Program description and justification of annotation: 14.
Submit a comment on this gene expression program’s interpretation: CLICK
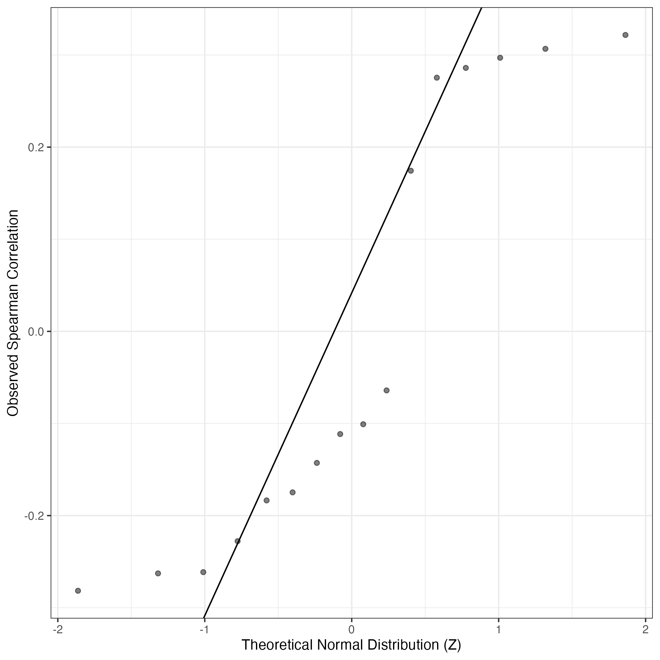
QQ-plot of gene loadings, averaged over both independent splits of the data
This plot highlights the relative contribution of each gene to the GEP
Top genes driving this program.
Note: Decartes website is buggy, try refreshing. Also, Decartes fetal adrenal data have been collected at specific time points (89-122 days), all possible cell types of interest may not be represented, do not overinterpret.
The Mean Count column shows the mean read count in cells scoring highly (H > 50) on this gene expression program.
Gene | Loading | Gene.Name | GTEx | DepMap | Descartes | Mean.Counts | Mean.Tpm | |
---|---|---|---|---|---|---|---|---|
1 | GAL | 0.0055553 | galanin and GMAP prepropeptide | GTEx | DepMap | Descartes | 47.77 | 6604.14 |
2 | RBP1 | 0.0048770 | retinol binding protein 1 | GTEx | DepMap | Descartes | 15.89 | 822.66 |
3 | TFAP2B | 0.0044063 | transcription factor AP-2 beta | GTEx | DepMap | Descartes | 6.23 | 107.08 |
4 | RGS5 | 0.0043480 | regulator of G protein signaling 5 | GTEx | DepMap | Descartes | 43.98 | 743.98 |
5 | MYCN | 0.0042865 | MYCN proto-oncogene, bHLH transcription factor | GTEx | DepMap | Descartes | 27.92 | 1154.79 |
6 | H3F3A | 0.0041646 | NA | GTEx | DepMap | Descartes | 69.00 | NA |
7 | GNAS | 0.0040779 | GNAS complex locus | GTEx | DepMap | Descartes | 44.77 | 1015.92 |
8 | ATP1B1 | 0.0040667 | ATPase Na+/K+ transporting subunit beta 1 | GTEx | DepMap | Descartes | 6.55 | 249.46 |
9 | GSTP1 | 0.0039976 | glutathione S-transferase pi 1 | GTEx | DepMap | Descartes | 29.25 | 1679.52 |
10 | ARHGDIG | 0.0039269 | Rho GDP dissociation inhibitor gamma | GTEx | DepMap | Descartes | 1.97 | 148.08 |
11 | NEFM | 0.0038670 | neurofilament medium chain | GTEx | DepMap | Descartes | 7.36 | 219.22 |
12 | PTMA | 0.0036269 | prothymosin alpha | GTEx | DepMap | Descartes | 111.83 | 6660.76 |
13 | EEF1A1 | 0.0035532 | eukaryotic translation elongation factor 1 alpha 1 | GTEx | DepMap | Descartes | 115.06 | 2306.33 |
14 | CCNI | 0.0034537 | cyclin I | GTEx | DepMap | Descartes | 13.30 | 430.88 |
15 | RPL18 | 0.0033529 | ribosomal protein L18 | GTEx | DepMap | Descartes | 69.49 | 1654.94 |
16 | TOMM20 | 0.0032739 | translocase of outer mitochondrial membrane 20 | GTEx | DepMap | Descartes | 16.63 | 467.96 |
17 | PEBP1 | 0.0032409 | phosphatidylethanolamine binding protein 1 | GTEx | DepMap | Descartes | 18.48 | 1187.21 |
18 | PHOX2A | 0.0032241 | paired like homeobox 2A | GTEx | DepMap | Descartes | 15.61 | 853.31 |
19 | NSG1 | 0.0031583 | neuronal vesicle trafficking associated 1 | GTEx | DepMap | Descartes | 3.37 | NA |
20 | SLC6A2 | 0.0030808 | solute carrier family 6 member 2 | GTEx | DepMap | Descartes | 3.95 | 115.77 |
21 | CHGB | 0.0030370 | chromogranin B | GTEx | DepMap | Descartes | 7.80 | 345.83 |
22 | DDC | 0.0029517 | dopa decarboxylase | GTEx | DepMap | Descartes | 3.34 | 173.54 |
23 | NPM1 | 0.0028185 | nucleophosmin 1 | GTEx | DepMap | Descartes | 53.31 | 3071.78 |
24 | TUBA1A | 0.0027506 | tubulin alpha 1a | GTEx | DepMap | Descartes | 29.53 | 1495.68 |
25 | IGFBP2 | 0.0027027 | insulin like growth factor binding protein 2 | GTEx | DepMap | Descartes | 10.69 | 237.36 |
26 | YBX1 | 0.0026984 | Y-box binding protein 1 | GTEx | DepMap | Descartes | 51.76 | 1634.70 |
27 | FHL2 | 0.0026743 | four and a half LIM domains 2 | GTEx | DepMap | Descartes | 1.67 | 33.85 |
28 | ALDOA | 0.0026524 | aldolase, fructose-bisphosphate A | GTEx | DepMap | Descartes | 8.92 | 236.50 |
29 | PRDX2 | 0.0026206 | peroxiredoxin 2 | GTEx | DepMap | Descartes | 17.71 | 955.49 |
30 | MLLT11 | 0.0025985 | MLLT11 transcription factor 7 cofactor | GTEx | DepMap | Descartes | 8.41 | 315.74 |
31 | MTDH | 0.0025896 | metadherin | GTEx | DepMap | Descartes | 8.03 | 97.44 |
32 | SHC1 | 0.0025118 | SHC adaptor protein 1 | GTEx | DepMap | Descartes | 3.02 | 80.45 |
33 | HEBP2 | 0.0024926 | heme binding protein 2 | GTEx | DepMap | Descartes | 3.60 | 35.39 |
34 | NUCKS1 | 0.0024851 | nuclear casein kinase and cyclin dependent kinase substrate 1 | GTEx | DepMap | Descartes | 20.32 | 296.56 |
35 | TBX3 | 0.0024622 | T-box transcription factor 3 | GTEx | DepMap | Descartes | 6.04 | 129.54 |
36 | TIMM13 | 0.0023413 | translocase of inner mitochondrial membrane 13 | GTEx | DepMap | Descartes | 12.43 | 695.92 |
37 | STMN2 | 0.0022903 | stathmin 2 | GTEx | DepMap | Descartes | 16.29 | 805.60 |
38 | MAP7 | 0.0022794 | microtubule associated protein 7 | GTEx | DepMap | Descartes | 1.28 | 30.49 |
39 | UQCRB | 0.0022558 | ubiquinol-cytochrome c reductase binding protein | GTEx | DepMap | Descartes | 11.11 | 127.19 |
40 | THSD7A | 0.0022554 | thrombospondin type 1 domain containing 7A | GTEx | DepMap | Descartes | 3.01 | 28.92 |
41 | ISOC1 | 0.0022163 | isochorismatase domain containing 1 | GTEx | DepMap | Descartes | 3.63 | 175.81 |
42 | SCG3 | 0.0022015 | secretogranin III | GTEx | DepMap | Descartes | 5.61 | 190.97 |
43 | LIX1 | 0.0021956 | limb and CNS expressed 1 | GTEx | DepMap | Descartes | 1.10 | 28.93 |
44 | CADM1 | 0.0021939 | cell adhesion molecule 1 | GTEx | DepMap | Descartes | 3.04 | 36.13 |
45 | CALM1 | 0.0021571 | calmodulin 1 | GTEx | DepMap | Descartes | 17.70 | 403.84 |
46 | RAMP1 | 0.0021445 | receptor activity modifying protein 1 | GTEx | DepMap | Descartes | 5.29 | 617.47 |
47 | CKB | 0.0021387 | creatine kinase B | GTEx | DepMap | Descartes | 12.24 | 807.90 |
48 | GNG4 | 0.0021369 | G protein subunit gamma 4 | GTEx | DepMap | Descartes | 3.93 | 77.15 |
49 | CDK6 | 0.0021305 | cyclin dependent kinase 6 | GTEx | DepMap | Descartes | 6.07 | 48.71 |
50 | TSPO | 0.0021130 | translocator protein | GTEx | DepMap | Descartes | 5.27 | 479.10 |
UMAP plots showing activity of gene expression program identified in community:14. NB Cell Line #14 (Mixed Adrenergic)
CNV Data procured from inferCNV.
Outer tracks are putative CNV regions (gains = red, losses = blue) for each patient
Inner track is expression data representing:
The top cells expressing this GEP (purple)
Random cells (n =50) from the reference set used in inferCNV (orange)
Gene set Enrichments for this program, caculated from top 50 genes
mSigDB Cell Types Gene Set:
P-value | OR | Lower 95% CI | FDR | FWER | Genes Found | Gene Set Size | |
---|---|---|---|---|---|---|---|
DURANTE_ADULT_OLFACTORY_NEUROEPITHELIUM_GLOBOSE_BASAL_CELLS | 2.39e-07 | 46.13 | 13.38 | 1.34e-05 | 1.61e-04 | 5RBP1, PTMA, TUBA1A, STMN2, CKB |
35 |
LAKE_ADULT_KIDNEY_C18_COLLECTING_DUCT_PRINCIPAL_CELLS_MEDULLA | 1.18e-11 | 15.79 | 7.78 | 7.93e-09 | 7.93e-09 | 14GNAS, ATP1B1, GSTP1, PTMA, EEF1A1, CCNI, RPL18, PEBP1, NPM1, YBX1, ALDOA, NUCKS1, THSD7A, CALM1 |
322 |
HU_FETAL_RETINA_HORIZONTAL | 1.81e-05 | 30.14 | 7.49 | 4.34e-04 | 1.22e-02 | 4TFAP2B, TUBA1A, MLLT11, STMN2 |
40 |
LAKE_ADULT_KIDNEY_C7_PROXIMAL_TUBULE_EPITHELIAL_CELLS_S3 | 4.93e-08 | 18.74 | 7.45 | 4.72e-06 | 3.31e-05 | 8PTMA, EEF1A1, CCNI, RPL18, PEBP1, NPM1, NUCKS1, CALM1 |
135 |
DURANTE_ADULT_OLFACTORY_NEUROEPITHELIUM_IMMATURE_NEURONS | 6.17e-08 | 18.17 | 7.22 | 5.18e-06 | 4.14e-05 | 8CCNI, NSG1, TUBA1A, STMN2, SCG3, CADM1, CALM1, CKB |
139 |
DESCARTES_FETAL_HEART_VISCERAL_NEURONS | 1.12e-06 | 21.03 | 7.12 | 4.68e-05 | 7.48e-04 | 6GAL, PHOX2A, SLC6A2, CHGB, DDC, GNG4 |
87 |
FAN_OVARY_CL14_MATURE_SMOOTH_MUSCLE_CELL | 1.44e-09 | 13.43 | 6.32 | 4.84e-07 | 9.68e-07 | 12RGS5, GNAS, GSTP1, PTMA, CCNI, PEBP1, TUBA1A, NUCKS1, UQCRB, CALM1, CKB, TSPO |
306 |
LAKE_ADULT_KIDNEY_C9_THIN_ASCENDING_LIMB | 4.94e-09 | 13.71 | 6.26 | 9.64e-07 | 3.31e-06 | 11GNAS, GSTP1, PTMA, EEF1A1, CCNI, RPL18, PEBP1, NPM1, YBX1, ALDOA, CALM1 |
268 |
DESCARTES_FETAL_INTESTINE_ENS_NEURONS | 1.82e-07 | 15.66 | 6.24 | 1.11e-05 | 1.22e-04 | 8GAL, ARHGDIG, NEFM, PHOX2A, SLC6A2, MLLT11, STMN2, LIX1 |
160 |
LAKE_ADULT_KIDNEY_C8_DECENDING_THIN_LIMB | 7.18e-09 | 13.20 | 6.03 | 9.64e-07 | 4.82e-06 | 11GNAS, GSTP1, PTMA, EEF1A1, CCNI, RPL18, PEBP1, NPM1, YBX1, ALDOA, CALM1 |
278 |
BUSSLINGER_ESOPHAGEAL_EARLY_SUPRABASAL_CELLS | 1.43e-05 | 18.75 | 5.65 | 3.70e-04 | 9.62e-03 | 5PTMA, EEF1A1, NPM1, YBX1, NUCKS1 |
79 |
RUBENSTEIN_SKELETAL_MUSCLE_SATELLITE_CELLS | 2.16e-08 | 11.80 | 5.39 | 2.42e-06 | 1.45e-05 | 11RBP1, GNAS, PTMA, EEF1A1, RPL18, PEBP1, NPM1, TUBA1A, ALDOA, TIMM13, UQCRB |
310 |
FAN_OVARY_CL10_PUTATIVE_EARLY_ATRESIA_GRANULOSA_CELL | 8.14e-08 | 11.84 | 5.22 | 5.46e-06 | 5.46e-05 | 10RBP1, GSTP1, PTMA, PEBP1, TUBA1A, FHL2, ALDOA, PRDX2, TIMM13, CKB |
274 |
BUSSLINGER_DUODENAL_TRANSIT_AMPLIFYING_CELLS | 7.76e-07 | 12.80 | 5.12 | 3.47e-05 | 5.20e-04 | 8GSTP1, PTMA, EEF1A1, RPL18, NPM1, YBX1, ALDOA, NUCKS1 |
194 |
DESCARTES_FETAL_PANCREAS_ENS_NEURONS | 3.15e-06 | 13.04 | 4.87 | 1.11e-04 | 2.11e-03 | 7GAL, ARHGDIG, PHOX2A, TUBA1A, MLLT11, STMN2, LIX1 |
163 |
TRAVAGLINI_LUNG_NEUROENDOCRINE_CELL | 1.04e-05 | 13.97 | 4.77 | 2.91e-04 | 6.98e-03 | 6CHGB, DDC, PRDX2, STMN2, SCG3, GNG4 |
128 |
LAKE_ADULT_KIDNEY_C10_THIN_ASCENDING_LIMB | 7.91e-08 | 10.31 | 4.72 | 5.46e-06 | 5.31e-05 | 11GNAS, GSTP1, PTMA, EEF1A1, RPL18, PEBP1, NPM1, YBX1, ALDOA, UQCRB, CALM1 |
353 |
HU_FETAL_RETINA_AMACRINE | 1.17e-04 | 18.10 | 4.59 | 2.17e-03 | 7.82e-02 | 4TFAP2B, MLLT11, STMN2, SCG3 |
64 |
DURANTE_ADULT_OLFACTORY_NEUROEPITHELIUM_UNSPECIFIED | 4.17e-04 | 23.45 | 4.45 | 6.21e-03 | 2.80e-01 | 3TUBA1A, CALM1, CKB |
37 |
ZHENG_CORD_BLOOD_C9_GRANULOCYTE_MACROPHAGE_PROGENITOR | 4.46e-05 | 14.61 | 4.43 | 9.07e-04 | 2.99e-02 | 5GSTP1, PTMA, PEBP1, NUCKS1, CALM1 |
100 |
Dowload full table
mSigDB Hallmark Gene Sets:
P-value | OR | Lower 95% CI | FDR | FWER | Genes Found | Gene Set Size | |
---|---|---|---|---|---|---|---|
HALLMARK_PEROXISOME | 7.99e-03 | 7.90 | 1.55 | 3.63e-01 | 4.00e-01 | 3ISOC1, CADM1, TSPO |
104 |
HALLMARK_SPERMATOGENESIS | 1.61e-02 | 6.04 | 1.19 | 3.63e-01 | 8.03e-01 | 3PEBP1, MAP7, SCG3 |
135 |
HALLMARK_UV_RESPONSE_UP | 2.41e-02 | 5.15 | 1.01 | 3.63e-01 | 1.00e+00 | 3GAL, IGFBP2, ALDOA |
158 |
HALLMARK_OXIDATIVE_PHOSPHORYLATION | 4.35e-02 | 4.05 | 0.80 | 3.63e-01 | 1.00e+00 | 3ATP1B1, TIMM13, UQCRB |
200 |
HALLMARK_KRAS_SIGNALING_UP | 4.35e-02 | 4.05 | 0.80 | 3.63e-01 | 1.00e+00 | 3MYCN, MAP7, SCG3 |
200 |
HALLMARK_KRAS_SIGNALING_DN | 4.35e-02 | 4.05 | 0.80 | 3.63e-01 | 1.00e+00 | 3TFAP2B, ARHGDIG, IGFBP2 |
200 |
HALLMARK_ANDROGEN_RESPONSE | 5.93e-02 | 5.31 | 0.62 | 4.07e-01 | 1.00e+00 | 2MAP7, CDK6 |
100 |
HALLMARK_BILE_ACID_METABOLISM | 7.22e-02 | 4.73 | 0.55 | 4.07e-01 | 1.00e+00 | 2RBP1, ISOC1 |
112 |
HALLMARK_UNFOLDED_PROTEIN_RESPONSE | 7.33e-02 | 4.69 | 0.55 | 4.07e-01 | 1.00e+00 | 2NPM1, SHC1 |
113 |
HALLMARK_ESTROGEN_RESPONSE_LATE | 1.85e-01 | 2.63 | 0.31 | 5.78e-01 | 1.00e+00 | 2GAL, CKB |
200 |
HALLMARK_COMPLEMENT | 1.85e-01 | 2.63 | 0.31 | 5.78e-01 | 1.00e+00 | 2SCG3, CALM1 |
200 |
HALLMARK_MTORC1_SIGNALING | 1.85e-01 | 2.63 | 0.31 | 5.78e-01 | 1.00e+00 | 2ALDOA, MLLT11 |
200 |
HALLMARK_MYC_TARGETS_V1 | 1.85e-01 | 2.63 | 0.31 | 5.78e-01 | 1.00e+00 | 2RPL18, NPM1 |
200 |
HALLMARK_EPITHELIAL_MESENCHYMAL_TRANSITION | 1.85e-01 | 2.63 | 0.31 | 5.78e-01 | 1.00e+00 | 2IGFBP2, CADM1 |
200 |
HALLMARK_HEDGEHOG_SIGNALING | 1.34e-01 | 7.29 | 0.18 | 5.78e-01 | 1.00e+00 | 1CDK6 |
36 |
HALLMARK_REACTIVE_OXYGEN_SPECIES_PATHWAY | 1.77e-01 | 5.31 | 0.13 | 5.78e-01 | 1.00e+00 | 1PRDX2 |
49 |
HALLMARK_MYC_TARGETS_V2 | 2.06e-01 | 4.47 | 0.11 | 6.07e-01 | 1.00e+00 | 1NPM1 |
58 |
HALLMARK_PROTEIN_SECRETION | 3.17e-01 | 2.68 | 0.07 | 8.55e-01 | 1.00e+00 | 1GNAS |
96 |
HALLMARK_UV_RESPONSE_DN | 4.35e-01 | 1.78 | 0.04 | 8.55e-01 | 1.00e+00 | 1FHL2 |
144 |
HALLMARK_FATTY_ACID_METABOLISM | 4.66e-01 | 1.62 | 0.04 | 8.55e-01 | 1.00e+00 | 1ALDOA |
158 |
Dowload full table
KEGG Pathways:
P-value | OR | Lower 95% CI | FDR | FWER | Genes Found | Gene Set Size | |
---|---|---|---|---|---|---|---|
KEGG_GLIOMA | 2.15e-03 | 12.86 | 2.49 | 4.01e-01 | 4.01e-01 | 3SHC1, CALM1, CDK6 |
65 |
KEGG_VASCULAR_SMOOTH_MUSCLE_CONTRACTION | 1.05e-02 | 7.12 | 1.40 | 9.75e-01 | 1.00e+00 | 3GNAS, CALM1, RAMP1 |
115 |
KEGG_CHRONIC_MYELOID_LEUKEMIA | 3.38e-02 | 7.33 | 0.85 | 1.00e+00 | 1.00e+00 | 2SHC1, CDK6 |
73 |
KEGG_CARDIAC_MUSCLE_CONTRACTION | 3.90e-02 | 6.76 | 0.78 | 1.00e+00 | 1.00e+00 | 2ATP1B1, UQCRB |
79 |
KEGG_GAP_JUNCTION | 4.93e-02 | 5.92 | 0.69 | 1.00e+00 | 1.00e+00 | 2GNAS, TUBA1A |
90 |
KEGG_GNRH_SIGNALING_PATHWAY | 6.04e-02 | 5.26 | 0.61 | 1.00e+00 | 1.00e+00 | 2GNAS, CALM1 |
101 |
KEGG_MELANOGENESIS | 6.04e-02 | 5.26 | 0.61 | 1.00e+00 | 1.00e+00 | 2GNAS, CALM1 |
101 |
KEGG_NEUROTROPHIN_SIGNALING_PATHWAY | 8.82e-02 | 4.20 | 0.49 | 1.00e+00 | 1.00e+00 | 2SHC1, CALM1 |
126 |
KEGG_INSULIN_SIGNALING_PATHWAY | 1.01e-01 | 3.86 | 0.45 | 1.00e+00 | 1.00e+00 | 2SHC1, CALM1 |
137 |
KEGG_ALZHEIMERS_DISEASE | 1.39e-01 | 3.18 | 0.37 | 1.00e+00 | 1.00e+00 | 2UQCRB, CALM1 |
166 |
KEGG_PHENYLALANINE_METABOLISM | 6.93e-02 | 14.99 | 0.35 | 1.00e+00 | 1.00e+00 | 1DDC |
18 |
KEGG_CALCIUM_SIGNALING_PATHWAY | 1.55e-01 | 2.96 | 0.35 | 1.00e+00 | 1.00e+00 | 2GNAS, CALM1 |
178 |
KEGG_CHEMOKINE_SIGNALING_PATHWAY | 1.70e-01 | 2.79 | 0.33 | 1.00e+00 | 1.00e+00 | 2SHC1, GNG4 |
189 |
KEGG_PROXIMAL_TUBULE_BICARBONATE_RECLAMATION | 8.77e-02 | 11.59 | 0.28 | 1.00e+00 | 1.00e+00 | 1ATP1B1 |
23 |
KEGG_PENTOSE_PHOSPHATE_PATHWAY | 1.02e-01 | 9.80 | 0.23 | 1.00e+00 | 1.00e+00 | 1ALDOA |
27 |
KEGG_HISTIDINE_METABOLISM | 1.09e-01 | 9.11 | 0.22 | 1.00e+00 | 1.00e+00 | 1DDC |
29 |
KEGG_PATHWAYS_IN_CANCER | 3.61e-01 | 1.61 | 0.19 | 1.00e+00 | 1.00e+00 | 2GSTP1, CDK6 |
325 |
KEGG_FRUCTOSE_AND_MANNOSE_METABOLISM | 1.27e-01 | 7.73 | 0.19 | 1.00e+00 | 1.00e+00 | 1ALDOA |
34 |
KEGG_TRYPTOPHAN_METABOLISM | 1.47e-01 | 6.54 | 0.16 | 1.00e+00 | 1.00e+00 | 1DDC |
40 |
KEGG_TYROSINE_METABOLISM | 1.54e-01 | 6.22 | 0.15 | 1.00e+00 | 1.00e+00 | 1DDC |
42 |
Dowload full table
CHR Positional Gene Sets:
P-value | OR | Lower 95% CI | FDR | FWER | Genes Found | Gene Set Size | |
---|---|---|---|---|---|---|---|
chr8q22 | 1.22e-01 | 3.45 | 0.40 | 1.00e+00 | 1.00e+00 | 2MTDH, UQCRB |
153 |
chr11q13 | 2.21e-01 | 1.91 | 0.38 | 1.00e+00 | 1.00e+00 | 3GAL, GSTP1, PHOX2A |
421 |
chr1q42 | 2.27e-01 | 2.28 | 0.27 | 1.00e+00 | 1.00e+00 | 2TOMM20, GNG4 |
230 |
chr12q24 | 6.63e-01 | 1.34 | 0.16 | 1.00e+00 | 1.00e+00 | 2PEBP1, TBX3 |
390 |
chr1q21 | 6.64e-01 | 1.34 | 0.16 | 1.00e+00 | 1.00e+00 | 2MLLT11, SHC1 |
392 |
chr3q23 | 2.00e-01 | 4.64 | 0.11 | 1.00e+00 | 1.00e+00 | 1RBP1 |
56 |
chr6q13 | 2.00e-01 | 4.64 | 0.11 | 1.00e+00 | 1.00e+00 | 1EEF1A1 |
56 |
chr14q32 | 1.00e+00 | 0.96 | 0.11 | 1.00e+00 | 1.00e+00 | 2CALM1, CKB |
546 |
chr7p12 | 2.06e-01 | 4.47 | 0.11 | 1.00e+00 | 1.00e+00 | 1DDC |
58 |
chr5q15 | 2.13e-01 | 4.32 | 0.11 | 1.00e+00 | 1.00e+00 | 1LIX1 |
60 |
chr6q24 | 2.49e-01 | 3.59 | 0.09 | 1.00e+00 | 1.00e+00 | 1HEBP2 |
72 |
chr2p24 | 2.55e-01 | 3.49 | 0.09 | 1.00e+00 | 1.00e+00 | 1MYCN |
74 |
chr2q12 | 2.70e-01 | 3.27 | 0.08 | 1.00e+00 | 1.00e+00 | 1FHL2 |
79 |
chr19p13 | 1.00e+00 | 0.68 | 0.08 | 1.00e+00 | 1.00e+00 | 2PRDX2, TIMM13 |
773 |
chr7p21 | 2.81e-01 | 3.11 | 0.08 | 1.00e+00 | 1.00e+00 | 1THSD7A |
83 |
chr16q12 | 3.17e-01 | 2.68 | 0.07 | 1.00e+00 | 1.00e+00 | 1SLC6A2 |
96 |
chr20p12 | 3.39e-01 | 2.48 | 0.06 | 1.00e+00 | 1.00e+00 | 1CHGB |
104 |
chr6q23 | 3.44e-01 | 2.43 | 0.06 | 1.00e+00 | 1.00e+00 | 1MAP7 |
106 |
chr5q23 | 3.57e-01 | 2.32 | 0.06 | 1.00e+00 | 1.00e+00 | 1ISOC1 |
111 |
chr1q24 | 3.87e-01 | 2.09 | 0.05 | 1.00e+00 | 1.00e+00 | 1ATP1B1 |
123 |
Dowload full table
Transcription Factor Targets:
P-value | OR | Lower 95% CI | FDR | FWER | Genes Found | Gene Set Size | |
---|---|---|---|---|---|---|---|
ZNF404_TARGET_GENES | 3.10e-03 | 27.37 | 3.01 | 4.55e-01 | 1.00e+00 | 2ALDOA, HEBP2 |
21 |
E4F1_Q6 | 9.00e-04 | 5.96 | 2.06 | 4.55e-01 | 1.00e+00 | 6GNAS, PTMA, CCNI, CHGB, CKB, GNG4 |
292 |
PSMB5_TARGET_GENES | 1.16e-03 | 5.66 | 1.96 | 4.55e-01 | 1.00e+00 | 6PTMA, EEF1A1, NPM1, TUBA1A, ALDOA, CALM1 |
307 |
CCAWYNNGAAR_UNKNOWN | 2.69e-03 | 7.55 | 1.95 | 4.55e-01 | 1.00e+00 | 4TUBA1A, YBX1, SHC1, NUCKS1 |
148 |
PAX3_B | 5.54e-03 | 9.06 | 1.77 | 5.71e-01 | 1.00e+00 | 3PTMA, TBX3, CADM1 |
91 |
ZIC3_01 | 3.07e-03 | 5.56 | 1.71 | 4.55e-01 | 1.00e+00 | 5MYCN, GNAS, HEBP2, NUCKS1, CDK6 |
255 |
NFKB_Q6 | 3.23e-03 | 5.49 | 1.69 | 4.55e-01 | 1.00e+00 | 5ATP1B1, TOMM20, MLLT11, CADM1, CDK6 |
258 |
YGTCCTTGR_UNKNOWN | 6.79e-03 | 8.40 | 1.64 | 5.71e-01 | 1.00e+00 | 3NEFM, FHL2, ALDOA |
98 |
LMO2COM_01 | 3.61e-03 | 5.34 | 1.64 | 4.55e-01 | 1.00e+00 | 5GNAS, ATP1B1, STMN2, MAP7, CADM1 |
265 |
ZNF510_TARGET_GENES | 1.15e-02 | 13.35 | 1.52 | 6.42e-01 | 1.00e+00 | 2ALDOA, HEBP2 |
41 |
YYCATTCAWW_UNKNOWN | 6.70e-03 | 5.78 | 1.50 | 5.71e-01 | 1.00e+00 | 4TUBA1A, SCG3, CALM1, CKB |
192 |
GTF2A2_TARGET_GENES | 3.50e-03 | 3.95 | 1.49 | 4.55e-01 | 1.00e+00 | 7EEF1A1, CCNI, RPL18, NPM1, PRDX2, CALM1, GNG4 |
522 |
CDP_02 | 9.53e-03 | 7.39 | 1.45 | 6.35e-01 | 1.00e+00 | 3PTMA, TBX3, CADM1 |
111 |
HEN1_02 | 7.71e-03 | 5.55 | 1.44 | 5.82e-01 | 1.00e+00 | 4PHOX2A, MLLT11, TBX3, STMN2 |
200 |
TCF11MAFG_01 | 8.52e-03 | 5.38 | 1.39 | 6.04e-01 | 1.00e+00 | 4ATP1B1, ALDOA, MLLT11, CADM1 |
206 |
ZNF558_TARGET_GENES | 7.06e-03 | 4.52 | 1.39 | 5.71e-01 | 1.00e+00 | 5RGS5, CCNI, ALDOA, HEBP2, NUCKS1 |
312 |
TGGAAA_NFAT_Q4_01 | 5.47e-03 | 2.53 | 1.26 | 5.71e-01 | 1.00e+00 | 14TFAP2B, GNAS, ATP1B1, CCNI, DDC, TUBA1A, SHC1, HEBP2, TBX3, STMN2, MAP7, CADM1, CALM1, CDK6 |
1934 |
CDPCR1_01 | 1.42e-02 | 6.33 | 1.24 | 6.42e-01 | 1.00e+00 | 3NUCKS1, TBX3, STMN2 |
129 |
SQSTM1_TARGET_GENES | 1.74e-02 | 10.62 | 1.22 | 6.42e-01 | 1.00e+00 | 2EEF1A1, GNG4 |
51 |
NFKB_Q6_01 | 1.36e-02 | 4.67 | 1.21 | 6.42e-01 | 1.00e+00 | 4ATP1B1, MLLT11, CADM1, GNG4 |
237 |
Dowload full table
GO Biological Processes:
P-value | OR | Lower 95% CI | FDR | FWER | Genes Found | Gene Set Size | |
---|---|---|---|---|---|---|---|
GOBP_POSITIVE_REGULATION_OF_MITOCHONDRIAL_DEPOLARIZATION | 5.49e-04 | 74.10 | 7.33 | 8.22e-01 | 1.00e+00 | 2MLLT11, TSPO |
9 |
GOBP_POSITIVE_REGULATION_OF_MEMBRANE_DEPOLARIZATION | 8.35e-04 | 57.69 | 5.91 | 8.92e-01 | 1.00e+00 | 2MLLT11, TSPO |
11 |
GOBP_HINDLIMB_MORPHOGENESIS | 3.24e-04 | 25.71 | 4.86 | 8.10e-01 | 1.00e+00 | 3TFAP2B, GNAS, TBX3 |
34 |
GOBP_POSITIVE_REGULATION_OF_NECROTIC_CELL_DEATH | 1.58e-03 | 39.95 | 4.27 | 1.00e+00 | 1.00e+00 | 2HEBP2, TSPO |
15 |
GOBP_ENDOCRINE_HORMONE_SECRETION | 7.43e-04 | 18.98 | 3.64 | 8.92e-01 | 1.00e+00 | 3GAL, GNAS, TBX3 |
45 |
GOBP_SYMPATHETIC_NERVOUS_SYSTEM_DEVELOPMENT | 3.10e-03 | 27.37 | 3.01 | 1.00e+00 | 1.00e+00 | 2TFAP2B, PHOX2A |
21 |
GOBP_MITOCHONDRIAL_DEPOLARIZATION | 3.40e-03 | 26.01 | 2.87 | 1.00e+00 | 1.00e+00 | 2MLLT11, TSPO |
22 |
GOBP_NEGATIVE_REGULATION_OF_CELLULAR_SENESCENCE | 3.40e-03 | 26.01 | 2.87 | 1.00e+00 | 1.00e+00 | 2YBX1, CDK6 |
22 |
GOBP_NEURAL_NUCLEUS_DEVELOPMENT | 1.71e-03 | 13.99 | 2.71 | 1.00e+00 | 1.00e+00 | 3PHOX2A, CALM1, CKB |
60 |
GOBP_CELL_COMMUNICATION_BY_ELECTRICAL_COUPLING_INVOLVED_IN_CARDIAC_CONDUCTION | 4.05e-03 | 23.65 | 2.62 | 1.00e+00 | 1.00e+00 | 2ATP1B1, CALM1 |
24 |
GOBP_AGING | 1.61e-04 | 6.85 | 2.58 | 8.10e-01 | 1.00e+00 | 7DDC, NPM1, IGFBP2, YBX1, TBX3, CDK6, TSPO |
304 |
GOBP_CELL_AGING | 1.08e-03 | 9.79 | 2.52 | 1.00e+00 | 1.00e+00 | 4NPM1, YBX1, TBX3, CDK6 |
115 |
GOBP_POSITIVE_REGULATION_OF_POTASSIUM_ION_TRANSMEMBRANE_TRANSPORTER_ACTIVITY | 4.39e-03 | 22.60 | 2.52 | 1.00e+00 | 1.00e+00 | 2GAL, ATP1B1 |
25 |
GOBP_REGULATION_OF_CARDIAC_MUSCLE_CONTRACTION_BY_CALCIUM_ION_SIGNALING | 5.10e-03 | 20.80 | 2.32 | 1.00e+00 | 1.00e+00 | 2ATP1B1, CALM1 |
27 |
GOBP_EMBRYONIC_HINDLIMB_MORPHOGENESIS | 5.10e-03 | 20.80 | 2.32 | 1.00e+00 | 1.00e+00 | 2GNAS, TBX3 |
27 |
GOBP_RESPONSE_TO_PAIN | 5.10e-03 | 20.80 | 2.32 | 1.00e+00 | 1.00e+00 | 2SLC6A2, TSPO |
27 |
GOBP_REGULATION_OF_MITOCHONDRIAL_MEMBRANE_POTENTIAL | 2.77e-03 | 11.73 | 2.28 | 1.00e+00 | 1.00e+00 | 3MLLT11, HEBP2, TSPO |
71 |
GOBP_NEGATIVE_REGULATION_OF_CELL_AGING | 5.48e-03 | 20.00 | 2.24 | 1.00e+00 | 1.00e+00 | 2YBX1, CDK6 |
28 |
GOBP_RESPONSE_TO_DRUG | 4.33e-04 | 5.78 | 2.18 | 8.10e-01 | 1.00e+00 | 7GAL, TFAP2B, GNAS, SLC6A2, DDC, IGFBP2, TSPO |
359 |
GOBP_POTASSIUM_ION_HOMEOSTASIS | 5.87e-03 | 19.27 | 2.16 | 1.00e+00 | 1.00e+00 | 2TFAP2B, ATP1B1 |
29 |
Dowload full table
Immunological Gene Sets:
P-value | OR | Lower 95% CI | FDR | FWER | Genes Found | Gene Set Size | |
---|---|---|---|---|---|---|---|
GSE360_CTRL_VS_L_DONOVANI_MAC_UP | 1.24e-04 | 8.78 | 3.02 | 5.84e-01 | 6.03e-01 | 6GSTP1, CCNI, TUBA1A, PRDX2, SHC1, TSPO |
200 |
GSE6259_DEC205_POS_DC_VS_CD8_TCELL_UP | 7.47e-04 | 7.76 | 2.38 | 5.84e-01 | 1.00e+00 | 5CCNI, TOMM20, TUBA1A, CALM1, TSPO |
184 |
GSE45365_CTRL_VS_MCMV_INFECTION_NK_CELL_DN | 9.44e-04 | 7.35 | 2.25 | 5.84e-01 | 1.00e+00 | 5GSTP1, NUCKS1, MAP7, UQCRB, RAMP1 |
194 |
GSE46606_IRF4_KO_VS_WT_CD40L_IL2_IL5_1DAY_STIMULATED_BCELL_UP | 1.01e-03 | 7.23 | 2.22 | 5.84e-01 | 1.00e+00 | 5ATP1B1, PRDX2, MLLT11, UQCRB, RAMP1 |
197 |
GSE24142_EARLY_THYMIC_PROGENITOR_VS_DN3_THYMOCYTE_ADULT_DN | 1.08e-03 | 7.12 | 2.18 | 5.84e-01 | 1.00e+00 | 5ATP1B1, NSG1, DDC, TIMM13, CDK6 |
200 |
GSE339_CD8POS_VS_CD4CD8DN_DC_IN_CULTURE_UP | 1.08e-03 | 7.12 | 2.18 | 5.84e-01 | 1.00e+00 | 5SHC1, UQCRB, ISOC1, CADM1, RAMP1 |
200 |
GSE2405_0H_VS_9H_A_PHAGOCYTOPHILUM_STIM_NEUTROPHIL_DN | 1.08e-03 | 7.12 | 2.18 | 5.84e-01 | 1.00e+00 | 5RPL18, NPM1, YBX1, NUCKS1, UQCRB |
200 |
GSE7831_UNSTIM_VS_INFLUENZA_STIM_PDC_4H_DN | 1.08e-03 | 7.12 | 2.18 | 5.84e-01 | 1.00e+00 | 5ATP1B1, PRDX2, MTDH, CADM1, RAMP1 |
200 |
GSE37301_MULTIPOTENT_PROGENITOR_VS_CD4_TCELL_DN | 1.08e-03 | 7.12 | 2.18 | 5.84e-01 | 1.00e+00 | 5RBP1, RGS5, CCNI, DDC, TIMM13 |
200 |
GSE7568_CTRL_VS_3H_TGFB_TREATED_MACROPHAGES_WITH_IL4_AND_DEXAMETHASONE_UP | 3.25e-03 | 7.15 | 1.85 | 8.94e-01 | 1.00e+00 | 4GSTP1, HEBP2, TBX3, CKB |
156 |
GSE37301_HEMATOPOIETIC_STEM_CELL_VS_PRO_BCELL_DN | 4.49e-03 | 6.51 | 1.68 | 8.94e-01 | 1.00e+00 | 4ARHGDIG, SLC6A2, DDC, ISOC1 |
171 |
GSE26928_EFF_MEM_VS_CENTR_MEM_CD4_TCELL_UP | 6.47e-03 | 5.84 | 1.51 | 8.94e-01 | 1.00e+00 | 4ATP1B1, NEFM, FHL2, STMN2 |
190 |
GSE10325_LUPUS_BCELL_VS_LUPUS_MYELOID_UP | 6.95e-03 | 5.72 | 1.48 | 8.94e-01 | 1.00e+00 | 4PTMA, PEBP1, NPM1, NUCKS1 |
194 |
GSE22611_MUTANT_NOD2_TRANSDUCED_VS_CTRL_HEK293T_STIMULATED_WITH_MDP_6H_UP | 7.20e-03 | 5.66 | 1.47 | 8.94e-01 | 1.00e+00 | 4ATP1B1, STMN2, THSD7A, CKB |
196 |
GSE360_DC_VS_MAC_T_GONDII_UP | 7.45e-03 | 5.60 | 1.45 | 8.94e-01 | 1.00e+00 | 4MYCN, TUBA1A, RAMP1, CKB |
198 |
GSE3982_EFF_MEMORY_CD4_TCELL_VS_NKCELL_UP | 7.45e-03 | 5.60 | 1.45 | 8.94e-01 | 1.00e+00 | 4MYCN, EEF1A1, PEBP1, CALM1 |
198 |
GSE4142_NAIVE_BCELL_VS_PLASMA_CELL_UP | 7.45e-03 | 5.60 | 1.45 | 8.94e-01 | 1.00e+00 | 4RBP1, ATP1B1, CCNI, TSPO |
198 |
GSE15330_HSC_VS_LYMPHOID_PRIMED_MULTIPOTENT_PROGENITOR_IKAROS_KO_UP | 7.45e-03 | 5.60 | 1.45 | 8.94e-01 | 1.00e+00 | 4NEFM, YBX1, FHL2, TBX3 |
198 |
GSE22886_NEUTROPHIL_VS_MONOCYTE_DN | 7.58e-03 | 5.57 | 1.44 | 8.94e-01 | 1.00e+00 | 4GSTP1, TOMM20, YBX1, TIMM13 |
199 |
GSE2405_HEAT_KILLED_VS_LIVE_A_PHAGOCYTOPHILUM_STIM_NEUTROPHIL_9H_UP | 7.58e-03 | 5.57 | 1.44 | 8.94e-01 | 1.00e+00 | 4NPM1, TUBA1A, PRDX2, CKB |
199 |
Top Ranked Transcription Factors for this Gene Expression Program:
Gene Symbol | TF Rank | DNA Binding Domain | Motif Status | IUPAC PWM | GTEx | DepMap | Decartes |
---|---|---|---|---|---|---|---|
TFAP2B | 3 | Yes | Known motif | Monomer or homomultimer | High-throughput in vitro | None | None |
MYCN | 5 | Yes | Known motif | Monomer or homomultimer | High-throughput in vitro | None | None |
PHOX2A | 18 | Yes | Known motif | Monomer or homomultimer | High-throughput in vitro | None | None |
NPM1 | 23 | No | Unlikely to be sequence specific TF | Low specificity DNA-binding protein | No motif | None | No evidence for sequence-specific DNA-binding (PMID: 2223875) |
YBX1 | 26 | Yes | Known motif | Monomer or homomultimer | High-throughput in vitro | None | Might also bind RNA |
FHL2 | 27 | No | Unlikely to be sequence specific TF | Not a DNA binding protein | No motif | None | LIM ZF proteins are unlikely to bind DNA. Experimental evidence does not support a role for FHL2 as a sequence-specific DNA-binding protein (PMID:10654935) |
MLLT11 | 30 | No | Unlikely to be sequence specific TF | Not a DNA binding protein | No motif | None | None |
MTDH | 31 | No | Unlikely to be sequence specific TF | Not a DNA binding protein | No motif | None | None |
NUCKS1 | 34 | No | Unlikely to be sequence specific TF | Not a DNA binding protein | No motif | None | Contains a GRP core, which is similar to an AT-hook. But, the amino acids flanking the core are quite different from an AT-hook. Could non-specifically bind to DNA, but lacks compelling evidence. |
TBX3 | 35 | Yes | Known motif | Monomer or homomultimer | High-throughput in vitro | None | None |
HOXC8 | 63 | Yes | Known motif | Monomer or homomultimer | High-throughput in vitro | None | None |
GPR155 | 65 | No | Unlikely to be sequence specific TF | Not a DNA binding protein | No motif | None | None |
PQBP1 | 69 | No | Unlikely to be sequence specific TF | Not a DNA binding protein | No motif | None | Has a WW domain. May interact with Pol II, but no indication of sequence specific DNA binding |
PARP1 | 74 | No | Unlikely to be sequence specific TF | Low specificity DNA-binding protein | In vivo/Misc source | None | DNA repair protein that binds dsDNA non-specifically (PMID: 21183686; PMID: 21262234). The Transfac motifs are likely NFAT target sites |
INSM2 | 77 | Yes | Likely to be sequence specific TF | Monomer or homomultimer | No motif | None | None |
PROX1 | 92 | Yes | Known motif | Monomer or homomultimer | High-throughput in vitro | None | None |
PCBP2 | 97 | No | ssDNA/RNA binding | Not a DNA binding protein | No motif | None | Protein is an RBP. Structure (PDB:2PQU) is with single stranded DNA |
NCOA7 | 98 | No | Unlikely to be sequence specific TF | Not a DNA binding protein | No motif | None | Known co-activator; included only because TF-cat documents this |
ADAMTS19 | 100 | No | Unlikely to be sequence specific TF | Not a DNA binding protein | No motif | Has a putative AT-hook | None |
GATA2 | 112 | Yes | Known motif | Monomer or homomultimer | High-throughput in vitro | None | None |
QQ Plot showing correlations with other Gene Expression Programs in this dataset, calculated by Spearman correlation:
Interactive QQ-plot of gene loadings:
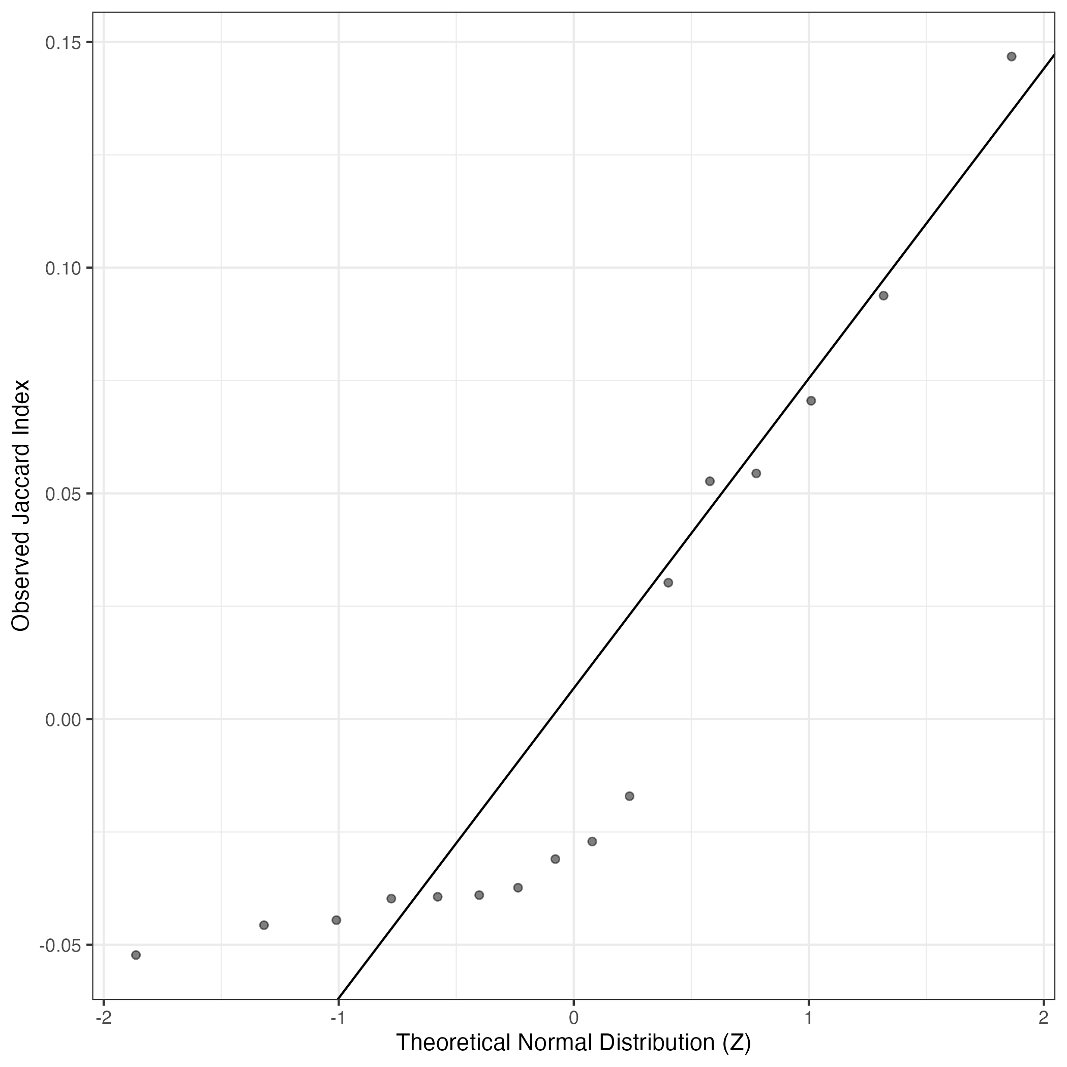
A similar QQ-plot as above, but only for instances where the H value is e.g. > 25, i.e. we are confident that the expression program is active above noise. Agreemenet between these binary vectors is tested using the Jaccard Index, with the P-values calculated by an exact test:
Interactive QQ-plot:
Singler cell type annotations for the top 50 cells on this program.
Cell ID | Singler label | Singler Delta | Activity Score | Top Singler Raw Scores |
---|---|---|---|---|
BE2M17_GTCCACTTCCGATGCG-1 | Neurons | 0.27 | 983.88 | Raw ScoresNeurons:adrenal_medulla_cell_line: 0.61, Neuroepithelial_cell:ESC-derived: 0.52, iPS_cells:PDB_2lox-22: 0.5, iPS_cells:PDB_1lox-21Puro-20: 0.49, iPS_cells:PDB_1lox-21Puro-26: 0.49, iPS_cells:PDB_1lox-17Puro-10: 0.49, iPS_cells:PDB_2lox-21: 0.49, iPS_cells:PDB_1lox-17Puro-5: 0.49, iPS_cells:PDB_2lox-17: 0.49, Embryonic_stem_cells: 0.49 |
BE2M17_AGATGCTGTTAGGGAC-1 | Neurons | 0.30 | 952.72 | Raw ScoresNeurons:adrenal_medulla_cell_line: 0.63, Neuroepithelial_cell:ESC-derived: 0.53, iPS_cells:PDB_1lox-21Puro-20: 0.51, iPS_cells:PDB_1lox-21Puro-26: 0.51, iPS_cells:PDB_2lox-22: 0.51, iPS_cells:PDB_1lox-17Puro-10: 0.51, iPS_cells:PDB_1lox-17Puro-5: 0.5, Embryonic_stem_cells: 0.5, iPS_cells:PDB_2lox-21: 0.5, iPS_cells:PDB_2lox-17: 0.5 |
BE2M17_CAGCAATCAGGTTCCG-1 | Neurons | 0.30 | 904.97 | Raw ScoresNeurons:adrenal_medulla_cell_line: 0.64, Neuroepithelial_cell:ESC-derived: 0.55, iPS_cells:PDB_1lox-21Puro-20: 0.52, iPS_cells:PDB_1lox-21Puro-26: 0.52, iPS_cells:PDB_1lox-17Puro-10: 0.51, iPS_cells:PDB_2lox-22: 0.51, iPS_cells:PDB_1lox-17Puro-5: 0.51, Embryonic_stem_cells: 0.51, Astrocyte:Embryonic_stem_cell-derived: 0.51, iPS_cells:PDB_2lox-21: 0.51 |
BE2M17_CTAACTTCAAAGCAAT-1 | Neurons | 0.29 | 818.69 | Raw ScoresNeurons:adrenal_medulla_cell_line: 0.62, Neuroepithelial_cell:ESC-derived: 0.51, iPS_cells:PDB_2lox-22: 0.49, iPS_cells:PDB_1lox-21Puro-20: 0.49, iPS_cells:PDB_1lox-21Puro-26: 0.49, iPS_cells:PDB_1lox-17Puro-10: 0.48, iPS_cells:PDB_1lox-17Puro-5: 0.48, iPS_cells:fibroblast-derived:Retroviral_transf: 0.48, Embryonic_stem_cells: 0.48, iPS_cells:PDB_2lox-21: 0.48 |
BE2M17_GCAGTTAAGAACGCGT-1 | Neurons | 0.28 | 806.82 | Raw ScoresNeurons:adrenal_medulla_cell_line: 0.6, Neuroepithelial_cell:ESC-derived: 0.51, iPS_cells:PDB_1lox-21Puro-20: 0.48, Astrocyte:Embryonic_stem_cell-derived: 0.48, iPS_cells:PDB_2lox-22: 0.48, iPS_cells:PDB_1lox-21Puro-26: 0.48, iPS_cells:PDB_1lox-17Puro-10: 0.48, iPS_cells:PDB_1lox-17Puro-5: 0.48, iPS_cells:PDB_2lox-21: 0.47, iPS_cells:PDB_2lox-17: 0.47 |
BE2M17_ACTGTCCCAAGGTCAG-1 | Neurons | 0.30 | 805.87 | Raw ScoresNeurons:adrenal_medulla_cell_line: 0.64, Neuroepithelial_cell:ESC-derived: 0.54, iPS_cells:PDB_1lox-21Puro-20: 0.52, iPS_cells:PDB_1lox-17Puro-10: 0.51, iPS_cells:PDB_1lox-21Puro-26: 0.51, iPS_cells:PDB_2lox-22: 0.51, iPS_cells:PDB_1lox-17Puro-5: 0.51, Embryonic_stem_cells: 0.51, iPS_cells:PDB_2lox-21: 0.51, Astrocyte:Embryonic_stem_cell-derived: 0.51 |
BE2M17_TGGTACATCTCGTGGG-1 | Neurons | 0.27 | 767.56 | Raw ScoresNeurons:adrenal_medulla_cell_line: 0.6, Neuroepithelial_cell:ESC-derived: 0.51, iPS_cells:PDB_1lox-21Puro-20: 0.49, iPS_cells:PDB_1lox-21Puro-26: 0.49, iPS_cells:PDB_1lox-17Puro-10: 0.49, iPS_cells:PDB_2lox-22: 0.49, iPS_cells:PDB_1lox-17Puro-5: 0.49, iPS_cells:PDB_2lox-21: 0.48, iPS_cells:PDB_2lox-17: 0.48, Embryonic_stem_cells: 0.48 |
BE2M17_AGCCAGCAGCCTCAAT-1 | Neurons | 0.26 | 761.57 | Raw ScoresNeurons:adrenal_medulla_cell_line: 0.61, Neuroepithelial_cell:ESC-derived: 0.51, iPS_cells:PDB_1lox-21Puro-20: 0.49, iPS_cells:PDB_2lox-22: 0.49, iPS_cells:PDB_1lox-21Puro-26: 0.49, iPS_cells:PDB_1lox-17Puro-5: 0.49, iPS_cells:PDB_1lox-17Puro-10: 0.49, iPS_cells:PDB_2lox-17: 0.49, Embryonic_stem_cells: 0.49, iPS_cells:PDB_2lox-21: 0.49 |
BE2M17_AGCGATTCATGGGTCC-1 | Neurons | 0.29 | 754.07 | Raw ScoresNeurons:adrenal_medulla_cell_line: 0.62, Neuroepithelial_cell:ESC-derived: 0.53, iPS_cells:PDB_1lox-21Puro-20: 0.51, iPS_cells:PDB_1lox-21Puro-26: 0.51, iPS_cells:PDB_2lox-22: 0.51, iPS_cells:PDB_1lox-17Puro-5: 0.5, iPS_cells:PDB_1lox-17Puro-10: 0.5, iPS_cells:PDB_2lox-21: 0.5, Astrocyte:Embryonic_stem_cell-derived: 0.5, Embryonic_stem_cells: 0.5 |
BE2M17_ACCCTTGCATCTGTTT-1 | Neurons | 0.30 | 752.35 | Raw ScoresNeurons:adrenal_medulla_cell_line: 0.64, Neuroepithelial_cell:ESC-derived: 0.54, iPS_cells:PDB_1lox-21Puro-20: 0.52, iPS_cells:PDB_1lox-21Puro-26: 0.51, iPS_cells:PDB_1lox-17Puro-10: 0.51, iPS_cells:PDB_2lox-22: 0.51, iPS_cells:PDB_1lox-17Puro-5: 0.51, Embryonic_stem_cells: 0.51, Astrocyte:Embryonic_stem_cell-derived: 0.51, iPS_cells:PDB_2lox-17: 0.51 |
BE2M17_CAACAACCATCATCCC-1 | Neurons | 0.29 | 751.42 | Raw ScoresNeurons:adrenal_medulla_cell_line: 0.63, Neuroepithelial_cell:ESC-derived: 0.53, iPS_cells:PDB_1lox-21Puro-20: 0.51, iPS_cells:PDB_2lox-22: 0.51, iPS_cells:PDB_1lox-21Puro-26: 0.51, iPS_cells:PDB_1lox-17Puro-10: 0.5, iPS_cells:PDB_1lox-17Puro-5: 0.5, iPS_cells:PDB_2lox-21: 0.5, iPS_cells:PDB_2lox-17: 0.5, Embryonic_stem_cells: 0.5 |
BE2M17_GTAGAGGCACAAAGTA-1 | Neurons | 0.28 | 742.17 | Raw ScoresNeurons:adrenal_medulla_cell_line: 0.61, Neuroepithelial_cell:ESC-derived: 0.5, iPS_cells:PDB_1lox-21Puro-20: 0.48, iPS_cells:PDB_2lox-22: 0.48, iPS_cells:PDB_1lox-21Puro-26: 0.48, iPS_cells:PDB_2lox-21: 0.47, iPS_cells:PDB_1lox-17Puro-10: 0.47, iPS_cells:PDB_1lox-17Puro-5: 0.47, Embryonic_stem_cells: 0.47, Astrocyte:Embryonic_stem_cell-derived: 0.47 |
BE2M17_CACGAATTCAAGCCAT-1 | Neurons | 0.30 | 736.14 | Raw ScoresNeurons:adrenal_medulla_cell_line: 0.64, Neuroepithelial_cell:ESC-derived: 0.54, iPS_cells:PDB_1lox-21Puro-20: 0.52, iPS_cells:PDB_1lox-21Puro-26: 0.52, iPS_cells:PDB_1lox-17Puro-10: 0.51, iPS_cells:PDB_1lox-17Puro-5: 0.51, iPS_cells:PDB_2lox-22: 0.51, Embryonic_stem_cells: 0.51, iPS_cells:PDB_2lox-21: 0.51, iPS_cells:PDB_2lox-17: 0.51 |
BE2M17_TGCAGGCTCGACATCA-1 | Neurons | 0.29 | 733.57 | Raw ScoresNeurons:adrenal_medulla_cell_line: 0.62, Neuroepithelial_cell:ESC-derived: 0.52, iPS_cells:PDB_1lox-21Puro-20: 0.5, iPS_cells:PDB_1lox-17Puro-10: 0.5, iPS_cells:PDB_1lox-21Puro-26: 0.5, iPS_cells:PDB_1lox-17Puro-5: 0.49, iPS_cells:PDB_2lox-22: 0.49, iPS_cells:PDB_2lox-21: 0.49, iPS_cells:PDB_2lox-17: 0.49, Embryonic_stem_cells: 0.48 |
BE2M17_CCATCACTCCTAGCTC-1 | Neurons | 0.29 | 720.79 | Raw ScoresNeurons:adrenal_medulla_cell_line: 0.62, Neuroepithelial_cell:ESC-derived: 0.54, iPS_cells:PDB_1lox-21Puro-20: 0.51, iPS_cells:PDB_1lox-21Puro-26: 0.51, iPS_cells:PDB_2lox-22: 0.51, iPS_cells:PDB_1lox-17Puro-10: 0.51, iPS_cells:PDB_1lox-17Puro-5: 0.5, iPS_cells:PDB_2lox-17: 0.5, iPS_cells:PDB_2lox-21: 0.5, iPS_cells:PDB_2lox-5: 0.5 |
BE2M17_CTCAATTCATTGCTTT-1 | Neurons | 0.31 | 718.52 | Raw ScoresNeurons:adrenal_medulla_cell_line: 0.64, Neuroepithelial_cell:ESC-derived: 0.54, iPS_cells:PDB_1lox-21Puro-20: 0.51, iPS_cells:PDB_1lox-21Puro-26: 0.51, iPS_cells:PDB_2lox-22: 0.51, Embryonic_stem_cells: 0.51, iPS_cells:PDB_1lox-17Puro-10: 0.51, iPS_cells:PDB_1lox-17Puro-5: 0.51, iPS_cells:CRL2097_foreskin-derived:undiff.: 0.5, iPS_cells:PDB_2lox-21: 0.5 |
BE2M17_AGACAAATCCTATTGT-1 | Neurons | 0.29 | 715.73 | Raw ScoresNeurons:adrenal_medulla_cell_line: 0.61, Neuroepithelial_cell:ESC-derived: 0.52, iPS_cells:PDB_1lox-21Puro-20: 0.48, Astrocyte:Embryonic_stem_cell-derived: 0.48, iPS_cells:PDB_1lox-21Puro-26: 0.48, iPS_cells:PDB_1lox-17Puro-10: 0.48, iPS_cells:PDB_1lox-17Puro-5: 0.48, iPS_cells:PDB_2lox-22: 0.48, Embryonic_stem_cells: 0.48, Tissue_stem_cells:CD326-CD56+: 0.47 |
BE2M17_ATGGGTTTCCACACCT-1 | Neurons | 0.30 | 705.22 | Raw ScoresNeurons:adrenal_medulla_cell_line: 0.64, Neuroepithelial_cell:ESC-derived: 0.55, iPS_cells:PDB_1lox-21Puro-20: 0.53, iPS_cells:PDB_2lox-22: 0.53, iPS_cells:PDB_1lox-21Puro-26: 0.52, iPS_cells:PDB_1lox-17Puro-10: 0.52, Embryonic_stem_cells: 0.52, iPS_cells:PDB_1lox-17Puro-5: 0.52, iPS_cells:PDB_2lox-17: 0.52, iPS_cells:PDB_2lox-21: 0.52 |
BE2M17_GGGCTACCAAATGAGT-1 | Neurons | 0.23 | 692.81 | Raw ScoresNeurons:adrenal_medulla_cell_line: 0.61, MSC: 0.56, Neuroepithelial_cell:ESC-derived: 0.56, Tissue_stem_cells:CD326-CD56+: 0.54, Tissue_stem_cells:lipoma-derived_MSC: 0.53, Smooth_muscle_cells:umbilical_vein: 0.53, Tissue_stem_cells:adipose-derived_MSC_AM3: 0.53, Embryonic_stem_cells: 0.53, Astrocyte:Embryonic_stem_cell-derived: 0.52, Neurons:Schwann_cell: 0.52 |
BE2M17_GGCACGTCATCGAAGG-1 | Neurons | 0.27 | 678.93 | Raw ScoresNeurons:adrenal_medulla_cell_line: 0.57, Neuroepithelial_cell:ESC-derived: 0.48, iPS_cells:PDB_1lox-21Puro-20: 0.47, iPS_cells:PDB_2lox-22: 0.47, iPS_cells:PDB_1lox-21Puro-26: 0.47, iPS_cells:CRL2097_foreskin-derived:undiff.: 0.46, iPS_cells:PDB_1lox-17Puro-10: 0.46, iPS_cells:PDB_1lox-17Puro-5: 0.46, Astrocyte:Embryonic_stem_cell-derived: 0.46, iPS_cells:PDB_2lox-21: 0.46 |
BE2M17_GTTGCGGTCTGAGTCA-1 | Neurons | 0.28 | 650.95 | Raw ScoresNeurons:adrenal_medulla_cell_line: 0.63, Neuroepithelial_cell:ESC-derived: 0.53, iPS_cells:PDB_1lox-21Puro-20: 0.5, iPS_cells:PDB_1lox-17Puro-10: 0.5, iPS_cells:PDB_1lox-21Puro-26: 0.5, iPS_cells:PDB_2lox-22: 0.49, iPS_cells:PDB_1lox-17Puro-5: 0.49, Astrocyte:Embryonic_stem_cell-derived: 0.49, iPS_cells:PDB_2lox-21: 0.49, iPS_cells:PDB_2lox-17: 0.49 |
BE2M17_TGTTCTAGTGATGGCA-1 | Neurons | 0.26 | 650.36 | Raw ScoresNeurons:adrenal_medulla_cell_line: 0.59, Neuroepithelial_cell:ESC-derived: 0.49, iPS_cells:PDB_1lox-21Puro-20: 0.48, iPS_cells:PDB_2lox-22: 0.47, iPS_cells:PDB_1lox-17Puro-5: 0.47, iPS_cells:PDB_1lox-17Puro-10: 0.47, iPS_cells:PDB_1lox-21Puro-26: 0.47, Embryonic_stem_cells: 0.47, iPS_cells:CRL2097_foreskin-derived:undiff.: 0.47, iPS_cells:PDB_2lox-21: 0.47 |
BE2M17_ACCCAAAGTCATCAGT-1 | Neurons | 0.29 | 647.95 | Raw ScoresNeurons:adrenal_medulla_cell_line: 0.62, Neuroepithelial_cell:ESC-derived: 0.52, iPS_cells:PDB_1lox-21Puro-20: 0.5, iPS_cells:PDB_2lox-22: 0.5, iPS_cells:PDB_1lox-21Puro-26: 0.5, iPS_cells:PDB_1lox-17Puro-10: 0.49, iPS_cells:PDB_1lox-17Puro-5: 0.49, iPS_cells:PDB_2lox-21: 0.49, iPS_cells:PDB_2lox-17: 0.49, iPS_cells:CRL2097_foreskin-derived:undiff.: 0.49 |
BE2M17_TGGTACAGTCTCAAGT-1 | Neurons | 0.28 | 639.37 | Raw ScoresNeurons:adrenal_medulla_cell_line: 0.61, Neuroepithelial_cell:ESC-derived: 0.52, iPS_cells:PDB_1lox-21Puro-20: 0.49, iPS_cells:PDB_2lox-22: 0.49, iPS_cells:PDB_1lox-21Puro-26: 0.49, Astrocyte:Embryonic_stem_cell-derived: 0.49, Embryonic_stem_cells: 0.49, iPS_cells:PDB_1lox-17Puro-10: 0.48, iPS_cells:PDB_1lox-17Puro-5: 0.48, iPS_cells:PDB_2lox-21: 0.48 |
BE2M17_AGCCAATTCGACTCCT-1 | Neurons | 0.27 | 633.83 | Raw ScoresNeurons:adrenal_medulla_cell_line: 0.6, Neuroepithelial_cell:ESC-derived: 0.51, Astrocyte:Embryonic_stem_cell-derived: 0.48, iPS_cells:PDB_2lox-22: 0.48, iPS_cells:PDB_1lox-21Puro-20: 0.48, iPS_cells:PDB_1lox-21Puro-26: 0.48, iPS_cells:PDB_1lox-17Puro-10: 0.48, Embryonic_stem_cells: 0.48, iPS_cells:PDB_1lox-17Puro-5: 0.48, iPS_cells:PDB_2lox-5: 0.47 |
BE2M17_CATAGACCAAATGCTC-1 | Neurons | 0.30 | 629.10 | Raw ScoresNeurons:adrenal_medulla_cell_line: 0.63, Neuroepithelial_cell:ESC-derived: 0.54, iPS_cells:PDB_1lox-21Puro-20: 0.52, iPS_cells:PDB_1lox-21Puro-26: 0.52, iPS_cells:PDB_1lox-17Puro-10: 0.52, iPS_cells:PDB_1lox-17Puro-5: 0.52, iPS_cells:PDB_2lox-22: 0.52, iPS_cells:PDB_2lox-21: 0.51, iPS_cells:PDB_2lox-17: 0.51, Embryonic_stem_cells: 0.51 |
BE2M17_TACAGGTGTGAGATTA-1 | Neurons | 0.28 | 622.63 | Raw ScoresNeurons:adrenal_medulla_cell_line: 0.6, Neuroepithelial_cell:ESC-derived: 0.51, iPS_cells:PDB_1lox-21Puro-20: 0.49, iPS_cells:PDB_1lox-21Puro-26: 0.49, iPS_cells:PDB_1lox-17Puro-10: 0.49, iPS_cells:PDB_2lox-22: 0.49, iPS_cells:PDB_1lox-17Puro-5: 0.48, Embryonic_stem_cells: 0.48, Tissue_stem_cells:CD326-CD56+: 0.48, iPS_cells:PDB_2lox-21: 0.48 |
BE2M17_TTCTTCCGTTCCCACT-1 | Neurons | 0.27 | 620.46 | Raw ScoresNeurons:adrenal_medulla_cell_line: 0.6, Neuroepithelial_cell:ESC-derived: 0.51, iPS_cells:PDB_1lox-21Puro-20: 0.49, iPS_cells:PDB_2lox-22: 0.49, iPS_cells:PDB_1lox-21Puro-26: 0.49, iPS_cells:PDB_1lox-17Puro-10: 0.49, iPS_cells:PDB_1lox-17Puro-5: 0.48, Embryonic_stem_cells: 0.48, iPS_cells:PDB_2lox-17: 0.48, iPS_cells:PDB_2lox-21: 0.48 |
BE2M17_GTAATGCCAACATCGT-1 | Neurons | 0.28 | 590.31 | Raw ScoresNeurons:adrenal_medulla_cell_line: 0.58, Neuroepithelial_cell:ESC-derived: 0.48, iPS_cells:PDB_1lox-21Puro-20: 0.47, iPS_cells:PDB_1lox-21Puro-26: 0.46, iPS_cells:PDB_2lox-22: 0.46, iPS_cells:PDB_1lox-17Puro-10: 0.46, iPS_cells:PDB_1lox-17Puro-5: 0.46, Embryonic_stem_cells: 0.46, iPS_cells:PDB_2lox-17: 0.46, iPS_cells:PDB_2lox-21: 0.46 |
BE2M17_ATGCGATCATCAGTCA-1 | Neurons | 0.27 | 585.45 | Raw ScoresNeurons:adrenal_medulla_cell_line: 0.6, Neuroepithelial_cell:ESC-derived: 0.51, iPS_cells:PDB_1lox-21Puro-20: 0.48, iPS_cells:PDB_2lox-22: 0.48, iPS_cells:PDB_1lox-17Puro-10: 0.48, iPS_cells:PDB_1lox-21Puro-26: 0.48, Embryonic_stem_cells: 0.48, iPS_cells:PDB_1lox-17Puro-5: 0.48, iPS_cells:CRL2097_foreskin-derived:undiff.: 0.48, iPS_cells:PDB_2lox-17: 0.48 |
BE2M17_TGTCCACTCTGCATAG-1 | Neurons | 0.24 | 584.53 | Raw ScoresNeurons:adrenal_medulla_cell_line: 0.59, Neuroepithelial_cell:ESC-derived: 0.51, iPS_cells:PDB_2lox-22: 0.49, iPS_cells:PDB_1lox-21Puro-20: 0.49, iPS_cells:PDB_1lox-21Puro-26: 0.48, iPS_cells:PDB_1lox-17Puro-5: 0.48, iPS_cells:PDB_2lox-17: 0.48, iPS_cells:adipose_stem_cell-derived:minicircle-derived: 0.48, iPS_cells:CRL2097_foreskin-derived:undiff.: 0.48, iPS_cells:PDB_1lox-17Puro-10: 0.48 |
BE2M17_ACAAGCTAGCCAACCC-1 | Neurons | 0.28 | 581.61 | Raw ScoresNeurons:adrenal_medulla_cell_line: 0.63, Neuroepithelial_cell:ESC-derived: 0.53, iPS_cells:PDB_1lox-21Puro-20: 0.52, iPS_cells:PDB_1lox-21Puro-26: 0.52, iPS_cells:PDB_2lox-22: 0.51, iPS_cells:PDB_1lox-17Puro-10: 0.51, iPS_cells:PDB_1lox-17Puro-5: 0.51, iPS_cells:PDB_2lox-21: 0.51, iPS_cells:PDB_2lox-17: 0.51, iPS_cells:CRL2097_foreskin-derived:undiff.: 0.51 |
BE2M17_TGTAACGGTGTCCGGT-1 | Neurons | 0.27 | 580.77 | Raw ScoresNeurons:adrenal_medulla_cell_line: 0.6, Neuroepithelial_cell:ESC-derived: 0.52, iPS_cells:PDB_1lox-21Puro-20: 0.5, iPS_cells:PDB_1lox-21Puro-26: 0.49, iPS_cells:PDB_2lox-22: 0.49, iPS_cells:PDB_1lox-17Puro-10: 0.49, iPS_cells:PDB_1lox-17Puro-5: 0.49, iPS_cells:CRL2097_foreskin-derived:undiff.: 0.48, iPS_cells:PDB_2lox-21: 0.48, Embryonic_stem_cells: 0.48 |
BE2M17_GGTGAAGTCCAACTAG-1 | Neurons | 0.30 | 578.53 | Raw ScoresNeurons:adrenal_medulla_cell_line: 0.62, Neuroepithelial_cell:ESC-derived: 0.52, iPS_cells:PDB_1lox-21Puro-20: 0.51, iPS_cells:PDB_1lox-21Puro-26: 0.51, iPS_cells:PDB_2lox-22: 0.51, iPS_cells:PDB_1lox-17Puro-10: 0.5, iPS_cells:PDB_1lox-17Puro-5: 0.5, iPS_cells:PDB_2lox-21: 0.5, iPS_cells:PDB_2lox-17: 0.5, Embryonic_stem_cells: 0.5 |
BE2M17_TTGGGCGAGGGACCAT-1 | Neurons | 0.25 | 575.16 | Raw ScoresNeurons:adrenal_medulla_cell_line: 0.6, Neuroepithelial_cell:ESC-derived: 0.5, iPS_cells:PDB_1lox-21Puro-20: 0.49, iPS_cells:PDB_1lox-21Puro-26: 0.48, iPS_cells:PDB_1lox-17Puro-10: 0.48, iPS_cells:PDB_2lox-22: 0.48, iPS_cells:PDB_1lox-17Puro-5: 0.48, iPS_cells:PDB_2lox-17: 0.48, iPS_cells:PDB_2lox-21: 0.48, iPS_cells:CRL2097_foreskin-derived:undiff.: 0.47 |
BE2M17_TGTGAGTGTGCACATT-1 | Neurons | 0.27 | 574.68 | Raw ScoresNeurons:adrenal_medulla_cell_line: 0.59, Neuroepithelial_cell:ESC-derived: 0.5, iPS_cells:PDB_1lox-21Puro-20: 0.47, iPS_cells:PDB_2lox-22: 0.47, iPS_cells:PDB_1lox-17Puro-10: 0.47, iPS_cells:PDB_1lox-21Puro-26: 0.47, Astrocyte:Embryonic_stem_cell-derived: 0.47, iPS_cells:PDB_1lox-17Puro-5: 0.47, Embryonic_stem_cells: 0.46, iPS_cells:PDB_2lox-17: 0.46 |
BE2M17_GATGTTGGTCGTAATC-1 | Neurons | 0.27 | 571.72 | Raw ScoresNeurons:adrenal_medulla_cell_line: 0.62, Neuroepithelial_cell:ESC-derived: 0.52, iPS_cells:PDB_1lox-21Puro-20: 0.5, iPS_cells:PDB_2lox-22: 0.5, iPS_cells:PDB_1lox-21Puro-26: 0.5, iPS_cells:PDB_1lox-17Puro-10: 0.5, iPS_cells:PDB_1lox-17Puro-5: 0.5, iPS_cells:PDB_2lox-21: 0.49, iPS_cells:PDB_2lox-17: 0.49, Embryonic_stem_cells: 0.49 |
BE2M17_TACCCGTCATTGCCTC-1 | Neurons | 0.27 | 568.25 | Raw ScoresNeurons:adrenal_medulla_cell_line: 0.59, Neuroepithelial_cell:ESC-derived: 0.5, iPS_cells:PDB_1lox-21Puro-20: 0.48, iPS_cells:PDB_2lox-22: 0.48, iPS_cells:PDB_1lox-21Puro-26: 0.48, iPS_cells:PDB_1lox-17Puro-10: 0.48, iPS_cells:PDB_1lox-17Puro-5: 0.48, iPS_cells:PDB_2lox-21: 0.48, iPS_cells:PDB_2lox-17: 0.48, iPS_cells:PDB_2lox-5: 0.48 |
BE2M17_GCAACATTCATACAGC-1 | Neurons | 0.29 | 558.69 | Raw ScoresNeurons:adrenal_medulla_cell_line: 0.63, Neuroepithelial_cell:ESC-derived: 0.54, iPS_cells:PDB_1lox-21Puro-20: 0.51, iPS_cells:PDB_1lox-21Puro-26: 0.51, iPS_cells:PDB_1lox-17Puro-10: 0.51, iPS_cells:PDB_1lox-17Puro-5: 0.51, iPS_cells:PDB_2lox-22: 0.5, Embryonic_stem_cells: 0.5, Astrocyte:Embryonic_stem_cell-derived: 0.5, iPS_cells:PDB_2lox-21: 0.5 |
BE2M17_TAGGTACGTCACATTG-1 | Neurons | 0.29 | 556.65 | Raw ScoresNeurons:adrenal_medulla_cell_line: 0.61, Neuroepithelial_cell:ESC-derived: 0.51, iPS_cells:PDB_1lox-21Puro-20: 0.49, iPS_cells:PDB_1lox-21Puro-26: 0.49, iPS_cells:PDB_2lox-22: 0.49, iPS_cells:PDB_1lox-17Puro-10: 0.49, iPS_cells:PDB_1lox-17Puro-5: 0.48, Embryonic_stem_cells: 0.48, iPS_cells:PDB_2lox-21: 0.48, iPS_cells:PDB_2lox-17: 0.48 |
BE2M17_ATCCCTGCATGAGTAA-1 | Neurons | 0.25 | 555.54 | Raw ScoresNeurons:adrenal_medulla_cell_line: 0.57, Neuroepithelial_cell:ESC-derived: 0.48, iPS_cells:PDB_1lox-21Puro-20: 0.46, iPS_cells:PDB_2lox-22: 0.46, iPS_cells:PDB_1lox-21Puro-26: 0.45, iPS_cells:PDB_1lox-17Puro-5: 0.45, iPS_cells:PDB_1lox-17Puro-10: 0.45, iPS_cells:PDB_2lox-17: 0.45, Embryonic_stem_cells: 0.45, iPS_cells:PDB_2lox-21: 0.45 |
BE2M17_GAGGGATGTCTGGTTA-1 | Neurons | 0.28 | 553.79 | Raw ScoresNeurons:adrenal_medulla_cell_line: 0.6, Neuroepithelial_cell:ESC-derived: 0.52, iPS_cells:PDB_1lox-21Puro-20: 0.49, iPS_cells:PDB_1lox-21Puro-26: 0.49, iPS_cells:PDB_1lox-17Puro-10: 0.49, iPS_cells:PDB_2lox-22: 0.49, iPS_cells:PDB_1lox-17Puro-5: 0.48, Embryonic_stem_cells: 0.48, iPS_cells:PDB_2lox-17: 0.48, iPS_cells:adipose_stem_cell-derived:minicircle-derived: 0.48 |
BE2M17_CATTGTTAGCATGCAG-1 | Neurons | 0.29 | 552.76 | Raw ScoresNeurons:adrenal_medulla_cell_line: 0.61, Neuroepithelial_cell:ESC-derived: 0.53, iPS_cells:PDB_1lox-21Puro-20: 0.5, iPS_cells:PDB_1lox-21Puro-26: 0.5, iPS_cells:PDB_1lox-17Puro-10: 0.5, iPS_cells:PDB_2lox-22: 0.5, iPS_cells:PDB_1lox-17Puro-5: 0.5, iPS_cells:PDB_2lox-21: 0.49, iPS_cells:PDB_2lox-17: 0.49, Embryonic_stem_cells: 0.49 |
BE2M17_GTTGCGGGTACGAAAT-1 | Neurons | 0.26 | 551.21 | Raw ScoresNeurons:adrenal_medulla_cell_line: 0.59, Neuroepithelial_cell:ESC-derived: 0.5, iPS_cells:PDB_1lox-21Puro-20: 0.48, iPS_cells:PDB_2lox-22: 0.48, Embryonic_stem_cells: 0.48, iPS_cells:PDB_1lox-21Puro-26: 0.48, iPS_cells:PDB_1lox-17Puro-10: 0.48, iPS_cells:PDB_1lox-17Puro-5: 0.48, Tissue_stem_cells:CD326-CD56+: 0.47, iPS_cells:PDB_2lox-17: 0.47 |
BE2M17_TGAGGGATCGGACGTC-1 | Neurons | 0.25 | 550.56 | Raw ScoresNeurons:adrenal_medulla_cell_line: 0.59, Neuroepithelial_cell:ESC-derived: 0.5, iPS_cells:PDB_2lox-22: 0.48, iPS_cells:PDB_1lox-21Puro-20: 0.48, iPS_cells:PDB_2lox-17: 0.47, iPS_cells:fibroblast-derived:Retroviral_transf: 0.47, iPS_cells:PDB_2lox-21: 0.47, iPS_cells:PDB_1lox-17Puro-10: 0.47, iPS_cells:PDB_1lox-21Puro-26: 0.47, Embryonic_stem_cells: 0.47 |
BE2M17_CGAGGAATCACCATAG-1 | Neurons | 0.27 | 548.23 | Raw ScoresNeurons:adrenal_medulla_cell_line: 0.6, Neuroepithelial_cell:ESC-derived: 0.51, iPS_cells:PDB_1lox-21Puro-20: 0.49, iPS_cells:PDB_1lox-21Puro-26: 0.49, iPS_cells:PDB_1lox-17Puro-10: 0.49, iPS_cells:PDB_2lox-22: 0.49, iPS_cells:PDB_1lox-17Puro-5: 0.48, iPS_cells:PDB_2lox-17: 0.48, Embryonic_stem_cells: 0.48, iPS_cells:PDB_2lox-21: 0.48 |
BE2M17_AGACACTCAGTAGGAC-1 | Neurons | 0.29 | 547.51 | Raw ScoresNeurons:adrenal_medulla_cell_line: 0.61, Neuroepithelial_cell:ESC-derived: 0.52, iPS_cells:PDB_1lox-21Puro-20: 0.49, iPS_cells:PDB_1lox-17Puro-10: 0.49, iPS_cells:PDB_1lox-21Puro-26: 0.48, iPS_cells:PDB_2lox-22: 0.48, iPS_cells:PDB_1lox-17Puro-5: 0.48, Embryonic_stem_cells: 0.48, iPS_cells:PDB_2lox-21: 0.48, iPS_cells:PDB_2lox-17: 0.48 |
BE2M17_TATTCCAGTTCGTACA-1 | Neurons | 0.26 | 542.11 | Raw ScoresNeurons:adrenal_medulla_cell_line: 0.59, Neuroepithelial_cell:ESC-derived: 0.49, iPS_cells:PDB_1lox-21Puro-20: 0.48, iPS_cells:PDB_1lox-21Puro-26: 0.47, iPS_cells:PDB_1lox-17Puro-10: 0.47, iPS_cells:PDB_2lox-22: 0.47, iPS_cells:PDB_1lox-17Puro-5: 0.47, Embryonic_stem_cells: 0.47, iPS_cells:PDB_2lox-21: 0.47, iPS_cells:PDB_2lox-17: 0.47 |
BE2M17_ACTTATCCACAGACGA-1 | Neurons | 0.27 | 538.54 | Raw ScoresNeurons:adrenal_medulla_cell_line: 0.59, Neuroepithelial_cell:ESC-derived: 0.5, iPS_cells:PDB_1lox-21Puro-20: 0.48, iPS_cells:PDB_2lox-22: 0.48, iPS_cells:PDB_1lox-21Puro-26: 0.47, iPS_cells:PDB_1lox-17Puro-10: 0.47, Embryonic_stem_cells: 0.47, iPS_cells:PDB_1lox-17Puro-5: 0.47, iPS_cells:PDB_2lox-17: 0.47, iPS_cells:PDB_2lox-21: 0.47 |
BE2M17_CAATCGACACGTCGGT-1 | Neurons | 0.26 | 536.67 | Raw ScoresNeurons:adrenal_medulla_cell_line: 0.58, Neuroepithelial_cell:ESC-derived: 0.48, iPS_cells:PDB_1lox-21Puro-20: 0.46, iPS_cells:PDB_2lox-22: 0.46, iPS_cells:adipose_stem_cell-derived:minicircle-derived: 0.45, Embryonic_stem_cells: 0.45, iPS_cells:PDB_1lox-21Puro-26: 0.45, Tissue_stem_cells:CD326-CD56+: 0.45, iPS_cells:CRL2097_foreskin-derived:undiff.: 0.45, iPS_cells:PDB_1lox-17Puro-10: 0.45 |
Below shows the significant enrichments of this GEP for literature curated gene lists
This data was procured from existing single cell RNA-seq maps of neuroblastoma or related relevant data.
High ranks indicate this gene is a driver of this GEP.
These curated gene list are ranked by the P-value (on this GEP) of their constituent genes.
The Mean Count column shows the mean read count in cells scoring highly (H > 50) on this gene expression program.
Genes | Weight | Rank | GTEx | DepMap | Decartes | Mean.Counts | Mean.TPM |
---|---|---|---|---|---|---|---|
PHOX2A | 0.0032241 | 18 | GTEx | DepMap | Descartes | 15.61 | 853.31 |
CHGB | 0.0030370 | 21 | GTEx | DepMap | Descartes | 7.80 | 345.83 |
DDC | 0.0029517 | 22 | GTEx | DepMap | Descartes | 3.34 | 173.54 |
CHGA | 0.0019978 | 57 | GTEx | DepMap | Descartes | 11.40 | 583.26 |
UCHL1 | 0.0016307 | 104 | GTEx | DepMap | Descartes | 12.60 | 749.54 |
PCSK1N | 0.0014354 | 155 | GTEx | DepMap | Descartes | 5.37 | 492.05 |
HAND2 | 0.0013925 | 160 | GTEx | DepMap | Descartes | 12.81 | 451.89 |
GATA3 | 0.0013257 | 187 | GTEx | DepMap | Descartes | 5.47 | 163.60 |
MAP1B | 0.0009115 | 400 | GTEx | DepMap | Descartes | 17.07 | 130.91 |
DISP2 | 0.0006628 | 656 | GTEx | DepMap | Descartes | 0.29 | 2.12 |
SLC18A1 | 0.0006194 | 712 | GTEx | DepMap | Descartes | 0.25 | 8.57 |
EML5 | 0.0005322 | 857 | GTEx | DepMap | Descartes | 2.42 | 26.89 |
TH | -0.0001004 | 6473 | GTEx | DepMap | Descartes | 0.18 | 8.94 |
DBH | -0.0001689 | 7802 | GTEx | DepMap | Descartes | 0.62 | 19.40 |
CYB561 | -0.0006192 | 11633 | GTEx | DepMap | Descartes | 0.83 | 20.72 |
NNAT | -0.0015239 | 12513 | GTEx | DepMap | Descartes | 0.65 | 26.75 |
Neuroblast (Hanemaaijer)
Marker genes obtained from Supplementary Table SD of Hanemaaijer et al (PMID 33500353). The authors generated single-cell RNA-seq data (sort-seq, 2,229 cells total) from mouse adrenal glads at E13.5, E14.5, E17.5, E18.5, P1 and P5. These were marker genes that matched with a similar dataset generated by Furlan et al (PMID 28684471). This particular set of markers are for the Neuroblast subcluster, which is part of the Adrenal Medulla cluster.:
Wilcoxon ranksum test P-value for gene set overrepresentation: 6.35e-05
Mean rank of genes in gene set: 2090.82
Rank on gene expression program of genes in gene set:
Genes | Weight | Rank | GTEx | DepMap | Decartes | Mean.Counts | Mean.TPM |
---|---|---|---|---|---|---|---|
NEFM | 0.0038670 | 11 | GTEx | DepMap | Descartes | 7.36 | 219.22 |
STMN2 | 0.0022903 | 37 | GTEx | DepMap | Descartes | 16.29 | 805.60 |
CCND1 | 0.0019915 | 58 | GTEx | DepMap | Descartes | 13.99 | 299.36 |
INA | 0.0019624 | 61 | GTEx | DepMap | Descartes | 2.46 | 74.93 |
NEFL | 0.0017596 | 83 | GTEx | DepMap | Descartes | 3.87 | 108.40 |
ELAVL3 | 0.0016941 | 93 | GTEx | DepMap | Descartes | 3.58 | 67.95 |
RTN1 | 0.0009324 | 377 | GTEx | DepMap | Descartes | 1.85 | 54.98 |
BASP1 | 0.0001964 | 2155 | GTEx | DepMap | Descartes | 4.45 | 225.66 |
ISL1 | 0.0000185 | 3935 | GTEx | DepMap | Descartes | 2.33 | 84.68 |
ELAVL4 | -0.0000233 | 4668 | GTEx | DepMap | Descartes | 4.19 | 91.33 |
STMN1 | -0.0005876 | 11521 | GTEx | DepMap | Descartes | 19.99 | 633.18 |
N Chromafin (Hanemaaijer)
Marker genes obtained from Supplementary Table SD of Hanemaaijer et al (PMID 33500353). The authors generated single-cell RNA-seq data (sort-seq, 2,229 cells total) from mouse adrenal glads at E13.5, E14.5, E17.5, E18.5, P1 and P5. These were marker genes that matched with a similar dataset generated by Furlan et al (PMID 28684471). This particular set of markers are for the Norepinepherine Chromaffin subcluster, which is part of the Adrenal Medulla cluster.:
Wilcoxon ranksum test P-value for gene set overrepresentation: 1.16e-03
Mean rank of genes in gene set: 3518.81
Rank on gene expression program of genes in gene set:
Genes | Weight | Rank | GTEx | DepMap | Decartes | Mean.Counts | Mean.TPM |
---|---|---|---|---|---|---|---|
GNAS | 0.0040779 | 7 | GTEx | DepMap | Descartes | 44.77 | 1015.92 |
SCG3 | 0.0022015 | 42 | GTEx | DepMap | Descartes | 5.61 | 190.97 |
SNAP25 | 0.0016136 | 109 | GTEx | DepMap | Descartes | 1.42 | 62.77 |
SCG5 | 0.0012441 | 213 | GTEx | DepMap | Descartes | 0.99 | 80.26 |
PTPRN | 0.0009961 | 336 | GTEx | DepMap | Descartes | 0.67 | 12.76 |
PCLO | 0.0006231 | 705 | GTEx | DepMap | Descartes | 0.91 | 4.44 |
SLCO3A1 | 0.0005389 | 848 | GTEx | DepMap | Descartes | 0.72 | 13.85 |
CACNA2D1 | 0.0002339 | 1945 | GTEx | DepMap | Descartes | 1.50 | 21.10 |
NAP1L5 | 0.0002161 | 2034 | GTEx | DepMap | Descartes | 0.29 | 14.85 |
CELF4 | 0.0000067 | 4102 | GTEx | DepMap | Descartes | 0.44 | 10.68 |
CXCL14 | -0.0000186 | 4566 | GTEx | DepMap | Descartes | 0.00 | 0.07 |
PPFIA2 | -0.0000527 | 5368 | GTEx | DepMap | Descartes | 0.11 | 2.33 |
ADCYAP1R1 | -0.0001792 | 7974 | GTEx | DepMap | Descartes | 0.07 | 1.09 |
LGR5 | -0.0002310 | 8742 | GTEx | DepMap | Descartes | 0.48 | 9.45 |
SYN2 | -0.0002773 | 9347 | GTEx | DepMap | Descartes | 0.29 | 6.97 |
C1QL1 | -0.0003325 | 9963 | GTEx | DepMap | Descartes | 0.68 | 35.51 |
Below shows ranks on this GEP for literature curated gene lists for large gene sets
These include those reported as mesenchymal/adrenergic by Van Groningen et al.
High ranks indicate this gene is a driver of this GEP (note these results are not ordered).
The Mean Count column shows the mean read count in cells scoring highly (H > 50) on this gene expression program.
VanGroningen Adrenergic Genes
Adrenergic marker genes from Supplementary Table 2 of Van Groningen et al. Nature Genetics 2017. These genes were identified by differential expression analysis of mesenchymal-like and adrenergic-like neuroblastoma cell lines.
Wilcoxon ranksum test P-value for gene set overrepresentation: 5.38e-34
Mean rank of genes in gene set: 3796.01
Median rank of genes in gene set: 1824
Rank on gene expression program of top 30 genes in gene set:
Genes | Weight | Rank | GTEx | DepMap | Descartes | Mean.Counts | Mean.TPM |
---|---|---|---|---|---|---|---|
GAL | 0.0055553 | 1 | GTEx | DepMap | Descartes | 47.77 | 6604.14 |
RBP1 | 0.0048770 | 2 | GTEx | DepMap | Descartes | 15.89 | 822.66 |
TFAP2B | 0.0044063 | 3 | GTEx | DepMap | Descartes | 6.23 | 107.08 |
RGS5 | 0.0043480 | 4 | GTEx | DepMap | Descartes | 43.98 | 743.98 |
NEFM | 0.0038670 | 11 | GTEx | DepMap | Descartes | 7.36 | 219.22 |
CCNI | 0.0034537 | 14 | GTEx | DepMap | Descartes | 13.30 | 430.88 |
PHOX2A | 0.0032241 | 18 | GTEx | DepMap | Descartes | 15.61 | 853.31 |
NSG1 | 0.0031583 | 19 | GTEx | DepMap | Descartes | 3.37 | NA |
CHGB | 0.0030370 | 21 | GTEx | DepMap | Descartes | 7.80 | 345.83 |
DDC | 0.0029517 | 22 | GTEx | DepMap | Descartes | 3.34 | 173.54 |
STMN2 | 0.0022903 | 37 | GTEx | DepMap | Descartes | 16.29 | 805.60 |
THSD7A | 0.0022554 | 40 | GTEx | DepMap | Descartes | 3.01 | 28.92 |
SCG3 | 0.0022015 | 42 | GTEx | DepMap | Descartes | 5.61 | 190.97 |
CADM1 | 0.0021939 | 44 | GTEx | DepMap | Descartes | 3.04 | 36.13 |
CKB | 0.0021387 | 47 | GTEx | DepMap | Descartes | 12.24 | 807.90 |
GNG4 | 0.0021369 | 48 | GTEx | DepMap | Descartes | 3.93 | 77.15 |
SYNPO2 | 0.0020777 | 52 | GTEx | DepMap | Descartes | 5.25 | 33.18 |
KIF21A | 0.0020076 | 56 | GTEx | DepMap | Descartes | 13.49 | 198.44 |
CHGA | 0.0019978 | 57 | GTEx | DepMap | Descartes | 11.40 | 583.26 |
CCND1 | 0.0019915 | 58 | GTEx | DepMap | Descartes | 13.99 | 299.36 |
LYN | 0.0019678 | 60 | GTEx | DepMap | Descartes | 2.03 | 33.23 |
INA | 0.0019624 | 61 | GTEx | DepMap | Descartes | 2.46 | 74.93 |
TMEM108 | 0.0018882 | 68 | GTEx | DepMap | Descartes | 1.26 | 24.09 |
INSM2 | 0.0017860 | 77 | GTEx | DepMap | Descartes | 0.97 | 32.34 |
RET | 0.0017686 | 79 | GTEx | DepMap | Descartes | 2.18 | 38.33 |
NEFL | 0.0017596 | 83 | GTEx | DepMap | Descartes | 3.87 | 108.40 |
TUBB2B | 0.0017232 | 86 | GTEx | DepMap | Descartes | 7.24 | 358.48 |
ELAVL3 | 0.0016941 | 93 | GTEx | DepMap | Descartes | 3.58 | 67.95 |
NCOA7 | 0.0016728 | 98 | GTEx | DepMap | Descartes | 3.24 | NA |
PHYHIPL | 0.0016340 | 103 | GTEx | DepMap | Descartes | 2.82 | 81.78 |
VanGroningen Mesenchymal Genes
Mesenchymal marker genes from Supplementary Table 2 of Van Groningen et al. Nature Genetics 2017. These genes were identified by differential expression analysis of mesenchymal-like and adrenergic-like neuroblastoma cell lines.
Wilcoxon ranksum test P-value for gene set overrepresentation: 1.00e+00
Mean rank of genes in gene set: 9016.22
Median rank of genes in gene set: 10702
Rank on gene expression program of top 30 genes in gene set:
Genes | Weight | Rank | GTEx | DepMap | Descartes | Mean.Counts | Mean.TPM |
---|---|---|---|---|---|---|---|
ATP1B1 | 0.0040667 | 8 | GTEx | DepMap | Descartes | 6.55 | 249.46 |
SHC1 | 0.0025118 | 32 | GTEx | DepMap | Descartes | 3.02 | 80.45 |
NFIC | 0.0016015 | 113 | GTEx | DepMap | Descartes | 2.19 | 22.88 |
DDR2 | 0.0011732 | 244 | GTEx | DepMap | Descartes | 2.77 | 26.24 |
ITM2B | 0.0010803 | 277 | GTEx | DepMap | Descartes | 6.48 | 66.69 |
LITAF | 0.0010116 | 323 | GTEx | DepMap | Descartes | 0.80 | 26.49 |
BGN | 0.0010002 | 335 | GTEx | DepMap | Descartes | 0.58 | 24.53 |
DUSP6 | 0.0009825 | 348 | GTEx | DepMap | Descartes | 0.86 | 20.46 |
PRDX4 | 0.0009669 | 360 | GTEx | DepMap | Descartes | 5.33 | 540.18 |
SPRY4 | 0.0009310 | 380 | GTEx | DepMap | Descartes | 0.58 | 11.15 |
SDC2 | 0.0008680 | 442 | GTEx | DepMap | Descartes | 1.10 | 34.76 |
MMP2 | 0.0008567 | 451 | GTEx | DepMap | Descartes | 2.38 | 60.57 |
CRABP2 | 0.0008176 | 486 | GTEx | DepMap | Descartes | 2.00 | 208.61 |
DESI2 | 0.0006665 | 653 | GTEx | DepMap | Descartes | 2.06 | NA |
ITM2C | 0.0006361 | 691 | GTEx | DepMap | Descartes | 1.90 | 88.70 |
FZD7 | 0.0006252 | 702 | GTEx | DepMap | Descartes | 0.26 | 6.55 |
SSBP4 | 0.0006108 | 719 | GTEx | DepMap | Descartes | 2.06 | 105.39 |
IL6ST | 0.0005891 | 756 | GTEx | DepMap | Descartes | 1.33 | 14.46 |
LMNA | 0.0005646 | 799 | GTEx | DepMap | Descartes | 4.08 | 114.25 |
B2M | 0.0005630 | 803 | GTEx | DepMap | Descartes | 10.88 | 433.01 |
PRDX6 | 0.0005462 | 833 | GTEx | DepMap | Descartes | 7.47 | 405.34 |
ALDH1A3 | 0.0005144 | 892 | GTEx | DepMap | Descartes | 0.09 | 2.41 |
LIX1L | 0.0005119 | 897 | GTEx | DepMap | Descartes | 0.76 | 17.46 |
COPA | 0.0004852 | 945 | GTEx | DepMap | Descartes | 2.25 | 37.57 |
SOSTDC1 | 0.0004775 | 976 | GTEx | DepMap | Descartes | 0.05 | 2.08 |
LAPTM4A | 0.0004620 | 1010 | GTEx | DepMap | Descartes | 3.54 | 244.63 |
FAM120A | 0.0004494 | 1043 | GTEx | DepMap | Descartes | 1.41 | 24.06 |
EGFR | 0.0004396 | 1077 | GTEx | DepMap | Descartes | 0.80 | 7.64 |
NANS | 0.0004208 | 1137 | GTEx | DepMap | Descartes | 1.11 | 35.91 |
CTSB | 0.0004042 | 1198 | GTEx | DepMap | Descartes | 1.44 | 32.58 |
Descartes adrenocortical markers
Top 50 marker genes of adrenocortical cells in the Decartes fetal adrenal single cell map (https://atlas.brotmanbaty.org/bbi/human-gene-expression-during-development/cell/adrenocortical/in/adrenal)
Wilcoxon ranksum test P-value for gene set overrepresentation: 7.00e-01
Mean rank of genes in gene set: 6591.5
Median rank of genes in gene set: 7213.5
Rank on gene expression program of top 30 genes in gene set:
Genes | Weight | Rank | GTEx | DepMap | Descartes | Mean.Counts | Mean.TPM |
---|---|---|---|---|---|---|---|
FDPS | 0.0009705 | 358 | GTEx | DepMap | Descartes | 5.30 | 260.22 |
IGF1R | 0.0008359 | 467 | GTEx | DepMap | Descartes | 1.24 | 10.11 |
SCARB1 | 0.0004732 | 987 | GTEx | DepMap | Descartes | 0.50 | 8.80 |
PEG3 | 0.0004099 | 1170 | GTEx | DepMap | Descartes | 0.30 | NA |
DHCR24 | 0.0003784 | 1268 | GTEx | DepMap | Descartes | 1.26 | 20.00 |
APOC1 | 0.0003310 | 1456 | GTEx | DepMap | Descartes | 0.22 | 30.70 |
INHA | 0.0003141 | 1538 | GTEx | DepMap | Descartes | 0.02 | 0.93 |
HMGCS1 | 0.0001909 | 2188 | GTEx | DepMap | Descartes | 1.10 | 20.20 |
LDLR | 0.0000813 | 3129 | GTEx | DepMap | Descartes | 0.59 | 10.23 |
GSTA4 | 0.0000580 | 3403 | GTEx | DepMap | Descartes | 0.65 | 37.03 |
MSMO1 | 0.0000447 | 3566 | GTEx | DepMap | Descartes | 0.83 | 37.98 |
STAR | 0.0000129 | 4016 | GTEx | DepMap | Descartes | 0.01 | 0.36 |
SGCZ | 0.0000051 | 4133 | GTEx | DepMap | Descartes | 0.02 | 0.22 |
GRAMD1B | -0.0000165 | 4528 | GTEx | DepMap | Descartes | 0.09 | 1.20 |
JAKMIP2 | -0.0001036 | 6547 | GTEx | DepMap | Descartes | 0.85 | 9.13 |
DNER | -0.0001156 | 6812 | GTEx | DepMap | Descartes | 0.02 | 0.46 |
FREM2 | -0.0001218 | 6920 | GTEx | DepMap | Descartes | 0.00 | 0.00 |
HMGCR | -0.0001261 | 7018 | GTEx | DepMap | Descartes | 1.00 | 22.96 |
TM7SF2 | -0.0001463 | 7409 | GTEx | DepMap | Descartes | 0.97 | 35.28 |
SH3BP5 | -0.0001856 | 8082 | GTEx | DepMap | Descartes | 0.49 | 12.99 |
DHCR7 | -0.0001966 | 8240 | GTEx | DepMap | Descartes | 0.39 | 13.12 |
CYB5B | -0.0001980 | 8261 | GTEx | DepMap | Descartes | 1.07 | 23.47 |
FRMD5 | -0.0002128 | 8492 | GTEx | DepMap | Descartes | 0.09 | 1.33 |
FDX1 | -0.0002192 | 8584 | GTEx | DepMap | Descartes | 0.52 | 14.35 |
POR | -0.0002757 | 9324 | GTEx | DepMap | Descartes | 0.52 | 18.55 |
ERN1 | -0.0002933 | 9537 | GTEx | DepMap | Descartes | 0.06 | 0.55 |
BAIAP2L1 | -0.0003088 | 9709 | GTEx | DepMap | Descartes | 0.03 | 0.39 |
SCAP | -0.0003160 | 9779 | GTEx | DepMap | Descartes | 0.27 | 5.41 |
NPC1 | -0.0003418 | 10049 | GTEx | DepMap | Descartes | 0.07 | 1.39 |
PDE10A | -0.0004359 | 10775 | GTEx | DepMap | Descartes | 0.03 | 0.39 |
Descartes chromaffin markers
Top 50 marker genes of chromaffin cells in the Decartes fetal adrenal single cell map (https://atlas.brotmanbaty.org/bbi/human-gene-expression-during-development/cell/chromaffin/in/adrenal)
Wilcoxon ranksum test P-value for gene set overrepresentation: 3.04e-05
Mean rank of genes in gene set: 4010.07
Median rank of genes in gene set: 1978
Rank on gene expression program of top 30 genes in gene set:
Genes | Weight | Rank | GTEx | DepMap | Descartes | Mean.Counts | Mean.TPM |
---|---|---|---|---|---|---|---|
GAL | 0.0055553 | 1 | GTEx | DepMap | Descartes | 47.77 | 6604.14 |
SLC6A2 | 0.0030808 | 20 | GTEx | DepMap | Descartes | 3.95 | 115.77 |
TUBA1A | 0.0027506 | 24 | GTEx | DepMap | Descartes | 29.53 | 1495.68 |
MLLT11 | 0.0025985 | 30 | GTEx | DepMap | Descartes | 8.41 | 315.74 |
STMN2 | 0.0022903 | 37 | GTEx | DepMap | Descartes | 16.29 | 805.60 |
SYNPO2 | 0.0020777 | 52 | GTEx | DepMap | Descartes | 5.25 | 33.18 |
CCND1 | 0.0019915 | 58 | GTEx | DepMap | Descartes | 13.99 | 299.36 |
TUBB2B | 0.0017232 | 86 | GTEx | DepMap | Descartes | 7.24 | 358.48 |
MARCH11 | 0.0012640 | 206 | GTEx | DepMap | Descartes | 1.88 | NA |
MAP1B | 0.0009115 | 400 | GTEx | DepMap | Descartes | 17.07 | 130.91 |
RPH3A | 0.0008677 | 443 | GTEx | DepMap | Descartes | 0.69 | 11.72 |
MAB21L1 | 0.0008512 | 458 | GTEx | DepMap | Descartes | 3.95 | 141.91 |
MAB21L2 | 0.0008205 | 483 | GTEx | DepMap | Descartes | 1.39 | 57.37 |
NPY | 0.0007145 | 603 | GTEx | DepMap | Descartes | 10.03 | 1508.36 |
NTRK1 | 0.0006974 | 623 | GTEx | DepMap | Descartes | 0.61 | 20.19 |
GREM1 | 0.0005952 | 745 | GTEx | DepMap | Descartes | 0.31 | 2.17 |
HS3ST5 | 0.0005646 | 800 | GTEx | DepMap | Descartes | 0.25 | 6.39 |
CNTFR | 0.0005046 | 908 | GTEx | DepMap | Descartes | 0.92 | 38.50 |
GAP43 | 0.0004365 | 1085 | GTEx | DepMap | Descartes | 1.62 | 78.43 |
CNKSR2 | 0.0002736 | 1725 | GTEx | DepMap | Descartes | 0.21 | 2.51 |
EYA4 | 0.0002270 | 1978 | GTEx | DepMap | Descartes | 0.19 | 3.88 |
IL7 | 0.0002058 | 2099 | GTEx | DepMap | Descartes | 0.23 | 10.79 |
BASP1 | 0.0001964 | 2155 | GTEx | DepMap | Descartes | 4.45 | 225.66 |
REEP1 | 0.0000636 | 3340 | GTEx | DepMap | Descartes | 0.08 | 1.75 |
ISL1 | 0.0000185 | 3935 | GTEx | DepMap | Descartes | 2.33 | 84.68 |
TMEM132C | -0.0000425 | 5128 | GTEx | DepMap | Descartes | 0.00 | 0.13 |
EPHA6 | -0.0000440 | 5162 | GTEx | DepMap | Descartes | 0.01 | 0.30 |
ANKFN1 | -0.0000736 | 5833 | GTEx | DepMap | Descartes | 0.00 | 0.04 |
PTCHD1 | -0.0000876 | 6159 | GTEx | DepMap | Descartes | 0.02 | 0.11 |
EYA1 | -0.0001812 | 8015 | GTEx | DepMap | Descartes | 0.34 | 7.61 |
Descartes Vascular_endothelial markers
Top 50 marker genes of Vascular_endothelial cells in the Decartes fetal adrenal single cell map (https://atlas.brotmanbaty.org/bbi/human-gene-expression-during-development/cell/vascular_endothelial/in/adrenal)
Wilcoxon ranksum test P-value for gene set overrepresentation: 2.48e-01
Mean rank of genes in gene set: 5876.18
Median rank of genes in gene set: 5653
Rank on gene expression program of top 30 genes in gene set:
Genes | Weight | Rank | GTEx | DepMap | Descartes | Mean.Counts | Mean.TPM |
---|---|---|---|---|---|---|---|
CHRM3 | 0.0015142 | 133 | GTEx | DepMap | Descartes | 1.11 | 13.70 |
PTPRB | 0.0003799 | 1266 | GTEx | DepMap | Descartes | 0.16 | 1.44 |
RAMP2 | 0.0002428 | 1896 | GTEx | DepMap | Descartes | 0.60 | 63.87 |
EFNB2 | 0.0001441 | 2537 | GTEx | DepMap | Descartes | 0.49 | 8.48 |
NOTCH4 | 0.0001057 | 2906 | GTEx | DepMap | Descartes | 0.08 | 1.08 |
FLT4 | 0.0001045 | 2916 | GTEx | DepMap | Descartes | 0.02 | 0.30 |
SHE | 0.0000952 | 3003 | GTEx | DepMap | Descartes | 0.00 | 0.04 |
CDH5 | 0.0000937 | 3019 | GTEx | DepMap | Descartes | 0.00 | 0.02 |
TIE1 | 0.0000847 | 3101 | GTEx | DepMap | Descartes | 0.00 | 0.04 |
RASIP1 | 0.0000525 | 3471 | GTEx | DepMap | Descartes | 0.01 | 0.38 |
IRX3 | 0.0000429 | 3587 | GTEx | DepMap | Descartes | 0.09 | 2.52 |
F8 | 0.0000373 | 3661 | GTEx | DepMap | Descartes | 0.02 | 0.20 |
BTNL9 | 0.0000197 | 3913 | GTEx | DepMap | Descartes | 0.00 | 0.08 |
CRHBP | -0.0000159 | 4516 | GTEx | DepMap | Descartes | 0.00 | 0.00 |
KDR | -0.0000344 | 4934 | GTEx | DepMap | Descartes | 0.00 | 0.02 |
ESM1 | -0.0000422 | 5116 | GTEx | DepMap | Descartes | 0.00 | 0.10 |
PLVAP | -0.0000473 | 5242 | GTEx | DepMap | Descartes | 0.00 | 0.00 |
NR5A2 | -0.0000496 | 5301 | GTEx | DepMap | Descartes | 0.00 | 0.00 |
MMRN2 | -0.0000635 | 5615 | GTEx | DepMap | Descartes | 0.00 | 0.01 |
ROBO4 | -0.0000668 | 5691 | GTEx | DepMap | Descartes | 0.00 | 0.11 |
CEACAM1 | -0.0000683 | 5721 | GTEx | DepMap | Descartes | 0.00 | 0.18 |
SHANK3 | -0.0000698 | 5750 | GTEx | DepMap | Descartes | 0.04 | 0.41 |
TEK | -0.0000789 | 5966 | GTEx | DepMap | Descartes | 0.00 | 0.00 |
KANK3 | -0.0000889 | 6190 | GTEx | DepMap | Descartes | 0.00 | 0.06 |
ID1 | -0.0000922 | 6272 | GTEx | DepMap | Descartes | 4.33 | 312.32 |
CYP26B1 | -0.0001002 | 6468 | GTEx | DepMap | Descartes | 0.00 | 0.02 |
GALNT15 | -0.0001159 | 6818 | GTEx | DepMap | Descartes | 0.00 | NA |
CALCRL | -0.0001841 | 8057 | GTEx | DepMap | Descartes | 0.01 | 0.20 |
TMEM88 | -0.0002019 | 8320 | GTEx | DepMap | Descartes | 0.03 | 2.98 |
CLDN5 | -0.0002044 | 8353 | GTEx | DepMap | Descartes | 0.00 | 0.26 |
Descartes stromal markers
Top 50 marker genes of stromal cells in the Decartes fetal adrenal single cell map (https://atlas.brotmanbaty.org/bbi/human-gene-expression-during-development/cell/stromal/in/adrenal)
Wilcoxon ranksum test P-value for gene set overrepresentation: 1.00e+00
Mean rank of genes in gene set: 8285.66
Median rank of genes in gene set: 10070.5
Rank on gene expression program of top 30 genes in gene set:
Genes | Weight | Rank | GTEx | DepMap | Descartes | Mean.Counts | Mean.TPM |
---|---|---|---|---|---|---|---|
ABCC9 | 0.0003261 | 1479 | GTEx | DepMap | Descartes | 0.09 | 1.25 |
ADAMTS2 | 0.0003257 | 1482 | GTEx | DepMap | Descartes | 0.10 | 1.66 |
CD248 | 0.0002754 | 1721 | GTEx | DepMap | Descartes | 0.20 | 6.85 |
ITGA11 | 0.0002353 | 1939 | GTEx | DepMap | Descartes | 0.14 | 1.55 |
LAMC3 | 0.0002322 | 1956 | GTEx | DepMap | Descartes | 0.01 | 0.11 |
ADAMTSL3 | 0.0002084 | 2085 | GTEx | DepMap | Descartes | 0.00 | 0.08 |
ELN | 0.0001817 | 2250 | GTEx | DepMap | Descartes | 0.11 | 2.38 |
DCN | 0.0001573 | 2431 | GTEx | DepMap | Descartes | 0.33 | 5.07 |
CLDN11 | 0.0000761 | 3191 | GTEx | DepMap | Descartes | 0.02 | 0.80 |
BICC1 | 0.0000234 | 3861 | GTEx | DepMap | Descartes | 0.26 | 4.05 |
SFRP2 | -0.0000125 | 4450 | GTEx | DepMap | Descartes | 0.00 | 0.00 |
SCARA5 | -0.0000247 | 4696 | GTEx | DepMap | Descartes | 0.00 | 0.00 |
ISLR | -0.0000423 | 5120 | GTEx | DepMap | Descartes | 0.04 | 1.49 |
ABCA6 | -0.0000814 | 6018 | GTEx | DepMap | Descartes | 0.00 | 0.02 |
RSPO3 | -0.0000944 | 6326 | GTEx | DepMap | Descartes | 0.00 | NA |
PAMR1 | -0.0001460 | 7404 | GTEx | DepMap | Descartes | 0.00 | 0.00 |
OGN | -0.0001803 | 7992 | GTEx | DepMap | Descartes | 0.00 | 0.01 |
PRICKLE1 | -0.0001937 | 8190 | GTEx | DepMap | Descartes | 0.52 | 7.36 |
FREM1 | -0.0002259 | 8676 | GTEx | DepMap | Descartes | 0.05 | 0.36 |
EDNRA | -0.0002459 | 8932 | GTEx | DepMap | Descartes | 0.15 | 3.30 |
COL27A1 | -0.0003093 | 9717 | GTEx | DepMap | Descartes | 0.01 | 0.07 |
GAS2 | -0.0003399 | 10036 | GTEx | DepMap | Descartes | 0.02 | 0.45 |
ACTA2 | -0.0003480 | 10105 | GTEx | DepMap | Descartes | 0.12 | 6.34 |
GLI2 | -0.0004161 | 10650 | GTEx | DepMap | Descartes | 0.06 | 0.65 |
COL1A2 | -0.0004213 | 10683 | GTEx | DepMap | Descartes | 0.01 | 0.07 |
POSTN | -0.0004223 | 10687 | GTEx | DepMap | Descartes | 0.07 | 1.19 |
COL12A1 | -0.0004249 | 10708 | GTEx | DepMap | Descartes | 0.01 | 0.06 |
PCDH18 | -0.0004263 | 10720 | GTEx | DepMap | Descartes | 0.11 | 1.50 |
COL6A3 | -0.0005192 | 11266 | GTEx | DepMap | Descartes | 0.00 | 0.08 |
HHIP | -0.0005347 | 11338 | GTEx | DepMap | Descartes | 0.00 | 0.03 |
Descartes sympathoblasts markers
Top 50 marker genes of sympathoblasts cells in the Decartes fetal adrenal single cell map (https://atlas.brotmanbaty.org/bbi/human-gene-expression-during-development/cell/sympathoblasts/in/adrenal)
Wilcoxon ranksum test P-value for gene set overrepresentation: 4.31e-03
Mean rank of genes in gene set: 4733.76
Median rank of genes in gene set: 4219
Rank on gene expression program of top 30 genes in gene set:
Genes | Weight | Rank | GTEx | DepMap | Descartes | Mean.Counts | Mean.TPM |
---|---|---|---|---|---|---|---|
CHGB | 0.0030370 | 21 | GTEx | DepMap | Descartes | 7.80 | 345.83 |
CHGA | 0.0019978 | 57 | GTEx | DepMap | Descartes | 11.40 | 583.26 |
PCSK1N | 0.0014354 | 155 | GTEx | DepMap | Descartes | 5.37 | 492.05 |
FAM155A | 0.0013162 | 192 | GTEx | DepMap | Descartes | 1.08 | 10.67 |
EML6 | 0.0012171 | 225 | GTEx | DepMap | Descartes | 0.77 | 8.46 |
TIAM1 | 0.0008897 | 422 | GTEx | DepMap | Descartes | 0.79 | 10.84 |
ARC | 0.0007663 | 539 | GTEx | DepMap | Descartes | 0.22 | 7.16 |
SLC18A1 | 0.0006194 | 712 | GTEx | DepMap | Descartes | 0.25 | 8.57 |
UNC80 | 0.0004956 | 926 | GTEx | DepMap | Descartes | 0.37 | 2.65 |
SLC35F3 | 0.0004879 | 942 | GTEx | DepMap | Descartes | 0.13 | 5.00 |
PENK | 0.0004339 | 1090 | GTEx | DepMap | Descartes | 0.05 | 3.12 |
GALNTL6 | 0.0003861 | 1250 | GTEx | DepMap | Descartes | 0.08 | 1.86 |
FGF14 | 0.0003456 | 1397 | GTEx | DepMap | Descartes | 1.14 | 9.26 |
SPOCK3 | 0.0002767 | 1716 | GTEx | DepMap | Descartes | 0.12 | 3.97 |
GCH1 | 0.0002748 | 1723 | GTEx | DepMap | Descartes | 0.34 | 10.61 |
CDH12 | 0.0002251 | 1986 | GTEx | DepMap | Descartes | 0.01 | 0.16 |
KCTD16 | 0.0001644 | 2368 | GTEx | DepMap | Descartes | 0.18 | 1.11 |
DGKK | 0.0001173 | 2776 | GTEx | DepMap | Descartes | 0.04 | 0.66 |
TBX20 | 0.0000077 | 4091 | GTEx | DepMap | Descartes | 0.04 | 2.09 |
CDH18 | -0.0000063 | 4347 | GTEx | DepMap | Descartes | 0.04 | 0.96 |
KSR2 | -0.0000484 | 5269 | GTEx | DepMap | Descartes | 0.01 | 0.03 |
LAMA3 | -0.0000711 | 5776 | GTEx | DepMap | Descartes | 0.01 | 0.04 |
SORCS3 | -0.0000954 | 6346 | GTEx | DepMap | Descartes | 0.00 | 0.00 |
GRM7 | -0.0000988 | 6432 | GTEx | DepMap | Descartes | 0.06 | 1.51 |
PACRG | -0.0001281 | 7059 | GTEx | DepMap | Descartes | 0.01 | 0.47 |
AGBL4 | -0.0001377 | 7251 | GTEx | DepMap | Descartes | 0.02 | 0.59 |
CNTN3 | -0.0001455 | 7391 | GTEx | DepMap | Descartes | 0.02 | 0.32 |
SLC24A2 | -0.0001547 | 7568 | GTEx | DepMap | Descartes | 0.00 | 0.00 |
PCSK2 | -0.0001677 | 7788 | GTEx | DepMap | Descartes | 0.00 | 0.04 |
CCSER1 | -0.0002141 | 8500 | GTEx | DepMap | Descartes | 0.10 | NA |
Descartes erythroblasts markers
Top 50 marker genes of erythroblasts cells in the Decartes fetal adrenal single cell map (https://atlas.brotmanbaty.org/bbi/human-gene-expression-during-development/cell/erythroblasts/in/adrenal)
Wilcoxon ranksum test P-value for gene set overrepresentation: 5.57e-01
Mean rank of genes in gene set: 6371.34
Median rank of genes in gene set: 5900
Rank on gene expression program of top 30 genes in gene set:
Genes | Weight | Rank | GTEx | DepMap | Descartes | Mean.Counts | Mean.TPM |
---|---|---|---|---|---|---|---|
TFR2 | 0.0003558 | 1349 | GTEx | DepMap | Descartes | 0.11 | 2.94 |
TSPAN5 | 0.0003043 | 1582 | GTEx | DepMap | Descartes | 1.05 | 22.71 |
SLC25A37 | 0.0002910 | 1642 | GTEx | DepMap | Descartes | 1.31 | 28.14 |
ANK1 | 0.0002652 | 1765 | GTEx | DepMap | Descartes | 0.11 | 1.47 |
DENND4A | 0.0001823 | 2244 | GTEx | DepMap | Descartes | 0.33 | 3.99 |
RAPGEF2 | 0.0001400 | 2577 | GTEx | DepMap | Descartes | 0.48 | 5.42 |
SLC4A1 | 0.0001175 | 2774 | GTEx | DepMap | Descartes | 0.00 | 0.01 |
TMCC2 | 0.0001061 | 2900 | GTEx | DepMap | Descartes | 0.05 | 1.20 |
SPTB | 0.0000815 | 3128 | GTEx | DepMap | Descartes | 0.03 | 0.44 |
ALAS2 | 0.0000147 | 3990 | GTEx | DepMap | Descartes | 0.00 | 0.07 |
XPO7 | 0.0000060 | 4116 | GTEx | DepMap | Descartes | 0.53 | 9.42 |
GYPC | -0.0000200 | 4601 | GTEx | DepMap | Descartes | 0.00 | 0.00 |
RGS6 | -0.0000386 | 5023 | GTEx | DepMap | Descartes | 0.00 | 0.00 |
GCLC | -0.0000700 | 5753 | GTEx | DepMap | Descartes | 0.31 | 8.28 |
TRAK2 | -0.0000762 | 5900 | GTEx | DepMap | Descartes | 0.42 | 5.92 |
CPOX | -0.0000893 | 6200 | GTEx | DepMap | Descartes | 0.14 | 4.93 |
SLC25A21 | -0.0001395 | 7285 | GTEx | DepMap | Descartes | 0.00 | 0.00 |
ABCB10 | -0.0001417 | 7322 | GTEx | DepMap | Descartes | 0.14 | 3.31 |
FECH | -0.0001472 | 7424 | GTEx | DepMap | Descartes | 0.13 | 1.42 |
RHD | -0.0002088 | 8425 | GTEx | DepMap | Descartes | 0.00 | 0.05 |
SELENBP1 | -0.0002435 | 8901 | GTEx | DepMap | Descartes | 0.02 | 0.37 |
SNCA | -0.0003412 | 10047 | GTEx | DepMap | Descartes | 0.25 | 6.86 |
MARCH3 | -0.0004021 | 10563 | GTEx | DepMap | Descartes | 0.08 | NA |
CAT | -0.0004473 | 10842 | GTEx | DepMap | Descartes | 0.31 | 11.00 |
SOX6 | -0.0004606 | 10925 | GTEx | DepMap | Descartes | 0.01 | 0.07 |
EPB41 | -0.0006182 | 11626 | GTEx | DepMap | Descartes | 1.19 | 17.11 |
BLVRB | -0.0006508 | 11738 | GTEx | DepMap | Descartes | 0.30 | 16.06 |
MICAL2 | -0.0007323 | 11939 | GTEx | DepMap | Descartes | 0.09 | 0.87 |
SPECC1 | -0.0008711 | 12188 | GTEx | DepMap | Descartes | 0.21 | 1.58 |
NA | NA | NA | NA | NA | NA | NA | NA |
Descartes myeloid markers
Top 50 marker genes of myeloid cells in the Decartes fetal adrenal single cell map (https://atlas.brotmanbaty.org/bbi/human-gene-expression-during-development/cell/myeloid/in/adrenal)
Wilcoxon ranksum test P-value for gene set overrepresentation: 8.11e-01
Mean rank of genes in gene set: 6791.66
Median rank of genes in gene set: 6452
Rank on gene expression program of top 30 genes in gene set:
Genes | Weight | Rank | GTEx | DepMap | Descartes | Mean.Counts | Mean.TPM |
---|---|---|---|---|---|---|---|
CD163L1 | 0.0008190 | 484 | GTEx | DepMap | Descartes | 0.95 | 21.27 |
SFMBT2 | 0.0006842 | 638 | GTEx | DepMap | Descartes | 0.33 | 3.87 |
CYBB | 0.0004816 | 961 | GTEx | DepMap | Descartes | 0.00 | 0.09 |
CTSB | 0.0004042 | 1198 | GTEx | DepMap | Descartes | 1.44 | 32.58 |
RBPJ | 0.0003899 | 1238 | GTEx | DepMap | Descartes | 2.14 | 35.00 |
CPVL | 0.0002819 | 1683 | GTEx | DepMap | Descartes | 0.39 | 19.26 |
ATP8B4 | 0.0001083 | 2872 | GTEx | DepMap | Descartes | 0.00 | 0.00 |
RGL1 | 0.0000742 | 3211 | GTEx | DepMap | Descartes | 0.30 | 5.69 |
CD14 | 0.0000459 | 3551 | GTEx | DepMap | Descartes | 0.00 | 0.18 |
CD163 | -0.0000078 | 4362 | GTEx | DepMap | Descartes | 0.00 | 0.00 |
FGD2 | -0.0000150 | 4502 | GTEx | DepMap | Descartes | 0.00 | 0.00 |
MS4A4A | -0.0000220 | 4640 | GTEx | DepMap | Descartes | 0.00 | 0.00 |
LGMN | -0.0000316 | 4857 | GTEx | DepMap | Descartes | 0.31 | 13.13 |
WWP1 | -0.0000344 | 4932 | GTEx | DepMap | Descartes | 0.27 | 5.17 |
FGL2 | -0.0000444 | 5173 | GTEx | DepMap | Descartes | 0.00 | 0.04 |
SLCO2B1 | -0.0000458 | 5212 | GTEx | DepMap | Descartes | 0.00 | 0.05 |
CSF1R | -0.0000719 | 5796 | GTEx | DepMap | Descartes | 0.00 | 0.01 |
CD74 | -0.0000915 | 6256 | GTEx | DepMap | Descartes | 0.00 | 0.00 |
MSR1 | -0.0000947 | 6332 | GTEx | DepMap | Descartes | 0.00 | 0.00 |
HCK | -0.0001047 | 6572 | GTEx | DepMap | Descartes | 0.00 | 0.00 |
ADAP2 | -0.0001302 | 7101 | GTEx | DepMap | Descartes | 0.00 | 0.03 |
SLC9A9 | -0.0001421 | 7327 | GTEx | DepMap | Descartes | 0.00 | 0.02 |
SPP1 | -0.0001471 | 7422 | GTEx | DepMap | Descartes | 0.01 | 0.20 |
CTSS | -0.0001729 | 7875 | GTEx | DepMap | Descartes | 0.02 | 0.53 |
IFNGR1 | -0.0001814 | 8019 | GTEx | DepMap | Descartes | 0.30 | 11.88 |
MERTK | -0.0003552 | 10169 | GTEx | DepMap | Descartes | 0.02 | 0.35 |
CST3 | -0.0003675 | 10288 | GTEx | DepMap | Descartes | 3.10 | 79.83 |
SLC1A3 | -0.0004024 | 10566 | GTEx | DepMap | Descartes | 0.04 | 1.07 |
ABCA1 | -0.0004079 | 10600 | GTEx | DepMap | Descartes | 0.04 | 0.28 |
HRH1 | -0.0004321 | 10755 | GTEx | DepMap | Descartes | 0.11 | 1.66 |
Descartes Schwann markers
Top 50 marker genes of Schwann cells in the Decartes fetal adrenal single cell map (https://atlas.brotmanbaty.org/bbi/human-gene-expression-during-development/cell/schwann/in/adrenal)
Wilcoxon ranksum test P-value for gene set overrepresentation: 9.99e-01
Mean rank of genes in gene set: 8007.39
Median rank of genes in gene set: 8521
Rank on gene expression program of top 30 genes in gene set:
Genes | Weight | Rank | GTEx | DepMap | Descartes | Mean.Counts | Mean.TPM |
---|---|---|---|---|---|---|---|
MARCKS | 0.0015052 | 134 | GTEx | DepMap | Descartes | 15.18 | 316.40 |
GFRA3 | 0.0008275 | 473 | GTEx | DepMap | Descartes | 0.11 | 5.11 |
SFRP1 | 0.0006834 | 639 | GTEx | DepMap | Descartes | 4.86 | 104.81 |
GAS7 | 0.0002256 | 1982 | GTEx | DepMap | Descartes | 0.03 | 0.40 |
LAMA4 | 0.0001873 | 2211 | GTEx | DepMap | Descartes | 0.21 | 2.99 |
KCTD12 | 0.0001517 | 2490 | GTEx | DepMap | Descartes | 0.80 | 11.45 |
STARD13 | 0.0000485 | 3522 | GTEx | DepMap | Descartes | 0.07 | 1.21 |
FIGN | -0.0000149 | 4499 | GTEx | DepMap | Descartes | 0.49 | 4.98 |
IL1RAPL2 | -0.0000240 | 4684 | GTEx | DepMap | Descartes | 0.00 | 0.00 |
XKR4 | -0.0000299 | 4819 | GTEx | DepMap | Descartes | 0.00 | 0.01 |
ERBB3 | -0.0000437 | 5156 | GTEx | DepMap | Descartes | 0.00 | 0.30 |
LRRTM4 | -0.0000442 | 5169 | GTEx | DepMap | Descartes | 0.01 | 0.26 |
PAG1 | -0.0000982 | 6416 | GTEx | DepMap | Descartes | 0.14 | 1.14 |
PLP1 | -0.0001040 | 6557 | GTEx | DepMap | Descartes | 0.00 | 0.05 |
NRXN3 | -0.0001067 | 6614 | GTEx | DepMap | Descartes | 0.01 | 0.06 |
EDNRB | -0.0001176 | 6847 | GTEx | DepMap | Descartes | 0.00 | 0.08 |
MPZ | -0.0001435 | 7358 | GTEx | DepMap | Descartes | 0.01 | 0.18 |
SCN7A | -0.0001525 | 7528 | GTEx | DepMap | Descartes | 0.01 | 0.11 |
EGFLAM | -0.0001832 | 8042 | GTEx | DepMap | Descartes | 0.02 | 0.25 |
PMP22 | -0.0001977 | 8256 | GTEx | DepMap | Descartes | 0.69 | 32.17 |
MDGA2 | -0.0002025 | 8330 | GTEx | DepMap | Descartes | 0.00 | 0.11 |
COL25A1 | -0.0002141 | 8499 | GTEx | DepMap | Descartes | 0.00 | 0.03 |
IL1RAPL1 | -0.0002166 | 8543 | GTEx | DepMap | Descartes | 0.02 | 0.28 |
NRXN1 | -0.0002245 | 8657 | GTEx | DepMap | Descartes | 0.37 | 4.37 |
GRIK3 | -0.0002660 | 9200 | GTEx | DepMap | Descartes | 0.03 | 0.28 |
OLFML2A | -0.0002892 | 9479 | GTEx | DepMap | Descartes | 0.01 | 0.09 |
ERBB4 | -0.0003173 | 9791 | GTEx | DepMap | Descartes | 0.03 | 0.24 |
VIM | -0.0003309 | 9946 | GTEx | DepMap | Descartes | 25.51 | 805.99 |
TRPM3 | -0.0003472 | 10094 | GTEx | DepMap | Descartes | 0.01 | 0.09 |
PTPRZ1 | -0.0003735 | 10341 | GTEx | DepMap | Descartes | 0.00 | 0.00 |
Descartes Megakaryocytes markers
Top 50 marker genes of Megakaryocytes cells in the Decartes fetal adrenal single cell map (https://atlas.brotmanbaty.org/bbi/human-gene-expression-during-development/cell/megakaryocytes/in/adrenal)
Wilcoxon ranksum test P-value for gene set overrepresentation: 1.00e+00
Mean rank of genes in gene set: 8247.64
Median rank of genes in gene set: 8933
Rank on gene expression program of top 30 genes in gene set:
Genes | Weight | Rank | GTEx | DepMap | Descartes | Mean.Counts | Mean.TPM |
---|---|---|---|---|---|---|---|
RAB27B | 0.0013345 | 182 | GTEx | DepMap | Descartes | 0.44 | 6.98 |
LIMS1 | 0.0002549 | 1831 | GTEx | DepMap | Descartes | 1.95 | 37.74 |
TLN1 | 0.0002421 | 1901 | GTEx | DepMap | Descartes | 2.68 | 27.66 |
ARHGAP6 | 0.0001410 | 2565 | GTEx | DepMap | Descartes | 0.14 | 1.83 |
STON2 | 0.0001056 | 2907 | GTEx | DepMap | Descartes | 0.11 | 2.87 |
SLC2A3 | 0.0000812 | 3132 | GTEx | DepMap | Descartes | 0.07 | 1.52 |
CD84 | 0.0000056 | 4124 | GTEx | DepMap | Descartes | 0.00 | 0.00 |
MMRN1 | -0.0000297 | 4817 | GTEx | DepMap | Descartes | 0.00 | 0.00 |
TUBB1 | -0.0000336 | 4911 | GTEx | DepMap | Descartes | 0.00 | 0.23 |
MCTP1 | -0.0000349 | 4958 | GTEx | DepMap | Descartes | 0.04 | 0.71 |
ITGB3 | -0.0000459 | 5213 | GTEx | DepMap | Descartes | 0.01 | 0.08 |
P2RX1 | -0.0000516 | 5344 | GTEx | DepMap | Descartes | 0.00 | 0.02 |
SPN | -0.0000519 | 5348 | GTEx | DepMap | Descartes | 0.00 | 0.06 |
ITGA2B | -0.0000615 | 5567 | GTEx | DepMap | Descartes | 0.02 | 0.37 |
PLEK | -0.0000836 | 6066 | GTEx | DepMap | Descartes | 0.00 | 0.00 |
GP1BA | -0.0000881 | 6173 | GTEx | DepMap | Descartes | 0.00 | 0.06 |
TRPC6 | -0.0001047 | 6569 | GTEx | DepMap | Descartes | 0.00 | 0.00 |
TPM4 | -0.0001625 | 7705 | GTEx | DepMap | Descartes | 4.69 | 85.75 |
ACTN1 | -0.0001668 | 7768 | GTEx | DepMap | Descartes | 1.56 | 25.87 |
MED12L | -0.0001685 | 7798 | GTEx | DepMap | Descartes | 0.08 | 0.61 |
INPP4B | -0.0001930 | 8181 | GTEx | DepMap | Descartes | 0.03 | 0.27 |
ACTB | -0.0001956 | 8227 | GTEx | DepMap | Descartes | 32.16 | 1187.62 |
STOM | -0.0002462 | 8933 | GTEx | DepMap | Descartes | 0.28 | 8.92 |
FLI1 | -0.0002637 | 9166 | GTEx | DepMap | Descartes | 0.00 | 0.01 |
SLC24A3 | -0.0002719 | 9278 | GTEx | DepMap | Descartes | 0.00 | 0.00 |
DOK6 | -0.0002893 | 9481 | GTEx | DepMap | Descartes | 0.25 | 2.21 |
FERMT3 | -0.0003116 | 9744 | GTEx | DepMap | Descartes | 0.01 | 0.70 |
UBASH3B | -0.0003701 | 10313 | GTEx | DepMap | Descartes | 0.02 | 0.14 |
ANGPT1 | -0.0004618 | 10935 | GTEx | DepMap | Descartes | 0.03 | 0.45 |
PDE3A | -0.0004657 | 10963 | GTEx | DepMap | Descartes | 0.02 | 0.13 |
Descartes Lyphoid markers
Top 50 marker genes of Lyphoid cells in the Decartes fetal adrenal single cell map (https://atlas.brotmanbaty.org/bbi/human-gene-expression-during-development/cell/lymphoid/in/adrenal)
Wilcoxon ranksum test P-value for gene set overrepresentation: 2.63e-01
Mean rank of genes in gene set: 5921.71
Median rank of genes in gene set: 5848.5
Rank on gene expression program of top 30 genes in gene set:
Genes | Weight | Rank | GTEx | DepMap | Descartes | Mean.Counts | Mean.TPM |
---|---|---|---|---|---|---|---|
ABLIM1 | 0.0013676 | 167 | GTEx | DepMap | Descartes | 1.62 | 19.61 |
EVL | 0.0012616 | 208 | GTEx | DepMap | Descartes | 2.35 | 57.47 |
GNG2 | 0.0011386 | 254 | GTEx | DepMap | Descartes | 1.18 | 32.32 |
FYN | 0.0005967 | 741 | GTEx | DepMap | Descartes | 1.16 | 29.91 |
B2M | 0.0005630 | 803 | GTEx | DepMap | Descartes | 10.88 | 433.01 |
ANKRD44 | 0.0005566 | 815 | GTEx | DepMap | Descartes | 0.43 | 5.39 |
SORL1 | 0.0004094 | 1174 | GTEx | DepMap | Descartes | 0.24 | 2.25 |
WIPF1 | 0.0004083 | 1178 | GTEx | DepMap | Descartes | 0.53 | 10.95 |
RCSD1 | 0.0003536 | 1362 | GTEx | DepMap | Descartes | 0.01 | 0.21 |
ARHGAP15 | 0.0003484 | 1385 | GTEx | DepMap | Descartes | 0.00 | 0.04 |
MCTP2 | 0.0003454 | 1399 | GTEx | DepMap | Descartes | 0.04 | 0.56 |
BCL2 | 0.0003321 | 1450 | GTEx | DepMap | Descartes | 0.58 | 7.64 |
STK39 | 0.0002919 | 1636 | GTEx | DepMap | Descartes | 0.60 | 17.67 |
NCALD | 0.0002645 | 1771 | GTEx | DepMap | Descartes | 0.30 | 6.98 |
BACH2 | 0.0001545 | 2459 | GTEx | DepMap | Descartes | 0.12 | 1.26 |
PRKCH | 0.0001541 | 2465 | GTEx | DepMap | Descartes | 0.06 | 1.49 |
RAP1GAP2 | 0.0001334 | 2638 | GTEx | DepMap | Descartes | 0.28 | 3.89 |
FOXP1 | 0.0000473 | 3538 | GTEx | DepMap | Descartes | 1.18 | 11.03 |
CCL5 | 0.0000056 | 4125 | GTEx | DepMap | Descartes | 0.00 | 0.27 |
SCML4 | -0.0000242 | 4687 | GTEx | DepMap | Descartes | 0.00 | 0.07 |
ARID5B | -0.0000689 | 5738 | GTEx | DepMap | Descartes | 0.79 | 9.14 |
SKAP1 | -0.0000786 | 5959 | GTEx | DepMap | Descartes | 0.00 | 0.00 |
CCND3 | -0.0001152 | 6800 | GTEx | DepMap | Descartes | 0.31 | 10.55 |
IKZF1 | -0.0001211 | 6913 | GTEx | DepMap | Descartes | 0.00 | 0.01 |
SAMD3 | -0.0001293 | 7082 | GTEx | DepMap | Descartes | 0.00 | 0.04 |
PDE3B | -0.0001993 | 8281 | GTEx | DepMap | Descartes | 0.23 | 3.67 |
LCP1 | -0.0002017 | 8314 | GTEx | DepMap | Descartes | 0.03 | 0.70 |
TOX | -0.0002454 | 8927 | GTEx | DepMap | Descartes | 0.29 | 5.85 |
PITPNC1 | -0.0003068 | 9685 | GTEx | DepMap | Descartes | 0.33 | 4.58 |
MBNL1 | -0.0003793 | 10392 | GTEx | DepMap | Descartes | 0.78 | 11.35 |
Below shows the ranks on this GEP for immune marker gene lists curated by CellTypist (https://www.celltypist.org/encyclopedia).
High ranks indicate this gene is a driver of this GEP.
These curated gene list are ranked by P-value (on this GEP) of their constituent genes.
The Mean Count column shows the mean read count in cells scoring highly (H > 50) on this gene expression program.
Genes | Weight | Rank | GTEx | DepMap | Decartes | Mean.Counts | Mean.TPM |
---|---|---|---|---|---|---|---|
CADM1 | 0.0021939 | 44 | GTEx | DepMap | Descartes | 3.04 | 36.13 |
BATF3 | 0.0004560 | 1025 | GTEx | DepMap | Descartes | 0.15 | 5.94 |
Erythroid: Early erythroid (curated markers)
early erythroid cells which are committed to erythroid lineage cells:
Wilcoxon ranksum test P-value for gene set overrepresentation: 2.16e-02
Mean rank of genes in gene set: 2048.33
Rank on gene expression program of genes in gene set:
Genes | Weight | Rank | GTEx | DepMap | Decartes | Mean.Counts | Mean.TPM |
---|---|---|---|---|---|---|---|
GATA2 | 0.0016062 | 112 | GTEx | DepMap | Descartes | 4.51 | 121.78 |
APOC1 | 0.0003310 | 1456 | GTEx | DepMap | Descartes | 0.22 | 30.70 |
TESPA1 | -0.0000191 | 4577 | GTEx | DepMap | Descartes | 0.00 | NA |
Erythroid: Mid erythroid (curated markers)
middle erythroid cells in fetal liver:
Wilcoxon ranksum test P-value for gene set overrepresentation: 2.50e-02
Mean rank of genes in gene set: 1253
Rank on gene expression program of genes in gene set:
Genes | Weight | Rank | GTEx | DepMap | Decartes | Mean.Counts | Mean.TPM |
---|---|---|---|---|---|---|---|
PRDX2 | 0.0026206 | 29 | GTEx | DepMap | Descartes | 17.71 | 955.49 |
KCNH2 | 0.0001530 | 2477 | GTEx | DepMap | Descartes | 0.92 | 16.66 |