QQ-plot of gene loadings, averaged over both independent splits of the data
This plot highlights the relative contribution of each gene to the GEP
Top genes driving this program.
Note: Decartes website is buggy, try refreshing. Also, Decartes fetal adrenal data have been collected at specific time points (89-122 days), all possible cell types of interest may not be represented, do not overinterpret.
The Mean Count column shows the mean read count in cells scoring highly (H > 50) on this gene expression program.
Gene | Loading | Gene.Name | GTEx | DepMap | Descartes | Mean.Counts | Mean.Tpm | |
---|---|---|---|---|---|---|---|---|
1 | GPR34 | 0.0056666 | G protein-coupled receptor 34 | GTEx | DepMap | Descartes | 1.04 | 139.12 |
2 | CD74 | 0.0054301 | CD74 molecule | GTEx | DepMap | Descartes | 65.93 | 4913.08 |
3 | LY96 | 0.0048981 | lymphocyte antigen 96 | GTEx | DepMap | Descartes | 2.78 | 1167.38 |
4 | APOE | 0.0048557 | apolipoprotein E | GTEx | DepMap | Descartes | 111.84 | 19982.59 |
5 | CSF1R | 0.0046462 | colony stimulating factor 1 receptor | GTEx | DepMap | Descartes | 1.62 | 101.09 |
6 | RGS1 | 0.0046097 | regulator of G protein signaling 1 | GTEx | DepMap | Descartes | 11.69 | 1092.35 |
7 | TYROBP | 0.0045763 | transmembrane immune signaling adaptor TYROBP | GTEx | DepMap | Descartes | 24.57 | 9093.27 |
8 | CTSC | 0.0045505 | cathepsin C | GTEx | DepMap | Descartes | 6.69 | 215.02 |
9 | MS4A4A | 0.0045325 | membrane spanning 4-domains A4A | GTEx | DepMap | Descartes | 2.87 | 390.85 |
10 | GRN | 0.0044949 | granulin precursor | GTEx | DepMap | Descartes | 9.02 | 866.07 |
11 | GPR183 | 0.0044557 | G protein-coupled receptor 183 | GTEx | DepMap | Descartes | 8.17 | 1138.42 |
12 | LY86 | 0.0044419 | lymphocyte antigen 86 | GTEx | DepMap | Descartes | 1.61 | 304.76 |
13 | SLC40A1 | 0.0043502 | solute carrier family 40 member 1 | GTEx | DepMap | Descartes | 3.43 | 229.09 |
14 | CD14 | 0.0043031 | CD14 molecule | GTEx | DepMap | Descartes | 9.04 | 1277.56 |
15 | AIF1 | 0.0042618 | allograft inflammatory factor 1 | GTEx | DepMap | Descartes | 10.76 | 2007.16 |
16 | LPAR6 | 0.0042585 | lysophosphatidic acid receptor 6 | GTEx | DepMap | Descartes | 1.05 | 91.36 |
17 | ITM2B | 0.0041823 | integral membrane protein 2B | GTEx | DepMap | Descartes | 13.56 | 309.41 |
18 | C3AR1 | 0.0041516 | complement C3a receptor 1 | GTEx | DepMap | Descartes | 0.96 | 66.56 |
19 | AXL | 0.0038739 | AXL receptor tyrosine kinase | GTEx | DepMap | Descartes | 0.97 | 48.90 |
20 | NPC2 | 0.0038508 | NPC intracellular cholesterol transporter 2 | GTEx | DepMap | Descartes | 10.69 | 1683.04 |
21 | FCGRT | 0.0038318 | Fc gamma receptor and transporter | GTEx | DepMap | Descartes | 8.62 | 775.87 |
22 | SLCO2B1 | 0.0038006 | solute carrier organic anion transporter family member 2B1 | GTEx | DepMap | Descartes | 0.93 | 37.17 |
23 | MSR1 | 0.0037970 | macrophage scavenger receptor 1 | GTEx | DepMap | Descartes | 1.07 | 67.98 |
24 | SAT1 | 0.0037539 | spermidine/spermine N1-acetyltransferase 1 | GTEx | DepMap | Descartes | 35.19 | 7055.67 |
25 | CREG1 | 0.0037000 | cellular repressor of E1A stimulated genes 1 | GTEx | DepMap | Descartes | 3.29 | 354.41 |
26 | CYBB | 0.0036684 | cytochrome b-245 beta chain | GTEx | DepMap | Descartes | 1.57 | 80.84 |
27 | CXCL16 | 0.0036238 | C-X-C motif chemokine ligand 16 | GTEx | DepMap | Descartes | 2.07 | 209.99 |
28 | PILRA | 0.0036220 | paired immunoglobin like type 2 receptor alpha | GTEx | DepMap | Descartes | 1.20 | 214.30 |
29 | LGMN | 0.0035878 | legumain | GTEx | DepMap | Descartes | 5.39 | 553.58 |
30 | ADAP2 | 0.0035641 | ArfGAP with dual PH domains 2 | GTEx | DepMap | Descartes | 1.12 | 100.05 |
31 | CTSS | 0.0035584 | cathepsin S | GTEx | DepMap | Descartes | 6.40 | 319.89 |
32 | TNF | 0.0035490 | tumor necrosis factor | GTEx | DepMap | Descartes | 1.49 | 195.94 |
33 | ZFP36 | 0.0034986 | ZFP36 ring finger protein | GTEx | DepMap | Descartes | 11.38 | 1561.60 |
34 | TBXAS1 | 0.0034728 | thromboxane A synthase 1 | GTEx | DepMap | Descartes | 0.75 | 70.75 |
35 | GADD45B | 0.0034341 | growth arrest and DNA damage inducible beta | GTEx | DepMap | Descartes | 8.62 | 995.44 |
36 | PSAP | 0.0034142 | prosaposin | GTEx | DepMap | Descartes | 13.76 | 1005.97 |
37 | CD163 | 0.0033668 | CD163 molecule | GTEx | DepMap | Descartes | 1.52 | 69.97 |
38 | IGSF6 | 0.0033665 | immunoglobulin superfamily member 6 | GTEx | DepMap | Descartes | 2.39 | 177.37 |
39 | B2M | 0.0033605 | beta-2-microglobulin | GTEx | DepMap | Descartes | 118.31 | 10721.59 |
40 | PLD4 | 0.0032722 | phospholipase D family member 4 | GTEx | DepMap | Descartes | 0.87 | 98.23 |
41 | HNMT | 0.0032551 | histamine N-methyltransferase | GTEx | DepMap | Descartes | 1.20 | 85.77 |
42 | SGK1 | 0.0032475 | serum/glucocorticoid regulated kinase 1 | GTEx | DepMap | Descartes | 4.09 | 168.95 |
43 | RB1 | 0.0032193 | RB transcriptional corepressor 1 | GTEx | DepMap | Descartes | 1.23 | 60.99 |
44 | TMEM176B | 0.0032119 | transmembrane protein 176B | GTEx | DepMap | Descartes | 4.49 | 673.71 |
45 | DAB2 | 0.0032004 | DAB adaptor protein 2 | GTEx | DepMap | Descartes | 1.83 | 95.63 |
46 | PRDM1 | 0.0031574 | PR/SET domain 1 | GTEx | DepMap | Descartes | 0.94 | 42.41 |
47 | TNFSF13B | 0.0031291 | TNF superfamily member 13b | GTEx | DepMap | Descartes | 2.07 | 168.09 |
48 | TLR7 | 0.0031060 | toll like receptor 7 | GTEx | DepMap | Descartes | 0.25 | 11.63 |
49 | CPVL | 0.0030611 | carboxypeptidase vitellogenic like | GTEx | DepMap | Descartes | 2.19 | 212.30 |
50 | FGL2 | 0.0030344 | fibrinogen like 2 | GTEx | DepMap | Descartes | 2.54 | 131.78 |
UMAP plots showing activity of gene expression program identified in GEP 5. M2 Macrophages:
CNV Data procured from inferCNV.
Outer tracks are putative CNV regions (gains = red, losses = blue) for each patient
Inner track is expression data representing:
The top cells expressing this GEP (purple)
Random cells (n =50) from the reference set used in inferCNV (orange)
Gene set Enrichments for this program, caculated from top 50 genes
mSigDB Cell Types Gene Set:
P-value | OR | Lower 95% CI | FDR | FWER | Genes Found | Gene Set Size | |
---|---|---|---|---|---|---|---|
DURANTE_ADULT_OLFACTORY_NEUROEPITHELIUM_MACROPHAGES | 3.10e-34 | 149.65 | 76.79 | 2.60e-32 | 2.08e-31 | 21GPR34, CD74, APOE, CSF1R, RGS1, TYROBP, GRN, GPR183, LY86, SLC40A1, CD14, AIF1, C3AR1, NPC2, MSR1, CXCL16, CTSS, IGSF6, PLD4, SGK1, FGL2 |
81 |
CUI_DEVELOPING_HEART_C8_MACROPHAGE | 4.23e-52 | 149.37 | 76.38 | 2.84e-49 | 2.84e-49 | 37GPR34, CD74, LY96, CSF1R, RGS1, TYROBP, CTSC, MS4A4A, GRN, GPR183, LY86, CD14, AIF1, LPAR6, C3AR1, NPC2, FCGRT, SLCO2B1, MSR1, CREG1, CYBB, CXCL16, PILRA, LGMN, ADAP2, CTSS, ZFP36, TBXAS1, GADD45B, PSAP, CD163, IGSF6, PLD4, SGK1, RB1, CPVL, FGL2 |
275 |
AIZARANI_LIVER_C6_KUPFFER_CELLS_2 | 1.39e-46 | 124.03 | 65.97 | 2.33e-44 | 9.33e-44 | 33GPR34, CSF1R, RGS1, TYROBP, CTSC, MS4A4A, GRN, SLC40A1, CD14, AIF1, C3AR1, AXL, NPC2, FCGRT, SLCO2B1, MSR1, SAT1, CREG1, CYBB, CXCL16, PILRA, LGMN, ADAP2, CTSS, TBXAS1, PSAP, CD163, IGSF6, SGK1, DAB2, TNFSF13B, CPVL, FGL2 |
228 |
ZHONG_PFC_MAJOR_TYPES_MICROGLIA | 1.93e-48 | 111.07 | 55.33 | 6.46e-46 | 1.29e-45 | 39GPR34, CD74, LY96, APOE, CSF1R, RGS1, TYROBP, CTSC, GRN, GPR183, LY86, CD14, AIF1, LPAR6, ITM2B, C3AR1, AXL, NPC2, FCGRT, SLCO2B1, SAT1, CREG1, CYBB, CXCL16, LGMN, ADAP2, CTSS, ZFP36, TBXAS1, GADD45B, PSAP, IGSF6, B2M, PLD4, SGK1, RB1, DAB2, TLR7, CPVL |
438 |
FAN_EMBRYONIC_CTX_BIG_GROUPS_MICROGLIA | 3.73e-47 | 106.58 | 54.74 | 8.34e-45 | 2.50e-44 | 37GPR34, CD74, LY96, APOE, CSF1R, RGS1, TYROBP, CTSC, GRN, GPR183, LY86, CD14, AIF1, LPAR6, ITM2B, C3AR1, NPC2, FCGRT, SLCO2B1, SAT1, CREG1, CYBB, CXCL16, LGMN, ADAP2, CTSS, ZFP36, TBXAS1, GADD45B, PSAP, IGSF6, B2M, PLD4, RB1, DAB2, TLR7, CPVL |
371 |
HU_FETAL_RETINA_MICROGLIA | 1.07e-44 | 92.92 | 48.41 | 1.43e-42 | 7.16e-42 | 36GPR34, CD74, LY96, CSF1R, RGS1, TYROBP, CTSC, GRN, GPR183, LY86, CD14, AIF1, LPAR6, ITM2B, C3AR1, NPC2, FCGRT, SLCO2B1, SAT1, CREG1, CYBB, CXCL16, LGMN, ADAP2, CTSS, ZFP36, TBXAS1, GADD45B, PSAP, IGSF6, B2M, PLD4, SGK1, RB1, CPVL, FGL2 |
382 |
AIZARANI_LIVER_C2_KUPFFER_CELLS_1 | 2.48e-36 | 84.74 | 45.75 | 2.38e-34 | 1.67e-33 | 27GPR34, CSF1R, RGS1, TYROBP, MS4A4A, GRN, GPR183, LY86, AIF1, C3AR1, AXL, NPC2, SLCO2B1, MSR1, SAT1, CYBB, CXCL16, CTSS, TBXAS1, PSAP, CD163, IGSF6, PLD4, SGK1, TNFSF13B, CPVL, FGL2 |
200 |
MANNO_MIDBRAIN_NEUROTYPES_HMGL | 6.15e-42 | 73.48 | 37.39 | 6.87e-40 | 4.12e-39 | 38GPR34, CD74, LY96, APOE, CSF1R, RGS1, TYROBP, CTSC, MS4A4A, GRN, GPR183, LY86, CD14, LPAR6, ITM2B, C3AR1, AXL, NPC2, FCGRT, SLCO2B1, SAT1, CREG1, CYBB, LGMN, ADAP2, CTSS, ZFP36, GADD45B, CD163, IGSF6, B2M, PLD4, SGK1, DAB2, PRDM1, TLR7, CPVL, FGL2 |
577 |
FAN_EMBRYONIC_CTX_MICROGLIA_3 | 1.08e-10 | 121.28 | 36.43 | 1.81e-09 | 7.24e-08 | 6GPR34, CTSC, SLCO2B1, CREG1, LGMN, TBXAS1 |
20 |
TRAVAGLINI_LUNG_IGSF21_DENDRITIC_CELL | 1.13e-13 | 73.77 | 29.45 | 2.23e-12 | 7.58e-11 | 9CSF1R, MS4A4A, SLCO2B1, MSR1, CXCL16, LGMN, HNMT, TMEM176B, DAB2 |
46 |
AIZARANI_LIVER_C18_NK_NKT_CELLS_5 | 6.46e-21 | 55.87 | 27.93 | 2.55e-19 | 4.34e-18 | 16CSF1R, TYROBP, GPR183, AIF1, C3AR1, NPC2, SAT1, CYBB, CTSS, GADD45B, PSAP, CD163, IGSF6, SGK1, CPVL, FGL2 |
121 |
AIZARANI_LIVER_C25_KUPFFER_CELLS_4 | 2.97e-23 | 49.37 | 25.76 | 1.33e-21 | 1.99e-20 | 19CSF1R, RGS1, TYROBP, GRN, GPR183, AIF1, NPC2, SAT1, CYBB, CXCL16, CTSS, PSAP, CD163, IGSF6, PLD4, SGK1, TNFSF13B, CPVL, FGL2 |
174 |
TRAVAGLINI_LUNG_MACROPHAGE_CELL | 1.07e-23 | 46.02 | 24.28 | 5.15e-22 | 7.21e-21 | 20CD74, APOE, TYROBP, CTSC, MS4A4A, GRN, C3AR1, NPC2, FCGRT, SLCO2B1, MSR1, CYBB, CXCL16, PILRA, CTSS, PSAP, CD163, IGSF6, HNMT, DAB2 |
201 |
TRAVAGLINI_LUNG_TREM2_DENDRITIC_CELL | 2.52e-33 | 45.08 | 24.22 | 1.88e-31 | 1.69e-30 | 33CD74, LY96, APOE, CSF1R, TYROBP, CTSC, MS4A4A, GRN, LY86, SLC40A1, CD14, AIF1, ITM2B, C3AR1, AXL, NPC2, FCGRT, SLCO2B1, MSR1, CREG1, CYBB, CXCL16, PILRA, LGMN, CTSS, PSAP, IGSF6, HNMT, SGK1, TMEM176B, DAB2, TNFSF13B, CPVL |
572 |
DESCARTES_FETAL_INTESTINE_MYELOID_CELLS | 2.93e-24 | 43.93 | 23.39 | 1.51e-22 | 1.97e-21 | 21GPR34, CD74, CSF1R, TYROBP, MS4A4A, GPR183, LY86, CD14, AIF1, C3AR1, CYBB, LGMN, ADAP2, CTSS, TBXAS1, CD163, IGSF6, PLD4, TLR7, CPVL, FGL2 |
227 |
GAO_LARGE_INTESTINE_24W_C11_PANETH_LIKE_CELL | 3.22e-27 | 41.72 | 22.68 | 2.16e-25 | 2.16e-24 | 25GPR34, CD74, CSF1R, TYROBP, CTSC, MS4A4A, LY86, CD14, AIF1, LPAR6, SLCO2B1, CREG1, CYBB, CXCL16, LGMN, ADAP2, TNF, TBXAS1, CD163, IGSF6, SGK1, DAB2, TNFSF13B, CPVL, FGL2 |
325 |
DURANTE_ADULT_OLFACTORY_NEUROEPITHELIUM_MONOCYTES | 1.41e-10 | 63.40 | 22.38 | 2.30e-09 | 9.44e-08 | 7CD74, RGS1, TYROBP, GPR183, AIF1, SGK1, FGL2 |
39 |
DESCARTES_FETAL_HEART_MYELOID_CELLS | 1.68e-18 | 44.97 | 22.20 | 5.65e-17 | 1.13e-15 | 15GPR34, CD74, CSF1R, TYROBP, MS4A4A, CD14, C3AR1, SLCO2B1, CYBB, PILRA, LGMN, CD163, IGSF6, PLD4, TLR7 |
134 |
DESCARTES_FETAL_STOMACH_MYELOID_CELLS | 2.87e-13 | 47.27 | 20.21 | 5.50e-12 | 1.92e-10 | 10CD74, TYROBP, LY86, CD14, CYBB, ADAP2, TBXAS1, IGSF6, PLD4, CPVL |
76 |
MENON_FETAL_KIDNEY_10_IMMUNE_CELLS | 7.12e-13 | 42.73 | 18.35 | 1.30e-11 | 4.78e-10 | 10CD74, TYROBP, AIF1, SAT1, CYBB, PSAP, IGSF6, B2M, DAB2, FGL2 |
83 |
Dowload full table
mSigDB Hallmark Gene Sets:
P-value | OR | Lower 95% CI | FDR | FWER | Genes Found | Gene Set Size | |
---|---|---|---|---|---|---|---|
HALLMARK_INFLAMMATORY_RESPONSE | 1.19e-05 | 10.54 | 3.95 | 5.94e-04 | 5.94e-04 | 7RGS1, GPR183, CD14, C3AR1, AXL, MSR1, CYBB |
200 |
HALLMARK_TNFA_SIGNALING_VIA_NFKB | 1.24e-04 | 8.78 | 3.02 | 2.06e-03 | 6.18e-03 | 6GPR183, SAT1, TNF, ZFP36, GADD45B, SGK1 |
200 |
HALLMARK_ALLOGRAFT_REJECTION | 1.24e-04 | 8.78 | 3.02 | 2.06e-03 | 6.18e-03 | 6CD74, LY86, CTSS, TNF, IGSF6, B2M |
200 |
HALLMARK_KRAS_SIGNALING_UP | 1.08e-03 | 7.12 | 2.18 | 1.35e-02 | 5.40e-02 | 5LY96, C3AR1, CTSS, TMEM176B, PRDM1 |
200 |
HALLMARK_APOPTOSIS | 3.63e-03 | 6.92 | 1.79 | 3.63e-02 | 1.82e-01 | 4CD14, SAT1, TNF, GADD45B |
161 |
HALLMARK_INTERFERON_ALPHA_RESPONSE | 6.61e-03 | 8.48 | 1.66 | 5.13e-02 | 3.30e-01 | 3CD74, LPAR6, B2M |
97 |
HALLMARK_ANDROGEN_RESPONSE | 7.18e-03 | 8.22 | 1.61 | 5.13e-02 | 3.59e-01 | 3SAT1, B2M, SGK1 |
100 |
HALLMARK_CHOLESTEROL_HOMEOSTASIS | 3.47e-02 | 7.23 | 0.84 | 1.66e-01 | 1.00e+00 | 2CXCL16, LGMN |
74 |
HALLMARK_IL2_STAT5_SIGNALING | 4.30e-02 | 4.07 | 0.80 | 1.66e-01 | 1.00e+00 | 3GADD45B, TLR7, FGL2 |
199 |
HALLMARK_INTERFERON_GAMMA_RESPONSE | 4.35e-02 | 4.05 | 0.80 | 1.66e-01 | 1.00e+00 | 3CD74, B2M, FGL2 |
200 |
HALLMARK_COMPLEMENT | 4.35e-02 | 4.05 | 0.80 | 1.66e-01 | 1.00e+00 | 3CTSC, LGMN, CTSS |
200 |
HALLMARK_MTORC1_SIGNALING | 4.35e-02 | 4.05 | 0.80 | 1.66e-01 | 1.00e+00 | 3CTSC, LGMN, FGL2 |
200 |
HALLMARK_EPITHELIAL_MESENCHYMAL_TRANSITION | 4.35e-02 | 4.05 | 0.80 | 1.66e-01 | 1.00e+00 | 3SAT1, GADD45B, DAB2 |
200 |
HALLMARK_IL6_JAK_STAT3_SIGNALING | 4.64e-02 | 6.13 | 0.71 | 1.66e-01 | 1.00e+00 | 2CD14, TNF |
87 |
HALLMARK_ESTROGEN_RESPONSE_LATE | 1.85e-01 | 2.63 | 0.31 | 5.13e-01 | 1.00e+00 | 2ZFP36, SGK1 |
200 |
HALLMARK_MYOGENESIS | 1.85e-01 | 2.63 | 0.31 | 5.13e-01 | 1.00e+00 | 2GADD45B, RB1 |
200 |
HALLMARK_XENOBIOTIC_METABOLISM | 1.85e-01 | 2.63 | 0.31 | 5.13e-01 | 1.00e+00 | 2APOE, TMEM176B |
200 |
HALLMARK_P53_PATHWAY | 1.85e-01 | 2.63 | 0.31 | 5.13e-01 | 1.00e+00 | 2SAT1, RB1 |
200 |
HALLMARK_PROTEIN_SECRETION | 3.17e-01 | 2.68 | 0.07 | 8.35e-01 | 1.00e+00 | 1CTSC |
96 |
HALLMARK_COAGULATION | 4.22e-01 | 1.86 | 0.05 | 1.00e+00 | 1.00e+00 | 1LGMN |
138 |
Dowload full table
KEGG Pathways:
P-value | OR | Lower 95% CI | FDR | FWER | Genes Found | Gene Set Size | |
---|---|---|---|---|---|---|---|
KEGG_LYSOSOME | 1.10e-04 | 11.97 | 3.64 | 2.04e-02 | 2.04e-02 | 5CTSC, NPC2, LGMN, CTSS, PSAP |
121 |
KEGG_ANTIGEN_PROCESSING_AND_PRESENTATION | 3.96e-04 | 12.93 | 3.31 | 3.68e-02 | 7.37e-02 | 4CD74, LGMN, CTSS, B2M |
88 |
KEGG_TOLL_LIKE_RECEPTOR_SIGNALING_PATHWAY | 6.90e-04 | 11.09 | 2.84 | 4.28e-02 | 1.28e-01 | 4LY96, CD14, TNF, TLR7 |
102 |
KEGG_HEMATOPOIETIC_CELL_LINEAGE | 4.89e-03 | 9.50 | 1.85 | 2.28e-01 | 9.10e-01 | 3CSF1R, CD14, TNF |
87 |
KEGG_PATHOGENIC_ESCHERICHIA_COLI_INFECTION | 2.07e-02 | 9.64 | 1.11 | 6.42e-01 | 1.00e+00 | 2LY96, CD14 |
56 |
KEGG_CYTOKINE_CYTOKINE_RECEPTOR_INTERACTION | 1.96e-02 | 4.16 | 1.08 | 6.42e-01 | 1.00e+00 | 4CSF1R, CXCL16, TNF, TNFSF13B |
265 |
KEGG_MAPK_SIGNALING_PATHWAY | 8.58e-02 | 3.02 | 0.60 | 1.00e+00 | 1.00e+00 | 3CD14, TNF, GADD45B |
267 |
KEGG_CELL_CYCLE | 8.71e-02 | 4.23 | 0.49 | 1.00e+00 | 1.00e+00 | 2GADD45B, RB1 |
125 |
KEGG_NATURAL_KILLER_CELL_MEDIATED_CYTOTOXICITY | 1.01e-01 | 3.86 | 0.45 | 1.00e+00 | 1.00e+00 | 2TYROBP, TNF |
137 |
KEGG_ALZHEIMERS_DISEASE | 1.39e-01 | 3.18 | 0.37 | 1.00e+00 | 1.00e+00 | 2APOE, TNF |
166 |
KEGG_ENDOCYTOSIS | 1.59e-01 | 2.91 | 0.34 | 1.00e+00 | 1.00e+00 | 2CSF1R, DAB2 |
181 |
KEGG_NEUROACTIVE_LIGAND_RECEPTOR_INTERACTION | 2.87e-01 | 1.93 | 0.23 | 1.00e+00 | 1.00e+00 | 2LPAR6, C3AR1 |
272 |
KEGG_HISTIDINE_METABOLISM | 1.09e-01 | 9.11 | 0.22 | 1.00e+00 | 1.00e+00 | 1HNMT |
29 |
KEGG_ASTHMA | 1.13e-01 | 8.79 | 0.21 | 1.00e+00 | 1.00e+00 | 1TNF |
30 |
KEGG_PATHWAYS_IN_CANCER | 3.61e-01 | 1.61 | 0.19 | 1.00e+00 | 1.00e+00 | 2CSF1R, RB1 |
325 |
KEGG_ALLOGRAFT_REJECTION | 1.37e-01 | 7.08 | 0.17 | 1.00e+00 | 1.00e+00 | 1TNF |
37 |
KEGG_GRAFT_VERSUS_HOST_DISEASE | 1.51e-01 | 6.37 | 0.15 | 1.00e+00 | 1.00e+00 | 1TNF |
41 |
KEGG_ALDOSTERONE_REGULATED_SODIUM_REABSORPTION | 1.54e-01 | 6.22 | 0.15 | 1.00e+00 | 1.00e+00 | 1SGK1 |
42 |
KEGG_BLADDER_CANCER | 1.54e-01 | 6.22 | 0.15 | 1.00e+00 | 1.00e+00 | 1RB1 |
42 |
KEGG_TYPE_I_DIABETES_MELLITUS | 1.57e-01 | 6.07 | 0.15 | 1.00e+00 | 1.00e+00 | 1TNF |
43 |
Dowload full table
CHR Positional Gene Sets:
P-value | OR | Lower 95% CI | FDR | FWER | Genes Found | Gene Set Size | |
---|---|---|---|---|---|---|---|
chr13q14 | 6.72e-02 | 3.37 | 0.67 | 1.00e+00 | 1.00e+00 | 3LPAR6, ITM2B, RB1 |
240 |
chr19q13 | 6.12e-01 | 1.20 | 0.37 | 1.00e+00 | 1.00e+00 | 5APOE, TYROBP, AXL, FCGRT, ZFP36 |
1165 |
chrXp22 | 2.31e-01 | 2.25 | 0.26 | 1.00e+00 | 1.00e+00 | 2SAT1, TLR7 |
233 |
chr12p13 | 3.72e-01 | 1.57 | 0.18 | 1.00e+00 | 1.00e+00 | 2C3AR1, CD163 |
333 |
chr8p22 | 1.64e-01 | 5.80 | 0.14 | 1.00e+00 | 1.00e+00 | 1MSR1 |
45 |
chr6p21 | 7.00e-01 | 1.12 | 0.13 | 1.00e+00 | 1.00e+00 | 2AIF1, TNF |
467 |
chr13q33 | 1.97e-01 | 4.72 | 0.12 | 1.00e+00 | 1.00e+00 | 1TNFSF13B |
55 |
chr14q32 | 1.00e+00 | 0.96 | 0.11 | 1.00e+00 | 1.00e+00 | 2LGMN, PLD4 |
546 |
chr2q22 | 2.37e-01 | 3.81 | 0.09 | 1.00e+00 | 1.00e+00 | 1HNMT |
68 |
chr1q31 | 2.46e-01 | 3.64 | 0.09 | 1.00e+00 | 1.00e+00 | 1RGS1 |
71 |
chr6p25 | 2.78e-01 | 3.15 | 0.08 | 1.00e+00 | 1.00e+00 | 1LY86 |
82 |
chrXp21 | 2.78e-01 | 3.15 | 0.08 | 1.00e+00 | 1.00e+00 | 1CYBB |
82 |
chr13q32 | 3.15e-01 | 2.71 | 0.07 | 1.00e+00 | 1.00e+00 | 1GPR183 |
95 |
chr6q23 | 3.44e-01 | 2.43 | 0.06 | 1.00e+00 | 1.00e+00 | 1SGK1 |
106 |
chr2q32 | 3.49e-01 | 2.38 | 0.06 | 1.00e+00 | 1.00e+00 | 1SLC40A1 |
108 |
chr5q33 | 3.52e-01 | 2.36 | 0.06 | 1.00e+00 | 1.00e+00 | 1CD74 |
109 |
chr6q21 | 3.72e-01 | 2.20 | 0.05 | 1.00e+00 | 1.00e+00 | 1PRDM1 |
117 |
chr1q24 | 3.87e-01 | 2.09 | 0.05 | 1.00e+00 | 1.00e+00 | 1CREG1 |
123 |
chr5p13 | 3.99e-01 | 2.01 | 0.05 | 1.00e+00 | 1.00e+00 | 1DAB2 |
128 |
chr11q14 | 4.29e-01 | 1.82 | 0.04 | 1.00e+00 | 1.00e+00 | 1CTSC |
141 |
Dowload full table
Transcription Factor Targets:
P-value | OR | Lower 95% CI | FDR | FWER | Genes Found | Gene Set Size | |
---|---|---|---|---|---|---|---|
IRF_Q6 | 4.18e-05 | 8.59 | 3.23 | 2.97e-02 | 4.74e-02 | 7LY86, SLC40A1, SAT1, CYBB, B2M, TNFSF13B, TLR7 |
244 |
ICSBP_Q6 | 5.24e-05 | 8.27 | 3.11 | 2.97e-02 | 5.94e-02 | 7LY86, AIF1, CXCL16, CTSS, B2M, TNFSF13B, TLR7 |
253 |
ISRE_01 | 2.97e-03 | 5.60 | 1.72 | 5.66e-01 | 1.00e+00 | 5LY86, AIF1, B2M, TNFSF13B, TLR7 |
253 |
IRF1_Q6 | 3.50e-03 | 5.38 | 1.65 | 5.66e-01 | 1.00e+00 | 5TYROBP, LY86, CTSS, SGK1, TNFSF13B |
263 |
TGANTCA_AP1_C | 7.29e-03 | 2.77 | 1.23 | 8.56e-01 | 1.00e+00 | 10CSF1R, GPR183, ITM2B, C3AR1, SAT1, ADAP2, TBXAS1, GADD45B, SGK1, PRDM1 |
1139 |
ZNF768_TARGET_GENES | 7.32e-03 | 2.64 | 1.22 | 8.56e-01 | 1.00e+00 | 11APOE, TYROBP, CTSC, GRN, GPR183, LY86, SLCO2B1, CTSS, B2M, SGK1, CPVL |
1346 |
TERF1_TARGET_GENES | 2.75e-02 | 3.74 | 0.97 | 1.00e+00 | 1.00e+00 | 4CD74, RGS1, CTSS, PRDM1 |
295 |
MAPK3_TARGET_GENES | 2.73e-02 | 8.26 | 0.95 | 1.00e+00 | 1.00e+00 | 2SAT1, B2M |
65 |
HTF_01 | 3.21e-02 | 7.55 | 0.87 | 1.00e+00 | 1.00e+00 | 2RGS1, SGK1 |
71 |
FOXJ2_01 | 3.69e-02 | 4.34 | 0.86 | 1.00e+00 | 1.00e+00 | 3TNF, TBXAS1, PRDM1 |
187 |
HNF3_Q6 | 3.94e-02 | 4.22 | 0.83 | 1.00e+00 | 1.00e+00 | 3TBXAS1, SGK1, PRDM1 |
192 |
BACH2_TARGET_GENES | 9.82e-02 | 1.78 | 0.82 | 1.00e+00 | 1.00e+00 | 11LY96, CSF1R, RGS1, GPR183, SLCO2B1, MSR1, TBXAS1, PSAP, DAB2, PRDM1, FGL2 |
1998 |
HFH3_01 | 4.14e-02 | 4.13 | 0.82 | 1.00e+00 | 1.00e+00 | 3TNF, SGK1, PRDM1 |
196 |
HNF3ALPHA_Q6 | 4.95e-02 | 3.84 | 0.76 | 1.00e+00 | 1.00e+00 | 3TBXAS1, SGK1, PRDM1 |
211 |
ZNF213_TARGET_GENES | 7.45e-02 | 2.35 | 0.73 | 1.00e+00 | 1.00e+00 | 5GRN, FCGRT, CXCL16, ADAP2, GADD45B |
595 |
FAC1_01 | 5.71e-02 | 3.61 | 0.71 | 1.00e+00 | 1.00e+00 | 3SAT1, TBXAS1, SGK1 |
224 |
MAP2K1_TARGET_GENES | 3.53e-02 | 31.82 | 0.70 | 1.00e+00 | 1.00e+00 | 1SGK1 |
9 |
RYTTCCTG_ETS2_B | 1.23e-01 | 1.84 | 0.70 | 1.00e+00 | 1.00e+00 | 7TYROBP, GPR183, CTSS, PSAP, SGK1, PRDM1, TNFSF13B |
1112 |
NOTCH3_TARGET_GENES | 1.89e-01 | 1.80 | 0.68 | 1.00e+00 | 1.00e+00 | 7GRN, SLC40A1, SAT1, CXCL16, LGMN, CD163, RB1 |
1135 |
NFKAPPAB65_01 | 6.79e-02 | 3.35 | 0.66 | 1.00e+00 | 1.00e+00 | 3CSF1R, CXCL16, GADD45B |
241 |
Dowload full table
GO Biological Processes:
P-value | OR | Lower 95% CI | FDR | FWER | Genes Found | Gene Set Size | |
---|---|---|---|---|---|---|---|
GOBP_RESPONSE_TO_ALDOSTERONE | 1.54e-04 | 172.68 | 14.09 | 2.34e-02 | 1.00e+00 | 2CYBB, SGK1 |
5 |
GOBP_MICROGLIAL_CELL_ACTIVATION | 2.72e-08 | 41.49 | 13.69 | 3.89e-05 | 2.04e-04 | 6TYROBP, CTSC, GRN, AIF1, TNF, TLR7 |
47 |
GOBP_GLYCOLIPID_TRANSPORT | 3.22e-04 | 103.49 | 9.64 | 3.60e-02 | 1.00e+00 | 2NPC2, PSAP |
7 |
GOBP_POSITIVE_REGULATION_OF_LIPOPOLYSACCHARIDE_MEDIATED_SIGNALING_PATHWAY | 4.28e-04 | 86.37 | 8.33 | 4.33e-02 | 1.00e+00 | 2LY96, LY86 |
8 |
GOBP_REGULATION_OF_MYD88_INDEPENDENT_TOLL_LIKE_RECEPTOR_SIGNALING_PATHWAY | 4.28e-04 | 86.37 | 8.33 | 4.33e-02 | 1.00e+00 | 2LY96, CD14 |
8 |
GOBP_MACROPHAGE_ACTIVATION | 1.35e-07 | 21.41 | 7.92 | 1.26e-04 | 1.01e-03 | 7CD74, TYROBP, CTSC, GRN, AIF1, TNF, TLR7 |
102 |
GOBP_POSITIVE_REGULATION_OF_CHEMOKINE_PRODUCTION | 3.70e-06 | 25.20 | 7.53 | 1.54e-03 | 2.77e-02 | 5CD74, CSF1R, AIF1, TNF, TLR7 |
60 |
GOBP_CELLULAR_RESPONSE_TO_NICOTINE | 5.49e-04 | 74.10 | 7.33 | 4.84e-02 | 1.00e+00 | 2TNF, B2M |
9 |
GOBP_REGULATION_OF_NATURAL_KILLER_CELL_DIFFERENTIATION | 6.85e-04 | 64.86 | 6.55 | 5.66e-02 | 1.00e+00 | 2AXL, PRDM1 |
10 |
GOBP_POSITIVE_REGULATION_OF_CHEMOKINE_C_X_C_MOTIF_LIGAND_2_PRODUCTION | 6.85e-04 | 64.86 | 6.55 | 5.66e-02 | 1.00e+00 | 2CD74, TNF |
10 |
GOBP_REGULATION_OF_DENDRITIC_CELL_ANTIGEN_PROCESSING_AND_PRESENTATION | 8.35e-04 | 57.69 | 5.91 | 6.50e-02 | 1.00e+00 | 2CD74, FGL2 |
11 |
GOBP_ACTIVATION_OF_MAPKKK_ACTIVITY | 9.99e-04 | 51.89 | 5.39 | 7.26e-02 | 1.00e+00 | 2TNF, GADD45B |
12 |
GOBP_NEGATIVE_REGULATION_OF_LONG_TERM_SYNAPTIC_POTENTIATION | 9.99e-04 | 51.89 | 5.39 | 7.26e-02 | 1.00e+00 | 2APOE, TYROBP |
12 |
GOBP_POSITIVE_REGULATION_OF_INTERLEUKIN_6_PRODUCTION | 2.16e-05 | 17.14 | 5.17 | 5.78e-03 | 1.62e-01 | 5CD74, TYROBP, AIF1, TNF, TLR7 |
86 |
GOBP_POSITIVE_REGULATION_OF_INTERLEUKIN_8_PRODUCTION | 7.41e-05 | 20.48 | 5.17 | 1.45e-02 | 5.54e-01 | 4CD74, CD14, TNF, TLR7 |
57 |
GOBP_POSITIVE_REGULATION_OF_MYELOID_LEUKOCYTE_DIFFERENTIATION | 7.93e-05 | 20.12 | 5.08 | 1.45e-02 | 5.93e-01 | 4CD74, TYROBP, TNF, RB1 |
58 |
GOBP_LIPOPOLYSACCHARIDE_MEDIATED_SIGNALING_PATHWAY | 7.93e-05 | 20.12 | 5.08 | 1.45e-02 | 5.93e-01 | 4LY96, LY86, CD14, TNF |
58 |
GOBP_REGULATION_OF_NATURAL_KILLER_CELL_ACTIVATION | 2.96e-04 | 26.56 | 5.01 | 3.52e-02 | 1.00e+00 | 3TYROBP, AXL, PRDM1 |
33 |
GOBP_POSITIVE_REGULATION_OF_LEUKOCYTE_CHEMOTAXIS | 2.84e-05 | 16.14 | 4.88 | 6.86e-03 | 2.13e-01 | 5CD74, CSF1R, AIF1, C3AR1, LGMN |
91 |
GOBP_REGULATION_OF_B_CELL_PROLIFERATION | 9.66e-05 | 19.05 | 4.82 | 1.72e-02 | 7.23e-01 | 4CD74, TYROBP, GPR183, TNFSF13B |
61 |
Dowload full table
Immunological Gene Sets:
P-value | OR | Lower 95% CI | FDR | FWER | Genes Found | Gene Set Size | |
---|---|---|---|---|---|---|---|
GSE24634_TREG_VS_TCONV_POST_DAY10_IL4_CONVERSION_DN | 6.65e-19 | 35.18 | 18.04 | 3.24e-15 | 3.24e-15 | 17LY96, CSF1R, TYROBP, CTSC, MS4A4A, GRN, CD14, LPAR6, NPC2, FCGRT, CREG1, PILRA, PSAP, CD163, IGSF6, TMEM176B, FGL2 |
200 |
GSE10325_LUPUS_CD4_TCELL_VS_LUPUS_MYELOID_DN | 2.27e-17 | 31.95 | 16.17 | 2.76e-14 | 1.10e-13 | 16CD74, CSF1R, TYROBP, GRN, CD14, AIF1, FCGRT, CREG1, CYBB, PILRA, ADAP2, TBXAS1, PSAP, IGSF6, HNMT, FGL2 |
200 |
GSE10325_LUPUS_BCELL_VS_LUPUS_MYELOID_DN | 2.27e-17 | 31.95 | 16.17 | 2.76e-14 | 1.10e-13 | 16CSF1R, TYROBP, AIF1, LPAR6, C3AR1, FCGRT, SAT1, CREG1, PILRA, ADAP2, TBXAS1, PSAP, CD163, IGSF6, HNMT, FGL2 |
200 |
GSE22886_NAIVE_CD8_TCELL_VS_MONOCYTE_DN | 2.27e-17 | 31.95 | 16.17 | 2.76e-14 | 1.10e-13 | 16LY96, CSF1R, TYROBP, GRN, CD14, NPC2, SAT1, CREG1, CYBB, PILRA, ADAP2, CTSS, PSAP, IGSF6, CPVL, FGL2 |
200 |
GSE34156_TLR1_TLR2_LIGAND_VS_NOD2_AND_TLR1_TLR2_LIGAND_24H_TREATED_MONOCYTE_UP | 5.62e-16 | 29.42 | 14.66 | 4.92e-13 | 2.74e-12 | 15CSF1R, TYROBP, GRN, CD14, C3AR1, FCGRT, MSR1, SAT1, CREG1, CYBB, CXCL16, PILRA, PSAP, CD163, IGSF6 |
197 |
GSE24634_TREG_VS_TCONV_POST_DAY7_IL4_CONVERSION_DN | 6.06e-16 | 29.25 | 14.58 | 4.92e-13 | 2.95e-12 | 15LY96, TYROBP, CTSC, CD14, LPAR6, FCGRT, SAT1, CREG1, CYBB, CTSS, PSAP, CD163, HNMT, TMEM176B, FGL2 |
198 |
GSE34156_UNTREATED_VS_6H_TLR1_TLR2_LIGAND_TREATED_MONOCYTE_UP | 1.61e-14 | 26.55 | 13.00 | 9.64e-12 | 7.83e-11 | 14LY96, CSF1R, GRN, CD14, NPC2, FCGRT, MSR1, CREG1, CYBB, CXCL16, PILRA, PSAP, CD163, IGSF6 |
197 |
GSE24634_TEFF_VS_TCONV_DAY3_IN_CULTURE_DN | 1.98e-14 | 26.13 | 12.79 | 9.64e-12 | 9.64e-11 | 14LY96, MS4A4A, CD14, LPAR6, FCGRT, CYBB, PILRA, ADAP2, CD163, HNMT, RB1, DAB2, CPVL, FGL2 |
200 |
GSE29618_MONOCYTE_VS_PDC_DAY7_FLU_VACCINE_UP | 1.98e-14 | 26.13 | 12.79 | 9.64e-12 | 9.64e-11 | 14CSF1R, CD14, AIF1, ITM2B, SAT1, CREG1, PILRA, ADAP2, CTSS, TBXAS1, CD163, IGSF6, SGK1, FGL2 |
200 |
GSE29618_MONOCYTE_VS_MDC_DAY7_FLU_VACCINE_UP | 1.98e-14 | 26.13 | 12.79 | 9.64e-12 | 9.64e-11 | 14CD14, AIF1, ITM2B, C3AR1, NPC2, SAT1, CREG1, CYBB, PILRA, CTSS, TBXAS1, PSAP, CD163, HNMT |
200 |
GSE34156_NOD2_LIGAND_VS_TLR1_TLR2_LIGAND_6H_TREATED_MONOCYTE_DN | 9.65e-12 | 21.32 | 9.98 | 2.80e-09 | 4.70e-08 | 12TYROBP, GRN, CD14, C3AR1, MSR1, SAT1, CREG1, CYBB, CXCL16, PILRA, CD163, IGSF6 |
197 |
GSE29618_MONOCYTE_VS_PDC_UP | 1.08e-11 | 21.10 | 9.88 | 2.80e-09 | 5.29e-08 | 12CSF1R, TYROBP, LY86, CD14, AIF1, ITM2B, CREG1, PILRA, CTSS, TBXAS1, CD163, FGL2 |
199 |
GSE10325_BCELL_VS_MYELOID_DN | 1.15e-11 | 20.99 | 9.83 | 2.80e-09 | 5.60e-08 | 12CSF1R, AIF1, C3AR1, FCGRT, SAT1, PILRA, TBXAS1, PSAP, CD163, IGSF6, CPVL, FGL2 |
200 |
GSE22886_NAIVE_TCELL_VS_MONOCYTE_DN | 1.15e-11 | 20.99 | 9.83 | 2.80e-09 | 5.60e-08 | 12LY96, GRN, CD14, NPC2, CREG1, CYBB, PILRA, ADAP2, PSAP, IGSF6, CPVL, FGL2 |
200 |
GSE22886_NAIVE_CD4_TCELL_VS_MONOCYTE_DN | 1.15e-11 | 20.99 | 9.83 | 2.80e-09 | 5.60e-08 | 12LY96, GRN, CD14, NPC2, CREG1, CYBB, PILRA, ADAP2, CTSS, PSAP, IGSF6, FGL2 |
200 |
GSE24634_IL4_VS_CTRL_TREATED_NAIVE_CD4_TCELL_DAY5_UP | 1.15e-11 | 20.99 | 9.83 | 2.80e-09 | 5.60e-08 | 12CSF1R, MS4A4A, NPC2, SLCO2B1, CREG1, PILRA, LGMN, TBXAS1, IGSF6, HNMT, TMEM176B, CPVL |
200 |
GSE29618_MONOCYTE_VS_MDC_UP | 1.15e-11 | 20.99 | 9.83 | 2.80e-09 | 5.60e-08 | 12TYROBP, CD14, AIF1, ITM2B, NPC2, CREG1, CYBB, PILRA, CTSS, PSAP, CD163, HNMT |
200 |
GSE29618_BCELL_VS_MONOCYTE_DAY7_FLU_VACCINE_DN | 1.15e-11 | 20.99 | 9.83 | 2.80e-09 | 5.60e-08 | 12CSF1R, TYROBP, GRN, CD14, ITM2B, FCGRT, CREG1, PILRA, TBXAS1, PSAP, CD163, SGK1 |
200 |
GSE21774_CD62L_POS_CD56_BRIGHT_VS_CD62L_NEG_CD56_DIM_NK_CELL_UP | 1.15e-11 | 20.99 | 9.83 | 2.80e-09 | 5.60e-08 | 12CSF1R, TYROBP, LY86, CD14, CYBB, TNF, CD163, IGSF6, PLD4, DAB2, TNFSF13B, TLR7 |
200 |
GSE34156_UNTREATED_VS_24H_NOD2_LIGAND_TREATED_MONOCYTE_DN | 1.15e-11 | 20.99 | 9.83 | 2.80e-09 | 5.60e-08 | 12LY96, CSF1R, GRN, CD14, NPC2, SAT1, CREG1, CYBB, CXCL16, PILRA, CD163, IGSF6 |
200 |
Top Ranked Transcription Factors for this Gene Expression Program:
Gene Symbol | TF Rank | DNA Binding Domain | Motif Status | IUPAC PWM | GTEx | DepMap | Decartes |
---|---|---|---|---|---|---|---|
CREG1 | 25 | No | Unlikely to be sequence specific TF | Not a DNA binding protein | No motif | None | Regulates transcription in tethering assays (PMID: 9710587). Unlikely to be a TF, based on the lack of a canonical DBD |
TNF | 32 | No | Unlikely to be sequence specific TF | Not a DNA binding protein | No motif | None | The protein is a secreted cytokine and operates far upstream in the signaling cascade |
ZFP36 | 33 | No | ssDNA/RNA binding | Not a DNA binding protein | No motif | None | RNA binding protein (PMID: 10330172). |
SGK1 | 42 | No | Unlikely to be sequence specific TF | Not a DNA binding protein | No motif | None | None |
RB1 | 43 | No | Unlikely to be sequence specific TF | Not a DNA binding protein | No motif | None | Classic co-factor |
PRDM1 | 46 | Yes | Known motif | Monomer or homomultimer | High-throughput in vitro | None | None |
IL10 | 69 | No | Unlikely to be sequence specific TF | Not a DNA binding protein | No motif | None | None |
ICAM1 | 73 | No | Unlikely to be sequence specific TF | Not a DNA binding protein | No motif | None | None |
ZFP36L1 | 74 | No | ssDNA/RNA binding | Not a DNA binding protein | No motif | None | RNA-binding protein (PMID: 27102483; PMID: 17013884). |
LGALS9 | 77 | No | Unlikely to be sequence specific TF | Not a DNA binding protein | No motif | None | None |
SPI1 | 79 | Yes | Known motif | Monomer or homomultimer | High-throughput in vitro | None | None |
MAFB | 93 | Yes | Known motif | Monomer or homomultimer | 100 perc ID - in vitro | None | PDB:2WTY is a homodimer crystallised with TAATTGCTGACTCAGCAAAT sequence |
CMKLR1 | 98 | No | Unlikely to be sequence specific TF | Not a DNA binding protein | No motif | None | Protein is a G protein-coupled receptor for the chemoattractant adipokine chemerin |
NR4A2 | 101 | Yes | Known motif | Monomer or homomultimer | High-throughput in vitro | None | None |
NFKBIA | 104 | No | Unlikely to be sequence specific TF | Not a DNA binding protein | No motif | None | This is I kappa B alpha, which interacts with NFkappaB. No DBD, and evidence indicates that it is not a TF. |
NFKBIZ | 106 | No | Unlikely to be sequence specific TF | Not a DNA binding protein | No motif | None | None |
PYCARD | 107 | No | Unlikely to be sequence specific TF | Not a DNA binding protein | No motif | None | None |
PLEK | 111 | No | Unlikely to be sequence specific TF | Not a DNA binding protein | No motif | None | The DEP-domain is a winged helix-turn-helix protein domain, and thus it is related to ETS, RFX, and FOX domains. However, there is no evidence for DNA-binding activity and it has been shown to operate in G-protein signalling upstream of TFs |
TLR4 | 115 | No | Unlikely to be sequence specific TF | Not a DNA binding protein | No motif | None | None |
HES1 | 118 | Yes | Known motif | Monomer or homomultimer | High-throughput in vitro | None | None |
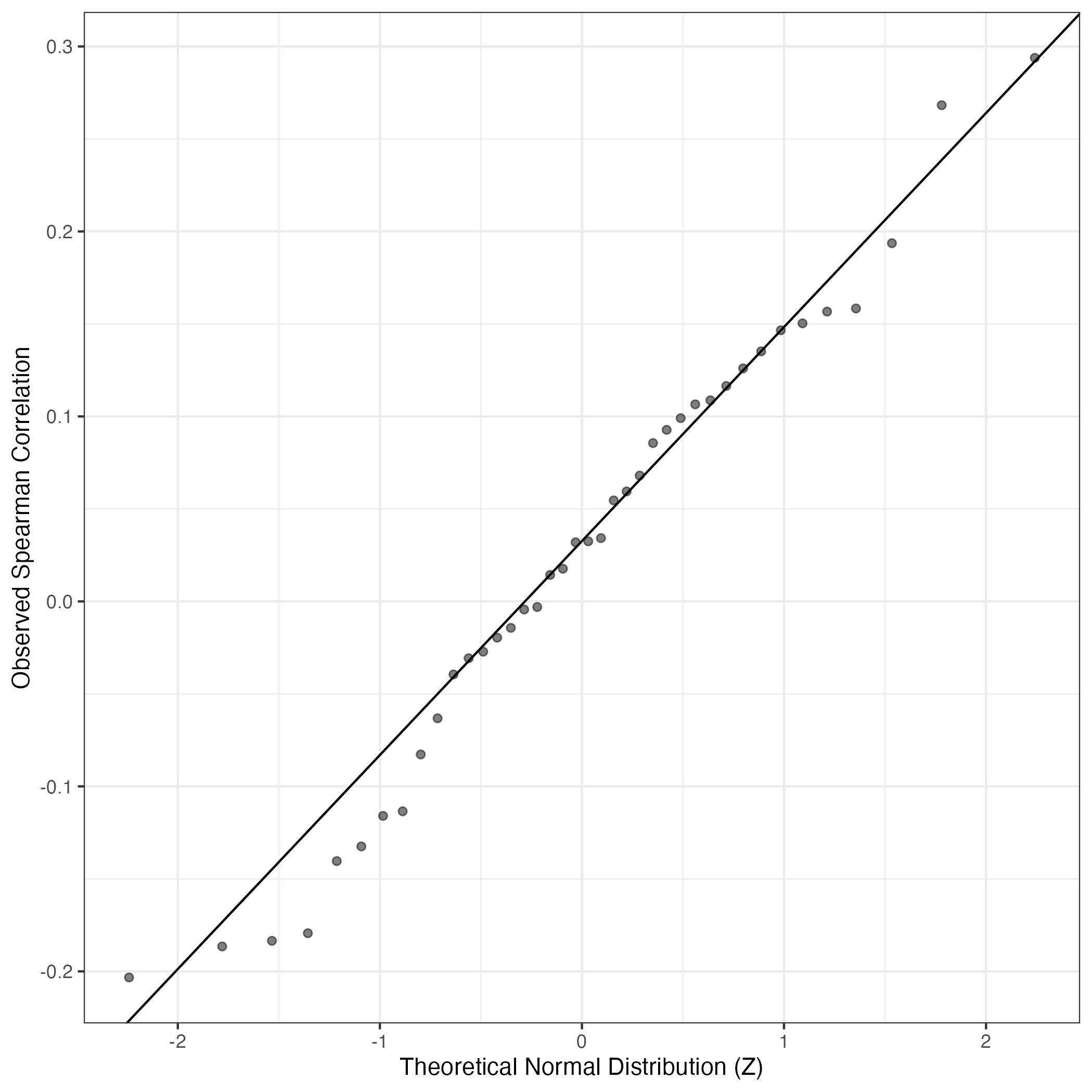
QQ Plot showing correlations with other GEPs in this dataset, calculated by Spearman correlation:
Interactive QQ-plot of gene loadings:
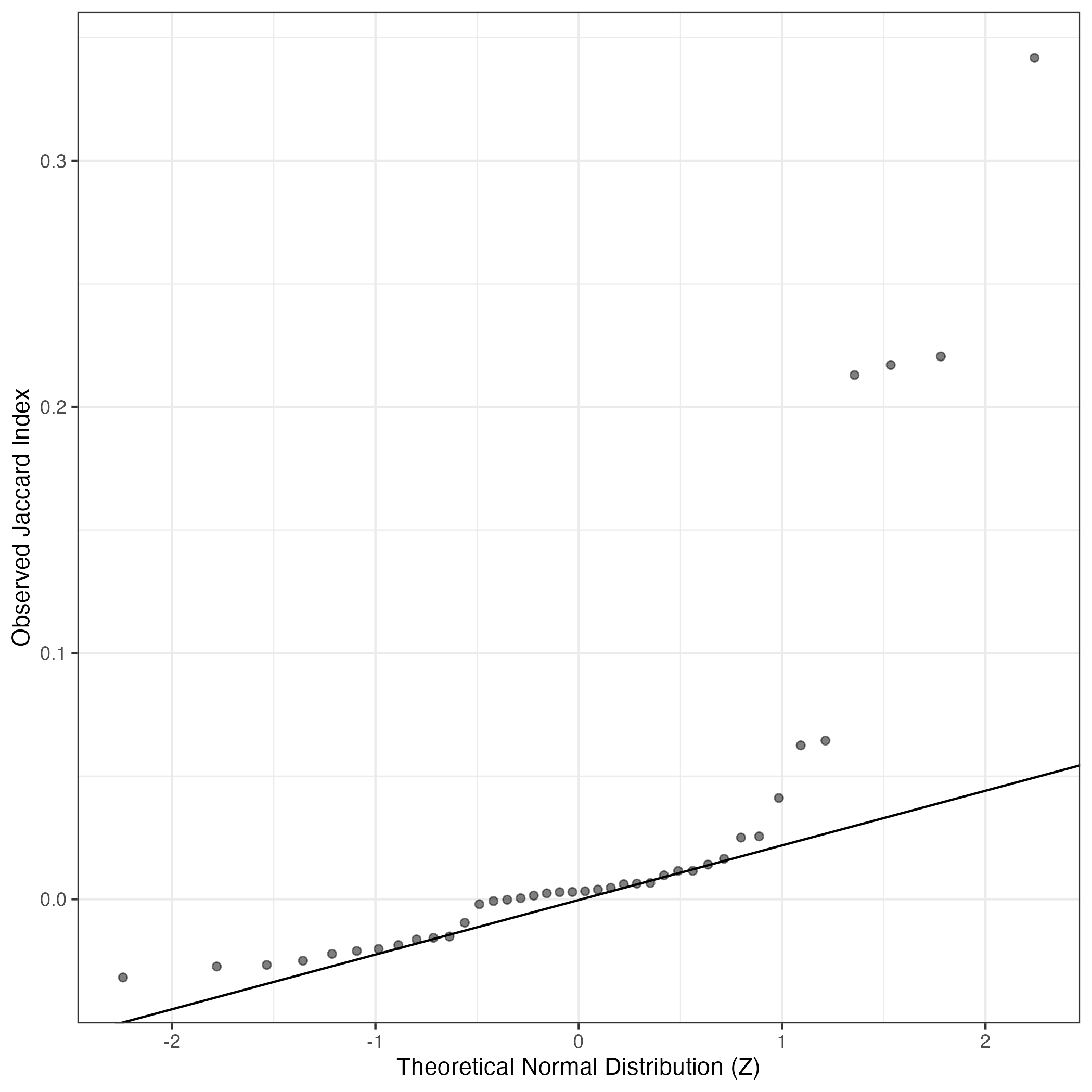
A similar QQ-plot as above, but only for instances where the H value is e.g. > 25, i.e. we are confident that the expression program is active above noise. Agreemenet between these binary vectors is tested using the Jaccard Index, with the P-values calculated by an exact test:
Interactive QQ-plot:
Singler cell type annotations for the top 50 cells on this program.
Cell ID | Singler label | Singler Delta | Activity Score | Top Singler Raw Scores |
---|---|---|---|---|
T230_AGTTCCCCACTACACA-1 | Macrophage:monocyte-derived:IL-4/Dex/TGFb | 0.21 | 2249.28 | Raw ScoresMacrophage:monocyte-derived:M-CSF: 0.45, DC:monocyte-derived:anti-DC-SIGN_2h: 0.45, Macrophage:monocyte-derived:IL-4/Dex/TGFb: 0.45, Macrophage:monocyte-derived:IL-4/Dex/cntrl: 0.44, DC:monocyte-derived: 0.44, Macrophage:monocyte-derived:M-CSF/IFNg: 0.43, DC:monocyte-derived:AEC-conditioned: 0.43, DC:monocyte-derived:LPS: 0.43, DC:monocyte-derived:Galectin-1: 0.43, Monocyte:leukotriene_D4: 0.43 |
T230_CGTTAGATCGCCAGTG-1 | Macrophage:monocyte-derived:M-CSF | 0.18 | 1860.42 | Raw ScoresDC:monocyte-derived:AEC-conditioned: 0.43, Macrophage:monocyte-derived:M-CSF: 0.43, Macrophage:monocyte-derived: 0.43, Macrophage:monocyte-derived:IFNa: 0.42, DC:monocyte-derived:anti-DC-SIGN_2h: 0.42, Macrophage:monocyte-derived:M-CSF/IFNg: 0.42, DC:monocyte-derived:immature: 0.42, Macrophage:monocyte-derived:IL-4/Dex/TGFb: 0.42, Macrophage:monocyte-derived:IL-4/Dex/cntrl: 0.41, DC:monocyte-derived:Galectin-1: 0.41 |
T230_CCTCATGGTACAGTAA-1 | Macrophage:monocyte-derived:M-CSF/IFNg | 0.23 | 1834.62 | Raw ScoresMacrophage:monocyte-derived:M-CSF: 0.49, Macrophage:monocyte-derived:M-CSF/IFNg: 0.49, Monocyte:leukotriene_D4: 0.48, Macrophage:monocyte-derived:IL-4/Dex/TGFb: 0.47, Macrophage:monocyte-derived:IL-4/Dex/cntrl: 0.47, DC:monocyte-derived:anti-DC-SIGN_2h: 0.46, Monocyte:anti-FcgRIIB: 0.46, Monocyte: 0.46, DC:monocyte-derived:AEC-conditioned: 0.46, Macrophage:monocyte-derived: 0.46 |
T230_GTGCTGGAGCCAGTAG-1 | Macrophage:monocyte-derived:M-CSF | 0.20 | 1726.62 | Raw ScoresDC:monocyte-derived:anti-DC-SIGN_2h: 0.44, DC:monocyte-derived:A._fumigatus_germ_tubes_6h: 0.43, Macrophage:monocyte-derived:M-CSF: 0.43, DC:monocyte-derived: 0.43, DC:monocyte-derived:antiCD40/VAF347: 0.42, Macrophage:monocyte-derived:IL-4/Dex/TGFb: 0.42, Macrophage:monocyte-derived:IL-4/Dex/cntrl: 0.42, DC:monocyte-derived:Galectin-1: 0.42, DC:monocyte-derived:AEC-conditioned: 0.41, Macrophage:Alveolar:B._anthacis_spores: 0.41 |
T230_CGATGGCTCTCCTGTG-1 | DC:monocyte-derived:anti-DC-SIGN_2h | 0.19 | 1701.18 | Raw ScoresDC:monocyte-derived:anti-DC-SIGN_2h: 0.42, Macrophage:monocyte-derived:M-CSF/IFNg: 0.42, Macrophage:monocyte-derived:M-CSF: 0.42, DC:monocyte-derived:AEC-conditioned: 0.41, Macrophage:monocyte-derived:IL-4/Dex/cntrl: 0.41, Macrophage:monocyte-derived:IL-4/Dex/TGFb: 0.41, DC:monocyte-derived:LPS: 0.41, DC:monocyte-derived: 0.41, DC:monocyte-derived:Galectin-1: 0.41, DC:monocyte-derived:antiCD40/VAF347: 0.41 |
T200_CCTTGTGAGTTACGGG-1 | DC:monocyte-derived:AEC-conditioned | 0.12 | 1476.10 | Raw ScoresMacrophage:monocyte-derived:IFNa: 0.36, DC:monocyte-derived:AEC-conditioned: 0.36, Macrophage:monocyte-derived:S._aureus: 0.36, DC:monocyte-derived:A._fumigatus_germ_tubes_6h: 0.35, DC:monocyte-derived:anti-DC-SIGN_2h: 0.35, Macrophage:monocyte-derived:M-CSF/IFNg: 0.35, Macrophage:Alveolar:B._anthacis_spores: 0.35, DC:monocyte-derived:LPS: 0.35, Macrophage:monocyte-derived:M-CSF: 0.35, Macrophage:Alveolar: 0.35 |
T200_GTATTTCAGGCTCTAT-1 | Macrophage:monocyte-derived:M-CSF/IFNg/Pam3Cys | 0.15 | 1320.30 | Raw ScoresMacrophage:monocyte-derived:M-CSF/IFNg: 0.39, Macrophage:monocyte-derived:M-CSF/IFNg/Pam3Cys: 0.38, DC:monocyte-derived:LPS: 0.38, Macrophage:monocyte-derived:IFNa: 0.38, DC:monocyte-derived:AEC-conditioned: 0.38, DC:monocyte-derived:Poly(IC): 0.38, Macrophage:monocyte-derived:M-CSF: 0.38, DC:monocyte-derived:anti-DC-SIGN_2h: 0.38, Macrophage:monocyte-derived:S._aureus: 0.38, DC:monocyte-derived:Galectin-1: 0.38 |
T230_TGCGATAAGCCTCACG-1 | Macrophage:monocyte-derived:M-CSF/IFNg | 0.23 | 1287.08 | Raw ScoresMacrophage:monocyte-derived:M-CSF/IFNg: 0.46, Macrophage:monocyte-derived:M-CSF/IFNg/Pam3Cys: 0.45, DC:monocyte-derived:LPS: 0.45, DC:monocyte-derived:Galectin-1: 0.44, Macrophage:monocyte-derived:IFNa: 0.44, Macrophage:monocyte-derived:S._aureus: 0.44, DC:monocyte-derived:Poly(IC): 0.44, DC:monocyte-derived:antiCD40/VAF347: 0.44, DC:monocyte-derived:AEC-conditioned: 0.44, Macrophage:monocyte-derived:M-CSF: 0.44 |
T200_AGTACTGTCCCGTTCA-1 | Macrophage:monocyte-derived:M-CSF/IFNg | 0.18 | 1272.21 | Raw ScoresMacrophage:monocyte-derived:M-CSF/IFNg: 0.45, Macrophage:monocyte-derived:M-CSF: 0.44, DC:monocyte-derived:AEC-conditioned: 0.44, Monocyte:leukotriene_D4: 0.44, Monocyte:CD14+: 0.44, Monocyte:CD16-: 0.43, Monocyte:anti-FcgRIIB: 0.43, Monocyte:CD16+: 0.43, Monocyte: 0.43, DC:monocyte-derived:anti-DC-SIGN_2h: 0.43 |
T200_ACTGTGATCCTACTGC-1 | Macrophage:monocyte-derived:M-CSF/IFNg | 0.20 | 1260.35 | Raw ScoresMacrophage:monocyte-derived:M-CSF/IFNg: 0.46, Macrophage:monocyte-derived:M-CSF: 0.46, Monocyte:leukotriene_D4: 0.46, DC:monocyte-derived:anti-DC-SIGN_2h: 0.45, DC:monocyte-derived:AEC-conditioned: 0.45, Monocyte:anti-FcgRIIB: 0.45, DC:monocyte-derived:LPS: 0.45, Monocyte: 0.44, Macrophage:monocyte-derived:M-CSF/IFNg/Pam3Cys: 0.44, DC:monocyte-derived:Galectin-1: 0.44 |
T200_TAACCAGCATGGGTTT-1 | Monocyte:CD14+ | 0.20 | 1250.60 | Raw ScoresMacrophage:monocyte-derived:M-CSF/IFNg: 0.45, Monocyte:leukotriene_D4: 0.44, Monocyte:anti-FcgRIIB: 0.44, Monocyte:CD14+: 0.44, Macrophage:monocyte-derived:M-CSF: 0.44, Monocyte:CD16-: 0.44, Macrophage:monocyte-derived:M-CSF/IFNg/Pam3Cys: 0.44, DC:monocyte-derived:AEC-conditioned: 0.44, Monocyte: 0.43, Macrophage:monocyte-derived:IFNa: 0.43 |
T188_TTTCAGTGTAATGCGG-1 | Macrophage:monocyte-derived:M-CSF | 0.21 | 1236.46 | Raw ScoresMacrophage:monocyte-derived:M-CSF: 0.43, Macrophage:monocyte-derived:M-CSF/IFNg: 0.42, Macrophage:monocyte-derived:IL-4/Dex/TGFb: 0.41, Macrophage:monocyte-derived:IL-4/Dex/cntrl: 0.41, Monocyte:leukotriene_D4: 0.41, DC:monocyte-derived:anti-DC-SIGN_2h: 0.41, DC:monocyte-derived:AEC-conditioned: 0.41, Monocyte:CD16-: 0.4, Monocyte:anti-FcgRIIB: 0.4, Macrophage:monocyte-derived: 0.4 |
T200_TGTACAGCAACGACTT-1 | Monocyte:CD16+ | 0.19 | 1173.73 | Raw ScoresMacrophage:monocyte-derived:M-CSF/IFNg: 0.48, Macrophage:monocyte-derived:M-CSF/IFNg/Pam3Cys: 0.47, Macrophage:monocyte-derived:M-CSF: 0.47, Monocyte:leukotriene_D4: 0.47, Monocyte:CD16-: 0.47, Monocyte:CD14+: 0.47, Monocyte:anti-FcgRIIB: 0.46, Monocyte:CD16+: 0.46, DC:monocyte-derived:AEC-conditioned: 0.46, DC:monocyte-derived:anti-DC-SIGN_2h: 0.46 |
T200_ATACTTCTCATTACCT-1 | Macrophage:monocyte-derived:M-CSF/IFNg | 0.21 | 1163.10 | Raw ScoresMacrophage:monocyte-derived:M-CSF/IFNg: 0.45, Macrophage:monocyte-derived:M-CSF/IFNg/Pam3Cys: 0.45, Macrophage:monocyte-derived:M-CSF: 0.45, Monocyte:leukotriene_D4: 0.44, DC:monocyte-derived:AEC-conditioned: 0.44, DC:monocyte-derived:LPS: 0.43, Monocyte:anti-FcgRIIB: 0.43, DC:monocyte-derived:anti-DC-SIGN_2h: 0.43, Macrophage:monocyte-derived:IFNa: 0.43, DC:monocyte-derived:Poly(IC): 0.43 |
T200_TCACTCGCACTACCGG-1 | Monocyte:CD14+ | 0.18 | 1157.15 | Raw ScoresMacrophage:monocyte-derived:M-CSF/IFNg: 0.44, Monocyte:leukotriene_D4: 0.44, Macrophage:monocyte-derived:M-CSF: 0.44, Monocyte:CD16-: 0.43, Monocyte:CD14+: 0.43, Monocyte:anti-FcgRIIB: 0.43, Macrophage:monocyte-derived:M-CSF/IFNg/Pam3Cys: 0.43, DC:monocyte-derived:AEC-conditioned: 0.43, Monocyte: 0.43, DC:monocyte-derived:anti-DC-SIGN_2h: 0.43 |
T188_ACGGTCGCAAATGGTA-1 | Macrophage:monocyte-derived:M-CSF/IFNg | 0.18 | 1149.55 | Raw ScoresMacrophage:monocyte-derived:M-CSF: 0.41, DC:monocyte-derived:anti-DC-SIGN_2h: 0.41, Macrophage:monocyte-derived:M-CSF/IFNg: 0.41, Macrophage:monocyte-derived:M-CSF/IFNg/Pam3Cys: 0.4, DC:monocyte-derived:A._fumigatus_germ_tubes_6h: 0.4, DC:monocyte-derived:LPS: 0.4, Macrophage:monocyte-derived:IL-4/Dex/cntrl: 0.4, Macrophage:monocyte-derived:IL-4/Dex/TGFb: 0.4, Monocyte:leukotriene_D4: 0.4, DC:monocyte-derived:AEC-conditioned: 0.39 |
T230_ATGACCATCGATGCAT-1 | Macrophage:monocyte-derived:IL-4/Dex/TGFb | 0.19 | 1127.27 | Raw ScoresMacrophage:monocyte-derived:M-CSF: 0.47, Macrophage:monocyte-derived:M-CSF/IFNg: 0.46, Macrophage:monocyte-derived:IL-4/Dex/TGFb: 0.46, Macrophage:monocyte-derived:IL-4/Dex/cntrl: 0.46, Macrophage:monocyte-derived:IL-4/cntrl: 0.45, Macrophage:monocyte-derived:IL-4/TGFb: 0.45, DC:monocyte-derived:anti-DC-SIGN_2h: 0.45, DC:monocyte-derived:AEC-conditioned: 0.45, Monocyte:leukotriene_D4: 0.45, Macrophage:monocyte-derived: 0.45 |
T200_AACAACCTCAGGAAGC-1 | DC:monocyte-derived:AEC-conditioned | 0.13 | 1084.17 | Raw ScoresDC:monocyte-derived:AEC-conditioned: 0.4, Macrophage:monocyte-derived:IFNa: 0.39, Macrophage:monocyte-derived:M-CSF/IFNg: 0.39, Macrophage:monocyte-derived:M-CSF/IFNg/Pam3Cys: 0.38, Monocyte:CD16-: 0.38, DC:monocyte-derived:LPS: 0.38, Monocyte:leukotriene_D4: 0.38, Macrophage:monocyte-derived:M-CSF: 0.38, DC:monocyte-derived:anti-DC-SIGN_2h: 0.38, Pre-B_cell_CD34-: 0.38 |
T200_CGAGTGCGTAATGCGG-1 | Macrophage:monocyte-derived:M-CSF/IFNg/Pam3Cys | 0.18 | 1043.37 | Raw ScoresMacrophage:monocyte-derived:M-CSF/IFNg: 0.44, Macrophage:monocyte-derived:M-CSF: 0.44, Macrophage:monocyte-derived:M-CSF/IFNg/Pam3Cys: 0.43, Macrophage:monocyte-derived:IFNa: 0.43, DC:monocyte-derived:LPS: 0.43, Monocyte:anti-FcgRIIB: 0.43, DC:monocyte-derived:Galectin-1: 0.43, DC:monocyte-derived:AEC-conditioned: 0.43, DC:monocyte-derived:anti-DC-SIGN_2h: 0.43, Monocyte:leukotriene_D4: 0.42 |
T200_AAGCCATCACTAACGT-1 | Monocyte:CD16+ | 0.18 | 1038.58 | Raw ScoresMacrophage:monocyte-derived:M-CSF/IFNg: 0.47, Macrophage:monocyte-derived:M-CSF: 0.46, Monocyte:leukotriene_D4: 0.46, DC:monocyte-derived:AEC-conditioned: 0.46, Monocyte:anti-FcgRIIB: 0.45, Monocyte:CD16+: 0.45, Monocyte:CD16-: 0.45, Monocyte: 0.45, Monocyte:CD14+: 0.45, Macrophage:monocyte-derived:M-CSF/IFNg/Pam3Cys: 0.45 |
T188_TTAGGCATCACTACTT-1 | Macrophage:monocyte-derived:IL-4/Dex/TGFb | 0.16 | 915.27 | Raw ScoresMonocyte:leukotriene_D4: 0.41, Monocyte: 0.4, Macrophage:monocyte-derived:M-CSF/IFNg: 0.4, Macrophage:monocyte-derived:M-CSF: 0.4, Monocyte:anti-FcgRIIB: 0.4, DC:monocyte-derived:anti-DC-SIGN_2h: 0.4, Monocyte:CD16+: 0.4, Monocyte:CD14+: 0.39, Macrophage:monocyte-derived:M-CSF/IFNg/Pam3Cys: 0.39, Monocyte:CD16-: 0.39 |
T200_CCGTGAGAGGCACAAC-1 | DC:monocyte-derived:AEC-conditioned | 0.13 | 907.71 | Raw ScoresMacrophage:monocyte-derived:M-CSF/IFNg: 0.37, Macrophage:monocyte-derived:M-CSF: 0.37, Monocyte:CD16-: 0.37, Monocyte:leukotriene_D4: 0.36, Monocyte:anti-FcgRIIB: 0.36, DC:monocyte-derived:AEC-conditioned: 0.36, Monocyte:CD16+: 0.36, Monocyte:CD14+: 0.36, Macrophage:monocyte-derived:IFNa: 0.36, Monocyte: 0.36 |
T200_TCGCTCAAGCGATGAC-1 | Monocyte:CD16+ | 0.19 | 905.50 | Raw ScoresMacrophage:monocyte-derived:M-CSF/IFNg: 0.48, Monocyte:leukotriene_D4: 0.48, Macrophage:monocyte-derived:M-CSF/IFNg/Pam3Cys: 0.48, Macrophage:monocyte-derived:M-CSF: 0.48, Monocyte:anti-FcgRIIB: 0.47, Monocyte: 0.47, DC:monocyte-derived:AEC-conditioned: 0.47, Monocyte:CD16-: 0.47, Macrophage:monocyte-derived:M-CSF/Pam3Cys: 0.46, DC:monocyte-derived:anti-DC-SIGN_2h: 0.46 |
T200_GAAGGACAGGTATTGA-1 | Macrophage:monocyte-derived:M-CSF/IFNg | 0.22 | 883.21 | Raw ScoresMacrophage:monocyte-derived:M-CSF/IFNg: 0.47, Macrophage:monocyte-derived:M-CSF: 0.46, DC:monocyte-derived:AEC-conditioned: 0.46, DC:monocyte-derived:LPS: 0.45, Monocyte:leukotriene_D4: 0.45, Macrophage:monocyte-derived:M-CSF/IFNg/Pam3Cys: 0.45, DC:monocyte-derived:Galectin-1: 0.45, Macrophage:monocyte-derived:IL-4/Dex/cntrl: 0.45, Macrophage:monocyte-derived:IFNa: 0.45, Monocyte:anti-FcgRIIB: 0.44 |
T200_TCTCCGATCTGTCCCA-1 | Macrophage:monocyte-derived:M-CSF/IFNg | 0.19 | 881.91 | Raw ScoresMacrophage:monocyte-derived:M-CSF/IFNg: 0.41, Macrophage:monocyte-derived:IFNa: 0.4, Macrophage:monocyte-derived:M-CSF: 0.4, DC:monocyte-derived:LPS: 0.4, DC:monocyte-derived:Galectin-1: 0.4, Macrophage:Alveolar:B._anthacis_spores: 0.39, DC:monocyte-derived:Poly(IC): 0.39, DC:monocyte-derived:AEC-conditioned: 0.39, Monocyte:leukotriene_D4: 0.39, Macrophage:Alveolar: 0.39 |
T200_CCTAAGACACGACGTC-1 | Macrophage:monocyte-derived:M-CSF/IFNg | 0.20 | 866.85 | Raw ScoresMacrophage:monocyte-derived:M-CSF/IFNg: 0.46, Macrophage:monocyte-derived:M-CSF: 0.45, DC:monocyte-derived:AEC-conditioned: 0.45, Macrophage:monocyte-derived:IL-4/Dex/cntrl: 0.44, Macrophage:monocyte-derived:IFNa: 0.44, DC:monocyte-derived:LPS: 0.44, Macrophage:monocyte-derived:IL-4/Dex/TGFb: 0.44, DC:monocyte-derived:immature: 0.44, Monocyte:leukotriene_D4: 0.44, DC:monocyte-derived:Galectin-1: 0.44 |
T188_TTCGATTCAATCAGCT-1 | DC:monocyte-derived:anti-DC-SIGN_2h | 0.18 | 842.60 | Raw ScoresMacrophage:monocyte-derived:M-CSF/IFNg/Pam3Cys: 0.44, Macrophage:monocyte-derived:M-CSF: 0.43, Macrophage:monocyte-derived:M-CSF/IFNg: 0.43, Monocyte:leukotriene_D4: 0.42, DC:monocyte-derived:anti-DC-SIGN_2h: 0.42, DC:monocyte-derived:A._fumigatus_germ_tubes_6h: 0.42, Monocyte:CD16-: 0.42, Macrophage:monocyte-derived:M-CSF/Pam3Cys: 0.42, Monocyte: 0.42, Monocyte:anti-FcgRIIB: 0.42 |
T188_CAGTGCGAGCCTGACC-1 | Macrophage:monocyte-derived:IL-4/Dex/TGFb | 0.16 | 798.78 | Raw ScoresDC:monocyte-derived:anti-DC-SIGN_2h: 0.41, DC:monocyte-derived:A._fumigatus_germ_tubes_6h: 0.41, Macrophage:monocyte-derived:M-CSF/IFNg/Pam3Cys: 0.4, DC:monocyte-derived:antiCD40/VAF347: 0.4, Macrophage:monocyte-derived:M-CSF: 0.4, DC:monocyte-derived: 0.4, Macrophage:monocyte-derived:IL-4/Dex/TGFb: 0.4, Macrophage:monocyte-derived:IL-4/Dex/cntrl: 0.4, Macrophage:monocyte-derived:S._aureus: 0.4, Macrophage:Alveolar:B._anthacis_spores: 0.4 |
T200_GGGTGTCTCTTTCAGT-1 | DC:monocyte-derived:AEC-conditioned | 0.16 | 775.13 | Raw ScoresMacrophage:monocyte-derived:M-CSF/IFNg: 0.46, Macrophage:monocyte-derived:M-CSF: 0.45, Monocyte:leukotriene_D4: 0.45, Monocyte:CD16-: 0.45, Monocyte:CD16+: 0.45, Monocyte:CD14+: 0.45, DC:monocyte-derived:AEC-conditioned: 0.44, Monocyte:anti-FcgRIIB: 0.44, Monocyte: 0.44, DC:monocyte-derived:anti-DC-SIGN_2h: 0.44 |
T200_AATCACGGTGAGAGGG-1 | Macrophage:monocyte-derived:M-CSF | 0.19 | 760.60 | Raw ScoresMacrophage:monocyte-derived:M-CSF: 0.47, Macrophage:monocyte-derived:M-CSF/IFNg: 0.47, Monocyte:leukotriene_D4: 0.46, DC:monocyte-derived:AEC-conditioned: 0.46, Monocyte:anti-FcgRIIB: 0.46, Macrophage:monocyte-derived:IL-4/Dex/TGFb: 0.45, Monocyte: 0.45, Macrophage:monocyte-derived:IL-4/Dex/cntrl: 0.45, Macrophage:monocyte-derived: 0.45, Monocyte:CD16-: 0.45 |
T200_ATCACAGCAGCACAGA-1 | Macrophage:monocyte-derived:M-CSF/IFNg/Pam3Cys | 0.22 | 754.86 | Raw ScoresMacrophage:monocyte-derived:M-CSF/IFNg: 0.49, Macrophage:monocyte-derived:M-CSF/IFNg/Pam3Cys: 0.49, Macrophage:monocyte-derived:M-CSF: 0.49, DC:monocyte-derived:LPS: 0.49, DC:monocyte-derived:AEC-conditioned: 0.48, Macrophage:monocyte-derived:S._aureus: 0.48, DC:monocyte-derived:Galectin-1: 0.48, Monocyte:leukotriene_D4: 0.48, Macrophage:monocyte-derived:IFNa: 0.48, Macrophage:Alveolar:B._anthacis_spores: 0.48 |
T188_GAGTCTAAGGCACTCC-1 | Macrophage:monocyte-derived:IL-4/Dex/TGFb | 0.18 | 751.38 | Raw ScoresMacrophage:monocyte-derived:M-CSF: 0.41, Macrophage:monocyte-derived:M-CSF/IFNg: 0.41, DC:monocyte-derived:A._fumigatus_germ_tubes_6h: 0.41, Monocyte:leukotriene_D4: 0.41, Macrophage:monocyte-derived:M-CSF/IFNg/Pam3Cys: 0.41, DC:monocyte-derived:anti-DC-SIGN_2h: 0.41, DC:monocyte-derived:AEC-conditioned: 0.4, DC:monocyte-derived:antiCD40/VAF347: 0.4, Monocyte: 0.4, DC:monocyte-derived:LPS: 0.4 |
T214_TCAAGACGTGTCACAT-1 | Macrophage:monocyte-derived:IL-4/Dex/TGFb | 0.21 | 725.83 | Raw ScoresMacrophage:monocyte-derived:IL-4/Dex/cntrl: 0.45, Macrophage:monocyte-derived:M-CSF: 0.45, Macrophage:monocyte-derived:IL-4/Dex/TGFb: 0.44, Macrophage:monocyte-derived:M-CSF/IFNg: 0.44, Macrophage:monocyte-derived:IL-4/cntrl: 0.43, Macrophage:monocyte-derived:IL-4/TGFb: 0.43, DC:monocyte-derived: 0.43, DC:monocyte-derived:anti-DC-SIGN_2h: 0.42, Monocyte:leukotriene_D4: 0.42, DC:monocyte-derived:AEC-conditioned: 0.42 |
T200_CCCTGATGTGGCCCAT-1 | Macrophage:monocyte-derived:M-CSF/IFNg | 0.19 | 716.66 | Raw ScoresMacrophage:monocyte-derived:M-CSF/IFNg: 0.46, Macrophage:monocyte-derived:M-CSF: 0.45, DC:monocyte-derived:AEC-conditioned: 0.45, Monocyte:leukotriene_D4: 0.44, Macrophage:monocyte-derived:IL-4/Dex/cntrl: 0.44, Monocyte:anti-FcgRIIB: 0.44, Macrophage:monocyte-derived:IL-4/Dex/TGFb: 0.44, DC:monocyte-derived:immature: 0.44, DC:monocyte-derived:LPS: 0.43, DC:monocyte-derived:anti-DC-SIGN_2h: 0.43 |
T200_TGCATGATCTGTTGGA-1 | DC:monocyte-derived:anti-DC-SIGN_2h | 0.09 | 712.98 | Raw ScoresDC:monocyte-derived:anti-DC-SIGN_2h: 0.31, Macrophage:monocyte-derived:M-CSF: 0.31, Macrophage:monocyte-derived:M-CSF/IFNg: 0.31, DC:monocyte-derived:AEC-conditioned: 0.31, Monocyte:CD16-: 0.31, Macrophage:monocyte-derived:IFNa: 0.31, Macrophage:monocyte-derived:IL-4/Dex/TGFb: 0.3, Monocyte:anti-FcgRIIB: 0.3, Macrophage:monocyte-derived:IL-4/Dex/cntrl: 0.3, Monocyte:CD14+: 0.3 |
T188_TGCACGGCAAAGCACG-1 | DC:monocyte-derived:anti-DC-SIGN_2h | 0.19 | 676.97 | Raw ScoresMacrophage:monocyte-derived:M-CSF: 0.43, DC:monocyte-derived:anti-DC-SIGN_2h: 0.43, Macrophage:monocyte-derived:M-CSF/IFNg: 0.42, Monocyte:leukotriene_D4: 0.42, Macrophage:monocyte-derived:IL-4/Dex/cntrl: 0.42, Macrophage:monocyte-derived:IL-4/Dex/TGFb: 0.42, DC:monocyte-derived:AEC-conditioned: 0.42, Macrophage:monocyte-derived:M-CSF/IFNg/Pam3Cys: 0.41, Monocyte: 0.41, Monocyte:CD16-: 0.41 |
T200_AATCACGGTGTCGATT-1 | Macrophage:monocyte-derived:M-CSF/IFNg | 0.22 | 676.95 | Raw ScoresMacrophage:monocyte-derived:M-CSF/IFNg: 0.48, Macrophage:monocyte-derived:M-CSF: 0.46, Monocyte:leukotriene_D4: 0.46, Monocyte:anti-FcgRIIB: 0.46, Macrophage:monocyte-derived:M-CSF/IFNg/Pam3Cys: 0.45, DC:monocyte-derived:AEC-conditioned: 0.45, Macrophage:monocyte-derived:IFNa: 0.45, Monocyte: 0.45, Monocyte:CD16-: 0.45, DC:monocyte-derived:LPS: 0.45 |
T214_AGTTAGCAGCACACCC-1 | Macrophage:monocyte-derived:IL-4/Dex/TGFb | 0.17 | 674.09 | Raw ScoresMacrophage:monocyte-derived:M-CSF: 0.42, Macrophage:monocyte-derived:IL-4/Dex/TGFb: 0.42, Macrophage:monocyte-derived:IL-4/Dex/cntrl: 0.42, DC:monocyte-derived: 0.42, DC:monocyte-derived:anti-DC-SIGN_2h: 0.42, Macrophage:monocyte-derived:M-CSF/IFNg: 0.41, Macrophage:monocyte-derived:IL-4/TGFb: 0.41, Macrophage:monocyte-derived:IL-4/cntrl: 0.41, DC:monocyte-derived:AEC-conditioned: 0.4, Monocyte:leukotriene_D4: 0.4 |
T200_CAGGTATTCAACACCA-1 | Macrophage:monocyte-derived:M-CSF/IFNg | 0.19 | 661.74 | Raw ScoresMacrophage:monocyte-derived:M-CSF/IFNg: 0.47, Monocyte:leukotriene_D4: 0.46, Macrophage:monocyte-derived:M-CSF: 0.46, DC:monocyte-derived:AEC-conditioned: 0.45, Monocyte:anti-FcgRIIB: 0.45, Monocyte:CD16-: 0.45, Monocyte:CD16+: 0.45, Monocyte: 0.45, Monocyte:CD14+: 0.45, Macrophage:monocyte-derived:M-CSF/IFNg/Pam3Cys: 0.45 |
T200_TAAGTCGAGACGGATC-1 | Macrophage:monocyte-derived:M-CSF/IFNg | 0.22 | 657.18 | Raw ScoresMacrophage:monocyte-derived:M-CSF: 0.47, Macrophage:monocyte-derived:M-CSF/IFNg: 0.47, Monocyte:leukotriene_D4: 0.46, Macrophage:monocyte-derived:M-CSF/IFNg/Pam3Cys: 0.46, Monocyte:anti-FcgRIIB: 0.45, DC:monocyte-derived:AEC-conditioned: 0.45, Monocyte:CD16-: 0.45, Monocyte: 0.45, DC:monocyte-derived:LPS: 0.45, DC:monocyte-derived:anti-DC-SIGN_2h: 0.44 |
T200_CTGAGGCAGCTTCTAG-1 | Macrophage:monocyte-derived:M-CSF/IFNg | 0.15 | 648.50 | Raw ScoresMacrophage:monocyte-derived:M-CSF/IFNg: 0.38, DC:monocyte-derived:AEC-conditioned: 0.38, Monocyte:leukotriene_D4: 0.38, Macrophage:monocyte-derived:M-CSF: 0.37, Monocyte:CD14+: 0.37, Monocyte:anti-FcgRIIB: 0.37, Monocyte:CD16-: 0.37, DC:monocyte-derived:anti-DC-SIGN_2h: 0.37, Monocyte: 0.37, Monocyte:CD16+: 0.37 |
T200_ATCCTATCATAGGTTC-1 | Macrophage:monocyte-derived:M-CSF/IFNg | 0.20 | 644.29 | Raw ScoresMacrophage:monocyte-derived:M-CSF/IFNg: 0.48, Macrophage:monocyte-derived:M-CSF: 0.47, DC:monocyte-derived:LPS: 0.46, DC:monocyte-derived:AEC-conditioned: 0.46, Monocyte:anti-FcgRIIB: 0.46, Monocyte:leukotriene_D4: 0.46, Macrophage:monocyte-derived:M-CSF/IFNg/Pam3Cys: 0.45, Monocyte: 0.45, DC:monocyte-derived:Galectin-1: 0.45, DC:monocyte-derived:Poly(IC): 0.45 |
T188_AGTTAGCGTCCGAAGA-1 | Macrophage:monocyte-derived:IL-4/Dex/TGFb | 0.18 | 637.88 | Raw ScoresMacrophage:monocyte-derived:M-CSF: 0.43, Macrophage:monocyte-derived:M-CSF/IFNg: 0.42, DC:monocyte-derived:anti-DC-SIGN_2h: 0.42, Macrophage:monocyte-derived:M-CSF/IFNg/Pam3Cys: 0.42, Macrophage:monocyte-derived:IL-4/Dex/cntrl: 0.42, Macrophage:monocyte-derived:IL-4/Dex/TGFb: 0.42, DC:monocyte-derived:AEC-conditioned: 0.42, Monocyte:leukotriene_D4: 0.41, DC:monocyte-derived:LPS: 0.41, DC:monocyte-derived: 0.41 |
T200_ACCTGAAAGGGTGAGG-1 | DC:monocyte-derived:AEC-conditioned | 0.14 | 636.86 | Raw ScoresMacrophage:monocyte-derived:M-CSF: 0.36, Monocyte:CD16-: 0.36, Macrophage:monocyte-derived:M-CSF/IFNg: 0.36, DC:monocyte-derived:AEC-conditioned: 0.36, DC:monocyte-derived:anti-DC-SIGN_2h: 0.36, Monocyte:leukotriene_D4: 0.36, Monocyte:CD14+: 0.36, DC:monocyte-derived:LPS: 0.35, Macrophage:monocyte-derived:IL-4/Dex/TGFb: 0.35, Monocyte:CD16+: 0.35 |
T200_GGTGTCGTCCTTTGAT-1 | Macrophage:monocyte-derived:M-CSF/IFNg | 0.23 | 634.52 | Raw ScoresMacrophage:monocyte-derived:M-CSF/IFNg: 0.49, Macrophage:monocyte-derived:M-CSF/IFNg/Pam3Cys: 0.49, DC:monocyte-derived:Poly(IC): 0.48, Macrophage:monocyte-derived:M-CSF: 0.48, DC:monocyte-derived:LPS: 0.48, DC:monocyte-derived:AEC-conditioned: 0.47, Macrophage:monocyte-derived:IFNa: 0.47, DC:monocyte-derived:Galectin-1: 0.47, Monocyte:anti-FcgRIIB: 0.47, Monocyte:leukotriene_D4: 0.47 |
T200_GTGAGTTGTACTGCGC-1 | Macrophage:monocyte-derived:M-CSF/IFNg | 0.20 | 632.72 | Raw ScoresMacrophage:monocyte-derived:M-CSF/IFNg: 0.49, Macrophage:monocyte-derived:M-CSF: 0.48, Monocyte:leukotriene_D4: 0.47, Monocyte:CD16-: 0.47, Monocyte:anti-FcgRIIB: 0.47, DC:monocyte-derived:AEC-conditioned: 0.46, Macrophage:monocyte-derived:M-CSF/IFNg/Pam3Cys: 0.46, Monocyte:CD16+: 0.46, Monocyte:CD14+: 0.46, Monocyte: 0.46 |
T200_TCAAGTGGTGATGGCA-1 | Macrophage:monocyte-derived:M-CSF/IFNg | 0.21 | 627.70 | Raw ScoresMacrophage:monocyte-derived:M-CSF: 0.49, Macrophage:monocyte-derived:M-CSF/IFNg: 0.48, Monocyte:leukotriene_D4: 0.48, DC:monocyte-derived:AEC-conditioned: 0.47, Monocyte:anti-FcgRIIB: 0.47, Monocyte: 0.46, Macrophage:monocyte-derived:M-CSF/IFNg/Pam3Cys: 0.46, DC:monocyte-derived:anti-DC-SIGN_2h: 0.46, DC:monocyte-derived:Poly(IC): 0.45, DC:monocyte-derived:LPS: 0.45 |
T200_GGGTGAATCCGACATA-1 | Macrophage:monocyte-derived:M-CSF/IFNg | 0.17 | 615.47 | Raw ScoresMacrophage:monocyte-derived:M-CSF: 0.45, Macrophage:monocyte-derived:M-CSF/IFNg: 0.44, Monocyte:leukotriene_D4: 0.44, DC:monocyte-derived:AEC-conditioned: 0.43, Macrophage:monocyte-derived:IL-4/Dex/cntrl: 0.43, Macrophage:monocyte-derived:IL-4/Dex/TGFb: 0.43, Monocyte: 0.43, DC:monocyte-derived:anti-DC-SIGN_2h: 0.43, Monocyte:CD16+: 0.42, Monocyte:CD16-: 0.42 |
T200_CTCAGAATCCGATTAG-1 | Monocyte:CD16+ | 0.11 | 592.46 | Raw ScoresMacrophage:monocyte-derived:M-CSF/IFNg: 0.35, DC:monocyte-derived:AEC-conditioned: 0.34, Macrophage:monocyte-derived:M-CSF: 0.34, Monocyte:leukotriene_D4: 0.34, DC:monocyte-derived:LPS: 0.34, DC:monocyte-derived:anti-DC-SIGN_2h: 0.34, Macrophage:monocyte-derived:IL-4/Dex/TGFb: 0.33, Macrophage:monocyte-derived:IFNa: 0.33, Macrophage:monocyte-derived:M-CSF/IFNg/Pam3Cys: 0.33, DC:monocyte-derived:Poly(IC): 0.33 |
T200_ACTGTGACATAGCACT-1 | DC:monocyte-derived:AEC-conditioned | 0.15 | 586.31 | Raw ScoresDC:monocyte-derived:AEC-conditioned: 0.39, Macrophage:monocyte-derived:M-CSF/IFNg: 0.39, Macrophage:monocyte-derived:M-CSF: 0.39, DC:monocyte-derived:LPS: 0.38, Macrophage:monocyte-derived:IFNa: 0.38, Macrophage:monocyte-derived:M-CSF/IFNg/Pam3Cys: 0.38, Monocyte:leukotriene_D4: 0.38, DC:monocyte-derived:anti-DC-SIGN_2h: 0.38, Monocyte:anti-FcgRIIB: 0.38, Macrophage:Alveolar:B._anthacis_spores: 0.38 |
Below shows the significant enrichments of this GEP for literature curated gene lists
This data was procured from existing single cell RNA-seq maps of neuroblastoma or related relevant data.
High ranks indicate this gene is a driver of this GEP.
These curated gene list are ranked by the P-value (on this GEP) of their constituent genes.
The Mean Count column shows the mean read count in cells scoring highly (H > 50) on this gene expression program.
Genes | Weight | Rank | GTEx | DepMap | Decartes | Mean.Counts | Mean.TPM |
---|---|---|---|---|---|---|---|
CD14 | 0.0043031 | 14 | GTEx | DepMap | Descartes | 9.04 | 1277.56 |
CXCL16 | 0.0036238 | 27 | GTEx | DepMap | Descartes | 2.07 | 209.99 |
TNF | 0.0035490 | 32 | GTEx | DepMap | Descartes | 1.49 | 195.94 |
TLR4 | 0.0021696 | 115 | GTEx | DepMap | Descartes | 0.39 | 6.84 |
IL18 | 0.0018670 | 164 | GTEx | DepMap | Descartes | 1.80 | 211.35 |
IL1B | 0.0013639 | 250 | GTEx | DepMap | Descartes | 9.53 | 1238.66 |
CCL2 | 0.0008576 | 443 | GTEx | DepMap | Descartes | 2.65 | 653.02 |
CD80 | 0.0006457 | 589 | GTEx | DepMap | Descartes | 0.12 | 8.00 |
ITGAX | 0.0003408 | 997 | GTEx | DepMap | Descartes | 0.53 | 23.91 |
IL33 | -0.0000534 | 4766 | GTEx | DepMap | Descartes | 0.01 | 0.29 |
CCL5 | -0.0000875 | 6060 | GTEx | DepMap | Descartes | 0.82 | 154.78 |
Inflammatory CAF
These marker genes were curated across cancer subtypes in multiple organ systems as reviewed in Lavie et. al. (PMID 35883004) and contain inflammatory specific CAF genes:
Wilcoxon ranksum test P-value for gene set overrepresentation: 1.11e-04
Mean rank of genes in gene set: 3602.04
Rank on gene expression program of genes in gene set:
Genes | Weight | Rank | GTEx | DepMap | Decartes | Mean.Counts | Mean.TPM |
---|---|---|---|---|---|---|---|
C3 | 0.0028644 | 57 | GTEx | DepMap | Descartes | 0.97 | 46.76 |
IL10 | 0.0027023 | 69 | GTEx | DepMap | Descartes | 0.88 | 90.70 |
SERPING1 | 0.0020210 | 142 | GTEx | DepMap | Descartes | 1.14 | 111.02 |
CXCL2 | 0.0017998 | 176 | GTEx | DepMap | Descartes | 6.63 | 1340.59 |
IGF1 | 0.0014935 | 224 | GTEx | DepMap | Descartes | 0.56 | 19.37 |
CFD | 0.0014003 | 240 | GTEx | DepMap | Descartes | 2.48 | 410.91 |
CXCL12 | 0.0013796 | 245 | GTEx | DepMap | Descartes | 0.49 | 35.14 |
SOD2 | 0.0012218 | 286 | GTEx | DepMap | Descartes | 4.65 | 73.95 |
CCL2 | 0.0008576 | 443 | GTEx | DepMap | Descartes | 2.65 | 653.02 |
PDPN | 0.0003735 | 939 | GTEx | DepMap | Descartes | 0.10 | 8.72 |
GPX3 | 0.0001838 | 1430 | GTEx | DepMap | Descartes | 0.18 | 22.03 |
CFB | 0.0001066 | 1791 | GTEx | DepMap | Descartes | 0.01 | 1.05 |
CXCL14 | -0.0000380 | 4210 | GTEx | DepMap | Descartes | 0.02 | 1.71 |
LIF | -0.0000469 | 4547 | GTEx | DepMap | Descartes | 0.01 | 1.11 |
HGF | -0.0000523 | 4732 | GTEx | DepMap | Descartes | 0.17 | 5.01 |
IL33 | -0.0000534 | 4766 | GTEx | DepMap | Descartes | 0.01 | 0.29 |
PDGFRB | -0.0000645 | 5169 | GTEx | DepMap | Descartes | 0.05 | 1.56 |
SCARA5 | -0.0000759 | 5634 | GTEx | DepMap | Descartes | 0.00 | 0.12 |
IGFBP6 | -0.0000774 | 5690 | GTEx | DepMap | Descartes | 0.25 | 49.17 |
C7 | -0.0000903 | 6171 | GTEx | DepMap | Descartes | 0.01 | 0.34 |
SCARA3 | -0.0001113 | 7027 | GTEx | DepMap | Descartes | 0.01 | 0.37 |
PDGFD | -0.0001345 | 7826 | GTEx | DepMap | Descartes | 0.00 | 0.15 |
RGMA | -0.0001491 | 8306 | GTEx | DepMap | Descartes | 0.02 | 0.30 |
PDGFRA | -0.0001933 | 9513 | GTEx | DepMap | Descartes | 0.05 | 1.37 |
IL1R1 | -0.0002361 | 10418 | GTEx | DepMap | Descartes | 0.03 | 1.14 |
M-MDSC
These marker genes were curated for MDSC subtypes as reviewed in Veglia et. al. (PMID 33526920):
Wilcoxon ranksum test P-value for gene set overrepresentation: 4.38e-04
Mean rank of genes in gene set: 3164.27
Rank on gene expression program of genes in gene set:
Genes | Weight | Rank | GTEx | DepMap | Decartes | Mean.Counts | Mean.TPM |
---|---|---|---|---|---|---|---|
CD14 | 0.0043031 | 14 | GTEx | DepMap | Descartes | 9.04 | 1277.56 |
TNF | 0.0035490 | 32 | GTEx | DepMap | Descartes | 1.49 | 195.94 |
IL10 | 0.0027023 | 69 | GTEx | DepMap | Descartes | 0.88 | 90.70 |
CD84 | 0.0017730 | 179 | GTEx | DepMap | Descartes | 0.91 | 23.28 |
IL1B | 0.0013639 | 250 | GTEx | DepMap | Descartes | 9.53 | 1238.66 |
HIF1A | 0.0009972 | 372 | GTEx | DepMap | Descartes | 1.05 | 62.77 |
TGFB1 | 0.0005031 | 741 | GTEx | DepMap | Descartes | 0.88 | 70.32 |
CD274 | 0.0004438 | 818 | GTEx | DepMap | Descartes | 0.06 | 3.72 |
TNFRSF10B | 0.0000129 | 2747 | GTEx | DepMap | Descartes | 0.19 | 9.61 |
ARG1 | -0.0000095 | 3256 | GTEx | DepMap | Descartes | 0.00 | 0.00 |
NOS2 | -0.0000118 | 3323 | GTEx | DepMap | Descartes | 0.00 | 0.00 |
CD36 | -0.0000380 | 4211 | GTEx | DepMap | Descartes | 0.71 | 24.74 |
VEGFA | -0.0001946 | 9544 | GTEx | DepMap | Descartes | 0.45 | 8.26 |
ARG2 | -0.0002384 | 10456 | GTEx | DepMap | Descartes | 0.06 | 6.47 |
STAT3 | -0.0003216 | 11452 | GTEx | DepMap | Descartes | 0.77 | 30.82 |
Below shows ranks on this GEP for literature curated gene lists for large gene sets
These include those reported as mesenchymal/adrenergic by Van Groningen et al.
High ranks indicate this gene is a driver of this GEP (note these results are not ordered).
The Mean Count column shows the mean read count in cells scoring highly (H > 50) on this gene expression program.
VanGroningen Adrenergic Genes
Adrenergic marker genes from Supplementary Table 2 of Van Groningen et al. Nature Genetics 2017. These genes were identified by differential expression analysis of mesenchymal-like and adrenergic-like neuroblastoma cell lines.
Wilcoxon ranksum test P-value for gene set overrepresentation: 1.00e+00
Mean rank of genes in gene set: 10399.42
Median rank of genes in gene set: 11326
Rank on gene expression program of top 30 genes in gene set:
Genes | Weight | Rank | GTEx | DepMap | Descartes | Mean.Counts | Mean.TPM |
---|---|---|---|---|---|---|---|
LYN | 0.0021492 | 119 | GTEx | DepMap | Descartes | 1.03 | 38.78 |
GLRX | 0.0012211 | 287 | GTEx | DepMap | Descartes | 1.78 | 107.50 |
UCP2 | 0.0009370 | 403 | GTEx | DepMap | Descartes | 2.25 | 226.55 |
CXCR4 | 0.0006011 | 625 | GTEx | DepMap | Descartes | 3.38 | 436.58 |
DAPK1 | 0.0004936 | 754 | GTEx | DepMap | Descartes | 0.32 | 10.94 |
ST3GAL6 | 0.0003665 | 952 | GTEx | DepMap | Descartes | 0.29 | 18.16 |
CELF2 | 0.0002900 | 1112 | GTEx | DepMap | Descartes | 0.64 | 18.48 |
MYO5A | 0.0001770 | 1458 | GTEx | DepMap | Descartes | 0.23 | 4.33 |
ATP6V1B2 | 0.0001506 | 1565 | GTEx | DepMap | Descartes | 0.96 | 27.89 |
ARL6IP1 | 0.0000734 | 2030 | GTEx | DepMap | Descartes | 1.36 | 127.02 |
AP1S2 | 0.0000730 | 2034 | GTEx | DepMap | Descartes | 1.29 | 80.45 |
NFIL3 | -0.0000298 | 3940 | GTEx | DepMap | Descartes | 0.35 | 38.50 |
ANP32A | -0.0000300 | 3948 | GTEx | DepMap | Descartes | 0.86 | 47.00 |
TIAM1 | -0.0000521 | 4720 | GTEx | DepMap | Descartes | 0.09 | 2.73 |
EML4 | -0.0000568 | 4893 | GTEx | DepMap | Descartes | 0.36 | 13.96 |
GLDC | -0.0000612 | 5055 | GTEx | DepMap | Descartes | 0.01 | 0.17 |
SETD7 | -0.0000638 | 5149 | GTEx | DepMap | Descartes | 0.10 | 2.96 |
INO80C | -0.0000660 | 5240 | GTEx | DepMap | Descartes | 0.16 | 11.04 |
RBBP8 | -0.0000701 | 5398 | GTEx | DepMap | Descartes | 0.11 | 6.24 |
BEND4 | -0.0000709 | 5437 | GTEx | DepMap | Descartes | 0.00 | 0.11 |
SHC3 | -0.0000713 | 5449 | GTEx | DepMap | Descartes | 0.01 | 0.09 |
STRA6 | -0.0000892 | 6129 | GTEx | DepMap | Descartes | 0.01 | 0.32 |
POPDC3 | -0.0000938 | 6311 | GTEx | DepMap | Descartes | 0.01 | 0.69 |
TBC1D30 | -0.0001052 | 6787 | GTEx | DepMap | Descartes | 0.03 | 0.75 |
RET | -0.0001092 | 6953 | GTEx | DepMap | Descartes | 0.02 | 0.43 |
ESRRG | -0.0001098 | 6973 | GTEx | DepMap | Descartes | 0.01 | 0.28 |
FAM167A | -0.0001128 | 7074 | GTEx | DepMap | Descartes | 0.01 | 0.36 |
LEPROTL1 | -0.0001153 | 7169 | GTEx | DepMap | Descartes | 0.79 | 52.37 |
PRIM1 | -0.0001198 | 7334 | GTEx | DepMap | Descartes | 0.08 | 8.65 |
DIABLO | -0.0001218 | 7402 | GTEx | DepMap | Descartes | 0.03 | 1.70 |
VanGroningen Mesenchymal Genes
Mesenchymal marker genes from Supplementary Table 2 of Van Groningen et al. Nature Genetics 2017. These genes were identified by differential expression analysis of mesenchymal-like and adrenergic-like neuroblastoma cell lines.
Wilcoxon ranksum test P-value for gene set overrepresentation: 3.58e-14
Mean rank of genes in gene set: 4997.63
Median rank of genes in gene set: 4439
Rank on gene expression program of top 30 genes in gene set:
Genes | Weight | Rank | GTEx | DepMap | Descartes | Mean.Counts | Mean.TPM |
---|---|---|---|---|---|---|---|
APOE | 0.0048557 | 4 | GTEx | DepMap | Descartes | 111.84 | 19982.59 |
CTSC | 0.0045505 | 8 | GTEx | DepMap | Descartes | 6.69 | 215.02 |
GRN | 0.0044949 | 10 | GTEx | DepMap | Descartes | 9.02 | 866.07 |
ITM2B | 0.0041823 | 17 | GTEx | DepMap | Descartes | 13.56 | 309.41 |
NPC2 | 0.0038508 | 20 | GTEx | DepMap | Descartes | 10.69 | 1683.04 |
CREG1 | 0.0037000 | 25 | GTEx | DepMap | Descartes | 3.29 | 354.41 |
B2M | 0.0033605 | 39 | GTEx | DepMap | Descartes | 118.31 | 10721.59 |
HNMT | 0.0032551 | 41 | GTEx | DepMap | Descartes | 1.20 | 85.77 |
SGK1 | 0.0032475 | 42 | GTEx | DepMap | Descartes | 4.09 | 168.95 |
ZFP36L1 | 0.0025804 | 74 | GTEx | DepMap | Descartes | 3.85 | 295.58 |
RGS10 | 0.0023662 | 88 | GTEx | DepMap | Descartes | 3.65 | 889.13 |
HEXB | 0.0023294 | 91 | GTEx | DepMap | Descartes | 1.30 | 144.35 |
PLXDC2 | 0.0023234 | 92 | GTEx | DepMap | Descartes | 0.70 | 13.47 |
PPT1 | 0.0022898 | 99 | GTEx | DepMap | Descartes | 1.82 | 99.82 |
HES1 | 0.0021535 | 118 | GTEx | DepMap | Descartes | 1.53 | 183.77 |
KLF4 | 0.0020708 | 134 | GTEx | DepMap | Descartes | 2.06 | 168.74 |
LIPA | 0.0020651 | 136 | GTEx | DepMap | Descartes | 3.38 | 279.58 |
IL13RA1 | 0.0019951 | 147 | GTEx | DepMap | Descartes | 0.54 | 30.87 |
PLSCR1 | 0.0019809 | 149 | GTEx | DepMap | Descartes | 1.38 | 151.99 |
KCTD12 | 0.0019109 | 159 | GTEx | DepMap | Descartes | 0.80 | 29.97 |
SH3BGRL | 0.0017051 | 191 | GTEx | DepMap | Descartes | 2.12 | 263.39 |
CD63 | 0.0016051 | 207 | GTEx | DepMap | Descartes | 11.43 | 2013.84 |
TNFRSF1A | 0.0016030 | 208 | GTEx | DepMap | Descartes | 0.66 | 69.53 |
SDCBP | 0.0015003 | 223 | GTEx | DepMap | Descartes | 3.20 | 186.59 |
CMTM6 | 0.0014183 | 237 | GTEx | DepMap | Descartes | 1.50 | 103.22 |
IFITM3 | 0.0013924 | 242 | GTEx | DepMap | Descartes | 7.00 | 2137.27 |
DSE | 0.0013894 | 243 | GTEx | DepMap | Descartes | 0.46 | 10.55 |
CXCL12 | 0.0013796 | 245 | GTEx | DepMap | Descartes | 0.49 | 35.14 |
KLF6 | 0.0013431 | 256 | GTEx | DepMap | Descartes | 6.67 | 357.31 |
A2M | 0.0013324 | 258 | GTEx | DepMap | Descartes | 1.40 | 68.93 |
Descartes adrenocortical markers
Top 50 marker genes of adrenocortical cells in the Decartes fetal adrenal single cell map (https://atlas.brotmanbaty.org/bbi/human-gene-expression-during-development/cell/adrenocortical/in/adrenal)
Wilcoxon ranksum test P-value for gene set overrepresentation: 9.76e-01
Mean rank of genes in gene set: 7469.83
Median rank of genes in gene set: 8461.5
Rank on gene expression program of top 30 genes in gene set:
Genes | Weight | Rank | GTEx | DepMap | Descartes | Mean.Counts | Mean.TPM |
---|---|---|---|---|---|---|---|
APOC1 | 0.0027202 | 68 | GTEx | DepMap | Descartes | 42.58 | 12007.64 |
NPC1 | 0.0003540 | 970 | GTEx | DepMap | Descartes | 0.13 | 5.47 |
SCARB1 | 0.0002575 | 1198 | GTEx | DepMap | Descartes | 0.20 | 7.28 |
POR | 0.0001358 | 1630 | GTEx | DepMap | Descartes | 0.38 | 32.09 |
SH3PXD2B | 0.0000554 | 2186 | GTEx | DepMap | Descartes | 0.06 | 1.80 |
ERN1 | 0.0000020 | 2953 | GTEx | DepMap | Descartes | 0.31 | 8.17 |
GRAMD1B | -0.0000140 | 3412 | GTEx | DepMap | Descartes | 0.05 | 1.15 |
BAIAP2L1 | -0.0000155 | 3452 | GTEx | DepMap | Descartes | 0.00 | 0.10 |
CYB5B | -0.0000339 | 4090 | GTEx | DepMap | Descartes | 0.23 | 11.53 |
INHA | -0.0000404 | 4318 | GTEx | DepMap | Descartes | 0.00 | 0.28 |
STAR | -0.0000421 | 4386 | GTEx | DepMap | Descartes | 0.00 | 0.22 |
FDXR | -0.0000659 | 5235 | GTEx | DepMap | Descartes | 0.08 | 6.13 |
FDX1 | -0.0000730 | 5511 | GTEx | DepMap | Descartes | 0.50 | 31.75 |
FREM2 | -0.0000732 | 5517 | GTEx | DepMap | Descartes | 0.00 | 0.01 |
SGCZ | -0.0001016 | 6631 | GTEx | DepMap | Descartes | 0.00 | 0.00 |
SCAP | -0.0001137 | 7110 | GTEx | DepMap | Descartes | 0.11 | 4.64 |
SLC16A9 | -0.0001410 | 8057 | GTEx | DepMap | Descartes | 0.02 | 0.96 |
FRMD5 | -0.0001451 | 8185 | GTEx | DepMap | Descartes | 0.01 | 0.21 |
DHCR24 | -0.0001627 | 8738 | GTEx | DepMap | Descartes | 0.02 | 0.76 |
DHCR7 | -0.0001717 | 8961 | GTEx | DepMap | Descartes | 0.06 | 4.36 |
PDE10A | -0.0001889 | 9406 | GTEx | DepMap | Descartes | 0.02 | 0.31 |
MSMO1 | -0.0002085 | 9879 | GTEx | DepMap | Descartes | 0.07 | 7.20 |
HMGCS1 | -0.0002181 | 10085 | GTEx | DepMap | Descartes | 0.13 | 5.19 |
PAPSS2 | -0.0002226 | 10180 | GTEx | DepMap | Descartes | 0.17 | 7.81 |
SLC1A2 | -0.0002389 | 10465 | GTEx | DepMap | Descartes | 0.03 | 0.34 |
HMGCR | -0.0002428 | 10530 | GTEx | DepMap | Descartes | 0.08 | 3.44 |
DNER | -0.0002599 | 10783 | GTEx | DepMap | Descartes | 0.02 | 1.01 |
TM7SF2 | -0.0002658 | 10877 | GTEx | DepMap | Descartes | 0.10 | 9.19 |
IGF1R | -0.0002777 | 11049 | GTEx | DepMap | Descartes | 0.06 | 0.85 |
PEG3 | -0.0003382 | 11580 | GTEx | DepMap | Descartes | 0.05 | NA |
Descartes chromaffin markers
Top 50 marker genes of chromaffin cells in the Decartes fetal adrenal single cell map (https://atlas.brotmanbaty.org/bbi/human-gene-expression-during-development/cell/chromaffin/in/adrenal)
Wilcoxon ranksum test P-value for gene set overrepresentation: 1.00e+00
Mean rank of genes in gene set: 10785.61
Median rank of genes in gene set: 11594
Rank on gene expression program of top 30 genes in gene set:
Genes | Weight | Rank | GTEx | DepMap | Descartes | Mean.Counts | Mean.TPM |
---|---|---|---|---|---|---|---|
EPHA6 | -0.0001009 | 6604 | GTEx | DepMap | Descartes | 0.01 | 0.23 |
RPH3A | -0.0001131 | 7086 | GTEx | DepMap | Descartes | 0.01 | 0.60 |
ANKFN1 | -0.0001251 | 7517 | GTEx | DepMap | Descartes | 0.00 | 0.13 |
SLC44A5 | -0.0001321 | 7732 | GTEx | DepMap | Descartes | 0.01 | 0.47 |
GREM1 | -0.0001407 | 8043 | GTEx | DepMap | Descartes | 0.01 | 0.09 |
ALK | -0.0001479 | 8262 | GTEx | DepMap | Descartes | 0.02 | 0.58 |
HS3ST5 | -0.0001516 | 8398 | GTEx | DepMap | Descartes | 0.01 | 0.52 |
FAT3 | -0.0001707 | 8932 | GTEx | DepMap | Descartes | 0.02 | 0.12 |
KCNB2 | -0.0001772 | 9114 | GTEx | DepMap | Descartes | 0.01 | 0.56 |
RYR2 | -0.0001892 | 9416 | GTEx | DepMap | Descartes | 0.02 | 0.14 |
EYA1 | -0.0002052 | 9790 | GTEx | DepMap | Descartes | 0.02 | 0.89 |
EYA4 | -0.0002103 | 9915 | GTEx | DepMap | Descartes | 0.02 | 0.34 |
PTCHD1 | -0.0002142 | 9998 | GTEx | DepMap | Descartes | 0.01 | 0.08 |
CNKSR2 | -0.0002224 | 10176 | GTEx | DepMap | Descartes | 0.02 | 0.23 |
PLXNA4 | -0.0002353 | 10411 | GTEx | DepMap | Descartes | 0.03 | 0.41 |
TMEM132C | -0.0002360 | 10417 | GTEx | DepMap | Descartes | 0.01 | 0.39 |
SLC6A2 | -0.0002416 | 10515 | GTEx | DepMap | Descartes | 0.03 | 1.07 |
SYNPO2 | -0.0002651 | 10865 | GTEx | DepMap | Descartes | 0.08 | 0.78 |
TMEFF2 | -0.0003040 | 11309 | GTEx | DepMap | Descartes | 0.05 | 2.59 |
RBFOX1 | -0.0003268 | 11493 | GTEx | DepMap | Descartes | 0.02 | 0.72 |
REEP1 | -0.0003396 | 11594 | GTEx | DepMap | Descartes | 0.05 | 1.95 |
NTRK1 | -0.0003417 | 11607 | GTEx | DepMap | Descartes | 0.07 | 3.45 |
RGMB | -0.0003630 | 11739 | GTEx | DepMap | Descartes | 0.07 | 2.70 |
IL7 | -0.0003687 | 11779 | GTEx | DepMap | Descartes | 0.05 | 4.99 |
GAL | -0.0003799 | 11841 | GTEx | DepMap | Descartes | 0.18 | 41.08 |
NPY | -0.0004373 | 12114 | GTEx | DepMap | Descartes | 2.88 | 579.07 |
MAB21L2 | -0.0004449 | 12135 | GTEx | DepMap | Descartes | 0.12 | 5.85 |
CNTFR | -0.0004473 | 12142 | GTEx | DepMap | Descartes | 0.11 | 8.29 |
MAB21L1 | -0.0004604 | 12174 | GTEx | DepMap | Descartes | 0.14 | 7.14 |
ELAVL2 | -0.0004776 | 12210 | GTEx | DepMap | Descartes | 0.11 | 4.17 |
Descartes Vascular_endothelial markers
Top 50 marker genes of Vascular_endothelial cells in the Decartes fetal adrenal single cell map (https://atlas.brotmanbaty.org/bbi/human-gene-expression-during-development/cell/vascular_endothelial/in/adrenal)
Wilcoxon ranksum test P-value for gene set overrepresentation: 9.97e-01
Mean rank of genes in gene set: 7893.74
Median rank of genes in gene set: 8096.5
Rank on gene expression program of top 30 genes in gene set:
Genes | Weight | Rank | GTEx | DepMap | Descartes | Mean.Counts | Mean.TPM |
---|---|---|---|---|---|---|---|
CRHBP | 0.0011931 | 298 | GTEx | DepMap | Descartes | 0.10 | 13.02 |
NR5A2 | 0.0000913 | 1906 | GTEx | DepMap | Descartes | 0.00 | 0.06 |
F8 | 0.0000678 | 2072 | GTEx | DepMap | Descartes | 0.02 | 0.47 |
NPR1 | -0.0000166 | 3486 | GTEx | DepMap | Descartes | 0.00 | 0.19 |
CEACAM1 | -0.0000179 | 3529 | GTEx | DepMap | Descartes | 0.01 | 0.70 |
ESM1 | -0.0000334 | 4072 | GTEx | DepMap | Descartes | 0.03 | 1.00 |
TMEM88 | -0.0000350 | 4130 | GTEx | DepMap | Descartes | 0.14 | 34.73 |
BTNL9 | -0.0000447 | 4464 | GTEx | DepMap | Descartes | 0.01 | 0.21 |
CLDN5 | -0.0000653 | 5204 | GTEx | DepMap | Descartes | 0.08 | 5.84 |
SHANK3 | -0.0000797 | 5769 | GTEx | DepMap | Descartes | 0.01 | 0.16 |
ROBO4 | -0.0000961 | 6387 | GTEx | DepMap | Descartes | 0.02 | 0.50 |
EHD3 | -0.0001022 | 6653 | GTEx | DepMap | Descartes | 0.01 | 0.15 |
CDH13 | -0.0001101 | 6985 | GTEx | DepMap | Descartes | 0.01 | 0.15 |
IRX3 | -0.0001165 | 7218 | GTEx | DepMap | Descartes | 0.01 | 0.64 |
RASIP1 | -0.0001197 | 7328 | GTEx | DepMap | Descartes | 0.02 | 0.75 |
SHE | -0.0001235 | 7458 | GTEx | DepMap | Descartes | 0.01 | 0.49 |
KANK3 | -0.0001331 | 7778 | GTEx | DepMap | Descartes | 0.01 | 0.44 |
MYRIP | -0.0001334 | 7788 | GTEx | DepMap | Descartes | 0.01 | 0.14 |
CYP26B1 | -0.0001386 | 7957 | GTEx | DepMap | Descartes | 0.01 | 0.36 |
FLT4 | -0.0001470 | 8236 | GTEx | DepMap | Descartes | 0.01 | 0.10 |
GALNT15 | -0.0001557 | 8508 | GTEx | DepMap | Descartes | 0.01 | NA |
CALCRL | -0.0001813 | 9235 | GTEx | DepMap | Descartes | 0.02 | 0.48 |
CDH5 | -0.0001829 | 9275 | GTEx | DepMap | Descartes | 0.03 | 0.68 |
NOTCH4 | -0.0001921 | 9496 | GTEx | DepMap | Descartes | 0.07 | 1.93 |
KDR | -0.0001944 | 9538 | GTEx | DepMap | Descartes | 0.02 | 0.28 |
TEK | -0.0002037 | 9737 | GTEx | DepMap | Descartes | 0.01 | 0.14 |
TIE1 | -0.0002140 | 9990 | GTEx | DepMap | Descartes | 0.01 | 0.39 |
CHRM3 | -0.0002158 | 10029 | GTEx | DepMap | Descartes | 0.04 | 0.67 |
MMRN2 | -0.0002450 | 10566 | GTEx | DepMap | Descartes | 0.02 | 0.53 |
PLVAP | -0.0002566 | 10754 | GTEx | DepMap | Descartes | 0.07 | 4.85 |
Descartes stromal markers
Top 50 marker genes of stromal cells in the Decartes fetal adrenal single cell map (https://atlas.brotmanbaty.org/bbi/human-gene-expression-during-development/cell/stromal/in/adrenal)
Wilcoxon ranksum test P-value for gene set overrepresentation: 2.14e-01
Mean rank of genes in gene set: 5843.3
Median rank of genes in gene set: 5528.5
Rank on gene expression program of top 30 genes in gene set:
Genes | Weight | Rank | GTEx | DepMap | Descartes | Mean.Counts | Mean.TPM |
---|---|---|---|---|---|---|---|
IGFBP3 | 0.0001271 | 1679 | GTEx | DepMap | Descartes | 0.04 | 1.98 |
ABCC9 | 0.0000376 | 2387 | GTEx | DepMap | Descartes | 0.01 | 0.10 |
PAMR1 | 0.0000152 | 2708 | GTEx | DepMap | Descartes | 0.03 | 2.08 |
FREM1 | -0.0000100 | 3272 | GTEx | DepMap | Descartes | 0.01 | 0.15 |
ADAMTSL3 | -0.0000169 | 3493 | GTEx | DepMap | Descartes | 0.00 | 0.11 |
ITGA11 | -0.0000275 | 3858 | GTEx | DepMap | Descartes | 0.00 | 0.06 |
COL27A1 | -0.0000298 | 3938 | GTEx | DepMap | Descartes | 0.01 | 0.21 |
GLI2 | -0.0000314 | 3997 | GTEx | DepMap | Descartes | 0.00 | 0.00 |
LOX | -0.0000315 | 4001 | GTEx | DepMap | Descartes | 0.01 | 0.56 |
GAS2 | -0.0000381 | 4217 | GTEx | DepMap | Descartes | 0.00 | 0.20 |
ACTA2 | -0.0000388 | 4249 | GTEx | DepMap | Descartes | 0.09 | 14.07 |
POSTN | -0.0000399 | 4297 | GTEx | DepMap | Descartes | 0.01 | 0.75 |
LAMC3 | -0.0000453 | 4486 | GTEx | DepMap | Descartes | 0.00 | 0.00 |
COL3A1 | -0.0000485 | 4606 | GTEx | DepMap | Descartes | 0.24 | 10.07 |
PCDH18 | -0.0000536 | 4767 | GTEx | DepMap | Descartes | 0.01 | 0.24 |
SFRP2 | -0.0000573 | 4908 | GTEx | DepMap | Descartes | 0.00 | 0.00 |
COL12A1 | -0.0000575 | 4918 | GTEx | DepMap | Descartes | 0.01 | 0.24 |
ABCA6 | -0.0000612 | 5054 | GTEx | DepMap | Descartes | 0.07 | 2.18 |
OGN | -0.0000634 | 5132 | GTEx | DepMap | Descartes | 0.03 | 2.21 |
CCDC80 | -0.0000721 | 5479 | GTEx | DepMap | Descartes | 0.03 | 0.56 |
DKK2 | -0.0000724 | 5489 | GTEx | DepMap | Descartes | 0.01 | 0.73 |
LRRC17 | -0.0000725 | 5495 | GTEx | DepMap | Descartes | 0.01 | 0.88 |
ISLR | -0.0000742 | 5562 | GTEx | DepMap | Descartes | 0.03 | 3.17 |
COL1A1 | -0.0000747 | 5580 | GTEx | DepMap | Descartes | 0.31 | 12.11 |
SCARA5 | -0.0000759 | 5634 | GTEx | DepMap | Descartes | 0.00 | 0.12 |
COL6A3 | -0.0000781 | 5716 | GTEx | DepMap | Descartes | 0.06 | 1.35 |
EDNRA | -0.0000807 | 5807 | GTEx | DepMap | Descartes | 0.01 | 0.23 |
C7 | -0.0000903 | 6171 | GTEx | DepMap | Descartes | 0.01 | 0.34 |
COL1A2 | -0.0000909 | 6189 | GTEx | DepMap | Descartes | 0.28 | 10.85 |
RSPO3 | -0.0000983 | 6475 | GTEx | DepMap | Descartes | 0.00 | NA |
Descartes sympathoblasts markers
Top 50 marker genes of sympathoblasts cells in the Decartes fetal adrenal single cell map (https://atlas.brotmanbaty.org/bbi/human-gene-expression-during-development/cell/sympathoblasts/in/adrenal)
Wilcoxon ranksum test P-value for gene set overrepresentation: 1.00e+00
Mean rank of genes in gene set: 8272.58
Median rank of genes in gene set: 8233.5
Rank on gene expression program of top 30 genes in gene set:
Genes | Weight | Rank | GTEx | DepMap | Descartes | Mean.Counts | Mean.TPM |
---|---|---|---|---|---|---|---|
ST18 | 0.0000933 | 1892 | GTEx | DepMap | Descartes | 0.02 | 0.89 |
SLC35F3 | -0.0000515 | 4695 | GTEx | DepMap | Descartes | 0.01 | 0.62 |
TIAM1 | -0.0000521 | 4720 | GTEx | DepMap | Descartes | 0.09 | 2.73 |
GRM7 | -0.0000636 | 5143 | GTEx | DepMap | Descartes | 0.00 | 0.01 |
TBX20 | -0.0000722 | 5482 | GTEx | DepMap | Descartes | 0.00 | 0.00 |
LAMA3 | -0.0000734 | 5526 | GTEx | DepMap | Descartes | 0.00 | 0.03 |
CNTN3 | -0.0000740 | 5548 | GTEx | DepMap | Descartes | 0.00 | 0.14 |
SLC24A2 | -0.0000820 | 5846 | GTEx | DepMap | Descartes | 0.00 | 0.00 |
SORCS3 | -0.0000841 | 5914 | GTEx | DepMap | Descartes | 0.01 | 0.25 |
CDH12 | -0.0000993 | 6523 | GTEx | DepMap | Descartes | 0.00 | 0.16 |
DGKK | -0.0000996 | 6543 | GTEx | DepMap | Descartes | 0.01 | 0.21 |
TENM1 | -0.0001014 | 6617 | GTEx | DepMap | Descartes | 0.01 | NA |
CDH18 | -0.0001027 | 6682 | GTEx | DepMap | Descartes | 0.00 | 0.13 |
AGBL4 | -0.0001045 | 6757 | GTEx | DepMap | Descartes | 0.01 | 0.52 |
PCSK2 | -0.0001124 | 7063 | GTEx | DepMap | Descartes | 0.01 | 0.29 |
PENK | -0.0001157 | 7187 | GTEx | DepMap | Descartes | 0.00 | 1.07 |
GALNTL6 | -0.0001194 | 7315 | GTEx | DepMap | Descartes | 0.00 | 0.08 |
CCSER1 | -0.0001234 | 7453 | GTEx | DepMap | Descartes | 0.03 | NA |
EML6 | -0.0001337 | 7795 | GTEx | DepMap | Descartes | 0.01 | 0.09 |
GCH1 | -0.0001605 | 8672 | GTEx | DepMap | Descartes | 0.24 | 17.00 |
GRID2 | -0.0001630 | 8747 | GTEx | DepMap | Descartes | 0.02 | 0.30 |
PACRG | -0.0001639 | 8775 | GTEx | DepMap | Descartes | 0.01 | 0.72 |
FGF14 | -0.0001781 | 9140 | GTEx | DepMap | Descartes | 0.03 | 0.40 |
KSR2 | -0.0001804 | 9209 | GTEx | DepMap | Descartes | 0.02 | 0.15 |
SPOCK3 | -0.0001827 | 9270 | GTEx | DepMap | Descartes | 0.01 | 0.41 |
SLC18A1 | -0.0002017 | 9696 | GTEx | DepMap | Descartes | 0.02 | 0.97 |
ROBO1 | -0.0002096 | 9901 | GTEx | DepMap | Descartes | 0.05 | 1.26 |
NTNG1 | -0.0002276 | 10267 | GTEx | DepMap | Descartes | 0.01 | 0.28 |
UNC80 | -0.0002302 | 10312 | GTEx | DepMap | Descartes | 0.03 | 0.36 |
FAM155A | -0.0002414 | 10507 | GTEx | DepMap | Descartes | 0.04 | 0.68 |
Descartes erythroblasts markers
Top 50 marker genes of erythroblasts cells in the Decartes fetal adrenal single cell map (https://atlas.brotmanbaty.org/bbi/human-gene-expression-during-development/cell/erythroblasts/in/adrenal)
Wilcoxon ranksum test P-value for gene set overrepresentation: 2.47e-02
Mean rank of genes in gene set: 4954.07
Median rank of genes in gene set: 4301
Rank on gene expression program of top 30 genes in gene set:
Genes | Weight | Rank | GTEx | DepMap | Descartes | Mean.Counts | Mean.TPM |
---|---|---|---|---|---|---|---|
BLVRB | 0.0017028 | 192 | GTEx | DepMap | Descartes | 3.05 | 481.63 |
GYPC | 0.0010043 | 368 | GTEx | DepMap | Descartes | 1.21 | 169.73 |
GCLC | 0.0005269 | 710 | GTEx | DepMap | Descartes | 0.17 | 9.38 |
CAT | 0.0004700 | 789 | GTEx | DepMap | Descartes | 0.49 | 43.64 |
MARCH3 | 0.0003619 | 959 | GTEx | DepMap | Descartes | 0.10 | NA |
SPECC1 | 0.0001538 | 1552 | GTEx | DepMap | Descartes | 0.12 | 3.02 |
CPOX | 0.0000869 | 1933 | GTEx | DepMap | Descartes | 0.05 | 3.72 |
FECH | 0.0000491 | 2250 | GTEx | DepMap | Descartes | 0.09 | 2.21 |
RGS6 | 0.0000307 | 2456 | GTEx | DepMap | Descartes | 0.00 | 0.07 |
RAPGEF2 | 0.0000256 | 2527 | GTEx | DepMap | Descartes | 0.19 | 4.93 |
SLC4A1 | 0.0000220 | 2586 | GTEx | DepMap | Descartes | 0.01 | 0.37 |
RHD | -0.0000158 | 3464 | GTEx | DepMap | Descartes | 0.00 | 0.00 |
SLC25A21 | -0.0000203 | 3614 | GTEx | DepMap | Descartes | 0.00 | 0.00 |
ABCB10 | -0.0000338 | 4082 | GTEx | DepMap | Descartes | 0.04 | 2.18 |
ALAS2 | -0.0000401 | 4301 | GTEx | DepMap | Descartes | 0.00 | 0.13 |
XPO7 | -0.0000561 | 4871 | GTEx | DepMap | Descartes | 0.10 | 3.74 |
MICAL2 | -0.0000680 | 5309 | GTEx | DepMap | Descartes | 0.02 | 0.93 |
TRAK2 | -0.0000865 | 6015 | GTEx | DepMap | Descartes | 0.07 | 2.00 |
SELENBP1 | -0.0000988 | 6500 | GTEx | DepMap | Descartes | 0.02 | 1.25 |
TMCC2 | -0.0001067 | 6838 | GTEx | DepMap | Descartes | 0.01 | 0.45 |
SPTB | -0.0001389 | 7965 | GTEx | DepMap | Descartes | 0.01 | 0.06 |
TFR2 | -0.0001413 | 8063 | GTEx | DepMap | Descartes | 0.01 | 0.40 |
SNCA | -0.0001524 | 8424 | GTEx | DepMap | Descartes | 0.23 | 16.08 |
DENND4A | -0.0001595 | 8648 | GTEx | DepMap | Descartes | 0.15 | 3.81 |
ANK1 | -0.0001753 | 9068 | GTEx | DepMap | Descartes | 0.01 | 0.13 |
SOX6 | -0.0001764 | 9095 | GTEx | DepMap | Descartes | 0.01 | 0.16 |
SLC25A37 | -0.0001842 | 9312 | GTEx | DepMap | Descartes | 0.24 | 12.04 |
EPB41 | -0.0002008 | 9683 | GTEx | DepMap | Descartes | 0.14 | 4.34 |
TSPAN5 | -0.0004314 | 12094 | GTEx | DepMap | Descartes | 0.09 | 3.25 |
NA | NA | NA | NA | NA | NA | NA | NA |
Descartes myeloid markers
Top 50 marker genes of myeloid cells in the Decartes fetal adrenal single cell map (https://atlas.brotmanbaty.org/bbi/human-gene-expression-during-development/cell/myeloid/in/adrenal)
Wilcoxon ranksum test P-value for gene set overrepresentation: 5.37e-21
Mean rank of genes in gene set: 801.05
Median rank of genes in gene set: 136.5
Rank on gene expression program of top 30 genes in gene set:
Genes | Weight | Rank | GTEx | DepMap | Descartes | Mean.Counts | Mean.TPM |
---|---|---|---|---|---|---|---|
CD74 | 0.0054301 | 2 | GTEx | DepMap | Descartes | 65.93 | 4913.08 |
CSF1R | 0.0046462 | 5 | GTEx | DepMap | Descartes | 1.62 | 101.09 |
CTSC | 0.0045505 | 8 | GTEx | DepMap | Descartes | 6.69 | 215.02 |
MS4A4A | 0.0045325 | 9 | GTEx | DepMap | Descartes | 2.87 | 390.85 |
CD14 | 0.0043031 | 14 | GTEx | DepMap | Descartes | 9.04 | 1277.56 |
AXL | 0.0038739 | 19 | GTEx | DepMap | Descartes | 0.97 | 48.90 |
SLCO2B1 | 0.0038006 | 22 | GTEx | DepMap | Descartes | 0.93 | 37.17 |
MSR1 | 0.0037970 | 23 | GTEx | DepMap | Descartes | 1.07 | 67.98 |
CYBB | 0.0036684 | 26 | GTEx | DepMap | Descartes | 1.57 | 80.84 |
LGMN | 0.0035878 | 29 | GTEx | DepMap | Descartes | 5.39 | 553.58 |
ADAP2 | 0.0035641 | 30 | GTEx | DepMap | Descartes | 1.12 | 100.05 |
CTSS | 0.0035584 | 31 | GTEx | DepMap | Descartes | 6.40 | 319.89 |
CD163 | 0.0033668 | 37 | GTEx | DepMap | Descartes | 1.52 | 69.97 |
CPVL | 0.0030611 | 49 | GTEx | DepMap | Descartes | 2.19 | 212.30 |
FGL2 | 0.0030344 | 50 | GTEx | DepMap | Descartes | 2.54 | 131.78 |
CST3 | 0.0027673 | 67 | GTEx | DepMap | Descartes | 21.88 | 1483.06 |
MARCH1 | 0.0023092 | 94 | GTEx | DepMap | Descartes | 0.73 | NA |
SLC1A3 | 0.0022314 | 108 | GTEx | DepMap | Descartes | 0.44 | 25.35 |
MERTK | 0.0022066 | 113 | GTEx | DepMap | Descartes | 0.38 | 22.30 |
HCK | 0.0019063 | 160 | GTEx | DepMap | Descartes | 0.70 | 66.23 |
SLC9A9 | 0.0017669 | 180 | GTEx | DepMap | Descartes | 0.28 | 19.23 |
FGD2 | 0.0013072 | 267 | GTEx | DepMap | Descartes | 0.20 | 7.60 |
TGFBI | 0.0012802 | 273 | GTEx | DepMap | Descartes | 1.40 | 66.74 |
ATP8B4 | 0.0012625 | 281 | GTEx | DepMap | Descartes | 0.12 | 5.46 |
ABCA1 | 0.0011721 | 304 | GTEx | DepMap | Descartes | 0.92 | 19.84 |
PTPRE | 0.0011296 | 319 | GTEx | DepMap | Descartes | 0.87 | 34.31 |
IFNGR1 | 0.0009707 | 383 | GTEx | DepMap | Descartes | 1.23 | 106.69 |
WWP1 | 0.0009606 | 390 | GTEx | DepMap | Descartes | 0.31 | 13.69 |
CTSB | 0.0009181 | 413 | GTEx | DepMap | Descartes | 13.19 | 785.70 |
RGL1 | 0.0009077 | 418 | GTEx | DepMap | Descartes | 0.31 | 12.56 |
Descartes Schwann markers
Top 50 marker genes of Schwann cells in the Decartes fetal adrenal single cell map (https://atlas.brotmanbaty.org/bbi/human-gene-expression-during-development/cell/schwann/in/adrenal)
Wilcoxon ranksum test P-value for gene set overrepresentation: 9.58e-01
Mean rank of genes in gene set: 7217.02
Median rank of genes in gene set: 7453
Rank on gene expression program of top 30 genes in gene set:
Genes | Weight | Rank | GTEx | DepMap | Descartes | Mean.Counts | Mean.TPM |
---|---|---|---|---|---|---|---|
KCTD12 | 0.0019109 | 159 | GTEx | DepMap | Descartes | 0.80 | 29.97 |
GAS7 | 0.0002968 | 1086 | GTEx | DepMap | Descartes | 0.22 | 6.19 |
STARD13 | 0.0002428 | 1243 | GTEx | DepMap | Descartes | 0.09 | 3.76 |
MARCKS | 0.0002246 | 1293 | GTEx | DepMap | Descartes | 4.93 | 230.02 |
PTPRZ1 | 0.0000664 | 2081 | GTEx | DepMap | Descartes | 0.00 | 0.11 |
COL18A1 | 0.0000448 | 2294 | GTEx | DepMap | Descartes | 0.13 | 4.40 |
NRXN3 | 0.0000288 | 2480 | GTEx | DepMap | Descartes | 0.01 | 0.28 |
HMGA2 | 0.0000111 | 2776 | GTEx | DepMap | Descartes | 0.00 | 0.06 |
PAG1 | -0.0000172 | 3502 | GTEx | DepMap | Descartes | 0.32 | 6.83 |
TRPM3 | -0.0000224 | 3679 | GTEx | DepMap | Descartes | 0.00 | 0.03 |
MDGA2 | -0.0000265 | 3827 | GTEx | DepMap | Descartes | 0.00 | 0.12 |
IL1RAPL2 | -0.0000343 | 4105 | GTEx | DepMap | Descartes | 0.00 | 0.00 |
IL1RAPL1 | -0.0000346 | 4120 | GTEx | DepMap | Descartes | 0.01 | 0.48 |
GRIK3 | -0.0000696 | 5376 | GTEx | DepMap | Descartes | 0.01 | 0.21 |
PLCE1 | -0.0000820 | 5844 | GTEx | DepMap | Descartes | 0.03 | 0.61 |
ERBB4 | -0.0000824 | 5854 | GTEx | DepMap | Descartes | 0.01 | 0.17 |
COL25A1 | -0.0000879 | 6075 | GTEx | DepMap | Descartes | 0.00 | 0.04 |
ERBB3 | -0.0000950 | 6358 | GTEx | DepMap | Descartes | 0.03 | 1.04 |
XKR4 | -0.0001006 | 6592 | GTEx | DepMap | Descartes | 0.01 | 0.17 |
LRRTM4 | -0.0001145 | 7141 | GTEx | DepMap | Descartes | 0.01 | 0.26 |
EDNRB | -0.0001164 | 7213 | GTEx | DepMap | Descartes | 0.06 | 3.35 |
LAMC1 | -0.0001227 | 7432 | GTEx | DepMap | Descartes | 0.08 | 2.03 |
OLFML2A | -0.0001240 | 7474 | GTEx | DepMap | Descartes | 0.03 | 0.63 |
SLC35F1 | -0.0001307 | 7696 | GTEx | DepMap | Descartes | 0.02 | 0.59 |
COL5A2 | -0.0001345 | 7822 | GTEx | DepMap | Descartes | 0.04 | 1.30 |
MPZ | -0.0001466 | 8221 | GTEx | DepMap | Descartes | 0.10 | 13.03 |
EGFLAM | -0.0001570 | 8562 | GTEx | DepMap | Descartes | 0.02 | 0.65 |
SORCS1 | -0.0001597 | 8654 | GTEx | DepMap | Descartes | 0.03 | 0.70 |
FIGN | -0.0001744 | 9040 | GTEx | DepMap | Descartes | 0.03 | 0.52 |
SCN7A | -0.0002221 | 10167 | GTEx | DepMap | Descartes | 0.09 | 2.44 |
Descartes Megakaryocytes markers
Top 50 marker genes of Megakaryocytes cells in the Decartes fetal adrenal single cell map (https://atlas.brotmanbaty.org/bbi/human-gene-expression-during-development/cell/megakaryocytes/in/adrenal)
Wilcoxon ranksum test P-value for gene set overrepresentation: 6.29e-02
Mean rank of genes in gene set: 5449.71
Median rank of genes in gene set: 5810
Rank on gene expression program of top 30 genes in gene set:
Genes | Weight | Rank | GTEx | DepMap | Descartes | Mean.Counts | Mean.TPM |
---|---|---|---|---|---|---|---|
PLEK | 0.0022170 | 111 | GTEx | DepMap | Descartes | 2.20 | 173.06 |
TMSB4X | 0.0018485 | 167 | GTEx | DepMap | Descartes | 145.65 | 18449.07 |
CD84 | 0.0017730 | 179 | GTEx | DepMap | Descartes | 0.91 | 23.28 |
STOM | 0.0011414 | 316 | GTEx | DepMap | Descartes | 0.62 | 41.55 |
FLI1 | 0.0008472 | 451 | GTEx | DepMap | Descartes | 0.18 | 8.12 |
FERMT3 | 0.0007206 | 531 | GTEx | DepMap | Descartes | 0.69 | 57.06 |
LIMS1 | 0.0005769 | 646 | GTEx | DepMap | Descartes | 1.58 | 75.37 |
PSTPIP2 | 0.0005299 | 702 | GTEx | DepMap | Descartes | 0.15 | 10.07 |
TGFB1 | 0.0005031 | 741 | GTEx | DepMap | Descartes | 0.88 | 70.32 |
MCTP1 | 0.0004334 | 827 | GTEx | DepMap | Descartes | 0.12 | 4.24 |
TLN1 | 0.0004117 | 861 | GTEx | DepMap | Descartes | 0.76 | 18.21 |
ZYX | 0.0003620 | 958 | GTEx | DepMap | Descartes | 0.61 | 56.68 |
ARHGAP6 | 0.0000765 | 2003 | GTEx | DepMap | Descartes | 0.01 | 0.31 |
STON2 | 0.0000721 | 2039 | GTEx | DepMap | Descartes | 0.05 | 2.39 |
TRPC6 | 0.0000406 | 2341 | GTEx | DepMap | Descartes | 0.00 | 0.13 |
GP1BA | 0.0000232 | 2569 | GTEx | DepMap | Descartes | 0.00 | 0.45 |
MMRN1 | -0.0000104 | 3285 | GTEx | DepMap | Descartes | 0.01 | 0.13 |
GSN | -0.0000439 | 4439 | GTEx | DepMap | Descartes | 1.59 | 50.52 |
MYH9 | -0.0000532 | 4756 | GTEx | DepMap | Descartes | 0.42 | 11.48 |
SLC24A3 | -0.0000539 | 4775 | GTEx | DepMap | Descartes | 0.00 | 0.13 |
UBASH3B | -0.0000580 | 4937 | GTEx | DepMap | Descartes | 0.11 | 3.67 |
CD9 | -0.0000639 | 5150 | GTEx | DepMap | Descartes | 1.15 | 136.65 |
ITGA2B | -0.0000807 | 5810 | GTEx | DepMap | Descartes | 0.00 | 0.05 |
TUBB1 | -0.0000860 | 5990 | GTEx | DepMap | Descartes | 0.00 | 0.00 |
P2RX1 | -0.0000908 | 6184 | GTEx | DepMap | Descartes | 0.02 | 1.18 |
MED12L | -0.0000931 | 6281 | GTEx | DepMap | Descartes | 0.01 | 0.09 |
ITGB3 | -0.0001054 | 6792 | GTEx | DepMap | Descartes | 0.00 | 0.00 |
MYLK | -0.0001111 | 7021 | GTEx | DepMap | Descartes | 0.02 | 0.33 |
THBS1 | -0.0001153 | 7167 | GTEx | DepMap | Descartes | 0.14 | 4.05 |
RAB27B | -0.0001277 | 7593 | GTEx | DepMap | Descartes | 0.01 | 0.31 |
Descartes Lyphoid markers
Top 50 marker genes of Lyphoid cells in the Decartes fetal adrenal single cell map (https://atlas.brotmanbaty.org/bbi/human-gene-expression-during-development/cell/lymphoid/in/adrenal)
Wilcoxon ranksum test P-value for gene set overrepresentation: 4.38e-01
Mean rank of genes in gene set: 6187.86
Median rank of genes in gene set: 8038.5
Rank on gene expression program of top 30 genes in gene set:
Genes | Weight | Rank | GTEx | DepMap | Descartes | Mean.Counts | Mean.TPM |
---|---|---|---|---|---|---|---|
B2M | 0.0033605 | 39 | GTEx | DepMap | Descartes | 118.31 | 10721.59 |
ARHGDIB | 0.0010893 | 334 | GTEx | DepMap | Descartes | 4.40 | 793.63 |
SORL1 | 0.0009430 | 399 | GTEx | DepMap | Descartes | 0.45 | 9.82 |
SP100 | 0.0007845 | 493 | GTEx | DepMap | Descartes | 0.59 | 23.59 |
RCSD1 | 0.0006809 | 564 | GTEx | DepMap | Descartes | 0.36 | 16.12 |
PTPRC | 0.0006271 | 604 | GTEx | DepMap | Descartes | 1.63 | 68.56 |
WIPF1 | 0.0006087 | 618 | GTEx | DepMap | Descartes | 0.75 | 35.90 |
ARHGAP15 | 0.0005531 | 678 | GTEx | DepMap | Descartes | 0.40 | 31.84 |
MBNL1 | 0.0004162 | 850 | GTEx | DepMap | Descartes | 0.61 | 20.96 |
PLEKHA2 | 0.0003838 | 916 | GTEx | DepMap | Descartes | 0.24 | 9.72 |
DOCK10 | 0.0003144 | 1047 | GTEx | DepMap | Descartes | 0.24 | 7.33 |
CELF2 | 0.0002900 | 1112 | GTEx | DepMap | Descartes | 0.64 | 18.48 |
LCP1 | 0.0002681 | 1171 | GTEx | DepMap | Descartes | 1.28 | 66.04 |
ANKRD44 | 0.0001931 | 1395 | GTEx | DepMap | Descartes | 0.25 | 7.86 |
MSN | 0.0001806 | 1442 | GTEx | DepMap | Descartes | 0.85 | 46.71 |
IKZF1 | 0.0001744 | 1471 | GTEx | DepMap | Descartes | 0.31 | 11.31 |
PRKCH | -0.0000578 | 4927 | GTEx | DepMap | Descartes | 0.07 | 4.09 |
ITPKB | -0.0000676 | 5299 | GTEx | DepMap | Descartes | 0.06 | 2.22 |
SAMD3 | -0.0000867 | 6021 | GTEx | DepMap | Descartes | 0.02 | 1.33 |
CCL5 | -0.0000875 | 6060 | GTEx | DepMap | Descartes | 0.82 | 154.78 |
MCTP2 | -0.0001276 | 7591 | GTEx | DepMap | Descartes | 0.01 | 0.38 |
SKAP1 | -0.0001547 | 8486 | GTEx | DepMap | Descartes | 0.02 | 2.56 |
EVL | -0.0001586 | 8617 | GTEx | DepMap | Descartes | 1.04 | 61.08 |
TMSB10 | -0.0001615 | 8703 | GTEx | DepMap | Descartes | 54.17 | 23941.70 |
CCND3 | -0.0001667 | 8831 | GTEx | DepMap | Descartes | 0.24 | 21.51 |
SCML4 | -0.0001821 | 9258 | GTEx | DepMap | Descartes | 0.02 | 0.92 |
LEF1 | -0.0001903 | 9455 | GTEx | DepMap | Descartes | 0.03 | 1.38 |
PDE3B | -0.0001933 | 9514 | GTEx | DepMap | Descartes | 0.06 | 1.87 |
BCL2 | -0.0002061 | 9817 | GTEx | DepMap | Descartes | 0.20 | 5.28 |
ETS1 | -0.0002121 | 9958 | GTEx | DepMap | Descartes | 0.07 | 2.34 |
Below shows the ranks on this GEP for immune marker gene lists curated by CellTypist (https://www.celltypist.org/encyclopedia).
High ranks indicate this gene is a driver of this GEP.
These curated gene list are ranked by P-value (on this GEP) of their constituent genes.
The Mean Count column shows the mean read count in cells scoring highly (H > 50) on this gene expression program.
Genes | Weight | Rank | GTEx | DepMap | Decartes | Mean.Counts | Mean.TPM |
---|---|---|---|---|---|---|---|
APOE | 0.0048557 | 4 | GTEx | DepMap | Descartes | 111.84 | 19982.59 |
APOC1 | 0.0027202 | 68 | GTEx | DepMap | Descartes | 42.58 | 12007.64 |
FTH1 | 0.0018037 | 174 | GTEx | DepMap | Descartes | 146.20 | 26052.21 |
CD5L | 0.0008956 | 423 | GTEx | DepMap | Descartes | 0.97 | 110.91 |
Monocytes: Monocytes (model markers)
myeloid mononuclear recirculating leukocytes that are capable of differentiating into macrophages and myeloid lineage dendritic cells:
Wilcoxon ranksum test P-value for gene set overrepresentation: 1.55e-03
Mean rank of genes in gene set: 89
Rank on gene expression program of genes in gene set:
Genes | Weight | Rank | GTEx | DepMap | Decartes | Mean.Counts | Mean.TPM |
---|---|---|---|---|---|---|---|
TYROBP | 0.0045763 | 7 | GTEx | DepMap | Descartes | 24.57 | 9093.27 |
SAT1 | 0.0037539 | 24 | GTEx | DepMap | Descartes | 35.19 | 7055.67 |
NEAT1 | 0.0014314 | 236 | GTEx | DepMap | Descartes | 10.28 | 105.61 |
ILC precursor: ILC precursor (curated markers)
innate lymphoid cell precursors which give rise to innate lymphoid cells and lack the characteristics of their mature progenies:
Wilcoxon ranksum test P-value for gene set overrepresentation: 6.49e-03
Mean rank of genes in gene set: 1079
Rank on gene expression program of genes in gene set:
Genes | Weight | Rank | GTEx | DepMap | Decartes | Mean.Counts | Mean.TPM |
---|---|---|---|---|---|---|---|
LST1 | 0.0018036 | 175 | GTEx | DepMap | Descartes | 4.36 | 524.68 |
SCN1B | 0.0005733 | 654 | GTEx | DepMap | Descartes | 0.14 | 7.12 |
HPN | 0.0000351 | 2408 | GTEx | DepMap | Descartes | 0.01 | 0.70 |