Program description and justification of annotation: 37.
Submit a comment on this gene expression program’s interpretation: CLICK
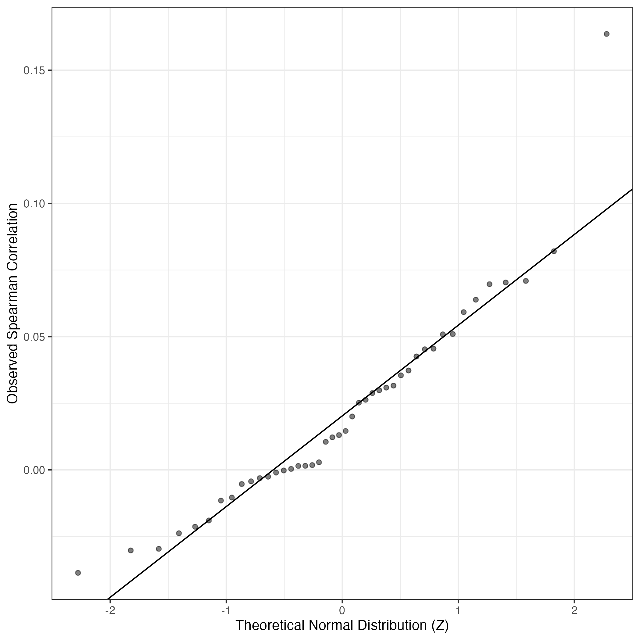
QQ-plot of gene loadings, averaged over both independent splits of the data
This plot highlights the relative contribution of each gene to the GEP
Top genes driving this program.
Note: Decartes website is buggy, try refreshing. Also, Decartes fetal adrenal data have been collected at specific time points (89-122 days), all possible cell types of interest may not be represented, do not overinterpret.
The Mean Count column shows the mean read count in cells scoring highly (H > 50) on this gene expression program.
Gene | Loading | Gene.Name | GTEx | DepMap | Descartes | Mean.Counts | Mean.Tpm | |
---|---|---|---|---|---|---|---|---|
1 | FMOD | 0.0165631 | fibromodulin | GTEx | DepMap | Descartes | 1.20 | 26.84 |
2 | THBS4 | 0.0129846 | thrombospondin 4 | GTEx | DepMap | Descartes | 1.46 | 6.63 |
3 | BGN | 0.0128196 | biglycan | GTEx | DepMap | Descartes | 20.89 | 600.62 |
4 | COL8A1 | 0.0121082 | collagen type VIII alpha 1 chain | GTEx | DepMap | Descartes | 6.18 | 19.31 |
5 | COL1A2 | 0.0118320 | collagen type I alpha 2 chain | GTEx | DepMap | Descartes | 65.10 | 564.85 |
6 | COL1A1 | 0.0104599 | collagen type I alpha 1 chain | GTEx | DepMap | Descartes | 70.27 | 1369.05 |
7 | THBS2 | 0.0103814 | thrombospondin 2 | GTEx | DepMap | Descartes | 1.82 | 23.81 |
8 | WISP1 | 0.0101555 | NA | GTEx | DepMap | Descartes | 1.40 | NA |
9 | 2010300F17RIK | 0.0099319 | NA | GTEx | DepMap | Descartes | 0.01 | NA |
10 | COL5A1 | 0.0098067 | collagen type V alpha 1 chain | GTEx | DepMap | Descartes | 7.60 | 15.50 |
11 | LTBP2 | 0.0096517 | latent transforming growth factor beta binding protein 2 | GTEx | DepMap | Descartes | 0.99 | 3.89 |
12 | MRC2 | 0.0094526 | mannose receptor C type 2 | GTEx | DepMap | Descartes | 1.25 | 7.19 |
13 | ASPN | 0.0088369 | asporin | GTEx | DepMap | Descartes | 3.16 | 43.25 |
14 | MGP | 0.0087295 | matrix Gla protein | GTEx | DepMap | Descartes | 28.35 | 3409.49 |
15 | SERPINH1 | 0.0083638 | serpin family H member 1 | GTEx | DepMap | Descartes | 17.01 | 636.52 |
16 | SPARC | 0.0082504 | secreted protein acidic and cysteine rich | GTEx | DepMap | Descartes | 108.13 | 1175.84 |
17 | COL3A1 | 0.0081447 | collagen type III alpha 1 chain | GTEx | DepMap | Descartes | 97.53 | 768.10 |
18 | COL15A1 | 0.0076651 | collagen type XV alpha 1 chain | GTEx | DepMap | Descartes | 4.82 | 18.55 |
19 | ANGPTL1 | 0.0076307 | angiopoietin like 1 | GTEx | DepMap | Descartes | 0.63 | 6.82 |
20 | ACAN | 0.0076214 | aggrecan | GTEx | DepMap | Descartes | 0.13 | 0.56 |
21 | FSTL1 | 0.0072396 | follistatin like 1 | GTEx | DepMap | Descartes | 14.77 | 82.29 |
22 | COL10A1 | 0.0071398 | collagen type X alpha 1 chain | GTEx | DepMap | Descartes | 0.20 | 16.47 |
23 | KDELR3 | 0.0069438 | KDEL endoplasmic reticulum protein retention receptor 3 | GTEx | DepMap | Descartes | 1.29 | 31.63 |
24 | COL5A2 | 0.0066896 | collagen type V alpha 2 chain | GTEx | DepMap | Descartes | 12.70 | 36.61 |
25 | MFAP5 | 0.0065410 | microfibril associated protein 5 | GTEx | DepMap | Descartes | 9.96 | 125.45 |
26 | C1QTNF3 | 0.0065321 | C1q and TNF related 3 | GTEx | DepMap | Descartes | 0.54 | 8.17 |
27 | COL12A1 | 0.0064598 | collagen type XII alpha 1 chain | GTEx | DepMap | Descartes | 4.22 | 15.18 |
28 | FN1 | 0.0063953 | fibronectin 1 | GTEx | DepMap | Descartes | 36.59 | 197.08 |
29 | LOXL1 | 0.0061827 | lysyl oxidase like 1 | GTEx | DepMap | Descartes | 3.84 | 49.80 |
30 | CTHRC1 | 0.0060746 | collagen triple helix repeat containing 1 | GTEx | DepMap | Descartes | 3.25 | 83.90 |
31 | MMP23 | 0.0060686 | NA | GTEx | DepMap | Descartes | 2.69 | 258.47 |
32 | RCN3 | 0.0060358 | reticulocalbin 3 | GTEx | DepMap | Descartes | 4.77 | 152.86 |
33 | GM15556 | 0.0058733 | NA | GTEx | DepMap | Descartes | 0.01 | 1.25 |
34 | FBN1 | 0.0057879 | fibrillin 1 | GTEx | DepMap | Descartes | 9.18 | 16.49 |
35 | LOX | 0.0057532 | lysyl oxidase | GTEx | DepMap | Descartes | 2.89 | 65.12 |
36 | COL6A1 | 0.0056928 | collagen type VI alpha 1 chain | GTEx | DepMap | Descartes | 9.42 | 185.22 |
37 | WISP2 | 0.0056802 | NA | GTEx | DepMap | Descartes | 1.27 | NA |
38 | EFEMP2 | 0.0056770 | EGF containing fibulin extracellular matrix protein 2 | GTEx | DepMap | Descartes | 1.86 | 72.23 |
39 | RBP1 | 0.0055159 | retinol binding protein 1 | GTEx | DepMap | Descartes | 9.44 | 137.66 |
40 | FIBIN | 0.0055031 | fin bud initiation factor homolog | GTEx | DepMap | Descartes | 1.13 | 154.00 |
41 | TIMP1 | 0.0054572 | TIMP metallopeptidase inhibitor 1 | GTEx | DepMap | Descartes | 28.49 | 1357.08 |
42 | COL6A3 | 0.0054239 | collagen type VI alpha 3 chain | GTEx | DepMap | Descartes | 4.27 | 18.27 |
43 | COL6A2 | 0.0052652 | collagen type VI alpha 2 chain | GTEx | DepMap | Descartes | 5.32 | 67.58 |
44 | SOD3 | 0.0052135 | superoxide dismutase 3 | GTEx | DepMap | Descartes | 1.49 | 59.30 |
45 | FOXS1 | 0.0049281 | forkhead box S1 | GTEx | DepMap | Descartes | 0.58 | 161.42 |
46 | ADAMTS2 | 0.0049116 | ADAM metallopeptidase with thrombospondin type 1 motif 2 | GTEx | DepMap | Descartes | 2.92 | 5.34 |
47 | C1QTNF6 | 0.0047830 | C1q and TNF related 6 | GTEx | DepMap | Descartes | 1.46 | 62.45 |
48 | COPZ2 | 0.0047657 | COPI coat complex subunit zeta 2 | GTEx | DepMap | Descartes | 2.49 | 60.52 |
49 | TNN | 0.0047408 | tenascin N | GTEx | DepMap | Descartes | 0.05 | 0.13 |
50 | GPX8 | 0.0046805 | glutathione peroxidase 8 (putative) | GTEx | DepMap | Descartes | 2.82 | 241.69 |
UMAP plots showing activity of gene expression program identified in community:37. Myofibroblastic CAF
CNV Data procured from inferCNV.
Outer tracks are putative CNV regions (gains = red, losses = blue) for each patient
Inner track is expression data representing:
The top cells expressing this GEP (purple)
Random cells (n =50) from the reference set used in inferCNV (orange)
Gene set Enrichments for this program, caculated from top 50 genes
mSigDB Cell Types Gene Set:
P-value | OR | Lower 95% CI | FDR | FWER | Genes Found | Gene Set Size | |
---|---|---|---|---|---|---|---|
DESCARTES_FETAL_EYE_STROMAL_CELLS | 8.86e-38 | 219.75 | 112.27 | 5.95e-35 | 5.95e-35 | 21FMOD, COL1A2, COL1A1, THBS2, COL5A1, ASPN, MGP, SPARC, COL3A1, KDELR3, COL5A2, MFAP5, COL12A1, FN1, CTHRC1, FBN1, LOX, COL6A1, COL6A3, COL6A2, ADAMTS2 |
90 |
CUI_DEVELOPING_HEART_C3_FIBROBLAST_LIKE_CELL | 2.32e-37 | 172.62 | 90.69 | 7.79e-35 | 1.56e-34 | 22COL1A2, COL1A1, THBS2, COL5A1, MRC2, ASPN, MGP, SERPINH1, SPARC, COL15A1, FSTL1, COL5A2, COL12A1, RCN3, FBN1, LOX, COL6A1, EFEMP2, TIMP1, COL6A3, COL6A2, ADAMTS2 |
117 |
CUI_DEVELOPING_HEART_COMPACT_VENTRICULAR_CARDIOMYOCYTE | 8.24e-27 | 178.36 | 85.05 | 7.90e-25 | 5.53e-24 | 15COL1A2, COL1A1, COL5A1, ASPN, MGP, SPARC, COL3A1, COL15A1, COL5A2, COL12A1, FN1, FBN1, COL6A1, COL6A3, COL6A2 |
65 |
DESCARTES_FETAL_THYMUS_STROMAL_CELLS | 1.35e-33 | 130.13 | 68.47 | 3.03e-31 | 9.08e-31 | 21FMOD, BGN, COL1A2, COL1A1, THBS2, COL5A1, MRC2, ASPN, MGP, SPARC, COL3A1, FSTL1, COL5A2, MFAP5, COL12A1, RCN3, FBN1, LOX, COL6A1, TIMP1, GPX8 |
137 |
GAO_LARGE_INTESTINE_24W_C1_DCLK1POS_PROGENITOR | 5.51e-28 | 130.95 | 65.64 | 6.16e-26 | 3.70e-25 | 17COL8A1, COL1A2, COL1A1, THBS2, COL5A1, MRC2, ASPN, MGP, SPARC, COL3A1, COL5A2, C1QTNF3, CTHRC1, RCN3, LOX, ADAMTS2, C1QTNF6 |
99 |
CUI_DEVELOPING_HEART_SMOOTH_MUSCLE_CELL | 1.37e-17 | 137.09 | 56.90 | 7.09e-16 | 9.21e-15 | 10BGN, COL1A2, COL1A1, SPARC, COL3A1, ANGPTL1, MFAP5, C1QTNF3, RCN3, LOX |
48 |
DESCARTES_MAIN_FETAL_STROMAL_CELLS | 9.47e-10 | 153.50 | 42.02 | 2.35e-08 | 6.35e-07 | 5COL1A2, COL1A1, THBS2, COL5A1, COL12A1 |
20 |
DESCARTES_FETAL_KIDNEY_STROMAL_CELLS | 4.80e-23 | 75.55 | 37.97 | 4.02e-21 | 3.22e-20 | 16COL1A2, COL1A1, THBS2, LTBP2, ASPN, MGP, SPARC, COL3A1, ANGPTL1, KDELR3, MFAP5, COL12A1, FBN1, LOX, FIBIN, SOD3 |
146 |
MENON_FETAL_KIDNEY_3_STROMAL_CELLS | 3.67e-15 | 73.57 | 31.50 | 1.54e-13 | 2.46e-12 | 10COL1A2, COL1A1, SERPINH1, SPARC, COL3A1, FSTL1, COL5A2, FN1, RBP1, COL6A3 |
81 |
AIZARANI_LIVER_C21_STELLATE_CELLS_1 | 8.57e-23 | 60.81 | 31.15 | 6.39e-21 | 5.75e-20 | 17BGN, COL1A2, COL1A1, THBS2, COL5A1, MGP, SPARC, COL3A1, FSTL1, FBN1, COL6A1, RBP1, TIMP1, COL6A3, COL6A2, SOD3, ADAMTS2 |
194 |
DESCARTES_FETAL_MUSCLE_STROMAL_CELLS | 2.63e-14 | 59.30 | 25.62 | 9.30e-13 | 1.77e-11 | 10COL1A2, COL1A1, MRC2, ASPN, MGP, COL3A1, ANGPTL1, KDELR3, MFAP5, COL12A1 |
98 |
MURARO_PANCREAS_MESENCHYMAL_STROMAL_CELL | 5.37e-31 | 44.36 | 24.29 | 9.00e-29 | 3.60e-28 | 29FMOD, BGN, COL8A1, COL1A2, COL1A1, THBS2, COL5A1, LTBP2, MRC2, MGP, SERPINH1, SPARC, COL3A1, COL15A1, FSTL1, KDELR3, COL5A2, COL12A1, FN1, CTHRC1, FBN1, LOX, COL6A1, FIBIN, TIMP1, COL6A3, COL6A2, ADAMTS2, GPX8 |
680 |
DESCARTES_FETAL_HEART_STROMAL_CELLS | 1.65e-08 | 80.03 | 23.10 | 3.82e-07 | 1.11e-05 | 5COL1A2, COL1A1, ANGPTL1, MFAP5, ADAMTS2 |
34 |
TRAVAGLINI_LUNG_ADVENTITIAL_FIBROBLAST_CELL | 2.81e-21 | 42.27 | 22.06 | 1.89e-19 | 1.89e-18 | 18COL1A2, COL1A1, THBS2, MRC2, MGP, COL3A1, FSTL1, MFAP5, C1QTNF3, LOXL1, RCN3, FBN1, LOX, COL6A1, FIBIN, TIMP1, COL6A3, COL6A2 |
296 |
RUBENSTEIN_SKELETAL_MUSCLE_FAP_CELLS | 2.01e-16 | 44.18 | 21.17 | 9.00e-15 | 1.35e-13 | 13COL1A2, COL1A1, MGP, COL3A1, COL15A1, ANGPTL1, FSTL1, MFAP5, FN1, COL6A1, TIMP1, COL6A3, COL6A2 |
179 |
DURANTE_ADULT_OLFACTORY_NEUROEPITHELIUM_FIBROBLASTS_STROMAL_CELLS | 1.77e-11 | 53.68 | 21.06 | 4.75e-10 | 1.19e-08 | 8BGN, COL1A2, COL1A1, MGP, SPARC, COL3A1, TIMP1, COL6A2 |
82 |
HAY_BONE_MARROW_STROMAL | 5.41e-28 | 36.15 | 19.81 | 6.16e-26 | 3.63e-25 | 28FMOD, BGN, COL1A2, COL1A1, THBS2, COL5A1, LTBP2, MRC2, MGP, SERPINH1, COL3A1, FSTL1, COL5A2, COL12A1, FN1, LOXL1, RCN3, FBN1, LOX, COL6A1, EFEMP2, RBP1, FIBIN, COL6A3, COL6A2, SOD3, ADAMTS2, GPX8 |
765 |
AIZARANI_LIVER_C33_STELLATE_CELLS_2 | 3.40e-13 | 44.96 | 19.57 | 1.04e-11 | 2.28e-10 | 10BGN, COL1A2, COL1A1, COL5A1, MGP, SPARC, COL3A1, COL6A1, COL6A2, SOD3 |
126 |
DESCARTES_FETAL_ADRENAL_STROMAL_CELLS | 5.92e-14 | 41.47 | 18.77 | 1.99e-12 | 3.98e-11 | 11FMOD, COL1A1, THBS2, ASPN, MGP, COL3A1, KDELR3, COL12A1, LOX, COL6A3, FOXS1 |
153 |
RUBENSTEIN_SKELETAL_MUSCLE_FBN1_FAP_CELLS | 1.04e-16 | 32.69 | 16.38 | 4.97e-15 | 6.95e-14 | 15COL1A2, COL1A1, MGP, COL3A1, FSTL1, MFAP5, C1QTNF3, COL12A1, FN1, LOXL1, FBN1, COL6A1, TIMP1, COL6A3, COL6A2 |
289 |
Dowload full table
mSigDB Hallmark Gene Sets:
P-value | OR | Lower 95% CI | FDR | FWER | Genes Found | Gene Set Size | |
---|---|---|---|---|---|---|---|
HALLMARK_EPITHELIAL_MESENCHYMAL_TRANSITION | 6.52e-34 | 100.65 | 53.81 | 3.26e-32 | 3.26e-32 | 23FMOD, BGN, COL1A2, COL1A1, THBS2, COL5A1, MGP, SERPINH1, SPARC, COL3A1, FSTL1, COL5A2, MFAP5, COL12A1, FN1, LOXL1, CTHRC1, FBN1, LOX, EFEMP2, TIMP1, COL6A3, COL6A2 |
200 |
HALLMARK_ANGIOGENESIS | 1.59e-06 | 56.69 | 14.00 | 2.65e-05 | 7.94e-05 | 4COL3A1, FSTL1, COL5A2, TIMP1 |
36 |
HALLMARK_MYOGENESIS | 4.31e-07 | 17.62 | 6.61 | 1.08e-05 | 2.15e-05 | 7COL1A1, SPARC, COL3A1, COL15A1, COL6A3, COL6A2, SOD3 |
200 |
HALLMARK_COAGULATION | 3.20e-04 | 13.56 | 3.50 | 3.76e-03 | 1.60e-02 | 4SPARC, FN1, FBN1, TIMP1 |
138 |
HALLMARK_UV_RESPONSE_DN | 3.76e-04 | 12.97 | 3.35 | 3.76e-03 | 1.88e-02 | 4COL1A2, COL1A1, COL3A1, COL5A2 |
144 |
HALLMARK_HYPOXIA | 1.27e-03 | 9.27 | 2.40 | 1.06e-02 | 6.36e-02 | 4BGN, COL5A1, KDELR3, LOX |
200 |
HALLMARK_APOPTOSIS | 5.58e-02 | 5.48 | 0.64 | 3.99e-01 | 1.00e+00 | 2BGN, TIMP1 |
161 |
HALLMARK_COMPLEMENT | 8.11e-02 | 4.40 | 0.51 | 4.51e-01 | 1.00e+00 | 2FN1, TIMP1 |
200 |
HALLMARK_GLYCOLYSIS | 8.11e-02 | 4.40 | 0.51 | 4.51e-01 | 1.00e+00 | 2COL5A1, KDELR3 |
200 |
HALLMARK_TGF_BETA_SIGNALING | 1.21e-01 | 8.04 | 0.20 | 6.05e-01 | 1.00e+00 | 1LTBP2 |
54 |
HALLMARK_CHOLESTEROL_HOMEOSTASIS | 1.62e-01 | 5.84 | 0.14 | 7.35e-01 | 1.00e+00 | 1GPX8 |
74 |
HALLMARK_BILE_ACID_METABOLISM | 2.34e-01 | 3.84 | 0.09 | 9.08e-01 | 1.00e+00 | 1RBP1 |
112 |
HALLMARK_UNFOLDED_PROTEIN_RESPONSE | 2.36e-01 | 3.81 | 0.09 | 9.08e-01 | 1.00e+00 | 1KDELR3 |
113 |
HALLMARK_IL2_STAT5_SIGNALING | 3.77e-01 | 2.15 | 0.05 | 9.46e-01 | 1.00e+00 | 1COL6A1 |
199 |
HALLMARK_ADIPOGENESIS | 3.78e-01 | 2.14 | 0.05 | 9.46e-01 | 1.00e+00 | 1COL15A1 |
200 |
HALLMARK_APICAL_JUNCTION | 3.78e-01 | 2.14 | 0.05 | 9.46e-01 | 1.00e+00 | 1FBN1 |
200 |
HALLMARK_MTORC1_SIGNALING | 3.78e-01 | 2.14 | 0.05 | 9.46e-01 | 1.00e+00 | 1SERPINH1 |
200 |
HALLMARK_INFLAMMATORY_RESPONSE | 3.78e-01 | 2.14 | 0.05 | 9.46e-01 | 1.00e+00 | 1TIMP1 |
200 |
HALLMARK_ALLOGRAFT_REJECTION | 3.78e-01 | 2.14 | 0.05 | 9.46e-01 | 1.00e+00 | 1TIMP1 |
200 |
HALLMARK_KRAS_SIGNALING_DN | 3.78e-01 | 2.14 | 0.05 | 9.46e-01 | 1.00e+00 | 1COPZ2 |
200 |
Dowload full table
KEGG Pathways:
P-value | OR | Lower 95% CI | FDR | FWER | Genes Found | Gene Set Size | |
---|---|---|---|---|---|---|---|
KEGG_ECM_RECEPTOR_INTERACTION | 7.79e-19 | 91.64 | 41.78 | 1.45e-16 | 1.45e-16 | 12THBS4, COL1A2, COL1A1, THBS2, COL5A1, COL3A1, COL5A2, FN1, COL6A1, COL6A3, COL6A2, TNN |
84 |
KEGG_FOCAL_ADHESION | 3.06e-14 | 35.27 | 16.52 | 2.85e-12 | 5.70e-12 | 12THBS4, COL1A2, COL1A1, THBS2, COL5A1, COL3A1, COL5A2, FN1, COL6A1, COL6A3, COL6A2, TNN |
199 |
KEGG_TGF_BETA_SIGNALING_PATHWAY | 1.78e-02 | 10.37 | 1.20 | 1.00e+00 | 1.00e+00 | 2THBS4, THBS2 |
86 |
KEGG_VIBRIO_CHOLERAE_INFECTION | 1.21e-01 | 8.04 | 0.20 | 1.00e+00 | 1.00e+00 | 1KDELR3 |
54 |
KEGG_SMALL_CELL_LUNG_CANCER | 1.82e-01 | 5.14 | 0.13 | 1.00e+00 | 1.00e+00 | 1FN1 |
84 |
KEGG_REGULATION_OF_ACTIN_CYTOSKELETON | 3.97e-01 | 2.01 | 0.05 | 1.00e+00 | 1.00e+00 | 1FN1 |
213 |
KEGG_PATHWAYS_IN_CANCER | 5.37e-01 | 1.32 | 0.03 | 1.00e+00 | 1.00e+00 | 1FN1 |
325 |
KEGG_N_GLYCAN_BIOSYNTHESIS | 1.00e+00 | 0.00 | 0.00 | 1.00e+00 | 1.00e+00 | 0 |
46 |
KEGG_OTHER_GLYCAN_DEGRADATION | 1.00e+00 | 0.00 | 0.00 | 1.00e+00 | 1.00e+00 | 0 |
16 |
KEGG_O_GLYCAN_BIOSYNTHESIS | 1.00e+00 | 0.00 | 0.00 | 1.00e+00 | 1.00e+00 | 0 |
30 |
KEGG_GLYCOSAMINOGLYCAN_DEGRADATION | 1.00e+00 | 0.00 | 0.00 | 1.00e+00 | 1.00e+00 | 0 |
21 |
KEGG_GLYCOSAMINOGLYCAN_BIOSYNTHESIS_KERATAN_SULFATE | 1.00e+00 | 0.00 | 0.00 | 1.00e+00 | 1.00e+00 | 0 |
15 |
KEGG_GLYCEROLIPID_METABOLISM | 1.00e+00 | 0.00 | 0.00 | 1.00e+00 | 1.00e+00 | 0 |
49 |
KEGG_GLYCOSYLPHOSPHATIDYLINOSITOL_GPI_ANCHOR_BIOSYNTHESIS | 1.00e+00 | 0.00 | 0.00 | 1.00e+00 | 1.00e+00 | 0 |
25 |
KEGG_GLYCEROPHOSPHOLIPID_METABOLISM | 1.00e+00 | 0.00 | 0.00 | 1.00e+00 | 1.00e+00 | 0 |
77 |
KEGG_ETHER_LIPID_METABOLISM | 1.00e+00 | 0.00 | 0.00 | 1.00e+00 | 1.00e+00 | 0 |
33 |
KEGG_ARACHIDONIC_ACID_METABOLISM | 1.00e+00 | 0.00 | 0.00 | 1.00e+00 | 1.00e+00 | 0 |
58 |
KEGG_LINOLEIC_ACID_METABOLISM | 1.00e+00 | 0.00 | 0.00 | 1.00e+00 | 1.00e+00 | 0 |
29 |
KEGG_ALPHA_LINOLENIC_ACID_METABOLISM | 1.00e+00 | 0.00 | 0.00 | 1.00e+00 | 1.00e+00 | 0 |
19 |
KEGG_SPHINGOLIPID_METABOLISM | 1.00e+00 | 0.00 | 0.00 | 1.00e+00 | 1.00e+00 | 0 |
39 |
Dowload full table
CHR Positional Gene Sets:
P-value | OR | Lower 95% CI | FDR | FWER | Genes Found | Gene Set Size | |
---|---|---|---|---|---|---|---|
chr2q32 | 2.72e-02 | 8.21 | 0.95 | 1.00e+00 | 1.00e+00 | 2COL3A1, COL5A2 |
108 |
chr1q25 | 5.52e-02 | 5.51 | 0.64 | 1.00e+00 | 1.00e+00 | 2ANGPTL1, TNN |
160 |
chr9q22 | 7.10e-02 | 4.76 | 0.56 | 1.00e+00 | 1.00e+00 | 2ASPN, COL15A1 |
185 |
chr21q22 | 2.01e-01 | 2.48 | 0.29 | 1.00e+00 | 1.00e+00 | 2COL6A1, COL6A2 |
353 |
chr11q13 | 2.59e-01 | 2.08 | 0.24 | 1.00e+00 | 1.00e+00 | 2SERPINH1, EFEMP2 |
421 |
chr3q12 | 1.04e-01 | 9.47 | 0.23 | 1.00e+00 | 1.00e+00 | 1COL8A1 |
46 |
chr17q21 | 2.89e-01 | 1.91 | 0.22 | 1.00e+00 | 1.00e+00 | 2COL1A1, COPZ2 |
457 |
chr11p14 | 1.25e-01 | 7.75 | 0.19 | 1.00e+00 | 1.00e+00 | 1FIBIN |
56 |
chr3q23 | 1.25e-01 | 7.75 | 0.19 | 1.00e+00 | 1.00e+00 | 1RBP1 |
56 |
chr6q27 | 1.64e-01 | 5.76 | 0.14 | 1.00e+00 | 1.00e+00 | 1THBS2 |
75 |
chr5q11 | 1.83e-01 | 5.08 | 0.12 | 1.00e+00 | 1.00e+00 | 1GPX8 |
85 |
chr6q14 | 1.99e-01 | 4.64 | 0.11 | 1.00e+00 | 1.00e+00 | 1COL12A1 |
93 |
chr12p12 | 2.25e-01 | 4.02 | 0.10 | 1.00e+00 | 1.00e+00 | 1MGP |
107 |
chr5q33 | 2.29e-01 | 3.95 | 0.10 | 1.00e+00 | 1.00e+00 | 1SPARC |
109 |
chr5q23 | 2.32e-01 | 3.88 | 0.10 | 1.00e+00 | 1.00e+00 | 1LOX |
111 |
chr17q23 | 2.34e-01 | 3.84 | 0.09 | 1.00e+00 | 1.00e+00 | 1MRC2 |
112 |
chr15q24 | 2.41e-01 | 3.71 | 0.09 | 1.00e+00 | 1.00e+00 | 1LOXL1 |
116 |
chr6q22 | 2.47e-01 | 3.61 | 0.09 | 1.00e+00 | 1.00e+00 | 1COL10A1 |
119 |
chr4p15 | 2.52e-01 | 3.52 | 0.09 | 1.00e+00 | 1.00e+00 | 1SOD3 |
122 |
chr2q35 | 2.59e-01 | 3.41 | 0.08 | 1.00e+00 | 1.00e+00 | 1FN1 |
126 |
Dowload full table
Transcription Factor Targets:
P-value | OR | Lower 95% CI | FDR | FWER | Genes Found | Gene Set Size | |
---|---|---|---|---|---|---|---|
TGGAAA_NFAT_Q4_01 | 8.84e-09 | 6.70 | 3.57 | 1.00e-05 | 1.00e-05 | 19FMOD, COL8A1, COL1A2, LTBP2, MRC2, ASPN, MGP, SERPINH1, ANGPTL1, FSTL1, C1QTNF3, COL12A1, FN1, LOXL1, CTHRC1, RCN3, LOX, FIBIN, ADAMTS2 |
1934 |
TATAAA_TATA_01 | 1.31e-04 | 4.52 | 2.08 | 7.42e-02 | 1.48e-01 | 11COL8A1, COL1A2, COL1A1, THBS2, MGP, ANGPTL1, COL10A1, C1QTNF3, FN1, CTHRC1, RCN3 |
1317 |
HFH1_01 | 2.88e-03 | 7.36 | 1.91 | 4.75e-01 | 1.00e+00 | 4ANGPTL1, FSTL1, C1QTNF3, C1QTNF6 |
251 |
SUPT16H_TARGET_GENES | 2.04e-04 | 3.80 | 1.85 | 7.72e-02 | 2.32e-01 | 13COL8A1, COL1A2, COL1A1, THBS2, MRC2, SERPINH1, SPARC, FN1, CTHRC1, FBN1, EFEMP2, COL6A3, SOD3 |
1944 |
HLF_01 | 3.22e-03 | 7.13 | 1.85 | 4.75e-01 | 1.00e+00 | 4MRC2, COL15A1, ANGPTL1, LOX |
259 |
CP2_01 | 3.26e-03 | 7.10 | 1.84 | 4.75e-01 | 1.00e+00 | 4COL1A2, COL1A1, EFEMP2, SOD3 |
260 |
AAAYWAACM_HFH4_01 | 3.35e-03 | 7.04 | 1.83 | 4.75e-01 | 1.00e+00 | 4ANGPTL1, FSTL1, C1QTNF3, C1QTNF6 |
262 |
ETS2_B | 4.29e-03 | 6.56 | 1.70 | 5.40e-01 | 1.00e+00 | 4SPARC, ANGPTL1, CTHRC1, C1QTNF6 |
281 |
RNGTGGGC_UNKNOWN | 2.00e-03 | 4.38 | 1.66 | 4.75e-01 | 1.00e+00 | 7COL8A1, LTBP2, MGP, ANGPTL1, EFEMP2, ADAMTS2, COPZ2 |
784 |
AAANWWTGC_UNKNOWN | 1.10e-02 | 6.95 | 1.37 | 9.31e-01 | 1.00e+00 | 3THBS2, FN1, LOX |
195 |
HFH4_01 | 1.26e-02 | 6.60 | 1.30 | 9.31e-01 | 1.00e+00 | 3ANGPTL1, FSTL1, COL10A1 |
205 |
FOX_Q2 | 1.39e-02 | 6.35 | 1.25 | 9.31e-01 | 1.00e+00 | 3ANGPTL1, FSTL1, CTHRC1 |
213 |
TGTYNNNNNRGCARM_UNKNOWN | 1.86e-02 | 10.12 | 1.17 | 9.31e-01 | 1.00e+00 | 2MGP, SPARC |
88 |
RYTTCCTG_ETS2_B | 1.22e-02 | 3.08 | 1.17 | 9.31e-01 | 1.00e+00 | 7THBS2, SPARC, FSTL1, KDELR3, TIMP1, COL6A3, C1QTNF6 |
1112 |
SMAD3_Q6 | 1.94e-02 | 5.58 | 1.10 | 9.31e-01 | 1.00e+00 | 3THBS2, MRC2, LOX |
242 |
ADNP_TARGET_GENES | 2.10e-02 | 9.46 | 1.10 | 9.31e-01 | 1.00e+00 | 2MRC2, C1QTNF6 |
94 |
GCM_Q2 | 2.01e-02 | 5.51 | 1.09 | 9.31e-01 | 1.00e+00 | 3ANGPTL1, MFAP5, EFEMP2 |
245 |
FOXO4_01 | 2.03e-02 | 5.49 | 1.09 | 9.31e-01 | 1.00e+00 | 3COL8A1, FSTL1, C1QTNF3 |
246 |
TBP_01 | 2.07e-02 | 5.45 | 1.08 | 9.31e-01 | 1.00e+00 | 3COL1A2, THBS2, COL10A1 |
248 |
AP3_Q6 | 2.14e-02 | 5.38 | 1.06 | 9.31e-01 | 1.00e+00 | 3SPARC, FSTL1, FN1 |
251 |
Dowload full table
GO Biological Processes:
P-value | OR | Lower 95% CI | FDR | FWER | Genes Found | Gene Set Size | |
---|---|---|---|---|---|---|---|
GOBP_COLLAGEN_FIBRIL_ORGANIZATION | 2.53e-21 | 156.23 | 69.56 | 9.46e-18 | 1.89e-17 | 12FMOD, COL1A2, COL1A1, COL5A1, SERPINH1, COL3A1, COL5A2, COL12A1, LOXL1, LOX, EFEMP2, ADAMTS2 |
54 |
GOBP_EXTERNAL_ENCAPSULATING_STRUCTURE_ORGANIZATION | 1.99e-30 | 56.41 | 30.71 | 1.49e-26 | 1.49e-26 | 25FMOD, BGN, COL8A1, COL1A2, COL1A1, COL5A1, SERPINH1, SPARC, COL3A1, COL15A1, ACAN, COL10A1, COL5A2, MFAP5, COL12A1, FN1, LOXL1, FBN1, LOX, COL6A1, EFEMP2, TIMP1, COL6A3, COL6A2, ADAMTS2 |
396 |
GOBP_ENDODERMAL_CELL_DIFFERENTIATION | 8.82e-10 | 74.81 | 24.60 | 1.10e-06 | 6.60e-06 | 6COL8A1, COL5A1, COL5A2, COL12A1, FN1, COL6A1 |
44 |
GOBP_PEPTIDYL_LYSINE_OXIDATION | 5.55e-05 | 286.32 | 23.57 | 1.19e-02 | 4.16e-01 | 2LOXL1, LOX |
5 |
GOBP_REGULATION_OF_ENDODERMAL_CELL_DIFFERENTIATION | 5.55e-05 | 286.32 | 23.57 | 1.19e-02 | 4.16e-01 | 2COL5A1, COL5A2 |
5 |
GOBP_ENDODERM_FORMATION | 2.81e-09 | 60.53 | 20.10 | 2.11e-06 | 2.11e-05 | 6COL8A1, COL5A1, COL5A2, COL12A1, FN1, COL6A1 |
53 |
GOBP_COLLAGEN_METABOLIC_PROCESS | 1.78e-10 | 39.34 | 15.57 | 4.44e-07 | 1.33e-06 | 8COL1A2, COL1A1, COL5A1, MRC2, SERPINH1, COL15A1, RCN3, ADAMTS2 |
109 |
GOBP_ENDODERM_DEVELOPMENT | 2.55e-08 | 40.67 | 13.72 | 1.74e-05 | 1.91e-04 | 6COL8A1, COL5A1, COL5A2, COL12A1, FN1, COL6A1 |
76 |
GOBP_NEGATIVE_REGULATION_OF_NEURON_MIGRATION | 1.99e-04 | 123.89 | 12.26 | 3.10e-02 | 1.00e+00 | 2COL3A1, TNN |
9 |
GOBP_ELASTIC_FIBER_ASSEMBLY | 2.48e-04 | 108.38 | 10.95 | 3.71e-02 | 1.00e+00 | 2LOX, EFEMP2 |
10 |
GOBP_SKIN_MORPHOGENESIS | 3.03e-04 | 96.56 | 9.89 | 4.39e-02 | 1.00e+00 | 2COL1A2, COL1A1 |
11 |
GOBP_COLLAGEN_BIOSYNTHETIC_PROCESS | 6.54e-06 | 38.62 | 9.71 | 2.13e-03 | 4.89e-02 | 4COL1A1, COL5A1, SERPINH1, RCN3 |
51 |
GOBP_KERATAN_SULFATE_CATABOLIC_PROCESS | 3.62e-04 | 86.81 | 9.02 | 5.02e-02 | 1.00e+00 | 2FMOD, ACAN |
12 |
GOBP_FORMATION_OF_PRIMARY_GERM_LAYER | 3.03e-07 | 26.15 | 8.91 | 1.62e-04 | 2.27e-03 | 6COL8A1, COL5A1, COL5A2, COL12A1, FN1, COL6A1 |
115 |
GOBP_PEPTIDE_CROSS_LINKING | 7.89e-05 | 41.67 | 7.89 | 1.55e-02 | 5.91e-01 | 3BGN, COL3A1, FN1 |
35 |
GOBP_PROTEIN_OXIDATION | 4.98e-04 | 72.33 | 7.67 | 6.65e-02 | 1.00e+00 | 2LOXL1, LOX |
14 |
GOBP_CELLULAR_RESPONSE_TO_ACID_CHEMICAL | 2.19e-05 | 27.94 | 7.10 | 5.87e-03 | 1.63e-01 | 4COL1A2, COL1A1, COL5A2, COL6A1 |
69 |
GOBP_OSSIFICATION | 1.65e-09 | 15.20 | 6.96 | 1.54e-06 | 1.23e-05 | 11COL1A2, COL1A1, MRC2, ASPN, MGP, SPARC, COL5A2, CTHRC1, LOX, COL6A1, TNN |
399 |
GOBP_SKELETAL_SYSTEM_DEVELOPMENT | 8.75e-10 | 13.95 | 6.60 | 1.10e-06 | 6.55e-06 | 12BGN, COL1A2, COL1A1, MGP, SERPINH1, COL3A1, ACAN, COL10A1, COL5A2, FBN1, LOX, TIMP1 |
485 |
GOBP_TRANSFORMING_GROWTH_FACTOR_BETA_RECEPTOR_SIGNALING_PATHWAY | 4.61e-07 | 17.44 | 6.54 | 2.30e-04 | 3.45e-03 | 7FMOD, COL1A2, LTBP2, ASPN, COL3A1, FBN1, LOX |
202 |
Dowload full table
Immunological Gene Sets:
P-value | OR | Lower 95% CI | FDR | FWER | Genes Found | Gene Set Size | |
---|---|---|---|---|---|---|---|
GSE28737_BCL6_HET_VS_BCL6_KO_FOLLICULAR_BCELL_DN | 1.11e-12 | 31.18 | 14.17 | 5.41e-09 | 5.41e-09 | 11BGN, COL1A2, COL1A1, SERPINH1, SPARC, FSTL1, KDELR3, LOX, RBP1, COL6A3, COPZ2 |
200 |
GSE19888_ADENOSINE_A3R_ACT_VS_TCELL_MEMBRANES_ACT_IN_MAST_CELL_UP | 2.12e-08 | 20.72 | 8.29 | 5.17e-05 | 1.03e-04 | 8MRC2, COL3A1, COL5A2, RCN3, COL6A1, EFEMP2, TIMP1, ADAMTS2 |
200 |
GSE8921_UNSTIM_0H_VS_TLR1_2_STIM_MONOCYTE_24H_UP | 4.17e-07 | 17.72 | 6.64 | 5.25e-04 | 2.03e-03 | 7COL1A1, THBS2, ASPN, SPARC, ANGPTL1, FSTL1, CTHRC1 |
199 |
GSE2405_0H_VS_3H_A_PHAGOCYTOPHILUM_STIM_NEUTROPHIL_UP | 4.31e-07 | 17.62 | 6.61 | 5.25e-04 | 2.10e-03 | 7BGN, COL1A2, LTBP2, RBP1, TIMP1, COL6A3, GPX8 |
200 |
GSE6259_CD4_TCELL_VS_CD8_TCELL_UP | 5.09e-06 | 15.74 | 5.41 | 4.96e-03 | 2.48e-02 | 6LTBP2, FSTL1, EFEMP2, TIMP1, ADAMTS2, GPX8 |
187 |
GSE2405_0H_VS_1.5H_A_PHAGOCYTOPHILUM_STIM_NEUTROPHIL_UP | 7.45e-06 | 14.69 | 5.06 | 5.19e-03 | 3.63e-02 | 6FMOD, COL1A2, MGP, COL3A1, LOXL1, RBP1 |
200 |
GSE43955_1H_VS_20H_ACT_CD4_TCELL_WITH_TGFB_IL6_DN | 7.45e-06 | 14.69 | 5.06 | 5.19e-03 | 3.63e-02 | 6COL1A2, MGP, COL10A1, KDELR3, COL5A2, FBN1 |
200 |
GSE10422_WT_VS_BAFF_TRANSGENIC_LN_BCELL_DN | 2.48e-04 | 14.54 | 3.74 | 6.71e-02 | 1.00e+00 | 4COL15A1, COL12A1, CTHRC1, RCN3 |
129 |
GSE13522_WT_VS_IFNG_KO_SKING_T_CRUZI_Y_STRAIN_INF_UP | 2.48e-04 | 14.54 | 3.74 | 6.71e-02 | 1.00e+00 | 4COL6A1, RBP1, FIBIN, COPZ2 |
129 |
GSE1460_CD4_THYMOCYTE_VS_THYMIC_STROMAL_CELL_DN | 1.05e-04 | 11.97 | 3.67 | 3.28e-02 | 5.13e-01 | 5COL1A1, MFAP5, RBP1, COL6A2, COPZ2 |
199 |
GSE22025_TGFB1_VS_TGFB1_AND_PROGESTERONE_TREATED_CD4_TCELL_DN | 1.05e-04 | 11.97 | 3.67 | 3.28e-02 | 5.13e-01 | 5FMOD, THBS2, SPARC, COL6A1, COL6A3 |
199 |
GSE19825_NAIVE_VS_IL2RAHIGH_DAY3_EFF_CD8_TCELL_UP | 1.08e-04 | 11.91 | 3.65 | 3.28e-02 | 5.25e-01 | 5THBS2, ANGPTL1, COL5A2, COL6A1, FIBIN |
200 |
GSE20715_WT_VS_TLR4_KO_LUNG_UP | 1.08e-04 | 11.91 | 3.65 | 3.28e-02 | 5.25e-01 | 5BGN, ASPN, SERPINH1, SOD3, COPZ2 |
200 |
GSE20715_WT_VS_TLR4_KO_24H_OZONE_LUNG_UP | 1.08e-04 | 11.91 | 3.65 | 3.28e-02 | 5.25e-01 | 5COL1A2, ASPN, RCN3, RBP1, COPZ2 |
200 |
GSE3203_WT_VS_IFNAR1_KO_INFLUENZA_INFECTED_LN_BCELL_DN | 1.08e-04 | 11.91 | 3.65 | 3.28e-02 | 5.25e-01 | 5MRC2, COL15A1, CTHRC1, COPZ2, GPX8 |
200 |
GSE27434_WT_VS_DNMT1_KO_TREG_DN | 1.08e-04 | 11.91 | 3.65 | 3.28e-02 | 5.25e-01 | 5COL1A2, SERPINH1, KDELR3, COL5A2, COL6A1 |
200 |
GSE43955_1H_VS_10H_ACT_CD4_TCELL_WITH_TGFB_IL6_DN | 1.08e-04 | 11.91 | 3.65 | 3.28e-02 | 5.25e-01 | 5BGN, COL1A2, LTBP2, COL5A2, FN1 |
200 |
GSE18804_SPLEEN_MACROPHAGE_VS_COLON_TUMORAL_MACROPHAGE_UP | 1.08e-04 | 11.91 | 3.65 | 3.28e-02 | 5.25e-01 | 5COL1A1, COL5A1, SERPINH1, SPARC, COL6A1 |
200 |
GSE3982_BCELL_VS_EFF_MEMORY_CD4_TCELL_DN | 1.16e-03 | 9.51 | 2.46 | 1.51e-01 | 1.00e+00 | 4MRC2, COL10A1, LOX, COPZ2 |
195 |
GSE24814_STAT5_KO_VS_WT_PRE_BCELL_UP | 1.20e-03 | 9.42 | 2.44 | 1.51e-01 | 1.00e+00 | 4BGN, COL1A1, MRC2, KDELR3 |
197 |
Top Ranked Transcription Factors for this Gene Expression Program:
Gene Symbol | TF Rank | DNA Binding Domain | Motif Status | IUPAC PWM | GTEx | DepMap | Decartes |
---|---|---|---|---|---|---|---|
FBN1 | 34 | No | Unlikely to be sequence specific TF | Not a DNA binding protein | No motif | None | None |
FOXS1 | 45 | Yes | Inferred motif | Monomer or homomultimer | High-throughput in vitro | None | None |
PRRX1 | 52 | Yes | Known motif | Monomer or homomultimer | High-throughput in vitro | None | None |
CREB3L1 | 82 | Yes | Known motif | Monomer or homomultimer | High-throughput in vitro | None | None |
CYP1B1 | 110 | No | Unlikely to be sequence specific TF | Not a DNA binding protein | No motif | None | None |
TBX18 | 113 | Yes | Known motif | Monomer or homomultimer | High-throughput in vitro | None | None |
HOXB2 | 114 | Yes | Known motif | Monomer or homomultimer | High-throughput in vitro | None | None |
HEYL | 115 | Yes | Inferred motif | Monomer or homomultimer | High-throughput in vitro | None | None |
DAP | 120 | No | Unlikely to be sequence specific TF | Not a DNA binding protein | No motif | None | Protein functions in apoptotic signaling |
GLIS3 | 137 | Yes | Known motif | Monomer or homomultimer | High-throughput in vitro | None | None |
VAX2 | 140 | Yes | Known motif | Monomer or homomultimer | High-throughput in vitro | None | None |
GATA6 | 148 | Yes | Known motif | Monomer or homomultimer | High-throughput in vitro | None | None |
WWTR1 | 174 | No | Unlikely to be sequence specific TF | Not a DNA binding protein | No motif | None | Transcriptional co-activator that binds to TEADs (PMID: 19324877) and TBX5 (PMID: 16332960) |
AEBP1 | 183 | Yes | Likely to be sequence specific TF | Monomer or homomultimer | No motif | None | This is a protease, but its ability to bind DNA is supported by both gel-shift (PMID: 15654748) and ChIP (PMID: 22723309). |
FOXC2 | 200 | Yes | Known motif | Monomer or homomultimer | High-throughput in vitro | None | None |
SIX4 | 216 | Yes | Known motif | Monomer or homomultimer | High-throughput in vitro | None | None |
BARX1 | 220 | Yes | Known motif | Monomer or homomultimer | High-throughput in vitro | Has a putative AT-hook | None |
EGR2 | 241 | Yes | Known motif | Monomer or homomultimer | High-throughput in vitro | None | Binds HOX4A promoter (PMID:21836637) |
FHL2 | 247 | No | Unlikely to be sequence specific TF | Not a DNA binding protein | No motif | None | LIM ZF proteins are unlikely to bind DNA. Experimental evidence does not support a role for FHL2 as a sequence-specific DNA-binding protein (PMID:10654935) |
LPP | 250 | No | Unlikely to be sequence specific TF | Not a DNA binding protein | No motif | None | znfLIM is probably not a DNA binding domain (PMID: 8506279). The protein has been reported to be coactivator for ETV4 (PMID: 16738319). |
QQ Plot showing correlations with other Gene Expression Programs in this dataset, calculated by Spearman correlation:
Interactive QQ-plot of gene loadings:
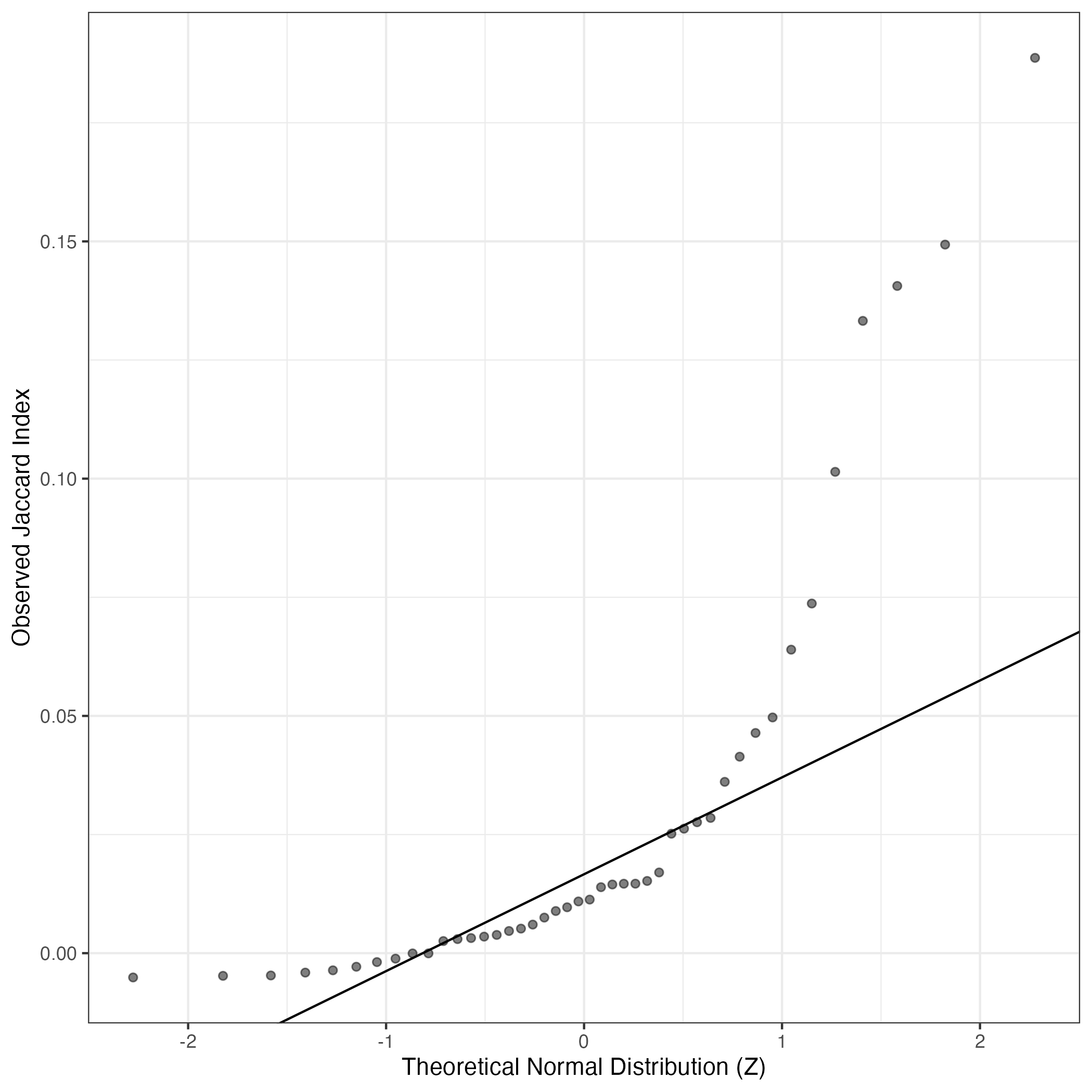
A similar QQ-plot as above, but only for instances where the H value is e.g. > 25, i.e. we are confident that the expression program is active above noise. Agreemenet between these binary vectors is tested using the Jaccard Index, with the P-values calculated by an exact test:
Interactive QQ-plot:
Singler cell type annotations for the top 50 cells on this program.
Cell ID | Singler label | Singler Delta | Activity Score | Top Singler Raw Scores |
---|---|---|---|---|
831_CGGAACCAGTGCGACA-1 | Chondrocytes:MSC-derived | 0.20 | 5182.39 | Raw ScoresiPS_cells:adipose_stem_cells: 0.51, Chondrocytes:MSC-derived: 0.5, Fibroblasts:breast: 0.5, Smooth_muscle_cells:vascular: 0.5, Smooth_muscle_cells:vascular:IL-17: 0.5, Osteoblasts: 0.49, Smooth_muscle_cells:bronchial: 0.49, Smooth_muscle_cells:bronchial:vit_D: 0.49, Tissue_stem_cells:BM_MSC: 0.49, Tissue_stem_cells:BM_MSC:TGFb3: 0.49 |
831_GGAACCCTCGACGCTG-1 | Chondrocytes:MSC-derived | 0.20 | 985.43 | Raw ScoresiPS_cells:adipose_stem_cells: 0.53, Fibroblasts:breast: 0.53, Chondrocytes:MSC-derived: 0.52, Smooth_muscle_cells:vascular:IL-17: 0.52, iPS_cells:CRL2097_foreskin: 0.51, iPS_cells:fibroblasts: 0.51, MSC: 0.51, Smooth_muscle_cells:vascular: 0.51, iPS_cells:skin_fibroblast: 0.51, iPS_cells:PDB_fibroblasts: 0.51 |
847_CACTGTCCAACGACAG-1 | MSC | 0.21 | 481.23 | Raw ScoresMSC: 0.52, iPS_cells:CRL2097_foreskin: 0.51, Fibroblasts:foreskin: 0.51, iPS_cells:adipose_stem_cells: 0.51, Fibroblasts:breast: 0.5, iPS_cells:PDB_fibroblasts: 0.5, Smooth_muscle_cells:vascular: 0.5, iPS_cells:skin_fibroblast: 0.5, iPS_cells:fibroblasts: 0.5, iPS_cells:foreskin_fibrobasts: 0.5 |
855_CAGATTGGTGGCCTCA-1 | Chondrocytes:MSC-derived | 0.16 | 479.81 | Raw ScoresFibroblasts:breast: 0.43, iPS_cells:adipose_stem_cells: 0.43, Chondrocytes:MSC-derived: 0.43, Osteoblasts: 0.43, Tissue_stem_cells:BM_MSC:BMP2: 0.42, Tissue_stem_cells:BM_MSC:TGFb3: 0.42, Smooth_muscle_cells:bronchial:vit_D: 0.42, Smooth_muscle_cells:bronchial: 0.42, Smooth_muscle_cells:vascular: 0.42, Smooth_muscle_cells:vascular:IL-17: 0.42 |
839_TCCCATGGTAGCTGTT-1 | Smooth_muscle_cells:vascular | 0.19 | 403.54 | Raw ScoresiPS_cells:adipose_stem_cells: 0.49, Smooth_muscle_cells:vascular:IL-17: 0.48, Fibroblasts:breast: 0.48, MSC: 0.48, iPS_cells:fibroblasts: 0.48, Smooth_muscle_cells:vascular: 0.48, iPS_cells:PDB_fibroblasts: 0.48, Fibroblasts:foreskin: 0.47, iPS_cells:CRL2097_foreskin: 0.47, iPS_cells:skin_fibroblast: 0.47 |
839_TTGAGTGCACTTGTCC-1 | Tissue_stem_cells:BM_MSC:TGFb3 | 0.17 | 316.43 | Raw ScoresFibroblasts:breast: 0.44, Smooth_muscle_cells:bronchial:vit_D: 0.43, Smooth_muscle_cells:bronchial: 0.43, iPS_cells:adipose_stem_cells: 0.43, Smooth_muscle_cells:vascular: 0.43, Smooth_muscle_cells:vascular:IL-17: 0.42, Osteoblasts: 0.42, Tissue_stem_cells:BM_MSC:TGFb3: 0.42, Tissue_stem_cells:BM_MSC:BMP2: 0.42, Chondrocytes:MSC-derived: 0.42 |
839_ACAACCATCAACTTTC-1 | iPS_cells:adipose_stem_cells | 0.21 | 311.87 | Raw ScoresiPS_cells:adipose_stem_cells: 0.51, Fibroblasts:breast: 0.5, Smooth_muscle_cells:vascular: 0.5, Smooth_muscle_cells:vascular:IL-17: 0.5, Osteoblasts: 0.49, Tissue_stem_cells:BM_MSC:TGFb3: 0.48, Smooth_muscle_cells:bronchial: 0.48, Smooth_muscle_cells:bronchial:vit_D: 0.48, Chondrocytes:MSC-derived: 0.48, iPS_cells:CRL2097_foreskin: 0.48 |
853_GCAACATTCTTAGCCC-1 | Neurons:adrenal_medulla_cell_line | 0.15 | 264.82 | Raw ScoresNeuroepithelial_cell:ESC-derived: 0.37, MSC: 0.37, Fibroblasts:breast: 0.37, Neurons:Schwann_cell: 0.37, Neurons:adrenal_medulla_cell_line: 0.37, iPS_cells:CRL2097_foreskin: 0.36, iPS_cells:skin_fibroblast: 0.36, Smooth_muscle_cells:vascular:IL-17: 0.36, iPS_cells:foreskin_fibrobasts: 0.36, Fibroblasts:foreskin: 0.36 |
849_AGAAATGTCCTGGCTT-1 | iPS_cells:fibroblasts | 0.22 | 259.46 | Raw ScoresMSC: 0.48, iPS_cells:fibroblasts: 0.48, iPS_cells:skin_fibroblast: 0.47, iPS_cells:PDB_fibroblasts: 0.47, Tissue_stem_cells:lipoma-derived_MSC: 0.47, Fibroblasts:breast: 0.47, Fibroblasts:foreskin: 0.46, iPS_cells:CRL2097_foreskin: 0.46, Tissue_stem_cells:adipose-derived_MSC_AM3: 0.46, iPS_cells:foreskin_fibrobasts: 0.46 |
839_AAAGGTAAGTAGCATA-1 | Chondrocytes:MSC-derived | 0.20 | 236.95 | Raw ScoresFibroblasts:breast: 0.36, iPS_cells:adipose_stem_cells: 0.36, Osteoblasts: 0.36, Smooth_muscle_cells:vascular: 0.36, Smooth_muscle_cells:vascular:IL-17: 0.35, Chondrocytes:MSC-derived: 0.35, Tissue_stem_cells:BM_MSC: 0.35, iPS_cells:CRL2097_foreskin: 0.34, Tissue_stem_cells:BM_MSC:TGFb3: 0.34, Osteoblasts:BMP2: 0.34 |
853_TGCTTCGCAGACGCTC-1 | Fibroblasts:breast | 0.14 | 222.45 | Raw ScoresFibroblasts:breast: 0.34, MSC: 0.33, Neurons:Schwann_cell: 0.32, iPS_cells:adipose_stem_cells: 0.32, iPS_cells:PDB_fibroblasts: 0.32, iPS_cells:skin_fibroblast: 0.32, Fibroblasts:foreskin: 0.32, Smooth_muscle_cells:vascular:IL-17: 0.32, Smooth_muscle_cells:vascular: 0.32, iPS_cells:CRL2097_foreskin: 0.32 |
849_ATGCCTCTCCAATGCA-1 | Chondrocytes:MSC-derived | 0.16 | 211.10 | Raw ScoresMSC: 0.42, iPS_cells:fibroblasts: 0.42, iPS_cells:skin_fibroblast: 0.42, iPS_cells:PDB_fibroblasts: 0.42, Fibroblasts:breast: 0.41, Fibroblasts:foreskin: 0.41, iPS_cells:CRL2097_foreskin: 0.41, Tissue_stem_cells:adipose-derived_MSC_AM3: 0.41, Neurons:Schwann_cell: 0.41, Smooth_muscle_cells:vascular: 0.4 |
853_TACAGGTGTCTGCATA-1 | Fibroblasts:breast | 0.15 | 177.24 | Raw ScoresFibroblasts:breast: 0.33, MSC: 0.33, Fibroblasts:foreskin: 0.33, iPS_cells:skin_fibroblast: 0.33, iPS_cells:adipose_stem_cells: 0.32, Smooth_muscle_cells:vascular: 0.32, Tissue_stem_cells:BM_MSC: 0.32, iPS_cells:PDB_fibroblasts: 0.32, iPS_cells:foreskin_fibrobasts: 0.32, iPS_cells:CRL2097_foreskin: 0.32 |
853_ACCCTCACAATCGCAT-1 | Neurons:adrenal_medulla_cell_line | 0.15 | 173.38 | Raw ScoresNeuroepithelial_cell:ESC-derived: 0.39, Neurons:adrenal_medulla_cell_line: 0.38, MSC: 0.37, Neurons:Schwann_cell: 0.37, Astrocyte:Embryonic_stem_cell-derived: 0.37, Fibroblasts:breast: 0.36, Embryonic_stem_cells: 0.36, iPS_cells:skin_fibroblast: 0.36, Tissue_stem_cells:CD326-CD56+: 0.36, Fibroblasts:foreskin: 0.36 |
831_AAGCGAGCACTACCCT-1 | iPS_cells:adipose_stem_cells | 0.16 | 162.40 | Raw ScoresiPS_cells:adipose_stem_cells: 0.43, Fibroblasts:breast: 0.43, Smooth_muscle_cells:vascular: 0.43, Smooth_muscle_cells:vascular:IL-17: 0.43, Tissue_stem_cells:BM_MSC:TGFb3: 0.42, Osteoblasts: 0.42, iPS_cells:CRL2097_foreskin: 0.42, Tissue_stem_cells:BM_MSC:BMP2: 0.42, Tissue_stem_cells:iliac_MSC: 0.42, Chondrocytes:MSC-derived: 0.42 |
853_GCCGTGATCATGACAC-1 | Smooth_muscle_cells:bronchial:vit_D | 0.13 | 154.28 | Raw ScoresFibroblasts:breast: 0.34, MSC: 0.33, iPS_cells:adipose_stem_cells: 0.33, Smooth_muscle_cells:vascular:IL-17: 0.33, Neurons:Schwann_cell: 0.33, iPS_cells:skin_fibroblast: 0.33, Smooth_muscle_cells:bronchial: 0.33, Chondrocytes:MSC-derived: 0.33, Smooth_muscle_cells:bronchial:vit_D: 0.33, Smooth_muscle_cells:vascular: 0.32 |
853_GTAGAGGTCAGCACCG-1 | Neurons:adrenal_medulla_cell_line | 0.14 | 150.74 | Raw ScoresNeurons:adrenal_medulla_cell_line: 0.45, Neuroepithelial_cell:ESC-derived: 0.44, MSC: 0.43, Tissue_stem_cells:CD326-CD56+: 0.43, Astrocyte:Embryonic_stem_cell-derived: 0.43, Neurons:Schwann_cell: 0.42, Smooth_muscle_cells:umbilical_vein: 0.42, iPS_cells:skin_fibroblast: 0.42, iPS_cells:foreskin_fibrobasts: 0.42, Fibroblasts:breast: 0.42 |
853_TTCGCTGTCGCTTTAT-1 | MSC | 0.15 | 147.56 | Raw ScoresNeurons:adrenal_medulla_cell_line: 0.37, Neuroepithelial_cell:ESC-derived: 0.37, MSC: 0.36, Neurons:Schwann_cell: 0.35, Fibroblasts:breast: 0.35, Astrocyte:Embryonic_stem_cell-derived: 0.35, Tissue_stem_cells:CD326-CD56+: 0.35, Fibroblasts:foreskin: 0.35, Smooth_muscle_cells:umbilical_vein: 0.35, iPS_cells:skin_fibroblast: 0.34 |
837_GAATAGAGTGTTAACC-1 | Osteoblasts | 0.16 | 145.65 | Raw ScoresiPS_cells:adipose_stem_cells: 0.38, Fibroblasts:breast: 0.38, Smooth_muscle_cells:vascular: 0.38, Smooth_muscle_cells:vascular:IL-17: 0.37, Smooth_muscle_cells:bronchial:vit_D: 0.37, Tissue_stem_cells:BM_MSC:TGFb3: 0.37, Smooth_muscle_cells:bronchial: 0.37, Osteoblasts: 0.37, Chondrocytes:MSC-derived: 0.37, Tissue_stem_cells:BM_MSC:BMP2: 0.36 |
837_CAGATCAAGTGGATTA-1 | MSC | 0.22 | 138.00 | Raw ScoresMSC: 0.52, Fibroblasts:foreskin: 0.51, iPS_cells:CRL2097_foreskin: 0.5, Fibroblasts:breast: 0.5, iPS_cells:adipose_stem_cells: 0.5, iPS_cells:skin_fibroblast: 0.5, iPS_cells:foreskin_fibrobasts: 0.5, iPS_cells:fibroblasts: 0.5, Smooth_muscle_cells:vascular: 0.5, Smooth_muscle_cells:vascular:IL-17: 0.49 |
853_CTCCAACTCGCAGTCG-1 | Osteoblasts | 0.12 | 136.71 | Raw ScoresFibroblasts:breast: 0.34, MSC: 0.34, iPS_cells:skin_fibroblast: 0.33, Fibroblasts:foreskin: 0.33, iPS_cells:CRL2097_foreskin: 0.33, iPS_cells:adipose_stem_cells: 0.33, Neurons:Schwann_cell: 0.33, iPS_cells:PDB_fibroblasts: 0.33, iPS_cells:foreskin_fibrobasts: 0.32, iPS_cells:fibroblasts: 0.32 |
864_ATTCGTTAGCGCCCAT-1 | Tissue_stem_cells:BM_MSC:TGFb3 | 0.10 | 129.77 | Raw ScoresiPS_cells:adipose_stem_cells: 0.36, Tissue_stem_cells:BM_MSC:BMP2: 0.35, Tissue_stem_cells:BM_MSC:TGFb3: 0.35, Fibroblasts:breast: 0.35, Smooth_muscle_cells:bronchial:vit_D: 0.35, Chondrocytes:MSC-derived: 0.35, Tissue_stem_cells:iliac_MSC: 0.35, Smooth_muscle_cells:bronchial: 0.35, MSC: 0.35, iPS_cells:CRL2097_foreskin: 0.34 |
853_CCACTTGGTAGGCAGT-1 | Neurons:adrenal_medulla_cell_line | 0.13 | 124.11 | Raw ScoresNeuroepithelial_cell:ESC-derived: 0.36, MSC: 0.36, Neurons:adrenal_medulla_cell_line: 0.35, Neurons:Schwann_cell: 0.35, Fibroblasts:breast: 0.35, Fibroblasts:foreskin: 0.35, Tissue_stem_cells:CD326-CD56+: 0.35, iPS_cells:skin_fibroblast: 0.35, Embryonic_stem_cells: 0.35, iPS_cells:PDB_fibroblasts: 0.34 |
853_TGCAGTAAGTATCCTG-1 | iPS_cells:adipose_stem_cells | 0.13 | 98.01 | Raw ScoresFibroblasts:breast: 0.37, iPS_cells:adipose_stem_cells: 0.37, MSC: 0.37, iPS_cells:skin_fibroblast: 0.36, Fibroblasts:foreskin: 0.36, Neurons:Schwann_cell: 0.36, iPS_cells:PDB_fibroblasts: 0.36, Smooth_muscle_cells:vascular: 0.36, iPS_cells:foreskin_fibrobasts: 0.36, Tissue_stem_cells:BM_MSC: 0.35 |
853_TCGTAGAGTGCGAGTA-1 | Neurons:adrenal_medulla_cell_line | 0.12 | 95.06 | Raw ScoresMSC: 0.32, Neurons:Schwann_cell: 0.32, Neuroepithelial_cell:ESC-derived: 0.32, Fibroblasts:breast: 0.31, Smooth_muscle_cells:umbilical_vein: 0.31, Fibroblasts:foreskin: 0.31, Neurons:adrenal_medulla_cell_line: 0.31, iPS_cells:skin_fibroblast: 0.31, iPS_cells:foreskin_fibrobasts: 0.3, Smooth_muscle_cells:vascular: 0.3 |
847_GACCTTCTCTAGATCG-1 | Chondrocytes:MSC-derived | 0.18 | 92.91 | Raw ScoresiPS_cells:adipose_stem_cells: 0.45, Fibroblasts:breast: 0.44, Osteoblasts: 0.43, iPS_cells:CRL2097_foreskin: 0.43, Chondrocytes:MSC-derived: 0.43, Smooth_muscle_cells:vascular: 0.43, Tissue_stem_cells:BM_MSC:TGFb3: 0.43, Tissue_stem_cells:BM_MSC:BMP2: 0.42, Smooth_muscle_cells:vascular:IL-17: 0.42, Smooth_muscle_cells:bronchial: 0.42 |
837_GGGACCTAGTCAGCGA-1 | Tissue_stem_cells:BM_MSC:BMP2 | 0.10 | 91.59 | Raw ScoresiPS_cells:adipose_stem_cells: 0.34, Tissue_stem_cells:BM_MSC:BMP2: 0.34, Chondrocytes:MSC-derived: 0.34, Fibroblasts:breast: 0.34, Tissue_stem_cells:iliac_MSC: 0.34, Osteoblasts: 0.33, Neurons:Schwann_cell: 0.33, Tissue_stem_cells:BM_MSC:TGFb3: 0.33, Smooth_muscle_cells:bronchial: 0.33, iPS_cells:CRL2097_foreskin: 0.33 |
831_GGGATGATCGGTGTAT-1 | Tissue_stem_cells:BM_MSC:TGFb3 | 0.17 | 91.57 | Raw ScoresiPS_cells:adipose_stem_cells: 0.38, Fibroblasts:breast: 0.37, Osteoblasts: 0.37, Chondrocytes:MSC-derived: 0.37, Tissue_stem_cells:BM_MSC:TGFb3: 0.37, Smooth_muscle_cells:vascular: 0.37, Smooth_muscle_cells:vascular:IL-17: 0.36, Tissue_stem_cells:BM_MSC:BMP2: 0.36, Fibroblasts:foreskin: 0.36, Tissue_stem_cells:BM_MSC: 0.36 |
853_GTAAGTCAGTATCTGC-1 | MSC | 0.14 | 88.95 | Raw ScoresMSC: 0.31, Fibroblasts:foreskin: 0.3, Fibroblasts:breast: 0.3, Neurons:Schwann_cell: 0.3, iPS_cells:skin_fibroblast: 0.3, iPS_cells:fibroblasts: 0.3, iPS_cells:PDB_fibroblasts: 0.3, iPS_cells:CRL2097_foreskin: 0.29, Neuroepithelial_cell:ESC-derived: 0.29, Smooth_muscle_cells:vascular: 0.29 |
831_GCAGTTAGTGTGATGG-1 | Tissue_stem_cells:BM_MSC:BMP2 | 0.14 | 84.91 | Raw ScoresiPS_cells:adipose_stem_cells: 0.31, Tissue_stem_cells:BM_MSC: 0.31, Tissue_stem_cells:BM_MSC:BMP2: 0.31, Tissue_stem_cells:BM_MSC:TGFb3: 0.31, Smooth_muscle_cells:vascular: 0.31, Chondrocytes:MSC-derived: 0.31, Tissue_stem_cells:iliac_MSC: 0.31, Osteoblasts: 0.31, Smooth_muscle_cells:vascular:IL-17: 0.31, Smooth_muscle_cells:bronchial: 0.3 |
853_TTCGATTGTACTCGTA-1 | Tissue_stem_cells:CD326-CD56+ | 0.11 | 80.49 | Raw ScoresMSC: 0.3, Neuroepithelial_cell:ESC-derived: 0.29, Neurons:Schwann_cell: 0.29, Fibroblasts:breast: 0.29, iPS_cells:skin_fibroblast: 0.29, Tissue_stem_cells:CD326-CD56+: 0.28, Neurons:adrenal_medulla_cell_line: 0.28, Fibroblasts:foreskin: 0.28, Smooth_muscle_cells:umbilical_vein: 0.28, Astrocyte:Embryonic_stem_cell-derived: 0.28 |
849_TACCTCGCAGGGTCTC-1 | Fibroblasts:breast | 0.14 | 77.29 | Raw ScoresFibroblasts:breast: 0.34, iPS_cells:adipose_stem_cells: 0.34, Smooth_muscle_cells:vascular: 0.34, Osteoblasts: 0.33, Smooth_muscle_cells:vascular:IL-17: 0.33, Tissue_stem_cells:iliac_MSC: 0.33, Chondrocytes:MSC-derived: 0.33, Smooth_muscle_cells:bronchial: 0.33, iPS_cells:CRL2097_foreskin: 0.33, Smooth_muscle_cells:bronchial:vit_D: 0.33 |
864_TATTGGGGTTCACCGG-1 | Neurons:Schwann_cell | 0.15 | 74.32 | Raw ScoresNeurons:Schwann_cell: 0.41, iPS_cells:adipose_stem_cells: 0.38, Fibroblasts:breast: 0.38, Smooth_muscle_cells:vascular: 0.37, iPS_cells:CRL2097_foreskin: 0.37, Smooth_muscle_cells:vascular:IL-17: 0.37, Tissue_stem_cells:BM_MSC:TGFb3: 0.37, iPS_cells:PDB_fibroblasts: 0.37, MSC: 0.37, iPS_cells:skin_fibroblast: 0.37 |
831_ACCCAAAAGATGCCGA-1 | Neurons:adrenal_medulla_cell_line | 0.21 | 70.97 | Raw ScoresNeuroepithelial_cell:ESC-derived: 0.54, Neurons:adrenal_medulla_cell_line: 0.52, Astrocyte:Embryonic_stem_cell-derived: 0.51, Embryonic_stem_cells: 0.5, iPS_cells:PDB_1lox-21Puro-20: 0.5, iPS_cells:PDB_1lox-21Puro-26: 0.5, iPS_cells:PDB_1lox-17Puro-10: 0.49, iPS_cells:PDB_2lox-22: 0.49, Neurons:ES_cell-derived_neural_precursor: 0.49, iPS_cells:PDB_1lox-17Puro-5: 0.49 |
853_AACCTTTTCCATGATG-1 | Neurons:adrenal_medulla_cell_line | 0.14 | 69.00 | Raw ScoresNeurons:adrenal_medulla_cell_line: 0.37, MSC: 0.37, Neuroepithelial_cell:ESC-derived: 0.37, Fibroblasts:breast: 0.37, Neurons:Schwann_cell: 0.37, Fibroblasts:foreskin: 0.36, iPS_cells:skin_fibroblast: 0.36, iPS_cells:PDB_fibroblasts: 0.36, iPS_cells:foreskin_fibrobasts: 0.35, Smooth_muscle_cells:umbilical_vein: 0.35 |
853_CCGGTGAAGCTCGACC-1 | Neurons:adrenal_medulla_cell_line | 0.12 | 67.45 | Raw ScoresFibroblasts:breast: 0.37, Fibroblasts:foreskin: 0.37, MSC: 0.37, Neurons:Schwann_cell: 0.37, Neuroepithelial_cell:ESC-derived: 0.37, iPS_cells:skin_fibroblast: 0.36, iPS_cells:foreskin_fibrobasts: 0.36, Neurons:adrenal_medulla_cell_line: 0.36, Smooth_muscle_cells:umbilical_vein: 0.36, Tissue_stem_cells:lipoma-derived_MSC: 0.36 |
831_AGCTCAACACTGAGGA-1 | iPS_cells:adipose_stem_cells | 0.16 | 63.64 | Raw ScoresiPS_cells:adipose_stem_cells: 0.41, Smooth_muscle_cells:vascular: 0.41, Smooth_muscle_cells:vascular:IL-17: 0.41, Fibroblasts:breast: 0.4, Tissue_stem_cells:BM_MSC: 0.4, iPS_cells:CRL2097_foreskin: 0.4, Tissue_stem_cells:BM_MSC:BMP2: 0.4, Osteoblasts: 0.4, Tissue_stem_cells:BM_MSC:TGFb3: 0.4, Chondrocytes:MSC-derived: 0.4 |
839_GGAGATGGTCTTCTAT-1 | Neurons:Schwann_cell | 0.13 | 62.53 | Raw ScoresNeurons:Schwann_cell: 0.41, Smooth_muscle_cells:vascular:IL-17: 0.36, Fibroblasts:breast: 0.36, iPS_cells:adipose_stem_cells: 0.36, Tissue_stem_cells:iliac_MSC: 0.36, Smooth_muscle_cells:vascular: 0.36, Fibroblasts:foreskin: 0.35, Chondrocytes:MSC-derived: 0.35, iPS_cells:CRL2097_foreskin: 0.35, iPS_cells:foreskin_fibrobasts: 0.35 |
831_TTCTTGACAGTAGAGC-1 | Smooth_muscle_cells:vascular | 0.11 | 61.45 | Raw ScoresMSC: 0.39, Fibroblasts:foreskin: 0.39, iPS_cells:skin_fibroblast: 0.39, iPS_cells:foreskin_fibrobasts: 0.38, Fibroblasts:breast: 0.38, iPS_cells:PDB_fibroblasts: 0.38, iPS_cells:fibroblasts: 0.38, Neurons:Schwann_cell: 0.38, Tissue_stem_cells:adipose-derived_MSC_AM3: 0.38, iPS_cells:CRL2097_foreskin: 0.38 |
839_TTTCATGGTTGTGCAT-1 | Fibroblasts:breast | 0.13 | 58.65 | Raw ScoresFibroblasts:breast: 0.47, Smooth_muscle_cells:vascular:IL-17: 0.47, Fibroblasts:foreskin: 0.47, iPS_cells:adipose_stem_cells: 0.47, Smooth_muscle_cells:vascular: 0.46, iPS_cells:CRL2097_foreskin: 0.46, iPS_cells:foreskin_fibrobasts: 0.46, iPS_cells:skin_fibroblast: 0.46, Tissue_stem_cells:BM_MSC: 0.45, iPS_cells:PDB_fibroblasts: 0.45 |
839_CTACGGGCATGCGTGC-1 | Tissue_stem_cells:BM_MSC:BMP2 | 0.13 | 57.67 | Raw ScoresiPS_cells:adipose_stem_cells: 0.42, Tissue_stem_cells:BM_MSC:BMP2: 0.41, Smooth_muscle_cells:bronchial: 0.41, Smooth_muscle_cells:vascular: 0.41, Smooth_muscle_cells:bronchial:vit_D: 0.41, Fibroblasts:breast: 0.41, Smooth_muscle_cells:vascular:IL-17: 0.41, Tissue_stem_cells:iliac_MSC: 0.41, Tissue_stem_cells:BM_MSC:TGFb3: 0.41, Osteoblasts: 0.41 |
853_AACAAAGAGCATTTCG-1 | Neurons:Schwann_cell | 0.09 | 56.89 | Raw ScoresNeuroepithelial_cell:ESC-derived: 0.36, Neurons:Schwann_cell: 0.36, Neurons:adrenal_medulla_cell_line: 0.35, MSC: 0.35, Fibroblasts:foreskin: 0.35, Tissue_stem_cells:CD326-CD56+: 0.34, Smooth_muscle_cells:umbilical_vein: 0.34, Embryonic_stem_cells: 0.34, Smooth_muscle_cells:vascular: 0.34, iPS_cells:skin_fibroblast: 0.34 |
855_TCACAAGCAAGCGCAA-1 | Neurons:Schwann_cell | 0.15 | 53.74 | Raw ScoresNeurons:Schwann_cell: 0.35, Tissue_stem_cells:iliac_MSC: 0.32, Tissue_stem_cells:BM_MSC:TGFb3: 0.31, Tissue_stem_cells:BM_MSC:BMP2: 0.31, Chondrocytes:MSC-derived: 0.31, Osteoblasts: 0.31, Tissue_stem_cells:BM_MSC: 0.31, Fibroblasts:breast: 0.31, iPS_cells:adipose_stem_cells: 0.31, Smooth_muscle_cells:vascular: 0.3 |
839_GTTGCGGAGTGGATAT-1 | Smooth_muscle_cells:bronchial:vit_D | 0.17 | 52.76 | Raw ScoresFibroblasts:breast: 0.43, Smooth_muscle_cells:bronchial:vit_D: 0.42, iPS_cells:adipose_stem_cells: 0.42, Smooth_muscle_cells:bronchial: 0.42, Osteoblasts: 0.42, Chondrocytes:MSC-derived: 0.41, Smooth_muscle_cells:vascular:IL-17: 0.41, Smooth_muscle_cells:vascular: 0.41, Tissue_stem_cells:BM_MSC:BMP2: 0.41, Tissue_stem_cells:BM_MSC:TGFb3: 0.41 |
839_AACGGGAAGGAATGTT-1 | Neurons:Schwann_cell | 0.17 | 52.59 | Raw ScoresNeurons:Schwann_cell: 0.4, iPS_cells:adipose_stem_cells: 0.35, iPS_cells:CRL2097_foreskin: 0.35, Fibroblasts:breast: 0.35, MSC: 0.35, Smooth_muscle_cells:vascular:IL-17: 0.35, Smooth_muscle_cells:bronchial: 0.35, Tissue_stem_cells:BM_MSC:TGFb3: 0.35, Tissue_stem_cells:iliac_MSC: 0.34, Osteoblasts: 0.34 |
853_AGTAGTCCAGCTGGTC-1 | Chondrocytes:MSC-derived | 0.13 | 51.07 | Raw ScoresFibroblasts:breast: 0.41, iPS_cells:adipose_stem_cells: 0.4, Smooth_muscle_cells:vascular:IL-17: 0.39, Smooth_muscle_cells:vascular: 0.39, iPS_cells:skin_fibroblast: 0.39, MSC: 0.39, Smooth_muscle_cells:bronchial: 0.39, Neurons:Schwann_cell: 0.39, Smooth_muscle_cells:bronchial:vit_D: 0.39, iPS_cells:foreskin_fibrobasts: 0.39 |
855_TACAGGTTCGCCACTT-1 | Neurons:Schwann_cell | 0.15 | 50.26 | Raw ScoresNeurons:Schwann_cell: 0.41, Tissue_stem_cells:iliac_MSC: 0.36, iPS_cells:adipose_stem_cells: 0.36, iPS_cells:CRL2097_foreskin: 0.36, Fibroblasts:foreskin: 0.36, Fibroblasts:breast: 0.36, Smooth_muscle_cells:bronchial:vit_D: 0.36, Smooth_muscle_cells:bronchial: 0.36, Smooth_muscle_cells:vascular:IL-17: 0.36, Chondrocytes:MSC-derived: 0.36 |
Below shows the significant enrichments of this GEP for literature curated gene lists
This data was procured from existing single cell RNA-seq maps of neuroblastoma or related relevant data.
High ranks indicate this gene is a driver of this GEP.
These curated gene list are ranked by the P-value (on this GEP) of their constituent genes.
The Mean Count column shows the mean read count in cells scoring highly (H > 50) on this gene expression program.
Genes | Weight | Rank | GTEx | DepMap | Decartes | Mean.Counts | Mean.TPM |
---|---|---|---|---|---|---|---|
BGN | 0.0128196 | 3 | GTEx | DepMap | Descartes | 20.89 | 600.62 |
COL8A1 | 0.0121082 | 4 | GTEx | DepMap | Descartes | 6.18 | 19.31 |
COL1A2 | 0.0118320 | 5 | GTEx | DepMap | Descartes | 65.10 | 564.85 |
COL1A1 | 0.0104599 | 6 | GTEx | DepMap | Descartes | 70.27 | 1369.05 |
THBS2 | 0.0103814 | 7 | GTEx | DepMap | Descartes | 1.82 | 23.81 |
COL5A1 | 0.0098067 | 10 | GTEx | DepMap | Descartes | 7.60 | 15.50 |
COL3A1 | 0.0081447 | 17 | GTEx | DepMap | Descartes | 97.53 | 768.10 |
COL15A1 | 0.0076651 | 18 | GTEx | DepMap | Descartes | 4.82 | 18.55 |
COL10A1 | 0.0071398 | 22 | GTEx | DepMap | Descartes | 0.20 | 16.47 |
COL5A2 | 0.0066896 | 24 | GTEx | DepMap | Descartes | 12.70 | 36.61 |
COL12A1 | 0.0064598 | 27 | GTEx | DepMap | Descartes | 4.22 | 15.18 |
FN1 | 0.0063953 | 28 | GTEx | DepMap | Descartes | 36.59 | 197.08 |
IGFBP7 | 0.0042153 | 60 | GTEx | DepMap | Descartes | 48.33 | 338.99 |
POSTN | 0.0041444 | 61 | GTEx | DepMap | Descartes | 13.77 | 194.93 |
LUM | 0.0035302 | 76 | GTEx | DepMap | Descartes | 3.84 | 162.33 |
RGS5 | 0.0035148 | 77 | GTEx | DepMap | Descartes | 8.73 | 114.39 |
COL4A1 | 0.0031681 | 83 | GTEx | DepMap | Descartes | 17.82 | 60.24 |
PGF | 0.0028100 | 97 | GTEx | DepMap | Descartes | 0.57 | 19.94 |
COL14A1 | 0.0026057 | 106 | GTEx | DepMap | Descartes | 4.37 | 8.42 |
VCAN | 0.0025286 | 112 | GTEx | DepMap | Descartes | 2.42 | 8.44 |
TAGLN | 0.0021214 | 138 | GTEx | DepMap | Descartes | 18.37 | 833.58 |
THY1 | 0.0020352 | 147 | GTEx | DepMap | Descartes | 0.94 | 64.24 |
MMP2 | 0.0016313 | 201 | GTEx | DepMap | Descartes | 2.34 | 29.45 |
TPM2 | 0.0016292 | 202 | GTEx | DepMap | Descartes | 5.52 | 169.07 |
ACTA2 | 0.0014559 | 237 | GTEx | DepMap | Descartes | 21.42 | 389.78 |
CNN2 | 0.0008747 | 390 | GTEx | DepMap | Descartes | 1.61 | 68.94 |
TGFBR2 | 0.0006901 | 494 | GTEx | DepMap | Descartes | 1.72 | 6.51 |
COL11A1 | 0.0006892 | 496 | GTEx | DepMap | Descartes | 0.79 | 1.31 |
TGFB1 | 0.0005636 | 607 | GTEx | DepMap | Descartes | 1.20 | 23.14 |
MMP11 | 0.0004653 | 725 | GTEx | DepMap | Descartes | 0.20 | 5.94 |
TMEM119 | 0.0003900 | 850 | GTEx | DepMap | Descartes | 0.96 | 37.13 |
TNC | 0.0003775 | 878 | GTEx | DepMap | Descartes | 2.23 | 8.88 |
TGFBR1 | 0.0002684 | 1171 | GTEx | DepMap | Descartes | 0.69 | 3.76 |
DCN | 0.0002679 | 1177 | GTEx | DepMap | Descartes | 21.56 | 181.57 |
TGFB2 | 0.0001907 | 1523 | GTEx | DepMap | Descartes | 1.23 | 6.19 |
TPM1 | 0.0001775 | 1629 | GTEx | DepMap | Descartes | 10.12 | 105.42 |
WNT5A | 0.0001365 | 1983 | GTEx | DepMap | Descartes | 0.63 | 9.10 |
VEGFA | 0.0000825 | 2664 | GTEx | DepMap | Descartes | 0.64 | 17.17 |
MEF2C | 0.0000700 | 2946 | GTEx | DepMap | Descartes | 1.32 | 3.82 |
CNN3 | 0.0000467 | 3509 | GTEx | DepMap | Descartes | 2.36 | 26.64 |
HOPX | -0.0000860 | 16547 | GTEx | DepMap | Descartes | 0.32 | 4.67 |
COL13A1 | -0.0000944 | 17063 | GTEx | DepMap | Descartes | 0.03 | 0.04 |
IGFBP3 | -0.0001215 | 18322 | GTEx | DepMap | Descartes | 1.87 | 76.44 |
THBS1 | -0.0001477 | 19145 | GTEx | DepMap | Descartes | 2.92 | 58.24 |
ITGA7 | -0.0001541 | 19316 | GTEx | DepMap | Descartes | 0.56 | 10.58 |
MYLK | -0.0002264 | 20330 | GTEx | DepMap | Descartes | 1.38 | 2.03 |
ACTG2 | -0.0003388 | 20743 | GTEx | DepMap | Descartes | 2.01 | 21.53 |
MYL9 | -0.0005179 | 20873 | GTEx | DepMap | Descartes | 2.35 | 125.74 |
MYH11 | -0.0014638 | 20946 | GTEx | DepMap | Descartes | 1.11 | 4.11 |
Mesenchymal Fig 1D (Olsen)
Selected mesenchymal marker genes shown in Fig. 1D of Olsen et al. https://www.biorxiv.org/content/10.1101/2020.05.04.077057v1 - these are highly expressed in their mesenchymal cluster on their UMAP.:
Wilcoxon ranksum test P-value for gene set overrepresentation: 2.33e-07
Mean rank of genes in gene set: 2024.77
Rank on gene expression program of genes in gene set:
Genes | Weight | Rank | GTEx | DepMap | Decartes | Mean.Counts | Mean.TPM |
---|---|---|---|---|---|---|---|
BGN | 0.0128196 | 3 | GTEx | DepMap | Descartes | 20.89 | 600.62 |
COL1A2 | 0.0118320 | 5 | GTEx | DepMap | Descartes | 65.10 | 564.85 |
COL1A1 | 0.0104599 | 6 | GTEx | DepMap | Descartes | 70.27 | 1369.05 |
MGP | 0.0087295 | 14 | GTEx | DepMap | Descartes | 28.35 | 3409.49 |
SPARC | 0.0082504 | 16 | GTEx | DepMap | Descartes | 108.13 | 1175.84 |
COL3A1 | 0.0081447 | 17 | GTEx | DepMap | Descartes | 97.53 | 768.10 |
COL6A2 | 0.0052652 | 43 | GTEx | DepMap | Descartes | 5.32 | 67.58 |
PRRX1 | 0.0046281 | 52 | GTEx | DepMap | Descartes | 1.77 | 10.22 |
LUM | 0.0035302 | 76 | GTEx | DepMap | Descartes | 3.84 | 162.33 |
CALD1 | 0.0014091 | 244 | GTEx | DepMap | Descartes | 12.43 | 25.30 |
DCN | 0.0002679 | 1177 | GTEx | DepMap | Descartes | 21.56 | 181.57 |
LEPR | 0.0000389 | 3744 | GTEx | DepMap | Descartes | 0.11 | 0.77 |
PDGFRA | -0.0007868 | 20925 | GTEx | DepMap | Descartes | 0.91 | 6.87 |
Stromal 2 (Hanemaaijer)
Marker genes obtained from Supplementary Table SD of Hanemaaijer et al (PMID 33500353). The authors generated single-cell RNA-seq data (sort-seq, 2,229 cells total) from mouse adrenal glads at E13.5, E14.5, E17.5, E18.5, P1 and P5. These were marker genes that matched with a similar dataset generated by Furlan et al (PMID 28684471). This particular set of markers are for Stroma subcluster:
Wilcoxon ranksum test P-value for gene set overrepresentation: 7.96e-05
Mean rank of genes in gene set: 3884.33
Rank on gene expression program of genes in gene set:
Genes | Weight | Rank | GTEx | DepMap | Decartes | Mean.Counts | Mean.TPM |
---|---|---|---|---|---|---|---|
FSTL1 | 0.0072396 | 21 | GTEx | DepMap | Descartes | 14.77 | 82.29 |
COL5A2 | 0.0066896 | 24 | GTEx | DepMap | Descartes | 12.70 | 36.61 |
FBN1 | 0.0057879 | 34 | GTEx | DepMap | Descartes | 9.18 | 16.49 |
POSTN | 0.0041444 | 61 | GTEx | DepMap | Descartes | 13.77 | 194.93 |
COL14A1 | 0.0026057 | 106 | GTEx | DepMap | Descartes | 4.37 | 8.42 |
SFRP1 | 0.0018505 | 167 | GTEx | DepMap | Descartes | 1.31 | 12.26 |
GAS1 | 0.0008543 | 398 | GTEx | DepMap | Descartes | 2.00 | 198.46 |
ITM2A | 0.0005734 | 600 | GTEx | DepMap | Descartes | 2.27 | 96.46 |
IGFBP5 | 0.0002751 | 1149 | GTEx | DepMap | Descartes | 5.47 | 155.33 |
FBN2 | 0.0001168 | 2186 | GTEx | DepMap | Descartes | 0.16 | 0.20 |
PENK | -0.0008897 | 20931 | GTEx | DepMap | Descartes | 0.27 | 27.43 |
GSN | -0.0010104 | 20935 | GTEx | DepMap | Descartes | 4.82 | 43.06 |
Below shows ranks on this GEP for literature curated gene lists for large gene sets
These include those reported as mesenchymal/adrenergic by Van Groningen et al.
High ranks indicate this gene is a driver of this GEP (note these results are not ordered).
The Mean Count column shows the mean read count in cells scoring highly (H > 50) on this gene expression program.
VanGroningen Adrenergic Genes
Adrenergic marker genes from Supplementary Table 2 of Van Groningen et al. Nature Genetics 2017. These genes were identified by differential expression analysis of mesenchymal-like and adrenergic-like neuroblastoma cell lines.
Wilcoxon ranksum test P-value for gene set overrepresentation: 1.00e+00
Mean rank of genes in gene set: 16111.7
Median rank of genes in gene set: 18344
Rank on gene expression program of top 30 genes in gene set:
Genes | Weight | Rank | GTEx | DepMap | Descartes | Mean.Counts | Mean.TPM |
---|---|---|---|---|---|---|---|
RBP1 | 0.0055159 | 39 | GTEx | DepMap | Descartes | 9.44 | 137.66 |
RGS5 | 0.0035148 | 77 | GTEx | DepMap | Descartes | 8.73 | 114.39 |
CYGB | 0.0013408 | 255 | GTEx | DepMap | Descartes | 2.64 | 130.95 |
SLIT3 | 0.0007025 | 484 | GTEx | DepMap | Descartes | 2.06 | 1.22 |
HEY1 | 0.0006791 | 509 | GTEx | DepMap | Descartes | 0.26 | 23.73 |
GRB10 | 0.0005422 | 632 | GTEx | DepMap | Descartes | 1.23 | 3.54 |
CD200 | 0.0005403 | 633 | GTEx | DepMap | Descartes | 1.98 | 30.55 |
DPYSL3 | 0.0004017 | 824 | GTEx | DepMap | Descartes | 2.41 | 6.36 |
RNF150 | 0.0003611 | 902 | GTEx | DepMap | Descartes | 0.22 | 0.29 |
HS6ST2 | 0.0003604 | 906 | GTEx | DepMap | Descartes | 0.18 | 0.18 |
IGSF3 | 0.0002883 | 1097 | GTEx | DepMap | Descartes | 0.44 | 1.49 |
CKB | 0.0002065 | 1437 | GTEx | DepMap | Descartes | 2.55 | 284.80 |
GGH | 0.0001332 | 2011 | GTEx | DepMap | Descartes | 1.11 | 15.77 |
SETD7 | 0.0001015 | 2378 | GTEx | DepMap | Descartes | 0.49 | 3.78 |
ABLIM1 | 0.0000961 | 2453 | GTEx | DepMap | Descartes | 0.41 | 0.55 |
NARS2 | 0.0000793 | 2738 | GTEx | DepMap | Descartes | 0.07 | 0.23 |
PRC1 | 0.0000584 | 3187 | GTEx | DepMap | Descartes | 1.08 | 17.50 |
ENDOG | 0.0000516 | 3359 | GTEx | DepMap | Descartes | 0.52 | 60.55 |
FBXO8 | 0.0000466 | 3512 | GTEx | DepMap | Descartes | 0.22 | 2.39 |
CDKN3 | 0.0000410 | 3672 | GTEx | DepMap | Descartes | 0.32 | 9.05 |
AP1S2 | 0.0000409 | 3678 | GTEx | DepMap | Descartes | 0.68 | 9.73 |
EML4 | 0.0000349 | 3871 | GTEx | DepMap | Descartes | 0.89 | 2.34 |
PRSS12 | 0.0000341 | 3897 | GTEx | DepMap | Descartes | 0.05 | 0.23 |
RBMS3 | 0.0000340 | 3902 | GTEx | DepMap | Descartes | 1.25 | 0.32 |
ANKRD46 | 0.0000245 | 4291 | GTEx | DepMap | Descartes | 0.36 | 5.53 |
CELF2 | 0.0000190 | 4536 | GTEx | DepMap | Descartes | 1.44 | 0.53 |
TRAP1 | 0.0000160 | 4675 | GTEx | DepMap | Descartes | 0.46 | 3.90 |
GNB1 | 0.0000151 | 4726 | GTEx | DepMap | Descartes | 3.73 | 18.41 |
RNF144A | 0.0000135 | 4818 | GTEx | DepMap | Descartes | 0.37 | 1.19 |
DNAJB1 | 0.0000115 | 4943 | GTEx | DepMap | Descartes | 1.11 | 74.25 |
VanGroningen Mesenchymal Genes
Mesenchymal marker genes from Supplementary Table 2 of Van Groningen et al. Nature Genetics 2017. These genes were identified by differential expression analysis of mesenchymal-like and adrenergic-like neuroblastoma cell lines.
Wilcoxon ranksum test P-value for gene set overrepresentation: 9.05e-103
Mean rank of genes in gene set: 4494.99
Median rank of genes in gene set: 1258
Rank on gene expression program of top 30 genes in gene set:
Genes | Weight | Rank | GTEx | DepMap | Descartes | Mean.Counts | Mean.TPM |
---|---|---|---|---|---|---|---|
FMOD | 0.0165631 | 1 | GTEx | DepMap | Descartes | 1.20 | 26.84 |
BGN | 0.0128196 | 3 | GTEx | DepMap | Descartes | 20.89 | 600.62 |
COL1A1 | 0.0104599 | 6 | GTEx | DepMap | Descartes | 70.27 | 1369.05 |
COL5A1 | 0.0098067 | 10 | GTEx | DepMap | Descartes | 7.60 | 15.50 |
MRC2 | 0.0094526 | 12 | GTEx | DepMap | Descartes | 1.25 | 7.19 |
MGP | 0.0087295 | 14 | GTEx | DepMap | Descartes | 28.35 | 3409.49 |
SERPINH1 | 0.0083638 | 15 | GTEx | DepMap | Descartes | 17.01 | 636.52 |
SPARC | 0.0082504 | 16 | GTEx | DepMap | Descartes | 108.13 | 1175.84 |
COL3A1 | 0.0081447 | 17 | GTEx | DepMap | Descartes | 97.53 | 768.10 |
FSTL1 | 0.0072396 | 21 | GTEx | DepMap | Descartes | 14.77 | 82.29 |
KDELR3 | 0.0069438 | 23 | GTEx | DepMap | Descartes | 1.29 | 31.63 |
COL5A2 | 0.0066896 | 24 | GTEx | DepMap | Descartes | 12.70 | 36.61 |
COL12A1 | 0.0064598 | 27 | GTEx | DepMap | Descartes | 4.22 | 15.18 |
FN1 | 0.0063953 | 28 | GTEx | DepMap | Descartes | 36.59 | 197.08 |
FBN1 | 0.0057879 | 34 | GTEx | DepMap | Descartes | 9.18 | 16.49 |
COL6A1 | 0.0056928 | 36 | GTEx | DepMap | Descartes | 9.42 | 185.22 |
EFEMP2 | 0.0056770 | 38 | GTEx | DepMap | Descartes | 1.86 | 72.23 |
FIBIN | 0.0055031 | 40 | GTEx | DepMap | Descartes | 1.13 | 154.00 |
TIMP1 | 0.0054572 | 41 | GTEx | DepMap | Descartes | 28.49 | 1357.08 |
COL6A3 | 0.0054239 | 42 | GTEx | DepMap | Descartes | 4.27 | 18.27 |
COL6A2 | 0.0052652 | 43 | GTEx | DepMap | Descartes | 5.32 | 67.58 |
GPX8 | 0.0046805 | 50 | GTEx | DepMap | Descartes | 2.82 | 241.69 |
PRRX1 | 0.0046281 | 52 | GTEx | DepMap | Descartes | 1.77 | 10.22 |
PPIC | 0.0042190 | 59 | GTEx | DepMap | Descartes | 3.38 | 90.40 |
POSTN | 0.0041444 | 61 | GTEx | DepMap | Descartes | 13.77 | 194.93 |
OLFML2B | 0.0040414 | 64 | GTEx | DepMap | Descartes | 1.82 | 16.87 |
RHOJ | 0.0032812 | 81 | GTEx | DepMap | Descartes | 2.35 | 7.49 |
COL4A1 | 0.0031681 | 83 | GTEx | DepMap | Descartes | 17.82 | 60.24 |
CILP | 0.0031230 | 86 | GTEx | DepMap | Descartes | 0.96 | 22.90 |
OLFML3 | 0.0031187 | 87 | GTEx | DepMap | Descartes | 1.44 | 32.00 |
Descartes adrenocortical markers
Top 50 marker genes of adrenocortical cells in the Decartes fetal adrenal single cell map (https://atlas.brotmanbaty.org/bbi/human-gene-expression-during-development/cell/adrenocortical/in/adrenal)
Wilcoxon ranksum test P-value for gene set overrepresentation: 1.00e+00
Mean rank of genes in gene set: 13634.12
Median rank of genes in gene set: 15478.5
Rank on gene expression program of top 30 genes in gene set:
Genes | Weight | Rank | GTEx | DepMap | Descartes | Mean.Counts | Mean.TPM |
---|---|---|---|---|---|---|---|
PAPSS2 | 0.0005040 | 676 | GTEx | DepMap | Descartes | 0.23 | 0.96 |
SH3PXD2B | 0.0002544 | 1229 | GTEx | DepMap | Descartes | 0.69 | 3.22 |
IGF1R | 0.0001074 | 2291 | GTEx | DepMap | Descartes | 0.62 | 0.85 |
NPC1 | 0.0000828 | 2657 | GTEx | DepMap | Descartes | 0.61 | 4.25 |
ERN1 | 0.0000793 | 2737 | GTEx | DepMap | Descartes | 0.13 | 0.47 |
SH3BP5 | 0.0000070 | 5260 | GTEx | DepMap | Descartes | 0.85 | 4.48 |
CYP11A1 | 0.0000057 | 5366 | GTEx | DepMap | Descartes | 0.01 | 0.12 |
SULT2A1 | -0.0000008 | 6196 | GTEx | DepMap | Descartes | 0.00 | 0.00 |
CYP11B1 | -0.0000056 | 7430 | GTEx | DepMap | Descartes | 0.00 | 0.00 |
CYP17A1 | -0.0000128 | 9256 | GTEx | DepMap | Descartes | 0.00 | 0.00 |
BAIAP2L1 | -0.0000158 | 9865 | GTEx | DepMap | Descartes | 0.23 | 0.87 |
GSTA4 | -0.0000236 | 11059 | GTEx | DepMap | Descartes | 0.27 | 2.54 |
PDE10A | -0.0000374 | 12659 | GTEx | DepMap | Descartes | 0.13 | 0.12 |
APOC1 | -0.0000409 | 12999 | GTEx | DepMap | Descartes | 0.08 | 11.63 |
INHA | -0.0000417 | 13079 | GTEx | DepMap | Descartes | 0.01 | 0.58 |
FRMD5 | -0.0000421 | 13133 | GTEx | DepMap | Descartes | 0.06 | 0.04 |
FDXR | -0.0000427 | 13196 | GTEx | DepMap | Descartes | 0.22 | 6.73 |
SLC1A2 | -0.0000623 | 14872 | GTEx | DepMap | Descartes | 0.02 | 0.05 |
SGCZ | -0.0000647 | 15077 | GTEx | DepMap | Descartes | 0.01 | 0.00 |
LDLR | -0.0000651 | 15100 | GTEx | DepMap | Descartes | 0.06 | 1.05 |
SCAP | -0.0000673 | 15275 | GTEx | DepMap | Descartes | 0.37 | 3.32 |
STAR | -0.0000732 | 15682 | GTEx | DepMap | Descartes | 0.04 | 1.22 |
DNER | -0.0000740 | 15743 | GTEx | DepMap | Descartes | 0.01 | 0.00 |
SLC16A9 | -0.0000758 | 15888 | GTEx | DepMap | Descartes | 0.09 | 1.10 |
TM7SF2 | -0.0000860 | 16550 | GTEx | DepMap | Descartes | 0.01 | 0.46 |
PEG3 | -0.0000925 | 16942 | GTEx | DepMap | Descartes | 0.89 | 11.00 |
CYB5B | -0.0000956 | 17138 | GTEx | DepMap | Descartes | 0.63 | 4.80 |
SCARB1 | -0.0001009 | 17398 | GTEx | DepMap | Descartes | 0.22 | 0.85 |
CLU | -0.0001019 | 17451 | GTEx | DepMap | Descartes | 4.82 | 104.20 |
GRAMD1B | -0.0001096 | 17823 | GTEx | DepMap | Descartes | 0.29 | 0.40 |
Descartes chromaffin markers
Top 50 marker genes of chromaffin cells in the Decartes fetal adrenal single cell map (https://atlas.brotmanbaty.org/bbi/human-gene-expression-during-development/cell/chromaffin/in/adrenal)
Wilcoxon ranksum test P-value for gene set overrepresentation: 1.00e+00
Mean rank of genes in gene set: 16447.27
Median rank of genes in gene set: 18117
Rank on gene expression program of top 30 genes in gene set:
Genes | Weight | Rank | GTEx | DepMap | Descartes | Mean.Counts | Mean.TPM |
---|---|---|---|---|---|---|---|
IL7 | 0.0000955 | 2464 | GTEx | DepMap | Descartes | 0.04 | 0.32 |
RGMB | 0.0000636 | 3079 | GTEx | DepMap | Descartes | 0.30 | 3.39 |
RPH3A | -0.0000060 | 7552 | GTEx | DepMap | Descartes | 0.02 | 0.07 |
GAL | -0.0000074 | 7943 | GTEx | DepMap | Descartes | 0.78 | 30.50 |
ANKFN1 | -0.0000203 | 10589 | GTEx | DepMap | Descartes | 0.01 | 0.01 |
TMEM132C | -0.0000239 | 11102 | GTEx | DepMap | Descartes | 0.03 | 0.02 |
EPHA6 | -0.0000267 | 11441 | GTEx | DepMap | Descartes | 0.00 | 0.00 |
MAB21L1 | -0.0000432 | 13232 | GTEx | DepMap | Descartes | 0.01 | 0.54 |
RYR2 | -0.0000435 | 13268 | GTEx | DepMap | Descartes | 0.03 | 0.01 |
HS3ST5 | -0.0000454 | 13434 | GTEx | DepMap | Descartes | 0.02 | 0.01 |
SLC6A2 | -0.0000468 | 13577 | GTEx | DepMap | Descartes | 0.04 | 0.14 |
FAT3 | -0.0000481 | 13688 | GTEx | DepMap | Descartes | 0.07 | 0.05 |
ALK | -0.0000489 | 13744 | GTEx | DepMap | Descartes | 0.01 | 0.00 |
NPY | -0.0000503 | 13861 | GTEx | DepMap | Descartes | 0.27 | 7.27 |
KCNB2 | -0.0000587 | 14583 | GTEx | DepMap | Descartes | 0.03 | 0.02 |
PTCHD1 | -0.0000751 | 15839 | GTEx | DepMap | Descartes | 0.01 | 0.05 |
NTRK1 | -0.0000774 | 16009 | GTEx | DepMap | Descartes | 0.08 | 1.84 |
HMX1 | -0.0000800 | 16187 | GTEx | DepMap | Descartes | 0.11 | 4.29 |
PLXNA4 | -0.0000827 | 16343 | GTEx | DepMap | Descartes | 0.43 | 0.25 |
SLC44A5 | -0.0000906 | 16816 | GTEx | DepMap | Descartes | 0.06 | 0.06 |
EYA4 | -0.0001077 | 17733 | GTEx | DepMap | Descartes | 0.06 | 0.07 |
CNKSR2 | -0.0001145 | 18044 | GTEx | DepMap | Descartes | 0.19 | 0.37 |
SYNPO2 | -0.0001181 | 18190 | GTEx | DepMap | Descartes | 0.14 | 0.27 |
MARCH11 | -0.0001189 | 18225 | GTEx | DepMap | Descartes | 0.19 | 0.62 |
TUBB2A | -0.0001312 | 18668 | GTEx | DepMap | Descartes | 3.52 | 293.49 |
PRPH | -0.0001557 | 19353 | GTEx | DepMap | Descartes | 0.06 | 6.10 |
CNTFR | -0.0001750 | 19764 | GTEx | DepMap | Descartes | 0.31 | 2.25 |
RBFOX1 | -0.0001776 | 19804 | GTEx | DepMap | Descartes | 0.28 | 0.06 |
TMEFF2 | -0.0001936 | 20035 | GTEx | DepMap | Descartes | 0.38 | 0.40 |
EYA1 | -0.0002043 | 20137 | GTEx | DepMap | Descartes | 0.43 | 0.67 |
Descartes Vascular_endothelial markers
Top 50 marker genes of Vascular_endothelial cells in the Decartes fetal adrenal single cell map (https://atlas.brotmanbaty.org/bbi/human-gene-expression-during-development/cell/vascular_endothelial/in/adrenal)
Wilcoxon ranksum test P-value for gene set overrepresentation: 9.98e-01
Mean rank of genes in gene set: 13175.65
Median rank of genes in gene set: 15448
Rank on gene expression program of top 30 genes in gene set:
Genes | Weight | Rank | GTEx | DepMap | Descartes | Mean.Counts | Mean.TPM |
---|---|---|---|---|---|---|---|
ECSCR | 0.0013245 | 261 | GTEx | DepMap | Descartes | 1.06 | 33.77 |
ARHGAP29 | 0.0001387 | 1953 | GTEx | DepMap | Descartes | 1.41 | 6.75 |
SOX18 | 0.0000827 | 2659 | GTEx | DepMap | Descartes | 0.46 | 96.45 |
NOTCH4 | 0.0000619 | 3113 | GTEx | DepMap | Descartes | 0.13 | 1.94 |
SLCO2A1 | 0.0000536 | 3312 | GTEx | DepMap | Descartes | 0.12 | 0.45 |
APLNR | 0.0000254 | 4242 | GTEx | DepMap | Descartes | 0.29 | 27.01 |
PLVAP | 0.0000211 | 4422 | GTEx | DepMap | Descartes | 0.92 | 21.63 |
HYAL2 | 0.0000154 | 4708 | GTEx | DepMap | Descartes | 0.31 | 22.99 |
CHRM3 | -0.0000029 | 6665 | GTEx | DepMap | Descartes | 0.00 | 0.00 |
RAMP2 | -0.0000046 | 7177 | GTEx | DepMap | Descartes | 0.92 | 22.32 |
CRHBP | -0.0000061 | 7586 | GTEx | DepMap | Descartes | 0.00 | 0.00 |
CDH13 | -0.0000064 | 7661 | GTEx | DepMap | Descartes | 0.27 | 0.07 |
DNASE1L3 | -0.0000091 | 8389 | GTEx | DepMap | Descartes | 0.01 | 0.03 |
CYP26B1 | -0.0000313 | 11978 | GTEx | DepMap | Descartes | 0.02 | 0.20 |
MYRIP | -0.0000449 | 13391 | GTEx | DepMap | Descartes | 0.00 | 0.00 |
F8 | -0.0000469 | 13583 | GTEx | DepMap | Descartes | 0.01 | 0.02 |
FLT4 | -0.0000473 | 13610 | GTEx | DepMap | Descartes | 0.08 | 0.51 |
NR5A2 | -0.0000494 | 13781 | GTEx | DepMap | Descartes | 0.01 | 0.01 |
CEACAM1 | -0.0000498 | 13823 | GTEx | DepMap | Descartes | 0.04 | 0.85 |
ESM1 | -0.0000585 | 14572 | GTEx | DepMap | Descartes | 0.41 | 20.40 |
SHANK3 | -0.0000635 | 14985 | GTEx | DepMap | Descartes | 0.09 | 0.62 |
KDR | -0.0000697 | 15448 | GTEx | DepMap | Descartes | 0.34 | 1.85 |
EFNB2 | -0.0000726 | 15641 | GTEx | DepMap | Descartes | 0.39 | 2.75 |
TIE1 | -0.0000733 | 15687 | GTEx | DepMap | Descartes | 0.19 | 3.43 |
IRX3 | -0.0000782 | 16069 | GTEx | DepMap | Descartes | 0.04 | 3.07 |
MMRN2 | -0.0000851 | 16480 | GTEx | DepMap | Descartes | 0.14 | 1.29 |
ROBO4 | -0.0000887 | 16711 | GTEx | DepMap | Descartes | 0.11 | 2.24 |
TMEM88 | -0.0000924 | 16936 | GTEx | DepMap | Descartes | 0.11 | 14.07 |
EHD3 | -0.0000928 | 16956 | GTEx | DepMap | Descartes | 0.26 | 4.23 |
KANK3 | -0.0000952 | 17101 | GTEx | DepMap | Descartes | 0.13 | 3.55 |
Descartes stromal markers
Top 50 marker genes of stromal cells in the Decartes fetal adrenal single cell map (https://atlas.brotmanbaty.org/bbi/human-gene-expression-during-development/cell/stromal/in/adrenal)
Wilcoxon ranksum test P-value for gene set overrepresentation: 2.03e-07
Mean rank of genes in gene set: 5962.54
Median rank of genes in gene set: 254
Rank on gene expression program of top 30 genes in gene set:
Genes | Weight | Rank | GTEx | DepMap | Descartes | Mean.Counts | Mean.TPM |
---|---|---|---|---|---|---|---|
COL1A2 | 0.0118320 | 5 | GTEx | DepMap | Descartes | 65.10 | 564.85 |
COL1A1 | 0.0104599 | 6 | GTEx | DepMap | Descartes | 70.27 | 1369.05 |
MGP | 0.0087295 | 14 | GTEx | DepMap | Descartes | 28.35 | 3409.49 |
COL3A1 | 0.0081447 | 17 | GTEx | DepMap | Descartes | 97.53 | 768.10 |
COL12A1 | 0.0064598 | 27 | GTEx | DepMap | Descartes | 4.22 | 15.18 |
LOX | 0.0057532 | 35 | GTEx | DepMap | Descartes | 2.89 | 65.12 |
COL6A3 | 0.0054239 | 42 | GTEx | DepMap | Descartes | 4.27 | 18.27 |
ADAMTS2 | 0.0049116 | 46 | GTEx | DepMap | Descartes | 2.92 | 5.34 |
PRRX1 | 0.0046281 | 52 | GTEx | DepMap | Descartes | 1.77 | 10.22 |
FNDC1 | 0.0043047 | 57 | GTEx | DepMap | Descartes | 2.16 | 6.75 |
POSTN | 0.0041444 | 61 | GTEx | DepMap | Descartes | 13.77 | 194.93 |
PCOLCE | 0.0041326 | 62 | GTEx | DepMap | Descartes | 5.29 | 203.70 |
ADAMTSL3 | 0.0037981 | 67 | GTEx | DepMap | Descartes | 0.08 | 0.15 |
LUM | 0.0035302 | 76 | GTEx | DepMap | Descartes | 3.84 | 162.33 |
ELN | 0.0033069 | 79 | GTEx | DepMap | Descartes | 5.04 | 40.79 |
ITGA11 | 0.0027648 | 99 | GTEx | DepMap | Descartes | 0.08 | 0.35 |
CD248 | 0.0026457 | 103 | GTEx | DepMap | Descartes | 2.85 | 412.97 |
CCDC80 | 0.0025753 | 108 | GTEx | DepMap | Descartes | 5.58 | 49.99 |
LRRC17 | 0.0025681 | 109 | GTEx | DepMap | Descartes | 0.37 | 3.55 |
CDH11 | 0.0018005 | 176 | GTEx | DepMap | Descartes | 1.31 | 2.48 |
FREM1 | 0.0016900 | 192 | GTEx | DepMap | Descartes | 0.01 | 0.01 |
BICC1 | 0.0015351 | 217 | GTEx | DepMap | Descartes | 1.67 | 2.46 |
ACTA2 | 0.0014559 | 237 | GTEx | DepMap | Descartes | 21.42 | 389.78 |
DKK2 | 0.0012435 | 271 | GTEx | DepMap | Descartes | 0.18 | 1.02 |
PCDH18 | 0.0009876 | 344 | GTEx | DepMap | Descartes | 0.25 | 5.86 |
ISLR | 0.0009747 | 347 | GTEx | DepMap | Descartes | 1.27 | 10.68 |
GLI2 | 0.0008783 | 386 | GTEx | DepMap | Descartes | 0.06 | 0.12 |
EDNRA | 0.0007054 | 481 | GTEx | DepMap | Descartes | 0.51 | 3.59 |
PRICKLE1 | 0.0006802 | 508 | GTEx | DepMap | Descartes | 0.20 | 0.64 |
COL27A1 | 0.0006621 | 523 | GTEx | DepMap | Descartes | 0.37 | 1.35 |
Descartes sympathoblasts markers
Top 50 marker genes of sympathoblasts cells in the Decartes fetal adrenal single cell map (https://atlas.brotmanbaty.org/bbi/human-gene-expression-during-development/cell/sympathoblasts/in/adrenal)
Wilcoxon ranksum test P-value for gene set overrepresentation: 1.00e+00
Mean rank of genes in gene set: 15063.1
Median rank of genes in gene set: 15950
Rank on gene expression program of top 30 genes in gene set:
Genes | Weight | Rank | GTEx | DepMap | Descartes | Mean.Counts | Mean.TPM |
---|---|---|---|---|---|---|---|
ROBO1 | 0.0001812 | 1605 | GTEx | DepMap | Descartes | 0.22 | 0.09 |
ARC | 0.0000635 | 3080 | GTEx | DepMap | Descartes | 0.07 | 7.37 |
KCTD16 | -0.0000096 | 8510 | GTEx | DepMap | Descartes | 0.00 | 0.00 |
LAMA3 | -0.0000119 | 9067 | GTEx | DepMap | Descartes | 0.01 | 0.02 |
SLC35F3 | -0.0000214 | 10735 | GTEx | DepMap | Descartes | 0.01 | 0.01 |
DGKK | -0.0000277 | 11552 | GTEx | DepMap | Descartes | 0.05 | 0.06 |
TBX20 | -0.0000279 | 11584 | GTEx | DepMap | Descartes | 0.04 | 0.22 |
CDH12 | -0.0000314 | 11998 | GTEx | DepMap | Descartes | 0.00 | 0.00 |
CNTN3 | -0.0000318 | 12045 | GTEx | DepMap | Descartes | 0.00 | 0.00 |
CDH18 | -0.0000326 | 12128 | GTEx | DepMap | Descartes | 0.00 | 0.00 |
SLC24A2 | -0.0000415 | 13065 | GTEx | DepMap | Descartes | 0.00 | 0.00 |
TENM1 | -0.0000422 | 13141 | GTEx | DepMap | Descartes | 0.00 | 0.00 |
SORCS3 | -0.0000473 | 13608 | GTEx | DepMap | Descartes | 0.02 | 0.01 |
SLC18A1 | -0.0000478 | 13657 | GTEx | DepMap | Descartes | 0.01 | 0.04 |
AGBL4 | -0.0000484 | 13714 | GTEx | DepMap | Descartes | 0.00 | 0.00 |
PNMT | -0.0000495 | 13797 | GTEx | DepMap | Descartes | 0.01 | 0.58 |
SPOCK3 | -0.0000617 | 14821 | GTEx | DepMap | Descartes | 0.04 | 0.03 |
CHGB | -0.0000628 | 14911 | GTEx | DepMap | Descartes | 1.00 | 17.17 |
TMEM130 | -0.0000727 | 15645 | GTEx | DepMap | Descartes | 0.04 | 0.21 |
GRM7 | -0.0000728 | 15649 | GTEx | DepMap | Descartes | 0.00 | 0.00 |
GRID2 | -0.0000735 | 15701 | GTEx | DepMap | Descartes | 0.02 | 0.01 |
PACRG | -0.0000802 | 16199 | GTEx | DepMap | Descartes | 0.05 | 0.04 |
NTNG1 | -0.0000913 | 16861 | GTEx | DepMap | Descartes | 0.05 | 0.07 |
GALNTL6 | -0.0000939 | 17030 | GTEx | DepMap | Descartes | 0.02 | 0.00 |
HTATSF1 | -0.0000953 | 17114 | GTEx | DepMap | Descartes | 0.75 | 17.17 |
TIAM1 | -0.0000956 | 17136 | GTEx | DepMap | Descartes | 0.18 | 0.22 |
FGF14 | -0.0000985 | 17286 | GTEx | DepMap | Descartes | 0.04 | 0.01 |
EML6 | -0.0001001 | 17358 | GTEx | DepMap | Descartes | 0.01 | 0.02 |
FAM155A | -0.0001011 | 17412 | GTEx | DepMap | Descartes | 0.07 | 0.02 |
MGAT4C | -0.0001018 | 17445 | GTEx | DepMap | Descartes | 0.07 | 0.02 |
Descartes erythroblasts markers
Top 50 marker genes of erythroblasts cells in the Decartes fetal adrenal single cell map (https://atlas.brotmanbaty.org/bbi/human-gene-expression-during-development/cell/erythroblasts/in/adrenal)
Wilcoxon ranksum test P-value for gene set overrepresentation: 1.05e-01
Mean rank of genes in gene set: 9195.6
Median rank of genes in gene set: 8512
Rank on gene expression program of top 30 genes in gene set:
Genes | Weight | Rank | GTEx | DepMap | Descartes | Mean.Counts | Mean.TPM |
---|---|---|---|---|---|---|---|
MICAL2 | 0.0015179 | 221 | GTEx | DepMap | Descartes | 0.48 | 0.87 |
SPECC1 | 0.0003133 | 1019 | GTEx | DepMap | Descartes | 0.37 | 0.47 |
FECH | 0.0002686 | 1170 | GTEx | DepMap | Descartes | 0.42 | 3.72 |
ANK1 | 0.0002190 | 1375 | GTEx | DepMap | Descartes | 0.03 | 0.04 |
BLVRB | 0.0001572 | 1789 | GTEx | DepMap | Descartes | 1.44 | 25.10 |
TRAK2 | 0.0001545 | 1806 | GTEx | DepMap | Descartes | 0.38 | 1.70 |
MARCH3 | 0.0001005 | 2397 | GTEx | DepMap | Descartes | 0.01 | 0.03 |
GYPA | 0.0000906 | 2535 | GTEx | DepMap | Descartes | 0.00 | 0.00 |
CAT | 0.0000500 | 3412 | GTEx | DepMap | Descartes | 0.37 | 3.90 |
RAPGEF2 | 0.0000461 | 3523 | GTEx | DepMap | Descartes | 0.37 | 0.64 |
DENND4A | 0.0000457 | 3535 | GTEx | DepMap | Descartes | 0.18 | 0.72 |
CR1L | 0.0000281 | 4124 | GTEx | DepMap | Descartes | 0.97 | 9.80 |
TSPAN5 | 0.0000185 | 4555 | GTEx | DepMap | Descartes | 0.54 | 0.93 |
XPO7 | 0.0000077 | 5202 | GTEx | DepMap | Descartes | 0.41 | 1.22 |
SLC25A21 | 0.0000008 | 5905 | GTEx | DepMap | Descartes | 0.00 | 0.00 |
EPB42 | -0.0000044 | 7123 | GTEx | DepMap | Descartes | 0.00 | 0.00 |
HEMGN | -0.0000063 | 7630 | GTEx | DepMap | Descartes | 0.00 | 0.00 |
TFR2 | -0.0000096 | 8512 | GTEx | DepMap | Descartes | 0.03 | 0.89 |
SLC4A1 | -0.0000116 | 8992 | GTEx | DepMap | Descartes | 0.00 | 0.00 |
TMCC2 | -0.0000215 | 10759 | GTEx | DepMap | Descartes | 0.11 | 1.13 |
ABCB10 | -0.0000273 | 11506 | GTEx | DepMap | Descartes | 0.15 | 1.67 |
SLC25A37 | -0.0000274 | 11524 | GTEx | DepMap | Descartes | 0.24 | 1.73 |
CPOX | -0.0000296 | 11785 | GTEx | DepMap | Descartes | 0.20 | 1.51 |
SOX6 | -0.0000344 | 12317 | GTEx | DepMap | Descartes | 0.17 | 0.12 |
RHD | -0.0000346 | 12346 | GTEx | DepMap | Descartes | 0.00 | 0.00 |
ALAS2 | -0.0000566 | 14384 | GTEx | DepMap | Descartes | 0.15 | 1.56 |
TMEM56 | -0.0000673 | 15278 | GTEx | DepMap | Descartes | 0.01 | 0.10 |
GYPC | -0.0000975 | 17231 | GTEx | DepMap | Descartes | 0.10 | 1.12 |
SPTA1 | -0.0001024 | 17475 | GTEx | DepMap | Descartes | 0.01 | 0.03 |
RGS6 | -0.0001032 | 17512 | GTEx | DepMap | Descartes | 0.00 | 0.00 |
Descartes myeloid markers
Top 50 marker genes of myeloid cells in the Decartes fetal adrenal single cell map (https://atlas.brotmanbaty.org/bbi/human-gene-expression-during-development/cell/myeloid/in/adrenal)
Wilcoxon ranksum test P-value for gene set overrepresentation: 4.73e-01
Mean rank of genes in gene set: 10413.56
Median rank of genes in gene set: 11846
Rank on gene expression program of top 30 genes in gene set:
Genes | Weight | Rank | GTEx | DepMap | Descartes | Mean.Counts | Mean.TPM |
---|---|---|---|---|---|---|---|
AXL | 0.0011809 | 283 | GTEx | DepMap | Descartes | 1.94 | 22.93 |
CTSC | 0.0004623 | 732 | GTEx | DepMap | Descartes | 3.12 | 30.00 |
CST3 | 0.0004422 | 761 | GTEx | DepMap | Descartes | 20.39 | 1879.33 |
ITPR2 | 0.0002476 | 1256 | GTEx | DepMap | Descartes | 0.25 | 0.21 |
SLC1A3 | 0.0001440 | 1894 | GTEx | DepMap | Descartes | 0.06 | 0.24 |
ADAP2 | 0.0001033 | 2355 | GTEx | DepMap | Descartes | 0.08 | 1.05 |
WWP1 | 0.0000929 | 2503 | GTEx | DepMap | Descartes | 0.68 | 2.26 |
IFNGR1 | 0.0000726 | 2890 | GTEx | DepMap | Descartes | 1.08 | 27.66 |
FMN1 | 0.0000575 | 3205 | GTEx | DepMap | Descartes | 0.23 | 0.20 |
CTSD | 0.0000168 | 4636 | GTEx | DepMap | Descartes | 5.02 | 122.79 |
MERTK | -0.0000003 | 6103 | GTEx | DepMap | Descartes | 0.06 | 0.11 |
CD163L1 | -0.0000026 | 6593 | GTEx | DepMap | Descartes | 0.00 | 0.00 |
CTSB | -0.0000052 | 7335 | GTEx | DepMap | Descartes | 8.75 | 111.33 |
ATP8B4 | -0.0000101 | 8612 | GTEx | DepMap | Descartes | 0.04 | 0.12 |
CPVL | -0.0000104 | 8705 | GTEx | DepMap | Descartes | 0.00 | 0.00 |
SPP1 | -0.0000152 | 9739 | GTEx | DepMap | Descartes | 9.15 | 463.54 |
ABCA1 | -0.0000226 | 10905 | GTEx | DepMap | Descartes | 1.23 | 4.02 |
MARCH1 | -0.0000228 | 10930 | GTEx | DepMap | Descartes | 0.01 | 0.02 |
MS4A4A | -0.0000233 | 11009 | GTEx | DepMap | Descartes | 0.01 | 0.16 |
CD163 | -0.0000268 | 11447 | GTEx | DepMap | Descartes | 0.01 | 0.09 |
VSIG4 | -0.0000273 | 11508 | GTEx | DepMap | Descartes | 0.01 | 0.04 |
FGL2 | -0.0000295 | 11767 | GTEx | DepMap | Descartes | 0.25 | 15.61 |
HCK | -0.0000301 | 11846 | GTEx | DepMap | Descartes | 0.07 | 0.66 |
MPEG1 | -0.0000327 | 12135 | GTEx | DepMap | Descartes | 0.34 | 16.10 |
CYBB | -0.0000340 | 12271 | GTEx | DepMap | Descartes | 0.23 | 1.55 |
SLCO2B1 | -0.0000363 | 12541 | GTEx | DepMap | Descartes | 0.09 | 0.62 |
LGMN | -0.0000372 | 12638 | GTEx | DepMap | Descartes | 3.23 | 21.87 |
SFMBT2 | -0.0000374 | 12655 | GTEx | DepMap | Descartes | 0.01 | 0.00 |
FGD2 | -0.0000387 | 12780 | GTEx | DepMap | Descartes | 0.02 | 0.26 |
MSR1 | -0.0000446 | 13358 | GTEx | DepMap | Descartes | 0.18 | 0.78 |
Descartes Schwann markers
Top 50 marker genes of Schwann cells in the Decartes fetal adrenal single cell map (https://atlas.brotmanbaty.org/bbi/human-gene-expression-during-development/cell/schwann/in/adrenal)
Wilcoxon ranksum test P-value for gene set overrepresentation: 9.28e-01
Mean rank of genes in gene set: 11765.13
Median rank of genes in gene set: 14741
Rank on gene expression program of top 30 genes in gene set:
Genes | Weight | Rank | GTEx | DepMap | Descartes | Mean.Counts | Mean.TPM |
---|---|---|---|---|---|---|---|
COL5A2 | 0.0066896 | 24 | GTEx | DepMap | Descartes | 12.70 | 36.61 |
VCAN | 0.0025286 | 112 | GTEx | DepMap | Descartes | 2.42 | 8.44 |
SFRP1 | 0.0018505 | 167 | GTEx | DepMap | Descartes | 1.31 | 12.26 |
LAMA4 | 0.0018444 | 170 | GTEx | DepMap | Descartes | 1.51 | 3.88 |
LAMC1 | 0.0015996 | 205 | GTEx | DepMap | Descartes | 2.27 | 8.41 |
VIM | 0.0012745 | 266 | GTEx | DepMap | Descartes | 45.56 | 1928.16 |
LAMB1 | 0.0009331 | 365 | GTEx | DepMap | Descartes | 1.24 | 6.87 |
COL18A1 | 0.0005583 | 614 | GTEx | DepMap | Descartes | 4.58 | 16.68 |
PLCE1 | 0.0003216 | 994 | GTEx | DepMap | Descartes | 0.64 | 0.88 |
SOX5 | 0.0002497 | 1245 | GTEx | DepMap | Descartes | 0.20 | 0.09 |
MARCKS | 0.0002239 | 1347 | GTEx | DepMap | Descartes | 9.73 | 639.02 |
STARD13 | 0.0001901 | 1531 | GTEx | DepMap | Descartes | 0.35 | 0.78 |
PMP22 | 0.0001761 | 1642 | GTEx | DepMap | Descartes | 2.77 | 38.32 |
PAG1 | 0.0001196 | 2157 | GTEx | DepMap | Descartes | 0.14 | 0.36 |
EGFLAM | 0.0000052 | 5420 | GTEx | DepMap | Descartes | 0.18 | 0.53 |
OLFML2A | -0.0000121 | 9115 | GTEx | DepMap | Descartes | 0.77 | 12.86 |
IL1RAPL2 | -0.0000195 | 10459 | GTEx | DepMap | Descartes | 0.00 | 0.00 |
LRRTM4 | -0.0000260 | 11378 | GTEx | DepMap | Descartes | 0.01 | 0.00 |
KCTD12 | -0.0000296 | 11786 | GTEx | DepMap | Descartes | 0.88 | 63.65 |
HMGA2 | -0.0000306 | 11898 | GTEx | DepMap | Descartes | 0.01 | 0.01 |
NRXN3 | -0.0000376 | 12669 | GTEx | DepMap | Descartes | 0.03 | 0.01 |
FIGN | -0.0000400 | 12903 | GTEx | DepMap | Descartes | 0.16 | 0.52 |
ERBB4 | -0.0000411 | 13014 | GTEx | DepMap | Descartes | 0.00 | 0.00 |
TRPM3 | -0.0000606 | 14741 | GTEx | DepMap | Descartes | 0.04 | 0.01 |
MDGA2 | -0.0000620 | 14841 | GTEx | DepMap | Descartes | 0.01 | 0.00 |
SOX10 | -0.0000640 | 15024 | GTEx | DepMap | Descartes | 0.71 | 34.67 |
ERBB3 | -0.0000670 | 15253 | GTEx | DepMap | Descartes | 0.41 | 8.82 |
COL25A1 | -0.0000740 | 15749 | GTEx | DepMap | Descartes | 0.06 | 0.06 |
PTPRZ1 | -0.0000901 | 16791 | GTEx | DepMap | Descartes | 1.02 | 2.71 |
XKR4 | -0.0000991 | 17314 | GTEx | DepMap | Descartes | 0.06 | NA |
Descartes Megakaryocytes markers
Top 50 marker genes of Megakaryocytes cells in the Decartes fetal adrenal single cell map (https://atlas.brotmanbaty.org/bbi/human-gene-expression-during-development/cell/megakaryocytes/in/adrenal)
Wilcoxon ranksum test P-value for gene set overrepresentation: 6.51e-02
Mean rank of genes in gene set: 9169.33
Median rank of genes in gene set: 8181
Rank on gene expression program of top 30 genes in gene set:
Genes | Weight | Rank | GTEx | DepMap | Descartes | Mean.Counts | Mean.TPM |
---|---|---|---|---|---|---|---|
MYH9 | 0.0012014 | 280 | GTEx | DepMap | Descartes | 3.43 | 15.56 |
TPM4 | 0.0010097 | 337 | GTEx | DepMap | Descartes | 4.70 | 63.93 |
ACTN1 | 0.0007603 | 446 | GTEx | DepMap | Descartes | 2.15 | 7.20 |
TGFB1 | 0.0005636 | 607 | GTEx | DepMap | Descartes | 1.20 | 23.14 |
ITGB3 | 0.0005591 | 613 | GTEx | DepMap | Descartes | 0.28 | 1.67 |
FLNA | 0.0004630 | 729 | GTEx | DepMap | Descartes | 2.94 | 39.58 |
LIMS1 | 0.0003191 | 1001 | GTEx | DepMap | Descartes | 2.01 | 6.75 |
ZYX | 0.0003042 | 1051 | GTEx | DepMap | Descartes | 1.55 | 42.48 |
ANGPT1 | 0.0002672 | 1181 | GTEx | DepMap | Descartes | 0.13 | 0.19 |
TLN1 | 0.0002332 | 1313 | GTEx | DepMap | Descartes | 2.40 | 27.02 |
PDE3A | 0.0002053 | 1442 | GTEx | DepMap | Descartes | 1.47 | 2.02 |
ARHGAP6 | 0.0001540 | 1813 | GTEx | DepMap | Descartes | 0.23 | 0.22 |
VCL | 0.0001497 | 1842 | GTEx | DepMap | Descartes | 1.55 | 5.12 |
LTBP1 | 0.0001327 | 2014 | GTEx | DepMap | Descartes | 0.58 | 0.75 |
TMSB4X | 0.0001154 | 2197 | GTEx | DepMap | Descartes | 135.61 | 17390.95 |
STOM | 0.0000814 | 2689 | GTEx | DepMap | Descartes | 0.49 | 9.43 |
CD9 | 0.0000803 | 2721 | GTEx | DepMap | Descartes | 8.38 | 95.26 |
UBASH3B | 0.0000219 | 4393 | GTEx | DepMap | Descartes | 0.21 | 0.46 |
FLI1 | 0.0000036 | 5565 | GTEx | DepMap | Descartes | 0.12 | 0.35 |
P2RX1 | 0.0000036 | 5570 | GTEx | DepMap | Descartes | 0.04 | 1.15 |
MMRN1 | 0.0000036 | 5573 | GTEx | DepMap | Descartes | 0.00 | 0.00 |
TUBB1 | -0.0000009 | 6225 | GTEx | DepMap | Descartes | 0.00 | 0.00 |
GP1BA | -0.0000033 | 6766 | GTEx | DepMap | Descartes | 0.00 | 0.00 |
RAP1B | -0.0000050 | 7257 | GTEx | DepMap | Descartes | 2.06 | 22.61 |
GP9 | -0.0000083 | 8181 | GTEx | DepMap | Descartes | 0.00 | 0.00 |
SPN | -0.0000099 | 8578 | GTEx | DepMap | Descartes | 0.00 | 0.00 |
PPBP | -0.0000191 | 10398 | GTEx | DepMap | Descartes | 0.01 | 1.31 |
CD84 | -0.0000218 | 10792 | GTEx | DepMap | Descartes | 0.19 | 1.48 |
MCTP1 | -0.0000243 | 11166 | GTEx | DepMap | Descartes | 0.10 | 0.08 |
DOK6 | -0.0000245 | 11196 | GTEx | DepMap | Descartes | 0.03 | 0.01 |
Descartes Lyphoid markers
Top 50 marker genes of Lyphoid cells in the Decartes fetal adrenal single cell map (https://atlas.brotmanbaty.org/bbi/human-gene-expression-during-development/cell/lymphoid/in/adrenal)
Wilcoxon ranksum test P-value for gene set overrepresentation: 4.25e-01
Mean rank of genes in gene set: 10304.07
Median rank of genes in gene set: 10819.5
Rank on gene expression program of top 30 genes in gene set:
Genes | Weight | Rank | GTEx | DepMap | Descartes | Mean.Counts | Mean.TPM |
---|---|---|---|---|---|---|---|
MSN | 0.0004537 | 741 | GTEx | DepMap | Descartes | 3.89 | 19.21 |
B2M | 0.0003792 | 875 | GTEx | DepMap | Descartes | 10.72 | 637.09 |
CCND3 | 0.0002688 | 1169 | GTEx | DepMap | Descartes | 0.90 | 3.24 |
CD44 | 0.0001977 | 1486 | GTEx | DepMap | Descartes | 1.44 | 6.15 |
MBNL1 | 0.0001962 | 1492 | GTEx | DepMap | Descartes | 2.08 | 4.56 |
WIPF1 | 0.0001915 | 1518 | GTEx | DepMap | Descartes | 0.41 | 1.45 |
STK39 | 0.0001855 | 1573 | GTEx | DepMap | Descartes | 0.58 | 0.72 |
FOXP1 | 0.0001466 | 1869 | GTEx | DepMap | Descartes | 1.75 | 1.21 |
ABLIM1 | 0.0000961 | 2453 | GTEx | DepMap | Descartes | 0.41 | 0.55 |
PLEKHA2 | 0.0000637 | 3074 | GTEx | DepMap | Descartes | 0.25 | 1.45 |
ETS1 | 0.0000362 | 3829 | GTEx | DepMap | Descartes | 1.02 | 3.87 |
SP100 | 0.0000287 | 4103 | GTEx | DepMap | Descartes | 0.42 | 2.71 |
ITPKB | 0.0000218 | 4397 | GTEx | DepMap | Descartes | 0.44 | 1.81 |
CELF2 | 0.0000190 | 4536 | GTEx | DepMap | Descartes | 1.44 | 0.53 |
BCL2 | 0.0000137 | 4808 | GTEx | DepMap | Descartes | 0.42 | 1.16 |
SKAP1 | -0.0000003 | 6111 | GTEx | DepMap | Descartes | 0.02 | 0.01 |
NKG7 | -0.0000065 | 7705 | GTEx | DepMap | Descartes | 0.01 | 3.98 |
RCSD1 | -0.0000084 | 8226 | GTEx | DepMap | Descartes | 0.16 | 1.19 |
MCTP2 | -0.0000133 | 9367 | GTEx | DepMap | Descartes | 0.02 | 0.03 |
ANKRD44 | -0.0000197 | 10495 | GTEx | DepMap | Descartes | 0.25 | 0.30 |
IKZF1 | -0.0000212 | 10706 | GTEx | DepMap | Descartes | 0.03 | 0.13 |
CCL5 | -0.0000219 | 10806 | GTEx | DepMap | Descartes | 0.25 | 16.67 |
ARHGAP15 | -0.0000221 | 10833 | GTEx | DepMap | Descartes | 0.05 | 0.08 |
FAM65B | -0.0000230 | 10961 | GTEx | DepMap | Descartes | 0.02 | NA |
BACH2 | -0.0000413 | 13050 | GTEx | DepMap | Descartes | 0.13 | 0.17 |
SAMD3 | -0.0000483 | 13708 | GTEx | DepMap | Descartes | 0.00 | 0.00 |
PTPRC | -0.0000517 | 13964 | GTEx | DepMap | Descartes | 0.25 | 0.91 |
SCML4 | -0.0000527 | 14052 | GTEx | DepMap | Descartes | 0.04 | 0.11 |
SORL1 | -0.0000584 | 14562 | GTEx | DepMap | Descartes | 0.09 | 0.42 |
LCP1 | -0.0000601 | 14703 | GTEx | DepMap | Descartes | 0.42 | 1.45 |
Below shows the ranks on this GEP for immune marker gene lists curated by CellTypist (https://www.celltypist.org/encyclopedia).
High ranks indicate this gene is a driver of this GEP.
These curated gene list are ranked by P-value (on this GEP) of their constituent genes.
The Mean Count column shows the mean read count in cells scoring highly (H > 50) on this gene expression program.
Genes | Weight | Rank | GTEx | DepMap | Decartes | Mean.Counts | Mean.TPM |
---|---|---|---|---|---|---|---|
COL1A2 | 0.0118320 | 5 | GTEx | DepMap | Descartes | 65.10 | 564.85 |
COL1A1 | 0.0104599 | 6 | GTEx | DepMap | Descartes | 70.27 | 1369.05 |
DCN | 0.0002679 | 1177 | GTEx | DepMap | Descartes | 21.56 | 181.57 |
T cells: Tcm/Naive cytotoxic T cells (model markers)
CD8+ cytotoxic T lymphocytes mainly localized in secondary lymphoid tissues and sustaining the responses by proliferating and producing new effectors:
Wilcoxon ranksum test P-value for gene set overrepresentation: 6.66e-03
Mean rank of genes in gene set: 1834
Rank on gene expression program of genes in gene set:
Genes | Weight | Rank | GTEx | DepMap | Decartes | Mean.Counts | Mean.TPM |
---|---|---|---|---|---|---|---|
B2M | 0.0003792 | 875 | GTEx | DepMap | Descartes | 10.72 | 637.09 |
RPS2 | 0.0003263 | 982 | GTEx | DepMap | Descartes | 57.17 | 4245.04 |
CD8A | 0.0000419 | 3645 | GTEx | DepMap | Descartes | 0.01 | 0.37 |
Fibroblasts: Fibroblasts (model markers)
the most common cells of connective tissues which synthesize the extracellular matrix and collagen to maintain tissue homeostasis:
Wilcoxon ranksum test P-value for gene set overrepresentation: 2.13e-02
Mean rank of genes in gene set: 6388.44
Rank on gene expression program of genes in gene set:
Genes | Weight | Rank | GTEx | DepMap | Decartes | Mean.Counts | Mean.TPM |
---|---|---|---|---|---|---|---|
ANGPTL1 | 0.0076307 | 19 | GTEx | DepMap | Descartes | 0.63 | 6.82 |
PRRX1 | 0.0046281 | 52 | GTEx | DepMap | Descartes | 1.77 | 10.22 |
SFRP1 | 0.0018505 | 167 | GTEx | DepMap | Descartes | 1.31 | 12.26 |
EBF2 | 0.0005074 | 668 | GTEx | DepMap | Descartes | 0.35 | 0.74 |
OLFML1 | 0.0002055 | 1440 | GTEx | DepMap | Descartes | 0.04 | 0.57 |
SMOC2 | 0.0000517 | 3356 | GTEx | DepMap | Descartes | 0.34 | 1.05 |
F10 | -0.0000191 | 10406 | GTEx | DepMap | Descartes | 0.06 | 0.87 |
NTRK2 | -0.0002478 | 20463 | GTEx | DepMap | Descartes | 0.45 | 0.67 |
PDGFRA | -0.0007868 | 20925 | GTEx | DepMap | Descartes | 0.91 | 6.87 |