE_DEVELOPMENT | 1.54e-04 | 172.68 | 14.09 | 6.58e-02 | 1.00e+00 | 2ERRFI1, LIF |
5 |
GOBP_EXTERNAL_ENCAPSULATING_STRUCTURE_ORGANIZATION | 6.51e-18 | 22.18 | 11.82 | 4.87e-14 | 4.87e-14 | 20CCDC80, MFAP4, ELN, COL14A1, FBLN1, DPT, SFRP2, COL3A1, AEBP1, SPARC, MMP2, HTRA1, SERPINE1, PTX3, BGN, ANTXR1, FBLN2, COL1A2, CTSK, LOX |
396 |
GOBP_DENTINOGENESIS | 2.31e-04 | 129.66 | 11.45 | 8.22e-02 | 1.00e+00 | 2HTRA1, SERPINE1 |
6 |
GOBP_CELLULAR_RESPONSE_TO_UV_B | 4.28e-04 | 86.37 | 8.33 | 1.23e-01 | 1.00e+00 | 2MFAP4, CDKN1A |
8 |
GOBP_EXTRACELLULAR_MATRIX_ASSEMBLY | 2.91e-05 | 26.48 | 6.62 | 2.17e-02 | 2.17e-01 | 4MFAP4, ANTXR1, COL1A2, LOX |
45 |
GOBP_RESPONSE_TO_GRAVITY | 6.85e-04 | 64.86 | 6.55 | 1.66e-01 | 1.00e+00 | 2SPARC, FOSL1 |
10 |
GOBP_ELASTIC_FIBER_ASSEMBLY | 6.85e-04 | 64.86 | 6.55 | 1.66e-01 | 1.00e+00 | 2MFAP4, LOX |
10 |
GOBP_SKIN_MORPHOGENESIS | 8.35e-04 | 57.69 | 5.91 | 1.86e-01 | 1.00e+00 | 2ERRFI1, COL1A2 |
11 |
GOBP_NEGATIVE_REGULATION_OF_EPIDERMAL_GROWTH_FACTOR_ACTIVATED_RECEPTOR_ACTIVITY | 1.37e-03 | 43.30 | 4.59 | 2.06e-01 | 1.00e+00 | 2GPRC5A, ERRFI1 |
14 |
GOBP_CELL_ADHESION_MEDIATED_BY_INTEGRIN | 1.84e-04 | 15.97 | 4.06 | 6.88e-02 | 1.00e+00 | 4SFRP2, SERPINE1, ITGBL1, LIF |
72 |
GOBP_COLLAGEN_METABOLIC_PROCESS | 6.72e-05 | 13.34 | 4.05 | 3.59e-02 | 5.03e-01 | 5MFAP4, MMP2, ERRFI1, COL1A2, CTSK |
109 |
GOBP_RESPONSE_TO_UV_B | 1.80e-03 | 37.11 | 3.99 | 2.32e-01 | 1.00e+00 | 2MFAP4, CDKN1A |
16 |
GOBP_OVULATION | 1.80e-03 | 37.11 | 3.99 | 2.32e-01 | 1.00e+00 | 2INHBA, TNFAIP6 |
16 |
GOBP_REPLICATIVE_SENESCENCE | 2.03e-03 | 34.68 | 3.75 | 2.45e-01 | 1.00e+00 | 2SERPINE1, CDKN1A |
17 |
GOBP_COMPLEMENT_ACTIVATION_ALTERNATIVE_PATHWAY | 2.28e-03 | 32.49 | 3.53 | 2.66e-01 | 1.00e+00 | 2C7, C3 |
18 |
GOBP_POSITIVE_REGULATION_OF_GLYCOGEN_METABOLIC_PROCESS | 2.28e-03 | 32.49 | 3.53 | 2.66e-01 | 1.00e+00 | 2IGF1, IGF2 |
18 |
GOBP_MACROPHAGE_DIFFERENTIATION | 8.44e-04 | 18.11 | 3.48 | 1.86e-01 | 1.00e+00 | 3INHBA, LIF, VEGFA |
47 |
GOBP_PLATELET_DEGRANULATION | 1.43e-04 | 11.29 | 3.44 | 6.58e-02 | 1.00e+00 | 5SPARC, IGF1, SERPINE1, IGF2, VEGFA |
128 |
GOBP_SKELETAL_SYSTEM_DEVELOPMENT | 1.70e-06 | 7.44 | 3.42 | 2.54e-03 | 1.27e-02 | 11SFRP2, COL3A1, MGP, MMP2, IGF1, IGF2, BGN, SLC39A14, COL1A2, LOX, PRELP |
485 |
Dowload full table
Immunological Gene Sets:
P-value | OR | Lower 95% CI | FDR | FWER | Genes Found | Gene Set Size | |
---|---|---|---|---|---|---|---|
GSE9988_LOW_LPS_VS_VEHICLE_TREATED_MONOCYTE_UP | 5.82e-08 | 14.67 | 6.18 | 2.84e-04 | 2.84e-04 | 9IER3, CXCL2, GPRC5A, GEM, FOSL1, PTX3, INHBA, ERRFI1, TNFAIP6 |
196 |
GSE9988_ANTI_TREM1_AND_LPS_VS_CTRL_TREATED_MONOCYTES_UP | 7.76e-07 | 12.80 | 5.12 | 1.89e-03 | 3.78e-03 | 8IER3, CXCL2, GPRC5A, GEM, FOSL1, INHBA, ERRFI1, CDKN1A |
194 |
GSE9988_ANTI_TREM1_VS_VEHICLE_TREATED_MONOCYTES_UP | 9.76e-06 | 10.88 | 4.08 | 3.62e-03 | 4.76e-02 | 7IL1R1, CXCL2, GPRC5A, GEM, FOSL1, INHBA, CDKN1A |
194 |
GSE9988_LPS_VS_CTRL_TREATED_MONOCYTE_UP | 1.04e-05 | 10.76 | 4.03 | 3.62e-03 | 5.08e-02 | 7IER3, CXCL2, FOSL1, PTX3, INHBA, CDKN1A, TNFAIP6 |
196 |
GSE9988_LPS_VS_VEHICLE_TREATED_MONOCYTE_UP | 1.04e-05 | 10.76 | 4.03 | 3.62e-03 | 5.08e-02 | 7IER3, CXCL2, GEM, FOSL1, PTX3, INHBA, TNFAIP6 |
196 |
GSE9988_LOW_LPS_VS_CTRL_TREATED_MONOCYTE_UP | 1.04e-05 | 10.76 | 4.03 | 3.62e-03 | 5.08e-02 | 7IER3, CXCL2, FOSL1, PTX3, INHBA, ERRFI1, TNFAIP6 |
196 |
GSE9988_ANTI_TREM1_VS_CTRL_TREATED_MONOCYTES_UP | 1.11e-05 | 10.65 | 3.99 | 3.62e-03 | 5.42e-02 | 7IL1R1, CXCL2, GPRC5A, GEM, FOSL1, INHBA, CDKN1A |
198 |
GSE45365_NK_CELL_VS_CD11B_DC_DN | 1.15e-05 | 10.60 | 3.97 | 3.62e-03 | 5.60e-02 | 7IER3, CXCL2, SERPINE1, GPRC5A, FOSL1, PTX3, LIF |
199 |
GSE8835_HEALTHY_VS_CLL_CD8_TCELL_DN | 1.19e-05 | 10.54 | 3.95 | 3.62e-03 | 5.79e-02 | 7COL3A1, MMP2, SERPINE1, ANTXR1, ERRFI1, COL1A2, VEGFA |
200 |
GSE9316_IL6_KO_VS_IFNG_KO_INVIVO_EXPANDED_CD4_TCELL_DN | 1.19e-05 | 10.54 | 3.95 | 3.62e-03 | 5.79e-02 | 7IER3, CXCL2, SERPINE1, LIF, CDKN1A, LOX, SPSB1 |
200 |
GSE19198_CTRL_VS_IL21_TREATED_TCELL_24H_UP | 1.19e-05 | 10.54 | 3.95 | 3.62e-03 | 5.79e-02 | 7CXCL2, SERPINE1, ERRFI1, SLC39A14, CDKN1A, LOX, SPSB1 |
200 |
GSE22140_HEALTHY_VS_ARTHRITIC_GERMFREE_MOUSE_CD4_TCELL_DN | 1.19e-05 | 10.54 | 3.95 | 3.62e-03 | 5.79e-02 | 7IER3, IGF1, SERPINE1, GEM, PTX3, CDKN1A, CTSK |
200 |
GSE28737_BCL6_HET_VS_BCL6_KO_FOLLICULAR_BCELL_DN | 1.19e-05 | 10.54 | 3.95 | 3.62e-03 | 5.79e-02 | 7SPARC, GFPT2, BGN, FBLN2, COL1A2, CTSK, LOX |
200 |
GSE42021_TREG_PLN_VS_CD24HI_TREG_THYMUS_UP | 1.19e-05 | 10.54 | 3.95 | 3.62e-03 | 5.79e-02 | 7IER3, CXCL2, SERPINE1, IGF2, FBLN2, ERRFI1, CDKN1A |
200 |
GSE42021_CD24HI_TREG_VS_CD24HI_TCONV_THYMUS_DN | 1.19e-05 | 10.54 | 3.95 | 3.62e-03 | 5.79e-02 | 7IER3, CXCL2, SERPINE1, BGN, FBLN2, ERRFI1, CDKN1A |
200 |
GSE27434_WT_VS_DNMT1_KO_TREG_DN | 1.19e-05 | 10.54 | 3.95 | 3.62e-03 | 5.79e-02 | 7CXCL2, SERPINE1, INHBA, FBLN2, ERRFI1, CDKN1A, COL1A2 |
200 |
GSE9988_ANTI_TREM1_AND_LPS_VS_VEHICLE_TREATED_MONOCYTES_UP | 1.08e-04 | 9.02 | 3.10 | 2.74e-02 | 5.25e-01 | 6IER3, CXCL2, GPRC5A, GEM, FOSL1, INHBA |
195 |
GSE8515_CTRL_VS_IL1_4H_STIM_MAC_DN | 1.14e-04 | 8.92 | 3.07 | 2.74e-02 | 5.55e-01 | 6IER3, MGP, CXCL2, PTX3, LIF, TNFAIP6 |
197 |
GSE20715_0H_VS_24H_OZONE_TLR4_KO_LUNG_DN | 1.24e-04 | 8.78 | 3.02 | 2.74e-02 | 6.03e-01 | 6ELN, CXCL2, SLC39A14, CDKN1A, LOX, SPSB1 |
200 |
GSE22886_DAY0_VS_DAY1_MONOCYTE_IN_CULTURE_DN | 1.24e-04 | 8.78 | 3.02 | 2.74e-02 | 6.03e-01 | 6IER3, CXCL2, INHBA, CDKN1A, C3, TNFAIP6 |
200 |
Top Ranked Transcription Factors for this Gene Expression Program:
Gene Symbol | TF Rank | DNA Binding Domain | Motif Status | IUPAC PWM | GTEx | DepMap | Decartes |
---|---|---|---|---|---|---|---|
AEBP1 | 15 | Yes | Likely to be sequence specific TF | Monomer or homomultimer | No motif | None | This is a protease, but its ability to bind DNA is supported by both gel-shift (PMID: 15654748) and ChIP (PMID: 22723309). |
FOSL1 | 25 | Yes | Known motif | Monomer or homomultimer | High-throughput in vitro | None | None |
CDKN1A | 40 | No | Unlikely to be sequence specific TF | Not a DNA binding protein | No motif | None | None |
VEGFA | 43 | No | Unlikely to be sequence specific TF | Not a DNA binding protein | No motif | None | Extracellular signaling molecule. Included only because it regulates CREB. |
GREM1 | 59 | No | Unlikely to be sequence specific TF | Not a DNA binding protein | No motif | None | None |
FBN1 | 61 | No | Unlikely to be sequence specific TF | Not a DNA binding protein | No motif | None | None |
NFIX | 67 | Yes | Known motif | Monomer or homomultimer | High-throughput in vitro | None | None |
THAP2 | 69 | Yes | Likely to be sequence specific TF | Monomer or homomultimer | No motif | None | None |
VDR | 84 | Yes | Known motif | Monomer or homomultimer | High-throughput in vitro | None | None |
RYBP | 86 | No | ssDNA/RNA binding | Not a DNA binding protein | No motif | None | Contains RanBP ZFs, so likely an RNA-binding protein |
PRRX1 | 89 | Yes | Known motif | Monomer or homomultimer | High-throughput in vitro | None | None |
CEBPB | 92 | Yes | Known motif | Monomer or homomultimer | High-throughput in vitro | None | None |
CREB3L1 | 98 | Yes | Known motif | Monomer or homomultimer | High-throughput in vitro | None | None |
GLIS2 | 99 | Yes | Known motif | Monomer or homomultimer | High-throughput in vitro | None | None |
GLIS3 | 106 | Yes | Known motif | Monomer or homomultimer | High-throughput in vitro | None | None |
FHL2 | 118 | No | Unlikely to be sequence specific TF | Not a DNA binding protein | No motif | None | LIM ZF proteins are unlikely to bind DNA. Experimental evidence does not support a role for FHL2 as a sequence-specific DNA-binding protein (PMID:10654935) |
RUNX1 | 121 | Yes | Known motif | Monomer or homomultimer | In vivo/Misc source | Only known motifs are from Transfac or HocoMoco - origin is uncertain | None |
XBP1 | 128 | Yes | Known motif | Monomer or homomultimer | High-throughput in vitro | None | None |
FOXC1 | 129 | Yes | Known motif | Monomer or homomultimer | High-throughput in vitro | None | None |
NFKBIA | 130 | No | Unlikely to be sequence specific TF | Not a DNA binding protein | No motif | None | This is I kappa B alpha, which interacts with NFkappaB. No DBD, and evidence indicates that it is not a TF. |
QQ Plot showing correlations with other GEPs in this dataset, calculated by Spearman correlation:
Interactive QQ-plot of gene loadings:
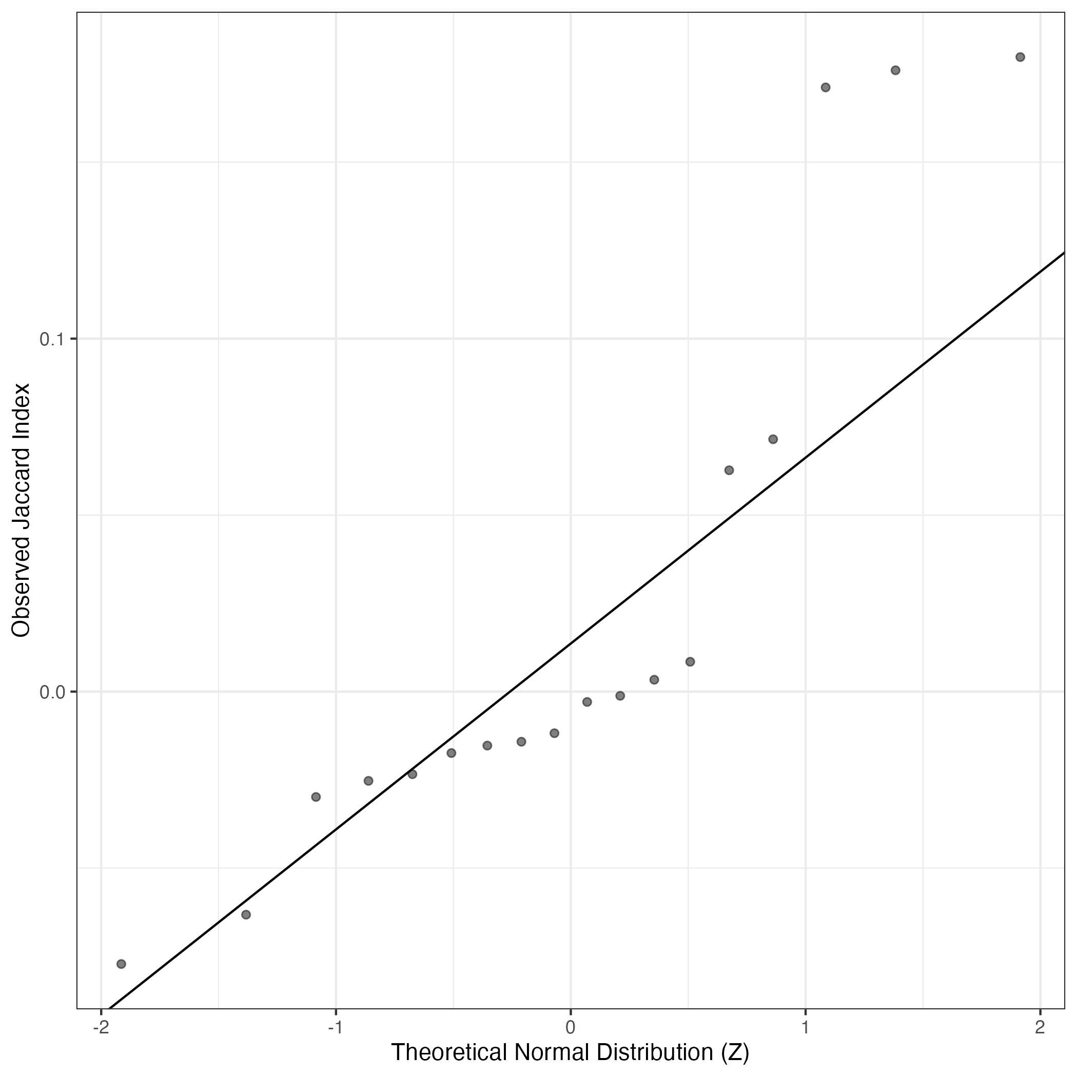
A similar QQ-plot as above, but only for instances where the H value is e.g. > 25, i.e. we are confident that the expression program is active above noise. Agreemenet between these binary vectors is tested using the Jaccard Index, with the P-values calculated by an exact test:
Interactive QQ-plot:
Singler cell type annotations for the top 50 cells on this program.
Cell ID | Singler label | Singler Delta | Activity Score | Top Singler Raw Scores |
---|---|---|---|---|
WK032-N7 | Fibroblasts:breast | 0.29 | 1196.58 | Raw ScoresFibroblasts:breast: 0.61, iPS_cells:adipose_stem_cells: 0.6, Smooth_muscle_cells:vascular:IL-17: 0.58, Smooth_muscle_cells:vascular: 0.58, Osteoblasts: 0.58, iPS_cells:CRL2097_foreskin: 0.58, Osteoblasts:BMP2: 0.57, Smooth_muscle_cells:bronchial: 0.57, Chondrocytes:MSC-derived: 0.57, Smooth_muscle_cells:bronchial:vit_D: 0.56 |
WK012-H21 | Fibroblasts:breast | 0.28 | 1167.94 | Raw ScoresFibroblasts:breast: 0.58, iPS_cells:adipose_stem_cells: 0.57, Chondrocytes:MSC-derived: 0.56, Smooth_muscle_cells:vascular:IL-17: 0.56, Smooth_muscle_cells:vascular: 0.56, Smooth_muscle_cells:bronchial: 0.56, Tissue_stem_cells:BM_MSC:TGFb3: 0.55, iPS_cells:CRL2097_foreskin: 0.55, Osteoblasts: 0.55, Smooth_muscle_cells:bronchial:vit_D: 0.55 |
WK014-N15 | Fibroblasts:breast | 0.28 | 1138.27 | Raw ScoresFibroblasts:breast: 0.58, iPS_cells:adipose_stem_cells: 0.58, Smooth_muscle_cells:vascular:IL-17: 0.57, Smooth_muscle_cells:vascular: 0.56, iPS_cells:CRL2097_foreskin: 0.56, Osteoblasts: 0.56, Chondrocytes:MSC-derived: 0.56, Tissue_stem_cells:BM_MSC:TGFb3: 0.56, Smooth_muscle_cells:bronchial: 0.56, Osteoblasts:BMP2: 0.55 |
WK014-I5 | iPS_cells:adipose_stem_cells | 0.28 | 964.77 | Raw ScoresFibroblasts:breast: 0.58, iPS_cells:adipose_stem_cells: 0.58, Chondrocytes:MSC-derived: 0.56, Osteoblasts: 0.56, Smooth_muscle_cells:vascular: 0.56, iPS_cells:CRL2097_foreskin: 0.56, Smooth_muscle_cells:vascular:IL-17: 0.56, Osteoblasts:BMP2: 0.55, Tissue_stem_cells:BM_MSC:TGFb3: 0.55, Smooth_muscle_cells:bronchial: 0.55 |
WK012-E21 | Fibroblasts:breast | 0.25 | 932.67 | Raw ScoresFibroblasts:breast: 0.5, iPS_cells:adipose_stem_cells: 0.48, Smooth_muscle_cells:vascular:IL-17: 0.48, Osteoblasts: 0.48, Smooth_muscle_cells:vascular: 0.48, Chondrocytes:MSC-derived: 0.48, Tissue_stem_cells:BM_MSC:TGFb3: 0.47, Smooth_muscle_cells:bronchial: 0.47, iPS_cells:CRL2097_foreskin: 0.47, Smooth_muscle_cells:bronchial:vit_D: 0.47 |
WK012-N11 | Tissue_stem_cells:BM_MSC:TGFb3 | 0.21 | 931.33 | Raw ScoresFibroblasts:breast: 0.49, Tissue_stem_cells:BM_MSC:TGFb3: 0.48, iPS_cells:adipose_stem_cells: 0.47, Smooth_muscle_cells:vascular:IL-17: 0.47, Osteoblasts: 0.47, Smooth_muscle_cells:bronchial: 0.47, Smooth_muscle_cells:vascular: 0.47, Tissue_stem_cells:BM_MSC:BMP2: 0.47, Smooth_muscle_cells:bronchial:vit_D: 0.47, Tissue_stem_cells:iliac_MSC: 0.46 |
WK014-I7 | Fibroblasts:breast | 0.25 | 920.90 | Raw ScoresFibroblasts:breast: 0.49, iPS_cells:adipose_stem_cells: 0.48, Smooth_muscle_cells:vascular:IL-17: 0.47, Smooth_muscle_cells:vascular: 0.47, Chondrocytes:MSC-derived: 0.46, Osteoblasts: 0.46, Tissue_stem_cells:BM_MSC:TGFb3: 0.46, iPS_cells:CRL2097_foreskin: 0.46, Smooth_muscle_cells:bronchial: 0.46, Smooth_muscle_cells:bronchial:vit_D: 0.45 |
WK012-M5 | Fibroblasts:breast | 0.24 | 871.23 | Raw ScoresFibroblasts:breast: 0.5, iPS_cells:adipose_stem_cells: 0.48, Smooth_muscle_cells:vascular: 0.47, Smooth_muscle_cells:vascular:IL-17: 0.47, Tissue_stem_cells:BM_MSC:TGFb3: 0.47, Chondrocytes:MSC-derived: 0.47, Osteoblasts: 0.47, iPS_cells:CRL2097_foreskin: 0.47, Smooth_muscle_cells:bronchial: 0.47, Smooth_muscle_cells:bronchial:vit_D: 0.46 |
WK014-O16 | Fibroblasts:breast | 0.23 | 840.00 | Raw ScoresFibroblasts:breast: 0.47, iPS_cells:adipose_stem_cells: 0.46, Smooth_muscle_cells:vascular:IL-17: 0.45, Chondrocytes:MSC-derived: 0.45, Tissue_stem_cells:BM_MSC:TGFb3: 0.45, Smooth_muscle_cells:vascular: 0.45, Osteoblasts: 0.45, Smooth_muscle_cells:bronchial: 0.45, iPS_cells:CRL2097_foreskin: 0.44, Smooth_muscle_cells:bronchial:vit_D: 0.44 |
WK012-E6 | Fibroblasts:breast | 0.26 | 838.99 | Raw ScoresFibroblasts:breast: 0.52, iPS_cells:adipose_stem_cells: 0.51, Smooth_muscle_cells:vascular:IL-17: 0.5, Smooth_muscle_cells:vascular: 0.5, iPS_cells:CRL2097_foreskin: 0.49, Osteoblasts:BMP2: 0.49, Osteoblasts: 0.49, Chondrocytes:MSC-derived: 0.49, Tissue_stem_cells:BM_MSC:TGFb3: 0.48, Tissue_stem_cells:BM_MSC: 0.48 |
TM37-O7 | Chondrocytes:MSC-derived | 0.23 | 754.62 | Raw ScoresFibroblasts:breast: 0.52, Chondrocytes:MSC-derived: 0.52, Osteoblasts: 0.51, iPS_cells:adipose_stem_cells: 0.51, Tissue_stem_cells:BM_MSC:TGFb3: 0.51, Tissue_stem_cells:BM_MSC:BMP2: 0.51, Smooth_muscle_cells:vascular:IL-17: 0.51, Smooth_muscle_cells:vascular: 0.5, iPS_cells:CRL2097_foreskin: 0.5, Osteoblasts:BMP2: 0.5 |
WK012-N7 | Tissue_stem_cells:BM_MSC:TGFb3 | 0.23 | 744.98 | Raw ScoresFibroblasts:breast: 0.48, iPS_cells:adipose_stem_cells: 0.48, Smooth_muscle_cells:bronchial: 0.47, Tissue_stem_cells:BM_MSC:TGFb3: 0.47, Smooth_muscle_cells:bronchial:vit_D: 0.47, Smooth_muscle_cells:vascular:IL-17: 0.46, iPS_cells:CRL2097_foreskin: 0.46, Chondrocytes:MSC-derived: 0.46, Osteoblasts: 0.46, Smooth_muscle_cells:vascular: 0.46 |
WK012-K22 | Smooth_muscle_cells:vascular:IL-17 | 0.21 | 672.70 | Raw ScoresFibroblasts:breast: 0.49, Smooth_muscle_cells:vascular:IL-17: 0.48, iPS_cells:adipose_stem_cells: 0.48, Smooth_muscle_cells:vascular: 0.48, Osteoblasts: 0.47, Tissue_stem_cells:BM_MSC:TGFb3: 0.47, Chondrocytes:MSC-derived: 0.47, Smooth_muscle_cells:bronchial: 0.47, Osteoblasts:BMP2: 0.46, Smooth_muscle_cells:bronchial:vit_D: 0.46 |
WK012-M17 | Fibroblasts:breast | 0.24 | 671.07 | Raw ScoresFibroblasts:breast: 0.52, iPS_cells:adipose_stem_cells: 0.52, Chondrocytes:MSC-derived: 0.51, Osteoblasts: 0.51, Smooth_muscle_cells:vascular:IL-17: 0.51, Smooth_muscle_cells:vascular: 0.5, Tissue_stem_cells:BM_MSC:TGFb3: 0.5, iPS_cells:CRL2097_foreskin: 0.5, Osteoblasts:BMP2: 0.5, Tissue_stem_cells:BM_MSC:BMP2: 0.5 |
WK032-L21 | Fibroblasts:breast | 0.28 | 670.30 | Raw ScoresFibroblasts:breast: 0.54, iPS_cells:adipose_stem_cells: 0.54, Osteoblasts: 0.53, Chondrocytes:MSC-derived: 0.52, Smooth_muscle_cells:vascular: 0.52, Smooth_muscle_cells:vascular:IL-17: 0.52, iPS_cells:CRL2097_foreskin: 0.52, Osteoblasts:BMP2: 0.52, Smooth_muscle_cells:bronchial: 0.52, Tissue_stem_cells:BM_MSC:TGFb3: 0.51 |
WK012-J11 | iPS_cells:adipose_stem_cells | 0.23 | 636.57 | Raw ScoresFibroblasts:breast: 0.51, iPS_cells:adipose_stem_cells: 0.51, Osteoblasts: 0.5, Smooth_muscle_cells:vascular: 0.5, Chondrocytes:MSC-derived: 0.5, Smooth_muscle_cells:vascular:IL-17: 0.5, iPS_cells:CRL2097_foreskin: 0.5, Tissue_stem_cells:BM_MSC:BMP2: 0.49, Tissue_stem_cells:BM_MSC:TGFb3: 0.49, Osteoblasts:BMP2: 0.49 |
WK012-O16 | iPS_cells:adipose_stem_cells | 0.23 | 631.12 | Raw ScoresFibroblasts:breast: 0.48, iPS_cells:adipose_stem_cells: 0.47, Osteoblasts: 0.47, Chondrocytes:MSC-derived: 0.46, Smooth_muscle_cells:vascular:IL-17: 0.46, Tissue_stem_cells:BM_MSC:TGFb3: 0.46, Smooth_muscle_cells:vascular: 0.46, Osteoblasts:BMP2: 0.46, Tissue_stem_cells:BM_MSC:BMP2: 0.46, iPS_cells:CRL2097_foreskin: 0.45 |
WK014-L9 | Tissue_stem_cells:BM_MSC:TGFb3 | 0.21 | 623.11 | Raw ScoresFibroblasts:breast: 0.43, Tissue_stem_cells:BM_MSC:TGFb3: 0.42, Smooth_muscle_cells:vascular:IL-17: 0.42, iPS_cells:adipose_stem_cells: 0.42, Chondrocytes:MSC-derived: 0.41, Osteoblasts: 0.41, Smooth_muscle_cells:vascular: 0.41, Tissue_stem_cells:BM_MSC:BMP2: 0.41, Smooth_muscle_cells:bronchial: 0.4, Osteoblasts:BMP2: 0.4 |
WK014-O23 | Fibroblasts:breast | 0.25 | 616.01 | Raw ScoresFibroblasts:breast: 0.53, iPS_cells:adipose_stem_cells: 0.52, Osteoblasts: 0.5, Smooth_muscle_cells:vascular: 0.5, Smooth_muscle_cells:vascular:IL-17: 0.5, Chondrocytes:MSC-derived: 0.5, iPS_cells:CRL2097_foreskin: 0.5, Tissue_stem_cells:BM_MSC:TGFb3: 0.5, Osteoblasts:BMP2: 0.5, Smooth_muscle_cells:bronchial: 0.49 |
WK014-P12 | Smooth_muscle_cells:vascular:IL-17 | 0.22 | 610.92 | Raw ScoresSmooth_muscle_cells:vascular:IL-17: 0.48, Fibroblasts:breast: 0.47, Smooth_muscle_cells:vascular: 0.47, iPS_cells:adipose_stem_cells: 0.46, Tissue_stem_cells:BM_MSC:TGFb3: 0.46, Tissue_stem_cells:BM_MSC:BMP2: 0.46, Smooth_muscle_cells:bronchial: 0.45, Smooth_muscle_cells:bronchial:vit_D: 0.45, Osteoblasts: 0.45, Osteoblasts:BMP2: 0.45 |
WK014-N5 | Fibroblasts:breast | 0.24 | 591.02 | Raw ScoresFibroblasts:breast: 0.51, iPS_cells:adipose_stem_cells: 0.51, Smooth_muscle_cells:vascular:IL-17: 0.5, Osteoblasts: 0.5, Smooth_muscle_cells:vascular: 0.5, Chondrocytes:MSC-derived: 0.5, Tissue_stem_cells:BM_MSC:BMP2: 0.49, Tissue_stem_cells:BM_MSC:TGFb3: 0.49, Osteoblasts:BMP2: 0.49, Smooth_muscle_cells:bronchial: 0.49 |
WK012-K3 | iPS_cells:adipose_stem_cells | 0.22 | 590.77 | Raw ScoresFibroblasts:breast: 0.52, iPS_cells:adipose_stem_cells: 0.51, Smooth_muscle_cells:vascular:IL-17: 0.5, Smooth_muscle_cells:vascular: 0.5, Tissue_stem_cells:BM_MSC:TGFb3: 0.5, Tissue_stem_cells:BM_MSC:BMP2: 0.5, Tissue_stem_cells:BM_MSC: 0.49, Chondrocytes:MSC-derived: 0.49, Osteoblasts: 0.49, Osteoblasts:BMP2: 0.49 |
WK014-P19 | Fibroblasts:breast | 0.24 | 590.15 | Raw ScoresFibroblasts:breast: 0.51, iPS_cells:adipose_stem_cells: 0.51, Chondrocytes:MSC-derived: 0.5, Smooth_muscle_cells:vascular:IL-17: 0.49, Smooth_muscle_cells:vascular: 0.49, Smooth_muscle_cells:bronchial: 0.49, Osteoblasts: 0.49, Osteoblasts:BMP2: 0.49, Tissue_stem_cells:BM_MSC:TGFb3: 0.49, Smooth_muscle_cells:bronchial:vit_D: 0.49 |
WK014-H2 | Smooth_muscle_cells:vascular:IL-17 | 0.22 | 584.87 | Raw ScoresFibroblasts:breast: 0.47, Smooth_muscle_cells:vascular:IL-17: 0.47, iPS_cells:adipose_stem_cells: 0.46, Smooth_muscle_cells:vascular: 0.46, Tissue_stem_cells:BM_MSC:TGFb3: 0.46, Chondrocytes:MSC-derived: 0.45, iPS_cells:CRL2097_foreskin: 0.45, Osteoblasts: 0.45, Smooth_muscle_cells:bronchial: 0.45, Osteoblasts:BMP2: 0.45 |
WK014-I9 | Fibroblasts:breast | 0.24 | 558.82 | Raw ScoresFibroblasts:breast: 0.51, iPS_cells:adipose_stem_cells: 0.51, Smooth_muscle_cells:vascular: 0.5, Smooth_muscle_cells:vascular:IL-17: 0.49, Tissue_stem_cells:BM_MSC:TGFb3: 0.49, Osteoblasts: 0.49, Chondrocytes:MSC-derived: 0.49, Osteoblasts:BMP2: 0.49, Tissue_stem_cells:BM_MSC:BMP2: 0.49, iPS_cells:CRL2097_foreskin: 0.48 |
WK014-H16 | Fibroblasts:breast | 0.24 | 549.00 | Raw ScoresFibroblasts:breast: 0.49, iPS_cells:adipose_stem_cells: 0.48, Smooth_muscle_cells:vascular:IL-17: 0.48, Chondrocytes:MSC-derived: 0.47, Osteoblasts: 0.47, Smooth_muscle_cells:vascular: 0.47, Tissue_stem_cells:BM_MSC:TGFb3: 0.47, Smooth_muscle_cells:bronchial: 0.46, iPS_cells:CRL2097_foreskin: 0.46, Osteoblasts:BMP2: 0.46 |
WK014-G5 | Chondrocytes:MSC-derived | 0.25 | 534.76 | Raw ScoresFibroblasts:breast: 0.51, iPS_cells:adipose_stem_cells: 0.5, Chondrocytes:MSC-derived: 0.49, Osteoblasts: 0.49, Smooth_muscle_cells:vascular:IL-17: 0.49, Smooth_muscle_cells:vascular: 0.49, Tissue_stem_cells:BM_MSC:TGFb3: 0.48, iPS_cells:CRL2097_foreskin: 0.48, Tissue_stem_cells:BM_MSC: 0.48, Tissue_stem_cells:BM_MSC:BMP2: 0.48 |
WK012-J17 | iPS_cells:adipose_stem_cells | 0.24 | 528.86 | Raw ScoresFibroblasts:breast: 0.52, iPS_cells:adipose_stem_cells: 0.51, Chondrocytes:MSC-derived: 0.5, Osteoblasts: 0.5, Tissue_stem_cells:BM_MSC:TGFb3: 0.5, iPS_cells:CRL2097_foreskin: 0.49, Smooth_muscle_cells:vascular:IL-17: 0.49, Smooth_muscle_cells:bronchial: 0.49, Smooth_muscle_cells:vascular: 0.49, Tissue_stem_cells:BM_MSC:BMP2: 0.49 |
WK014-M1 | Chondrocytes:MSC-derived | 0.22 | 527.37 | Raw ScoresFibroblasts:breast: 0.49, Chondrocytes:MSC-derived: 0.49, iPS_cells:adipose_stem_cells: 0.49, Osteoblasts: 0.48, Tissue_stem_cells:BM_MSC:TGFb3: 0.48, Smooth_muscle_cells:bronchial: 0.48, Smooth_muscle_cells:bronchial:vit_D: 0.47, Tissue_stem_cells:BM_MSC:BMP2: 0.47, iPS_cells:CRL2097_foreskin: 0.47, Osteoblasts:BMP2: 0.47 |
WK012-E18 | Chondrocytes:MSC-derived | 0.23 | 527.37 | Raw ScoresFibroblasts:breast: 0.51, iPS_cells:adipose_stem_cells: 0.5, Chondrocytes:MSC-derived: 0.49, Osteoblasts: 0.49, iPS_cells:CRL2097_foreskin: 0.48, Smooth_muscle_cells:vascular:IL-17: 0.48, Tissue_stem_cells:BM_MSC:TGFb3: 0.48, Smooth_muscle_cells:vascular: 0.48, Osteoblasts:BMP2: 0.48, Smooth_muscle_cells:bronchial: 0.48 |
WK066-H2 | Smooth_muscle_cells:vascular:IL-17 | 0.20 | 518.93 | Raw ScoresFibroblasts:breast: 0.51, iPS_cells:adipose_stem_cells: 0.5, Smooth_muscle_cells:vascular:IL-17: 0.5, Smooth_muscle_cells:vascular: 0.5, Tissue_stem_cells:BM_MSC:BMP2: 0.49, Tissue_stem_cells:BM_MSC:TGFb3: 0.49, Osteoblasts:BMP2: 0.49, Osteoblasts: 0.49, iPS_cells:CRL2097_foreskin: 0.49, Smooth_muscle_cells:bronchial: 0.49 |
TM37-F20 | Smooth_muscle_cells:vascular:IL-17 | 0.18 | 514.88 | Raw ScoresSmooth_muscle_cells:vascular:IL-17: 0.45, Fibroblasts:breast: 0.45, Tissue_stem_cells:BM_MSC:TGFb3: 0.45, Smooth_muscle_cells:vascular: 0.44, iPS_cells:adipose_stem_cells: 0.44, Tissue_stem_cells:BM_MSC:BMP2: 0.44, Chondrocytes:MSC-derived: 0.43, Osteoblasts: 0.43, Osteoblasts:BMP2: 0.43, Smooth_muscle_cells:bronchial: 0.43 |
WK014-F19 | Fibroblasts:breast | 0.24 | 480.26 | Raw ScoresFibroblasts:breast: 0.52, iPS_cells:adipose_stem_cells: 0.52, Osteoblasts: 0.51, Chondrocytes:MSC-derived: 0.51, Smooth_muscle_cells:vascular: 0.5, Smooth_muscle_cells:vascular:IL-17: 0.5, Tissue_stem_cells:BM_MSC:TGFb3: 0.5, Smooth_muscle_cells:bronchial: 0.5, iPS_cells:CRL2097_foreskin: 0.5, Smooth_muscle_cells:bronchial:vit_D: 0.49 |
WK032-C7 | Fibroblasts:breast | 0.23 | 476.65 | Raw ScoresFibroblasts:breast: 0.51, iPS_cells:adipose_stem_cells: 0.5, Smooth_muscle_cells:vascular:IL-17: 0.5, Smooth_muscle_cells:vascular: 0.49, Chondrocytes:MSC-derived: 0.49, Osteoblasts: 0.49, Tissue_stem_cells:BM_MSC:TGFb3: 0.49, Tissue_stem_cells:BM_MSC:BMP2: 0.48, iPS_cells:CRL2097_foreskin: 0.48, Smooth_muscle_cells:bronchial: 0.48 |
TM96-C21 | Chondrocytes:MSC-derived | 0.23 | 476.34 | Raw ScoresChondrocytes:MSC-derived: 0.57, Osteoblasts: 0.55, iPS_cells:adipose_stem_cells: 0.55, Tissue_stem_cells:BM_MSC:TGFb3: 0.55, Fibroblasts:breast: 0.54, Osteoblasts:BMP2: 0.54, Tissue_stem_cells:BM_MSC:BMP2: 0.54, iPS_cells:CRL2097_foreskin: 0.54, Smooth_muscle_cells:bronchial: 0.54, Smooth_muscle_cells:bronchial:vit_D: 0.53 |
WK012-G11 | Fibroblasts:breast | 0.24 | 473.76 | Raw ScoresFibroblasts:breast: 0.48, iPS_cells:adipose_stem_cells: 0.47, Smooth_muscle_cells:vascular:IL-17: 0.46, Smooth_muscle_cells:vascular: 0.46, Osteoblasts: 0.45, Tissue_stem_cells:BM_MSC:TGFb3: 0.45, Smooth_muscle_cells:bronchial: 0.45, Smooth_muscle_cells:bronchial:vit_D: 0.45, Chondrocytes:MSC-derived: 0.45, iPS_cells:CRL2097_foreskin: 0.45 |
WK012-P10 | Chondrocytes:MSC-derived | 0.23 | 466.74 | Raw ScoresFibroblasts:breast: 0.51, iPS_cells:adipose_stem_cells: 0.5, Osteoblasts: 0.49, Chondrocytes:MSC-derived: 0.49, Smooth_muscle_cells:vascular: 0.49, Smooth_muscle_cells:vascular:IL-17: 0.49, Tissue_stem_cells:BM_MSC:TGFb3: 0.49, Smooth_muscle_cells:bronchial: 0.48, Smooth_muscle_cells:bronchial:vit_D: 0.48, iPS_cells:CRL2097_foreskin: 0.48 |
WK014-K12 | Fibroblasts:breast | 0.23 | 454.50 | Raw ScoresFibroblasts:breast: 0.46, iPS_cells:adipose_stem_cells: 0.45, Osteoblasts: 0.45, Smooth_muscle_cells:vascular:IL-17: 0.45, Tissue_stem_cells:BM_MSC:TGFb3: 0.45, Chondrocytes:MSC-derived: 0.45, Smooth_muscle_cells:vascular: 0.44, iPS_cells:CRL2097_foreskin: 0.44, Tissue_stem_cells:BM_MSC:BMP2: 0.44, Smooth_muscle_cells:bronchial: 0.43 |
WK012-I10 | Fibroblasts:breast | 0.24 | 454.19 | Raw ScoresiPS_cells:adipose_stem_cells: 0.49, Fibroblasts:breast: 0.49, Chondrocytes:MSC-derived: 0.49, Osteoblasts: 0.49, Smooth_muscle_cells:vascular:IL-17: 0.48, Smooth_muscle_cells:vascular: 0.47, Tissue_stem_cells:BM_MSC:TGFb3: 0.47, Smooth_muscle_cells:bronchial: 0.47, iPS_cells:CRL2097_foreskin: 0.47, Tissue_stem_cells:BM_MSC:BMP2: 0.47 |
WK036-M19 | Fibroblasts:breast | 0.24 | 424.25 | Raw ScoresFibroblasts:breast: 0.5, Smooth_muscle_cells:bronchial: 0.49, iPS_cells:adipose_stem_cells: 0.49, Smooth_muscle_cells:bronchial:vit_D: 0.48, Osteoblasts: 0.48, Tissue_stem_cells:BM_MSC:TGFb3: 0.47, Chondrocytes:MSC-derived: 0.47, Tissue_stem_cells:BM_MSC:BMP2: 0.47, iPS_cells:CRL2097_foreskin: 0.47, Tissue_stem_cells:iliac_MSC: 0.47 |
WK014-A9 | Tissue_stem_cells:BM_MSC | 0.20 | 422.53 | Raw ScoresFibroblasts:breast: 0.47, Smooth_muscle_cells:vascular:IL-17: 0.46, iPS_cells:adipose_stem_cells: 0.46, Tissue_stem_cells:BM_MSC:TGFb3: 0.46, Smooth_muscle_cells:vascular: 0.45, Osteoblasts: 0.45, Tissue_stem_cells:BM_MSC:BMP2: 0.45, iPS_cells:CRL2097_foreskin: 0.45, Osteoblasts:BMP2: 0.44, Tissue_stem_cells:BM_MSC: 0.44 |
WK014-F13 | iPS_cells:adipose_stem_cells | 0.22 | 420.42 | Raw ScoresFibroblasts:breast: 0.49, iPS_cells:adipose_stem_cells: 0.49, Smooth_muscle_cells:vascular:IL-17: 0.48, Smooth_muscle_cells:vascular: 0.48, Osteoblasts: 0.48, Tissue_stem_cells:BM_MSC:TGFb3: 0.47, iPS_cells:CRL2097_foreskin: 0.47, Osteoblasts:BMP2: 0.47, Chondrocytes:MSC-derived: 0.47, Smooth_muscle_cells:bronchial: 0.47 |
WK014-P13 | Smooth_muscle_cells:vascular | 0.20 | 419.83 | Raw ScoresSmooth_muscle_cells:vascular:IL-17: 0.46, Fibroblasts:breast: 0.46, Smooth_muscle_cells:vascular: 0.46, Tissue_stem_cells:BM_MSC:TGFb3: 0.45, iPS_cells:adipose_stem_cells: 0.45, Tissue_stem_cells:BM_MSC:BMP2: 0.45, Osteoblasts: 0.45, iPS_cells:CRL2097_foreskin: 0.44, Chondrocytes:MSC-derived: 0.44, Osteoblasts:BMP2: 0.44 |
TM38-H6 | Smooth_muscle_cells:vascular:IL-17 | 0.19 | 413.06 | Raw ScoresSmooth_muscle_cells:vascular:IL-17: 0.43, Smooth_muscle_cells:vascular: 0.42, Fibroblasts:breast: 0.42, iPS_cells:adipose_stem_cells: 0.41, Tissue_stem_cells:BM_MSC:TGFb3: 0.41, Tissue_stem_cells:BM_MSC:BMP2: 0.41, Osteoblasts:BMP2: 0.4, Osteoblasts: 0.4, Tissue_stem_cells:BM_MSC: 0.4, Chondrocytes:MSC-derived: 0.4 |
WK014-O8 | Smooth_muscle_cells:vascular:IL-17 | 0.21 | 411.11 | Raw ScoresFibroblasts:breast: 0.48, iPS_cells:adipose_stem_cells: 0.47, Smooth_muscle_cells:vascular:IL-17: 0.47, Smooth_muscle_cells:vascular: 0.47, Tissue_stem_cells:BM_MSC:TGFb3: 0.47, iPS_cells:CRL2097_foreskin: 0.47, Osteoblasts: 0.46, Tissue_stem_cells:BM_MSC:BMP2: 0.46, Smooth_muscle_cells:bronchial: 0.46, Chondrocytes:MSC-derived: 0.46 |
TM112-O19 | Chondrocytes:MSC-derived | 0.20 | 400.07 | Raw ScoresTissue_stem_cells:BM_MSC:BMP2: 0.47, iPS_cells:adipose_stem_cells: 0.47, Fibroblasts:breast: 0.47, Smooth_muscle_cells:vascular:IL-17: 0.47, Tissue_stem_cells:BM_MSC:TGFb3: 0.47, Chondrocytes:MSC-derived: 0.47, Osteoblasts: 0.47, Osteoblasts:BMP2: 0.46, Smooth_muscle_cells:vascular: 0.46, Tissue_stem_cells:BM_MSC: 0.45 |
TM112-A3 | Fibroblasts:breast | 0.22 | 398.59 | Raw ScoresFibroblasts:breast: 0.45, iPS_cells:adipose_stem_cells: 0.44, Osteoblasts: 0.44, Chondrocytes:MSC-derived: 0.44, iPS_cells:CRL2097_foreskin: 0.43, Tissue_stem_cells:BM_MSC:TGFb3: 0.43, Smooth_muscle_cells:vascular: 0.43, Smooth_muscle_cells:bronchial: 0.43, Smooth_muscle_cells:vascular:IL-17: 0.43, Smooth_muscle_cells:bronchial:vit_D: 0.43 |
TM96-B19 | Chondrocytes:MSC-derived | 0.22 | 392.11 | Raw ScoresChondrocytes:MSC-derived: 0.52, Osteoblasts: 0.5, iPS_cells:adipose_stem_cells: 0.5, Fibroblasts:breast: 0.5, Smooth_muscle_cells:bronchial: 0.5, Tissue_stem_cells:BM_MSC:TGFb3: 0.5, Smooth_muscle_cells:bronchial:vit_D: 0.5, iPS_cells:CRL2097_foreskin: 0.49, Tissue_stem_cells:BM_MSC:BMP2: 0.49, Osteoblasts:BMP2: 0.49 |
WK036-F12 | Fibroblasts:breast | 0.24 | 390.21 | Raw ScoresFibroblasts:breast: 0.51, iPS_cells:adipose_stem_cells: 0.51, Osteoblasts: 0.5, Tissue_stem_cells:BM_MSC:TGFb3: 0.49, Smooth_muscle_cells:vascular:IL-17: 0.49, Chondrocytes:MSC-derived: 0.49, Smooth_muscle_cells:vascular: 0.49, iPS_cells:CRL2097_foreskin: 0.49, Osteoblasts:BMP2: 0.49, Tissue_stem_cells:BM_MSC:BMP2: 0.48 |
WK014-O10 | iPS_cells:adipose_stem_cells | 0.23 | 385.75 | Raw ScoresFibroblasts:breast: 0.5, iPS_cells:adipose_stem_cells: 0.5, Osteoblasts: 0.49, Smooth_muscle_cells:vascular:IL-17: 0.49, Smooth_muscle_cells:vascular: 0.49, iPS_cells:CRL2097_foreskin: 0.48, Tissue_stem_cells:BM_MSC:TGFb3: 0.48, Tissue_stem_cells:BM_MSC:BMP2: 0.48, Smooth_muscle_cells:bronchial: 0.48, Osteoblasts:BMP2: 0.48 |
Below shows the significant enrichments of this GEP for literature curated gene lists
This data was procured from existing single cell RNA-seq maps of neuroblastoma or related relevant data.
High ranks indicate this gene is a driver of this GEP.
These curated gene list are ranked by the P-value (on this GEP) of their constituent genes.
The Mean Count column shows the mean read count in cells scoring highly (H > 50) on this gene expression program.
Genes | Weight | Rank | GTEx | DepMap | Decartes | Mean.Counts | Mean.TPM |
---|---|---|---|---|---|---|---|
C7 | 0.0049521 | 9 | GTEx | DepMap | Descartes | 33.04 | 1506.66 |
IL1R1 | 0.0045265 | 12 | GTEx | DepMap | Descartes | 6.96 | 344.84 |
CXCL2 | 0.0044151 | 14 | GTEx | DepMap | Descartes | 42.48 | 8440.64 |
IGF1 | 0.0041845 | 18 | GTEx | DepMap | Descartes | 6.83 | 194.87 |
LIF | 0.0029922 | 36 | GTEx | DepMap | Descartes | 9.18 | 518.19 |
C3 | 0.0028723 | 45 | GTEx | DepMap | Descartes | 13.87 | 728.68 |
CFD | 0.0026305 | 58 | GTEx | DepMap | Descartes | 3.93 | 818.04 |
SCARA5 | 0.0019878 | 112 | GTEx | DepMap | Descartes | 1.42 | 78.71 |
SOD2 | 0.0017108 | 149 | GTEx | DepMap | Descartes | 20.01 | 339.51 |
PDGFD | 0.0016847 | 153 | GTEx | DepMap | Descartes | 1.07 | 66.73 |
SERPING1 | 0.0016327 | 167 | GTEx | DepMap | Descartes | 8.82 | 1003.27 |
PDGFRA | 0.0015886 | 176 | GTEx | DepMap | Descartes | 2.11 | 77.90 |
IL33 | 0.0012605 | 261 | GTEx | DepMap | Descartes | 1.02 | 87.17 |
PDGFRB | 0.0011201 | 308 | GTEx | DepMap | Descartes | 3.91 | 161.32 |
PDPN | 0.0008714 | 433 | GTEx | DepMap | Descartes | 0.74 | 52.42 |
GPX3 | 0.0008585 | 441 | GTEx | DepMap | Descartes | 1.75 | 237.64 |
IGFBP6 | 0.0006109 | 663 | GTEx | DepMap | Descartes | 1.18 | 230.90 |
CXCL12 | 0.0003411 | 1142 | GTEx | DepMap | Descartes | 5.28 | 327.94 |
CCL2 | 0.0002813 | 1300 | GTEx | DepMap | Descartes | 30.34 | 8049.66 |
SCARA3 | 0.0002510 | 1393 | GTEx | DepMap | Descartes | 0.71 | 41.24 |
CXCL14 | 0.0002362 | 1455 | GTEx | DepMap | Descartes | 5.67 | 647.90 |
RGMA | 0.0000284 | 2748 | GTEx | DepMap | Descartes | 0.13 | 3.63 |
CFB | 0.0000216 | 2838 | GTEx | DepMap | Descartes | 0.05 | 5.47 |
HGF | -0.0000177 | 3433 | GTEx | DepMap | Descartes | 0.55 | 22.25 |
IL10 | -0.0003464 | 10908 | GTEx | DepMap | Descartes | 0.03 | 5.45 |
Mesenchymal Fig 1D (Olsen)
Selected mesenchymal marker genes shown in Fig. 1D of Olsen et al. https://www.biorxiv.org/content/10.1101/2020.05.04.077057v1 - these are highly expressed in their mesenchymal cluster on their UMAP.:
Wilcoxon ranksum test P-value for gene set overrepresentation: 2.68e-09
Mean rank of genes in gene set: 414.77
Rank on gene expression program of genes in gene set:
Genes | Weight | Rank | GTEx | DepMap | Decartes | Mean.Counts | Mean.TPM |
---|---|---|---|---|---|---|---|
COL3A1 | 0.0047243 | 11 | GTEx | DepMap | Descartes | 126.13 | 4329.75 |
MGP | 0.0044677 | 13 | GTEx | DepMap | Descartes | 85.27 | 13772.01 |
SPARC | 0.0043564 | 16 | GTEx | DepMap | Descartes | 97.15 | 5083.02 |
BGN | 0.0030837 | 32 | GTEx | DepMap | Descartes | 26.43 | 2394.09 |
COL1A2 | 0.0028888 | 42 | GTEx | DepMap | Descartes | 100.15 | 3194.77 |
DCN | 0.0025162 | 65 | GTEx | DepMap | Descartes | 52.47 | 1684.07 |
COL1A1 | 0.0024975 | 68 | GTEx | DepMap | Descartes | 246.05 | 7592.80 |
PRRX1 | 0.0022543 | 89 | GTEx | DepMap | Descartes | 3.73 | 219.98 |
COL6A2 | 0.0021021 | 101 | GTEx | DepMap | Descartes | 14.61 | 1027.76 |
PDGFRA | 0.0015886 | 176 | GTEx | DepMap | Descartes | 2.11 | 77.90 |
LUM | 0.0009055 | 405 | GTEx | DepMap | Descartes | 27.51 | 1956.82 |
CALD1 | 0.0001163 | 2022 | GTEx | DepMap | Descartes | 8.64 | 364.79 |
LEPR | 0.0000713 | 2352 | GTEx | DepMap | Descartes | 0.35 | 10.51 |
Myofibroblastic CAF
These marker genes were curated across cancer subtypes in multiple organ systems as reviewed in Lavie et. al. (PMID 35883004) and contain myofibroblastic specific CAF genes:
Wilcoxon ranksum test P-value for gene set overrepresentation: 9.66e-06
Mean rank of genes in gene set: 4068.08
Rank on gene expression program of genes in gene set:
Genes | Weight | Rank | GTEx | DepMap | Decartes | Mean.Counts | Mean.TPM |
---|---|---|---|---|---|---|---|
COL14A1 | 0.0057922 | 4 | GTEx | DepMap | Descartes | 17.57 | 538.62 |
COL3A1 | 0.0047243 | 11 | GTEx | DepMap | Descartes | 126.13 | 4329.75 |
MMP2 | 0.0042331 | 17 | GTEx | DepMap | Descartes | 9.61 | 638.66 |
BGN | 0.0030837 | 32 | GTEx | DepMap | Descartes | 26.43 | 2394.09 |
COL1A2 | 0.0028888 | 42 | GTEx | DepMap | Descartes | 100.15 | 3194.77 |
VEGFA | 0.0028868 | 43 | GTEx | DepMap | Descartes | 7.40 | 152.45 |
COL5A1 | 0.0026552 | 57 | GTEx | DepMap | Descartes | 9.15 | 230.59 |
IGFBP3 | 0.0025256 | 64 | GTEx | DepMap | Descartes | 3.06 | 282.00 |
DCN | 0.0025162 | 65 | GTEx | DepMap | Descartes | 52.47 | 1684.07 |
COL1A1 | 0.0024975 | 68 | GTEx | DepMap | Descartes | 246.05 | 7592.80 |
VCAN | 0.0022721 | 85 | GTEx | DepMap | Descartes | 12.89 | 251.23 |
THBS2 | 0.0021658 | 96 | GTEx | DepMap | Descartes | 11.02 | 387.49 |
TMEM119 | 0.0019363 | 119 | GTEx | DepMap | Descartes | 2.34 | 184.89 |
COL8A1 | 0.0018357 | 135 | GTEx | DepMap | Descartes | 4.94 | 165.65 |
COL5A2 | 0.0018081 | 141 | GTEx | DepMap | Descartes | 6.16 | 168.95 |
THY1 | 0.0014822 | 202 | GTEx | DepMap | Descartes | 4.12 | 196.38 |
TAGLN | 0.0012942 | 253 | GTEx | DepMap | Descartes | 14.32 | 924.82 |
THBS1 | 0.0011814 | 280 | GTEx | DepMap | Descartes | 23.10 | 877.16 |
COL12A1 | 0.0011701 | 284 | GTEx | DepMap | Descartes | 4.92 | 91.28 |
TPM1 | 0.0009752 | 364 | GTEx | DepMap | Descartes | 4.51 | 239.21 |
LUM | 0.0009055 | 405 | GTEx | DepMap | Descartes | 27.51 | 1956.82 |
TGFBR1 | 0.0008729 | 432 | GTEx | DepMap | Descartes | 1.27 | 43.29 |
MYLK | 0.0008226 | 474 | GTEx | DepMap | Descartes | 3.28 | 68.00 |
COL11A1 | 0.0005547 | 733 | GTEx | DepMap | Descartes | 0.95 | 15.49 |
WNT5A | 0.0005450 | 751 | GTEx | DepMap | Descartes | 0.12 | 3.27 |
TGFB2 | 0.0004749 | 875 | GTEx | DepMap | Descartes | 0.61 | 21.83 |
CNN3 | 0.0003266 | 1180 | GTEx | DepMap | Descartes | 2.85 | 313.83 |
COL10A1 | 0.0003049 | 1245 | GTEx | DepMap | Descartes | 0.86 | 39.68 |
TPM2 | 0.0000395 | 2621 | GTEx | DepMap | Descartes | 2.77 | 407.33 |
MYL9 | 0.0000332 | 2693 | GTEx | DepMap | Descartes | 4.93 | 384.01 |
MMP11 | 0.0000085 | 3003 | GTEx | DepMap | Descartes | 0.39 | 21.96 |
ACTA2 | -0.0001419 | 6521 | GTEx | DepMap | Descartes | 8.17 | 1438.87 |
HOPX | -0.0001594 | 7019 | GTEx | DepMap | Descartes | 0.28 | 21.54 |
COL15A1 | -0.0001692 | 7295 | GTEx | DepMap | Descartes | 1.88 | 78.80 |
CNN2 | -0.0001823 | 7640 | GTEx | DepMap | Descartes | 1.74 | 159.51 |
COL13A1 | -0.0001847 | 7698 | GTEx | DepMap | Descartes | 0.02 | 0.80 |
TNC | -0.0002018 | 8141 | GTEx | DepMap | Descartes | 2.68 | 77.08 |
POSTN | -0.0002268 | 8756 | GTEx | DepMap | Descartes | 5.53 | 312.48 |
ACTG2 | -0.0002663 | 9623 | GTEx | DepMap | Descartes | 0.50 | 70.73 |
IGFBP7 | -0.0002918 | 10131 | GTEx | DepMap | Descartes | 58.65 | 8991.02 |
ITGA7 | -0.0004070 | 11517 | GTEx | DepMap | Descartes | 0.37 | 20.85 |
MEF2C | -0.0005077 | 12062 | GTEx | DepMap | Descartes | 0.34 | 8.70 |
TGFB1 | -0.0005097 | 12068 | GTEx | DepMap | Descartes | 0.46 | 38.45 |
MYH11 | -0.0005141 | 12087 | GTEx | DepMap | Descartes | 1.22 | 39.48 |
COL4A1 | -0.0005974 | 12312 | GTEx | DepMap | Descartes | 6.44 | 233.65 |
TGFBR2 | -0.0006112 | 12329 | GTEx | DepMap | Descartes | 1.70 | 56.42 |
FN1 | -0.0006169 | 12340 | GTEx | DepMap | Descartes | 16.84 | 370.18 |
PGF | -0.0007877 | 12485 | GTEx | DepMap | Descartes | 0.16 | 7.49 |
RGS5 | -0.0011002 | 12538 | GTEx | DepMap | Descartes | 4.51 | 143.66 |
Below shows ranks on this GEP for literature curated gene lists for large gene sets
These include those reported as mesenchymal/adrenergic by Van Groningen et al.
High ranks indicate this gene is a driver of this GEP (note these results are not ordered).
The Mean Count column shows the mean read count in cells scoring highly (H > 50) on this gene expression program.
VanGroningen Adrenergic Genes
Adrenergic marker genes from Supplementary Table 2 of Van Groningen et al. Nature Genetics 2017. These genes were identified by differential expression analysis of mesenchymal-like and adrenergic-like neuroblastoma cell lines.
Wilcoxon ranksum test P-value for gene set overrepresentation: 1.00e+00
Mean rank of genes in gene set: 8667.87
Median rank of genes in gene set: 9809
Rank on gene expression program of top 30 genes in gene set:
Genes | Weight | Rank | GTEx | DepMap | Descartes | Mean.Counts | Mean.TPM |
---|---|---|---|---|---|---|---|
DPYSL3 | 0.0016161 | 171 | GTEx | DepMap | Descartes | 2.64 | 106.00 |
HMGA1 | 0.0013486 | 237 | GTEx | DepMap | Descartes | 2.12 | 228.28 |
NFIL3 | 0.0012540 | 264 | GTEx | DepMap | Descartes | 3.06 | 308.68 |
FOXO3 | 0.0012019 | 274 | GTEx | DepMap | Descartes | 4.48 | 141.31 |
AKAP12 | 0.0011439 | 297 | GTEx | DepMap | Descartes | 4.74 | 129.15 |
ANK2 | 0.0009678 | 370 | GTEx | DepMap | Descartes | 1.37 | 22.94 |
CDC42EP3 | 0.0009074 | 403 | GTEx | DepMap | Descartes | 2.50 | 103.11 |
RAB33A | 0.0008897 | 420 | GTEx | DepMap | Descartes | 0.29 | 67.13 |
MAP1B | 0.0008343 | 462 | GTEx | DepMap | Descartes | 10.96 | 209.32 |
SLIT3 | 0.0008138 | 483 | GTEx | DepMap | Descartes | 4.01 | 91.73 |
EIF1B | 0.0007174 | 556 | GTEx | DepMap | Descartes | 2.33 | 542.29 |
HK2 | 0.0005431 | 754 | GTEx | DepMap | Descartes | 0.47 | 24.74 |
NCS1 | 0.0005168 | 801 | GTEx | DepMap | Descartes | 0.66 | 31.48 |
ATP6V1B2 | 0.0004447 | 926 | GTEx | DepMap | Descartes | 3.17 | 89.38 |
SETD7 | 0.0003868 | 1033 | GTEx | DepMap | Descartes | 0.88 | 26.69 |
CKB | 0.0003299 | 1172 | GTEx | DepMap | Descartes | 1.31 | 259.43 |
PTS | 0.0003130 | 1227 | GTEx | DepMap | Descartes | 0.48 | 104.47 |
SLC35G2 | 0.0002670 | 1336 | GTEx | DepMap | Descartes | 0.22 | NA |
TUBB4B | 0.0002643 | 1343 | GTEx | DepMap | Descartes | 3.24 | 386.01 |
SHC3 | 0.0002527 | 1390 | GTEx | DepMap | Descartes | 0.06 | 1.12 |
PBX3 | 0.0002238 | 1498 | GTEx | DepMap | Descartes | 0.61 | 41.40 |
KLF13 | 0.0002036 | 1579 | GTEx | DepMap | Descartes | 1.80 | 60.64 |
HNRNPA0 | 0.0001433 | 1858 | GTEx | DepMap | Descartes | 2.46 | 65.85 |
GAL | 0.0001388 | 1891 | GTEx | DepMap | Descartes | 0.30 | 167.09 |
CD200 | 0.0001263 | 1959 | GTEx | DepMap | Descartes | 0.57 | 48.91 |
TMEM108 | 0.0001027 | 2121 | GTEx | DepMap | Descartes | 0.06 | 2.54 |
LMO3 | 0.0000938 | 2182 | GTEx | DepMap | Descartes | 0.04 | 2.18 |
PHPT1 | 0.0000870 | 2240 | GTEx | DepMap | Descartes | 0.52 | 82.92 |
RTN2 | 0.0000845 | 2259 | GTEx | DepMap | Descartes | 0.08 | 8.13 |
GGCT | 0.0000712 | 2353 | GTEx | DepMap | Descartes | 0.29 | 64.29 |
VanGroningen Mesenchymal Genes
Mesenchymal marker genes from Supplementary Table 2 of Van Groningen et al. Nature Genetics 2017. These genes were identified by differential expression analysis of mesenchymal-like and adrenergic-like neuroblastoma cell lines.
Wilcoxon ranksum test P-value for gene set overrepresentation: 1.23e-33
Mean rank of genes in gene set: 4221.95
Median rank of genes in gene set: 2153
Rank on gene expression program of top 30 genes in gene set:
Genes | Weight | Rank | GTEx | DepMap | Descartes | Mean.Counts | Mean.TPM |
---|---|---|---|---|---|---|---|
CCDC80 | 0.0069867 | 1 | GTEx | DepMap | Descartes | 33.69 | 633.28 |
COL3A1 | 0.0047243 | 11 | GTEx | DepMap | Descartes | 126.13 | 4329.75 |
MGP | 0.0044677 | 13 | GTEx | DepMap | Descartes | 85.27 | 13772.01 |
AEBP1 | 0.0044091 | 15 | GTEx | DepMap | Descartes | 16.00 | 903.07 |
SPARC | 0.0043564 | 16 | GTEx | DepMap | Descartes | 97.15 | 5083.02 |
MMP2 | 0.0042331 | 17 | GTEx | DepMap | Descartes | 9.61 | 638.66 |
HTRA1 | 0.0041513 | 19 | GTEx | DepMap | Descartes | 5.77 | 556.98 |
PLXDC2 | 0.0033209 | 30 | GTEx | DepMap | Descartes | 4.28 | 75.65 |
BGN | 0.0030837 | 32 | GTEx | DepMap | Descartes | 26.43 | 2394.09 |
ANTXR1 | 0.0030827 | 33 | GTEx | DepMap | Descartes | 4.00 | 134.04 |
ERRFI1 | 0.0030548 | 35 | GTEx | DepMap | Descartes | 8.35 | 627.77 |
SLC39A14 | 0.0029184 | 38 | GTEx | DepMap | Descartes | 4.06 | 223.46 |
MRC2 | 0.0027418 | 51 | GTEx | DepMap | Descartes | 2.55 | 105.53 |
SERPINE2 | 0.0026950 | 53 | GTEx | DepMap | Descartes | 3.73 | 124.63 |
COL6A3 | 0.0026861 | 54 | GTEx | DepMap | Descartes | 13.50 | 294.90 |
COL5A1 | 0.0026552 | 57 | GTEx | DepMap | Descartes | 9.15 | 230.59 |
FBN1 | 0.0025472 | 61 | GTEx | DepMap | Descartes | 5.38 | 97.78 |
COL1A1 | 0.0024975 | 68 | GTEx | DepMap | Descartes | 246.05 | 7592.80 |
TNFRSF12A | 0.0024891 | 70 | GTEx | DepMap | Descartes | 4.53 | 591.45 |
LMNA | 0.0023771 | 77 | GTEx | DepMap | Descartes | 19.16 | 1611.73 |
PXDC1 | 0.0023598 | 78 | GTEx | DepMap | Descartes | 3.48 | 407.76 |
PRRX1 | 0.0022543 | 89 | GTEx | DepMap | Descartes | 3.73 | 219.98 |
TPBG | 0.0022257 | 90 | GTEx | DepMap | Descartes | 1.80 | 63.24 |
FGFR1 | 0.0021877 | 94 | GTEx | DepMap | Descartes | 10.58 | 430.78 |
COL6A2 | 0.0021021 | 101 | GTEx | DepMap | Descartes | 14.61 | 1027.76 |
FSTL1 | 0.0020865 | 104 | GTEx | DepMap | Descartes | 9.63 | 353.78 |
UGDH | 0.0020292 | 110 | GTEx | DepMap | Descartes | 4.87 | 487.94 |
MYADM | 0.0018590 | 131 | GTEx | DepMap | Descartes | 12.23 | 1022.67 |
PALLD | 0.0018155 | 139 | GTEx | DepMap | Descartes | 4.66 | 176.04 |
COL5A2 | 0.0018081 | 141 | GTEx | DepMap | Descartes | 6.16 | 168.95 |
Descartes adrenocortical markers
Top 50 marker genes of adrenocortical cells in the Decartes fetal adrenal single cell map (https://atlas.brotmanbaty.org/bbi/human-gene-expression-during-development/cell/adrenocortical/in/adrenal)
Wilcoxon ranksum test P-value for gene set overrepresentation: 8.35e-01
Mean rank of genes in gene set: 6863.22
Median rank of genes in gene set: 7147
Rank on gene expression program of top 30 genes in gene set:
Genes | Weight | Rank | GTEx | DepMap | Descartes | Mean.Counts | Mean.TPM |
---|---|---|---|---|---|---|---|
PAPSS2 | 0.0012356 | 268 | GTEx | DepMap | Descartes | 1.05 | 65.30 |
SH3PXD2B | 0.0011314 | 302 | GTEx | DepMap | Descartes | 0.69 | 22.06 |
CLU | 0.0004464 | 922 | GTEx | DepMap | Descartes | 3.75 | 337.94 |
IGF1R | 0.0001835 | 1661 | GTEx | DepMap | Descartes | 0.71 | 13.87 |
SLC16A9 | 0.0001441 | 1853 | GTEx | DepMap | Descartes | 0.07 | 3.64 |
LDLR | 0.0000750 | 2325 | GTEx | DepMap | Descartes | 1.90 | 83.88 |
ERN1 | 0.0000459 | 2561 | GTEx | DepMap | Descartes | 0.66 | 19.32 |
SH3BP5 | 0.0000431 | 2593 | GTEx | DepMap | Descartes | 1.35 | 78.47 |
SCAP | 0.0000000 | 3138 | GTEx | DepMap | Descartes | 0.23 | 12.04 |
STAR | -0.0000465 | 4014 | GTEx | DepMap | Descartes | 0.03 | 2.32 |
FDXR | -0.0000679 | 4546 | GTEx | DepMap | Descartes | 0.04 | 3.67 |
GSTA4 | -0.0000887 | 5069 | GTEx | DepMap | Descartes | 0.29 | 31.97 |
BAIAP2L1 | -0.0000889 | 5072 | GTEx | DepMap | Descartes | 0.01 | 0.79 |
FDX1 | -0.0000944 | 5200 | GTEx | DepMap | Descartes | 0.28 | 21.57 |
INHA | -0.0001026 | 5434 | GTEx | DepMap | Descartes | 0.00 | 0.00 |
SGCZ | -0.0001037 | 5470 | GTEx | DepMap | Descartes | 0.00 | 0.00 |
DHCR7 | -0.0001072 | 5584 | GTEx | DepMap | Descartes | 0.07 | 6.98 |
FREM2 | -0.0001484 | 6724 | GTEx | DepMap | Descartes | 0.00 | 0.00 |
POR | -0.0001793 | 7570 | GTEx | DepMap | Descartes | 0.54 | 50.72 |
DNER | -0.0001849 | 7702 | GTEx | DepMap | Descartes | 0.05 | 1.99 |
FRMD5 | -0.0001969 | 8003 | GTEx | DepMap | Descartes | 0.03 | 1.01 |
TM7SF2 | -0.0001977 | 8024 | GTEx | DepMap | Descartes | 0.02 | 1.65 |
SCARB1 | -0.0002184 | 8571 | GTEx | DepMap | Descartes | 0.15 | 5.61 |
NPC1 | -0.0002346 | 8944 | GTEx | DepMap | Descartes | 0.34 | 14.33 |
APOC1 | -0.0002645 | 9587 | GTEx | DepMap | Descartes | 0.36 | 112.09 |
DHCR24 | -0.0002761 | 9830 | GTEx | DepMap | Descartes | 0.13 | 4.35 |
GRAMD1B | -0.0003542 | 10987 | GTEx | DepMap | Descartes | 0.05 | 1.40 |
PDE10A | -0.0003564 | 11011 | GTEx | DepMap | Descartes | 0.13 | 2.68 |
JAKMIP2 | -0.0003718 | 11180 | GTEx | DepMap | Descartes | 0.00 | 0.08 |
SLC1A2 | -0.0003895 | 11377 | GTEx | DepMap | Descartes | 0.02 | 0.35 |
Descartes chromaffin markers
Top 50 marker genes of chromaffin cells in the Decartes fetal adrenal single cell map (https://atlas.brotmanbaty.org/bbi/human-gene-expression-during-development/cell/chromaffin/in/adrenal)
Wilcoxon ranksum test P-value for gene set overrepresentation: 9.98e-01
Mean rank of genes in gene set: 7899.27
Median rank of genes in gene set: 8159
Rank on gene expression program of top 30 genes in gene set:
Genes | Weight | Rank | GTEx | DepMap | Descartes | Mean.Counts | Mean.TPM |
---|---|---|---|---|---|---|---|
GREM1 | 0.0026166 | 59 | GTEx | DepMap | Descartes | 3.34 | 43.77 |
MAP1B | 0.0008343 | 462 | GTEx | DepMap | Descartes | 10.96 | 209.32 |
BASP1 | 0.0001956 | 1612 | GTEx | DepMap | Descartes | 3.41 | 418.50 |
CNTFR | 0.0001584 | 1768 | GTEx | DepMap | Descartes | 0.09 | 9.30 |
GAL | 0.0001388 | 1891 | GTEx | DepMap | Descartes | 0.30 | 167.09 |
RGMB | 0.0000669 | 2392 | GTEx | DepMap | Descartes | 0.57 | 25.39 |
EYA4 | -0.0000005 | 3145 | GTEx | DepMap | Descartes | 0.02 | 1.43 |
TUBB2A | -0.0000312 | 3691 | GTEx | DepMap | Descartes | 1.81 | 249.20 |
NPY | -0.0000904 | 5103 | GTEx | DepMap | Descartes | 0.35 | 254.85 |
EPHA6 | -0.0000973 | 5283 | GTEx | DepMap | Descartes | 0.01 | 0.40 |
KCNB2 | -0.0001215 | 5962 | GTEx | DepMap | Descartes | 0.00 | 0.12 |
TMEFF2 | -0.0001427 | 6550 | GTEx | DepMap | Descartes | 0.01 | 0.78 |
ANKFN1 | -0.0001454 | 6628 | GTEx | DepMap | Descartes | 0.00 | 0.00 |
PLXNA4 | -0.0001545 | 6886 | GTEx | DepMap | Descartes | 0.03 | 0.87 |
SLC44A5 | -0.0001571 | 6954 | GTEx | DepMap | Descartes | 0.00 | 0.12 |
ALK | -0.0001676 | 7250 | GTEx | DepMap | Descartes | 0.00 | 0.05 |
RPH3A | -0.0001686 | 7277 | GTEx | DepMap | Descartes | 0.01 | 0.17 |
TMEM132C | -0.0001701 | 7322 | GTEx | DepMap | Descartes | 0.03 | 1.64 |
NTRK1 | -0.0001720 | 7378 | GTEx | DepMap | Descartes | 0.01 | 0.44 |
EYA1 | -0.0001956 | 7968 | GTEx | DepMap | Descartes | 0.01 | 0.26 |
FAT3 | -0.0002026 | 8159 | GTEx | DepMap | Descartes | 0.07 | 0.95 |
RBFOX1 | -0.0002111 | 8392 | GTEx | DepMap | Descartes | 0.01 | 0.86 |
HS3ST5 | -0.0002275 | 8771 | GTEx | DepMap | Descartes | 0.00 | 0.14 |
IL7 | -0.0002492 | 9256 | GTEx | DepMap | Descartes | 0.02 | 1.53 |
SLC6A2 | -0.0002856 | 10011 | GTEx | DepMap | Descartes | 0.01 | 0.36 |
RYR2 | -0.0002931 | 10155 | GTEx | DepMap | Descartes | 0.03 | 0.50 |
PTCHD1 | -0.0002986 | 10251 | GTEx | DepMap | Descartes | 0.01 | 0.39 |
CNKSR2 | -0.0003293 | 10672 | GTEx | DepMap | Descartes | 0.04 | 1.45 |
MARCH11 | -0.0003315 | 10700 | GTEx | DepMap | Descartes | 0.00 | NA |
MAB21L2 | -0.0003605 | 11056 | GTEx | DepMap | Descartes | 0.03 | 1.22 |
Descartes Vascular_endothelial markers
Top 50 marker genes of Vascular_endothelial cells in the Decartes fetal adrenal single cell map (https://atlas.brotmanbaty.org/bbi/human-gene-expression-during-development/cell/vascular_endothelial/in/adrenal)
Wilcoxon ranksum test P-value for gene set overrepresentation: 1.00e+00
Mean rank of genes in gene set: 8924.5
Median rank of genes in gene set: 10213
Rank on gene expression program of top 30 genes in gene set:
Genes | Weight | Rank | GTEx | DepMap | Descartes | Mean.Counts | Mean.TPM |
---|---|---|---|---|---|---|---|
TMEM88 | 0.0013292 | 242 | GTEx | DepMap | Descartes | 0.74 | 214.75 |
NPR1 | 0.0006164 | 657 | GTEx | DepMap | Descartes | 0.15 | 7.13 |
SHE | 0.0001629 | 1753 | GTEx | DepMap | Descartes | 0.17 | 5.73 |
GALNT15 | -0.0000134 | 3350 | GTEx | DepMap | Descartes | 0.09 | NA |
CHRM3 | -0.0000644 | 4458 | GTEx | DepMap | Descartes | 0.03 | 0.94 |
CRHBP | -0.0000879 | 5050 | GTEx | DepMap | Descartes | 0.00 | 0.00 |
RASIP1 | -0.0001141 | 5768 | GTEx | DepMap | Descartes | 0.09 | 5.09 |
NR5A2 | -0.0001244 | 6050 | GTEx | DepMap | Descartes | 0.00 | 0.21 |
CEACAM1 | -0.0001423 | 6537 | GTEx | DepMap | Descartes | 0.03 | 2.31 |
MYRIP | -0.0001587 | 6997 | GTEx | DepMap | Descartes | 0.01 | 0.33 |
EHD3 | -0.0001860 | 7733 | GTEx | DepMap | Descartes | 0.10 | 4.24 |
F8 | -0.0001878 | 7776 | GTEx | DepMap | Descartes | 0.08 | 1.34 |
ESM1 | -0.0001961 | 7979 | GTEx | DepMap | Descartes | 0.14 | 7.76 |
IRX3 | -0.0002470 | 9217 | GTEx | DepMap | Descartes | 0.09 | 4.44 |
CDH13 | -0.0002496 | 9268 | GTEx | DepMap | Descartes | 0.26 | 7.67 |
BTNL9 | -0.0002646 | 9590 | GTEx | DepMap | Descartes | 0.00 | 0.15 |
HYAL2 | -0.0002845 | 9990 | GTEx | DepMap | Descartes | 0.14 | 6.29 |
SLCO2A1 | -0.0002891 | 10077 | GTEx | DepMap | Descartes | 0.14 | 5.11 |
PTPRB | -0.0002905 | 10101 | GTEx | DepMap | Descartes | 0.28 | 3.05 |
TEK | -0.0003036 | 10325 | GTEx | DepMap | Descartes | 0.06 | 1.78 |
ROBO4 | -0.0003094 | 10414 | GTEx | DepMap | Descartes | 0.08 | 3.40 |
CLDN5 | -0.0003148 | 10487 | GTEx | DepMap | Descartes | 0.02 | 1.84 |
KANK3 | -0.0003205 | 10572 | GTEx | DepMap | Descartes | 0.03 | 1.84 |
CALCRL | -0.0003455 | 10899 | GTEx | DepMap | Descartes | 0.37 | 8.56 |
FLT4 | -0.0003470 | 10913 | GTEx | DepMap | Descartes | 0.03 | 0.77 |
NOTCH4 | -0.0003737 | 11201 | GTEx | DepMap | Descartes | 0.07 | 1.98 |
CDH5 | -0.0003821 | 11284 | GTEx | DepMap | Descartes | 0.09 | 3.25 |
TIE1 | -0.0003859 | 11337 | GTEx | DepMap | Descartes | 0.17 | 6.31 |
MMRN2 | -0.0003889 | 11371 | GTEx | DepMap | Descartes | 0.10 | 2.54 |
KDR | -0.0004031 | 11484 | GTEx | DepMap | Descartes | 0.04 | 0.69 |
Descartes stromal markers
Top 50 marker genes of stromal cells in the Decartes fetal adrenal single cell map (https://atlas.brotmanbaty.org/bbi/human-gene-expression-during-development/cell/stromal/in/adrenal)
Wilcoxon ranksum test P-value for gene set overrepresentation: 9.03e-13
Mean rank of genes in gene set: 2432.09
Median rank of genes in gene set: 327
Rank on gene expression program of top 30 genes in gene set:
Genes | Weight | Rank | GTEx | DepMap | Descartes | Mean.Counts | Mean.TPM |
---|---|---|---|---|---|---|---|
CCDC80 | 0.0069867 | 1 | GTEx | DepMap | Descartes | 33.69 | 633.28 |
ELN | 0.0058802 | 3 | GTEx | DepMap | Descartes | 7.57 | 418.48 |
SFRP2 | 0.0054421 | 8 | GTEx | DepMap | Descartes | 15.81 | 1250.54 |
C7 | 0.0049521 | 9 | GTEx | DepMap | Descartes | 33.04 | 1506.66 |
COL3A1 | 0.0047243 | 11 | GTEx | DepMap | Descartes | 126.13 | 4329.75 |
MGP | 0.0044677 | 13 | GTEx | DepMap | Descartes | 85.27 | 13772.01 |
COL1A2 | 0.0028888 | 42 | GTEx | DepMap | Descartes | 100.15 | 3194.77 |
LOX | 0.0028262 | 46 | GTEx | DepMap | Descartes | 2.26 | 99.28 |
COL6A3 | 0.0026861 | 54 | GTEx | DepMap | Descartes | 13.50 | 294.90 |
IGFBP3 | 0.0025256 | 64 | GTEx | DepMap | Descartes | 3.06 | 282.00 |
DCN | 0.0025162 | 65 | GTEx | DepMap | Descartes | 52.47 | 1684.07 |
COL1A1 | 0.0024975 | 68 | GTEx | DepMap | Descartes | 246.05 | 7592.80 |
PRRX1 | 0.0022543 | 89 | GTEx | DepMap | Descartes | 3.73 | 219.98 |
SCARA5 | 0.0019878 | 112 | GTEx | DepMap | Descartes | 1.42 | 78.71 |
ADAMTS2 | 0.0018095 | 140 | GTEx | DepMap | Descartes | 2.24 | 67.44 |
PCOLCE | 0.0017289 | 145 | GTEx | DepMap | Descartes | 6.54 | 899.52 |
PDGFRA | 0.0015886 | 176 | GTEx | DepMap | Descartes | 2.11 | 77.90 |
RSPO3 | 0.0015000 | 197 | GTEx | DepMap | Descartes | 0.33 | NA |
ITGA11 | 0.0013680 | 229 | GTEx | DepMap | Descartes | 0.86 | 17.18 |
ISLR | 0.0013554 | 235 | GTEx | DepMap | Descartes | 4.09 | 391.40 |
COL12A1 | 0.0011701 | 284 | GTEx | DepMap | Descartes | 4.92 | 91.28 |
DKK2 | 0.0011280 | 306 | GTEx | DepMap | Descartes | 0.24 | 13.39 |
CDH11 | 0.0010023 | 348 | GTEx | DepMap | Descartes | 2.16 | 61.69 |
LUM | 0.0009055 | 405 | GTEx | DepMap | Descartes | 27.51 | 1956.82 |
COL27A1 | 0.0009018 | 409 | GTEx | DepMap | Descartes | 0.98 | 33.29 |
OGN | 0.0006488 | 622 | GTEx | DepMap | Descartes | 4.26 | 292.26 |
CD248 | 0.0005513 | 739 | GTEx | DepMap | Descartes | 0.73 | 58.64 |
BICC1 | 0.0004849 | 860 | GTEx | DepMap | Descartes | 1.00 | 39.38 |
GLI2 | 0.0004577 | 901 | GTEx | DepMap | Descartes | 0.26 | 9.65 |
CLDN11 | 0.0004107 | 992 | GTEx | DepMap | Descartes | 0.46 | 33.06 |
Descartes sympathoblasts markers
Top 50 marker genes of sympathoblasts cells in the Decartes fetal adrenal single cell map (https://atlas.brotmanbaty.org/bbi/human-gene-expression-during-development/cell/sympathoblasts/in/adrenal)
Wilcoxon ranksum test P-value for gene set overrepresentation: 5.20e-01
Mean rank of genes in gene set: 6304.97
Median rank of genes in gene set: 5396
Rank on gene expression program of top 30 genes in gene set:
Genes | Weight | Rank | GTEx | DepMap | Descartes | Mean.Counts | Mean.TPM |
---|---|---|---|---|---|---|---|
ARC | 0.0016794 | 154 | GTEx | DepMap | Descartes | 3.21 | 309.46 |
FGF14 | 0.0007592 | 522 | GTEx | DepMap | Descartes | 0.14 | 2.77 |
MGAT4C | 0.0001425 | 1866 | GTEx | DepMap | Descartes | 0.05 | 0.47 |
PENK | 0.0001110 | 2054 | GTEx | DepMap | Descartes | 0.16 | 48.22 |
SLC24A2 | 0.0000186 | 2880 | GTEx | DepMap | Descartes | 0.00 | 0.10 |
KCTD16 | 0.0000035 | 3081 | GTEx | DepMap | Descartes | 0.05 | 0.63 |
EML6 | -0.0000144 | 3370 | GTEx | DepMap | Descartes | 0.03 | 0.90 |
SPOCK3 | -0.0000231 | 3539 | GTEx | DepMap | Descartes | 0.00 | 0.04 |
SLC35F3 | -0.0000272 | 3613 | GTEx | DepMap | Descartes | 0.00 | 0.08 |
CDH18 | -0.0000393 | 3861 | GTEx | DepMap | Descartes | 0.01 | 0.91 |
PACRG | -0.0000635 | 4430 | GTEx | DepMap | Descartes | 0.00 | 0.20 |
CDH12 | -0.0000643 | 4449 | GTEx | DepMap | Descartes | 0.00 | 0.56 |
GALNTL6 | -0.0000657 | 4485 | GTEx | DepMap | Descartes | 0.00 | 0.41 |
SORCS3 | -0.0000662 | 4496 | GTEx | DepMap | Descartes | 0.00 | 0.40 |
GRM7 | -0.0000680 | 4547 | GTEx | DepMap | Descartes | 0.01 | 0.87 |
AGBL4 | -0.0000773 | 4777 | GTEx | DepMap | Descartes | 0.01 | 0.43 |
GCH1 | -0.0000807 | 4861 | GTEx | DepMap | Descartes | 0.52 | 43.24 |
PCSK2 | -0.0000811 | 4868 | GTEx | DepMap | Descartes | 0.04 | 2.23 |
TBX20 | -0.0000973 | 5281 | GTEx | DepMap | Descartes | 0.00 | 0.00 |
ST18 | -0.0001050 | 5511 | GTEx | DepMap | Descartes | 0.00 | 0.02 |
CCSER1 | -0.0001181 | 5878 | GTEx | DepMap | Descartes | 0.00 | NA |
GRID2 | -0.0001403 | 6480 | GTEx | DepMap | Descartes | 0.00 | 0.03 |
KSR2 | -0.0001449 | 6614 | GTEx | DepMap | Descartes | 0.00 | 0.04 |
ROBO1 | -0.0001642 | 7157 | GTEx | DepMap | Descartes | 0.30 | 8.88 |
LAMA3 | -0.0001784 | 7550 | GTEx | DepMap | Descartes | 0.10 | 2.27 |
SLC18A1 | -0.0001836 | 7670 | GTEx | DepMap | Descartes | 0.01 | 0.89 |
FAM155A | -0.0001879 | 7780 | GTEx | DepMap | Descartes | 0.12 | 2.66 |
NTNG1 | -0.0002064 | 8263 | GTEx | DepMap | Descartes | 0.02 | 1.41 |
DGKK | -0.0002334 | 8912 | GTEx | DepMap | Descartes | 0.01 | 0.26 |
CHGA | -0.0002766 | 9841 | GTEx | DepMap | Descartes | 0.49 | 66.88 |
Descartes erythroblasts markers
Top 50 marker genes of erythroblasts cells in the Decartes fetal adrenal single cell map (https://atlas.brotmanbaty.org/bbi/human-gene-expression-during-development/cell/erythroblasts/in/adrenal)
Wilcoxon ranksum test P-value for gene set overrepresentation: 8.37e-01
Mean rank of genes in gene set: 6936.14
Median rank of genes in gene set: 7411
Rank on gene expression program of top 30 genes in gene set:
Genes | Weight | Rank | GTEx | DepMap | Descartes | Mean.Counts | Mean.TPM |
---|---|---|---|---|---|---|---|
MARCH3 | 0.0011923 | 275 | GTEx | DepMap | Descartes | 0.69 | NA |
MICAL2 | 0.0009807 | 361 | GTEx | DepMap | Descartes | 2.79 | 100.42 |
SELENBP1 | 0.0004672 | 887 | GTEx | DepMap | Descartes | 0.39 | 29.89 |
SLC25A37 | 0.0001434 | 1857 | GTEx | DepMap | Descartes | 1.01 | 56.07 |
BLVRB | 0.0000955 | 2166 | GTEx | DepMap | Descartes | 0.29 | 48.38 |
SLC25A21 | 0.0000210 | 2847 | GTEx | DepMap | Descartes | 0.00 | 0.20 |
GCLC | 0.0000025 | 3103 | GTEx | DepMap | Descartes | 0.34 | 23.04 |
RHD | -0.0000344 | 3755 | GTEx | DepMap | Descartes | 0.00 | 0.00 |
SLC4A1 | -0.0000518 | 4151 | GTEx | DepMap | Descartes | 0.01 | 0.17 |
ALAS2 | -0.0000771 | 4772 | GTEx | DepMap | Descartes | 0.00 | 0.00 |
DENND4A | -0.0000870 | 5029 | GTEx | DepMap | Descartes | 1.03 | 29.27 |
TMCC2 | -0.0000943 | 5198 | GTEx | DepMap | Descartes | 0.02 | 1.01 |
TFR2 | -0.0001219 | 5969 | GTEx | DepMap | Descartes | 0.00 | 0.35 |
ABCB10 | -0.0001642 | 7156 | GTEx | DepMap | Descartes | 0.11 | 5.75 |
SPTB | -0.0001733 | 7411 | GTEx | DepMap | Descartes | 0.01 | 0.27 |
XPO7 | -0.0002040 | 8198 | GTEx | DepMap | Descartes | 0.26 | 10.70 |
FECH | -0.0002291 | 8805 | GTEx | DepMap | Descartes | 0.06 | 1.32 |
TRAK2 | -0.0002308 | 8844 | GTEx | DepMap | Descartes | 0.29 | 9.61 |
ANK1 | -0.0002714 | 9720 | GTEx | DepMap | Descartes | 0.06 | 1.23 |
CAT | -0.0002717 | 9727 | GTEx | DepMap | Descartes | 0.35 | 40.11 |
CPOX | -0.0002968 | 10211 | GTEx | DepMap | Descartes | 0.06 | 4.49 |
SNCA | -0.0003051 | 10344 | GTEx | DepMap | Descartes | 0.03 | 1.46 |
SPECC1 | -0.0003258 | 10625 | GTEx | DepMap | Descartes | 0.17 | 4.22 |
RAPGEF2 | -0.0003453 | 10893 | GTEx | DepMap | Descartes | 0.87 | 21.91 |
GYPC | -0.0003623 | 11082 | GTEx | DepMap | Descartes | 0.53 | 75.43 |
RGS6 | -0.0004435 | 11747 | GTEx | DepMap | Descartes | 0.02 | 0.77 |
EPB41 | -0.0004697 | 11878 | GTEx | DepMap | Descartes | 0.03 | 0.92 |
TSPAN5 | -0.0004743 | 11909 | GTEx | DepMap | Descartes | 0.41 | 23.36 |
SOX6 | -0.0005574 | 12228 | GTEx | DepMap | Descartes | 0.10 | 2.52 |
NA | NA | NA | NA | NA | NA | NA | NA |
Descartes myeloid markers
Top 50 marker genes of myeloid cells in the Decartes fetal adrenal single cell map (https://atlas.brotmanbaty.org/bbi/human-gene-expression-during-development/cell/myeloid/in/adrenal)
Wilcoxon ranksum test P-value for gene set overrepresentation: 9.58e-01
Mean rank of genes in gene set: 7291.05
Median rank of genes in gene set: 8451.5
Rank on gene expression program of top 30 genes in gene set:
Genes | Weight | Rank | GTEx | DepMap | Descartes | Mean.Counts | Mean.TPM |
---|---|---|---|---|---|---|---|
CST3 | 0.0016582 | 160 | GTEx | DepMap | Descartes | 15.01 | 1068.58 |
HRH1 | 0.0007300 | 546 | GTEx | DepMap | Descartes | 0.52 | 25.55 |
AXL | 0.0005792 | 703 | GTEx | DepMap | Descartes | 1.96 | 89.76 |
ABCA1 | 0.0005093 | 815 | GTEx | DepMap | Descartes | 1.97 | 47.97 |
CTSC | 0.0004799 | 868 | GTEx | DepMap | Descartes | 2.02 | 87.40 |
FGL2 | 0.0004096 | 995 | GTEx | DepMap | Descartes | 1.21 | 60.78 |
LGMN | 0.0002146 | 1532 | GTEx | DepMap | Descartes | 1.53 | 147.29 |
CTSD | 0.0002071 | 1561 | GTEx | DepMap | Descartes | 3.83 | 387.70 |
IFNGR1 | 0.0000058 | 3047 | GTEx | DepMap | Descartes | 0.65 | 57.94 |
SLC1A3 | -0.0000361 | 3795 | GTEx | DepMap | Descartes | 0.16 | 7.88 |
ITPR2 | -0.0000891 | 5077 | GTEx | DepMap | Descartes | 0.50 | 9.42 |
SLC9A9 | -0.0000958 | 5240 | GTEx | DepMap | Descartes | 0.15 | 10.65 |
CPVL | -0.0000971 | 5276 | GTEx | DepMap | Descartes | 0.19 | 14.31 |
SPP1 | -0.0001141 | 5767 | GTEx | DepMap | Descartes | 0.23 | 15.58 |
ATP8B4 | -0.0001534 | 6861 | GTEx | DepMap | Descartes | 0.06 | 3.23 |
FGD2 | -0.0001560 | 6924 | GTEx | DepMap | Descartes | 0.00 | 0.21 |
CD163L1 | -0.0001571 | 6951 | GTEx | DepMap | Descartes | 0.00 | 0.00 |
RBPJ | -0.0001728 | 7396 | GTEx | DepMap | Descartes | 1.71 | 61.74 |
WWP1 | -0.0001911 | 7851 | GTEx | DepMap | Descartes | 0.21 | 7.94 |
MS4A4A | -0.0002398 | 9052 | GTEx | DepMap | Descartes | 0.10 | 8.02 |
CD14 | -0.0002500 | 9269 | GTEx | DepMap | Descartes | 0.31 | 37.41 |
MARCH1 | -0.0002568 | 9428 | GTEx | DepMap | Descartes | 0.02 | NA |
ADAP2 | -0.0002758 | 9816 | GTEx | DepMap | Descartes | 0.03 | 1.55 |
MERTK | -0.0002791 | 9884 | GTEx | DepMap | Descartes | 0.08 | 3.67 |
CTSB | -0.0002886 | 10063 | GTEx | DepMap | Descartes | 3.46 | 196.62 |
FMN1 | -0.0003059 | 10356 | GTEx | DepMap | Descartes | 0.06 | 0.77 |
CD163 | -0.0003200 | 10566 | GTEx | DepMap | Descartes | 0.16 | 3.52 |
MSR1 | -0.0003224 | 10595 | GTEx | DepMap | Descartes | 0.07 | 3.08 |
CSF1R | -0.0003336 | 10730 | GTEx | DepMap | Descartes | 0.09 | 3.95 |
SFMBT2 | -0.0003559 | 11004 | GTEx | DepMap | Descartes | 0.10 | 2.61 |
Descartes Schwann markers
Top 50 marker genes of Schwann cells in the Decartes fetal adrenal single cell map (https://atlas.brotmanbaty.org/bbi/human-gene-expression-during-development/cell/schwann/in/adrenal)
Wilcoxon ranksum test P-value for gene set overrepresentation: 9.91e-01
Mean rank of genes in gene set: 7564.41
Median rank of genes in gene set: 9201.5
Rank on gene expression program of top 30 genes in gene set:
Genes | Weight | Rank | GTEx | DepMap | Descartes | Mean.Counts | Mean.TPM |
---|---|---|---|---|---|---|---|
VCAN | 0.0022721 | 85 | GTEx | DepMap | Descartes | 12.89 | 251.23 |
COL5A2 | 0.0018081 | 141 | GTEx | DepMap | Descartes | 6.16 | 168.95 |
SFRP1 | 0.0010606 | 327 | GTEx | DepMap | Descartes | 2.00 | 82.76 |
VIM | 0.0008371 | 460 | GTEx | DepMap | Descartes | 50.48 | 4574.75 |
LAMC1 | 0.0004863 | 854 | GTEx | DepMap | Descartes | 4.41 | 120.83 |
DST | 0.0004344 | 942 | GTEx | DepMap | Descartes | 4.30 | 48.45 |
ADAMTS5 | 0.0002047 | 1572 | GTEx | DepMap | Descartes | 0.31 | 6.81 |
PMP22 | 0.0001558 | 1779 | GTEx | DepMap | Descartes | 1.80 | 211.85 |
HMGA2 | 0.0001427 | 1862 | GTEx | DepMap | Descartes | 0.10 | 3.06 |
ERBB4 | 0.0001269 | 1953 | GTEx | DepMap | Descartes | 0.04 | 1.14 |
PLCE1 | 0.0001084 | 2072 | GTEx | DepMap | Descartes | 0.18 | 4.38 |
LAMA4 | -0.0000879 | 5051 | GTEx | DepMap | Descartes | 2.32 | 64.38 |
FIGN | -0.0000894 | 5085 | GTEx | DepMap | Descartes | 0.17 | 3.43 |
LRRTM4 | -0.0001037 | 5468 | GTEx | DepMap | Descartes | 0.01 | 0.55 |
IL1RAPL2 | -0.0001039 | 5476 | GTEx | DepMap | Descartes | 0.00 | 0.00 |
MPZ | -0.0001147 | 5782 | GTEx | DepMap | Descartes | 0.06 | 3.32 |
EGFLAM | -0.0001233 | 6021 | GTEx | DepMap | Descartes | 0.38 | 17.39 |
TRPM3 | -0.0001270 | 6124 | GTEx | DepMap | Descartes | 0.04 | 0.79 |
MDGA2 | -0.0001332 | 6276 | GTEx | DepMap | Descartes | 0.00 | 0.12 |
COL25A1 | -0.0001771 | 7518 | GTEx | DepMap | Descartes | 0.01 | 0.33 |
IL1RAPL1 | -0.0001850 | 7705 | GTEx | DepMap | Descartes | 0.00 | 0.45 |
PLP1 | -0.0002432 | 9133 | GTEx | DepMap | Descartes | 0.28 | 13.80 |
XKR4 | -0.0002500 | 9270 | GTEx | DepMap | Descartes | 0.06 | 0.35 |
SOX5 | -0.0002596 | 9475 | GTEx | DepMap | Descartes | 0.12 | 3.22 |
PTPRZ1 | -0.0002897 | 10086 | GTEx | DepMap | Descartes | 0.09 | 1.29 |
NRXN3 | -0.0002965 | 10204 | GTEx | DepMap | Descartes | 0.12 | 3.49 |
GRIK3 | -0.0003073 | 10377 | GTEx | DepMap | Descartes | 0.05 | 0.58 |
ERBB3 | -0.0003235 | 10605 | GTEx | DepMap | Descartes | 0.07 | 1.76 |
SLC35F1 | -0.0003279 | 10651 | GTEx | DepMap | Descartes | 0.05 | 0.90 |
PPP2R2B | -0.0003846 | 11319 | GTEx | DepMap | Descartes | 0.04 | 0.66 |
Descartes Megakaryocytes markers
Top 50 marker genes of Megakaryocytes cells in the Decartes fetal adrenal single cell map (https://atlas.brotmanbaty.org/bbi/human-gene-expression-during-development/cell/megakaryocytes/in/adrenal)
Wilcoxon ranksum test P-value for gene set overrepresentation: 2.84e-01
Mean rank of genes in gene set: 5967.69
Median rank of genes in gene set: 5393
Rank on gene expression program of top 30 genes in gene set:
Genes | Weight | Rank | GTEx | DepMap | Descartes | Mean.Counts | Mean.TPM |
---|---|---|---|---|---|---|---|
THBS1 | 0.0011814 | 280 | GTEx | DepMap | Descartes | 23.10 | 877.16 |
TPM4 | 0.0011588 | 292 | GTEx | DepMap | Descartes | 7.32 | 298.97 |
ACTN1 | 0.0010403 | 331 | GTEx | DepMap | Descartes | 6.49 | 343.72 |
VCL | 0.0009725 | 366 | GTEx | DepMap | Descartes | 3.35 | 90.19 |
SLC24A3 | 0.0009637 | 374 | GTEx | DepMap | Descartes | 0.18 | 9.63 |
HIPK2 | 0.0008762 | 430 | GTEx | DepMap | Descartes | 2.25 | 33.61 |
MYLK | 0.0008226 | 474 | GTEx | DepMap | Descartes | 3.28 | 68.00 |
GSN | 0.0007021 | 567 | GTEx | DepMap | Descartes | 11.79 | 504.60 |
LIMS1 | 0.0006976 | 572 | GTEx | DepMap | Descartes | 3.29 | 158.03 |
LTBP1 | 0.0006382 | 636 | GTEx | DepMap | Descartes | 1.63 | 62.82 |
CD9 | 0.0005415 | 756 | GTEx | DepMap | Descartes | 1.96 | 227.52 |
ZYX | 0.0004754 | 873 | GTEx | DepMap | Descartes | 3.78 | 357.27 |
PDE3A | 0.0003081 | 1238 | GTEx | DepMap | Descartes | 0.76 | 21.42 |
UBASH3B | 0.0002790 | 1306 | GTEx | DepMap | Descartes | 0.54 | 19.93 |
STON2 | 0.0002182 | 1522 | GTEx | DepMap | Descartes | 0.10 | 5.46 |
DOK6 | 0.0000179 | 2890 | GTEx | DepMap | Descartes | 0.11 | 2.61 |
TLN1 | -0.0000025 | 3175 | GTEx | DepMap | Descartes | 3.24 | 86.21 |
MED12L | -0.0000075 | 3243 | GTEx | DepMap | Descartes | 0.05 | 1.12 |
ANGPT1 | -0.0000293 | 3655 | GTEx | DepMap | Descartes | 0.23 | 12.16 |
TUBB1 | -0.0000443 | 3967 | GTEx | DepMap | Descartes | 0.01 | 0.46 |
STOM | -0.0000664 | 4504 | GTEx | DepMap | Descartes | 3.33 | 237.51 |
ITGA2B | -0.0000819 | 4894 | GTEx | DepMap | Descartes | 0.02 | 0.83 |
ITGB3 | -0.0001008 | 5393 | GTEx | DepMap | Descartes | 0.04 | 1.32 |
ARHGAP6 | -0.0001505 | 6788 | GTEx | DepMap | Descartes | 0.09 | 3.71 |
GP1BA | -0.0001540 | 6883 | GTEx | DepMap | Descartes | 0.01 | 0.54 |
RAB27B | -0.0001649 | 7180 | GTEx | DepMap | Descartes | 0.01 | 0.15 |
P2RX1 | -0.0001736 | 7423 | GTEx | DepMap | Descartes | 0.01 | 0.87 |
RAP1B | -0.0001950 | 7951 | GTEx | DepMap | Descartes | 1.07 | 18.52 |
TRPC6 | -0.0001965 | 7988 | GTEx | DepMap | Descartes | 0.02 | 0.71 |
MMRN1 | -0.0002293 | 8811 | GTEx | DepMap | Descartes | 0.08 | 1.79 |
Descartes Lyphoid markers
Top 50 marker genes of Lyphoid cells in the Decartes fetal adrenal single cell map (https://atlas.brotmanbaty.org/bbi/human-gene-expression-during-development/cell/lymphoid/in/adrenal)
Wilcoxon ranksum test P-value for gene set overrepresentation: 1.00e+00
Mean rank of genes in gene set: 10332.98
Median rank of genes in gene set: 11732
Rank on gene expression program of top 30 genes in gene set:
Genes | Weight | Rank | GTEx | DepMap | Descartes | Mean.Counts | Mean.TPM |
---|---|---|---|---|---|---|---|
ARID5B | 0.0012195 | 271 | GTEx | DepMap | Descartes | 8.16 | 240.22 |
FOXP1 | 0.0006507 | 620 | GTEx | DepMap | Descartes | 4.26 | 113.52 |
CD44 | 0.0002845 | 1291 | GTEx | DepMap | Descartes | 6.80 | 316.02 |
ETS1 | -0.0000613 | 4378 | GTEx | DepMap | Descartes | 3.35 | 137.37 |
NCALD | -0.0001657 | 7205 | GTEx | DepMap | Descartes | 0.32 | 20.66 |
ABLIM1 | -0.0001751 | 7462 | GTEx | DepMap | Descartes | 0.79 | 24.24 |
MSN | -0.0002020 | 8145 | GTEx | DepMap | Descartes | 2.11 | 117.57 |
MCTP2 | -0.0002224 | 8664 | GTEx | DepMap | Descartes | 0.02 | 0.99 |
SP100 | -0.0002422 | 9106 | GTEx | DepMap | Descartes | 1.17 | 50.54 |
SAMD3 | -0.0002559 | 9407 | GTEx | DepMap | Descartes | 0.00 | 0.00 |
BACH2 | -0.0002659 | 9613 | GTEx | DepMap | Descartes | 0.28 | 6.77 |
SKAP1 | -0.0002919 | 10134 | GTEx | DepMap | Descartes | 0.01 | 1.25 |
SCML4 | -0.0003095 | 10416 | GTEx | DepMap | Descartes | 0.01 | 0.52 |
CELF2 | -0.0003103 | 10424 | GTEx | DepMap | Descartes | 1.18 | 35.85 |
RCSD1 | -0.0003493 | 10956 | GTEx | DepMap | Descartes | 0.07 | 2.62 |
TOX | -0.0003621 | 11078 | GTEx | DepMap | Descartes | 0.01 | 0.29 |
STK39 | -0.0003809 | 11273 | GTEx | DepMap | Descartes | 0.15 | 8.58 |
CCND3 | -0.0003833 | 11298 | GTEx | DepMap | Descartes | 0.23 | 20.90 |
RAP1GAP2 | -0.0003959 | 11431 | GTEx | DepMap | Descartes | 0.04 | 1.26 |
DOCK10 | -0.0004201 | 11606 | GTEx | DepMap | Descartes | 0.36 | 11.03 |
PITPNC1 | -0.0004337 | 11694 | GTEx | DepMap | Descartes | 0.58 | 18.27 |
EVL | -0.0004471 | 11770 | GTEx | DepMap | Descartes | 0.70 | 41.62 |
ITPKB | -0.0004565 | 11808 | GTEx | DepMap | Descartes | 0.44 | 15.51 |
ARHGAP15 | -0.0004742 | 11907 | GTEx | DepMap | Descartes | 0.13 | 9.77 |
ANKRD44 | -0.0004796 | 11931 | GTEx | DepMap | Descartes | 0.10 | 2.82 |
BCL2 | -0.0005168 | 12098 | GTEx | DepMap | Descartes | 0.31 | 8.70 |
PDE3B | -0.0005169 | 12099 | GTEx | DepMap | Descartes | 0.03 | 1.56 |
LEF1 | -0.0005226 | 12126 | GTEx | DepMap | Descartes | 0.17 | 7.33 |
MBNL1 | -0.0005445 | 12192 | GTEx | DepMap | Descartes | 2.28 | 76.64 |
PRKCH | -0.0005724 | 12254 | GTEx | DepMap | Descartes | 0.13 | 5.30 |
Below shows the ranks on this GEP for immune marker gene lists curated by CellTypist (https://www.celltypist.org/encyclopedia).
High ranks indicate this gene is a driver of this GEP.
These curated gene list are ranked by P-value (on this GEP) of their constituent genes.
The Mean Count column shows the mean read count in cells scoring highly (H > 50) on this gene expression program.
Genes | Weight | Rank | GTEx | DepMap | Decartes | Mean.Counts | Mean.TPM |
---|---|---|---|---|---|---|---|
ANGPTL1 | 0.0025162 | 66 | GTEx | DepMap | Descartes | 0.76 | 43.25 |
PRRX1 | 0.0022543 | 89 | GTEx | DepMap | Descartes | 3.73 | 219.98 |
PDGFRA | 0.0015886 | 176 | GTEx | DepMap | Descartes | 2.11 | 77.90 |
F10 | 0.0011627 | 289 | GTEx | DepMap | Descartes | 0.26 | 39.42 |
SFRP1 | 0.0010606 | 327 | GTEx | DepMap | Descartes | 2.00 | 82.76 |
NTRK2 | 0.0009224 | 396 | GTEx | DepMap | Descartes | 1.41 | 37.05 |
OLFML1 | 0.0007673 | 516 | GTEx | DepMap | Descartes | 0.77 | 57.21 |
SMOC2 | 0.0007198 | 555 | GTEx | DepMap | Descartes | 2.55 | 151.65 |
EBF2 | -0.0008115 | 12494 | GTEx | DepMap | Descartes | 0.39 | 14.42 |
Fibroblasts: Fibroblasts (curated markers)
the most common cells of connective tissues which synthesize the extracellular matrix and collagen to maintain tissue homeostasis:
Wilcoxon ranksum test P-value for gene set overrepresentation: 1.48e-03
Mean rank of genes in gene set: 58.33
Rank on gene expression program of genes in gene set:
Genes | Weight | Rank | GTEx | DepMap | Decartes | Mean.Counts | Mean.TPM |
---|---|---|---|---|---|---|---|
COL1A2 | 0.0028888 | 42 | GTEx | DepMap | Descartes | 100.15 | 3194.77 |
DCN | 0.0025162 | 65 | GTEx | DepMap | Descartes | 52.47 | 1684.07 |
COL1A1 | 0.0024975 | 68 | GTEx | DepMap | Descartes | 246.05 | 7592.80 |
DC: Transitional DC (curated markers)
immature dendritic cells which follow dendritic cell precursors and are committed to the mature dendritic cells:
Wilcoxon ranksum test P-value for gene set overrepresentation: 1.19e-02
Mean rank of genes in gene set: 487.5
Rank on gene expression program of genes in gene set:
Genes | Weight | Rank | GTEx | DepMap | Decartes | Mean.Counts | Mean.TPM |
---|---|---|---|---|---|---|---|
KLF4 | 0.0012087 | 272 | GTEx | DepMap | Descartes | 6.22 | 508.90 |
AXL | 0.0005792 | 703 | GTEx | DepMap | Descartes | 1.96 | 89.76 |