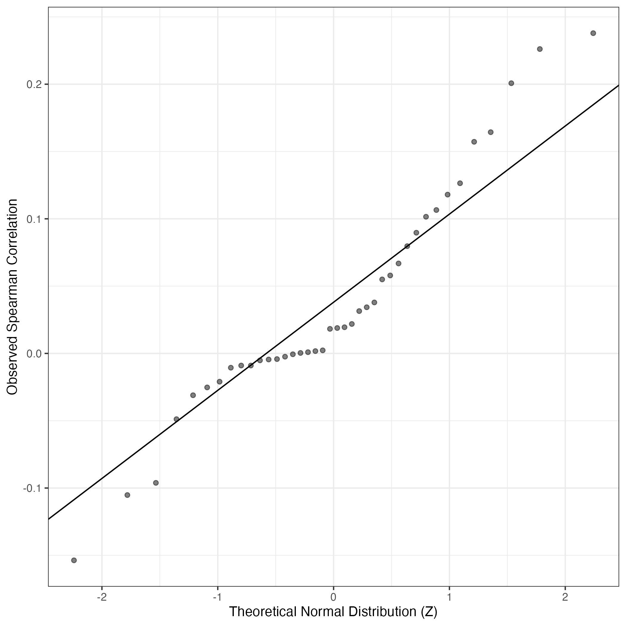
QQ-plot of gene loadings, averaged over both independent splits of the data
This plot highlights the relative contribution of each gene to the GEP
Top genes driving this program.
Note: Decartes website is buggy, try refreshing. Also, Decartes fetal adrenal data have been collected at specific time points (89-122 days), all possible cell types of interest may not be represented, do not overinterpret.
The Mean Count column shows the mean read count in cells scoring highly (H > 50) on this gene expression program.
Gene | Loading | Gene.Name | GTEx | DepMap | Descartes | Mean.Counts | Mean.Tpm | |
---|---|---|---|---|---|---|---|---|
1 | IL7R | 0.0122079 | interleukin 7 receptor | GTEx | DepMap | Descartes | 4.69 | 469.58 |
2 | ETS1 | 0.0086103 | ETS proto-oncogene 1, transcription factor | GTEx | DepMap | Descartes | 1.05 | 95.20 |
3 | PTPRC | 0.0085266 | protein tyrosine phosphatase receptor type C | GTEx | DepMap | Descartes | 2.89 | 254.97 |
4 | SMAP2 | 0.0083735 | small ArfGAP2 | GTEx | DepMap | Descartes | 1.37 | 211.72 |
5 | GPR171 | 0.0083068 | G protein-coupled receptor 171 | GTEx | DepMap | Descartes | 0.78 | 184.98 |
6 | TPT1 | 0.0082412 | tumor protein, translationally-controlled 1 | GTEx | DepMap | Descartes | 40.30 | 3050.23 |
7 | JUND | 0.0079815 | JunD proto-oncogene, AP-1 transcription factor subunit | GTEx | DepMap | Descartes | 12.71 | 3186.56 |
8 | TNFAIP3 | 0.0077717 | TNF alpha induced protein 3 | GTEx | DepMap | Descartes | 3.72 | 380.51 |
9 | ITM2A | 0.0077324 | integral membrane protein 2A | GTEx | DepMap | Descartes | 1.61 | 425.10 |
10 | LEPROTL1 | 0.0076830 | leptin receptor overlapping transcript like 1 | GTEx | DepMap | Descartes | 2.48 | 347.96 |
11 | IKZF1 | 0.0075573 | IKAROS family zinc finger 1 | GTEx | DepMap | Descartes | 0.85 | 61.53 |
12 | CYTIP | 0.0072849 | cytohesin 1 interacting protein | GTEx | DepMap | Descartes | 1.91 | 382.13 |
13 | ANXA1 | 0.0070643 | annexin A1 | GTEx | DepMap | Descartes | 3.37 | 687.90 |
14 | KLF2 | 0.0069592 | Kruppel like factor 2 | GTEx | DepMap | Descartes | 2.18 | 312.73 |
15 | STK17B | 0.0067416 | serine/threonine kinase 17b | GTEx | DepMap | Descartes | 1.29 | 108.52 |
16 | ITGA4 | 0.0066457 | integrin subunit alpha 4 | GTEx | DepMap | Descartes | 0.49 | 35.38 |
17 | GZMM | 0.0066163 | granzyme M | GTEx | DepMap | Descartes | 1.20 | 653.55 |
18 | CD3G | 0.0065775 | CD3 gamma subunit of T-cell receptor complex | GTEx | DepMap | Descartes | 1.21 | 200.98 |
19 | STK4 | 0.0064765 | serine/threonine kinase 4 | GTEx | DepMap | Descartes | 1.54 | 112.58 |
20 | CDC14A | 0.0064138 | cell division cycle 14A | GTEx | DepMap | Descartes | 0.34 | 39.14 |
21 | SOCS1 | 0.0062206 | suppressor of cytokine signaling 1 | GTEx | DepMap | Descartes | 1.11 | 284.33 |
22 | ARL4C | 0.0061144 | ADP ribosylation factor like GTPase 4C | GTEx | DepMap | Descartes | 2.53 | 243.43 |
23 | TMEM238 | 0.0060269 | transmembrane protein 238 | GTEx | DepMap | Descartes | 0.29 | 181.87 |
24 | CNOT6L | 0.0060177 | CCR4-NOT transcription complex subunit 6 like | GTEx | DepMap | Descartes | 0.87 | 49.38 |
25 | PDE4B | 0.0057873 | phosphodiesterase 4B | GTEx | DepMap | Descartes | 0.83 | 80.99 |
26 | LTB | 0.0057423 | lymphotoxin beta | GTEx | DepMap | Descartes | 10.36 | 2840.90 |
27 | PDCD4 | 0.0057271 | programmed cell death 4 | GTEx | DepMap | Descartes | 1.11 | 140.77 |
28 | SKAP1 | 0.0057047 | src kinase associated phosphoprotein 1 | GTEx | DepMap | Descartes | 0.63 | 185.93 |
29 | EZR | 0.0056680 | ezrin | GTEx | DepMap | Descartes | 1.61 | 231.74 |
30 | GMFG | 0.0056554 | glia maturation factor gamma | GTEx | DepMap | Descartes | 2.31 | 952.72 |
31 | PDE3B | 0.0056354 | phosphodiesterase 3B | GTEx | DepMap | Descartes | 0.54 | 38.98 |
32 | MYL12A | 0.0056280 | myosin light chain 12A | GTEx | DepMap | Descartes | 4.03 | 1357.24 |
33 | SAMSN1 | 0.0055920 | SAM domain, SH3 domain and nuclear localization signals 1 | GTEx | DepMap | Descartes | 1.08 | 186.48 |
34 | CD96 | 0.0055882 | CD96 molecule | GTEx | DepMap | Descartes | 0.61 | 74.35 |
35 | BTG1 | 0.0055470 | BTG anti-proliferation factor 1 | GTEx | DepMap | Descartes | 10.37 | 1037.18 |
36 | SLFN5 | 0.0055276 | schlafen family member 5 | GTEx | DepMap | Descartes | 0.52 | 22.48 |
37 | CDC42SE2 | 0.0055056 | CDC42 small effector 2 | GTEx | DepMap | Descartes | 0.90 | 95.23 |
38 | TNFAIP8 | 0.0054531 | TNF alpha induced protein 8 | GTEx | DepMap | Descartes | 0.71 | 40.93 |
39 | ARID5B | 0.0054107 | AT-rich interaction domain 5B | GTEx | DepMap | Descartes | 0.76 | 45.59 |
40 | ELF1 | 0.0053983 | E74 like ETS transcription factor 1 | GTEx | DepMap | Descartes | 1.13 | 145.59 |
41 | GIMAP1 | 0.0053404 | GTPase, IMAP family member 1 | GTEx | DepMap | Descartes | 0.49 | 46.14 |
42 | TSC22D3 | 0.0052961 | TSC22 domain family member 3 | GTEx | DepMap | Descartes | 3.92 | 819.31 |
43 | JUNB | 0.0051354 | JunB proto-oncogene, AP-1 transcription factor subunit | GTEx | DepMap | Descartes | 11.38 | 2710.93 |
44 | TGFB1 | 0.0051002 | transforming growth factor beta 1 | GTEx | DepMap | Descartes | 1.02 | 175.61 |
45 | RNF213 | 0.0050773 | ring finger protein 213 | GTEx | DepMap | Descartes | 1.19 | 25.61 |
46 | ISG20 | 0.0050283 | interferon stimulated exonuclease gene 20 | GTEx | DepMap | Descartes | 2.06 | 179.68 |
47 | TUBA4A | 0.0050262 | tubulin alpha 4a | GTEx | DepMap | Descartes | 1.18 | 233.49 |
48 | PBXIP1 | 0.0050091 | PBX homeobox interacting protein 1 | GTEx | DepMap | Descartes | 0.42 | 59.96 |
49 | JAK1 | 0.0050072 | Janus kinase 1 | GTEx | DepMap | Descartes | 1.17 | 68.24 |
50 | ACAP1 | 0.0049925 | ArfGAP with coiled-coil, ankyrin repeat and PH domains 1 | GTEx | DepMap | Descartes | 1.06 | 99.36 |
UMAP plots showing activity of gene expression program identified in GEP 35. Naive T Cells:
CNV Data procured from inferCNV.
Outer tracks are putative CNV regions (gains = red, losses = blue) for each patient
Inner track is expression data representing:
The top cells expressing this GEP (purple)
Random cells (n =50) from the reference set used in inferCNV (orange)
Gene set Enrichments for this program, caculated from top 50 genes
mSigDB Cell Types Gene Set:
P-value | OR | Lower 95% CI | FDR | FWER | Genes Found | Gene Set Size | |
---|---|---|---|---|---|---|---|
CUI_DEVELOPING_HEART_C9_B_T_CELL | 1.72e-39 | 114.58 | 61.32 | 1.15e-36 | 1.15e-36 | 27IL7R, ETS1, PTPRC, TNFAIP3, LEPROTL1, CYTIP, STK17B, CD3G, STK4, ARL4C, CNOT6L, LTB, PDCD4, SKAP1, GMFG, SAMSN1, CD96, BTG1, CDC42SE2, ELF1, TSC22D3, JUNB, RNF213, ISG20, TUBA4A, JAK1, ACAP1 |
155 |
DURANTE_ADULT_OLFACTORY_NEUROEPITHELIUM_CD8_T_CELLS | 1.14e-24 | 102.54 | 50.16 | 8.52e-23 | 7.67e-22 | 16IL7R, PTPRC, TNFAIP3, LEPROTL1, CYTIP, STK17B, GZMM, CD3G, STK4, ARL4C, GMFG, SAMSN1, CD96, BTG1, TSC22D3, ACAP1 |
73 |
DURANTE_ADULT_OLFACTORY_NEUROEPITHELIUM_CD4_T_CELLS | 1.56e-15 | 130.42 | 49.28 | 8.70e-14 | 1.04e-12 | 9IL7R, PTPRC, TNFAIP3, CD3G, STK4, LTB, GMFG, TSC22D3, ACAP1 |
30 |
AIZARANI_LIVER_C28_NK_NKT_CELLS_6 | 3.84e-28 | 95.39 | 48.89 | 3.68e-26 | 2.58e-25 | 19IL7R, ETS1, PTPRC, SMAP2, GPR171, TNFAIP3, LEPROTL1, CYTIP, ANXA1, STK17B, STK4, CNOT6L, PDCD4, SAMSN1, BTG1, CDC42SE2, TSC22D3, JUNB, PBXIP1 |
99 |
FAN_EMBRYONIC_CTX_BRAIN_NAIVE_LIKE_T_CELL | 2.82e-33 | 86.09 | 45.94 | 6.30e-31 | 1.89e-30 | 24IL7R, ETS1, PTPRC, GPR171, TNFAIP3, LEPROTL1, CYTIP, ANXA1, STK17B, CD3G, STK4, ARL4C, LTB, PDCD4, SKAP1, GMFG, MYL12A, CD96, CDC42SE2, TNFAIP8, TSC22D3, ISG20, TUBA4A, ACAP1 |
158 |
FAN_OVARY_CL12_T_LYMPHOCYTE_NK_CELL_2 | 2.72e-29 | 70.51 | 37.50 | 3.50e-27 | 1.82e-26 | 22IL7R, PTPRC, TPT1, TNFAIP3, ITM2A, LEPROTL1, CYTIP, ANXA1, STK4, LTB, PDCD4, EZR, SAMSN1, BTG1, CDC42SE2, ELF1, TSC22D3, TGFB1, ISG20, TUBA4A, PBXIP1, JAK1 |
161 |
AIZARANI_LIVER_C3_NK_NKT_CELLS_2 | 3.13e-29 | 70.01 | 37.25 | 3.50e-27 | 2.10e-26 | 22IL7R, ETS1, PTPRC, GPR171, TNFAIP3, IKZF1, CYTIP, ANXA1, STK17B, CD3G, STK4, ARL4C, CNOT6L, LTB, PDCD4, CD96, BTG1, SLFN5, TNFAIP8, TSC22D3, JUNB, PBXIP1 |
162 |
FAN_EMBRYONIC_CTX_BIG_GROUPS_BRAIN_IMMUNE | 3.75e-21 | 49.10 | 24.99 | 2.52e-19 | 2.52e-18 | 17ETS1, PTPRC, CYTIP, ANXA1, KLF2, STK17B, LTB, SKAP1, GMFG, MYL12A, CD96, ELF1, TSC22D3, JUNB, RNF213, ISG20, ACAP1 |
148 |
BUSSLINGER_GASTRIC_IMMUNE_CELLS | 3.54e-35 | 53.21 | 23.68 | 1.19e-32 | 2.38e-32 | 43IL7R, ETS1, PTPRC, SMAP2, GPR171, TPT1, JUND, TNFAIP3, ITM2A, LEPROTL1, IKZF1, CYTIP, ANXA1, STK17B, ITGA4, GZMM, CD3G, STK4, CDC14A, ARL4C, CNOT6L, PDE4B, LTB, PDCD4, SKAP1, GMFG, MYL12A, SAMSN1, CD96, BTG1, SLFN5, CDC42SE2, TNFAIP8, ELF1, GIMAP1, TSC22D3, JUNB, TGFB1, RNF213, TUBA4A, PBXIP1, JAK1, ACAP1 |
1490 |
HAY_BONE_MARROW_NAIVE_T_CELL | 4.83e-28 | 39.05 | 21.35 | 4.05e-26 | 3.24e-25 | 27IL7R, ETS1, GPR171, TPT1, TNFAIP3, ITM2A, LEPROTL1, KLF2, CD3G, STK4, SOCS1, CNOT6L, LTB, PDE3B, CD96, BTG1, SLFN5, CDC42SE2, TNFAIP8, ARID5B, ELF1, GIMAP1, TSC22D3, JUNB, ISG20, PBXIP1, ACAP1 |
403 |
BUSSLINGER_DUODENAL_IMMUNE_CELLS | 3.75e-33 | 40.86 | 21.14 | 6.30e-31 | 2.52e-30 | 37IL7R, ETS1, PTPRC, SMAP2, GPR171, TPT1, JUND, TNFAIP3, ITM2A, LEPROTL1, IKZF1, CYTIP, ANXA1, STK17B, ITGA4, GZMM, CD3G, STK4, ARL4C, CNOT6L, LTB, PDCD4, SKAP1, GMFG, MYL12A, SAMSN1, CD96, BTG1, SLFN5, CDC42SE2, ELF1, GIMAP1, TSC22D3, JUNB, PBXIP1, JAK1, ACAP1 |
909 |
FAN_OVARY_CL4_T_LYMPHOCYTE_NK_CELL_1 | 7.21e-19 | 30.84 | 16.05 | 4.40e-17 | 4.84e-16 | 18PTPRC, ITM2A, LEPROTL1, CYTIP, ANXA1, GZMM, STK4, PDCD4, EZR, SAMSN1, BTG1, CDC42SE2, ELF1, TSC22D3, TGFB1, ISG20, TUBA4A, JAK1 |
246 |
TRAVAGLINI_LUNG_CD8_NAIVE_T_CELL | 7.38e-15 | 33.50 | 15.95 | 3.81e-13 | 4.95e-12 | 13ETS1, KLF2, GZMM, CD3G, ARL4C, CNOT6L, SKAP1, MYL12A, CD96, SLFN5, CDC42SE2, ISG20, TUBA4A |
144 |
AIZARANI_LIVER_C1_NK_NKT_CELLS_1 | 2.27e-14 | 30.47 | 14.54 | 1.09e-12 | 1.52e-11 | 13ETS1, PTPRC, IKZF1, CYTIP, GZMM, CD3G, STK4, ARL4C, CNOT6L, CD96, BTG1, SLFN5, ISG20 |
157 |
RUBENSTEIN_SKELETAL_MUSCLE_T_CELLS | 1.41e-13 | 26.14 | 12.51 | 6.32e-12 | 9.47e-11 | 13IL7R, ETS1, PTPRC, TPT1, LEPROTL1, CD3G, LTB, GMFG, BTG1, SLFN5, TSC22D3, JUNB, ISG20 |
181 |
TRAVAGLINI_LUNG_CD4_MEMORY_EFFECTOR_T_CELL | 1.09e-08 | 31.75 | 11.61 | 3.17e-07 | 7.29e-06 | 7IL7R, ETS1, CDC14A, SKAP1, CD96, SLFN5, PBXIP1 |
71 |
FAN_EMBRYONIC_CTX_BRAIN_EFFECTOR_T_CELL | 7.08e-11 | 25.80 | 11.24 | 2.80e-09 | 4.75e-08 | 10PTPRC, CYTIP, STK17B, SKAP1, GMFG, MYL12A, CD96, BTG1, CDC42SE2, ACAP1 |
131 |
DESCARTES_FETAL_ADRENAL_LYMPHOID_CELLS | 2.66e-11 | 23.19 | 10.50 | 1.12e-09 | 1.79e-08 | 11IL7R, GPR171, CYTIP, GZMM, CD3G, LTB, SKAP1, CD96, SLFN5, ISG20, ACAP1 |
163 |
FAN_EMBRYONIC_CTX_BRAIN_B_CELL | 4.69e-09 | 25.84 | 10.20 | 1.57e-07 | 3.15e-06 | 8CYTIP, PDE4B, LTB, BTG1, ARID5B, ELF1, ISG20, ACAP1 |
100 |
AIZARANI_LIVER_C5_NK_NKT_CELLS_3 | 1.26e-09 | 23.42 | 9.79 | 4.46e-08 | 8.47e-07 | 9ETS1, PTPRC, IKZF1, CYTIP, CNOT6L, CD96, BTG1, SLFN5, TSC22D3 |
126 |
Dowload full table
mSigDB Hallmark Gene Sets:
P-value | OR | Lower 95% CI | FDR | FWER | Genes Found | Gene Set Size | |
---|---|---|---|---|---|---|---|
HALLMARK_TNFA_SIGNALING_VIA_NFKB | 1.19e-05 | 10.54 | 3.95 | 1.98e-04 | 5.94e-04 | 7IL7R, TNFAIP3, KLF2, PDE4B, BTG1, TNFAIP8, JUNB |
200 |
HALLMARK_INTERFERON_GAMMA_RESPONSE | 1.19e-05 | 10.54 | 3.95 | 1.98e-04 | 5.94e-04 | 7TNFAIP3, SOCS1, PDE4B, BTG1, ARID5B, RNF213, ISG20 |
200 |
HALLMARK_ALLOGRAFT_REJECTION | 1.19e-05 | 10.54 | 3.95 | 1.98e-04 | 5.94e-04 | 7ETS1, PTPRC, CD3G, SOCS1, LTB, CD96, TGFB1 |
200 |
HALLMARK_IL6_JAK_STAT3_SIGNALING | 3.79e-04 | 13.08 | 3.35 | 4.74e-03 | 1.90e-02 | 4ITGA4, SOCS1, LTB, TGFB1 |
87 |
HALLMARK_ANDROGEN_RESPONSE | 7.18e-03 | 8.22 | 1.61 | 5.51e-02 | 3.59e-01 | 3MYL12A, TNFAIP8, ARID5B |
100 |
HALLMARK_HYPOXIA | 7.71e-03 | 5.55 | 1.44 | 5.51e-02 | 3.85e-01 | 4ETS1, TNFAIP3, BTG1, ISG20 |
200 |
HALLMARK_KRAS_SIGNALING_UP | 7.71e-03 | 5.55 | 1.44 | 5.51e-02 | 3.85e-01 | 4IL7R, ETS1, TNFAIP3, IKZF1 |
200 |
HALLMARK_TGF_BETA_SIGNALING | 1.94e-02 | 10.01 | 1.15 | 1.21e-01 | 9.68e-01 | 2JUNB, TGFB1 |
54 |
HALLMARK_UV_RESPONSE_UP | 2.41e-02 | 5.15 | 1.01 | 1.27e-01 | 1.00e+00 | 3BTG1, JUNB, TUBA4A |
158 |
HALLMARK_APOPTOSIS | 2.53e-02 | 5.05 | 0.99 | 1.27e-01 | 1.00e+00 | 3ANXA1, PDCD4, ISG20 |
161 |
HALLMARK_IL2_STAT5_SIGNALING | 4.30e-02 | 4.07 | 0.80 | 1.67e-01 | 1.00e+00 | 3SOCS1, LTB, CDC42SE2 |
199 |
HALLMARK_ESTROGEN_RESPONSE_LATE | 4.35e-02 | 4.05 | 0.80 | 1.67e-01 | 1.00e+00 | 3PDCD4, ISG20, JAK1 |
200 |
HALLMARK_P53_PATHWAY | 4.35e-02 | 4.05 | 0.80 | 1.67e-01 | 1.00e+00 | 3SOCS1, BTG1, TGFB1 |
200 |
HALLMARK_INTERFERON_ALPHA_RESPONSE | 5.62e-02 | 5.48 | 0.64 | 2.01e-01 | 1.00e+00 | 2ELF1, ISG20 |
97 |
HALLMARK_MITOTIC_SPINDLE | 1.83e-01 | 2.64 | 0.31 | 5.13e-01 | 1.00e+00 | 2EZR, TUBA4A |
199 |
HALLMARK_EPITHELIAL_MESENCHYMAL_TRANSITION | 1.85e-01 | 2.63 | 0.31 | 5.13e-01 | 1.00e+00 | 2TNFAIP3, TGFB1 |
200 |
HALLMARK_INFLAMMATORY_RESPONSE | 1.85e-01 | 2.63 | 0.31 | 5.13e-01 | 1.00e+00 | 2IL7R, PDE4B |
200 |
HALLMARK_REACTIVE_OXYGEN_SPECIES_PATHWAY | 1.77e-01 | 5.31 | 0.13 | 5.13e-01 | 1.00e+00 | 1JUNB |
49 |
HALLMARK_COAGULATION | 4.22e-01 | 1.86 | 0.05 | 9.77e-01 | 1.00e+00 | 1ANXA1 |
138 |
HALLMARK_DNA_REPAIR | 4.49e-01 | 1.71 | 0.04 | 9.77e-01 | 1.00e+00 | 1PDE4B |
150 |
Dowload full table
KEGG Pathways:
P-value | OR | Lower 95% CI | FDR | FWER | Genes Found | Gene Set Size | |
---|---|---|---|---|---|---|---|
KEGG_LEISHMANIA_INFECTION | 2.88e-03 | 11.56 | 2.25 | 4.55e-01 | 5.36e-01 | 3ITGA4, TGFB1, JAK1 |
72 |
KEGG_HEMATOPOIETIC_CELL_LINEAGE | 4.89e-03 | 9.50 | 1.85 | 4.55e-01 | 9.10e-01 | 3IL7R, ITGA4, CD3G |
87 |
KEGG_PRIMARY_IMMUNODEFICIENCY | 8.47e-03 | 15.77 | 1.78 | 4.99e-01 | 1.00e+00 | 2IL7R, PTPRC |
35 |
KEGG_LEUKOCYTE_TRANSENDOTHELIAL_MIGRATION | 1.07e-02 | 7.06 | 1.39 | 4.99e-01 | 1.00e+00 | 3ITGA4, EZR, MYL12A |
116 |
KEGG_INTESTINAL_IMMUNE_NETWORK_FOR_IGA_PRODUCTION | 1.55e-02 | 11.31 | 1.29 | 5.77e-01 | 1.00e+00 | 2ITGA4, TGFB1 |
48 |
KEGG_PATHOGENIC_ESCHERICHIA_COLI_INFECTION | 2.07e-02 | 9.64 | 1.11 | 6.11e-01 | 1.00e+00 | 2EZR, TUBA4A |
56 |
KEGG_JAK_STAT_SIGNALING_PATHWAY | 2.30e-02 | 5.25 | 1.03 | 6.11e-01 | 1.00e+00 | 3IL7R, SOCS1, JAK1 |
155 |
KEGG_RENAL_CELL_CARCINOMA | 3.13e-02 | 7.66 | 0.88 | 6.47e-01 | 1.00e+00 | 2ETS1, TGFB1 |
70 |
KEGG_PANCREATIC_CANCER | 3.13e-02 | 7.66 | 0.88 | 6.47e-01 | 1.00e+00 | 2TGFB1, JAK1 |
70 |
KEGG_PATHWAYS_IN_CANCER | 3.70e-02 | 3.39 | 0.88 | 6.88e-01 | 1.00e+00 | 4ETS1, STK4, TGFB1, JAK1 |
325 |
KEGG_REGULATION_OF_ACTIN_CYTOSKELETON | 5.07e-02 | 3.80 | 0.75 | 7.25e-01 | 1.00e+00 | 3ITGA4, EZR, MYL12A |
213 |
KEGG_HYPERTROPHIC_CARDIOMYOPATHY_HCM | 4.26e-02 | 6.43 | 0.74 | 7.21e-01 | 1.00e+00 | 2ITGA4, TGFB1 |
83 |
KEGG_DILATED_CARDIOMYOPATHY | 4.93e-02 | 5.92 | 0.69 | 7.25e-01 | 1.00e+00 | 2ITGA4, TGFB1 |
90 |
KEGG_CYTOKINE_CYTOKINE_RECEPTOR_INTERACTION | 8.44e-02 | 3.05 | 0.60 | 9.43e-01 | 1.00e+00 | 3IL7R, LTB, TGFB1 |
265 |
KEGG_MAPK_SIGNALING_PATHWAY | 8.58e-02 | 3.02 | 0.60 | 9.43e-01 | 1.00e+00 | 3JUND, STK4, TGFB1 |
267 |
KEGG_T_CELL_RECEPTOR_SIGNALING_PATHWAY | 6.78e-02 | 4.91 | 0.57 | 9.01e-01 | 1.00e+00 | 2PTPRC, CD3G |
108 |
KEGG_CELL_CYCLE | 8.71e-02 | 4.23 | 0.49 | 9.43e-01 | 1.00e+00 | 2CDC14A, TGFB1 |
125 |
KEGG_CELL_ADHESION_MOLECULES_CAMS | 9.66e-02 | 3.98 | 0.46 | 9.44e-01 | 1.00e+00 | 2PTPRC, ITGA4 |
133 |
KEGG_INSULIN_SIGNALING_PATHWAY | 1.01e-01 | 3.86 | 0.45 | 9.44e-01 | 1.00e+00 | 2SOCS1, PDE3B |
137 |
KEGG_PURINE_METABOLISM | 1.29e-01 | 3.32 | 0.39 | 1.00e+00 | 1.00e+00 | 2PDE4B, PDE3B |
159 |
Dowload full table
CHR Positional Gene Sets:
P-value | OR | Lower 95% CI | FDR | FWER | Genes Found | Gene Set Size | |
---|---|---|---|---|---|---|---|
chr19p13 | 5.35e-01 | 1.41 | 0.37 | 1.00e+00 | 1.00e+00 | 4JUND, KLF2, GZMM, JUNB |
773 |
chr1p31 | 2.09e-01 | 2.42 | 0.28 | 1.00e+00 | 1.00e+00 | 2PDE4B, JAK1 |
217 |
chr13q14 | 2.41e-01 | 2.19 | 0.26 | 1.00e+00 | 1.00e+00 | 2TPT1, ELF1 |
240 |
chr21q11 | 1.67e-01 | 5.67 | 0.14 | 1.00e+00 | 1.00e+00 | 1SAMSN1 |
46 |
chr19q13 | 7.98e-01 | 0.69 | 0.14 | 1.00e+00 | 1.00e+00 | 3TMEM238, GMFG, TGFB1 |
1165 |
chr7p12 | 2.06e-01 | 4.47 | 0.11 | 1.00e+00 | 1.00e+00 | 1IKZF1 |
58 |
chr8p12 | 2.34e-01 | 3.86 | 0.09 | 1.00e+00 | 1.00e+00 | 1LEPROTL1 |
67 |
chr1q31 | 2.46e-01 | 3.64 | 0.09 | 1.00e+00 | 1.00e+00 | 1PTPRC |
71 |
chr1p21 | 3.25e-01 | 2.60 | 0.06 | 1.00e+00 | 1.00e+00 | 1CDC14A |
99 |
chr6q23 | 3.44e-01 | 2.43 | 0.06 | 1.00e+00 | 1.00e+00 | 1TNFAIP3 |
106 |
chr2q32 | 3.49e-01 | 2.38 | 0.06 | 1.00e+00 | 1.00e+00 | 1STK17B |
108 |
chr5q23 | 3.57e-01 | 2.32 | 0.06 | 1.00e+00 | 1.00e+00 | 1TNFAIP8 |
111 |
chr10q21 | 3.69e-01 | 2.22 | 0.05 | 1.00e+00 | 1.00e+00 | 1ARID5B |
116 |
chr2q24 | 3.91e-01 | 2.06 | 0.05 | 1.00e+00 | 1.00e+00 | 1CYTIP |
125 |
chr10q25 | 3.94e-01 | 2.04 | 0.05 | 1.00e+00 | 1.00e+00 | 1PDCD4 |
126 |
chr2q35 | 3.94e-01 | 2.04 | 0.05 | 1.00e+00 | 1.00e+00 | 1TUBA4A |
126 |
chr12q21 | 3.99e-01 | 2.01 | 0.05 | 1.00e+00 | 1.00e+00 | 1BTG1 |
128 |
chr5p13 | 3.99e-01 | 2.01 | 0.05 | 1.00e+00 | 1.00e+00 | 1IL7R |
128 |
chrXq21 | 4.17e-01 | 1.89 | 0.05 | 1.00e+00 | 1.00e+00 | 1ITM2A |
136 |
chr17q12 | 4.33e-01 | 1.80 | 0.04 | 1.00e+00 | 1.00e+00 | 1SLFN5 |
143 |
Dowload full table
Transcription Factor Targets:
P-value | OR | Lower 95% CI | FDR | FWER | Genes Found | Gene Set Size | |
---|---|---|---|---|---|---|---|
RAG1_TARGET_GENES | 3.16e-04 | 3.82 | 1.81 | 3.59e-01 | 3.59e-01 | 12ETS1, JUND, TNFAIP3, IKZF1, STK17B, ITGA4, CD3G, ARL4C, CNOT6L, MYL12A, ELF1, TSC22D3 |
1046 |
PAX3_B | 5.54e-03 | 9.06 | 1.77 | 7.13e-01 | 1.00e+00 | 3KLF2, TNFAIP8, JUNB |
91 |
ELF1_Q6 | 2.78e-03 | 5.69 | 1.75 | 7.13e-01 | 1.00e+00 | 5IL7R, CDC14A, CNOT6L, SAMSN1, TGFB1 |
249 |
AREB6_04 | 2.97e-03 | 5.60 | 1.72 | 7.13e-01 | 1.00e+00 | 5IL7R, CYTIP, PDCD4, PDE3B, JUNB |
253 |
NFKB_Q6 | 3.23e-03 | 5.49 | 1.69 | 7.13e-01 | 1.00e+00 | 5CDC14A, LTB, PDE3B, SAMSN1, TGFB1 |
258 |
COREBINDINGFACTOR_Q6 | 4.28e-03 | 5.13 | 1.58 | 7.13e-01 | 1.00e+00 | 5IL7R, GPR171, CYTIP, PDE3B, TSC22D3 |
276 |
YYCATTCAWW_UNKNOWN | 6.70e-03 | 5.78 | 1.50 | 7.13e-01 | 1.00e+00 | 4SMAP2, CDC14A, PDE4B, SKAP1 |
192 |
GTF2E2_TARGET_GENES | 4.79e-03 | 4.21 | 1.46 | 7.13e-01 | 1.00e+00 | 6ANXA1, STK17B, SOCS1, MYL12A, BTG1, JUNB |
411 |
ATF6_01 | 1.34e-02 | 6.49 | 1.27 | 9.19e-01 | 1.00e+00 | 3TPT1, JUND, ELF1 |
126 |
RYTTCCTG_ETS2_B | 6.26e-03 | 2.84 | 1.26 | 7.13e-01 | 1.00e+00 | 10IL7R, ETS1, PTPRC, STK4, ARL4C, LTB, SKAP1, CD96, JUNB, ACAP1 |
1112 |
RTAAACA_FREAC2_01 | 6.92e-03 | 2.96 | 1.26 | 7.13e-01 | 1.00e+00 | 9ETS1, SOCS1, LTB, SKAP1, GMFG, TSC22D3, JUNB, ISG20, PBXIP1 |
938 |
VDR_Q3 | 1.27e-02 | 4.77 | 1.24 | 9.19e-01 | 1.00e+00 | 4TPT1, JUND, TSC22D3, TGFB1 |
232 |
ETS_Q4 | 1.66e-02 | 4.38 | 1.14 | 9.19e-01 | 1.00e+00 | 4SKAP1, GMFG, JUNB, ACAP1 |
252 |
P300_01 | 1.75e-02 | 4.31 | 1.12 | 9.19e-01 | 1.00e+00 | 4JUND, ARL4C, TSC22D3, JUNB |
256 |
CETS1P54_01 | 1.96e-02 | 4.16 | 1.08 | 9.19e-01 | 1.00e+00 | 4IL7R, SMAP2, STK4, ARL4C |
265 |
ETS1_B | 2.03e-02 | 4.12 | 1.07 | 9.19e-01 | 1.00e+00 | 4ARL4C, TSC22D3, JUNB, ACAP1 |
268 |
STAT4_01 | 2.03e-02 | 4.12 | 1.07 | 9.19e-01 | 1.00e+00 | 4ETS1, SMAP2, LEPROTL1, ARL4C |
268 |
MMEF2_Q6 | 2.18e-02 | 4.03 | 1.05 | 9.46e-01 | 1.00e+00 | 4KLF2, ARL4C, JUNB, TUBA4A |
274 |
ZNF768_TARGET_GENES | 2.60e-02 | 2.34 | 1.04 | 1.00e+00 | 1.00e+00 | 10PTPRC, ITGA4, CNOT6L, GMFG, SAMSN1, BTG1, ELF1, TGFB1, ISG20, TUBA4A |
1346 |
CEBP_01 | 2.25e-02 | 3.98 | 1.03 | 9.46e-01 | 1.00e+00 | 4SKAP1, PDE3B, SAMSN1, TSC22D3 |
277 |
Dowload full table
GO Biological Processes:
P-value | OR | Lower 95% CI | FDR | FWER | Genes Found | Gene Set Size | |
---|---|---|---|---|---|---|---|
GOBP_LYMPH_NODE_DEVELOPMENT | 3.88e-05 | 56.82 | 10.14 | 1.53e-02 | 2.90e-01 | 3IL7R, LTB, TGFB1 |
17 |
GOBP_INTERLEUKIN_2_PRODUCTION | 4.02e-06 | 24.75 | 7.40 | 4.43e-03 | 3.01e-02 | 5PTPRC, TNFAIP3, ANXA1, PDE4B, EZR |
61 |
GOBP_NEGATIVE_REGULATION_OF_T_CELL_MEDIATED_CYTOTOXICITY | 5.49e-04 | 74.10 | 7.33 | 9.79e-02 | 1.00e+00 | 2IL7R, PTPRC |
9 |
GOBP_POSITIVE_REGULATION_OF_FIBROBLAST_APOPTOTIC_PROCESS | 5.49e-04 | 74.10 | 7.33 | 9.79e-02 | 1.00e+00 | 2STK17B, BTG1 |
9 |
GOBP_POSITIVE_REGULATION_OF_VASCULAR_ASSOCIATED_SMOOTH_MUSCLE_CELL_APOPTOTIC_PROCESS | 6.85e-04 | 64.86 | 6.55 | 1.10e-01 | 1.00e+00 | 2STK4, PDCD4 |
10 |
GOBP_NEGATIVE_REGULATION_OF_INTERLEUKIN_2_PRODUCTION | 1.81e-04 | 31.85 | 5.95 | 5.07e-02 | 1.00e+00 | 3PTPRC, TNFAIP3, EZR |
28 |
GOBP_POSITIVE_REGULATION_OF_INTERLEUKIN_2_PRODUCTION | 2.22e-04 | 29.50 | 5.54 | 5.55e-02 | 1.00e+00 | 3PTPRC, ANXA1, PDE4B |
30 |
GOBP_INTERLEUKIN_7_MEDIATED_SIGNALING_PATHWAY | 2.22e-04 | 29.50 | 5.54 | 5.55e-02 | 1.00e+00 | 3IL7R, SOCS1, JAK1 |
30 |
GOBP_RESPONSE_TO_LAMINAR_FLUID_SHEAR_STRESS | 1.18e-03 | 47.19 | 4.96 | 1.47e-01 | 1.00e+00 | 2ETS1, KLF2 |
13 |
GOBP_REGULATION_OF_ADAPTIVE_IMMUNE_RESPONSE | 4.15e-06 | 12.48 | 4.67 | 4.43e-03 | 3.10e-02 | 7IL7R, PTPRC, TNFAIP3, ANXA1, SKAP1, SAMSN1, TGFB1 |
170 |
GOBP_NEUTROPHIL_HOMEOSTASIS | 1.37e-03 | 43.30 | 4.59 | 1.55e-01 | 1.00e+00 | 2ANXA1, PDE4B |
14 |
GOBP_POSITIVE_THYMIC_T_CELL_SELECTION | 1.37e-03 | 43.30 | 4.59 | 1.55e-01 | 1.00e+00 | 2PTPRC, CD3G |
14 |
GOBP_RESPONSE_TO_INTERLEUKIN_7 | 5.25e-04 | 21.53 | 4.11 | 9.79e-02 | 1.00e+00 | 3IL7R, SOCS1, JAK1 |
40 |
GOBP_NEGATIVE_REGULATION_OF_IMMUNE_RESPONSE | 2.54e-05 | 11.83 | 4.06 | 1.46e-02 | 1.90e-01 | 6IL7R, PTPRC, TNFAIP3, ANXA1, SAMSN1, CD96 |
150 |
GOBP_VASCULAR_ASSOCIATED_SMOOTH_MUSCLE_CELL_APOPTOTIC_PROCESS | 1.80e-03 | 37.11 | 3.99 | 1.87e-01 | 1.00e+00 | 2STK4, PDCD4 |
16 |
GOBP_HOMEOSTASIS_OF_NUMBER_OF_CELLS | 4.86e-06 | 9.88 | 3.96 | 4.55e-03 | 3.64e-02 | 8IL7R, ETS1, TNFAIP3, IKZF1, ANXA1, KLF2, PDE4B, TSC22D3 |
249 |
GOBP_REGULATION_OF_EXTRACELLULAR_MATRIX_DISASSEMBLY | 2.03e-03 | 34.68 | 3.75 | 1.97e-01 | 1.00e+00 | 2ETS1, TGFB1 |
17 |
GOBP_CELL_CELL_ADHESION_MEDIATED_BY_INTEGRIN | 2.03e-03 | 34.68 | 3.75 | 1.97e-01 | 1.00e+00 | 2ITGA4, SKAP1 |
17 |
GOBP_POSITIVE_REGULATION_OF_SMOOTH_MUSCLE_CELL_APOPTOTIC_PROCESS | 2.03e-03 | 34.68 | 3.75 | 1.97e-01 | 1.00e+00 | 2STK4, PDCD4 |
17 |
GOBP_LEUKOCYTE_HOMEOSTASIS | 2.63e-04 | 14.48 | 3.69 | 6.14e-02 | 1.00e+00 | 4TNFAIP3, ANXA1, PDE4B, TSC22D3 |
79 |
Dowload full table
Immunological Gene Sets:
P-value | OR | Lower 95% CI | FDR | FWER | Genes Found | Gene Set Size | |
---|---|---|---|---|---|---|---|
GSE36476_CTRL_VS_TSST_ACT_16H_MEMORY_CD4_TCELL_YOUNG_UP | 2.12e-10 | 18.85 | 8.57 | 3.63e-07 | 1.03e-06 | 11TNFAIP3, LEPROTL1, ANXA1, KLF2, ARL4C, SKAP1, MYL12A, BTG1, TSC22D3, JUNB, PBXIP1 |
198 |
GSE22886_NAIVE_TCELL_VS_DC_UP | 2.23e-10 | 18.75 | 8.53 | 3.63e-07 | 1.09e-06 | 11KLF2, ITGA4, CD3G, PDCD4, SKAP1, CD96, BTG1, TSC22D3, ISG20, PBXIP1, ACAP1 |
199 |
GSE22886_NAIVE_CD8_TCELL_VS_DC_UP | 2.23e-10 | 18.75 | 8.53 | 3.63e-07 | 1.09e-06 | 11ETS1, GPR171, ITM2A, LEPROTL1, IKZF1, STK17B, PDE4B, LTB, EZR, TSC22D3, PBXIP1 |
199 |
GSE29618_BCELL_VS_MDC_UP | 3.06e-09 | 17.07 | 7.50 | 1.66e-06 | 1.49e-05 | 10ETS1, KLF2, LTB, PDCD4, EZR, BTG1, ARID5B, TSC22D3, ISG20, TUBA4A |
193 |
GSE29618_BCELL_VS_PDC_UP | 3.37e-09 | 16.89 | 7.41 | 1.66e-06 | 1.64e-05 | 10PTPRC, KLF2, EZR, BTG1, ARID5B, ELF1, TSC22D3, JUNB, ISG20, TUBA4A |
195 |
GSE22886_NAIVE_CD4_TCELL_VS_DC_UP | 3.72e-09 | 16.71 | 7.34 | 1.66e-06 | 1.81e-05 | 10ETS1, LEPROTL1, IKZF1, STK17B, CD3G, CD96, BTG1, TSC22D3, ISG20, PBXIP1 |
197 |
GSE36476_CTRL_VS_TSST_ACT_40H_MEMORY_CD4_TCELL_YOUNG_UP | 3.72e-09 | 16.71 | 7.34 | 1.66e-06 | 1.81e-05 | 10TPT1, TNFAIP3, LEPROTL1, ANXA1, KLF2, ARL4C, BTG1, ARID5B, TSC22D3, PBXIP1 |
197 |
GSE10325_LUPUS_CD4_TCELL_VS_LUPUS_BCELL_UP | 4.09e-09 | 16.53 | 7.26 | 1.66e-06 | 1.99e-05 | 10IL7R, GPR171, ITM2A, LEPROTL1, ANXA1, CD3G, ARL4C, SKAP1, GMFG, PBXIP1 |
199 |
GSE10325_LUPUS_CD4_TCELL_VS_LUPUS_MYELOID_UP | 4.09e-09 | 16.53 | 7.26 | 1.66e-06 | 1.99e-05 | 10GPR171, ITM2A, CD3G, LTB, PDCD4, SKAP1, CD96, ARID5B, PBXIP1, ACAP1 |
199 |
GSE26156_DOUBLE_POSITIVE_VS_CD4_SINGLE_POSITIVE_THYMOCYTE_UP | 4.09e-09 | 16.53 | 7.26 | 1.66e-06 | 1.99e-05 | 10IL7R, TPT1, JUND, LEPROTL1, ARL4C, PDE4B, LTB, BTG1, TSC22D3, JUNB |
199 |
GSE28726_ACT_CD4_TCELL_VS_ACT_NKTCELL_DN | 4.09e-09 | 16.53 | 7.26 | 1.66e-06 | 1.99e-05 | 10TPT1, TNFAIP3, CDC14A, ARL4C, PDE4B, EZR, BTG1, ELF1, JUNB, JAK1 |
199 |
GSE24574_BCL6_HIGH_VS_LOW_TFH_CD4_TCELL_UP | 4.09e-09 | 16.53 | 7.26 | 1.66e-06 | 1.99e-05 | 10IL7R, JUND, TNFAIP3, LEPROTL1, CDC14A, ARL4C, PDE4B, LTB, BTG1, JUNB |
199 |
GSE6269_E_COLI_VS_STAPH_AUREUS_INF_PBMC_UP | 1.50e-07 | 16.08 | 6.41 | 3.31e-05 | 7.29e-04 | 8IL7R, ETS1, ITM2A, LEPROTL1, KLF2, CDC14A, BTG1, TSC22D3 |
156 |
GSE17974_0H_VS_24H_IN_VITRO_ACT_CD4_TCELL_UP | 4.67e-08 | 15.08 | 6.35 | 1.60e-05 | 2.28e-04 | 9IL7R, TNFAIP3, LEPROTL1, ANXA1, KLF2, CDC14A, PDE4B, TSC22D3, JUNB |
191 |
GSE16450_IMMATURE_VS_MATURE_NEURON_CELL_LINE_UP | 5.33e-08 | 14.83 | 6.24 | 1.60e-05 | 2.60e-04 | 9IL7R, LEPROTL1, KLF2, STK17B, ARL4C, CNOT6L, PDCD4, TSC22D3, PBXIP1 |
194 |
GSE36476_CTRL_VS_TSST_ACT_72H_MEMORY_CD4_TCELL_YOUNG_UP | 6.34e-08 | 14.52 | 6.11 | 1.60e-05 | 3.09e-04 | 9IL7R, TNFAIP3, LEPROTL1, ANXA1, KLF2, ARL4C, TSC22D3, JUNB, PBXIP1 |
198 |
GSE1460_INTRATHYMIC_T_PROGENITOR_VS_CD4_THYMOCYTE_DN | 6.62e-08 | 14.44 | 6.08 | 1.60e-05 | 3.22e-04 | 9PTPRC, TNFAIP3, LEPROTL1, PDE4B, LTB, PDCD4, SKAP1, TSC22D3, JAK1 |
199 |
GSE22886_TCELL_VS_BCELL_NAIVE_UP | 6.62e-08 | 14.44 | 6.08 | 1.60e-05 | 3.22e-04 | 9IL7R, ITM2A, LEPROTL1, ANXA1, GZMM, CD3G, ARL4C, SAMSN1, PBXIP1 |
199 |
GSE22886_NAIVE_CD8_TCELL_VS_MONOCYTE_UP | 6.62e-08 | 14.44 | 6.08 | 1.60e-05 | 3.22e-04 | 9ETS1, GPR171, ITM2A, CD3G, LTB, PDCD4, SKAP1, PDE3B, CD96 |
199 |
GSE5455_EX_VIVO_VS_POST_24H_INCUBATION_MONOCYTES_FROM_TUMOR_BEARING_MOUSE_DN | 6.91e-08 | 14.37 | 6.05 | 1.60e-05 | 3.36e-04 | 9IL7R, KLF2, ITGA4, STK4, GMFG, CD96, SLFN5, RNF213, ACAP1 |
200 |
Top Ranked Transcription Factors for this Gene Expression Program:
Gene Symbol | TF Rank | DNA Binding Domain | Motif Status | IUPAC PWM | GTEx | DepMap | Decartes |
---|---|---|---|---|---|---|---|
ETS1 | 2 | Yes | Known motif | Monomer or homomultimer | High-throughput in vitro | None | None |
JUND | 7 | Yes | Known motif | Monomer or homomultimer | High-throughput in vitro | None | None |
TNFAIP3 | 8 | No | Unlikely to be sequence specific TF | Not a DNA binding protein | No motif | None | Inhibits NFKB-activation. No evidence for direct binding to DNA |
IKZF1 | 11 | Yes | Known motif | Monomer or homomultimer | In vivo/Misc source | Only known motifs are from Transfac or HocoMoco - origin is uncertain | None |
KLF2 | 14 | Yes | Known motif | Monomer or homomultimer | High-throughput in vitro | None | None |
ARID5B | 39 | Yes | Known motif | Monomer or homomultimer | 100 perc ID - in vitro | Has a putative AT-hook | None |
ELF1 | 40 | Yes | Known motif | Monomer or homomultimer | High-throughput in vitro | None | None |
TSC22D3 | 42 | No | Unlikely to be sequence specific TF | Not a DNA binding protein | No motif | None | There is some evidence that a related protein (TSC22D1) binds DNA specifically - thus, it is possible this is also a TF. |
JUNB | 43 | Yes | Known motif | Monomer or homomultimer | High-throughput in vitro | None | Prefers forming heterodimers with FOS; FOSB; FOSL1 and FOSL2 over homodimers (PMID:12805554); but, clearly can bind DNA specifically in vitro. |
TGFB1 | 44 | No | Unlikely to be sequence specific TF | Not a DNA binding protein | No motif | None | None |
ZFP36L2 | 53 | No | ssDNA/RNA binding | Not a DNA binding protein | No motif | None | RNA-binding protein (PMID: 20506496). |
RNF125 | 70 | No | Unlikely to be sequence specific TF | Not a DNA binding protein | No motif | None | Protein is a ubiguitin ligase |
CYLD | 72 | No | Unlikely to be sequence specific TF | Not a DNA binding protein | No motif | None | None |
RGCC | 75 | No | Unlikely to be sequence specific TF | Not a DNA binding protein | No motif | None | None |
TIPARP | 77 | No | Unlikely to be sequence specific TF | Not a DNA binding protein | No motif | None | None |
IRF1 | 79 | Yes | Known motif | Monomer or homomultimer | In vivo/Misc source | None | None |
CIB1 | 80 | No | Unlikely to be sequence specific TF | Not a DNA binding protein | No motif | None | None |
TRADD | 88 | No | Unlikely to be sequence specific TF | Not a DNA binding protein | No motif | None | Regulates transcription by binding to the adaptor protein TRAF2, leading to reduction of recruitment of inhibitor-of-apoptosis proteins. No evidence for binding DNA (PMID: 18309324) |
CREM | 89 | Yes | Known motif | Monomer or homomultimer | High-throughput in vitro | None | None |
ZBTB1 | 96 | Yes | Known motif | Monomer or homomultimer | 100 perc ID - in vitro | None | None |
QQ Plot showing correlations with other GEPs in this dataset, calculated by Spearman correlation:
Interactive QQ-plot of gene loadings:
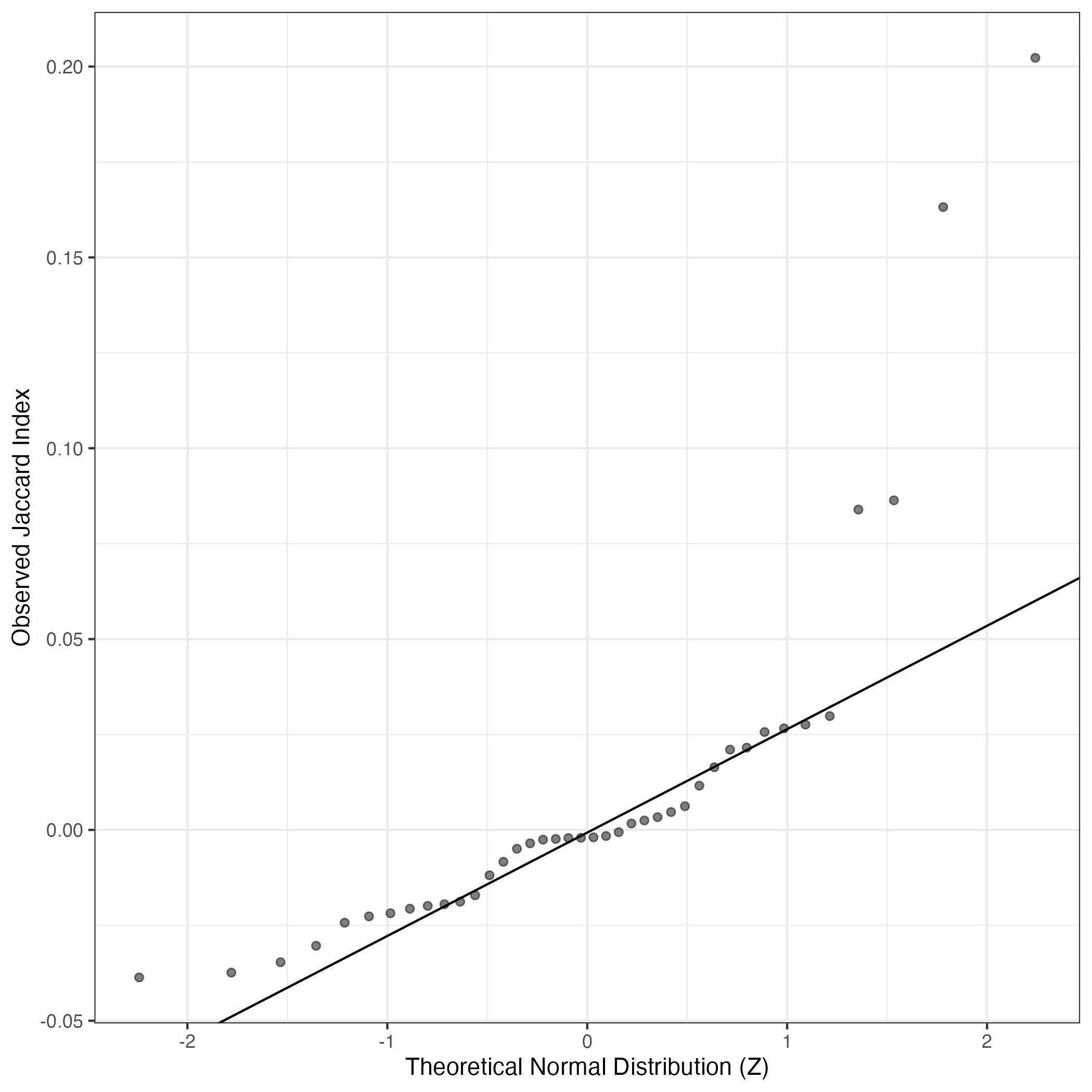
A similar QQ-plot as above, but only for instances where the H value is e.g. > 25, i.e. we are confident that the expression program is active above noise. Agreemenet between these binary vectors is tested using the Jaccard Index, with the P-values calculated by an exact test:
Interactive QQ-plot:
Singler cell type annotations for the top 50 cells on this program.
Cell ID | Singler label | Singler Delta | Activity Score | Top Singler Raw Scores |
---|---|---|---|---|
T214_GTAAGTCCACACACTA-1 | T_cell:CD4+_central_memory | 0.17 | 451.92 | Raw ScoresT_cell:CD4+_central_memory: 0.46, T_cell:CD4+_effector_memory: 0.46, T_cell:CD4+_Naive: 0.45, T_cell:CD4+: 0.43, T_cell:CD8+: 0.43, T_cell:CD8+_effector_memory: 0.42, NK_cell: 0.42, T_cell:gamma-delta: 0.42, NK_cell:IL2: 0.41, T_cell:CD8+_naive: 0.41 |
T214_CATGCCTTCCCTATTA-1 | T_cell:CD4+_Naive | 0.15 | 436.34 | Raw ScoresT_cell:CD4+_Naive: 0.39, T_cell:CD4+_central_memory: 0.39, T_cell:CD4+_effector_memory: 0.38, T_cell:CD4+: 0.38, T_cell:CD8+: 0.37, T_cell:gamma-delta: 0.35, T_cell:CD8+_effector_memory: 0.35, T_cell:Treg:Naive: 0.35, NK_cell:IL2: 0.35, NK_cell: 0.35 |
T214_CAAGGGATCTTAGCCC-1 | T_cell:CD4+_Naive | 0.14 | 434.36 | Raw ScoresT_cell:CD4+_central_memory: 0.38, T_cell:CD4+_Naive: 0.38, T_cell:CD4+_effector_memory: 0.38, T_cell:CD8+: 0.37, T_cell:CD4+: 0.37, T_cell:CD8+_effector_memory: 0.37, NK_cell: 0.36, NK_cell:IL2: 0.35, T_cell:CD8+_naive: 0.35, T_cell:CD8+_Central_memory: 0.35 |
T214_CCCAACTTCATGTCAG-1 | Neurons:adrenal_medulla_cell_line | 0.08 | 420.14 | Raw ScoresNeurons:adrenal_medulla_cell_line: 0.32, T_cell:CD4+_Naive: 0.28, T_cell:CD4+_central_memory: 0.28, Neuroepithelial_cell:ESC-derived: 0.28, T_cell:CD4+_effector_memory: 0.28, T_cell:CD4+: 0.27, Astrocyte:Embryonic_stem_cell-derived: 0.26, T_cell:CD8+_effector_memory: 0.26, T_cell:gamma-delta: 0.26, T_cell:CD8+: 0.26 |
T214_AACAAGAGTTACGATC-1 | Neurons:adrenal_medulla_cell_line | 0.12 | 409.12 | Raw ScoresNeurons:adrenal_medulla_cell_line: 0.33, Neuroepithelial_cell:ESC-derived: 0.28, Astrocyte:Embryonic_stem_cell-derived: 0.27, iPS_cells:PDB_1lox-21Puro-20: 0.25, Neurons:ES_cell-derived_neural_precursor: 0.25, Embryonic_stem_cells: 0.25, iPS_cells:PDB_2lox-22: 0.25, iPS_cells:PDB_1lox-17Puro-10: 0.25, iPS_cells:CRL2097_foreskin-derived:undiff.: 0.25, iPS_cells:PDB_1lox-21Puro-26: 0.25 |
T214_ATGCCTCCAGCTGTTA-1 | T_cell:CD4+_Naive | 0.13 | 397.68 | Raw ScoresT_cell:CD4+_central_memory: 0.37, T_cell:CD4+_Naive: 0.37, T_cell:CD4+_effector_memory: 0.36, T_cell:CD8+: 0.36, T_cell:CD8+_effector_memory: 0.36, T_cell:CD4+: 0.36, NK_cell: 0.35, T_cell:gamma-delta: 0.35, NK_cell:IL2: 0.35, T_cell:CD8+_naive: 0.35 |
T214_GGTGGCTCAGACCGCT-1 | T_cell:CD4+_central_memory | 0.16 | 394.08 | Raw ScoresT_cell:CD4+_central_memory: 0.44, T_cell:CD4+_effector_memory: 0.43, T_cell:CD4+_Naive: 0.42, T_cell:CD4+: 0.41, T_cell:gamma-delta: 0.41, T_cell:CD8+: 0.4, NK_cell:IL2: 0.4, NK_cell: 0.4, T_cell:Treg:Naive: 0.39, T_cell:CD8+_effector_memory: 0.39 |
T214_GGGATGAAGACATGCG-1 | T_cell:CD4+_Naive | 0.13 | 391.78 | Raw ScoresT_cell:CD4+_central_memory: 0.37, T_cell:CD4+_effector_memory: 0.36, T_cell:CD4+_Naive: 0.36, T_cell:CD4+: 0.35, T_cell:CD8+: 0.34, T_cell:gamma-delta: 0.34, T_cell:Treg:Naive: 0.33, NK_cell: 0.33, NK_cell:IL2: 0.33, T_cell:CD8+_effector_memory: 0.33 |
T214_CATTCCGAGATAGCAT-1 | T_cell:CD4+_Naive | 0.19 | 387.99 | Raw ScoresT_cell:CD4+_Naive: 0.42, T_cell:CD4+_central_memory: 0.42, T_cell:CD4+_effector_memory: 0.41, T_cell:CD4+: 0.4, T_cell:CD8+: 0.39, T_cell:CD8+_effector_memory: 0.39, T_cell:gamma-delta: 0.38, T_cell:Treg:Naive: 0.37, NK_cell:IL2: 0.37, NK_cell: 0.37 |
T214_AGACACTTCCACGTCT-1 | T_cell:CD4+_central_memory | 0.15 | 380.48 | Raw ScoresT_cell:CD4+_central_memory: 0.4, T_cell:CD4+_Naive: 0.39, T_cell:CD4+_effector_memory: 0.39, T_cell:CD8+: 0.38, T_cell:CD8+_effector_memory: 0.38, T_cell:CD4+: 0.38, NK_cell: 0.38, NK_cell:CD56hiCD62L+: 0.37, T_cell:CD8+_naive: 0.37, T_cell:CD8+_Central_memory: 0.36 |
T214_CACTTCGAGTAGAATC-1 | Neurons:adrenal_medulla_cell_line | 0.11 | 362.97 | Raw ScoresNeurons:adrenal_medulla_cell_line: 0.3, T_cell:CD4+_central_memory: 0.26, T_cell:CD4+_Naive: 0.25, T_cell:CD4+_effector_memory: 0.25, Neuroepithelial_cell:ESC-derived: 0.25, T_cell:CD4+: 0.24, NK_cell:CD56hiCD62L+: 0.24, NK_cell: 0.24, Astrocyte:Embryonic_stem_cell-derived: 0.24, NK_cell:IL2: 0.24 |
T214_TAACGACTCAAACTGC-1 | T_cell:CD8+_naive | 0.10 | 355.08 | Raw ScoresT_cell:CD4+_central_memory: 0.35, T_cell:CD8+_effector_memory: 0.35, T_cell:CD4+_Naive: 0.34, T_cell:CD4+_effector_memory: 0.34, T_cell:CD4+: 0.34, T_cell:CD8+_naive: 0.34, T_cell:CD8+: 0.34, T_cell:CD8+_Central_memory: 0.34, T_cell:CD8+_effector_memory_RA: 0.33, NK_cell: 0.33 |
T188_CATTGTTTCCACTTCG-1 | T_cell:CD4+_Naive | 0.15 | 353.68 | Raw ScoresT_cell:CD4+_Naive: 0.37, T_cell:CD4+_central_memory: 0.36, T_cell:CD4+_effector_memory: 0.36, T_cell:CD4+: 0.35, T_cell:CD8+_effector_memory: 0.34, T_cell:CD8+: 0.34, T_cell:CD8+_naive: 0.33, NK_cell: 0.33, NK_cell:CD56hiCD62L+: 0.33, T_cell:CD8+_Central_memory: 0.32 |
T214_GCACGTGGTTTGGCTA-1 | T_cell:CD4+_central_memory | 0.15 | 350.84 | Raw ScoresT_cell:CD4+_central_memory: 0.39, T_cell:CD4+_effector_memory: 0.38, T_cell:CD4+_Naive: 0.38, T_cell:CD4+: 0.37, T_cell:CD8+: 0.36, T_cell:gamma-delta: 0.35, NK_cell: 0.35, T_cell:CD8+_effector_memory: 0.35, NK_cell:IL2: 0.34, NK_cell:CD56hiCD62L+: 0.34 |
T214_TCAGTCCAGCAGCACA-1 | T_cell:CD4+_Naive | 0.15 | 350.56 | Raw ScoresT_cell:CD4+_central_memory: 0.4, T_cell:CD4+_Naive: 0.4, T_cell:CD4+_effector_memory: 0.39, T_cell:CD4+: 0.38, T_cell:CD8+_effector_memory: 0.37, T_cell:CD8+: 0.37, T_cell:CD8+_naive: 0.36, T_cell:gamma-delta: 0.36, T_cell:Treg:Naive: 0.36, T_cell:CD8+_Central_memory: 0.36 |
T214_GTCAAGTCATGCACTA-1 | T_cell:CD4+_central_memory | 0.13 | 346.70 | Raw ScoresT_cell:CD4+_central_memory: 0.37, T_cell:CD4+_effector_memory: 0.36, T_cell:CD4+_Naive: 0.36, T_cell:CD4+: 0.35, T_cell:CD8+: 0.34, T_cell:CD8+_effector_memory: 0.34, T_cell:gamma-delta: 0.34, T_cell:CD8+_naive: 0.34, T_cell:CD8+_Central_memory: 0.33, T_cell:CD8+_effector_memory_RA: 0.33 |
T214_CACAACATCGACACCG-1 | T_cell:CD4+_Naive | 0.15 | 345.27 | Raw ScoresT_cell:CD4+_Naive: 0.37, T_cell:CD4+_central_memory: 0.37, T_cell:CD4+_effector_memory: 0.37, T_cell:CD4+: 0.35, T_cell:CD8+: 0.35, T_cell:CD8+_effector_memory: 0.35, T_cell:gamma-delta: 0.34, NK_cell:IL2: 0.34, NK_cell: 0.34, T_cell:CD8+_Central_memory: 0.33 |
T214_CTATAGGCACTGGATT-1 | T_cell:CD8+_effector_memory | 0.14 | 341.31 | Raw ScoresT_cell:CD4+_central_memory: 0.37, T_cell:CD4+_Naive: 0.37, T_cell:CD4+_effector_memory: 0.37, T_cell:CD8+_effector_memory: 0.36, T_cell:CD8+: 0.36, T_cell:CD4+: 0.35, T_cell:CD8+_naive: 0.35, NK_cell: 0.35, T_cell:CD8+_Central_memory: 0.35, NK_cell:CD56hiCD62L+: 0.34 |
T214_CTCCTTTAGCCTAACT-1 | Neurons:adrenal_medulla_cell_line | 0.12 | 333.98 | Raw ScoresNeurons:adrenal_medulla_cell_line: 0.32, Neuroepithelial_cell:ESC-derived: 0.27, Astrocyte:Embryonic_stem_cell-derived: 0.26, iPS_cells:PDB_1lox-21Puro-20: 0.25, Embryonic_stem_cells: 0.25, iPS_cells:PDB_1lox-21Puro-26: 0.25, iPS_cells:CRL2097_foreskin-derived:undiff.: 0.24, iPS_cells:PDB_2lox-22: 0.24, Neurons:ES_cell-derived_neural_precursor: 0.24, iPS_cells:PDB_2lox-17: 0.24 |
T214_ATTCATCAGATGTTCC-1 | T_cell:CD4+_Naive | 0.13 | 333.18 | Raw ScoresT_cell:CD4+_Naive: 0.38, T_cell:CD4+_central_memory: 0.38, T_cell:CD4+_effector_memory: 0.37, T_cell:CD4+: 0.36, T_cell:CD8+: 0.35, T_cell:CD8+_effector_memory: 0.35, T_cell:gamma-delta: 0.35, NK_cell:IL2: 0.35, NK_cell: 0.34, T_cell:Treg:Naive: 0.34 |
T214_CTAAGTGGTCCTTGTC-1 | T_cell:CD4+_Naive | 0.14 | 332.60 | Raw ScoresT_cell:CD4+_central_memory: 0.4, T_cell:CD4+_effector_memory: 0.4, T_cell:CD4+_Naive: 0.39, T_cell:CD4+: 0.38, T_cell:CD8+: 0.38, T_cell:gamma-delta: 0.37, NK_cell: 0.36, T_cell:CD8+_effector_memory: 0.36, NK_cell:IL2: 0.36, T_cell:Treg:Naive: 0.35 |
T214_GCAACATTCACCTCAC-1 | T_cell:CD4+_central_memory | 0.14 | 327.86 | Raw ScoresT_cell:CD4+_central_memory: 0.4, T_cell:CD4+_effector_memory: 0.4, T_cell:CD4+_Naive: 0.38, T_cell:CD4+: 0.38, NK_cell: 0.38, NK_cell:IL2: 0.38, T_cell:gamma-delta: 0.37, T_cell:CD8+: 0.37, T_cell:CD8+_Central_memory: 0.37, T_cell:CD8+_effector_memory_RA: 0.37 |
T214_CCCTTAGAGGACAGCT-1 | T_cell:CD4+_effector_memory | 0.14 | 327.53 | Raw ScoresT_cell:CD4+_central_memory: 0.4, T_cell:CD4+_effector_memory: 0.4, T_cell:CD4+_Naive: 0.4, T_cell:CD4+: 0.38, T_cell:CD8+: 0.38, T_cell:CD8+_effector_memory: 0.38, NK_cell: 0.37, T_cell:CD8+_naive: 0.37, T_cell:CD8+_Central_memory: 0.37, T_cell:gamma-delta: 0.37 |
T214_ATCATTCAGACTCAAA-1 | T_cell:gamma-delta | 0.19 | 325.74 | Raw ScoresT_cell:gamma-delta: 0.43, T_cell:effector: 0.43, T_cell:CCR10+CLA+1,25(OH)2_vit_D3/IL-12: 0.42, T_cell:CCR10-CLA+1,25(OH)2_vit_D3/IL-12: 0.42, T_cell:CD4+_central_memory: 0.4, T_cell:Treg:Naive: 0.39, T_cell:CD4+_Naive: 0.39, T_cell:CD4+_effector_memory: 0.39, NK_cell:IL2: 0.38, Pro-B_cell_CD34+: 0.38 |
T214_ATTCAGGTCACTAGCA-1 | T_cell:CD4+_Naive | 0.13 | 324.40 | Raw ScoresT_cell:CD4+_Naive: 0.37, T_cell:CD4+_central_memory: 0.37, T_cell:CD4+_effector_memory: 0.36, T_cell:CD4+: 0.35, T_cell:CD8+: 0.35, T_cell:CD8+_effector_memory: 0.35, NK_cell: 0.34, NK_cell:IL2: 0.33, T_cell:Treg:Naive: 0.33, T_cell:CD8+_naive: 0.33 |
T214_GTGGTTAAGGTAGCCA-1 | T_cell:CD8+_effector_memory | 0.14 | 322.96 | Raw ScoresT_cell:CD4+_Naive: 0.35, T_cell:CD4+_central_memory: 0.34, T_cell:CD8+_effector_memory: 0.34, T_cell:CD4+_effector_memory: 0.34, T_cell:CD8+: 0.34, T_cell:CD4+: 0.33, T_cell:CD8+_naive: 0.33, T_cell:CD8+_Central_memory: 0.32, NK_cell: 0.32, T_cell:CD8+_effector_memory_RA: 0.32 |
T214_ACGTCCTCAACCGCCA-1 | T_cell:CD4+_Naive | 0.14 | 315.02 | Raw ScoresT_cell:CD4+_central_memory: 0.34, T_cell:CD4+_Naive: 0.34, T_cell:CD4+_effector_memory: 0.34, T_cell:CD8+: 0.33, T_cell:CD4+: 0.33, T_cell:CD8+_effector_memory: 0.32, T_cell:gamma-delta: 0.31, NK_cell: 0.31, NK_cell:IL2: 0.31, T_cell:CD8+_naive: 0.3 |
T214_ACATTTCCATTCTGTT-1 | B_cell:immature | 0.06 | 313.59 | Raw ScoresNeurons:adrenal_medulla_cell_line: 0.32, B_cell:Memory: 0.3, B_cell:immature: 0.3, B_cell:Naive: 0.3, Pro-B_cell_CD34+: 0.3, T_cell:CD4+_central_memory: 0.3, B_cell:Germinal_center: 0.3, T_cell:CD4+_Naive: 0.3, T_cell:CD4+_effector_memory: 0.3, T_cell:CD4+: 0.29 |
T214_TACAACGGTGGTCTAT-1 | T_cell:CD4+_Naive | 0.14 | 313.34 | Raw ScoresT_cell:CD4+_Naive: 0.35, T_cell:CD4+_central_memory: 0.34, T_cell:CD4+_effector_memory: 0.34, T_cell:CD4+: 0.33, T_cell:CD8+: 0.33, T_cell:CD8+_effector_memory: 0.32, T_cell:gamma-delta: 0.32, NK_cell: 0.31, NK_cell:IL2: 0.31, NK_cell:CD56hiCD62L+: 0.31 |
T214_CTCAACCCAGGCACAA-1 | T_cell:CD4+_central_memory | 0.12 | 311.70 | Raw ScoresT_cell:CD4+_central_memory: 0.36, T_cell:CD4+_Naive: 0.36, T_cell:CD4+_effector_memory: 0.36, T_cell:CD4+: 0.35, T_cell:gamma-delta: 0.35, T_cell:CD8+: 0.34, NK_cell: 0.34, T_cell:CD8+_effector_memory: 0.34, NK_cell:IL2: 0.34, T_cell:CD8+_naive: 0.33 |
T214_GGAATGGTCCCATACC-1 | T_cell:CD8+_effector_memory | 0.14 | 309.28 | Raw ScoresT_cell:CD4+_Naive: 0.41, T_cell:CD4+_central_memory: 0.41, T_cell:CD4+_effector_memory: 0.41, T_cell:CD8+: 0.4, T_cell:CD4+: 0.39, T_cell:CD8+_effector_memory: 0.39, T_cell:gamma-delta: 0.38, T_cell:CD8+_naive: 0.38, NK_cell: 0.38, NK_cell:IL2: 0.38 |
T214_ATCTCTATCCTGTTAT-1 | T_cell:CD4+_Naive | 0.12 | 308.43 | Raw ScoresT_cell:CD4+_central_memory: 0.35, T_cell:CD4+_Naive: 0.35, T_cell:CD4+_effector_memory: 0.35, T_cell:CD4+: 0.34, T_cell:CD8+: 0.34, T_cell:CD8+_effector_memory: 0.33, NK_cell: 0.33, NK_cell:CD56hiCD62L+: 0.32, NK_cell:IL2: 0.32, T_cell:CD8+_naive: 0.32 |
T188_GTGAGCCTCCTCAGAA-1 | T_cell:CD4+_Naive | 0.12 | 307.03 | Raw ScoresT_cell:CD4+_central_memory: 0.38, T_cell:CD4+_Naive: 0.38, T_cell:CD4+_effector_memory: 0.38, T_cell:CD8+: 0.38, NK_cell: 0.37, T_cell:CD4+: 0.37, T_cell:CD8+_effector_memory: 0.37, NK_cell:IL2: 0.36, T_cell:CD8+_Central_memory: 0.36, T_cell:CD8+_naive: 0.36 |
T214_AGCTTCCAGGGTCACA-1 | T_cell:CD4+_Naive | 0.06 | 304.25 | Raw ScoresNeurons:adrenal_medulla_cell_line: 0.32, T_cell:CD4+_central_memory: 0.32, T_cell:CD4+_effector_memory: 0.31, T_cell:CD4+_Naive: 0.31, T_cell:gamma-delta: 0.3, Pro-B_cell_CD34+: 0.3, T_cell:CD4+: 0.3, CMP: 0.29, GMP: 0.29, NK_cell:IL2: 0.29 |
T214_TACCGGGTCACCGCTT-1 | T_cell:CD4+_Naive | 0.16 | 303.80 | Raw ScoresT_cell:CD4+_central_memory: 0.41, T_cell:CD4+_effector_memory: 0.41, T_cell:CD4+_Naive: 0.41, T_cell:CD4+: 0.39, T_cell:gamma-delta: 0.38, T_cell:CD8+: 0.38, T_cell:CD8+_effector_memory: 0.37, T_cell:Treg:Naive: 0.37, NK_cell:IL2: 0.37, NK_cell: 0.37 |
T188_GGAACCCGTATCGCAT-1 | T_cell:CD4+_Naive | 0.17 | 302.46 | Raw ScoresT_cell:CD4+_Naive: 0.42, T_cell:CD4+_central_memory: 0.42, T_cell:CD4+_effector_memory: 0.41, T_cell:CD4+: 0.4, T_cell:CD8+_effector_memory: 0.4, T_cell:CD8+: 0.4, NK_cell: 0.39, T_cell:Treg:Naive: 0.39, T_cell:CD8+_naive: 0.38, NK_cell:CD56hiCD62L+: 0.38 |
T214_TTTGGTTCACATGGTT-1 | T_cell:CD8+_effector_memory | 0.12 | 298.16 | Raw ScoresT_cell:CD4+_central_memory: 0.32, T_cell:CD4+_effector_memory: 0.31, T_cell:CD8+_effector_memory: 0.31, T_cell:CD4+_Naive: 0.31, T_cell:CD8+_naive: 0.3, T_cell:CD8+_Central_memory: 0.3, T_cell:CD4+: 0.3, T_cell:CD8+_effector_memory_RA: 0.3, NK_cell: 0.3, T_cell:CD8+: 0.29 |
T214_ATTCACTCAAGAATAC-1 | T_cell:CD8+_effector_memory | 0.12 | 296.88 | Raw ScoresT_cell:CD4+_central_memory: 0.35, T_cell:CD4+_effector_memory: 0.34, T_cell:CD4+_Naive: 0.34, NK_cell: 0.34, T_cell:CD8+_effector_memory: 0.34, T_cell:CD8+: 0.34, NK_cell:IL2: 0.33, T_cell:gamma-delta: 0.33, T_cell:CD4+: 0.33, T_cell:CD8+_naive: 0.33 |
T214_TGGGCTGCACCCTATC-1 | T_cell:CD4+_central_memory | 0.13 | 294.53 | Raw ScoresT_cell:CD4+_central_memory: 0.36, T_cell:CD4+_Naive: 0.35, T_cell:CD4+_effector_memory: 0.35, T_cell:CD4+: 0.33, T_cell:CD8+: 0.33, T_cell:gamma-delta: 0.32, NK_cell: 0.32, NK_cell:IL2: 0.32, T_cell:CD8+_effector_memory: 0.32, T_cell:Treg:Naive: 0.31 |
T214_CATCGGGCATACTTTC-1 | T_cell:CD8+_effector_memory | 0.13 | 290.89 | Raw ScoresT_cell:CD4+_Naive: 0.35, T_cell:CD4+_central_memory: 0.35, T_cell:CD4+_effector_memory: 0.35, T_cell:CD8+_effector_memory: 0.35, T_cell:CD8+: 0.35, T_cell:CD4+: 0.34, T_cell:CD8+_naive: 0.33, NK_cell: 0.33, T_cell:CD8+_effector_memory_RA: 0.33, T_cell:CD8+_Central_memory: 0.33 |
T188_CAACCTCGTTCAGTAC-1 | T_cell:CD4+_Naive | 0.16 | 289.23 | Raw ScoresT_cell:CD4+_central_memory: 0.42, T_cell:CD4+_Naive: 0.42, NK_cell: 0.42, T_cell:CD4+_effector_memory: 0.41, T_cell:CD8+_effector_memory: 0.41, T_cell:CD8+: 0.41, NK_cell:CD56hiCD62L+: 0.4, NK_cell:IL2: 0.4, T_cell:CD4+: 0.4, T_cell:CD8+_naive: 0.39 |
T214_GTCTAGAGTATGCTAC-1 | T_cell:CD4+_Naive | 0.13 | 289.19 | Raw ScoresT_cell:CD4+_Naive: 0.32, T_cell:CD4+_central_memory: 0.32, T_cell:CD4+_effector_memory: 0.32, T_cell:CD4+: 0.31, T_cell:CD8+: 0.3, T_cell:CD8+_effector_memory: 0.3, T_cell:gamma-delta: 0.29, T_cell:CD8+_naive: 0.29, NK_cell: 0.29, T_cell:CD8+_Central_memory: 0.29 |
T214_CATGCCTGTGGTTTAC-1 | T_cell:CD8+_effector_memory | 0.11 | 288.44 | Raw ScoresT_cell:CD4+_central_memory: 0.36, T_cell:CD4+_Naive: 0.36, T_cell:CD4+_effector_memory: 0.36, T_cell:CD8+_effector_memory: 0.35, T_cell:CD8+_naive: 0.35, NK_cell: 0.35, T_cell:CD8+: 0.34, T_cell:CD4+: 0.34, NK_cell:CD56hiCD62L+: 0.34, T_cell:CD8+_Central_memory: 0.34 |
T214_GCCATTCCAACCGCCA-1 | T_cell:CD8+_effector_memory | 0.13 | 287.00 | Raw ScoresT_cell:CD4+_central_memory: 0.36, T_cell:CD4+_effector_memory: 0.36, T_cell:CD4+_Naive: 0.36, T_cell:CD8+: 0.35, T_cell:CD8+_effector_memory: 0.35, T_cell:CD4+: 0.35, NK_cell: 0.35, T_cell:CD8+_Central_memory: 0.34, T_cell:gamma-delta: 0.34, T_cell:CD8+_naive: 0.34 |
T214_GATGCTACAGAATGTA-1 | Neurons:adrenal_medulla_cell_line | 0.09 | 286.38 | Raw ScoresNeurons:adrenal_medulla_cell_line: 0.34, T_cell:gamma-delta: 0.33, Pro-B_cell_CD34+: 0.32, T_cell:CD4+_central_memory: 0.31, GMP: 0.31, NK_cell:IL2: 0.31, CMP: 0.31, B_cell:Germinal_center: 0.31, T_cell:CD4+_effector_memory: 0.3, Neuroepithelial_cell:ESC-derived: 0.3 |
T214_TCCTCGAGTAACCAGG-1 | T_cell:CD8+_naive | 0.10 | 286.18 | Raw ScoresT_cell:CD4+_central_memory: 0.36, T_cell:CD4+_Naive: 0.36, T_cell:CD4+_effector_memory: 0.36, T_cell:CD8+_effector_memory: 0.35, T_cell:CD4+: 0.34, T_cell:CD8+_naive: 0.34, NK_cell: 0.34, T_cell:CD8+: 0.34, T_cell:CD8+_Central_memory: 0.34, T_cell:CD8+_effector_memory_RA: 0.34 |
T188_TTTCCTCCAACCGTAT-1 | T_cell:CD4+_central_memory | 0.14 | 284.72 | Raw ScoresT_cell:CD4+_effector_memory: 0.41, T_cell:CD4+_central_memory: 0.41, T_cell:CD4+_Naive: 0.4, NK_cell: 0.39, T_cell:CD4+: 0.39, T_cell:CD8+: 0.39, T_cell:CD8+_Central_memory: 0.39, T_cell:CD8+_naive: 0.39, T_cell:CD8+_effector_memory: 0.38, T_cell:gamma-delta: 0.38 |
T214_AAACCCATCCTCTCTT-1 | T_cell:CD8+_effector_memory | 0.14 | 282.48 | Raw ScoresT_cell:CD4+_Naive: 0.35, T_cell:CD4+_central_memory: 0.34, T_cell:CD8+_effector_memory: 0.34, T_cell:CD8+: 0.33, T_cell:CD4+_effector_memory: 0.33, T_cell:CD4+: 0.33, T_cell:CD8+_naive: 0.32, T_cell:CD8+_Central_memory: 0.32, NK_cell: 0.31, T_cell:CD8+_effector_memory_RA: 0.31 |
T188_ACGTAGTGTGTAGGAC-1 | T_cell:CD4+_central_memory | 0.13 | 280.75 | Raw ScoresT_cell:CD4+_central_memory: 0.39, T_cell:CD4+_effector_memory: 0.39, T_cell:CD4+_Naive: 0.39, T_cell:CD8+_effector_memory: 0.38, T_cell:CD8+: 0.38, T_cell:CD8+_naive: 0.37, NK_cell: 0.37, T_cell:CD4+: 0.37, T_cell:CD8+_Central_memory: 0.37, NK_cell:CD56hiCD62L+: 0.37 |
T214_TTCACGCCATAGAATG-1 | T_cell:CD4+_Naive | 0.14 | 280.60 | Raw ScoresT_cell:CD4+_Naive: 0.34, T_cell:CD4+_central_memory: 0.34, T_cell:CD4+_effector_memory: 0.33, T_cell:CD4+: 0.33, T_cell:CD8+: 0.32, T_cell:CD8+_effector_memory: 0.31, T_cell:Treg:Naive: 0.3, T_cell:gamma-delta: 0.3, NK_cell: 0.3, T_cell:CD8+_naive: 0.29 |
Below shows the significant enrichments of this GEP for literature curated gene lists
This data was procured from existing single cell RNA-seq maps of neuroblastoma or related relevant data.
High ranks indicate this gene is a driver of this GEP.
These curated gene list are ranked by the P-value (on this GEP) of their constituent genes.
The Mean Count column shows the mean read count in cells scoring highly (H > 50) on this gene expression program.
Genes | Weight | Rank | GTEx | DepMap | Decartes | Mean.Counts | Mean.TPM |
---|---|---|---|---|---|---|---|
SELL | 0.0036462 | 125 | GTEx | DepMap | Descartes | 0.79 | 124.16 |
TCF7 | 0.0033055 | 154 | GTEx | DepMap | Descartes | 0.59 | 43.81 |
LEF1 | 0.0031765 | 172 | GTEx | DepMap | Descartes | 0.49 | 50.57 |
CCR7 | 0.0029506 | 195 | GTEx | DepMap | Descartes | 0.95 | 153.11 |
CD4 | 0.0019185 | 398 | GTEx | DepMap | Descartes | 0.33 | 33.91 |
FOXP3 | -0.0004602 | 9755 | GTEx | DepMap | Descartes | 0.02 | 4.65 |
PMN-MDSC
These marker genes were curated for MDSC subtypes as reviewed in Veglia et. al. (PMID 33526920):
Wilcoxon ranksum test P-value for gene set overrepresentation: 1.86e-03
Mean rank of genes in gene set: 3649.31
Rank on gene expression program of genes in gene set:
Genes | Weight | Rank | GTEx | DepMap | Decartes | Mean.Counts | Mean.TPM |
---|---|---|---|---|---|---|---|
ANXA1 | 0.0070643 | 13 | GTEx | DepMap | Descartes | 3.37 | 687.90 |
TGFB1 | 0.0051002 | 44 | GTEx | DepMap | Descartes | 1.02 | 175.61 |
IRF1 | 0.0042906 | 79 | GTEx | DepMap | Descartes | 1.52 | 134.52 |
STAT3 | 0.0026111 | 256 | GTEx | DepMap | Descartes | 0.94 | 78.12 |
STAT1 | 0.0017642 | 445 | GTEx | DepMap | Descartes | 0.77 | 66.45 |
STAT6 | 0.0013469 | 646 | GTEx | DepMap | Descartes | 0.13 | 12.46 |
CD84 | 0.0007789 | 1123 | GTEx | DepMap | Descartes | 0.13 | 4.85 |
TNFRSF10B | 0.0003445 | 1989 | GTEx | DepMap | Descartes | 0.10 | 9.28 |
HIF1A | 0.0002498 | 2305 | GTEx | DepMap | Descartes | 0.36 | 27.30 |
CSF1 | 0.0000114 | 3634 | GTEx | DepMap | Descartes | 0.03 | 3.60 |
ARG2 | -0.0002091 | 6926 | GTEx | DepMap | Descartes | 0.13 | 17.59 |
ARG1 | -0.0002146 | 7017 | GTEx | DepMap | Descartes | 0.00 | 0.18 |
SLC27A2 | -0.0002161 | 7040 | GTEx | DepMap | Descartes | 0.03 | 3.61 |
CD36 | -0.0003287 | 8439 | GTEx | DepMap | Descartes | 0.06 | 1.80 |
PTGS2 | -0.0003336 | 8494 | GTEx | DepMap | Descartes | 0.10 | 4.52 |
IL1B | -0.0004829 | 9939 | GTEx | DepMap | Descartes | 0.97 | 93.79 |
Stress response (Kinker)
These marker genes were obtained in a pan cancer cell lines NMF analysis of scRNA-eq data in Kinker et al (PMID 33128048) - 10 metaprograms were recovered that manifest across cancers.:
Wilcoxon ranksum test P-value for gene set overrepresentation: 5.90e-03
Mean rank of genes in gene set: 2196.2
Rank on gene expression program of genes in gene set:
Genes | Weight | Rank | GTEx | DepMap | Decartes | Mean.Counts | Mean.TPM |
---|---|---|---|---|---|---|---|
GADD45A | 0.0020749 | 361 | GTEx | DepMap | Descartes | 0.74 | 212.23 |
GADD45B | 0.0018076 | 433 | GTEx | DepMap | Descartes | 2.01 | 408.58 |
SQSTM1 | 0.0015503 | 545 | GTEx | DepMap | Descartes | 1.07 | 138.33 |
DDIT3 | 0.0010137 | 877 | GTEx | DepMap | Descartes | 0.57 | 207.97 |
ATF3 | -0.0003591 | 8765 | GTEx | DepMap | Descartes | 0.52 | 67.56 |
Below shows ranks on this GEP for literature curated gene lists for large gene sets
These include those reported as mesenchymal/adrenergic by Van Groningen et al.
High ranks indicate this gene is a driver of this GEP (note these results are not ordered).
The Mean Count column shows the mean read count in cells scoring highly (H > 50) on this gene expression program.
VanGroningen Adrenergic Genes
Adrenergic marker genes from Supplementary Table 2 of Van Groningen et al. Nature Genetics 2017. These genes were identified by differential expression analysis of mesenchymal-like and adrenergic-like neuroblastoma cell lines.
Wilcoxon ranksum test P-value for gene set overrepresentation: 1.00e+00
Mean rank of genes in gene set: 10312.16
Median rank of genes in gene set: 11467
Rank on gene expression program of top 30 genes in gene set:
Genes | Weight | Rank | GTEx | DepMap | Descartes | Mean.Counts | Mean.TPM |
---|---|---|---|---|---|---|---|
LEPROTL1 | 0.0076830 | 10 | GTEx | DepMap | Descartes | 2.48 | 347.96 |
CXCR4 | 0.0046936 | 64 | GTEx | DepMap | Descartes | 5.40 | 1343.10 |
EML4 | 0.0030003 | 189 | GTEx | DepMap | Descartes | 0.67 | 54.12 |
FAM107B | 0.0029157 | 199 | GTEx | DepMap | Descartes | 0.73 | 78.87 |
PIK3R1 | 0.0021405 | 344 | GTEx | DepMap | Descartes | 1.23 | 84.46 |
UCP2 | 0.0021140 | 352 | GTEx | DepMap | Descartes | 1.27 | 220.88 |
SATB1 | 0.0019949 | 380 | GTEx | DepMap | Descartes | 0.60 | 28.43 |
EVL | 0.0016519 | 497 | GTEx | DepMap | Descartes | 2.04 | 209.23 |
KLF13 | 0.0013453 | 648 | GTEx | DepMap | Descartes | 0.57 | 29.15 |
ABLIM1 | 0.0012198 | 723 | GTEx | DepMap | Descartes | 0.24 | 11.58 |
CELF2 | 0.0011505 | 768 | GTEx | DepMap | Descartes | 0.59 | 25.81 |
CYFIP2 | 0.0008826 | 992 | GTEx | DepMap | Descartes | 0.42 | 23.30 |
DUSP4 | 0.0008765 | 999 | GTEx | DepMap | Descartes | 0.44 | 34.66 |
TUBB4B | 0.0006777 | 1260 | GTEx | DepMap | Descartes | 1.40 | 241.13 |
KIF2A | 0.0006193 | 1369 | GTEx | DepMap | Descartes | 0.51 | 20.73 |
PDK1 | 0.0003310 | 2023 | GTEx | DepMap | Descartes | 0.07 | 1.40 |
ANP32A | 0.0000439 | 3385 | GTEx | DepMap | Descartes | 0.78 | 64.07 |
MCM6 | 0.0000361 | 3446 | GTEx | DepMap | Descartes | 0.18 | 13.77 |
AUTS2 | 0.0000328 | 3463 | GTEx | DepMap | Descartes | 0.46 | 22.38 |
TIAM1 | 0.0000178 | 3583 | GTEx | DepMap | Descartes | 0.09 | 4.69 |
NFIL3 | -0.0000194 | 3975 | GTEx | DepMap | Descartes | 0.13 | 23.73 |
MYO5A | -0.0000475 | 4331 | GTEx | DepMap | Descartes | 0.10 | 2.61 |
ARHGEF7 | -0.0000553 | 4458 | GTEx | DepMap | Descartes | 0.22 | 13.02 |
NELL2 | -0.0000799 | 4806 | GTEx | DepMap | Descartes | 0.30 | 26.51 |
HK2 | -0.0000872 | 4910 | GTEx | DepMap | Descartes | 0.02 | 0.82 |
POLB | -0.0001089 | 5253 | GTEx | DepMap | Descartes | 0.11 | 26.62 |
FAM169A | -0.0001132 | 5322 | GTEx | DepMap | Descartes | 0.03 | 1.87 |
BEND4 | -0.0001272 | 5544 | GTEx | DepMap | Descartes | 0.00 | 0.23 |
GCH1 | -0.0001322 | 5626 | GTEx | DepMap | Descartes | 0.17 | 21.29 |
VRK1 | -0.0001671 | 6229 | GTEx | DepMap | Descartes | 0.16 | 28.02 |
VanGroningen Mesenchymal Genes
Mesenchymal marker genes from Supplementary Table 2 of Van Groningen et al. Nature Genetics 2017. These genes were identified by differential expression analysis of mesenchymal-like and adrenergic-like neuroblastoma cell lines.
Wilcoxon ranksum test P-value for gene set overrepresentation: 4.32e-02
Mean rank of genes in gene set: 5982.45
Median rank of genes in gene set: 6668
Rank on gene expression program of top 30 genes in gene set:
Genes | Weight | Rank | GTEx | DepMap | Descartes | Mean.Counts | Mean.TPM |
---|---|---|---|---|---|---|---|
ETS1 | 0.0086103 | 2 | GTEx | DepMap | Descartes | 1.05 | 95.20 |
ANXA1 | 0.0070643 | 13 | GTEx | DepMap | Descartes | 3.37 | 687.90 |
ITGA4 | 0.0066457 | 16 | GTEx | DepMap | Descartes | 0.49 | 35.38 |
MYL12A | 0.0056280 | 32 | GTEx | DepMap | Descartes | 4.03 | 1357.24 |
ELF1 | 0.0053983 | 40 | GTEx | DepMap | Descartes | 1.13 | 145.59 |
TSC22D3 | 0.0052961 | 42 | GTEx | DepMap | Descartes | 3.92 | 819.31 |
JAK1 | 0.0050072 | 49 | GTEx | DepMap | Descartes | 1.17 | 68.24 |
PTGER4 | 0.0039858 | 98 | GTEx | DepMap | Descartes | 0.72 | 90.43 |
DUSP5 | 0.0037960 | 111 | GTEx | DepMap | Descartes | 0.33 | 65.65 |
RAP1B | 0.0037918 | 112 | GTEx | DepMap | Descartes | 1.07 | 31.65 |
MBNL1 | 0.0037174 | 120 | GTEx | DepMap | Descartes | 0.70 | 46.27 |
TGFBR2 | 0.0031843 | 169 | GTEx | DepMap | Descartes | 0.30 | 22.58 |
SDCBP | 0.0030476 | 184 | GTEx | DepMap | Descartes | 1.29 | 149.38 |
ABRACL | 0.0029130 | 200 | GTEx | DepMap | Descartes | 1.03 | NA |
IQGAP2 | 0.0028649 | 207 | GTEx | DepMap | Descartes | 0.38 | 29.27 |
SLC30A1 | 0.0028467 | 210 | GTEx | DepMap | Descartes | 0.25 | 18.76 |
SYNJ2 | 0.0028301 | 213 | GTEx | DepMap | Descartes | 0.09 | 5.10 |
B2M | 0.0028153 | 222 | GTEx | DepMap | Descartes | 50.94 | 8530.36 |
CBLB | 0.0027635 | 227 | GTEx | DepMap | Descartes | 0.28 | 19.71 |
MYL12B | 0.0027129 | 233 | GTEx | DepMap | Descartes | 2.91 | 897.10 |
FLNA | 0.0026941 | 238 | GTEx | DepMap | Descartes | 0.60 | 29.54 |
STAT3 | 0.0026111 | 256 | GTEx | DepMap | Descartes | 0.94 | 78.12 |
ARL4A | 0.0024937 | 280 | GTEx | DepMap | Descartes | 0.79 | 108.50 |
KLF6 | 0.0024456 | 291 | GTEx | DepMap | Descartes | 2.60 | 234.53 |
MBD2 | 0.0023795 | 302 | GTEx | DepMap | Descartes | 0.28 | 22.61 |
RAP1A | 0.0023760 | 304 | GTEx | DepMap | Descartes | 0.64 | 49.92 |
NR3C1 | 0.0022412 | 324 | GTEx | DepMap | Descartes | 0.44 | 25.51 |
MAML2 | 0.0019943 | 381 | GTEx | DepMap | Descartes | 0.13 | 8.01 |
REST | 0.0018951 | 404 | GTEx | DepMap | Descartes | 0.22 | 12.60 |
SH3BGRL | 0.0018823 | 408 | GTEx | DepMap | Descartes | 0.80 | 171.88 |
Descartes adrenocortical markers
Top 50 marker genes of adrenocortical cells in the Decartes fetal adrenal single cell map (https://atlas.brotmanbaty.org/bbi/human-gene-expression-during-development/cell/adrenocortical/in/adrenal)
Wilcoxon ranksum test P-value for gene set overrepresentation: 9.87e-01
Mean rank of genes in gene set: 7624.28
Median rank of genes in gene set: 8512.5
Rank on gene expression program of top 30 genes in gene set:
Genes | Weight | Rank | GTEx | DepMap | Descartes | Mean.Counts | Mean.TPM |
---|---|---|---|---|---|---|---|
ERN1 | 0.0047126 | 63 | GTEx | DepMap | Descartes | 0.43 | 26.56 |
FDX1 | 0.0008943 | 982 | GTEx | DepMap | Descartes | 0.43 | 50.17 |
GRAMD1B | 0.0007320 | 1172 | GTEx | DepMap | Descartes | 0.05 | 2.91 |
LDLR | 0.0006237 | 1365 | GTEx | DepMap | Descartes | 0.08 | 5.23 |
NPC1 | 0.0005151 | 1565 | GTEx | DepMap | Descartes | 0.07 | 5.14 |
DHCR7 | 0.0001657 | 2662 | GTEx | DepMap | Descartes | 0.08 | 11.41 |
SH3BP5 | -0.0000413 | 4244 | GTEx | DepMap | Descartes | 0.28 | 23.88 |
FREM2 | -0.0000508 | 4385 | GTEx | DepMap | Descartes | 0.00 | 0.00 |
STAR | -0.0000944 | 5032 | GTEx | DepMap | Descartes | 0.01 | 0.92 |
SGCZ | -0.0001594 | 6097 | GTEx | DepMap | Descartes | 0.00 | 0.01 |
POR | -0.0001605 | 6122 | GTEx | DepMap | Descartes | 0.13 | 17.19 |
BAIAP2L1 | -0.0001869 | 6577 | GTEx | DepMap | Descartes | 0.00 | 0.00 |
FDXR | -0.0001927 | 6661 | GTEx | DepMap | Descartes | 0.05 | 6.24 |
SCAP | -0.0002021 | 6815 | GTEx | DepMap | Descartes | 0.11 | 7.11 |
INHA | -0.0002649 | 7698 | GTEx | DepMap | Descartes | 0.00 | 0.10 |
PAPSS2 | -0.0002758 | 7834 | GTEx | DepMap | Descartes | 0.02 | 0.93 |
HMGCS1 | -0.0002790 | 7868 | GTEx | DepMap | Descartes | 0.11 | 7.67 |
HMGCR | -0.0002911 | 7988 | GTEx | DepMap | Descartes | 0.10 | 7.48 |
CYB5B | -0.0003842 | 9037 | GTEx | DepMap | Descartes | 0.21 | 17.39 |
SLC16A9 | -0.0004185 | 9365 | GTEx | DepMap | Descartes | 0.02 | 0.79 |
FRMD5 | -0.0004324 | 9481 | GTEx | DepMap | Descartes | 0.02 | 0.57 |
SCARB1 | -0.0004382 | 9538 | GTEx | DepMap | Descartes | 0.04 | 1.36 |
SH3PXD2B | -0.0004525 | 9684 | GTEx | DepMap | Descartes | 0.02 | 0.28 |
PDE10A | -0.0004695 | 9824 | GTEx | DepMap | Descartes | 0.03 | 0.48 |
APOC1 | -0.0004766 | 9873 | GTEx | DepMap | Descartes | 2.22 | 347.58 |
MSMO1 | -0.0004801 | 9908 | GTEx | DepMap | Descartes | 0.10 | 12.79 |
IGF1R | -0.0004805 | 9915 | GTEx | DepMap | Descartes | 0.12 | 2.22 |
DHCR24 | -0.0005111 | 10127 | GTEx | DepMap | Descartes | 0.03 | 0.85 |
FDPS | -0.0006680 | 10995 | GTEx | DepMap | Descartes | 0.55 | 77.38 |
TM7SF2 | -0.0007160 | 11195 | GTEx | DepMap | Descartes | 0.16 | 14.99 |
Descartes chromaffin markers
Top 50 marker genes of chromaffin cells in the Decartes fetal adrenal single cell map (https://atlas.brotmanbaty.org/bbi/human-gene-expression-during-development/cell/chromaffin/in/adrenal)
Wilcoxon ranksum test P-value for gene set overrepresentation: 1.00e+00
Mean rank of genes in gene set: 10894.98
Median rank of genes in gene set: 11766
Rank on gene expression program of top 30 genes in gene set:
Genes | Weight | Rank | GTEx | DepMap | Descartes | Mean.Counts | Mean.TPM |
---|---|---|---|---|---|---|---|
GREM1 | -0.0001595 | 6101 | GTEx | DepMap | Descartes | 0.03 | 0.43 |
CNKSR2 | -0.0002233 | 7143 | GTEx | DepMap | Descartes | 0.07 | 1.85 |
EPHA6 | -0.0002406 | 7373 | GTEx | DepMap | Descartes | 0.00 | 0.18 |
PLXNA4 | -0.0002608 | 7632 | GTEx | DepMap | Descartes | 0.07 | 1.22 |
SLC44A5 | -0.0002700 | 7760 | GTEx | DepMap | Descartes | 0.01 | 0.38 |
RPH3A | -0.0002773 | 7846 | GTEx | DepMap | Descartes | 0.02 | 0.72 |
ANKFN1 | -0.0003522 | 8698 | GTEx | DepMap | Descartes | 0.01 | 0.34 |
RYR2 | -0.0003814 | 9003 | GTEx | DepMap | Descartes | 0.02 | 0.19 |
ALK | -0.0004274 | 9438 | GTEx | DepMap | Descartes | 0.03 | 0.72 |
HS3ST5 | -0.0004368 | 9521 | GTEx | DepMap | Descartes | 0.01 | 0.44 |
PTCHD1 | -0.0004776 | 9886 | GTEx | DepMap | Descartes | 0.03 | 0.38 |
FAT3 | -0.0005281 | 10236 | GTEx | DepMap | Descartes | 0.03 | 0.26 |
KCNB2 | -0.0005464 | 10359 | GTEx | DepMap | Descartes | 0.04 | 1.25 |
EYA4 | -0.0005543 | 10414 | GTEx | DepMap | Descartes | 0.04 | 1.20 |
EYA1 | -0.0005936 | 10631 | GTEx | DepMap | Descartes | 0.03 | 1.11 |
TMEM132C | -0.0005954 | 10644 | GTEx | DepMap | Descartes | 0.07 | 2.76 |
SYNPO2 | -0.0007102 | 11171 | GTEx | DepMap | Descartes | 0.06 | 0.58 |
RBFOX1 | -0.0007587 | 11361 | GTEx | DepMap | Descartes | 0.05 | 2.14 |
SLC6A2 | -0.0007665 | 11389 | GTEx | DepMap | Descartes | 0.06 | 3.08 |
TMEFF2 | -0.0008213 | 11556 | GTEx | DepMap | Descartes | 0.15 | 6.65 |
RGMB | -0.0009126 | 11766 | GTEx | DepMap | Descartes | 0.17 | 5.89 |
REEP1 | -0.0009220 | 11788 | GTEx | DepMap | Descartes | 0.08 | 3.32 |
MAB21L2 | -0.0010481 | 12002 | GTEx | DepMap | Descartes | 0.18 | 8.94 |
ELAVL2 | -0.0010934 | 12072 | GTEx | DepMap | Descartes | 0.24 | 8.34 |
IL7 | -0.0011261 | 12111 | GTEx | DepMap | Descartes | 0.18 | 13.13 |
NTRK1 | -0.0011735 | 12169 | GTEx | DepMap | Descartes | 0.30 | 15.67 |
GAL | -0.0011972 | 12204 | GTEx | DepMap | Descartes | 0.27 | 55.04 |
CNTFR | -0.0012793 | 12269 | GTEx | DepMap | Descartes | 0.17 | 12.19 |
NPY | -0.0012888 | 12277 | GTEx | DepMap | Descartes | 1.69 | 366.46 |
MARCH11 | -0.0013861 | 12340 | GTEx | DepMap | Descartes | 0.32 | NA |
Descartes Vascular_endothelial markers
Top 50 marker genes of Vascular_endothelial cells in the Decartes fetal adrenal single cell map (https://atlas.brotmanbaty.org/bbi/human-gene-expression-during-development/cell/vascular_endothelial/in/adrenal)
Wilcoxon ranksum test P-value for gene set overrepresentation: 7.38e-01
Mean rank of genes in gene set: 6648.66
Median rank of genes in gene set: 6562
Rank on gene expression program of top 30 genes in gene set:
Genes | Weight | Rank | GTEx | DepMap | Descartes | Mean.Counts | Mean.TPM |
---|---|---|---|---|---|---|---|
CEACAM1 | 0.0008221 | 1066 | GTEx | DepMap | Descartes | 0.04 | 3.92 |
RASIP1 | 0.0004129 | 1812 | GTEx | DepMap | Descartes | 0.02 | 2.09 |
KANK3 | 0.0002977 | 2122 | GTEx | DepMap | Descartes | 0.02 | 2.61 |
TMEM88 | 0.0001860 | 2580 | GTEx | DepMap | Descartes | 0.05 | 20.20 |
NR5A2 | 0.0000081 | 3671 | GTEx | DepMap | Descartes | 0.00 | 0.09 |
ESM1 | -0.0000362 | 4173 | GTEx | DepMap | Descartes | 0.04 | 2.98 |
FLT4 | -0.0000699 | 4658 | GTEx | DepMap | Descartes | 0.01 | 0.31 |
NPR1 | -0.0001031 | 5162 | GTEx | DepMap | Descartes | 0.00 | 0.15 |
ID1 | -0.0001079 | 5241 | GTEx | DepMap | Descartes | 0.17 | 46.40 |
SLCO2A1 | -0.0001178 | 5379 | GTEx | DepMap | Descartes | 0.00 | 0.03 |
BTNL9 | -0.0001188 | 5399 | GTEx | DepMap | Descartes | 0.00 | 0.47 |
CALCRL | -0.0001274 | 5548 | GTEx | DepMap | Descartes | 0.02 | 0.53 |
KDR | -0.0001343 | 5661 | GTEx | DepMap | Descartes | 0.02 | 0.54 |
SHE | -0.0001454 | 5850 | GTEx | DepMap | Descartes | 0.00 | 0.02 |
MMRN2 | -0.0001545 | 6001 | GTEx | DepMap | Descartes | 0.01 | 0.37 |
CDH5 | -0.0001585 | 6082 | GTEx | DepMap | Descartes | 0.03 | 0.66 |
TEK | -0.0001679 | 6240 | GTEx | DepMap | Descartes | 0.00 | 0.08 |
TIE1 | -0.0001750 | 6355 | GTEx | DepMap | Descartes | 0.01 | 0.41 |
SHANK3 | -0.0001843 | 6538 | GTEx | DepMap | Descartes | 0.01 | 0.14 |
ROBO4 | -0.0001873 | 6586 | GTEx | DepMap | Descartes | 0.02 | 0.41 |
GALNT15 | -0.0002007 | 6788 | GTEx | DepMap | Descartes | 0.00 | NA |
CRHBP | -0.0002104 | 6947 | GTEx | DepMap | Descartes | 0.00 | 0.32 |
EHD3 | -0.0002180 | 7071 | GTEx | DepMap | Descartes | 0.01 | 0.52 |
F8 | -0.0002184 | 7076 | GTEx | DepMap | Descartes | 0.01 | 0.25 |
PLVAP | -0.0002269 | 7194 | GTEx | DepMap | Descartes | 0.06 | 2.77 |
CDH13 | -0.0002300 | 7240 | GTEx | DepMap | Descartes | 0.01 | 0.20 |
PTPRB | -0.0002307 | 7250 | GTEx | DepMap | Descartes | 0.02 | 0.12 |
CLDN5 | -0.0002702 | 7767 | GTEx | DepMap | Descartes | 0.04 | 2.27 |
PODXL | -0.0002779 | 7854 | GTEx | DepMap | Descartes | 0.04 | 0.84 |
MYRIP | -0.0003085 | 8219 | GTEx | DepMap | Descartes | 0.01 | 0.30 |
Descartes stromal markers
Top 50 marker genes of stromal cells in the Decartes fetal adrenal single cell map (https://atlas.brotmanbaty.org/bbi/human-gene-expression-during-development/cell/stromal/in/adrenal)
Wilcoxon ranksum test P-value for gene set overrepresentation: 8.49e-01
Mean rank of genes in gene set: 6838.86
Median rank of genes in gene set: 6991
Rank on gene expression program of top 30 genes in gene set:
Genes | Weight | Rank | GTEx | DepMap | Descartes | Mean.Counts | Mean.TPM |
---|---|---|---|---|---|---|---|
CD248 | 0.0004443 | 1729 | GTEx | DepMap | Descartes | 0.04 | 5.55 |
ITGA11 | 0.0001045 | 3023 | GTEx | DepMap | Descartes | 0.00 | 0.06 |
BICC1 | 0.0000049 | 3698 | GTEx | DepMap | Descartes | 0.01 | 0.31 |
COL27A1 | -0.0000670 | 4612 | GTEx | DepMap | Descartes | 0.00 | 0.14 |
LAMC3 | -0.0000728 | 4693 | GTEx | DepMap | Descartes | 0.00 | 0.03 |
IGFBP3 | -0.0000841 | 4870 | GTEx | DepMap | Descartes | 0.08 | 5.10 |
SFRP2 | -0.0000894 | 4957 | GTEx | DepMap | Descartes | 0.00 | 0.00 |
POSTN | -0.0001017 | 5136 | GTEx | DepMap | Descartes | 0.00 | 0.06 |
ADAMTSL3 | -0.0001066 | 5220 | GTEx | DepMap | Descartes | 0.00 | 0.19 |
RSPO3 | -0.0001219 | 5462 | GTEx | DepMap | Descartes | 0.00 | NA |
ACTA2 | -0.0001319 | 5623 | GTEx | DepMap | Descartes | 0.04 | 8.16 |
DKK2 | -0.0001410 | 5776 | GTEx | DepMap | Descartes | 0.00 | 0.02 |
ABCC9 | -0.0001512 | 5945 | GTEx | DepMap | Descartes | 0.00 | 0.04 |
PAMR1 | -0.0001612 | 6134 | GTEx | DepMap | Descartes | 0.00 | 0.04 |
SCARA5 | -0.0001638 | 6174 | GTEx | DepMap | Descartes | 0.00 | 0.00 |
C7 | -0.0001750 | 6356 | GTEx | DepMap | Descartes | 0.00 | 0.11 |
FREM1 | -0.0001774 | 6392 | GTEx | DepMap | Descartes | 0.00 | 0.02 |
ABCA6 | -0.0001823 | 6494 | GTEx | DepMap | Descartes | 0.01 | 0.32 |
EDNRA | -0.0001824 | 6495 | GTEx | DepMap | Descartes | 0.00 | 0.04 |
LOX | -0.0002018 | 6809 | GTEx | DepMap | Descartes | 0.01 | 0.35 |
COL6A3 | -0.0002051 | 6867 | GTEx | DepMap | Descartes | 0.01 | 0.12 |
PRRX1 | -0.0002110 | 6963 | GTEx | DepMap | Descartes | 0.01 | 0.23 |
LRRC17 | -0.0002147 | 7019 | GTEx | DepMap | Descartes | 0.00 | 0.26 |
OGN | -0.0002207 | 7107 | GTEx | DepMap | Descartes | 0.00 | 0.11 |
LUM | -0.0002221 | 7125 | GTEx | DepMap | Descartes | 0.00 | 0.48 |
GLI2 | -0.0002228 | 7133 | GTEx | DepMap | Descartes | 0.00 | 0.00 |
MGP | -0.0002285 | 7215 | GTEx | DepMap | Descartes | 0.17 | 13.86 |
CCDC80 | -0.0002300 | 7238 | GTEx | DepMap | Descartes | 0.04 | 0.43 |
CLDN11 | -0.0002362 | 7322 | GTEx | DepMap | Descartes | 0.00 | 0.27 |
DCN | -0.0002436 | 7412 | GTEx | DepMap | Descartes | 0.02 | 0.44 |
Descartes sympathoblasts markers
Top 50 marker genes of sympathoblasts cells in the Decartes fetal adrenal single cell map (https://atlas.brotmanbaty.org/bbi/human-gene-expression-during-development/cell/sympathoblasts/in/adrenal)
Wilcoxon ranksum test P-value for gene set overrepresentation: 1.00e+00
Mean rank of genes in gene set: 8504.55
Median rank of genes in gene set: 8536.5
Rank on gene expression program of top 30 genes in gene set:
Genes | Weight | Rank | GTEx | DepMap | Descartes | Mean.Counts | Mean.TPM |
---|---|---|---|---|---|---|---|
SLC35F3 | 0.0001463 | 2775 | GTEx | DepMap | Descartes | 0.01 | 0.86 |
TENM1 | 0.0001257 | 2907 | GTEx | DepMap | Descartes | 0.02 | NA |
TIAM1 | 0.0000178 | 3583 | GTEx | DepMap | Descartes | 0.09 | 4.69 |
PENK | -0.0000464 | 4312 | GTEx | DepMap | Descartes | 0.00 | 0.66 |
GRM7 | -0.0000641 | 4569 | GTEx | DepMap | Descartes | 0.00 | 0.11 |
LAMA3 | -0.0000653 | 4585 | GTEx | DepMap | Descartes | 0.00 | 0.12 |
GCH1 | -0.0001322 | 5626 | GTEx | DepMap | Descartes | 0.17 | 21.29 |
CNTN3 | -0.0001421 | 5793 | GTEx | DepMap | Descartes | 0.00 | 0.12 |
ST18 | -0.0001461 | 5866 | GTEx | DepMap | Descartes | 0.00 | 0.06 |
SORCS3 | -0.0002056 | 6876 | GTEx | DepMap | Descartes | 0.00 | 0.06 |
HTATSF1 | -0.0002198 | 7094 | GTEx | DepMap | Descartes | 0.37 | 34.78 |
SLC24A2 | -0.0002576 | 7605 | GTEx | DepMap | Descartes | 0.00 | 0.01 |
PCSK2 | -0.0002645 | 7688 | GTEx | DepMap | Descartes | 0.00 | 0.25 |
CDH18 | -0.0002710 | 7773 | GTEx | DepMap | Descartes | 0.01 | 0.29 |
EML6 | -0.0002719 | 7782 | GTEx | DepMap | Descartes | 0.02 | 0.34 |
DGKK | -0.0002868 | 7943 | GTEx | DepMap | Descartes | 0.01 | 0.18 |
CDH12 | -0.0002905 | 7981 | GTEx | DepMap | Descartes | 0.01 | 0.30 |
TBX20 | -0.0003236 | 8380 | GTEx | DepMap | Descartes | 0.00 | 0.31 |
KSR2 | -0.0003337 | 8495 | GTEx | DepMap | Descartes | 0.01 | 0.16 |
CCSER1 | -0.0003406 | 8578 | GTEx | DepMap | Descartes | 0.02 | NA |
AGBL4 | -0.0004125 | 9298 | GTEx | DepMap | Descartes | 0.01 | 0.47 |
SPOCK3 | -0.0004632 | 9787 | GTEx | DepMap | Descartes | 0.02 | 0.87 |
GALNTL6 | -0.0004798 | 9905 | GTEx | DepMap | Descartes | 0.01 | 0.56 |
ROBO1 | -0.0004821 | 9934 | GTEx | DepMap | Descartes | 0.07 | 1.84 |
NTNG1 | -0.0005037 | 10081 | GTEx | DepMap | Descartes | 0.02 | 0.52 |
PACRG | -0.0005098 | 10121 | GTEx | DepMap | Descartes | 0.02 | 1.95 |
FGF14 | -0.0005118 | 10134 | GTEx | DepMap | Descartes | 0.02 | 0.20 |
MGAT4C | -0.0005287 | 10242 | GTEx | DepMap | Descartes | 0.04 | 0.22 |
GRID2 | -0.0005561 | 10422 | GTEx | DepMap | Descartes | 0.03 | 0.73 |
SLC18A1 | -0.0006954 | 11108 | GTEx | DepMap | Descartes | 0.05 | 2.21 |
Descartes erythroblasts markers
Top 50 marker genes of erythroblasts cells in the Decartes fetal adrenal single cell map (https://atlas.brotmanbaty.org/bbi/human-gene-expression-during-development/cell/erythroblasts/in/adrenal)
Wilcoxon ranksum test P-value for gene set overrepresentation: 9.44e-02
Mean rank of genes in gene set: 5391.9
Median rank of genes in gene set: 4465
Rank on gene expression program of top 30 genes in gene set:
Genes | Weight | Rank | GTEx | DepMap | Descartes | Mean.Counts | Mean.TPM |
---|---|---|---|---|---|---|---|
EPB41 | 0.0038233 | 108 | GTEx | DepMap | Descartes | 0.59 | 39.83 |
GYPC | 0.0034851 | 136 | GTEx | DepMap | Descartes | 1.42 | 335.84 |
DENND4A | 0.0013879 | 627 | GTEx | DepMap | Descartes | 0.24 | 10.71 |
MICAL2 | 0.0007594 | 1143 | GTEx | DepMap | Descartes | 0.06 | 3.66 |
RHD | 0.0005205 | 1552 | GTEx | DepMap | Descartes | 0.00 | 0.16 |
MARCH3 | 0.0004187 | 1794 | GTEx | DepMap | Descartes | 0.05 | NA |
SLC4A1 | 0.0003714 | 1928 | GTEx | DepMap | Descartes | 0.01 | 0.67 |
CAT | 0.0003508 | 1969 | GTEx | DepMap | Descartes | 0.27 | 34.04 |
TRAK2 | 0.0003304 | 2025 | GTEx | DepMap | Descartes | 0.07 | 3.53 |
SPECC1 | 0.0001969 | 2526 | GTEx | DepMap | Descartes | 0.05 | 2.68 |
GCLC | 0.0000639 | 3267 | GTEx | DepMap | Descartes | 0.07 | 5.74 |
RGS6 | -0.0000018 | 3764 | GTEx | DepMap | Descartes | 0.00 | 0.06 |
CPOX | -0.0000184 | 3959 | GTEx | DepMap | Descartes | 0.03 | 3.90 |
SLC25A21 | -0.0000292 | 4092 | GTEx | DepMap | Descartes | 0.00 | 0.00 |
ABCB10 | -0.0000560 | 4465 | GTEx | DepMap | Descartes | 0.03 | 2.38 |
ALAS2 | -0.0001053 | 5194 | GTEx | DepMap | Descartes | 0.00 | 0.00 |
SELENBP1 | -0.0002271 | 7197 | GTEx | DepMap | Descartes | 0.00 | 0.15 |
XPO7 | -0.0002627 | 7661 | GTEx | DepMap | Descartes | 0.08 | 3.55 |
SLC25A37 | -0.0002897 | 7972 | GTEx | DepMap | Descartes | 0.21 | 12.38 |
SPTB | -0.0003335 | 8490 | GTEx | DepMap | Descartes | 0.02 | 0.30 |
RAPGEF2 | -0.0003528 | 8701 | GTEx | DepMap | Descartes | 0.09 | 2.50 |
ANK1 | -0.0003585 | 8757 | GTEx | DepMap | Descartes | 0.03 | 0.59 |
TMCC2 | -0.0003685 | 8862 | GTEx | DepMap | Descartes | 0.01 | 0.39 |
TFR2 | -0.0003950 | 9127 | GTEx | DepMap | Descartes | 0.02 | 1.13 |
BLVRB | -0.0003957 | 9142 | GTEx | DepMap | Descartes | 0.37 | 64.60 |
FECH | -0.0004589 | 9745 | GTEx | DepMap | Descartes | 0.05 | 1.73 |
TSPAN5 | -0.0005340 | 10282 | GTEx | DepMap | Descartes | 0.24 | 17.02 |
SOX6 | -0.0005529 | 10408 | GTEx | DepMap | Descartes | 0.02 | 0.30 |
SNCA | -0.0007917 | 11472 | GTEx | DepMap | Descartes | 0.07 | 4.24 |
NA | NA | NA | NA | NA | NA | NA | NA |
Descartes myeloid markers
Top 50 marker genes of myeloid cells in the Decartes fetal adrenal single cell map (https://atlas.brotmanbaty.org/bbi/human-gene-expression-during-development/cell/myeloid/in/adrenal)
Wilcoxon ranksum test P-value for gene set overrepresentation: 9.38e-01
Mean rank of genes in gene set: 7179.79
Median rank of genes in gene set: 8512
Rank on gene expression program of top 30 genes in gene set:
Genes | Weight | Rank | GTEx | DepMap | Descartes | Mean.Counts | Mean.TPM |
---|---|---|---|---|---|---|---|
SLC9A9 | 0.0014840 | 576 | GTEx | DepMap | Descartes | 0.08 | 9.24 |
SFMBT2 | 0.0014058 | 617 | GTEx | DepMap | Descartes | 0.09 | 5.37 |
IFNGR1 | 0.0014032 | 621 | GTEx | DepMap | Descartes | 0.44 | 76.43 |
WWP1 | 0.0011774 | 753 | GTEx | DepMap | Descartes | 0.15 | 10.98 |
ITPR2 | 0.0009839 | 903 | GTEx | DepMap | Descartes | 0.17 | 5.01 |
PTPRE | 0.0003639 | 1942 | GTEx | DepMap | Descartes | 0.22 | 12.73 |
CTSC | 0.0002915 | 2147 | GTEx | DepMap | Descartes | 1.15 | 55.24 |
CTSS | 0.0002007 | 2504 | GTEx | DepMap | Descartes | 0.88 | 55.87 |
ATP8B4 | 0.0001785 | 2605 | GTEx | DepMap | Descartes | 0.03 | 2.36 |
RBPJ | 0.0001311 | 2875 | GTEx | DepMap | Descartes | 0.55 | 32.15 |
MERTK | -0.0002078 | 6905 | GTEx | DepMap | Descartes | 0.04 | 2.19 |
HRH1 | -0.0002495 | 7508 | GTEx | DepMap | Descartes | 0.01 | 0.49 |
FGD2 | -0.0002533 | 7563 | GTEx | DepMap | Descartes | 0.03 | 1.14 |
FMN1 | -0.0002681 | 7736 | GTEx | DepMap | Descartes | 0.04 | 0.56 |
SLC1A3 | -0.0002790 | 7867 | GTEx | DepMap | Descartes | 0.03 | 1.38 |
MSR1 | -0.0002957 | 8054 | GTEx | DepMap | Descartes | 0.05 | 1.68 |
FGL2 | -0.0003084 | 8216 | GTEx | DepMap | Descartes | 0.34 | 14.69 |
AXL | -0.0003215 | 8357 | GTEx | DepMap | Descartes | 0.05 | 1.78 |
RGL1 | -0.0003264 | 8415 | GTEx | DepMap | Descartes | 0.03 | 1.12 |
CSF1R | -0.0003434 | 8609 | GTEx | DepMap | Descartes | 0.12 | 5.01 |
CYBB | -0.0003608 | 8781 | GTEx | DepMap | Descartes | 0.15 | 6.95 |
ABCA1 | -0.0003668 | 8849 | GTEx | DepMap | Descartes | 0.10 | 1.76 |
CD163 | -0.0003775 | 8968 | GTEx | DepMap | Descartes | 0.10 | 3.18 |
SPP1 | -0.0003816 | 9004 | GTEx | DepMap | Descartes | 1.05 | 93.27 |
HCK | -0.0003914 | 9101 | GTEx | DepMap | Descartes | 0.07 | 6.45 |
MARCH1 | -0.0004000 | 9173 | GTEx | DepMap | Descartes | 0.07 | NA |
CPVL | -0.0004152 | 9325 | GTEx | DepMap | Descartes | 0.33 | 22.23 |
CTSD | -0.0004156 | 9331 | GTEx | DepMap | Descartes | 1.58 | 154.67 |
SLCO2B1 | -0.0004196 | 9371 | GTEx | DepMap | Descartes | 0.05 | 1.54 |
TGFBI | -0.0004272 | 9435 | GTEx | DepMap | Descartes | 0.15 | 5.67 |
Descartes Schwann markers
Top 50 marker genes of Schwann cells in the Decartes fetal adrenal single cell map (https://atlas.brotmanbaty.org/bbi/human-gene-expression-during-development/cell/schwann/in/adrenal)
Wilcoxon ranksum test P-value for gene set overrepresentation: 1.00e+00
Mean rank of genes in gene set: 8248.32
Median rank of genes in gene set: 8408.5
Rank on gene expression program of top 30 genes in gene set:
Genes | Weight | Rank | GTEx | DepMap | Descartes | Mean.Counts | Mean.TPM |
---|---|---|---|---|---|---|---|
PAG1 | 0.0019661 | 386 | GTEx | DepMap | Descartes | 0.34 | 12.99 |
VIM | 0.0013168 | 667 | GTEx | DepMap | Descartes | 5.90 | 719.86 |
COL18A1 | 0.0001447 | 2786 | GTEx | DepMap | Descartes | 0.11 | 5.39 |
HMGA2 | -0.0000395 | 4217 | GTEx | DepMap | Descartes | 0.00 | 0.00 |
IL1RAPL2 | -0.0000613 | 4542 | GTEx | DepMap | Descartes | 0.00 | 0.00 |
MDGA2 | -0.0000816 | 4836 | GTEx | DepMap | Descartes | 0.00 | 0.00 |
TRPM3 | -0.0001019 | 5138 | GTEx | DepMap | Descartes | 0.00 | 0.02 |
IL1RAPL1 | -0.0001189 | 5404 | GTEx | DepMap | Descartes | 0.00 | 0.05 |
ERBB3 | -0.0001480 | 5901 | GTEx | DepMap | Descartes | 0.01 | 0.39 |
ADAMTS5 | -0.0001632 | 6166 | GTEx | DepMap | Descartes | 0.01 | 0.05 |
PTPRZ1 | -0.0001770 | 6384 | GTEx | DepMap | Descartes | 0.00 | 0.03 |
PLCE1 | -0.0001840 | 6531 | GTEx | DepMap | Descartes | 0.02 | 0.49 |
COL25A1 | -0.0001861 | 6566 | GTEx | DepMap | Descartes | 0.00 | 0.11 |
NRXN3 | -0.0001958 | 6718 | GTEx | DepMap | Descartes | 0.00 | 0.01 |
PLP1 | -0.0002112 | 6970 | GTEx | DepMap | Descartes | 0.00 | 0.10 |
MPZ | -0.0002203 | 7105 | GTEx | DepMap | Descartes | 0.01 | 1.14 |
OLFML2A | -0.0002525 | 7557 | GTEx | DepMap | Descartes | 0.01 | 0.26 |
ERBB4 | -0.0002689 | 7745 | GTEx | DepMap | Descartes | 0.00 | 0.02 |
XKR4 | -0.0002787 | 7864 | GTEx | DepMap | Descartes | 0.01 | 0.05 |
COL5A2 | -0.0002873 | 7951 | GTEx | DepMap | Descartes | 0.01 | 0.46 |
STARD13 | -0.0002898 | 7974 | GTEx | DepMap | Descartes | 0.01 | 0.16 |
EDNRB | -0.0003126 | 8257 | GTEx | DepMap | Descartes | 0.00 | 0.25 |
GRIK3 | -0.0003393 | 8560 | GTEx | DepMap | Descartes | 0.01 | 0.17 |
SLC35F1 | -0.0003602 | 8775 | GTEx | DepMap | Descartes | 0.01 | 0.12 |
LRRTM4 | -0.0003729 | 8918 | GTEx | DepMap | Descartes | 0.01 | 0.45 |
KCTD12 | -0.0004147 | 9320 | GTEx | DepMap | Descartes | 0.09 | 2.14 |
LAMC1 | -0.0004462 | 9617 | GTEx | DepMap | Descartes | 0.02 | 0.32 |
EGFLAM | -0.0004473 | 9632 | GTEx | DepMap | Descartes | 0.01 | 0.34 |
GAS7 | -0.0004484 | 9647 | GTEx | DepMap | Descartes | 0.04 | 1.48 |
SORCS1 | -0.0004734 | 9855 | GTEx | DepMap | Descartes | 0.02 | 0.53 |
Descartes Megakaryocytes markers
Top 50 marker genes of Megakaryocytes cells in the Decartes fetal adrenal single cell map (https://atlas.brotmanbaty.org/bbi/human-gene-expression-during-development/cell/megakaryocytes/in/adrenal)
Wilcoxon ranksum test P-value for gene set overrepresentation: 4.87e-03
Mean rank of genes in gene set: 4881.6
Median rank of genes in gene set: 4697
Rank on gene expression program of top 30 genes in gene set:
Genes | Weight | Rank | GTEx | DepMap | Descartes | Mean.Counts | Mean.TPM |
---|---|---|---|---|---|---|---|
TGFB1 | 0.0051002 | 44 | GTEx | DepMap | Descartes | 1.02 | 175.61 |
SLC2A3 | 0.0049714 | 51 | GTEx | DepMap | Descartes | 0.99 | 92.82 |
RAP1B | 0.0037918 | 112 | GTEx | DepMap | Descartes | 1.07 | 31.65 |
MYH9 | 0.0034583 | 140 | GTEx | DepMap | Descartes | 0.67 | 36.76 |
INPP4B | 0.0031802 | 170 | GTEx | DepMap | Descartes | 0.21 | 10.66 |
FLNA | 0.0026941 | 238 | GTEx | DepMap | Descartes | 0.60 | 29.54 |
TLN1 | 0.0022148 | 329 | GTEx | DepMap | Descartes | 0.53 | 23.27 |
TMSB4X | 0.0016477 | 502 | GTEx | DepMap | Descartes | 63.26 | 13916.74 |
FERMT3 | 0.0015562 | 540 | GTEx | DepMap | Descartes | 0.38 | 58.38 |
SPN | 0.0010649 | 831 | GTEx | DepMap | Descartes | 0.21 | 12.51 |
CD84 | 0.0007789 | 1123 | GTEx | DepMap | Descartes | 0.13 | 4.85 |
STOM | 0.0006911 | 1243 | GTEx | DepMap | Descartes | 0.23 | 29.50 |
FLI1 | 0.0006392 | 1337 | GTEx | DepMap | Descartes | 0.11 | 8.39 |
LIMS1 | 0.0004833 | 1634 | GTEx | DepMap | Descartes | 0.51 | 35.45 |
UBASH3B | 0.0003421 | 1996 | GTEx | DepMap | Descartes | 0.05 | 3.09 |
PSTPIP2 | 0.0000766 | 3196 | GTEx | DepMap | Descartes | 0.03 | 3.03 |
MCTP1 | 0.0000556 | 3314 | GTEx | DepMap | Descartes | 0.03 | 1.22 |
GP1BA | -0.0000075 | 3830 | GTEx | DepMap | Descartes | 0.00 | 0.22 |
ACTN1 | -0.0000253 | 4046 | GTEx | DepMap | Descartes | 0.31 | 16.69 |
MMRN1 | -0.0000575 | 4482 | GTEx | DepMap | Descartes | 0.01 | 0.56 |
ITGB3 | -0.0000604 | 4526 | GTEx | DepMap | Descartes | 0.00 | 0.01 |
SLC24A3 | -0.0000611 | 4538 | GTEx | DepMap | Descartes | 0.00 | 0.13 |
P2RX1 | -0.0000730 | 4697 | GTEx | DepMap | Descartes | 0.01 | 1.71 |
ARHGAP6 | -0.0000907 | 4980 | GTEx | DepMap | Descartes | 0.00 | 0.04 |
TRPC6 | -0.0001182 | 5383 | GTEx | DepMap | Descartes | 0.00 | 0.00 |
THBS1 | -0.0001333 | 5643 | GTEx | DepMap | Descartes | 0.03 | 1.50 |
TUBB1 | -0.0001345 | 5664 | GTEx | DepMap | Descartes | 0.00 | 0.11 |
MED12L | -0.0001477 | 5892 | GTEx | DepMap | Descartes | 0.01 | 0.21 |
ANGPT1 | -0.0001736 | 6332 | GTEx | DepMap | Descartes | 0.00 | 0.19 |
LTBP1 | -0.0001847 | 6544 | GTEx | DepMap | Descartes | 0.00 | 0.13 |
Descartes Lyphoid markers
Top 50 marker genes of Lyphoid cells in the Decartes fetal adrenal single cell map (https://atlas.brotmanbaty.org/bbi/human-gene-expression-during-development/cell/lymphoid/in/adrenal)
Wilcoxon ranksum test P-value for gene set overrepresentation: 5.07e-18
Mean rank of genes in gene set: 1491.02
Median rank of genes in gene set: 367
Rank on gene expression program of top 30 genes in gene set:
Genes | Weight | Rank | GTEx | DepMap | Descartes | Mean.Counts | Mean.TPM |
---|---|---|---|---|---|---|---|
ETS1 | 0.0086103 | 2 | GTEx | DepMap | Descartes | 1.05 | 95.20 |
PTPRC | 0.0085266 | 3 | GTEx | DepMap | Descartes | 2.89 | 254.97 |
IKZF1 | 0.0075573 | 11 | GTEx | DepMap | Descartes | 0.85 | 61.53 |
SKAP1 | 0.0057047 | 28 | GTEx | DepMap | Descartes | 0.63 | 185.93 |
PDE3B | 0.0056354 | 31 | GTEx | DepMap | Descartes | 0.54 | 38.98 |
ARID5B | 0.0054107 | 39 | GTEx | DepMap | Descartes | 0.76 | 45.59 |
MSN | 0.0045605 | 69 | GTEx | DepMap | Descartes | 1.14 | 119.11 |
LCP1 | 0.0043024 | 78 | GTEx | DepMap | Descartes | 1.35 | 143.26 |
SAMD3 | 0.0040643 | 87 | GTEx | DepMap | Descartes | 0.29 | 37.29 |
MBNL1 | 0.0037174 | 120 | GTEx | DepMap | Descartes | 0.70 | 46.27 |
WIPF1 | 0.0034176 | 143 | GTEx | DepMap | Descartes | 0.75 | 78.25 |
DOCK10 | 0.0033378 | 151 | GTEx | DepMap | Descartes | 0.31 | 17.90 |
BCL2 | 0.0032075 | 166 | GTEx | DepMap | Descartes | 0.57 | 29.53 |
LEF1 | 0.0031765 | 172 | GTEx | DepMap | Descartes | 0.49 | 50.57 |
ARHGAP15 | 0.0028542 | 208 | GTEx | DepMap | Descartes | 0.47 | 65.89 |
PRKCH | 0.0028290 | 215 | GTEx | DepMap | Descartes | 0.35 | 46.51 |
ARHGDIB | 0.0028203 | 220 | GTEx | DepMap | Descartes | 3.91 | 1283.70 |
B2M | 0.0028153 | 222 | GTEx | DepMap | Descartes | 50.94 | 8530.36 |
SP100 | 0.0026531 | 249 | GTEx | DepMap | Descartes | 0.49 | 38.62 |
ANKRD44 | 0.0022846 | 319 | GTEx | DepMap | Descartes | 0.34 | 19.29 |
ITPKB | 0.0021734 | 335 | GTEx | DepMap | Descartes | 0.13 | 8.91 |
CCL5 | 0.0019101 | 399 | GTEx | DepMap | Descartes | 5.08 | 2167.89 |
CCND3 | 0.0018223 | 428 | GTEx | DepMap | Descartes | 0.66 | 114.67 |
SORL1 | 0.0017022 | 469 | GTEx | DepMap | Descartes | 0.27 | 9.10 |
PITPNC1 | 0.0016564 | 493 | GTEx | DepMap | Descartes | 0.28 | 18.77 |
EVL | 0.0016519 | 497 | GTEx | DepMap | Descartes | 2.04 | 209.23 |
RCSD1 | 0.0015321 | 551 | GTEx | DepMap | Descartes | 0.31 | 23.86 |
FYN | 0.0014961 | 566 | GTEx | DepMap | Descartes | 1.02 | 115.77 |
PLEKHA2 | 0.0013389 | 651 | GTEx | DepMap | Descartes | 0.15 | 12.16 |
CD44 | 0.0013184 | 665 | GTEx | DepMap | Descartes | 1.58 | 111.41 |
Below shows the ranks on this GEP for immune marker gene lists curated by CellTypist (https://www.celltypist.org/encyclopedia).
High ranks indicate this gene is a driver of this GEP.
These curated gene list are ranked by P-value (on this GEP) of their constituent genes.
The Mean Count column shows the mean read count in cells scoring highly (H > 50) on this gene expression program.
Genes | Weight | Rank | GTEx | DepMap | Decartes | Mean.Counts | Mean.TPM |
---|---|---|---|---|---|---|---|
LEF1 | 0.0031765 | 172 | GTEx | DepMap | Descartes | 0.49 | 50.57 |
CD27 | 0.0030680 | 181 | GTEx | DepMap | Descartes | 0.81 | 245.50 |
PRKCH | 0.0028290 | 215 | GTEx | DepMap | Descartes | 0.35 | 46.51 |
CD8A | 0.0018569 | 415 | GTEx | DepMap | Descartes | 0.53 | 81.59 |
CTSW | 0.0017596 | 447 | GTEx | DepMap | Descartes | 1.09 | 432.67 |
MALAT1 | 0.0015945 | 519 | GTEx | DepMap | Descartes | 186.80 | 8991.39 |
NUCB2 | 0.0015690 | 531 | GTEx | DepMap | Descartes | 0.81 | 90.40 |
T cells: Treg(diff) (model markers)
unconventional T lymphocyte subpopulation in the thymus which connects αβ T cells and canonical regulatory T cells and is still differentiating:
Wilcoxon ranksum test P-value for gene set overrepresentation: 4.39e-04
Mean rank of genes in gene set: 249
Rank on gene expression program of genes in gene set:
Genes | Weight | Rank | GTEx | DepMap | Decartes | Mean.Counts | Mean.TPM |
---|---|---|---|---|---|---|---|
PTPRC | 0.0085266 | 3 | GTEx | DepMap | Descartes | 2.89 | 254.97 |
TSC22D3 | 0.0052961 | 42 | GTEx | DepMap | Descartes | 3.92 | 819.31 |
S100A4 | 0.0032294 | 162 | GTEx | DepMap | Descartes | 4.02 | 2143.35 |
RGS1 | 0.0011170 | 789 | GTEx | DepMap | Descartes | 2.68 | 401.10 |
T cells: Tem/Effector helper T cells (model markers)
CD4+ helper T lymphocytes mainly localized in lymphoid and peripheral tissues and presenting an immediate:
Wilcoxon ranksum test P-value for gene set overrepresentation: 6.40e-04
Mean rank of genes in gene set: 1512.83
Rank on gene expression program of genes in gene set:
Genes | Weight | Rank | GTEx | DepMap | Decartes | Mean.Counts | Mean.TPM |
---|---|---|---|---|---|---|---|
ANXA1 | 0.0070643 | 13 | GTEx | DepMap | Descartes | 3.37 | 687.90 |
LTB | 0.0057423 | 26 | GTEx | DepMap | Descartes | 10.36 | 2840.90 |
KLRB1 | 0.0041068 | 85 | GTEx | DepMap | Descartes | 2.34 | 817.44 |
AQP3 | 0.0037387 | 117 | GTEx | DepMap | Descartes | 0.32 | 41.46 |
S100A4 | 0.0032294 | 162 | GTEx | DepMap | Descartes | 4.02 | 2143.35 |
DONSON | -0.0003493 | 8674 | GTEx | DepMap | Descartes | 0.02 | 2.08 |