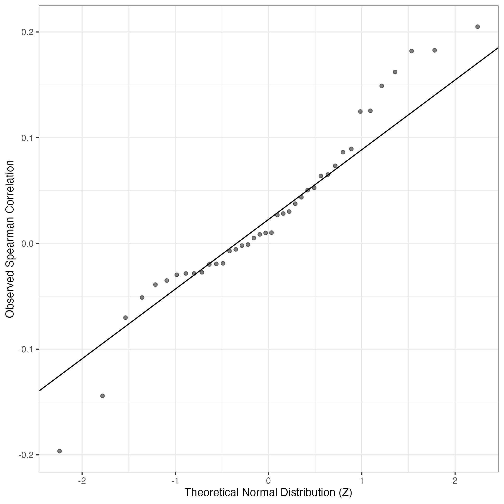
QQ-plot of gene loadings, averaged over both independent splits of the data
This plot highlights the relative contribution of each gene to the GEP
Top genes driving this program.
Note: Decartes website is buggy, try refreshing. Also, Decartes fetal adrenal data have been collected at specific time points (89-122 days), all possible cell types of interest may not be represented, do not overinterpret.
The Mean Count column shows the mean read count in cells scoring highly (H > 50) on this gene expression program.
Gene | Loading | Gene.Name | GTEx | DepMap | Descartes | Mean.Counts | Mean.Tpm | |
---|---|---|---|---|---|---|---|---|
1 | IL7R | 0.0114830 | interleukin 7 receptor | GTEx | DepMap | Descartes | 2.09 | 587.34 |
2 | CCR7 | 0.0110171 | C-C motif chemokine receptor 7 | GTEx | DepMap | Descartes | 1.27 | 769.18 |
3 | LEF1 | 0.0104926 | lymphoid enhancer binding factor 1 | GTEx | DepMap | Descartes | 0.92 | 331.50 |
4 | SELL | 0.0099912 | selectin L | GTEx | DepMap | Descartes | 1.83 | 986.21 |
5 | NOSIP | 0.0095109 | nitric oxide synthase interacting protein | GTEx | DepMap | Descartes | 1.40 | 653.29 |
6 | TOB1 | 0.0088592 | transducer of ERBB2, 1 | GTEx | DepMap | Descartes | 1.05 | 547.55 |
7 | LDHB | 0.0083196 | lactate dehydrogenase B | GTEx | DepMap | Descartes | 3.34 | 2447.83 |
8 | RPL13 | 0.0081941 | ribosomal protein L13 | GTEx | DepMap | Descartes | 43.10 | 11574.34 |
9 | PABPC1 | 0.0079492 | poly(A) binding protein cytoplasmic 1 | GTEx | DepMap | Descartes | 7.67 | 3269.84 |
10 | LEPROTL1 | 0.0077015 | leptin receptor overlapping transcript like 1 | GTEx | DepMap | Descartes | 1.48 | 582.50 |
11 | CD27 | 0.0077014 | CD27 molecule | GTEx | DepMap | Descartes | 1.01 | 845.35 |
12 | PASK | 0.0076757 | PAS domain containing serine/threonine kinase | GTEx | DepMap | Descartes | 0.36 | 90.54 |
13 | ZFP36L2 | 0.0074268 | ZFP36 ring finger protein like 2 | GTEx | DepMap | Descartes | 5.15 | 1693.41 |
14 | BCL11B | 0.0072562 | BAF chromatin remodeling complex subunit BCL11B | GTEx | DepMap | Descartes | 0.55 | 81.16 |
15 | KLF2 | 0.0070754 | Kruppel like factor 2 | GTEx | DepMap | Descartes | 1.69 | 793.46 |
16 | TSC22D3 | 0.0068385 | TSC22 domain family member 3 | GTEx | DepMap | Descartes | 3.52 | 1817.46 |
17 | SOCS1 | 0.0067651 | suppressor of cytokine signaling 1 | GTEx | DepMap | Descartes | 0.94 | 645.06 |
18 | TPT1 | 0.0067218 | tumor protein, translationally-controlled 1 | GTEx | DepMap | Descartes | 13.86 | 3240.67 |
19 | TCF7 | 0.0066161 | transcription factor 7 | GTEx | DepMap | Descartes | 0.60 | 134.90 |
20 | EEF1A1 | 0.0065867 | eukaryotic translation elongation factor 1 alpha 1 | GTEx | DepMap | Descartes | 39.68 | 10242.01 |
21 | CD3G | 0.0064721 | CD3 gamma subunit of T-cell receptor complex | GTEx | DepMap | Descartes | 1.37 | 592.04 |
22 | EEF1D | 0.0064466 | eukaryotic translation elongation factor 1 delta | GTEx | DepMap | Descartes | 5.31 | 1677.55 |
23 | PIK3IP1 | 0.0063057 | phosphoinositide-3-kinase interacting protein 1 | GTEx | DepMap | Descartes | 0.90 | 403.97 |
24 | RCAN3 | 0.0062876 | RCAN family member 3 | GTEx | DepMap | Descartes | 0.43 | 73.30 |
25 | JUNB | 0.0062810 | JunB proto-oncogene, AP-1 transcription factor subunit | GTEx | DepMap | Descartes | 9.75 | 6733.87 |
26 | GPR171 | 0.0062421 | G protein-coupled receptor 171 | GTEx | DepMap | Descartes | 0.54 | 336.54 |
27 | RGS1 | 0.0062048 | regulator of G protein signaling 1 | GTEx | DepMap | Descartes | 2.68 | 1053.18 |
28 | CAMK4 | 0.0060082 | calcium/calmodulin dependent protein kinase IV | GTEx | DepMap | Descartes | 0.54 | 60.68 |
29 | RGS10 | 0.0059913 | regulator of G protein signaling 10 | GTEx | DepMap | Descartes | 1.23 | 1374.99 |
30 | CYTIP | 0.0058491 | cytohesin 1 interacting protein | GTEx | DepMap | Descartes | 1.36 | 785.40 |
31 | TMEM123 | 0.0057818 | transmembrane protein 123 | GTEx | DepMap | Descartes | 1.03 | 344.69 |
32 | RPL18 | 0.0056889 | ribosomal protein L18 | GTEx | DepMap | Descartes | 12.69 | 3874.57 |
33 | OXNAD1 | 0.0054791 | oxidoreductase NAD binding domain containing 1 | GTEx | DepMap | Descartes | 0.47 | 145.89 |
34 | NBEAL1 | 0.0053736 | neurobeachin like 1 | GTEx | DepMap | Descartes | 6.14 | 638.10 |
35 | ITM2A | 0.0053546 | integral membrane protein 2A | GTEx | DepMap | Descartes | 1.21 | 765.13 |
36 | LYPD3 | 0.0053392 | LY6/PLAUR domain containing 3 | GTEx | DepMap | Descartes | 0.17 | 134.99 |
37 | GYPC | 0.0052238 | glycophorin C (Gerbich blood group) | GTEx | DepMap | Descartes | 1.50 | 960.80 |
38 | LDLRAP1 | 0.0051929 | low density lipoprotein receptor adaptor protein 1 | GTEx | DepMap | Descartes | 0.22 | 60.15 |
39 | RPSA | 0.0051324 | ribosomal protein SA | GTEx | DepMap | Descartes | 9.37 | 5080.80 |
40 | CD5 | 0.0051094 | CD5 molecule | GTEx | DepMap | Descartes | 0.24 | 79.12 |
41 | PTGER4 | 0.0050604 | prostaglandin E receptor 4 | GTEx | DepMap | Descartes | 0.65 | 220.59 |
42 | CXCR4 | 0.0050517 | C-X-C motif chemokine receptor 4 | GTEx | DepMap | Descartes | 4.79 | 2832.31 |
43 | RHOH | 0.0050293 | ras homolog family member H | GTEx | DepMap | Descartes | 1.05 | 295.97 |
44 | CLEC2D | 0.0048589 | C-type lectin domain family 2 member D | GTEx | DepMap | Descartes | 1.21 | 263.20 |
45 | SPOCK2 | 0.0048555 | SPARC (osteonectin), cwcv and kazal like domains proteoglycan 2 | GTEx | DepMap | Descartes | 0.59 | 130.39 |
46 | EIF3E | 0.0048449 | eukaryotic translation initiation factor 3 subunit E | GTEx | DepMap | Descartes | 2.36 | 1332.49 |
47 | LCK | 0.0047985 | LCK proto-oncogene, Src family tyrosine kinase | GTEx | DepMap | Descartes | 1.05 | 521.35 |
48 | KLF3 | 0.0047317 | Kruppel like factor 3 | GTEx | DepMap | Descartes | 0.57 | 131.95 |
49 | SERINC5 | 0.0047000 | serine incorporator 5 | GTEx | DepMap | Descartes | 0.30 | 60.14 |
50 | TNFRSF25 | 0.0046089 | TNF receptor superfamily member 25 | GTEx | DepMap | Descartes | 0.26 | 95.76 |
UMAP plots showing activity of gene expression program identified in GEP 37. Naive T Cells:
CNV Data procured from inferCNV.
Outer tracks are putative CNV regions (gains = red, losses = blue) for each patient
Inner track is expression data representing:
The top cells expressing this GEP (purple)
Random cells (n =50) from the reference set used in inferCNV (orange)
Gene set Enrichments for this program, caculated from top 50 genes
mSigDB Cell Types Gene Set:
P-value | OR | Lower 95% CI | FDR | FWER | Genes Found | Gene Set Size | |
---|---|---|---|---|---|---|---|
HAY_BONE_MARROW_NAIVE_T_CELL | 1.36e-58 | 213.79 | 94.19 | 9.14e-56 | 9.14e-56 | 43IL7R, CCR7, LEF1, NOSIP, TOB1, LDHB, RPL13, PABPC1, LEPROTL1, CD27, PASK, ZFP36L2, BCL11B, KLF2, TSC22D3, SOCS1, TPT1, TCF7, EEF1A1, CD3G, EEF1D, PIK3IP1, RCAN3, JUNB, GPR171, CAMK4, TMEM123, RPL18, OXNAD1, NBEAL1, ITM2A, LYPD3, LDLRAP1, RPSA, CD5, PTGER4, RHOH, CLEC2D, SPOCK2, EIF3E, LCK, SERINC5, TNFRSF25 |
403 |
FAN_EMBRYONIC_CTX_BRAIN_NAIVE_LIKE_T_CELL | 2.99e-39 | 111.98 | 59.96 | 1.00e-36 | 2.01e-36 | 27IL7R, CCR7, LEF1, SELL, NOSIP, TOB1, LDHB, LEPROTL1, CD27, TSC22D3, TCF7, CD3G, EEF1D, PIK3IP1, RCAN3, GPR171, CAMK4, CYTIP, TMEM123, OXNAD1, LDLRAP1, CD5, CXCR4, RHOH, CLEC2D, LCK, SERINC5 |
158 |
TRAVAGLINI_LUNG_CD4_NAIVE_T_CELL | 2.32e-29 | 81.41 | 42.75 | 5.19e-27 | 1.56e-26 | 21IL7R, CCR7, LEF1, SELL, NOSIP, LDHB, RPL13, CD27, PASK, BCL11B, TCF7, EEF1A1, PIK3IP1, RCAN3, RPL18, OXNAD1, LDLRAP1, SPOCK2, LCK, SERINC5, TNFRSF25 |
132 |
AIZARANI_LIVER_C28_NK_NKT_CELLS_6 | 1.51e-20 | 63.64 | 31.09 | 1.27e-18 | 1.02e-17 | 15IL7R, LEF1, LEPROTL1, ZFP36L2, BCL11B, TSC22D3, TCF7, RCAN3, JUNB, GPR171, RGS1, CYTIP, PTGER4, CXCR4, SPOCK2 |
99 |
AIZARANI_LIVER_C3_NK_NKT_CELLS_2 | 1.31e-25 | 58.65 | 30.76 | 2.19e-23 | 8.76e-23 | 20IL7R, RPL13, ZFP36L2, BCL11B, TSC22D3, TCF7, CD3G, PIK3IP1, JUNB, GPR171, CAMK4, CYTIP, RPL18, RPSA, PTGER4, CXCR4, RHOH, CLEC2D, SPOCK2, LCK |
162 |
CUI_DEVELOPING_HEART_C9_B_T_CELL | 3.11e-24 | 56.31 | 29.26 | 3.48e-22 | 2.09e-21 | 19IL7R, LEF1, SELL, PABPC1, LEPROTL1, ZFP36L2, TSC22D3, TCF7, CD3G, PIK3IP1, JUNB, RGS1, CYTIP, PTGER4, CXCR4, RHOH, CLEC2D, SPOCK2, LCK |
155 |
RUBENSTEIN_SKELETAL_MUSCLE_T_CELLS | 1.27e-24 | 51.72 | 27.25 | 1.71e-22 | 8.55e-22 | 20IL7R, SELL, NOSIP, LDHB, RPL13, PABPC1, LEPROTL1, ZFP36L2, TSC22D3, TPT1, EEF1A1, CD3G, EEF1D, JUNB, TMEM123, RPL18, RPSA, CXCR4, EIF3E, LCK |
181 |
TRAVAGLINI_LUNG_CD4_MEMORY_EFFECTOR_T_CELL | 2.50e-15 | 58.60 | 25.84 | 1.68e-13 | 1.68e-12 | 11IL7R, LEF1, LDHB, BCL11B, RCAN3, TMEM123, CD5, CLEC2D, SPOCK2, LCK, TNFRSF25 |
71 |
DURANTE_ADULT_OLFACTORY_NEUROEPITHELIUM_CD8_T_CELLS | 3.45e-15 | 56.72 | 25.03 | 2.10e-13 | 2.31e-12 | 11IL7R, LEPROTL1, ZFP36L2, TSC22D3, CD3G, RGS1, CYTIP, PTGER4, CXCR4, CLEC2D, LCK |
73 |
DESCARTES_FETAL_STOMACH_LYMPHOID_CELLS | 6.29e-13 | 43.32 | 18.60 | 3.52e-11 | 4.22e-10 | 10IL7R, CCR7, LEF1, SELL, CD27, BCL11B, TCF7, CD3G, CD5, LCK |
82 |
DURANTE_ADULT_OLFACTORY_NEUROEPITHELIUM_CD4_T_CELLS | 1.07e-07 | 55.36 | 15.85 | 2.87e-06 | 7.17e-05 | 5IL7R, TSC22D3, CD3G, CXCR4, CLEC2D |
30 |
DESCARTES_FETAL_PANCREAS_LYMPHOID_CELLS | 1.13e-12 | 25.94 | 12.10 | 5.81e-11 | 7.55e-10 | 12CCR7, LEF1, CD27, PASK, BCL11B, TCF7, CD3G, GPR171, OXNAD1, CD5, RHOH, LCK |
164 |
BUSSLINGER_DUODENAL_IMMUNE_CELLS | 6.26e-23 | 21.37 | 11.69 | 6.00e-21 | 4.20e-20 | 30IL7R, LDHB, RPL13, LEPROTL1, ZFP36L2, BCL11B, TSC22D3, TPT1, TCF7, EEF1A1, CD3G, EEF1D, PIK3IP1, JUNB, GPR171, RGS1, RGS10, CYTIP, TMEM123, RPL18, OXNAD1, ITM2A, GYPC, CD5, PTGER4, CXCR4, RHOH, CLEC2D, SPOCK2, LCK |
909 |
FAN_OVARY_CL12_T_LYMPHOCYTE_NK_CELL_2 | 2.33e-11 | 23.49 | 10.64 | 1.12e-09 | 1.56e-08 | 11IL7R, PABPC1, LEPROTL1, ZFP36L2, TSC22D3, TPT1, CYTIP, ITM2A, CXCR4, CLEC2D, SPOCK2 |
161 |
DESCARTES_FETAL_ADRENAL_LYMPHOID_CELLS | 2.66e-11 | 23.19 | 10.50 | 1.19e-09 | 1.79e-08 | 11IL7R, CCR7, SELL, CD27, TCF7, CD3G, GPR171, CYTIP, CD5, RHOH, LCK |
163 |
FAN_EMBRYONIC_CTX_BIG_GROUPS_BRAIN_IMMUNE | 2.35e-10 | 22.64 | 9.89 | 8.76e-09 | 1.58e-07 | 10SELL, ZFP36L2, KLF2, TSC22D3, EEF1D, JUNB, CYTIP, RHOH, CLEC2D, LCK |
148 |
RUBENSTEIN_SKELETAL_MUSCLE_B_CELLS | 6.44e-11 | 21.23 | 9.63 | 2.54e-09 | 4.32e-08 | 11SELL, RPL13, PABPC1, TSC22D3, EEF1A1, EEF1D, JUNB, RPL18, RPSA, CXCR4, RHOH |
177 |
AIZARANI_LIVER_C1_NK_NKT_CELLS_1 | 4.18e-10 | 21.24 | 9.30 | 1.34e-08 | 2.81e-07 | 10ZFP36L2, BCL11B, CD3G, PIK3IP1, RGS1, CYTIP, RPSA, CXCR4, CLEC2D, LCK |
157 |
DESCARTES_FETAL_LUNG_LYMPHOID_CELLS | 4.18e-10 | 21.24 | 9.30 | 1.34e-08 | 2.81e-07 | 10IL7R, CCR7, LEF1, CD27, TCF7, CD3G, GPR171, CD5, RHOH, LCK |
157 |
DESCARTES_FETAL_HEART_LYMPHOID_CELLS | 9.97e-09 | 23.32 | 9.23 | 3.04e-07 | 6.69e-06 | 8CCR7, SELL, CD27, TCF7, CD3G, GPR171, CD5, LCK |
110 |
Dowload full table
mSigDB Hallmark Gene Sets:
P-value | OR | Lower 95% CI | FDR | FWER | Genes Found | Gene Set Size | |
---|---|---|---|---|---|---|---|
HALLMARK_INFLAMMATORY_RESPONSE | 1.24e-04 | 8.78 | 3.02 | 6.18e-03 | 6.18e-03 | 6IL7R, CCR7, SELL, RGS1, PTGER4, LCK |
200 |
HALLMARK_PI3K_AKT_MTOR_SIGNALING | 8.20e-03 | 7.82 | 1.53 | 1.03e-01 | 4.10e-01 | 3CAMK4, CXCR4, LCK |
105 |
HALLMARK_WNT_BETA_CATENIN_SIGNALING | 1.20e-02 | 13.01 | 1.48 | 1.20e-01 | 6.01e-01 | 2LEF1, TCF7 |
42 |
HALLMARK_TNFA_SIGNALING_VIA_NFKB | 7.71e-03 | 5.55 | 1.44 | 1.03e-01 | 3.85e-01 | 4IL7R, KLF2, JUNB, PTGER4 |
200 |
HALLMARK_P53_PATHWAY | 7.71e-03 | 5.55 | 1.44 | 1.03e-01 | 3.85e-01 | 4TOB1, LDHB, SOCS1, RPL18 |
200 |
HALLMARK_IL2_STAT5_SIGNALING | 4.30e-02 | 4.07 | 0.80 | 2.72e-01 | 1.00e+00 | 3SELL, SOCS1, RHOH |
199 |
HALLMARK_ALLOGRAFT_REJECTION | 4.35e-02 | 4.05 | 0.80 | 2.72e-01 | 1.00e+00 | 3SOCS1, CD3G, LCK |
200 |
HALLMARK_KRAS_SIGNALING_UP | 4.35e-02 | 4.05 | 0.80 | 2.72e-01 | 1.00e+00 | 3IL7R, GYPC, CXCR4 |
200 |
HALLMARK_ESTROGEN_RESPONSE_EARLY | 1.85e-01 | 2.63 | 0.31 | 6.45e-01 | 1.00e+00 | 2TOB1, BCL11B |
200 |
HALLMARK_COMPLEMENT | 1.85e-01 | 2.63 | 0.31 | 6.45e-01 | 1.00e+00 | 2SPOCK2, LCK |
200 |
HALLMARK_MYC_TARGETS_V1 | 1.85e-01 | 2.63 | 0.31 | 6.45e-01 | 1.00e+00 | 2PABPC1, RPL18 |
200 |
HALLMARK_HEME_METABOLISM | 1.85e-01 | 2.63 | 0.31 | 6.45e-01 | 1.00e+00 | 2GYPC, KLF3 |
200 |
HALLMARK_APICAL_SURFACE | 1.61e-01 | 5.93 | 0.14 | 6.45e-01 | 1.00e+00 | 1LYPD3 |
44 |
HALLMARK_REACTIVE_OXYGEN_SPECIES_PATHWAY | 1.77e-01 | 5.31 | 0.13 | 6.45e-01 | 1.00e+00 | 1JUNB |
49 |
HALLMARK_TGF_BETA_SIGNALING | 1.94e-01 | 4.81 | 0.12 | 6.45e-01 | 1.00e+00 | 1JUNB |
54 |
HALLMARK_IL6_JAK_STAT3_SIGNALING | 2.93e-01 | 2.97 | 0.07 | 8.82e-01 | 1.00e+00 | 1SOCS1 |
87 |
HALLMARK_INTERFERON_ALPHA_RESPONSE | 3.20e-01 | 2.66 | 0.07 | 8.82e-01 | 1.00e+00 | 1SELL |
97 |
HALLMARK_PEROXISOME | 3.39e-01 | 2.48 | 0.06 | 8.82e-01 | 1.00e+00 | 1PABPC1 |
104 |
HALLMARK_BILE_ACID_METABOLISM | 3.59e-01 | 2.30 | 0.06 | 8.82e-01 | 1.00e+00 | 1LCK |
112 |
HALLMARK_SPERMATOGENESIS | 4.15e-01 | 1.90 | 0.05 | 8.82e-01 | 1.00e+00 | 1CAMK4 |
135 |
Dowload full table
KEGG Pathways:
P-value | OR | Lower 95% CI | FDR | FWER | Genes Found | Gene Set Size | |
---|---|---|---|---|---|---|---|
KEGG_THYROID_CANCER | 5.87e-03 | 19.27 | 2.16 | 2.73e-01 | 1.00e+00 | 2LEF1, TCF7 |
29 |
KEGG_HEMATOPOIETIC_CELL_LINEAGE | 4.89e-03 | 9.50 | 1.85 | 2.73e-01 | 9.10e-01 | 3IL7R, CD3G, CD5 |
87 |
KEGG_RIBOSOME | 5.05e-03 | 9.38 | 1.83 | 2.73e-01 | 9.39e-01 | 3RPL13, RPL18, RPSA |
88 |
KEGG_PRIMARY_IMMUNODEFICIENCY | 8.47e-03 | 15.77 | 1.78 | 3.15e-01 | 1.00e+00 | 2IL7R, LCK |
35 |
KEGG_CYTOKINE_CYTOKINE_RECEPTOR_INTERACTION | 3.61e-03 | 5.34 | 1.64 | 2.73e-01 | 6.72e-01 | 5IL7R, CCR7, CD27, CXCR4, TNFRSF25 |
265 |
KEGG_ENDOMETRIAL_CANCER | 1.80e-02 | 10.41 | 1.19 | 4.98e-01 | 1.00e+00 | 2LEF1, TCF7 |
52 |
KEGG_BASAL_CELL_CARCINOMA | 2.00e-02 | 9.82 | 1.13 | 4.98e-01 | 1.00e+00 | 2LEF1, TCF7 |
55 |
KEGG_ACUTE_MYELOID_LEUKEMIA | 2.14e-02 | 9.46 | 1.09 | 4.98e-01 | 1.00e+00 | 2LEF1, TCF7 |
57 |
KEGG_COLORECTAL_CANCER | 2.50e-02 | 8.68 | 1.00 | 5.18e-01 | 1.00e+00 | 2LEF1, TCF7 |
62 |
KEGG_ADHERENS_JUNCTION | 3.38e-02 | 7.33 | 0.85 | 5.86e-01 | 1.00e+00 | 2LEF1, TCF7 |
73 |
KEGG_ARRHYTHMOGENIC_RIGHT_VENTRICULAR_CARDIOMYOPATHY_ARVC | 3.47e-02 | 7.23 | 0.84 | 5.86e-01 | 1.00e+00 | 2LEF1, TCF7 |
74 |
KEGG_PROSTATE_CANCER | 4.83e-02 | 5.98 | 0.69 | 7.49e-01 | 1.00e+00 | 2LEF1, TCF7 |
89 |
KEGG_MELANOGENESIS | 6.04e-02 | 5.26 | 0.61 | 8.64e-01 | 1.00e+00 | 2LEF1, TCF7 |
101 |
KEGG_T_CELL_RECEPTOR_SIGNALING_PATHWAY | 6.78e-02 | 4.91 | 0.57 | 9.01e-01 | 1.00e+00 | 2CD3G, LCK |
108 |
KEGG_LEUKOCYTE_TRANSENDOTHELIAL_MIGRATION | 7.67e-02 | 4.57 | 0.53 | 9.51e-01 | 1.00e+00 | 2CXCR4, RHOH |
116 |
KEGG_WNT_SIGNALING_PATHWAY | 1.19e-01 | 3.50 | 0.41 | 1.00e+00 | 1.00e+00 | 2LEF1, TCF7 |
151 |
KEGG_JAK_STAT_SIGNALING_PATHWAY | 1.24e-01 | 3.40 | 0.40 | 1.00e+00 | 1.00e+00 | 2IL7R, SOCS1 |
155 |
KEGG_ENDOCYTOSIS | 1.59e-01 | 2.91 | 0.34 | 1.00e+00 | 1.00e+00 | 2LDLRAP1, CXCR4 |
181 |
KEGG_CHEMOKINE_SIGNALING_PATHWAY | 1.70e-01 | 2.79 | 0.33 | 1.00e+00 | 1.00e+00 | 2CCR7, CXCR4 |
189 |
KEGG_PROPANOATE_METABOLISM | 1.23e-01 | 7.97 | 0.19 | 1.00e+00 | 1.00e+00 | 1LDHB |
33 |
Dowload full table
CHR Positional Gene Sets:
P-value | OR | Lower 95% CI | FDR | FWER | Genes Found | Gene Set Size | |
---|---|---|---|---|---|---|---|
chr4p14 | 2.66e-02 | 8.40 | 0.97 | 1.00e+00 | 1.00e+00 | 2RHOH, KLF3 |
64 |
chr5p13 | 9.06e-02 | 4.13 | 0.48 | 1.00e+00 | 1.00e+00 | 2IL7R, PTGER4 |
128 |
chr1p36 | 7.38e-01 | 1.22 | 0.24 | 1.00e+00 | 1.00e+00 | 3RCAN3, LDLRAP1, TNFRSF25 |
656 |
chr12p13 | 3.72e-01 | 1.57 | 0.18 | 1.00e+00 | 1.00e+00 | 2CD27, CLEC2D |
333 |
chr8q23 | 1.61e-01 | 5.93 | 0.14 | 1.00e+00 | 1.00e+00 | 1EIF3E |
44 |
chr19q13 | 7.98e-01 | 0.69 | 0.14 | 1.00e+00 | 1.00e+00 | 3NOSIP, RPL18, LYPD3 |
1165 |
chr17q21 | 6.95e-01 | 1.14 | 0.13 | 1.00e+00 | 1.00e+00 | 2CCR7, TOB1 |
457 |
chr5q22 | 1.97e-01 | 4.72 | 0.12 | 1.00e+00 | 1.00e+00 | 1CAMK4 |
55 |
chr6q13 | 2.00e-01 | 4.64 | 0.11 | 1.00e+00 | 1.00e+00 | 1EEF1A1 |
56 |
chr8p12 | 2.34e-01 | 3.86 | 0.09 | 1.00e+00 | 1.00e+00 | 1LEPROTL1 |
67 |
chr2q22 | 2.37e-01 | 3.81 | 0.09 | 1.00e+00 | 1.00e+00 | 1CXCR4 |
68 |
chr1q31 | 2.46e-01 | 3.64 | 0.09 | 1.00e+00 | 1.00e+00 | 1RGS1 |
71 |
chr19p13 | 1.00e+00 | 0.68 | 0.08 | 1.00e+00 | 1.00e+00 | 2KLF2, JUNB |
773 |
chr2p21 | 2.73e-01 | 3.23 | 0.08 | 1.00e+00 | 1.00e+00 | 1ZFP36L2 |
80 |
chr4q25 | 2.93e-01 | 2.97 | 0.07 | 1.00e+00 | 1.00e+00 | 1LEF1 |
87 |
chr11q22 | 3.23e-01 | 2.63 | 0.06 | 1.00e+00 | 1.00e+00 | 1TMEM123 |
98 |
chr12p12 | 3.46e-01 | 2.41 | 0.06 | 1.00e+00 | 1.00e+00 | 1LDHB |
107 |
chr1q24 | 3.87e-01 | 2.09 | 0.05 | 1.00e+00 | 1.00e+00 | 1SELL |
123 |
chr2q24 | 3.91e-01 | 2.06 | 0.05 | 1.00e+00 | 1.00e+00 | 1CYTIP |
125 |
chr1p35 | 4.03e-01 | 1.98 | 0.05 | 1.00e+00 | 1.00e+00 | 1LCK |
130 |
Dowload full table
Transcription Factor Targets:
P-value | OR | Lower 95% CI | FDR | FWER | Genes Found | Gene Set Size | |
---|---|---|---|---|---|---|---|
CRGAARNNNNCGA_UNKNOWN | 8.97e-04 | 17.71 | 3.40 | 1.27e-01 | 1.00e+00 | 3LEF1, BCL11B, TPT1 |
48 |
TATA_01 | 5.64e-05 | 8.17 | 3.07 | 3.19e-02 | 6.39e-02 | 7ZFP36L2, KLF2, TSC22D3, TCF7, EEF1A1, RGS1, CXCR4 |
256 |
GTF2A2_TARGET_GENES | 2.30e-05 | 6.11 | 2.71 | 2.61e-02 | 2.61e-02 | 10NOSIP, TOB1, RPL13, PABPC1, SOCS1, EEF1A1, EEF1D, JUNB, RPL18, RPSA |
522 |
PSMB5_TARGET_GENES | 1.71e-04 | 6.78 | 2.55 | 6.46e-02 | 1.94e-01 | 7TOB1, PABPC1, ZFP36L2, KLF2, EEF1A1, JUNB, RPSA |
307 |
WHN_B | 5.06e-04 | 6.68 | 2.31 | 9.58e-02 | 5.73e-01 | 6LEF1, TOB1, KLF2, TSC22D3, JUNB, CAMK4 |
261 |
RACCACAR_AML_Q6 | 5.80e-04 | 6.51 | 2.25 | 9.58e-02 | 6.58e-01 | 6IL7R, TCF7, GPR171, RGS1, CYTIP, LCK |
268 |
AML_Q6 | 5.92e-04 | 6.48 | 2.24 | 9.58e-02 | 6.70e-01 | 6IL7R, TSC22D3, TCF7, RGS1, CYTIP, LCK |
269 |
PAX3_B | 5.54e-03 | 9.06 | 1.77 | 4.09e-01 | 1.00e+00 | 3BCL11B, KLF2, JUNB |
91 |
WGTTNNNNNAAA_UNKNOWN | 1.09e-03 | 4.36 | 1.76 | 1.37e-01 | 1.00e+00 | 8CCR7, LEPROTL1, RGS1, CYTIP, GYPC, RPSA, CXCR4, KLF3 |
554 |
RTAAACA_FREAC2_01 | 5.25e-04 | 3.81 | 1.75 | 9.58e-02 | 5.95e-01 | 11TOB1, ZFP36L2, BCL11B, TSC22D3, SOCS1, TCF7, PIK3IP1, JUNB, RGS1, SPOCK2, KLF3 |
938 |
NGFIC_01 | 3.07e-03 | 5.56 | 1.71 | 3.22e-01 | 1.00e+00 | 5LEF1, PABPC1, BCL11B, PIK3IP1, KLF3 |
255 |
T3R_Q6 | 3.12e-03 | 5.53 | 1.70 | 3.22e-01 | 1.00e+00 | 5TOB1, LDHB, TCF7, JUNB, LDLRAP1 |
256 |
COREBINDINGFACTOR_Q6 | 4.28e-03 | 5.13 | 1.58 | 4.04e-01 | 1.00e+00 | 5IL7R, TSC22D3, GPR171, RGS1, CYTIP |
276 |
KAT5_TARGET_GENES | 5.77e-03 | 3.05 | 1.30 | 4.09e-01 | 1.00e+00 | 9NOSIP, LDHB, RPL13, PABPC1, ZFP36L2, EEF1A1, JUNB, RPSA, EIF3E |
910 |
AP4_Q6 | 1.15e-02 | 4.92 | 1.27 | 6.83e-01 | 1.00e+00 | 4BCL11B, TCF7, SPOCK2, LCK |
225 |
HBZ_TARGET_GENES | 7.89e-03 | 3.09 | 1.25 | 5.26e-01 | 1.00e+00 | 8CCR7, PABPC1, TCF7, GPR171, CYTIP, PTGER4, RHOH, CLEC2D |
778 |
SQSTM1_TARGET_GENES | 1.74e-02 | 10.62 | 1.22 | 7.84e-01 | 1.00e+00 | 2EEF1A1, EEF1D |
51 |
PAX4_02 | 1.44e-02 | 4.59 | 1.19 | 7.84e-01 | 1.00e+00 | 4TOB1, PABPC1, ZFP36L2, TSC22D3 |
241 |
ZMYND11_TARGET_GENES | 1.87e-02 | 10.20 | 1.17 | 7.84e-01 | 1.00e+00 | 2RPL13, EEF1D |
53 |
SP3_Q3 | 1.60e-02 | 4.44 | 1.15 | 7.84e-01 | 1.00e+00 | 4TOB1, LDHB, PABPC1, JUNB |
249 |
Dowload full table
GO Biological Processes:
P-value | OR | Lower 95% CI | FDR | FWER | Genes Found | Gene Set Size | |
---|---|---|---|---|---|---|---|
GOBP_SOMATIC_DIVERSIFICATION_OF_T_CELL_RECEPTOR_GENES | 5.91e-07 | 389.79 | 44.11 | 4.42e-04 | 4.42e-03 | 3LEF1, BCL11B, TCF7 |
5 |
GOBP_V_D_J_RECOMBINATION | 3.20e-05 | 61.17 | 10.83 | 9.58e-03 | 2.40e-01 | 3LEF1, BCL11B, TCF7 |
16 |
GOBP_REGULATION_OF_NUCLEAR_TRANSCRIBED_MRNA_CATABOLIC_PROCESS_DEADENYLATION_DEPENDENT_DECAY | 3.88e-05 | 56.82 | 10.14 | 1.12e-02 | 2.90e-01 | 3TOB1, PABPC1, ZFP36L2 |
17 |
GOBP_T_CELL_DIFFERENTIATION | 6.75e-12 | 18.85 | 9.07 | 5.05e-08 | 5.05e-08 | 13IL7R, CCR7, LEF1, CD27, ZFP36L2, BCL11B, SOCS1, TCF7, CD3G, CAMK4, PTGER4, RHOH, LCK |
246 |
GOBP_T_CELL_DIFFERENTIATION_IN_THYMUS | 3.95e-07 | 25.39 | 8.56 | 3.37e-04 | 2.95e-03 | 6IL7R, CCR7, ZFP36L2, BCL11B, CD3G, CAMK4 |
73 |
GOBP_NEGATIVE_REGULATION_OF_T_CELL_APOPTOTIC_PROCESS | 6.44e-05 | 46.77 | 8.51 | 1.61e-02 | 4.82e-01 | 3IL7R, CD27, TSC22D3 |
20 |
GOBP_REGULATION_OF_GAMMA_DELTA_T_CELL_DIFFERENTIATION | 5.49e-04 | 74.10 | 7.33 | 9.79e-02 | 1.00e+00 | 2LEF1, TCF7 |
9 |
GOBP_NEGATIVE_REGULATION_OF_LEUKOCYTE_APOPTOTIC_PROCESS | 3.17e-05 | 25.85 | 6.47 | 9.58e-03 | 2.37e-01 | 4IL7R, CCR7, CD27, TSC22D3 |
46 |
GOBP_MONONUCLEAR_CELL_DIFFERENTIATION | 2.77e-10 | 12.25 | 6.05 | 1.03e-06 | 2.07e-06 | 14IL7R, CCR7, LEF1, CD27, ZFP36L2, BCL11B, SOCS1, TCF7, CD3G, CAMK4, ITM2A, PTGER4, RHOH, LCK |
411 |
GOBP_REGULATION_OF_GAMMA_DELTA_T_CELL_ACTIVATION | 8.35e-04 | 57.69 | 5.91 | 1.42e-01 | 1.00e+00 | 2LEF1, TCF7 |
11 |
GOBP_REGULATION_OF_LYMPHOCYTE_DIFFERENTIATION | 3.58e-07 | 14.26 | 5.69 | 3.37e-04 | 2.68e-03 | 8IL7R, LEF1, CD27, ZFP36L2, SOCS1, TCF7, CAMK4, RHOH |
175 |
GOBP_REGULATION_OF_LEUKOCYTE_APOPTOTIC_PROCESS | 1.52e-05 | 18.50 | 5.58 | 6.01e-03 | 1.14e-01 | 5IL7R, CCR7, CD27, TSC22D3, CD3G |
80 |
GOBP_REGULATION_OF_LYMPHOCYTE_APOPTOTIC_PROCESS | 5.99e-05 | 21.71 | 5.47 | 1.55e-02 | 4.48e-01 | 4IL7R, CD27, TSC22D3, CD3G |
54 |
GOBP_REGULATION_OF_T_CELL_DIFFERENTIATION | 1.52e-06 | 14.64 | 5.46 | 1.03e-03 | 1.14e-02 | 7IL7R, LEF1, CD27, SOCS1, TCF7, CAMK4, RHOH |
146 |
GOBP_GAMMA_DELTA_T_CELL_DIFFERENTIATION | 9.99e-04 | 51.89 | 5.39 | 1.53e-01 | 1.00e+00 | 2LEF1, TCF7 |
12 |
GOBP_NEGATIVE_REGULATION_OF_LYMPHOCYTE_APOPTOTIC_PROCESS | 2.46e-04 | 28.45 | 5.35 | 4.96e-02 | 1.00e+00 | 3IL7R, CD27, TSC22D3 |
31 |
GOBP_LEUKOCYTE_DIFFERENTIATION | 5.73e-10 | 10.51 | 5.30 | 1.43e-06 | 4.29e-06 | 15IL7R, CCR7, LEF1, CD27, ZFP36L2, BCL11B, SOCS1, TCF7, CD3G, JUNB, CAMK4, ITM2A, PTGER4, RHOH, LCK |
525 |
GOBP_T_CELL_ACTIVATION | 1.67e-09 | 10.57 | 5.23 | 3.12e-06 | 1.25e-05 | 14IL7R, CCR7, LEF1, CD27, ZFP36L2, BCL11B, SOCS1, TCF7, CD3G, CAMK4, CD5, PTGER4, RHOH, LCK |
474 |
GOBP_REGULATION_OF_T_CELL_APOPTOTIC_PROCESS | 3.24e-04 | 25.71 | 4.86 | 6.38e-02 | 1.00e+00 | 3IL7R, CD27, TSC22D3 |
34 |
GOBP_POSITIVE_REGULATION_OF_T_CELL_RECEPTOR_SIGNALING_PATHWAY | 1.37e-03 | 43.30 | 4.59 | 1.93e-01 | 1.00e+00 | 2CCR7, LCK |
14 |
Dowload full table
Immunological Gene Sets:
P-value | OR | Lower 95% CI | FDR | FWER | Genes Found | Gene Set Size | |
---|---|---|---|---|---|---|---|
GSE10325_LUPUS_CD4_TCELL_VS_LUPUS_BCELL_UP | 3.95e-22 | 42.54 | 22.26 | 1.92e-18 | 1.92e-18 | 19IL7R, LEF1, NOSIP, LDHB, LEPROTL1, BCL11B, TCF7, CD3G, PIK3IP1, GPR171, CAMK4, RGS10, ITM2A, LDLRAP1, CD5, SPOCK2, LCK, SERINC5, TNFRSF25 |
199 |
GSE22886_NAIVE_CD4_TCELL_VS_DC_UP | 1.35e-20 | 39.26 | 20.35 | 1.98e-17 | 6.59e-17 | 18CCR7, LEF1, NOSIP, LEPROTL1, CD27, PASK, BCL11B, TSC22D3, TCF7, CD3G, PIK3IP1, CAMK4, GYPC, CD5, CLEC2D, SPOCK2, EIF3E, TNFRSF25 |
197 |
GSE22886_NAIVE_TCELL_VS_NKCELL_UP | 1.48e-20 | 39.05 | 20.23 | 1.98e-17 | 7.22e-17 | 18IL7R, CCR7, LEF1, NOSIP, TOB1, LDHB, PABPC1, LEPROTL1, CD27, PASK, BCL11B, CD3G, RGS10, ITM2A, LDLRAP1, CD5, RHOH, EIF3E |
198 |
GSE10325_LUPUS_CD4_TCELL_VS_LUPUS_MYELOID_UP | 1.62e-20 | 38.83 | 20.12 | 1.98e-17 | 7.91e-17 | 18LEF1, NOSIP, LDHB, CD27, PASK, BCL11B, TCF7, CD3G, PIK3IP1, GPR171, ITM2A, LDLRAP1, RPSA, RHOH, CLEC2D, SPOCK2, LCK, TNFRSF25 |
199 |
GSE10325_CD4_TCELL_VS_BCELL_UP | 1.93e-17 | 32.30 | 16.34 | 1.57e-14 | 9.41e-14 | 16LEF1, NOSIP, TOB1, LDHB, LEPROTL1, BCL11B, CD3G, PIK3IP1, RCAN3, RGS10, TMEM123, ITM2A, LDLRAP1, LCK, SERINC5, TNFRSF25 |
198 |
GSE22886_CD4_TCELL_VS_BCELL_NAIVE_UP | 1.93e-17 | 32.30 | 16.34 | 1.57e-14 | 9.41e-14 | 16IL7R, LEF1, NOSIP, TOB1, LEPROTL1, CD27, BCL11B, CD3G, CAMK4, RGS10, ITM2A, GYPC, LDLRAP1, CD5, SPOCK2, SERINC5 |
198 |
GSE22886_NAIVE_CD4_TCELL_VS_MONOCYTE_UP | 5.62e-16 | 29.42 | 14.66 | 3.91e-13 | 2.74e-12 | 15LEF1, NOSIP, CD27, PASK, BCL11B, CD3G, GPR171, CAMK4, ITM2A, GYPC, LDLRAP1, CD5, CLEC2D, SPOCK2, LCK |
197 |
GSE10325_CD4_TCELL_VS_MYELOID_UP | 6.53e-16 | 29.09 | 14.50 | 3.98e-13 | 3.18e-12 | 15LEF1, NOSIP, LDHB, LEPROTL1, BCL11B, TCF7, CD3G, PIK3IP1, GPR171, ITM2A, LDLRAP1, CLEC2D, SPOCK2, LCK, TNFRSF25 |
199 |
GSE36476_CTRL_VS_TSST_ACT_40H_MEMORY_CD4_TCELL_YOUNG_UP | 1.61e-14 | 26.55 | 13.00 | 8.18e-12 | 7.83e-11 | 14LEF1, TOB1, LEPROTL1, ZFP36L2, KLF2, TSC22D3, TPT1, EEF1D, PIK3IP1, TMEM123, LYPD3, PTGER4, CXCR4, SERINC5 |
197 |
GSE36476_CTRL_VS_TSST_ACT_72H_MEMORY_CD4_TCELL_YOUNG_UP | 1.72e-14 | 26.41 | 12.93 | 8.18e-12 | 8.39e-11 | 14IL7R, TOB1, LEPROTL1, ZFP36L2, KLF2, TSC22D3, PIK3IP1, JUNB, TMEM123, LYPD3, PTGER4, CXCR4, KLF3, SERINC5 |
198 |
GSE22886_TCELL_VS_BCELL_NAIVE_UP | 1.85e-14 | 26.27 | 12.86 | 8.18e-12 | 8.99e-11 | 14IL7R, LEF1, NOSIP, TOB1, LDHB, LEPROTL1, CD27, BCL11B, CD3G, RGS10, ITM2A, GYPC, SPOCK2, LCK |
199 |
GSE22886_NAIVE_TCELL_VS_MONOCYTE_UP | 4.43e-13 | 23.72 | 11.38 | 1.53e-10 | 2.16e-09 | 13LEF1, NOSIP, CD27, PASK, BCL11B, CD3G, PIK3IP1, GYPC, LDLRAP1, CD5, CLEC2D, SPOCK2, LCK |
198 |
GSE24634_NAIVE_CD4_TCELL_VS_DAY3_IL4_CONV_TREG_UP | 4.43e-13 | 23.72 | 11.38 | 1.53e-10 | 2.16e-09 | 13LEF1, TOB1, LEPROTL1, ZFP36L2, BCL11B, TSC22D3, TCF7, PIK3IP1, ITM2A, GYPC, PTGER4, CXCR4, SERINC5 |
198 |
GSE22886_NAIVE_TCELL_VS_DC_UP | 4.72e-13 | 23.60 | 11.32 | 1.53e-10 | 2.30e-09 | 13CCR7, LEF1, SELL, BCL11B, KLF2, TSC22D3, TCF7, CD3G, EEF1D, PIK3IP1, GYPC, RHOH, CLEC2D |
199 |
GSE22886_NAIVE_CD8_TCELL_VS_MONOCYTE_UP | 4.72e-13 | 23.60 | 11.32 | 1.53e-10 | 2.30e-09 | 13LEF1, NOSIP, CD27, PASK, BCL11B, CD3G, GPR171, ITM2A, LDLRAP1, CD5, CLEC2D, SPOCK2, LCK |
199 |
GSE22886_NAIVE_CD8_TCELL_VS_NKCELL_UP | 1.02e-11 | 21.21 | 9.93 | 2.94e-09 | 4.98e-08 | 12IL7R, CCR7, LEF1, NOSIP, LDHB, CD27, PASK, CD3G, CAMK4, RGS10, LDLRAP1, CD5 |
198 |
GSE22886_NAIVE_CD8_TCELL_VS_DC_UP | 1.08e-11 | 21.10 | 9.88 | 2.94e-09 | 5.29e-08 | 12NOSIP, LEPROTL1, PASK, BCL11B, TSC22D3, TCF7, GPR171, ITM2A, GYPC, CD5, CLEC2D, EIF3E |
199 |
GSE26156_DOUBLE_POSITIVE_VS_CD4_SINGLE_POSITIVE_THYMOCYTE_UP | 1.08e-11 | 21.10 | 9.88 | 2.94e-09 | 5.29e-08 | 12IL7R, CCR7, RPL13, LEPROTL1, ZFP36L2, TSC22D3, TPT1, TCF7, PIK3IP1, JUNB, RGS1, RGS10 |
199 |
GSE13547_WT_VS_ZFX_KO_BCELL_ANTI_IGM_STIM_2H_DN | 5.03e-10 | 20.82 | 9.11 | 9.79e-08 | 2.45e-06 | 10IL7R, CCR7, TOB1, RPL13, KLF2, TSC22D3, TCF7, PIK3IP1, ITM2A, CXCR4 |
160 |
GSE16450_IMMATURE_VS_MATURE_NEURON_CELL_LINE_UP | 1.71e-10 | 19.26 | 8.76 | 4.38e-08 | 8.31e-07 | 11IL7R, LEPROTL1, ZFP36L2, BCL11B, KLF2, TSC22D3, PIK3IP1, CXCR4, SPOCK2, KLF3, SERINC5 |
194 |
Top Ranked Transcription Factors for this Gene Expression Program:
Gene Symbol | TF Rank | DNA Binding Domain | Motif Status | IUPAC PWM | GTEx | DepMap | Decartes |
---|---|---|---|---|---|---|---|
LEF1 | 3 | Yes | Known motif | Monomer or homomultimer | High-throughput in vitro | None | None |
ZFP36L2 | 13 | No | ssDNA/RNA binding | Not a DNA binding protein | No motif | None | RNA-binding protein (PMID: 20506496). |
BCL11B | 14 | Yes | Known motif | Monomer or homomultimer | High-throughput in vitro | None | None |
KLF2 | 15 | Yes | Known motif | Monomer or homomultimer | High-throughput in vitro | None | None |
TSC22D3 | 16 | No | Unlikely to be sequence specific TF | Not a DNA binding protein | No motif | None | There is some evidence that a related protein (TSC22D1) binds DNA specifically - thus, it is possible this is also a TF. |
TCF7 | 19 | Yes | Known motif | Monomer or homomultimer | High-throughput in vitro | None | None |
JUNB | 25 | Yes | Known motif | Monomer or homomultimer | High-throughput in vitro | None | Prefers forming heterodimers with FOS; FOSB; FOSL1 and FOSL2 over homodimers (PMID:12805554); but, clearly can bind DNA specifically in vitro. |
KLF3 | 48 | Yes | Known motif | Monomer or homomultimer | High-throughput in vitro | None | None |
SATB1 | 58 | Yes | Known motif | Low specificity DNA-binding protein | In vivo/Misc source | Only known motifs are from Transfac or HocoMoco - origin is uncertain | SATBs were analyzed by Gwenael Badis and Mike Berger a decade ago; by PBMs. It did not yield a motif; instead; the signal was very closely proportional to nucleotide content, as the name suggests (Special AT Binding). |
TNFAIP3 | 64 | No | Unlikely to be sequence specific TF | Not a DNA binding protein | No motif | None | Inhibits NFKB-activation. No evidence for direct binding to DNA |
PRMT2 | 74 | No | Unlikely to be sequence specific TF | Not a DNA binding protein | No motif | None | None |
GADD45A | 75 | No | Unlikely to be sequence specific TF | Not a DNA binding protein | No motif | None | Doesnt have any DBDs - likely a co-factor |
ETS1 | 76 | Yes | Known motif | Monomer or homomultimer | High-throughput in vitro | None | None |
IKZF1 | 79 | Yes | Known motif | Monomer or homomultimer | In vivo/Misc source | Only known motifs are from Transfac or HocoMoco - origin is uncertain | None |
TXK | 82 | No | Unlikely to be sequence specific TF | Not a DNA binding protein | No motif | None | Experimental evidence for DNA-binding was performed with nuclear extract - thus, the apparent specific-binding of TXK could be due to indirect binding (PMID: 11859127). In addition a whitepaper suggests that this interaction could not be replicated (Miskimins, Beth) |
ZC3HAV1 | 83 | No | ssDNA/RNA binding | Not a DNA binding protein | No motif | None | RNA-binding protein (PMID: 22658674; PMID: 22681889). |
CYLD | 90 | No | Unlikely to be sequence specific TF | Not a DNA binding protein | No motif | None | None |
RNF125 | 92 | No | Unlikely to be sequence specific TF | Not a DNA binding protein | No motif | None | Protein is a ubiguitin ligase |
MLLT3 | 93 | No | Unlikely to be sequence specific TF | Not a DNA binding protein | No motif | None | Transcription elongation factor [PMID: 20159561; PMID: 20471948] |
DDX5 | 106 | No | Unlikely to be sequence specific TF | Not a DNA binding protein | No motif | None | Transcriptional cofactor (PMID: 15298701) |
QQ Plot showing correlations with other GEPs in this dataset, calculated by Spearman correlation:
Interactive QQ-plot of gene loadings:
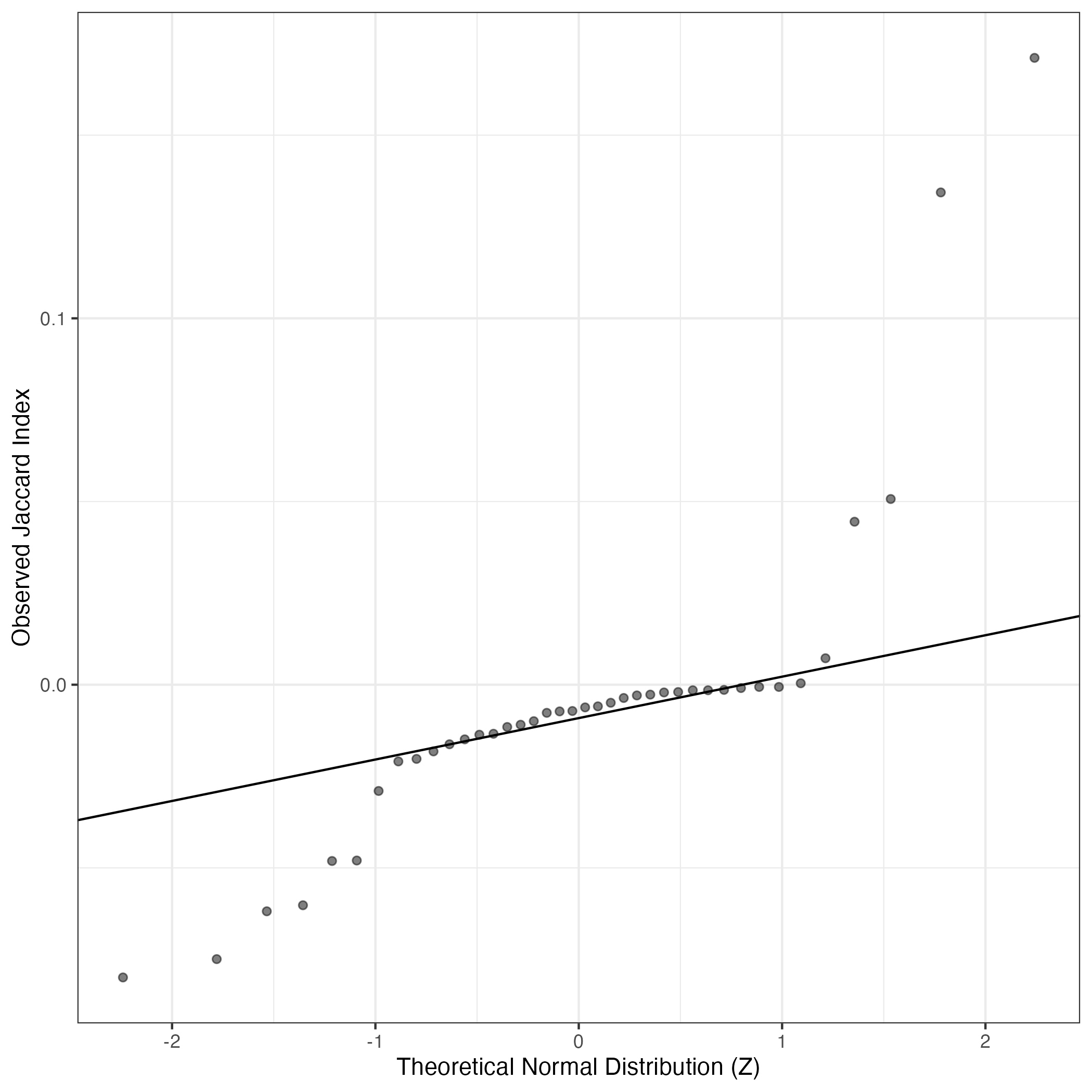
A similar QQ-plot as above, but only for instances where the H value is e.g. > 25, i.e. we are confident that the expression program is active above noise. Agreemenet between these binary vectors is tested using the Jaccard Index, with the P-values calculated by an exact test:
Interactive QQ-plot:
Singler cell type annotations for the top 50 cells on this program.
Cell ID | Singler label | Singler Delta | Activity Score | Top Singler Raw Scores |
---|---|---|---|---|
STDY8004894_GCGAGAAGTATGAATG | T_cell:CD8+_effector_memory | 0.10 | 369.58 | Raw ScoresT_cell:CD4+_central_memory: 0.38, T_cell:CD4+_effector_memory: 0.37, NK_cell: 0.37, T_cell:CD8+: 0.37, T_cell:CD4+: 0.37, T_cell:CD4+_Naive: 0.37, T_cell:CD8+_effector_memory: 0.36, NK_cell:CD56hiCD62L+: 0.36, Pre-B_cell_CD34-: 0.36, NK_cell:IL2: 0.35 |
STDY8004894_ATCACGAAGCGCTCCA | T_cell:CD4+_central_memory | 0.12 | 364.13 | Raw ScoresT_cell:gamma-delta: 0.42, T_cell:CD4+_central_memory: 0.41, T_cell:CD4+_effector_memory: 0.4, T_cell:effector: 0.4, T_cell:CCR10-CLA+1,25(OH)2_vit_D3/IL-12: 0.4, Pro-B_cell_CD34+: 0.4, NK_cell:IL2: 0.4, T_cell:CCR10+CLA+1,25(OH)2_vit_D3/IL-12: 0.39, NK_cell: 0.39, T_cell:CD4+: 0.39 |
STDY7685340_CAGCATACATTACCTT | T_cell:CD4+_central_memory | 0.13 | 359.91 | Raw ScoresT_cell:CD4+_central_memory: 0.37, T_cell:CD4+_Naive: 0.37, T_cell:CD4+_effector_memory: 0.37, T_cell:CD4+: 0.37, T_cell:CD8+: 0.36, T_cell:CD8+_effector_memory: 0.35, NK_cell: 0.34, T_cell:gamma-delta: 0.34, T_cell:Treg:Naive: 0.34, T_cell:CD8+_naive: 0.34 |
STDY7685341_GTTTCTACATCCTTGC | T_cell:CD4+_central_memory | 0.15 | 340.99 | Raw ScoresT_cell:CD4+_central_memory: 0.36, T_cell:CD4+_effector_memory: 0.36, T_cell:CD4+_Naive: 0.35, T_cell:CD8+: 0.35, T_cell:CD4+: 0.35, NK_cell: 0.34, T_cell:CD8+_effector_memory: 0.34, NK_cell:IL2: 0.33, NK_cell:CD56hiCD62L+: 0.33, T_cell:CD8+_naive: 0.33 |
STDY8004894_ATCGAGTCAGCATACT | T_cell:CD8+_effector_memory | 0.08 | 340.32 | Raw ScoresT_cell:CD4+_central_memory: 0.35, T_cell:CD4+_Naive: 0.35, T_cell:CD4+_effector_memory: 0.35, T_cell:CD4+: 0.34, T_cell:CD8+: 0.34, NK_cell: 0.34, NK_cell:CD56hiCD62L+: 0.33, T_cell:gamma-delta: 0.33, NK_cell:IL2: 0.33, T_cell:CD8+_effector_memory: 0.33 |
STDY7685341_CCACTACTCTCCAACC | T_cell:CD4+_central_memory | 0.15 | 325.68 | Raw ScoresT_cell:CD4+_central_memory: 0.34, T_cell:CD4+_effector_memory: 0.34, T_cell:CD4+_Naive: 0.34, T_cell:CD4+: 0.33, T_cell:CD8+: 0.32, T_cell:Treg:Naive: 0.31, NK_cell: 0.3, T_cell:CD8+effector_memory: 0.3, HSC-G-CSF: 0.3, T_cell:effector: 0.3 |
STDY7685342_CATTCGCTCCTCAATT | T_cell:CD4+_central_memory | 0.16 | 313.59 | Raw ScoresT_cell:CD4+_central_memory: 0.45, T_cell:CD4+_effector_memory: 0.44, T_cell:gamma-delta: 0.44, T_cell:CD4+: 0.44, T_cell:CD4+_Naive: 0.43, T_cell:CD8+: 0.43, NK_cell:IL2: 0.43, NK_cell: 0.42, T_cell:Treg:Naive: 0.41, T_cell:CD8+_effector_memory: 0.41 |
STDY8004894_AACTGGTTCACATAGC | T_cell:CD8+_effector_memory | 0.10 | 313.19 | Raw ScoresT_cell:CD4+_Naive: 0.33, T_cell:CD8+: 0.33, T_cell:CD4+_central_memory: 0.33, T_cell:CD4+: 0.33, T_cell:CD4+_effector_memory: 0.33, NK_cell:CD56hiCD62L+: 0.32, NK_cell: 0.32, T_cell:CD8+_effector_memory: 0.31, NK_cell:IL2: 0.31, T_cell:CD8+_effector_memory_RA: 0.31 |
STDY7685342_ATCCGAAGTACCGAGA | T_cell:CD4+_central_memory | 0.14 | 312.08 | Raw ScoresT_cell:gamma-delta: 0.41, T_cell:CD4+_central_memory: 0.39, T_cell:effector: 0.39, T_cell:CCR10-CLA+1,25(OH)2_vit_D3/IL-12: 0.39, T_cell:CCR10+CLA+1,25(OH)2_vit_D3/IL-12: 0.39, NK_cell:IL2: 0.38, NK_cell: 0.38, T_cell:CD4+_effector_memory: 0.38, T_cell:CD8+: 0.38, T_cell:CD4+_Naive: 0.38 |
STDY8004894_GTACTCCGTGGTGTAG | T_cell:CD4+_Naive | 0.10 | 308.71 | Raw ScoresT_cell:CD4+_central_memory: 0.37, T_cell:CD4+_Naive: 0.37, T_cell:CD4+_effector_memory: 0.37, T_cell:CD4+: 0.36, T_cell:CD8+: 0.35, NK_cell: 0.35, Pre-B_cell_CD34-: 0.35, T_cell:CD8+_effector_memory: 0.35, NK_cell:CD56hiCD62L+: 0.35, T_cell:gamma-delta: 0.35 |
STDY7685341_ACACCCTTCGGCGCTA | T_cell:CD4+_central_memory | 0.12 | 306.65 | Raw ScoresT_cell:CD4+_central_memory: 0.36, T_cell:CD4+_effector_memory: 0.36, T_cell:CD4+: 0.36, NK_cell: 0.35, T_cell:CD8+: 0.35, T_cell:CD4+_Naive: 0.35, T_cell:CD8+_effector_memory: 0.35, NK_cell:CD56hiCD62L+: 0.35, NK_cell:IL2: 0.34, Pre-B_cell_CD34-: 0.34 |
STDY8004894_CCATGTCCACCAACCG | T_cell:CD8+_effector_memory | 0.08 | 306.64 | Raw ScoresT_cell:gamma-delta: 0.39, NK_cell:IL2: 0.38, T_cell:CD4+_central_memory: 0.38, NK_cell: 0.38, T_cell:CD4+_effector_memory: 0.38, T_cell:effector: 0.37, Pre-B_cell_CD34-: 0.37, T_cell:CD4+_Naive: 0.37, T_cell:CD8+: 0.37, T_cell:CD4+: 0.36 |
STDY8004894_TGGACGCAGGAATTAC | T_cell:CD4+_central_memory | 0.11 | 290.82 | Raw ScoresT_cell:CD4+_central_memory: 0.34, T_cell:CD4+: 0.34, T_cell:CD4+_Naive: 0.34, T_cell:CD4+_effector_memory: 0.34, T_cell:CD8+: 0.33, T_cell:CD8+_effector_memory: 0.33, NK_cell: 0.33, T_cell:CD8+_naive: 0.32, Pre-B_cell_CD34-: 0.32, NK_cell:CD56hiCD62L+: 0.32 |
STDY7685341_TCTTCGGAGACGCACA | T_cell:CD8+ | 0.12 | 287.40 | Raw ScoresT_cell:CD4+_central_memory: 0.32, T_cell:CD4+: 0.32, T_cell:CD4+_effector_memory: 0.32, T_cell:CD8+: 0.32, T_cell:CD4+_Naive: 0.32, T_cell:CD8+_effector_memory: 0.31, NK_cell: 0.3, NK_cell:CD56hiCD62L+: 0.3, NK_cell:IL2: 0.3, T_cell:CD8+_naive: 0.3 |
STDY7685341_TGGTTCCAGGACACCA | NK_cell:CD56hiCD62L+ | 0.14 | 284.89 | Raw ScoresNK_cell: 0.41, NK_cell:CD56hiCD62L+: 0.4, T_cell:CD8+: 0.4, T_cell:CD4+: 0.39, NK_cell:IL2: 0.39, T_cell:CD4+_central_memory: 0.39, T_cell:CD4+_effector_memory: 0.39, T_cell:CD8+_effector_memory: 0.38, T_cell:CD8+_Central_memory: 0.38, Pre-B_cell_CD34-: 0.38 |
STDY7685342_CTGGTCTCAATTCCTT | T_cell:gamma-delta | 0.21 | 278.16 | Raw ScoresT_cell:gamma-delta: 0.55, NK_cell:IL2: 0.52, T_cell:CCR10-CLA+1,25(OH)2_vit_D3/IL-12: 0.51, T_cell:effector: 0.5, T_cell:CD4+_central_memory: 0.5, T_cell:CCR10+CLA+1,25(OH)2_vit_D3/IL-12: 0.5, T_cell:CD4+_effector_memory: 0.5, NK_cell: 0.5, T_cell:CD8+: 0.5, T_cell:CD4+: 0.49 |
STDY8004894_CGATGTAAGCCACGCT | T_cell:CD8+_effector_memory | 0.08 | 277.09 | Raw ScoresT_cell:CD4+_Naive: 0.34, T_cell:CD4+_central_memory: 0.34, T_cell:CD4+_effector_memory: 0.33, T_cell:CD4+: 0.33, T_cell:CD8+: 0.33, NK_cell: 0.33, NK_cell:IL2: 0.32, NK_cell:CD56hiCD62L+: 0.32, T_cell:CD8+_effector_memory: 0.32, T_cell:gamma-delta: 0.32 |
STDY8004894_GACCTGGGTTCAGCGC | T_cell:CD4+_central_memory | 0.12 | 275.28 | Raw ScoresT_cell:CD4+_central_memory: 0.39, T_cell:CD4+_effector_memory: 0.39, T_cell:CD4+: 0.38, T_cell:CD4+_Naive: 0.38, T_cell:CD8+: 0.37, NK_cell: 0.37, T_cell:gamma-delta: 0.37, Pre-B_cell_CD34-: 0.36, NK_cell:IL2: 0.36, T_cell:CD8+_effector_memory: 0.36 |
STDY7685340_CTACATTTCGAGCCCA | T_cell:CD8+_effector_memory | 0.13 | 273.93 | Raw ScoresT_cell:CD4+_central_memory: 0.34, T_cell:CD4+_Naive: 0.34, T_cell:CD4+_effector_memory: 0.33, T_cell:CD8+_effector_memory: 0.33, T_cell:CD8+: 0.33, T_cell:CD4+: 0.33, NK_cell: 0.33, NK_cell:IL2: 0.32, T_cell:CD8+_naive: 0.32, NK_cell:CD56hiCD62L+: 0.31 |
STDY7685340_TGAGGGAAGCTGAACG | T_cell:CD4+_central_memory | 0.09 | 273.37 | Raw ScoresT_cell:CD4+_central_memory: 0.32, T_cell:CD8+_effector_memory: 0.32, T_cell:CD4+_Naive: 0.32, NK_cell: 0.32, T_cell:CD4+_effector_memory: 0.32, T_cell:CD4+: 0.32, T_cell:CD8+: 0.32, T_cell:CD8+_naive: 0.31, T_cell:CD8+_Central_memory: 0.31, NK_cell:IL2: 0.31 |
STDY7733084_TGTTCCGCATGAGCGA | T_cell:CD4+_Naive | 0.15 | 270.77 | Raw ScoresT_cell:CD4+_central_memory: 0.4, T_cell:CD4+_effector_memory: 0.39, T_cell:CD4+_Naive: 0.39, T_cell:CD4+: 0.38, T_cell:CD8+: 0.38, NK_cell: 0.37, NK_cell:IL2: 0.36, T_cell:CD8+_effector_memory: 0.36, T_cell:Treg:Naive: 0.35, NK_cell:CD56hiCD62L+: 0.35 |
STDY8004894_ACATACGCATGTAGTC | T_cell:CD4+_central_memory | 0.11 | 270.16 | Raw ScoresT_cell:CD4+_central_memory: 0.36, T_cell:CD4+_effector_memory: 0.36, T_cell:CD4+_Naive: 0.35, T_cell:CD4+: 0.35, T_cell:CD8+: 0.34, NK_cell: 0.34, T_cell:CD8+_effector_memory: 0.34, T_cell:CD8+_naive: 0.33, T_cell:CD8+_Central_memory: 0.33, NK_cell:IL2: 0.33 |
STDY8004894_CCATTCGAGGTTCCTA | T_cell:CD8+ | 0.10 | 264.94 | Raw ScoresT_cell:CD4+_central_memory: 0.34, T_cell:CD4+_Naive: 0.33, T_cell:CD8+: 0.33, T_cell:CD4+_effector_memory: 0.33, T_cell:CD4+: 0.33, NK_cell: 0.33, T_cell:CD8+_effector_memory: 0.32, NK_cell:CD56hiCD62L+: 0.32, NK_cell:IL2: 0.31, T_cell:CD8+_naive: 0.31 |
STDY8004894_CCTACACGTGATAAAC | T_cell:CD4+_central_memory | 0.10 | 263.60 | Raw ScoresT_cell:CD4+_central_memory: 0.36, T_cell:CD4+_Naive: 0.35, T_cell:CD4+_effector_memory: 0.35, T_cell:CD4+: 0.35, NK_cell: 0.34, NK_cell:CD56hiCD62L+: 0.34, T_cell:CD8+_effector_memory: 0.34, T_cell:CD8+: 0.34, NK_cell:IL2: 0.33, T_cell:CD8+_naive: 0.33 |
STDY7685341_GCACATAAGATCACGG | T_cell:CD8+ | 0.11 | 259.65 | Raw ScoresT_cell:CD4+_central_memory: 0.35, T_cell:CD4+_effector_memory: 0.35, T_cell:CD4+: 0.35, T_cell:CD8+: 0.35, T_cell:CD4+_Naive: 0.35, NK_cell: 0.34, NK_cell:CD56hiCD62L+: 0.34, T_cell:CD8+_effector_memory: 0.33, Pre-B_cell_CD34-: 0.33, T_cell:gamma-delta: 0.33 |
STDY8004894_CGTAGCGCAAGTTCTG | T_cell:CD4+_central_memory | 0.10 | 259.06 | Raw ScoresT_cell:CD4+: 0.32, T_cell:CD4+_central_memory: 0.32, T_cell:CD8+: 0.31, T_cell:CD4+_Naive: 0.31, T_cell:CD4+_effector_memory: 0.31, NK_cell: 0.3, T_cell:CD8+effector_memory: 0.3, Pre-B_cell_CD34-: 0.29, NK_cell:IL2: 0.29, HSC-G-CSF: 0.29 |
STDY7685342_AACTCAGTCGGCTACG | T_cell:CD4+_central_memory | 0.11 | 258.76 | Raw ScoresT_cell:CD4+_central_memory: 0.32, T_cell:CD4+_effector_memory: 0.32, T_cell:CD8+_effector_memory: 0.32, T_cell:CD4+: 0.32, T_cell:CD4+_Naive: 0.32, T_cell:CD8+_naive: 0.31, NK_cell: 0.31, T_cell:CD8+: 0.31, T_cell:CD8+_Central_memory: 0.31, NK_cell:CD56hiCD62L+: 0.3 |
STDY8004894_CGCGGTATCATGTCCC | T_cell:CD4+_central_memory | 0.11 | 258.30 | Raw ScoresT_cell:CD4+_central_memory: 0.37, T_cell:CD4+_effector_memory: 0.37, T_cell:CD4+_Naive: 0.37, T_cell:CD4+: 0.36, T_cell:CD8+_effector_memory: 0.36, T_cell:CD8+: 0.35, NK_cell: 0.35, T_cell:gamma-delta: 0.35, T_cell:CD8+_naive: 0.34, NK_cell:CD56hiCD62L+: 0.34 |
STDY8004894_CTGAAACTCTTCATGT | T_cell:CD4+_central_memory | 0.12 | 254.55 | Raw ScoresT_cell:CD4+_central_memory: 0.37, T_cell:CD4+_effector_memory: 0.37, T_cell:CD4+: 0.36, T_cell:CD4+_Naive: 0.36, T_cell:CD8+: 0.35, NK_cell: 0.35, T_cell:CD8+_effector_memory: 0.34, T_cell:gamma-delta: 0.34, NK_cell:IL2: 0.34, Pre-B_cell_CD34-: 0.33 |
STDY7685341_TGAGCATGTACCATCA | T_cell:CD4+_central_memory | 0.11 | 251.72 | Raw ScoresT_cell:CD4+_central_memory: 0.35, T_cell:CD4+_Naive: 0.35, T_cell:CD4+_effector_memory: 0.35, T_cell:CD8+: 0.34, T_cell:CD4+: 0.34, NK_cell: 0.34, NK_cell:CD56hiCD62L+: 0.34, T_cell:CD8+_effector_memory: 0.34, NK_cell:IL2: 0.33, T_cell:CD8+_naive: 0.32 |
STDY7685341_CAAGATCCATCTACGA | T_cell:CD4+ | 0.11 | 250.94 | Raw ScoresT_cell:CD4+: 0.33, T_cell:CD4+_Naive: 0.33, T_cell:CD4+_central_memory: 0.33, T_cell:CD8+: 0.33, T_cell:CD4+_effector_memory: 0.32, T_cell:CD8+effector_memory: 0.31, NK_cell: 0.31, NK_cell:CD56hiCD62L+: 0.31, NK_cell:IL2: 0.3, HSC-G-CSF: 0.3 |
STDY7685341_GGACAGATCAGCCTAA | T_cell:CD4+_effector_memory | 0.15 | 247.30 | Raw ScoresT_cell:CD4+_central_memory: 0.45, T_cell:CD4+_effector_memory: 0.45, T_cell:gamma-delta: 0.44, T_cell:CD4+: 0.43, T_cell:CD8+: 0.43, T_cell:CD4+_Naive: 0.42, NK_cell:IL2: 0.42, NK_cell: 0.42, T_cell:Treg:Naive: 0.41, Pre-B_cell_CD34-: 0.4 |
STDY7685341_GTTAAGCGTACCGGCT | T_cell:CD8+_effector_memory | 0.11 | 244.79 | Raw ScoresT_cell:CD4+_central_memory: 0.36, T_cell:CD4+_Naive: 0.36, T_cell:CD4+_effector_memory: 0.35, T_cell:CD8+: 0.35, NK_cell: 0.34, T_cell:CD4+: 0.34, T_cell:CD8+_effector_memory: 0.34, NK_cell:IL2: 0.34, T_cell:gamma-delta: 0.33, T_cell:CD8+_naive: 0.33 |
STDY7685340_TTTACTGTCCCACTTG | T_cell:CD4+_central_memory | 0.12 | 239.00 | Raw ScoresT_cell:CD4+_central_memory: 0.33, T_cell:CD4+_Naive: 0.33, T_cell:CD4+_effector_memory: 0.33, T_cell:CD4+: 0.32, T_cell:CD8+_effector_memory: 0.32, T_cell:CD8+: 0.32, NK_cell: 0.3, T_cell:CD8+_naive: 0.3, T_cell:CD8+_Central_memory: 0.3, T_cell:CD8+_effector_memory_RA: 0.3 |
STDY7685342_GGACATTTCACCACCT | T_cell:CD4+_central_memory | 0.11 | 238.84 | Raw ScoresT_cell:CD4+_central_memory: 0.31, T_cell:CD4+_Naive: 0.31, T_cell:CD4+_effector_memory: 0.3, T_cell:CD8+: 0.3, T_cell:CD8+_effector_memory: 0.3, T_cell:CD4+: 0.3, NK_cell: 0.29, T_cell:CD8+_naive: 0.28, NK_cell:CD56hiCD62L+: 0.28, NK_cell:IL2: 0.28 |
STDY7685341_ATTATCCGTCTCCACT | T_cell:CD4+ | 0.11 | 238.15 | Raw ScoresT_cell:CD4+_Naive: 0.34, T_cell:CD4+_central_memory: 0.34, T_cell:CD8+: 0.34, T_cell:CD4+: 0.34, T_cell:CD4+_effector_memory: 0.33, NK_cell: 0.33, T_cell:CD8+_effector_memory: 0.33, NK_cell:CD56hiCD62L+: 0.32, Pre-B_cell_CD34-: 0.31, T_cell:CD8+_naive: 0.31 |
STDY7685341_GTCTTCGTCTTCATGT | T_cell:CD8+_effector_memory | 0.11 | 236.11 | Raw ScoresT_cell:CD8+_effector_memory: 0.32, T_cell:CD8+: 0.32, NK_cell: 0.32, T_cell:CD4+: 0.32, T_cell:CD4+_central_memory: 0.31, T_cell:CD8+_naive: 0.31, T_cell:CD4+_effector_memory: 0.31, NK_cell:CD56hiCD62L+: 0.31, T_cell:CD8+_Central_memory: 0.31, T_cell:CD4+_Naive: 0.31 |
STDY8004894_GGACAGACAACACGCC | T_cell:CD8+_effector_memory | 0.10 | 235.97 | Raw ScoresT_cell:CD4+_central_memory: 0.36, T_cell:CD4+_effector_memory: 0.35, NK_cell: 0.35, NK_cell:CD56hiCD62L+: 0.35, T_cell:CD4+_Naive: 0.34, T_cell:CD8+_effector_memory: 0.34, T_cell:gamma-delta: 0.34, T_cell:CD4+: 0.34, T_cell:CD8+: 0.34, NK_cell:IL2: 0.34 |
STDY8004894_AGTGTCATCGGCATCG | T_cell:CD8+_effector_memory | 0.08 | 235.21 | Raw ScoresT_cell:CD4+_central_memory: 0.32, T_cell:CD4+_effector_memory: 0.31, NK_cell: 0.31, T_cell:CD4+: 0.31, NK_cell:CD56hiCD62L+: 0.31, T_cell:CD8+_effector_memory: 0.31, T_cell:CD8+_Central_memory: 0.31, T_cell:CD4+_Naive: 0.31, T_cell:CD8+: 0.3, T_cell:CD8+_naive: 0.3 |
STDY7685342_AGGGATGGTGAAGGCT | T_cell:CD8+_effector_memory | 0.11 | 234.59 | Raw ScoresT_cell:CD4+_Naive: 0.34, T_cell:CD4+_central_memory: 0.34, T_cell:CD4+_effector_memory: 0.33, T_cell:CD8+_effector_memory: 0.33, T_cell:CD8+: 0.33, T_cell:CD4+: 0.33, T_cell:CD8+_naive: 0.32, NK_cell: 0.31, NK_cell:CD56hiCD62L+: 0.31, T_cell:CD8+_Central_memory: 0.31 |
STDY7685342_GTCTCGTAGTGTCTCA | B_cell | 0.09 | 233.58 | Raw ScoresB_cell:immature: 0.36, T_cell:CD4+: 0.36, B_cell:Naive: 0.36, B_cell:Memory: 0.36, T_cell:CD8+: 0.35, T_cell:CD4+_central_memory: 0.35, NK_cell: 0.35, T_cell:CD4+_Naive: 0.35, T_cell:CD4+effector_memory: 0.35, HSC-G-CSF: 0.35 |
STDY7685341_ATTATCCCACCCATGG | T_cell:CD4+_central_memory | 0.12 | 232.24 | Raw ScoresT_cell:CD4+_central_memory: 0.32, T_cell:CD4+_Naive: 0.31, T_cell:CD4+_effector_memory: 0.31, T_cell:CD4+: 0.31, T_cell:CD8+: 0.3, NK_cell: 0.3, T_cell:CD8+_effector_memory: 0.3, NK_cell:IL2: 0.29, Pre-B_cell_CD34-: 0.29, T_cell:Treg:Naive: 0.29 |
STDY7685342_GTGCTTCAGTGGAGTC | T_cell:CD4+_central_memory | 0.12 | 230.88 | Raw ScoresT_cell:CD4+_central_memory: 0.34, T_cell:CD4+_effector_memory: 0.33, T_cell:CD4+: 0.33, T_cell:CD4+_Naive: 0.33, T_cell:CD8+: 0.32, NK_cell: 0.32, T_cell:CD8+_effector_memory: 0.31, T_cell:CD8+_naive: 0.31, NK_cell:CD56hiCD62L+: 0.31, Pre-B_cell_CD34-: 0.31 |
STDY7685342_TAAGTGCGTACATCCA | T_cell:CD8+_effector_memory | 0.12 | 230.83 | Raw ScoresT_cell:CD4+: 0.35, T_cell:CD8+: 0.35, T_cell:CD4+_central_memory: 0.35, T_cell:CD4+_Naive: 0.35, T_cell:CD8+_effector_memory: 0.35, T_cell:CD4+_effector_memory: 0.34, NK_cell: 0.34, T_cell:CD8+_naive: 0.33, T_cell:CD8+_Central_memory: 0.33, T_cell:CD8+_effector_memory_RA: 0.33 |
STDY7685342_CCCTCCTTCATGCTCC | T_cell:CD8+ | 0.13 | 228.06 | Raw ScoresNK_cell: 0.36, T_cell:CD8+: 0.36, T_cell:CD4+_central_memory: 0.35, T_cell:CD4+: 0.35, T_cell:CD4+_effector_memory: 0.35, T_cell:CD8+_effector_memory: 0.35, T_cell:CD4+_Naive: 0.35, NK_cell:CD56hiCD62L+: 0.34, NK_cell:IL2: 0.34, T_cell:gamma-delta: 0.34 |
STDY7685342_TCGCGAGGTAGCGTGA | T_cell:CD8+ | 0.11 | 226.75 | Raw ScoresT_cell:CD8+: 0.31, T_cell:CD4+_central_memory: 0.31, T_cell:CD4+: 0.31, T_cell:CD8+_effector_memory: 0.31, T_cell:CD4+_Naive: 0.3, T_cell:CD4+_effector_memory: 0.3, NK_cell: 0.3, Pre-B_cell_CD34-: 0.3, NK_cell:CD56hiCD62L+: 0.3, NK_cell:IL2: 0.29 |
STDY7685340_GTTCGGGAGTGGCACA | T_cell:CD4+_Naive | 0.10 | 225.17 | Raw ScoresT_cell:CD4+_central_memory: 0.31, T_cell:CD4+_Naive: 0.31, T_cell:CD4+_effector_memory: 0.3, T_cell:CD4+: 0.3, T_cell:CD8+_effector_memory: 0.3, NK_cell: 0.3, T_cell:CD8+_naive: 0.29, T_cell:CD8+: 0.29, NK_cell:IL2: 0.29, T_cell:CD8+_Central_memory: 0.29 |
STDY7685341_TAGCCGGCAACACCTA | T_cell:CD4+ | 0.11 | 225.02 | Raw ScoresT_cell:CD4+_Naive: 0.31, T_cell:CD4+_central_memory: 0.31, T_cell:CD4+: 0.31, T_cell:CD8+: 0.31, T_cell:CD4+_effector_memory: 0.3, T_cell:CD8+_effector_memory: 0.3, NK_cell: 0.3, NK_cell:CD56hiCD62L+: 0.29, T_cell:CD8+_naive: 0.29, T_cell:CD8+_Central_memory: 0.28 |
STDY8004894_GATGAAAAGGACCACA | T_cell:CD4+_central_memory | 0.11 | 224.98 | Raw ScoresT_cell:CD4+_central_memory: 0.35, T_cell:CD4+_effector_memory: 0.34, NK_cell: 0.34, T_cell:CD4+_Naive: 0.34, T_cell:CD4+: 0.33, NK_cell:IL2: 0.33, T_cell:CD8+: 0.33, T_cell:gamma-delta: 0.32, NK_cell:CD56hiCD62L+: 0.32, T_cell:CD8+_naive: 0.32 |
STDY8004894_ATCTACTAGCATGGCA | T_cell:CD4+_central_memory | 0.09 | 224.18 | Raw ScoresNK_cell: 0.34, T_cell:CD4+_central_memory: 0.33, T_cell:CD4+_effector_memory: 0.33, T_cell:CD4+: 0.33, T_cell:CD8+: 0.33, T_cell:CD4+_Naive: 0.33, NK_cell:CD56hiCD62L+: 0.33, NK_cell:IL2: 0.32, T_cell:CD8+_effector_memory: 0.32, T_cell:gamma-delta: 0.32 |
Below shows the significant enrichments of this GEP for literature curated gene lists
This data was procured from existing single cell RNA-seq maps of neuroblastoma or related relevant data.
High ranks indicate this gene is a driver of this GEP.
These curated gene list are ranked by the P-value (on this GEP) of their constituent genes.
The Mean Count column shows the mean read count in cells scoring highly (H > 50) on this gene expression program.
Genes | Weight | Rank | GTEx | DepMap | Decartes | Mean.Counts | Mean.TPM |
---|---|---|---|---|---|---|---|
EIF3E | 0.0048449 | 46 | GTEx | DepMap | Descartes | 2.36 | 1332.49 |
EIF3F | 0.0028126 | 136 | GTEx | DepMap | Descartes | 1.81 | 274.27 |
EIF3L | 0.0020104 | 244 | GTEx | DepMap | Descartes | 1.68 | 591.25 |
Other T cells (Yuan)
Obtained from Fig. 6 of Yuan et al. https://www.biorxiv.org/content/10.1101/2020.05.15.097469v1:
Wilcoxon ranksum test P-value for gene set overrepresentation: 2.08e-03
Mean rank of genes in gene set: 2036.5
Rank on gene expression program of genes in gene set:
Genes | Weight | Rank | GTEx | DepMap | Decartes | Mean.Counts | Mean.TPM |
---|---|---|---|---|---|---|---|
CCR7 | 0.0110171 | 2 | GTEx | DepMap | Descartes | 1.27 | 769.18 |
LEF1 | 0.0104926 | 3 | GTEx | DepMap | Descartes | 0.92 | 331.50 |
SELL | 0.0099912 | 4 | GTEx | DepMap | Descartes | 1.83 | 986.21 |
TCF7 | 0.0066161 | 19 | GTEx | DepMap | Descartes | 0.60 | 134.90 |
CD4 | -0.0001655 | 5704 | GTEx | DepMap | Descartes | 0.13 | 35.52 |
FOXP3 | -0.0002271 | 6487 | GTEx | DepMap | Descartes | 0.03 | 9.95 |
Immune cells (Yuan)
Obtained from Fig. 1 of Yuan et al. https://www.biorxiv.org/content/10.1101/2020.05.15.097469v1:
Wilcoxon ranksum test P-value for gene set overrepresentation: 7.77e-03
Mean rank of genes in gene set: 77
Rank on gene expression program of genes in gene set:
Genes | Weight | Rank | GTEx | DepMap | Decartes | Mean.Counts | Mean.TPM |
---|---|---|---|---|---|---|---|
CXCR4 | 0.0050517 | 42 | GTEx | DepMap | Descartes | 4.79 | 2832.31 |
PTPRC | 0.0030401 | 112 | GTEx | DepMap | Descartes | 2.12 | 457.23 |
Below shows ranks on this GEP for literature curated gene lists for large gene sets
These include those reported as mesenchymal/adrenergic by Van Groningen et al.
High ranks indicate this gene is a driver of this GEP (note these results are not ordered).
The Mean Count column shows the mean read count in cells scoring highly (H > 50) on this gene expression program.
VanGroningen Adrenergic Genes
Adrenergic marker genes from Supplementary Table 2 of Van Groningen et al. Nature Genetics 2017. These genes were identified by differential expression analysis of mesenchymal-like and adrenergic-like neuroblastoma cell lines.
Wilcoxon ranksum test P-value for gene set overrepresentation: 1.00e+00
Mean rank of genes in gene set: 9479.04
Median rank of genes in gene set: 11027
Rank on gene expression program of top 30 genes in gene set:
Genes | Weight | Rank | GTEx | DepMap | Descartes | Mean.Counts | Mean.TPM |
---|---|---|---|---|---|---|---|
LEPROTL1 | 0.0077015 | 10 | GTEx | DepMap | Descartes | 1.48 | 582.50 |
CXCR4 | 0.0050517 | 42 | GTEx | DepMap | Descartes | 4.79 | 2832.31 |
SATB1 | 0.0044512 | 58 | GTEx | DepMap | Descartes | 0.45 | 75.84 |
EVL | 0.0039632 | 67 | GTEx | DepMap | Descartes | 1.61 | 499.92 |
ABLIM1 | 0.0031847 | 100 | GTEx | DepMap | Descartes | 0.21 | 32.36 |
NELL2 | 0.0027023 | 145 | GTEx | DepMap | Descartes | 0.23 | 67.37 |
FAM107B | 0.0024346 | 183 | GTEx | DepMap | Descartes | 0.47 | 143.77 |
UCP2 | 0.0020000 | 246 | GTEx | DepMap | Descartes | 1.53 | 817.44 |
CELF2 | 0.0018585 | 270 | GTEx | DepMap | Descartes | 0.79 | 119.04 |
KLF13 | 0.0018156 | 282 | GTEx | DepMap | Descartes | 0.25 | 44.82 |
PDK1 | 0.0012011 | 480 | GTEx | DepMap | Descartes | 0.07 | 5.23 |
TIAM1 | 0.0011682 | 500 | GTEx | DepMap | Descartes | 0.05 | 5.95 |
KIF2A | 0.0010928 | 549 | GTEx | DepMap | Descartes | 0.24 | 32.90 |
HNRNPA0 | 0.0008625 | 723 | GTEx | DepMap | Descartes | 1.05 | 142.19 |
EML4 | 0.0007728 | 826 | GTEx | DepMap | Descartes | 0.45 | 92.88 |
LSM4 | 0.0006942 | 961 | GTEx | DepMap | Descartes | 0.57 | 296.89 |
CYFIP2 | 0.0005867 | 1156 | GTEx | DepMap | Descartes | 0.28 | 44.86 |
VRK1 | 0.0004259 | 1585 | GTEx | DepMap | Descartes | 0.11 | 73.87 |
TDG | 0.0004191 | 1613 | GTEx | DepMap | Descartes | 0.26 | 94.33 |
PRIM1 | 0.0003930 | 1693 | GTEx | DepMap | Descartes | 0.10 | 44.23 |
RNF157 | 0.0003691 | 1772 | GTEx | DepMap | Descartes | 0.06 | 17.84 |
CCNI | 0.0003521 | 1840 | GTEx | DepMap | Descartes | 1.58 | 613.02 |
AKAP1 | 0.0003217 | 1973 | GTEx | DepMap | Descartes | 0.05 | 11.86 |
NET1 | 0.0003136 | 2011 | GTEx | DepMap | Descartes | 0.05 | 11.99 |
PPP2R3C | 0.0003026 | 2068 | GTEx | DepMap | Descartes | 0.12 | 70.13 |
NARS2 | 0.0002863 | 2157 | GTEx | DepMap | Descartes | 0.05 | 21.94 |
MCM6 | 0.0002600 | 2272 | GTEx | DepMap | Descartes | 0.06 | 16.32 |
GRB10 | 0.0002150 | 2480 | GTEx | DepMap | Descartes | 0.01 | 1.42 |
CEP44 | 0.0001884 | 2620 | GTEx | DepMap | Descartes | 0.03 | 6.81 |
FBXO8 | 0.0001530 | 2836 | GTEx | DepMap | Descartes | 0.02 | 11.39 |
VanGroningen Mesenchymal Genes
Mesenchymal marker genes from Supplementary Table 2 of Van Groningen et al. Nature Genetics 2017. These genes were identified by differential expression analysis of mesenchymal-like and adrenergic-like neuroblastoma cell lines.
Wilcoxon ranksum test P-value for gene set overrepresentation: 1.00e+00
Mean rank of genes in gene set: 7822.49
Median rank of genes in gene set: 9055
Rank on gene expression program of top 30 genes in gene set:
Genes | Weight | Rank | GTEx | DepMap | Descartes | Mean.Counts | Mean.TPM |
---|---|---|---|---|---|---|---|
TSC22D3 | 0.0068385 | 16 | GTEx | DepMap | Descartes | 3.52 | 1817.46 |
RGS10 | 0.0059913 | 29 | GTEx | DepMap | Descartes | 1.23 | 1374.99 |
PTGER4 | 0.0050604 | 41 | GTEx | DepMap | Descartes | 0.65 | 220.59 |
ACTN1 | 0.0038818 | 71 | GTEx | DepMap | Descartes | 0.27 | 76.88 |
ETS1 | 0.0037969 | 76 | GTEx | DepMap | Descartes | 1.02 | 237.47 |
MYL12A | 0.0030247 | 114 | GTEx | DepMap | Descartes | 4.02 | 3494.10 |
STAT3 | 0.0029364 | 122 | GTEx | DepMap | Descartes | 0.76 | 206.75 |
ABRACL | 0.0029202 | 125 | GTEx | DepMap | Descartes | 0.90 | NA |
B2M | 0.0026369 | 155 | GTEx | DepMap | Descartes | 59.58 | 27466.02 |
IL6ST | 0.0023696 | 189 | GTEx | DepMap | Descartes | 0.26 | 38.52 |
SUCLG2 | 0.0022007 | 211 | GTEx | DepMap | Descartes | 0.22 | 101.35 |
ANXA1 | 0.0018700 | 266 | GTEx | DepMap | Descartes | 1.24 | 531.53 |
RBMS1 | 0.0018601 | 269 | GTEx | DepMap | Descartes | 0.46 | 129.26 |
EVA1A | 0.0017543 | 298 | GTEx | DepMap | Descartes | 0.02 | NA |
JAK1 | 0.0014524 | 385 | GTEx | DepMap | Descartes | 0.87 | 130.69 |
SGK1 | 0.0013410 | 424 | GTEx | DepMap | Descartes | 0.36 | 75.12 |
MAML2 | 0.0012488 | 458 | GTEx | DepMap | Descartes | 0.13 | 22.11 |
ELF1 | 0.0012414 | 461 | GTEx | DepMap | Descartes | 0.77 | 248.41 |
CD44 | 0.0012132 | 474 | GTEx | DepMap | Descartes | 1.04 | 196.41 |
MBNL1 | 0.0012047 | 478 | GTEx | DepMap | Descartes | 0.58 | 99.84 |
OSTC | 0.0011585 | 505 | GTEx | DepMap | Descartes | 0.50 | 533.38 |
SLC30A7 | 0.0011531 | 508 | GTEx | DepMap | Descartes | 0.16 | 22.56 |
RAP1B | 0.0011203 | 527 | GTEx | DepMap | Descartes | 0.66 | 55.04 |
ITGA4 | 0.0011031 | 540 | GTEx | DepMap | Descartes | 0.34 | 54.16 |
TGFBR2 | 0.0010458 | 581 | GTEx | DepMap | Descartes | 0.23 | 49.29 |
BAG3 | 0.0010052 | 603 | GTEx | DepMap | Descartes | 0.03 | 12.85 |
REST | 0.0009543 | 643 | GTEx | DepMap | Descartes | 0.24 | 40.57 |
LITAF | 0.0009330 | 654 | GTEx | DepMap | Descartes | 1.01 | 430.60 |
SDCBP | 0.0008591 | 727 | GTEx | DepMap | Descartes | 0.76 | 230.23 |
RAP1A | 0.0007821 | 811 | GTEx | DepMap | Descartes | 0.47 | 88.61 |
Descartes adrenocortical markers
Top 50 marker genes of adrenocortical cells in the Decartes fetal adrenal single cell map (https://atlas.brotmanbaty.org/bbi/human-gene-expression-during-development/cell/adrenocortical/in/adrenal)
Wilcoxon ranksum test P-value for gene set overrepresentation: 9.98e-01
Mean rank of genes in gene set: 8063.81
Median rank of genes in gene set: 8878.5
Rank on gene expression program of top 30 genes in gene set:
Genes | Weight | Rank | GTEx | DepMap | Descartes | Mean.Counts | Mean.TPM |
---|---|---|---|---|---|---|---|
DHCR7 | 0.0010123 | 598 | GTEx | DepMap | Descartes | 0.04 | 14.57 |
IGF1R | 0.0004426 | 1518 | GTEx | DepMap | Descartes | 0.03 | 3.68 |
FREM2 | 0.0003881 | 1713 | GTEx | DepMap | Descartes | 0.00 | 0.23 |
FDX1 | 0.0002113 | 2492 | GTEx | DepMap | Descartes | 0.28 | 83.98 |
FDXR | -0.0000901 | 4697 | GTEx | DepMap | Descartes | 0.04 | 13.29 |
STAR | -0.0001204 | 5080 | GTEx | DepMap | Descartes | 0.01 | 6.01 |
SGCZ | -0.0001362 | 5303 | GTEx | DepMap | Descartes | 0.00 | 0.00 |
TM7SF2 | -0.0001766 | 5836 | GTEx | DepMap | Descartes | 0.03 | 17.41 |
ERN1 | -0.0002006 | 6153 | GTEx | DepMap | Descartes | 0.10 | 11.04 |
MSMO1 | -0.0002579 | 6861 | GTEx | DepMap | Descartes | 0.04 | 21.32 |
BAIAP2L1 | -0.0002582 | 6868 | GTEx | DepMap | Descartes | 0.00 | 0.00 |
INHA | -0.0002826 | 7159 | GTEx | DepMap | Descartes | 0.00 | 0.00 |
SCAP | -0.0003218 | 7630 | GTEx | DepMap | Descartes | 0.03 | 6.67 |
GRAMD1B | -0.0003368 | 7791 | GTEx | DepMap | Descartes | 0.01 | 1.42 |
NPC1 | -0.0003857 | 8330 | GTEx | DepMap | Descartes | 0.03 | 8.18 |
SH3PXD2B | -0.0004291 | 8716 | GTEx | DepMap | Descartes | 0.00 | 0.02 |
LDLR | -0.0004393 | 8812 | GTEx | DepMap | Descartes | 0.06 | 12.16 |
HMGCR | -0.0004417 | 8838 | GTEx | DepMap | Descartes | 0.04 | 7.37 |
SLC1A2 | -0.0004499 | 8919 | GTEx | DepMap | Descartes | 0.01 | 0.30 |
DHCR24 | -0.0004627 | 9052 | GTEx | DepMap | Descartes | 0.01 | 0.69 |
HMGCS1 | -0.0004735 | 9151 | GTEx | DepMap | Descartes | 0.04 | 7.04 |
PDE10A | -0.0004797 | 9203 | GTEx | DepMap | Descartes | 0.00 | 0.00 |
POR | -0.0005003 | 9389 | GTEx | DepMap | Descartes | 0.07 | 28.17 |
PAPSS2 | -0.0005191 | 9552 | GTEx | DepMap | Descartes | 0.01 | 0.81 |
FRMD5 | -0.0005360 | 9689 | GTEx | DepMap | Descartes | 0.00 | 0.00 |
SLC16A9 | -0.0005496 | 9799 | GTEx | DepMap | Descartes | 0.00 | 0.05 |
APOC1 | -0.0005508 | 9806 | GTEx | DepMap | Descartes | 0.93 | 286.58 |
PEG3 | -0.0005583 | 9865 | GTEx | DepMap | Descartes | 0.01 | NA |
SCARB1 | -0.0006971 | 10665 | GTEx | DepMap | Descartes | 0.01 | 0.64 |
FDPS | -0.0006985 | 10672 | GTEx | DepMap | Descartes | 0.27 | 127.77 |
Descartes chromaffin markers
Top 50 marker genes of chromaffin cells in the Decartes fetal adrenal single cell map (https://atlas.brotmanbaty.org/bbi/human-gene-expression-during-development/cell/chromaffin/in/adrenal)
Wilcoxon ranksum test P-value for gene set overrepresentation: 1.00e+00
Mean rank of genes in gene set: 11206.24
Median rank of genes in gene set: 11807
Rank on gene expression program of top 30 genes in gene set:
Genes | Weight | Rank | GTEx | DepMap | Descartes | Mean.Counts | Mean.TPM |
---|---|---|---|---|---|---|---|
GREM1 | -0.0001989 | 6129 | GTEx | DepMap | Descartes | 0.02 | 1.10 |
FAT3 | -0.0003140 | 7538 | GTEx | DepMap | Descartes | 0.00 | 0.09 |
CNKSR2 | -0.0004271 | 8697 | GTEx | DepMap | Descartes | 0.01 | 1.20 |
EPHA6 | -0.0004513 | 8930 | GTEx | DepMap | Descartes | 0.00 | 0.00 |
RPH3A | -0.0004952 | 9350 | GTEx | DepMap | Descartes | 0.00 | 0.00 |
KCNB2 | -0.0005444 | 9758 | GTEx | DepMap | Descartes | 0.00 | 0.00 |
ANKFN1 | -0.0005483 | 9792 | GTEx | DepMap | Descartes | 0.00 | 0.00 |
NPY | -0.0005997 | 10136 | GTEx | DepMap | Descartes | 0.01 | 18.07 |
TMEM132C | -0.0006144 | 10242 | GTEx | DepMap | Descartes | 0.00 | 0.00 |
RYR2 | -0.0006697 | 10554 | GTEx | DepMap | Descartes | 0.00 | 0.00 |
ALK | -0.0006852 | 10619 | GTEx | DepMap | Descartes | 0.00 | 0.00 |
SLC44A5 | -0.0006974 | 10666 | GTEx | DepMap | Descartes | 0.00 | 0.00 |
EYA1 | -0.0007116 | 10736 | GTEx | DepMap | Descartes | 0.00 | 0.00 |
SLC6A2 | -0.0007458 | 10904 | GTEx | DepMap | Descartes | 0.00 | 0.58 |
EYA4 | -0.0007597 | 10978 | GTEx | DepMap | Descartes | 0.00 | 0.00 |
SYNPO2 | -0.0007665 | 11001 | GTEx | DepMap | Descartes | 0.00 | 0.00 |
MAB21L2 | -0.0008687 | 11365 | GTEx | DepMap | Descartes | 0.00 | 0.00 |
HS3ST5 | -0.0008717 | 11373 | GTEx | DepMap | Descartes | 0.00 | 0.75 |
PTCHD1 | -0.0008818 | 11402 | GTEx | DepMap | Descartes | 0.00 | 0.16 |
PLXNA4 | -0.0008896 | 11421 | GTEx | DepMap | Descartes | 0.01 | 0.51 |
MAB21L1 | -0.0010528 | 11807 | GTEx | DepMap | Descartes | 0.01 | 2.29 |
MARCH11 | -0.0010795 | 11855 | GTEx | DepMap | Descartes | 0.00 | NA |
RBFOX1 | -0.0011565 | 11984 | GTEx | DepMap | Descartes | 0.00 | 0.00 |
TMEFF2 | -0.0011926 | 12032 | GTEx | DepMap | Descartes | 0.01 | 4.15 |
REEP1 | -0.0012218 | 12074 | GTEx | DepMap | Descartes | 0.01 | 1.37 |
RGMB | -0.0012469 | 12104 | GTEx | DepMap | Descartes | 0.02 | 3.54 |
NTRK1 | -0.0013244 | 12194 | GTEx | DepMap | Descartes | 0.01 | 2.54 |
IL7 | -0.0013389 | 12213 | GTEx | DepMap | Descartes | 0.01 | 5.09 |
ELAVL2 | -0.0014382 | 12287 | GTEx | DepMap | Descartes | 0.00 | 0.97 |
TUBB2A | -0.0014916 | 12325 | GTEx | DepMap | Descartes | 0.15 | 97.90 |
Descartes Vascular_endothelial markers
Top 50 marker genes of Vascular_endothelial cells in the Decartes fetal adrenal single cell map (https://atlas.brotmanbaty.org/bbi/human-gene-expression-during-development/cell/vascular_endothelial/in/adrenal)
Wilcoxon ranksum test P-value for gene set overrepresentation: 1.00e+00
Mean rank of genes in gene set: 8220.45
Median rank of genes in gene set: 8378.5
Rank on gene expression program of top 30 genes in gene set:
Genes | Weight | Rank | GTEx | DepMap | Descartes | Mean.Counts | Mean.TPM |
---|---|---|---|---|---|---|---|
CEACAM1 | 0.0003475 | 1861 | GTEx | DepMap | Descartes | 0.06 | 13.93 |
KANK3 | -0.0000320 | 4087 | GTEx | DepMap | Descartes | 0.01 | 4.48 |
MYRIP | -0.0000461 | 4224 | GTEx | DepMap | Descartes | 0.00 | 0.58 |
GALNT15 | -0.0001353 | 5286 | GTEx | DepMap | Descartes | 0.00 | NA |
ESM1 | -0.0001709 | 5765 | GTEx | DepMap | Descartes | 0.00 | 0.00 |
CYP26B1 | -0.0002075 | 6224 | GTEx | DepMap | Descartes | 0.00 | 0.00 |
NR5A2 | -0.0003065 | 7439 | GTEx | DepMap | Descartes | 0.00 | 0.00 |
KDR | -0.0003140 | 7539 | GTEx | DepMap | Descartes | 0.01 | 0.65 |
CRHBP | -0.0003141 | 7540 | GTEx | DepMap | Descartes | 0.01 | 3.55 |
FLT4 | -0.0003188 | 7601 | GTEx | DepMap | Descartes | 0.00 | 0.35 |
SLCO2A1 | -0.0003297 | 7718 | GTEx | DepMap | Descartes | 0.00 | 1.30 |
SHANK3 | -0.0003391 | 7810 | GTEx | DepMap | Descartes | 0.00 | 0.00 |
F8 | -0.0003416 | 7835 | GTEx | DepMap | Descartes | 0.01 | 0.75 |
CDH13 | -0.0003457 | 7883 | GTEx | DepMap | Descartes | 0.00 | 0.00 |
IRX3 | -0.0003573 | 8019 | GTEx | DepMap | Descartes | 0.00 | 0.00 |
TMEM88 | -0.0003650 | 8113 | GTEx | DepMap | Descartes | 0.04 | 40.03 |
ID1 | -0.0003660 | 8121 | GTEx | DepMap | Descartes | 0.02 | 12.99 |
TEK | -0.0003771 | 8233 | GTEx | DepMap | Descartes | 0.00 | 0.43 |
RASIP1 | -0.0003782 | 8246 | GTEx | DepMap | Descartes | 0.01 | 0.72 |
ROBO4 | -0.0004080 | 8511 | GTEx | DepMap | Descartes | 0.01 | 1.68 |
MMRN2 | -0.0004116 | 8545 | GTEx | DepMap | Descartes | 0.00 | 0.88 |
SHE | -0.0004120 | 8550 | GTEx | DepMap | Descartes | 0.00 | 0.00 |
BTNL9 | -0.0004134 | 8566 | GTEx | DepMap | Descartes | 0.00 | 0.00 |
CDH5 | -0.0004277 | 8705 | GTEx | DepMap | Descartes | 0.01 | 3.91 |
PTPRB | -0.0004624 | 9046 | GTEx | DepMap | Descartes | 0.02 | 1.17 |
EHD3 | -0.0004636 | 9063 | GTEx | DepMap | Descartes | 0.00 | 0.30 |
NPR1 | -0.0004637 | 9064 | GTEx | DepMap | Descartes | 0.00 | 0.00 |
CALCRL | -0.0005133 | 9494 | GTEx | DepMap | Descartes | 0.00 | 0.00 |
CLDN5 | -0.0005198 | 9557 | GTEx | DepMap | Descartes | 0.01 | 2.73 |
NOTCH4 | -0.0005372 | 9698 | GTEx | DepMap | Descartes | 0.01 | 2.93 |
Descartes stromal markers
Top 50 marker genes of stromal cells in the Decartes fetal adrenal single cell map (https://atlas.brotmanbaty.org/bbi/human-gene-expression-during-development/cell/stromal/in/adrenal)
Wilcoxon ranksum test P-value for gene set overrepresentation: 1.00e+00
Mean rank of genes in gene set: 8426.25
Median rank of genes in gene set: 8754.5
Rank on gene expression program of top 30 genes in gene set:
Genes | Weight | Rank | GTEx | DepMap | Descartes | Mean.Counts | Mean.TPM |
---|---|---|---|---|---|---|---|
CD248 | 0.0011353 | 516 | GTEx | DepMap | Descartes | 0.06 | 31.35 |
COL27A1 | -0.0000165 | 3962 | GTEx | DepMap | Descartes | 0.00 | 0.86 |
ITGA11 | -0.0000864 | 4646 | GTEx | DepMap | Descartes | 0.01 | 0.50 |
LAMC3 | -0.0001524 | 5530 | GTEx | DepMap | Descartes | 0.00 | 0.00 |
IGFBP3 | -0.0001890 | 6011 | GTEx | DepMap | Descartes | 0.04 | 15.50 |
GLI2 | -0.0002119 | 6275 | GTEx | DepMap | Descartes | 0.00 | 0.00 |
ISLR | -0.0002285 | 6511 | GTEx | DepMap | Descartes | 0.01 | 8.71 |
FREM1 | -0.0002898 | 7256 | GTEx | DepMap | Descartes | 0.00 | 0.00 |
GAS2 | -0.0003079 | 7456 | GTEx | DepMap | Descartes | 0.00 | 0.00 |
EDNRA | -0.0003098 | 7473 | GTEx | DepMap | Descartes | 0.00 | 0.00 |
ABCC9 | -0.0003131 | 7520 | GTEx | DepMap | Descartes | 0.00 | 0.00 |
RSPO3 | -0.0003270 | 7694 | GTEx | DepMap | Descartes | 0.00 | NA |
PCDH18 | -0.0003662 | 8125 | GTEx | DepMap | Descartes | 0.00 | 0.46 |
ACTA2 | -0.0003687 | 8143 | GTEx | DepMap | Descartes | 0.02 | 14.22 |
SCARA5 | -0.0003728 | 8185 | GTEx | DepMap | Descartes | 0.00 | 0.00 |
C7 | -0.0003876 | 8343 | GTEx | DepMap | Descartes | 0.00 | 0.45 |
SFRP2 | -0.0004085 | 8514 | GTEx | DepMap | Descartes | 0.00 | 3.26 |
COL6A3 | -0.0004109 | 8538 | GTEx | DepMap | Descartes | 0.03 | 3.08 |
PAMR1 | -0.0004220 | 8648 | GTEx | DepMap | Descartes | 0.00 | 0.00 |
PDGFRA | -0.0004275 | 8702 | GTEx | DepMap | Descartes | 0.01 | 0.50 |
DKK2 | -0.0004321 | 8734 | GTEx | DepMap | Descartes | 0.00 | 0.00 |
CLDN11 | -0.0004325 | 8738 | GTEx | DepMap | Descartes | 0.00 | 0.00 |
ADAMTS2 | -0.0004350 | 8771 | GTEx | DepMap | Descartes | 0.00 | 0.44 |
HHIP | -0.0004354 | 8774 | GTEx | DepMap | Descartes | 0.01 | 0.25 |
POSTN | -0.0004382 | 8799 | GTEx | DepMap | Descartes | 0.03 | 6.57 |
COL12A1 | -0.0004725 | 9142 | GTEx | DepMap | Descartes | 0.01 | 0.69 |
LRRC17 | -0.0004853 | 9258 | GTEx | DepMap | Descartes | 0.00 | 1.14 |
ABCA6 | -0.0004867 | 9269 | GTEx | DepMap | Descartes | 0.00 | 0.00 |
OGN | -0.0004962 | 9357 | GTEx | DepMap | Descartes | 0.00 | 0.42 |
MGP | -0.0005280 | 9627 | GTEx | DepMap | Descartes | 0.12 | 72.74 |
Descartes sympathoblasts markers
Top 50 marker genes of sympathoblasts cells in the Decartes fetal adrenal single cell map (https://atlas.brotmanbaty.org/bbi/human-gene-expression-during-development/cell/sympathoblasts/in/adrenal)
Wilcoxon ranksum test P-value for gene set overrepresentation: 9.99e-01
Mean rank of genes in gene set: 8177.63
Median rank of genes in gene set: 8752.5
Rank on gene expression program of top 30 genes in gene set:
Genes | Weight | Rank | GTEx | DepMap | Descartes | Mean.Counts | Mean.TPM |
---|---|---|---|---|---|---|---|
HTATSF1 | 0.0012650 | 454 | GTEx | DepMap | Descartes | 0.18 | 61.92 |
TIAM1 | 0.0011682 | 500 | GTEx | DepMap | Descartes | 0.05 | 5.95 |
TENM1 | 0.0003965 | 1673 | GTEx | DepMap | Descartes | 0.01 | NA |
AGBL4 | 0.0000937 | 3194 | GTEx | DepMap | Descartes | 0.00 | 0.94 |
GRM7 | 0.0000854 | 3243 | GTEx | DepMap | Descartes | 0.00 | 0.86 |
ROBO1 | 0.0000739 | 3312 | GTEx | DepMap | Descartes | 0.01 | 1.44 |
CNTN3 | -0.0000814 | 4593 | GTEx | DepMap | Descartes | 0.00 | 0.00 |
SLC35F3 | -0.0002092 | 6246 | GTEx | DepMap | Descartes | 0.01 | 2.60 |
ST18 | -0.0002239 | 6440 | GTEx | DepMap | Descartes | 0.00 | 0.03 |
SLC24A2 | -0.0002413 | 6666 | GTEx | DepMap | Descartes | 0.00 | 0.00 |
PENK | -0.0002710 | 7013 | GTEx | DepMap | Descartes | 0.00 | 0.00 |
SORCS3 | -0.0003023 | 7395 | GTEx | DepMap | Descartes | 0.00 | 0.00 |
TBX20 | -0.0003447 | 7868 | GTEx | DepMap | Descartes | 0.00 | 0.00 |
GCH1 | -0.0003574 | 8021 | GTEx | DepMap | Descartes | 0.06 | 17.60 |
LAMA3 | -0.0003641 | 8105 | GTEx | DepMap | Descartes | 0.00 | 0.00 |
GALNTL6 | -0.0003652 | 8116 | GTEx | DepMap | Descartes | 0.00 | 0.00 |
DGKK | -0.0003733 | 8189 | GTEx | DepMap | Descartes | 0.00 | 0.21 |
EML6 | -0.0004076 | 8507 | GTEx | DepMap | Descartes | 0.00 | 0.25 |
KSR2 | -0.0004218 | 8647 | GTEx | DepMap | Descartes | 0.00 | 0.00 |
PACRG | -0.0004444 | 8858 | GTEx | DepMap | Descartes | 0.00 | 2.77 |
CDH12 | -0.0004503 | 8922 | GTEx | DepMap | Descartes | 0.00 | 0.00 |
PCSK2 | -0.0004541 | 8972 | GTEx | DepMap | Descartes | 0.00 | 0.00 |
GRID2 | -0.0004555 | 8995 | GTEx | DepMap | Descartes | 0.00 | 0.00 |
CDH18 | -0.0005360 | 9688 | GTEx | DepMap | Descartes | 0.00 | 0.00 |
CCSER1 | -0.0005547 | 9835 | GTEx | DepMap | Descartes | 0.00 | NA |
NTNG1 | -0.0005717 | 9945 | GTEx | DepMap | Descartes | 0.00 | 0.00 |
FGF14 | -0.0005816 | 10024 | GTEx | DepMap | Descartes | 0.00 | 0.00 |
SPOCK3 | -0.0007099 | 10730 | GTEx | DepMap | Descartes | 0.00 | 0.89 |
FAM155A | -0.0007715 | 11022 | GTEx | DepMap | Descartes | 0.00 | 0.28 |
MGAT4C | -0.0008299 | 11245 | GTEx | DepMap | Descartes | 0.00 | 0.00 |
Descartes erythroblasts markers
Top 50 marker genes of erythroblasts cells in the Decartes fetal adrenal single cell map (https://atlas.brotmanbaty.org/bbi/human-gene-expression-during-development/cell/erythroblasts/in/adrenal)
Wilcoxon ranksum test P-value for gene set overrepresentation: 8.44e-01
Mean rank of genes in gene set: 6955.1
Median rank of genes in gene set: 6221
Rank on gene expression program of top 30 genes in gene set:
Genes | Weight | Rank | GTEx | DepMap | Descartes | Mean.Counts | Mean.TPM |
---|---|---|---|---|---|---|---|
GYPC | 0.0052238 | 37 | GTEx | DepMap | Descartes | 1.50 | 960.80 |
EPB41 | 0.0031532 | 104 | GTEx | DepMap | Descartes | 0.32 | 65.35 |
DENND4A | 0.0010051 | 604 | GTEx | DepMap | Descartes | 0.14 | 18.96 |
CPOX | 0.0001284 | 2980 | GTEx | DepMap | Descartes | 0.03 | 14.15 |
TRAK2 | -0.0000655 | 4421 | GTEx | DepMap | Descartes | 0.05 | 6.42 |
RHD | -0.0000731 | 4503 | GTEx | DepMap | Descartes | 0.00 | 0.00 |
SLC4A1 | -0.0000844 | 4622 | GTEx | DepMap | Descartes | 0.00 | 0.00 |
CAT | -0.0000873 | 4659 | GTEx | DepMap | Descartes | 0.17 | 79.55 |
GCLC | -0.0000947 | 4754 | GTEx | DepMap | Descartes | 0.04 | 8.54 |
ABCB10 | -0.0001079 | 4904 | GTEx | DepMap | Descartes | 0.03 | 7.93 |
XPO7 | -0.0001462 | 5458 | GTEx | DepMap | Descartes | 0.05 | 8.94 |
MARCH3 | -0.0001472 | 5469 | GTEx | DepMap | Descartes | 0.02 | NA |
ALAS2 | -0.0001484 | 5480 | GTEx | DepMap | Descartes | 0.01 | 2.96 |
RGS6 | -0.0001678 | 5724 | GTEx | DepMap | Descartes | 0.00 | 0.00 |
SLC25A21 | -0.0002073 | 6221 | GTEx | DepMap | Descartes | 0.00 | 0.00 |
ANK1 | -0.0003682 | 8137 | GTEx | DepMap | Descartes | 0.02 | 2.24 |
RAPGEF2 | -0.0004029 | 8461 | GTEx | DepMap | Descartes | 0.03 | 4.21 |
SELENBP1 | -0.0004645 | 9072 | GTEx | DepMap | Descartes | 0.00 | 0.00 |
TFR2 | -0.0004662 | 9092 | GTEx | DepMap | Descartes | 0.01 | 1.64 |
SPTB | -0.0004977 | 9366 | GTEx | DepMap | Descartes | 0.00 | 0.00 |
TMCC2 | -0.0005501 | 9801 | GTEx | DepMap | Descartes | 0.00 | 0.00 |
SOX6 | -0.0006037 | 10161 | GTEx | DepMap | Descartes | 0.00 | 0.28 |
SPECC1 | -0.0006071 | 10183 | GTEx | DepMap | Descartes | 0.03 | 3.23 |
TSPAN5 | -0.0006135 | 10236 | GTEx | DepMap | Descartes | 0.10 | 21.15 |
FECH | -0.0007195 | 10777 | GTEx | DepMap | Descartes | 0.02 | 2.99 |
SLC25A37 | -0.0008305 | 11248 | GTEx | DepMap | Descartes | 0.10 | 24.56 |
MICAL2 | -0.0008940 | 11435 | GTEx | DepMap | Descartes | 0.01 | 1.54 |
SNCA | -0.0010159 | 11731 | GTEx | DepMap | Descartes | 0.01 | 4.89 |
BLVRB | -0.0012104 | 12058 | GTEx | DepMap | Descartes | 0.10 | 68.12 |
NA | NA | NA | NA | NA | NA | NA | NA |
Descartes myeloid markers
Top 50 marker genes of myeloid cells in the Decartes fetal adrenal single cell map (https://atlas.brotmanbaty.org/bbi/human-gene-expression-during-development/cell/myeloid/in/adrenal)
Wilcoxon ranksum test P-value for gene set overrepresentation: 1.00e+00
Mean rank of genes in gene set: 10264.37
Median rank of genes in gene set: 11174
Rank on gene expression program of top 30 genes in gene set:
Genes | Weight | Rank | GTEx | DepMap | Descartes | Mean.Counts | Mean.TPM |
---|---|---|---|---|---|---|---|
SFMBT2 | 0.0003771 | 1747 | GTEx | DepMap | Descartes | 0.07 | 11.27 |
WWP1 | 0.0001775 | 2670 | GTEx | DepMap | Descartes | 0.05 | 11.99 |
ITPR2 | -0.0000832 | 4612 | GTEx | DepMap | Descartes | 0.07 | 7.70 |
SPP1 | -0.0003225 | 7641 | GTEx | DepMap | Descartes | 5.35 | 439.65 |
MSR1 | -0.0004065 | 8494 | GTEx | DepMap | Descartes | 0.01 | 2.21 |
HRH1 | -0.0004102 | 8531 | GTEx | DepMap | Descartes | 0.00 | 0.33 |
SLC1A3 | -0.0004225 | 8651 | GTEx | DepMap | Descartes | 0.02 | 1.28 |
MERTK | -0.0004286 | 8710 | GTEx | DepMap | Descartes | 0.01 | 2.04 |
LGMN | -0.0004450 | 8865 | GTEx | DepMap | Descartes | 0.10 | 33.75 |
SLC9A9 | -0.0004595 | 9028 | GTEx | DepMap | Descartes | 0.04 | 14.56 |
ABCA1 | -0.0004647 | 9075 | GTEx | DepMap | Descartes | 0.04 | 1.80 |
ADAP2 | -0.0005363 | 9690 | GTEx | DepMap | Descartes | 0.01 | 3.17 |
RGL1 | -0.0005377 | 9701 | GTEx | DepMap | Descartes | 0.01 | 1.22 |
SLCO2B1 | -0.0005538 | 9828 | GTEx | DepMap | Descartes | 0.01 | 0.18 |
CTSD | -0.0005887 | 10073 | GTEx | DepMap | Descartes | 0.88 | 243.39 |
ATP8B4 | -0.0006285 | 10326 | GTEx | DepMap | Descartes | 0.02 | 1.53 |
FMN1 | -0.0007090 | 10726 | GTEx | DepMap | Descartes | 0.01 | 0.55 |
AXL | -0.0007112 | 10734 | GTEx | DepMap | Descartes | 0.02 | 0.84 |
MS4A4A | -0.0007286 | 10814 | GTEx | DepMap | Descartes | 0.02 | 7.10 |
CD163 | -0.0009330 | 11534 | GTEx | DepMap | Descartes | 0.02 | 3.05 |
CSF1R | -0.0009723 | 11640 | GTEx | DepMap | Descartes | 0.03 | 4.37 |
CTSB | -0.0009984 | 11692 | GTEx | DepMap | Descartes | 0.75 | 106.36 |
FGD2 | -0.0010920 | 11887 | GTEx | DepMap | Descartes | 0.01 | 1.65 |
IFNGR1 | -0.0011331 | 11953 | GTEx | DepMap | Descartes | 0.27 | 83.87 |
CD14 | -0.0011366 | 11964 | GTEx | DepMap | Descartes | 0.17 | 51.86 |
CYBB | -0.0011589 | 11989 | GTEx | DepMap | Descartes | 0.05 | 9.66 |
MARCH1 | -0.0011987 | 12045 | GTEx | DepMap | Descartes | 0.03 | NA |
TGFBI | -0.0012597 | 12118 | GTEx | DepMap | Descartes | 0.06 | 5.68 |
RBPJ | -0.0012863 | 12153 | GTEx | DepMap | Descartes | 0.28 | 40.34 |
CPVL | -0.0013059 | 12175 | GTEx | DepMap | Descartes | 0.11 | 25.15 |
Descartes Schwann markers
Top 50 marker genes of Schwann cells in the Decartes fetal adrenal single cell map (https://atlas.brotmanbaty.org/bbi/human-gene-expression-during-development/cell/schwann/in/adrenal)
Wilcoxon ranksum test P-value for gene set overrepresentation: 1.00e+00
Mean rank of genes in gene set: 8434.66
Median rank of genes in gene set: 9354
Rank on gene expression program of top 30 genes in gene set:
Genes | Weight | Rank | GTEx | DepMap | Descartes | Mean.Counts | Mean.TPM |
---|---|---|---|---|---|---|---|
PAG1 | 0.0008570 | 731 | GTEx | DepMap | Descartes | 0.27 | 30.07 |
ERBB3 | 0.0007681 | 832 | GTEx | DepMap | Descartes | 0.01 | 0.65 |
COL18A1 | 0.0002749 | 2212 | GTEx | DepMap | Descartes | 0.03 | 7.13 |
MPZ | 0.0002049 | 2529 | GTEx | DepMap | Descartes | 0.01 | 4.37 |
PLCE1 | 0.0000338 | 3586 | GTEx | DepMap | Descartes | 0.01 | 0.84 |
HMGA2 | -0.0000614 | 4382 | GTEx | DepMap | Descartes | 0.00 | 0.00 |
IL1RAPL2 | -0.0000913 | 4717 | GTEx | DepMap | Descartes | 0.00 | 0.00 |
COL25A1 | -0.0001201 | 5073 | GTEx | DepMap | Descartes | 0.00 | 0.00 |
PTPRZ1 | -0.0001258 | 5146 | GTEx | DepMap | Descartes | 0.00 | 0.00 |
TRPM3 | -0.0001318 | 5241 | GTEx | DepMap | Descartes | 0.01 | 0.80 |
MDGA2 | -0.0001395 | 5357 | GTEx | DepMap | Descartes | 0.00 | 0.00 |
GRIK3 | -0.0001535 | 5546 | GTEx | DepMap | Descartes | 0.00 | 0.00 |
ADAMTS5 | -0.0001563 | 5584 | GTEx | DepMap | Descartes | 0.01 | 1.66 |
IL1RAPL1 | -0.0002696 | 6996 | GTEx | DepMap | Descartes | 0.00 | 0.00 |
XKR4 | -0.0002931 | 7293 | GTEx | DepMap | Descartes | 0.01 | 0.33 |
PLP1 | -0.0002949 | 7315 | GTEx | DepMap | Descartes | 0.00 | 0.00 |
STARD13 | -0.0003060 | 7434 | GTEx | DepMap | Descartes | 0.00 | 0.00 |
NRXN3 | -0.0003475 | 7897 | GTEx | DepMap | Descartes | 0.00 | 0.00 |
OLFML2A | -0.0004337 | 8752 | GTEx | DepMap | Descartes | 0.00 | 0.00 |
FIGN | -0.0004510 | 8927 | GTEx | DepMap | Descartes | 0.00 | 0.15 |
LAMB1 | -0.0004675 | 9100 | GTEx | DepMap | Descartes | 0.02 | 4.58 |
EDNRB | -0.0004947 | 9340 | GTEx | DepMap | Descartes | 0.00 | 0.00 |
SOX5 | -0.0004978 | 9368 | GTEx | DepMap | Descartes | 0.00 | 0.00 |
SORCS1 | -0.0005016 | 9398 | GTEx | DepMap | Descartes | 0.00 | 0.00 |
SLC35F1 | -0.0005191 | 9551 | GTEx | DepMap | Descartes | 0.00 | 0.00 |
EGFLAM | -0.0005209 | 9569 | GTEx | DepMap | Descartes | 0.00 | 0.00 |
LAMC1 | -0.0005967 | 10124 | GTEx | DepMap | Descartes | 0.01 | 1.34 |
COL5A2 | -0.0006452 | 10433 | GTEx | DepMap | Descartes | 0.00 | 0.00 |
GAS7 | -0.0006883 | 10632 | GTEx | DepMap | Descartes | 0.03 | 3.58 |
ERBB4 | -0.0007594 | 10974 | GTEx | DepMap | Descartes | 0.00 | 0.00 |
Descartes Megakaryocytes markers
Top 50 marker genes of Megakaryocytes cells in the Decartes fetal adrenal single cell map (https://atlas.brotmanbaty.org/bbi/human-gene-expression-during-development/cell/megakaryocytes/in/adrenal)
Wilcoxon ranksum test P-value for gene set overrepresentation: 9.69e-01
Mean rank of genes in gene set: 7282.44
Median rank of genes in gene set: 8039
Rank on gene expression program of top 30 genes in gene set:
Genes | Weight | Rank | GTEx | DepMap | Descartes | Mean.Counts | Mean.TPM |
---|---|---|---|---|---|---|---|
SLC2A3 | 0.0045509 | 52 | GTEx | DepMap | Descartes | 1.28 | 364.01 |
ACTN1 | 0.0038818 | 71 | GTEx | DepMap | Descartes | 0.27 | 76.88 |
INPP4B | 0.0026149 | 158 | GTEx | DepMap | Descartes | 0.11 | 13.43 |
RAP1B | 0.0011203 | 527 | GTEx | DepMap | Descartes | 0.66 | 55.04 |
SPN | 0.0010915 | 550 | GTEx | DepMap | Descartes | 0.31 | 46.93 |
FLI1 | 0.0010146 | 594 | GTEx | DepMap | Descartes | 0.17 | 31.71 |
MYH9 | 0.0009109 | 674 | GTEx | DepMap | Descartes | 0.46 | 67.01 |
TMSB4X | 0.0007297 | 897 | GTEx | DepMap | Descartes | 77.81 | 44902.23 |
CD84 | 0.0002964 | 2101 | GTEx | DepMap | Descartes | 0.11 | 12.46 |
UBASH3B | 0.0002478 | 2332 | GTEx | DepMap | Descartes | 0.08 | 11.35 |
GP1BA | 0.0002404 | 2360 | GTEx | DepMap | Descartes | 0.01 | 9.31 |
TGFB1 | 0.0000335 | 3591 | GTEx | DepMap | Descartes | 0.34 | 106.01 |
ZYX | -0.0001507 | 5510 | GTEx | DepMap | Descartes | 0.28 | 110.26 |
ITGB3 | -0.0002075 | 6225 | GTEx | DepMap | Descartes | 0.00 | 0.00 |
MED12L | -0.0002247 | 6453 | GTEx | DepMap | Descartes | 0.00 | 0.35 |
TUBB1 | -0.0002389 | 6631 | GTEx | DepMap | Descartes | 0.00 | 0.00 |
TRPC6 | -0.0002506 | 6783 | GTEx | DepMap | Descartes | 0.00 | 0.00 |
SLC24A3 | -0.0002856 | 7193 | GTEx | DepMap | Descartes | 0.00 | 0.00 |
ANGPT1 | -0.0002870 | 7217 | GTEx | DepMap | Descartes | 0.00 | 0.00 |
FERMT3 | -0.0002982 | 7357 | GTEx | DepMap | Descartes | 0.23 | 74.24 |
FLNA | -0.0003319 | 7737 | GTEx | DepMap | Descartes | 0.31 | 37.60 |
ARHGAP6 | -0.0003360 | 7779 | GTEx | DepMap | Descartes | 0.00 | 0.00 |
MMRN1 | -0.0003588 | 8039 | GTEx | DepMap | Descartes | 0.01 | 1.35 |
MCTP1 | -0.0003725 | 8180 | GTEx | DepMap | Descartes | 0.01 | 1.36 |
ITGA2B | -0.0003854 | 8328 | GTEx | DepMap | Descartes | 0.00 | 0.46 |
HIPK2 | -0.0004348 | 8769 | GTEx | DepMap | Descartes | 0.10 | 8.07 |
PDE3A | -0.0004547 | 8983 | GTEx | DepMap | Descartes | 0.00 | 0.00 |
P2RX1 | -0.0004781 | 9187 | GTEx | DepMap | Descartes | 0.01 | 2.51 |
LTBP1 | -0.0005146 | 9509 | GTEx | DepMap | Descartes | 0.00 | 0.00 |
MYLK | -0.0005155 | 9518 | GTEx | DepMap | Descartes | 0.01 | 0.87 |
Descartes Lyphoid markers
Top 50 marker genes of Lyphoid cells in the Decartes fetal adrenal single cell map (https://atlas.brotmanbaty.org/bbi/human-gene-expression-during-development/cell/lymphoid/in/adrenal)
Wilcoxon ranksum test P-value for gene set overrepresentation: 7.52e-10
Mean rank of genes in gene set: 2902.05
Median rank of genes in gene set: 359.5
Rank on gene expression program of top 30 genes in gene set:
Genes | Weight | Rank | GTEx | DepMap | Descartes | Mean.Counts | Mean.TPM |
---|---|---|---|---|---|---|---|
LEF1 | 0.0104926 | 3 | GTEx | DepMap | Descartes | 0.92 | 331.50 |
ARHGDIB | 0.0045050 | 53 | GTEx | DepMap | Descartes | 5.00 | 4606.17 |
PDE3B | 0.0044731 | 56 | GTEx | DepMap | Descartes | 0.37 | 81.39 |
EVL | 0.0039632 | 67 | GTEx | DepMap | Descartes | 1.61 | 499.92 |
ETS1 | 0.0037969 | 76 | GTEx | DepMap | Descartes | 1.02 | 237.47 |
IKZF1 | 0.0036554 | 79 | GTEx | DepMap | Descartes | 0.62 | 126.44 |
ABLIM1 | 0.0031847 | 100 | GTEx | DepMap | Descartes | 0.21 | 32.36 |
PTPRC | 0.0030401 | 112 | GTEx | DepMap | Descartes | 2.12 | 457.23 |
ARHGAP15 | 0.0029957 | 116 | GTEx | DepMap | Descartes | 0.45 | 169.68 |
CCND3 | 0.0028974 | 127 | GTEx | DepMap | Descartes | 0.81 | 403.92 |
FOXP1 | 0.0027318 | 140 | GTEx | DepMap | Descartes | 0.75 | 110.45 |
BCL2 | 0.0027157 | 144 | GTEx | DepMap | Descartes | 0.26 | 38.64 |
B2M | 0.0026369 | 155 | GTEx | DepMap | Descartes | 59.58 | 27466.02 |
SKAP1 | 0.0023728 | 188 | GTEx | DepMap | Descartes | 0.41 | 251.21 |
PRKCH | 0.0021677 | 217 | GTEx | DepMap | Descartes | 0.49 | 155.27 |
ITPKB | 0.0019302 | 253 | GTEx | DepMap | Descartes | 0.13 | 22.25 |
CELF2 | 0.0018585 | 270 | GTEx | DepMap | Descartes | 0.79 | 119.04 |
SORL1 | 0.0017817 | 289 | GTEx | DepMap | Descartes | 0.29 | 32.85 |
ARID5B | 0.0017579 | 296 | GTEx | DepMap | Descartes | 0.51 | 73.13 |
PITPNC1 | 0.0017305 | 308 | GTEx | DepMap | Descartes | 0.24 | 41.90 |
TMSB10 | 0.0015412 | 354 | GTEx | DepMap | Descartes | 23.35 | 52661.87 |
DOCK10 | 0.0015075 | 365 | GTEx | DepMap | Descartes | 0.17 | 28.34 |
SCML4 | 0.0013647 | 414 | GTEx | DepMap | Descartes | 0.19 | 47.07 |
ANKRD44 | 0.0012823 | 444 | GTEx | DepMap | Descartes | 0.33 | 54.18 |
CD44 | 0.0012132 | 474 | GTEx | DepMap | Descartes | 1.04 | 196.41 |
MBNL1 | 0.0012047 | 478 | GTEx | DepMap | Descartes | 0.58 | 99.84 |
SAMD3 | 0.0010665 | 568 | GTEx | DepMap | Descartes | 0.26 | 76.49 |
BACH2 | 0.0007938 | 796 | GTEx | DepMap | Descartes | 0.17 | 21.30 |
SP100 | 0.0005769 | 1178 | GTEx | DepMap | Descartes | 0.54 | 102.26 |
TOX | 0.0004291 | 1571 | GTEx | DepMap | Descartes | 0.11 | 29.70 |
Below shows the ranks on this GEP for immune marker gene lists curated by CellTypist (https://www.celltypist.org/encyclopedia).
High ranks indicate this gene is a driver of this GEP.
These curated gene list are ranked by P-value (on this GEP) of their constituent genes.
The Mean Count column shows the mean read count in cells scoring highly (H > 50) on this gene expression program.
Genes | Weight | Rank | GTEx | DepMap | Decartes | Mean.Counts | Mean.TPM |
---|---|---|---|---|---|---|---|
LEF1 | 0.0104926 | 3 | GTEx | DepMap | Descartes | 0.92 | 331.50 |
CD27 | 0.0077014 | 11 | GTEx | DepMap | Descartes | 1.01 | 845.35 |
NUCB2 | 0.0044950 | 54 | GTEx | DepMap | Descartes | 0.83 | 297.52 |
CD8A | 0.0025494 | 164 | GTEx | DepMap | Descartes | 0.50 | 178.36 |
PRKCH | 0.0021677 | 217 | GTEx | DepMap | Descartes | 0.49 | 155.27 |
MALAT1 | 0.0017824 | 287 | GTEx | DepMap | Descartes | 196.41 | 30581.69 |
CTSW | -0.0000386 | 4158 | GTEx | DepMap | Descartes | 1.08 | 839.27 |
T cells: CD8a/b(entry) (model markers)
T lymphocytes with CD8 alpha/beta heterodimers in the late double-positive (entry) stage during T cell development:
Wilcoxon ranksum test P-value for gene set overrepresentation: 9.78e-05
Mean rank of genes in gene set: 241.6
Rank on gene expression program of genes in gene set:
Genes | Weight | Rank | GTEx | DepMap | Decartes | Mean.Counts | Mean.TPM |
---|---|---|---|---|---|---|---|
ITM2A | 0.0053546 | 35 | GTEx | DepMap | Descartes | 1.21 | 765.13 |
SATB1 | 0.0044512 | 58 | GTEx | DepMap | Descartes | 0.45 | 75.84 |
MALAT1 | 0.0017824 | 287 | GTEx | DepMap | Descartes | 196.41 | 30581.69 |
TMSB10 | 0.0015412 | 354 | GTEx | DepMap | Descartes | 23.35 | 52661.87 |
CD44 | 0.0012132 | 474 | GTEx | DepMap | Descartes | 1.04 | 196.41 |
T cells: Tcm/Naive cytotoxic T cells (curated markers)
CD8+ cytotoxic T lymphocytes mainly localized in secondary lymphoid tissues and sustaining the responses by proliferating and producing new effectors:
Wilcoxon ranksum test P-value for gene set overrepresentation: 1.47e-03
Mean rank of genes in gene set: 56.67
Rank on gene expression program of genes in gene set:
Genes | Weight | Rank | GTEx | DepMap | Decartes | Mean.Counts | Mean.TPM |
---|---|---|---|---|---|---|---|
CCR7 | 0.0110171 | 2 | GTEx | DepMap | Descartes | 1.27 | 769.18 |
SELL | 0.0099912 | 4 | GTEx | DepMap | Descartes | 1.83 | 986.21 |
CD8A | 0.0025494 | 164 | GTEx | DepMap | Descartes | 0.50 | 178.36 |