Program description and justification of annotation: 3.
Submit a comment on this gene expression program’s interpretation: CLICK
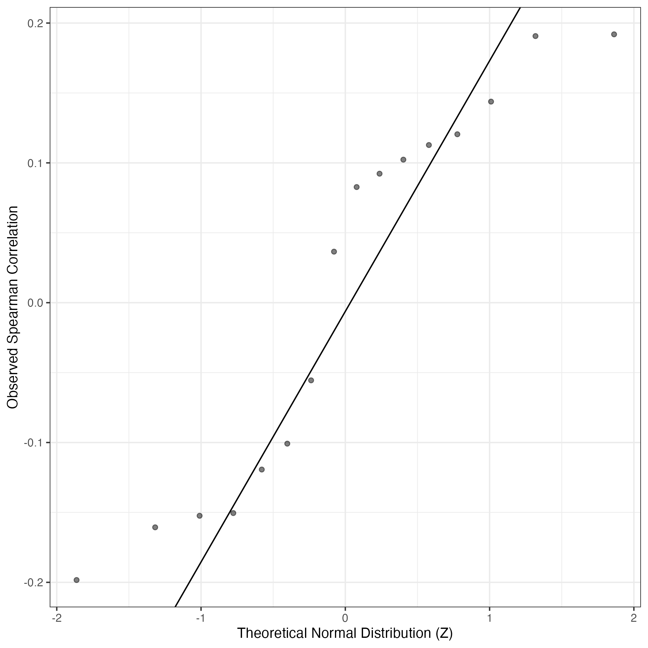
QQ-plot of gene loadings, averaged over both independent splits of the data
This plot highlights the relative contribution of each gene to the GEP
Top genes driving this program.
Note: Decartes website is buggy, try refreshing. Also, Decartes fetal adrenal data have been collected at specific time points (89-122 days), all possible cell types of interest may not be represented, do not overinterpret.
The Mean Count column shows the mean read count in cells scoring highly (H > 50) on this gene expression program.
Gene | Loading | Gene.Name | GTEx | DepMap | Descartes | Mean.Counts | Mean.Tpm | |
---|---|---|---|---|---|---|---|---|
1 | CHCHD10 | 0.0116615 | coiled-coil-helix-coiled-coil-helix domain containing 10 | GTEx | DepMap | Descartes | 43.84 | 1024.83 |
2 | CRIP1 | 0.0112583 | cysteine rich protein 1 | GTEx | DepMap | Descartes | 16.11 | 211.34 |
3 | TIMM13 | 0.0101982 | translocase of inner mitochondrial membrane 13 | GTEx | DepMap | Descartes | 89.41 | 1470.66 |
4 | COX17 | 0.0097196 | cytochrome c oxidase copper chaperone COX17 | GTEx | DepMap | Descartes | 40.25 | 1594.19 |
5 | PAM16 | 0.0095146 | presequence translocase associated motor 16 | GTEx | DepMap | Descartes | 28.68 | 965.76 |
6 | COX5A | 0.0094132 | cytochrome c oxidase subunit 5A | GTEx | DepMap | Descartes | 76.47 | 1802.56 |
7 | SLC25A5 | 0.0092258 | solute carrier family 25 member 5 | GTEx | DepMap | Descartes | 66.59 | 1531.79 |
8 | RGS16 | 0.0086355 | regulator of G protein signaling 16 | GTEx | DepMap | Descartes | 19.17 | 252.98 |
9 | H2AFJ | 0.0085884 | NA | GTEx | DepMap | Descartes | 11.27 | NA |
10 | IGF2 | 0.0083448 | insulin like growth factor 2 | GTEx | DepMap | Descartes | 16.64 | 94.13 |
11 | SMCO4 | 0.0081883 | single-pass membrane protein with coiled-coil domains 4 | GTEx | DepMap | Descartes | 16.71 | NA |
12 | HINT1 | 0.0081189 | histidine triad nucleotide binding protein 1 | GTEx | DepMap | Descartes | 149.31 | 4369.13 |
13 | OAZ1 | 0.0081165 | ornithine decarboxylase antizyme 1 | GTEx | DepMap | Descartes | 86.73 | 876.19 |
14 | TH | 0.0077303 | tyrosine hydroxylase | GTEx | DepMap | Descartes | 7.15 | 115.20 |
15 | DOK4 | 0.0076918 | docking protein 4 | GTEx | DepMap | Descartes | 25.99 | 278.81 |
16 | CYB561 | 0.0076749 | cytochrome b561 | GTEx | DepMap | Descartes | 19.05 | 177.68 |
17 | RERG | 0.0076194 | RAS like estrogen regulated growth inhibitor | GTEx | DepMap | Descartes | 5.15 | 71.53 |
18 | ICAM2 | 0.0075645 | intercellular adhesion molecule 2 | GTEx | DepMap | Descartes | 2.88 | 63.83 |
19 | C1QL1 | 0.0073191 | complement C1q like 1 | GTEx | DepMap | Descartes | 13.27 | 255.87 |
20 | COX7B | 0.0073138 | cytochrome c oxidase subunit 7B | GTEx | DepMap | Descartes | 62.65 | 733.98 |
21 | SDF2L1 | 0.0072766 | stromal cell derived factor 2 like 1 | GTEx | DepMap | Descartes | 22.28 | 822.21 |
22 | SMYD3 | 0.0072569 | SET and MYND domain containing 3 | GTEx | DepMap | Descartes | 12.56 | 198.00 |
23 | GAPDH | 0.0071631 | glyceraldehyde-3-phosphate dehydrogenase | GTEx | DepMap | Descartes | 470.85 | 7982.19 |
24 | NEFL | 0.0070480 | neurofilament light chain | GTEx | DepMap | Descartes | 28.44 | 258.36 |
25 | PRCP | 0.0070413 | prolylcarboxypeptidase | GTEx | DepMap | Descartes | 8.26 | 40.55 |
26 | DLK1 | 0.0070246 | delta like non-canonical Notch ligand 1 | GTEx | DepMap | Descartes | 96.16 | 652.06 |
27 | CLSTN2 | 0.0069689 | calsyntenin 2 | GTEx | DepMap | Descartes | 5.17 | 11.96 |
28 | CHGB | 0.0069620 | chromogranin B | GTEx | DepMap | Descartes | 38.73 | 542.20 |
29 | SYNGR1 | 0.0068751 | synaptogyrin 1 | GTEx | DepMap | Descartes | 12.31 | 80.27 |
30 | EIF4EBP1 | 0.0068263 | eukaryotic translation initiation factor 4E binding protein 1 | GTEx | DepMap | Descartes | 47.17 | 1576.88 |
31 | UQCR10 | 0.0067162 | ubiquinol-cytochrome c reductase, complex III subunit X | GTEx | DepMap | Descartes | 64.49 | 1942.67 |
32 | NDUFAB1 | 0.0066743 | NADH:ubiquinone oxidoreductase subunit AB1 | GTEx | DepMap | Descartes | 53.12 | 1791.57 |
33 | ATF5 | 0.0066556 | activating transcription factor 5 | GTEx | DepMap | Descartes | 7.53 | 119.68 |
34 | DBH | 0.0066493 | dopamine beta-hydroxylase | GTEx | DepMap | Descartes | 13.32 | 146.41 |
35 | SNX3 | 0.0066346 | sorting nexin 3 | GTEx | DepMap | Descartes | 29.13 | 544.66 |
36 | NEFM | 0.0065891 | neurofilament medium chain | GTEx | DepMap | Descartes | 27.65 | 275.25 |
37 | RNF7 | 0.0065609 | ring finger protein 7 | GTEx | DepMap | Descartes | 32.40 | 330.29 |
38 | PRELID1 | 0.0065495 | PRELI domain containing 1 | GTEx | DepMap | Descartes | 63.03 | 1440.53 |
39 | ARL9 | 0.0063387 | ADP ribosylation factor like GTPase 9 | GTEx | DepMap | Descartes | 0.96 | 16.61 |
40 | NDUFA11 | 0.0063154 | NADH:ubiquinone oxidoreductase subunit A11 | GTEx | DepMap | Descartes | 44.83 | 515.53 |
41 | SMDT1 | 0.0062765 | single-pass membrane protein with aspartate rich tail 1 | GTEx | DepMap | Descartes | 26.66 | NA |
42 | HIST1H1D | 0.0062629 | NA | GTEx | DepMap | Descartes | 32.78 | NA |
43 | SEC61B | 0.0062301 | SEC61 translocon subunit beta | GTEx | DepMap | Descartes | 50.76 | 2072.11 |
44 | CHCHD2 | 0.0062247 | coiled-coil-helix-coiled-coil-helix domain containing 2 | GTEx | DepMap | Descartes | 129.22 | 4739.26 |
45 | SNRNP25 | 0.0062001 | small nuclear ribonucleoprotein U11/U12 subunit 25 | GTEx | DepMap | Descartes | 22.22 | 496.95 |
46 | RAMP1 | 0.0061993 | receptor activity modifying protein 1 | GTEx | DepMap | Descartes | 33.33 | 1152.17 |
47 | RPL36AL | 0.0061684 | ribosomal protein L36a like | GTEx | DepMap | Descartes | 62.23 | 2548.39 |
48 | PRRT4 | 0.0060779 | proline rich transmembrane protein 4 | GTEx | DepMap | Descartes | 7.19 | 60.32 |
49 | GABRA1 | 0.0060721 | gamma-aminobutyric acid type A receptor subunit alpha1 | GTEx | DepMap | Descartes | 0.41 | 2.64 |
50 | NDUFS6 | 0.0060669 | NADH:ubiquinone oxidoreductase subunit S6 | GTEx | DepMap | Descartes | 54.18 | 2746.64 |
UMAP plots showing activity of gene expression program identified in community:3. NB Cell Line #3 (BE2C)
CNV Data procured from inferCNV.
Outer tracks are putative CNV regions (gains = red, losses = blue) for each patient
Inner track is expression data representing:
The top cells expressing this GEP (purple)
Random cells (n =50) from the reference set used in inferCNV (orange)
Gene set Enrichments for this program, caculated from top 50 genes
mSigDB Cell Types Gene Set:
P-value | OR | Lower 95% CI | FDR | FWER | Genes Found | Gene Set Size | |
---|---|---|---|---|---|---|---|
DESCARTES_MAIN_FETAL_SYMPATHOBLASTS | 2.87e-06 | 26.68 | 7.95 | 2.14e-04 | 1.92e-03 | 5TH, CYB561, C1QL1, CHGB, DBH |
57 |
BUSSLINGER_DUODENAL_TRANSIT_AMPLIFYING_CELLS | 5.33e-08 | 14.83 | 6.24 | 9.66e-06 | 3.58e-05 | 9CHCHD10, COX5A, SLC25A5, HINT1, COX7B, GAPDH, UQCR10, NDUFAB1, CHCHD2 |
194 |
FAN_EMBRYONIC_CTX_BIG_GROUPS_CAJAL_RETZIUS | 3.16e-09 | 10.03 | 4.96 | 2.12e-06 | 2.12e-06 | 14COX5A, SLC25A5, HINT1, CYB561, COX7B, NEFL, CLSTN2, CHGB, UQCR10, NDUFAB1, ATF5, NEFM, NDUFA11, SNRNP25 |
499 |
RUBENSTEIN_SKELETAL_MUSCLE_SMOOTH_MUSCLE_CELLS | 8.36e-09 | 10.17 | 4.92 | 2.81e-06 | 5.61e-06 | 13CHCHD10, CRIP1, COX17, COX5A, SLC25A5, RGS16, COX7B, GAPDH, UQCR10, NDUFAB1, SNX3, RPL36AL, NDUFS6 |
445 |
RUBENSTEIN_SKELETAL_MUSCLE_MYELOID_CELLS | 6.67e-08 | 10.49 | 4.80 | 9.66e-06 | 4.48e-05 | 11CRIP1, COX5A, SLC25A5, SMCO4, OAZ1, GAPDH, EIF4EBP1, SNX3, PRELID1, SMDT1, RPL36AL |
347 |
BUSSLINGER_GASTRIC_PARIETAL_CELLS | 5.09e-07 | 11.20 | 4.73 | 5.69e-05 | 3.42e-04 | 9CHCHD10, COX17, COX5A, SLC25A5, COX7B, GAPDH, UQCR10, NDUFAB1, CHCHD2 |
254 |
FAN_OVARY_CL10_PUTATIVE_EARLY_ATRESIA_GRANULOSA_CELL | 9.48e-07 | 10.35 | 4.38 | 8.43e-05 | 6.36e-04 | 9TIMM13, COX5A, SLC25A5, HINT1, GAPDH, UQCR10, NDUFAB1, NDUFA11, NDUFS6 |
274 |
MENON_FETAL_KIDNEY_7_LOOPOF_HENLE_CELLS_DISTAL | 1.01e-06 | 10.28 | 4.35 | 8.43e-05 | 6.75e-04 | 9CHCHD10, COX5A, SLC25A5, COX7B, NEFL, UQCR10, RNF7, SMDT1, NDUFS6 |
276 |
RUBENSTEIN_SKELETAL_MUSCLE_PERICYTES | 2.02e-05 | 12.35 | 4.23 | 1.23e-03 | 1.36e-02 | 6CHCHD10, CRIP1, SLC25A5, COX7B, GAPDH, NDUFA11 |
144 |
FAN_OVARY_CL8_MATURE_CUMULUS_GRANULOSA_CELL_2 | 7.20e-08 | 7.70 | 3.81 | 9.66e-06 | 4.83e-05 | 14CHCHD10, TIMM13, COX17, COX5A, SLC25A5, HINT1, CHGB, EIF4EBP1, UQCR10, NDUFAB1, RNF7, NDUFA11, SNRNP25, NDUFS6 |
646 |
FAN_OVARY_CL13_MONOCYTE_MACROPHAGE | 7.70e-06 | 6.98 | 3.09 | 5.17e-04 | 5.17e-03 | 10CHCHD10, CRIP1, COX17, COX5A, OAZ1, COX7B, GAPDH, ATF5, SNX3, SEC61B |
458 |
CUI_DEVELOPING_HEART_CARDIAC_FIBROBLASTS | 7.96e-04 | 10.65 | 2.73 | 2.81e-02 | 5.34e-01 | 4COX5A, COX7B, GAPDH, RAMP1 |
106 |
LAKE_ADULT_KIDNEY_C12_THICK_ASCENDING_LIMB | 9.59e-05 | 6.38 | 2.57 | 5.36e-03 | 6.44e-02 | 8CHCHD10, COX5A, SLC25A5, COX7B, GAPDH, UQCR10, CHCHD2, NDUFS6 |
381 |
BUSSLINGER_DUODENAL_DIFFERENTIATING_STEM_CELLS | 1.65e-04 | 6.83 | 2.57 | 8.49e-03 | 1.10e-01 | 7COX5A, SLC25A5, HINT1, COX7B, GAPDH, NDUFAB1, CHCHD2 |
305 |
BUSSLINGER_DUODENAL_EARLY_IMMATURE_ENTEROCYTES | 1.01e-03 | 9.97 | 2.56 | 3.23e-02 | 6.77e-01 | 4CHCHD10, COX5A, SLC25A5, COX7B |
113 |
RUBENSTEIN_SKELETAL_MUSCLE_SATELLITE_CELLS | 1.81e-04 | 6.72 | 2.53 | 8.70e-03 | 1.22e-01 | 7CHCHD10, TIMM13, GAPDH, DLK1, SMDT1, CHCHD2, NDUFS6 |
310 |
LAKE_ADULT_KIDNEY_C19_COLLECTING_DUCT_INTERCALATED_CELLS_TYPE_A_MEDULLA | 2.45e-04 | 6.38 | 2.40 | 1.03e-02 | 1.64e-01 | 7CHCHD10, COX5A, SLC25A5, HINT1, GAPDH, SNX3, CHCHD2 |
326 |
MENON_FETAL_KIDNEY_8_CONNECTING_TUBULE_CELLS | 5.69e-04 | 6.53 | 2.25 | 2.25e-02 | 3.82e-01 | 6CHCHD10, COX5A, SLC25A5, COX7B, UQCR10, RPL36AL |
267 |
RUBENSTEIN_SKELETAL_MUSCLE_FBN1_FAP_CELLS | 8.54e-04 | 6.02 | 2.08 | 2.87e-02 | 5.73e-01 | 6CRIP1, TIMM13, OAZ1, RNF7, SEC61B, RPL36AL |
289 |
DESCARTES_FETAL_HEART_VISCERAL_NEURONS | 4.89e-03 | 9.50 | 1.85 | 1.26e-01 | 1.00e+00 | 3TH, CHGB, DBH |
87 |
Dowload full table
mSigDB Hallmark Gene Sets:
P-value | OR | Lower 95% CI | FDR | FWER | Genes Found | Gene Set Size | |
---|---|---|---|---|---|---|---|
HALLMARK_OXIDATIVE_PHOSPHORYLATION | 9.73e-07 | 12.40 | 4.96 | 4.87e-05 | 4.87e-05 | 8TIMM13, COX17, COX5A, SLC25A5, COX7B, UQCR10, NDUFAB1, NDUFS6 |
200 |
HALLMARK_ADIPOGENESIS | 7.71e-03 | 5.55 | 1.44 | 1.93e-01 | 3.85e-01 | 4CHCHD10, COX7B, UQCR10, NDUFAB1 |
200 |
HALLMARK_MTORC1_SIGNALING | 1.85e-01 | 2.63 | 0.31 | 1.00e+00 | 1.00e+00 | 2SDF2L1, GAPDH |
200 |
HALLMARK_MYC_TARGETS_V1 | 1.85e-01 | 2.63 | 0.31 | 1.00e+00 | 1.00e+00 | 2COX5A, NDUFAB1 |
200 |
HALLMARK_P53_PATHWAY | 1.85e-01 | 2.63 | 0.31 | 1.00e+00 | 1.00e+00 | 2RGS16, HINT1 |
200 |
HALLMARK_KRAS_SIGNALING_UP | 1.85e-01 | 2.63 | 0.31 | 1.00e+00 | 1.00e+00 | 2RGS16, IGF2 |
200 |
HALLMARK_CHOLESTEROL_HOMEOSTASIS | 2.55e-01 | 3.49 | 0.09 | 1.00e+00 | 1.00e+00 | 1ATF5 |
74 |
HALLMARK_UNFOLDED_PROTEIN_RESPONSE | 3.62e-01 | 2.28 | 0.06 | 1.00e+00 | 1.00e+00 | 1EIF4EBP1 |
113 |
HALLMARK_DNA_REPAIR | 4.49e-01 | 1.71 | 0.04 | 1.00e+00 | 1.00e+00 | 1COX17 |
150 |
HALLMARK_IL2_STAT5_SIGNALING | 5.45e-01 | 1.29 | 0.03 | 1.00e+00 | 1.00e+00 | 1RGS16 |
199 |
HALLMARK_HYPOXIA | 5.47e-01 | 1.28 | 0.03 | 1.00e+00 | 1.00e+00 | 1GAPDH |
200 |
HALLMARK_G2M_CHECKPOINT | 5.47e-01 | 1.28 | 0.03 | 1.00e+00 | 1.00e+00 | 1ATF5 |
200 |
HALLMARK_ESTROGEN_RESPONSE_EARLY | 5.47e-01 | 1.28 | 0.03 | 1.00e+00 | 1.00e+00 | 1SYNGR1 |
200 |
HALLMARK_ESTROGEN_RESPONSE_LATE | 5.47e-01 | 1.28 | 0.03 | 1.00e+00 | 1.00e+00 | 1TH |
200 |
HALLMARK_APICAL_JUNCTION | 5.47e-01 | 1.28 | 0.03 | 1.00e+00 | 1.00e+00 | 1ICAM2 |
200 |
HALLMARK_COMPLEMENT | 5.47e-01 | 1.28 | 0.03 | 1.00e+00 | 1.00e+00 | 1PRCP |
200 |
HALLMARK_INFLAMMATORY_RESPONSE | 5.47e-01 | 1.28 | 0.03 | 1.00e+00 | 1.00e+00 | 1RGS16 |
200 |
HALLMARK_TNFA_SIGNALING_VIA_NFKB | 1.00e+00 | 0.00 | 0.00 | 1.00e+00 | 1.00e+00 | 0 |
200 |
HALLMARK_MITOTIC_SPINDLE | 1.00e+00 | 0.00 | 0.00 | 1.00e+00 | 1.00e+00 | 0 |
199 |
HALLMARK_WNT_BETA_CATENIN_SIGNALING | 1.00e+00 | 0.00 | 0.00 | 1.00e+00 | 1.00e+00 | 0 |
42 |
Dowload full table
KEGG Pathways:
P-value | OR | Lower 95% CI | FDR | FWER | Genes Found | Gene Set Size | |
---|---|---|---|---|---|---|---|
KEGG_PARKINSONS_DISEASE | 7.01e-07 | 16.54 | 6.15 | 7.22e-05 | 1.30e-04 | 7COX5A, SLC25A5, TH, COX7B, UQCR10, NDUFAB1, NDUFS6 |
130 |
KEGG_OXIDATIVE_PHOSPHORYLATION | 7.77e-07 | 16.27 | 6.06 | 7.22e-05 | 1.44e-04 | 7COX17, COX5A, COX7B, UQCR10, NDUFAB1, NDUFA11, NDUFS6 |
132 |
KEGG_ALZHEIMERS_DISEASE | 4.47e-05 | 10.65 | 3.66 | 2.77e-03 | 8.31e-03 | 6COX5A, COX7B, GAPDH, UQCR10, NDUFAB1, NDUFS6 |
166 |
KEGG_HUNTINGTONS_DISEASE | 7.41e-05 | 9.68 | 3.33 | 3.45e-03 | 1.38e-02 | 6COX5A, SLC25A5, COX7B, UQCR10, NDUFAB1, NDUFS6 |
182 |
KEGG_CARDIAC_MUSCLE_CONTRACTION | 3.74e-03 | 10.49 | 2.04 | 1.39e-01 | 6.95e-01 | 3COX5A, COX7B, UQCR10 |
79 |
KEGG_TYROSINE_METABOLISM | 1.20e-02 | 13.01 | 1.48 | 3.73e-01 | 1.00e+00 | 2TH, DBH |
42 |
KEGG_AMYOTROPHIC_LATERAL_SCLEROSIS_ALS | 1.87e-02 | 10.20 | 1.17 | 4.97e-01 | 1.00e+00 | 2NEFL, NEFM |
53 |
KEGG_PROTEIN_EXPORT | 9.13e-02 | 11.08 | 0.26 | 1.00e+00 | 1.00e+00 | 1SEC61B |
24 |
KEGG_MTOR_SIGNALING_PATHWAY | 1.87e-01 | 5.00 | 0.12 | 1.00e+00 | 1.00e+00 | 1EIF4EBP1 |
52 |
KEGG_VIBRIO_CHOLERAE_INFECTION | 1.94e-01 | 4.81 | 0.12 | 1.00e+00 | 1.00e+00 | 1SEC61B |
54 |
KEGG_ACUTE_MYELOID_LEUKEMIA | 2.03e-01 | 4.55 | 0.11 | 1.00e+00 | 1.00e+00 | 1EIF4EBP1 |
57 |
KEGG_GLYCOLYSIS_GLUCONEOGENESIS | 2.19e-01 | 4.18 | 0.10 | 1.00e+00 | 1.00e+00 | 1GAPDH |
62 |
KEGG_ERBB_SIGNALING_PATHWAY | 2.93e-01 | 2.97 | 0.07 | 1.00e+00 | 1.00e+00 | 1EIF4EBP1 |
87 |
KEGG_RIBOSOME | 2.95e-01 | 2.93 | 0.07 | 1.00e+00 | 1.00e+00 | 1RPL36AL |
88 |
KEGG_VASCULAR_SMOOTH_MUSCLE_CONTRACTION | 3.67e-01 | 2.24 | 0.06 | 1.00e+00 | 1.00e+00 | 1RAMP1 |
115 |
KEGG_CELL_ADHESION_MOLECULES_CAMS | 4.10e-01 | 1.93 | 0.05 | 1.00e+00 | 1.00e+00 | 1ICAM2 |
133 |
KEGG_UBIQUITIN_MEDIATED_PROTEOLYSIS | 4.15e-01 | 1.90 | 0.05 | 1.00e+00 | 1.00e+00 | 1RNF7 |
135 |
KEGG_NATURAL_KILLER_CELL_MEDIATED_CYTOTOXICITY | 4.20e-01 | 1.88 | 0.05 | 1.00e+00 | 1.00e+00 | 1ICAM2 |
137 |
KEGG_INSULIN_SIGNALING_PATHWAY | 4.20e-01 | 1.88 | 0.05 | 1.00e+00 | 1.00e+00 | 1EIF4EBP1 |
137 |
KEGG_CALCIUM_SIGNALING_PATHWAY | 5.06e-01 | 1.44 | 0.04 | 1.00e+00 | 1.00e+00 | 1SLC25A5 |
178 |
Dowload full table
CHR Positional Gene Sets:
P-value | OR | Lower 95% CI | FDR | FWER | Genes Found | Gene Set Size | |
---|---|---|---|---|---|---|---|
chr3q23 | 2.07e-02 | 9.64 | 1.11 | 1.00e+00 | 1.00e+00 | 2CLSTN2, RNF7 |
56 |
chr17q23 | 7.22e-02 | 4.73 | 0.55 | 1.00e+00 | 1.00e+00 | 2CYB561, ICAM2 |
112 |
chr8p21 | 9.06e-02 | 4.13 | 0.48 | 1.00e+00 | 1.00e+00 | 2NEFL, NEFM |
128 |
chr19p13 | 7.66e-01 | 1.04 | 0.21 | 1.00e+00 | 1.00e+00 | 3TIMM13, OAZ1, NDUFA11 |
773 |
chr22q13 | 3.33e-01 | 1.72 | 0.20 | 1.00e+00 | 1.00e+00 | 2SYNGR1, SMDT1 |
305 |
chr5q34 | 1.41e-01 | 6.89 | 0.17 | 1.00e+00 | 1.00e+00 | 1GABRA1 |
38 |
chr22q11 | 6.61e-01 | 1.36 | 0.16 | 1.00e+00 | 1.00e+00 | 2CHCHD10, SDF2L1 |
384 |
chr16p13 | 6.71e-01 | 1.29 | 0.15 | 1.00e+00 | 1.00e+00 | 2PAM16, SNRNP25 |
407 |
chr14q32 | 1.00e+00 | 0.96 | 0.11 | 1.00e+00 | 1.00e+00 | 2CRIP1, DLK1 |
546 |
chr16q21 | 2.55e-01 | 3.49 | 0.09 | 1.00e+00 | 1.00e+00 | 1DOK4 |
74 |
chr4q12 | 2.70e-01 | 3.27 | 0.08 | 1.00e+00 | 1.00e+00 | 1ARL9 |
79 |
chrXq24 | 2.73e-01 | 3.23 | 0.08 | 1.00e+00 | 1.00e+00 | 1SLC25A5 |
80 |
chr7p11 | 2.78e-01 | 3.15 | 0.08 | 1.00e+00 | 1.00e+00 | 1CHCHD2 |
82 |
chr7q32 | 3.01e-01 | 2.87 | 0.07 | 1.00e+00 | 1.00e+00 | 1PRRT4 |
90 |
chr14q21 | 3.04e-01 | 2.83 | 0.07 | 1.00e+00 | 1.00e+00 | 1RPL36AL |
91 |
chr8p11 | 3.15e-01 | 2.71 | 0.07 | 1.00e+00 | 1.00e+00 | 1EIF4EBP1 |
95 |
chr20p12 | 3.39e-01 | 2.48 | 0.06 | 1.00e+00 | 1.00e+00 | 1CHGB |
104 |
chr12p12 | 3.46e-01 | 2.41 | 0.06 | 1.00e+00 | 1.00e+00 | 1RERG |
107 |
chr15q24 | 3.69e-01 | 2.22 | 0.05 | 1.00e+00 | 1.00e+00 | 1COX5A |
116 |
chr6q21 | 3.72e-01 | 2.20 | 0.05 | 1.00e+00 | 1.00e+00 | 1SNX3 |
117 |
Dowload full table
Transcription Factor Targets:
P-value | OR | Lower 95% CI | FDR | FWER | Genes Found | Gene Set Size | |
---|---|---|---|---|---|---|---|
ATF_B | 6.59e-03 | 5.81 | 1.50 | 1.00e+00 | 1.00e+00 | 4TH, CHGB, RNF7, PRELID1 |
191 |
CREB_Q4_01 | 1.02e-02 | 5.10 | 1.32 | 1.00e+00 | 1.00e+00 | 4TH, CHGB, RNF7, PRELID1 |
217 |
ERR1_Q2 | 2.00e-02 | 4.13 | 1.07 | 1.00e+00 | 1.00e+00 | 4SLC25A5, COX7B, GAPDH, NEFM |
267 |
CREB_01 | 2.03e-02 | 4.12 | 1.07 | 1.00e+00 | 1.00e+00 | 4TH, CHGB, RNF7, PRELID1 |
268 |
WYAAANNRNNNGCG_UNKNOWN | 2.73e-02 | 8.26 | 0.95 | 1.00e+00 | 1.00e+00 | 2NEFM, GABRA1 |
65 |
TGACCTY_ERR1_Q2 | 5.57e-02 | 2.26 | 0.91 | 1.00e+00 | 1.00e+00 | 8CHCHD10, SLC25A5, DOK4, COX7B, GAPDH, SYNGR1, UQCR10, NEFM |
1064 |
UBP1_TARGET_GENES | 2.05e-01 | 1.64 | 0.73 | 1.00e+00 | 1.00e+00 | 10TIMM13, HINT1, OAZ1, RERG, GAPDH, PRCP, CHGB, PRELID1, SEC61B, RPL36AL |
1915 |
CAGNWMCNNNGAC_UNKNOWN | 4.73e-02 | 6.05 | 0.70 | 1.00e+00 | 1.00e+00 | 2CHGB, NEFM |
88 |
E2F1_Q4_01 | 6.02e-02 | 3.53 | 0.70 | 1.00e+00 | 1.00e+00 | 3GAPDH, CHGB, NDUFA11 |
229 |
TGACGTCA_ATF3_Q6 | 6.40e-02 | 3.44 | 0.68 | 1.00e+00 | 1.00e+00 | 3TH, CHGB, RNF7 |
235 |
PU1_Q6 | 6.46e-02 | 3.42 | 0.68 | 1.00e+00 | 1.00e+00 | 3RERG, ICAM2, EIF4EBP1 |
236 |
E2F_Q3_01 | 6.46e-02 | 3.42 | 0.68 | 1.00e+00 | 1.00e+00 | 3GAPDH, CHGB, NDUFA11 |
236 |
LMO2COM_02 | 6.98e-02 | 3.31 | 0.65 | 1.00e+00 | 1.00e+00 | 3HINT1, ICAM2, PRELID1 |
244 |
E2F1_Q3 | 7.18e-02 | 3.27 | 0.65 | 1.00e+00 | 1.00e+00 | 3GAPDH, ATF5, NDUFA11 |
247 |
YY1_02 | 7.45e-02 | 3.22 | 0.64 | 1.00e+00 | 1.00e+00 | 3CHCHD10, GAPDH, SYNGR1 |
251 |
TGACCTTG_SF1_Q6 | 7.59e-02 | 3.19 | 0.63 | 1.00e+00 | 1.00e+00 | 3CHCHD10, SYNGR1, UQCR10 |
253 |
T3R_Q6 | 7.80e-02 | 3.15 | 0.62 | 1.00e+00 | 1.00e+00 | 3COX5A, SYNGR1, UQCR10 |
256 |
CREBP1_Q2 | 8.08e-02 | 3.10 | 0.61 | 1.00e+00 | 1.00e+00 | 3TH, CHGB, SMDT1 |
260 |
AACYNNNNTTCCS_UNKNOWN | 6.04e-02 | 5.26 | 0.61 | 1.00e+00 | 1.00e+00 | 2COX7B, ATF5 |
101 |
CREBP1CJUN_01 | 8.36e-02 | 3.06 | 0.60 | 1.00e+00 | 1.00e+00 | 3TH, CHGB, RNF7 |
264 |
Dowload full table
GO Biological Processes:
P-value | OR | Lower 95% CI | FDR | FWER | Genes Found | Gene Set Size | |
---|---|---|---|---|---|---|---|
GOBP_NOREPINEPHRINE_BIOSYNTHETIC_PROCESS | 3.22e-04 | 103.49 | 9.64 | 2.19e-01 | 1.00e+00 | 2TH, DBH |
7 |
GOBP_INTERMEDIATE_FILAMENT_BUNDLE_ASSEMBLY | 3.22e-04 | 103.49 | 9.64 | 2.19e-01 | 1.00e+00 | 2NEFL, NEFM |
7 |
GOBP_ATP_SYNTHESIS_COUPLED_ELECTRON_TRANSPORT | 1.18e-07 | 21.87 | 8.09 | 2.94e-04 | 8.83e-04 | 7COX5A, COX7B, UQCR10, NDUFAB1, NDUFA11, CHCHD2, NDUFS6 |
100 |
GOBP_RESPIRATORY_ELECTRON_TRANSPORT_CHAIN | 3.45e-07 | 18.49 | 6.86 | 6.09e-04 | 2.58e-03 | 7COX5A, COX7B, UQCR10, NDUFAB1, NDUFA11, CHCHD2, NDUFS6 |
117 |
GOBP_OXIDATIVE_PHOSPHORYLATION | 1.00e-07 | 17.00 | 6.77 | 2.94e-04 | 7.48e-04 | 8CHCHD10, COX5A, COX7B, UQCR10, NDUFAB1, NDUFA11, CHCHD2, NDUFS6 |
148 |
GOBP_ELECTRON_TRANSPORT_CHAIN | 4.07e-07 | 14.01 | 5.59 | 6.09e-04 | 3.04e-03 | 8COX5A, CYB561, COX7B, UQCR10, NDUFAB1, NDUFA11, CHCHD2, NDUFS6 |
178 |
GOBP_CELLULAR_RESPIRATION | 5.89e-07 | 13.30 | 5.31 | 7.35e-04 | 4.41e-03 | 8COX5A, COX7B, UQCR10, NDUFAB1, PRELID1, NDUFA11, CHCHD2, NDUFS6 |
187 |
GOBP_NOREPINEPHRINE_METABOLIC_PROCESS | 1.18e-03 | 47.19 | 4.96 | 6.29e-01 | 1.00e+00 | 2TH, DBH |
13 |
GOBP_ENERGY_DERIVATION_BY_OXIDATION_OF_ORGANIC_COMPOUNDS | 1.07e-06 | 10.20 | 4.31 | 1.14e-03 | 7.98e-03 | 9COX5A, IGF2, COX7B, UQCR10, NDUFAB1, PRELID1, NDUFA11, CHCHD2, NDUFS6 |
278 |
GOBP_AMINE_BIOSYNTHETIC_PROCESS | 4.87e-04 | 22.12 | 4.22 | 3.04e-01 | 1.00e+00 | 3OAZ1, TH, DBH |
39 |
GOBP_GENERATION_OF_PRECURSOR_METABOLITES_AND_ENERGY | 5.40e-08 | 8.60 | 4.17 | 2.94e-04 | 4.04e-04 | 13CHCHD10, COX17, COX5A, IGF2, CYB561, COX7B, GAPDH, UQCR10, NDUFAB1, PRELID1, NDUFA11, CHCHD2, NDUFS6 |
524 |
GOBP_MAINTENANCE_OF_SYNAPSE_STRUCTURE | 1.80e-03 | 37.11 | 3.99 | 8.40e-01 | 1.00e+00 | 2CHCHD10, C1QL1 |
16 |
GOBP_ATP_METABOLIC_PROCESS | 2.78e-06 | 9.03 | 3.82 | 2.60e-03 | 2.08e-02 | 9CHCHD10, COX5A, COX7B, GAPDH, UQCR10, NDUFAB1, NDUFA11, CHCHD2, NDUFS6 |
313 |
GOBP_NEUROTRANSMITTER_BIOSYNTHETIC_PROCESS | 2.28e-03 | 32.49 | 3.53 | 9.47e-01 | 1.00e+00 | 2TH, DBH |
18 |
GOBP_CATECHOL_CONTAINING_COMPOUND_BIOSYNTHETIC_PROCESS | 2.81e-03 | 28.89 | 3.17 | 1.00e+00 | 1.00e+00 | 2TH, DBH |
20 |
GOBP_RESPONSE_TO_CORTICOSTERONE | 2.81e-03 | 28.89 | 3.17 | 1.00e+00 | 1.00e+00 | 2TH, NEFL |
20 |
GOBP_MITOCHONDRIAL_ELECTRON_TRANSPORT_CYTOCHROME_C_TO_OXYGEN | 3.10e-03 | 27.37 | 3.01 | 1.00e+00 | 1.00e+00 | 2COX5A, COX7B |
21 |
GOBP_MITOCHONDRIAL_ELECTRON_TRANSPORT_NADH_TO_UBIQUINONE | 1.33e-03 | 15.33 | 2.96 | 6.65e-01 | 1.00e+00 | 3NDUFAB1, NDUFA11, NDUFS6 |
55 |
GOBP_MITOCHONDRIAL_RESPIRATORY_CHAIN_COMPLEX_ASSEMBLY | 6.65e-04 | 11.20 | 2.87 | 3.83e-01 | 1.00e+00 | 4COX17, NDUFAB1, NDUFA11, NDUFS6 |
101 |
GOBP_INTERMEDIATE_FILAMENT_ORGANIZATION | 4.05e-03 | 23.65 | 2.62 | 1.00e+00 | 1.00e+00 | 2NEFL, NEFM |
24 |
Dowload full table
Immunological Gene Sets:
P-value | OR | Lower 95% CI | FDR | FWER | Genes Found | Gene Set Size | |
---|---|---|---|---|---|---|---|
GSE5455_EX_VIVO_VS_POST_24H_INCUBATION_MONOCYTES_FROM_TUMOR_BEARING_MOUSE_UP | 1.19e-05 | 10.54 | 3.95 | 5.79e-02 | 5.79e-02 | 7CHCHD10, CYB561, UQCR10, NDUFAB1, NDUFA11, SMDT1, SNRNP25 |
200 |
GSE21927_SPLENIC_C26GM_TUMOROUS_VS_BONE_MARROW_MONOCYTES_DN | 9.37e-05 | 9.26 | 3.19 | 1.21e-01 | 4.56e-01 | 6TIMM13, COX5A, HINT1, NDUFA11, SEC61B, SNRNP25 |
190 |
GSE22886_DAY1_VS_DAY7_MONOCYTE_IN_CULTURE_DN | 1.24e-04 | 8.78 | 3.02 | 1.21e-01 | 6.03e-01 | 6COX5A, SLC25A5, SMCO4, COX7B, EIF4EBP1, SNRNP25 |
200 |
GSE24634_TEFF_VS_TCONV_DAY3_IN_CULTURE_UP | 1.24e-04 | 8.78 | 3.02 | 1.21e-01 | 6.03e-01 | 6TIMM13, COX17, SLC25A5, RGS16, HINT1, SNRNP25 |
200 |
GSE5679_PPARG_LIGAND_ROSIGLITAZONE_VS_RARA_AGONIST_AM580_TREATED_DC_UP | 1.24e-04 | 8.78 | 3.02 | 1.21e-01 | 6.03e-01 | 6CHCHD10, CYB561, UQCR10, SNX3, SMDT1, SNRNP25 |
200 |
GSE13547_WT_VS_ZFX_KO_BCELL_DN | 6.28e-04 | 8.07 | 2.47 | 4.05e-01 | 1.00e+00 | 5CRIP1, COX17, COX5A, PRELID1, NDUFS6 |
177 |
GSE35543_IN_VIVO_NTREG_VS_CONVERTED_EX_ITREG_UP | 9.02e-04 | 7.43 | 2.27 | 4.05e-01 | 1.00e+00 | 5TIMM13, RGS16, NDUFAB1, ATF5, SEC61B |
192 |
GSE14000_TRANSLATED_RNA_VS_MRNA_4H_LPS_DC_DN | 9.44e-04 | 7.35 | 2.25 | 4.05e-01 | 1.00e+00 | 5COX17, SMCO4, CHGB, PRELID1, NDUFA11 |
194 |
GSE17580_UNINFECTED_VS_S_MANSONI_INF_TREG_DN | 1.08e-03 | 7.12 | 2.18 | 4.05e-01 | 1.00e+00 | 5TIMM13, CYB561, EIF4EBP1, UQCR10, NDUFS6 |
200 |
GSE22886_NAIVE_CD4_TCELL_VS_48H_ACT_TH2_DN | 1.08e-03 | 7.12 | 2.18 | 4.05e-01 | 1.00e+00 | 5COX17, SMCO4, HINT1, GAPDH, SEC61B |
200 |
GSE2405_0H_VS_9H_A_PHAGOCYTOPHILUM_STIM_NEUTROPHIL_DN | 1.08e-03 | 7.12 | 2.18 | 4.05e-01 | 1.00e+00 | 5PAM16, COX5A, HINT1, OAZ1, CHCHD2 |
200 |
GSE9316_CD4_TCELL_BALBC_VS_TH17_ENRI_CD4_TCELL_SKG_PMA_IONO_STIM_FR4NEG_UP | 1.08e-03 | 7.12 | 2.18 | 4.05e-01 | 1.00e+00 | 5RERG, UQCR10, SMDT1, SNRNP25, NDUFS6 |
200 |
GSE37532_TREG_VS_TCONV_PPARG_KO_CD4_TCELL_FROM_VISCERAL_ADIPOSE_TISSUE_UP | 1.08e-03 | 7.12 | 2.18 | 4.05e-01 | 1.00e+00 | 5CRIP1, COX17, SMCO4, SDF2L1, EIF4EBP1 |
200 |
GSE15330_LYMPHOID_MULTIPOTENT_VS_MEGAKARYOCYTE_ERYTHROID_PROGENITOR_IKAROS_KO_DN | 5.16e-03 | 6.25 | 1.62 | 7.36e-01 | 1.00e+00 | 4CRIP1, COX17, GAPDH, NDUFS6 |
178 |
GSE15330_HSC_VS_LYMPHOID_PRIMED_MULTIPOTENT_PROGENITOR_DN | 5.47e-03 | 6.14 | 1.59 | 7.36e-01 | 1.00e+00 | 4CRIP1, COX17, COX5A, PRELID1 |
181 |
GSE29617_CTRL_VS_DAY7_TIV_FLU_VACCINE_PBMC_2008_DN | 6.83e-03 | 5.75 | 1.49 | 7.36e-01 | 1.00e+00 | 4SDF2L1, UQCR10, NDUFAB1, SEC61B |
193 |
GSE14000_TRANSLATED_RNA_VS_MRNA_16H_LPS_DC_DN | 7.07e-03 | 5.69 | 1.47 | 7.36e-01 | 1.00e+00 | 4CYB561, SDF2L1, SNX3, SMDT1 |
195 |
GSE22886_NAIVE_VS_IGG_IGA_MEMORY_BCELL_DN | 7.20e-03 | 5.66 | 1.47 | 7.36e-01 | 1.00e+00 | 4CRIP1, GAPDH, SEC61B, NDUFS6 |
196 |
GSE12845_IGD_NEG_BLOOD_VS_NAIVE_TONSIL_BCELL_UP | 7.45e-03 | 5.60 | 1.45 | 7.36e-01 | 1.00e+00 | 4SLC25A5, ICAM2, COX7B, SEC61B |
198 |
GSE17721_CTRL_VS_POLYIC_8H_BMDC_UP | 7.58e-03 | 5.57 | 1.44 | 7.36e-01 | 1.00e+00 | 4NDUFAB1, RNF7, NDUFA11, RAMP1 |
199 |
Top Ranked Transcription Factors for this Gene Expression Program:
Gene Symbol | TF Rank | DNA Binding Domain | Motif Status | IUPAC PWM | GTEx | DepMap | Decartes |
---|---|---|---|---|---|---|---|
SMYD3 | 22 | Yes | Likely to be sequence specific TF | Monomer or homomultimer | No motif | None | Binds GGAGGG elements based on SELEX performed using GST fusion protein (PMID: 15235609) |
ATF5 | 33 | Yes | Known motif | Obligate heteromer | In vivo/Misc source | Only known motifs are from Transfac or HocoMoco - origin is uncertain | Transfac motifs dont correspond to canonical bZIP binding sites. Annotated as obligate heteromer based on peptide array studies (PMID:12805554). |
HIST1H1D | 42 | No | Unlikely to be sequence specific TF | Low specificity DNA-binding protein | No motif | None | Linker histone that binds DNA as heteromeric complex with the other histone proteins |
HSBP1 | 63 | No | Unlikely to be sequence specific TF | Not a DNA binding protein | No motif | None | Protein that has been shown to bind to HSF1 leading to inhibition of its trimerization and DNA-binding( PMID: 9649501). |
SIVA1 | 74 | No | Unlikely to be sequence specific TF | Not a DNA binding protein | No motif | None | Affects transcription through interactions with NF-kappaB (PMID: 16491128) |
EIF3K | 96 | No | Unlikely to be sequence specific TF | Not a DNA binding protein | No motif | None | None |
CDKN2A | 99 | No | Unlikely to be sequence specific TF | Not a DNA binding protein | No motif | None | Protein binds to and inactivates NFKB1 (PMID: 10353611) |
GATA2 | 115 | Yes | Known motif | Monomer or homomultimer | High-throughput in vitro | None | None |
HAND1 | 116 | Yes | Known motif | Obligate heteromer | In vivo/Misc source | Only known motifs are from Transfac or HocoMoco - origin is uncertain | Obligate heteromer (PMID: 10611232). |
NME2 | 118 | Yes | Likely to be sequence specific TF | Monomer or homomultimer | No motif | None | Binds to telomeres (PMID: 22135295). Binds specific sequences by gel-shift, and binding is impacted by a SNP (PMID: 23368879) |
HNRNPAB | 119 | No | ssDNA/RNA binding | Not a DNA binding protein | No motif | None | HNRNPAB proteins are involved in pre-mRNA splicing. However; RRM domains can also constitute ssDNA binding domains |
XBP1 | 121 | Yes | Known motif | Monomer or homomultimer | High-throughput in vitro | None | None |
NPM1 | 122 | No | Unlikely to be sequence specific TF | Low specificity DNA-binding protein | No motif | None | No evidence for sequence-specific DNA-binding (PMID: 2223875) |
LYL1 | 147 | Yes | Inferred motif | Obligate heteromer | In vivo/Misc source | None | TAL1, TAL2 and LYL are very similar and have a basic region with a bulky tryptophan inserting into the cluster of the basic residues. Binds DNA as a heterodimer with TCF3 (PDB:2YPB and PDB:2YPA). |
MTDH | 160 | No | Unlikely to be sequence specific TF | Not a DNA binding protein | No motif | None | None |
ADAMTS19 | 170 | No | Unlikely to be sequence specific TF | Not a DNA binding protein | No motif | Has a putative AT-hook | None |
PA2G4 | 175 | Yes | Likely to be sequence specific TF | Monomer or homomultimer | No motif | None | Binds CGGCAAAAAGG repeats based on EMSA performed with recombinant E.Coli expressed protein (PMID: 1507318) |
RELN | 179 | No | Unlikely to be sequence specific TF | Not a DNA binding protein | No motif | None | Protein is a large secreted extracellular matrix protein |
MSRB2 | 202 | No | Unlikely to be sequence specific TF | Not a DNA binding protein | No motif | None | The paper cited by GO (PMID:10375640) called MSRB2 a TF based on amino acid sequence analysis, but did not provide any direct evidence |
HMGN3 | 229 | Yes | Likely to be sequence specific TF | Low specificity DNA-binding protein | No motif | None | None |
QQ Plot showing correlations with other Gene Expression Programs in this dataset, calculated by Spearman correlation:
Interactive QQ-plot of gene loadings:
A similar QQ-plot as above, but only for instances where the H value is e.g. > 25, i.e. we are confident that the expression program is active above noise. Agreemenet between these binary vectors is tested using the Jaccard Index, with the P-values calculated by an exact test:
Interactive QQ-plot:
Singler cell type annotations for the top 50 cells on this program.
Cell ID | Singler label | Singler Delta | Activity Score | Top Singler Raw Scores |
---|---|---|---|---|
BE2C_CACGTTCGTCCAGAAG-1 | Neurons | 0.24 | 370.53 | Raw ScoresNeurons:adrenal_medulla_cell_line: 0.62, Neuroepithelial_cell:ESC-derived: 0.53, iPS_cells:PDB_1lox-21Puro-20: 0.52, iPS_cells:PDB_2lox-22: 0.52, iPS_cells:PDB_1lox-21Puro-26: 0.52, iPS_cells:PDB_1lox-17Puro-10: 0.51, iPS_cells:PDB_2lox-17: 0.51, iPS_cells:PDB_1lox-17Puro-5: 0.51, iPS_cells:PDB_2lox-21: 0.51, Tissue_stem_cells:CD326-CD56+: 0.51 |
BE2C_TCCCATGTCCATAGAC-1 | Neurons | 0.27 | 351.46 | Raw ScoresNeurons:adrenal_medulla_cell_line: 0.64, Neuroepithelial_cell:ESC-derived: 0.53, iPS_cells:PDB_1lox-21Puro-20: 0.52, iPS_cells:PDB_1lox-21Puro-26: 0.51, iPS_cells:PDB_2lox-22: 0.51, iPS_cells:PDB_1lox-17Puro-10: 0.51, iPS_cells:PDB_1lox-17Puro-5: 0.51, iPS_cells:PDB_2lox-17: 0.51, iPS_cells:fibroblast-derived:Retroviral_transf: 0.51, iPS_cells:PDB_2lox-21: 0.51 |
BE2C_AGTCACACAACGATTC-1 | Neurons | 0.25 | 335.89 | Raw ScoresNeurons:adrenal_medulla_cell_line: 0.61, Neuroepithelial_cell:ESC-derived: 0.5, iPS_cells:PDB_1lox-21Puro-20: 0.49, iPS_cells:PDB_2lox-22: 0.49, Astrocyte:Embryonic_stem_cell-derived: 0.49, iPS_cells:PDB_1lox-21Puro-26: 0.49, iPS_cells:PDB_1lox-17Puro-10: 0.49, iPS_cells:PDB_2lox-17: 0.49, iPS_cells:PDB_2lox-21: 0.48, iPS_cells:PDB_1lox-17Puro-5: 0.48 |
BE2C_ACCCTCAGTCTCGACG-1 | Neurons | 0.25 | 329.28 | Raw ScoresNeurons:adrenal_medulla_cell_line: 0.61, Neuroepithelial_cell:ESC-derived: 0.5, iPS_cells:PDB_1lox-21Puro-20: 0.49, iPS_cells:PDB_2lox-22: 0.49, iPS_cells:PDB_1lox-21Puro-26: 0.49, iPS_cells:PDB_2lox-17: 0.49, iPS_cells:PDB_1lox-17Puro-10: 0.49, iPS_cells:PDB_2lox-5: 0.49, Astrocyte:Embryonic_stem_cell-derived: 0.49, iPS_cells:PDB_1lox-17Puro-5: 0.49 |
BE2C_GCTACCTGTGTACATC-1 | Neurons | 0.25 | 327.46 | Raw ScoresNeurons:adrenal_medulla_cell_line: 0.62, Neuroepithelial_cell:ESC-derived: 0.5, iPS_cells:PDB_1lox-21Puro-20: 0.49, iPS_cells:PDB_1lox-21Puro-26: 0.49, iPS_cells:PDB_1lox-17Puro-10: 0.49, iPS_cells:PDB_1lox-17Puro-5: 0.49, Astrocyte:Embryonic_stem_cell-derived: 0.49, iPS_cells:PDB_2lox-22: 0.49, iPS_cells:PDB_2lox-17: 0.48, iPS_cells:PDB_2lox-21: 0.48 |
BE2C_GCAACCGAGGATTACA-1 | Neurons | 0.28 | 322.46 | Raw ScoresNeurons:adrenal_medulla_cell_line: 0.64, Neuroepithelial_cell:ESC-derived: 0.53, iPS_cells:PDB_1lox-21Puro-20: 0.52, iPS_cells:PDB_1lox-21Puro-26: 0.52, iPS_cells:PDB_1lox-17Puro-10: 0.52, iPS_cells:PDB_2lox-22: 0.52, iPS_cells:PDB_1lox-17Puro-5: 0.52, iPS_cells:PDB_2lox-17: 0.51, iPS_cells:PDB_2lox-21: 0.51, iPS_cells:fibroblast-derived:Retroviral_transf: 0.51 |
BE2C_CCACCATCACAGACGA-1 | Neurons | 0.25 | 322.38 | Raw ScoresNeurons:adrenal_medulla_cell_line: 0.62, Neuroepithelial_cell:ESC-derived: 0.52, iPS_cells:PDB_1lox-21Puro-20: 0.5, iPS_cells:PDB_2lox-22: 0.5, Tissue_stem_cells:CD326-CD56+: 0.5, iPS_cells:PDB_1lox-21Puro-26: 0.5, iPS_cells:PDB_1lox-17Puro-10: 0.5, iPS_cells:PDB_2lox-17: 0.5, iPS_cells:PDB_2lox-21: 0.5, iPS_cells:fibroblast-derived:Retroviral_transf: 0.5 |
BE2C_CGGGCATAGCACCCAC-1 | Neurons | 0.24 | 319.41 | Raw ScoresNeurons:adrenal_medulla_cell_line: 0.6, Neuroepithelial_cell:ESC-derived: 0.49, Astrocyte:Embryonic_stem_cell-derived: 0.49, iPS_cells:PDB_1lox-21Puro-20: 0.48, iPS_cells:PDB_1lox-21Puro-26: 0.47, iPS_cells:PDB_2lox-22: 0.47, Tissue_stem_cells:CD326-CD56+: 0.47, iPS_cells:PDB_1lox-17Puro-10: 0.47, iPS_cells:PDB_2lox-17: 0.47, iPS_cells:PDB_1lox-17Puro-5: 0.47 |
BE2C_TCACACCTCTAGGCAT-1 | Neurons | 0.28 | 318.71 | Raw ScoresNeurons:adrenal_medulla_cell_line: 0.65, Neuroepithelial_cell:ESC-derived: 0.55, iPS_cells:PDB_1lox-21Puro-20: 0.53, iPS_cells:PDB_1lox-21Puro-26: 0.53, iPS_cells:PDB_2lox-22: 0.53, iPS_cells:PDB_1lox-17Puro-10: 0.53, iPS_cells:PDB_1lox-17Puro-5: 0.52, iPS_cells:PDB_2lox-17: 0.52, iPS_cells:PDB_2lox-21: 0.52, Embryonic_stem_cells: 0.52 |
BE2C_AGGACTTCATTCTCCG-1 | Neurons | 0.26 | 318.43 | Raw ScoresNeurons:adrenal_medulla_cell_line: 0.64, Neuroepithelial_cell:ESC-derived: 0.53, iPS_cells:PDB_1lox-21Puro-20: 0.52, iPS_cells:PDB_2lox-22: 0.52, iPS_cells:PDB_1lox-21Puro-26: 0.52, iPS_cells:PDB_1lox-17Puro-10: 0.52, iPS_cells:fibroblast-derived:Retroviral_transf: 0.52, iPS_cells:PDB_2lox-17: 0.52, iPS_cells:PDB_2lox-21: 0.51, iPS_cells:PDB_1lox-17Puro-5: 0.51 |
BE2C_CAACGGCTCAAAGACA-1 | Neurons | 0.27 | 318.30 | Raw ScoresNeurons:adrenal_medulla_cell_line: 0.64, Neuroepithelial_cell:ESC-derived: 0.53, iPS_cells:PDB_1lox-21Puro-20: 0.52, iPS_cells:PDB_2lox-22: 0.52, iPS_cells:PDB_1lox-21Puro-26: 0.52, iPS_cells:PDB_1lox-17Puro-10: 0.51, iPS_cells:PDB_2lox-17: 0.51, Embryonic_stem_cells: 0.51, iPS_cells:PDB_1lox-17Puro-5: 0.51, iPS_cells:PDB_2lox-21: 0.51 |
BE2C_GGGATCCTCCGTGTCT-1 | Neurons | 0.27 | 309.73 | Raw ScoresNeurons:adrenal_medulla_cell_line: 0.63, Neuroepithelial_cell:ESC-derived: 0.53, iPS_cells:PDB_1lox-21Puro-20: 0.52, iPS_cells:PDB_2lox-22: 0.52, iPS_cells:PDB_1lox-21Puro-26: 0.52, iPS_cells:PDB_1lox-17Puro-10: 0.52, iPS_cells:PDB_2lox-17: 0.52, iPS_cells:PDB_2lox-21: 0.52, iPS_cells:PDB_1lox-17Puro-5: 0.52, iPS_cells:fibroblast-derived:Retroviral_transf: 0.52 |
BE2C_CATGGTAGTTGCTCCT-1 | Neurons | 0.28 | 308.98 | Raw ScoresNeurons:adrenal_medulla_cell_line: 0.65, Neuroepithelial_cell:ESC-derived: 0.56, iPS_cells:PDB_2lox-22: 0.54, iPS_cells:PDB_1lox-21Puro-20: 0.54, iPS_cells:PDB_1lox-21Puro-26: 0.54, iPS_cells:PDB_1lox-17Puro-10: 0.54, iPS_cells:PDB_2lox-17: 0.53, iPS_cells:PDB_1lox-17Puro-5: 0.53, iPS_cells:PDB_2lox-21: 0.53, iPS_cells:PDB_2lox-5: 0.53 |
BE2C_TCCCACAGTATGCTAC-1 | Neurons | 0.27 | 308.56 | Raw ScoresNeurons:adrenal_medulla_cell_line: 0.61, Neuroepithelial_cell:ESC-derived: 0.51, iPS_cells:PDB_1lox-21Puro-20: 0.49, iPS_cells:PDB_2lox-22: 0.49, iPS_cells:PDB_1lox-21Puro-26: 0.49, iPS_cells:PDB_1lox-17Puro-10: 0.49, iPS_cells:PDB_2lox-17: 0.49, iPS_cells:fibroblast-derived:Retroviral_transf: 0.49, iPS_cells:PDB_2lox-21: 0.49, iPS_cells:adipose_stem_cell-derived:minicircle-derived: 0.49 |
BE2C_TCAGGGCTCAGACCGC-1 | Neurons | 0.27 | 308.10 | Raw ScoresNeurons:adrenal_medulla_cell_line: 0.63, Neuroepithelial_cell:ESC-derived: 0.52, iPS_cells:PDB_1lox-21Puro-20: 0.52, iPS_cells:PDB_1lox-21Puro-26: 0.51, iPS_cells:PDB_2lox-22: 0.51, iPS_cells:PDB_1lox-17Puro-10: 0.51, iPS_cells:PDB_2lox-21: 0.51, iPS_cells:PDB_2lox-17: 0.51, iPS_cells:PDB_1lox-17Puro-5: 0.5, iPS_cells:PDB_2lox-5: 0.5 |
BE2C_GCAGGCTCATCATGAC-1 | Neurons | 0.25 | 307.70 | Raw ScoresNeurons:adrenal_medulla_cell_line: 0.61, Neuroepithelial_cell:ESC-derived: 0.5, iPS_cells:PDB_1lox-21Puro-20: 0.49, iPS_cells:PDB_1lox-21Puro-26: 0.49, iPS_cells:PDB_2lox-22: 0.49, Astrocyte:Embryonic_stem_cell-derived: 0.49, iPS_cells:PDB_1lox-17Puro-10: 0.49, iPS_cells:PDB_1lox-17Puro-5: 0.48, iPS_cells:PDB_2lox-17: 0.48, Embryonic_stem_cells: 0.48 |
BE2C_GCTACAAAGCGCCTAC-1 | Neurons | 0.28 | 299.11 | Raw ScoresNeurons:adrenal_medulla_cell_line: 0.65, Neuroepithelial_cell:ESC-derived: 0.54, iPS_cells:PDB_1lox-21Puro-20: 0.53, iPS_cells:PDB_1lox-21Puro-26: 0.53, iPS_cells:PDB_1lox-17Puro-10: 0.52, iPS_cells:PDB_2lox-22: 0.52, iPS_cells:PDB_1lox-17Puro-5: 0.52, iPS_cells:PDB_2lox-17: 0.52, iPS_cells:PDB_2lox-21: 0.52, Embryonic_stem_cells: 0.52 |
BE2C_AACAACCTCGTGCGAC-1 | Neurons | 0.26 | 297.20 | Raw ScoresNeurons:adrenal_medulla_cell_line: 0.61, Neuroepithelial_cell:ESC-derived: 0.49, iPS_cells:PDB_1lox-21Puro-20: 0.48, iPS_cells:PDB_1lox-21Puro-26: 0.48, iPS_cells:PDB_2lox-22: 0.48, iPS_cells:PDB_1lox-17Puro-10: 0.48, iPS_cells:PDB_2lox-17: 0.48, iPS_cells:PDB_2lox-21: 0.48, iPS_cells:PDB_1lox-17Puro-5: 0.47, iPS_cells:PDB_2lox-5: 0.47 |
BE2C_CGAGGAACAAACGTGG-1 | Neurons | 0.26 | 293.03 | Raw ScoresNeurons:adrenal_medulla_cell_line: 0.62, Neuroepithelial_cell:ESC-derived: 0.52, iPS_cells:PDB_1lox-21Puro-20: 0.5, iPS_cells:PDB_1lox-21Puro-26: 0.5, iPS_cells:PDB_1lox-17Puro-10: 0.5, iPS_cells:PDB_2lox-22: 0.5, Tissue_stem_cells:CD326-CD56+: 0.5, Embryonic_stem_cells: 0.5, iPS_cells:fibroblast-derived:Retroviral_transf: 0.5, iPS_cells:adipose_stem_cell-derived:minicircle-derived: 0.5 |
BE2C_AAGACAAAGACAAGCC-1 | Neurons | 0.26 | 291.68 | Raw ScoresNeurons:adrenal_medulla_cell_line: 0.62, Neuroepithelial_cell:ESC-derived: 0.52, iPS_cells:PDB_1lox-21Puro-20: 0.51, iPS_cells:PDB_2lox-22: 0.51, Tissue_stem_cells:CD326-CD56+: 0.51, iPS_cells:PDB_1lox-21Puro-26: 0.51, iPS_cells:PDB_1lox-17Puro-10: 0.5, iPS_cells:PDB_2lox-17: 0.5, iPS_cells:adipose_stem_cell-derived:minicircle-derived: 0.5, iPS_cells:PDB_1lox-17Puro-5: 0.5 |
BE2C_AGGTTACCATGGAGAC-1 | Neurons | 0.27 | 291.09 | Raw ScoresNeurons:adrenal_medulla_cell_line: 0.63, Neuroepithelial_cell:ESC-derived: 0.52, iPS_cells:PDB_1lox-21Puro-20: 0.51, iPS_cells:PDB_1lox-21Puro-26: 0.51, iPS_cells:PDB_2lox-22: 0.51, iPS_cells:PDB_1lox-17Puro-10: 0.51, iPS_cells:PDB_2lox-21: 0.51, iPS_cells:PDB_2lox-17: 0.5, iPS_cells:PDB_1lox-17Puro-5: 0.5, Embryonic_stem_cells: 0.5 |
BE2C_GGGTAGAGTACACTCA-1 | Neurons | 0.26 | 288.04 | Raw ScoresNeurons:adrenal_medulla_cell_line: 0.63, Neuroepithelial_cell:ESC-derived: 0.51, iPS_cells:PDB_1lox-21Puro-20: 0.5, iPS_cells:PDB_2lox-22: 0.5, iPS_cells:PDB_1lox-21Puro-26: 0.5, iPS_cells:PDB_2lox-17: 0.5, iPS_cells:PDB_1lox-17Puro-10: 0.5, Tissue_stem_cells:CD326-CD56+: 0.5, iPS_cells:PDB_2lox-21: 0.49, iPS_cells:PDB_1lox-17Puro-5: 0.49 |
BE2C_TGTGAGTCACTGCATA-1 | Neurons | 0.27 | 288.00 | Raw ScoresNeurons:adrenal_medulla_cell_line: 0.63, Neuroepithelial_cell:ESC-derived: 0.53, iPS_cells:PDB_1lox-21Puro-20: 0.52, iPS_cells:PDB_1lox-21Puro-26: 0.51, iPS_cells:PDB_2lox-22: 0.51, iPS_cells:PDB_1lox-17Puro-10: 0.51, iPS_cells:PDB_2lox-17: 0.51, iPS_cells:PDB_1lox-17Puro-5: 0.51, iPS_cells:PDB_2lox-21: 0.51, iPS_cells:fibroblast-derived:Retroviral_transf: 0.51 |
BE2C_TGAGACTCAGTAACCT-1 | Neurons | 0.25 | 285.66 | Raw ScoresNeurons:adrenal_medulla_cell_line: 0.62, Neuroepithelial_cell:ESC-derived: 0.51, iPS_cells:PDB_1lox-21Puro-20: 0.51, iPS_cells:PDB_1lox-21Puro-26: 0.51, iPS_cells:PDB_2lox-22: 0.51, iPS_cells:PDB_2lox-17: 0.5, iPS_cells:PDB_1lox-17Puro-10: 0.5, iPS_cells:PDB_2lox-21: 0.5, iPS_cells:PDB_1lox-17Puro-5: 0.5, iPS_cells:PDB_2lox-5: 0.5 |
BE2C_TGCTGAATCCCGAGTG-1 | Neurons | 0.27 | 285.36 | Raw ScoresNeurons:adrenal_medulla_cell_line: 0.64, Neuroepithelial_cell:ESC-derived: 0.53, iPS_cells:PDB_1lox-21Puro-20: 0.52, iPS_cells:PDB_2lox-22: 0.52, iPS_cells:PDB_1lox-21Puro-26: 0.52, iPS_cells:PDB_2lox-17: 0.52, iPS_cells:PDB_2lox-21: 0.52, iPS_cells:PDB_1lox-17Puro-10: 0.52, iPS_cells:PDB_1lox-17Puro-5: 0.51, iPS_cells:PDB_2lox-5: 0.51 |
BE2C_ACCAACATCTACACTT-1 | Neurons | 0.25 | 284.97 | Raw ScoresNeurons:adrenal_medulla_cell_line: 0.62, Neuroepithelial_cell:ESC-derived: 0.53, iPS_cells:PDB_1lox-21Puro-20: 0.52, iPS_cells:PDB_2lox-22: 0.52, iPS_cells:PDB_1lox-21Puro-26: 0.52, iPS_cells:PDB_2lox-17: 0.51, iPS_cells:PDB_1lox-17Puro-10: 0.51, iPS_cells:PDB_2lox-5: 0.51, iPS_cells:PDB_2lox-21: 0.51, iPS_cells:CRL2097_foreskin-derived:undiff.: 0.51 |
BE2C_GCAGTTATCCCAAGTA-1 | Neurons | 0.26 | 283.72 | Raw ScoresNeurons:adrenal_medulla_cell_line: 0.63, Neuroepithelial_cell:ESC-derived: 0.53, iPS_cells:PDB_1lox-21Puro-20: 0.52, iPS_cells:PDB_1lox-21Puro-26: 0.51, iPS_cells:PDB_2lox-22: 0.51, iPS_cells:PDB_1lox-17Puro-10: 0.51, Tissue_stem_cells:CD326-CD56+: 0.51, iPS_cells:PDB_1lox-17Puro-5: 0.51, iPS_cells:PDB_2lox-17: 0.51, iPS_cells:PDB_2lox-21: 0.51 |
BE2C_GTGAGCCGTCCATCTC-1 | Neurons | 0.25 | 282.65 | Raw ScoresNeurons:adrenal_medulla_cell_line: 0.62, Neuroepithelial_cell:ESC-derived: 0.52, iPS_cells:PDB_2lox-22: 0.51, iPS_cells:PDB_1lox-21Puro-20: 0.51, iPS_cells:PDB_2lox-17: 0.51, iPS_cells:PDB_1lox-21Puro-26: 0.51, iPS_cells:PDB_2lox-21: 0.51, iPS_cells:PDB_1lox-17Puro-10: 0.51, iPS_cells:PDB_2lox-5: 0.51, iPS_cells:PDB_1lox-17Puro-5: 0.5 |
BE2C_CAAGCTACAAGCCCAC-1 | Neurons | 0.25 | 282.35 | Raw ScoresNeurons:adrenal_medulla_cell_line: 0.62, Neuroepithelial_cell:ESC-derived: 0.52, iPS_cells:PDB_1lox-21Puro-20: 0.51, iPS_cells:PDB_1lox-21Puro-26: 0.51, iPS_cells:PDB_1lox-17Puro-10: 0.5, iPS_cells:PDB_2lox-22: 0.5, iPS_cells:PDB_1lox-17Puro-5: 0.5, iPS_cells:PDB_2lox-17: 0.5, iPS_cells:PDB_2lox-21: 0.5, iPS_cells:fibroblast-derived:Retroviral_transf: 0.5 |
BE2C_GAGACCCCAAGGAGTC-1 | Neurons | 0.26 | 281.49 | Raw ScoresNeurons:adrenal_medulla_cell_line: 0.63, Neuroepithelial_cell:ESC-derived: 0.53, Tissue_stem_cells:CD326-CD56+: 0.53, iPS_cells:PDB_1lox-21Puro-20: 0.52, iPS_cells:PDB_2lox-22: 0.52, iPS_cells:PDB_1lox-21Puro-26: 0.52, iPS_cells:fibroblast-derived:Retroviral_transf: 0.52, iPS_cells:PDB_1lox-17Puro-10: 0.52, iPS_cells:PDB_2lox-17: 0.52, iPS_cells:PDB_2lox-21: 0.51 |
BE2C_TAACACGGTCAGCTTA-1 | Neurons | 0.26 | 280.70 | Raw ScoresNeurons:adrenal_medulla_cell_line: 0.63, Neuroepithelial_cell:ESC-derived: 0.53, iPS_cells:PDB_1lox-21Puro-20: 0.52, iPS_cells:PDB_1lox-21Puro-26: 0.51, iPS_cells:PDB_2lox-22: 0.51, iPS_cells:fibroblast-derived:Retroviral_transf: 0.51, iPS_cells:PDB_1lox-17Puro-10: 0.51, Tissue_stem_cells:CD326-CD56+: 0.51, iPS_cells:PDB_2lox-17: 0.51, iPS_cells:PDB_1lox-17Puro-5: 0.51 |
BE2C_TCATGAGTCACTCGAA-1 | Neurons | 0.27 | 280.27 | Raw ScoresNeurons:adrenal_medulla_cell_line: 0.64, Neuroepithelial_cell:ESC-derived: 0.54, iPS_cells:PDB_1lox-21Puro-20: 0.53, iPS_cells:PDB_1lox-21Puro-26: 0.53, iPS_cells:PDB_2lox-22: 0.52, iPS_cells:PDB_1lox-17Puro-10: 0.52, iPS_cells:PDB_2lox-17: 0.52, iPS_cells:PDB_1lox-17Puro-5: 0.52, iPS_cells:PDB_2lox-21: 0.52, iPS_cells:PDB_2lox-5: 0.52 |
BE2C_AAGGAATAGTTGGACG-1 | Neurons | 0.26 | 279.51 | Raw ScoresNeurons:adrenal_medulla_cell_line: 0.64, Neuroepithelial_cell:ESC-derived: 0.53, iPS_cells:PDB_1lox-21Puro-20: 0.52, iPS_cells:PDB_2lox-22: 0.52, iPS_cells:PDB_1lox-21Puro-26: 0.52, iPS_cells:PDB_2lox-17: 0.52, iPS_cells:PDB_1lox-17Puro-10: 0.52, iPS_cells:PDB_2lox-21: 0.52, iPS_cells:PDB_1lox-17Puro-5: 0.51, iPS_cells:adipose_stem_cell-derived:minicircle-derived: 0.51 |
BE2C_TGCTTCGGTTATGACC-1 | Neurons | 0.26 | 277.32 | Raw ScoresNeurons:adrenal_medulla_cell_line: 0.64, Neuroepithelial_cell:ESC-derived: 0.54, iPS_cells:PDB_1lox-21Puro-20: 0.54, iPS_cells:PDB_1lox-21Puro-26: 0.54, iPS_cells:PDB_2lox-22: 0.53, iPS_cells:PDB_1lox-17Puro-10: 0.53, iPS_cells:PDB_1lox-17Puro-5: 0.53, iPS_cells:PDB_2lox-17: 0.53, iPS_cells:PDB_2lox-21: 0.53, iPS_cells:PDB_2lox-5: 0.52 |
BE2C_ATAGGCTAGACTGTTC-1 | Neurons | 0.23 | 276.88 | Raw ScoresNeurons:adrenal_medulla_cell_line: 0.61, Neuroepithelial_cell:ESC-derived: 0.51, iPS_cells:PDB_1lox-21Puro-20: 0.5, iPS_cells:PDB_1lox-21Puro-26: 0.5, iPS_cells:PDB_2lox-22: 0.5, iPS_cells:PDB_1lox-17Puro-10: 0.5, iPS_cells:fibroblast-derived:Retroviral_transf: 0.5, iPS_cells:PDB_1lox-17Puro-5: 0.5, iPS_cells:PDB_2lox-17: 0.5, Tissue_stem_cells:CD326-CD56+: 0.5 |
BE2C_GCATCTCCATTCCTAT-1 | Neurons | 0.27 | 275.94 | Raw ScoresNeurons:adrenal_medulla_cell_line: 0.62, Neuroepithelial_cell:ESC-derived: 0.52, iPS_cells:PDB_1lox-21Puro-20: 0.5, iPS_cells:PDB_1lox-21Puro-26: 0.5, iPS_cells:PDB_2lox-22: 0.5, iPS_cells:PDB_1lox-17Puro-10: 0.5, iPS_cells:PDB_1lox-17Puro-5: 0.49, iPS_cells:PDB_2lox-17: 0.49, iPS_cells:PDB_2lox-21: 0.49, iPS_cells:PDB_2lox-5: 0.49 |
BE2C_GTCTCACAGCAGAAAG-1 | Neurons | 0.27 | 275.58 | Raw ScoresNeurons:adrenal_medulla_cell_line: 0.64, Neuroepithelial_cell:ESC-derived: 0.53, iPS_cells:PDB_1lox-21Puro-20: 0.52, iPS_cells:PDB_1lox-21Puro-26: 0.52, iPS_cells:PDB_2lox-22: 0.52, iPS_cells:PDB_1lox-17Puro-10: 0.52, iPS_cells:PDB_2lox-21: 0.52, iPS_cells:PDB_2lox-17: 0.52, iPS_cells:PDB_1lox-17Puro-5: 0.52, Embryonic_stem_cells: 0.51 |
BE2C_GCTACAACAATGTCAC-1 | Neurons | 0.26 | 274.55 | Raw ScoresNeurons:adrenal_medulla_cell_line: 0.64, Neuroepithelial_cell:ESC-derived: 0.53, iPS_cells:PDB_1lox-21Puro-20: 0.53, iPS_cells:PDB_1lox-21Puro-26: 0.52, iPS_cells:PDB_2lox-22: 0.52, iPS_cells:PDB_2lox-17: 0.52, iPS_cells:PDB_1lox-17Puro-10: 0.52, iPS_cells:PDB_2lox-21: 0.52, iPS_cells:fibroblast-derived:Retroviral_transf: 0.52, iPS_cells:PDB_1lox-17Puro-5: 0.52 |
BE2C_AGGTTACCAGGTCAGA-1 | Neurons | 0.26 | 273.08 | Raw ScoresNeurons:adrenal_medulla_cell_line: 0.62, Neuroepithelial_cell:ESC-derived: 0.51, iPS_cells:PDB_1lox-21Puro-20: 0.5, iPS_cells:PDB_2lox-22: 0.49, iPS_cells:PDB_1lox-21Puro-26: 0.49, iPS_cells:adipose_stem_cell-derived:minicircle-derived: 0.49, iPS_cells:PDB_2lox-17: 0.49, Embryonic_stem_cells: 0.49, iPS_cells:PDB_1lox-17Puro-10: 0.49, iPS_cells:PDB_2lox-21: 0.49 |
BE2C_TACACCCCAGCGACCT-1 | Neurons | 0.23 | 272.56 | Raw ScoresNeurons:adrenal_medulla_cell_line: 0.62, Neuroepithelial_cell:ESC-derived: 0.52, iPS_cells:PDB_1lox-21Puro-20: 0.52, iPS_cells:PDB_2lox-22: 0.52, iPS_cells:PDB_1lox-21Puro-26: 0.52, Tissue_stem_cells:CD326-CD56+: 0.52, iPS_cells:PDB_1lox-17Puro-10: 0.51, iPS_cells:PDB_2lox-17: 0.51, iPS_cells:adipose_stem_cell-derived:minicircle-derived: 0.51, iPS_cells:PDB_2lox-21: 0.51 |
BE2C_GTAATCGGTTACGTAC-1 | Neurons | 0.26 | 272.36 | Raw ScoresNeurons:adrenal_medulla_cell_line: 0.63, Neuroepithelial_cell:ESC-derived: 0.53, iPS_cells:PDB_1lox-21Puro-20: 0.53, iPS_cells:PDB_2lox-22: 0.52, iPS_cells:PDB_1lox-21Puro-26: 0.52, iPS_cells:PDB_1lox-17Puro-10: 0.52, iPS_cells:PDB_2lox-17: 0.52, iPS_cells:PDB_2lox-21: 0.52, iPS_cells:PDB_1lox-17Puro-5: 0.52, Embryonic_stem_cells: 0.52 |
BE2C_CCTATCGCACTCCGGA-1 | Neurons | 0.26 | 269.84 | Raw ScoresNeurons:adrenal_medulla_cell_line: 0.61, Neuroepithelial_cell:ESC-derived: 0.51, iPS_cells:PDB_1lox-21Puro-20: 0.5, iPS_cells:PDB_2lox-22: 0.49, iPS_cells:PDB_1lox-21Puro-26: 0.49, iPS_cells:PDB_1lox-17Puro-10: 0.49, iPS_cells:PDB_2lox-17: 0.49, Tissue_stem_cells:CD326-CD56+: 0.49, Astrocyte:Embryonic_stem_cell-derived: 0.49, Embryonic_stem_cells: 0.49 |
BE2C_AACCAACTCAACGCTA-1 | Neurons | 0.26 | 269.02 | Raw ScoresNeurons:adrenal_medulla_cell_line: 0.62, Neuroepithelial_cell:ESC-derived: 0.51, iPS_cells:PDB_1lox-21Puro-20: 0.49, Astrocyte:Embryonic_stem_cell-derived: 0.49, Tissue_stem_cells:CD326-CD56+: 0.49, iPS_cells:PDB_1lox-21Puro-26: 0.49, iPS_cells:PDB_2lox-22: 0.49, iPS_cells:PDB_1lox-17Puro-10: 0.49, Embryonic_stem_cells: 0.48, iPS_cells:PDB_2lox-17: 0.48 |
BE2C_GTCATGAGTCTGTCCT-1 | Neurons | 0.24 | 267.12 | Raw ScoresNeurons:adrenal_medulla_cell_line: 0.59, Neuroepithelial_cell:ESC-derived: 0.48, iPS_cells:PDB_2lox-22: 0.47, iPS_cells:PDB_1lox-21Puro-20: 0.47, iPS_cells:PDB_2lox-17: 0.47, iPS_cells:PDB_1lox-21Puro-26: 0.47, iPS_cells:PDB_2lox-21: 0.47, iPS_cells:PDB_1lox-17Puro-10: 0.46, iPS_cells:adipose_stem_cell-derived:minicircle-derived: 0.46, iPS_cells:PDB_2lox-5: 0.46 |
BE2C_AGGCTGCCAAAGACTA-1 | Neurons | 0.23 | 266.92 | Raw ScoresNeurons:adrenal_medulla_cell_line: 0.59, Neuroepithelial_cell:ESC-derived: 0.49, iPS_cells:PDB_1lox-21Puro-26: 0.48, iPS_cells:PDB_1lox-21Puro-20: 0.48, iPS_cells:PDB_2lox-22: 0.48, iPS_cells:PDB_2lox-17: 0.48, Tissue_stem_cells:CD326-CD56+: 0.48, iPS_cells:PDB_1lox-17Puro-10: 0.48, iPS_cells:PDB_2lox-5: 0.47, iPS_cells:PDB_1lox-17Puro-5: 0.47 |
BE2C_TAGTGCATCGACGAGA-1 | Neurons | 0.27 | 266.10 | Raw ScoresNeurons:adrenal_medulla_cell_line: 0.64, Neuroepithelial_cell:ESC-derived: 0.52, iPS_cells:PDB_1lox-21Puro-20: 0.51, iPS_cells:PDB_2lox-22: 0.51, iPS_cells:PDB_1lox-21Puro-26: 0.51, Tissue_stem_cells:CD326-CD56+: 0.5, iPS_cells:PDB_1lox-17Puro-10: 0.5, iPS_cells:fibroblast-derived:Retroviral_transf: 0.5, iPS_cells:PDB_2lox-17: 0.5, iPS_cells:PDB_2lox-21: 0.5 |
BE2C_TACCTGCTCCCGAATA-1 | Neurons | 0.27 | 265.49 | Raw ScoresNeurons:adrenal_medulla_cell_line: 0.65, Neuroepithelial_cell:ESC-derived: 0.54, iPS_cells:PDB_1lox-21Puro-20: 0.53, iPS_cells:PDB_1lox-21Puro-26: 0.53, iPS_cells:PDB_2lox-22: 0.53, iPS_cells:PDB_1lox-17Puro-10: 0.53, iPS_cells:PDB_1lox-17Puro-5: 0.53, iPS_cells:PDB_2lox-21: 0.53, iPS_cells:PDB_2lox-17: 0.52, Embryonic_stem_cells: 0.52 |
BE2C_TATCCTAAGCTGAAAT-1 | Neurons | 0.27 | 265.24 | Raw ScoresNeurons:adrenal_medulla_cell_line: 0.64, Neuroepithelial_cell:ESC-derived: 0.53, iPS_cells:PDB_1lox-21Puro-20: 0.53, iPS_cells:PDB_1lox-21Puro-26: 0.52, iPS_cells:PDB_2lox-22: 0.52, iPS_cells:PDB_1lox-17Puro-10: 0.52, iPS_cells:PDB_2lox-17: 0.52, iPS_cells:PDB_2lox-21: 0.52, iPS_cells:PDB_1lox-17Puro-5: 0.52, iPS_cells:PDB_2lox-5: 0.52 |
BE2C_CTCCATGGTTGGGCCT-1 | Neurons | 0.25 | 264.93 | Raw ScoresNeurons:adrenal_medulla_cell_line: 0.62, Neuroepithelial_cell:ESC-derived: 0.52, iPS_cells:PDB_1lox-21Puro-20: 0.52, iPS_cells:PDB_2lox-22: 0.52, iPS_cells:PDB_1lox-21Puro-26: 0.52, iPS_cells:PDB_2lox-17: 0.51, iPS_cells:PDB_2lox-21: 0.51, iPS_cells:PDB_1lox-17Puro-10: 0.51, iPS_cells:PDB_1lox-17Puro-5: 0.51, Tissue_stem_cells:CD326-CD56+: 0.51 |
BE2C_TCCTCTTTCCGTGTCT-1 | Neurons | 0.26 | 264.17 | Raw ScoresNeurons:adrenal_medulla_cell_line: 0.64, Neuroepithelial_cell:ESC-derived: 0.53, iPS_cells:PDB_1lox-21Puro-20: 0.52, iPS_cells:PDB_2lox-22: 0.51, iPS_cells:PDB_1lox-21Puro-26: 0.51, iPS_cells:PDB_1lox-17Puro-10: 0.51, iPS_cells:PDB_2lox-17: 0.51, iPS_cells:PDB_1lox-17Puro-5: 0.51, iPS_cells:PDB_2lox-21: 0.51, iPS_cells:PDB_2lox-5: 0.5 |
Below shows the significant enrichments of this GEP for literature curated gene lists
This data was procured from existing single cell RNA-seq maps of neuroblastoma or related relevant data.
High ranks indicate this gene is a driver of this GEP.
These curated gene list are ranked by the P-value (on this GEP) of their constituent genes.
The Mean Count column shows the mean read count in cells scoring highly (H > 50) on this gene expression program.
Genes | Weight | Rank | GTEx | DepMap | Decartes | Mean.Counts | Mean.TPM |
---|---|---|---|---|---|---|---|
TH | 0.0077303 | 14 | GTEx | DepMap | Descartes | 7.15 | 115.20 |
DBH | 0.0066493 | 34 | GTEx | DepMap | Descartes | 13.32 | 146.41 |
CHGA | 0.0054705 | 75 | GTEx | DepMap | Descartes | 64.68 | 1055.97 |
DDC | 0.0017020 | 727 | GTEx | DepMap | Descartes | 8.07 | 130.67 |
Late chromaffin cells (Jansky Fig1E)
Heatmap in Fig. 1E, marker genes derived from Jansks scRNA-seq data for adrenal medulla cell types. Note: this late chromaffin cell signature also includes PNMT, which is an enzyme catalyzing methylation of norepinephrine to form epinephrine; this marker is absent from the ealier less differentiated chromaffin cells (which may have been referred to as sympathoblasts in other datasets, I think):
Wilcoxon ranksum test P-value for gene set overrepresentation: 4.08e-04
Mean rank of genes in gene set: 212.5
Rank on gene expression program of genes in gene set:
Genes | Weight | Rank | GTEx | DepMap | Decartes | Mean.Counts | Mean.TPM |
---|---|---|---|---|---|---|---|
TH | 0.0077303 | 14 | GTEx | DepMap | Descartes | 7.15 | 115.20 |
DBH | 0.0066493 | 34 | GTEx | DepMap | Descartes | 13.32 | 146.41 |
CHGA | 0.0054705 | 75 | GTEx | DepMap | Descartes | 64.68 | 1055.97 |
DDC | 0.0017020 | 727 | GTEx | DepMap | Descartes | 8.07 | 130.67 |
Sympathobasts or chromaffin (Kildisiute)
Sympathoblast and chromaffin markers obtained from Kildisiute et al, Supplmenentary Table 2, references supporting these genes are provided in Supp Table S2 of Kildisiute et al (PMID 33547074) https://www.science.org/doi/suppl/10.1126/sciadv.abd3311/suppl_file/abd3311_tables_s1_to_s12.xlsx:
Wilcoxon ranksum test P-value for gene set overrepresentation: 1.40e-03
Mean rank of genes in gene set: 25.33
Rank on gene expression program of genes in gene set:
Genes | Weight | Rank | GTEx | DepMap | Decartes | Mean.Counts | Mean.TPM |
---|---|---|---|---|---|---|---|
TH | 0.0077303 | 14 | GTEx | DepMap | Descartes | 7.15 | 115.20 |
CHGB | 0.0069620 | 28 | GTEx | DepMap | Descartes | 38.73 | 542.20 |
DBH | 0.0066493 | 34 | GTEx | DepMap | Descartes | 13.32 | 146.41 |
Below shows ranks on this GEP for literature curated gene lists for large gene sets
These include those reported as mesenchymal/adrenergic by Van Groningen et al.
High ranks indicate this gene is a driver of this GEP (note these results are not ordered).
The Mean Count column shows the mean read count in cells scoring highly (H > 50) on this gene expression program.
VanGroningen Adrenergic Genes
Adrenergic marker genes from Supplementary Table 2 of Van Groningen et al. Nature Genetics 2017. These genes were identified by differential expression analysis of mesenchymal-like and adrenergic-like neuroblastoma cell lines.
Wilcoxon ranksum test P-value for gene set overrepresentation: 5.41e-07
Mean rank of genes in gene set: 5275.9
Median rank of genes in gene set: 3774
Rank on gene expression program of top 30 genes in gene set:
Genes | Weight | Rank | GTEx | DepMap | Descartes | Mean.Counts | Mean.TPM |
---|---|---|---|---|---|---|---|
TH | 0.0077303 | 14 | GTEx | DepMap | Descartes | 7.15 | 115.20 |
NEFL | 0.0070480 | 24 | GTEx | DepMap | Descartes | 28.44 | 258.36 |
DLK1 | 0.0070246 | 26 | GTEx | DepMap | Descartes | 96.16 | 652.06 |
CHGB | 0.0069620 | 28 | GTEx | DepMap | Descartes | 38.73 | 542.20 |
DBH | 0.0066493 | 34 | GTEx | DepMap | Descartes | 13.32 | 146.41 |
NEFM | 0.0065891 | 36 | GTEx | DepMap | Descartes | 27.65 | 275.25 |
NRCAM | 0.0059391 | 54 | GTEx | DepMap | Descartes | 9.86 | 49.75 |
CHGA | 0.0054705 | 75 | GTEx | DepMap | Descartes | 64.68 | 1055.97 |
LSM4 | 0.0052757 | 84 | GTEx | DepMap | Descartes | 46.90 | 791.48 |
L1CAM | 0.0049069 | 109 | GTEx | DepMap | Descartes | 6.35 | 38.24 |
GATA2 | 0.0048588 | 115 | GTEx | DepMap | Descartes | 23.92 | 218.46 |
HAND1 | 0.0048442 | 116 | GTEx | DepMap | Descartes | 17.39 | 319.83 |
GGCT | 0.0042070 | 151 | GTEx | DepMap | Descartes | 21.01 | 508.77 |
LYN | 0.0041002 | 159 | GTEx | DepMap | Descartes | 9.63 | 52.26 |
PTS | 0.0039337 | 169 | GTEx | DepMap | Descartes | 12.36 | 326.56 |
PHYHIPL | 0.0036513 | 206 | GTEx | DepMap | Descartes | 12.76 | 116.62 |
CDC42EP3 | 0.0036141 | 213 | GTEx | DepMap | Descartes | 19.00 | 115.80 |
SHD | 0.0035557 | 223 | GTEx | DepMap | Descartes | 14.48 | 232.94 |
RBP1 | 0.0034017 | 241 | GTEx | DepMap | Descartes | 35.87 | 553.93 |
CDKN3 | 0.0033438 | 252 | GTEx | DepMap | Descartes | 15.50 | 413.72 |
PHPT1 | 0.0033024 | 259 | GTEx | DepMap | Descartes | 33.92 | 726.78 |
RAB33A | 0.0032957 | 262 | GTEx | DepMap | Descartes | 4.11 | 134.79 |
MAP2 | 0.0032553 | 266 | GTEx | DepMap | Descartes | 10.88 | 34.73 |
CKB | 0.0032092 | 278 | GTEx | DepMap | Descartes | 48.47 | 1136.06 |
ATP6V0E2 | 0.0031994 | 279 | GTEx | DepMap | Descartes | 7.12 | 52.09 |
EML4 | 0.0028531 | 336 | GTEx | DepMap | Descartes | 13.51 | 72.12 |
SYT1 | 0.0028230 | 339 | GTEx | DepMap | Descartes | 37.74 | 243.83 |
RANBP1 | 0.0027904 | 345 | GTEx | DepMap | Descartes | 77.34 | 1066.15 |
STMN2 | 0.0027397 | 355 | GTEx | DepMap | Descartes | 49.05 | 772.37 |
ENDOG | 0.0026708 | 363 | GTEx | DepMap | Descartes | 10.90 | 302.45 |
VanGroningen Mesenchymal Genes
Mesenchymal marker genes from Supplementary Table 2 of Van Groningen et al. Nature Genetics 2017. These genes were identified by differential expression analysis of mesenchymal-like and adrenergic-like neuroblastoma cell lines.
Wilcoxon ranksum test P-value for gene set overrepresentation: 1.00e+00
Mean rank of genes in gene set: 8071.58
Median rank of genes in gene set: 9932
Rank on gene expression program of top 30 genes in gene set:
Genes | Weight | Rank | GTEx | DepMap | Descartes | Mean.Counts | Mean.TPM |
---|---|---|---|---|---|---|---|
PRCP | 0.0070413 | 25 | GTEx | DepMap | Descartes | 8.26 | 40.55 |
PRDX4 | 0.0053749 | 78 | GTEx | DepMap | Descartes | 35.32 | 1178.97 |
OGFRL1 | 0.0051258 | 89 | GTEx | DepMap | Descartes | 4.16 | 16.01 |
ITM2B | 0.0049306 | 104 | GTEx | DepMap | Descartes | 35.66 | 119.96 |
ITM2C | 0.0037322 | 194 | GTEx | DepMap | Descartes | 11.17 | 179.92 |
B2M | 0.0036916 | 201 | GTEx | DepMap | Descartes | 60.84 | 801.12 |
SDF4 | 0.0031633 | 287 | GTEx | DepMap | Descartes | 6.85 | 61.68 |
PPIB | 0.0031230 | 292 | GTEx | DepMap | Descartes | 54.91 | 1510.76 |
SSR3 | 0.0029359 | 323 | GTEx | DepMap | Descartes | 22.81 | 191.13 |
SGK1 | 0.0026184 | 378 | GTEx | DepMap | Descartes | 2.08 | 12.64 |
ATP1B1 | 0.0025911 | 381 | GTEx | DepMap | Descartes | 14.11 | 179.11 |
SLC39A14 | 0.0025600 | 392 | GTEx | DepMap | Descartes | 3.27 | 24.38 |
LGALS1 | 0.0024984 | 415 | GTEx | DepMap | Descartes | 90.92 | 4192.63 |
PDIA6 | 0.0024709 | 426 | GTEx | DepMap | Descartes | 28.94 | 368.76 |
KDELR2 | 0.0024067 | 443 | GTEx | DepMap | Descartes | 12.54 | 141.42 |
PDIA3 | 0.0022730 | 487 | GTEx | DepMap | Descartes | 23.48 | 227.41 |
TNS1 | 0.0020753 | 547 | GTEx | DepMap | Descartes | 1.42 | 4.49 |
ELK3 | 0.0020336 | 566 | GTEx | DepMap | Descartes | 4.17 | 30.40 |
ACAP2 | 0.0019548 | 594 | GTEx | DepMap | Descartes | 6.01 | 24.98 |
MANF | 0.0019123 | 610 | GTEx | DepMap | Descartes | 9.23 | 207.06 |
SVIL | 0.0017904 | 667 | GTEx | DepMap | Descartes | 3.74 | 13.06 |
FAM120A | 0.0016870 | 736 | GTEx | DepMap | Descartes | 4.98 | 30.41 |
SURF4 | 0.0016865 | 737 | GTEx | DepMap | Descartes | 5.43 | 54.77 |
INSIG1 | 0.0016300 | 769 | GTEx | DepMap | Descartes | 2.21 | 23.67 |
ITPR1 | 0.0014528 | 862 | GTEx | DepMap | Descartes | 2.87 | 9.68 |
NANS | 0.0013999 | 896 | GTEx | DepMap | Descartes | 5.07 | 55.94 |
CD164 | 0.0013859 | 900 | GTEx | DepMap | Descartes | 6.04 | 41.58 |
FUCA2 | 0.0013790 | 907 | GTEx | DepMap | Descartes | 2.05 | 29.25 |
PCOLCE2 | 0.0013790 | 908 | GTEx | DepMap | Descartes | 2.34 | 37.05 |
TMED9 | 0.0013726 | 915 | GTEx | DepMap | Descartes | 7.71 | 102.84 |
Descartes adrenocortical markers
Top 50 marker genes of adrenocortical cells in the Decartes fetal adrenal single cell map (https://atlas.brotmanbaty.org/bbi/human-gene-expression-during-development/cell/adrenocortical/in/adrenal)
Wilcoxon ranksum test P-value for gene set overrepresentation: 1.30e-01
Mean rank of genes in gene set: 5596.92
Median rank of genes in gene set: 6053.5
Rank on gene expression program of top 30 genes in gene set:
Genes | Weight | Rank | GTEx | DepMap | Descartes | Mean.Counts | Mean.TPM |
---|---|---|---|---|---|---|---|
APOC1 | 0.0038752 | 185 | GTEx | DepMap | Descartes | 3.02 | 120.99 |
GRAMD1B | 0.0033203 | 256 | GTEx | DepMap | Descartes | 1.77 | 7.52 |
FDX1 | 0.0028531 | 337 | GTEx | DepMap | Descartes | 5.85 | 53.51 |
SCARB1 | 0.0019978 | 582 | GTEx | DepMap | Descartes | 2.78 | 14.57 |
HMGCS1 | 0.0017415 | 697 | GTEx | DepMap | Descartes | 6.23 | 40.94 |
INHA | 0.0014845 | 848 | GTEx | DepMap | Descartes | 0.11 | 2.71 |
CYB5B | 0.0012329 | 1017 | GTEx | DepMap | Descartes | 5.72 | 42.55 |
MSMO1 | 0.0011720 | 1089 | GTEx | DepMap | Descartes | 4.25 | 67.39 |
STAR | 0.0010399 | 1240 | GTEx | DepMap | Descartes | 0.23 | 2.12 |
HMGCR | 0.0009358 | 1367 | GTEx | DepMap | Descartes | 4.97 | 40.13 |
LDLR | 0.0006655 | 1776 | GTEx | DepMap | Descartes | 2.41 | 14.43 |
DHCR7 | 0.0006387 | 1841 | GTEx | DepMap | Descartes | 1.68 | 20.15 |
IGF1R | 0.0005930 | 1947 | GTEx | DepMap | Descartes | 3.05 | 8.13 |
JAKMIP2 | 0.0004055 | 2450 | GTEx | DepMap | Descartes | 2.74 | 9.53 |
PDE10A | 0.0001495 | 3533 | GTEx | DepMap | Descartes | 0.73 | 3.02 |
NPC1 | 0.0000168 | 4380 | GTEx | DepMap | Descartes | 0.32 | 2.07 |
SGCZ | -0.0000458 | 5044 | GTEx | DepMap | Descartes | 0.02 | 0.09 |
FDPS | -0.0000821 | 5560 | GTEx | DepMap | Descartes | 14.36 | 248.79 |
DHCR24 | -0.0001538 | 6547 | GTEx | DepMap | Descartes | 2.67 | 15.41 |
ERN1 | -0.0001657 | 6729 | GTEx | DepMap | Descartes | 0.24 | 0.92 |
FRMD5 | -0.0001893 | 7023 | GTEx | DepMap | Descartes | 0.21 | 1.24 |
FREM2 | -0.0001981 | 7112 | GTEx | DepMap | Descartes | 0.00 | 0.00 |
SCAP | -0.0002350 | 7552 | GTEx | DepMap | Descartes | 0.65 | 4.60 |
DNER | -0.0002426 | 7618 | GTEx | DepMap | Descartes | 0.01 | 0.06 |
CLU | -0.0003484 | 8610 | GTEx | DepMap | Descartes | 3.40 | 38.50 |
GSTA4 | -0.0003620 | 8725 | GTEx | DepMap | Descartes | 1.85 | 34.97 |
POR | -0.0003975 | 9001 | GTEx | DepMap | Descartes | 1.11 | 14.27 |
BAIAP2L1 | -0.0004407 | 9375 | GTEx | DepMap | Descartes | 0.00 | 0.05 |
SLC16A9 | -0.0005059 | 9814 | GTEx | DepMap | Descartes | 0.16 | 1.36 |
TM7SF2 | -0.0006584 | 10643 | GTEx | DepMap | Descartes | 1.26 | 19.38 |
Descartes chromaffin markers
Top 50 marker genes of chromaffin cells in the Decartes fetal adrenal single cell map (https://atlas.brotmanbaty.org/bbi/human-gene-expression-during-development/cell/chromaffin/in/adrenal)
Wilcoxon ranksum test P-value for gene set overrepresentation: 6.60e-01
Mean rank of genes in gene set: 6508.07
Median rank of genes in gene set: 7605
Rank on gene expression program of top 30 genes in gene set:
Genes | Weight | Rank | GTEx | DepMap | Descartes | Mean.Counts | Mean.TPM |
---|---|---|---|---|---|---|---|
RPH3A | 0.0036223 | 209 | GTEx | DepMap | Descartes | 3.69 | 22.53 |
STMN2 | 0.0027397 | 355 | GTEx | DepMap | Descartes | 49.05 | 772.37 |
NPY | 0.0020741 | 548 | GTEx | DepMap | Descartes | 60.33 | 2650.46 |
MARCH11 | 0.0016589 | 754 | GTEx | DepMap | Descartes | 5.70 | NA |
SYNPO2 | 0.0012496 | 1005 | GTEx | DepMap | Descartes | 11.69 | 24.74 |
PLXNA4 | 0.0010486 | 1226 | GTEx | DepMap | Descartes | 1.68 | 3.96 |
SLC6A2 | 0.0010162 | 1261 | GTEx | DepMap | Descartes | 5.74 | 50.40 |
HS3ST5 | 0.0005485 | 2064 | GTEx | DepMap | Descartes | 0.75 | 6.39 |
TUBA1A | 0.0005396 | 2090 | GTEx | DepMap | Descartes | 74.52 | 1294.78 |
RGMB | 0.0005125 | 2145 | GTEx | DepMap | Descartes | 1.44 | 10.55 |
TMEFF2 | 0.0004722 | 2258 | GTEx | DepMap | Descartes | 0.39 | 4.12 |
CCND1 | 0.0004543 | 2311 | GTEx | DepMap | Descartes | 33.90 | 261.59 |
EYA1 | 0.0003577 | 2619 | GTEx | DepMap | Descartes | 1.54 | 12.51 |
EPHA6 | 0.0003393 | 2689 | GTEx | DepMap | Descartes | 0.14 | 1.20 |
GAP43 | -0.0000095 | 4628 | GTEx | DepMap | Descartes | 5.95 | 92.50 |
EYA4 | -0.0000377 | 4929 | GTEx | DepMap | Descartes | 0.70 | 3.89 |
PTCHD1 | -0.0000653 | 5312 | GTEx | DepMap | Descartes | 0.03 | 0.07 |
ANKFN1 | -0.0000732 | 5425 | GTEx | DepMap | Descartes | 0.00 | 0.01 |
CNKSR2 | -0.0000945 | 5732 | GTEx | DepMap | Descartes | 0.74 | 2.92 |
MLLT11 | -0.0001254 | 6172 | GTEx | DepMap | Descartes | 17.32 | 209.77 |
IL7 | -0.0002415 | 7605 | GTEx | DepMap | Descartes | 0.29 | 4.28 |
TMEM132C | -0.0002516 | 7724 | GTEx | DepMap | Descartes | 0.00 | 0.02 |
TUBB2A | -0.0002971 | 8165 | GTEx | DepMap | Descartes | 3.96 | 80.51 |
CNTFR | -0.0003225 | 8385 | GTEx | DepMap | Descartes | 1.57 | 22.61 |
GREM1 | -0.0003713 | 8799 | GTEx | DepMap | Descartes | 0.07 | 0.14 |
RYR2 | -0.0003809 | 8882 | GTEx | DepMap | Descartes | 0.23 | 0.47 |
REEP1 | -0.0004078 | 9089 | GTEx | DepMap | Descartes | 0.04 | 0.31 |
RBFOX1 | -0.0004460 | 9420 | GTEx | DepMap | Descartes | 0.21 | 1.45 |
KCNB2 | -0.0004884 | 9717 | GTEx | DepMap | Descartes | 0.00 | 0.00 |
NTRK1 | -0.0004901 | 9726 | GTEx | DepMap | Descartes | 0.24 | 2.33 |
Descartes Vascular_endothelial markers
Top 50 marker genes of Vascular_endothelial cells in the Decartes fetal adrenal single cell map (https://atlas.brotmanbaty.org/bbi/human-gene-expression-during-development/cell/vascular_endothelial/in/adrenal)
Wilcoxon ranksum test P-value for gene set overrepresentation: 8.39e-01
Mean rank of genes in gene set: 6856.71
Median rank of genes in gene set: 6054.5
Rank on gene expression program of top 30 genes in gene set:
Genes | Weight | Rank | GTEx | DepMap | Descartes | Mean.Counts | Mean.TPM |
---|---|---|---|---|---|---|---|
TMEM88 | 0.0013401 | 938 | GTEx | DepMap | Descartes | 0.62 | 21.96 |
EFNB2 | 0.0004551 | 2305 | GTEx | DepMap | Descartes | 1.54 | 9.84 |
MYRIP | 0.0002419 | 3064 | GTEx | DepMap | Descartes | 0.94 | 5.80 |
FLT4 | 0.0000744 | 3962 | GTEx | DepMap | Descartes | 0.04 | 0.17 |
BTNL9 | 0.0000424 | 4189 | GTEx | DepMap | Descartes | 0.00 | 0.03 |
PTPRB | 0.0000263 | 4293 | GTEx | DepMap | Descartes | 0.16 | 0.45 |
NOTCH4 | 0.0000095 | 4436 | GTEx | DepMap | Descartes | 0.20 | 0.84 |
KANK3 | -0.0000139 | 4667 | GTEx | DepMap | Descartes | 0.00 | 0.00 |
CALCRL | -0.0000303 | 4835 | GTEx | DepMap | Descartes | 0.07 | 0.41 |
SHE | -0.0000333 | 4879 | GTEx | DepMap | Descartes | 0.00 | 0.00 |
CRHBP | -0.0000386 | 4940 | GTEx | DepMap | Descartes | 0.00 | 0.00 |
RASIP1 | -0.0000465 | 5049 | GTEx | DepMap | Descartes | 0.03 | 0.19 |
MMRN2 | -0.0000550 | 5180 | GTEx | DepMap | Descartes | 0.00 | 0.00 |
F8 | -0.0000740 | 5445 | GTEx | DepMap | Descartes | 0.04 | 0.16 |
TIE1 | -0.0000821 | 5562 | GTEx | DepMap | Descartes | 0.00 | 0.00 |
PLVAP | -0.0000990 | 5800 | GTEx | DepMap | Descartes | 0.00 | 0.00 |
CYP26B1 | -0.0000997 | 5810 | GTEx | DepMap | Descartes | 0.00 | 0.00 |
ROBO4 | -0.0001143 | 6027 | GTEx | DepMap | Descartes | 0.00 | 0.01 |
CDH5 | -0.0001149 | 6035 | GTEx | DepMap | Descartes | 0.01 | 0.07 |
NR5A2 | -0.0001171 | 6074 | GTEx | DepMap | Descartes | 0.00 | 0.00 |
ESM1 | -0.0001308 | 6248 | GTEx | DepMap | Descartes | 0.00 | 0.00 |
GALNT15 | -0.0001586 | 6621 | GTEx | DepMap | Descartes | 0.00 | NA |
CEACAM1 | -0.0001594 | 6634 | GTEx | DepMap | Descartes | 0.00 | 0.01 |
TEK | -0.0002392 | 7589 | GTEx | DepMap | Descartes | 0.00 | 0.00 |
SLCO2A1 | -0.0002588 | 7792 | GTEx | DepMap | Descartes | 0.00 | 0.00 |
CLDN5 | -0.0002970 | 8164 | GTEx | DepMap | Descartes | 0.00 | 0.01 |
KDR | -0.0003518 | 8645 | GTEx | DepMap | Descartes | 0.00 | 0.00 |
EHD3 | -0.0004063 | 9080 | GTEx | DepMap | Descartes | 0.17 | 1.21 |
CDH13 | -0.0004089 | 9102 | GTEx | DepMap | Descartes | 0.00 | 0.00 |
SHANK3 | -0.0004241 | 9244 | GTEx | DepMap | Descartes | 0.03 | 0.09 |
Descartes stromal markers
Top 50 marker genes of stromal cells in the Decartes fetal adrenal single cell map (https://atlas.brotmanbaty.org/bbi/human-gene-expression-during-development/cell/stromal/in/adrenal)
Wilcoxon ranksum test P-value for gene set overrepresentation: 1.00e+00
Mean rank of genes in gene set: 8234.2
Median rank of genes in gene set: 9192.5
Rank on gene expression program of top 30 genes in gene set:
Genes | Weight | Rank | GTEx | DepMap | Descartes | Mean.Counts | Mean.TPM |
---|---|---|---|---|---|---|---|
ABCC9 | 0.0032510 | 267 | GTEx | DepMap | Descartes | 1.47 | 5.60 |
CD248 | 0.0018232 | 649 | GTEx | DepMap | Descartes | 1.45 | 18.61 |
PRICKLE1 | 0.0010052 | 1273 | GTEx | DepMap | Descartes | 2.43 | 13.16 |
EDNRA | 0.0005908 | 1955 | GTEx | DepMap | Descartes | 0.74 | 5.99 |
ISLR | 0.0003261 | 2748 | GTEx | DepMap | Descartes | 0.12 | 1.56 |
ELN | 0.0001509 | 3523 | GTEx | DepMap | Descartes | 0.22 | 1.83 |
ITGA11 | 0.0000992 | 3806 | GTEx | DepMap | Descartes | 0.63 | 2.04 |
ADAMTSL3 | -0.0000209 | 4743 | GTEx | DepMap | Descartes | 0.00 | 0.00 |
LAMC3 | -0.0000317 | 4856 | GTEx | DepMap | Descartes | 0.01 | 0.04 |
SFRP2 | -0.0000400 | 4958 | GTEx | DepMap | Descartes | 0.00 | 0.00 |
GAS2 | -0.0000467 | 5053 | GTEx | DepMap | Descartes | 0.16 | 2.25 |
BICC1 | -0.0000515 | 5122 | GTEx | DepMap | Descartes | 0.76 | 4.22 |
SCARA5 | -0.0000672 | 5334 | GTEx | DepMap | Descartes | 0.00 | 0.00 |
ABCA6 | -0.0000673 | 5336 | GTEx | DepMap | Descartes | 0.00 | 0.00 |
OGN | -0.0000797 | 5536 | GTEx | DepMap | Descartes | 0.00 | 0.01 |
RSPO3 | -0.0001581 | 6612 | GTEx | DepMap | Descartes | 0.00 | NA |
CLDN11 | -0.0001689 | 6765 | GTEx | DepMap | Descartes | 0.02 | 0.31 |
ACTA2 | -0.0002434 | 7641 | GTEx | DepMap | Descartes | 0.33 | 6.74 |
PAMR1 | -0.0002440 | 7648 | GTEx | DepMap | Descartes | 0.00 | 0.00 |
ADAMTS2 | -0.0002447 | 7653 | GTEx | DepMap | Descartes | 0.18 | 0.76 |
POSTN | -0.0003361 | 8528 | GTEx | DepMap | Descartes | 0.00 | 0.00 |
PCDH18 | -0.0004157 | 9160 | GTEx | DepMap | Descartes | 0.23 | 1.43 |
COL27A1 | -0.0004221 | 9225 | GTEx | DepMap | Descartes | 0.01 | 0.03 |
FREM1 | -0.0004290 | 9282 | GTEx | DepMap | Descartes | 0.01 | 0.05 |
GLI2 | -0.0005244 | 9920 | GTEx | DepMap | Descartes | 0.31 | 1.44 |
LOX | -0.0006306 | 10520 | GTEx | DepMap | Descartes | 0.02 | 0.12 |
COL1A2 | -0.0006984 | 10833 | GTEx | DepMap | Descartes | 0.00 | 0.00 |
IGFBP3 | -0.0007957 | 11176 | GTEx | DepMap | Descartes | 0.06 | 0.53 |
COL12A1 | -0.0008488 | 11320 | GTEx | DepMap | Descartes | 0.00 | 0.01 |
DKK2 | -0.0008996 | 11456 | GTEx | DepMap | Descartes | 0.08 | 0.58 |
Descartes sympathoblasts markers
Top 50 marker genes of sympathoblasts cells in the Decartes fetal adrenal single cell map (https://atlas.brotmanbaty.org/bbi/human-gene-expression-during-development/cell/sympathoblasts/in/adrenal)
Wilcoxon ranksum test P-value for gene set overrepresentation: 6.12e-02
Mean rank of genes in gene set: 5368.29
Median rank of genes in gene set: 5349.5
Rank on gene expression program of top 30 genes in gene set:
Genes | Weight | Rank | GTEx | DepMap | Descartes | Mean.Counts | Mean.TPM |
---|---|---|---|---|---|---|---|
C1QL1 | 0.0073191 | 19 | GTEx | DepMap | Descartes | 13.27 | 255.87 |
CHGB | 0.0069620 | 28 | GTEx | DepMap | Descartes | 38.73 | 542.20 |
HTATSF1 | 0.0058563 | 57 | GTEx | DepMap | Descartes | 21.83 | 227.77 |
CHGA | 0.0054705 | 75 | GTEx | DepMap | Descartes | 64.68 | 1055.97 |
FAM155A | 0.0019847 | 587 | GTEx | DepMap | Descartes | 3.55 | 12.09 |
DGKK | 0.0011851 | 1076 | GTEx | DepMap | Descartes | 0.57 | 2.61 |
ARC | 0.0010840 | 1184 | GTEx | DepMap | Descartes | 0.79 | 8.76 |
PCSK1N | 0.0009909 | 1293 | GTEx | DepMap | Descartes | 16.43 | 461.42 |
EML6 | 0.0009049 | 1406 | GTEx | DepMap | Descartes | 1.98 | 6.55 |
GCH1 | 0.0007336 | 1658 | GTEx | DepMap | Descartes | 1.34 | 15.35 |
TBX20 | 0.0006482 | 1814 | GTEx | DepMap | Descartes | 0.32 | 6.69 |
SPOCK3 | 0.0005464 | 2075 | GTEx | DepMap | Descartes | 0.60 | 6.88 |
SLC18A1 | 0.0004230 | 2400 | GTEx | DepMap | Descartes | 0.93 | 10.00 |
CDH12 | 0.0001359 | 3616 | GTEx | DepMap | Descartes | 0.01 | 0.15 |
UNC80 | 0.0001303 | 3649 | GTEx | DepMap | Descartes | 0.60 | 1.48 |
ROBO1 | 0.0000229 | 4322 | GTEx | DepMap | Descartes | 1.50 | 6.98 |
AGBL4 | 0.0000051 | 4484 | GTEx | DepMap | Descartes | 0.12 | 0.94 |
LAMA3 | 0.0000044 | 4488 | GTEx | DepMap | Descartes | 0.01 | 0.03 |
CDH18 | -0.0000641 | 5295 | GTEx | DepMap | Descartes | 0.08 | 0.51 |
PACRG | -0.0000716 | 5404 | GTEx | DepMap | Descartes | 0.04 | 0.65 |
SLC24A2 | -0.0001102 | 5967 | GTEx | DepMap | Descartes | 0.00 | 0.00 |
KSR2 | -0.0001309 | 6249 | GTEx | DepMap | Descartes | 0.00 | 0.01 |
CCSER1 | -0.0001423 | 6401 | GTEx | DepMap | Descartes | 0.19 | NA |
PENK | -0.0001650 | 6713 | GTEx | DepMap | Descartes | 0.00 | 0.00 |
SORCS3 | -0.0001780 | 6887 | GTEx | DepMap | Descartes | 0.00 | 0.00 |
CNTN3 | -0.0002099 | 7245 | GTEx | DepMap | Descartes | 0.00 | 0.01 |
ST18 | -0.0003146 | 8319 | GTEx | DepMap | Descartes | 0.01 | 0.05 |
GALNTL6 | -0.0003743 | 8827 | GTEx | DepMap | Descartes | 0.08 | 0.59 |
TIAM1 | -0.0003898 | 8951 | GTEx | DepMap | Descartes | 1.04 | 4.83 |
SLC35F3 | -0.0004475 | 9433 | GTEx | DepMap | Descartes | 0.01 | 0.08 |
Descartes erythroblasts markers
Top 50 marker genes of erythroblasts cells in the Decartes fetal adrenal single cell map (https://atlas.brotmanbaty.org/bbi/human-gene-expression-during-development/cell/erythroblasts/in/adrenal)
Wilcoxon ranksum test P-value for gene set overrepresentation: 7.42e-01
Mean rank of genes in gene set: 6711
Median rank of genes in gene set: 5793
Rank on gene expression program of top 30 genes in gene set:
Genes | Weight | Rank | GTEx | DepMap | Descartes | Mean.Counts | Mean.TPM |
---|---|---|---|---|---|---|---|
SPTB | 0.0012740 | 981 | GTEx | DepMap | Descartes | 0.46 | 1.38 |
SLC25A37 | 0.0005540 | 2047 | GTEx | DepMap | Descartes | 4.49 | 30.68 |
RAPGEF2 | 0.0005209 | 2134 | GTEx | DepMap | Descartes | 1.72 | 6.87 |
TRAK2 | 0.0005109 | 2148 | GTEx | DepMap | Descartes | 1.77 | 8.96 |
DENND4A | 0.0003824 | 2525 | GTEx | DepMap | Descartes | 1.03 | 4.12 |
ABCB10 | 0.0000770 | 3940 | GTEx | DepMap | Descartes | 0.52 | 4.67 |
ANK1 | 0.0000545 | 4093 | GTEx | DepMap | Descartes | 0.23 | 0.88 |
GCLC | 0.0000141 | 4395 | GTEx | DepMap | Descartes | 1.09 | 9.48 |
XPO7 | -0.0000522 | 5135 | GTEx | DepMap | Descartes | 1.45 | 9.86 |
SLC25A21 | -0.0000532 | 5150 | GTEx | DepMap | Descartes | 0.00 | 0.02 |
RHD | -0.0000600 | 5245 | GTEx | DepMap | Descartes | 0.00 | 0.00 |
ALAS2 | -0.0000645 | 5300 | GTEx | DepMap | Descartes | 0.00 | 0.00 |
GYPC | -0.0000714 | 5402 | GTEx | DepMap | Descartes | 0.00 | 0.00 |
TMCC2 | -0.0000766 | 5493 | GTEx | DepMap | Descartes | 0.10 | 0.78 |
SLC4A1 | -0.0000984 | 5793 | GTEx | DepMap | Descartes | 0.00 | 0.00 |
FECH | -0.0001330 | 6284 | GTEx | DepMap | Descartes | 0.38 | 1.65 |
TFR2 | -0.0001646 | 6711 | GTEx | DepMap | Descartes | 0.14 | 1.23 |
CPOX | -0.0001893 | 7022 | GTEx | DepMap | Descartes | 0.37 | 4.69 |
RGS6 | -0.0001943 | 7080 | GTEx | DepMap | Descartes | 0.00 | 0.00 |
SELENBP1 | -0.0002428 | 7627 | GTEx | DepMap | Descartes | 0.09 | 1.02 |
MARCH3 | -0.0002840 | 8043 | GTEx | DepMap | Descartes | 0.34 | NA |
MICAL2 | -0.0003858 | 8925 | GTEx | DepMap | Descartes | 0.52 | 2.54 |
CAT | -0.0007629 | 11064 | GTEx | DepMap | Descartes | 0.74 | 11.09 |
SPECC1 | -0.0009717 | 11635 | GTEx | DepMap | Descartes | 0.03 | 0.11 |
EPB41 | -0.0010358 | 11770 | GTEx | DepMap | Descartes | 3.73 | 18.74 |
BLVRB | -0.0011191 | 11909 | GTEx | DepMap | Descartes | 0.57 | 12.89 |
SNCA | -0.0011718 | 11993 | GTEx | DepMap | Descartes | 0.16 | 1.43 |
SOX6 | -0.0014171 | 12262 | GTEx | DepMap | Descartes | 0.02 | 0.07 |
TSPAN5 | -0.0023352 | 12513 | GTEx | DepMap | Descartes | 0.39 | 2.96 |
NA | NA | NA | NA | NA | NA | NA | NA |
Descartes myeloid markers
Top 50 marker genes of myeloid cells in the Decartes fetal adrenal single cell map (https://atlas.brotmanbaty.org/bbi/human-gene-expression-during-development/cell/myeloid/in/adrenal)
Wilcoxon ranksum test P-value for gene set overrepresentation: 9.06e-01
Mean rank of genes in gene set: 7046.92
Median rank of genes in gene set: 7071
Rank on gene expression program of top 30 genes in gene set:
Genes | Weight | Rank | GTEx | DepMap | Descartes | Mean.Counts | Mean.TPM |
---|---|---|---|---|---|---|---|
CD163L1 | 0.0033475 | 251 | GTEx | DepMap | Descartes | 7.78 | 47.96 |
CD14 | 0.0022117 | 506 | GTEx | DepMap | Descartes | 0.18 | 3.41 |
WWP1 | 0.0012513 | 1003 | GTEx | DepMap | Descartes | 1.51 | 9.47 |
SFMBT2 | 0.0010441 | 1236 | GTEx | DepMap | Descartes | 0.92 | 3.71 |
CTSC | 0.0006609 | 1788 | GTEx | DepMap | Descartes | 6.95 | 36.61 |
ITPR2 | 0.0005561 | 2041 | GTEx | DepMap | Descartes | 3.41 | 8.83 |
CTSB | 0.0004750 | 2248 | GTEx | DepMap | Descartes | 3.69 | 30.10 |
IFNGR1 | 0.0002367 | 3093 | GTEx | DepMap | Descartes | 1.24 | 17.47 |
SLCO2B1 | 0.0001744 | 3380 | GTEx | DepMap | Descartes | 0.02 | 0.09 |
FGL2 | 0.0000105 | 4426 | GTEx | DepMap | Descartes | 0.00 | 0.02 |
CYBB | -0.0000128 | 4655 | GTEx | DepMap | Descartes | 0.00 | 0.00 |
CD163 | -0.0000160 | 4697 | GTEx | DepMap | Descartes | 0.00 | 0.00 |
HCK | -0.0000339 | 4888 | GTEx | DepMap | Descartes | 0.00 | 0.00 |
FGD2 | -0.0000350 | 4901 | GTEx | DepMap | Descartes | 0.00 | 0.00 |
LGMN | -0.0000402 | 4960 | GTEx | DepMap | Descartes | 0.95 | 15.68 |
CSF1R | -0.0001104 | 5970 | GTEx | DepMap | Descartes | 0.00 | 0.00 |
ATP8B4 | -0.0001358 | 6324 | GTEx | DepMap | Descartes | 0.00 | 0.00 |
ADAP2 | -0.0001664 | 6741 | GTEx | DepMap | Descartes | 0.00 | 0.00 |
MSR1 | -0.0001854 | 6968 | GTEx | DepMap | Descartes | 0.00 | 0.03 |
MS4A4A | -0.0002032 | 7174 | GTEx | DepMap | Descartes | 0.00 | 0.00 |
MARCH1 | -0.0002543 | 7750 | GTEx | DepMap | Descartes | 0.00 | NA |
SLC9A9 | -0.0002687 | 7896 | GTEx | DepMap | Descartes | 0.01 | 0.03 |
CD74 | -0.0002980 | 8171 | GTEx | DepMap | Descartes | 0.01 | 0.13 |
SPP1 | -0.0003707 | 8796 | GTEx | DepMap | Descartes | 0.00 | 0.00 |
CTSS | -0.0004456 | 9418 | GTEx | DepMap | Descartes | 0.00 | 0.00 |
MERTK | -0.0005017 | 9792 | GTEx | DepMap | Descartes | 0.03 | 0.21 |
HRH1 | -0.0006046 | 10409 | GTEx | DepMap | Descartes | 0.01 | 0.13 |
TGFBI | -0.0006171 | 10456 | GTEx | DepMap | Descartes | 0.01 | 0.05 |
ABCA1 | -0.0006945 | 10814 | GTEx | DepMap | Descartes | 0.01 | 0.03 |
SLC1A3 | -0.0007943 | 11170 | GTEx | DepMap | Descartes | 0.07 | 0.63 |
Descartes Schwann markers
Top 50 marker genes of Schwann cells in the Decartes fetal adrenal single cell map (https://atlas.brotmanbaty.org/bbi/human-gene-expression-during-development/cell/schwann/in/adrenal)
Wilcoxon ranksum test P-value for gene set overrepresentation: 1.00e+00
Mean rank of genes in gene set: 8736.57
Median rank of genes in gene set: 9523.5
Rank on gene expression program of top 30 genes in gene set:
Genes | Weight | Rank | GTEx | DepMap | Descartes | Mean.Counts | Mean.TPM |
---|---|---|---|---|---|---|---|
PTN | 0.0012322 | 1018 | GTEx | DepMap | Descartes | 16.08 | 323.76 |
GRIK3 | 0.0007147 | 1690 | GTEx | DepMap | Descartes | 0.42 | 1.39 |
PPP2R2B | 0.0003478 | 2653 | GTEx | DepMap | Descartes | 2.65 | 7.22 |
LAMA4 | 0.0001498 | 3530 | GTEx | DepMap | Descartes | 0.67 | 2.74 |
MPZ | 0.0001294 | 3655 | GTEx | DepMap | Descartes | 0.06 | 0.87 |
ERBB3 | 0.0001073 | 3761 | GTEx | DepMap | Descartes | 0.03 | 0.17 |
IL1RAPL2 | -0.0000518 | 5128 | GTEx | DepMap | Descartes | 0.00 | 0.00 |
PLP1 | -0.0000711 | 5397 | GTEx | DepMap | Descartes | 0.00 | 0.01 |
XKR4 | -0.0000736 | 5434 | GTEx | DepMap | Descartes | 0.00 | 0.00 |
LAMC1 | -0.0000769 | 5494 | GTEx | DepMap | Descartes | 2.05 | 8.71 |
OLFML2A | -0.0000973 | 5779 | GTEx | DepMap | Descartes | 0.03 | 0.15 |
GFRA3 | -0.0001156 | 6047 | GTEx | DepMap | Descartes | 0.03 | 0.61 |
PAG1 | -0.0001195 | 6100 | GTEx | DepMap | Descartes | 0.38 | 1.18 |
STARD13 | -0.0002025 | 7167 | GTEx | DepMap | Descartes | 0.20 | 1.12 |
LRRTM4 | -0.0002128 | 7282 | GTEx | DepMap | Descartes | 0.00 | 0.00 |
SORCS1 | -0.0002162 | 7317 | GTEx | DepMap | Descartes | 1.13 | 5.19 |
COL25A1 | -0.0002531 | 7743 | GTEx | DepMap | Descartes | 0.00 | 0.00 |
NRXN3 | -0.0003099 | 8281 | GTEx | DepMap | Descartes | 0.00 | 0.00 |
GAS7 | -0.0003162 | 8335 | GTEx | DepMap | Descartes | 0.01 | 0.02 |
EGFLAM | -0.0003560 | 8678 | GTEx | DepMap | Descartes | 0.01 | 0.07 |
SCN7A | -0.0004399 | 9371 | GTEx | DepMap | Descartes | 0.02 | 0.07 |
MDGA2 | -0.0004528 | 9482 | GTEx | DepMap | Descartes | 0.00 | 0.01 |
NRXN1 | -0.0004646 | 9565 | GTEx | DepMap | Descartes | 0.56 | 2.01 |
TRPM3 | -0.0005521 | 10095 | GTEx | DepMap | Descartes | 0.02 | 0.04 |
IL1RAPL1 | -0.0005647 | 10175 | GTEx | DepMap | Descartes | 0.01 | 0.05 |
ERBB4 | -0.0006432 | 10579 | GTEx | DepMap | Descartes | 0.07 | 0.21 |
COL5A2 | -0.0007400 | 10980 | GTEx | DepMap | Descartes | 0.03 | 0.13 |
EDNRB | -0.0007558 | 11037 | GTEx | DepMap | Descartes | 0.00 | 0.00 |
PLCE1 | -0.0007715 | 11087 | GTEx | DepMap | Descartes | 0.28 | 0.71 |
SLC35F1 | -0.0009428 | 11571 | GTEx | DepMap | Descartes | 0.01 | 0.06 |
Descartes Megakaryocytes markers
Top 50 marker genes of Megakaryocytes cells in the Decartes fetal adrenal single cell map (https://atlas.brotmanbaty.org/bbi/human-gene-expression-during-development/cell/megakaryocytes/in/adrenal)
Wilcoxon ranksum test P-value for gene set overrepresentation: 9.90e-01
Mean rank of genes in gene set: 7534.51
Median rank of genes in gene set: 7676
Rank on gene expression program of top 30 genes in gene set:
Genes | Weight | Rank | GTEx | DepMap | Descartes | Mean.Counts | Mean.TPM |
---|---|---|---|---|---|---|---|
PRKAR2B | 0.0025127 | 411 | GTEx | DepMap | Descartes | 7.49 | 60.78 |
TPM4 | 0.0020519 | 556 | GTEx | DepMap | Descartes | 21.64 | 137.02 |
ACTB | 0.0017317 | 705 | GTEx | DepMap | Descartes | 114.94 | 1609.00 |
STON2 | 0.0007316 | 1664 | GTEx | DepMap | Descartes | 0.88 | 6.59 |
RAB27B | 0.0007315 | 1665 | GTEx | DepMap | Descartes | 1.01 | 5.01 |
MED12L | 0.0006519 | 1810 | GTEx | DepMap | Descartes | 0.66 | 2.12 |
ACTN1 | 0.0004345 | 2364 | GTEx | DepMap | Descartes | 5.30 | 36.92 |
STOM | 0.0004268 | 2386 | GTEx | DepMap | Descartes | 2.07 | 22.48 |
TGFB1 | 0.0001705 | 3410 | GTEx | DepMap | Descartes | 2.14 | 22.93 |
PLEK | 0.0001459 | 3550 | GTEx | DepMap | Descartes | 0.01 | 0.07 |
MMRN1 | -0.0000519 | 5130 | GTEx | DepMap | Descartes | 0.00 | 0.00 |
SPN | -0.0000629 | 5285 | GTEx | DepMap | Descartes | 0.03 | 0.13 |
SLC2A3 | -0.0000684 | 5354 | GTEx | DepMap | Descartes | 0.16 | 1.17 |
TUBB1 | -0.0000937 | 5722 | GTEx | DepMap | Descartes | 0.00 | 0.00 |
GP1BA | -0.0000945 | 5731 | GTEx | DepMap | Descartes | 0.00 | 0.02 |
ANGPT1 | -0.0000977 | 5782 | GTEx | DepMap | Descartes | 0.32 | 2.30 |
ITGA2B | -0.0001303 | 6244 | GTEx | DepMap | Descartes | 0.02 | 0.14 |
P2RX1 | -0.0001516 | 6513 | GTEx | DepMap | Descartes | 0.00 | 0.00 |
CD84 | -0.0001543 | 6553 | GTEx | DepMap | Descartes | 0.00 | 0.00 |
MCTP1 | -0.0001671 | 6746 | GTEx | DepMap | Descartes | 0.07 | 0.39 |
FERMT3 | -0.0002189 | 7353 | GTEx | DepMap | Descartes | 0.27 | 3.08 |
ITGB3 | -0.0002337 | 7538 | GTEx | DepMap | Descartes | 0.02 | 0.08 |
TRPC6 | -0.0002467 | 7676 | GTEx | DepMap | Descartes | 0.00 | 0.00 |
SLC24A3 | -0.0003685 | 8783 | GTEx | DepMap | Descartes | 0.00 | 0.00 |
RAP1B | -0.0003995 | 9017 | GTEx | DepMap | Descartes | 7.57 | 18.07 |
CD9 | -0.0004010 | 9030 | GTEx | DepMap | Descartes | 7.78 | 152.40 |
VCL | -0.0004017 | 9038 | GTEx | DepMap | Descartes | 2.08 | 8.61 |
FLI1 | -0.0005482 | 10070 | GTEx | DepMap | Descartes | 0.01 | 0.05 |
TLN1 | -0.0005653 | 10180 | GTEx | DepMap | Descartes | 5.24 | 18.04 |
GSN | -0.0006773 | 10735 | GTEx | DepMap | Descartes | 0.15 | 0.72 |
Descartes Lyphoid markers
Top 50 marker genes of Lyphoid cells in the Decartes fetal adrenal single cell map (https://atlas.brotmanbaty.org/bbi/human-gene-expression-during-development/cell/lymphoid/in/adrenal)
Wilcoxon ranksum test P-value for gene set overrepresentation: 4.01e-01
Mean rank of genes in gene set: 6135.1
Median rank of genes in gene set: 5678.5
Rank on gene expression program of top 30 genes in gene set:
Genes | Weight | Rank | GTEx | DepMap | Descartes | Mean.Counts | Mean.TPM |
---|---|---|---|---|---|---|---|
B2M | 0.0036916 | 201 | GTEx | DepMap | Descartes | 60.84 | 801.12 |
MSN | 0.0022036 | 509 | GTEx | DepMap | Descartes | 5.70 | 48.88 |
ABLIM1 | 0.0010222 | 1255 | GTEx | DepMap | Descartes | 3.76 | 15.73 |
SORL1 | 0.0006186 | 1886 | GTEx | DepMap | Descartes | 0.69 | 2.15 |
GNG2 | 0.0006041 | 1925 | GTEx | DepMap | Descartes | 3.68 | 29.36 |
BCL2 | 0.0005593 | 2035 | GTEx | DepMap | Descartes | 1.62 | 7.22 |
CCND3 | 0.0005245 | 2126 | GTEx | DepMap | Descartes | 1.36 | 18.28 |
RCSD1 | 0.0004714 | 2260 | GTEx | DepMap | Descartes | 0.03 | 0.12 |
TOX | 0.0004598 | 2293 | GTEx | DepMap | Descartes | 1.05 | 8.39 |
NCALD | 0.0003982 | 2472 | GTEx | DepMap | Descartes | 0.90 | 7.50 |
FYN | 0.0003875 | 2504 | GTEx | DepMap | Descartes | 2.87 | 25.30 |
STK39 | 0.0003309 | 2731 | GTEx | DepMap | Descartes | 1.84 | 18.92 |
LCP1 | 0.0002638 | 2971 | GTEx | DepMap | Descartes | 0.63 | 5.25 |
MBNL1 | 0.0002178 | 3172 | GTEx | DepMap | Descartes | 2.90 | 14.40 |
PDE3B | 0.0001944 | 3275 | GTEx | DepMap | Descartes | 1.02 | 5.70 |
RAP1GAP2 | 0.0001421 | 3574 | GTEx | DepMap | Descartes | 0.73 | 3.39 |
EVL | 0.0001305 | 3647 | GTEx | DepMap | Descartes | 4.83 | 41.08 |
PLEKHA2 | 0.0000537 | 4098 | GTEx | DepMap | Descartes | 0.31 | 1.72 |
ARID5B | -0.0000205 | 4739 | GTEx | DepMap | Descartes | 1.63 | 7.09 |
CCL5 | -0.0000692 | 5366 | GTEx | DepMap | Descartes | 0.00 | 0.00 |
MCTP2 | -0.0000763 | 5487 | GTEx | DepMap | Descartes | 0.01 | 0.08 |
PRKCH | -0.0001030 | 5870 | GTEx | DepMap | Descartes | 0.06 | 0.52 |
ARHGAP15 | -0.0001064 | 5922 | GTEx | DepMap | Descartes | 0.00 | 0.00 |
SKAP1 | -0.0001113 | 5984 | GTEx | DepMap | Descartes | 0.00 | 0.05 |
PITPNC1 | -0.0001370 | 6341 | GTEx | DepMap | Descartes | 1.12 | 5.88 |
SAMD3 | -0.0001773 | 6882 | GTEx | DepMap | Descartes | 0.00 | 0.00 |
IKZF1 | -0.0001901 | 7031 | GTEx | DepMap | Descartes | 0.00 | 0.00 |
ANKRD44 | -0.0001982 | 7114 | GTEx | DepMap | Descartes | 0.55 | 2.53 |
ETS1 | -0.0002088 | 7235 | GTEx | DepMap | Descartes | 0.77 | 4.76 |
SCML4 | -0.0002148 | 7299 | GTEx | DepMap | Descartes | 0.00 | 0.01 |
Below shows the ranks on this GEP for immune marker gene lists curated by CellTypist (https://www.celltypist.org/encyclopedia).
High ranks indicate this gene is a driver of this GEP.
These curated gene list are ranked by P-value (on this GEP) of their constituent genes.
The Mean Count column shows the mean read count in cells scoring highly (H > 50) on this gene expression program.
Genes | Weight | Rank | GTEx | DepMap | Decartes | Mean.Counts | Mean.TPM |
---|---|---|---|---|---|---|---|
KCNH2 | 0.0036221 | 210 | GTEx | DepMap | Descartes | 5.43 | 36.53 |
PRDX2 | 0.0033618 | 248 | GTEx | DepMap | Descartes | 60.78 | 1114.93 |
T cells: Trm cytotoxic T cells (curated markers)
tissue resident CD8+ cytotoxic T lymphocytes mainly localized in epithelial tissues such as gut:
Wilcoxon ranksum test P-value for gene set overrepresentation: 1.45e-02
Mean rank of genes in gene set: 682.5
Rank on gene expression program of genes in gene set:
Genes | Weight | Rank | GTEx | DepMap | Decartes | Mean.Counts | Mean.TPM |
---|---|---|---|---|---|---|---|
ITGAE | 0.0026190 | 377 | GTEx | DepMap | Descartes | 9.12 | 64.55 |
ITGA1 | 0.0012681 | 988 | GTEx | DepMap | Descartes | 4.25 | 13.34 |
Erythroid: Early erythroid (curated markers)
early erythroid cells which are committed to erythroid lineage cells:
Wilcoxon ranksum test P-value for gene set overrepresentation: 1.70e-02
Mean rank of genes in gene set: 1842.67
Rank on gene expression program of genes in gene set:
Genes | Weight | Rank | GTEx | DepMap | Decartes | Mean.Counts | Mean.TPM |
---|---|---|---|---|---|---|---|
GATA2 | 0.0048588 | 115 | GTEx | DepMap | Descartes | 23.92 | 218.46 |
APOC1 | 0.0038752 | 185 | GTEx | DepMap | Descartes | 3.02 | 120.99 |
TESPA1 | -0.0000586 | 5228 | GTEx | DepMap | Descartes | 0.00 | NA |