Program description and justification of annotation: 11.
Submit a comment on this gene expression program’s interpretation: CLICK
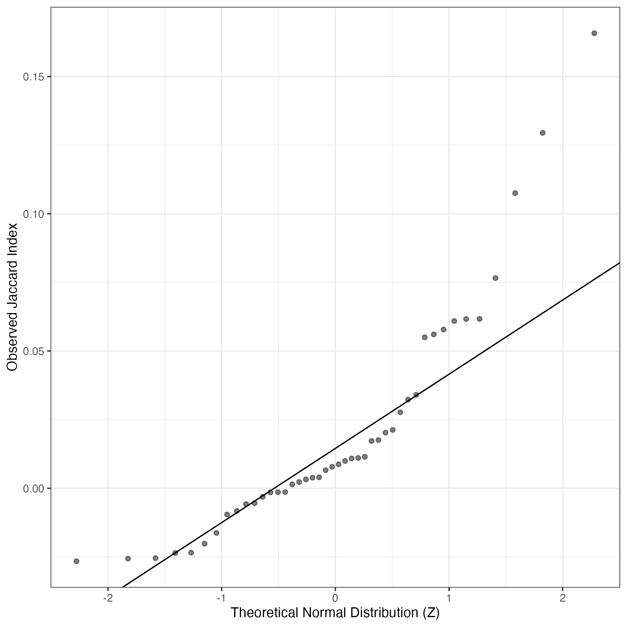
QQ-plot of gene loadings, averaged over both independent splits of the data
This plot highlights the relative contribution of each gene to the GEP
Top genes driving this program.
Note: Decartes website is buggy, try refreshing. Also, Decartes fetal adrenal data have been collected at specific time points (89-122 days), all possible cell types of interest may not be represented, do not overinterpret.
The Mean Count column shows the mean read count in cells scoring highly (H > 50) on this gene expression program.
Gene | Loading | Gene.Name | GTEx | DepMap | Descartes | Mean.Counts | Mean.Tpm | |
---|---|---|---|---|---|---|---|---|
1 | H2-AB1 | 0.0074162 | NA | GTEx | DepMap | Descartes | 13.84 | 895.35 |
2 | H2-EB1 | 0.0072207 | NA | GTEx | DepMap | Descartes | 13.90 | 973.78 |
3 | H2-AA | 0.0070971 | NA | GTEx | DepMap | Descartes | 10.97 | 1688.17 |
4 | CD74 | 0.0070134 | CD74 molecule | GTEx | DepMap | Descartes | 41.68 | 3947.31 |
5 | H2-DMA | 0.0056867 | NA | GTEx | DepMap | Descartes | 1.60 | 57.24 |
6 | H2-DMB1 | 0.0051666 | NA | GTEx | DepMap | Descartes | 1.17 | 91.20 |
7 | NAPSA | 0.0049019 | napsin A aspartic peptidase | GTEx | DepMap | Descartes | 1.16 | 81.50 |
8 | IFI30 | 0.0046122 | IFI30 lysosomal thiol reductase | GTEx | DepMap | Descartes | 4.69 | 700.39 |
9 | CORO1A | 0.0044486 | coronin 1A | GTEx | DepMap | Descartes | 3.85 | 382.51 |
10 | PLBD1 | 0.0043313 | phospholipase B domain containing 1 | GTEx | DepMap | Descartes | 0.78 | 8.15 |
11 | CD52 | 0.0042356 | CD52 molecule | GTEx | DepMap | Descartes | 7.81 | 420.95 |
12 | GM2A | 0.0042043 | GM2 ganglioside activator | GTEx | DepMap | Descartes | 2.57 | 87.13 |
13 | CD79A | 0.0038372 | CD79a molecule | GTEx | DepMap | Descartes | 3.30 | 979.15 |
14 | ARHGDIB | 0.0036582 | Rho GDP dissociation inhibitor beta | GTEx | DepMap | Descartes | 2.81 | 108.71 |
15 | H2-OA | 0.0036152 | NA | GTEx | DepMap | Descartes | 0.33 | 141.31 |
16 | CD79B | 0.0035991 | CD79b molecule | GTEx | DepMap | Descartes | 1.46 | 573.15 |
17 | PSMB8 | 0.0035860 | proteasome 20S subunit beta 8 | GTEx | DepMap | Descartes | 2.99 | 469.94 |
18 | H2-DMB2 | 0.0034592 | NA | GTEx | DepMap | Descartes | 0.50 | 78.28 |
19 | LSP1 | 0.0034200 | lymphocyte specific protein 1 | GTEx | DepMap | Descartes | 1.20 | 25.93 |
20 | MS4A1 | 0.0034131 | membrane spanning 4-domains A1 | GTEx | DepMap | Descartes | 0.84 | 67.83 |
21 | FAU | 0.0032867 | FAU ubiquitin like and ribosomal protein S30 fusion | GTEx | DepMap | Descartes | 35.68 | 12618.82 |
22 | CST3 | 0.0031639 | cystatin C | GTEx | DepMap | Descartes | 15.83 | 1628.53 |
23 | IFITM1 | 0.0031132 | interferon induced transmembrane protein 1 | GTEx | DepMap | Descartes | 1.24 | 222.01 |
24 | CD37 | 0.0030596 | CD37 molecule | GTEx | DepMap | Descartes | 0.85 | 179.25 |
25 | LY86 | 0.0030534 | lymphocyte antigen 86 | GTEx | DepMap | Descartes | 2.47 | 16.68 |
26 | CLEC4A4 | 0.0030396 | NA | GTEx | DepMap | Descartes | 0.00 | 0.02 |
27 | RPS27 | 0.0029811 | ribosomal protein S27 | GTEx | DepMap | Descartes | 20.09 | 13054.77 |
28 | MEF2C | 0.0029761 | myocyte enhancer factor 2C | GTEx | DepMap | Descartes | 1.60 | 12.50 |
29 | H2-OB | 0.0029722 | NA | GTEx | DepMap | Descartes | 0.43 | 37.70 |
30 | CTSH | 0.0028802 | cathepsin H | GTEx | DepMap | Descartes | 4.38 | 95.71 |
31 | PTPRC | 0.0028407 | protein tyrosine phosphatase receptor type C | GTEx | DepMap | Descartes | 2.35 | 16.19 |
32 | BANK1 | 0.0028400 | B cell scaffold protein with ankyrin repeats 1 | GTEx | DepMap | Descartes | 0.74 | 3.52 |
33 | CIITA | 0.0028304 | class II major histocompatibility complex transactivator | GTEx | DepMap | Descartes | 0.16 | 3.74 |
34 | PTPN18 | 0.0027996 | protein tyrosine phosphatase non-receptor type 18 | GTEx | DepMap | Descartes | 3.02 | 112.31 |
35 | NAAA | 0.0027959 | N-acylethanolamine acid amidase | GTEx | DepMap | Descartes | 0.22 | 6.09 |
36 | GMFG | 0.0027945 | glia maturation factor gamma | GTEx | DepMap | Descartes | 1.35 | 95.93 |
37 | PSMB9 | 0.0027684 | proteasome 20S subunit beta 9 | GTEx | DepMap | Descartes | 1.10 | 112.01 |
38 | PTPN6 | 0.0027373 | protein tyrosine phosphatase non-receptor type 6 | GTEx | DepMap | Descartes | 1.18 | 48.65 |
39 | CD19 | 0.0026886 | CD19 molecule | GTEx | DepMap | Descartes | 0.38 | 86.56 |
40 | POLD4 | 0.0026727 | DNA polymerase delta 4, accessory subunit | GTEx | DepMap | Descartes | 1.28 | 492.28 |
41 | GM43603 | 0.0026058 | NA | GTEx | DepMap | Descartes | 0.49 | NA |
42 | WDFY4 | 0.0026049 | WDFY family member 4 | GTEx | DepMap | Descartes | 0.27 | 1.12 |
43 | LAT2 | 0.0026002 | linker for activation of T cells family member 2 | GTEx | DepMap | Descartes | 0.61 | 25.47 |
44 | SPI1 | 0.0025999 | Spi-1 proto-oncogene | GTEx | DepMap | Descartes | 1.78 | 25.13 |
45 | MS4A6C | 0.0025945 | NA | GTEx | DepMap | Descartes | 2.48 | 86.91 |
46 | RAC2 | 0.0025816 | Rac family small GTPase 2 | GTEx | DepMap | Descartes | 2.44 | 126.76 |
47 | FCMR | 0.0025489 | Fc mu receptor | GTEx | DepMap | Descartes | 0.39 | 36.03 |
48 | UNC93B1 | 0.0025234 | unc-93 homolog B1, TLR signaling regulator | GTEx | DepMap | Descartes | 2.42 | 92.73 |
49 | FCGR2B | 0.0025219 | Fc gamma receptor IIb | GTEx | DepMap | Descartes | 1.40 | 38.19 |
50 | LTB | 0.0025197 | lymphotoxin beta | GTEx | DepMap | Descartes | 0.97 | 705.25 |
UMAP plots showing activity of gene expression program identified in community:11. Immune unclear II
CNV Data procured from inferCNV.
Outer tracks are putative CNV regions (gains = red, losses = blue) for each patient
Inner track is expression data representing:
The top cells expressing this GEP (purple)
Random cells (n =50) from the reference set used in inferCNV (orange)
Gene set Enrichments for this program, caculated from top 50 genes
mSigDB Cell Types Gene Set:
P-value | OR | Lower 95% CI | FDR | FWER | Genes Found | Gene Set Size | |
---|---|---|---|---|---|---|---|
DURANTE_ADULT_OLFACTORY_NEUROEPITHELIUM_B_CELLS | 7.78e-17 | 175.56 | 68.20 | 7.46e-15 | 5.22e-14 | 9CD74, CORO1A, CD52, CD79A, CD79B, MS4A1, CD37, BANK1, LTB |
35 |
FAN_EMBRYONIC_CTX_BRAIN_B_CELL | 9.29e-24 | 105.07 | 51.44 | 6.24e-21 | 6.24e-21 | 15CD74, CORO1A, CD52, CD79A, CD79B, LSP1, MS4A1, CD37, BANK1, PSMB9, PTPN6, CD19, RAC2, FCMR, LTB |
100 |
DURANTE_ADULT_OLFACTORY_NEUROEPITHELIUM_CD4_T_CELLS | 7.64e-11 | 118.33 | 37.70 | 2.56e-09 | 5.12e-08 | 6CORO1A, CD52, ARHGDIB, PTPRC, GMFG, LTB |
30 |
FAN_EMBRYONIC_CTX_BIG_GROUPS_BRAIN_IMMUNE | 4.32e-21 | 67.27 | 33.30 | 9.67e-19 | 2.90e-18 | 15CD74, CORO1A, CD52, ARHGDIB, PSMB8, LSP1, IFITM1, CD37, PTPRC, GMFG, PSMB9, PTPN6, RAC2, FCMR, LTB |
148 |
AIZARANI_LIVER_C34_MHC_II_POS_B_CELLS | 6.75e-20 | 67.64 | 32.82 | 1.13e-17 | 4.53e-17 | 14CORO1A, CD52, CD79A, CD79B, MS4A1, FAU, CD37, RPS27, BANK1, CIITA, PTPN6, CD19, FCMR, LTB |
134 |
RUBENSTEIN_SKELETAL_MUSCLE_B_CELLS | 1.14e-21 | 61.03 | 30.83 | 3.81e-19 | 7.62e-19 | 16CD74, CD52, CD79A, CD79B, MS4A1, FAU, CD37, LY86, RPS27, PTPRC, BANK1, GMFG, POLD4, RAC2, FCMR, LTB |
177 |
TRAVAGLINI_LUNG_B_CELL | 5.45e-19 | 57.68 | 28.04 | 7.32e-17 | 3.66e-16 | 14CD74, CD52, CD79A, CD79B, MS4A1, CD37, LY86, MEF2C, BANK1, PTPN6, CD19, POLD4, FCMR, FCGR2B |
155 |
CUI_DEVELOPING_HEART_C9_B_T_CELL | 1.53e-15 | 46.10 | 21.48 | 1.14e-13 | 1.02e-12 | 12CORO1A, CD52, ARHGDIB, LSP1, IFITM1, CD37, PTPRC, GMFG, PSMB9, RAC2, FCMR, LTB |
155 |
FAN_EMBRYONIC_CTX_BRAIN_NAIVE_LIKE_T_CELL | 1.92e-15 | 45.16 | 21.06 | 1.29e-13 | 1.29e-12 | 12CORO1A, CD52, ARHGDIB, PSMB8, LSP1, IFITM1, PTPRC, GMFG, PSMB9, RAC2, FCMR, LTB |
158 |
DURANTE_ADULT_OLFACTORY_NEUROEPITHELIUM_CD8_T_CELLS | 4.02e-10 | 51.44 | 18.85 | 1.17e-08 | 2.70e-07 | 7CORO1A, CD52, ARHGDIB, LSP1, PTPRC, GMFG, RAC2 |
73 |
DESCARTES_FETAL_STOMACH_MYELOID_CELLS | 5.36e-10 | 49.21 | 18.06 | 1.50e-08 | 3.60e-07 | 7CD74, IFI30, CST3, LY86, CIITA, WDFY4, SPI1 |
76 |
DURANTE_ADULT_OLFACTORY_NEUROEPITHELIUM_DENDRITIC_CELLS | 7.61e-12 | 42.42 | 17.69 | 3.00e-10 | 5.11e-09 | 9IFI30, CORO1A, CD52, LSP1, CST3, CD37, PTPRC, GMFG, SPI1 |
117 |
CUI_DEVELOPING_HEART_C8_MACROPHAGE | 4.98e-17 | 34.44 | 17.25 | 5.57e-15 | 3.34e-14 | 15CD74, IFI30, CORO1A, ARHGDIB, LSP1, CST3, CD37, LY86, MEF2C, PTPRC, GMFG, PTPN6, LAT2, SPI1, RAC2 |
275 |
DESCARTES_FETAL_STOMACH_LYMPHOID_CELLS | 9.20e-10 | 45.36 | 16.66 | 2.47e-08 | 6.17e-07 | 7CORO1A, CD52, CD79A, CD79B, MS4A1, RAC2, LTB |
82 |
DURANTE_ADULT_OLFACTORY_NEUROEPITHELIUM_NK_CELLS | 1.09e-09 | 44.16 | 16.24 | 2.71e-08 | 7.32e-07 | 7CORO1A, CD52, ARHGDIB, LSP1, PTPRC, PSMB9, RAC2 |
84 |
HAY_BONE_MARROW_FOLLICULAR_B_CELL | 4.36e-11 | 34.47 | 14.43 | 1.54e-09 | 2.93e-08 | 9CD52, CD79A, MS4A1, CD37, MEF2C, BANK1, CD19, FCMR, FCGR2B |
142 |
RUBENSTEIN_SKELETAL_MUSCLE_MYELOID_CELLS | 1.50e-15 | 26.98 | 13.55 | 1.14e-13 | 1.01e-12 | 15CD74, IFI30, CORO1A, PLBD1, CD52, ARHGDIB, LSP1, CST3, CD37, LY86, CTSH, PTPRC, NAAA, GMFG, SPI1 |
347 |
BUSSLINGER_ESOPHAGEAL_DENDRITIC_CELLS | 2.31e-12 | 29.01 | 13.21 | 1.03e-10 | 1.55e-09 | 11CD74, IFI30, CD52, ARHGDIB, LSP1, CST3, CD37, CTSH, PTPRC, SPI1, LTB |
214 |
MENON_FETAL_KIDNEY_10_IMMUNE_CELLS | 4.35e-08 | 36.96 | 12.51 | 8.10e-07 | 2.92e-05 | 6CD74, CORO1A, ARHGDIB, CST3, MEF2C, PTPRC |
83 |
GAO_LARGE_INTESTINE_24W_C11_PANETH_LIKE_CELL | 4.15e-13 | 23.53 | 11.36 | 2.32e-11 | 2.78e-10 | 13CD74, IFI30, GM2A, ARHGDIB, LSP1, CD37, LY86, PTPRC, GMFG, WDFY4, LAT2, SPI1, RAC2 |
325 |
Dowload full table
mSigDB Hallmark Gene Sets:
P-value | OR | Lower 95% CI | FDR | FWER | Genes Found | Gene Set Size | |
---|---|---|---|---|---|---|---|
HALLMARK_ALLOGRAFT_REJECTION | 2.12e-08 | 20.72 | 8.29 | 1.06e-06 | 1.06e-06 | 8CD74, CD79A, LY86, PTPRC, PTPN6, SPI1, FCGR2B, LTB |
200 |
HALLMARK_INTERFERON_ALPHA_RESPONSE | 3.37e-06 | 25.24 | 7.64 | 5.61e-05 | 1.68e-04 | 5CD74, IFI30, PSMB8, IFITM1, PSMB9 |
97 |
HALLMARK_INTERFERON_GAMMA_RESPONSE | 4.31e-07 | 17.62 | 6.61 | 1.08e-05 | 2.15e-05 | 7CD74, IFI30, PSMB8, BANK1, CIITA, PSMB9, PTPN6 |
200 |
HALLMARK_KRAS_SIGNALING_UP | 1.18e-02 | 6.77 | 1.34 | 1.47e-01 | 5.89e-01 | 3PSMB8, CD37, LAT2 |
200 |
HALLMARK_IL2_STAT5_SIGNALING | 8.05e-02 | 4.42 | 0.52 | 4.06e-01 | 1.00e+00 | 2CD79B, LTB |
199 |
HALLMARK_MYOGENESIS | 8.11e-02 | 4.40 | 0.51 | 4.06e-01 | 1.00e+00 | 2LSP1, MEF2C |
200 |
HALLMARK_APICAL_JUNCTION | 8.11e-02 | 4.40 | 0.51 | 4.06e-01 | 1.00e+00 | 2PTPRC, RAC2 |
200 |
HALLMARK_COMPLEMENT | 8.11e-02 | 4.40 | 0.51 | 4.06e-01 | 1.00e+00 | 2CTSH, PSMB9 |
200 |
HALLMARK_MTORC1_SIGNALING | 8.11e-02 | 4.40 | 0.51 | 4.06e-01 | 1.00e+00 | 2IFI30, CORO1A |
200 |
HALLMARK_P53_PATHWAY | 8.11e-02 | 4.40 | 0.51 | 4.06e-01 | 1.00e+00 | 2IFI30, GM2A |
200 |
HALLMARK_REACTIVE_OXYGEN_SPECIES_PATHWAY | 1.10e-01 | 8.88 | 0.22 | 5.02e-01 | 1.00e+00 | 1LSP1 |
49 |
HALLMARK_IL6_JAK_STAT3_SIGNALING | 1.87e-01 | 4.96 | 0.12 | 7.81e-01 | 1.00e+00 | 1LTB |
87 |
HALLMARK_COAGULATION | 2.80e-01 | 3.11 | 0.08 | 1.00e+00 | 1.00e+00 | 1CTSH |
138 |
HALLMARK_DNA_REPAIR | 3.00e-01 | 2.86 | 0.07 | 1.00e+00 | 1.00e+00 | 1POLD4 |
150 |
HALLMARK_ESTROGEN_RESPONSE_EARLY | 3.78e-01 | 2.14 | 0.05 | 1.00e+00 | 1.00e+00 | 1FCMR |
200 |
HALLMARK_ESTROGEN_RESPONSE_LATE | 3.78e-01 | 2.14 | 0.05 | 1.00e+00 | 1.00e+00 | 1PTPN6 |
200 |
HALLMARK_INFLAMMATORY_RESPONSE | 3.78e-01 | 2.14 | 0.05 | 1.00e+00 | 1.00e+00 | 1IFITM1 |
200 |
HALLMARK_TNFA_SIGNALING_VIA_NFKB | 1.00e+00 | 0.00 | 0.00 | 1.00e+00 | 1.00e+00 | 0 |
200 |
HALLMARK_HYPOXIA | 1.00e+00 | 0.00 | 0.00 | 1.00e+00 | 1.00e+00 | 0 |
200 |
HALLMARK_CHOLESTEROL_HOMEOSTASIS | 1.00e+00 | 0.00 | 0.00 | 1.00e+00 | 1.00e+00 | 0 |
74 |
Dowload full table
KEGG Pathways:
P-value | OR | Lower 95% CI | FDR | FWER | Genes Found | Gene Set Size | |
---|---|---|---|---|---|---|---|
KEGG_B_CELL_RECEPTOR_SIGNALING_PATHWAY | 4.88e-10 | 49.93 | 18.31 | 9.07e-08 | 9.07e-08 | 7CD79A, CD79B, IFITM1, PTPN6, CD19, RAC2, FCGR2B |
75 |
KEGG_PRIMARY_IMMUNODEFICIENCY | 1.41e-06 | 58.52 | 14.42 | 1.31e-04 | 2.63e-04 | 4CD79A, PTPRC, CIITA, CD19 |
35 |
KEGG_HEMATOPOIETIC_CELL_LINEAGE | 1.16e-03 | 15.87 | 3.10 | 5.59e-02 | 2.16e-01 | 3MS4A1, CD37, CD19 |
87 |
KEGG_ANTIGEN_PROCESSING_AND_PRESENTATION | 1.20e-03 | 15.69 | 3.06 | 5.59e-02 | 2.24e-01 | 3CD74, IFI30, CIITA |
88 |
KEGG_FC_GAMMA_R_MEDIATED_PHAGOCYTOSIS | 1.54e-03 | 14.34 | 2.81 | 5.74e-02 | 2.87e-01 | 3PTPRC, RAC2, FCGR2B |
96 |
KEGG_PROTEASOME | 5.38e-03 | 19.78 | 2.26 | 1.43e-01 | 1.00e+00 | 2PSMB8, PSMB9 |
46 |
KEGG_LYSOSOME | 2.97e-03 | 11.30 | 2.22 | 9.22e-02 | 5.53e-01 | 3NAPSA, GM2A, CTSH |
121 |
KEGG_ADHERENS_JUNCTION | 1.31e-02 | 12.26 | 1.42 | 3.04e-01 | 1.00e+00 | 2PTPN6, RAC2 |
73 |
KEGG_RIBOSOME | 1.86e-02 | 10.12 | 1.17 | 3.85e-01 | 1.00e+00 | 2FAU, RPS27 |
88 |
KEGG_T_CELL_RECEPTOR_SIGNALING_PATHWAY | 2.72e-02 | 8.21 | 0.95 | 5.06e-01 | 1.00e+00 | 2PTPRC, PTPN6 |
108 |
KEGG_NATURAL_KILLER_CELL_MEDIATED_CYTOTOXICITY | 4.19e-02 | 6.45 | 0.75 | 7.09e-01 | 1.00e+00 | 2PTPN6, RAC2 |
137 |
KEGG_MISMATCH_REPAIR | 5.34e-02 | 19.36 | 0.46 | 8.28e-01 | 1.00e+00 | 1POLD4 |
23 |
KEGG_MAPK_SIGNALING_PATHWAY | 1.31e-01 | 3.29 | 0.38 | 1.00e+00 | 1.00e+00 | 2MEF2C, RAC2 |
267 |
KEGG_HOMOLOGOUS_RECOMBINATION | 6.47e-02 | 15.79 | 0.38 | 9.25e-01 | 1.00e+00 | 1POLD4 |
28 |
KEGG_PATHWAYS_IN_CANCER | 1.77e-01 | 2.70 | 0.32 | 1.00e+00 | 1.00e+00 | 2SPI1, RAC2 |
325 |
KEGG_BASE_EXCISION_REPAIR | 8.02e-02 | 12.54 | 0.30 | 1.00e+00 | 1.00e+00 | 1POLD4 |
35 |
KEGG_DNA_REPLICATION | 8.24e-02 | 12.18 | 0.29 | 1.00e+00 | 1.00e+00 | 1POLD4 |
36 |
KEGG_NUCLEOTIDE_EXCISION_REPAIR | 9.97e-02 | 9.91 | 0.24 | 1.00e+00 | 1.00e+00 | 1POLD4 |
44 |
KEGG_VASOPRESSIN_REGULATED_WATER_REABSORPTION | 9.97e-02 | 9.91 | 0.24 | 1.00e+00 | 1.00e+00 | 1ARHGDIB |
44 |
KEGG_ACUTE_MYELOID_LEUKEMIA | 1.27e-01 | 7.61 | 0.19 | 1.00e+00 | 1.00e+00 | 1SPI1 |
57 |
Dowload full table
CHR Positional Gene Sets:
P-value | OR | Lower 95% CI | FDR | FWER | Genes Found | Gene Set Size | |
---|---|---|---|---|---|---|---|
chr5q33 | 2.77e-02 | 8.14 | 0.95 | 1.00e+00 | 1.00e+00 | 2CD74, GM2A |
109 |
chr11q13 | 7.55e-02 | 3.19 | 0.63 | 1.00e+00 | 1.00e+00 | 3FAU, POLD4, UNC93B1 |
421 |
chr6p21 | 9.54e-02 | 2.88 | 0.57 | 1.00e+00 | 1.00e+00 | 3PSMB8, PSMB9, LTB |
467 |
chr19q13 | 3.36e-01 | 1.57 | 0.41 | 1.00e+00 | 1.00e+00 | 4NAPSA, CD79A, CD37, GMFG |
1165 |
chr16p11 | 1.28e-01 | 3.34 | 0.39 | 1.00e+00 | 1.00e+00 | 2CORO1A, CD19 |
263 |
chr12p13 | 1.84e-01 | 2.63 | 0.31 | 1.00e+00 | 1.00e+00 | 2PLBD1, PTPN6 |
333 |
chr4q24 | 1.25e-01 | 7.75 | 0.19 | 1.00e+00 | 1.00e+00 | 1BANK1 |
56 |
chr1q31 | 1.56e-01 | 6.09 | 0.15 | 1.00e+00 | 1.00e+00 | 1PTPRC |
71 |
chr6p25 | 1.78e-01 | 5.27 | 0.13 | 1.00e+00 | 1.00e+00 | 1LY86 |
82 |
chr12p12 | 2.25e-01 | 4.02 | 0.10 | 1.00e+00 | 1.00e+00 | 1ARHGDIB |
107 |
chr17q23 | 2.34e-01 | 3.84 | 0.09 | 1.00e+00 | 1.00e+00 | 1CD79B |
112 |
chr5q14 | 2.66e-01 | 3.31 | 0.08 | 1.00e+00 | 1.00e+00 | 1MEF2C |
130 |
chr11p11 | 2.92e-01 | 2.96 | 0.07 | 1.00e+00 | 1.00e+00 | 1SPI1 |
145 |
chr20p11 | 2.92e-01 | 2.96 | 0.07 | 1.00e+00 | 1.00e+00 | 1CST3 |
145 |
chr2q21 | 2.94e-01 | 2.94 | 0.07 | 1.00e+00 | 1.00e+00 | 1PTPN18 |
146 |
chr15q25 | 3.04e-01 | 2.82 | 0.07 | 1.00e+00 | 1.00e+00 | 1CTSH |
152 |
chr10q11 | 3.55e-01 | 2.33 | 0.06 | 1.00e+00 | 1.00e+00 | 1WDFY4 |
184 |
chr1q23 | 4.03e-01 | 1.97 | 0.05 | 1.00e+00 | 1.00e+00 | 1FCGR2B |
217 |
chr7q11 | 4.52e-01 | 1.69 | 0.04 | 1.00e+00 | 1.00e+00 | 1LAT2 |
253 |
chr1q32 | 4.68e-01 | 1.61 | 0.04 | 1.00e+00 | 1.00e+00 | 1FCMR |
266 |
Dowload full table
Transcription Factor Targets:
P-value | OR | Lower 95% CI | FDR | FWER | Genes Found | Gene Set Size | |
---|---|---|---|---|---|---|---|
NERF_Q2 | 1.32e-07 | 16.18 | 6.49 | 9.73e-05 | 1.50e-04 | 8CORO1A, CD79A, ARHGDIB, CD79B, PTPN6, POLD4, WDFY4, FCGR2B |
254 |
IRF1_Q6 | 1.72e-07 | 15.61 | 6.27 | 9.73e-05 | 1.95e-04 | 8LSP1, MS4A1, CD37, LY86, MEF2C, BANK1, CIITA, FCGR2B |
263 |
MAML1_TARGET_GENES | 6.18e-07 | 13.10 | 5.26 | 2.22e-04 | 7.00e-04 | 8CD79B, LSP1, MS4A1, CD37, LY86, CIITA, CD19, FCMR |
312 |
PEA3_Q6 | 2.63e-06 | 13.29 | 5.00 | 5.97e-04 | 2.98e-03 | 7ARHGDIB, PTPRC, PTPN6, POLD4, WDFY4, SPI1, UNC93B1 |
263 |
IRF_Q6 | 2.28e-05 | 11.97 | 4.13 | 4.30e-03 | 2.58e-02 | 6PSMB8, LSP1, MS4A1, LY86, CIITA, FCGR2B |
244 |
RYTTCCTG_ETS2_B | 7.85e-07 | 6.68 | 3.25 | 2.22e-04 | 8.89e-04 | 13CD79A, ARHGDIB, LSP1, MS4A1, MEF2C, PTPRC, PTPN6, CD19, POLD4, WDFY4, SPI1, FCGR2B, LTB |
1112 |
SREBP1_02 | 1.20e-03 | 15.69 | 3.06 | 1.24e-01 | 1.00e+00 | 3CORO1A, MEF2C, SPI1 |
88 |
ELK1_01 | 4.63e-04 | 8.60 | 2.64 | 5.83e-02 | 5.25e-01 | 5IFI30, ARHGDIB, CD37, POLD4, WDFY4 |
275 |
OLF1_01 | 4.63e-04 | 8.60 | 2.64 | 5.83e-02 | 5.25e-01 | 5CD79A, CD79B, MS4A1, PTPN6, CD19 |
275 |
RGAGGAARY_PU1_Q6 | 1.20e-03 | 5.60 | 1.94 | 1.24e-01 | 1.00e+00 | 6CD79B, CD37, PTPN6, POLD4, SPI1, RAC2 |
515 |
FOXM1_01 | 2.76e-03 | 7.45 | 1.93 | 2.24e-01 | 1.00e+00 | 4ARHGDIB, FAU, MEF2C, CIITA |
248 |
ETS_Q4 | 2.92e-03 | 7.33 | 1.90 | 2.24e-01 | 1.00e+00 | 4CORO1A, CD79A, GMFG, POLD4 |
252 |
ISRE_01 | 2.96e-03 | 7.30 | 1.89 | 2.24e-01 | 1.00e+00 | 4LSP1, MS4A1, LY86, MEF2C |
253 |
ICSBP_Q6 | 2.96e-03 | 7.30 | 1.89 | 2.24e-01 | 1.00e+00 | 4PSMB8, LY86, BANK1, PSMB9 |
253 |
BACH2_TARGET_GENES | 2.62e-04 | 3.70 | 1.80 | 4.24e-02 | 2.97e-01 | 13IFI30, CORO1A, CD79A, ARHGDIB, MS4A1, FAU, MEF2C, BANK1, CIITA, PTPN18, PTPN6, WDFY4, FCMR |
1998 |
ETS1_B | 3.63e-03 | 6.88 | 1.79 | 2.43e-01 | 1.00e+00 | 4CORO1A, CD79A, POLD4, WDFY4 |
268 |
GATAAGR_GATA_C | 5.32e-03 | 6.16 | 1.60 | 3.35e-01 | 1.00e+00 | 4ARHGDIB, RPS27, MEF2C, PTPRC |
299 |
ZNF597_TARGET_GENES | 3.65e-03 | 3.91 | 1.48 | 2.43e-01 | 1.00e+00 | 7LSP1, MS4A1, CD37, LY86, MEF2C, BANK1, PTPN6 |
877 |
STTTCRNTTT_IRF_Q6 | 1.06e-02 | 7.06 | 1.39 | 6.30e-01 | 1.00e+00 | 3PSMB8, CIITA, PSMB9 |
192 |
RYCACNNRNNRNCAG_UNKNOWN | 1.41e-02 | 11.76 | 1.36 | 8.00e-01 | 1.00e+00 | 2CD79B, MEF2C |
76 |
Dowload full table
GO Biological Processes:
P-value | OR | Lower 95% CI | FDR | FWER | Genes Found | Gene Set Size | |
---|---|---|---|---|---|---|---|
GOBP_REGULATION_OF_HUMORAL_IMMUNE_RESPONSE_MEDIATED_BY_CIRCULATING_IMMUNOGLOBULIN | 3.59e-06 | 132.82 | 22.78 | 9.26e-04 | 2.69e-02 | 3PTPRC, PTPN6, FCGR2B |
13 |
GOBP_B_CELL_RECEPTOR_SIGNALING_PATHWAY | 1.60e-11 | 38.88 | 16.22 | 1.20e-07 | 1.20e-07 | 9CD79A, CD79B, MS4A1, MEF2C, PTPRC, PTPN6, CD19, LAT2, FCGR2B |
127 |
GOBP_NEGATIVE_REGULATION_OF_HUMORAL_IMMUNE_RESPONSE_MEDIATED_BY_CIRCULATING_IMMUNOGLOBULIN | 1.16e-04 | 173.11 | 16.13 | 1.64e-02 | 8.70e-01 | 2PTPN6, FCGR2B |
7 |
GOBP_B_CELL_PROLIFERATION | 2.80e-09 | 38.16 | 14.11 | 2.60e-06 | 2.09e-05 | 7CD74, CD79A, MS4A1, MEF2C, PTPRC, CD19, FCGR2B |
96 |
GOBP_NEGATIVE_REGULATION_OF_T_CELL_MEDIATED_CYTOTOXICITY | 1.99e-04 | 123.89 | 12.26 | 2.40e-02 | 1.00e+00 | 2PTPRC, FCGR2B |
9 |
GOBP_NEGATIVE_REGULATION_OF_ACTIN_NUCLEATION | 1.99e-04 | 123.89 | 12.26 | 2.40e-02 | 1.00e+00 | 2CORO1A, GMFG |
9 |
GOBP_REGULATION_OF_DENDRITIC_CELL_ANTIGEN_PROCESSING_AND_PRESENTATION | 3.03e-04 | 96.56 | 9.89 | 3.14e-02 | 1.00e+00 | 2CD74, FCGR2B |
11 |
GOBP_SURFACTANT_HOMEOSTASIS | 3.03e-04 | 96.56 | 9.89 | 3.14e-02 | 1.00e+00 | 2NAPSA, CTSH |
11 |
GOBP_B_CELL_DIFFERENTIATION | 3.31e-08 | 26.14 | 9.75 | 2.25e-05 | 2.48e-04 | 7CD79A, CD79B, MS4A1, PTPRC, PTPN6, CD19, FCGR2B |
137 |
GOBP_NEGATIVE_REGULATION_OF_B_CELL_MEDIATED_IMMUNITY | 3.62e-04 | 86.81 | 9.02 | 3.57e-02 | 1.00e+00 | 2PTPN6, FCGR2B |
12 |
GOBP_NEGATIVE_T_CELL_SELECTION | 3.62e-04 | 86.81 | 9.02 | 3.57e-02 | 1.00e+00 | 2CD74, PTPRC |
12 |
GOBP_ANTIGEN_RECEPTOR_MEDIATED_SIGNALING_PATHWAY | 1.46e-10 | 19.33 | 8.84 | 2.42e-07 | 1.09e-06 | 11CD79A, CD79B, PSMB8, MS4A1, MEF2C, PTPRC, PSMB9, PTPN6, CD19, LAT2, FCGR2B |
316 |
GOBP_B_CELL_ACTIVATION | 1.61e-10 | 19.14 | 8.76 | 2.42e-07 | 1.21e-06 | 11CD74, CD79A, CD79B, MS4A1, MEF2C, PTPRC, BANK1, PTPN6, CD19, LAT2, FCGR2B |
319 |
GOBP_NEGATIVE_REGULATION_OF_HUMORAL_IMMUNE_RESPONSE | 4.28e-04 | 78.83 | 8.29 | 3.95e-02 | 1.00e+00 | 2PTPN6, FCGR2B |
13 |
GOBP_CHEMICAL_HOMEOSTASIS_WITHIN_A_TISSUE | 4.28e-04 | 78.83 | 8.29 | 3.95e-02 | 1.00e+00 | 2NAPSA, CTSH |
13 |
GOBP_REGULATION_OF_B_CELL_PROLIFERATION | 1.34e-05 | 31.85 | 8.06 | 2.67e-03 | 1.00e-01 | 4CD74, MEF2C, PTPRC, FCGR2B |
61 |
GOBP_POSITIVE_THYMIC_T_CELL_SELECTION | 4.98e-04 | 72.33 | 7.67 | 4.49e-02 | 1.00e+00 | 2CD74, PTPRC |
14 |
GOBP_LEUKOCYTE_PROLIFERATION | 2.45e-09 | 17.30 | 7.64 | 2.60e-06 | 1.83e-05 | 10CD74, CORO1A, CD79A, MS4A1, MEF2C, PTPRC, PTPN6, CD19, RAC2, FCGR2B |
312 |
GOBP_REGULATION_OF_ANTIGEN_RECEPTOR_MEDIATED_SIGNALING_PATHWAY | 1.83e-05 | 29.29 | 7.43 | 3.43e-03 | 1.37e-01 | 4PTPRC, PTPN6, CD19, FCGR2B |
66 |
GOBP_DENDRITIC_CELL_ANTIGEN_PROCESSING_AND_PRESENTATION | 5.74e-04 | 66.82 | 7.13 | 5.05e-02 | 1.00e+00 | 2CD74, FCGR2B |
15 |
Dowload full table
Immunological Gene Sets:
P-value | OR | Lower 95% CI | FDR | FWER | Genes Found | Gene Set Size | |
---|---|---|---|---|---|---|---|
GSE32901_NAIVE_VS_TH1_CD4_TCELL_DN | 3.31e-20 | 58.10 | 28.87 | 9.66e-17 | 1.61e-16 | 15CD74, NAPSA, IFI30, CD79A, CD79B, MS4A1, LY86, MEF2C, CTSH, PTPN6, CD19, WDFY4, FCMR, UNC93B1, FCGR2B |
169 |
GSE32901_NAIVE_VS_TH17_NEG_CD4_TCELL_UP | 3.97e-20 | 57.36 | 28.50 | 9.66e-17 | 1.93e-16 | 15CD74, NAPSA, IFI30, CD79A, CD79B, MS4A1, LY86, MEF2C, CTSH, BANK1, CD19, WDFY4, LAT2, SPI1, FCMR |
171 |
GSE23568_ID3_KO_VS_WT_CD8_TCELL_DN | 4.28e-19 | 48.44 | 24.12 | 6.95e-16 | 2.08e-15 | 15NAPSA, IFI30, PLBD1, GM2A, CD79B, MS4A1, CD37, LY86, MEF2C, CTSH, CIITA, PTPN6, CD19, LAT2, FCGR2B |
200 |
GSE10325_LUPUS_CD4_TCELL_VS_LUPUS_BCELL_DN | 1.41e-17 | 44.86 | 21.96 | 1.71e-14 | 6.86e-14 | 14CD74, IFI30, GM2A, CD79A, CD79B, MS4A1, CD37, LY86, MEF2C, CTSH, BANK1, CD19, LAT2, FCGR2B |
195 |
GSE29618_BCELL_VS_PDC_DAY7_FLU_VACCINE_UP | 5.37e-16 | 40.72 | 19.55 | 5.23e-13 | 2.61e-12 | 13CD52, CD79A, CD79B, MS4A1, IFITM1, CD37, LY86, BANK1, CIITA, CD19, LAT2, FCMR, FCGR2B |
193 |
GSE33425_CD8_ALPHAALPHA_VS_ALPHABETA_CD161_HIGH_TCELL_UP | 8.52e-16 | 39.24 | 18.83 | 6.92e-13 | 4.15e-12 | 13CD74, NAPSA, IFI30, CD79A, CD79B, MS4A1, LY86, MEF2C, CTSH, CIITA, CD19, SPI1, FCGR2B |
200 |
GSE10325_CD4_TCELL_VS_BCELL_DN | 2.26e-14 | 36.24 | 16.96 | 1.46e-11 | 1.10e-10 | 12GM2A, CD79A, CD79B, MS4A1, LY86, MEF2C, BANK1, CIITA, PTPN6, CD19, LAT2, FCGR2B |
194 |
GSE29618_BCELL_VS_PDC_UP | 2.40e-14 | 36.04 | 16.86 | 1.46e-11 | 1.17e-10 | 12CD79A, ARHGDIB, CD79B, MS4A1, CD37, LY86, PTPRC, BANK1, CD19, LAT2, FCMR, FCGR2B |
195 |
GSE16266_LPS_VS_HEATSHOCK_AND_LPS_STIM_MEF_UP | 3.06e-14 | 35.27 | 16.52 | 1.66e-11 | 1.49e-10 | 12CD74, NAPSA, IFI30, PLBD1, CD79A, CD79B, MS4A1, LY86, MEF2C, CTSH, CIITA, CD19 |
199 |
GSE29618_PDC_VS_MDC_DN | 1.11e-12 | 31.18 | 14.17 | 4.51e-10 | 5.41e-09 | 11IFI30, PLBD1, ARHGDIB, CST3, LY86, CTSH, PTPRC, CIITA, GMFG, LAT2, SPI1 |
200 |
GSE23568_CTRL_TRANSDUCED_VS_WT_CD8_TCELL_UP | 1.11e-12 | 31.18 | 14.17 | 4.51e-10 | 5.41e-09 | 11IFI30, PLBD1, GM2A, CD79B, MS4A1, CD37, CTSH, CIITA, CD19, LAT2, FCGR2B |
200 |
GSE33424_CD161_HIGH_VS_NEG_CD8_TCELL_UP | 1.11e-12 | 31.18 | 14.17 | 4.51e-10 | 5.41e-09 | 11CD74, NAPSA, PLBD1, CD79B, MS4A1, LY86, MEF2C, CTSH, CIITA, CD19, FCGR2B |
200 |
GSE13411_PLASMA_CELL_VS_MEMORY_BCELL_DN | 2.91e-11 | 27.91 | 12.27 | 1.01e-08 | 1.42e-07 | 10CORO1A, CD52, CD79B, IFITM1, LY86, RPS27, BANK1, CD19, LAT2, LTB |
197 |
GSE3982_MEMORY_CD4_TCELL_VS_BCELL_DN | 2.91e-11 | 27.91 | 12.27 | 1.01e-08 | 1.42e-07 | 10CD74, GM2A, CD79B, MS4A1, LY86, MEF2C, CTSH, BANK1, PTPN6, LAT2 |
197 |
GSE33425_CD161_HIGH_VS_INT_CD8_TCELL_UP | 3.37e-11 | 27.47 | 12.08 | 1.10e-08 | 1.64e-07 | 10CD74, NAPSA, IFI30, PLBD1, CD79B, MS4A1, MEF2C, CTSH, CD19, SPI1 |
200 |
GSE7509_UNSTIM_VS_FCGRIIB_STIM_DC_DN | 2.66e-10 | 27.77 | 11.68 | 8.10e-08 | 1.30e-06 | 9PSMB8, CST3, IFITM1, CTSH, CIITA, GMFG, PSMB9, PTPN6, UNC93B1 |
174 |
GSE32901_NAIVE_VS_TH17_NEG_CD4_TCELL_DN | 1.76e-08 | 28.82 | 10.72 | 2.87e-06 | 8.58e-05 | 7CD74, IFI30, CD79B, WDFY4, LAT2, FCMR, UNC93B1 |
125 |
GSE22886_TCELL_VS_BCELL_NAIVE_DN | 8.29e-10 | 24.26 | 10.22 | 2.32e-07 | 4.04e-06 | 9GM2A, CD79A, CD79B, MS4A1, LY86, MEF2C, BANK1, CD19, FCGR2B |
198 |
GSE22886_NAIVE_BCELL_VS_NEUTROPHIL_UP | 8.66e-10 | 24.13 | 10.17 | 2.32e-07 | 4.22e-06 | 9CD74, CD52, CD79A, CD79B, LY86, RPS27, BANK1, CD19, FCMR |
199 |
GSE32164_RESTING_DIFFERENTIATED_VS_CMYC_INHIBITED_MACROPHAGE_UP | 9.05e-10 | 24.01 | 10.12 | 2.32e-07 | 4.41e-06 | 9CD37, MEF2C, CTSH, CIITA, PTPN6, CD19, LAT2, SPI1, FCGR2B |
200 |
Top Ranked Transcription Factors for this Gene Expression Program:
Gene Symbol | TF Rank | DNA Binding Domain | Motif Status | IUPAC PWM | GTEx | DepMap | Decartes |
---|---|---|---|---|---|---|---|
MEF2C | 28 | Yes | Known motif | Monomer or homomultimer | High-throughput in vitro | None | None |
CIITA | 33 | No | Unlikely to be sequence specific TF | Not a DNA binding protein | No motif | None | Chromatin modifier |
SPI1 | 44 | Yes | Known motif | Monomer or homomultimer | High-throughput in vitro | None | None |
SP100 | 76 | Yes | Likely to be sequence specific TF | Monomer or homomultimer | No motif | None | Gel-shift experiments using human SP100 have shown binding to specific TTCG half sites (PMID: 11427895). |
PAX5 | 88 | Yes | Known motif | Monomer or homomultimer | High-throughput in vitro | None | PDB:1K78 is a PAX5:ETS1 heterodimer |
IRF8 | 92 | Yes | Known motif | Monomer or homomultimer | High-throughput in vitro | None | None |
SYK | 101 | No | Unlikely to be sequence specific TF | Not a DNA binding protein | No motif | None | Known co-factor |
RUNX3 | 110 | Yes | Known motif | Monomer or homomultimer | High-throughput in vitro | None | None |
MBNL1 | 115 | No | ssDNA/RNA binding | Not a DNA binding protein | No motif | None | None |
BTK | 123 | No | Unlikely to be sequence specific TF | Not a DNA binding protein | No motif | None | Involved in the regulation of ARID3A and NFAT in B lymphocyte development; has been thoroughly investigated, but there is no evidence to demonstrate DNA binding activity (see UniProt Q06187) |
IKZF3 | 133 | Yes | Known motif | Monomer or homomultimer | High-throughput in vitro | ChIP-seq motif is consistent with recognition code (RCADE) | None |
IKZF1 | 139 | Yes | Known motif | Monomer or homomultimer | In vivo/Misc source | Only known motifs are from Transfac or HocoMoco - origin is uncertain | None |
SP140 | 161 | Yes | Likely to be sequence specific TF | Monomer or homomultimer | No motif | None | None |
EBF1 | 162 | Yes | Known motif | Monomer or homomultimer | High-throughput in vitro | None | None |
HAVCR2 | 166 | No | Unlikely to be sequence specific TF | Not a DNA binding protein | No motif | None | None |
SP110 | 179 | Yes | Likely to be sequence specific TF | Monomer or homomultimer | No motif | None | None |
IRF5 | 186 | Yes | Known motif | Monomer or homomultimer | High-throughput in vitro | Has a putative AT-hook | None |
IRF2 | 191 | Yes | Known motif | Monomer or homomultimer | High-throughput in vitro | None | None |
POU2AF1 | 204 | Yes | Known motif | Obligate heteromer | In vivo/Misc source | Only known motifs are from Transfac or HocoMoco - origin is uncertain | Requires POU2F1 to bind DNA. In the crystal structure (PDB:1CQT), POU2AF1 contacts both the POU2F1 and DNA major groove |
MALT1 | 212 | No | Unlikely to be sequence specific TF | Not a DNA binding protein | No motif | None | Protein that operates upstream of NFKB in a signaling cascade (PMID: 18223652) |
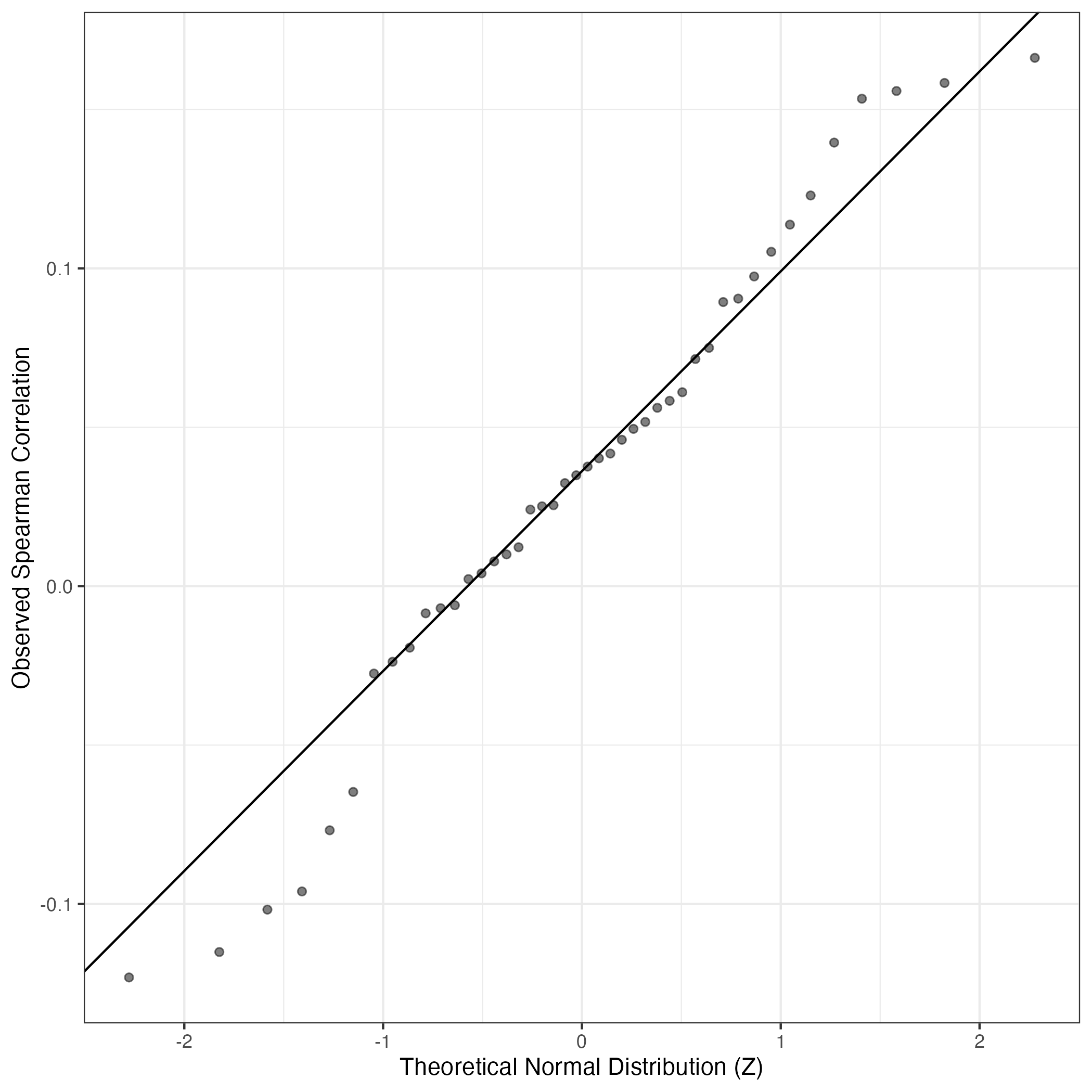
QQ Plot showing correlations with other Gene Expression Programs in this dataset, calculated by Spearman correlation:
Interactive QQ-plot of gene loadings:
A similar QQ-plot as above, but only for instances where the H value is e.g. > 25, i.e. we are confident that the expression program is active above noise. Agreemenet between these binary vectors is tested using the Jaccard Index, with the P-values calculated by an exact test:
Interactive QQ-plot:
Singler cell type annotations for the top 50 cells on this program.
Cell ID | Singler label | Singler Delta | Activity Score | Top Singler Raw Scores |
---|---|---|---|---|
847_TTCCGTGCAAGGACAC-1 | Macrophage:monocyte-derived:M-CSF/IFNg | 0.13 | 2650.22 | Raw ScoresMacrophage:monocyte-derived:M-CSF/IFNg: 0.47, Macrophage:monocyte-derived:M-CSF: 0.47, DC:monocyte-derived:AEC-conditioned: 0.46, Monocyte:leukotriene_D4: 0.46, DC:monocyte-derived: 0.46, Monocyte:CD16+: 0.46, Monocyte: 0.46, Macrophage:monocyte-derived: 0.45, Monocyte:anti-FcgRIIB: 0.45, DC:monocyte-derived:anti-DC-SIGN_2h: 0.45 |
847_AAGCCATGTCGTCAGC-1 | Macrophage:monocyte-derived:IL-4/Dex/TGFb | 0.16 | 2160.95 | Raw ScoresMacrophage:monocyte-derived:M-CSF: 0.5, Macrophage:monocyte-derived:IL-4/Dex/TGFb: 0.49, Macrophage:monocyte-derived:M-CSF/IFNg: 0.49, Macrophage:monocyte-derived:IL-4/Dex/cntrl: 0.49, Monocyte:leukotriene_D4: 0.49, DC:monocyte-derived: 0.49, DC:monocyte-derived:immature: 0.49, Macrophage:monocyte-derived:IL-4/cntrl: 0.49, Macrophage:monocyte-derived: 0.49, Macrophage:monocyte-derived:IL-4/TGFb: 0.49 |
837_GATCGTAAGCTAGAGC-1 | Macrophage:monocyte-derived:M-CSF | 0.15 | 1799.18 | Raw ScoresMacrophage:monocyte-derived:M-CSF: 0.47, Monocyte:leukotriene_D4: 0.46, Macrophage:monocyte-derived:M-CSF/IFNg: 0.45, Macrophage:monocyte-derived:IL-4/Dex/TGFb: 0.45, Macrophage:monocyte-derived:IL-4/Dex/cntrl: 0.45, Macrophage:monocyte-derived: 0.45, DC:monocyte-derived: 0.45, Monocyte: 0.45, Monocyte:anti-FcgRIIB: 0.45, DC:monocyte-derived:immature: 0.45 |
887_TTCTAGTTCGGCCTTT-1 | DC:monocyte-derived:immature | 0.14 | 1618.49 | Raw ScoresMacrophage:monocyte-derived:M-CSF: 0.5, Macrophage:monocyte-derived:M-CSF/IFNg: 0.49, DC:monocyte-derived: 0.49, Monocyte:leukotriene_D4: 0.49, DC:monocyte-derived:AEC-conditioned: 0.49, Macrophage:monocyte-derived:IL-4/Dex/TGFb: 0.49, Macrophage:monocyte-derived:IL-4/Dex/cntrl: 0.49, Macrophage:monocyte-derived:IL-4/cntrl: 0.48, Macrophage:monocyte-derived:IL-4/TGFb: 0.48, DC:monocyte-derived:anti-DC-SIGN_2h: 0.48 |
847_CGAATTGCAACCGATT-1 | Macrophage:monocyte-derived:M-CSF | 0.15 | 1569.95 | Raw ScoresMacrophage:monocyte-derived:M-CSF: 0.48, Macrophage:monocyte-derived:M-CSF/IFNg: 0.47, Monocyte:leukotriene_D4: 0.47, Macrophage:monocyte-derived:IL-4/Dex/TGFb: 0.46, Macrophage:monocyte-derived:IL-4/Dex/cntrl: 0.46, DC:monocyte-derived: 0.46, DC:monocyte-derived:anti-DC-SIGN_2h: 0.46, Monocyte:CD16+: 0.46, Monocyte: 0.46, Monocyte:anti-FcgRIIB: 0.46 |
839_TGATTCTAGTCTGGTT-1 | Macrophage:monocyte-derived:IL-4/Dex/cntrl | 0.14 | 1516.57 | Raw ScoresMacrophage:monocyte-derived:M-CSF/IFNg: 0.48, DC:monocyte-derived:AEC-conditioned: 0.48, Macrophage:monocyte-derived:IL-4/Dex/cntrl: 0.48, Macrophage:monocyte-derived:M-CSF: 0.48, Macrophage:monocyte-derived:IL-4/Dex/TGFb: 0.47, Macrophage:monocyte-derived: 0.47, Macrophage:monocyte-derived:IL-4/cntrl: 0.47, DC:monocyte-derived: 0.47, Macrophage:monocyte-derived:IL-4/TGFb: 0.47, DC:monocyte-derived:immature: 0.47 |
847_TCTCTGGCAGAGACTG-1 | Monocyte:CD16+ | 0.15 | 1469.73 | Raw ScoresMacrophage:monocyte-derived:M-CSF/IFNg: 0.51, Macrophage:monocyte-derived:M-CSF: 0.5, Monocyte:leukotriene_D4: 0.5, DC:monocyte-derived:AEC-conditioned: 0.49, Monocyte:anti-FcgRIIB: 0.49, Monocyte: 0.49, Monocyte:CD16+: 0.49, DC:monocyte-derived:Poly(IC): 0.49, DC:monocyte-derived:anti-DC-SIGN_2h: 0.48, DC:monocyte-derived: 0.48 |
839_ATCTCTATCATCCTAT-1 | Macrophage:monocyte-derived:IL-4/Dex/TGFb | 0.14 | 1426.71 | Raw ScoresMacrophage:monocyte-derived:M-CSF/IFNg: 0.43, Macrophage:monocyte-derived:M-CSF: 0.43, Macrophage:monocyte-derived:IL-4/Dex/TGFb: 0.43, Macrophage:monocyte-derived:IL-4/Dex/cntrl: 0.43, DC:monocyte-derived: 0.43, Monocyte:leukotriene_D4: 0.43, DC:monocyte-derived:AEC-conditioned: 0.42, Macrophage:monocyte-derived:IL-4/cntrl: 0.42, Macrophage:monocyte-derived:IL-4/TGFb: 0.42, Monocyte: 0.42 |
887_GGAGGATAGGATGCGT-1 | Macrophage:monocyte-derived:M-CSF | 0.15 | 1357.04 | Raw ScoresMacrophage:monocyte-derived:M-CSF: 0.48, Macrophage:monocyte-derived:M-CSF/IFNg: 0.47, Macrophage:monocyte-derived:IL-4/Dex/cntrl: 0.47, Macrophage:monocyte-derived:IL-4/Dex/TGFb: 0.47, DC:monocyte-derived: 0.47, Monocyte:leukotriene_D4: 0.47, Macrophage:monocyte-derived:IL-4/cntrl: 0.46, Macrophage:monocyte-derived:IL-4/TGFb: 0.46, DC:monocyte-derived:AEC-conditioned: 0.46, Macrophage:monocyte-derived:M-CSF/Pam3Cys: 0.46 |
847_AGTCACACATAGGAGC-1 | Monocyte:CD16+ | 0.10 | 1268.41 | Raw ScoresDC:monocyte-derived:AEC-conditioned: 0.49, Monocyte:leukotriene_D4: 0.48, Macrophage:monocyte-derived:M-CSF: 0.48, Macrophage:monocyte-derived:M-CSF/IFNg: 0.48, Pre-B_cell_CD34-: 0.48, Macrophage:monocyte-derived: 0.48, DC:monocyte-derived:anti-DC-SIGN_2h: 0.47, DC:monocyte-derived: 0.47, Macrophage:monocyte-derived:IL-4/Dex/TGFb: 0.47, Monocyte:CD16-: 0.47 |
847_TCCTCGAAGTGTTGAA-1 | DC:monocyte-derived:anti-DC-SIGN_2h | 0.10 | 1238.34 | Raw ScoresDC:monocyte-derived:AEC-conditioned: 0.45, DC:monocyte-derived: 0.45, DC:monocyte-derived:anti-DC-SIGN_2h: 0.45, DC:monocyte-derived:CD40L: 0.45, Macrophage:monocyte-derived:M-CSF/IFNg: 0.45, Macrophage:monocyte-derived:M-CSF/Pam3Cys: 0.45, Monocyte:leukotriene_D4: 0.44, Macrophage:monocyte-derived:M-CSF: 0.44, Macrophage:monocyte-derived: 0.44, DC:monocyte-derived:immature: 0.44 |
849_GATCCCTGTGCGGCTT-1 | Macrophage:monocyte-derived:M-CSF/IFNg | 0.16 | 1231.31 | Raw ScoresMacrophage:monocyte-derived:M-CSF/IFNg: 0.45, Macrophage:monocyte-derived:M-CSF: 0.45, Monocyte:leukotriene_D4: 0.45, Macrophage:monocyte-derived:IL-4/Dex/TGFb: 0.45, Macrophage:monocyte-derived:IL-4/Dex/cntrl: 0.45, DC:monocyte-derived:AEC-conditioned: 0.44, DC:monocyte-derived: 0.44, Monocyte: 0.44, Monocyte:anti-FcgRIIB: 0.44, Monocyte:CD14+: 0.44 |
849_TCAATCTAGACCAAAT-1 | Macrophage:monocyte-derived:M-CSF | 0.15 | 1222.39 | Raw ScoresMacrophage:monocyte-derived:M-CSF: 0.47, DC:monocyte-derived: 0.46, Macrophage:monocyte-derived:M-CSF/IFNg: 0.46, Macrophage:monocyte-derived:IL-4/Dex/cntrl: 0.46, Macrophage:monocyte-derived:IL-4/Dex/TGFb: 0.46, DC:monocyte-derived:immature: 0.46, Macrophage:monocyte-derived:IL-4/cntrl: 0.46, DC:monocyte-derived:anti-DC-SIGN_2h: 0.46, Monocyte:leukotriene_D4: 0.46, Macrophage:monocyte-derived:IL-4/TGFb: 0.46 |
847_AGCCAATCATAGGTAA-1 | Macrophage:monocyte-derived:M-CSF | 0.13 | 1152.41 | Raw ScoresMacrophage:monocyte-derived:M-CSF: 0.44, Macrophage:monocyte-derived:M-CSF/IFNg: 0.44, Monocyte:leukotriene_D4: 0.43, Macrophage:monocyte-derived:IL-4/Dex/TGFb: 0.43, Macrophage:monocyte-derived:IL-4/Dex/cntrl: 0.43, DC:monocyte-derived: 0.43, Monocyte:CD14+: 0.43, Monocyte:CD16+: 0.42, DC:monocyte-derived:anti-DC-SIGN_2h: 0.42, Monocyte:CD16-: 0.42 |
839_CCCTGATAGGTCGTCC-1 | Macrophage:monocyte-derived:IL-4/Dex/TGFb | 0.13 | 1141.99 | Raw ScoresDC:monocyte-derived:anti-DC-SIGN_2h: 0.42, DC:monocyte-derived:AEC-conditioned: 0.42, DC:monocyte-derived: 0.42, Monocyte:leukotriene_D4: 0.42, Macrophage:monocyte-derived:M-CSF: 0.42, Macrophage:monocyte-derived:M-CSF/IFNg: 0.42, Macrophage:monocyte-derived:IL-4/Dex/TGFb: 0.41, Macrophage:monocyte-derived:IL-4/Dex/cntrl: 0.41, DC:monocyte-derived:immature: 0.41, Monocyte: 0.41 |
847_CAGCAGCGTATAATGG-1 | Macrophage:monocyte-derived:IL-4/Dex/cntrl | 0.15 | 1071.71 | Raw ScoresMacrophage:monocyte-derived:M-CSF: 0.42, Macrophage:monocyte-derived:M-CSF/IFNg: 0.42, Macrophage:monocyte-derived:IL-4/Dex/cntrl: 0.41, Monocyte:leukotriene_D4: 0.41, Macrophage:monocyte-derived:IL-4/Dex/TGFb: 0.41, DC:monocyte-derived:AEC-conditioned: 0.41, DC:monocyte-derived: 0.41, DC:monocyte-derived:anti-DC-SIGN_2h: 0.4, Monocyte: 0.4, Monocyte:anti-FcgRIIB: 0.4 |
839_ATGCGATGTCGATTTG-1 | Macrophage:monocyte-derived:M-CSF/IFNg | 0.14 | 1040.83 | Raw ScoresMacrophage:monocyte-derived:M-CSF: 0.43, Macrophage:monocyte-derived:M-CSF/IFNg: 0.43, Monocyte:leukotriene_D4: 0.42, DC:monocyte-derived:AEC-conditioned: 0.42, Monocyte:anti-FcgRIIB: 0.42, Monocyte: 0.42, Macrophage:monocyte-derived:IL-4/Dex/TGFb: 0.42, DC:monocyte-derived:immature: 0.42, DC:monocyte-derived: 0.42, Macrophage:monocyte-derived:IL-4/cntrl: 0.42 |
837_TTGTTGTTCCAAAGGG-1 | Macrophage:monocyte-derived:IL-4/Dex/TGFb | 0.13 | 1024.97 | Raw ScoresMacrophage:monocyte-derived:M-CSF: 0.46, Macrophage:monocyte-derived:IL-4/Dex/cntrl: 0.45, Macrophage:monocyte-derived:IL-4/Dex/TGFb: 0.45, DC:monocyte-derived: 0.45, DC:monocyte-derived:immature: 0.45, Macrophage:monocyte-derived:IL-4/cntrl: 0.45, Macrophage:monocyte-derived:M-CSF/IFNg: 0.45, DC:monocyte-derived:anti-DC-SIGN_2h: 0.45, Monocyte:leukotriene_D4: 0.45, Macrophage:monocyte-derived:IL-4/TGFb: 0.45 |
839_TCCCACATCTAACGGT-1 | Macrophage:monocyte-derived:IL-4/Dex/cntrl | 0.14 | 1009.10 | Raw ScoresMacrophage:monocyte-derived:M-CSF: 0.45, Macrophage:monocyte-derived:IL-4/Dex/cntrl: 0.44, Macrophage:monocyte-derived:IL-4/Dex/TGFb: 0.44, DC:monocyte-derived: 0.44, Monocyte:leukotriene_D4: 0.44, Macrophage:monocyte-derived:M-CSF/IFNg: 0.44, DC:monocyte-derived:immature: 0.44, Macrophage:monocyte-derived:IL-4/cntrl: 0.44, DC:monocyte-derived:anti-DC-SIGN_2h: 0.44, Macrophage:monocyte-derived:IL-4/TGFb: 0.43 |
839_AACCTTTCATTGGATC-1 | Macrophage:monocyte-derived:IL-4/Dex/cntrl | 0.12 | 1001.88 | Raw ScoresMacrophage:monocyte-derived:M-CSF/IFNg: 0.4, Macrophage:monocyte-derived:M-CSF: 0.4, Macrophage:monocyte-derived:IL-4/Dex/cntrl: 0.4, Macrophage:monocyte-derived:IL-4/Dex/TGFb: 0.39, DC:monocyte-derived: 0.39, DC:monocyte-derived:AEC-conditioned: 0.39, Monocyte:leukotriene_D4: 0.39, Macrophage:monocyte-derived:IL-4/cntrl: 0.39, DC:monocyte-derived:immature: 0.39, Macrophage:monocyte-derived:M-CSF/Pam3Cys: 0.39 |
839_CTACCCAGTCGCATCG-1 | Macrophage:monocyte-derived:M-CSF | 0.08 | 988.18 | Raw ScoresDC:monocyte-derived:AEC-conditioned: 0.47, Macrophage:monocyte-derived:M-CSF: 0.45, Macrophage:monocyte-derived:M-CSF/IFNg: 0.45, Monocyte:MCSF: 0.45, Macrophage:monocyte-derived: 0.45, Macrophage:monocyte-derived:IL-4/Dex/cntrl: 0.44, Neurons:Schwann_cell: 0.44, Macrophage:monocyte-derived:IL-4/Dex/TGFb: 0.44, DC:monocyte-derived: 0.44, DC:monocyte-derived:immature: 0.44 |
839_ACATCGAGTTGAGAGC-1 | DC:monocyte-derived:AEC-conditioned | 0.14 | 965.78 | Raw ScoresMacrophage:monocyte-derived:M-CSF/IFNg: 0.45, Macrophage:monocyte-derived:M-CSF: 0.45, DC:monocyte-derived:AEC-conditioned: 0.44, DC:monocyte-derived: 0.44, Macrophage:monocyte-derived:IL-4/Dex/cntrl: 0.44, Monocyte:leukotriene_D4: 0.44, Macrophage:monocyte-derived:IL-4/Dex/TGFb: 0.44, Macrophage:monocyte-derived:IL-4/cntrl: 0.44, DC:monocyte-derived:immature: 0.44, Macrophage:monocyte-derived:IL-4/TGFb: 0.44 |
839_TCAGGGCTCGTCGCTT-1 | Monocyte:leukotriene_D4 | 0.12 | 958.75 | Raw ScoresMacrophage:monocyte-derived:M-CSF: 0.42, Monocyte:leukotriene_D4: 0.42, Monocyte:CD14+: 0.42, Monocyte:CD16-: 0.42, Macrophage:monocyte-derived:IL-4/Dex/cntrl: 0.42, Macrophage:monocyte-derived:M-CSF/IFNg: 0.42, Monocyte: 0.41, Monocyte:CD16+: 0.41, Macrophage:monocyte-derived:IL-4/Dex/TGFb: 0.41, DC:monocyte-derived: 0.41 |
839_CACGTGGAGCCTCAGC-1 | Macrophage:monocyte-derived:M-CSF/IFNg | 0.14 | 958.33 | Raw ScoresDC:monocyte-derived:AEC-conditioned: 0.45, Macrophage:monocyte-derived:M-CSF/IFNg: 0.44, Macrophage:monocyte-derived:M-CSF/Pam3Cys: 0.44, Macrophage:monocyte-derived:M-CSF/IFNg/Pam3Cys: 0.44, Monocyte:leukotriene_D4: 0.44, Monocyte:anti-FcgRIIB: 0.44, DC:monocyte-derived: 0.44, Monocyte: 0.44, DC:monocyte-derived:Galectin-1: 0.44, Macrophage:monocyte-derived:M-CSF: 0.44 |
849_CGATGCGCATCGTTCC-1 | Macrophage:monocyte-derived:IL-4/Dex/cntrl | 0.12 | 955.64 | Raw ScoresMacrophage:monocyte-derived:M-CSF/IFNg: 0.41, Macrophage:monocyte-derived:M-CSF: 0.41, Macrophage:monocyte-derived:IL-4/Dex/cntrl: 0.4, Monocyte:leukotriene_D4: 0.4, DC:monocyte-derived: 0.4, Macrophage:monocyte-derived:IL-4/Dex/TGFb: 0.4, Monocyte: 0.4, DC:monocyte-derived:AEC-conditioned: 0.4, Monocyte:anti-FcgRIIB: 0.4, DC:monocyte-derived:immature: 0.4 |
839_AATAGAGGTTAGTCGT-1 | Macrophage:monocyte-derived:IL-4/Dex/cntrl | 0.14 | 944.20 | Raw ScoresMacrophage:monocyte-derived:M-CSF: 0.44, Macrophage:monocyte-derived:IL-4/Dex/cntrl: 0.43, Macrophage:monocyte-derived:M-CSF/IFNg: 0.43, Macrophage:monocyte-derived:IL-4/Dex/TGFb: 0.43, DC:monocyte-derived:AEC-conditioned: 0.43, DC:monocyte-derived: 0.43, Monocyte:leukotriene_D4: 0.43, DC:monocyte-derived:immature: 0.42, Monocyte:CD14+: 0.42, Monocyte: 0.42 |
839_CATCCACTCTTAGGAC-1 | DC:monocyte-derived:immature | 0.09 | 934.74 | Raw ScoresDC:monocyte-derived:AEC-conditioned: 0.4, Macrophage:monocyte-derived:M-CSF/IFNg: 0.39, Macrophage:monocyte-derived: 0.39, Macrophage:monocyte-derived:IFNa: 0.39, Monocyte:leukotriene_D4: 0.39, DC:monocyte-derived:Galectin-1: 0.39, DC:monocyte-derived:Poly(IC): 0.39, DC:monocyte-derived: 0.39, Macrophage:monocyte-derived:M-CSF/Pam3Cys: 0.38, Macrophage:monocyte-derived:M-CSF: 0.38 |
839_CATGGTAGTTCGAACT-1 | Macrophage:monocyte-derived:IL-4/Dex/cntrl | 0.16 | 930.88 | Raw ScoresMacrophage:monocyte-derived:M-CSF: 0.49, Macrophage:monocyte-derived:IL-4/Dex/cntrl: 0.48, Macrophage:monocyte-derived:IL-4/Dex/TGFb: 0.48, Monocyte:leukotriene_D4: 0.48, Macrophage:monocyte-derived:M-CSF/IFNg: 0.48, DC:monocyte-derived: 0.48, Macrophage:monocyte-derived:IL-4/cntrl: 0.48, DC:monocyte-derived:anti-DC-SIGN_2h: 0.48, DC:monocyte-derived:immature: 0.48, DC:monocyte-derived:AEC-conditioned: 0.47 |
839_AGCCAATCACTACGGC-1 | Monocyte:CD16+ | 0.13 | 921.64 | Raw ScoresMacrophage:monocyte-derived:M-CSF: 0.44, Macrophage:monocyte-derived:M-CSF/IFNg: 0.43, Monocyte:leukotriene_D4: 0.43, Monocyte: 0.43, Monocyte:anti-FcgRIIB: 0.42, DC:monocyte-derived:AEC-conditioned: 0.42, Macrophage:monocyte-derived:IL-4/Dex/TGFb: 0.42, DC:monocyte-derived: 0.42, Macrophage:monocyte-derived:IL-4/Dex/cntrl: 0.42, DC:monocyte-derived:immature: 0.42 |
839_TTTGGTTTCGGAATGG-1 | Monocyte:CD16+ | 0.11 | 914.21 | Raw ScoresMacrophage:monocyte-derived:M-CSF: 0.41, Macrophage:monocyte-derived:M-CSF/IFNg: 0.41, DC:monocyte-derived:AEC-conditioned: 0.41, DC:monocyte-derived: 0.41, Macrophage:monocyte-derived: 0.41, Macrophage:monocyte-derived:IL-4/Dex/cntrl: 0.41, Monocyte:anti-FcgRIIB: 0.41, Monocyte:leukotriene_D4: 0.41, Macrophage:monocyte-derived:IL-4/Dex/TGFb: 0.41, Monocyte:CD16+: 0.4 |
847_ATTCTTGCAAAGGATT-1 | Macrophage:monocyte-derived:M-CSF | 0.19 | 911.63 | Raw ScoresMacrophage:monocyte-derived:M-CSF: 0.5, Monocyte:leukotriene_D4: 0.5, Macrophage:monocyte-derived:M-CSF/IFNg: 0.5, Monocyte: 0.49, Monocyte:anti-FcgRIIB: 0.49, Macrophage:monocyte-derived:IL-4/Dex/TGFb: 0.49, Macrophage:monocyte-derived:IL-4/Dex/cntrl: 0.48, DC:monocyte-derived: 0.48, DC:monocyte-derived:AEC-conditioned: 0.48, DC:monocyte-derived:anti-DC-SIGN_2h: 0.48 |
839_GGGACAAAGTATGACA-1 | Macrophage:monocyte-derived:IL-4/Dex/cntrl | 0.13 | 904.68 | Raw ScoresMacrophage:monocyte-derived:M-CSF: 0.42, Macrophage:monocyte-derived:M-CSF/IFNg: 0.42, DC:monocyte-derived:AEC-conditioned: 0.41, Macrophage:monocyte-derived:IL-4/Dex/cntrl: 0.41, Monocyte:leukotriene_D4: 0.41, DC:monocyte-derived: 0.4, Macrophage:monocyte-derived:IL-4/Dex/TGFb: 0.4, DC:monocyte-derived:anti-DC-SIGN_2h: 0.4, Monocyte: 0.4, Monocyte:anti-FcgRIIB: 0.4 |
839_CGAGGAACACCCATAA-1 | Monocyte:CD16+ | 0.11 | 898.81 | Raw ScoresMacrophage:monocyte-derived:IL-4/Dex/cntrl: 0.47, Macrophage:monocyte-derived:M-CSF/IFNg: 0.47, Macrophage:monocyte-derived:M-CSF: 0.47, Macrophage:monocyte-derived:IL-4/Dex/TGFb: 0.46, DC:monocyte-derived: 0.46, DC:monocyte-derived:AEC-conditioned: 0.46, Monocyte:leukotriene_D4: 0.46, Macrophage:monocyte-derived:IL-4/cntrl: 0.46, Macrophage:monocyte-derived: 0.46, Macrophage:monocyte-derived:IL-4/TGFb: 0.46 |
839_GTGACGCCAGCGATTT-1 | Macrophage:monocyte-derived:IL-4/Dex/cntrl | 0.12 | 886.70 | Raw ScoresDC:monocyte-derived:AEC-conditioned: 0.41, Macrophage:monocyte-derived:M-CSF/IFNg: 0.4, Macrophage:monocyte-derived:IL-4/Dex/cntrl: 0.4, Macrophage:monocyte-derived: 0.4, Macrophage:monocyte-derived:IL-4/Dex/TGFb: 0.4, Macrophage:monocyte-derived:M-CSF/Pam3Cys: 0.4, DC:monocyte-derived: 0.4, Macrophage:monocyte-derived:M-CSF: 0.4, Macrophage:monocyte-derived:IL-4/cntrl: 0.4, DC:monocyte-derived:anti-DC-SIGN_2h: 0.4 |
839_GTGGAGAAGTAGGGTC-1 | Macrophage:monocyte-derived:M-CSF | 0.15 | 855.09 | Raw ScoresMacrophage:monocyte-derived:M-CSF: 0.45, Macrophage:monocyte-derived:M-CSF/IFNg: 0.45, Monocyte:leukotriene_D4: 0.44, DC:monocyte-derived:AEC-conditioned: 0.44, Monocyte: 0.44, Monocyte:anti-FcgRIIB: 0.44, Macrophage:monocyte-derived:IL-4/Dex/cntrl: 0.44, Monocyte:CD14+: 0.44, DC:monocyte-derived: 0.43, Macrophage:monocyte-derived:IL-4/Dex/TGFb: 0.43 |
864_AGCCACGCAAGCGATG-1 | Monocyte:CD14+ | 0.11 | 841.08 | Raw ScoresMonocyte:CD14+: 0.38, Macrophage:monocyte-derived:M-CSF/IFNg: 0.38, Monocyte:CD16+: 0.37, Monocyte:CD16-: 0.37, Macrophage:monocyte-derived:M-CSF: 0.37, Monocyte:leukotriene_D4: 0.37, Macrophage:monocyte-derived:IL-4/Dex/cntrl: 0.37, DC:monocyte-derived:AEC-conditioned: 0.37, Monocyte: 0.37, Macrophage:monocyte-derived:IL-4/Dex/TGFb: 0.37 |
839_GTGTTAGGTGGAATGC-1 | DC:monocyte-derived:immature | 0.05 | 839.64 | Raw ScoresNeurons:adrenal_medulla_cell_line: 0.44, Monocyte:MCSF: 0.43, Macrophage:monocyte-derived: 0.42, Monocyte:CXCL4: 0.41, GMP: 0.41, Macrophage:monocyte-derived:IL-4/cntrl: 0.41, DC:monocyte-derived:AEC-conditioned: 0.41, DC:monocyte-derived:immature: 0.41, Macrophage:monocyte-derived:IL-4/Dex/cntrl: 0.41, DC:monocyte-derived: 0.41 |
883_CAACAGTCATTGTGCA-1 | Macrophage:monocyte-derived:IL-4/Dex/TGFb | 0.09 | 818.82 | Raw ScoresMonocyte:MCSF: 0.39, Macrophage:monocyte-derived: 0.38, Macrophage:monocyte-derived:IL-4/Dex/cntrl: 0.38, Macrophage:monocyte-derived:IL-4/Dex/TGFb: 0.38, DC:monocyte-derived:AEC-conditioned: 0.38, Macrophage:monocyte-derived:M-CSF: 0.38, Macrophage:monocyte-derived:IL-4/cntrl: 0.38, Macrophage:monocyte-derived:M-CSF/IFNg: 0.38, DC:monocyte-derived: 0.38, DC:monocyte-derived:immature: 0.38 |
839_AACGGGAAGCCACCGT-1 | Macrophage:monocyte-derived:IL-4/Dex/TGFb | 0.12 | 816.13 | Raw ScoresMacrophage:monocyte-derived:M-CSF: 0.44, Macrophage:monocyte-derived:IL-4/Dex/cntrl: 0.44, Macrophage:monocyte-derived:M-CSF/IFNg: 0.44, Macrophage:monocyte-derived:IL-4/Dex/TGFb: 0.43, DC:monocyte-derived: 0.43, Macrophage:monocyte-derived: 0.43, Macrophage:monocyte-derived:IL-4/cntrl: 0.43, DC:monocyte-derived:AEC-conditioned: 0.43, Macrophage:monocyte-derived:IL-4/TGFb: 0.43, Monocyte:leukotriene_D4: 0.43 |
847_TCGACCTTCCTCTAAT-1 | Macrophage:monocyte-derived:M-CSF | 0.16 | 812.11 | Raw ScoresMacrophage:monocyte-derived:M-CSF: 0.43, Macrophage:monocyte-derived:M-CSF/IFNg: 0.41, Monocyte:leukotriene_D4: 0.41, Macrophage:monocyte-derived:IL-4/Dex/TGFb: 0.41, Macrophage:monocyte-derived:IL-4/Dex/cntrl: 0.41, Monocyte: 0.4, DC:monocyte-derived: 0.4, Monocyte:anti-FcgRIIB: 0.4, Macrophage:monocyte-derived: 0.4, DC:monocyte-derived:immature: 0.4 |
837_GATTTCTCATCCTCAC-1 | Macrophage:monocyte-derived:IL-4/Dex/cntrl | 0.17 | 801.68 | Raw ScoresMacrophage:monocyte-derived:M-CSF: 0.49, Macrophage:monocyte-derived:IL-4/Dex/cntrl: 0.48, Macrophage:monocyte-derived:IL-4/Dex/TGFb: 0.48, Macrophage:monocyte-derived:M-CSF/IFNg: 0.47, Monocyte:leukotriene_D4: 0.47, DC:monocyte-derived: 0.47, DC:monocyte-derived:anti-DC-SIGN_2h: 0.47, DC:monocyte-derived:immature: 0.46, DC:monocyte-derived:AEC-conditioned: 0.46, Macrophage:monocyte-derived:IL-4/cntrl: 0.46 |
839_CGTGAATGTTGCCGAC-1 | Macrophage:monocyte-derived:M-CSF | 0.16 | 784.35 | Raw ScoresMacrophage:monocyte-derived:M-CSF: 0.45, Monocyte:leukotriene_D4: 0.44, Macrophage:monocyte-derived:M-CSF/IFNg: 0.43, Macrophage:monocyte-derived:IL-4/Dex/TGFb: 0.43, Monocyte:anti-FcgRIIB: 0.43, Macrophage:monocyte-derived:IL-4/Dex/cntrl: 0.43, Monocyte: 0.43, DC:monocyte-derived:AEC-conditioned: 0.43, DC:monocyte-derived: 0.43, DC:monocyte-derived:immature: 0.43 |
839_GTCAAACCATTGCTTT-1 | Macrophage:monocyte-derived:IL-4/Dex/cntrl | 0.13 | 781.24 | Raw ScoresMacrophage:monocyte-derived:M-CSF: 0.42, Macrophage:monocyte-derived:M-CSF/IFNg: 0.41, Monocyte:leukotriene_D4: 0.41, Monocyte:CD16+: 0.41, Monocyte:CD14+: 0.41, Monocyte: 0.41, DC:monocyte-derived: 0.41, Monocyte:CD16-: 0.41, Macrophage:monocyte-derived:IL-4/Dex/cntrl: 0.4, Monocyte:anti-FcgRIIB: 0.4 |
839_CTTGAGACAAGTCCCG-1 | Macrophage:monocyte-derived:M-CSF | 0.13 | 781.08 | Raw ScoresMacrophage:monocyte-derived:M-CSF: 0.47, Monocyte:leukotriene_D4: 0.47, Macrophage:monocyte-derived:M-CSF/IFNg: 0.46, DC:monocyte-derived:anti-DC-SIGN_2h: 0.46, DC:monocyte-derived:AEC-conditioned: 0.46, DC:monocyte-derived: 0.46, Macrophage:monocyte-derived:IL-4/Dex/cntrl: 0.46, Monocyte:CD16-: 0.46, Monocyte: 0.46, Monocyte:CD14+: 0.46 |
839_GTTCGCTAGGCCATAG-1 | Macrophage:monocyte-derived:M-CSF/IFNg | 0.14 | 779.00 | Raw ScoresMacrophage:monocyte-derived:M-CSF/IFNg: 0.44, DC:monocyte-derived:AEC-conditioned: 0.43, Macrophage:monocyte-derived:M-CSF: 0.43, Monocyte:leukotriene_D4: 0.43, Macrophage:monocyte-derived:IFNa: 0.43, Monocyte:anti-FcgRIIB: 0.43, Monocyte:CD16+: 0.42, DC:monocyte-derived:Poly(IC): 0.42, Monocyte: 0.42, Macrophage:monocyte-derived:M-CSF/IFNg/Pam3Cys: 0.42 |
839_CACTGAACACTGGCGT-1 | Macrophage:monocyte-derived:M-CSF | 0.15 | 774.31 | Raw ScoresMacrophage:monocyte-derived:M-CSF: 0.49, DC:monocyte-derived: 0.49, Macrophage:monocyte-derived:M-CSF/IFNg: 0.49, Macrophage:monocyte-derived:IL-4/Dex/cntrl: 0.49, DC:monocyte-derived:AEC-conditioned: 0.48, Macrophage:monocyte-derived:IL-4/Dex/TGFb: 0.48, Macrophage:monocyte-derived:IL-4/cntrl: 0.48, Monocyte:leukotriene_D4: 0.48, Macrophage:monocyte-derived:IL-4/TGFb: 0.48, Macrophage:monocyte-derived: 0.48 |
849_AAAGAACGTTGTTGAC-1 | Macrophage:monocyte-derived:IL-4/Dex/cntrl | 0.11 | 774.18 | Raw ScoresMonocyte:MCSF: 0.45, DC:monocyte-derived:AEC-conditioned: 0.45, Macrophage:monocyte-derived: 0.45, Macrophage:monocyte-derived:IL-4/Dex/cntrl: 0.44, Macrophage:monocyte-derived:M-CSF: 0.44, DC:monocyte-derived: 0.44, Macrophage:monocyte-derived:M-CSF/IFNg: 0.44, Macrophage:monocyte-derived:IL-4/Dex/TGFb: 0.44, GMP: 0.44, DC:monocyte-derived:immature: 0.43 |
839_TGCAGATTCACAGAGG-1 | Macrophage:monocyte-derived:M-CSF/IFNg | 0.13 | 760.21 | Raw ScoresMacrophage:monocyte-derived:M-CSF/IFNg: 0.42, DC:monocyte-derived:AEC-conditioned: 0.41, Macrophage:monocyte-derived:M-CSF: 0.41, Monocyte:CD16+: 0.41, Monocyte:leukotriene_D4: 0.41, Monocyte:CD14+: 0.41, Monocyte: 0.41, DC:monocyte-derived: 0.4, Macrophage:monocyte-derived:IL-4/Dex/cntrl: 0.4, Monocyte:CD16-: 0.4 |
839_GGGTTATTCTGACAGT-1 | Macrophage:monocyte-derived:M-CSF/IFNg | 0.14 | 754.28 | Raw ScoresMacrophage:monocyte-derived:M-CSF/IFNg: 0.42, Macrophage:monocyte-derived:M-CSF: 0.42, Macrophage:monocyte-derived:IL-4/cntrl: 0.42, Macrophage:monocyte-derived:IL-4/Dex/cntrl: 0.42, Macrophage:monocyte-derived:IL-4/TGFb: 0.41, DC:monocyte-derived:AEC-conditioned: 0.41, Macrophage:monocyte-derived:IL-4/Dex/TGFb: 0.41, DC:monocyte-derived: 0.41, Macrophage:monocyte-derived: 0.41, Monocyte:leukotriene_D4: 0.41 |
837_GCCGTGAGTGATACTC-1 | DC:monocyte-derived:AEC-conditioned | 0.12 | 753.10 | Raw ScoresDC:monocyte-derived:AEC-conditioned: 0.4, Macrophage:monocyte-derived:M-CSF/IFNg: 0.4, DC:monocyte-derived:anti-DC-SIGN_2h: 0.4, Macrophage:monocyte-derived:M-CSF: 0.4, DC:monocyte-derived: 0.4, DC:monocyte-derived:AM580: 0.39, Monocyte:leukotriene_D4: 0.39, Monocyte:CD14+: 0.39, DC:monocyte-derived:immature: 0.39, Monocyte:CD16-: 0.39 |
Below shows the significant enrichments of this GEP for literature curated gene lists
This data was procured from existing single cell RNA-seq maps of neuroblastoma or related relevant data.
High ranks indicate this gene is a driver of this GEP.
These curated gene list are ranked by the P-value (on this GEP) of their constituent genes.
The Mean Count column shows the mean read count in cells scoring highly (H > 50) on this gene expression program.
Genes | Weight | Rank | GTEx | DepMap | Decartes | Mean.Counts | Mean.TPM |
---|---|---|---|---|---|---|---|
B2M | 0.0017907 | 158 | GTEx | DepMap | Descartes | 8.12 | 769.33 |
IFITM3 | 0.0012941 | 361 | GTEx | DepMap | Descartes | 7.64 | 2892.45 |
S100A10 | 0.0004462 | 1357 | GTEx | DepMap | Descartes | 3.03 | 153.33 |
Antigen Presenting CAF
These marker genes were curated across cancer subtypes in multiple organ systems as reviewed in Lavie et. al. (PMID 35883004) and contain antigen presenting specific CAF genes:
Wilcoxon ranksum test P-value for gene set overrepresentation: 7.65e-03
Mean rank of genes in gene set: 6919.65
Rank on gene expression program of genes in gene set:
Genes | Weight | Rank | GTEx | DepMap | Decartes | Mean.Counts | Mean.TPM |
---|---|---|---|---|---|---|---|
H2-AB1 | 0.0074162 | 1 | GTEx | DepMap | Descartes | 13.84 | 895.35 |
H2-EB1 | 0.0072207 | 2 | GTEx | DepMap | Descartes | 13.90 | 973.78 |
H2-AA | 0.0070971 | 3 | GTEx | DepMap | Descartes | 10.97 | 1688.17 |
CD74 | 0.0070134 | 4 | GTEx | DepMap | Descartes | 41.68 | 3947.31 |
S100A4 | 0.0018946 | 134 | GTEx | DepMap | Descartes | 2.74 | 589.23 |
CD83 | 0.0011858 | 426 | GTEx | DepMap | Descartes | 0.77 | 29.54 |
S100A13 | 0.0009427 | 583 | GTEx | DepMap | Descartes | 1.08 | 50.30 |
S100A10 | 0.0004462 | 1357 | GTEx | DepMap | Descartes | 3.03 | 153.33 |
CCL19 | -0.0000034 | 5837 | GTEx | DepMap | Descartes | 0.00 | 0.23 |
S100A3 | -0.0000312 | 9474 | GTEx | DepMap | Descartes | 0.00 | 0.04 |
UPK3B | -0.0000322 | 9575 | GTEx | DepMap | Descartes | 0.03 | 0.96 |
MSLN | -0.0000551 | 11346 | GTEx | DepMap | Descartes | 0.05 | 1.80 |
KRT19 | -0.0000873 | 13095 | GTEx | DepMap | Descartes | 0.28 | 3.11 |
KRT8 | -0.0001074 | 13946 | GTEx | DepMap | Descartes | 0.34 | 4.13 |
KRT18 | -0.0001535 | 15490 | GTEx | DepMap | Descartes | 0.08 | 2.80 |
SLPI | -0.0001814 | 16275 | GTEx | DepMap | Descartes | 0.72 | 6.21 |
CCL5 | -0.0004791 | 20086 | GTEx | DepMap | Descartes | 0.41 | 59.19 |
Immune cells (Yuan)
Obtained from Fig. 1 of Yuan et al. https://www.biorxiv.org/content/10.1101/2020.05.15.097469v1:
Wilcoxon ranksum test P-value for gene set overrepresentation: 1.15e-02
Mean rank of genes in gene set: 751
Rank on gene expression program of genes in gene set:
Genes | Weight | Rank | GTEx | DepMap | Decartes | Mean.Counts | Mean.TPM |
---|---|---|---|---|---|---|---|
PTPRC | 0.0028407 | 31 | GTEx | DepMap | Descartes | 2.35 | 16.19 |
CXCR4 | 0.0004077 | 1471 | GTEx | DepMap | Descartes | 0.56 | 82.85 |
Below shows ranks on this GEP for literature curated gene lists for large gene sets
These include those reported as mesenchymal/adrenergic by Van Groningen et al.
High ranks indicate this gene is a driver of this GEP (note these results are not ordered).
The Mean Count column shows the mean read count in cells scoring highly (H > 50) on this gene expression program.
VanGroningen Adrenergic Genes
Adrenergic marker genes from Supplementary Table 2 of Van Groningen et al. Nature Genetics 2017. These genes were identified by differential expression analysis of mesenchymal-like and adrenergic-like neuroblastoma cell lines.
Wilcoxon ranksum test P-value for gene set overrepresentation: 1.00e+00
Mean rank of genes in gene set: 16657.28
Median rank of genes in gene set: 19125.5
Rank on gene expression program of top 30 genes in gene set:
Genes | Weight | Rank | GTEx | DepMap | Descartes | Mean.Counts | Mean.TPM |
---|---|---|---|---|---|---|---|
LYN | 0.0023898 | 66 | GTEx | DepMap | Descartes | 1.57 | 6.44 |
UCP2 | 0.0014986 | 254 | GTEx | DepMap | Descartes | 5.07 | 258.37 |
ABLIM1 | 0.0012971 | 358 | GTEx | DepMap | Descartes | 0.29 | 1.39 |
CELF2 | 0.0012713 | 373 | GTEx | DepMap | Descartes | 0.79 | 0.62 |
FAM107B | 0.0010084 | 550 | GTEx | DepMap | Descartes | 0.37 | 1.56 |
CKB | 0.0007013 | 833 | GTEx | DepMap | Descartes | 1.55 | 198.37 |
ADRBK2 | 0.0006584 | 905 | GTEx | DepMap | Descartes | 0.20 | NA |
AP1S2 | 0.0004779 | 1281 | GTEx | DepMap | Descartes | 0.49 | 8.98 |
PTS | 0.0004774 | 1284 | GTEx | DepMap | Descartes | 0.42 | 27.69 |
GLRX | 0.0004695 | 1308 | GTEx | DepMap | Descartes | 0.39 | 15.33 |
CERK | 0.0004630 | 1318 | GTEx | DepMap | Descartes | 0.58 | 7.00 |
ABCA3 | 0.0004097 | 1464 | GTEx | DepMap | Descartes | 0.18 | 1.59 |
CXCR4 | 0.0004077 | 1471 | GTEx | DepMap | Descartes | 0.56 | 82.85 |
SEPT6 | 0.0003076 | 1808 | GTEx | DepMap | Descartes | 0.23 | 1.82 |
SATB1 | 0.0003058 | 1817 | GTEx | DepMap | Descartes | 0.49 | 4.77 |
ST3GAL6 | 0.0003025 | 1835 | GTEx | DepMap | Descartes | 0.07 | 1.05 |
KLF13 | 0.0002964 | 1864 | GTEx | DepMap | Descartes | 0.68 | 7.76 |
IRS2 | 0.0002655 | 2014 | GTEx | DepMap | Descartes | 0.16 | 4.16 |
TMEM108 | 0.0002294 | 2217 | GTEx | DepMap | Descartes | 0.18 | 0.51 |
GCH1 | 0.0002147 | 2313 | GTEx | DepMap | Descartes | 0.38 | 4.72 |
GGCT | 0.0002100 | 2343 | GTEx | DepMap | Descartes | 0.18 | 10.23 |
OLFM1 | 0.0002076 | 2361 | GTEx | DepMap | Descartes | 0.26 | 2.46 |
EML4 | 0.0001992 | 2433 | GTEx | DepMap | Descartes | 0.58 | 2.78 |
CD200 | 0.0001692 | 2649 | GTEx | DepMap | Descartes | 0.18 | 5.20 |
PRSS12 | 0.0001398 | 2928 | GTEx | DepMap | Descartes | 0.01 | 0.20 |
GGH | 0.0001364 | 2965 | GTEx | DepMap | Descartes | 0.68 | 9.91 |
CYFIP2 | 0.0000971 | 3472 | GTEx | DepMap | Descartes | 0.49 | 2.22 |
TSPAN13 | 0.0000888 | 3566 | GTEx | DepMap | Descartes | 1.03 | 17.20 |
DUSP4 | 0.0000786 | 3705 | GTEx | DepMap | Descartes | 0.03 | 1.04 |
DNAJB1 | 0.0000691 | 3875 | GTEx | DepMap | Descartes | 0.33 | 35.28 |
VanGroningen Mesenchymal Genes
Mesenchymal marker genes from Supplementary Table 2 of Van Groningen et al. Nature Genetics 2017. These genes were identified by differential expression analysis of mesenchymal-like and adrenergic-like neuroblastoma cell lines.
Wilcoxon ranksum test P-value for gene set overrepresentation: 1.12e-02
Mean rank of genes in gene set: 9840.44
Median rank of genes in gene set: 11461.5
Rank on gene expression program of top 30 genes in gene set:
Genes | Weight | Rank | GTEx | DepMap | Descartes | Mean.Counts | Mean.TPM |
---|---|---|---|---|---|---|---|
ARPC1B | 0.0020836 | 103 | GTEx | DepMap | Descartes | 5.02 | 152.40 |
MBNL1 | 0.0019994 | 115 | GTEx | DepMap | Descartes | 1.84 | 9.49 |
B2M | 0.0017907 | 158 | GTEx | DepMap | Descartes | 8.12 | 769.33 |
PPT1 | 0.0015175 | 244 | GTEx | DepMap | Descartes | 0.72 | 13.78 |
IFITM2 | 0.0014936 | 257 | GTEx | DepMap | Descartes | 4.62 | 1678.71 |
PXDC1 | 0.0014553 | 271 | GTEx | DepMap | Descartes | 0.30 | 7.80 |
PLEKHA2 | 0.0014411 | 282 | GTEx | DepMap | Descartes | 0.25 | 3.28 |
FILIP1L | 0.0014214 | 290 | GTEx | DepMap | Descartes | 0.44 | 1.68 |
ELF1 | 0.0013903 | 301 | GTEx | DepMap | Descartes | 0.56 | 4.42 |
ITGA4 | 0.0013466 | 328 | GTEx | DepMap | Descartes | 0.58 | 6.56 |
RRBP1 | 0.0013115 | 347 | GTEx | DepMap | Descartes | 2.10 | 15.71 |
MYL12B | 0.0013032 | 354 | GTEx | DepMap | Descartes | 3.39 | 98.39 |
IFITM3 | 0.0012941 | 361 | GTEx | DepMap | Descartes | 7.64 | 2892.45 |
RGS10 | 0.0012858 | 365 | GTEx | DepMap | Descartes | 1.33 | 12.40 |
PRCP | 0.0012544 | 380 | GTEx | DepMap | Descartes | 0.43 | 4.32 |
ZFP36L1 | 0.0012486 | 381 | GTEx | DepMap | Descartes | 0.96 | 141.57 |
ETS1 | 0.0012409 | 387 | GTEx | DepMap | Descartes | 0.64 | 6.16 |
CTSC | 0.0012171 | 404 | GTEx | DepMap | Descartes | 5.80 | 70.38 |
CTSO | 0.0011199 | 473 | GTEx | DepMap | Descartes | 0.21 | 7.04 |
ADGRE5 | 0.0011108 | 475 | GTEx | DepMap | Descartes | 0.51 | 16.05 |
TRIM5 | 0.0010662 | 504 | GTEx | DepMap | Descartes | 0.07 | 3.08 |
MYL12A | 0.0010623 | 506 | GTEx | DepMap | Descartes | 2.44 | 119.91 |
EPS8 | 0.0010615 | 508 | GTEx | DepMap | Descartes | 0.15 | 0.42 |
RAP1A | 0.0010100 | 547 | GTEx | DepMap | Descartes | 1.65 | 10.98 |
ANXA5 | 0.0009524 | 574 | GTEx | DepMap | Descartes | 2.68 | 40.09 |
JAK1 | 0.0009518 | 575 | GTEx | DepMap | Descartes | 1.06 | 6.70 |
TGFBR2 | 0.0009259 | 601 | GTEx | DepMap | Descartes | 0.53 | 3.65 |
SDC4 | 0.0009098 | 612 | GTEx | DepMap | Descartes | 0.86 | 25.69 |
RAP1B | 0.0008987 | 628 | GTEx | DepMap | Descartes | 2.06 | 33.34 |
PLSCR1 | 0.0008869 | 638 | GTEx | DepMap | Descartes | 0.16 | 3.28 |
Descartes adrenocortical markers
Top 50 marker genes of adrenocortical cells in the Decartes fetal adrenal single cell map (https://atlas.brotmanbaty.org/bbi/human-gene-expression-during-development/cell/adrenocortical/in/adrenal)
Wilcoxon ranksum test P-value for gene set overrepresentation: 1.00e+00
Mean rank of genes in gene set: 13926.64
Median rank of genes in gene set: 15457
Rank on gene expression program of top 30 genes in gene set:
Genes | Weight | Rank | GTEx | DepMap | Descartes | Mean.Counts | Mean.TPM |
---|---|---|---|---|---|---|---|
SH3BP5 | 0.0004710 | 1300 | GTEx | DepMap | Descartes | 0.41 | 3.20 |
NPC1 | 0.0001238 | 3120 | GTEx | DepMap | Descartes | 0.68 | 6.14 |
CYP11A1 | 0.0001134 | 3235 | GTEx | DepMap | Descartes | 0.00 | 0.13 |
SCARB1 | 0.0000948 | 3496 | GTEx | DepMap | Descartes | 0.14 | 0.98 |
SH3PXD2B | 0.0000782 | 3715 | GTEx | DepMap | Descartes | 0.17 | 0.77 |
ERN1 | 0.0000635 | 3969 | GTEx | DepMap | Descartes | 0.07 | 0.43 |
SULT2A1 | -0.0000048 | 5963 | GTEx | DepMap | Descartes | 0.00 | 0.00 |
CYP17A1 | -0.0000073 | 6318 | GTEx | DepMap | Descartes | 0.00 | 0.00 |
CYP11B1 | -0.0000140 | 7411 | GTEx | DepMap | Descartes | 0.00 | 0.00 |
TM7SF2 | -0.0000218 | 8460 | GTEx | DepMap | Descartes | 0.04 | 3.34 |
STAR | -0.0000447 | 10626 | GTEx | DepMap | Descartes | 0.00 | 0.04 |
FREM2 | -0.0000470 | 10807 | GTEx | DepMap | Descartes | 0.00 | 0.00 |
LDLR | -0.0000687 | 12159 | GTEx | DepMap | Descartes | 0.05 | 0.98 |
FDXR | -0.0000767 | 12600 | GTEx | DepMap | Descartes | 0.10 | 4.81 |
INHA | -0.0001074 | 13948 | GTEx | DepMap | Descartes | 0.01 | 1.32 |
PAPSS2 | -0.0001166 | 14287 | GTEx | DepMap | Descartes | 0.05 | 0.20 |
GSTA4 | -0.0001383 | 15000 | GTEx | DepMap | Descartes | 0.44 | 1.79 |
CYB5B | -0.0001399 | 15052 | GTEx | DepMap | Descartes | 0.33 | 4.06 |
CLU | -0.0001445 | 15184 | GTEx | DepMap | Descartes | 0.15 | 1.88 |
SGCZ | -0.0001458 | 15229 | GTEx | DepMap | Descartes | 0.01 | 0.00 |
SCAP | -0.0001470 | 15279 | GTEx | DepMap | Descartes | 0.14 | 1.22 |
DNER | -0.0001584 | 15635 | GTEx | DepMap | Descartes | 0.02 | 0.02 |
SLC1A2 | -0.0001631 | 15797 | GTEx | DepMap | Descartes | 0.02 | 0.04 |
BAIAP2L1 | -0.0001819 | 16289 | GTEx | DepMap | Descartes | 0.04 | 0.08 |
PDE10A | -0.0002160 | 17075 | GTEx | DepMap | Descartes | 0.05 | 0.02 |
FRMD5 | -0.0002331 | 17420 | GTEx | DepMap | Descartes | 0.03 | 0.03 |
APOC1 | -0.0002346 | 17449 | GTEx | DepMap | Descartes | 0.43 | 42.23 |
SLC16A9 | -0.0002454 | 17662 | GTEx | DepMap | Descartes | 0.07 | 0.61 |
MSMO1 | -0.0002810 | 18256 | GTEx | DepMap | Descartes | 0.24 | 7.04 |
FDX1 | -0.0002846 | 18309 | GTEx | DepMap | Descartes | 0.40 | 7.19 |
Descartes chromaffin markers
Top 50 marker genes of chromaffin cells in the Decartes fetal adrenal single cell map (https://atlas.brotmanbaty.org/bbi/human-gene-expression-during-development/cell/chromaffin/in/adrenal)
Wilcoxon ranksum test P-value for gene set overrepresentation: 1.00e+00
Mean rank of genes in gene set: 17295.7
Median rank of genes in gene set: 17831
Rank on gene expression program of top 30 genes in gene set:
Genes | Weight | Rank | GTEx | DepMap | Descartes | Mean.Counts | Mean.TPM |
---|---|---|---|---|---|---|---|
SYNPO2 | -0.0000466 | 10775 | GTEx | DepMap | Descartes | 0.01 | 0.02 |
EPHA6 | -0.0000555 | 11374 | GTEx | DepMap | Descartes | 0.00 | 0.00 |
RPH3A | -0.0000631 | 11835 | GTEx | DepMap | Descartes | 0.00 | 0.00 |
GREM1 | -0.0000632 | 11840 | GTEx | DepMap | Descartes | 0.00 | 0.07 |
ANKFN1 | -0.0000708 | 12276 | GTEx | DepMap | Descartes | 0.00 | 0.00 |
GAL | -0.0000773 | 12628 | GTEx | DepMap | Descartes | 0.04 | 2.26 |
IL7 | -0.0000815 | 12817 | GTEx | DepMap | Descartes | 0.00 | 0.02 |
SLC6A2 | -0.0000980 | 13543 | GTEx | DepMap | Descartes | 0.02 | 0.12 |
MAB21L1 | -0.0000991 | 13590 | GTEx | DepMap | Descartes | 0.00 | 0.08 |
PTCHD1 | -0.0001010 | 13674 | GTEx | DepMap | Descartes | 0.03 | 0.20 |
HS3ST5 | -0.0001147 | 14231 | GTEx | DepMap | Descartes | 0.00 | 0.00 |
NPY | -0.0001249 | 14575 | GTEx | DepMap | Descartes | 0.42 | 17.91 |
RYR2 | -0.0001258 | 14606 | GTEx | DepMap | Descartes | 0.03 | 0.02 |
TMEM132C | -0.0001316 | 14803 | GTEx | DepMap | Descartes | 0.01 | 0.01 |
ALK | -0.0001367 | 14967 | GTEx | DepMap | Descartes | 0.01 | 0.00 |
NTRK1 | -0.0001572 | 15605 | GTEx | DepMap | Descartes | 0.05 | 0.87 |
PRPH | -0.0001708 | 16014 | GTEx | DepMap | Descartes | 0.08 | 5.29 |
FAT3 | -0.0002020 | 16792 | GTEx | DepMap | Descartes | 0.02 | 0.01 |
HMX1 | -0.0002187 | 17125 | GTEx | DepMap | Descartes | 0.10 | 2.59 |
KCNB2 | -0.0002259 | 17282 | GTEx | DepMap | Descartes | 0.03 | 0.03 |
EYA4 | -0.0002364 | 17492 | GTEx | DepMap | Descartes | 0.05 | 0.04 |
SLC44A5 | -0.0002415 | 17586 | GTEx | DepMap | Descartes | 0.02 | 0.02 |
RGMB | -0.0002687 | 18076 | GTEx | DepMap | Descartes | 0.08 | 1.16 |
PLXNA4 | -0.0002928 | 18411 | GTEx | DepMap | Descartes | 0.13 | 0.08 |
TMEFF2 | -0.0002937 | 18419 | GTEx | DepMap | Descartes | 0.12 | 0.11 |
MARCH11 | -0.0003785 | 19394 | GTEx | DepMap | Descartes | 0.15 | 0.41 |
RBFOX1 | -0.0003855 | 19472 | GTEx | DepMap | Descartes | 0.17 | 0.03 |
CNKSR2 | -0.0004156 | 19721 | GTEx | DepMap | Descartes | 0.15 | 0.19 |
REEP1 | -0.0005472 | 20378 | GTEx | DepMap | Descartes | 0.22 | 0.56 |
EYA1 | -0.0005826 | 20465 | GTEx | DepMap | Descartes | 0.48 | 0.83 |
Descartes Vascular_endothelial markers
Top 50 marker genes of Vascular_endothelial cells in the Decartes fetal adrenal single cell map (https://atlas.brotmanbaty.org/bbi/human-gene-expression-during-development/cell/vascular_endothelial/in/adrenal)
Wilcoxon ranksum test P-value for gene set overrepresentation: 9.93e-01
Mean rank of genes in gene set: 12753.84
Median rank of genes in gene set: 13808
Rank on gene expression program of top 30 genes in gene set:
Genes | Weight | Rank | GTEx | DepMap | Descartes | Mean.Counts | Mean.TPM |
---|---|---|---|---|---|---|---|
FCGR2B | 0.0025219 | 49 | GTEx | DepMap | Descartes | 1.40 | 38.19 |
DNASE1L3 | 0.0010565 | 512 | GTEx | DepMap | Descartes | 0.06 | 0.84 |
CEACAM1 | 0.0004318 | 1392 | GTEx | DepMap | Descartes | 0.08 | 3.61 |
CALCRL | 0.0002405 | 2149 | GTEx | DepMap | Descartes | 0.05 | 0.47 |
GALNT15 | 0.0000010 | 5576 | GTEx | DepMap | Descartes | 0.00 | 0.03 |
CRHBP | -0.0000254 | 8841 | GTEx | DepMap | Descartes | 0.00 | 0.00 |
KANK3 | -0.0000355 | 9900 | GTEx | DepMap | Descartes | 0.07 | 1.77 |
BTNL9 | -0.0000466 | 10779 | GTEx | DepMap | Descartes | 0.01 | 0.16 |
SHE | -0.0000568 | 11458 | GTEx | DepMap | Descartes | 0.00 | 0.05 |
CHRM3 | -0.0000579 | 11541 | GTEx | DepMap | Descartes | 0.00 | 0.00 |
ROBO4 | -0.0000646 | 11917 | GTEx | DepMap | Descartes | 0.01 | 0.28 |
ESM1 | -0.0000721 | 12351 | GTEx | DepMap | Descartes | 0.03 | 1.23 |
CYP26B1 | -0.0000749 | 12511 | GTEx | DepMap | Descartes | 0.00 | 0.01 |
APLNR | -0.0000796 | 12739 | GTEx | DepMap | Descartes | 0.01 | 0.86 |
F8 | -0.0000801 | 12767 | GTEx | DepMap | Descartes | 0.01 | 0.01 |
FLT4 | -0.0000830 | 12903 | GTEx | DepMap | Descartes | 0.00 | 0.03 |
NR5A2 | -0.0000835 | 12931 | GTEx | DepMap | Descartes | 0.00 | 0.00 |
KDR | -0.0000852 | 12988 | GTEx | DepMap | Descartes | 0.06 | 0.48 |
CLDN5 | -0.0000919 | 13284 | GTEx | DepMap | Descartes | 0.05 | 9.01 |
TMEM88 | -0.0000942 | 13376 | GTEx | DepMap | Descartes | 0.01 | 2.04 |
TEK | -0.0000982 | 13553 | GTEx | DepMap | Descartes | 0.00 | 0.01 |
SLCO2A1 | -0.0001038 | 13808 | GTEx | DepMap | Descartes | 0.01 | 0.01 |
PLVAP | -0.0001077 | 13964 | GTEx | DepMap | Descartes | 0.07 | 1.67 |
PTPRB | -0.0001081 | 13992 | GTEx | DepMap | Descartes | 0.01 | 0.02 |
TIE1 | -0.0001087 | 14013 | GTEx | DepMap | Descartes | 0.01 | 0.17 |
NPR1 | -0.0001121 | 14138 | GTEx | DepMap | Descartes | 0.02 | 0.43 |
MYRIP | -0.0001138 | 14205 | GTEx | DepMap | Descartes | 0.01 | 0.01 |
NOTCH4 | -0.0001237 | 14527 | GTEx | DepMap | Descartes | 0.04 | 0.52 |
SOX18 | -0.0001265 | 14631 | GTEx | DepMap | Descartes | 0.02 | 3.65 |
CDH5 | -0.0001267 | 14636 | GTEx | DepMap | Descartes | 0.09 | 0.71 |
Descartes stromal markers
Top 50 marker genes of stromal cells in the Decartes fetal adrenal single cell map (https://atlas.brotmanbaty.org/bbi/human-gene-expression-during-development/cell/stromal/in/adrenal)
Wilcoxon ranksum test P-value for gene set overrepresentation: 9.61e-01
Mean rank of genes in gene set: 12040.78
Median rank of genes in gene set: 11955
Rank on gene expression program of top 30 genes in gene set:
Genes | Weight | Rank | GTEx | DepMap | Descartes | Mean.Counts | Mean.TPM |
---|---|---|---|---|---|---|---|
C7 | 2.64e-05 | 4789 | GTEx | DepMap | Descartes | 0.00 | 0.00 |
SULT1E1 | 3.30e-06 | 5499 | GTEx | DepMap | Descartes | 0.00 | 0.01 |
OGN | -3.00e-07 | 5642 | GTEx | DepMap | Descartes | 0.02 | 0.86 |
FREM1 | -1.81e-05 | 8004 | GTEx | DepMap | Descartes | 0.00 | 0.00 |
SCARA5 | -2.16e-05 | 8423 | GTEx | DepMap | Descartes | 0.01 | 0.03 |
ITGA11 | -2.36e-05 | 8645 | GTEx | DepMap | Descartes | 0.00 | 0.00 |
ADAMTSL3 | -2.58e-05 | 8892 | GTEx | DepMap | Descartes | 0.00 | 0.00 |
PAMR1 | -2.58e-05 | 8899 | GTEx | DepMap | Descartes | 0.00 | 0.01 |
COL1A1 | -2.60e-05 | 8912 | GTEx | DepMap | Descartes | 0.23 | 3.20 |
CD248 | -3.31e-05 | 9663 | GTEx | DepMap | Descartes | 0.03 | 4.85 |
PDGFRA | -3.55e-05 | 9897 | GTEx | DepMap | Descartes | 0.00 | 0.06 |
ABCA6 | -3.67e-05 | 10012 | GTEx | DepMap | Descartes | 0.00 | 0.02 |
COL1A2 | -3.88e-05 | 10188 | GTEx | DepMap | Descartes | 0.31 | 2.10 |
COL3A1 | -4.39e-05 | 10566 | GTEx | DepMap | Descartes | 0.59 | 4.54 |
COL6A3 | -4.73e-05 | 10830 | GTEx | DepMap | Descartes | 0.03 | 0.16 |
LUM | -5.19e-05 | 11140 | GTEx | DepMap | Descartes | 0.02 | 0.84 |
ACTA2 | -5.44e-05 | 11293 | GTEx | DepMap | Descartes | 0.18 | 3.53 |
GLI2 | -5.65e-05 | 11434 | GTEx | DepMap | Descartes | 0.00 | 0.00 |
MGP | -5.78e-05 | 11531 | GTEx | DepMap | Descartes | 0.16 | 12.04 |
COL27A1 | -5.97e-05 | 11625 | GTEx | DepMap | Descartes | 0.01 | 0.02 |
COL12A1 | -6.21e-05 | 11777 | GTEx | DepMap | Descartes | 0.02 | 0.08 |
ABCC9 | -6.35e-05 | 11855 | GTEx | DepMap | Descartes | 0.02 | 0.04 |
LOX | -6.36e-05 | 11859 | GTEx | DepMap | Descartes | 0.02 | 0.48 |
PRRX1 | -6.68e-05 | 12051 | GTEx | DepMap | Descartes | 0.01 | 0.09 |
CCDC80 | -6.98e-05 | 12217 | GTEx | DepMap | Descartes | 0.09 | 0.80 |
DKK2 | -7.00e-05 | 12228 | GTEx | DepMap | Descartes | 0.00 | 0.02 |
LRRC17 | -7.47e-05 | 12501 | GTEx | DepMap | Descartes | 0.00 | 0.03 |
POSTN | -7.89e-05 | 12699 | GTEx | DepMap | Descartes | 0.09 | 1.12 |
BICC1 | -8.08e-05 | 12794 | GTEx | DepMap | Descartes | 0.01 | 0.01 |
DCN | -8.57e-05 | 13016 | GTEx | DepMap | Descartes | 0.18 | 1.38 |
Descartes sympathoblasts markers
Top 50 marker genes of sympathoblasts cells in the Decartes fetal adrenal single cell map (https://atlas.brotmanbaty.org/bbi/human-gene-expression-during-development/cell/sympathoblasts/in/adrenal)
Wilcoxon ranksum test P-value for gene set overrepresentation: 1.00e+00
Mean rank of genes in gene set: 15413.69
Median rank of genes in gene set: 16107
Rank on gene expression program of top 30 genes in gene set:
Genes | Weight | Rank | GTEx | DepMap | Descartes | Mean.Counts | Mean.TPM |
---|---|---|---|---|---|---|---|
GCH1 | 0.0002147 | 2313 | GTEx | DepMap | Descartes | 0.38 | 4.72 |
KCTD16 | -0.0000184 | 8043 | GTEx | DepMap | Descartes | 0.00 | 0.00 |
SLC35F3 | -0.0000603 | 11668 | GTEx | DepMap | Descartes | 0.00 | 0.00 |
TENM1 | -0.0000608 | 11707 | GTEx | DepMap | Descartes | 0.01 | 0.00 |
CDH18 | -0.0000646 | 11915 | GTEx | DepMap | Descartes | 0.00 | 0.00 |
GRID2 | -0.0000770 | 12613 | GTEx | DepMap | Descartes | 0.00 | 0.00 |
LAMA3 | -0.0000791 | 12712 | GTEx | DepMap | Descartes | 0.01 | 0.00 |
GRM7 | -0.0000807 | 12793 | GTEx | DepMap | Descartes | 0.01 | 0.00 |
SORCS3 | -0.0000814 | 12816 | GTEx | DepMap | Descartes | 0.00 | 0.00 |
CNTN3 | -0.0000817 | 12830 | GTEx | DepMap | Descartes | 0.00 | 0.00 |
PENK | -0.0000817 | 12833 | GTEx | DepMap | Descartes | 0.00 | 0.00 |
CDH12 | -0.0000818 | 12836 | GTEx | DepMap | Descartes | 0.00 | 0.00 |
SLC24A2 | -0.0000883 | 13128 | GTEx | DepMap | Descartes | 0.00 | 0.00 |
AGBL4 | -0.0000979 | 13538 | GTEx | DepMap | Descartes | 0.00 | 0.00 |
SLC18A1 | -0.0000982 | 13550 | GTEx | DepMap | Descartes | 0.01 | 0.08 |
PNMT | -0.0001047 | 13846 | GTEx | DepMap | Descartes | 0.02 | 1.63 |
TBX20 | -0.0001243 | 14549 | GTEx | DepMap | Descartes | 0.01 | 0.07 |
TIAM1 | -0.0001345 | 14899 | GTEx | DepMap | Descartes | 0.09 | 0.09 |
TMEM130 | -0.0001504 | 15385 | GTEx | DepMap | Descartes | 0.02 | 0.21 |
DGKK | -0.0001591 | 15666 | GTEx | DepMap | Descartes | 0.04 | 0.07 |
EML6 | -0.0001691 | 15968 | GTEx | DepMap | Descartes | 0.03 | 0.04 |
CCSER1 | -0.0001805 | 16246 | GTEx | DepMap | Descartes | 0.04 | 0.01 |
ARC | -0.0001822 | 16296 | GTEx | DepMap | Descartes | 0.01 | 0.89 |
PACRG | -0.0001874 | 16422 | GTEx | DepMap | Descartes | 0.03 | 0.02 |
GALNTL6 | -0.0002050 | 16853 | GTEx | DepMap | Descartes | 0.06 | 0.01 |
FGF14 | -0.0002143 | 17027 | GTEx | DepMap | Descartes | 0.05 | 0.02 |
KSR2 | -0.0002192 | 17142 | GTEx | DepMap | Descartes | 0.09 | 0.08 |
ROBO1 | -0.0002285 | 17323 | GTEx | DepMap | Descartes | 0.04 | 0.01 |
SPOCK3 | -0.0002293 | 17345 | GTEx | DepMap | Descartes | 0.04 | 0.03 |
NTNG1 | -0.0002486 | 17728 | GTEx | DepMap | Descartes | 0.08 | 0.05 |
Descartes erythroblasts markers
Top 50 marker genes of erythroblasts cells in the Decartes fetal adrenal single cell map (https://atlas.brotmanbaty.org/bbi/human-gene-expression-during-development/cell/erythroblasts/in/adrenal)
Wilcoxon ranksum test P-value for gene set overrepresentation: 2.80e-01
Mean rank of genes in gene set: 9879.49
Median rank of genes in gene set: 10044
Rank on gene expression program of top 30 genes in gene set:
Genes | Weight | Rank | GTEx | DepMap | Descartes | Mean.Counts | Mean.TPM |
---|---|---|---|---|---|---|---|
BLVRB | 0.0012152 | 406 | GTEx | DepMap | Descartes | 2.13 | 50.38 |
DENND4A | 0.0007828 | 750 | GTEx | DepMap | Descartes | 0.20 | 1.91 |
SLC25A37 | 0.0005901 | 1010 | GTEx | DepMap | Descartes | 0.26 | 5.44 |
CAT | 0.0004265 | 1408 | GTEx | DepMap | Descartes | 0.24 | 4.26 |
CR1L | 0.0003617 | 1614 | GTEx | DepMap | Descartes | 0.43 | 7.16 |
SPECC1 | 0.0002972 | 1858 | GTEx | DepMap | Descartes | 0.16 | 0.23 |
HEMGN | 0.0002437 | 2131 | GTEx | DepMap | Descartes | 0.00 | 0.03 |
TRAK2 | 0.0001585 | 2750 | GTEx | DepMap | Descartes | 0.14 | 1.46 |
GYPC | 0.0000824 | 3644 | GTEx | DepMap | Descartes | 0.02 | 0.34 |
ABCB10 | 0.0000755 | 3759 | GTEx | DepMap | Descartes | 0.07 | 1.49 |
MARCH3 | 0.0000459 | 4294 | GTEx | DepMap | Descartes | 0.01 | 0.05 |
ANK1 | 0.0000172 | 5059 | GTEx | DepMap | Descartes | 0.01 | 0.02 |
SPTA1 | -0.0000038 | 5873 | GTEx | DepMap | Descartes | 0.00 | 0.00 |
EPB42 | -0.0000156 | 7659 | GTEx | DepMap | Descartes | 0.00 | 0.00 |
RHD | -0.0000176 | 7951 | GTEx | DepMap | Descartes | 0.00 | 0.02 |
SLC25A21 | -0.0000181 | 8015 | GTEx | DepMap | Descartes | 0.00 | 0.00 |
SLC4A1 | -0.0000268 | 9003 | GTEx | DepMap | Descartes | 0.00 | 0.00 |
GYPA | -0.0000371 | 10044 | GTEx | DepMap | Descartes | 0.00 | 0.00 |
RGS6 | -0.0000425 | 10457 | GTEx | DepMap | Descartes | 0.00 | 0.00 |
FECH | -0.0000457 | 10698 | GTEx | DepMap | Descartes | 0.10 | 1.13 |
TFR2 | -0.0001059 | 13887 | GTEx | DepMap | Descartes | 0.01 | 0.25 |
GCLC | -0.0001294 | 14731 | GTEx | DepMap | Descartes | 0.15 | 1.46 |
ALAS2 | -0.0001375 | 14983 | GTEx | DepMap | Descartes | 0.06 | 0.99 |
SELENBP1 | -0.0001408 | 15069 | GTEx | DepMap | Descartes | 0.09 | 2.83 |
MICAL2 | -0.0001582 | 15627 | GTEx | DepMap | Descartes | 0.03 | 0.05 |
RAPGEF2 | -0.0001613 | 15735 | GTEx | DepMap | Descartes | 0.16 | 0.32 |
EPB41 | -0.0001672 | 15908 | GTEx | DepMap | Descartes | 0.36 | 1.24 |
SOX6 | -0.0001676 | 15924 | GTEx | DepMap | Descartes | 0.03 | 0.01 |
TMEM56 | -0.0001719 | 16039 | GTEx | DepMap | Descartes | 0.01 | 0.04 |
CPOX | -0.0002339 | 17436 | GTEx | DepMap | Descartes | 0.09 | 0.93 |
Descartes myeloid markers
Top 50 marker genes of myeloid cells in the Decartes fetal adrenal single cell map (https://atlas.brotmanbaty.org/bbi/human-gene-expression-during-development/cell/myeloid/in/adrenal)
Wilcoxon ranksum test P-value for gene set overrepresentation: 8.51e-13
Mean rank of genes in gene set: 4120.02
Median rank of genes in gene set: 1103
Rank on gene expression program of top 30 genes in gene set:
Genes | Weight | Rank | GTEx | DepMap | Descartes | Mean.Counts | Mean.TPM |
---|---|---|---|---|---|---|---|
CD74 | 0.0070134 | 4 | GTEx | DepMap | Descartes | 41.68 | 3947.31 |
CST3 | 0.0031639 | 22 | GTEx | DepMap | Descartes | 15.83 | 1628.53 |
CTSS | 0.0024855 | 55 | GTEx | DepMap | Descartes | 13.23 | 190.44 |
MARCH1 | 0.0024803 | 56 | GTEx | DepMap | Descartes | 0.46 | 0.45 |
CYBB | 0.0020757 | 106 | GTEx | DepMap | Descartes | 1.76 | 19.84 |
FGD2 | 0.0019154 | 128 | GTEx | DepMap | Descartes | 0.23 | 7.77 |
IFNGR1 | 0.0018668 | 144 | GTEx | DepMap | Descartes | 1.03 | 31.92 |
HCK | 0.0014418 | 280 | GTEx | DepMap | Descartes | 0.59 | 6.95 |
CSF1R | 0.0013319 | 335 | GTEx | DepMap | Descartes | 1.54 | 19.87 |
TGFBI | 0.0013121 | 345 | GTEx | DepMap | Descartes | 1.07 | 17.36 |
CTSC | 0.0012171 | 404 | GTEx | DepMap | Descartes | 5.80 | 70.38 |
MPEG1 | 0.0011436 | 450 | GTEx | DepMap | Descartes | 3.60 | 331.91 |
MS4A7 | 0.0011022 | 480 | GTEx | DepMap | Descartes | 4.66 | 111.48 |
ITPR2 | 0.0010669 | 503 | GTEx | DepMap | Descartes | 0.20 | 0.40 |
LGMN | 0.0009382 | 589 | GTEx | DepMap | Descartes | 8.19 | 65.31 |
C1QB | 0.0009184 | 606 | GTEx | DepMap | Descartes | 23.33 | 1397.64 |
PTPRE | 0.0008584 | 670 | GTEx | DepMap | Descartes | 0.23 | 0.78 |
MS4A4A | 0.0008446 | 682 | GTEx | DepMap | Descartes | 0.16 | 4.48 |
C1QA | 0.0008082 | 723 | GTEx | DepMap | Descartes | 20.91 | 2554.27 |
ATP8B4 | 0.0006604 | 901 | GTEx | DepMap | Descartes | 0.09 | 0.34 |
ADAP2 | 0.0006584 | 906 | GTEx | DepMap | Descartes | 0.25 | 4.10 |
SLC9A9 | 0.0005516 | 1086 | GTEx | DepMap | Descartes | 0.17 | 0.13 |
C1QC | 0.0005436 | 1103 | GTEx | DepMap | Descartes | 17.64 | 1837.18 |
MSR1 | 0.0004457 | 1358 | GTEx | DepMap | Descartes | 1.09 | 6.34 |
FGL2 | 0.0003910 | 1515 | GTEx | DepMap | Descartes | 0.23 | 19.77 |
AXL | 0.0003054 | 1819 | GTEx | DepMap | Descartes | 0.66 | 7.46 |
RBPJ | 0.0002436 | 2134 | GTEx | DepMap | Descartes | 0.57 | 1.46 |
CTSB | 0.0001461 | 2857 | GTEx | DepMap | Descartes | 28.73 | 423.28 |
RNASE1 | 0.0001224 | 3132 | GTEx | DepMap | Descartes | 0.02 | 10.86 |
HRH1 | 0.0001159 | 3206 | GTEx | DepMap | Descartes | 0.02 | 0.08 |
Descartes Schwann markers
Top 50 marker genes of Schwann cells in the Decartes fetal adrenal single cell map (https://atlas.brotmanbaty.org/bbi/human-gene-expression-during-development/cell/schwann/in/adrenal)
Wilcoxon ranksum test P-value for gene set overrepresentation: 9.96e-01
Mean rank of genes in gene set: 12789.13
Median rank of genes in gene set: 13581
Rank on gene expression program of top 30 genes in gene set:
Genes | Weight | Rank | GTEx | DepMap | Descartes | Mean.Counts | Mean.TPM |
---|---|---|---|---|---|---|---|
PAG1 | 0.0009277 | 597 | GTEx | DepMap | Descartes | 0.16 | 1.06 |
KCTD12 | 0.0008392 | 694 | GTEx | DepMap | Descartes | 0.77 | 63.61 |
FAM134B | 0.0003867 | 1531 | GTEx | DepMap | Descartes | 0.26 | NA |
VIM | 0.0003494 | 1646 | GTEx | DepMap | Descartes | 5.86 | 269.53 |
VCAN | 0.0003031 | 1830 | GTEx | DepMap | Descartes | 0.10 | 0.82 |
MPZ | 0.0000350 | 4559 | GTEx | DepMap | Descartes | 0.00 | 0.02 |
HMGA2 | 0.0000280 | 4739 | GTEx | DepMap | Descartes | 0.00 | 0.01 |
TRPM3 | 0.0000053 | 5411 | GTEx | DepMap | Descartes | 0.00 | 0.00 |
IL1RAPL1 | -0.0000035 | 5846 | GTEx | DepMap | Descartes | 0.00 | 0.00 |
IL1RAPL2 | -0.0000128 | 7239 | GTEx | DepMap | Descartes | 0.00 | 0.00 |
EGFLAM | -0.0000362 | 9966 | GTEx | DepMap | Descartes | 0.00 | 0.00 |
CDH19 | -0.0000454 | 10683 | GTEx | DepMap | Descartes | 0.00 | 0.02 |
SCN7A | -0.0000482 | 10891 | GTEx | DepMap | Descartes | 0.01 | 0.04 |
SOX10 | -0.0000581 | 11545 | GTEx | DepMap | Descartes | 0.01 | 0.28 |
PLP1 | -0.0000620 | 11773 | GTEx | DepMap | Descartes | 0.06 | 0.81 |
COL5A2 | -0.0000666 | 12040 | GTEx | DepMap | Descartes | 0.07 | 0.18 |
SLC35F1 | -0.0000668 | 12048 | GTEx | DepMap | Descartes | 0.01 | 0.00 |
ADAMTS5 | -0.0000674 | 12091 | GTEx | DepMap | Descartes | 0.03 | 0.32 |
ERBB4 | -0.0000751 | 12519 | GTEx | DepMap | Descartes | 0.00 | 0.00 |
OLFML2A | -0.0000799 | 12751 | GTEx | DepMap | Descartes | 0.01 | 0.05 |
GRIK3 | -0.0000802 | 12769 | GTEx | DepMap | Descartes | 0.00 | 0.00 |
PTPRZ1 | -0.0000908 | 13244 | GTEx | DepMap | Descartes | 0.02 | 0.02 |
GAS7 | -0.0000970 | 13493 | GTEx | DepMap | Descartes | 0.15 | 0.29 |
LAMA4 | -0.0000988 | 13581 | GTEx | DepMap | Descartes | 0.03 | 0.06 |
SOX5 | -0.0001020 | 13721 | GTEx | DepMap | Descartes | 0.02 | 0.01 |
NRXN3 | -0.0001041 | 13820 | GTEx | DepMap | Descartes | 0.01 | 0.00 |
ERBB3 | -0.0001072 | 13939 | GTEx | DepMap | Descartes | 0.03 | 0.31 |
LRRTM4 | -0.0001094 | 14040 | GTEx | DepMap | Descartes | 0.00 | 0.00 |
SFRP1 | -0.0001298 | 14746 | GTEx | DepMap | Descartes | 0.03 | 0.16 |
LAMC1 | -0.0001505 | 15393 | GTEx | DepMap | Descartes | 0.11 | 0.46 |
Descartes Megakaryocytes markers
Top 50 marker genes of Megakaryocytes cells in the Decartes fetal adrenal single cell map (https://atlas.brotmanbaty.org/bbi/human-gene-expression-during-development/cell/megakaryocytes/in/adrenal)
Wilcoxon ranksum test P-value for gene set overrepresentation: 6.31e-05
Mean rank of genes in gene set: 7167
Median rank of genes in gene set: 4369
Rank on gene expression program of top 30 genes in gene set:
Genes | Weight | Rank | GTEx | DepMap | Descartes | Mean.Counts | Mean.TPM |
---|---|---|---|---|---|---|---|
TMSB4X | 0.0025083 | 54 | GTEx | DepMap | Descartes | 150.35 | 30772.46 |
FERMT3 | 0.0019167 | 127 | GTEx | DepMap | Descartes | 0.93 | 23.40 |
TGFB1 | 0.0015470 | 236 | GTEx | DepMap | Descartes | 1.63 | 46.54 |
MYH9 | 0.0013556 | 324 | GTEx | DepMap | Descartes | 1.29 | 9.81 |
FLI1 | 0.0013305 | 336 | GTEx | DepMap | Descartes | 0.36 | 2.28 |
BIN2 | 0.0013056 | 349 | GTEx | DepMap | Descartes | 0.44 | 8.00 |
TLN1 | 0.0012811 | 368 | GTEx | DepMap | Descartes | 1.54 | 25.95 |
CD84 | 0.0010451 | 523 | GTEx | DepMap | Descartes | 1.08 | 10.45 |
RAP1B | 0.0008987 | 628 | GTEx | DepMap | Descartes | 2.06 | 33.34 |
ACTB | 0.0007840 | 748 | GTEx | DepMap | Descartes | 77.91 | 9423.97 |
FLNA | 0.0007778 | 755 | GTEx | DepMap | Descartes | 0.82 | 17.50 |
PLEK | 0.0006319 | 944 | GTEx | DepMap | Descartes | 0.93 | 5.92 |
MCTP1 | 0.0005418 | 1110 | GTEx | DepMap | Descartes | 0.04 | 0.03 |
UBASH3B | 0.0004446 | 1364 | GTEx | DepMap | Descartes | 0.14 | 0.45 |
ZYX | 0.0003906 | 1516 | GTEx | DepMap | Descartes | 0.60 | 27.87 |
GSN | 0.0003619 | 1610 | GTEx | DepMap | Descartes | 0.90 | 7.35 |
PF4 | 0.0003577 | 1624 | GTEx | DepMap | Descartes | 4.73 | 1781.06 |
INPP4B | 0.0003270 | 1726 | GTEx | DepMap | Descartes | 0.16 | 0.20 |
TPM4 | 0.0003085 | 1801 | GTEx | DepMap | Descartes | 0.98 | 22.43 |
THBS1 | 0.0002620 | 2034 | GTEx | DepMap | Descartes | 0.63 | 24.24 |
ITGB3 | 0.0002106 | 2338 | GTEx | DepMap | Descartes | 0.02 | 0.39 |
LIMS1 | 0.0001480 | 2836 | GTEx | DepMap | Descartes | 0.54 | 2.70 |
SPN | 0.0001283 | 3063 | GTEx | DepMap | Descartes | 0.06 | 7.18 |
PSTPIP2 | 0.0000781 | 3720 | GTEx | DepMap | Descartes | 0.01 | 0.04 |
ARHGAP6 | 0.0000422 | 4369 | GTEx | DepMap | Descartes | 0.03 | 0.04 |
ITGA2B | 0.0000387 | 4460 | GTEx | DepMap | Descartes | 0.01 | 0.35 |
PPBP | 0.0000141 | 5157 | GTEx | DepMap | Descartes | 0.01 | 3.54 |
TUBB1 | -0.0000061 | 6126 | GTEx | DepMap | Descartes | 0.00 | 0.00 |
GP1BA | -0.0000087 | 6550 | GTEx | DepMap | Descartes | 0.00 | 0.00 |
GP9 | -0.0000280 | 9142 | GTEx | DepMap | Descartes | 0.00 | 0.00 |
Descartes Lyphoid markers
Top 50 marker genes of Lyphoid cells in the Decartes fetal adrenal single cell map (https://atlas.brotmanbaty.org/bbi/human-gene-expression-during-development/cell/lymphoid/in/adrenal)
Wilcoxon ranksum test P-value for gene set overrepresentation: 7.78e-08
Mean rank of genes in gene set: 5697.61
Median rank of genes in gene set: 776
Rank on gene expression program of top 30 genes in gene set:
Genes | Weight | Rank | GTEx | DepMap | Descartes | Mean.Counts | Mean.TPM |
---|---|---|---|---|---|---|---|
ARHGDIB | 0.0036582 | 14 | GTEx | DepMap | Descartes | 2.81 | 108.71 |
PTPRC | 0.0028407 | 31 | GTEx | DepMap | Descartes | 2.35 | 16.19 |
SP100 | 0.0022675 | 76 | GTEx | DepMap | Descartes | 0.67 | 10.59 |
LCP1 | 0.0022562 | 78 | GTEx | DepMap | Descartes | 2.32 | 13.58 |
ARHGAP15 | 0.0021830 | 89 | GTEx | DepMap | Descartes | 0.45 | 0.83 |
DOCK10 | 0.0020554 | 109 | GTEx | DepMap | Descartes | 0.56 | 1.88 |
MBNL1 | 0.0019994 | 115 | GTEx | DepMap | Descartes | 1.84 | 9.49 |
MSN | 0.0019343 | 124 | GTEx | DepMap | Descartes | 2.04 | 18.73 |
IKZF1 | 0.0018818 | 139 | GTEx | DepMap | Descartes | 0.38 | 3.67 |
B2M | 0.0017907 | 158 | GTEx | DepMap | Descartes | 8.12 | 769.33 |
SORL1 | 0.0016207 | 216 | GTEx | DepMap | Descartes | 0.34 | 2.07 |
RCSD1 | 0.0015535 | 233 | GTEx | DepMap | Descartes | 0.23 | 3.97 |
PLEKHA2 | 0.0014411 | 282 | GTEx | DepMap | Descartes | 0.25 | 3.28 |
WIPF1 | 0.0013991 | 297 | GTEx | DepMap | Descartes | 0.41 | 2.88 |
FOXP1 | 0.0013274 | 337 | GTEx | DepMap | Descartes | 1.15 | 1.85 |
ABLIM1 | 0.0012971 | 358 | GTEx | DepMap | Descartes | 0.29 | 1.39 |
CELF2 | 0.0012713 | 373 | GTEx | DepMap | Descartes | 0.79 | 0.62 |
ETS1 | 0.0012409 | 387 | GTEx | DepMap | Descartes | 0.64 | 6.16 |
FAM65B | 0.0011954 | 419 | GTEx | DepMap | Descartes | 0.22 | NA |
CCND3 | 0.0011906 | 422 | GTEx | DepMap | Descartes | 0.33 | 2.67 |
ANKRD44 | 0.0011545 | 445 | GTEx | DepMap | Descartes | 0.34 | 1.15 |
BACH2 | 0.0010052 | 551 | GTEx | DepMap | Descartes | 0.19 | 0.60 |
ITPKB | 0.0005946 | 1001 | GTEx | DepMap | Descartes | 0.24 | 1.94 |
BCL2 | 0.0005223 | 1163 | GTEx | DepMap | Descartes | 0.22 | 1.24 |
ARID5B | 0.0003902 | 1521 | GTEx | DepMap | Descartes | 0.29 | 0.93 |
CD44 | 0.0002202 | 2277 | GTEx | DepMap | Descartes | 0.49 | 2.72 |
SCML4 | 0.0001960 | 2452 | GTEx | DepMap | Descartes | 0.04 | 0.42 |
MCTP2 | 0.0001002 | 3420 | GTEx | DepMap | Descartes | 0.03 | 0.18 |
PDE3B | 0.0000376 | 4487 | GTEx | DepMap | Descartes | 0.17 | 0.85 |
PRKCH | 0.0000186 | 5010 | GTEx | DepMap | Descartes | 0.08 | 0.18 |
Below shows the ranks on this GEP for immune marker gene lists curated by CellTypist (https://www.celltypist.org/encyclopedia).
High ranks indicate this gene is a driver of this GEP.
These curated gene list are ranked by P-value (on this GEP) of their constituent genes.
The Mean Count column shows the mean read count in cells scoring highly (H > 50) on this gene expression program.
Genes | Weight | Rank | GTEx | DepMap | Decartes | Mean.Counts | Mean.TPM |
---|---|---|---|---|---|---|---|
PTPRC | 0.0028407 | 31 | GTEx | DepMap | Descartes | 2.35 | 16.19 |
S100A4 | 0.0018946 | 134 | GTEx | DepMap | Descartes | 2.74 | 589.23 |
TSC22D3 | 0.0003624 | 1606 | GTEx | DepMap | Descartes | 0.78 | 7.99 |
RGS1 | 0.0003165 | 1763 | GTEx | DepMap | Descartes | 4.39 | 237.97 |
RPS26 | 0.0002864 | 1913 | GTEx | DepMap | Descartes | 19.81 | 4192.79 |
Myelocytes: Myelocytes (model markers)
early granulocyte precursors that are derive from promyelocytes and later mature into metamyelocytes:
Wilcoxon ranksum test P-value for gene set overrepresentation: 3.81e-04
Mean rank of genes in gene set: 2781.29
Rank on gene expression program of genes in gene set:
Genes | Weight | Rank | GTEx | DepMap | Decartes | Mean.Counts | Mean.TPM |
---|---|---|---|---|---|---|---|
TYROBP | 0.0011972 | 416 | GTEx | DepMap | Descartes | 18.43 | 1849.25 |
SRGN | 0.0009953 | 555 | GTEx | DepMap | Descartes | 6.41 | 99.89 |
FTH1 | 0.0008454 | 680 | GTEx | DepMap | Descartes | 80.01 | 7132.77 |
ACTB | 0.0007840 | 748 | GTEx | DepMap | Descartes | 77.91 | 9423.97 |
MT-ND3 | 0.0001878 | 2513 | GTEx | DepMap | Descartes | 1.54 | 2667.58 |
S100A6 | 0.0001799 | 2570 | GTEx | DepMap | Descartes | 7.60 | 263.61 |
GPIHBP1 | -0.0000656 | 11987 | GTEx | DepMap | Descartes | 0.06 | 7.52 |
B cells: B cells (model markers)
B lymphocytes with diverse cell surface immunoglobulin receptors recognising specific antigenic epitopes and mediating humoral immunity:
Wilcoxon ranksum test P-value for gene set overrepresentation: 3.89e-04
Mean rank of genes in gene set: 315.25
Rank on gene expression program of genes in gene set:
Genes | Weight | Rank | GTEx | DepMap | Decartes | Mean.Counts | Mean.TPM |
---|---|---|---|---|---|---|---|
CD74 | 0.0070134 | 4 | GTEx | DepMap | Descartes | 41.68 | 3947.31 |
CD79A | 0.0038372 | 13 | GTEx | DepMap | Descartes | 3.30 | 979.15 |
HSPA1B | 0.0011223 | 467 | GTEx | DepMap | Descartes | 0.88 | 228.89 |
MALAT1 | 0.0007545 | 777 | GTEx | DepMap | Descartes | 108.98 | 10115.09 |