Program description and justification of annotation: 21.
Submit a comment on this gene expression program’s interpretation: CLICK
QQ-plot of gene loadings, averaged over both independent splits of the data
This plot highlights the relative contribution of each gene to the GEP
Top genes driving this program.
Note: Decartes website is buggy, try refreshing. Also, Decartes fetal adrenal data have been collected at specific time points (89-122 days), all possible cell types of interest may not be represented, do not overinterpret.
The Mean Count column shows the mean read count in cells scoring highly (H > 50) on this gene expression program.
Gene | Loading | Gene.Name | GTEx | DepMap | Descartes | Mean.Counts | Mean.Tpm | |
---|---|---|---|---|---|---|---|---|
1 | ACTA2 | 0.0162862 | actin alpha 2, smooth muscle | GTEx | DepMap | Descartes | 50.87 | 1192.62 |
2 | ACTG2 | 0.0160896 | actin gamma 2, smooth muscle | GTEx | DepMap | Descartes | 5.12 | 69.58 |
3 | TAGLN | 0.0155174 | transgelin | GTEx | DepMap | Descartes | 39.27 | 2214.85 |
4 | VTN | 0.0150625 | vitronectin | GTEx | DepMap | Descartes | 2.18 | 392.79 |
5 | MYL9 | 0.0144375 | myosin light chain 9 | GTEx | DepMap | Descartes | 6.88 | 447.28 |
6 | HIGD1B | 0.0142801 | HIG1 hypoxia inducible domain family member 1B | GTEx | DepMap | Descartes | 1.48 | 368.25 |
7 | DES | 0.0137411 | desmin | GTEx | DepMap | Descartes | 2.47 | 123.74 |
8 | RGS5 | 0.0127273 | regulator of G protein signaling 5 | GTEx | DepMap | Descartes | 29.13 | 465.03 |
9 | MYH11 | 0.0125806 | myosin heavy chain 11 | GTEx | DepMap | Descartes | 4.03 | 19.82 |
10 | TPM1 | 0.0121678 | tropomyosin 1 | GTEx | DepMap | Descartes | 19.56 | 263.74 |
11 | MUSTN1 | 0.0118251 | musculoskeletal, embryonic nuclear protein 1 | GTEx | DepMap | Descartes | 2.76 | 526.25 |
12 | CASQ2 | 0.0113813 | calsequestrin 2 | GTEx | DepMap | Descartes | 0.18 | 1.70 |
13 | LMOD1 | 0.0111874 | leiomodin 1 | GTEx | DepMap | Descartes | 0.57 | 6.55 |
14 | CTGF | 0.0110277 | NA | GTEx | DepMap | Descartes | 6.31 | NA |
15 | NOTCH3 | 0.0109723 | notch receptor 3 | GTEx | DepMap | Descartes | 2.62 | 32.77 |
16 | MAP3K7CL | 0.0109285 | MAP3K7 C-terminal like | GTEx | DepMap | Descartes | 1.00 | 9.79 |
17 | TPM2 | 0.0105151 | tropomyosin 2 | GTEx | DepMap | Descartes | 10.74 | 422.47 |
18 | MYLK | 0.0104591 | myosin light chain kinase | GTEx | DepMap | Descartes | 3.92 | 7.22 |
19 | ITGA1 | 0.0104591 | integrin subunit alpha 1 | GTEx | DepMap | Descartes | 3.06 | 11.18 |
20 | AOC3 | 0.0098077 | amine oxidase copper containing 3 | GTEx | DepMap | Descartes | 0.76 | 37.68 |
21 | CNN1 | 0.0097858 | calponin 1 | GTEx | DepMap | Descartes | 0.56 | 22.66 |
22 | COL6A3 | 0.0096976 | collagen type VI alpha 3 chain | GTEx | DepMap | Descartes | 4.65 | 24.63 |
23 | MIR143HG | 0.0096043 | NA | GTEx | DepMap | Descartes | 0.80 | NA |
24 | ASPN | 0.0095482 | asporin | GTEx | DepMap | Descartes | 3.01 | 69.21 |
25 | PDGFRB | 0.0093611 | platelet derived growth factor receptor beta | GTEx | DepMap | Descartes | 3.32 | 52.78 |
26 | MRVI1 | 0.0093569 | NA | GTEx | DepMap | Descartes | 0.37 | 1.76 |
27 | KCNJ8 | 0.0093380 | potassium inwardly rectifying channel subfamily J member 8 | GTEx | DepMap | Descartes | 0.55 | 58.88 |
28 | TRPC6 | 0.0087751 | transient receptor potential cation channel subfamily C member 6 | GTEx | DepMap | Descartes | 0.23 | 0.94 |
29 | FOXS1 | 0.0087335 | forkhead box S1 | GTEx | DepMap | Descartes | 0.84 | 291.25 |
30 | ABCC9 | 0.0086128 | ATP binding cassette subfamily C member 9 | GTEx | DepMap | Descartes | 0.98 | 6.73 |
31 | GCNT4 | 0.0085946 | glucosaminyl (N-acetyl) transferase 4 | GTEx | DepMap | Descartes | 0.08 | 0.70 |
32 | SUCNR1 | 0.0083663 | succinate receptor 1 | GTEx | DepMap | Descartes | 0.03 | 7.56 |
33 | RASL12 | 0.0081768 | RAS like family 12 | GTEx | DepMap | Descartes | 0.31 | 9.46 |
34 | COL4A1 | 0.0079416 | collagen type IV alpha 1 chain | GTEx | DepMap | Descartes | 24.05 | 96.19 |
35 | ADAMTS2 | 0.0078670 | ADAM metallopeptidase with thrombospondin type 1 motif 2 | GTEx | DepMap | Descartes | 3.09 | 6.97 |
36 | COL4A2 | 0.0075472 | collagen type IV alpha 2 chain | GTEx | DepMap | Descartes | 12.24 | 40.59 |
37 | MFGE8 | 0.0075358 | milk fat globule EGF and factor V/VIII domain containing | GTEx | DepMap | Descartes | 3.32 | 97.94 |
38 | 3830417A13RIK | 0.0075289 | NA | GTEx | DepMap | Descartes | 0.02 | 0.43 |
39 | TUSC5 | 0.0074512 | NA | GTEx | DepMap | Descartes | 0.34 | NA |
40 | PARM1 | 0.0073654 | prostate androgen-regulated mucin-like protein 1 | GTEx | DepMap | Descartes | 1.93 | 8.99 |
41 | COL5A3 | 0.0073279 | collagen type V alpha 3 chain | GTEx | DepMap | Descartes | 3.34 | 39.02 |
42 | VSTM4 | 0.0071507 | V-set and transmembrane domain containing 4 | GTEx | DepMap | Descartes | 0.36 | 3.63 |
43 | OACYL | 0.0070915 | NA | GTEx | DepMap | Descartes | 0.10 | 0.83 |
44 | TNC | 0.0069365 | tenascin C | GTEx | DepMap | Descartes | 3.71 | 14.49 |
45 | MGP | 0.0069101 | matrix Gla protein | GTEx | DepMap | Descartes | 36.31 | 5104.67 |
46 | REM1 | 0.0067449 | RRAD and GEM like GTPase 1 | GTEx | DepMap | Descartes | 0.45 | 28.68 |
47 | SERPINH1 | 0.0066439 | serpin family H member 1 | GTEx | DepMap | Descartes | 13.83 | 628.33 |
48 | PRRX1 | 0.0065558 | paired related homeobox 1 | GTEx | DepMap | Descartes | 1.78 | 11.68 |
49 | PDE1A | 0.0064292 | phosphodiesterase 1A | GTEx | DepMap | Descartes | 0.53 | 0.90 |
50 | COL14A1 | 0.0062835 | collagen type XIV alpha 1 chain | GTEx | DepMap | Descartes | 5.97 | 12.77 |
UMAP plots showing activity of gene expression program identified in community:21. Cancer Associated Fibroblast: Myofibroblast (Contractile)
CNV Data procured from inferCNV.
Outer tracks are putative CNV regions (gains = red, losses = blue) for each patient
Inner track is expression data representing:
The top cells expressing this GEP (purple)
Random cells (n =50) from the reference set used in inferCNV (orange)
Gene set Enrichments for this program, caculated from top 50 genes
mSigDB Cell Types Gene Set:
P-value | OR | Lower 95% CI | FDR | FWER | Genes Found | Gene Set Size | |
---|---|---|---|---|---|---|---|
DESCARTES_MAIN_FETAL_SMOOTH_MUSCLE_CELLS | 7.11e-25 | 234.49 | 104.71 | 2.39e-22 | 4.77e-22 | 13ACTA2, ACTG2, TAGLN, HIGD1B, MYH11, NOTCH3, MYLK, AOC3, COL6A3, PDGFRB, KCNJ8, ABCC9, RASL12 |
44 |
DESCARTES_FETAL_HEART_SMOOTH_MUSCLE_CELLS | 2.16e-22 | 199.90 | 86.87 | 2.42e-20 | 1.45e-19 | 12ACTA2, ACTG2, TAGLN, HIGD1B, MYH11, LMOD1, NOTCH3, AOC3, PDGFRB, KCNJ8, FOXS1, ABCC9 |
45 |
DESCARTES_FETAL_INTESTINE_SMOOTH_MUSCLE_CELLS | 9.03e-22 | 172.86 | 76.30 | 8.66e-20 | 6.06e-19 | 12ACTA2, ACTG2, TAGLN, MYL9, DES, RGS5, MYH11, LMOD1, MYLK, AOC3, CNN1, KCNJ8 |
50 |
TRAVAGLINI_LUNG_VASCULAR_SMOOTH_MUSCLE_CELL | 8.66e-23 | 151.73 | 69.86 | 1.31e-20 | 5.81e-20 | 13ACTA2, ACTG2, TAGLN, MYL9, RGS5, TPM1, LMOD1, NOTCH3, TPM2, MYLK, ITGA1, CNN1, PARM1 |
61 |
DURANTE_ADULT_OLFACTORY_NEUROEPITHELIUM_VASCULAR_SMOOTH_MUSCLE_CELLS | 2.37e-26 | 127.62 | 62.92 | 1.59e-23 | 1.59e-23 | 16ACTA2, ACTG2, TAGLN, MYL9, HIGD1B, RGS5, MYH11, TPM1, LMOD1, NOTCH3, TPM2, MYLK, CNN1, PDGFRB, MFGE8, COL14A1 |
93 |
DESCARTES_FETAL_PANCREAS_SMOOTH_MUSCLE_CELLS | 2.67e-14 | 132.19 | 49.37 | 9.43e-13 | 1.79e-11 | 8ACTA2, ACTG2, HIGD1B, RGS5, MYH11, MUSTN1, CASQ2, AOC3 |
38 |
RUBENSTEIN_SKELETAL_MUSCLE_PERICYTES | 3.82e-23 | 76.73 | 38.49 | 8.54e-21 | 2.56e-20 | 16ACTA2, TAGLN, MYL9, HIGD1B, RGS5, TPM1, NOTCH3, TPM2, COL6A3, ASPN, PDGFRB, KCNJ8, ABCC9, COL4A1, COL4A2, MFGE8 |
144 |
DESCARTES_FETAL_MUSCLE_SMOOTH_MUSCLE_CELLS | 2.47e-15 | 76.62 | 32.82 | 9.21e-14 | 1.66e-12 | 10ACTA2, ACTG2, TAGLN, RGS5, MYH11, AOC3, PDGFRB, FOXS1, ABCC9, RASL12 |
78 |
AIZARANI_LIVER_C33_STELLATE_CELLS_2 | 1.22e-16 | 57.80 | 26.79 | 6.83e-15 | 8.20e-14 | 12ACTA2, MYL9, RGS5, MYH11, TPM1, NOTCH3, TPM2, MYLK, ITGA1, COL4A1, COL4A2, MGP |
126 |
TRAVAGLINI_LUNG_AIRWAY_SMOOTH_MUSCLE_CELL | 1.45e-18 | 53.47 | 26.05 | 9.71e-17 | 9.71e-16 | 14ACTA2, ACTG2, TAGLN, MYL9, DES, MYH11, TPM1, CASQ2, LMOD1, MAP3K7CL, TPM2, MYLK, CNN1, FOXS1 |
166 |
FAN_EMBRYONIC_CTX_BRAIN_ENDOTHELIAL_2 | 9.78e-23 | 45.09 | 23.77 | 1.31e-20 | 6.56e-20 | 19TAGLN, MYL9, HIGD1B, RGS5, NOTCH3, TPM2, MYLK, ITGA1, PDGFRB, KCNJ8, TRPC6, FOXS1, ABCC9, RASL12, COL4A1, COL4A2, MFGE8, VSTM4, SERPINH1 |
303 |
DESCARTES_FETAL_ADRENAL_STROMAL_CELLS | 1.30e-15 | 46.74 | 21.78 | 5.83e-14 | 8.75e-13 | 12ACTA2, ACTG2, TAGLN, MYH11, COL6A3, ASPN, FOXS1, ABCC9, MGP, REM1, PRRX1, PDE1A |
153 |
DESCARTES_FETAL_STOMACH_STROMAL_CELLS | 1.96e-09 | 64.64 | 21.42 | 4.70e-08 | 1.32e-06 | 6ACTA2, ACTG2, TAGLN, MYH11, CNN1, COL6A3 |
50 |
MENON_FETAL_KIDNEY_3_STROMAL_CELLS | 1.60e-11 | 54.42 | 21.33 | 5.11e-10 | 1.07e-08 | 8TPM1, TPM2, MYLK, COL6A3, COL4A1, COL4A2, TNC, SERPINH1 |
81 |
FAN_OVARY_CL17_PUTATIVE_APOPTOTIC_SMOOTH_MUSCLE_CELL | 1.50e-16 | 37.44 | 18.38 | 7.75e-15 | 1.01e-13 | 14ACTA2, TAGLN, MYL9, RGS5, MYH11, TPM1, MAP3K7CL, TPM2, MYLK, CNN1, PDGFRB, COL4A1, MFGE8, SERPINH1 |
231 |
FAN_OVARY_CL14_MATURE_SMOOTH_MUSCLE_CELL | 7.28e-18 | 33.91 | 17.27 | 4.44e-16 | 4.89e-15 | 16ACTA2, TAGLN, MYL9, HIGD1B, RGS5, MYH11, TPM1, LMOD1, NOTCH3, MAP3K7CL, TPM2, MYLK, AOC3, RASL12, MFGE8, MGP |
306 |
TRAVAGLINI_LUNG_PERICYTE_CELL | 2.55e-10 | 37.52 | 14.85 | 6.84e-09 | 1.71e-07 | 8HIGD1B, RGS5, NOTCH3, ITGA1, PDGFRB, TRPC6, COL4A1, COL4A2 |
114 |
GAO_LARGE_INTESTINE_ADULT_CJ_IMMUNE_CELLS | 1.28e-18 | 26.35 | 13.96 | 9.56e-17 | 8.60e-16 | 19ACTA2, MYL9, HIGD1B, RGS5, LMOD1, NOTCH3, TPM2, ITGA1, AOC3, COL6A3, PDGFRB, KCNJ8, COL4A1, COL4A2, MFGE8, COL5A3, MGP, PDE1A, COL14A1 |
505 |
LAKE_ADULT_KIDNEY_C27_VASCULAR_SMOOTH_MUSCLE_CELLS_AND_PERICYTES | 9.53e-11 | 31.41 | 13.18 | 2.78e-09 | 6.40e-08 | 9ACTA2, TAGLN, MYH11, TPM1, MYLK, ITGA1, COL4A1, COL4A2, PDE1A |
155 |
DURANTE_ADULT_OLFACTORY_NEUROEPITHELIUM_FIBROBLASTS_STROMAL_CELLS | 4.04e-08 | 37.43 | 12.67 | 8.75e-07 | 2.71e-05 | 6ACTA2, TAGLN, TPM1, TPM2, MGP, PRRX1 |
82 |
Dowload full table
mSigDB Hallmark Gene Sets:
P-value | OR | Lower 95% CI | FDR | FWER | Genes Found | Gene Set Size | |
---|---|---|---|---|---|---|---|
HALLMARK_EPITHELIAL_MESENCHYMAL_TRANSITION | 4.28e-19 | 48.44 | 24.12 | 2.14e-17 | 2.14e-17 | 15ACTA2, TAGLN, MYL9, TPM1, TPM2, MYLK, COL6A3, PDGFRB, COL4A1, COL4A2, COL5A3, TNC, MGP, SERPINH1, PRRX1 |
200 |
HALLMARK_MYOGENESIS | 2.12e-08 | 20.72 | 8.29 | 5.31e-07 | 1.06e-06 | 8TAGLN, DES, MYH11, CASQ2, TPM2, MYLK, COL6A3, COL4A2 |
200 |
HALLMARK_ANGIOGENESIS | 3.33e-03 | 25.60 | 2.90 | 5.55e-02 | 1.66e-01 | 2VTN, KCNJ8 |
36 |
HALLMARK_ADIPOGENESIS | 8.11e-02 | 4.40 | 0.51 | 6.76e-01 | 1.00e+00 | 2MYLK, COL4A1 |
200 |
HALLMARK_APICAL_JUNCTION | 8.11e-02 | 4.40 | 0.51 | 6.76e-01 | 1.00e+00 | 2ACTG2, MYL9 |
200 |
HALLMARK_NOTCH_SIGNALING | 7.36e-02 | 13.76 | 0.33 | 6.76e-01 | 1.00e+00 | 1NOTCH3 |
32 |
HALLMARK_UV_RESPONSE_DN | 2.90e-01 | 2.98 | 0.07 | 1.00e+00 | 1.00e+00 | 1PDGFRB |
144 |
HALLMARK_FATTY_ACID_METABOLISM | 3.13e-01 | 2.72 | 0.07 | 1.00e+00 | 1.00e+00 | 1AOC3 |
158 |
HALLMARK_APOPTOSIS | 3.18e-01 | 2.67 | 0.07 | 1.00e+00 | 1.00e+00 | 1PDGFRB |
161 |
HALLMARK_TNFA_SIGNALING_VIA_NFKB | 3.78e-01 | 2.14 | 0.05 | 1.00e+00 | 1.00e+00 | 1TNC |
200 |
HALLMARK_COMPLEMENT | 3.78e-01 | 2.14 | 0.05 | 1.00e+00 | 1.00e+00 | 1COL4A2 |
200 |
HALLMARK_MTORC1_SIGNALING | 3.78e-01 | 2.14 | 0.05 | 1.00e+00 | 1.00e+00 | 1SERPINH1 |
200 |
HALLMARK_XENOBIOTIC_METABOLISM | 3.78e-01 | 2.14 | 0.05 | 1.00e+00 | 1.00e+00 | 1VTN |
200 |
HALLMARK_KRAS_SIGNALING_UP | 3.78e-01 | 2.14 | 0.05 | 1.00e+00 | 1.00e+00 | 1PRRX1 |
200 |
HALLMARK_HYPOXIA | 1.00e+00 | 0.00 | 0.00 | 1.00e+00 | 1.00e+00 | 0 |
200 |
HALLMARK_CHOLESTEROL_HOMEOSTASIS | 1.00e+00 | 0.00 | 0.00 | 1.00e+00 | 1.00e+00 | 0 |
74 |
HALLMARK_MITOTIC_SPINDLE | 1.00e+00 | 0.00 | 0.00 | 1.00e+00 | 1.00e+00 | 0 |
199 |
HALLMARK_WNT_BETA_CATENIN_SIGNALING | 1.00e+00 | 0.00 | 0.00 | 1.00e+00 | 1.00e+00 | 0 |
42 |
HALLMARK_TGF_BETA_SIGNALING | 1.00e+00 | 0.00 | 0.00 | 1.00e+00 | 1.00e+00 | 0 |
54 |
HALLMARK_IL6_JAK_STAT3_SIGNALING | 1.00e+00 | 0.00 | 0.00 | 1.00e+00 | 1.00e+00 | 0 |
87 |
Dowload full table
KEGG Pathways:
P-value | OR | Lower 95% CI | FDR | FWER | Genes Found | Gene Set Size | |
---|---|---|---|---|---|---|---|
KEGG_ECM_RECEPTOR_INTERACTION | 1.09e-09 | 44.16 | 16.24 | 1.02e-07 | 2.03e-07 | 7VTN, ITGA1, COL6A3, COL4A1, COL4A2, COL5A3, TNC |
84 |
KEGG_FOCAL_ADHESION | 3.21e-11 | 27.62 | 12.14 | 5.97e-09 | 5.97e-09 | 10VTN, MYL9, MYLK, ITGA1, COL6A3, PDGFRB, COL4A1, COL4A2, COL5A3, TNC |
199 |
KEGG_VASCULAR_SMOOTH_MUSCLE_CONTRACTION | 7.74e-06 | 21.09 | 6.41 | 4.80e-04 | 1.44e-03 | 5ACTA2, ACTG2, MYL9, MYH11, MYLK |
115 |
KEGG_HYPERTROPHIC_CARDIOMYOPATHY_HCM | 4.52e-05 | 23.00 | 5.87 | 2.10e-03 | 8.41e-03 | 4DES, TPM1, TPM2, ITGA1 |
83 |
KEGG_DILATED_CARDIOMYOPATHY | 6.20e-05 | 21.12 | 5.40 | 2.31e-03 | 1.15e-02 | 4DES, TPM1, TPM2, ITGA1 |
90 |
KEGG_REGULATION_OF_ACTIN_CYTOSKELETON | 1.60e-03 | 8.69 | 2.25 | 4.96e-02 | 2.97e-01 | 4MYL9, MYLK, ITGA1, PDGFRB |
213 |
KEGG_CALCIUM_SIGNALING_PATHWAY | 8.62e-03 | 7.62 | 1.50 | 2.29e-01 | 1.00e+00 | 3MYLK, PDGFRB, PDE1A |
178 |
KEGG_ARRHYTHMOGENIC_RIGHT_VENTRICULAR_CARDIOMYOPATHY_ARVC | 1.34e-02 | 12.09 | 1.40 | 3.12e-01 | 1.00e+00 | 2DES, ITGA1 |
74 |
KEGG_CARDIAC_MUSCLE_CONTRACTION | 1.52e-02 | 11.31 | 1.31 | 3.14e-01 | 1.00e+00 | 2TPM1, TPM2 |
79 |
KEGG_SMALL_CELL_LUNG_CANCER | 1.71e-02 | 10.62 | 1.23 | 3.17e-01 | 1.00e+00 | 2COL4A1, COL4A2 |
84 |
KEGG_PATHWAYS_IN_CANCER | 4.09e-02 | 4.14 | 0.82 | 6.02e-01 | 1.00e+00 | 3PDGFRB, COL4A1, COL4A2 |
325 |
KEGG_TIGHT_JUNCTION | 3.92e-02 | 6.70 | 0.78 | 6.02e-01 | 1.00e+00 | 2MYL9, MYH11 |
132 |
KEGG_PHENYLALANINE_METABOLISM | 4.21e-02 | 25.07 | 0.59 | 6.02e-01 | 1.00e+00 | 1AOC3 |
18 |
KEGG_BETA_ALANINE_METABOLISM | 5.12e-02 | 20.29 | 0.48 | 6.80e-01 | 1.00e+00 | 1AOC3 |
22 |
KEGG_DORSO_VENTRAL_AXIS_FORMATION | 5.57e-02 | 18.53 | 0.44 | 6.91e-01 | 1.00e+00 | 1NOTCH3 |
24 |
KEGG_O_GLYCAN_BIOSYNTHESIS | 6.91e-02 | 14.70 | 0.35 | 7.81e-01 | 1.00e+00 | 1GCNT4 |
30 |
KEGG_GLYCINE_SERINE_AND_THREONINE_METABOLISM | 7.13e-02 | 14.21 | 0.34 | 7.81e-01 | 1.00e+00 | 1AOC3 |
31 |
KEGG_TYROSINE_METABOLISM | 9.54e-02 | 10.40 | 0.25 | 9.76e-01 | 1.00e+00 | 1AOC3 |
42 |
KEGG_ABC_TRANSPORTERS | 9.97e-02 | 9.91 | 0.24 | 9.76e-01 | 1.00e+00 | 1ABCC9 |
44 |
KEGG_NOTCH_SIGNALING_PATHWAY | 1.06e-01 | 9.27 | 0.23 | 9.87e-01 | 1.00e+00 | 1NOTCH3 |
47 |
Dowload full table
CHR Positional Gene Sets:
P-value | OR | Lower 95% CI | FDR | FWER | Genes Found | Gene Set Size | |
---|---|---|---|---|---|---|---|
chr12p12 | 2.10e-03 | 12.82 | 2.51 | 5.84e-01 | 5.84e-01 | 3KCNJ8, ABCC9, MGP |
107 |
chr20q11 | 1.84e-02 | 5.70 | 1.13 | 1.00e+00 | 1.00e+00 | 3MYL9, FOXS1, REM1 |
237 |
chr15q22 | 3.50e-02 | 7.14 | 0.83 | 1.00e+00 | 1.00e+00 | 2TPM1, RASL12 |
124 |
chr19p13 | 2.63e-01 | 1.73 | 0.34 | 1.00e+00 | 1.00e+00 | 3NOTCH3, CNN1, COL5A3 |
773 |
chr17q21 | 2.89e-01 | 1.91 | 0.22 | 1.00e+00 | 1.00e+00 | 2HIGD1B, AOC3 |
457 |
chr5q11 | 1.83e-01 | 5.08 | 0.12 | 1.00e+00 | 1.00e+00 | 1ITGA1 |
85 |
chr11q22 | 2.08e-01 | 4.40 | 0.11 | 1.00e+00 | 1.00e+00 | 1TRPC6 |
98 |
chr2q32 | 2.27e-01 | 3.99 | 0.10 | 1.00e+00 | 1.00e+00 | 1PDE1A |
108 |
chr21q21 | 2.47e-01 | 3.61 | 0.09 | 1.00e+00 | 1.00e+00 | 1MAP3K7CL |
119 |
chr1q24 | 2.54e-01 | 3.50 | 0.09 | 1.00e+00 | 1.00e+00 | 1PRRX1 |
123 |
chr2q35 | 2.59e-01 | 3.41 | 0.08 | 1.00e+00 | 1.00e+00 | 1DES |
126 |
chr9q33 | 2.68e-01 | 3.28 | 0.08 | 1.00e+00 | 1.00e+00 | 1TNC |
131 |
chr2p13 | 2.78e-01 | 3.14 | 0.08 | 1.00e+00 | 1.00e+00 | 1ACTG2 |
137 |
chr3q21 | 2.80e-01 | 3.11 | 0.08 | 1.00e+00 | 1.00e+00 | 1MYLK |
138 |
chr5q13 | 2.87e-01 | 3.02 | 0.07 | 1.00e+00 | 1.00e+00 | 1GCNT4 |
142 |
chr3q25 | 3.04e-01 | 2.82 | 0.07 | 1.00e+00 | 1.00e+00 | 1SUCNR1 |
152 |
chr17q11 | 3.18e-01 | 2.67 | 0.07 | 1.00e+00 | 1.00e+00 | 1VTN |
161 |
chr9p13 | 3.33e-01 | 2.52 | 0.06 | 1.00e+00 | 1.00e+00 | 1TPM2 |
170 |
chr10q11 | 3.55e-01 | 2.33 | 0.06 | 1.00e+00 | 1.00e+00 | 1VSTM4 |
184 |
chr9q22 | 3.56e-01 | 2.32 | 0.06 | 1.00e+00 | 1.00e+00 | 1ASPN |
185 |
Dowload full table
Transcription Factor Targets:
P-value | OR | Lower 95% CI | FDR | FWER | Genes Found | Gene Set Size | |
---|---|---|---|---|---|---|---|
SRF_Q4 | 3.06e-09 | 20.75 | 8.76 | 3.46e-06 | 3.46e-06 | 9ACTG2, TAGLN, MYL9, MYH11, TPM1, TPM2, MYLK, CNN1, SERPINH1 |
230 |
CCAWWNAAGG_SRF_Q4 | 2.09e-06 | 27.96 | 8.45 | 4.73e-04 | 2.36e-03 | 5ACTG2, TAGLN, MYH11, TPM2, MYLK |
88 |
SRF_C | 6.98e-07 | 16.35 | 6.13 | 3.56e-04 | 7.91e-04 | 7ACTG2, TAGLN, MYL9, MYH11, MYLK, AOC3, CNN1 |
215 |
SRF_Q5_01 | 9.44e-07 | 15.60 | 5.86 | 3.56e-04 | 1.07e-03 | 7ACTG2, TAGLN, MYL9, MYH11, TPM2, MYLK, CNN1 |
225 |
SRF_01 | 2.44e-04 | 27.77 | 5.35 | 2.83e-02 | 2.76e-01 | 3ACTG2, MYH11, TPM1 |
51 |
SRF_Q6 | 1.79e-06 | 14.12 | 5.30 | 4.73e-04 | 2.03e-03 | 7ACTG2, TAGLN, MYL9, MYH11, TPM2, MYLK, CNN1 |
248 |
TATA_C | 5.37e-05 | 10.22 | 3.53 | 1.01e-02 | 6.08e-02 | 6TAGLN, MYH11, LMOD1, MYLK, PDGFRB, KCNJ8 |
285 |
WWTAAGGC_UNKNOWN | 3.96e-04 | 12.79 | 3.30 | 3.45e-02 | 4.49e-01 | 4ACTG2, MYL9, MYLK, CNN1 |
146 |
MEF2_03 | 2.50e-04 | 9.88 | 3.03 | 2.83e-02 | 2.83e-01 | 5CASQ2, TPM2, MYLK, MFGE8, PRRX1 |
240 |
HSF2_01 | 3.53e-04 | 9.14 | 2.81 | 3.43e-02 | 4.00e-01 | 5CASQ2, LMOD1, TPM2, ADAMTS2, SERPINH1 |
259 |
ZNF596_TARGET_GENES | 1.20e-04 | 6.14 | 2.48 | 1.95e-02 | 1.36e-01 | 8HIGD1B, MYH11, LMOD1, MYLK, FOXS1, SERPINH1, PRRX1, COL14A1 |
656 |
RGAANNTTC_HSF1_01 | 6.65e-04 | 6.31 | 2.18 | 5.38e-02 | 7.53e-01 | 6CASQ2, TPM2, COL6A3, TRPC6, ADAMTS2, SERPINH1 |
458 |
CTTTAAR_UNKNOWN | 3.63e-04 | 4.66 | 1.99 | 3.43e-02 | 4.12e-01 | 9ACTG2, TAGLN, LMOD1, ITGA1, COL6A3, ASPN, KCNJ8, MFGE8, PRRX1 |
994 |
YY1_01 | 2.92e-03 | 7.33 | 1.90 | 1.84e-01 | 1.00e+00 | 4ACTG2, MYH11, TPM1, CASQ2 |
252 |
TATA_01 | 3.09e-03 | 7.21 | 1.87 | 1.84e-01 | 1.00e+00 | 4DES, TPM1, CNN1, SERPINH1 |
256 |
TFIIA_Q6 | 3.09e-03 | 7.21 | 1.87 | 1.84e-01 | 1.00e+00 | 4ACTG2, MYH11, ITGA1, CNN1 |
256 |
TGGAAA_NFAT_Q4_01 | 1.95e-04 | 3.82 | 1.86 | 2.76e-02 | 2.21e-01 | 13HIGD1B, DES, TPM1, LMOD1, TPM2, CNN1, ASPN, KCNJ8, RASL12, ADAMTS2, MGP, SERPINH1, PRRX1 |
1934 |
HEB_Q6 | 3.68e-03 | 6.86 | 1.78 | 2.09e-01 | 1.00e+00 | 4ACTG2, LMOD1, MYLK, RASL12 |
269 |
GGATTA_PITX2_Q2 | 2.43e-03 | 4.85 | 1.68 | 1.72e-01 | 1.00e+00 | 6CASQ2, TPM2, SUCNR1, MFGE8, PRRX1, PDE1A |
594 |
CAGCTG_AP4_Q5 | 1.73e-03 | 3.44 | 1.53 | 1.31e-01 | 1.00e+00 | 10ACTG2, HIGD1B, DES, TPM2, MYLK, FOXS1, RASL12, ADAMTS2, COL5A3, PDE1A |
1530 |
Dowload full table
GO Biological Processes:
P-value | OR | Lower 95% CI | FDR | FWER | Genes Found | Gene Set Size | |
---|---|---|---|---|---|---|---|
GOBP_MESENCHYME_MIGRATION | 5.55e-05 | 286.32 | 23.57 | 4.16e-02 | 4.16e-01 | 2ACTA2, ACTG2 |
5 |
GOBP_MUSCLE_CONTRACTION | 1.12e-12 | 21.66 | 10.47 | 8.41e-09 | 8.41e-09 | 13ACTA2, ACTG2, MYL9, DES, MYH11, TPM1, CASQ2, LMOD1, TPM2, MYLK, ITGA1, CNN1, KCNJ8 |
352 |
GOBP_COLLAGEN_FIBRIL_ORGANIZATION | 8.23e-06 | 36.32 | 9.15 | 1.23e-02 | 6.16e-02 | 4ADAMTS2, COL5A3, SERPINH1, COL14A1 |
54 |
GOBP_COLLAGEN_ACTIVATED_TYROSINE_KINASE_RECEPTOR_SIGNALING_PATHWAY | 3.62e-04 | 86.81 | 9.02 | 1.29e-01 | 1.00e+00 | 2COL4A1, COL4A2 |
12 |
GOBP_MYOFIBRIL_ASSEMBLY | 1.17e-05 | 33.02 | 8.35 | 1.46e-02 | 8.78e-02 | 4MYH11, TPM1, LMOD1, PDGFRB |
59 |
GOBP_MUSCLE_SYSTEM_PROCESS | 2.51e-11 | 16.69 | 8.08 | 9.39e-08 | 1.88e-07 | 13ACTA2, ACTG2, MYL9, DES, MYH11, TPM1, CASQ2, LMOD1, TPM2, MYLK, ITGA1, CNN1, KCNJ8 |
453 |
GOBP_COLLAGEN_ACTIVATED_SIGNALING_PATHWAY | 5.74e-04 | 66.82 | 7.13 | 1.50e-01 | 1.00e+00 | 2COL4A1, COL4A2 |
15 |
GOBP_MUSCLE_FILAMENT_SLIDING | 1.09e-04 | 37.01 | 7.05 | 4.82e-02 | 8.19e-01 | 3DES, TPM1, TPM2 |
39 |
GOBP_EXTERNAL_ENCAPSULATING_STRUCTURE_ORGANIZATION | 1.52e-09 | 15.32 | 7.02 | 3.80e-06 | 1.14e-05 | 11VTN, MYH11, ITGA1, COL6A3, COL4A1, ADAMTS2, COL4A2, COL5A3, TNC, SERPINH1, COL14A1 |
396 |
GOBP_GLOMERULAR_MESANGIUM_DEVELOPMENT | 6.55e-04 | 62.06 | 6.67 | 1.52e-01 | 1.00e+00 | 2ACTA2, PDGFRB |
16 |
GOBP_RETINA_VASCULATURE_DEVELOPMENT_IN_CAMERA_TYPE_EYE | 8.32e-04 | 54.34 | 5.90 | 1.78e-01 | 1.00e+00 | 2PDGFRB, COL4A1 |
18 |
GOBP_POSITIVE_REGULATION_OF_PHOSPHOPROTEIN_PHOSPHATASE_ACTIVITY | 1.14e-03 | 45.73 | 5.03 | 2.30e-01 | 1.00e+00 | 2ITGA1, PDGFRB |
21 |
GOBP_SMOOTH_MUSCLE_CONTRACTION | 9.34e-05 | 18.92 | 4.85 | 4.82e-02 | 6.98e-01 | 4ACTA2, MYH11, MYLK, CNN1 |
100 |
GOBP_CELLULAR_COMPONENT_ASSEMBLY_INVOLVED_IN_MORPHOGENESIS | 9.34e-05 | 18.92 | 4.85 | 4.82e-02 | 6.98e-01 | 4MYH11, TPM1, LMOD1, PDGFRB |
100 |
GOBP_STRIATED_MUSCLE_CELL_DEVELOPMENT | 1.05e-04 | 18.35 | 4.71 | 4.82e-02 | 7.83e-01 | 4MYH11, TPM1, LMOD1, PDGFRB |
103 |
GOBP_CONNECTIVE_TISSUE_DEVELOPMENT | 2.18e-05 | 12.07 | 4.16 | 2.03e-02 | 1.63e-01 | 6ACTA2, MUSTN1, PDGFRB, MGP, SERPINH1, PRRX1 |
242 |
GOBP_RENAL_SYSTEM_VASCULATURE_DEVELOPMENT | 1.74e-03 | 36.25 | 4.04 | 3.10e-01 | 1.00e+00 | 2ACTA2, PDGFRB |
26 |
GOBP_ACTIN_MEDIATED_CELL_CONTRACTION | 1.88e-04 | 15.66 | 4.03 | 7.82e-02 | 1.00e+00 | 4DES, TPM1, TPM2, KCNJ8 |
120 |
GOBP_ARTERY_MORPHOGENESIS | 6.20e-04 | 19.89 | 3.87 | 1.50e-01 | 1.00e+00 | 3MYLK, PDGFRB, PRRX1 |
70 |
GOBP_ACTOMYOSIN_STRUCTURE_ORGANIZATION | 8.49e-05 | 12.55 | 3.84 | 4.82e-02 | 6.35e-01 | 5MYH11, TPM1, LMOD1, CNN1, PDGFRB |
190 |
Dowload full table
Immunological Gene Sets:
P-value | OR | Lower 95% CI | FDR | FWER | Genes Found | Gene Set Size | |
---|---|---|---|---|---|---|---|
GSE2405_HEAT_KILLED_LYSATE_VS_LIVE_A_PHAGOCYTOPHILUM_STIM_NEUTROPHIL_24H_UP | 9.05e-10 | 24.01 | 10.12 | 4.41e-06 | 4.41e-06 | 9ACTG2, TAGLN, RGS5, MYH11, TPM2, COL4A2, MFGE8, PARM1, MGP |
200 |
GSE2405_0H_VS_3H_A_PHAGOCYTOPHILUM_STIM_NEUTROPHIL_UP | 1.08e-04 | 11.91 | 3.65 | 7.51e-02 | 5.25e-01 | 5ACTG2, MYH11, COL6A3, COL4A1, MFGE8 |
200 |
GSE19888_ADENOSINE_A3R_INH_VS_ACT_WITH_INHIBITOR_PRETREATMENT_IN_MAST_CELL_DN | 1.08e-04 | 11.91 | 3.65 | 7.51e-02 | 5.25e-01 | 5VTN, DES, TRPC6, REM1, COL14A1 |
200 |
GSE23505_IL6_IL1_IL23_VS_IL6_IL1_TGFB_TREATED_CD4_TCELL_UP | 1.08e-04 | 11.91 | 3.65 | 7.51e-02 | 5.25e-01 | 5VTN, RGS5, NOTCH3, ABCC9, MGP |
200 |
GSE37301_GRANULOCYTE_MONOCYTE_PROGENITOR_VS_RAG2_KO_NK_CELL_DN | 1.08e-04 | 11.91 | 3.65 | 7.51e-02 | 5.25e-01 | 5VTN, KCNJ8, COL4A1, COL4A2, COL14A1 |
200 |
GSE43955_1H_VS_10H_ACT_CD4_TCELL_DN | 1.08e-04 | 11.91 | 3.65 | 7.51e-02 | 5.25e-01 | 5CASQ2, NOTCH3, COL6A3, TNC, MGP |
200 |
GSE43955_1H_VS_20H_ACT_CD4_TCELL_WITH_TGFB_IL6_DN | 1.08e-04 | 11.91 | 3.65 | 7.51e-02 | 5.25e-01 | 5TAGLN, AOC3, TNC, MGP, PDE1A |
200 |
GSE24574_BCL6_LOW_TFH_VS_TCONV_CD4_TCELL_UP | 1.14e-03 | 9.56 | 2.48 | 2.82e-01 | 1.00e+00 | 4VTN, LMOD1, KCNJ8, REM1 |
194 |
GSE1460_DP_THYMOCYTE_VS_NAIVE_CD4_TCELL_CORD_BLOOD_DN | 1.23e-03 | 9.37 | 2.43 | 2.82e-01 | 1.00e+00 | 4TPM2, CNN1, KCNJ8, TRPC6 |
198 |
GSE360_DC_VS_MAC_T_GONDII_UP | 1.23e-03 | 9.37 | 2.43 | 2.82e-01 | 1.00e+00 | 4ACTG2, TPM1, PARM1, MGP |
198 |
GSE29949_MICROGLIA_BRAIN_VS_CD8_NEG_DC_SPLEEN_DN | 1.23e-03 | 9.37 | 2.43 | 2.82e-01 | 1.00e+00 | 4CASQ2, MYLK, VSTM4, PRRX1 |
198 |
GSE26727_WT_VS_KLF2_KO_LPS_STIM_MACROPHAGE_UP | 1.25e-03 | 9.32 | 2.41 | 2.82e-01 | 1.00e+00 | 4TPM1, CASQ2, TPM2, COL14A1 |
199 |
GSE4748_CTRL_VS_LPS_AND_CYANOBACTERIUM_LPSLIKE_STIM_DC_3H_DN | 1.27e-03 | 9.27 | 2.40 | 2.82e-01 | 1.00e+00 | 4COL6A3, COL4A1, PARM1, SERPINH1 |
200 |
GSE5679_CTRL_VS_PPARG_LIGAND_ROSIGLITAZONE_AND_RARA_AGONIST_AM580_TREATED_DC_DN | 1.27e-03 | 9.27 | 2.40 | 2.82e-01 | 1.00e+00 | 4TAGLN, AOC3, MFGE8, SERPINH1 |
200 |
GSE19923_WT_VS_HEB_KO_DP_THYMOCYTE_UP | 1.27e-03 | 9.27 | 2.40 | 2.82e-01 | 1.00e+00 | 4VTN, COL4A1, PARM1, MGP |
200 |
GSE22935_WT_VS_MYD88_KO_MACROPHAGE_24H_MBOVIS_BCG_STIM_DN | 1.27e-03 | 9.27 | 2.40 | 2.82e-01 | 1.00e+00 | 4TAGLN, TPM2, COL4A2, TNC |
200 |
GSE22935_WT_VS_MYD88_KO_MACROPHAGE_DN | 1.27e-03 | 9.27 | 2.40 | 2.82e-01 | 1.00e+00 | 4MYL9, MYH11, MYLK, REM1 |
200 |
GSE27670_CTRL_VS_BLIMP1_TRANSDUCED_GC_BCELL_UP | 1.27e-03 | 9.27 | 2.40 | 2.82e-01 | 1.00e+00 | 4CNN1, COL6A3, PDGFRB, COL14A1 |
200 |
GSE22443_NAIVE_VS_ACT_AND_IL2_TREATED_CD8_TCELL_DN | 1.27e-03 | 9.27 | 2.40 | 2.82e-01 | 1.00e+00 | 4COL6A3, PDGFRB, COL4A1, COL14A1 |
200 |
GSE28726_NAIVE_VS_ACTIVATED_CD4_TCELL_UP | 1.27e-03 | 9.27 | 2.40 | 2.82e-01 | 1.00e+00 | 4CASQ2, TPM2, MFGE8, COL14A1 |
200 |
Top Ranked Transcription Factors for this Gene Expression Program:
Gene Symbol | TF Rank | DNA Binding Domain | Motif Status | IUPAC PWM | GTEx | DepMap | Decartes |
---|---|---|---|---|---|---|---|
NOTCH3 | 15 | No | Unlikely to be sequence specific TF | Not a DNA binding protein | No motif | None | Fragment of NOTCH. Is a coactivator. |
FOXS1 | 29 | Yes | Inferred motif | Monomer or homomultimer | High-throughput in vitro | None | None |
PRRX1 | 48 | Yes | Known motif | Monomer or homomultimer | High-throughput in vitro | None | None |
HOXB2 | 59 | Yes | Known motif | Monomer or homomultimer | High-throughput in vitro | None | None |
LPP | 61 | No | Unlikely to be sequence specific TF | Not a DNA binding protein | No motif | None | znfLIM is probably not a DNA binding domain (PMID: 8506279). The protein has been reported to be coactivator for ETV4 (PMID: 16738319). |
EPAS1 | 90 | Yes | Known motif | Monomer or homomultimer | In vivo/Misc source | Only known motifs are from Transfac or HocoMoco - origin is uncertain | None |
HEYL | 98 | Yes | Inferred motif | Monomer or homomultimer | High-throughput in vitro | None | None |
TBX18 | 104 | Yes | Known motif | Monomer or homomultimer | High-throughput in vitro | None | None |
FLNA | 111 | No | Unlikely to be sequence specific TF | Not a DNA binding protein | No motif | None | Go annotation is based on (PMID: 15684392), which shows that it binds FOXC1 and PBX1 but doesnt show evidence for binding to DNA |
BARX1 | 114 | Yes | Known motif | Monomer or homomultimer | High-throughput in vitro | Has a putative AT-hook | None |
TCF15 | 130 | Yes | Inferred motif | Monomer or homomultimer | High-throughput in vitro | None | None |
TGFB1I1 | 134 | No | Unlikely to be sequence specific TF | Not a DNA binding protein | No motif | None | Available evidence suggests that it acts as a co-factor |
FOXC2 | 162 | Yes | Known motif | Monomer or homomultimer | High-throughput in vitro | None | None |
VAX2 | 167 | Yes | Known motif | Monomer or homomultimer | High-throughput in vitro | None | None |
FBN1 | 173 | No | Unlikely to be sequence specific TF | Not a DNA binding protein | No motif | None | None |
NR2F2 | 219 | Yes | Known motif | Monomer or homomultimer | 100 perc ID - in vitro | None | None |
VGLL3 | 257 | No | Unlikely to be sequence specific TF | Not a DNA binding protein | No motif | None | (PMID: 23380592) describes this protein as a co-activator, and it doesnt seem to have a DBD (fig. 1) |
TEAD4 | 281 | Yes | Known motif | Monomer or homomultimer | High-throughput in vitro | None | None |
CBFA2T3 | 299 | No | Unlikely to be sequence specific TF | Not a DNA binding protein | No motif | None | Co-repressor - does not contact DNA (PMID: 12559562; PMID: 15203199) |
ARID5B | 325 | Yes | Known motif | Monomer or homomultimer | 100 perc ID - in vitro | Has a putative AT-hook | None |
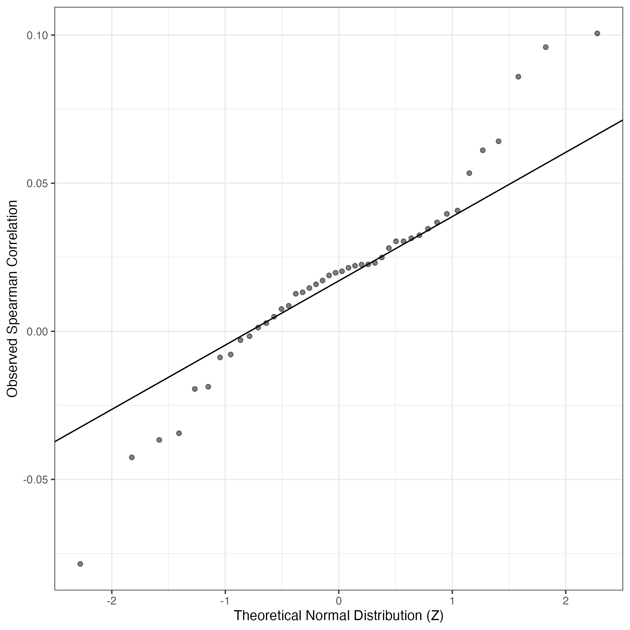
QQ Plot showing correlations with other Gene Expression Programs in this dataset, calculated by Spearman correlation:
Interactive QQ-plot of gene loadings:
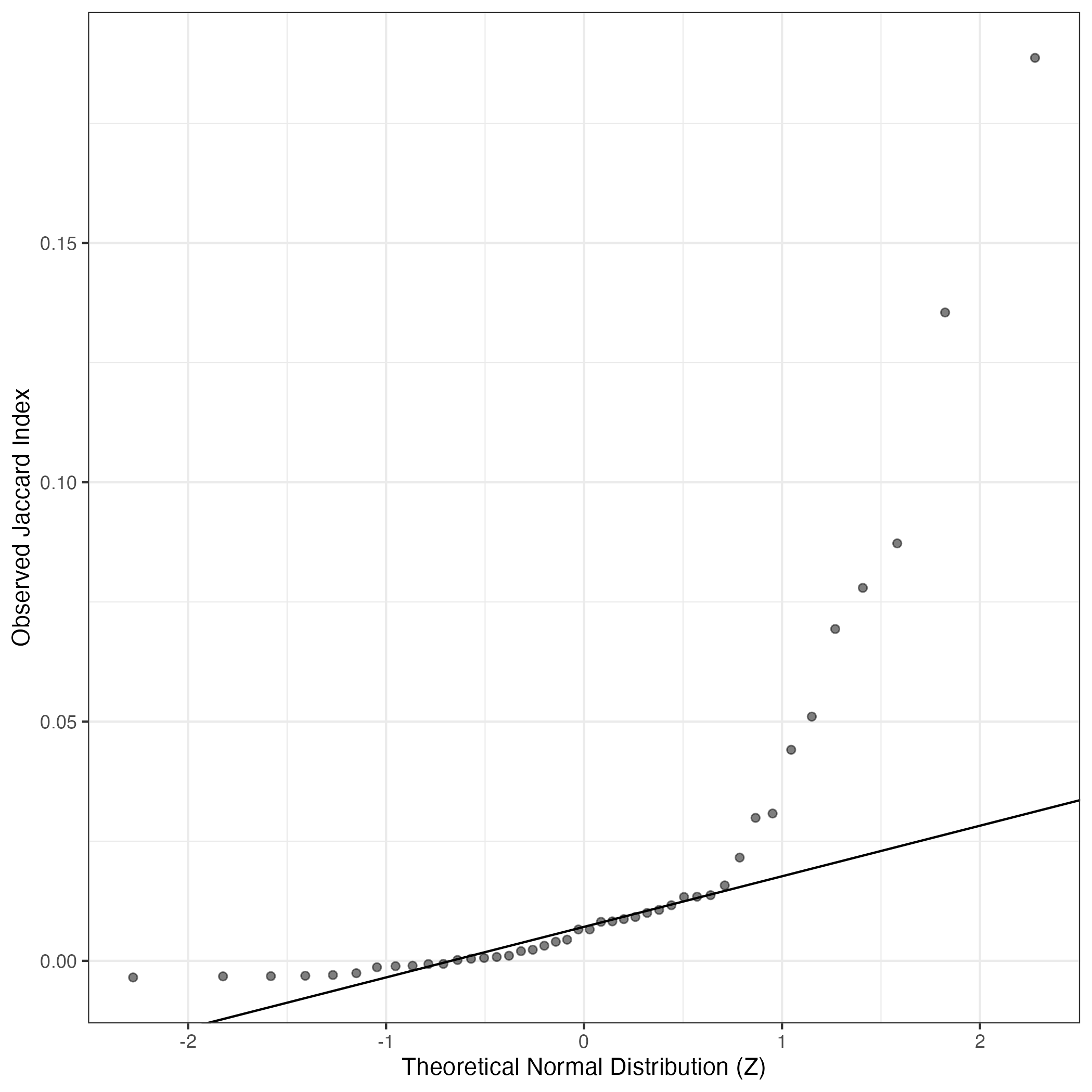
A similar QQ-plot as above, but only for instances where the H value is e.g. > 25, i.e. we are confident that the expression program is active above noise. Agreemenet between these binary vectors is tested using the Jaccard Index, with the P-values calculated by an exact test:
Interactive QQ-plot:
Singler cell type annotations for the top 50 cells on this program.
Cell ID | Singler label | Singler Delta | Activity Score | Top Singler Raw Scores |
---|---|---|---|---|
847_ACATTTCGTAACATCC-1 | iPS_cells:adipose_stem_cells | 0.18 | 3278.35 | Raw ScoresiPS_cells:adipose_stem_cells: 0.46, Smooth_muscle_cells:vascular:IL-17: 0.45, Tissue_stem_cells:BM_MSC: 0.45, Fibroblasts:breast: 0.45, Tissue_stem_cells:BM_MSC:BMP2: 0.44, Smooth_muscle_cells:vascular: 0.44, Tissue_stem_cells:BM_MSC:TGFb3: 0.44, Chondrocytes:MSC-derived: 0.44, iPS_cells:CRL2097_foreskin: 0.44, Osteoblasts: 0.44 |
837_CAGATCAAGTGGATTA-1 | MSC | 0.22 | 1885.87 | Raw ScoresMSC: 0.52, Fibroblasts:foreskin: 0.51, iPS_cells:CRL2097_foreskin: 0.5, Fibroblasts:breast: 0.5, iPS_cells:adipose_stem_cells: 0.5, iPS_cells:skin_fibroblast: 0.5, iPS_cells:foreskin_fibrobasts: 0.5, iPS_cells:fibroblasts: 0.5, Smooth_muscle_cells:vascular: 0.5, Smooth_muscle_cells:vascular:IL-17: 0.49 |
837_TCAGCAATCACACGAT-1 | Smooth_muscle_cells:vascular | 0.15 | 1497.73 | Raw ScoresiPS_cells:adipose_stem_cells: 0.35, Fibroblasts:breast: 0.35, iPS_cells:CRL2097_foreskin: 0.35, Smooth_muscle_cells:vascular: 0.35, Smooth_muscle_cells:vascular:IL-17: 0.35, Tissue_stem_cells:BM_MSC: 0.34, Osteoblasts: 0.34, MSC: 0.34, Tissue_stem_cells:BM_MSC:TGFb3: 0.33, Smooth_muscle_cells:bronchial: 0.33 |
837_CGAGTTAAGCTGACAG-1 | Smooth_muscle_cells:vascular | 0.17 | 823.18 | Raw ScoresMSC: 0.47, Fibroblasts:foreskin: 0.46, Smooth_muscle_cells:vascular: 0.45, iPS_cells:CRL2097_foreskin: 0.45, Neurons:Schwann_cell: 0.45, iPS_cells:skin_fibroblast: 0.45, iPS_cells:foreskin_fibrobasts: 0.44, Fibroblasts:breast: 0.44, iPS_cells:fibroblasts: 0.44, Tissue_stem_cells:lipoma-derived_MSC: 0.44 |
837_TGGTAGTCATCCGGCA-1 | Smooth_muscle_cells:vascular | 0.14 | 525.68 | Raw ScoresiPS_cells:adipose_stem_cells: 0.41, MSC: 0.4, iPS_cells:CRL2097_foreskin: 0.4, Fibroblasts:foreskin: 0.4, Smooth_muscle_cells:vascular: 0.4, Fibroblasts:breast: 0.4, Smooth_muscle_cells:vascular:IL-17: 0.4, iPS_cells:skin_fibroblast: 0.39, Tissue_stem_cells:BM_MSC: 0.39, Smooth_muscle_cells:bronchial: 0.39 |
831_CTTGATTGTTGCCGCA-1 | Smooth_muscle_cells:vascular | 0.17 | 476.40 | Raw ScoresSmooth_muscle_cells:vascular: 0.36, iPS_cells:adipose_stem_cells: 0.36, Fibroblasts:breast: 0.36, MSC: 0.36, Smooth_muscle_cells:vascular:IL-17: 0.36, iPS_cells:CRL2097_foreskin: 0.36, Tissue_stem_cells:BM_MSC: 0.36, Fibroblasts:foreskin: 0.35, iPS_cells:foreskin_fibrobasts: 0.35, Osteoblasts: 0.35 |
831_GCAGCTGGTCGAACAG-1 | Smooth_muscle_cells:vascular | 0.17 | 421.43 | Raw ScoresSmooth_muscle_cells:vascular: 0.39, MSC: 0.39, Fibroblasts:foreskin: 0.39, iPS_cells:CRL2097_foreskin: 0.39, iPS_cells:adipose_stem_cells: 0.38, Tissue_stem_cells:BM_MSC: 0.38, Fibroblasts:breast: 0.38, iPS_cells:skin_fibroblast: 0.37, iPS_cells:foreskin_fibrobasts: 0.37, Neurons:Schwann_cell: 0.37 |
847_CACTGTCCAACGACAG-1 | MSC | 0.21 | 413.69 | Raw ScoresMSC: 0.52, iPS_cells:CRL2097_foreskin: 0.51, Fibroblasts:foreskin: 0.51, iPS_cells:adipose_stem_cells: 0.51, Fibroblasts:breast: 0.5, iPS_cells:PDB_fibroblasts: 0.5, Smooth_muscle_cells:vascular: 0.5, iPS_cells:skin_fibroblast: 0.5, iPS_cells:fibroblasts: 0.5, iPS_cells:foreskin_fibrobasts: 0.5 |
831_CTCTCAGAGGTGAGAA-1 | Tissue_stem_cells:BM_MSC | 0.18 | 347.56 | Raw ScoresiPS_cells:adipose_stem_cells: 0.48, Fibroblasts:breast: 0.47, MSC: 0.47, Tissue_stem_cells:BM_MSC: 0.47, Osteoblasts: 0.46, Smooth_muscle_cells:vascular: 0.46, Smooth_muscle_cells:vascular:IL-17: 0.46, Fibroblasts:foreskin: 0.46, iPS_cells:CRL2097_foreskin: 0.46, Tissue_stem_cells:iliac_MSC: 0.46 |
831_AAGCGAGCACTACCCT-1 | iPS_cells:adipose_stem_cells | 0.16 | 288.83 | Raw ScoresiPS_cells:adipose_stem_cells: 0.43, Fibroblasts:breast: 0.43, Smooth_muscle_cells:vascular: 0.43, Smooth_muscle_cells:vascular:IL-17: 0.43, Tissue_stem_cells:BM_MSC:TGFb3: 0.42, Osteoblasts: 0.42, iPS_cells:CRL2097_foreskin: 0.42, Tissue_stem_cells:BM_MSC:BMP2: 0.42, Tissue_stem_cells:iliac_MSC: 0.42, Chondrocytes:MSC-derived: 0.42 |
847_CATTGAGCATGGCTGC-1 | Fibroblasts:breast | 0.16 | 275.28 | Raw ScoresiPS_cells:adipose_stem_cells: 0.38, iPS_cells:CRL2097_foreskin: 0.37, Fibroblasts:breast: 0.37, Osteoblasts: 0.37, Chondrocytes:MSC-derived: 0.36, Smooth_muscle_cells:vascular: 0.36, Smooth_muscle_cells:vascular:IL-17: 0.36, Smooth_muscle_cells:bronchial:vit_D: 0.36, Smooth_muscle_cells:bronchial: 0.36, Tissue_stem_cells:BM_MSC:TGFb3: 0.36 |
849_GCTTTCGGTGACAACG-1 | Tissue_stem_cells:BM_MSC:BMP2 | 0.11 | 271.29 | Raw ScoresiPS_cells:adipose_stem_cells: 0.36, Tissue_stem_cells:BM_MSC:TGFb3: 0.35, Smooth_muscle_cells:vascular: 0.35, Smooth_muscle_cells:vascular:IL-17: 0.35, Tissue_stem_cells:BM_MSC: 0.35, Fibroblasts:breast: 0.35, Tissue_stem_cells:BM_MSC:BMP2: 0.35, Osteoblasts: 0.35, Smooth_muscle_cells:bronchial: 0.35, Smooth_muscle_cells:bronchial:vit_D: 0.35 |
847_TACGCTCAGTACAACA-1 | Smooth_muscle_cells:vascular | 0.18 | 263.87 | Raw ScoresiPS_cells:adipose_stem_cells: 0.46, iPS_cells:CRL2097_foreskin: 0.46, Osteoblasts: 0.46, Fibroblasts:breast: 0.45, Tissue_stem_cells:BM_MSC:TGFb3: 0.45, Tissue_stem_cells:iliac_MSC: 0.45, Smooth_muscle_cells:bronchial: 0.45, Tissue_stem_cells:BM_MSC:BMP2: 0.45, Smooth_muscle_cells:vascular: 0.45, Smooth_muscle_cells:bronchial:vit_D: 0.45 |
837_GCTGGGTTCATGACAC-1 | Tissue_stem_cells:BM_MSC:TGFb3 | 0.14 | 253.73 | Raw ScoresFibroblasts:breast: 0.34, iPS_cells:adipose_stem_cells: 0.34, iPS_cells:CRL2097_foreskin: 0.34, Smooth_muscle_cells:vascular: 0.34, Tissue_stem_cells:iliac_MSC: 0.34, Osteoblasts: 0.34, Smooth_muscle_cells:vascular:IL-17: 0.33, Tissue_stem_cells:BM_MSC:TGFb3: 0.33, MSC: 0.33, Smooth_muscle_cells:bronchial: 0.33 |
839_TTACCATAGGTTCTAC-1 | iPS_cells:adipose_stem_cells | 0.07 | 203.90 | Raw ScoresFibroblasts:foreskin: 0.47, Neurons:Schwann_cell: 0.46, iPS_cells:fibroblasts: 0.46, MSC: 0.45, Tissue_stem_cells:adipose-derived_MSC_AM3: 0.45, iPS_cells:adipose_stem_cells: 0.45, iPS_cells:skin_fibroblast: 0.45, Endothelial_cells:HUVEC:PR8-infected: 0.45, Tissue_stem_cells:lipoma-derived_MSC: 0.45, Fibroblasts:breast: 0.45 |
837_ATTCTACGTAGACGGT-1 | Tissue_stem_cells:adipose-derived_MSC_AM3 | 0.22 | 193.21 | Raw ScoresMSC: 0.54, Fibroblasts:foreskin: 0.52, Tissue_stem_cells:adipose-derived_MSC_AM3: 0.52, Tissue_stem_cells:lipoma-derived_MSC: 0.52, iPS_cells:skin_fibroblast: 0.52, Smooth_muscle_cells:vascular: 0.51, iPS_cells:CRL2097_foreskin: 0.51, iPS_cells:foreskin_fibrobasts: 0.51, iPS_cells:fibroblasts: 0.51, iPS_cells:PDB_fibroblasts: 0.51 |
837_CGTTGGGTCTGAGTCA-1 | Smooth_muscle_cells:vascular | 0.14 | 185.75 | Raw ScoresiPS_cells:adipose_stem_cells: 0.38, Osteoblasts: 0.37, Fibroblasts:breast: 0.37, Smooth_muscle_cells:vascular: 0.37, Smooth_muscle_cells:vascular:IL-17: 0.37, Tissue_stem_cells:BM_MSC: 0.37, Tissue_stem_cells:iliac_MSC: 0.36, Tissue_stem_cells:BM_MSC:osteogenic: 0.36, MSC: 0.36, iPS_cells:CRL2097_foreskin: 0.36 |
847_GAAATGACATCCAATG-1 | Epithelial_cells:bladder | 0.17 | 180.20 | Raw ScoresEpithelial_cells:bladder: 0.53, Keratinocytes:KGF: 0.49, Keratinocytes:IL1b: 0.48, Keratinocytes:IL20: 0.48, Keratinocytes:IL19: 0.48, Keratinocytes:IL26: 0.48, Keratinocytes: 0.48, Epithelial_cells:bronchial: 0.48, Keratinocytes:IL22: 0.48, Keratinocytes:IL24: 0.48 |
839_TGTCCACAGAGGATCC-1 | Neurons:Schwann_cell | 0.17 | 171.89 | Raw ScoresNeurons:Schwann_cell: 0.47, Smooth_muscle_cells:vascular:IL-17: 0.42, Smooth_muscle_cells:vascular: 0.41, iPS_cells:adipose_stem_cells: 0.41, Fibroblasts:breast: 0.41, Fibroblasts:foreskin: 0.41, iPS_cells:CRL2097_foreskin: 0.41, Tissue_stem_cells:iliac_MSC: 0.4, Tissue_stem_cells:BM_MSC:BMP2: 0.4, iPS_cells:foreskin_fibrobasts: 0.4 |
839_TGTCCCATCAGCCTTC-1 | Fibroblasts:breast | 0.19 | 128.94 | Raw ScoresFibroblasts:breast: 0.5, iPS_cells:adipose_stem_cells: 0.5, Smooth_muscle_cells:vascular: 0.49, Smooth_muscle_cells:vascular:IL-17: 0.49, Tissue_stem_cells:BM_MSC: 0.48, iPS_cells:CRL2097_foreskin: 0.48, Chondrocytes:MSC-derived: 0.48, Fibroblasts:foreskin: 0.47, Osteoblasts: 0.47, Smooth_muscle_cells:bronchial: 0.47 |
837_CCACCATCACTATCCC-1 | iPS_cells:adipose_stem_cells | 0.17 | 123.05 | Raw ScoresSmooth_muscle_cells:vascular: 0.38, iPS_cells:adipose_stem_cells: 0.37, iPS_cells:CRL2097_foreskin: 0.37, Smooth_muscle_cells:vascular:IL-17: 0.37, Fibroblasts:breast: 0.37, Smooth_muscle_cells:bronchial: 0.37, Osteoblasts: 0.37, Smooth_muscle_cells:bronchial:vit_D: 0.37, Chondrocytes:MSC-derived: 0.36, Tissue_stem_cells:BM_MSC:TGFb3: 0.36 |
837_TTCACCGCAGAATGTA-1 | Endothelial_cells:blood_vessel | 0.18 | 122.61 | Raw ScoresEndothelial_cells:blood_vessel: 0.53, Endothelial_cells:lymphatic: 0.52, Endothelial_cells:lymphatic:TNFa_48h: 0.52, Endothelial_cells:lymphatic:KSHV: 0.52, Endothelial_cells:HUVEC:IL-1b: 0.52, Endothelial_cells:HUVEC: 0.52, Endothelial_cells:HUVEC:Serum_Amyloid_A: 0.52, Endothelial_cells:HUVEC:FPV-infected: 0.51, Endothelial_cells:HUVEC:PR8-infected: 0.51, Endothelial_cells:HUVEC:B._anthracis_LT: 0.51 |
839_AAAGGTAAGTAGCATA-1 | Chondrocytes:MSC-derived | 0.20 | 120.41 | Raw ScoresFibroblasts:breast: 0.36, iPS_cells:adipose_stem_cells: 0.36, Osteoblasts: 0.36, Smooth_muscle_cells:vascular: 0.36, Smooth_muscle_cells:vascular:IL-17: 0.35, Chondrocytes:MSC-derived: 0.35, Tissue_stem_cells:BM_MSC: 0.35, iPS_cells:CRL2097_foreskin: 0.34, Tissue_stem_cells:BM_MSC:TGFb3: 0.34, Osteoblasts:BMP2: 0.34 |
883_AACACACCAGTTAGAA-1 | iPS_cells:adipose_stem_cells | 0.16 | 118.83 | Raw ScoresiPS_cells:adipose_stem_cells: 0.44, Neurons:Schwann_cell: 0.43, Smooth_muscle_cells:vascular:IL-17: 0.43, Smooth_muscle_cells:vascular: 0.43, Fibroblasts:breast: 0.43, Tissue_stem_cells:BM_MSC: 0.42, Fibroblasts:foreskin: 0.42, MSC: 0.42, iPS_cells:CRL2097_foreskin: 0.42, Smooth_muscle_cells:bronchial: 0.42 |
864_GTGATGTGTATAATGG-1 | Neurons:adrenal_medulla_cell_line | 0.11 | 99.66 | Raw ScoresMSC: 0.43, Neuroepithelial_cell:ESC-derived: 0.43, Tissue_stem_cells:CD326-CD56+: 0.42, Neurons:adrenal_medulla_cell_line: 0.42, Tissue_stem_cells:adipose-derived_MSC_AM3: 0.42, Tissue_stem_cells:lipoma-derived_MSC: 0.42, iPS_cells:fibroblast-derived:Retroviral_transf: 0.42, Embryonic_stem_cells: 0.42, iPS_cells:fibroblast-derived:Direct_del._reprog: 0.41, iPS_cells:CRL2097_foreskin-derived:undiff.: 0.41 |
853_GTCACTCGTCTGTAAC-1 | Neurons:adrenal_medulla_cell_line | 0.13 | 86.15 | Raw ScoresNeuroepithelial_cell:ESC-derived: 0.38, Neurons:adrenal_medulla_cell_line: 0.36, Embryonic_stem_cells: 0.35, Astrocyte:Embryonic_stem_cell-derived: 0.35, iPS_cells:PDB_1lox-17Puro-5: 0.34, iPS_cells:PDB_2lox-22: 0.34, iPS_cells:PDB_1lox-17Puro-10: 0.34, iPS_cells:PDB_1lox-21Puro-20: 0.34, Tissue_stem_cells:CD326-CD56+: 0.34, iPS_cells:PDB_1lox-21Puro-26: 0.34 |
847_TTTATGCAGCTAGAGC-1 | Macrophage:monocyte-derived:M-CSF | 0.15 | 83.80 | Raw ScoresMacrophage:monocyte-derived:M-CSF/Pam3Cys: 0.45, Macrophage:monocyte-derived:M-CSF/IFNg/Pam3Cys: 0.45, Macrophage:monocyte-derived:M-CSF/IFNg: 0.44, Macrophage:monocyte-derived:M-CSF: 0.44, Monocyte:leukotriene_D4: 0.44, Monocyte: 0.44, Monocyte:CD16-: 0.44, Monocyte:anti-FcgRIIB: 0.44, DC:monocyte-derived:anti-DC-SIGN_2h: 0.44, DC:monocyte-derived:antiCD40/VAF347: 0.43 |
864_TGGTTAGGTAGGTCAG-1 | Neurons:Schwann_cell | 0.14 | 82.16 | Raw ScoresNeurons:Schwann_cell: 0.4, iPS_cells:adipose_stem_cells: 0.36, Fibroblasts:breast: 0.35, Smooth_muscle_cells:vascular:IL-17: 0.35, MSC: 0.35, Tissue_stem_cells:BM_MSC:BMP2: 0.35, Smooth_muscle_cells:umbilical_vein: 0.35, Tissue_stem_cells:BM_MSC:TGFb3: 0.35, Fibroblasts:foreskin: 0.35, iPS_cells:skin_fibroblast: 0.35 |
847_GTGCTTCTCCGCGGAT-1 | Neurons:adrenal_medulla_cell_line | 0.22 | 81.34 | Raw ScoresNeurons:adrenal_medulla_cell_line: 0.51, Astrocyte:Embryonic_stem_cell-derived: 0.45, Neuroepithelial_cell:ESC-derived: 0.45, iPS_cells:PDB_1lox-21Puro-20: 0.41, iPS_cells:PDB_1lox-21Puro-26: 0.41, iPS_cells:PDB_1lox-17Puro-10: 0.41, iPS_cells:PDB_1lox-17Puro-5: 0.41, iPS_cells:PDB_2lox-22: 0.41, iPS_cells:PDB_2lox-17: 0.4, iPS_cells:PDB_2lox-5: 0.4 |
864_GGGACTCGTCTTGGTA-1 | Chondrocytes:MSC-derived | 0.11 | 81.08 | Raw ScoresiPS_cells:adipose_stem_cells: 0.36, Fibroblasts:breast: 0.35, Tissue_stem_cells:BM_MSC:TGFb3: 0.35, Tissue_stem_cells:BM_MSC:BMP2: 0.35, Smooth_muscle_cells:vascular:IL-17: 0.35, Smooth_muscle_cells:vascular: 0.35, Chondrocytes:MSC-derived: 0.35, Tissue_stem_cells:BM_MSC: 0.34, Osteoblasts: 0.34, iPS_cells:CRL2097_foreskin: 0.34 |
847_TCAGGTAGTTGTCTAG-1 | Epithelial_cells:bladder | 0.15 | 79.57 | Raw ScoresEpithelial_cells:bladder: 0.52, Keratinocytes:KGF: 0.48, Keratinocytes:IL1b: 0.48, Keratinocytes:IL19: 0.48, Keratinocytes:IL20: 0.48, Epithelial_cells:bronchial: 0.48, Keratinocytes: 0.48, Keratinocytes:IL26: 0.48, Keratinocytes:IL22: 0.48, Keratinocytes:IL24: 0.47 |
853_CTACGGGCAAATGCGG-1 | Neurons:adrenal_medulla_cell_line | 0.16 | 75.57 | Raw ScoresNeurons:adrenal_medulla_cell_line: 0.41, Neuroepithelial_cell:ESC-derived: 0.39, Embryonic_stem_cells: 0.37, iPS_cells:PDB_1lox-17Puro-5: 0.37, iPS_cells:CRL2097_foreskin-derived:undiff.: 0.37, iPS_cells:PDB_2lox-22: 0.36, iPS_cells:PDB_1lox-21Puro-20: 0.36, iPS_cells:PDB_1lox-17Puro-10: 0.36, iPS_cells:PDB_1lox-21Puro-26: 0.36, iPS_cells:PDB_2lox-17: 0.36 |
837_TTCTAGTTCAAACTGC-1 | Neurons:adrenal_medulla_cell_line | 0.18 | 73.35 | Raw ScoresNeurons:adrenal_medulla_cell_line: 0.48, Neuroepithelial_cell:ESC-derived: 0.44, Astrocyte:Embryonic_stem_cell-derived: 0.42, iPS_cells:PDB_1lox-21Puro-20: 0.41, iPS_cells:PDB_1lox-21Puro-26: 0.41, iPS_cells:PDB_2lox-22: 0.41, iPS_cells:PDB_1lox-17Puro-10: 0.4, iPS_cells:PDB_2lox-17: 0.4, iPS_cells:PDB_1lox-17Puro-5: 0.4, iPS_cells:PDB_2lox-21: 0.4 |
847_TCTTGCGGTGCCTTCT-1 | Neurons:adrenal_medulla_cell_line | 0.21 | 73.21 | Raw ScoresNeurons:adrenal_medulla_cell_line: 0.5, Astrocyte:Embryonic_stem_cell-derived: 0.44, Neuroepithelial_cell:ESC-derived: 0.43, iPS_cells:PDB_1lox-21Puro-20: 0.4, iPS_cells:PDB_1lox-21Puro-26: 0.4, iPS_cells:PDB_1lox-17Puro-10: 0.4, iPS_cells:PDB_2lox-22: 0.4, iPS_cells:PDB_1lox-17Puro-5: 0.4, iPS_cells:PDB_2lox-17: 0.39, iPS_cells:PDB_2lox-21: 0.39 |
837_CGTCAAAAGAGAATCT-1 | iPS_cells:adipose_stem_cells | 0.14 | 71.02 | Raw ScoresSmooth_muscle_cells:vascular:IL-17: 0.44, iPS_cells:adipose_stem_cells: 0.44, Smooth_muscle_cells:vascular: 0.44, Fibroblasts:breast: 0.43, Tissue_stem_cells:BM_MSC:BMP2: 0.43, iPS_cells:CRL2097_foreskin: 0.43, MSC: 0.43, Tissue_stem_cells:BM_MSC:TGFb3: 0.43, Tissue_stem_cells:BM_MSC: 0.43, iPS_cells:foreskin_fibrobasts: 0.43 |
847_TTTGATCCAACGCATT-1 | Neurons:adrenal_medulla_cell_line | 0.21 | 69.99 | Raw ScoresNeurons:adrenal_medulla_cell_line: 0.48, Neuroepithelial_cell:ESC-derived: 0.42, Astrocyte:Embryonic_stem_cell-derived: 0.42, iPS_cells:PDB_1lox-21Puro-20: 0.39, iPS_cells:PDB_1lox-21Puro-26: 0.39, iPS_cells:PDB_1lox-17Puro-10: 0.39, iPS_cells:PDB_1lox-17Puro-5: 0.38, iPS_cells:PDB_2lox-22: 0.38, Embryonic_stem_cells: 0.38, Neurons:ES_cell-derived_neural_precursor: 0.38 |
853_CGTAAGTTCTAGTCAG-1 | Neurons:adrenal_medulla_cell_line | 0.19 | 69.03 | Raw ScoresNeurons:adrenal_medulla_cell_line: 0.48, Neuroepithelial_cell:ESC-derived: 0.46, Tissue_stem_cells:CD326-CD56+: 0.43, Embryonic_stem_cells: 0.43, iPS_cells:PDB_2lox-22: 0.43, iPS_cells:adipose_stem_cell-derived:minicircle-derived: 0.42, iPS_cells:PDB_1lox-21Puro-20: 0.42, Astrocyte:Embryonic_stem_cell-derived: 0.42, iPS_cells:PDB_2lox-21: 0.42, iPS_cells:CRL2097_foreskin-derived:undiff.: 0.42 |
839_TCTGGCTCACGTAGTT-1 | Neurons:Schwann_cell | 0.17 | 68.80 | Raw ScoresNeurons:Schwann_cell: 0.45, MSC: 0.39, Astrocyte:Embryonic_stem_cell-derived: 0.39, Fibroblasts:breast: 0.39, Neuroepithelial_cell:ESC-derived: 0.39, Tissue_stem_cells:lipoma-derived_MSC: 0.38, Fibroblasts:foreskin: 0.38, Tissue_stem_cells:iliac_MSC: 0.38, iPS_cells:adipose_stem_cells: 0.38, Tissue_stem_cells:adipose-derived_MSC_AM3: 0.38 |
853_TGCTTCGAGTGGATTA-1 | Neurons:adrenal_medulla_cell_line | 0.17 | 67.23 | Raw ScoresNeurons:adrenal_medulla_cell_line: 0.42, Neuroepithelial_cell:ESC-derived: 0.41, Astrocyte:Embryonic_stem_cell-derived: 0.38, Embryonic_stem_cells: 0.38, Neurons:ES_cell-derived_neural_precursor: 0.37, iPS_cells:PDB_1lox-21Puro-26: 0.37, iPS_cells:PDB_1lox-21Puro-20: 0.37, iPS_cells:PDB_1lox-17Puro-10: 0.37, iPS_cells:PDB_1lox-17Puro-5: 0.37, iPS_cells:PDB_2lox-22: 0.37 |
849_AATTTCCAGTCTGGAG-1 | Fibroblasts:breast | 0.22 | 63.58 | Raw ScoresFibroblasts:breast: 0.43, Smooth_muscle_cells:bronchial: 0.43, Smooth_muscle_cells:bronchial:vit_D: 0.42, Osteoblasts: 0.42, iPS_cells:adipose_stem_cells: 0.42, Smooth_muscle_cells:vascular: 0.42, Chondrocytes:MSC-derived: 0.41, Smooth_muscle_cells:vascular:IL-17: 0.41, iPS_cells:CRL2097_foreskin: 0.41, Tissue_stem_cells:BM_MSC:TGFb3: 0.41 |
837_TCCTTCTAGTTTAGGA-1 | Neurons:adrenal_medulla_cell_line | 0.17 | 62.81 | Raw ScoresNeurons:adrenal_medulla_cell_line: 0.41, Neuroepithelial_cell:ESC-derived: 0.39, Astrocyte:Embryonic_stem_cell-derived: 0.37, MSC: 0.37, iPS_cells:adipose_stem_cells: 0.36, Smooth_muscle_cells:vascular:IL-17: 0.36, Smooth_muscle_cells:vascular: 0.36, Smooth_muscle_cells:umbilical_vein: 0.35, Neurons:Schwann_cell: 0.35, Fibroblasts:breast: 0.35 |
849_CGGGACTAGGGCTAAC-1 | iPS_cells:adipose_stem_cells | 0.13 | 60.26 | Raw ScoresiPS_cells:adipose_stem_cells: 0.39, Tissue_stem_cells:iliac_MSC: 0.39, Fibroblasts:breast: 0.39, Smooth_muscle_cells:vascular: 0.39, Smooth_muscle_cells:bronchial:vit_D: 0.39, Osteoblasts: 0.39, Smooth_muscle_cells:vascular:IL-17: 0.38, Smooth_muscle_cells:bronchial: 0.38, Tissue_stem_cells:BM_MSC:BMP2: 0.38, Chondrocytes:MSC-derived: 0.38 |
847_GTGTTCCAGCGTGCTC-1 | Epithelial_cells:bladder | 0.10 | 60.13 | Raw ScoresEpithelial_cells:bladder: 0.33, Keratinocytes:IL19: 0.33, Keratinocytes:IL26: 0.33, Keratinocytes: 0.33, Keratinocytes:IL20: 0.32, Keratinocytes:KGF: 0.32, Keratinocytes:IL24: 0.32, Keratinocytes:IL1b: 0.32, Keratinocytes:IL22: 0.32, Keratinocytes:IFNg: 0.32 |
847_GATCGTACATCCTCAC-1 | Epithelial_cells:bladder | 0.14 | 59.40 | Raw ScoresEpithelial_cells:bladder: 0.44, Epithelial_cells:bronchial: 0.41, Keratinocytes:IL22: 0.41, Keratinocytes:IL19: 0.41, Keratinocytes:IL24: 0.41, Keratinocytes:IL1b: 0.41, Keratinocytes:IL20: 0.41, Keratinocytes:IL26: 0.41, Keratinocytes: 0.41, Keratinocytes:KGF: 0.41 |
883_ATACTTCCATATGCGT-1 | Neurons:Schwann_cell | 0.15 | 59.35 | Raw ScoresNeurons:Schwann_cell: 0.37, iPS_cells:adipose_stem_cells: 0.32, iPS_cells:CRL2097_foreskin: 0.32, Fibroblasts:breast: 0.31, Smooth_muscle_cells:vascular:IL-17: 0.31, Chondrocytes:MSC-derived: 0.31, Tissue_stem_cells:BM_MSC:TGFb3: 0.31, Smooth_muscle_cells:vascular: 0.31, MSC: 0.31, Tissue_stem_cells:BM_MSC: 0.31 |
853_AGCTACACATTCACCC-1 | Neurons:adrenal_medulla_cell_line | 0.18 | 55.75 | Raw ScoresNeurons:adrenal_medulla_cell_line: 0.42, Neuroepithelial_cell:ESC-derived: 0.41, Astrocyte:Embryonic_stem_cell-derived: 0.38, Embryonic_stem_cells: 0.38, Neurons:ES_cell-derived_neural_precursor: 0.37, iPS_cells:PDB_1lox-21Puro-20: 0.37, iPS_cells:PDB_1lox-21Puro-26: 0.37, Tissue_stem_cells:CD326-CD56+: 0.37, iPS_cells:PDB_1lox-17Puro-10: 0.37, iPS_cells:PDB_2lox-22: 0.37 |
853_CAGTGCGTCCATATGG-1 | Neurons:adrenal_medulla_cell_line | 0.14 | 55.75 | Raw ScoresNeurons:adrenal_medulla_cell_line: 0.36, Neuroepithelial_cell:ESC-derived: 0.35, Astrocyte:Embryonic_stem_cell-derived: 0.33, Embryonic_stem_cells: 0.33, Tissue_stem_cells:CD326-CD56+: 0.32, iPS_cells:PDB_2lox-22: 0.32, iPS_cells:PDB_1lox-17Puro-5: 0.32, MSC: 0.32, iPS_cells:PDB_1lox-21Puro-26: 0.32, Neurons:Schwann_cell: 0.32 |
831_AGCGTATGTCATATGC-1 | Smooth_muscle_cells:vascular | 0.15 | 55.43 | Raw ScoresiPS_cells:adipose_stem_cells: 0.4, Fibroblasts:breast: 0.39, Smooth_muscle_cells:vascular: 0.39, Tissue_stem_cells:BM_MSC:TGFb3: 0.39, Osteoblasts: 0.39, Chondrocytes:MSC-derived: 0.39, Smooth_muscle_cells:vascular:IL-17: 0.38, Tissue_stem_cells:BM_MSC:BMP2: 0.38, Tissue_stem_cells:iliac_MSC: 0.38, Tissue_stem_cells:BM_MSC: 0.38 |
839_GTTACCCCACGCGCTA-1 | Monocyte:leukotriene_D4 | 0.12 | 52.58 | Raw ScoresMonocyte:leukotriene_D4: 0.34, Monocyte:CD16-: 0.34, Monocyte: 0.34, Monocyte:anti-FcgRIIB: 0.34, Monocyte:CD14+: 0.34, Macrophage:monocyte-derived:M-CSF: 0.33, Macrophage:monocyte-derived:M-CSF/IFNg: 0.33, Macrophage:monocyte-derived:M-CSF/IFNg/Pam3Cys: 0.33, DC:monocyte-derived:anti-DC-SIGN_2h: 0.33, Monocyte:CD16+: 0.33 |
853_GTAGCTAAGAAGTCTA-1 | Neurons:adrenal_medulla_cell_line | 0.16 | 52.16 | Raw ScoresNeurons:adrenal_medulla_cell_line: 0.46, Neuroepithelial_cell:ESC-derived: 0.42, iPS_cells:PDB_2lox-22: 0.41, iPS_cells:PDB_2lox-17: 0.41, iPS_cells:PDB_2lox-21: 0.41, iPS_cells:CRL2097_foreskin-derived:undiff.: 0.41, iPS_cells:PDB_2lox-5: 0.41, iPS_cells:PDB_1lox-21Puro-20: 0.41, iPS_cells:iPS:minicircle-derived: 0.41, iPS_cells:adipose_stem_cell-derived:minicircle-derived: 0.41 |
Below shows the significant enrichments of this GEP for literature curated gene lists
This data was procured from existing single cell RNA-seq maps of neuroblastoma or related relevant data.
High ranks indicate this gene is a driver of this GEP.
These curated gene list are ranked by the P-value (on this GEP) of their constituent genes.
The Mean Count column shows the mean read count in cells scoring highly (H > 50) on this gene expression program.
Genes | Weight | Rank | GTEx | DepMap | Decartes | Mean.Counts | Mean.TPM |
---|---|---|---|---|---|---|---|
ACTA2 | 0.0162862 | 1 | GTEx | DepMap | Descartes | 50.87 | 1192.62 |
ACTG2 | 0.0160896 | 2 | GTEx | DepMap | Descartes | 5.12 | 69.58 |
TAGLN | 0.0155174 | 3 | GTEx | DepMap | Descartes | 39.27 | 2214.85 |
MYL9 | 0.0144375 | 5 | GTEx | DepMap | Descartes | 6.88 | 447.28 |
RGS5 | 0.0127273 | 8 | GTEx | DepMap | Descartes | 29.13 | 465.03 |
MYH11 | 0.0125806 | 9 | GTEx | DepMap | Descartes | 4.03 | 19.82 |
TPM1 | 0.0121678 | 10 | GTEx | DepMap | Descartes | 19.56 | 263.74 |
TPM2 | 0.0105151 | 17 | GTEx | DepMap | Descartes | 10.74 | 422.47 |
MYLK | 0.0104591 | 18 | GTEx | DepMap | Descartes | 3.92 | 7.22 |
COL4A1 | 0.0079416 | 34 | GTEx | DepMap | Descartes | 24.05 | 96.19 |
TNC | 0.0069365 | 44 | GTEx | DepMap | Descartes | 3.71 | 14.49 |
COL14A1 | 0.0062835 | 50 | GTEx | DepMap | Descartes | 5.97 | 12.77 |
IGFBP7 | 0.0059450 | 56 | GTEx | DepMap | Descartes | 59.25 | 458.18 |
COL5A1 | 0.0050707 | 73 | GTEx | DepMap | Descartes | 5.84 | 13.90 |
THBS1 | 0.0050618 | 74 | GTEx | DepMap | Descartes | 7.28 | 181.69 |
COL1A1 | 0.0049237 | 79 | GTEx | DepMap | Descartes | 53.75 | 1183.58 |
COL15A1 | 0.0049181 | 80 | GTEx | DepMap | Descartes | 5.59 | 25.12 |
BGN | 0.0048465 | 84 | GTEx | DepMap | Descartes | 15.76 | 577.89 |
COL1A2 | 0.0038539 | 122 | GTEx | DepMap | Descartes | 46.55 | 472.24 |
COL5A2 | 0.0037785 | 129 | GTEx | DepMap | Descartes | 9.92 | 34.92 |
FN1 | 0.0036178 | 142 | GTEx | DepMap | Descartes | 30.97 | 197.27 |
TGFB2 | 0.0034378 | 153 | GTEx | DepMap | Descartes | 1.71 | 9.13 |
THY1 | 0.0033775 | 159 | GTEx | DepMap | Descartes | 1.23 | 133.26 |
ITGA7 | 0.0029359 | 192 | GTEx | DepMap | Descartes | 0.69 | 15.20 |
COL8A1 | 0.0029288 | 193 | GTEx | DepMap | Descartes | 5.69 | 19.34 |
COL12A1 | 0.0028586 | 201 | GTEx | DepMap | Descartes | 3.53 | 11.89 |
PGF | 0.0028031 | 206 | GTEx | DepMap | Descartes | 1.31 | 48.46 |
CNN2 | 0.0026525 | 221 | GTEx | DepMap | Descartes | 2.13 | 105.96 |
THBS2 | 0.0024700 | 245 | GTEx | DepMap | Descartes | 1.46 | 23.36 |
POSTN | 0.0021939 | 285 | GTEx | DepMap | Descartes | 12.50 | 228.62 |
COL3A1 | 0.0018736 | 345 | GTEx | DepMap | Descartes | 59.24 | 584.96 |
VCAN | 0.0014632 | 427 | GTEx | DepMap | Descartes | 1.71 | 7.27 |
LUM | 0.0010754 | 599 | GTEx | DepMap | Descartes | 1.97 | 94.64 |
CNN3 | 0.0010745 | 600 | GTEx | DepMap | Descartes | 2.58 | 30.88 |
DCN | 0.0009394 | 690 | GTEx | DepMap | Descartes | 8.06 | 86.52 |
MEF2C | 0.0008332 | 772 | GTEx | DepMap | Descartes | 1.77 | 6.30 |
COL11A1 | 0.0007796 | 826 | GTEx | DepMap | Descartes | 0.93 | 1.59 |
HOPX | 0.0007761 | 829 | GTEx | DepMap | Descartes | 0.43 | 7.01 |
WNT5A | 0.0004915 | 1274 | GTEx | DepMap | Descartes | 0.56 | 11.96 |
IGFBP3 | 0.0004710 | 1320 | GTEx | DepMap | Descartes | 5.84 | 184.91 |
MMP11 | 0.0004180 | 1475 | GTEx | DepMap | Descartes | 0.20 | 6.97 |
TGFB1 | 0.0003783 | 1588 | GTEx | DepMap | Descartes | 1.31 | 29.20 |
TGFBR2 | 0.0002653 | 2122 | GTEx | DepMap | Descartes | 1.42 | 6.48 |
MMP2 | 0.0001518 | 3078 | GTEx | DepMap | Descartes | 1.28 | 19.74 |
VEGFA | 0.0000764 | 4227 | GTEx | DepMap | Descartes | 0.64 | 19.97 |
TGFBR1 | 0.0000674 | 4409 | GTEx | DepMap | Descartes | 0.53 | 2.83 |
TMEM119 | 0.0000064 | 6354 | GTEx | DepMap | Descartes | 0.61 | 25.60 |
COL13A1 | -0.0000815 | 15343 | GTEx | DepMap | Descartes | 0.03 | 0.05 |
COL10A1 | -0.0001047 | 16408 | GTEx | DepMap | Descartes | 0.24 | 19.65 |
Mesenchymal Fig 1D (Olsen)
Selected mesenchymal marker genes shown in Fig. 1D of Olsen et al. https://www.biorxiv.org/content/10.1101/2020.05.04.077057v1 - these are highly expressed in their mesenchymal cluster on their UMAP.:
Wilcoxon ranksum test P-value for gene set overrepresentation: 1.05e-09
Mean rank of genes in gene set: 430.23
Rank on gene expression program of genes in gene set:
Genes | Weight | Rank | GTEx | DepMap | Decartes | Mean.Counts | Mean.TPM |
---|---|---|---|---|---|---|---|
MGP | 0.0069101 | 45 | GTEx | DepMap | Descartes | 36.31 | 5104.67 |
PRRX1 | 0.0065558 | 48 | GTEx | DepMap | Descartes | 1.78 | 11.68 |
COL6A2 | 0.0060179 | 55 | GTEx | DepMap | Descartes | 3.66 | 66.55 |
SPARC | 0.0052306 | 68 | GTEx | DepMap | Descartes | 85.71 | 1093.93 |
CALD1 | 0.0050413 | 75 | GTEx | DepMap | Descartes | 17.77 | 43.20 |
COL1A1 | 0.0049237 | 79 | GTEx | DepMap | Descartes | 53.75 | 1183.58 |
BGN | 0.0048465 | 84 | GTEx | DepMap | Descartes | 15.76 | 577.89 |
COL1A2 | 0.0038539 | 122 | GTEx | DepMap | Descartes | 46.55 | 472.24 |
COL3A1 | 0.0018736 | 345 | GTEx | DepMap | Descartes | 59.24 | 584.96 |
LUM | 0.0010754 | 599 | GTEx | DepMap | Descartes | 1.97 | 94.64 |
DCN | 0.0009394 | 690 | GTEx | DepMap | Descartes | 8.06 | 86.52 |
PDGFRA | 0.0003846 | 1569 | GTEx | DepMap | Descartes | 0.76 | 9.07 |
LEPR | 0.0003228 | 1814 | GTEx | DepMap | Descartes | 0.03 | 0.26 |
Bridge region mesencchymal (Olsen)
Marker genes shown in Fig. 3A of Olsen et al. https://www.biorxiv.org/content/10.1101/2020.05.04.077057v1 - Cells were ordered by pseudotime in the bridge region, this first group of cells were from the mesenchymal part of the trajectory.:
Wilcoxon ranksum test P-value for gene set overrepresentation: 3.01e-06
Mean rank of genes in gene set: 2886.69
Rank on gene expression program of genes in gene set:
Genes | Weight | Rank | GTEx | DepMap | Decartes | Mean.Counts | Mean.TPM |
---|---|---|---|---|---|---|---|
PRRX1 | 0.0065558 | 48 | GTEx | DepMap | Descartes | 1.78 | 11.68 |
CALD1 | 0.0050413 | 75 | GTEx | DepMap | Descartes | 17.77 | 43.20 |
BGN | 0.0048465 | 84 | GTEx | DepMap | Descartes | 15.76 | 577.89 |
COL1A2 | 0.0038539 | 122 | GTEx | DepMap | Descartes | 46.55 | 472.24 |
LUM | 0.0010754 | 599 | GTEx | DepMap | Descartes | 1.97 | 94.64 |
MAFF | 0.0008123 | 796 | GTEx | DepMap | Descartes | 0.31 | 9.45 |
TNNT2 | 0.0004735 | 1316 | GTEx | DepMap | Descartes | 0.22 | 4.93 |
PDGFRA | 0.0003846 | 1569 | GTEx | DepMap | Descartes | 0.76 | 9.07 |
NPNT | 0.0003470 | 1718 | GTEx | DepMap | Descartes | 0.11 | 0.44 |
FGF1 | 0.0001297 | 3348 | GTEx | DepMap | Descartes | 0.04 | 0.31 |
MYC | 0.0000825 | 4107 | GTEx | DepMap | Descartes | 0.31 | 18.33 |
PODXL | 0.0000195 | 5759 | GTEx | DepMap | Descartes | 0.24 | 1.57 |
KLF4 | -0.0001525 | 17986 | GTEx | DepMap | Descartes | 0.50 | 25.62 |
Below shows ranks on this GEP for literature curated gene lists for large gene sets
These include those reported as mesenchymal/adrenergic by Van Groningen et al.
High ranks indicate this gene is a driver of this GEP (note these results are not ordered).
The Mean Count column shows the mean read count in cells scoring highly (H > 50) on this gene expression program.
VanGroningen Adrenergic Genes
Adrenergic marker genes from Supplementary Table 2 of Van Groningen et al. Nature Genetics 2017. These genes were identified by differential expression analysis of mesenchymal-like and adrenergic-like neuroblastoma cell lines.
Wilcoxon ranksum test P-value for gene set overrepresentation: 1.00e+00
Mean rank of genes in gene set: 16381.15
Median rank of genes in gene set: 19148.5
Rank on gene expression program of top 30 genes in gene set:
Genes | Weight | Rank | GTEx | DepMap | Descartes | Mean.Counts | Mean.TPM |
---|---|---|---|---|---|---|---|
RGS5 | 0.0127273 | 8 | GTEx | DepMap | Descartes | 29.13 | 465.03 |
SYNPO2 | 0.0034712 | 150 | GTEx | DepMap | Descartes | 0.25 | 0.87 |
CYGB | 0.0021244 | 302 | GTEx | DepMap | Descartes | 2.59 | 163.32 |
ARHGEF7 | 0.0014227 | 441 | GTEx | DepMap | Descartes | 1.27 | 4.89 |
SLIT3 | 0.0010992 | 592 | GTEx | DepMap | Descartes | 1.54 | 1.27 |
AKAP12 | 0.0008153 | 793 | GTEx | DepMap | Descartes | 1.95 | 8.96 |
CD200 | 0.0006530 | 967 | GTEx | DepMap | Descartes | 2.14 | 34.31 |
SHC3 | 0.0006419 | 989 | GTEx | DepMap | Descartes | 0.00 | 0.00 |
GRB10 | 0.0004551 | 1372 | GTEx | DepMap | Descartes | 0.94 | 3.07 |
FAM107B | 0.0004426 | 1403 | GTEx | DepMap | Descartes | 0.42 | 0.66 |
CKB | 0.0003992 | 1517 | GTEx | DepMap | Descartes | 2.66 | 312.05 |
KLHL23 | 0.0003984 | 1520 | GTEx | DepMap | Descartes | 0.61 | 18.56 |
RNF150 | 0.0003103 | 1865 | GTEx | DepMap | Descartes | 0.16 | 0.24 |
DUSP4 | 0.0003059 | 1892 | GTEx | DepMap | Descartes | 0.03 | 0.55 |
ENO2 | 0.0002710 | 2089 | GTEx | DepMap | Descartes | 0.03 | 1.37 |
HEY1 | 0.0002534 | 2192 | GTEx | DepMap | Descartes | 0.28 | 25.18 |
GGH | 0.0002497 | 2222 | GTEx | DepMap | Descartes | 0.99 | 15.33 |
AP1S2 | 0.0002270 | 2401 | GTEx | DepMap | Descartes | 0.59 | 9.21 |
HS6ST2 | 0.0002207 | 2443 | GTEx | DepMap | Descartes | 0.21 | 0.23 |
ABLIM1 | 0.0002114 | 2518 | GTEx | DepMap | Descartes | 0.39 | 0.49 |
MAGI3 | 0.0002039 | 2569 | GTEx | DepMap | Descartes | 0.28 | 0.56 |
RBMS3 | 0.0001996 | 2613 | GTEx | DepMap | Descartes | 1.50 | 0.43 |
CDC42EP3 | 0.0001946 | 2656 | GTEx | DepMap | Descartes | 0.64 | 8.22 |
PIK3R1 | 0.0001747 | 2843 | GTEx | DepMap | Descartes | 1.92 | 9.70 |
GLRX | 0.0001492 | 3120 | GTEx | DepMap | Descartes | 0.38 | 14.54 |
LEPROTL1 | 0.0001393 | 3230 | GTEx | DepMap | Descartes | 1.21 | 36.78 |
RNF144A | 0.0001324 | 3313 | GTEx | DepMap | Descartes | 0.43 | 1.58 |
NBEA | 0.0001256 | 3416 | GTEx | DepMap | Descartes | 0.65 | 0.50 |
ADRBK2 | 0.0000943 | 3900 | GTEx | DepMap | Descartes | 0.05 | NA |
FBXO8 | 0.0000898 | 3977 | GTEx | DepMap | Descartes | 0.22 | 1.87 |
VanGroningen Mesenchymal Genes
Mesenchymal marker genes from Supplementary Table 2 of Van Groningen et al. Nature Genetics 2017. These genes were identified by differential expression analysis of mesenchymal-like and adrenergic-like neuroblastoma cell lines.
Wilcoxon ranksum test P-value for gene set overrepresentation: 1.43e-115
Mean rank of genes in gene set: 4125.56
Median rank of genes in gene set: 1485
Rank on gene expression program of top 30 genes in gene set:
Genes | Weight | Rank | GTEx | DepMap | Descartes | Mean.Counts | Mean.TPM |
---|---|---|---|---|---|---|---|
ACTA2 | 0.0162862 | 1 | GTEx | DepMap | Descartes | 50.87 | 1192.62 |
TPM1 | 0.0121678 | 10 | GTEx | DepMap | Descartes | 19.56 | 263.74 |
TPM2 | 0.0105151 | 17 | GTEx | DepMap | Descartes | 10.74 | 422.47 |
COL6A3 | 0.0096976 | 22 | GTEx | DepMap | Descartes | 4.65 | 24.63 |
COL4A1 | 0.0079416 | 34 | GTEx | DepMap | Descartes | 24.05 | 96.19 |
COL4A2 | 0.0075472 | 36 | GTEx | DepMap | Descartes | 12.24 | 40.59 |
TNC | 0.0069365 | 44 | GTEx | DepMap | Descartes | 3.71 | 14.49 |
MGP | 0.0069101 | 45 | GTEx | DepMap | Descartes | 36.31 | 5104.67 |
SERPINH1 | 0.0066439 | 47 | GTEx | DepMap | Descartes | 13.83 | 628.33 |
PRRX1 | 0.0065558 | 48 | GTEx | DepMap | Descartes | 1.78 | 11.68 |
OLFML2B | 0.0061037 | 54 | GTEx | DepMap | Descartes | 2.24 | 24.22 |
COL6A2 | 0.0060179 | 55 | GTEx | DepMap | Descartes | 3.66 | 66.55 |
LPP | 0.0054970 | 61 | GTEx | DepMap | Descartes | 3.37 | 2.49 |
SPARC | 0.0052306 | 68 | GTEx | DepMap | Descartes | 85.71 | 1093.93 |
COL6A1 | 0.0051089 | 70 | GTEx | DepMap | Descartes | 6.08 | 173.81 |
COL5A1 | 0.0050707 | 73 | GTEx | DepMap | Descartes | 5.84 | 13.90 |
THBS1 | 0.0050618 | 74 | GTEx | DepMap | Descartes | 7.28 | 181.69 |
CALD1 | 0.0050413 | 75 | GTEx | DepMap | Descartes | 17.77 | 43.20 |
GPX8 | 0.0049693 | 78 | GTEx | DepMap | Descartes | 2.23 | 237.66 |
COL1A1 | 0.0049237 | 79 | GTEx | DepMap | Descartes | 53.75 | 1183.58 |
CFH | 0.0048953 | 81 | GTEx | DepMap | Descartes | 2.87 | 19.84 |
NES | 0.0048749 | 83 | GTEx | DepMap | Descartes | 1.26 | 62.41 |
BGN | 0.0048465 | 84 | GTEx | DepMap | Descartes | 15.76 | 577.89 |
FILIP1L | 0.0048030 | 85 | GTEx | DepMap | Descartes | 2.18 | 4.56 |
SPARCL1 | 0.0047975 | 86 | GTEx | DepMap | Descartes | 6.58 | 111.18 |
VCL | 0.0045670 | 96 | GTEx | DepMap | Descartes | 2.50 | 10.14 |
EDNRA | 0.0043461 | 100 | GTEx | DepMap | Descartes | 1.22 | 13.97 |
TNS1 | 0.0042260 | 105 | GTEx | DepMap | Descartes | 1.29 | 2.86 |
RHOJ | 0.0042144 | 107 | GTEx | DepMap | Descartes | 1.84 | 8.98 |
CYR61 | 0.0041570 | 109 | GTEx | DepMap | Descartes | 3.50 | NA |
Descartes adrenocortical markers
Top 50 marker genes of adrenocortical cells in the Decartes fetal adrenal single cell map (https://atlas.brotmanbaty.org/bbi/human-gene-expression-during-development/cell/adrenocortical/in/adrenal)
Wilcoxon ranksum test P-value for gene set overrepresentation: 9.99e-01
Mean rank of genes in gene set: 13282.14
Median rank of genes in gene set: 15198.5
Rank on gene expression program of top 30 genes in gene set:
Genes | Weight | Rank | GTEx | DepMap | Descartes | Mean.Counts | Mean.TPM |
---|---|---|---|---|---|---|---|
FREM2 | 0.0011882 | 536 | GTEx | DepMap | Descartes | 0.10 | 0.40 |
IGF1R | 0.0005913 | 1060 | GTEx | DepMap | Descartes | 1.00 | 1.43 |
SLC16A9 | 0.0001566 | 3024 | GTEx | DepMap | Descartes | 0.08 | 1.28 |
SCAP | 0.0001489 | 3122 | GTEx | DepMap | Descartes | 0.32 | 2.24 |
SH3PXD2B | 0.0001459 | 3145 | GTEx | DepMap | Descartes | 0.64 | 3.36 |
CYP11B1 | 0.0001041 | 3723 | GTEx | DepMap | Descartes | 0.00 | 0.00 |
CYP17A1 | 0.0000689 | 4381 | GTEx | DepMap | Descartes | 0.00 | 0.00 |
SCARB1 | 0.0000528 | 4744 | GTEx | DepMap | Descartes | 0.30 | 1.82 |
INHA | 0.0000167 | 5881 | GTEx | DepMap | Descartes | 0.03 | 2.60 |
ERN1 | 0.0000087 | 6237 | GTEx | DepMap | Descartes | 0.13 | 0.61 |
SULT2A1 | -0.0000042 | 7273 | GTEx | DepMap | Descartes | 0.00 | 0.00 |
NPC1 | -0.0000132 | 8972 | GTEx | DepMap | Descartes | 0.66 | 5.60 |
CYP11A1 | -0.0000174 | 9691 | GTEx | DepMap | Descartes | 0.00 | 0.00 |
APOC1 | -0.0000179 | 9779 | GTEx | DepMap | Descartes | 0.65 | 42.38 |
SLC1A2 | -0.0000264 | 11010 | GTEx | DepMap | Descartes | 0.03 | 0.09 |
SH3BP5 | -0.0000335 | 11821 | GTEx | DepMap | Descartes | 0.78 | 4.58 |
BAIAP2L1 | -0.0000406 | 12518 | GTEx | DepMap | Descartes | 0.14 | 0.43 |
FDX1 | -0.0000651 | 14384 | GTEx | DepMap | Descartes | 1.03 | 16.51 |
LDLR | -0.0000657 | 14433 | GTEx | DepMap | Descartes | 0.09 | 1.55 |
GSTA4 | -0.0000753 | 15010 | GTEx | DepMap | Descartes | 0.34 | 2.04 |
STAR | -0.0000764 | 15071 | GTEx | DepMap | Descartes | 0.01 | 0.12 |
CLU | -0.0000812 | 15326 | GTEx | DepMap | Descartes | 1.08 | 26.22 |
SGCZ | -0.0001013 | 16282 | GTEx | DepMap | Descartes | 0.03 | 0.00 |
TM7SF2 | -0.0001023 | 16306 | GTEx | DepMap | Descartes | 0.04 | 2.88 |
DNER | -0.0001144 | 16786 | GTEx | DepMap | Descartes | 0.01 | 0.00 |
PAPSS2 | -0.0001231 | 17093 | GTEx | DepMap | Descartes | 0.24 | 0.89 |
PDE10A | -0.0001238 | 17120 | GTEx | DepMap | Descartes | 0.15 | 0.09 |
CYB5B | -0.0001512 | 17956 | GTEx | DepMap | Descartes | 0.71 | 5.88 |
FRMD5 | -0.0001604 | 18221 | GTEx | DepMap | Descartes | 0.06 | 0.06 |
HMGCS1 | -0.0001840 | 18783 | GTEx | DepMap | Descartes | 0.79 | 14.36 |
Descartes chromaffin markers
Top 50 marker genes of chromaffin cells in the Decartes fetal adrenal single cell map (https://atlas.brotmanbaty.org/bbi/human-gene-expression-during-development/cell/chromaffin/in/adrenal)
Wilcoxon ranksum test P-value for gene set overrepresentation: 1.00e+00
Mean rank of genes in gene set: 17017.05
Median rank of genes in gene set: 18771.5
Rank on gene expression program of top 30 genes in gene set:
Genes | Weight | Rank | GTEx | DepMap | Descartes | Mean.Counts | Mean.TPM |
---|---|---|---|---|---|---|---|
SYNPO2 | 0.0034712 | 150 | GTEx | DepMap | Descartes | 0.25 | 0.87 |
GREM1 | 0.0018583 | 346 | GTEx | DepMap | Descartes | 0.10 | 1.43 |
RGMB | 0.0000734 | 4288 | GTEx | DepMap | Descartes | 0.31 | 5.24 |
EPHA6 | -0.0000271 | 11106 | GTEx | DepMap | Descartes | 0.00 | 0.00 |
TMEM132C | -0.0000330 | 11769 | GTEx | DepMap | Descartes | 0.02 | 0.01 |
ANKFN1 | -0.0000576 | 13874 | GTEx | DepMap | Descartes | 0.00 | 0.00 |
RPH3A | -0.0000595 | 14007 | GTEx | DepMap | Descartes | 0.00 | 0.00 |
RYR2 | -0.0000599 | 14034 | GTEx | DepMap | Descartes | 0.05 | 0.02 |
GAL | -0.0000601 | 14051 | GTEx | DepMap | Descartes | 0.91 | 32.11 |
MAB21L1 | -0.0000726 | 14836 | GTEx | DepMap | Descartes | 0.00 | 0.00 |
HS3ST5 | -0.0000751 | 14991 | GTEx | DepMap | Descartes | 0.05 | 0.02 |
PTCHD1 | -0.0000781 | 15170 | GTEx | DepMap | Descartes | 0.08 | 0.19 |
IL7 | -0.0000812 | 15328 | GTEx | DepMap | Descartes | 0.02 | 0.17 |
ALK | -0.0000854 | 15542 | GTEx | DepMap | Descartes | 0.02 | 0.00 |
SLC6A2 | -0.0000908 | 15797 | GTEx | DepMap | Descartes | 0.00 | 0.00 |
FAT3 | -0.0000931 | 15907 | GTEx | DepMap | Descartes | 0.08 | 0.04 |
PRPH | -0.0001241 | 17126 | GTEx | DepMap | Descartes | 0.33 | 17.47 |
HMX1 | -0.0001411 | 17664 | GTEx | DepMap | Descartes | 0.13 | 2.96 |
EYA4 | -0.0001446 | 17768 | GTEx | DepMap | Descartes | 0.04 | 0.04 |
NTRK1 | -0.0001472 | 17847 | GTEx | DepMap | Descartes | 0.03 | 0.69 |
SLC44A5 | -0.0001476 | 17859 | GTEx | DepMap | Descartes | 0.04 | 0.02 |
KCNB2 | -0.0001580 | 18155 | GTEx | DepMap | Descartes | 0.06 | 0.02 |
NPY | -0.0002207 | 19388 | GTEx | DepMap | Descartes | 0.46 | 10.48 |
MARCH11 | -0.0002356 | 19578 | GTEx | DepMap | Descartes | 0.30 | 0.63 |
PLXNA4 | -0.0002423 | 19653 | GTEx | DepMap | Descartes | 0.53 | 0.18 |
RBFOX1 | -0.0002710 | 19921 | GTEx | DepMap | Descartes | 0.39 | 0.05 |
TMEFF2 | -0.0002746 | 19964 | GTEx | DepMap | Descartes | 0.25 | 0.18 |
CNKSR2 | -0.0002879 | 20085 | GTEx | DepMap | Descartes | 0.36 | 0.33 |
REEP1 | -0.0003692 | 20518 | GTEx | DepMap | Descartes | 0.48 | 0.80 |
CNTFR | -0.0003824 | 20559 | GTEx | DepMap | Descartes | 0.51 | 4.24 |
Descartes Vascular_endothelial markers
Top 50 marker genes of Vascular_endothelial cells in the Decartes fetal adrenal single cell map (https://atlas.brotmanbaty.org/bbi/human-gene-expression-during-development/cell/vascular_endothelial/in/adrenal)
Wilcoxon ranksum test P-value for gene set overrepresentation: 5.58e-05
Mean rank of genes in gene set: 6915.51
Median rank of genes in gene set: 5262
Rank on gene expression program of top 30 genes in gene set:
Genes | Weight | Rank | GTEx | DepMap | Descartes | Mean.Counts | Mean.TPM |
---|---|---|---|---|---|---|---|
GALNT15 | 0.0018256 | 349 | GTEx | DepMap | Descartes | 0.10 | 2.23 |
ECSCR | 0.0010352 | 618 | GTEx | DepMap | Descartes | 1.33 | 42.45 |
CALCRL | 0.0005660 | 1107 | GTEx | DepMap | Descartes | 0.24 | 1.28 |
NPR1 | 0.0004467 | 1393 | GTEx | DepMap | Descartes | 0.02 | 0.34 |
ARHGAP29 | 0.0003346 | 1769 | GTEx | DepMap | Descartes | 1.19 | 5.94 |
EHD3 | 0.0003102 | 1866 | GTEx | DepMap | Descartes | 0.23 | 3.74 |
CDH5 | 0.0002756 | 2063 | GTEx | DepMap | Descartes | 1.50 | 9.03 |
ESM1 | 0.0002672 | 2112 | GTEx | DepMap | Descartes | 0.48 | 14.10 |
RAMP2 | 0.0002430 | 2264 | GTEx | DepMap | Descartes | 0.91 | 22.54 |
PLVAP | 0.0001873 | 2733 | GTEx | DepMap | Descartes | 1.16 | 28.90 |
CDH13 | 0.0001809 | 2791 | GTEx | DepMap | Descartes | 0.61 | 0.19 |
TMEM88 | 0.0001775 | 2827 | GTEx | DepMap | Descartes | 0.12 | 26.71 |
FLT4 | 0.0001333 | 3298 | GTEx | DepMap | Descartes | 0.06 | 0.40 |
CLDN5 | 0.0001286 | 3368 | GTEx | DepMap | Descartes | 0.43 | 83.91 |
TIE1 | 0.0001262 | 3408 | GTEx | DepMap | Descartes | 0.24 | 4.33 |
SOX18 | 0.0001109 | 3614 | GTEx | DepMap | Descartes | 0.66 | 95.20 |
BTNL9 | 0.0001004 | 3793 | GTEx | DepMap | Descartes | 0.11 | 1.26 |
NOTCH4 | 0.0000854 | 4058 | GTEx | DepMap | Descartes | 0.23 | 3.41 |
F8 | 0.0000823 | 4116 | GTEx | DepMap | Descartes | 0.02 | 0.05 |
EFNB2 | 0.0000676 | 4400 | GTEx | DepMap | Descartes | 0.52 | 3.13 |
KDR | 0.0000423 | 4989 | GTEx | DepMap | Descartes | 0.29 | 1.83 |
CYP26B1 | 0.0000331 | 5262 | GTEx | DepMap | Descartes | 0.06 | 0.52 |
TEK | 0.0000312 | 5333 | GTEx | DepMap | Descartes | 0.12 | 0.27 |
KANK3 | 0.0000228 | 5615 | GTEx | DepMap | Descartes | 0.22 | 5.05 |
SHE | 0.0000212 | 5676 | GTEx | DepMap | Descartes | 0.04 | 0.64 |
PODXL | 0.0000195 | 5759 | GTEx | DepMap | Descartes | 0.24 | 1.57 |
PTPRB | 0.0000126 | 6064 | GTEx | DepMap | Descartes | 0.23 | 0.59 |
ROBO4 | 0.0000125 | 6070 | GTEx | DepMap | Descartes | 0.23 | 5.11 |
NR5A2 | 0.0000003 | 6776 | GTEx | DepMap | Descartes | 0.02 | 0.06 |
CEACAM1 | -0.0000090 | 8143 | GTEx | DepMap | Descartes | 0.01 | 0.16 |
Descartes stromal markers
Top 50 marker genes of stromal cells in the Decartes fetal adrenal single cell map (https://atlas.brotmanbaty.org/bbi/human-gene-expression-during-development/cell/stromal/in/adrenal)
Wilcoxon ranksum test P-value for gene set overrepresentation: 6.51e-15
Mean rank of genes in gene set: 3611.78
Median rank of genes in gene set: 690.5
Rank on gene expression program of top 30 genes in gene set:
Genes | Weight | Rank | GTEx | DepMap | Descartes | Mean.Counts | Mean.TPM |
---|---|---|---|---|---|---|---|
ACTA2 | 0.0162862 | 1 | GTEx | DepMap | Descartes | 50.87 | 1192.62 |
COL6A3 | 0.0096976 | 22 | GTEx | DepMap | Descartes | 4.65 | 24.63 |
ABCC9 | 0.0086128 | 30 | GTEx | DepMap | Descartes | 0.98 | 6.73 |
ADAMTS2 | 0.0078670 | 35 | GTEx | DepMap | Descartes | 3.09 | 6.97 |
MGP | 0.0069101 | 45 | GTEx | DepMap | Descartes | 36.31 | 5104.67 |
PRRX1 | 0.0065558 | 48 | GTEx | DepMap | Descartes | 1.78 | 11.68 |
COL1A1 | 0.0049237 | 79 | GTEx | DepMap | Descartes | 53.75 | 1183.58 |
CD248 | 0.0043677 | 97 | GTEx | DepMap | Descartes | 2.45 | 425.11 |
EDNRA | 0.0043461 | 100 | GTEx | DepMap | Descartes | 1.22 | 13.97 |
COL1A2 | 0.0038539 | 122 | GTEx | DepMap | Descartes | 46.55 | 472.24 |
ELN | 0.0029085 | 195 | GTEx | DepMap | Descartes | 4.01 | 35.98 |
COL12A1 | 0.0028586 | 201 | GTEx | DepMap | Descartes | 3.53 | 11.89 |
PCDH18 | 0.0028511 | 203 | GTEx | DepMap | Descartes | 0.34 | 13.30 |
PCOLCE | 0.0025906 | 231 | GTEx | DepMap | Descartes | 3.26 | 159.12 |
POSTN | 0.0021939 | 285 | GTEx | DepMap | Descartes | 12.50 | 228.62 |
PAMR1 | 0.0021295 | 300 | GTEx | DepMap | Descartes | 0.21 | 1.16 |
BICC1 | 0.0020758 | 309 | GTEx | DepMap | Descartes | 0.92 | 2.16 |
ITGA11 | 0.0020140 | 320 | GTEx | DepMap | Descartes | 0.11 | 0.69 |
COL3A1 | 0.0018736 | 345 | GTEx | DepMap | Descartes | 59.24 | 584.96 |
CCDC80 | 0.0017894 | 358 | GTEx | DepMap | Descartes | 3.33 | 38.04 |
LOX | 0.0012009 | 526 | GTEx | DepMap | Descartes | 1.82 | 46.50 |
LUM | 0.0010754 | 599 | GTEx | DepMap | Descartes | 1.97 | 94.64 |
DCN | 0.0009394 | 690 | GTEx | DepMap | Descartes | 8.06 | 86.52 |
ISLR | 0.0009393 | 691 | GTEx | DepMap | Descartes | 0.82 | 8.03 |
OGN | 0.0008154 | 792 | GTEx | DepMap | Descartes | 1.50 | 55.22 |
COL27A1 | 0.0007572 | 843 | GTEx | DepMap | Descartes | 0.37 | 1.41 |
CDH11 | 0.0004903 | 1278 | GTEx | DepMap | Descartes | 1.08 | 2.29 |
C7 | 0.0004718 | 1319 | GTEx | DepMap | Descartes | 0.01 | 0.02 |
IGFBP3 | 0.0004710 | 1320 | GTEx | DepMap | Descartes | 5.84 | 184.91 |
PDGFRA | 0.0003846 | 1569 | GTEx | DepMap | Descartes | 0.76 | 9.07 |
Descartes sympathoblasts markers
Top 50 marker genes of sympathoblasts cells in the Decartes fetal adrenal single cell map (https://atlas.brotmanbaty.org/bbi/human-gene-expression-during-development/cell/sympathoblasts/in/adrenal)
Wilcoxon ranksum test P-value for gene set overrepresentation: 1.00e+00
Mean rank of genes in gene set: 15094.95
Median rank of genes in gene set: 17129
Rank on gene expression program of top 30 genes in gene set:
Genes | Weight | Rank | GTEx | DepMap | Descartes | Mean.Counts | Mean.TPM |
---|---|---|---|---|---|---|---|
TBX20 | 0.0002830 | 2013 | GTEx | DepMap | Descartes | 0.08 | 0.46 |
ROBO1 | 0.0000907 | 3958 | GTEx | DepMap | Descartes | 0.25 | 0.13 |
PENK | 0.0000568 | 4644 | GTEx | DepMap | Descartes | 0.08 | 10.74 |
SLC24A2 | 0.0000336 | 5242 | GTEx | DepMap | Descartes | 0.00 | 0.00 |
GRM7 | 0.0000218 | 5660 | GTEx | DepMap | Descartes | 0.00 | 0.00 |
KCTD16 | -0.0000152 | 9318 | GTEx | DepMap | Descartes | 0.00 | 0.00 |
CDH18 | -0.0000164 | 9513 | GTEx | DepMap | Descartes | 0.00 | 0.00 |
SORCS3 | -0.0000304 | 11506 | GTEx | DepMap | Descartes | 0.01 | 0.00 |
TENM1 | -0.0000331 | 11785 | GTEx | DepMap | Descartes | 0.00 | 0.00 |
GRID2 | -0.0000340 | 11864 | GTEx | DepMap | Descartes | 0.01 | 0.00 |
SLC18A1 | -0.0000431 | 12737 | GTEx | DepMap | Descartes | 0.04 | 0.09 |
LAMA3 | -0.0000484 | 13183 | GTEx | DepMap | Descartes | 0.30 | 0.17 |
CNTN3 | -0.0000515 | 13420 | GTEx | DepMap | Descartes | 0.00 | 0.00 |
AGBL4 | -0.0000516 | 13431 | GTEx | DepMap | Descartes | 0.00 | 0.00 |
SLC35F3 | -0.0000595 | 13999 | GTEx | DepMap | Descartes | 0.00 | 0.00 |
CDH12 | -0.0000600 | 14044 | GTEx | DepMap | Descartes | 0.00 | 0.00 |
EML6 | -0.0000874 | 15634 | GTEx | DepMap | Descartes | 0.06 | 0.04 |
PNMT | -0.0000961 | 16038 | GTEx | DepMap | Descartes | 0.00 | 0.00 |
TMEM130 | -0.0001040 | 16377 | GTEx | DepMap | Descartes | 0.04 | 0.16 |
SPOCK3 | -0.0001064 | 16458 | GTEx | DepMap | Descartes | 0.09 | 0.03 |
HTATSF1 | -0.0001201 | 16984 | GTEx | DepMap | Descartes | 0.91 | 22.19 |
DGKK | -0.0001285 | 17274 | GTEx | DepMap | Descartes | 0.12 | 0.10 |
GALNTL6 | -0.0001450 | 17780 | GTEx | DepMap | Descartes | 0.07 | 0.01 |
CCSER1 | -0.0001477 | 17863 | GTEx | DepMap | Descartes | 0.07 | 0.01 |
ARC | -0.0001490 | 17904 | GTEx | DepMap | Descartes | 0.07 | 3.06 |
CHGB | -0.0001518 | 17967 | GTEx | DepMap | Descartes | 5.30 | 44.54 |
ST18 | -0.0001534 | 18006 | GTEx | DepMap | Descartes | 0.13 | 0.04 |
NTNG1 | -0.0001592 | 18184 | GTEx | DepMap | Descartes | 0.02 | 0.03 |
MGAT4C | -0.0001623 | 18270 | GTEx | DepMap | Descartes | 0.08 | 0.02 |
PACRG | -0.0001675 | 18412 | GTEx | DepMap | Descartes | 0.04 | 0.01 |
Descartes erythroblasts markers
Top 50 marker genes of erythroblasts cells in the Decartes fetal adrenal single cell map (https://atlas.brotmanbaty.org/bbi/human-gene-expression-during-development/cell/erythroblasts/in/adrenal)
Wilcoxon ranksum test P-value for gene set overrepresentation: 2.54e-02
Mean rank of genes in gene set: 8479.91
Median rank of genes in gene set: 6972
Rank on gene expression program of top 30 genes in gene set:
Genes | Weight | Rank | GTEx | DepMap | Descartes | Mean.Counts | Mean.TPM |
---|---|---|---|---|---|---|---|
SPECC1 | 0.0013557 | 468 | GTEx | DepMap | Descartes | 0.45 | 0.83 |
RAPGEF2 | 0.0008938 | 722 | GTEx | DepMap | Descartes | 0.50 | 1.36 |
MICAL2 | 0.0008584 | 753 | GTEx | DepMap | Descartes | 0.48 | 1.11 |
GYPC | 0.0007140 | 892 | GTEx | DepMap | Descartes | 0.13 | 1.90 |
CR1L | 0.0004431 | 1402 | GTEx | DepMap | Descartes | 0.92 | 9.36 |
TRAK2 | 0.0003742 | 1608 | GTEx | DepMap | Descartes | 0.48 | 3.22 |
CAT | 0.0002513 | 2209 | GTEx | DepMap | Descartes | 0.34 | 4.09 |
BLVRB | 0.0002170 | 2466 | GTEx | DepMap | Descartes | 0.83 | 19.16 |
FECH | 0.0001889 | 2712 | GTEx | DepMap | Descartes | 0.27 | 3.02 |
DENND4A | 0.0001573 | 3015 | GTEx | DepMap | Descartes | 0.25 | 1.52 |
SPTA1 | 0.0001536 | 3054 | GTEx | DepMap | Descartes | 0.01 | 0.02 |
ABCB10 | 0.0001479 | 3129 | GTEx | DepMap | Descartes | 0.16 | 2.17 |
RGS6 | 0.0001288 | 3364 | GTEx | DepMap | Descartes | 0.02 | 0.03 |
MARCH3 | 0.0000853 | 4063 | GTEx | DepMap | Descartes | 0.02 | 0.05 |
SLC25A37 | 0.0000515 | 4775 | GTEx | DepMap | Descartes | 0.24 | 1.23 |
CPOX | 0.0000487 | 4829 | GTEx | DepMap | Descartes | 0.35 | 2.17 |
RHD | -0.0000014 | 6949 | GTEx | DepMap | Descartes | 0.00 | 0.00 |
SLC4A1 | -0.0000015 | 6972 | GTEx | DepMap | Descartes | 0.00 | 0.00 |
EPB42 | -0.0000118 | 8680 | GTEx | DepMap | Descartes | 0.00 | 0.00 |
GYPA | -0.0000160 | 9439 | GTEx | DepMap | Descartes | 0.00 | 0.00 |
HEMGN | -0.0000197 | 10051 | GTEx | DepMap | Descartes | 0.00 | 0.00 |
EPB41 | -0.0000219 | 10372 | GTEx | DepMap | Descartes | 0.54 | 1.25 |
SLC25A21 | -0.0000269 | 11087 | GTEx | DepMap | Descartes | 0.00 | 0.00 |
SELENBP1 | -0.0000300 | 11463 | GTEx | DepMap | Descartes | 0.11 | 6.06 |
TFR2 | -0.0000308 | 11551 | GTEx | DepMap | Descartes | 0.03 | 0.89 |
SOX6 | -0.0000528 | 13519 | GTEx | DepMap | Descartes | 0.33 | 0.24 |
ALAS2 | -0.0000719 | 14799 | GTEx | DepMap | Descartes | 0.08 | 0.72 |
ANK1 | -0.0000862 | 15583 | GTEx | DepMap | Descartes | 0.02 | 0.03 |
TMCC2 | -0.0001089 | 16562 | GTEx | DepMap | Descartes | 0.24 | 2.29 |
TMEM56 | -0.0001157 | 16823 | GTEx | DepMap | Descartes | 0.04 | 0.24 |
Descartes myeloid markers
Top 50 marker genes of myeloid cells in the Decartes fetal adrenal single cell map (https://atlas.brotmanbaty.org/bbi/human-gene-expression-during-development/cell/myeloid/in/adrenal)
Wilcoxon ranksum test P-value for gene set overrepresentation: 3.10e-01
Mean rank of genes in gene set: 10028.24
Median rank of genes in gene set: 12817
Rank on gene expression program of top 30 genes in gene set:
Genes | Weight | Rank | GTEx | DepMap | Descartes | Mean.Counts | Mean.TPM |
---|---|---|---|---|---|---|---|
AXL | 0.0022214 | 278 | GTEx | DepMap | Descartes | 1.97 | 28.99 |
CST3 | 0.0010302 | 622 | GTEx | DepMap | Descartes | 19.77 | 2167.29 |
ADAP2 | 0.0009667 | 665 | GTEx | DepMap | Descartes | 0.18 | 4.27 |
CTSC | 0.0005381 | 1167 | GTEx | DepMap | Descartes | 2.92 | 37.29 |
RGL1 | 0.0003549 | 1683 | GTEx | DepMap | Descartes | 0.61 | 1.18 |
IFNGR1 | 0.0003426 | 1739 | GTEx | DepMap | Descartes | 1.22 | 35.63 |
ITPR2 | 0.0002822 | 2022 | GTEx | DepMap | Descartes | 0.24 | 0.21 |
SLCO2B1 | 0.0001783 | 2822 | GTEx | DepMap | Descartes | 0.03 | 0.36 |
ABCA1 | 0.0001422 | 3196 | GTEx | DepMap | Descartes | 1.01 | 4.03 |
MERTK | 0.0001346 | 3284 | GTEx | DepMap | Descartes | 0.08 | 0.23 |
FMN1 | 0.0000831 | 4097 | GTEx | DepMap | Descartes | 0.38 | 0.22 |
FGL2 | 0.0000509 | 4792 | GTEx | DepMap | Descartes | 0.18 | 11.40 |
WWP1 | 0.0000453 | 4908 | GTEx | DepMap | Descartes | 0.43 | 1.54 |
MS4A4A | 0.0000401 | 5039 | GTEx | DepMap | Descartes | 0.08 | 2.21 |
RBPJ | 0.0000005 | 6761 | GTEx | DepMap | Descartes | 0.87 | 1.65 |
LGMN | -0.0000002 | 6822 | GTEx | DepMap | Descartes | 1.82 | 14.62 |
FGD2 | -0.0000055 | 7501 | GTEx | DepMap | Descartes | 0.01 | 0.58 |
CPVL | -0.0000067 | 7715 | GTEx | DepMap | Descartes | 0.00 | 0.00 |
VSIG4 | -0.0000070 | 7767 | GTEx | DepMap | Descartes | 0.01 | 0.05 |
CD163 | -0.0000177 | 9735 | GTEx | DepMap | Descartes | 0.00 | 0.00 |
SPP1 | -0.0000223 | 10428 | GTEx | DepMap | Descartes | 2.81 | 84.35 |
CTSB | -0.0000434 | 12751 | GTEx | DepMap | Descartes | 4.43 | 59.43 |
RNASE1 | -0.0000442 | 12817 | GTEx | DepMap | Descartes | 0.00 | 0.00 |
HRH1 | -0.0000453 | 12911 | GTEx | DepMap | Descartes | 0.00 | 0.00 |
MSR1 | -0.0000489 | 13222 | GTEx | DepMap | Descartes | 0.13 | 0.84 |
ATP8B4 | -0.0000533 | 13557 | GTEx | DepMap | Descartes | 0.00 | 0.00 |
CYBB | -0.0000562 | 13781 | GTEx | DepMap | Descartes | 0.09 | 0.26 |
CTSD | -0.0000579 | 13888 | GTEx | DepMap | Descartes | 3.61 | 86.95 |
SLC9A9 | -0.0000599 | 14035 | GTEx | DepMap | Descartes | 0.01 | 0.00 |
MARCH1 | -0.0000635 | 14288 | GTEx | DepMap | Descartes | 0.00 | 0.00 |
Descartes Schwann markers
Top 50 marker genes of Schwann cells in the Decartes fetal adrenal single cell map (https://atlas.brotmanbaty.org/bbi/human-gene-expression-during-development/cell/schwann/in/adrenal)
Wilcoxon ranksum test P-value for gene set overrepresentation: 6.38e-02
Mean rank of genes in gene set: 9132.72
Median rank of genes in gene set: 7101
Rank on gene expression program of top 30 genes in gene set:
Genes | Weight | Rank | GTEx | DepMap | Descartes | Mean.Counts | Mean.TPM |
---|---|---|---|---|---|---|---|
COL18A1 | 0.0052694 | 67 | GTEx | DepMap | Descartes | 7.23 | 26.93 |
COL5A2 | 0.0037785 | 129 | GTEx | DepMap | Descartes | 9.92 | 34.92 |
LAMA4 | 0.0025882 | 232 | GTEx | DepMap | Descartes | 1.39 | 4.51 |
VIM | 0.0024071 | 256 | GTEx | DepMap | Descartes | 39.69 | 1837.39 |
EGFLAM | 0.0022179 | 280 | GTEx | DepMap | Descartes | 0.24 | 0.98 |
LAMC1 | 0.0021895 | 288 | GTEx | DepMap | Descartes | 2.47 | 10.29 |
VCAN | 0.0014632 | 427 | GTEx | DepMap | Descartes | 1.71 | 7.27 |
LAMB1 | 0.0014389 | 435 | GTEx | DepMap | Descartes | 1.61 | 10.11 |
PLCE1 | 0.0011520 | 550 | GTEx | DepMap | Descartes | 0.66 | 1.24 |
SOX5 | 0.0009461 | 684 | GTEx | DepMap | Descartes | 0.33 | 0.19 |
EDNRB | 0.0008319 | 774 | GTEx | DepMap | Descartes | 0.33 | 7.71 |
STARD13 | 0.0007305 | 876 | GTEx | DepMap | Descartes | 0.40 | 1.17 |
OLFML2A | 0.0006833 | 937 | GTEx | DepMap | Descartes | 0.75 | 13.04 |
MARCKS | 0.0005316 | 1188 | GTEx | DepMap | Descartes | 10.66 | 752.23 |
PAG1 | 0.0003096 | 1871 | GTEx | DepMap | Descartes | 0.14 | 0.44 |
ADAMTS5 | 0.0002944 | 1949 | GTEx | DepMap | Descartes | 1.66 | 16.08 |
SCN7A | 0.0002510 | 2210 | GTEx | DepMap | Descartes | 1.03 | 5.26 |
PTPRZ1 | 0.0001910 | 2690 | GTEx | DepMap | Descartes | 1.01 | 2.72 |
HMGA2 | 0.0001773 | 2830 | GTEx | DepMap | Descartes | 0.03 | 0.11 |
TRPM3 | 0.0001324 | 3309 | GTEx | DepMap | Descartes | 0.02 | 0.00 |
PMP22 | 0.0000722 | 4317 | GTEx | DepMap | Descartes | 2.64 | 35.90 |
DST | 0.0000331 | 5257 | GTEx | DepMap | Descartes | 4.65 | 3.95 |
IL1RAPL2 | 0.0000202 | 5728 | GTEx | DepMap | Descartes | 0.00 | 0.00 |
GRIK3 | -0.0000028 | 7101 | GTEx | DepMap | Descartes | 0.04 | 0.09 |
MPZ | -0.0000069 | 7756 | GTEx | DepMap | Descartes | 0.00 | 0.00 |
SFRP1 | -0.0000386 | 12329 | GTEx | DepMap | Descartes | 1.07 | 10.93 |
NRXN3 | -0.0000527 | 13506 | GTEx | DepMap | Descartes | 0.07 | 0.01 |
ERBB4 | -0.0000530 | 13538 | GTEx | DepMap | Descartes | 0.00 | 0.00 |
LRRTM4 | -0.0000578 | 13879 | GTEx | DepMap | Descartes | 0.03 | 0.00 |
COL25A1 | -0.0000708 | 14742 | GTEx | DepMap | Descartes | 0.03 | 0.02 |
Descartes Megakaryocytes markers
Top 50 marker genes of Megakaryocytes cells in the Decartes fetal adrenal single cell map (https://atlas.brotmanbaty.org/bbi/human-gene-expression-during-development/cell/megakaryocytes/in/adrenal)
Wilcoxon ranksum test P-value for gene set overrepresentation: 2.84e-06
Mean rank of genes in gene set: 6559.37
Median rank of genes in gene set: 2626
Rank on gene expression program of top 30 genes in gene set:
Genes | Weight | Rank | GTEx | DepMap | Descartes | Mean.Counts | Mean.TPM |
---|---|---|---|---|---|---|---|
MYLK | 0.0104591 | 18 | GTEx | DepMap | Descartes | 3.92 | 7.22 |
TRPC6 | 0.0087751 | 28 | GTEx | DepMap | Descartes | 0.23 | 0.94 |
THBS1 | 0.0050618 | 74 | GTEx | DepMap | Descartes | 7.28 | 181.69 |
VCL | 0.0045670 | 96 | GTEx | DepMap | Descartes | 2.50 | 10.14 |
FLNA | 0.0040917 | 111 | GTEx | DepMap | Descartes | 4.71 | 75.73 |
TPM4 | 0.0034166 | 154 | GTEx | DepMap | Descartes | 6.68 | 100.50 |
MYH9 | 0.0031123 | 180 | GTEx | DepMap | Descartes | 4.97 | 24.03 |
ACTN1 | 0.0028807 | 197 | GTEx | DepMap | Descartes | 3.50 | 13.17 |
GSN | 0.0020008 | 321 | GTEx | DepMap | Descartes | 4.55 | 48.86 |
INPP4B | 0.0014553 | 429 | GTEx | DepMap | Descartes | 0.28 | 0.19 |
TLN1 | 0.0014324 | 437 | GTEx | DepMap | Descartes | 2.76 | 35.90 |
ARHGAP6 | 0.0012860 | 493 | GTEx | DepMap | Descartes | 0.39 | 0.43 |
LIMS1 | 0.0011269 | 568 | GTEx | DepMap | Descartes | 2.63 | 10.20 |
STOM | 0.0011070 | 585 | GTEx | DepMap | Descartes | 0.55 | 13.10 |
PDE3A | 0.0009300 | 697 | GTEx | DepMap | Descartes | 2.60 | 4.21 |
SLC24A3 | 0.0007708 | 832 | GTEx | DepMap | Descartes | 0.02 | 0.01 |
TMSB4X | 0.0006497 | 975 | GTEx | DepMap | Descartes | 137.30 | 18420.11 |
ACTB | 0.0006353 | 999 | GTEx | DepMap | Descartes | 115.61 | 9203.17 |
CD9 | 0.0005564 | 1124 | GTEx | DepMap | Descartes | 8.18 | 92.77 |
ITGB3 | 0.0004898 | 1281 | GTEx | DepMap | Descartes | 0.31 | 2.10 |
LTBP1 | 0.0003962 | 1524 | GTEx | DepMap | Descartes | 0.71 | 0.91 |
ZYX | 0.0003956 | 1528 | GTEx | DepMap | Descartes | 1.55 | 40.61 |
TGFB1 | 0.0003783 | 1588 | GTEx | DepMap | Descartes | 1.31 | 29.20 |
RAP1B | 0.0003599 | 1662 | GTEx | DepMap | Descartes | 1.80 | 22.63 |
ANGPT1 | 0.0001986 | 2626 | GTEx | DepMap | Descartes | 0.21 | 0.34 |
UBASH3B | 0.0000603 | 4572 | GTEx | DepMap | Descartes | 0.10 | 0.29 |
PRKAR2B | 0.0000521 | 4761 | GTEx | DepMap | Descartes | 0.62 | 1.76 |
P2RX1 | 0.0000185 | 5792 | GTEx | DepMap | Descartes | 0.03 | 0.92 |
GP9 | -0.0000013 | 6943 | GTEx | DepMap | Descartes | 0.00 | 0.00 |
GP1BA | -0.0000051 | 7436 | GTEx | DepMap | Descartes | 0.00 | 0.00 |
Descartes Lyphoid markers
Top 50 marker genes of Lyphoid cells in the Decartes fetal adrenal single cell map (https://atlas.brotmanbaty.org/bbi/human-gene-expression-during-development/cell/lymphoid/in/adrenal)
Wilcoxon ranksum test P-value for gene set overrepresentation: 8.63e-03
Mean rank of genes in gene set: 8306.66
Median rank of genes in gene set: 6124.5
Rank on gene expression program of top 30 genes in gene set:
Genes | Weight | Rank | GTEx | DepMap | Descartes | Mean.Counts | Mean.TPM |
---|---|---|---|---|---|---|---|
ARID5B | 0.0019722 | 325 | GTEx | DepMap | Descartes | 0.96 | 2.00 |
MSN | 0.0010245 | 630 | GTEx | DepMap | Descartes | 4.53 | 23.05 |
CD44 | 0.0009296 | 698 | GTEx | DepMap | Descartes | 1.92 | 9.00 |
ETS1 | 0.0007275 | 880 | GTEx | DepMap | Descartes | 1.16 | 5.11 |
RCSD1 | 0.0006474 | 978 | GTEx | DepMap | Descartes | 0.17 | 1.43 |
CCND3 | 0.0005443 | 1149 | GTEx | DepMap | Descartes | 0.72 | 3.19 |
ARHGDIB | 0.0004965 | 1262 | GTEx | DepMap | Descartes | 0.98 | 23.59 |
ITPKB | 0.0004220 | 1468 | GTEx | DepMap | Descartes | 0.53 | 2.55 |
MBNL1 | 0.0003867 | 1558 | GTEx | DepMap | Descartes | 2.24 | 5.27 |
B2M | 0.0003841 | 1573 | GTEx | DepMap | Descartes | 6.04 | 440.06 |
SP100 | 0.0002696 | 2095 | GTEx | DepMap | Descartes | 0.45 | 3.68 |
STK39 | 0.0002448 | 2255 | GTEx | DepMap | Descartes | 0.75 | 1.21 |
PLEKHA2 | 0.0002316 | 2354 | GTEx | DepMap | Descartes | 0.23 | 2.13 |
ABLIM1 | 0.0002114 | 2518 | GTEx | DepMap | Descartes | 0.39 | 0.49 |
BCL2 | 0.0002027 | 2582 | GTEx | DepMap | Descartes | 0.40 | 1.01 |
FOXP1 | 0.0001683 | 2896 | GTEx | DepMap | Descartes | 1.97 | 1.26 |
DOCK10 | 0.0001060 | 3688 | GTEx | DepMap | Descartes | 0.33 | 0.71 |
PRKCH | 0.0000603 | 4571 | GTEx | DepMap | Descartes | 0.10 | 0.14 |
WIPF1 | 0.0000585 | 4611 | GTEx | DepMap | Descartes | 0.36 | 1.56 |
CELF2 | 0.0000396 | 5053 | GTEx | DepMap | Descartes | 0.96 | 0.38 |
ANKRD44 | 0.0000282 | 5419 | GTEx | DepMap | Descartes | 0.20 | 0.26 |
RAP1GAP2 | 0.0000118 | 6094 | GTEx | DepMap | Descartes | 0.14 | 0.20 |
ARHGAP15 | 0.0000103 | 6155 | GTEx | DepMap | Descartes | 0.03 | 0.01 |
NCALD | 0.0000084 | 6255 | GTEx | DepMap | Descartes | 0.43 | 0.47 |
SAMD3 | 0.0000010 | 6721 | GTEx | DepMap | Descartes | 0.00 | 0.00 |
SKAP1 | -0.0000078 | 7931 | GTEx | DepMap | Descartes | 0.03 | 0.02 |
SORL1 | -0.0000108 | 8509 | GTEx | DepMap | Descartes | 0.17 | 0.52 |
FYN | -0.0000187 | 9898 | GTEx | DepMap | Descartes | 0.71 | 1.46 |
NKG7 | -0.0000214 | 10298 | GTEx | DepMap | Descartes | 0.00 | 0.00 |
PITPNC1 | -0.0000375 | 12214 | GTEx | DepMap | Descartes | 0.29 | 0.34 |
Below shows the ranks on this GEP for immune marker gene lists curated by CellTypist (https://www.celltypist.org/encyclopedia).
High ranks indicate this gene is a driver of this GEP.
These curated gene list are ranked by P-value (on this GEP) of their constituent genes.
The Mean Count column shows the mean read count in cells scoring highly (H > 50) on this gene expression program.
Genes | Weight | Rank | GTEx | DepMap | Decartes | Mean.Counts | Mean.TPM |
---|---|---|---|---|---|---|---|
CH25H | 0.0016455 | 388 | GTEx | DepMap | Descartes | 0.07 | 9.79 |
HOXB5 | 0.0009724 | 661 | GTEx | DepMap | Descartes | 0.08 | 10.72 |
SOCS3 | 0.0004814 | 1295 | GTEx | DepMap | Descartes | 0.63 | 56.71 |
GPIHBP1 | 0.0001735 | 2854 | GTEx | DepMap | Descartes | 0.80 | 80.40 |
KLRB1 | 0.0000746 | 4261 | GTEx | DepMap | Descartes | 0.00 | 0.00 |
Fibroblasts: Fibroblasts (curated markers)
the most common cells of connective tissues which synthesize the extracellular matrix and collagen to maintain tissue homeostasis:
Wilcoxon ranksum test P-value for gene set overrepresentation: 1.78e-03
Mean rank of genes in gene set: 297
Rank on gene expression program of genes in gene set:
Genes | Weight | Rank | GTEx | DepMap | Decartes | Mean.Counts | Mean.TPM |
---|---|---|---|---|---|---|---|
COL1A1 | 0.0049237 | 79 | GTEx | DepMap | Descartes | 53.75 | 1183.58 |
COL1A2 | 0.0038539 | 122 | GTEx | DepMap | Descartes | 46.55 | 472.24 |
DCN | 0.0009394 | 690 | GTEx | DepMap | Descartes | 8.06 | 86.52 |
Endothelial cells: Endothelial cells (curated markers)
single-layered lining cells that constitute the interior vasculature:
Wilcoxon ranksum test P-value for gene set overrepresentation: 7.99e-03
Mean rank of genes in gene set: 2062.33
Rank on gene expression program of genes in gene set:
Genes | Weight | Rank | GTEx | DepMap | Decartes | Mean.Counts | Mean.TPM |
---|---|---|---|---|---|---|---|
SPARCL1 | 0.0047975 | 86 | GTEx | DepMap | Descartes | 6.58 | 111.18 |
PLVAP | 0.0001873 | 2733 | GTEx | DepMap | Descartes | 1.16 | 28.90 |
CLDN5 | 0.0001286 | 3368 | GTEx | DepMap | Descartes | 0.43 | 83.91 |