QQ-plot of gene loadings, averaged over both independent splits of the data
This plot highlights the relative contribution of each gene to the GEP
Top genes driving this program.
Note: Decartes website is buggy, try refreshing. Also, Decartes fetal adrenal data have been collected at specific time points (89-122 days), all possible cell types of interest may not be represented, do not overinterpret.
The Mean Count column shows the mean read count in cells scoring highly (H > 50) on this gene expression program.
Gene | Loading | Gene.Name | GTEx | DepMap | Descartes | Mean.Counts | Mean.Tpm | |
---|---|---|---|---|---|---|---|---|
1 | TOP2A | 0.0217184 | DNA topoisomerase II alpha | GTEx | DepMap | Descartes | 9.72 | 462.53 |
2 | UBE2C | 0.0197425 | ubiquitin conjugating enzyme E2 C | GTEx | DepMap | Descartes | 7.34 | 2378.57 |
3 | CENPF | 0.0179132 | centromere protein F | GTEx | DepMap | Descartes | 5.71 | 150.83 |
4 | BIRC5 | 0.0177340 | baculoviral IAP repeat containing 5 | GTEx | DepMap | Descartes | 4.72 | 497.48 |
5 | PBK | 0.0176825 | PDZ binding kinase | GTEx | DepMap | Descartes | 2.32 | 343.97 |
6 | MKI67 | 0.0153119 | marker of proliferation Ki-67 | GTEx | DepMap | Descartes | 3.92 | 90.20 |
7 | GTSE1 | 0.0152536 | G2 and S-phase expressed 1 | GTEx | DepMap | Descartes | 1.78 | 168.66 |
8 | NUSAP1 | 0.0152406 | nucleolar and spindle associated protein 1 | GTEx | DepMap | Descartes | 4.04 | 401.31 |
9 | PTTG1 | 0.0149444 | PTTG1 regulator of sister chromatid separation, securin | GTEx | DepMap | Descartes | 5.06 | 1420.85 |
10 | TYMS | 0.0142557 | thymidylate synthetase | GTEx | DepMap | Descartes | 5.88 | 970.54 |
11 | PRC1 | 0.0141894 | protein regulator of cytokinesis 1 | GTEx | DepMap | Descartes | 3.00 | 199.47 |
12 | ASPM | 0.0140856 | assembly factor for spindle microtubules | GTEx | DepMap | Descartes | 1.89 | 54.18 |
13 | TPX2 | 0.0139530 | TPX2 microtubule nucleation factor | GTEx | DepMap | Descartes | 1.68 | 134.86 |
14 | HIST1H4C | 0.0139434 | NA | GTEx | DepMap | Descartes | 72.80 | NA |
15 | NUF2 | 0.0139315 | NUF2 component of NDC80 kinetochore complex | GTEx | DepMap | Descartes | 1.68 | 249.87 |
16 | CKS1B | 0.0135924 | CDC28 protein kinase regulatory subunit 1B | GTEx | DepMap | Descartes | 7.09 | 1679.82 |
17 | AURKB | 0.0135331 | aurora kinase B | GTEx | DepMap | Descartes | 1.92 | 494.71 |
18 | CKAP2L | 0.0134436 | cytoskeleton associated protein 2 like | GTEx | DepMap | Descartes | 1.43 | 87.35 |
19 | TROAP | 0.0132746 | trophinin associated protein | GTEx | DepMap | Descartes | 1.22 | 130.84 |
20 | HMGB2 | 0.0131987 | high mobility group box 2 | GTEx | DepMap | Descartes | 24.22 | 4112.08 |
21 | CCNB2 | 0.0129878 | cyclin B2 | GTEx | DepMap | Descartes | 1.64 | 221.08 |
22 | CENPA | 0.0129310 | centromere protein A | GTEx | DepMap | Descartes | 0.92 | 186.77 |
23 | HMMR | 0.0129013 | hyaluronan mediated motility receptor | GTEx | DepMap | Descartes | 1.07 | 106.53 |
24 | KIF2C | 0.0128095 | kinesin family member 2C | GTEx | DepMap | Descartes | 0.71 | 74.29 |
25 | CDK1 | 0.0128080 | cyclin dependent kinase 1 | GTEx | DepMap | Descartes | 2.06 | 310.35 |
26 | TUBA1B | 0.0127324 | tubulin alpha 1b | GTEx | DepMap | Descartes | 55.69 | 4671.73 |
27 | UBE2S | 0.0125224 | ubiquitin conjugating enzyme E2 S | GTEx | DepMap | Descartes | 5.43 | 476.96 |
28 | HMGN2 | 0.0124576 | high mobility group nucleosomal binding domain 2 | GTEx | DepMap | Descartes | 27.53 | 4182.88 |
29 | CDCA8 | 0.0122099 | cell division cycle associated 8 | GTEx | DepMap | Descartes | 0.82 | 107.52 |
30 | SPC25 | 0.0121231 | SPC25 component of NDC80 kinetochore complex | GTEx | DepMap | Descartes | 1.66 | 344.95 |
31 | PLK1 | 0.0118058 | polo like kinase 1 | GTEx | DepMap | Descartes | 0.72 | 50.03 |
32 | UBE2T | 0.0114971 | ubiquitin conjugating enzyme E2 T | GTEx | DepMap | Descartes | 3.33 | 579.65 |
33 | CCNB1 | 0.0112259 | cyclin B1 | GTEx | DepMap | Descartes | 1.79 | 312.52 |
34 | KIFC1 | 0.0111640 | kinesin family member C1 | GTEx | DepMap | Descartes | 1.43 | 155.45 |
35 | CDC20 | 0.0111287 | cell division cycle 20 | GTEx | DepMap | Descartes | 1.01 | 184.05 |
36 | HMGB1 | 0.0111033 | high mobility group box 1 | GTEx | DepMap | Descartes | 42.42 | 2138.30 |
37 | CDKN3 | 0.0110766 | cyclin dependent kinase inhibitor 3 | GTEx | DepMap | Descartes | 1.61 | 529.40 |
38 | RACGAP1 | 0.0110560 | Rac GTPase activating protein 1 | GTEx | DepMap | Descartes | 1.04 | 90.92 |
39 | CCNA2 | 0.0108339 | cyclin A2 | GTEx | DepMap | Descartes | 1.01 | 90.05 |
40 | FOXM1 | 0.0108114 | forkhead box M1 | GTEx | DepMap | Descartes | 1.15 | 78.96 |
41 | H2AFZ | 0.0108106 | NA | GTEx | DepMap | Descartes | 20.18 | NA |
42 | ARL6IP1 | 0.0107335 | ADP ribosylation factor like GTPase 6 interacting protein 1 | GTEx | DepMap | Descartes | 9.20 | 1219.11 |
43 | NCAPG | 0.0106249 | non-SMC condensin I complex subunit G | GTEx | DepMap | Descartes | 0.69 | 39.78 |
44 | MAD2L1 | 0.0105338 | mitotic arrest deficient 2 like 1 | GTEx | DepMap | Descartes | 2.45 | 140.74 |
45 | CKAP2 | 0.0104664 | cytoskeleton associated protein 2 | GTEx | DepMap | Descartes | 2.76 | 212.07 |
46 | NCAPH | 0.0104162 | non-SMC condensin I complex subunit H | GTEx | DepMap | Descartes | 0.70 | 30.63 |
47 | KIF20A | 0.0104029 | kinesin family member 20A | GTEx | DepMap | Descartes | 0.32 | 32.22 |
48 | RRM2 | 0.0103716 | ribonucleotide reductase regulatory subunit M2 | GTEx | DepMap | Descartes | 2.87 | 210.86 |
49 | CDCA2 | 0.0103445 | cell division cycle associated 2 | GTEx | DepMap | Descartes | 0.53 | 39.55 |
50 | KIF23 | 0.0102751 | kinesin family member 23 | GTEx | DepMap | Descartes | 0.69 | 56.65 |
UMAP plots showing activity of gene expression program identified in GEP 13. Cell Cycle (G2-M):
CNV Data procured from inferCNV.
Outer tracks are putative CNV regions (gains = red, losses = blue) for each patient
Inner track is expression data representing:
The top cells expressing this GEP (purple)
Random cells (n =50) from the reference set used in inferCNV (orange)
Gene set Enrichments for this program, caculated from top 50 genes
mSigDB Cell Types Gene Set:
P-value | OR | Lower 95% CI | FDR | FWER | Genes Found | Gene Set Size | |
---|---|---|---|---|---|---|---|
ZHONG_PFC_C1_OPC | 7.51e-80 | 1004.01 | 322.06 | 5.04e-77 | 5.04e-77 | 47TOP2A, UBE2C, CENPF, BIRC5, PBK, MKI67, GTSE1, NUSAP1, PTTG1, PRC1, ASPM, TPX2, NUF2, CKS1B, AURKB, CKAP2L, TROAP, HMGB2, CCNB2, CENPA, HMMR, KIF2C, CDK1, TUBA1B, UBE2S, HMGN2, CDCA8, SPC25, PLK1, UBE2T, CCNB1, KIFC1, CDC20, HMGB1, CDKN3, RACGAP1, CCNA2, FOXM1, ARL6IP1, NCAPG, MAD2L1, CKAP2, NCAPH, KIF20A, RRM2, CDCA2, KIF23 |
238 |
FAN_EMBRYONIC_CTX_MICROGLIA_1 | 1.14e-69 | 436.79 | 207.24 | 2.55e-67 | 7.64e-67 | 40TOP2A, UBE2C, CENPF, BIRC5, PBK, MKI67, GTSE1, NUSAP1, PTTG1, PRC1, ASPM, TPX2, NUF2, CKS1B, AURKB, CKAP2L, TROAP, HMGB2, CCNB2, HMMR, KIF2C, CDK1, CDCA8, SPC25, PLK1, UBE2T, CCNB1, CDC20, CDKN3, CCNA2, FOXM1, ARL6IP1, NCAPG, MAD2L1, CKAP2, NCAPH, KIF20A, RRM2, CDCA2, KIF23 |
155 |
FAN_EMBRYONIC_CTX_NSC_2 | 6.08e-72 | 485.50 | 202.65 | 2.04e-69 | 4.08e-69 | 44TOP2A, UBE2C, CENPF, BIRC5, PBK, MKI67, GTSE1, NUSAP1, PTTG1, PRC1, ASPM, TPX2, NUF2, CKS1B, AURKB, CKAP2L, TROAP, HMGB2, CCNB2, CENPA, HMMR, KIF2C, CDK1, UBE2S, CDCA8, SPC25, PLK1, UBE2T, CCNB1, KIFC1, CDC20, CDKN3, RACGAP1, CCNA2, FOXM1, ARL6IP1, NCAPG, MAD2L1, CKAP2, NCAPH, KIF20A, RRM2, CDCA2, KIF23 |
233 |
ZHONG_PFC_C3_UNKNOWN_INP | 5.51e-30 | 267.11 | 119.66 | 2.17e-28 | 3.70e-27 | 16UBE2C, CENPF, BIRC5, PRC1, TPX2, NUF2, CKAP2L, CCNB2, CDK1, CDCA8, SPC25, UBE2T, CCNA2, NCAPH, CDCA2, KIF23 |
38 |
ZHONG_PFC_C2_UNKNOWN_NPC | 9.74e-42 | 220.26 | 113.43 | 5.45e-40 | 6.54e-39 | 24TOP2A, UBE2C, CENPF, MKI67, GTSE1, NUSAP1, PTTG1, ASPM, TPX2, AURKB, CKAP2L, TROAP, CCNB2, KIF2C, CDCA8, PLK1, CCNB1, CDC20, CDKN3, RACGAP1, CCNA2, ARL6IP1, KIF20A, CDCA2 |
76 |
ZHONG_PFC_MAJOR_TYPES_NPCS | 1.33e-51 | 200.95 | 105.86 | 1.28e-49 | 8.95e-49 | 32TOP2A, UBE2C, CENPF, BIRC5, PBK, MKI67, GTSE1, NUSAP1, PTTG1, PRC1, ASPM, TPX2, NUF2, CKS1B, AURKB, CKAP2L, HMGB2, CCNB2, KIF2C, CDK1, TUBA1B, HMGN2, SPC25, UBE2T, CCNB1, CDC20, CDKN3, CCNA2, MAD2L1, CKAP2, RRM2, KIF23 |
142 |
ZHONG_PFC_C8_ORG_PROLIFERATING | 1.77e-32 | 176.48 | 87.67 | 8.48e-31 | 1.19e-29 | 19CENPF, BIRC5, NUSAP1, PTTG1, PRC1, ASPM, TPX2, TROAP, CCNB2, CENPA, CDCA8, PLK1, CCNB1, CDC20, CDKN3, RACGAP1, ARL6IP1, CKAP2, KIF20A |
62 |
MANNO_MIDBRAIN_NEUROTYPES_HPROGFPM | 2.29e-56 | 180.43 | 85.70 | 3.84e-54 | 1.54e-53 | 41TOP2A, UBE2C, CENPF, BIRC5, PBK, MKI67, GTSE1, NUSAP1, PTTG1, TYMS, PRC1, ASPM, TPX2, NUF2, CKS1B, AURKB, CKAP2L, TROAP, HMGB2, CCNB2, HMMR, KIF2C, CDK1, UBE2S, HMGN2, CDCA8, SPC25, PLK1, UBE2T, CCNB1, HMGB1, CDKN3, RACGAP1, CCNA2, FOXM1, NCAPG, MAD2L1, CKAP2, NCAPH, RRM2, KIF23 |
356 |
MANNO_MIDBRAIN_NEUROTYPES_HPROGBP | 5.52e-55 | 169.06 | 84.23 | 7.40e-53 | 3.70e-52 | 39TOP2A, UBE2C, CENPF, BIRC5, PBK, MKI67, GTSE1, NUSAP1, PTTG1, TYMS, PRC1, ASPM, TPX2, NUF2, CKS1B, AURKB, CKAP2L, TROAP, HMGB2, CCNB2, HMMR, KIF2C, CDK1, HMGN2, CDCA8, SPC25, PLK1, UBE2T, CCNB1, CDKN3, RACGAP1, CCNA2, FOXM1, NCAPG, MAD2L1, CKAP2, NCAPH, RRM2, KIF23 |
300 |
TRAVAGLINI_LUNG_PROLIFERATING_NK_T_CELL | 5.30e-44 | 157.00 | 83.68 | 3.23e-42 | 3.56e-41 | 28TOP2A, UBE2C, CENPF, BIRC5, MKI67, GTSE1, TYMS, ASPM, TPX2, NUF2, CKS1B, AURKB, TROAP, HMGB2, HMMR, KIF2C, CDK1, TUBA1B, HMGN2, CDCA8, UBE2T, CDC20, HMGB1, CDKN3, CCNA2, MAD2L1, NCAPH, RRM2 |
129 |
TRAVAGLINI_LUNG_PROLIFERATING_BASAL_CELL | 2.08e-52 | 232.67 | 74.65 | 2.32e-50 | 1.39e-49 | 47TOP2A, UBE2C, CENPF, BIRC5, PBK, MKI67, GTSE1, NUSAP1, PTTG1, TYMS, PRC1, ASPM, TPX2, NUF2, CKS1B, AURKB, CKAP2L, TROAP, HMGB2, CCNB2, CENPA, HMMR, KIF2C, CDK1, TUBA1B, UBE2S, HMGN2, SPC25, PLK1, UBE2T, CCNB1, KIFC1, CDC20, HMGB1, CDKN3, RACGAP1, CCNA2, FOXM1, ARL6IP1, NCAPG, MAD2L1, CKAP2, NCAPH, KIF20A, RRM2, CDCA2, KIF23 |
891 |
MANNO_MIDBRAIN_NEUROTYPES_HPROGFPL | 1.56e-51 | 139.04 | 70.21 | 1.31e-49 | 1.05e-48 | 38TOP2A, UBE2C, CENPF, BIRC5, PBK, MKI67, GTSE1, NUSAP1, PTTG1, TYMS, PRC1, ASPM, TPX2, NUF2, CKS1B, AURKB, CKAP2L, TROAP, HMGB2, CCNB2, HMMR, KIF2C, CDK1, HMGN2, CDCA8, SPC25, PLK1, UBE2T, CCNB1, CDKN3, CCNA2, FOXM1, NCAPG, MAD2L1, CKAP2, NCAPH, RRM2, KIF23 |
323 |
GAO_LARGE_INTESTINE_ADULT_CH_MKI67HIGH_CELLS | 1.52e-35 | 126.27 | 66.43 | 7.86e-34 | 1.02e-32 | 23TOP2A, CENPF, BIRC5, PBK, MKI67, GTSE1, TPX2, NUF2, AURKB, CKAP2L, TROAP, CENPA, HMMR, KIF2C, CDCA8, KIFC1, CCNA2, FOXM1, NCAPG, NCAPH, KIF20A, CDCA2, KIF23 |
107 |
ZHONG_PFC_C1_MICROGLIA | 8.61e-45 | 108.64 | 57.62 | 5.78e-43 | 5.78e-42 | 33TOP2A, UBE2C, CENPF, BIRC5, PBK, GTSE1, NUSAP1, PRC1, ASPM, TPX2, NUF2, CKS1B, AURKB, CKAP2L, TROAP, HMGB2, CCNB2, HMMR, KIF2C, CDK1, TUBA1B, HMGN2, CDCA8, SPC25, PLK1, UBE2T, CCNB1, HMGB1, CDKN3, CCNA2, CKAP2, RRM2, KIF23 |
257 |
GAO_LARGE_INTESTINE_24W_C2_MKI67POS_PROGENITOR | 7.06e-31 | 97.90 | 51.16 | 2.96e-29 | 4.74e-28 | 21TOP2A, UBE2C, CENPF, BIRC5, MKI67, NUSAP1, PTTG1, PRC1, ASPM, TPX2, NUF2, AURKB, TROAP, CCNB2, CDK1, UBE2T, CCNB1, CDC20, CDKN3, CCNA2, RRM2 |
113 |
TRAVAGLINI_LUNG_PROLIFERATING_MACROPHAGE_CELL | 1.70e-46 | 122.40 | 48.50 | 1.27e-44 | 1.14e-43 | 45TOP2A, UBE2C, CENPF, BIRC5, PBK, MKI67, GTSE1, NUSAP1, PTTG1, TYMS, PRC1, ASPM, TPX2, NUF2, CKS1B, AURKB, CKAP2L, TROAP, HMGB2, CCNB2, CENPA, HMMR, KIF2C, CDK1, TUBA1B, UBE2S, HMGN2, SPC25, PLK1, UBE2T, CCNB1, KIFC1, CDC20, HMGB1, CDKN3, RACGAP1, CCNA2, FOXM1, ARL6IP1, NCAPG, MAD2L1, CKAP2, RRM2, CDCA2, KIF23 |
968 |
MANNO_MIDBRAIN_NEUROTYPES_HNPROG | 2.86e-29 | 56.21 | 30.34 | 1.07e-27 | 1.92e-26 | 24TOP2A, UBE2C, CENPF, BIRC5, PBK, MKI67, GTSE1, NUSAP1, PRC1, ASPM, TPX2, NUF2, CKAP2L, HMGB2, CCNB2, KIF2C, CDK1, CDCA8, PLK1, RACGAP1, CCNA2, MAD2L1, NCAPH, KIF23 |
229 |
HAY_BONE_MARROW_PRO_B | 2.59e-31 | 52.99 | 28.84 | 1.16e-29 | 1.74e-28 | 27TOP2A, UBE2C, CENPF, BIRC5, MKI67, GTSE1, NUSAP1, TYMS, ASPM, TPX2, NUF2, CKS1B, AURKB, CKAP2L, HMGB2, CENPA, TUBA1B, UBE2S, HMGN2, CDCA8, SPC25, KIFC1, HMGB1, RACGAP1, FOXM1, ARL6IP1, MAD2L1 |
304 |
BUSSLINGER_ESOPHAGEAL_EARLY_SUPRABASAL_CELLS | 1.51e-16 | 58.77 | 26.76 | 4.83e-15 | 1.01e-13 | 12TOP2A, CENPF, MKI67, PTTG1, PRC1, ASPM, HMGB2, CDK1, TUBA1B, CCNB1, HMGB1, RRM2 |
79 |
BUSSLINGER_ESOPHAGEAL_PROLIFERATING_BASAL_CELLS | 2.12e-15 | 59.62 | 26.26 | 6.47e-14 | 1.42e-12 | 11TOP2A, CENPF, MKI67, NUSAP1, PRC1, ASPM, HMGB2, TUBA1B, HMGB1, ARL6IP1, RRM2 |
70 |
Dowload full table
mSigDB Hallmark Gene Sets:
P-value | OR | Lower 95% CI | FDR | FWER | Genes Found | Gene Set Size | |
---|---|---|---|---|---|---|---|
HALLMARK_G2M_CHECKPOINT | 2.48e-36 | 84.74 | 45.75 | 1.24e-34 | 1.24e-34 | 27TOP2A, UBE2C, CENPF, BIRC5, PBK, MKI67, NUSAP1, PTTG1, PRC1, TPX2, CKS1B, AURKB, TROAP, CCNB2, CENPA, HMMR, KIF2C, CDK1, UBE2S, HMGN2, PLK1, CDC20, CDKN3, RACGAP1, CCNA2, MAD2L1, KIF23 |
200 |
HALLMARK_E2F_TARGETS | 1.99e-25 | 50.47 | 26.84 | 4.98e-24 | 9.96e-24 | 21TOP2A, BIRC5, MKI67, PTTG1, CKS1B, AURKB, HMGB2, CCNB2, HMMR, KIF2C, CDK1, UBE2S, CDCA8, SPC25, PLK1, UBE2T, CDC20, CDKN3, RACGAP1, MAD2L1, RRM2 |
200 |
HALLMARK_MITOTIC_SPINDLE | 1.08e-11 | 21.10 | 9.88 | 1.81e-10 | 5.42e-10 | 12TOP2A, CENPF, BIRC5, NUSAP1, PRC1, TPX2, CCNB2, KIF2C, CDK1, PLK1, RACGAP1, KIF23 |
199 |
HALLMARK_SPERMATOGENESIS | 1.83e-04 | 10.68 | 3.26 | 2.29e-03 | 9.15e-03 | 5CCNB2, KIF2C, CDK1, CDKN3, NCAPH |
135 |
HALLMARK_MYC_TARGETS_V1 | 7.71e-03 | 5.55 | 1.44 | 6.42e-02 | 3.85e-01 | 4TYMS, CDC20, CCNA2, MAD2L1 |
200 |
HALLMARK_GLYCOLYSIS | 7.71e-03 | 5.55 | 1.44 | 6.42e-02 | 3.85e-01 | 4CENPA, HMMR, CDK1, KIF20A |
200 |
HALLMARK_ESTROGEN_RESPONSE_LATE | 4.35e-02 | 4.05 | 0.80 | 3.11e-01 | 1.00e+00 | 3TOP2A, CDC20, KIF20A |
200 |
HALLMARK_DNA_REPAIR | 1.18e-01 | 3.52 | 0.41 | 7.33e-01 | 1.00e+00 | 2TYMS, ARL6IP1 |
150 |
HALLMARK_APOPTOSIS | 1.32e-01 | 3.28 | 0.38 | 7.33e-01 | 1.00e+00 | 2TOP2A, HMGB2 |
161 |
HALLMARK_MTORC1_SIGNALING | 1.85e-01 | 2.63 | 0.31 | 9.24e-01 | 1.00e+00 | 2PLK1, RRM2 |
200 |
HALLMARK_MYC_TARGETS_V2 | 2.06e-01 | 4.47 | 0.11 | 9.38e-01 | 1.00e+00 | 1PLK1 |
58 |
HALLMARK_PEROXISOME | 3.39e-01 | 2.48 | 0.06 | 1.00e+00 | 1.00e+00 | 1TOP2A |
104 |
HALLMARK_PI3K_AKT_MTOR_SIGNALING | 3.41e-01 | 2.45 | 0.06 | 1.00e+00 | 1.00e+00 | 1CDK1 |
105 |
HALLMARK_UNFOLDED_PROTEIN_RESPONSE | 3.62e-01 | 2.28 | 0.06 | 1.00e+00 | 1.00e+00 | 1CKS1B |
113 |
HALLMARK_TNFA_SIGNALING_VIA_NFKB | 1.00e+00 | 0.00 | 0.00 | 1.00e+00 | 1.00e+00 | 0 |
200 |
HALLMARK_HYPOXIA | 1.00e+00 | 0.00 | 0.00 | 1.00e+00 | 1.00e+00 | 0 |
200 |
HALLMARK_CHOLESTEROL_HOMEOSTASIS | 1.00e+00 | 0.00 | 0.00 | 1.00e+00 | 1.00e+00 | 0 |
74 |
HALLMARK_WNT_BETA_CATENIN_SIGNALING | 1.00e+00 | 0.00 | 0.00 | 1.00e+00 | 1.00e+00 | 0 |
42 |
HALLMARK_TGF_BETA_SIGNALING | 1.00e+00 | 0.00 | 0.00 | 1.00e+00 | 1.00e+00 | 0 |
54 |
HALLMARK_IL6_JAK_STAT3_SIGNALING | 1.00e+00 | 0.00 | 0.00 | 1.00e+00 | 1.00e+00 | 0 |
87 |
Dowload full table
KEGG Pathways:
P-value | OR | Lower 95% CI | FDR | FWER | Genes Found | Gene Set Size | |
---|---|---|---|---|---|---|---|
KEGG_CELL_CYCLE | 2.71e-08 | 20.33 | 8.07 | 5.04e-06 | 5.04e-06 | 8PTTG1, CCNB2, CDK1, PLK1, CCNB1, CDC20, CCNA2, MAD2L1 |
125 |
KEGG_PROGESTERONE_MEDIATED_OOCYTE_MATURATION | 9.73e-07 | 21.55 | 7.30 | 6.03e-05 | 1.81e-04 | 6CCNB2, CDK1, PLK1, CCNB1, CCNA2, MAD2L1 |
85 |
KEGG_OOCYTE_MEIOSIS | 2.72e-07 | 19.19 | 7.12 | 2.53e-05 | 5.06e-05 | 7PTTG1, CCNB2, CDK1, PLK1, CCNB1, CDC20, MAD2L1 |
113 |
KEGG_P53_SIGNALING_PATHWAY | 6.88e-06 | 22.02 | 6.60 | 3.20e-04 | 1.28e-03 | 5GTSE1, CCNB2, CDK1, CCNB1, RRM2 |
68 |
KEGG_UBIQUITIN_MEDIATED_PROTEOLYSIS | 1.61e-02 | 6.04 | 1.19 | 5.97e-01 | 1.00e+00 | 3UBE2C, UBE2S, CDC20 |
135 |
KEGG_GAP_JUNCTION | 4.93e-02 | 5.92 | 0.69 | 1.00e+00 | 1.00e+00 | 2CDK1, TUBA1B |
90 |
KEGG_PYRIMIDINE_METABOLISM | 5.73e-02 | 5.42 | 0.63 | 1.00e+00 | 1.00e+00 | 2TYMS, RRM2 |
98 |
KEGG_ONE_CARBON_POOL_BY_FOLATE | 6.56e-02 | 15.93 | 0.37 | 1.00e+00 | 1.00e+00 | 1TYMS |
17 |
KEGG_PATHWAYS_IN_CANCER | 3.61e-01 | 1.61 | 0.19 | 1.00e+00 | 1.00e+00 | 2BIRC5, CKS1B |
325 |
KEGG_BASE_EXCISION_REPAIR | 1.30e-01 | 7.50 | 0.18 | 1.00e+00 | 1.00e+00 | 1HMGB1 |
35 |
KEGG_GLUTATHIONE_METABOLISM | 1.81e-01 | 5.21 | 0.13 | 1.00e+00 | 1.00e+00 | 1RRM2 |
50 |
KEGG_PATHOGENIC_ESCHERICHIA_COLI_INFECTION | 2.00e-01 | 4.64 | 0.11 | 1.00e+00 | 1.00e+00 | 1TUBA1B |
56 |
KEGG_COLORECTAL_CANCER | 2.19e-01 | 4.18 | 0.10 | 1.00e+00 | 1.00e+00 | 1BIRC5 |
62 |
KEGG_ECM_RECEPTOR_INTERACTION | 2.84e-01 | 3.07 | 0.08 | 1.00e+00 | 1.00e+00 | 1HMMR |
84 |
KEGG_SMALL_CELL_LUNG_CANCER | 2.84e-01 | 3.07 | 0.08 | 1.00e+00 | 1.00e+00 | 1CKS1B |
84 |
KEGG_PURINE_METABOLISM | 4.68e-01 | 1.61 | 0.04 | 1.00e+00 | 1.00e+00 | 1RRM2 |
159 |
KEGG_N_GLYCAN_BIOSYNTHESIS | 1.00e+00 | 0.00 | 0.00 | 1.00e+00 | 1.00e+00 | 0 |
46 |
KEGG_OTHER_GLYCAN_DEGRADATION | 1.00e+00 | 0.00 | 0.00 | 1.00e+00 | 1.00e+00 | 0 |
16 |
KEGG_O_GLYCAN_BIOSYNTHESIS | 1.00e+00 | 0.00 | 0.00 | 1.00e+00 | 1.00e+00 | 0 |
30 |
KEGG_GLYCOSAMINOGLYCAN_DEGRADATION | 1.00e+00 | 0.00 | 0.00 | 1.00e+00 | 1.00e+00 | 0 |
21 |
Dowload full table
CHR Positional Gene Sets:
P-value | OR | Lower 95% CI | FDR | FWER | Genes Found | Gene Set Size | |
---|---|---|---|---|---|---|---|
chr4q27 | 5.87e-03 | 19.27 | 2.16 | 1.00e+00 | 1.00e+00 | 2CCNA2, MAD2L1 |
29 |
chr1p34 | 9.17e-02 | 2.93 | 0.58 | 1.00e+00 | 1.00e+00 | 3KIF2C, CDCA8, CDC20 |
275 |
chr8p21 | 9.06e-02 | 4.13 | 0.48 | 1.00e+00 | 1.00e+00 | 2PBK, CDCA2 |
128 |
chr12q13 | 2.07e-01 | 1.98 | 0.39 | 1.00e+00 | 1.00e+00 | 3TROAP, TUBA1B, RACGAP1 |
407 |
chr16p12 | 1.36e-01 | 3.21 | 0.38 | 1.00e+00 | 1.00e+00 | 2PLK1, ARL6IP1 |
164 |
chr5q34 | 1.41e-01 | 6.89 | 0.17 | 1.00e+00 | 1.00e+00 | 1HMMR |
38 |
chr15q23 | 2.28e-01 | 3.99 | 0.10 | 1.00e+00 | 1.00e+00 | 1KIF23 |
65 |
chr1q31 | 2.46e-01 | 3.64 | 0.09 | 1.00e+00 | 1.00e+00 | 1ASPM |
71 |
chr14q22 | 3.01e-01 | 2.87 | 0.07 | 1.00e+00 | 1.00e+00 | 1CDKN3 |
90 |
chr1q41 | 3.06e-01 | 2.80 | 0.07 | 1.00e+00 | 1.00e+00 | 1CENPF |
92 |
chr5q33 | 3.52e-01 | 2.36 | 0.06 | 1.00e+00 | 1.00e+00 | 1PTTG1 |
109 |
chr10q21 | 3.69e-01 | 2.22 | 0.05 | 1.00e+00 | 1.00e+00 | 1CDK1 |
116 |
chr2p25 | 3.72e-01 | 2.20 | 0.05 | 1.00e+00 | 1.00e+00 | 1RRM2 |
117 |
chr4p15 | 3.84e-01 | 2.11 | 0.05 | 1.00e+00 | 1.00e+00 | 1NCAPG |
122 |
chr15q22 | 3.89e-01 | 2.07 | 0.05 | 1.00e+00 | 1.00e+00 | 1CCNB2 |
124 |
chr5q13 | 4.31e-01 | 1.81 | 0.04 | 1.00e+00 | 1.00e+00 | 1CCNB1 |
142 |
chr15q15 | 4.33e-01 | 1.80 | 0.04 | 1.00e+00 | 1.00e+00 | 1NUSAP1 |
143 |
chr2p23 | 4.38e-01 | 1.77 | 0.04 | 1.00e+00 | 1.00e+00 | 1CENPA |
145 |
chr2q11 | 4.40e-01 | 1.76 | 0.04 | 1.00e+00 | 1.00e+00 | 1NCAPH |
146 |
chr2q14 | 4.57e-01 | 1.67 | 0.04 | 1.00e+00 | 1.00e+00 | 1CKAP2L |
154 |
Dowload full table
Transcription Factor Targets:
P-value | OR | Lower 95% CI | FDR | FWER | Genes Found | Gene Set Size | |
---|---|---|---|---|---|---|---|
HSD17B8_TARGET_GENES | 8.24e-40 | 63.81 | 32.47 | 9.33e-37 | 9.33e-37 | 38TOP2A, UBE2C, CENPF, BIRC5, PBK, MKI67, GTSE1, PTTG1, PRC1, ASPM, NUF2, CKS1B, AURKB, CKAP2L, TROAP, HMGB2, CCNB2, CENPA, HMMR, KIF2C, CDK1, CDCA8, SPC25, PLK1, UBE2T, KIFC1, CDC20, HMGB1, CDKN3, CCNA2, FOXM1, NCAPG, MAD2L1, NCAPH, KIF20A, RRM2, CDCA2, KIF23 |
659 |
E2F5_TARGET_GENES | 1.30e-12 | 9.25 | 5.07 | 7.39e-10 | 1.48e-09 | 24TOP2A, CENPF, BIRC5, PBK, MKI67, TPX2, NUF2, AURKB, HMGB2, CCNB2, CENPA, HMGN2, CDCA8, SPC25, PLK1, UBE2T, HMGB1, CDKN3, RACGAP1, CCNA2, FOXM1, NCAPH, RRM2, CDCA2 |
1273 |
BARX2_TARGET_GENES | 7.43e-12 | 7.99 | 4.40 | 2.81e-09 | 8.42e-09 | 26TOP2A, UBE2C, CENPF, PRC1, ASPM, TPX2, CKS1B, AURKB, TROAP, HMGB2, CCNB2, CENPA, KIF2C, CDK1, UBE2S, CDCA8, SPC25, UBE2T, CCNB1, KIFC1, CDC20, HMGB1, ARL6IP1, CKAP2, RRM2, KIF23 |
1723 |
CC2D1A_TARGET_GENES | 3.73e-09 | 6.81 | 3.65 | 1.06e-06 | 4.23e-06 | 20CENPF, PBK, PTTG1, PRC1, ASPM, NUF2, HMGB2, CDK1, UBE2S, SPC25, PLK1, UBE2T, CDC20, HMGB1, RACGAP1, CCNA2, ARL6IP1, NCAPG, RRM2, CDCA2 |
1245 |
BARX1_TARGET_GENES | 3.12e-08 | 6.16 | 3.28 | 7.06e-06 | 3.53e-05 | 19TOP2A, UBE2C, CENPF, TPX2, NUF2, CKS1B, HMGB2, CENPA, TUBA1B, CDCA8, SPC25, PLK1, KIFC1, CDC20, HMGB1, CDKN3, ARL6IP1, RRM2, CDCA2 |
1264 |
GATTGGY_NFY_Q6_01 | 2.30e-06 | 5.07 | 2.61 | 3.73e-04 | 2.61e-03 | 16TOP2A, UBE2C, CENPF, TPX2, CKS1B, TROAP, HMGB2, CDK1, HMGN2, SPC25, PLK1, CDKN3, RACGAP1, NCAPH, KIF20A, KIF23 |
1177 |
ASH1L_TARGET_GENES | 1.15e-06 | 4.93 | 2.60 | 2.18e-04 | 1.31e-03 | 18TOP2A, CENPF, ASPM, TPX2, CKS1B, CKAP2L, CCNB2, CENPA, HMMR, CDK1, CDCA8, SPC25, CCNB1, HMGB1, CDKN3, RACGAP1, CKAP2, CDCA2 |
1446 |
ASXL2_TARGET_GENES | 4.39e-03 | 22.60 | 2.52 | 3.11e-01 | 1.00e+00 | 2FOXM1, NCAPG |
25 |
NFY_C | 4.05e-04 | 6.99 | 2.41 | 4.17e-02 | 4.58e-01 | 6UBE2C, SPC25, RACGAP1, ARL6IP1, KIF20A, KIF23 |
250 |
AEBP2_TARGET_GENES | 6.60e-05 | 4.31 | 2.09 | 8.31e-03 | 7.48e-02 | 13TOP2A, UBE2C, CENPF, TYMS, TPX2, CKS1B, CENPA, CDK1, UBE2S, SPC25, CCNB1, HMGB1, CDCA2 |
1033 |
E2F2_TARGET_GENES | 3.29e-05 | 4.02 | 2.07 | 4.66e-03 | 3.73e-02 | 16TOP2A, CENPF, TPX2, NUF2, AURKB, HMGB2, CENPA, CDK1, SPC25, CCNB1, KIFC1, HMGB1, CCNA2, ARL6IP1, CKAP2, KIF20A |
1481 |
ZNF350_TARGET_GENES | 4.52e-04 | 3.34 | 1.66 | 4.27e-02 | 5.12e-01 | 14TOP2A, CENPF, PTTG1, PRC1, NUF2, CKS1B, TROAP, HMGB2, CENPA, CDK1, PLK1, UBE2T, HMGB1, CDCA2 |
1470 |
NFY_Q6 | 3.50e-03 | 5.38 | 1.65 | 2.64e-01 | 1.00e+00 | 5TOP2A, CENPF, HMGB2, CDK1, RACGAP1 |
263 |
ZFHX3_TARGET_GENES | 3.58e-04 | 3.20 | 1.65 | 4.06e-02 | 4.06e-01 | 16TOP2A, UBE2C, PBK, NUSAP1, NUF2, CKS1B, CCNB2, CENPA, HMMR, KIF2C, SPC25, UBE2T, CCNB1, HMGB1, MAD2L1, CDCA2 |
1857 |
KAT5_TARGET_GENES | 1.63e-03 | 3.47 | 1.54 | 1.32e-01 | 1.00e+00 | 10BIRC5, NUF2, AURKB, CDK1, UBE2S, PLK1, UBE2T, CCNB1, HMGB1, KIF23 |
910 |
CHAMP1_TARGET_GENES | 8.81e-03 | 5.33 | 1.38 | 5.48e-01 | 1.00e+00 | 4CENPF, NUF2, CCNA2, CDCA2 |
208 |
ZBTB49_TARGET_GENES | 1.98e-02 | 63.54 | 1.27 | 8.20e-01 | 1.00e+00 | 1TUBA1B |
5 |
CEBPZ_TARGET_GENES | 9.19e-03 | 2.62 | 1.24 | 5.48e-01 | 1.00e+00 | 12TOP2A, UBE2C, NUF2, CKS1B, CKAP2L, TROAP, CENPA, CDCA8, SPC25, CDKN3, CCNA2, CDCA2 |
1520 |
ZSCAN29_TARGET_GENES | 1.12e-02 | 2.34 | 1.14 | 6.35e-01 | 1.00e+00 | 13PTTG1, HMMR, UBE2S, SPC25, PLK1, UBE2T, HMGB1, RACGAP1, CCNA2, FOXM1, ARL6IP1, RRM2, CDCA2 |
1888 |
NFY_01 | 1.86e-02 | 4.23 | 1.10 | 8.20e-01 | 1.00e+00 | 4CDK1, PLK1, RACGAP1, KIF23 |
261 |
Dowload full table
GO Biological Processes:
P-value | OR | Lower 95% CI | FDR | FWER | Genes Found | Gene Set Size | |
---|---|---|---|---|---|---|---|
GOBP_SPINDLE_ELONGATION | 2.76e-08 | 215.24 | 41.38 | 5.30e-06 | 2.07e-04 | 4PRC1, AURKB, RACGAP1, KIF23 |
9 |
GOBP_MITOTIC_NUCLEAR_ENVELOPE_DISASSEMBLY | 1.07e-07 | 135.51 | 28.72 | 1.79e-05 | 8.03e-04 | 4CCNB2, CDK1, PLK1, CCNB1 |
12 |
GOBP_SPINDLE_MIDZONE_ASSEMBLY | 1.07e-07 | 135.51 | 28.72 | 1.79e-05 | 8.03e-04 | 4PRC1, AURKB, RACGAP1, KIF23 |
12 |
GOBP_POSITIVE_REGULATION_OF_UBIQUITIN_PROTEIN_LIGASE_ACTIVITY | 1.55e-07 | 120.21 | 26.08 | 2.51e-05 | 1.16e-03 | 4UBE2C, UBE2S, PLK1, CDC20 |
13 |
GOBP_MITOTIC_SISTER_CHROMATID_SEGREGATION | 4.78e-22 | 48.11 | 24.83 | 4.47e-19 | 3.58e-18 | 18UBE2C, CENPF, NUSAP1, PTTG1, PRC1, NUF2, AURKB, KIF2C, CDCA8, PLK1, CCNB1, KIFC1, CDC20, RACGAP1, NCAPG, MAD2L1, NCAPH, KIF23 |
164 |
GOBP_CELL_DIVISION | 1.15e-32 | 42.86 | 23.04 | 8.60e-29 | 8.60e-29 | 33TOP2A, UBE2C, CENPF, BIRC5, NUSAP1, PTTG1, PRC1, ASPM, TPX2, NUF2, CKS1B, AURKB, CCNB2, CENPA, KIF2C, CDK1, TUBA1B, UBE2S, CDCA8, SPC25, PLK1, CCNB1, KIFC1, CDC20, RACGAP1, CCNA2, NCAPG, MAD2L1, CKAP2, NCAPH, KIF20A, CDCA2, KIF23 |
600 |
GOBP_SISTER_CHROMATID_SEGREGATION | 3.95e-22 | 42.54 | 22.26 | 4.22e-19 | 2.95e-18 | 19TOP2A, UBE2C, CENPF, NUSAP1, PTTG1, PRC1, NUF2, AURKB, KIF2C, CDCA8, PLK1, CCNB1, KIFC1, CDC20, RACGAP1, NCAPG, MAD2L1, NCAPH, KIF23 |
199 |
GOBP_MEMBRANE_DISASSEMBLY | 2.93e-07 | 98.26 | 22.02 | 4.48e-05 | 2.19e-03 | 4CCNB2, CDK1, PLK1, CCNB1 |
15 |
GOBP_REGULATION_OF_UBIQUITIN_PROTEIN_LIGASE_ACTIVITY | 2.58e-08 | 76.73 | 21.38 | 5.22e-06 | 1.93e-04 | 5UBE2C, UBE2S, PLK1, CDC20, MAD2L1 |
23 |
GOBP_MITOTIC_NUCLEAR_DIVISION | 5.73e-25 | 39.01 | 21.07 | 8.57e-22 | 4.29e-21 | 23UBE2C, CENPF, MKI67, NUSAP1, PTTG1, PRC1, TPX2, NUF2, AURKB, CCNB2, KIF2C, CDK1, UBE2S, CDCA8, PLK1, CCNB1, KIFC1, CDC20, RACGAP1, NCAPG, MAD2L1, NCAPH, KIF23 |
296 |
GOBP_DNA_TOPOLOGICAL_CHANGE | 4.91e-06 | 132.55 | 20.77 | 5.48e-04 | 3.67e-02 | 3TOP2A, HMGB2, HMGB1 |
9 |
GOBP_REGULATION_OF_MITOTIC_SISTER_CHROMATID_SEGREGATION | 4.06e-10 | 53.38 | 19.07 | 1.22e-07 | 3.04e-06 | 7CENPF, PTTG1, AURKB, PLK1, CCNB1, CDC20, MAD2L1 |
45 |
GOBP_MITOTIC_CELL_CYCLE | 2.86e-31 | 35.82 | 18.53 | 1.07e-27 | 2.14e-27 | 37UBE2C, CENPF, PBK, MKI67, GTSE1, NUSAP1, PTTG1, TYMS, PRC1, TPX2, NUF2, CKS1B, AURKB, CCNB2, CENPA, HMMR, KIF2C, CDK1, TUBA1B, UBE2S, CDCA8, SPC25, PLK1, CCNB1, KIFC1, CDC20, CDKN3, RACGAP1, CCNA2, FOXM1, NCAPG, MAD2L1, CKAP2, NCAPH, KIF20A, RRM2, KIF23 |
1032 |
GOBP_CHROMOSOME_SEGREGATION | 1.08e-23 | 33.92 | 18.35 | 1.35e-20 | 8.08e-20 | 23TOP2A, UBE2C, CENPF, BIRC5, MKI67, NUSAP1, PTTG1, PRC1, NUF2, AURKB, KIF2C, CDCA8, SPC25, PLK1, CCNB1, KIFC1, CDC20, RACGAP1, NCAPG, MAD2L1, NCAPH, CDCA2, KIF23 |
337 |
GOBP_MICROTUBULE_CYTOSKELETON_ORGANIZATION_INVOLVED_IN_MITOSIS | 1.84e-16 | 37.65 | 18.31 | 1.25e-13 | 1.38e-12 | 14NUSAP1, PRC1, TPX2, NUF2, AURKB, CENPA, SPC25, PLK1, CCNB1, KIFC1, CDC20, RACGAP1, MAD2L1, KIF23 |
143 |
GOBP_REGULATION_OF_CHROMOSOME_SEGREGATION | 1.46e-12 | 39.50 | 17.01 | 5.74e-10 | 1.09e-08 | 10UBE2C, CENPF, MKI67, PTTG1, AURKB, KIF2C, PLK1, CCNB1, CDC20, MAD2L1 |
89 |
GOBP_MITOTIC_SPINDLE_ASSEMBLY | 1.44e-10 | 41.68 | 16.18 | 4.69e-08 | 1.08e-06 | 8PRC1, TPX2, AURKB, PLK1, KIFC1, CDC20, RACGAP1, KIF23 |
65 |
GOBP_NEGATIVE_REGULATION_OF_METAPHASE_ANAPHASE_TRANSITION_OF_CELL_CYCLE | 1.16e-08 | 48.57 | 15.89 | 2.56e-06 | 8.71e-05 | 6CENPF, AURKB, PLK1, CCNB1, CDC20, MAD2L1 |
41 |
GOBP_NUCLEAR_CHROMOSOME_SEGREGATION | 1.55e-19 | 30.14 | 15.87 | 1.16e-16 | 1.16e-15 | 19TOP2A, UBE2C, CENPF, NUSAP1, PTTG1, PRC1, NUF2, AURKB, KIF2C, CDCA8, PLK1, CCNB1, KIFC1, CDC20, RACGAP1, NCAPG, MAD2L1, NCAPH, KIF23 |
273 |
GOBP_ANAPHASE_PROMOTING_COMPLEX_DEPENDENT_CATABOLIC_PROCESS | 2.95e-11 | 36.98 | 15.27 | 1.05e-08 | 2.20e-07 | 9UBE2C, PTTG1, AURKB, CDK1, UBE2S, PLK1, CCNB1, CDC20, MAD2L1 |
83 |
Dowload full table
Immunological Gene Sets:
P-value | OR | Lower 95% CI | FDR | FWER | Genes Found | Gene Set Size | |
---|---|---|---|---|---|---|---|
GSE15750_DAY6_VS_DAY10_TRAF6KO_EFF_CD8_TCELL_UP | 1.43e-48 | 144.92 | 76.73 | 6.97e-45 | 6.97e-45 | 33TOP2A, UBE2C, CENPF, BIRC5, PBK, MKI67, GTSE1, ASPM, TPX2, NUF2, CKS1B, AURKB, CKAP2L, HMGB2, CCNB2, CENPA, HMMR, CDK1, TUBA1B, SPC25, PLK1, CDKN3, RACGAP1, CCNA2, FOXM1, NCAPG, MAD2L1, CKAP2, NCAPH, KIF20A, RRM2, CDCA2, KIF23 |
200 |
GSE15750_DAY6_VS_DAY10_EFF_CD8_TCELL_UP | 1.96e-46 | 132.09 | 70.42 | 4.77e-43 | 9.54e-43 | 32TOP2A, UBE2C, BIRC5, PBK, GTSE1, NUSAP1, PRC1, ASPM, TPX2, NUF2, CKS1B, AURKB, CKAP2L, CCNB2, CENPA, HMMR, KIF2C, CDK1, TUBA1B, CDCA8, SPC25, PLK1, CDC20, CDKN3, RACGAP1, NCAPG, MAD2L1, CKAP2, NCAPH, KIF20A, RRM2, KIF23 |
200 |
GSE13547_CTRL_VS_ANTI_IGM_STIM_BCELL_12H_UP | 3.72e-37 | 91.56 | 49.42 | 6.04e-34 | 1.81e-33 | 27TOP2A, CENPF, BIRC5, PBK, MKI67, PRC1, ASPM, TPX2, NUF2, CKS1B, AURKB, HMGB2, CCNB2, HMMR, CDK1, CDCA8, SPC25, PLK1, CDKN3, RACGAP1, CCNA2, NCAPG, MAD2L1, CKAP2, NCAPH, RRM2, KIF23 |
187 |
GSE14415_NATURAL_TREG_VS_TCONV_DN | 7.49e-32 | 73.86 | 39.65 | 4.06e-29 | 3.65e-28 | 24TOP2A, CENPF, BIRC5, PBK, PRC1, ASPM, TPX2, NUF2, CKS1B, CKAP2L, HMGB2, CCNB2, HMMR, CDK1, CDCA8, PLK1, CDKN3, CCNA2, NCAPG, MAD2L1, CKAP2, NCAPH, RRM2, KIF23 |
180 |
GSE45365_HEALTHY_VS_MCMV_INFECTION_CD11B_DC_DN | 7.79e-33 | 73.48 | 39.59 | 9.14e-30 | 3.80e-29 | 25UBE2C, CENPF, BIRC5, PBK, MKI67, PTTG1, PRC1, ASPM, TPX2, NUF2, AURKB, TROAP, CCNB2, CENPA, HMMR, CDK1, UBE2S, CDCA8, PLK1, CCNB1, CDC20, CDKN3, FOXM1, KIF20A, RRM2 |
195 |
GSE2405_S_AUREUS_VS_UNTREATED_NEUTROPHIL_DN | 1.32e-32 | 71.89 | 38.68 | 9.14e-30 | 6.42e-29 | 25TOP2A, CENPF, BIRC5, PBK, MKI67, NUSAP1, PRC1, TPX2, NUF2, CKAP2L, CENPA, HMMR, KIF2C, CDCA8, SPC25, CDKN3, RACGAP1, CCNA2, NCAPG, MAD2L1, CKAP2, NCAPH, KIF20A, RRM2, CDCA2 |
199 |
GSE36476_CTRL_VS_TSST_ACT_40H_MEMORY_CD4_TCELL_YOUNG_DN | 1.50e-32 | 71.50 | 38.46 | 9.14e-30 | 7.31e-29 | 25TOP2A, UBE2C, BIRC5, MKI67, NUSAP1, TYMS, ASPM, TPX2, CKS1B, AURKB, CCNB2, CENPA, HMMR, KIF2C, TUBA1B, CDCA8, CCNB1, CDC20, CDKN3, RACGAP1, NCAPG, NCAPH, KIF20A, RRM2, KIF23 |
200 |
GSE36476_CTRL_VS_TSST_ACT_72H_MEMORY_CD4_TCELL_YOUNG_DN | 1.50e-32 | 71.50 | 38.46 | 9.14e-30 | 7.31e-29 | 25TOP2A, UBE2C, BIRC5, PBK, MKI67, NUSAP1, PTTG1, TYMS, ASPM, CKS1B, CCNB2, CENPA, HMMR, KIF2C, TUBA1B, CDCA8, CCNB1, KIFC1, CDC20, CDKN3, FOXM1, NCAPG, NCAPH, KIF20A, RRM2 |
200 |
GSE36476_CTRL_VS_TSST_ACT_72H_MEMORY_CD4_TCELL_OLD_DN | 1.50e-32 | 71.50 | 38.46 | 9.14e-30 | 7.31e-29 | 25TOP2A, UBE2C, CENPF, MKI67, NUSAP1, TYMS, ASPM, TPX2, CKS1B, AURKB, CCNB2, CENPA, HMMR, TUBA1B, HMGN2, CCNB1, CDC20, RACGAP1, CCNA2, FOXM1, NCAPG, NCAPH, KIF20A, RRM2, KIF23 |
200 |
GSE13547_2H_VS_12_H_ANTI_IGM_STIM_BCELL_UP | 2.71e-30 | 69.96 | 37.44 | 1.10e-27 | 1.32e-26 | 23TOP2A, CENPF, BIRC5, PBK, MKI67, PTTG1, PRC1, ASPM, TPX2, NUF2, CKS1B, CKAP2L, HMGB2, CCNB2, HMMR, CDK1, CDCA8, CDC20, CDKN3, CCNA2, NCAPG, NCAPH, RRM2 |
175 |
GSE13547_CTRL_VS_ANTI_IGM_STIM_BCELL_2H_UP | 6.92e-30 | 66.91 | 35.83 | 2.59e-27 | 3.37e-26 | 23TOP2A, CENPF, MKI67, PRC1, ASPM, TPX2, NUF2, CKS1B, AURKB, CCNB2, CENPA, HMMR, KIF2C, CDK1, CDCA8, SPC25, PLK1, CDKN3, CCNA2, NCAPG, MAD2L1, CKAP2, RRM2 |
182 |
GOLDRATH_EFF_VS_MEMORY_CD8_TCELL_UP | 1.03e-30 | 65.45 | 35.28 | 4.55e-28 | 5.01e-27 | 24TOP2A, BIRC5, MKI67, NUSAP1, TYMS, PRC1, ASPM, CKS1B, AURKB, CCNB2, CENPA, KIF2C, CDK1, TUBA1B, CDCA8, UBE2T, CDC20, CDKN3, CCNA2, MAD2L1, NCAPH, KIF20A, RRM2, KIF23 |
200 |
GSE24634_TEFF_VS_TCONV_DAY7_IN_CULTURE_UP | 1.03e-30 | 65.45 | 35.28 | 4.55e-28 | 5.01e-27 | 24UBE2C, CENPF, NUSAP1, PTTG1, PRC1, ASPM, TPX2, HMGB2, CCNB2, CENPA, HMMR, KIF2C, CDK1, CDCA8, PLK1, CCNB1, CDC20, RACGAP1, CCNA2, NCAPG, MAD2L1, NCAPH, KIF20A, RRM2 |
200 |
GSE24634_IL4_VS_CTRL_TREATED_NAIVE_CD4_TCELL_DAY7_UP | 5.11e-29 | 60.79 | 32.64 | 1.66e-26 | 2.49e-25 | 23UBE2C, BIRC5, MKI67, NUSAP1, PTTG1, TYMS, TPX2, AURKB, HMGB2, CCNB2, HMMR, KIF2C, CDK1, CDCA8, CCNB1, CDC20, CDKN3, RACGAP1, CCNA2, NCAPG, KIF20A, RRM2, KIF23 |
198 |
GSE25088_WT_VS_STAT6_KO_MACROPHAGE_IL4_STIM_DN | 5.11e-29 | 60.79 | 32.64 | 1.66e-26 | 2.49e-25 | 23TOP2A, CENPF, MKI67, NUSAP1, PTTG1, TYMS, PRC1, ASPM, TROAP, HMGB2, CCNB2, HMMR, CDK1, HMGN2, CCNB1, CDC20, HMGB1, CDKN3, RACGAP1, NCAPG, NCAPH, KIF20A, RRM2 |
198 |
GSE14415_INDUCED_VS_NATURAL_TREG_DN | 2.34e-26 | 56.51 | 29.95 | 7.12e-24 | 1.14e-22 | 21TOP2A, CENPF, BIRC5, PBK, MKI67, ASPM, TPX2, NUF2, CKS1B, CKAP2L, CCNB2, CENPA, HMMR, KIF2C, CDK1, HMGN2, CDCA8, PLK1, CCNA2, NCAPG, KIF23 |
181 |
GOLDRATH_NAIVE_VS_EFF_CD8_TCELL_DN | 1.99e-25 | 50.47 | 26.84 | 5.39e-23 | 9.70e-22 | 21TOP2A, BIRC5, MKI67, NUSAP1, TYMS, PRC1, ASPM, CKS1B, AURKB, CCNB2, CENPA, KIF2C, CDK1, CDCA8, UBE2T, KIFC1, CDKN3, CCNA2, MAD2L1, NCAPH, KIF20A |
200 |
GSE39110_DAY3_VS_DAY6_POST_IMMUNIZATION_CD8_TCELL_DN | 1.99e-25 | 50.47 | 26.84 | 5.39e-23 | 9.70e-22 | 21TOP2A, UBE2C, CENPF, BIRC5, PBK, NUSAP1, ASPM, TPX2, NUF2, CKS1B, CCNB2, KIF2C, CDK1, SPC25, PLK1, CDC20, RACGAP1, CCNA2, FOXM1, CKAP2, KIF20A |
200 |
GSE13547_2H_VS_12_H_ANTI_IGM_STIM_BCELL_DN | 1.78e-24 | 50.76 | 26.74 | 4.57e-22 | 8.69e-21 | 20BIRC5, PBK, MKI67, NUF2, CKS1B, AURKB, CKAP2L, TROAP, CCNB2, HMMR, CDK1, UBE2S, HMGN2, CDCA8, SPC25, PLK1, CDKN3, CCNA2, MAD2L1, RRM2 |
184 |
GSE40274_CTRL_VS_EOS_TRANSDUCED_ACTIVATED_CD4_TCELL_UP | 3.70e-23 | 48.73 | 25.44 | 8.20e-21 | 1.80e-19 | 19TOP2A, BIRC5, MKI67, GTSE1, PRC1, TPX2, NUF2, AURKB, CKAP2L, HMMR, CDK1, CDCA8, SPC25, RACGAP1, CCNA2, MAD2L1, NCAPH, CDCA2, KIF23 |
176 |
Top Ranked Transcription Factors for this Gene Expression Program:
Gene Symbol | TF Rank | DNA Binding Domain | Motif Status | IUPAC PWM | GTEx | DepMap | Decartes |
---|---|---|---|---|---|---|---|
TOP2A | 1 | No | Unlikely to be sequence specific TF | Low specificity DNA-binding protein | No motif | None | DNA topoisomerase. Binds DNA in the crystal structure (PDB: 4FM9). |
PTTG1 | 9 | No | Unlikely to be sequence specific TF | Not a DNA binding protein | No motif | None | GO annotation has no evidence for DNA-binding activity (PMID:9811450), only transcriptional activation in reporter experiments |
HMGB2 | 20 | No | Unlikely to be sequence specific TF | Low specificity DNA-binding protein | No motif | None | In the alignment, it clusters with other HMG proteins that have not yielded motifs. Evidence exists showing HMGB½ are non-sequence-specific binding proteins (PMID: 11497996). HMGB2 is well-known to facilitate DNA-bending and interact with sequence-specific TFs and transcriptional co-factors. |
CENPA | 22 | Yes | Likely to be sequence specific TF | Low specificity DNA-binding protein | No motif | None | Histone like protein. Binds DNA in the crystal structure (PDB: 3AN2). |
HMGB1 | 36 | No | Unlikely to be sequence specific TF | Low specificity DNA-binding protein | No motif | None | In the alignment, it clusters with other HMG proteins that have not yielded motifs. Evidence exists showing HMGB½ are non-sequence-specific binding proteins (PMID: 11497996). |
FOXM1 | 40 | Yes | Known motif | Monomer or homomultimer | 100 perc ID - in vitro | None | None |
PCNA | 62 | No | Unlikely to be sequence specific TF | Low specificity DNA-binding protein | No motif | None | Binds DNA in the crystal structure (PDB: 5L7C). Protein barely contacts the DNA at all |
NDC80 | 63 | No | Unlikely to be sequence specific TF | Not a DNA binding protein | No motif | None | Based on the alignments, the protein is only weakly related to the other bZIP proteins and lacks the basic region required for DNA binding |
DEK | 73 | No | Unlikely to be sequence specific TF | Low specificity DNA-binding protein | No motif | None | This protein binds to cruciform and superhelical DNA and induces positive supercoils into closed circular DNA, and is also involved in splice site selection during mRNA processing. (Entrez gene summary). So it must have some nonspecific DNA affinity. |
NUCKS1 | 82 | No | Unlikely to be sequence specific TF | Not a DNA binding protein | No motif | None | Contains a GRP core, which is similar to an AT-hook. But, the amino acids flanking the core are quite different from an AT-hook. Could non-specifically bind to DNA, but lacks compelling evidence. |
KIF15 | 88 | No | Unlikely to be sequence specific TF | Not a DNA binding protein | No motif | None | Has a bZIP like fragment that lacks the basic region required for DNA binding and a STE-domain that is classified as a potential DBD in CIS-BP. It is a kinesin operating in the microtubule system (PMID: 24419385) |
E2F1 | 112 | Yes | Known motif | Monomer or homomultimer | High-throughput in vitro | None | None |
BRCA1 | 119 | No | Unlikely to be sequence specific TF | Low specificity DNA-binding protein | In vivo/Misc source | None | BRCA1 likely binds to DNA without DNA sequence specificity (PMID: 11353843) |
HMGB3 | 121 | No | Unlikely to be sequence specific TF | Low specificity DNA-binding protein | No motif | None | Similar to HMGB½, which bind DNA with low specificity |
CDC6 | 122 | No | Unlikely to be sequence specific TF | Not a DNA binding protein | No motif | None | None |
RAD21 | 133 | No | Unlikely to be sequence specific TF | Not a DNA binding protein | No motif | None | Motifs are suspicious; protein is a component of the cohesin complex and there is no evidence for direct binding to DNA. |
TCF19 | 145 | No | Unlikely to be sequence specific TF | Not a DNA binding protein | No motif | Has a putative AT-hook | Previous evidence (PMID: 1868030) for TF activity is based on sequence analysis (high proline content), and presence of an FHA domain. However, neither prove ability to bind DNA in a sequence-specific manner |
MXD3 | 147 | Yes | Inferred motif | Obligate heteromer | In vivo/Misc source | None | All three MXD proteins have very similar sequences and should behave accordingly, making heterodimers with at least MAX (PMID:8521822). |
POLQ | 152 | No | Unlikely to be sequence specific TF | Low specificity DNA-binding protein | No motif | None | Binds DNA in the crystal structure (PDB: 4X0P) |
MYBL2 | 153 | Yes | Known motif | Monomer or homomultimer | High-throughput in vitro | None | Contains 3 Myb DBDs |
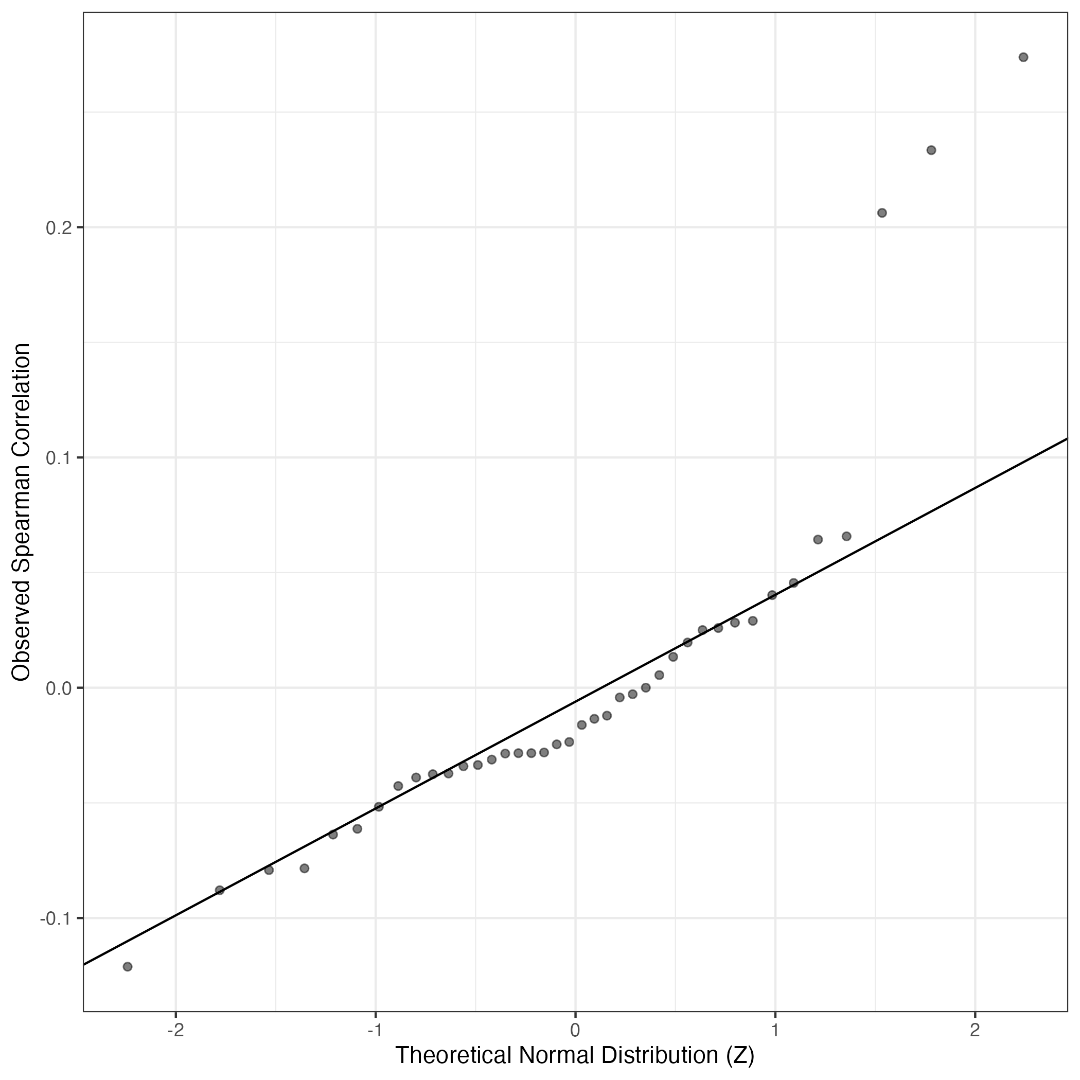
QQ Plot showing correlations with other GEPs in this dataset, calculated by Spearman correlation:
Interactive QQ-plot of gene loadings:
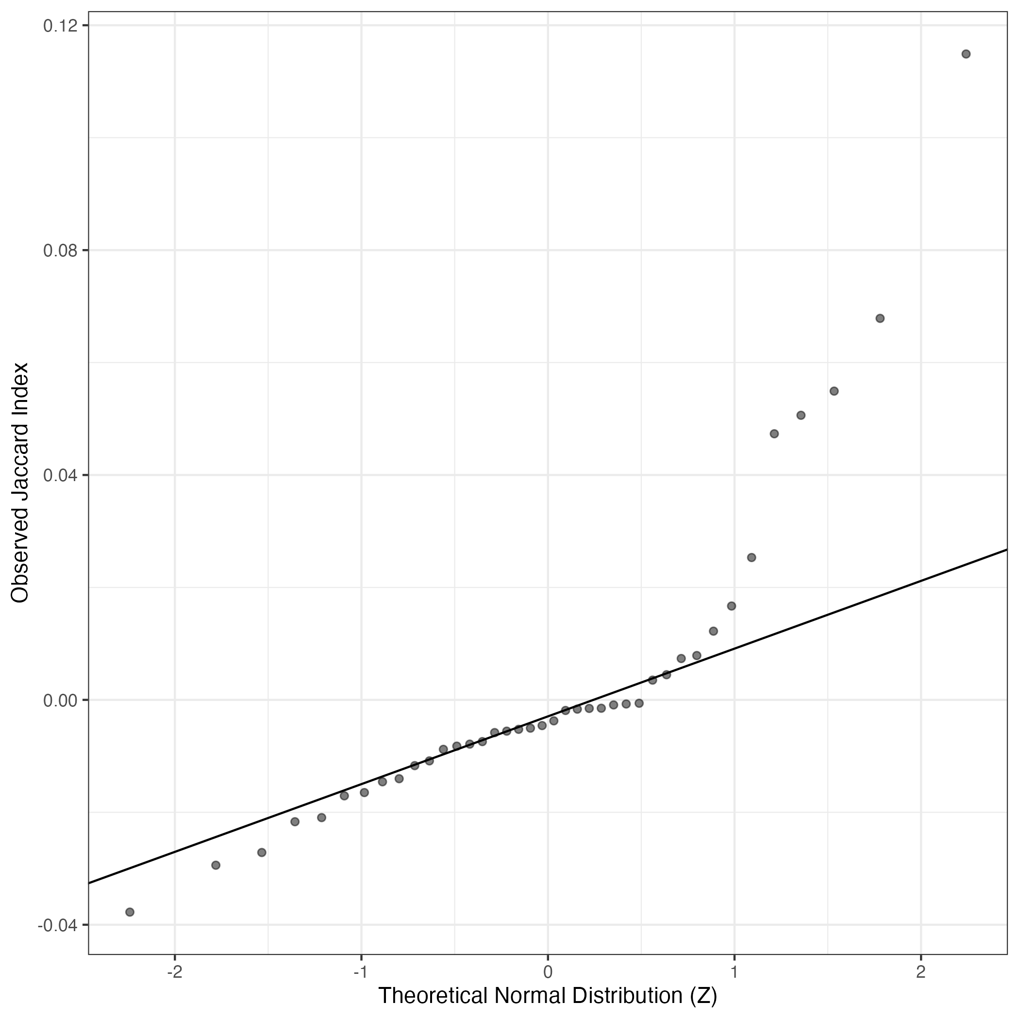
A similar QQ-plot as above, but only for instances where the H value is e.g. > 25, i.e. we are confident that the expression program is active above noise. Agreemenet between these binary vectors is tested using the Jaccard Index, with the P-values calculated by an exact test:
Interactive QQ-plot:
Singler cell type annotations for the top 50 cells on this program.
Cell ID | Singler label | Singler Delta | Activity Score | Top Singler Raw Scores |
---|---|---|---|---|
STDY8004910_GCATACAGTCTAGAGG | Neurons:adrenal_medulla_cell_line | 0.25 | 634.17 | Raw ScoresNeurons:adrenal_medulla_cell_line: 0.51, Neuroepithelial_cell:ESC-derived: 0.45, Astrocyte:Embryonic_stem_cell-derived: 0.43, iPS_cells:PDB_1lox-21Puro-20: 0.42, iPS_cells:PDB_1lox-17Puro-10: 0.41, iPS_cells:PDB_1lox-21Puro-26: 0.41, iPS_cells:PDB_1lox-17Puro-5: 0.41, Neurons:ES_cell-derived_neural_precursor: 0.4, iPS_cells:PDB_2lox-22: 0.4, Embryonic_stem_cells: 0.4 |
STDY8004902_TATGCCCAGTCGTTTG | Neurons:adrenal_medulla_cell_line | 0.27 | 605.65 | Raw ScoresNeurons:adrenal_medulla_cell_line: 0.51, Neuroepithelial_cell:ESC-derived: 0.45, Astrocyte:Embryonic_stem_cell-derived: 0.42, iPS_cells:PDB_1lox-21Puro-20: 0.41, iPS_cells:PDB_1lox-17Puro-10: 0.41, iPS_cells:PDB_1lox-21Puro-26: 0.41, iPS_cells:PDB_1lox-17Puro-5: 0.41, Neurons:ES_cell-derived_neural_precursor: 0.41, iPS_cells:PDB_2lox-22: 0.4, iPS_cells:PDB_2lox-21: 0.4 |
STDY7787237_CTGCTGTAGTCGTACT | Neurons:adrenal_medulla_cell_line | 0.25 | 347.54 | Raw ScoresNeurons:adrenal_medulla_cell_line: 0.58, Neuroepithelial_cell:ESC-derived: 0.48, Astrocyte:Embryonic_stem_cell-derived: 0.47, iPS_cells:PDB_1lox-21Puro-20: 0.47, iPS_cells:PDB_1lox-21Puro-26: 0.47, iPS_cells:PDB_1lox-17Puro-10: 0.47, iPS_cells:PDB_1lox-17Puro-5: 0.46, iPS_cells:PDB_2lox-22: 0.46, Embryonic_stem_cells: 0.45, iPS_cells:PDB_2lox-21: 0.45 |
STDY7787239_CCAGCGACATCCTTGC | Neurons:adrenal_medulla_cell_line | 0.25 | 308.35 | Raw ScoresNeurons:adrenal_medulla_cell_line: 0.48, Neuroepithelial_cell:ESC-derived: 0.39, iPS_cells:PDB_1lox-21Puro-20: 0.38, iPS_cells:PDB_1lox-21Puro-26: 0.38, Astrocyte:Embryonic_stem_cell-derived: 0.38, iPS_cells:PDB_1lox-17Puro-10: 0.37, iPS_cells:PDB_1lox-17Puro-5: 0.37, Neurons:ES_cell-derived_neural_precursor: 0.37, Embryonic_stem_cells: 0.36, iPS_cells:PDB_2lox-22: 0.36 |
STDY8004902_ACGGAGACAATGGAAT | Neurons:adrenal_medulla_cell_line | 0.22 | 304.90 | Raw ScoresNeurons:adrenal_medulla_cell_line: 0.43, Neuroepithelial_cell:ESC-derived: 0.39, Astrocyte:Embryonic_stem_cell-derived: 0.36, iPS_cells:PDB_1lox-17Puro-10: 0.35, iPS_cells:PDB_1lox-21Puro-20: 0.35, Neurons:ES_cell-derived_neural_precursor: 0.35, iPS_cells:PDB_1lox-17Puro-5: 0.34, iPS_cells:PDB_1lox-21Puro-26: 0.34, iPS_cells:PDB_2lox-22: 0.34, iPS_cells:CRL2097_foreskin-derived:undiff.: 0.33 |
STDY7787239_TCTCTAACAACACCCG | Neurons:adrenal_medulla_cell_line | 0.25 | 288.55 | Raw ScoresNeurons:adrenal_medulla_cell_line: 0.5, Neuroepithelial_cell:ESC-derived: 0.43, Astrocyte:Embryonic_stem_cell-derived: 0.41, iPS_cells:PDB_1lox-21Puro-20: 0.41, iPS_cells:PDB_1lox-21Puro-26: 0.41, iPS_cells:PDB_1lox-17Puro-10: 0.41, iPS_cells:PDB_1lox-17Puro-5: 0.4, iPS_cells:PDB_2lox-22: 0.4, Neurons:ES_cell-derived_neural_precursor: 0.4, iPS_cells:PDB_2lox-21: 0.4 |
STDY7685340_TCTATTGTCGCCGTGA | Chondrocytes:MSC-derived | 0.16 | 264.61 | Raw ScoresFibroblasts:breast: 0.47, iPS_cells:fibroblasts: 0.47, iPS_cells:skin_fibroblast: 0.47, MSC: 0.47, Fibroblasts:foreskin: 0.46, iPS_cells:PDB_fibroblasts: 0.46, iPS_cells:CRL2097_foreskin: 0.46, iPS_cells:foreskin_fibrobasts: 0.46, iPS_cells:adipose_stem_cells: 0.45, Neurons:Schwann_cell: 0.45 |
STDY7843577_TAGGCATAGATGCGAC | Smooth_muscle_cells:vascular | 0.12 | 254.76 | Raw ScoresMSC: 0.37, Neurons:Schwann_cell: 0.36, Fibroblasts:foreskin: 0.36, Tissue_stem_cells:lipoma-derived_MSC: 0.36, Endothelial_cells:HUVEC:H5N1-infected: 0.36, Endothelial_cells:HUVEC: 0.36, Tissue_stem_cells:adipose-derived_MSC_AM3: 0.36, Endothelial_cells:HUVEC:IL-1b: 0.36, Endothelial_cells:HUVEC:PR8-infected: 0.35, Smooth_muscle_cells:vascular: 0.35 |
STDY7787237_ACAGCTACACTGAAGG | T_cell:gamma-delta | 0.21 | 235.82 | Raw ScoresT_cell:gamma-delta: 0.53, T_cell:effector: 0.48, T_cell:CCR10-CLA+1,25(OH)2_vit_D3/IL-12: 0.48, T_cell:CD4+_central_memory: 0.48, T_cell:CD4+_effector_memory: 0.48, NK_cell:IL2: 0.47, T_cell:CCR10+CLA+1,25(OH)2_vit_D3/IL-12: 0.47, T_cell:Treg:Naive: 0.46, T_cell:CD4+: 0.45, T_cell:CD8+: 0.45 |
STDY7685341_GTGCTTCAGAGATGAG | Pro-B_cell_CD34+ | 0.19 | 178.83 | Raw ScoresPro-B_cell_CD34+: 0.51, GMP: 0.47, CMP: 0.45, B_cell:immature: 0.44, B_cell:Germinal_center: 0.43, Pre-B_cell_CD34-: 0.43, BM: 0.43, B_cell:CXCR4+_centroblast: 0.43, MEP: 0.43, Pro-Myelocyte: 0.43 |
STDY7787237_CACTCCACATTACGAC | T_cell:gamma-delta | 0.21 | 175.52 | Raw ScoresT_cell:gamma-delta: 0.5, NK_cell:IL2: 0.47, T_cell:effector: 0.46, T_cell:CCR10-CLA+1,25(OH)2_vit_D3/IL-12: 0.46, T_cell:CCR10+CLA+1,25(OH)2_vit_D3/IL-12: 0.45, T_cell:CD4+_effector_memory: 0.45, T_cell:CD4+_central_memory: 0.45, T_cell:CD8+: 0.44, Pre-B_cell_CD34-: 0.43, T_cell:Treg:Naive: 0.43 |
STDY7685341_CTAATGGGTAAGAGAG | Pro-B_cell_CD34+ | 0.16 | 164.64 | Raw ScoresPro-B_cell_CD34+: 0.38, GMP: 0.33, BM: 0.33, B_cell:immature: 0.32, B_cell:Germinal_center: 0.32, B_cell:CXCR4+_centroblast: 0.32, Pre-B_cell_CD34-: 0.32, CMP: 0.32, HSC_CD34+: 0.32, B_cell:CXCR4-_centrocyte: 0.31 |
STDY7787237_TAAGCGTCAATCTACG | T_cell:gamma-delta | 0.20 | 148.56 | Raw ScoresT_cell:gamma-delta: 0.45, NK_cell:IL2: 0.4, T_cell:effector: 0.4, T_cell:CCR10-CLA+1,25(OH)2_vit_D3/IL-12: 0.4, T_cell:CD4+_central_memory: 0.39, T_cell:CCR10+CLA+1,25(OH)2_vit_D3/IL-12: 0.39, T_cell:CD4+_effector_memory: 0.39, Pre-B_cell_CD34-: 0.38, T_cell:CD8+: 0.38, T_cell:CD4+: 0.37 |
STDY8004902_AATCGGTTCAAGCCTA | Neurons:adrenal_medulla_cell_line | 0.26 | 145.50 | Raw ScoresNeurons:adrenal_medulla_cell_line: 0.51, Neuroepithelial_cell:ESC-derived: 0.46, Astrocyte:Embryonic_stem_cell-derived: 0.42, iPS_cells:PDB_1lox-21Puro-20: 0.41, iPS_cells:PDB_1lox-17Puro-10: 0.41, iPS_cells:PDB_1lox-21Puro-26: 0.41, iPS_cells:PDB_1lox-17Puro-5: 0.41, Neurons:ES_cell-derived_neural_precursor: 0.41, iPS_cells:PDB_2lox-22: 0.41, iPS_cells:PDB_2lox-17: 0.4 |
STDY8004910_GAAGCAGGTCGCTTTC | Neurons:adrenal_medulla_cell_line | 0.24 | 142.50 | Raw ScoresNeurons:adrenal_medulla_cell_line: 0.46, Neuroepithelial_cell:ESC-derived: 0.41, Astrocyte:Embryonic_stem_cell-derived: 0.4, Neurons:ES_cell-derived_neural_precursor: 0.37, iPS_cells:PDB_1lox-21Puro-20: 0.36, iPS_cells:PDB_1lox-17Puro-10: 0.36, iPS_cells:PDB_1lox-21Puro-26: 0.36, Embryonic_stem_cells: 0.36, iPS_cells:PDB_1lox-17Puro-5: 0.36, iPS_cells:PDB_2lox-22: 0.35 |
STDY7685342_CTGGTCTCAATTCCTT | T_cell:gamma-delta | 0.21 | 121.30 | Raw ScoresT_cell:gamma-delta: 0.55, NK_cell:IL2: 0.52, T_cell:CCR10-CLA+1,25(OH)2_vit_D3/IL-12: 0.51, T_cell:effector: 0.5, T_cell:CD4+_central_memory: 0.5, T_cell:CCR10+CLA+1,25(OH)2_vit_D3/IL-12: 0.5, T_cell:CD4+_effector_memory: 0.5, NK_cell: 0.5, T_cell:CD8+: 0.5, T_cell:CD4+: 0.49 |
STDY8004894_CGCTGGATCCGCTGTT | Neurons:adrenal_medulla_cell_line | 0.18 | 105.42 | Raw ScoresNeurons:adrenal_medulla_cell_line: 0.41, Neuroepithelial_cell:ESC-derived: 0.37, Astrocyte:Embryonic_stem_cell-derived: 0.36, Neurons:ES_cell-derived_neural_precursor: 0.34, iPS_cells:PDB_1lox-21Puro-20: 0.33, iPS_cells:PDB_1lox-17Puro-10: 0.33, iPS_cells:PDB_1lox-21Puro-26: 0.33, iPS_cells:PDB_1lox-17Puro-5: 0.33, Embryonic_stem_cells: 0.33, iPS_cells:CRL2097_foreskin-derived:undiff.: 0.33 |
STDY7685342_CGGAGCTCAGACAGGT | T_cell:gamma-delta | 0.16 | 98.10 | Raw ScoresT_cell:gamma-delta: 0.4, NK_cell:IL2: 0.39, NK_cell: 0.37, T_cell:CCR10-CLA+1,25(OH)2_vit_D3/IL-12: 0.37, T_cell:effector: 0.36, Pre-B_cell_CD34-: 0.36, T_cell:CCR10+CLA+1,25(OH)2_vit_D3/IL-12: 0.36, NK_cell:CD56hiCD62L+: 0.35, T_cell:CD8+: 0.35, Pro-B_cell_CD34+: 0.35 |
STDY7787237_CAGATCATCACTTACT | T_cell:gamma-delta | 0.17 | 95.88 | Raw ScoresT_cell:gamma-delta: 0.41, T_cell:CCR10-CLA+1,25(OH)2_vit_D3/IL-12: 0.37, NK_cell:IL2: 0.37, T_cell:effector: 0.37, T_cell:CD4+_central_memory: 0.37, T_cell:CD4+_effector_memory: 0.37, T_cell:CCR10+CLA+1,25(OH)2_vit_D3/IL-12: 0.36, T_cell:Treg:Naive: 0.36, Pre-B_cell_CD34-: 0.35, T_cell:CD8+: 0.35 |
STDY7685342_GGTGCGTCAGACTCGC | NK_cell:CD56hiCD62L+ | 0.13 | 91.22 | Raw ScoresNK_cell: 0.41, NK_cell:CD56hiCD62L+: 0.4, T_cell:gamma-delta: 0.4, NK_cell:IL2: 0.4, Pre-B_cell_CD34-: 0.38, T_cell:CD8+: 0.37, T_cell:CD4+_central_memory: 0.37, T_cell:CD4+_effector_memory: 0.37, T_cell:CCR10-CLA+1,25(OH)2_vit_D3/IL-12: 0.36, T_cell:CD4+: 0.36 |
STDY7685342_CGCTTCAGTAGCGTGA | Pro-B_cell_CD34+ | 0.15 | 83.72 | Raw ScoresPro-B_cell_CD34+: 0.36, GMP: 0.32, BM: 0.31, B_cell:Germinal_center: 0.31, B_cell:CXCR4+_centroblast: 0.31, B_cell:immature: 0.31, CMP: 0.3, HSC_CD34+: 0.3, Pre-B_cell_CD34-: 0.3, B_cell:CXCR4-_centrocyte: 0.29 |
STDY7685342_ATCATGGAGCGGATCA | MEP | 0.18 | 80.27 | Raw ScoresMEP: 0.53, Erythroblast: 0.5, CMP: 0.49, Pro-B_cell_CD34+: 0.48, GMP: 0.48, Pro-Myelocyte: 0.47, HSC_CD34+: 0.46, BM: 0.45, T_cell:gamma-delta: 0.43, NK_cell:IL2: 0.42 |
STDY7685341_CTCGTACAGGGAAACA | Pro-B_cell_CD34+ | 0.15 | 77.86 | Raw ScoresPro-B_cell_CD34+: 0.37, B_cell:immature: 0.35, BM: 0.34, B_cell:Germinal_center: 0.34, B_cell:CXCR4+_centroblast: 0.34, GMP: 0.33, Pre-B_cell_CD34-: 0.33, B_cell:CXCR4-_centrocyte: 0.32, CMP: 0.32, B_cell:Naive: 0.32 |
STDY7787238_CTAGAGTTCTGAGTGT | Neurons:adrenal_medulla_cell_line | 0.23 | 77.13 | Raw ScoresNeurons:adrenal_medulla_cell_line: 0.5, Neuroepithelial_cell:ESC-derived: 0.44, Astrocyte:Embryonic_stem_cell-derived: 0.42, iPS_cells:PDB_1lox-21Puro-20: 0.41, iPS_cells:PDB_1lox-21Puro-26: 0.41, iPS_cells:PDB_1lox-17Puro-10: 0.41, iPS_cells:PDB_1lox-17Puro-5: 0.41, iPS_cells:PDB_2lox-22: 0.41, Neurons:ES_cell-derived_neural_precursor: 0.4, iPS_cells:PDB_2lox-21: 0.4 |
STDY7787237_ACTTTCAAGTTAACGA | T_cell:gamma-delta | 0.18 | 73.30 | Raw ScoresT_cell:gamma-delta: 0.42, NK_cell:IL2: 0.38, T_cell:effector: 0.37, T_cell:CCR10-CLA+1,25(OH)2_vit_D3/IL-12: 0.37, T_cell:CD4+_effector_memory: 0.37, T_cell:CCR10+CLA+1,25(OH)2_vit_D3/IL-12: 0.37, T_cell:CD4+_central_memory: 0.36, T_cell:CD8+: 0.36, Pre-B_cell_CD34-: 0.35, NK_cell: 0.35 |
STDY7685342_TTAGTTCAGACTAGGC | B_cell:immature | 0.13 | 67.15 | Raw ScoresB_cell:immature: 0.36, B_cell:Naive: 0.35, B_cell:Memory: 0.35, B_cell:Germinal_center: 0.34, Pro-B_cell_CD34+: 0.34, Pre-B_cell_CD34-: 0.33, B_cell:CXCR4+_centroblast: 0.33, B_cell: 0.33, B_cell:CXCR4-_centrocyte: 0.33, BM: 0.33 |
STDY8004894_TATGCCCAGTCGTTTG | Neurons:adrenal_medulla_cell_line | 0.12 | 65.87 | Raw ScoresNeurons:adrenal_medulla_cell_line: 0.24, Neuroepithelial_cell:ESC-derived: 0.22, Neurons:ES_cell-derived_neural_precursor: 0.2, Astrocyte:Embryonic_stem_cell-derived: 0.2, iPS_cells:PDB_1lox-21Puro-20: 0.19, Embryonic_stem_cells: 0.19, iPS_cells:PDB_1lox-21Puro-26: 0.19, iPS_cells:fibroblast-derived:Direct_del._reprog: 0.19, iPS_cells:PDB_2lox-5: 0.19, iPS_cells:PDB_2lox-21: 0.19 |
STDY7685341_CCGTTCAAGAATAGGG | NK_cell | 0.15 | 60.95 | Raw ScoresT_cell:gamma-delta: 0.39, NK_cell: 0.39, NK_cell:IL2: 0.39, NK_cell:CD56hiCD62L+: 0.36, T_cell:CD8+: 0.36, Pre-B_cell_CD34-: 0.36, T_cell:CCR10-CLA+1,25(OH)2_vit_D3/IL-12: 0.35, T_cell:CD4+_central_memory: 0.35, T_cell:CD4+_effector_memory: 0.35, T_cell:CD8+_effector_memory_RA: 0.35 |
STDY8004910_TTATGCTCAGATCTGT | Neurons:adrenal_medulla_cell_line | 0.16 | 60.74 | Raw ScoresNeurons:adrenal_medulla_cell_line: 0.29, Neuroepithelial_cell:ESC-derived: 0.27, iPS_cells:PDB_1lox-21Puro-20: 0.25, iPS_cells:PDB_1lox-21Puro-26: 0.24, iPS_cells:iPS:minicircle-derived: 0.24, iPS_cells:PDB_1lox-17Puro-5: 0.24, iPS_cells:PDB_1lox-17Puro-10: 0.24, Embryonic_stem_cells: 0.24, iPS_cells:skin_fibroblast-derived: 0.24, iPS_cells:PDB_2lox-22: 0.24 |
STDY7685341_GGGTTGCCAGTCCTTC | CMP | 0.18 | 59.87 | Raw ScoresCMP: 0.51, MEP: 0.51, GMP: 0.5, Pro-B_cell_CD34+: 0.48, HSC_CD34+: 0.48, Pro-Myelocyte: 0.46, BM: 0.45, Erythroblast: 0.43, Pre-B_cell_CD34-: 0.42, NK_cell:IL2: 0.42 |
STDY7843578_TAGGCATAGATGCGAC | Neurons:Schwann_cell | 0.06 | 59.52 | Raw ScoresMSC: 0.2, Tissue_stem_cells:lipoma-derived_MSC: 0.19, Neurons:Schwann_cell: 0.19, iPS_cells:fibroblasts: 0.19, Tissue_stem_cells:adipose-derived_MSC_AM3: 0.19, Smooth_muscle_cells:umbilical_vein: 0.19, Fibroblasts:foreskin: 0.19, Endothelial_cells:HUVEC:IL-1b: 0.19, Endothelial_cells:HUVEC:H5N1-infected: 0.18, iPS_cells:foreskin_fibrobasts: 0.18 |
STDY7787237_CAGCTAAAGGCGTACA | T_cell:gamma-delta | 0.16 | 57.65 | Raw ScoresT_cell:gamma-delta: 0.4, NK_cell:IL2: 0.36, T_cell:CCR10-CLA+1,25(OH)2_vit_D3/IL-12: 0.36, T_cell:effector: 0.36, T_cell:CCR10+CLA+1,25(OH)2_vit_D3/IL-12: 0.35, T_cell:CD4+_central_memory: 0.35, T_cell:CD4+_effector_memory: 0.34, T_cell:CD8+: 0.34, Pre-B_cell_CD34-: 0.34, T_cell:Treg:Naive: 0.34 |
STDY8004902_GACGCGTTCCTCTAGC | Neurons:adrenal_medulla_cell_line | 0.24 | 56.99 | Raw ScoresNeurons:adrenal_medulla_cell_line: 0.5, Neuroepithelial_cell:ESC-derived: 0.45, Astrocyte:Embryonic_stem_cell-derived: 0.42, iPS_cells:PDB_1lox-21Puro-20: 0.41, iPS_cells:PDB_1lox-17Puro-10: 0.41, iPS_cells:PDB_1lox-21Puro-26: 0.41, Neurons:ES_cell-derived_neural_precursor: 0.41, iPS_cells:PDB_1lox-17Puro-5: 0.41, iPS_cells:PDB_2lox-22: 0.41, Embryonic_stem_cells: 0.4 |
STDY7787237_GTAACGTTCGGATGGA | Neurons:adrenal_medulla_cell_line | 0.14 | 56.75 | Raw ScoresNeurons:adrenal_medulla_cell_line: 0.28, Neuroepithelial_cell:ESC-derived: 0.25, iPS_cells:PDB_1lox-21Puro-20: 0.24, iPS_cells:PDB_1lox-21Puro-26: 0.24, iPS_cells:adipose_stem_cell-derived:minicircle-derived: 0.24, iPS_cells:PDB_2lox-22: 0.24, iPS_cells:PDB_1lox-17Puro-10: 0.24, iPS_cells:skin_fibroblast-derived: 0.24, iPS_cells:PDB_2lox-21: 0.23, Embryonic_stem_cells: 0.23 |
STDY8004902_TTATGCTGTACATCCA | Neurons:adrenal_medulla_cell_line | 0.23 | 55.99 | Raw ScoresNeurons:adrenal_medulla_cell_line: 0.46, Neuroepithelial_cell:ESC-derived: 0.4, Astrocyte:Embryonic_stem_cell-derived: 0.4, iPS_cells:PDB_1lox-21Puro-20: 0.37, iPS_cells:PDB_1lox-17Puro-10: 0.36, iPS_cells:PDB_1lox-21Puro-26: 0.36, Embryonic_stem_cells: 0.36, Neurons:ES_cell-derived_neural_precursor: 0.36, iPS_cells:PDB_1lox-17Puro-5: 0.36, iPS_cells:PDB_2lox-22: 0.36 |
STDY7685341_CATCGGGCAAGCCGTC | NK_cell | 0.14 | 55.10 | Raw ScoresNK_cell: 0.4, T_cell:gamma-delta: 0.39, NK_cell:IL2: 0.39, NK_cell:CD56hiCD62L+: 0.39, Pre-B_cell_CD34-: 0.37, T_cell:CCR10-CLA+1,25(OH)2_vit_D3/IL-12: 0.36, T_cell:effector: 0.36, T_cell:CD4+_central_memory: 0.36, T_cell:CD8+: 0.35, T_cell:CD8+_effector_memory_RA: 0.35 |
STDY7685342_ATTGGTGCAATGGTCT | NK_cell | 0.14 | 53.07 | Raw ScoresNK_cell: 0.39, T_cell:gamma-delta: 0.39, NK_cell:IL2: 0.39, NK_cell:CD56hiCD62L+: 0.37, Pre-B_cell_CD34-: 0.36, T_cell:CD8+: 0.36, T_cell:CD4+_effector_memory: 0.35, T_cell:CD8+_effector_memory_RA: 0.35, T_cell:CD4+_central_memory: 0.35, T_cell:CD8+_Central_memory: 0.34 |
STDY7685342_ATCCGAAGTACCGAGA | T_cell:CD4+_central_memory | 0.14 | 52.49 | Raw ScoresT_cell:gamma-delta: 0.41, T_cell:CD4+_central_memory: 0.39, T_cell:effector: 0.39, T_cell:CCR10-CLA+1,25(OH)2_vit_D3/IL-12: 0.39, T_cell:CCR10+CLA+1,25(OH)2_vit_D3/IL-12: 0.39, NK_cell:IL2: 0.38, NK_cell: 0.38, T_cell:CD4+_effector_memory: 0.38, T_cell:CD8+: 0.38, T_cell:CD4+_Naive: 0.38 |
STDY8004894_GCATACAGTCTAGAGG | Neurons:adrenal_medulla_cell_line | 0.11 | 50.31 | Raw ScoresNeurons:adrenal_medulla_cell_line: 0.23, Neuroepithelial_cell:ESC-derived: 0.21, iPS_cells:PDB_1lox-17Puro-10: 0.19, Astrocyte:Embryonic_stem_cell-derived: 0.19, iPS_cells:PDB_1lox-21Puro-20: 0.19, Embryonic_stem_cells: 0.19, iPS_cells:PDB_1lox-17Puro-5: 0.19, iPS_cells:PDB_1lox-21Puro-26: 0.19, iPS_cells:PDB_2lox-22: 0.19, iPS_cells:adipose_stem_cell-derived:minicircle-derived: 0.19 |
Below shows the significant enrichments of this GEP for literature curated gene lists
This data was procured from existing single cell RNA-seq maps of neuroblastoma or related relevant data.
High ranks indicate this gene is a driver of this GEP.
These curated gene list are ranked by the P-value (on this GEP) of their constituent genes.
The Mean Count column shows the mean read count in cells scoring highly (H > 50) on this gene expression program.
Genes | Weight | Rank | GTEx | DepMap | Decartes | Mean.Counts | Mean.TPM |
---|---|---|---|---|---|---|---|
TOP2A | 0.0217184 | 1 | GTEx | DepMap | Descartes | 9.72 | 462.53 |
UBE2C | 0.0197425 | 2 | GTEx | DepMap | Descartes | 7.34 | 2378.57 |
MKI67 | 0.0153119 | 6 | GTEx | DepMap | Descartes | 3.92 | 90.20 |
CDK1 | 0.0128080 | 25 | GTEx | DepMap | Descartes | 2.06 | 310.35 |
Cell cycle (Dong)
Markers obtained in computationally inferred meta program (by NMF applied to their neuroblastoma sc-RNA-seq data) from Fig. 5(a) of Dong et al. (PMID 32946775).:
Wilcoxon ranksum test P-value for gene set overrepresentation: 1.40e-03
Mean rank of genes in gene set: 23
Rank on gene expression program of genes in gene set:
Genes | Weight | Rank | GTEx | DepMap | Decartes | Mean.Counts | Mean.TPM |
---|---|---|---|---|---|---|---|
TOP2A | 0.0217184 | 1 | GTEx | DepMap | Descartes | 9.72 | 462.53 |
MKI67 | 0.0153119 | 6 | GTEx | DepMap | Descartes | 3.92 | 90.20 |
PCNA | 0.0092656 | 62 | GTEx | DepMap | Descartes | 4.46 | 878.51 |
Adrenergic proliferating cluster (Olsen)
Stated on pages 6 and 7 of the main text of Olsen et al. https://www.biorxiv.org/content/10.1101/2020.05.04.077057v1 - it is argued that upon reanalysis of the adrenergic neuroblastoma cells, there is further heterogeneity, grouped into proliferating, mature and immature cell populations. These genes were found as markers for proliferating adrenergic cells:
Wilcoxon ranksum test P-value for gene set overrepresentation: 7.85e-03
Mean rank of genes in gene set: 86.5
Rank on gene expression program of genes in gene set:
Genes | Weight | Rank | GTEx | DepMap | Decartes | Mean.Counts | Mean.TPM |
---|---|---|---|---|---|---|---|
MKI67 | 0.0153119 | 6 | GTEx | DepMap | Descartes | 3.92 | 90.20 |
EZH2 | 0.0050534 | 167 | GTEx | DepMap | Descartes | 1.06 | 85.33 |
Below shows ranks on this GEP for literature curated gene lists for large gene sets
These include those reported as mesenchymal/adrenergic by Van Groningen et al.
High ranks indicate this gene is a driver of this GEP (note these results are not ordered).
The Mean Count column shows the mean read count in cells scoring highly (H > 50) on this gene expression program.
VanGroningen Adrenergic Genes
Adrenergic marker genes from Supplementary Table 2 of Van Groningen et al. Nature Genetics 2017. These genes were identified by differential expression analysis of mesenchymal-like and adrenergic-like neuroblastoma cell lines.
Wilcoxon ranksum test P-value for gene set overrepresentation: 1.90e-12
Mean rank of genes in gene set: 4852.06
Median rank of genes in gene set: 3266
Rank on gene expression program of top 30 genes in gene set:
Genes | Weight | Rank | GTEx | DepMap | Descartes | Mean.Counts | Mean.TPM |
---|---|---|---|---|---|---|---|
UBE2C | 0.0197425 | 2 | GTEx | DepMap | Descartes | 7.34 | 2378.57 |
BIRC5 | 0.0177340 | 4 | GTEx | DepMap | Descartes | 4.72 | 497.48 |
PBK | 0.0176825 | 5 | GTEx | DepMap | Descartes | 2.32 | 343.97 |
NUSAP1 | 0.0152406 | 8 | GTEx | DepMap | Descartes | 4.04 | 401.31 |
PRC1 | 0.0141894 | 11 | GTEx | DepMap | Descartes | 3.00 | 199.47 |
NUF2 | 0.0139315 | 15 | GTEx | DepMap | Descartes | 1.68 | 249.87 |
UBE2T | 0.0114971 | 32 | GTEx | DepMap | Descartes | 3.33 | 579.65 |
CDKN3 | 0.0110766 | 37 | GTEx | DepMap | Descartes | 1.61 | 529.40 |
FOXM1 | 0.0108114 | 40 | GTEx | DepMap | Descartes | 1.15 | 78.96 |
ARL6IP1 | 0.0107335 | 42 | GTEx | DepMap | Descartes | 9.20 | 1219.11 |
RRM2 | 0.0103716 | 48 | GTEx | DepMap | Descartes | 2.87 | 210.86 |
CDCA5 | 0.0085672 | 74 | GTEx | DepMap | Descartes | 1.13 | 115.23 |
KIF15 | 0.0079693 | 88 | GTEx | DepMap | Descartes | 0.53 | 33.84 |
TUBB4B | 0.0078169 | 91 | GTEx | DepMap | Descartes | 3.75 | 528.08 |
GGH | 0.0073866 | 99 | GTEx | DepMap | Descartes | 2.11 | 459.69 |
CDKN2C | 0.0072636 | 106 | GTEx | DepMap | Descartes | 1.41 | 121.73 |
KNSTRN | 0.0066884 | 113 | GTEx | DepMap | Descartes | 0.86 | NA |
GMNN | 0.0060364 | 131 | GTEx | DepMap | Descartes | 2.00 | 380.74 |
ENDOG | 0.0059885 | 132 | GTEx | DepMap | Descartes | 0.89 | 193.00 |
MCM7 | 0.0058276 | 137 | GTEx | DepMap | Descartes | 2.90 | 231.75 |
MYBL2 | 0.0054882 | 153 | GTEx | DepMap | Descartes | 1.66 | 158.25 |
RANBP1 | 0.0054642 | 154 | GTEx | DepMap | Descartes | 8.75 | 950.16 |
LSM4 | 0.0047111 | 180 | GTEx | DepMap | Descartes | 5.17 | 746.29 |
MCM6 | 0.0046786 | 182 | GTEx | DepMap | Descartes | 1.06 | 73.46 |
GGCT | 0.0043240 | 197 | GTEx | DepMap | Descartes | 3.86 | 692.65 |
PRIM1 | 0.0043088 | 198 | GTEx | DepMap | Descartes | 0.99 | 127.64 |
TMEM97 | 0.0041257 | 209 | GTEx | DepMap | Descartes | 1.68 | 161.15 |
PHPT1 | 0.0039582 | 221 | GTEx | DepMap | Descartes | 6.87 | 1190.98 |
ZWILCH | 0.0039421 | 222 | GTEx | DepMap | Descartes | 0.69 | 50.56 |
CENPV | 0.0039309 | 224 | GTEx | DepMap | Descartes | 4.25 | 514.16 |
VanGroningen Mesenchymal Genes
Mesenchymal marker genes from Supplementary Table 2 of Van Groningen et al. Nature Genetics 2017. These genes were identified by differential expression analysis of mesenchymal-like and adrenergic-like neuroblastoma cell lines.
Wilcoxon ranksum test P-value for gene set overrepresentation: 1.00e+00
Mean rank of genes in gene set: 6939.32
Median rank of genes in gene set: 7039
Rank on gene expression program of top 30 genes in gene set:
Genes | Weight | Rank | GTEx | DepMap | Descartes | Mean.Counts | Mean.TPM |
---|---|---|---|---|---|---|---|
PTN | 0.0040431 | 214 | GTEx | DepMap | Descartes | 3.79 | 622.45 |
PHLDA3 | 0.0035393 | 253 | GTEx | DepMap | Descartes | 0.65 | 59.68 |
SERPINE2 | 0.0017909 | 518 | GTEx | DepMap | Descartes | 1.74 | 62.15 |
ENAH | 0.0017060 | 549 | GTEx | DepMap | Descartes | 1.64 | 25.46 |
CLIC4 | 0.0016024 | 586 | GTEx | DepMap | Descartes | 0.55 | 33.25 |
KCNK2 | 0.0015097 | 618 | GTEx | DepMap | Descartes | 0.04 | 3.15 |
DESI2 | 0.0014609 | 642 | GTEx | DepMap | Descartes | 0.61 | NA |
PHTF2 | 0.0013734 | 699 | GTEx | DepMap | Descartes | 0.48 | 26.78 |
PDE3A | 0.0010919 | 937 | GTEx | DepMap | Descartes | 0.09 | 2.91 |
CNN3 | 0.0010319 | 1003 | GTEx | DepMap | Descartes | 1.24 | 154.49 |
PTBP1 | 0.0009602 | 1076 | GTEx | DepMap | Descartes | 0.97 | 51.53 |
ACTN1 | 0.0009474 | 1095 | GTEx | DepMap | Descartes | 0.53 | 29.31 |
LGALS1 | 0.0009332 | 1111 | GTEx | DepMap | Descartes | 4.66 | 2079.52 |
CDH11 | 0.0009082 | 1141 | GTEx | DepMap | Descartes | 0.13 | 5.83 |
PDIA6 | 0.0009059 | 1146 | GTEx | DepMap | Descartes | 2.29 | 193.04 |
CALU | 0.0008758 | 1191 | GTEx | DepMap | Descartes | 0.78 | 35.08 |
EMILIN1 | 0.0008380 | 1248 | GTEx | DepMap | Descartes | 0.13 | 8.79 |
KDELR2 | 0.0008089 | 1297 | GTEx | DepMap | Descartes | 2.14 | 175.56 |
PRDX4 | 0.0008011 | 1306 | GTEx | DepMap | Descartes | 1.07 | 267.92 |
DPY19L1 | 0.0007864 | 1336 | GTEx | DepMap | Descartes | 0.05 | 2.43 |
CSRP1 | 0.0007856 | 1339 | GTEx | DepMap | Descartes | 0.50 | 13.18 |
LIFR | 0.0007626 | 1378 | GTEx | DepMap | Descartes | 0.15 | 2.51 |
TGFB1I1 | 0.0007610 | 1382 | GTEx | DepMap | Descartes | 0.12 | 9.86 |
ITGAV | 0.0007437 | 1415 | GTEx | DepMap | Descartes | 0.21 | 6.16 |
FAM114A1 | 0.0006809 | 1554 | GTEx | DepMap | Descartes | 0.16 | 12.28 |
PTGFRN | 0.0006737 | 1566 | GTEx | DepMap | Descartes | 0.08 | 2.88 |
LAPTM4A | 0.0006717 | 1570 | GTEx | DepMap | Descartes | 2.16 | 437.01 |
VIM | 0.0006145 | 1715 | GTEx | DepMap | Descartes | 5.11 | 576.20 |
TUBB6 | 0.0006092 | 1729 | GTEx | DepMap | Descartes | 0.24 | 43.55 |
SLC39A14 | 0.0005936 | 1775 | GTEx | DepMap | Descartes | 0.20 | 9.76 |
Descartes adrenocortical markers
Top 50 marker genes of adrenocortical cells in the Decartes fetal adrenal single cell map (https://atlas.brotmanbaty.org/bbi/human-gene-expression-during-development/cell/adrenocortical/in/adrenal)
Wilcoxon ranksum test P-value for gene set overrepresentation: 6.56e-01
Mean rank of genes in gene set: 6517.78
Median rank of genes in gene set: 6573
Rank on gene expression program of top 30 genes in gene set:
Genes | Weight | Rank | GTEx | DepMap | Descartes | Mean.Counts | Mean.TPM |
---|---|---|---|---|---|---|---|
FDXR | 0.0040430 | 215 | GTEx | DepMap | Descartes | 0.69 | 73.00 |
SLC1A2 | 0.0023174 | 393 | GTEx | DepMap | Descartes | 0.27 | 4.47 |
FDPS | 0.0019004 | 489 | GTEx | DepMap | Descartes | 2.34 | 282.07 |
PDE10A | 0.0010700 | 955 | GTEx | DepMap | Descartes | 0.17 | 4.57 |
FRMD5 | 0.0009919 | 1047 | GTEx | DepMap | Descartes | 0.11 | 4.22 |
DHCR24 | 0.0006213 | 1703 | GTEx | DepMap | Descartes | 0.24 | 9.52 |
CYB5B | 0.0005855 | 1804 | GTEx | DepMap | Descartes | 1.11 | 68.27 |
PEG3 | 0.0004000 | 2471 | GTEx | DepMap | Descartes | 0.30 | NA |
DHCR7 | 0.0003316 | 2811 | GTEx | DepMap | Descartes | 0.15 | 12.61 |
SH3PXD2B | 0.0001686 | 3901 | GTEx | DepMap | Descartes | 0.07 | 2.22 |
SCAP | 0.0000968 | 4591 | GTEx | DepMap | Descartes | 0.18 | 9.82 |
SH3BP5 | 0.0000581 | 5025 | GTEx | DepMap | Descartes | 0.47 | 39.29 |
BAIAP2L1 | 0.0000360 | 5313 | GTEx | DepMap | Descartes | 0.00 | 0.00 |
STAR | 0.0000306 | 5383 | GTEx | DepMap | Descartes | 0.01 | 0.31 |
APOC1 | 0.0000217 | 5490 | GTEx | DepMap | Descartes | 1.54 | 381.78 |
HMGCR | 0.0000191 | 5523 | GTEx | DepMap | Descartes | 0.23 | 11.51 |
FDX1 | 0.0000012 | 5770 | GTEx | DepMap | Descartes | 0.52 | 41.26 |
FREM2 | -0.0000086 | 5931 | GTEx | DepMap | Descartes | 0.00 | 0.00 |
SCARB1 | -0.0000879 | 7215 | GTEx | DepMap | Descartes | 0.16 | 4.73 |
PAPSS2 | -0.0000890 | 7229 | GTEx | DepMap | Descartes | 0.01 | 0.19 |
INHA | -0.0001238 | 7753 | GTEx | DepMap | Descartes | 0.01 | 1.96 |
POR | -0.0001527 | 8161 | GTEx | DepMap | Descartes | 0.24 | 25.78 |
GSTA4 | -0.0001552 | 8204 | GTEx | DepMap | Descartes | 0.97 | 122.68 |
NPC1 | -0.0001595 | 8269 | GTEx | DepMap | Descartes | 0.09 | 4.38 |
SLC16A9 | -0.0001818 | 8558 | GTEx | DepMap | Descartes | 0.10 | 4.19 |
JAKMIP2 | -0.0002028 | 8804 | GTEx | DepMap | Descartes | 0.62 | 14.62 |
IGF1R | -0.0002112 | 8922 | GTEx | DepMap | Descartes | 0.18 | 3.08 |
LDLR | -0.0002225 | 9086 | GTEx | DepMap | Descartes | 0.17 | 6.50 |
HMGCS1 | -0.0004192 | 10890 | GTEx | DepMap | Descartes | 0.51 | 19.55 |
DNER | -0.0004662 | 11173 | GTEx | DepMap | Descartes | 0.45 | 36.35 |
Descartes chromaffin markers
Top 50 marker genes of chromaffin cells in the Decartes fetal adrenal single cell map (https://atlas.brotmanbaty.org/bbi/human-gene-expression-during-development/cell/chromaffin/in/adrenal)
Wilcoxon ranksum test P-value for gene set overrepresentation: 9.99e-01
Mean rank of genes in gene set: 8014.05
Median rank of genes in gene set: 9694
Rank on gene expression program of top 30 genes in gene set:
Genes | Weight | Rank | GTEx | DepMap | Descartes | Mean.Counts | Mean.TPM |
---|---|---|---|---|---|---|---|
SLC44A5 | 0.0015361 | 606 | GTEx | DepMap | Descartes | 0.27 | 11.19 |
MAB21L1 | 0.0013212 | 731 | GTEx | DepMap | Descartes | 1.78 | 164.83 |
KCNB2 | 0.0011227 | 905 | GTEx | DepMap | Descartes | 0.22 | 15.53 |
ALK | 0.0009415 | 1102 | GTEx | DepMap | Descartes | 0.20 | 5.26 |
SYNPO2 | 0.0007900 | 1323 | GTEx | DepMap | Descartes | 0.22 | 4.41 |
MAB21L2 | 0.0007759 | 1359 | GTEx | DepMap | Descartes | 0.34 | 26.25 |
MARCH11 | 0.0007009 | 1507 | GTEx | DepMap | Descartes | 0.74 | NA |
GREM1 | 0.0006307 | 1674 | GTEx | DepMap | Descartes | 0.11 | 1.48 |
FAT3 | 0.0003909 | 2515 | GTEx | DepMap | Descartes | 0.05 | 0.57 |
TMEM132C | 0.0002715 | 3139 | GTEx | DepMap | Descartes | 0.12 | 5.14 |
BASP1 | 0.0002016 | 3632 | GTEx | DepMap | Descartes | 11.96 | 1496.08 |
RYR2 | 0.0001160 | 4378 | GTEx | DepMap | Descartes | 0.19 | 2.29 |
EYA4 | 0.0000817 | 4752 | GTEx | DepMap | Descartes | 0.31 | 8.35 |
RGMB | 0.0000264 | 5429 | GTEx | DepMap | Descartes | 1.04 | 50.87 |
PTCHD1 | -0.0000474 | 6541 | GTEx | DepMap | Descartes | 0.31 | 4.88 |
REEP1 | -0.0001163 | 7654 | GTEx | DepMap | Descartes | 1.11 | 64.14 |
ISL1 | -0.0001212 | 7719 | GTEx | DepMap | Descartes | 1.69 | 153.83 |
NPY | -0.0001591 | 8259 | GTEx | DepMap | Descartes | 3.50 | 970.49 |
RBFOX1 | -0.0002108 | 8912 | GTEx | DepMap | Descartes | 0.45 | 15.39 |
RPH3A | -0.0002398 | 9300 | GTEx | DepMap | Descartes | 0.03 | 1.99 |
EYA1 | -0.0002751 | 9694 | GTEx | DepMap | Descartes | 0.18 | 7.41 |
CNKSR2 | -0.0002760 | 9705 | GTEx | DepMap | Descartes | 0.22 | 5.22 |
SLC6A2 | -0.0002802 | 9742 | GTEx | DepMap | Descartes | 0.22 | 10.70 |
ANKFN1 | -0.0003458 | 10367 | GTEx | DepMap | Descartes | 0.06 | 2.75 |
MAP1B | -0.0003892 | 10698 | GTEx | DepMap | Descartes | 14.45 | 274.95 |
EPHA6 | -0.0005544 | 11592 | GTEx | DepMap | Descartes | 0.12 | 7.06 |
HS3ST5 | -0.0006008 | 11758 | GTEx | DepMap | Descartes | 0.39 | 22.61 |
CNTFR | -0.0007528 | 12110 | GTEx | DepMap | Descartes | 1.54 | 164.47 |
NTRK1 | -0.0007586 | 12116 | GTEx | DepMap | Descartes | 0.88 | 62.39 |
PLXNA4 | -0.0008251 | 12211 | GTEx | DepMap | Descartes | 0.45 | 6.79 |
Descartes Vascular_endothelial markers
Top 50 marker genes of Vascular_endothelial cells in the Decartes fetal adrenal single cell map (https://atlas.brotmanbaty.org/bbi/human-gene-expression-during-development/cell/vascular_endothelial/in/adrenal)
Wilcoxon ranksum test P-value for gene set overrepresentation: 1.49e-01
Mean rank of genes in gene set: 5664.39
Median rank of genes in gene set: 5551.5
Rank on gene expression program of top 30 genes in gene set:
Genes | Weight | Rank | GTEx | DepMap | Descartes | Mean.Counts | Mean.TPM |
---|---|---|---|---|---|---|---|
EFNB2 | 0.0009172 | 1131 | GTEx | DepMap | Descartes | 0.36 | 16.76 |
IRX3 | 0.0007773 | 1356 | GTEx | DepMap | Descartes | 0.05 | 3.10 |
GALNT15 | 0.0005332 | 1974 | GTEx | DepMap | Descartes | 0.00 | NA |
CHRM3 | 0.0005168 | 2027 | GTEx | DepMap | Descartes | 0.06 | 1.48 |
MYRIP | 0.0004835 | 2155 | GTEx | DepMap | Descartes | 0.03 | 1.15 |
PODXL | 0.0002966 | 2985 | GTEx | DepMap | Descartes | 0.12 | 4.81 |
NOTCH4 | 0.0002811 | 3086 | GTEx | DepMap | Descartes | 0.24 | 9.09 |
RAMP2 | 0.0002052 | 3609 | GTEx | DepMap | Descartes | 0.99 | 226.43 |
ARHGAP29 | 0.0001717 | 3879 | GTEx | DepMap | Descartes | 0.28 | 5.59 |
CDH5 | 0.0000802 | 4764 | GTEx | DepMap | Descartes | 0.02 | 0.75 |
ID1 | 0.0000704 | 4870 | GTEx | DepMap | Descartes | 0.15 | 34.25 |
NPR1 | 0.0000457 | 5176 | GTEx | DepMap | Descartes | 0.01 | 0.26 |
KDR | 0.0000438 | 5200 | GTEx | DepMap | Descartes | 0.01 | 0.19 |
SLCO2A1 | 0.0000434 | 5213 | GTEx | DepMap | Descartes | 0.01 | 0.22 |
MMRN2 | 0.0000380 | 5279 | GTEx | DepMap | Descartes | 0.01 | 0.61 |
CDH13 | 0.0000362 | 5311 | GTEx | DepMap | Descartes | 0.02 | 0.48 |
PTPRB | 0.0000261 | 5436 | GTEx | DepMap | Descartes | 0.02 | 0.45 |
F8 | 0.0000199 | 5513 | GTEx | DepMap | Descartes | 0.03 | 0.66 |
TIE1 | 0.0000187 | 5534 | GTEx | DepMap | Descartes | 0.03 | 2.78 |
RASIP1 | 0.0000162 | 5569 | GTEx | DepMap | Descartes | 0.02 | 1.01 |
PLVAP | 0.0000095 | 5642 | GTEx | DepMap | Descartes | 0.05 | 5.65 |
ESM1 | 0.0000095 | 5643 | GTEx | DepMap | Descartes | 0.00 | 0.00 |
CYP26B1 | -0.0000277 | 6234 | GTEx | DepMap | Descartes | 0.00 | 0.00 |
BTNL9 | -0.0000359 | 6351 | GTEx | DepMap | Descartes | 0.02 | 1.29 |
ROBO4 | -0.0000377 | 6379 | GTEx | DepMap | Descartes | 0.01 | 0.23 |
FLT4 | -0.0000385 | 6398 | GTEx | DepMap | Descartes | 0.00 | 0.00 |
SHANK3 | -0.0000559 | 6696 | GTEx | DepMap | Descartes | 0.01 | 0.29 |
SHE | -0.0000635 | 6821 | GTEx | DepMap | Descartes | 0.03 | 0.69 |
CLDN5 | -0.0001045 | 7464 | GTEx | DepMap | Descartes | 0.03 | 2.73 |
TEK | -0.0001098 | 7549 | GTEx | DepMap | Descartes | 0.01 | 0.32 |
Descartes stromal markers
Top 50 marker genes of stromal cells in the Decartes fetal adrenal single cell map (https://atlas.brotmanbaty.org/bbi/human-gene-expression-during-development/cell/stromal/in/adrenal)
Wilcoxon ranksum test P-value for gene set overrepresentation: 5.71e-01
Mean rank of genes in gene set: 6372.86
Median rank of genes in gene set: 6562.5
Rank on gene expression program of top 30 genes in gene set:
Genes | Weight | Rank | GTEx | DepMap | Descartes | Mean.Counts | Mean.TPM |
---|---|---|---|---|---|---|---|
CDH11 | 0.0009082 | 1141 | GTEx | DepMap | Descartes | 0.13 | 5.83 |
PCOLCE | 0.0007295 | 1441 | GTEx | DepMap | Descartes | 0.74 | 94.75 |
PRICKLE1 | 0.0007241 | 1452 | GTEx | DepMap | Descartes | 0.18 | 8.23 |
LOX | 0.0003663 | 2636 | GTEx | DepMap | Descartes | 0.07 | 6.36 |
C7 | 0.0003018 | 2952 | GTEx | DepMap | Descartes | 0.01 | 0.19 |
ELN | 0.0002029 | 3624 | GTEx | DepMap | Descartes | 1.02 | 60.41 |
EDNRA | 0.0001737 | 3861 | GTEx | DepMap | Descartes | 0.01 | 0.96 |
MGP | 0.0001418 | 4144 | GTEx | DepMap | Descartes | 0.26 | 33.21 |
COL3A1 | 0.0001229 | 4305 | GTEx | DepMap | Descartes | 0.30 | 12.61 |
CLDN11 | 0.0001164 | 4374 | GTEx | DepMap | Descartes | 0.00 | 0.00 |
COL12A1 | 0.0000905 | 4661 | GTEx | DepMap | Descartes | 0.03 | 0.45 |
COL1A2 | 0.0000855 | 4711 | GTEx | DepMap | Descartes | 0.80 | 31.63 |
OGN | 0.0000786 | 4786 | GTEx | DepMap | Descartes | 0.04 | 3.61 |
ABCA6 | 0.0000752 | 4826 | GTEx | DepMap | Descartes | 0.01 | 0.24 |
PDGFRA | 0.0000736 | 4838 | GTEx | DepMap | Descartes | 0.03 | 0.68 |
PCDH18 | 0.0000517 | 5105 | GTEx | DepMap | Descartes | 0.03 | 0.76 |
FREM1 | 0.0000494 | 5133 | GTEx | DepMap | Descartes | 0.01 | 0.29 |
LUM | 0.0000422 | 5221 | GTEx | DepMap | Descartes | 0.05 | 5.22 |
COL1A1 | 0.0000264 | 5432 | GTEx | DepMap | Descartes | 0.65 | 21.36 |
GLI2 | -0.0000083 | 5925 | GTEx | DepMap | Descartes | 0.00 | 0.00 |
BICC1 | -0.0000343 | 6330 | GTEx | DepMap | Descartes | 0.04 | 1.99 |
LAMC3 | -0.0000389 | 6404 | GTEx | DepMap | Descartes | 0.00 | 0.00 |
IGFBP3 | -0.0000581 | 6721 | GTEx | DepMap | Descartes | 0.06 | 4.67 |
SFRP2 | -0.0000856 | 7176 | GTEx | DepMap | Descartes | 0.00 | 0.00 |
CCDC80 | -0.0001037 | 7452 | GTEx | DepMap | Descartes | 0.39 | 5.85 |
DKK2 | -0.0001072 | 7498 | GTEx | DepMap | Descartes | 0.01 | 0.32 |
COL6A3 | -0.0001155 | 7640 | GTEx | DepMap | Descartes | 0.11 | 2.63 |
ISLR | -0.0001174 | 7673 | GTEx | DepMap | Descartes | 0.05 | 3.87 |
SCARA5 | -0.0001352 | 7936 | GTEx | DepMap | Descartes | 0.09 | 3.82 |
ADAMTSL3 | -0.0001386 | 7970 | GTEx | DepMap | Descartes | 0.03 | 0.64 |
Descartes sympathoblasts markers
Top 50 marker genes of sympathoblasts cells in the Decartes fetal adrenal single cell map (https://atlas.brotmanbaty.org/bbi/human-gene-expression-during-development/cell/sympathoblasts/in/adrenal)
Wilcoxon ranksum test P-value for gene set overrepresentation: 9.84e-01
Mean rank of genes in gene set: 7538.5
Median rank of genes in gene set: 9305
Rank on gene expression program of top 30 genes in gene set:
Genes | Weight | Rank | GTEx | DepMap | Descartes | Mean.Counts | Mean.TPM |
---|---|---|---|---|---|---|---|
C1QL1 | 0.0015181 | 613 | GTEx | DepMap | Descartes | 0.75 | 117.31 |
CNTN3 | 0.0011937 | 835 | GTEx | DepMap | Descartes | 0.01 | 0.44 |
UNC80 | 0.0006380 | 1653 | GTEx | DepMap | Descartes | 0.36 | 4.41 |
ARC | 0.0005440 | 1937 | GTEx | DepMap | Descartes | 0.54 | 45.04 |
ROBO1 | 0.0004967 | 2118 | GTEx | DepMap | Descartes | 0.23 | 7.43 |
LAMA3 | 0.0004688 | 2213 | GTEx | DepMap | Descartes | 0.07 | 1.85 |
HTATSF1 | 0.0004362 | 2313 | GTEx | DepMap | Descartes | 0.76 | 64.41 |
TIAM1 | 0.0003741 | 2597 | GTEx | DepMap | Descartes | 0.27 | 8.07 |
NTNG1 | 0.0002455 | 3282 | GTEx | DepMap | Descartes | 0.13 | 3.85 |
SLC18A1 | 0.0001653 | 3934 | GTEx | DepMap | Descartes | 0.48 | 36.80 |
PCSK2 | 0.0001397 | 4162 | GTEx | DepMap | Descartes | 0.09 | 3.49 |
GCH1 | 0.0001255 | 4278 | GTEx | DepMap | Descartes | 0.45 | 42.60 |
GALNTL6 | 0.0001011 | 4537 | GTEx | DepMap | Descartes | 0.04 | 2.43 |
SPOCK3 | 0.0000853 | 4712 | GTEx | DepMap | Descartes | 0.23 | 13.98 |
DGKK | 0.0000270 | 5421 | GTEx | DepMap | Descartes | 0.03 | 1.69 |
EML6 | -0.0000682 | 6907 | GTEx | DepMap | Descartes | 0.10 | 1.69 |
ST18 | -0.0001427 | 8034 | GTEx | DepMap | Descartes | 0.00 | 0.00 |
SLC24A2 | -0.0002190 | 9031 | GTEx | DepMap | Descartes | 0.01 | 0.08 |
CDH12 | -0.0002321 | 9199 | GTEx | DepMap | Descartes | 0.06 | 2.61 |
SLC35F3 | -0.0002480 | 9411 | GTEx | DepMap | Descartes | 0.03 | 1.40 |
KSR2 | -0.0002712 | 9652 | GTEx | DepMap | Descartes | 0.04 | 0.27 |
FAM155A | -0.0002828 | 9772 | GTEx | DepMap | Descartes | 0.10 | 2.38 |
FGF14 | -0.0002886 | 9832 | GTEx | DepMap | Descartes | 0.17 | 2.09 |
CCSER1 | -0.0003031 | 9975 | GTEx | DepMap | Descartes | 0.06 | NA |
AGBL4 | -0.0003292 | 10226 | GTEx | DepMap | Descartes | 0.02 | 1.19 |
TENM1 | -0.0003688 | 10544 | GTEx | DepMap | Descartes | 0.09 | NA |
GRID2 | -0.0003826 | 10651 | GTEx | DepMap | Descartes | 0.08 | 2.96 |
TBX20 | -0.0004122 | 10843 | GTEx | DepMap | Descartes | 0.01 | 1.89 |
PENK | -0.0004141 | 10858 | GTEx | DepMap | Descartes | 0.00 | 0.00 |
CDH18 | -0.0004697 | 11194 | GTEx | DepMap | Descartes | 0.08 | 3.97 |
Descartes erythroblasts markers
Top 50 marker genes of erythroblasts cells in the Decartes fetal adrenal single cell map (https://atlas.brotmanbaty.org/bbi/human-gene-expression-during-development/cell/erythroblasts/in/adrenal)
Wilcoxon ranksum test P-value for gene set overrepresentation: 7.73e-01
Mean rank of genes in gene set: 6778.48
Median rank of genes in gene set: 6531
Rank on gene expression program of top 30 genes in gene set:
Genes | Weight | Rank | GTEx | DepMap | Descartes | Mean.Counts | Mean.TPM |
---|---|---|---|---|---|---|---|
XPO7 | 0.0011426 | 886 | GTEx | DepMap | Descartes | 0.38 | 18.02 |
ANK1 | 0.0008276 | 1260 | GTEx | DepMap | Descartes | 0.32 | 9.51 |
ABCB10 | 0.0006824 | 1550 | GTEx | DepMap | Descartes | 0.24 | 17.18 |
TSPAN5 | 0.0002296 | 3402 | GTEx | DepMap | Descartes | 0.73 | 41.00 |
CPOX | 0.0002016 | 3631 | GTEx | DepMap | Descartes | 0.13 | 11.40 |
SPTB | 0.0001645 | 3947 | GTEx | DepMap | Descartes | 0.06 | 1.01 |
TMCC2 | 0.0001645 | 3948 | GTEx | DepMap | Descartes | 0.10 | 5.24 |
MARCH3 | 0.0001261 | 4273 | GTEx | DepMap | Descartes | 0.05 | NA |
TRAK2 | 0.0001222 | 4311 | GTEx | DepMap | Descartes | 0.19 | 7.94 |
TFR2 | 0.0001106 | 4437 | GTEx | DepMap | Descartes | 0.32 | 19.29 |
SOX6 | 0.0000821 | 4748 | GTEx | DepMap | Descartes | 0.13 | 4.09 |
RGS6 | 0.0000598 | 5006 | GTEx | DepMap | Descartes | 0.00 | 0.00 |
DENND4A | 0.0000028 | 5736 | GTEx | DepMap | Descartes | 0.28 | 9.06 |
EPB41 | -0.0000184 | 6080 | GTEx | DepMap | Descartes | 0.46 | 18.34 |
MICAL2 | -0.0000468 | 6531 | GTEx | DepMap | Descartes | 0.10 | 3.90 |
RHD | -0.0000645 | 6838 | GTEx | DepMap | Descartes | 0.04 | 1.29 |
SPECC1 | -0.0001688 | 8397 | GTEx | DepMap | Descartes | 0.08 | 2.28 |
FECH | -0.0001754 | 8479 | GTEx | DepMap | Descartes | 0.31 | 7.31 |
GCLC | -0.0001953 | 8718 | GTEx | DepMap | Descartes | 0.09 | 4.93 |
SLC4A1 | -0.0002153 | 8978 | GTEx | DepMap | Descartes | 0.27 | 5.06 |
CAT | -0.0002410 | 9323 | GTEx | DepMap | Descartes | 0.43 | 49.27 |
SLC25A37 | -0.0002529 | 9476 | GTEx | DepMap | Descartes | 0.70 | 25.42 |
RAPGEF2 | -0.0002801 | 9740 | GTEx | DepMap | Descartes | 0.20 | 5.12 |
BLVRB | -0.0003313 | 10249 | GTEx | DepMap | Descartes | 0.76 | 81.34 |
SELENBP1 | -0.0003475 | 10386 | GTEx | DepMap | Descartes | 0.08 | 2.51 |
ALAS2 | -0.0003557 | 10441 | GTEx | DepMap | Descartes | 0.22 | 9.99 |
SLC25A21 | -0.0004611 | 11142 | GTEx | DepMap | Descartes | 0.01 | 0.20 |
GYPC | -0.0007969 | 12180 | GTEx | DepMap | Descartes | 1.36 | 218.25 |
SNCA | -0.0013128 | 12483 | GTEx | DepMap | Descartes | 0.57 | 40.44 |
NA | NA | NA | NA | NA | NA | NA | NA |
Descartes myeloid markers
Top 50 marker genes of myeloid cells in the Decartes fetal adrenal single cell map (https://atlas.brotmanbaty.org/bbi/human-gene-expression-during-development/cell/myeloid/in/adrenal)
Wilcoxon ranksum test P-value for gene set overrepresentation: 9.70e-01
Mean rank of genes in gene set: 7377.74
Median rank of genes in gene set: 7083.5
Rank on gene expression program of top 30 genes in gene set:
Genes | Weight | Rank | GTEx | DepMap | Descartes | Mean.Counts | Mean.TPM |
---|---|---|---|---|---|---|---|
FMN1 | 0.0003629 | 2654 | GTEx | DepMap | Descartes | 0.30 | 5.98 |
RGL1 | 0.0002213 | 3462 | GTEx | DepMap | Descartes | 0.06 | 2.85 |
CD163L1 | 0.0002068 | 3592 | GTEx | DepMap | Descartes | 1.24 | 50.08 |
MS4A4A | 0.0001172 | 4362 | GTEx | DepMap | Descartes | 0.08 | 12.08 |
LGMN | 0.0001014 | 4532 | GTEx | DepMap | Descartes | 0.33 | 60.52 |
SLCO2B1 | 0.0000838 | 4725 | GTEx | DepMap | Descartes | 0.08 | 2.14 |
MARCH1 | 0.0000012 | 5772 | GTEx | DepMap | Descartes | 0.06 | NA |
MERTK | -0.0000015 | 5811 | GTEx | DepMap | Descartes | 0.01 | 0.25 |
CSF1R | -0.0000020 | 5817 | GTEx | DepMap | Descartes | 0.07 | 2.94 |
ATP8B4 | -0.0000050 | 5870 | GTEx | DepMap | Descartes | 0.02 | 1.58 |
WWP1 | -0.0000113 | 5966 | GTEx | DepMap | Descartes | 0.17 | 10.71 |
MSR1 | -0.0000129 | 5996 | GTEx | DepMap | Descartes | 0.01 | 0.55 |
CYBB | -0.0000176 | 6066 | GTEx | DepMap | Descartes | 0.12 | 5.49 |
SPP1 | -0.0000234 | 6164 | GTEx | DepMap | Descartes | 1.15 | 192.14 |
ABCA1 | -0.0000238 | 6166 | GTEx | DepMap | Descartes | 0.06 | 1.24 |
CD14 | -0.0000357 | 6348 | GTEx | DepMap | Descartes | 0.23 | 40.83 |
ADAP2 | -0.0000379 | 6383 | GTEx | DepMap | Descartes | 0.03 | 1.82 |
SLC1A3 | -0.0000423 | 6469 | GTEx | DepMap | Descartes | 0.01 | 0.19 |
CTSB | -0.0000772 | 7039 | GTEx | DepMap | Descartes | 1.80 | 107.92 |
ITPR2 | -0.0000823 | 7128 | GTEx | DepMap | Descartes | 0.18 | 3.97 |
SLC9A9 | -0.0001060 | 7488 | GTEx | DepMap | Descartes | 0.08 | 4.12 |
CD163 | -0.0001280 | 7819 | GTEx | DepMap | Descartes | 0.04 | 2.04 |
AXL | -0.0001294 | 7836 | GTEx | DepMap | Descartes | 0.11 | 4.12 |
CST3 | -0.0001346 | 7931 | GTEx | DepMap | Descartes | 3.24 | 161.26 |
FGL2 | -0.0001386 | 7971 | GTEx | DepMap | Descartes | 0.12 | 5.42 |
SFMBT2 | -0.0001530 | 8166 | GTEx | DepMap | Descartes | 0.07 | 3.82 |
CPVL | -0.0001540 | 8183 | GTEx | DepMap | Descartes | 0.16 | 10.78 |
FGD2 | -0.0001543 | 8188 | GTEx | DepMap | Descartes | 0.01 | 0.26 |
TGFBI | -0.0001750 | 8473 | GTEx | DepMap | Descartes | 0.14 | 4.51 |
CTSD | -0.0002788 | 9730 | GTEx | DepMap | Descartes | 1.14 | 137.56 |
Descartes Schwann markers
Top 50 marker genes of Schwann cells in the Decartes fetal adrenal single cell map (https://atlas.brotmanbaty.org/bbi/human-gene-expression-during-development/cell/schwann/in/adrenal)
Wilcoxon ranksum test P-value for gene set overrepresentation: 4.88e-01
Mean rank of genes in gene set: 6259.11
Median rank of genes in gene set: 6061
Rank on gene expression program of top 30 genes in gene set:
Genes | Weight | Rank | GTEx | DepMap | Descartes | Mean.Counts | Mean.TPM |
---|---|---|---|---|---|---|---|
PTN | 0.0040431 | 214 | GTEx | DepMap | Descartes | 3.79 | 622.45 |
FIGN | 0.0026491 | 333 | GTEx | DepMap | Descartes | 0.26 | 5.65 |
MARCKS | 0.0014462 | 649 | GTEx | DepMap | Descartes | 8.43 | 403.90 |
SFRP1 | 0.0008272 | 1263 | GTEx | DepMap | Descartes | 1.46 | 68.19 |
VIM | 0.0006145 | 1715 | GTEx | DepMap | Descartes | 5.11 | 576.20 |
DST | 0.0004367 | 2307 | GTEx | DepMap | Descartes | 2.18 | 20.96 |
IL1RAPL1 | 0.0004006 | 2465 | GTEx | DepMap | Descartes | 0.01 | 1.12 |
ERBB4 | 0.0003887 | 2528 | GTEx | DepMap | Descartes | 0.33 | 4.16 |
COL5A2 | 0.0002771 | 3109 | GTEx | DepMap | Descartes | 0.11 | 5.47 |
LRRTM4 | 0.0002711 | 3140 | GTEx | DepMap | Descartes | 0.22 | 10.74 |
TRPM3 | 0.0002168 | 3498 | GTEx | DepMap | Descartes | 0.09 | 1.56 |
GFRA3 | 0.0002113 | 3544 | GTEx | DepMap | Descartes | 1.82 | 205.04 |
KCTD12 | 0.0001661 | 3926 | GTEx | DepMap | Descartes | 0.16 | 4.36 |
LAMA4 | 0.0001594 | 3989 | GTEx | DepMap | Descartes | 0.17 | 5.13 |
PLP1 | 0.0001025 | 4515 | GTEx | DepMap | Descartes | 0.01 | 0.35 |
SORCS1 | 0.0000937 | 4626 | GTEx | DepMap | Descartes | 0.03 | 0.71 |
COL18A1 | 0.0000671 | 4914 | GTEx | DepMap | Descartes | 0.06 | 2.35 |
EGFLAM | 0.0000617 | 4977 | GTEx | DepMap | Descartes | 0.04 | 2.12 |
LAMC1 | 0.0000217 | 5491 | GTEx | DepMap | Descartes | 0.07 | 3.77 |
PTPRZ1 | 0.0000035 | 5729 | GTEx | DepMap | Descartes | 0.00 | 0.00 |
COL25A1 | 0.0000028 | 5739 | GTEx | DepMap | Descartes | 0.00 | 0.00 |
STARD13 | -0.0000041 | 5857 | GTEx | DepMap | Descartes | 0.01 | 0.16 |
OLFML2A | -0.0000298 | 6265 | GTEx | DepMap | Descartes | 0.03 | 0.66 |
ADAMTS5 | -0.0000481 | 6556 | GTEx | DepMap | Descartes | 0.02 | 0.34 |
ERBB3 | -0.0000511 | 6613 | GTEx | DepMap | Descartes | 0.01 | 0.26 |
HMGA2 | -0.0000523 | 6631 | GTEx | DepMap | Descartes | 0.01 | 0.34 |
LAMB1 | -0.0000610 | 6777 | GTEx | DepMap | Descartes | 0.34 | 10.49 |
EDNRB | -0.0000658 | 6862 | GTEx | DepMap | Descartes | 0.00 | 0.00 |
SOX5 | -0.0000935 | 7292 | GTEx | DepMap | Descartes | 0.10 | 3.64 |
GRIK3 | -0.0000960 | 7324 | GTEx | DepMap | Descartes | 0.00 | 0.00 |
Descartes Megakaryocytes markers
Top 50 marker genes of Megakaryocytes cells in the Decartes fetal adrenal single cell map (https://atlas.brotmanbaty.org/bbi/human-gene-expression-during-development/cell/megakaryocytes/in/adrenal)
Wilcoxon ranksum test P-value for gene set overrepresentation: 9.76e-01
Mean rank of genes in gene set: 7341.31
Median rank of genes in gene set: 7684
Rank on gene expression program of top 30 genes in gene set:
Genes | Weight | Rank | GTEx | DepMap | Descartes | Mean.Counts | Mean.TPM |
---|---|---|---|---|---|---|---|
ITGA2B | 0.0012616 | 767 | GTEx | DepMap | Descartes | 0.06 | 3.92 |
STON2 | 0.0012500 | 778 | GTEx | DepMap | Descartes | 0.15 | 7.21 |
PDE3A | 0.0010919 | 937 | GTEx | DepMap | Descartes | 0.09 | 2.91 |
ACTN1 | 0.0009474 | 1095 | GTEx | DepMap | Descartes | 0.53 | 29.31 |
ACTB | 0.0008489 | 1228 | GTEx | DepMap | Descartes | 76.48 | 9187.74 |
TPM4 | 0.0007412 | 1422 | GTEx | DepMap | Descartes | 1.95 | 99.21 |
PRKAR2B | 0.0003589 | 2667 | GTEx | DepMap | Descartes | 0.96 | 63.05 |
HIPK2 | 0.0003440 | 2738 | GTEx | DepMap | Descartes | 0.52 | 7.39 |
MED12L | 0.0002349 | 3362 | GTEx | DepMap | Descartes | 0.04 | 0.75 |
LIMS1 | 0.0002227 | 3447 | GTEx | DepMap | Descartes | 0.94 | 52.96 |
MCTP1 | 0.0000753 | 4824 | GTEx | DepMap | Descartes | 0.04 | 1.70 |
ANGPT1 | 0.0000533 | 5093 | GTEx | DepMap | Descartes | 0.03 | 1.50 |
LTBP1 | 0.0000316 | 5365 | GTEx | DepMap | Descartes | 0.03 | 0.78 |
THBS1 | -0.0000195 | 6097 | GTEx | DepMap | Descartes | 0.17 | 5.76 |
MMRN1 | -0.0000207 | 6116 | GTEx | DepMap | Descartes | 0.01 | 0.49 |
ITGB3 | -0.0000411 | 6445 | GTEx | DepMap | Descartes | 0.00 | 0.00 |
MYH9 | -0.0000412 | 6447 | GTEx | DepMap | Descartes | 0.77 | 35.10 |
PLEK | -0.0000473 | 6537 | GTEx | DepMap | Descartes | 0.29 | 29.05 |
TRPC6 | -0.0000671 | 6887 | GTEx | DepMap | Descartes | 0.00 | 0.00 |
TUBB1 | -0.0000946 | 7309 | GTEx | DepMap | Descartes | 0.01 | 0.50 |
FLNA | -0.0000959 | 7321 | GTEx | DepMap | Descartes | 0.59 | 23.34 |
ARHGAP6 | -0.0001082 | 7513 | GTEx | DepMap | Descartes | 0.01 | 0.13 |
UBASH3B | -0.0001184 | 7684 | GTEx | DepMap | Descartes | 0.10 | 6.09 |
TLN1 | -0.0001659 | 8352 | GTEx | DepMap | Descartes | 0.95 | 30.88 |
SLC24A3 | -0.0001694 | 8404 | GTEx | DepMap | Descartes | 0.00 | 0.00 |
VCL | -0.0001802 | 8531 | GTEx | DepMap | Descartes | 0.15 | 3.51 |
STOM | -0.0002198 | 9042 | GTEx | DepMap | Descartes | 0.29 | 22.86 |
RAP1B | -0.0002291 | 9167 | GTEx | DepMap | Descartes | 1.59 | 35.33 |
RAB27B | -0.0002317 | 9193 | GTEx | DepMap | Descartes | 0.15 | 4.20 |
MYLK | -0.0002648 | 9588 | GTEx | DepMap | Descartes | 0.04 | 1.85 |
Descartes Lyphoid markers
Top 50 marker genes of Lyphoid cells in the Decartes fetal adrenal single cell map (https://atlas.brotmanbaty.org/bbi/human-gene-expression-during-development/cell/lymphoid/in/adrenal)
Wilcoxon ranksum test P-value for gene set overrepresentation: 1.00e+00
Mean rank of genes in gene set: 10792.79
Median rank of genes in gene set: 11601.5
Rank on gene expression program of top 30 genes in gene set:
Genes | Weight | Rank | GTEx | DepMap | Descartes | Mean.Counts | Mean.TPM |
---|---|---|---|---|---|---|---|
RAP1GAP2 | 0.0001521 | 4054 | GTEx | DepMap | Descartes | 0.24 | 8.13 |
PDE3B | 0.0000129 | 5607 | GTEx | DepMap | Descartes | 0.30 | 14.63 |
FOXP1 | 0.0000087 | 5659 | GTEx | DepMap | Descartes | 1.72 | 46.82 |
DOCK10 | -0.0000108 | 5961 | GTEx | DepMap | Descartes | 0.28 | 12.66 |
STK39 | -0.0000305 | 6278 | GTEx | DepMap | Descartes | 0.50 | 32.33 |
ABLIM1 | -0.0000365 | 6360 | GTEx | DepMap | Descartes | 0.27 | 7.36 |
TOX | -0.0001732 | 8446 | GTEx | DepMap | Descartes | 0.29 | 21.25 |
LEF1 | -0.0003111 | 10048 | GTEx | DepMap | Descartes | 0.15 | 13.40 |
CCND3 | -0.0003566 | 10451 | GTEx | DepMap | Descartes | 0.85 | 117.68 |
SP100 | -0.0003823 | 10645 | GTEx | DepMap | Descartes | 0.82 | 46.35 |
ANKRD44 | -0.0004078 | 10810 | GTEx | DepMap | Descartes | 0.36 | 12.88 |
SORL1 | -0.0004123 | 10846 | GTEx | DepMap | Descartes | 0.36 | 8.77 |
CELF2 | -0.0004129 | 10852 | GTEx | DepMap | Descartes | 0.98 | 35.44 |
CD44 | -0.0004230 | 10926 | GTEx | DepMap | Descartes | 1.77 | 80.13 |
ITPKB | -0.0004480 | 11074 | GTEx | DepMap | Descartes | 0.04 | 3.06 |
BACH2 | -0.0004803 | 11255 | GTEx | DepMap | Descartes | 0.34 | 11.13 |
PLEKHA2 | -0.0004952 | 11333 | GTEx | DepMap | Descartes | 0.21 | 13.21 |
PITPNC1 | -0.0005018 | 11374 | GTEx | DepMap | Descartes | 0.19 | 8.81 |
ARHGAP15 | -0.0005337 | 11521 | GTEx | DepMap | Descartes | 0.29 | 37.63 |
LCP1 | -0.0005347 | 11526 | GTEx | DepMap | Descartes | 1.18 | 94.90 |
MSN | -0.0005433 | 11555 | GTEx | DepMap | Descartes | 0.97 | 71.98 |
ARID5B | -0.0005691 | 11648 | GTEx | DepMap | Descartes | 0.25 | 11.25 |
IKZF1 | -0.0006629 | 11908 | GTEx | DepMap | Descartes | 0.41 | 20.04 |
MBNL1 | -0.0006659 | 11915 | GTEx | DepMap | Descartes | 0.90 | 42.78 |
MCTP2 | -0.0006779 | 11933 | GTEx | DepMap | Descartes | 0.09 | 4.59 |
GNG2 | -0.0007262 | 12060 | GTEx | DepMap | Descartes | 1.31 | 105.61 |
ETS1 | -0.0007328 | 12073 | GTEx | DepMap | Descartes | 0.48 | 41.21 |
ARHGDIB | -0.0007600 | 12119 | GTEx | DepMap | Descartes | 5.24 | 1509.05 |
BCL2 | -0.0007661 | 12132 | GTEx | DepMap | Descartes | 0.35 | 11.56 |
PRKCH | -0.0007672 | 12134 | GTEx | DepMap | Descartes | 0.31 | 36.15 |
Below shows the ranks on this GEP for immune marker gene lists curated by CellTypist (https://www.celltypist.org/encyclopedia).
High ranks indicate this gene is a driver of this GEP.
These curated gene list are ranked by P-value (on this GEP) of their constituent genes.
The Mean Count column shows the mean read count in cells scoring highly (H > 50) on this gene expression program.
Genes | Weight | Rank | GTEx | DepMap | Decartes | Mean.Counts | Mean.TPM |
---|---|---|---|---|---|---|---|
TOP2A | 0.0217184 | 1 | GTEx | DepMap | Descartes | 9.72 | 462.53 |
MKI67 | 0.0153119 | 6 | GTEx | DepMap | Descartes | 3.92 | 90.20 |
Cycling cells: Cycling gamma-delta T cells (curated markers)
proliferating gamma-delta (γδ) T lymphocytes:
Wilcoxon ranksum test P-value for gene set overrepresentation: 7.18e-03
Mean rank of genes in gene set: 3.5
Rank on gene expression program of genes in gene set:
Genes | Weight | Rank | GTEx | DepMap | Decartes | Mean.Counts | Mean.TPM |
---|---|---|---|---|---|---|---|
TOP2A | 0.0217184 | 1 | GTEx | DepMap | Descartes | 9.72 | 462.53 |
MKI67 | 0.0153119 | 6 | GTEx | DepMap | Descartes | 3.92 | 90.20 |
Cycling cells: Cycling monocytes (curated markers)
proliferating monocytes:
Wilcoxon ranksum test P-value for gene set overrepresentation: 7.18e-03
Mean rank of genes in gene set: 3.5
Rank on gene expression program of genes in gene set:
Genes | Weight | Rank | GTEx | DepMap | Decartes | Mean.Counts | Mean.TPM |
---|---|---|---|---|---|---|---|
TOP2A | 0.0217184 | 1 | GTEx | DepMap | Descartes | 9.72 | 462.53 |
MKI67 | 0.0153119 | 6 | GTEx | DepMap | Descartes | 3.92 | 90.20 |