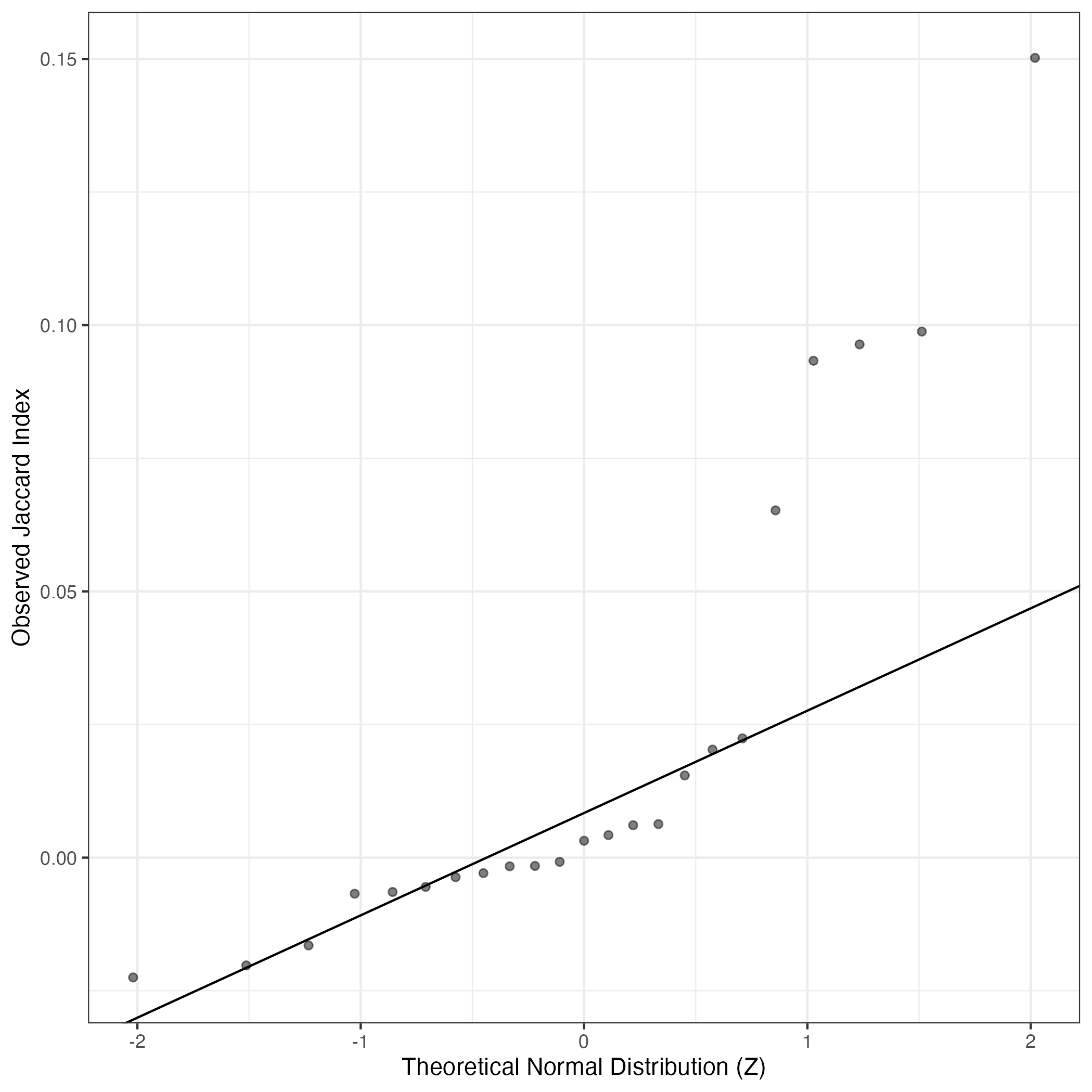
QQ-plot of gene loadings, averaged over both independent splits of the data
This plot highlights the relative contribution of each gene to the GEP
Top genes driving this program.
Note: Decartes website is buggy, try refreshing. Also, Decartes fetal adrenal data have been collected at specific time points (89-122 days), all possible cell types of interest may not be represented, do not overinterpret.
The Mean Count column shows the mean read count in cells scoring highly (H > 50) on this gene expression program.
Gene | Loading | Gene.Name | GTEx | DepMap | Descartes | Mean.Counts | Mean.Tpm | |
---|---|---|---|---|---|---|---|---|
1 | MSX2 | 0.0087507 | msh homeobox 2 | GTEx | DepMap | Descartes | 3.49 | 73.30 |
2 | BAMBI | 0.0078361 | BMP and activin membrane bound inhibitor | GTEx | DepMap | Descartes | 5.44 | 90.01 |
3 | DLX2 | 0.0069116 | distal-less homeobox 2 | GTEx | DepMap | Descartes | 2.33 | 91.83 |
4 | FGF8 | 0.0063607 | fibroblast growth factor 8 | GTEx | DepMap | Descartes | 1.33 | 32.31 |
5 | BHLHA9 | 0.0053074 | basic helix-loop-helix family member a9 | GTEx | DepMap | Descartes | 1.50 | 140.68 |
6 | SP6 | 0.0048811 | Sp6 transcription factor | GTEx | DepMap | Descartes | 0.79 | 8.86 |
7 | MSX1 | 0.0048670 | msh homeobox 1 | GTEx | DepMap | Descartes | 3.44 | 133.79 |
8 | COL17A1 | 0.0045498 | collagen type XVII alpha 1 chain | GTEx | DepMap | Descartes | 4.83 | 11.65 |
9 | DLX3 | 0.0043953 | distal-less homeobox 3 | GTEx | DepMap | Descartes | 1.15 | 22.84 |
10 | WNT5A | 0.0043736 | Wnt family member 5A | GTEx | DepMap | Descartes | 3.14 | 20.52 |
11 | SP8 | 0.0041562 | Sp8 transcription factor | GTEx | DepMap | Descartes | 0.81 | 16.58 |
12 | EN1 | 0.0040675 | engrailed homeobox 1 | GTEx | DepMap | Descartes | 3.18 | 67.47 |
13 | DLX1 | 0.0040462 | distal-less homeobox 1 | GTEx | DepMap | Descartes | 1.32 | 28.19 |
14 | UNC5B | 0.0038897 | unc-5 netrin receptor B | GTEx | DepMap | Descartes | 1.75 | 2.79 |
15 | ANKRD65 | 0.0038665 | ankyrin repeat domain 65 | GTEx | DepMap | Descartes | 0.01 | 0.05 |
16 | KRT75 | 0.0038578 | keratin 75 | GTEx | DepMap | Descartes | 0.20 | 2.40 |
17 | DLX6OS1 | 0.0036277 | NA | GTEx | DepMap | Descartes | 0.14 | 0.56 |
18 | LMO7 | 0.0033867 | LIM domain 7 | GTEx | DepMap | Descartes | 2.65 | 1.65 |
19 | ADAMTS18 | 0.0033335 | ADAM metallopeptidase with thrombospondin type 1 motif 18 | GTEx | DepMap | Descartes | 1.40 | 1.08 |
20 | SPRY1 | 0.0032824 | sprouty RTK signaling antagonist 1 | GTEx | DepMap | Descartes | 3.31 | 82.29 |
21 | OTX1 | 0.0032681 | orthodenticle homeobox 1 | GTEx | DepMap | Descartes | 0.35 | 4.56 |
22 | CLCA2 | 0.0031801 | chloride channel accessory 2 | GTEx | DepMap | Descartes | 0.07 | 0.28 |
23 | DLX5 | 0.0031228 | distal-less homeobox 5 | GTEx | DepMap | Descartes | 0.87 | 29.96 |
24 | TNS4 | 0.0031047 | tensin 4 | GTEx | DepMap | Descartes | 0.27 | 1.28 |
25 | VWDE | 0.0030886 | von Willebrand factor D and EGF domains | GTEx | DepMap | Descartes | 0.11 | 0.25 |
26 | D930020B18RIK | 0.0030851 | NA | GTEx | DepMap | Descartes | 0.09 | 0.19 |
27 | IGFBP5 | 0.0028974 | insulin like growth factor binding protein 5 | GTEx | DepMap | Descartes | 44.17 | 304.28 |
28 | SLC16A10 | 0.0028773 | solute carrier family 16 member 10 | GTEx | DepMap | Descartes | 0.32 | 0.43 |
29 | FREM2 | 0.0028076 | FRAS1 related extracellular matrix 2 | GTEx | DepMap | Descartes | 2.90 | 2.21 |
30 | KRT35 | 0.0027975 | keratin 35 | GTEx | DepMap | Descartes | 0.06 | 1.67 |
31 | HPGD | 0.0026777 | 15-hydroxyprostaglandin dehydrogenase | GTEx | DepMap | Descartes | 0.66 | 3.46 |
32 | KLK10 | 0.0026033 | kallikrein related peptidase 10 | GTEx | DepMap | Descartes | 0.55 | 27.29 |
33 | LOR | 0.0025622 | NA | GTEx | DepMap | Descartes | 2.31 | 95.90 |
34 | ACPP | 0.0024908 | NA | GTEx | DepMap | Descartes | 0.32 | 0.74 |
35 | 4930440I19RIK | 0.0024565 | NA | GTEx | DepMap | Descartes | 0.00 | 0.00 |
36 | RSPO2 | 0.0024500 | R-spondin 2 | GTEx | DepMap | Descartes | 0.31 | 0.28 |
37 | WNT6 | 0.0024150 | Wnt family member 6 | GTEx | DepMap | Descartes | 12.04 | 103.31 |
38 | 2610027F03RIK | 0.0024076 | NA | GTEx | DepMap | Descartes | 0.09 | 0.13 |
39 | S100A6 | 0.0024030 | S100 calcium binding protein A6 | GTEx | DepMap | Descartes | 2.91 | 39.65 |
40 | RPL17 | 0.0023652 | ribosomal protein L17 | GTEx | DepMap | Descartes | 144.83 | 3218.18 |
41 | WLS | 0.0023555 | Wnt ligand secretion mediator | GTEx | DepMap | Descartes | 10.07 | 12.01 |
42 | RAPGEF4OS2 | 0.0023129 | NA | GTEx | DepMap | Descartes | 0.00 | 0.02 |
43 | RPS27 | 0.0022801 | ribosomal protein S27 | GTEx | DepMap | Descartes | 85.63 | 8067.31 |
44 | RPS28 | 0.0022302 | ribosomal protein S28 | GTEx | DepMap | Descartes | 92.06 | 1769.23 |
45 | GPR151 | 0.0022235 | G protein-coupled receptor 151 | GTEx | DepMap | Descartes | 0.00 | 1.02 |
46 | EMX2 | 0.0021922 | empty spiracles homeobox 2 | GTEx | DepMap | Descartes | 1.37 | 21.62 |
47 | FXYD3 | 0.0021711 | FXYD domain containing ion transport regulator 3 | GTEx | DepMap | Descartes | 5.40 | 73.07 |
48 | NPNT | 0.0021539 | nephronectin | GTEx | DepMap | Descartes | 3.40 | 5.72 |
49 | LAMA5 | 0.0021460 | laminin subunit alpha 5 | GTEx | DepMap | Descartes | 3.04 | 6.59 |
50 | HOXC13 | 0.0021374 | homeobox C13 | GTEx | DepMap | Descartes | 1.86 | 28.59 |
UMAP plots showing activity of gene expression program identified in GEP 15. Peripheral Nervous System III:
Gene set Enrichments for this program, caculated from top 50 genes
mSigDB Cell Types Gene Set:
P-value | OR | Lower 95% CI | FDR | FWER | Genes Found | Gene Set Size | |
---|---|---|---|---|---|---|---|
FAN_EMBRYONIC_CTX_BIG_GROUPS_INHIBITORY | 3.52e-06 | 136.08 | 22.99 | 2.16e-03 | 2.36e-03 | 3DLX2, DLX1, DLX5 |
12 |
FAN_EMBRYONIC_CTX_IN_5_INTERNEURON | 9.77e-05 | 199.39 | 17.66 | 9.73e-03 | 6.55e-02 | 2DLX1, DLX5 |
6 |
ZHONG_PFC_MAJOR_TYPES_INTERNEURON | 1.29e-05 | 81.96 | 14.70 | 2.88e-03 | 8.65e-03 | 3DLX2, DLX1, DLX5 |
18 |
DESCARTES_FETAL_CEREBRUM_INHIBITORY_NEURONS | 6.45e-06 | 38.93 | 9.75 | 2.16e-03 | 4.33e-03 | 4DLX2, SP8, DLX1, DLX5 |
47 |
ZHONG_PFC_C6_DLX5_GAD1_GAD2_POS_INTERNEURON | 6.73e-04 | 61.64 | 6.58 | 3.84e-02 | 4.52e-01 | 2DLX2, DLX5 |
15 |
FAN_OVARY_CL2_PUTATIVE_EARLY_ATRETIC_FOLLICLE_THECAL_CELL_1 | 1.17e-04 | 17.83 | 4.57 | 9.73e-03 | 7.87e-02 | 4IGFBP5, S100A6, RPL17, RPS27 |
98 |
BUSSLINGER_GASTRIC_MATURE_PIT_CELLS | 2.21e-05 | 12.06 | 4.16 | 3.70e-03 | 1.48e-02 | 6COL17A1, UNC5B, LMO7, HPGD, S100A6, FXYD3 |
224 |
DESCARTES_FETAL_STOMACH_SQUAMOUS_EPITHELIAL_CELLS | 6.88e-04 | 19.22 | 3.73 | 3.84e-02 | 4.61e-01 | 3COL17A1, CLCA2, TNS4 |
67 |
ZHONG_PFC_C2_SOX5_BCL11B_POS_EXCITATORY_NEURON | 2.37e-03 | 30.86 | 3.45 | 9.35e-02 | 1.00e+00 | 2LMO7, IGFBP5 |
28 |
MANNO_MIDBRAIN_NEUROTYPES_HRGL1 | 3.51e-05 | 8.79 | 3.31 | 4.71e-03 | 2.35e-02 | 7MSX1, WNT5A, IGFBP5, FREM2, RSPO2, WLS, NPNT |
364 |
BUSSLINGER_ESOPHAGEAL_QUIESCENT_BASAL_CELLS | 1.03e-03 | 16.61 | 3.24 | 4.93e-02 | 6.91e-01 | 3COL17A1, IGFBP5, LAMA5 |
77 |
DESCARTES_FETAL_KIDNEY_URETERIC_BUD_CELLS | 1.09e-04 | 8.94 | 3.09 | 9.73e-03 | 7.34e-02 | 6MSX2, COL17A1, TNS4, HPGD, WNT6, FXYD3 |
300 |
RUBENSTEIN_SKELETAL_MUSCLE_SATELLITE_CELLS | 1.31e-04 | 8.65 | 2.99 | 9.73e-03 | 8.76e-02 | 6SPRY1, IGFBP5, S100A6, RPL17, RPS27, RPS28 |
310 |
BUSSLINGER_GASTRIC_IMMATURE_PIT_CELLS | 8.42e-04 | 10.41 | 2.69 | 4.34e-02 | 5.65e-01 | 4LMO7, HPGD, S100A6, FXYD3 |
165 |
MENON_FETAL_KIDNEY_6_COLLECTING_DUCT_CELLS | 1.82e-03 | 13.52 | 2.64 | 8.16e-02 | 1.00e+00 | 3S100A6, EMX2, NPNT |
94 |
BUSSLINGER_GASTRIC_METALLOTHIONEIN_CELLS | 2.18e-03 | 12.68 | 2.48 | 9.12e-02 | 1.00e+00 | 3HPGD, RPS28, FXYD3 |
100 |
TRAVAGLINI_LUNG_CAPILLARY_AEROCYTE_CELL | 5.26e-03 | 20.06 | 2.29 | 1.54e-01 | 1.00e+00 | 2HPGD, S100A6 |
42 |
BUSSLINGER_GASTRIC_LYZ_POSITIVE_CELLS | 2.92e-03 | 11.39 | 2.23 | 1.03e-01 | 1.00e+00 | 3RPL17, RPS27, RPS28 |
111 |
BUSSLINGER_GASTRIC_PPP1R1B_POSITIVE_CELLS | 3.72e-03 | 10.42 | 2.05 | 1.25e-01 | 1.00e+00 | 3RPL17, RPS27, RPS28 |
121 |
HAY_BONE_MARROW_STROMAL | 5.54e-04 | 4.85 | 1.96 | 3.72e-02 | 3.72e-01 | 8MSX1, UNC5B, SPRY1, CLCA2, DLX5, IGFBP5, EMX2, NPNT |
765 |
Dowload full table
mSigDB Hallmark Gene Sets:
P-value | OR | Lower 95% CI | FDR | FWER | Genes Found | Gene Set Size | |
---|---|---|---|---|---|---|---|
HALLMARK_EPITHELIAL_MESENCHYMAL_TRANSITION | 9.29e-02 | 4.06 | 0.47 | 1.00e+00 | 1.00e+00 | 2MSX1, WNT5A |
200 |
HALLMARK_NOTCH_SIGNALING | 7.95e-02 | 12.68 | 0.31 | 1.00e+00 | 1.00e+00 | 1WNT5A |
32 |
HALLMARK_ANGIOGENESIS | 8.89e-02 | 11.24 | 0.27 | 1.00e+00 | 1.00e+00 | 1MSX1 |
36 |
HALLMARK_WNT_BETA_CATENIN_SIGNALING | 1.03e-01 | 9.59 | 0.23 | 1.00e+00 | 1.00e+00 | 1WNT6 |
42 |
HALLMARK_ANDROGEN_RESPONSE | 2.28e-01 | 3.97 | 0.10 | 1.00e+00 | 1.00e+00 | 1HPGD |
100 |
HALLMARK_UV_RESPONSE_DN | 3.10e-01 | 2.75 | 0.07 | 1.00e+00 | 1.00e+00 | 1IGFBP5 |
144 |
HALLMARK_FATTY_ACID_METABOLISM | 3.35e-01 | 2.51 | 0.06 | 1.00e+00 | 1.00e+00 | 1HPGD |
158 |
HALLMARK_UV_RESPONSE_UP | 3.35e-01 | 2.51 | 0.06 | 1.00e+00 | 1.00e+00 | 1MSX1 |
158 |
HALLMARK_IL2_STAT5_SIGNALING | 4.01e-01 | 1.99 | 0.05 | 1.00e+00 | 1.00e+00 | 1WLS |
199 |
HALLMARK_ESTROGEN_RESPONSE_EARLY | 4.03e-01 | 1.98 | 0.05 | 1.00e+00 | 1.00e+00 | 1KLK10 |
200 |
HALLMARK_ESTROGEN_RESPONSE_LATE | 4.03e-01 | 1.98 | 0.05 | 1.00e+00 | 1.00e+00 | 1KLK10 |
200 |
HALLMARK_APICAL_JUNCTION | 4.03e-01 | 1.98 | 0.05 | 1.00e+00 | 1.00e+00 | 1COL17A1 |
200 |
HALLMARK_MTORC1_SIGNALING | 4.03e-01 | 1.98 | 0.05 | 1.00e+00 | 1.00e+00 | 1IGFBP5 |
200 |
HALLMARK_P53_PATHWAY | 4.03e-01 | 1.98 | 0.05 | 1.00e+00 | 1.00e+00 | 1CLCA2 |
200 |
HALLMARK_TNFA_SIGNALING_VIA_NFKB | 1.00e+00 | 0.00 | 0.00 | 1.00e+00 | 1.00e+00 | 0 |
200 |
HALLMARK_HYPOXIA | 1.00e+00 | 0.00 | 0.00 | 1.00e+00 | 1.00e+00 | 0 |
200 |
HALLMARK_CHOLESTEROL_HOMEOSTASIS | 1.00e+00 | 0.00 | 0.00 | 1.00e+00 | 1.00e+00 | 0 |
74 |
HALLMARK_MITOTIC_SPINDLE | 1.00e+00 | 0.00 | 0.00 | 1.00e+00 | 1.00e+00 | 0 |
199 |
HALLMARK_TGF_BETA_SIGNALING | 1.00e+00 | 0.00 | 0.00 | 1.00e+00 | 1.00e+00 | 0 |
54 |
HALLMARK_IL6_JAK_STAT3_SIGNALING | 1.00e+00 | 0.00 | 0.00 | 1.00e+00 | 1.00e+00 | 0 |
87 |
Dowload full table
KEGG Pathways:
P-value | OR | Lower 95% CI | FDR | FWER | Genes Found | Gene Set Size | |
---|---|---|---|---|---|---|---|
KEGG_RIBOSOME | 1.51e-03 | 14.47 | 2.83 | 2.81e-01 | 2.81e-01 | 3RPL17, RPS27, RPS28 |
88 |
KEGG_BASAL_CELL_CARCINOMA | 8.87e-03 | 15.15 | 1.74 | 4.32e-01 | 1.00e+00 | 2WNT5A, WNT6 |
55 |
KEGG_HEDGEHOG_SIGNALING_PATHWAY | 9.19e-03 | 14.87 | 1.71 | 4.32e-01 | 1.00e+00 | 2WNT5A, WNT6 |
56 |
KEGG_PATHWAYS_IN_CANCER | 9.30e-03 | 5.22 | 1.36 | 4.32e-01 | 1.00e+00 | 4FGF8, WNT5A, WNT6, LAMA5 |
325 |
KEGG_MELANOGENESIS | 2.79e-02 | 8.11 | 0.94 | 1.00e+00 | 1.00e+00 | 2WNT5A, WNT6 |
101 |
KEGG_WNT_SIGNALING_PATHWAY | 5.74e-02 | 5.39 | 0.63 | 1.00e+00 | 1.00e+00 | 2WNT5A, WNT6 |
151 |
KEGG_MELANOMA | 1.68e-01 | 5.62 | 0.14 | 1.00e+00 | 1.00e+00 | 1FGF8 |
71 |
KEGG_ADHERENS_JUNCTION | 1.72e-01 | 5.46 | 0.13 | 1.00e+00 | 1.00e+00 | 1LMO7 |
73 |
KEGG_ECM_RECEPTOR_INTERACTION | 1.95e-01 | 4.74 | 0.12 | 1.00e+00 | 1.00e+00 | 1LAMA5 |
84 |
KEGG_SMALL_CELL_LUNG_CANCER | 1.95e-01 | 4.74 | 0.12 | 1.00e+00 | 1.00e+00 | 1LAMA5 |
84 |
KEGG_AXON_GUIDANCE | 2.83e-01 | 3.07 | 0.08 | 1.00e+00 | 1.00e+00 | 1UNC5B |
129 |
KEGG_JAK_STAT_SIGNALING_PATHWAY | 3.30e-01 | 2.55 | 0.06 | 1.00e+00 | 1.00e+00 | 1SPRY1 |
155 |
KEGG_FOCAL_ADHESION | 4.01e-01 | 1.99 | 0.05 | 1.00e+00 | 1.00e+00 | 1LAMA5 |
199 |
KEGG_REGULATION_OF_ACTIN_CYTOSKELETON | 4.22e-01 | 1.86 | 0.05 | 1.00e+00 | 1.00e+00 | 1FGF8 |
213 |
KEGG_MAPK_SIGNALING_PATHWAY | 4.97e-01 | 1.48 | 0.04 | 1.00e+00 | 1.00e+00 | 1FGF8 |
267 |
KEGG_OLFACTORY_TRANSDUCTION | 1.00e+00 | 1.01 | 0.03 | 1.00e+00 | 1.00e+00 | 1CLCA2 |
389 |
KEGG_N_GLYCAN_BIOSYNTHESIS | 1.00e+00 | 0.00 | 0.00 | 1.00e+00 | 1.00e+00 | 0 |
46 |
KEGG_OTHER_GLYCAN_DEGRADATION | 1.00e+00 | 0.00 | 0.00 | 1.00e+00 | 1.00e+00 | 0 |
16 |
KEGG_O_GLYCAN_BIOSYNTHESIS | 1.00e+00 | 0.00 | 0.00 | 1.00e+00 | 1.00e+00 | 0 |
30 |
KEGG_GLYCOSAMINOGLYCAN_DEGRADATION | 1.00e+00 | 0.00 | 0.00 | 1.00e+00 | 1.00e+00 | 0 |
21 |
Dowload full table
CHR Positional Gene Sets:
P-value | OR | Lower 95% CI | FDR | FWER | Genes Found | Gene Set Size | |
---|---|---|---|---|---|---|---|
chr7p21 | 1.94e-02 | 9.91 | 1.15 | 1.00e+00 | 1.00e+00 | 2SP8, VWDE |
83 |
chr17q21 | 2.81e-02 | 3.70 | 0.96 | 1.00e+00 | 1.00e+00 | 4SP6, DLX3, TNS4, KRT35 |
457 |
chr2q35 | 4.17e-02 | 6.48 | 0.75 | 1.00e+00 | 1.00e+00 | 2IGFBP5, WNT6 |
126 |
chr2q31 | 6.84e-02 | 4.87 | 0.57 | 1.00e+00 | 1.00e+00 | 2DLX2, DLX1 |
167 |
chr1q21 | 2.62e-01 | 2.06 | 0.24 | 1.00e+00 | 1.00e+00 | 2S100A6, RPS27 |
392 |
chr12q13 | 2.76e-01 | 1.98 | 0.23 | 1.00e+00 | 1.00e+00 | 2KRT75, HOXC13 |
407 |
chr2p15 | 1.05e-01 | 9.36 | 0.23 | 1.00e+00 | 1.00e+00 | 1OTX1 |
43 |
chr8q23 | 1.08e-01 | 9.15 | 0.22 | 1.00e+00 | 1.00e+00 | 1RSPO2 |
44 |
chr4q24 | 1.35e-01 | 7.15 | 0.17 | 1.00e+00 | 1.00e+00 | 1NPNT |
56 |
chr13q22 | 1.46e-01 | 6.56 | 0.16 | 1.00e+00 | 1.00e+00 | 1LMO7 |
61 |
chr13q13 | 1.83e-01 | 5.11 | 0.13 | 1.00e+00 | 1.00e+00 | 1FREM2 |
78 |
chr16q23 | 2.36e-01 | 3.82 | 0.09 | 1.00e+00 | 1.00e+00 | 1ADAMTS18 |
104 |
chr6q21 | 2.61e-01 | 3.39 | 0.08 | 1.00e+00 | 1.00e+00 | 1SLC16A10 |
117 |
chr19q13 | 1.00e+00 | 0.69 | 0.08 | 1.00e+00 | 1.00e+00 | 2KLK10, FXYD3 |
1165 |
chr3p14 | 2.70e-01 | 3.25 | 0.08 | 1.00e+00 | 1.00e+00 | 1WNT5A |
122 |
chr10q25 | 2.78e-01 | 3.15 | 0.08 | 1.00e+00 | 1.00e+00 | 1COL17A1 |
126 |
chr1p22 | 2.83e-01 | 3.07 | 0.08 | 1.00e+00 | 1.00e+00 | 1CLCA2 |
129 |
chr10p12 | 2.94e-01 | 2.94 | 0.07 | 1.00e+00 | 1.00e+00 | 1BAMBI |
135 |
chr2q14 | 3.28e-01 | 2.57 | 0.06 | 1.00e+00 | 1.00e+00 | 1EN1 |
154 |
chr7q21 | 3.45e-01 | 2.41 | 0.06 | 1.00e+00 | 1.00e+00 | 1DLX5 |
164 |
Dowload full table
Transcription Factor Targets:
P-value | OR | Lower 95% CI | FDR | FWER | Genes Found | Gene Set Size | |
---|---|---|---|---|---|---|---|
TAATTA_CHX10_01 | 6.99e-08 | 8.37 | 4.06 | 7.92e-05 | 7.92e-05 | 13MSX2, BAMBI, DLX2, SP6, MSX1, WNT5A, SP8, EN1, DLX1, UNC5B, SPRY1, HPGD, EMX2 |
823 |
MSX1_01 | 8.39e-05 | 12.60 | 3.85 | 4.75e-02 | 9.51e-02 | 5MSX1, EN1, DLX1, DLX5, WNT6 |
175 |
CHX10_01 | 2.85e-04 | 9.61 | 2.95 | 5.59e-02 | 3.23e-01 | 5BAMBI, MSX1, WNT5A, EN1, DLX1 |
228 |
LHX3_01 | 3.08e-04 | 9.44 | 2.90 | 5.59e-02 | 3.49e-01 | 5MSX2, SP6, SP8, EN1, UNC5B |
232 |
OCT1_03 | 3.33e-04 | 9.27 | 2.85 | 5.59e-02 | 3.78e-01 | 5BAMBI, DLX2, EN1, DLX1, EMX2 |
236 |
CEBPA_01 | 4.81e-04 | 8.53 | 2.62 | 5.59e-02 | 5.45e-01 | 5WNT5A, SP8, EN1, DLX1, OTX1 |
256 |
TEF_Q6 | 5.34e-04 | 8.33 | 2.56 | 5.59e-02 | 6.05e-01 | 5LMO7, OTX1, DLX5, RSPO2, EMX2 |
262 |
IRF1_Q6 | 5.43e-04 | 8.30 | 2.55 | 5.59e-02 | 6.15e-01 | 5MSX1, WNT5A, DLX1, OTX1, EMX2 |
263 |
HNF4_Q6 | 6.21e-04 | 8.05 | 2.47 | 5.86e-02 | 7.03e-01 | 5SP8, SPRY1, KRT35, EMX2, NPNT |
271 |
YATTNATC_UNKNOWN | 3.94e-04 | 6.99 | 2.42 | 5.59e-02 | 4.46e-01 | 6SP6, EN1, SLC16A10, WNT6, GPR151, EMX2 |
382 |
STTTCRNTTT_IRF_Q6 | 1.47e-03 | 8.92 | 2.31 | 1.19e-01 | 1.00e+00 | 4MSX1, WNT5A, OTX1, IGFBP5 |
192 |
GATAAGR_GATA_C | 9.59e-04 | 7.29 | 2.24 | 8.36e-02 | 1.00e+00 | 5MSX2, EN1, IGFBP5, RSPO2, RPS27 |
299 |
HOX13_01 | 6.28e-03 | 18.24 | 2.08 | 2.54e-01 | 1.00e+00 | 2UNC5B, EMX2 |
46 |
CTTTGA_LEF1_Q2 | 1.62e-04 | 4.40 | 2.03 | 5.59e-02 | 1.84e-01 | 11MSX1, SP8, EN1, DLX1, LMO7, OTX1, DLX5, KRT35, WNT6, GPR151, NPNT |
1247 |
IRF2_01 | 4.45e-03 | 9.76 | 1.92 | 2.18e-01 | 1.00e+00 | 3MSX1, DLX1, OTX1 |
129 |
CBX7_TARGET_GENES | 5.06e-04 | 4.44 | 1.89 | 5.59e-02 | 5.73e-01 | 9BAMBI, DLX2, EN1, DLX1, SPRY1, OTX1, IGFBP5, SLC16A10, HPGD |
962 |
HNF6_Q6 | 3.22e-03 | 7.13 | 1.85 | 1.87e-01 | 1.00e+00 | 4BAMBI, DLX2, FGF8, SP8 |
239 |
MZF1_01 | 3.27e-03 | 7.10 | 1.84 | 1.87e-01 | 1.00e+00 | 4SP6, EN1, DLX1, IGFBP5 |
240 |
POU6F1_01 | 3.27e-03 | 7.10 | 1.84 | 1.87e-01 | 1.00e+00 | 4SP6, EN1, DLX1, EMX2 |
240 |
PAX4_02 | 3.31e-03 | 7.07 | 1.83 | 1.87e-01 | 1.00e+00 | 4FGF8, MSX1, DLX1, HOXC13 |
241 |
Dowload full table
GO Biological Processes:
P-value | OR | Lower 95% CI | FDR | FWER | Genes Found | Gene Set Size | |
---|---|---|---|---|---|---|---|
GOBP_REGULATION_OF_ODONTOGENESIS | 5.28e-08 | 152.08 | 33.97 | 2.63e-05 | 3.95e-04 | 4FGF8, SP6, MSX1, RSPO2 |
15 |
GOBP_FOREBRAIN_MORPHOGENESIS | 1.93e-06 | 174.63 | 28.31 | 6.86e-04 | 1.44e-02 | 3FGF8, WNT5A, OTX1 |
10 |
GOBP_ODONTOGENESIS_OF_DENTIN_CONTAINING_TOOTH | 4.05e-11 | 48.23 | 18.93 | 6.05e-08 | 3.03e-07 | 8DLX2, FGF8, MSX1, DLX3, DLX1, RSPO2, WNT6, LAMA5 |
84 |
GOBP_NEGATIVE_REGULATION_OF_PHOTORECEPTOR_CELL_DIFFERENTIATION | 9.77e-05 | 199.39 | 17.66 | 1.03e-02 | 7.31e-01 | 2DLX2, DLX1 |
6 |
GOBP_ODONTOGENESIS | 2.42e-11 | 37.05 | 15.48 | 5.85e-08 | 1.81e-07 | 9DLX2, FGF8, SP6, MSX1, DLX3, DLX1, RSPO2, WNT6, LAMA5 |
123 |
GOBP_MIDBRAIN_HINDBRAIN_BOUNDARY_DEVELOPMENT | 1.36e-04 | 159.06 | 14.87 | 1.38e-02 | 1.00e+00 | 2FGF8, EN1 |
7 |
GOBP_PROXIMAL_DISTAL_PATTERN_FORMATION | 1.34e-06 | 59.75 | 14.64 | 5.02e-04 | 1.00e-02 | 4DLX2, SP8, EN1, DLX1 |
32 |
GOBP_EMBRYONIC_APPENDAGE_MORPHOGENESIS | 4.13e-10 | 35.27 | 13.96 | 4.42e-07 | 3.09e-06 | 8FGF8, MSX1, WNT5A, SP8, EN1, DLX5, FREM2, RSPO2 |
112 |
GOBP_AMACRINE_CELL_DIFFERENTIATION | 1.82e-04 | 133.25 | 12.84 | 1.71e-02 | 1.00e+00 | 2DLX2, DLX1 |
8 |
GOBP_DOPAMINERGIC_NEURON_DIFFERENTIATION | 2.44e-06 | 50.67 | 12.55 | 8.29e-04 | 1.82e-02 | 4FGF8, WNT5A, EN1, RSPO2 |
37 |
GOBP_FOREBRAIN_GENERATION_OF_NEURONS | 3.22e-07 | 41.97 | 12.48 | 1.34e-04 | 2.41e-03 | 5DLX2, FGF8, WNT5A, DLX1, DLX5 |
56 |
GOBP_ORGAN_INDUCTION | 2.09e-05 | 68.19 | 12.45 | 4.42e-03 | 1.56e-01 | 3FGF8, WNT5A, SPRY1 |
21 |
GOBP_APPENDAGE_MORPHOGENESIS | 1.72e-09 | 29.13 | 11.57 | 1.43e-06 | 1.29e-05 | 8FGF8, MSX1, WNT5A, SP8, EN1, DLX5, FREM2, RSPO2 |
134 |
GOBP_ROSTROCAUDAL_NEURAL_TUBE_PATTERNING | 2.33e-04 | 114.17 | 11.31 | 1.96e-02 | 1.00e+00 | 2FGF8, EN1 |
9 |
GOBP_NAIL_DEVELOPMENT | 2.33e-04 | 114.17 | 11.31 | 1.96e-02 | 1.00e+00 | 2MSX1, HOXC13 |
9 |
GOBP_REGULATION_OF_ODONTOGENESIS_OF_DENTIN_CONTAINING_TOOTH | 2.33e-04 | 114.17 | 11.31 | 1.96e-02 | 1.00e+00 | 2FGF8, RSPO2 |
9 |
GOBP_REGULATION_OF_PHOTORECEPTOR_CELL_DIFFERENTIATION | 2.33e-04 | 114.17 | 11.31 | 1.96e-02 | 1.00e+00 | 2DLX2, DLX1 |
9 |
GOBP_SUBPALLIUM_DEVELOPMENT | 2.77e-05 | 61.39 | 11.30 | 5.32e-03 | 2.07e-01 | 3DLX2, FGF8, DLX1 |
23 |
GOBP_APPENDAGE_DEVELOPMENT | 3.71e-10 | 26.76 | 11.25 | 4.42e-07 | 2.77e-06 | 9FGF8, MSX1, WNT5A, SP8, EN1, DLX5, FREM2, RSPO2, HOXC13 |
167 |
GOBP_CEREBRAL_CORTEX_GABAERGIC_INTERNEURON_DIFFERENTIATION | 2.91e-04 | 100.19 | 10.10 | 2.32e-02 | 1.00e+00 | 2DLX2, DLX1 |
10 |
Dowload full table
Immunological Gene Sets:
P-value | OR | Lower 95% CI | FDR | FWER | Genes Found | Gene Set Size | |
---|---|---|---|---|---|---|---|
GSE43955_10H_VS_30H_ACT_CD4_TCELL_WITH_TGFB_IL6_DN | 1.53e-04 | 11.04 | 3.38 | 7.43e-01 | 7.43e-01 | 5MSX1, HPGD, S100A6, WLS, NPNT |
199 |
GSE1460_DP_THYMOCYTE_VS_NAIVE_CD4_TCELL_CORD_BLOOD_DN | 1.64e-03 | 8.64 | 2.24 | 1.00e+00 | 1.00e+00 | 4DLX5, KLK10, WNT6, RPS27 |
198 |
GSE21670_UNTREATED_VS_TGFB_IL6_TREATED_CD4_TCELL_DN | 1.64e-03 | 8.64 | 2.24 | 1.00e+00 | 1.00e+00 | 4SLC16A10, S100A6, RPL17, RPS27 |
198 |
GSE1460_INTRATHYMIC_T_PROGENITOR_VS_NAIVE_CD4_TCELL_CORD_BLOOD_DN | 1.67e-03 | 8.60 | 2.23 | 1.00e+00 | 1.00e+00 | 4MSX2, DLX5, S100A6, FXYD3 |
199 |
GSE22935_WT_VS_MYD88_KO_MACROPHAGE_DN | 1.70e-03 | 8.55 | 2.21 | 1.00e+00 | 1.00e+00 | 4BAMBI, DLX5, FREM2, NPNT |
200 |
GSE37301_CD4_TCELL_VS_RAG2_KO_NK_CELL_DN | 1.10e-02 | 6.95 | 1.37 | 1.00e+00 | 1.00e+00 | 3SP6, HPGD, NPNT |
180 |
GSE37301_PRO_BCELL_VS_RAG2_KO_NK_CELL_UP | 1.13e-02 | 6.87 | 1.36 | 1.00e+00 | 1.00e+00 | 3SP6, HPGD, NPNT |
182 |
GSE7219_WT_VS_NIK_NFKB2_KO_DC_UP | 1.19e-02 | 6.76 | 1.33 | 1.00e+00 | 1.00e+00 | 3BAMBI, SPRY1, SLC16A10 |
185 |
GSE21670_IL6_VS_TGFB_AND_IL6_TREATED_CD4_TCELL_UP | 1.33e-02 | 6.48 | 1.28 | 1.00e+00 | 1.00e+00 | 3SLC16A10, RPL17, RPS27 |
193 |
GSE14000_TRANSLATED_RNA_VS_MRNA_4H_LPS_DC_DN | 1.34e-02 | 6.44 | 1.27 | 1.00e+00 | 1.00e+00 | 3SP8, RPS27, RPS28 |
194 |
GSE2770_TGFB_AND_IL4_ACT_VS_ACT_CD4_TCELL_2H_UP | 1.38e-02 | 6.38 | 1.26 | 1.00e+00 | 1.00e+00 | 3MSX1, KLK10, RPL17 |
196 |
GSE20152_HTNFA_OVERXPRESS_ANKLE_VS_CTRL_SPHK1_KO_ANKLE_UP | 1.38e-02 | 6.38 | 1.26 | 1.00e+00 | 1.00e+00 | 3S100A6, RPS27, LAMA5 |
196 |
GSE41867_DAY6_VS_DAY15_LCMV_ARMSTRONG_EFFECTOR_CD8_TCELL_UP | 1.38e-02 | 6.38 | 1.26 | 1.00e+00 | 1.00e+00 | 3BAMBI, EN1, NPNT |
196 |
GSE7460_TREG_VS_TCONV_ACT_DN | 1.40e-02 | 6.34 | 1.25 | 1.00e+00 | 1.00e+00 | 3MSX1, COL17A1, HOXC13 |
197 |
GSE15324_ELF4_KO_VS_WT_NAIVE_CD8_TCELL_DN | 1.42e-02 | 6.31 | 1.25 | 1.00e+00 | 1.00e+00 | 3BAMBI, FGF8, EMX2 |
198 |
GSE22886_TH1_VS_TH2_48H_ACT_UP | 1.42e-02 | 6.31 | 1.25 | 1.00e+00 | 1.00e+00 | 3EN1, SPRY1, DLX5 |
198 |
GSE29618_PRE_VS_DAY7_POST_LAIV_FLU_VACCINE_BCELL_UP | 1.42e-02 | 6.31 | 1.25 | 1.00e+00 | 1.00e+00 | 3MSX2, COL17A1, HOXC13 |
198 |
GSE20366_EX_VIVO_VS_DEC205_CONVERSION_NAIVE_CD4_TCELL_DN | 1.44e-02 | 6.28 | 1.24 | 1.00e+00 | 1.00e+00 | 3BAMBI, WNT5A, WLS |
199 |
GSE20715_WT_VS_TLR4_KO_LUNG_DN | 1.44e-02 | 6.28 | 1.24 | 1.00e+00 | 1.00e+00 | 3BAMBI, RPS27, LAMA5 |
199 |
GSE5589_LPS_VS_LPS_AND_IL6_STIM_IL10_KO_MACROPHAGE_45MIN_UP | 1.44e-02 | 6.28 | 1.24 | 1.00e+00 | 1.00e+00 | 3SP6, OTX1, RPS27 |
199 |
Top Ranked Transcription Factors for this Gene Expression Program:
Gene Symbol | TF Rank | DNA Binding Domain | Motif Status | IUPAC PWM | GTEx | DepMap | Decartes |
---|---|---|---|---|---|---|---|
MSX2 | 1 | Yes | Known motif | Monomer or homomultimer | High-throughput in vitro | None | None |
DLX2 | 3 | Yes | Known motif | Monomer or homomultimer | High-throughput in vitro | None | None |
BHLHA9 | 5 | Yes | Likely to be sequence specific TF | Obligate heteromer | No motif | None | Protein heterodimerizes with TCF3; TCF4 and TCF12 (PMID: 25466284). |
SP6 | 6 | Yes | Inferred motif | Monomer or homomultimer | High-throughput in vitro | None | None |
MSX1 | 7 | Yes | Known motif | Monomer or homomultimer | High-throughput in vitro | None | None |
DLX3 | 9 | Yes | Known motif | Monomer or homomultimer | High-throughput in vitro | None | None |
WNT5A | 10 | No | Unlikely to be sequence specific TF | Not a DNA binding protein | No motif | None | (PMID: 19847889) shows this protein as a part of a large EMSA shifting complex with RNA-Pol1, CHD1, and other DNA binding proteins. It does not, however, show evidence for it binding to DNA directly |
SP8 | 11 | Yes | Known motif | Monomer or homomultimer | High-throughput in vitro | None | None |
EN1 | 12 | Yes | Known motif | Monomer or homomultimer | High-throughput in vitro | None | None |
DLX1 | 13 | Yes | Known motif | Monomer or homomultimer | High-throughput in vitro | None | None |
OTX1 | 21 | Yes | Known motif | Monomer or homomultimer | High-throughput in vitro | None | None |
DLX5 | 23 | Yes | Known motif | Monomer or homomultimer | High-throughput in vitro | None | None |
EMX2 | 46 | Yes | Known motif | Monomer or homomultimer | High-throughput in vitro | None | None |
HOXC13 | 50 | Yes | Known motif | Monomer or homomultimer | High-throughput in vitro | None | None |
SP9 | 58 | Yes | Known motif | Monomer or homomultimer | High-throughput in vitro | None | None |
DSP | 63 | No | Unlikely to be sequence specific TF | Not a DNA binding protein | No motif | None | None |
ID3 | 75 | No | Unlikely to be sequence specific TF | Not a DNA binding protein | No motif | None | ID bHLH proteins lack the basic region and should not be able to bind DNA. The HT-SELEX motif for ID4 is likely by a co-precipitated protein or it is a contamination |
FZD1 | 78 | No | Unlikely to be sequence specific TF | Not a DNA binding protein | No motif | None | None |
TBX3 | 81 | Yes | Known motif | Monomer or homomultimer | High-throughput in vitro | None | None |
ETV4 | 82 | Yes | Known motif | Monomer or homomultimer | High-throughput in vitro | None | None |
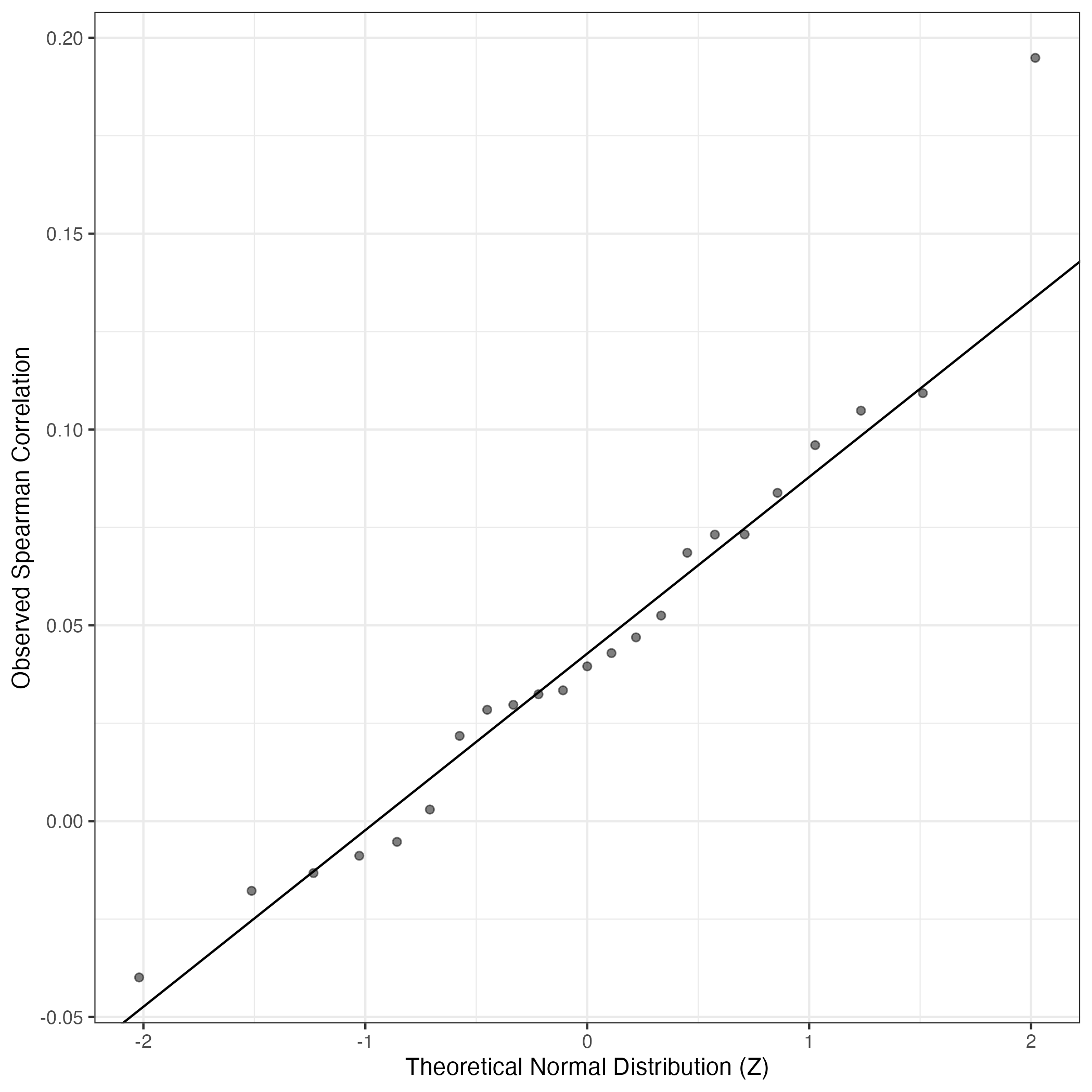
QQ Plot showing correlations with other GEPs in this dataset, calculated by Spearman correlation:
Interactive QQ-plot of gene loadings:
A similar QQ-plot as above, but only for instances where the H value is e.g. > 25, i.e. we are confident that the expression program is active above noise. Agreemenet between these binary vectors is tested using the Jaccard Index, with the P-values calculated by an exact test:
Interactive QQ-plot:
Singler cell type annotations for the top 50 cells on this program.
Cell ID | Singler label | Singler Delta | Activity Score | Top Singler Raw Scores |
---|---|---|---|---|
X72_ATTTCTGGTTACGATC | Neurons:ES_cell-derived_neural_precursor | 0.29 | 2005.92 | Raw ScoresNeuroepithelial_cell:ESC-derived: 0.68, Neurons:ES_cell-derived_neural_precursor: 0.68, MSC: 0.66, Gametocytes:oocyte: 0.64, Chondrocytes:MSC-derived: 0.63, iPS_cells:PDB_2lox-17: 0.61, iPS_cells:CRL2097_foreskin-derived:d20_hepatic_diff: 0.6, Erythroblast: 0.59, Embryonic_stem_cells: 0.57, iPS_cells:PDB_1lox-17Puro-10: 0.57 |
X71_GAGTGAGAGACTCTAC | Neurons:ES_cell-derived_neural_precursor | 0.38 | 1532.34 | Raw ScoresNeurons:ES_cell-derived_neural_precursor: 0.68, iPS_cells:CRL2097_foreskin-derived:d20_hepatic_diff: 0.67, Neuroepithelial_cell:ESC-derived: 0.65, Embryonic_stem_cells: 0.65, Keratinocytes:KGF: 0.64, iPS_cells:adipose_stem_cells: 0.64, iPS_cells:fibroblast-derived:Direct_del._reprog: 0.64, MSC: 0.63, Fibroblasts:breast: 0.63, Keratinocytes: 0.63 |
X72_TATATCCTCTCTCTTC | Neuroepithelial_cell:ESC-derived | 0.33 | 1484.19 | Raw ScoresNeuroepithelial_cell:ESC-derived: 0.68, Neurons:ES_cell-derived_neural_precursor: 0.68, MSC: 0.65, Chondrocytes:MSC-derived: 0.64, Gametocytes:oocyte: 0.62, iPS_cells:CRL2097_foreskin-derived:d20_hepatic_diff: 0.6, iPS_cells:PDB_2lox-17: 0.59, Erythroblast: 0.58, Embryonic_stem_cells: 0.57, Neurons:adrenal_medulla_cell_line: 0.55 |
X71_CTAACCCGTAACATGA | Neuroepithelial_cell:ESC-derived | 0.35 | 1281.98 | Raw ScoresNeuroepithelial_cell:ESC-derived: 0.58, Neurons:ES_cell-derived_neural_precursor: 0.58, Erythroblast: 0.57, Gametocytes:oocyte: 0.57, MSC: 0.57, Chondrocytes:MSC-derived: 0.54, iPS_cells:CRL2097_foreskin-derived:d20_hepatic_diff: 0.54, Keratinocytes:KGF: 0.5, Neurons:adrenal_medulla_cell_line: 0.5, iPS_cells:adipose_stem_cells: 0.5 |
X71_GTGCACGTCCACTAGA | Chondrocytes:MSC-derived | 0.33 | 1255.87 | Raw ScoresChondrocytes:MSC-derived: 0.63, iPS_cells:adipose_stem_cells: 0.61, Smooth_muscle_cells:bronchial: 0.58, Smooth_muscle_cells:bronchial:vit_D: 0.58, Fibroblasts:breast: 0.57, MSC: 0.56, Osteoblasts: 0.54, Neurons:ES_cell-derived_neural_precursor: 0.53, Osteoblasts:BMP2: 0.52, Erythroblast: 0.51 |
X72_TCTCACGTCTTTCCGG | Neuroepithelial_cell:ESC-derived | 0.38 | 1189.36 | Raw ScoresNeuroepithelial_cell:ESC-derived: 0.76, Neurons:ES_cell-derived_neural_precursor: 0.76, iPS_cells:CRL2097_foreskin-derived:d20_hepatic_diff: 0.75, MSC: 0.73, Embryonic_stem_cells: 0.73, Fibroblasts:breast: 0.69, Keratinocytes: 0.69, Keratinocytes:IL26: 0.69, iPS_cells:adipose_stem_cells: 0.69, Astrocyte:Embryonic_stem_cell-derived: 0.67 |
X71_GCATCTCCAGCCCAGT | Neuroepithelial_cell:ESC-derived | 0.35 | 984.18 | Raw ScoresNeuroepithelial_cell:ESC-derived: 0.58, Neurons:ES_cell-derived_neural_precursor: 0.58, Erythroblast: 0.57, Gametocytes:oocyte: 0.57, MSC: 0.57, Chondrocytes:MSC-derived: 0.54, iPS_cells:CRL2097_foreskin-derived:d20_hepatic_diff: 0.54, Keratinocytes:KGF: 0.5, Neurons:adrenal_medulla_cell_line: 0.5, iPS_cells:adipose_stem_cells: 0.5 |
X72_GGTAATCGTATCGTTG | Neuroepithelial_cell:ESC-derived | 0.37 | 975.25 | Raw ScoresNeuroepithelial_cell:ESC-derived: 0.76, Neurons:ES_cell-derived_neural_precursor: 0.76, iPS_cells:CRL2097_foreskin-derived:d20_hepatic_diff: 0.74, MSC: 0.74, Embryonic_stem_cells: 0.72, Keratinocytes: 0.68, Fibroblasts:breast: 0.68, Keratinocytes:IL26: 0.68, iPS_cells:adipose_stem_cells: 0.68, Chondrocytes:MSC-derived: 0.66 |
X72_CGCCAGAGTGATGGCA | Neurons:ES_cell-derived_neural_precursor | 0.38 | 961.36 | Raw ScoresNeurons:ES_cell-derived_neural_precursor: 0.75, Neuroepithelial_cell:ESC-derived: 0.75, iPS_cells:CRL2097_foreskin-derived:d20_hepatic_diff: 0.75, Embryonic_stem_cells: 0.73, MSC: 0.72, Fibroblasts:breast: 0.7, Keratinocytes: 0.7, Keratinocytes:IL26: 0.7, iPS_cells:adipose_stem_cells: 0.69, Astrocyte:Embryonic_stem_cell-derived: 0.68 |
X72_ACTGTGAAGTGCTCGC | Neurons:ES_cell-derived_neural_precursor | 0.29 | 910.50 | Raw ScoresNeuroepithelial_cell:ESC-derived: 0.68, Neurons:ES_cell-derived_neural_precursor: 0.68, MSC: 0.66, Gametocytes:oocyte: 0.64, Chondrocytes:MSC-derived: 0.63, iPS_cells:PDB_2lox-17: 0.61, iPS_cells:CRL2097_foreskin-derived:d20_hepatic_diff: 0.6, Erythroblast: 0.59, Embryonic_stem_cells: 0.57, iPS_cells:PDB_1lox-17Puro-10: 0.57 |
X71_CAGGGCTCAGATAAAC | Neuroepithelial_cell:ESC-derived | 0.35 | 894.08 | Raw ScoresNeuroepithelial_cell:ESC-derived: 0.58, Neurons:ES_cell-derived_neural_precursor: 0.58, Erythroblast: 0.57, Gametocytes:oocyte: 0.57, MSC: 0.57, Chondrocytes:MSC-derived: 0.54, iPS_cells:CRL2097_foreskin-derived:d20_hepatic_diff: 0.54, Keratinocytes:KGF: 0.5, Neurons:adrenal_medulla_cell_line: 0.5, iPS_cells:adipose_stem_cells: 0.5 |
X71_CAAGCTACAAGCACCC | Neuroepithelial_cell:ESC-derived | 0.33 | 875.83 | Raw ScoresNeuroepithelial_cell:ESC-derived: 0.68, Neurons:ES_cell-derived_neural_precursor: 0.68, MSC: 0.65, Chondrocytes:MSC-derived: 0.64, Gametocytes:oocyte: 0.63, iPS_cells:CRL2097_foreskin-derived:d20_hepatic_diff: 0.6, iPS_cells:PDB_2lox-17: 0.59, Erythroblast: 0.59, Embryonic_stem_cells: 0.58, Neurons:adrenal_medulla_cell_line: 0.55 |
X71_ATTCCCGTCAACGTGT | Monocyte | 0.00 | 875.28 | Raw ScoresMonocyte: 0.42, T_cell:CD4+: 0.42, B_cell: 0.42, B_cell:CXCR4+_centroblast: 0.42, B_cell:CXCR4-_centrocyte: 0.42, B_cell:Germinal_center: 0.42, B_cell:Memory: 0.42, B_cell:Naive: 0.42, B_cell:Plasma_cell: 0.42, B_cell:immature: 0.42 |
X72_ACATGCAGTAACAGTA | Chondrocytes:MSC-derived | 0.31 | 860.08 | Raw ScoresChondrocytes:MSC-derived: 0.72, MSC: 0.67, iPS_cells:adipose_stem_cells: 0.65, Osteoblasts: 0.64, Neuroepithelial_cell:ESC-derived: 0.64, Smooth_muscle_cells:bronchial: 0.63, Smooth_muscle_cells:bronchial:vit_D: 0.63, Neurons:ES_cell-derived_neural_precursor: 0.63, Fibroblasts:breast: 0.63, Osteoblasts:BMP2: 0.61 |
X71_AACTTCTTCCGGCAAC | Neuroepithelial_cell:ESC-derived | 0.38 | 694.37 | Raw ScoresNeuroepithelial_cell:ESC-derived: 0.76, Neurons:ES_cell-derived_neural_precursor: 0.76, iPS_cells:CRL2097_foreskin-derived:d20_hepatic_diff: 0.74, MSC: 0.73, Embryonic_stem_cells: 0.73, Fibroblasts:breast: 0.68, Keratinocytes: 0.68, Keratinocytes:IL26: 0.68, iPS_cells:adipose_stem_cells: 0.68, Keratinocytes:KGF: 0.67 |
X71_AGCCAATAGACTAGAT | Neuroepithelial_cell:ESC-derived | 0.37 | 686.78 | Raw ScoresNeuroepithelial_cell:ESC-derived: 0.76, Neurons:ES_cell-derived_neural_precursor: 0.76, iPS_cells:CRL2097_foreskin-derived:d20_hepatic_diff: 0.75, Embryonic_stem_cells: 0.73, MSC: 0.73, Keratinocytes: 0.69, Keratinocytes:IL26: 0.69, Fibroblasts:breast: 0.69, iPS_cells:adipose_stem_cells: 0.69, Keratinocytes:KGF: 0.67 |
X72_ACCATTTTCCCATTTA | Fibroblasts:breast | 0.34 | 659.40 | Raw ScoresFibroblasts:breast: 0.78, iPS_cells:adipose_stem_cells: 0.78, MSC: 0.74, Neurons:ES_cell-derived_neural_precursor: 0.74, Chondrocytes:MSC-derived: 0.73, Neuroepithelial_cell:ESC-derived: 0.72, Tissue_stem_cells:BM_MSC:TGFb3: 0.68, Embryonic_stem_cells: 0.66, iPS_cells:CRL2097_foreskin-derived:d20_hepatic_diff: 0.65, Smooth_muscle_cells:vascular:IL-17: 0.65 |
X71_TAGATCGCATCCTAAG | Neurons:ES_cell-derived_neural_precursor | 0.40 | 629.69 | Raw ScoresNeurons:ES_cell-derived_neural_precursor: 0.68, iPS_cells:CRL2097_foreskin-derived:d20_hepatic_diff: 0.68, Neuroepithelial_cell:ESC-derived: 0.65, Embryonic_stem_cells: 0.65, Keratinocytes:KGF: 0.64, iPS_cells:adipose_stem_cells: 0.64, iPS_cells:fibroblast-derived:Direct_del._reprog: 0.64, Keratinocytes:IL26: 0.63, Fibroblasts:breast: 0.63, Keratinocytes: 0.63 |
X71_CACCAAAGTCTTACTT | Gametocytes:oocyte | 0.36 | 622.17 | Raw ScoresGametocytes:oocyte: 0.73, iPS_cells:CRL2097_foreskin-derived:d20_hepatic_diff: 0.67, Neuroepithelial_cell:ESC-derived: 0.65, Embryonic_stem_cells: 0.63, iPS_cells:fibroblast-derived:Direct_del._reprog: 0.61, Chondrocytes:MSC-derived: 0.58, Erythroblast: 0.57, Neurons:ES_cell-derived_neural_precursor: 0.57, MSC: 0.57, iPS_cells:PDB_2lox-17: 0.56 |
X71_TCTCTGGGTCCAATCA | Chondrocytes:MSC-derived | 0.33 | 617.01 | Raw ScoresChondrocytes:MSC-derived: 0.63, iPS_cells:adipose_stem_cells: 0.61, Smooth_muscle_cells:bronchial: 0.58, Smooth_muscle_cells:bronchial:vit_D: 0.58, Fibroblasts:breast: 0.57, MSC: 0.56, Osteoblasts: 0.54, Neurons:ES_cell-derived_neural_precursor: 0.53, Osteoblasts:BMP2: 0.52, Erythroblast: 0.51 |
X71_GAAGCCCTCTCAAAGC | Erythroblast | 0.31 | 601.58 | Raw ScoresErythroblast: 0.58, Gametocytes:oocyte: 0.57, Neuroepithelial_cell:ESC-derived: 0.57, Neurons:ES_cell-derived_neural_precursor: 0.57, MSC: 0.57, Chondrocytes:MSC-derived: 0.54, iPS_cells:CRL2097_foreskin-derived:d20_hepatic_diff: 0.53, Smooth_muscle_cells:bronchial: 0.49, Smooth_muscle_cells:bronchial:vit_D: 0.49, Keratinocytes:KGF: 0.48 |
X72_ACAGGGACAAATCAGA | Neuroepithelial_cell:ESC-derived | 0.38 | 599.67 | Raw ScoresNeuroepithelial_cell:ESC-derived: 0.76, Neurons:ES_cell-derived_neural_precursor: 0.76, iPS_cells:CRL2097_foreskin-derived:d20_hepatic_diff: 0.74, MSC: 0.73, Embryonic_stem_cells: 0.73, Fibroblasts:breast: 0.68, Keratinocytes: 0.68, Keratinocytes:IL26: 0.68, iPS_cells:adipose_stem_cells: 0.68, Keratinocytes:KGF: 0.67 |
X71_AAGACTCGTACGGGAT | Chondrocytes:MSC-derived | 0.32 | 566.46 | Raw ScoresChondrocytes:MSC-derived: 0.72, iPS_cells:adipose_stem_cells: 0.66, MSC: 0.65, Osteoblasts: 0.64, Fibroblasts:breast: 0.63, Smooth_muscle_cells:bronchial: 0.63, Smooth_muscle_cells:bronchial:vit_D: 0.63, Neuroepithelial_cell:ESC-derived: 0.61, Neurons:ES_cell-derived_neural_precursor: 0.61, Osteoblasts:BMP2: 0.6 |
X71_GACATCATCAGCAATC | Neurons:ES_cell-derived_neural_precursor | 0.33 | 546.71 | Raw ScoresGametocytes:oocyte: 0.57, Neurons:ES_cell-derived_neural_precursor: 0.57, Erythroblast: 0.57, MSC: 0.57, Neuroepithelial_cell:ESC-derived: 0.57, Chondrocytes:MSC-derived: 0.54, iPS_cells:CRL2097_foreskin-derived:d20_hepatic_diff: 0.53, Keratinocytes:KGF: 0.49, Neurons:adrenal_medulla_cell_line: 0.49, Smooth_muscle_cells:bronchial: 0.49 |
X72_CGAAGTTTCGTCTACC | Neurons:ES_cell-derived_neural_precursor | 0.40 | 542.63 | Raw ScoresNeurons:ES_cell-derived_neural_precursor: 0.68, iPS_cells:CRL2097_foreskin-derived:d20_hepatic_diff: 0.68, Neuroepithelial_cell:ESC-derived: 0.65, Embryonic_stem_cells: 0.65, Keratinocytes:KGF: 0.64, iPS_cells:adipose_stem_cells: 0.64, iPS_cells:fibroblast-derived:Direct_del._reprog: 0.64, Keratinocytes:IL26: 0.63, Fibroblasts:breast: 0.63, Keratinocytes: 0.63 |
X71_CCTAACCTCGCTTGAA | Chondrocytes:MSC-derived | 0.27 | 539.59 | Raw ScoresChondrocytes:MSC-derived: 0.62, iPS_cells:adipose_stem_cells: 0.6, Osteoblasts: 0.58, Smooth_muscle_cells:bronchial: 0.57, Smooth_muscle_cells:bronchial:vit_D: 0.57, Fibroblasts:breast: 0.56, Osteoblasts:BMP2: 0.55, MSC: 0.55, Neurons:ES_cell-derived_neural_precursor: 0.51, Erythroblast: 0.5 |
X72_TCGTGCTTCCTTTGAT | Chondrocytes:MSC-derived | 0.31 | 535.39 | Raw ScoresChondrocytes:MSC-derived: 0.72, MSC: 0.66, iPS_cells:adipose_stem_cells: 0.66, Osteoblasts: 0.65, Smooth_muscle_cells:bronchial: 0.64, Smooth_muscle_cells:bronchial:vit_D: 0.64, Fibroblasts:breast: 0.63, Neuroepithelial_cell:ESC-derived: 0.62, Neurons:ES_cell-derived_neural_precursor: 0.62, Osteoblasts:BMP2: 0.61 |
X71_TCAATTCCAGTCTGGC | Keratinocytes:KGF | 0.48 | 525.64 | Raw ScoresNeuroepithelial_cell:ESC-derived: 0.42, Keratinocytes:KGF: 0.42, Neurons:ES_cell-derived_neural_precursor: 0.42, Neurons:adrenal_medulla_cell_line: 0.42, iPS_cells:CRL2097_foreskin-derived:d20_hepatic_diff: 0.42, iPS_cells:adipose_stem_cells: 0.42, Chondrocytes:MSC-derived: 0.42, iPS_cells:fibroblast-derived:Direct_del._reprog: 0.41, Erythroblast: 0.4, Gametocytes:oocyte: 0.4 |
X71_GGGTCTGAGACTCGAG | Neurons:ES_cell-derived_neural_precursor | 0.40 | 520.47 | Raw ScoresNeurons:ES_cell-derived_neural_precursor: 0.68, iPS_cells:CRL2097_foreskin-derived:d20_hepatic_diff: 0.68, Neuroepithelial_cell:ESC-derived: 0.65, Embryonic_stem_cells: 0.65, Keratinocytes:KGF: 0.64, iPS_cells:adipose_stem_cells: 0.64, iPS_cells:fibroblast-derived:Direct_del._reprog: 0.64, Keratinocytes:IL26: 0.63, Fibroblasts:breast: 0.63, Keratinocytes: 0.63 |
X71_GAGACCCAGCCACCGT | Neuroepithelial_cell:ESC-derived | 0.35 | 506.16 | Raw ScoresNeuroepithelial_cell:ESC-derived: 0.58, Neurons:ES_cell-derived_neural_precursor: 0.58, Erythroblast: 0.57, Gametocytes:oocyte: 0.57, MSC: 0.57, Chondrocytes:MSC-derived: 0.54, iPS_cells:CRL2097_foreskin-derived:d20_hepatic_diff: 0.54, Keratinocytes:KGF: 0.5, Neurons:adrenal_medulla_cell_line: 0.5, iPS_cells:adipose_stem_cells: 0.5 |
X71_ACACCAATCAACCTTT | Neuroepithelial_cell:ESC-derived | 0.38 | 504.66 | Raw ScoresNeuroepithelial_cell:ESC-derived: 0.76, Neurons:ES_cell-derived_neural_precursor: 0.76, iPS_cells:CRL2097_foreskin-derived:d20_hepatic_diff: 0.74, MSC: 0.73, Embryonic_stem_cells: 0.73, Fibroblasts:breast: 0.68, Keratinocytes: 0.68, Keratinocytes:IL26: 0.68, iPS_cells:adipose_stem_cells: 0.68, Keratinocytes:KGF: 0.67 |
X71_AGACACTAGACCTTTG | iPS_cells:CRL2097_foreskin-derived:d20_hepatic_diff | 0.38 | 477.93 | Raw ScoresiPS_cells:CRL2097_foreskin-derived:d20_hepatic_diff: 0.75, Neuroepithelial_cell:ESC-derived: 0.75, Neurons:ES_cell-derived_neural_precursor: 0.75, Embryonic_stem_cells: 0.74, MSC: 0.72, Keratinocytes: 0.7, Keratinocytes:IL26: 0.7, Fibroblasts:breast: 0.7, iPS_cells:adipose_stem_cells: 0.7, Astrocyte:Embryonic_stem_cell-derived: 0.68 |
X72_ACTTTCAGTATACGGG | iPS_cells:CRL2097_foreskin-derived:d20_hepatic_diff | 0.40 | 451.04 | Raw ScoresiPS_cells:CRL2097_foreskin-derived:d20_hepatic_diff: 0.68, Neurons:ES_cell-derived_neural_precursor: 0.68, Keratinocytes:KGF: 0.65, iPS_cells:adipose_stem_cells: 0.65, iPS_cells:fibroblast-derived:Direct_del._reprog: 0.65, Fibroblasts:breast: 0.65, Keratinocytes: 0.65, Keratinocytes:IL19: 0.65, Keratinocytes:IL20: 0.65, Keratinocytes:IL22: 0.65 |
X71_TACACCCCATATGCGT | Neuroepithelial_cell:ESC-derived | 0.35 | 425.28 | Raw ScoresNeuroepithelial_cell:ESC-derived: 0.58, Neurons:ES_cell-derived_neural_precursor: 0.58, Erythroblast: 0.57, Gametocytes:oocyte: 0.57, MSC: 0.57, Chondrocytes:MSC-derived: 0.54, iPS_cells:CRL2097_foreskin-derived:d20_hepatic_diff: 0.54, Keratinocytes:KGF: 0.5, Neurons:adrenal_medulla_cell_line: 0.5, iPS_cells:adipose_stem_cells: 0.5 |
X72_GTCACGGTCAAACCTG | Neuroepithelial_cell:ESC-derived | 0.37 | 424.40 | Raw ScoresNeuroepithelial_cell:ESC-derived: 0.76, Neurons:ES_cell-derived_neural_precursor: 0.76, iPS_cells:CRL2097_foreskin-derived:d20_hepatic_diff: 0.75, Embryonic_stem_cells: 0.73, MSC: 0.73, Keratinocytes: 0.69, Keratinocytes:IL26: 0.69, Fibroblasts:breast: 0.69, iPS_cells:adipose_stem_cells: 0.69, Keratinocytes:KGF: 0.67 |
X72_CAGCAGCCAAGACAAT | Endothelial_cells:lymphatic | 0.10 | 423.83 | Raw ScoresEndothelial_cells:lymphatic: 0.36, B_cell:CXCR4+_centroblast: 0.36, B_cell:CXCR4-_centrocyte: 0.36, DC:monocyte-derived: 0.36, Endothelial_cells:lymphatic:KSHV: 0.36, Neurons:Schwann_cell: 0.36, B_cell:immature: 0.36, CMP: 0.36, DC:monocyte-derived:AEC-conditioned: 0.36, Endothelial_cells:HUVEC: 0.36 |
X72_GACGCTGTCCGTGTAA | Neuroepithelial_cell:ESC-derived | 0.40 | 420.99 | Raw ScoresNeuroepithelial_cell:ESC-derived: 0.54, Neurons:ES_cell-derived_neural_precursor: 0.54, Chondrocytes:MSC-derived: 0.5, iPS_cells:CRL2097_foreskin-derived:d20_hepatic_diff: 0.48, MSC: 0.47, Neurons:adrenal_medulla_cell_line: 0.46, Embryonic_stem_cells: 0.45, iPS_cells:adipose_stem_cells: 0.44, Gametocytes:oocyte: 0.44, Astrocyte:Embryonic_stem_cell-derived: 0.43 |
X72_CATGCCTCAATCGCAT | Neurons:ES_cell-derived_neural_precursor | 0.33 | 416.47 | Raw ScoresNeuroepithelial_cell:ESC-derived: 0.68, Neurons:ES_cell-derived_neural_precursor: 0.68, MSC: 0.64, Chondrocytes:MSC-derived: 0.63, Gametocytes:oocyte: 0.62, iPS_cells:CRL2097_foreskin-derived:d20_hepatic_diff: 0.6, iPS_cells:PDB_2lox-17: 0.59, Erythroblast: 0.57, Embryonic_stem_cells: 0.57, iPS_cells:PDB_1lox-17Puro-10: 0.55 |
X71_TTGCGTCAGAGCCATG | Keratinocytes:KGF | 0.46 | 413.86 | Raw ScoresKeratinocytes:KGF: 0.58, iPS_cells:CRL2097_foreskin-derived:d20_hepatic_diff: 0.58, iPS_cells:adipose_stem_cells: 0.58, iPS_cells:fibroblast-derived:Direct_del._reprog: 0.57, Keratinocytes: 0.57, Keratinocytes:IFNg: 0.57, Keratinocytes:IL19: 0.57, Keratinocytes:IL1b: 0.57, Keratinocytes:IL20: 0.57, Keratinocytes:IL22: 0.57 |
X71_CATGGTAGTAGCGCCT | Neuroepithelial_cell:ESC-derived | 0.33 | 412.51 | Raw ScoresNeuroepithelial_cell:ESC-derived: 0.68, Neurons:ES_cell-derived_neural_precursor: 0.68, MSC: 0.65, Chondrocytes:MSC-derived: 0.64, Gametocytes:oocyte: 0.63, iPS_cells:CRL2097_foreskin-derived:d20_hepatic_diff: 0.6, iPS_cells:PDB_2lox-17: 0.59, Erythroblast: 0.59, Embryonic_stem_cells: 0.58, Neurons:adrenal_medulla_cell_line: 0.55 |
X71_ATTCACTAGGTATAGT | Neuroepithelial_cell:ESC-derived | 0.37 | 408.96 | Raw ScoresNeuroepithelial_cell:ESC-derived: 0.76, Neurons:ES_cell-derived_neural_precursor: 0.76, iPS_cells:CRL2097_foreskin-derived:d20_hepatic_diff: 0.75, Embryonic_stem_cells: 0.73, MSC: 0.73, Keratinocytes: 0.69, Keratinocytes:IL26: 0.69, Fibroblasts:breast: 0.69, iPS_cells:adipose_stem_cells: 0.69, Keratinocytes:KGF: 0.67 |
X72_ATCGGCGGTACTCGAT | Neuroepithelial_cell:ESC-derived | 0.35 | 401.43 | Raw ScoresNeuroepithelial_cell:ESC-derived: 0.58, Neurons:ES_cell-derived_neural_precursor: 0.58, Erythroblast: 0.57, Gametocytes:oocyte: 0.57, MSC: 0.57, Chondrocytes:MSC-derived: 0.54, iPS_cells:CRL2097_foreskin-derived:d20_hepatic_diff: 0.54, Keratinocytes:KGF: 0.5, Neurons:adrenal_medulla_cell_line: 0.5, iPS_cells:adipose_stem_cells: 0.5 |
X71_GATCGTACATAACTCG | Neuroepithelial_cell:ESC-derived | 0.35 | 398.51 | Raw ScoresNeuroepithelial_cell:ESC-derived: 0.58, Neurons:ES_cell-derived_neural_precursor: 0.58, Erythroblast: 0.57, Gametocytes:oocyte: 0.57, MSC: 0.57, Chondrocytes:MSC-derived: 0.54, iPS_cells:CRL2097_foreskin-derived:d20_hepatic_diff: 0.54, Keratinocytes:KGF: 0.5, Neurons:adrenal_medulla_cell_line: 0.5, iPS_cells:adipose_stem_cells: 0.5 |
X72_CCACACTTCTGACCCT | Neurons:ES_cell-derived_neural_precursor | 0.27 | 392.39 | Raw ScoresNeuroepithelial_cell:ESC-derived: 0.67, Neurons:ES_cell-derived_neural_precursor: 0.67, MSC: 0.65, Chondrocytes:MSC-derived: 0.62, Gametocytes:oocyte: 0.62, iPS_cells:PDB_2lox-17: 0.61, iPS_cells:CRL2097_foreskin-derived:d20_hepatic_diff: 0.58, iPS_cells:PDB_1lox-17Puro-10: 0.58, Embryonic_stem_cells: 0.56, Erythroblast: 0.55 |
X72_GTGAGGACAGGTACGA | Neuroepithelial_cell:ESC-derived | 0.40 | 389.07 | Raw ScoresNeuroepithelial_cell:ESC-derived: 0.54, Neurons:ES_cell-derived_neural_precursor: 0.54, Chondrocytes:MSC-derived: 0.5, iPS_cells:CRL2097_foreskin-derived:d20_hepatic_diff: 0.48, MSC: 0.47, Neurons:adrenal_medulla_cell_line: 0.46, Embryonic_stem_cells: 0.45, iPS_cells:adipose_stem_cells: 0.44, Gametocytes:oocyte: 0.44, Astrocyte:Embryonic_stem_cell-derived: 0.43 |
X71_GGGCTCACAGAGAATT | Smooth_muscle_cells:bronchial | 0.25 | 370.95 | Raw ScoresSmooth_muscle_cells:bronchial: 0.72, Smooth_muscle_cells:bronchial:vit_D: 0.72, Neuroepithelial_cell:ESC-derived: 0.71, Neurons:ES_cell-derived_neural_precursor: 0.71, MSC: 0.7, Erythroblast: 0.7, Gametocytes:oocyte: 0.68, iPS_cells:PDB_2lox-17: 0.67, Chondrocytes:MSC-derived: 0.66, iPS_cells:PDB_1lox-17Puro-10: 0.64 |
X71_TATTGGGTCTGCACCT | Neuroepithelial_cell:ESC-derived | 0.35 | 364.93 | Raw ScoresNeuroepithelial_cell:ESC-derived: 0.58, Neurons:ES_cell-derived_neural_precursor: 0.58, Erythroblast: 0.57, Gametocytes:oocyte: 0.57, MSC: 0.57, Chondrocytes:MSC-derived: 0.54, iPS_cells:CRL2097_foreskin-derived:d20_hepatic_diff: 0.54, Keratinocytes:KGF: 0.5, Neurons:adrenal_medulla_cell_line: 0.5, iPS_cells:adipose_stem_cells: 0.5 |
X72_AGACTCAGTTCAAGTC | iPS_cells:adipose_stem_cells | 0.33 | 361.19 | Raw ScoresiPS_cells:adipose_stem_cells: 0.65, Fibroblasts:breast: 0.64, Chondrocytes:MSC-derived: 0.61, DC:monocyte-derived:anti-DC-SIGN_2h: 0.58, Tissue_stem_cells:BM_MSC:TGFb3: 0.58, MSC: 0.56, Neuroepithelial_cell:ESC-derived: 0.54, Neurons:ES_cell-derived_neural_precursor: 0.54, iPS_cells:fibroblast-derived:Direct_del._reprog: 0.53, Keratinocytes:KGF: 0.52 |
X71_TCTATCAAGCACTCGC | Neuroepithelial_cell:ESC-derived | 0.33 | 360.22 | Raw ScoresNeuroepithelial_cell:ESC-derived: 0.68, Neurons:ES_cell-derived_neural_precursor: 0.68, MSC: 0.65, Chondrocytes:MSC-derived: 0.64, Gametocytes:oocyte: 0.63, iPS_cells:CRL2097_foreskin-derived:d20_hepatic_diff: 0.6, iPS_cells:PDB_2lox-17: 0.59, Erythroblast: 0.59, Embryonic_stem_cells: 0.58, Neurons:adrenal_medulla_cell_line: 0.55 |
X71_GTGATGTAGCTCGGCT | Chondrocytes:MSC-derived | 0.33 | 355.49 | Raw ScoresChondrocytes:MSC-derived: 0.63, iPS_cells:adipose_stem_cells: 0.61, Smooth_muscle_cells:bronchial: 0.58, Smooth_muscle_cells:bronchial:vit_D: 0.58, Fibroblasts:breast: 0.57, MSC: 0.56, Osteoblasts: 0.54, Neurons:ES_cell-derived_neural_precursor: 0.53, Osteoblasts:BMP2: 0.52, Erythroblast: 0.51 |
Below shows the significant enrichments of this GEP for literature curated gene lists
This data was procured from existing single cell RNA-seq maps of neuroblastoma or related relevant data.
High ranks indicate this gene is a driver of this GEP.
These curated gene list are ranked by the P-value (on this GEP) of their constituent genes.
The Mean Count column shows the mean read count in cells scoring highly (H > 50) on this gene expression program.
Genes | Weight | Rank | GTEx | DepMap | Decartes | Mean.Counts | Mean.TPM |
---|---|---|---|---|---|---|---|
COL17A1 | 0.0045498 | 8 | GTEx | DepMap | Descartes | 4.83 | 11.65 |
LAMB3 | 0.0012041 | 184 | GTEx | DepMap | Descartes | 0.48 | 0.40 |
LAMA3 | 0.0009016 | 313 | GTEx | DepMap | Descartes | 0.85 | 0.51 |
JUP | 0.0006215 | 576 | GTEx | DepMap | Descartes | 4.45 | 15.38 |
ITGA2 | 0.0003846 | 1116 | GTEx | DepMap | Descartes | 0.22 | 0.23 |
Meta_8 undefined undifferentiated neuronal (Dong)
Markers obtained in computationally inferred meta program (by NMF applied to their neuroblastoma sc-RNA-seq data) from Fig. 5(a) of Dong et al. (PMID 32946775).:
Wilcoxon ranksum test P-value for gene set overrepresentation: 1.32e-02
Mean rank of genes in gene set: 903.5
Rank on gene expression program of genes in gene set:
Genes | Weight | Rank | GTEx | DepMap | Decartes | Mean.Counts | Mean.TPM |
---|---|---|---|---|---|---|---|
CTNNB1 | 0.0006379 | 556 | GTEx | DepMap | Descartes | 21.69 | 76.17 |
SOX11 | 0.0003562 | 1251 | GTEx | DepMap | Descartes | 21.20 | 296.83 |
Meta_9 ATRX (Dong)
Markers obtained in computationally inferred meta program (by NMF applied to their neuroblastoma sc-RNA-seq data) from Fig. 5(a) of Dong et al. (PMID 32946775).:
Wilcoxon ranksum test P-value for gene set overrepresentation: 1.37e-02
Mean rank of genes in gene set: 965.5
Rank on gene expression program of genes in gene set:
Genes | Weight | Rank | GTEx | DepMap | Decartes | Mean.Counts | Mean.TPM |
---|---|---|---|---|---|---|---|
ZFHX3 | 0.0009501 | 288 | GTEx | DepMap | Descartes | 6.62 | 0.70 |
ATRX | 0.0002916 | 1643 | GTEx | DepMap | Descartes | 12.13 | 9.87 |
Below shows ranks on this GEP for literature curated gene lists for large gene sets
These include those reported as mesenchymal/adrenergic by Van Groningen et al.
High ranks indicate this gene is a driver of this GEP (note these results are not ordered).
The Mean Count column shows the mean read count in cells scoring highly (H > 50) on this gene expression program.
VanGroningen Adrenergic Genes
Adrenergic marker genes from Supplementary Table 2 of Van Groningen et al. Nature Genetics 2017. These genes were identified by differential expression analysis of mesenchymal-like and adrenergic-like neuroblastoma cell lines.
Wilcoxon ranksum test P-value for gene set overrepresentation: 1.00e+00
Mean rank of genes in gene set: 13846.42
Median rank of genes in gene set: 16569
Rank on gene expression program of top 30 genes in gene set:
Genes | Weight | Rank | GTEx | DepMap | Descartes | Mean.Counts | Mean.TPM |
---|---|---|---|---|---|---|---|
PIK3R1 | 0.0015122 | 128 | GTEx | DepMap | Descartes | 4.10 | 5.67 |
FAM60A | 0.0014614 | 135 | GTEx | DepMap | Descartes | 4.84 | NA |
SYNPO2 | 0.0009912 | 259 | GTEx | DepMap | Descartes | 1.11 | 0.76 |
HMGA1 | 0.0008990 | 317 | GTEx | DepMap | Descartes | 2.25 | 33.54 |
DKK1 | 0.0007820 | 404 | GTEx | DepMap | Descartes | 0.45 | 30.02 |
TIAM1 | 0.0006796 | 501 | GTEx | DepMap | Descartes | 2.09 | 0.58 |
MTCL1 | 0.0006141 | 586 | GTEx | DepMap | Descartes | 0.67 | 0.59 |
BEX1 | 0.0005351 | 707 | GTEx | DepMap | Descartes | 6.33 | 401.56 |
UCP2 | 0.0005011 | 774 | GTEx | DepMap | Descartes | 3.66 | 45.48 |
CDC42EP3 | 0.0004887 | 795 | GTEx | DepMap | Descartes | 1.37 | 7.96 |
RBBP8 | 0.0004734 | 836 | GTEx | DepMap | Descartes | 2.73 | 2.61 |
HK2 | 0.0004553 | 883 | GTEx | DepMap | Descartes | 1.03 | 2.22 |
PTS | 0.0004524 | 892 | GTEx | DepMap | Descartes | 2.41 | 37.77 |
MSI2 | 0.0004470 | 903 | GTEx | DepMap | Descartes | 3.84 | 1.01 |
PDK1 | 0.0004367 | 927 | GTEx | DepMap | Descartes | 1.66 | 5.77 |
CXADR | 0.0004297 | 950 | GTEx | DepMap | Descartes | 2.49 | 4.60 |
MXI1 | 0.0003711 | 1166 | GTEx | DepMap | Descartes | 1.50 | 2.71 |
SOX11 | 0.0003562 | 1251 | GTEx | DepMap | Descartes | 21.20 | 296.83 |
HNRNPA0 | 0.0003360 | 1375 | GTEx | DepMap | Descartes | 17.70 | 698.19 |
ACVR1B | 0.0002792 | 1747 | GTEx | DepMap | Descartes | 0.77 | 1.90 |
CCNI | 0.0002685 | 1843 | GTEx | DepMap | Descartes | 5.47 | 23.48 |
SETD7 | 0.0002653 | 1863 | GTEx | DepMap | Descartes | 0.85 | 1.84 |
TENM4 | 0.0002486 | 2015 | GTEx | DepMap | Descartes | 2.04 | 0.28 |
CADM1 | 0.0002362 | 2155 | GTEx | DepMap | Descartes | 3.00 | 0.93 |
TTC8 | 0.0002314 | 2207 | GTEx | DepMap | Descartes | 0.51 | 0.85 |
ABLIM1 | 0.0002200 | 2330 | GTEx | DepMap | Descartes | 3.47 | 1.24 |
AUTS2 | 0.0002184 | 2351 | GTEx | DepMap | Descartes | 5.91 | 0.61 |
ANP32A | 0.0002162 | 2372 | GTEx | DepMap | Descartes | 12.88 | 36.70 |
GLCCI1 | 0.0002008 | 2566 | GTEx | DepMap | Descartes | 0.13 | 0.15 |
ISL1 | 0.0001994 | 2584 | GTEx | DepMap | Descartes | 2.55 | 26.38 |
VanGroningen Mesenchymal Genes
Mesenchymal marker genes from Supplementary Table 2 of Van Groningen et al. Nature Genetics 2017. These genes were identified by differential expression analysis of mesenchymal-like and adrenergic-like neuroblastoma cell lines.
Wilcoxon ranksum test P-value for gene set overrepresentation: 9.36e-01
Mean rank of genes in gene set: 10055.56
Median rank of genes in gene set: 11357
Rank on gene expression program of top 30 genes in gene set:
Genes | Weight | Rank | GTEx | DepMap | Descartes | Mean.Counts | Mean.TPM |
---|---|---|---|---|---|---|---|
DLX2 | 0.0069116 | 3 | GTEx | DepMap | Descartes | 2.33 | 91.83 |
WNT5A | 0.0043736 | 10 | GTEx | DepMap | Descartes | 3.14 | 20.52 |
DLX1 | 0.0040462 | 13 | GTEx | DepMap | Descartes | 1.32 | 28.19 |
SPRY1 | 0.0032824 | 20 | GTEx | DepMap | Descartes | 3.31 | 82.29 |
IGFBP5 | 0.0028974 | 27 | GTEx | DepMap | Descartes | 44.17 | 304.28 |
WLS | 0.0023555 | 41 | GTEx | DepMap | Descartes | 10.07 | 12.01 |
CYP26A1 | 0.0021178 | 54 | GTEx | DepMap | Descartes | 0.74 | 30.54 |
GJA1 | 0.0020872 | 56 | GTEx | DepMap | Descartes | 9.67 | 43.32 |
ID3 | 0.0018722 | 75 | GTEx | DepMap | Descartes | 18.14 | 997.91 |
ITM2B | 0.0018587 | 77 | GTEx | DepMap | Descartes | 22.44 | 113.35 |
FZD1 | 0.0018585 | 78 | GTEx | DepMap | Descartes | 1.17 | 37.15 |
SOSTDC1 | 0.0013241 | 162 | GTEx | DepMap | Descartes | 10.42 | 285.70 |
PDGFC | 0.0011927 | 187 | GTEx | DepMap | Descartes | 2.97 | 1.98 |
SPRY4 | 0.0011547 | 198 | GTEx | DepMap | Descartes | 0.61 | 4.83 |
MBNL1 | 0.0011104 | 218 | GTEx | DepMap | Descartes | 3.24 | 2.23 |
FILIP1L | 0.0010662 | 229 | GTEx | DepMap | Descartes | 1.85 | 0.94 |
EDNRA | 0.0010179 | 244 | GTEx | DepMap | Descartes | 0.65 | 1.49 |
PDLIM1 | 0.0010024 | 255 | GTEx | DepMap | Descartes | 7.46 | 15.66 |
PHLDA3 | 0.0009816 | 262 | GTEx | DepMap | Descartes | 2.84 | 102.41 |
ALDH1A3 | 0.0009772 | 265 | GTEx | DepMap | Descartes | 0.27 | 0.76 |
FAT1 | 0.0009401 | 294 | GTEx | DepMap | Descartes | 2.93 | 2.81 |
MYLIP | 0.0009354 | 296 | GTEx | DepMap | Descartes | 0.78 | 4.17 |
SUCLG2 | 0.0009187 | 301 | GTEx | DepMap | Descartes | 3.48 | 1.46 |
LUZP1 | 0.0008948 | 319 | GTEx | DepMap | Descartes | 4.93 | 6.35 |
TCF7L2 | 0.0008436 | 352 | GTEx | DepMap | Descartes | 3.92 | 2.16 |
RBMS1 | 0.0008424 | 353 | GTEx | DepMap | Descartes | 6.53 | 3.28 |
EVA1A | 0.0008376 | 356 | GTEx | DepMap | Descartes | 0.52 | 1.54 |
ANTXR1 | 0.0008203 | 369 | GTEx | DepMap | Descartes | 1.94 | 1.05 |
YAP1 | 0.0008131 | 374 | GTEx | DepMap | Descartes | 3.25 | 4.65 |
EMP1 | 0.0007969 | 388 | GTEx | DepMap | Descartes | 5.30 | 26.32 |
Descartes adrenocortical markers
Top 50 marker genes of adrenocortical cells in the Decartes fetal adrenal single cell map (https://atlas.brotmanbaty.org/bbi/human-gene-expression-during-development/cell/adrenocortical/in/adrenal)
Wilcoxon ranksum test P-value for gene set overrepresentation: 9.99e-01
Mean rank of genes in gene set: 12299.12
Median rank of genes in gene set: 15131.5
Rank on gene expression program of top 30 genes in gene set:
Genes | Weight | Rank | GTEx | DepMap | Descartes | Mean.Counts | Mean.TPM |
---|---|---|---|---|---|---|---|
FREM2 | 0.0028076 | 29 | GTEx | DepMap | Descartes | 2.90 | 2.21 |
IGF1R | 0.0011086 | 219 | GTEx | DepMap | Descartes | 4.93 | 1.91 |
CYP17A1 | 0.0002342 | 2177 | GTEx | DepMap | Descartes | 0.00 | 0.07 |
FDX1 | 0.0002010 | 2564 | GTEx | DepMap | Descartes | 1.80 | 9.44 |
CLU | 0.0001664 | 3080 | GTEx | DepMap | Descartes | 0.56 | 4.53 |
GSTA4 | 0.0001624 | 3156 | GTEx | DepMap | Descartes | 4.65 | 19.71 |
PEG3 | 0.0001323 | 3711 | GTEx | DepMap | Descartes | 14.07 | 57.08 |
NPC1 | 0.0001170 | 4082 | GTEx | DepMap | Descartes | 0.78 | 2.15 |
BAIAP2L1 | 0.0000868 | 4867 | GTEx | DepMap | Descartes | 0.25 | 0.26 |
ERN1 | 0.0000749 | 5223 | GTEx | DepMap | Descartes | 0.15 | 0.18 |
INHA | 0.0000134 | 7587 | GTEx | DepMap | Descartes | 0.35 | 12.18 |
CYB5B | -0.0000052 | 8701 | GTEx | DepMap | Descartes | 1.90 | 5.27 |
SCARB1 | -0.0000068 | 8819 | GTEx | DepMap | Descartes | 0.52 | 0.85 |
STAR | -0.0000286 | 10615 | GTEx | DepMap | Descartes | 0.02 | 0.20 |
SGCZ | -0.0000351 | 11152 | GTEx | DepMap | Descartes | 0.03 | 0.00 |
PDE10A | -0.0000437 | 11823 | GTEx | DepMap | Descartes | 0.64 | 0.15 |
SCAP | -0.0000547 | 12537 | GTEx | DepMap | Descartes | 0.89 | 1.73 |
FDXR | -0.0000694 | 13331 | GTEx | DepMap | Descartes | 0.42 | 5.95 |
SH3PXD2B | -0.0000863 | 14090 | GTEx | DepMap | Descartes | 1.03 | 1.34 |
CYP11A1 | -0.0001001 | 14622 | GTEx | DepMap | Descartes | 0.00 | 0.00 |
SLC16A9 | -0.0001039 | 14752 | GTEx | DepMap | Descartes | 0.02 | 0.08 |
CYP11B1 | -0.0001294 | 15511 | GTEx | DepMap | Descartes | 0.00 | 0.00 |
FRMD5 | -0.0001394 | 15785 | GTEx | DepMap | Descartes | 0.05 | 0.02 |
DHCR24 | -0.0001461 | 15923 | GTEx | DepMap | Descartes | 1.78 | 6.46 |
PAPSS2 | -0.0001462 | 15925 | GTEx | DepMap | Descartes | 0.31 | 0.45 |
TM7SF2 | -0.0001495 | 15997 | GTEx | DepMap | Descartes | 0.24 | 3.86 |
MC2R | -0.0001553 | 16124 | GTEx | DepMap | Descartes | 0.00 | 0.00 |
SH3BP5 | -0.0001614 | 16254 | GTEx | DepMap | Descartes | 0.94 | 1.39 |
LDLR | -0.0001681 | 16390 | GTEx | DepMap | Descartes | 0.65 | 2.27 |
DHCR7 | -0.0001979 | 16981 | GTEx | DepMap | Descartes | 0.84 | 3.44 |
Descartes chromaffin markers
Top 50 marker genes of chromaffin cells in the Decartes fetal adrenal single cell map (https://atlas.brotmanbaty.org/bbi/human-gene-expression-during-development/cell/chromaffin/in/adrenal)
Wilcoxon ranksum test P-value for gene set overrepresentation: 1.00e+00
Mean rank of genes in gene set: 13412.77
Median rank of genes in gene set: 16146
Rank on gene expression program of top 30 genes in gene set:
Genes | Weight | Rank | GTEx | DepMap | Descartes | Mean.Counts | Mean.TPM |
---|---|---|---|---|---|---|---|
SYNPO2 | 0.0009912 | 259 | GTEx | DepMap | Descartes | 1.11 | 0.76 |
CNKSR2 | 0.0006804 | 499 | GTEx | DepMap | Descartes | 0.68 | 0.38 |
FAT3 | 0.0003963 | 1065 | GTEx | DepMap | Descartes | 0.48 | 0.10 |
TMEM132C | 0.0003267 | 1421 | GTEx | DepMap | Descartes | 0.58 | 0.27 |
MAB21L1 | 0.0002513 | 1991 | GTEx | DepMap | Descartes | 0.38 | 28.37 |
ISL1 | 0.0001994 | 2584 | GTEx | DepMap | Descartes | 2.55 | 26.38 |
EYA1 | 0.0001964 | 2627 | GTEx | DepMap | Descartes | 0.54 | 0.48 |
EYA4 | 0.0000226 | 7138 | GTEx | DepMap | Descartes | 0.09 | 0.05 |
IL7 | -0.0000033 | 8583 | GTEx | DepMap | Descartes | 0.01 | 0.03 |
CCND1 | -0.0000051 | 8693 | GTEx | DepMap | Descartes | 5.52 | 55.28 |
SLC44A5 | -0.0000138 | 9344 | GTEx | DepMap | Descartes | 0.02 | 0.01 |
GREM1 | -0.0000141 | 9365 | GTEx | DepMap | Descartes | 0.05 | 0.65 |
ANKFN1 | -0.0000149 | 9438 | GTEx | DepMap | Descartes | 0.00 | 0.00 |
ALK | -0.0000188 | 9770 | GTEx | DepMap | Descartes | 0.00 | 0.00 |
EPHA6 | -0.0000307 | 10797 | GTEx | DepMap | Descartes | 0.01 | 0.00 |
HMX1 | -0.0000770 | 13700 | GTEx | DepMap | Descartes | 0.18 | 1.03 |
RYR2 | -0.0000967 | 14504 | GTEx | DepMap | Descartes | 0.04 | 0.00 |
GAL | -0.0000978 | 14534 | GTEx | DepMap | Descartes | 0.42 | 4.67 |
PTCHD1 | -0.0001235 | 15342 | GTEx | DepMap | Descartes | 0.05 | 0.09 |
HS3ST5 | -0.0001266 | 15438 | GTEx | DepMap | Descartes | 0.10 | 0.03 |
SLC6A2 | -0.0001442 | 15890 | GTEx | DepMap | Descartes | 0.01 | 0.03 |
NTRK1 | -0.0001537 | 16097 | GTEx | DepMap | Descartes | 0.57 | 1.55 |
RPH3A | -0.0001585 | 16195 | GTEx | DepMap | Descartes | 0.01 | 0.01 |
KCNB2 | -0.0001785 | 16624 | GTEx | DepMap | Descartes | 0.19 | 0.03 |
MARCH11 | -0.0001946 | 16933 | GTEx | DepMap | Descartes | 0.05 | 0.03 |
PRPH | -0.0001965 | 16957 | GTEx | DepMap | Descartes | 2.59 | 39.73 |
NPY | -0.0002076 | 17162 | GTEx | DepMap | Descartes | 0.38 | 6.70 |
MAB21L2 | -0.0002266 | 17441 | GTEx | DepMap | Descartes | 0.33 | 10.00 |
TMEFF2 | -0.0002651 | 17892 | GTEx | DepMap | Descartes | 0.29 | 0.08 |
PLXNA4 | -0.0002680 | 17912 | GTEx | DepMap | Descartes | 0.47 | 0.08 |
Descartes Vascular_endothelial markers
Top 50 marker genes of Vascular_endothelial cells in the Decartes fetal adrenal single cell map (https://atlas.brotmanbaty.org/bbi/human-gene-expression-during-development/cell/vascular_endothelial/in/adrenal)
Wilcoxon ranksum test P-value for gene set overrepresentation: 8.80e-01
Mean rank of genes in gene set: 10665.7
Median rank of genes in gene set: 12327
Rank on gene expression program of top 30 genes in gene set:
Genes | Weight | Rank | GTEx | DepMap | Descartes | Mean.Counts | Mean.TPM |
---|---|---|---|---|---|---|---|
ID1 | 0.0006909 | 486 | GTEx | DepMap | Descartes | 7.63 | 849.60 |
TMEM88 | 0.0006061 | 598 | GTEx | DepMap | Descartes | 0.30 | 19.53 |
ARHGAP29 | 0.0004249 | 964 | GTEx | DepMap | Descartes | 2.77 | 4.56 |
EFNB2 | 0.0004246 | 965 | GTEx | DepMap | Descartes | 2.48 | 5.99 |
HYAL2 | 0.0003596 | 1222 | GTEx | DepMap | Descartes | 2.29 | 50.72 |
PODXL | 0.0003394 | 1354 | GTEx | DepMap | Descartes | 0.50 | 1.22 |
F8 | 0.0000908 | 4771 | GTEx | DepMap | Descartes | 0.09 | 0.04 |
SLCO2A1 | 0.0000520 | 5964 | GTEx | DepMap | Descartes | 0.06 | 0.07 |
DNASE1L3 | 0.0000283 | 6867 | GTEx | DepMap | Descartes | 0.01 | 0.03 |
CYP26B1 | 0.0000184 | 7346 | GTEx | DepMap | Descartes | 0.17 | 1.20 |
SHANK3 | 0.0000085 | 7837 | GTEx | DepMap | Descartes | 0.03 | 0.05 |
MMRN2 | -0.0000016 | 8469 | GTEx | DepMap | Descartes | 0.02 | 0.10 |
SOX18 | -0.0000069 | 8832 | GTEx | DepMap | Descartes | 0.01 | 0.93 |
GALNT15 | -0.0000144 | 9394 | GTEx | DepMap | Descartes | 0.01 | 0.01 |
NR5A2 | -0.0000218 | 10040 | GTEx | DepMap | Descartes | 0.03 | 0.01 |
CHRM3 | -0.0000271 | 10487 | GTEx | DepMap | Descartes | 0.02 | 0.00 |
FCGR2B | -0.0000358 | 11213 | GTEx | DepMap | Descartes | 0.00 | 0.00 |
BTNL9 | -0.0000389 | 11461 | GTEx | DepMap | Descartes | 0.00 | 0.01 |
CRHBP | -0.0000402 | 11579 | GTEx | DepMap | Descartes | 0.01 | 0.07 |
MYRIP | -0.0000417 | 11682 | GTEx | DepMap | Descartes | 0.02 | 0.01 |
CEACAM1 | -0.0000434 | 11802 | GTEx | DepMap | Descartes | 0.00 | 0.05 |
CALCRL | -0.0000510 | 12327 | GTEx | DepMap | Descartes | 0.09 | 0.12 |
ROBO4 | -0.0000520 | 12379 | GTEx | DepMap | Descartes | 0.00 | 0.01 |
CLDN5 | -0.0000561 | 12629 | GTEx | DepMap | Descartes | 0.02 | 1.96 |
KANK3 | -0.0000592 | 12794 | GTEx | DepMap | Descartes | 0.16 | 1.66 |
CDH5 | -0.0000626 | 12972 | GTEx | DepMap | Descartes | 0.01 | 0.02 |
ESM1 | -0.0000687 | 13289 | GTEx | DepMap | Descartes | 0.00 | 0.00 |
TIE1 | -0.0000688 | 13296 | GTEx | DepMap | Descartes | 0.00 | 0.00 |
PTPRB | -0.0000727 | 13510 | GTEx | DepMap | Descartes | 0.01 | 0.01 |
SHE | -0.0000745 | 13599 | GTEx | DepMap | Descartes | 0.01 | 0.04 |
Descartes stromal markers
Top 50 marker genes of stromal cells in the Decartes fetal adrenal single cell map (https://atlas.brotmanbaty.org/bbi/human-gene-expression-during-development/cell/stromal/in/adrenal)
Wilcoxon ranksum test P-value for gene set overrepresentation: 1.00e+00
Mean rank of genes in gene set: 13806.76
Median rank of genes in gene set: 16439
Rank on gene expression program of top 30 genes in gene set:
Genes | Weight | Rank | GTEx | DepMap | Descartes | Mean.Counts | Mean.TPM |
---|---|---|---|---|---|---|---|
EDNRA | 0.0010179 | 244 | GTEx | DepMap | Descartes | 0.65 | 1.49 |
FREM1 | 0.0005643 | 651 | GTEx | DepMap | Descartes | 0.55 | 0.40 |
RSPO3 | 0.0005610 | 659 | GTEx | DepMap | Descartes | 1.93 | 2.93 |
PDGFRA | 0.0003010 | 1570 | GTEx | DepMap | Descartes | 1.18 | 3.64 |
PRRX1 | 0.0002529 | 1973 | GTEx | DepMap | Descartes | 1.94 | 4.84 |
GLI2 | 0.0001514 | 3343 | GTEx | DepMap | Descartes | 0.59 | 0.29 |
FNDC1 | 0.0001304 | 3752 | GTEx | DepMap | Descartes | 0.14 | 0.16 |
PRICKLE1 | 0.0000071 | 7927 | GTEx | DepMap | Descartes | 0.45 | 0.57 |
C7 | 0.0000038 | 8139 | GTEx | DepMap | Descartes | 0.00 | 0.00 |
IGFBP3 | -0.0000184 | 9730 | GTEx | DepMap | Descartes | 1.33 | 21.69 |
SULT1E1 | -0.0000320 | 10905 | GTEx | DepMap | Descartes | 0.00 | 0.00 |
DKK2 | -0.0000344 | 11095 | GTEx | DepMap | Descartes | 1.02 | 1.35 |
SFRP2 | -0.0000458 | 11970 | GTEx | DepMap | Descartes | 3.31 | 57.58 |
ADAMTSL3 | -0.0000473 | 12078 | GTEx | DepMap | Descartes | 0.02 | 0.01 |
PCDH18 | -0.0000519 | 12375 | GTEx | DepMap | Descartes | 1.21 | 10.89 |
LAMC3 | -0.0000725 | 13496 | GTEx | DepMap | Descartes | 0.01 | 0.01 |
PCOLCE | -0.0000856 | 14067 | GTEx | DepMap | Descartes | 1.26 | 18.52 |
ITGA11 | -0.0000898 | 14250 | GTEx | DepMap | Descartes | 0.03 | 0.05 |
HHIP | -0.0001028 | 14704 | GTEx | DepMap | Descartes | 0.11 | 0.17 |
CLDN11 | -0.0001235 | 15343 | GTEx | DepMap | Descartes | 0.13 | 1.45 |
ABCA6 | -0.0001329 | 15618 | GTEx | DepMap | Descartes | 0.00 | 0.00 |
ABCC9 | -0.0001472 | 15951 | GTEx | DepMap | Descartes | 0.05 | 0.04 |
SCARA5 | -0.0001602 | 16231 | GTEx | DepMap | Descartes | 0.04 | 0.05 |
ELN | -0.0001799 | 16647 | GTEx | DepMap | Descartes | 0.41 | 1.42 |
PAMR1 | -0.0001967 | 16958 | GTEx | DepMap | Descartes | 0.15 | 0.19 |
COL27A1 | -0.0002025 | 17062 | GTEx | DepMap | Descartes | 1.26 | 1.04 |
ACTA2 | -0.0002140 | 17267 | GTEx | DepMap | Descartes | 1.88 | 8.39 |
ADAMTS2 | -0.0002303 | 17480 | GTEx | DepMap | Descartes | 0.17 | 0.08 |
CCDC80 | -0.0002372 | 17562 | GTEx | DepMap | Descartes | 0.59 | 1.92 |
CD248 | -0.0002542 | 17777 | GTEx | DepMap | Descartes | 0.56 | 27.92 |
Descartes sympathoblasts markers
Top 50 marker genes of sympathoblasts cells in the Decartes fetal adrenal single cell map (https://atlas.brotmanbaty.org/bbi/human-gene-expression-during-development/cell/sympathoblasts/in/adrenal)
Wilcoxon ranksum test P-value for gene set overrepresentation: 1.00e+00
Mean rank of genes in gene set: 12655.83
Median rank of genes in gene set: 14529
Rank on gene expression program of top 30 genes in gene set:
Genes | Weight | Rank | GTEx | DepMap | Descartes | Mean.Counts | Mean.TPM |
---|---|---|---|---|---|---|---|
LAMA3 | 0.0009016 | 313 | GTEx | DepMap | Descartes | 0.85 | 0.51 |
TIAM1 | 0.0006796 | 501 | GTEx | DepMap | Descartes | 2.09 | 0.58 |
ROBO1 | 0.0002511 | 1995 | GTEx | DepMap | Descartes | 1.37 | 0.21 |
CNTN3 | 0.0001370 | 3614 | GTEx | DepMap | Descartes | 0.09 | 0.03 |
KCTD16 | 0.0001004 | 4507 | GTEx | DepMap | Descartes | 0.01 | 0.00 |
ARC | 0.0000644 | 5557 | GTEx | DepMap | Descartes | 0.06 | 1.34 |
SLC35F3 | 0.0000484 | 6077 | GTEx | DepMap | Descartes | 0.01 | 0.01 |
PNMT | 0.0000317 | 6729 | GTEx | DepMap | Descartes | 0.05 | 2.75 |
CCSER1 | -0.0000173 | 9637 | GTEx | DepMap | Descartes | 0.12 | 0.01 |
FGF14 | -0.0000179 | 9687 | GTEx | DepMap | Descartes | 0.01 | 0.00 |
PACRG | -0.0000229 | 10149 | GTEx | DepMap | Descartes | 0.10 | 0.02 |
AGBL4 | -0.0000392 | 11492 | GTEx | DepMap | Descartes | 0.01 | 0.00 |
SLC24A2 | -0.0000573 | 12701 | GTEx | DepMap | Descartes | 0.02 | 0.00 |
CDH18 | -0.0000609 | 12880 | GTEx | DepMap | Descartes | 0.01 | 0.00 |
GRM7 | -0.0000626 | 12970 | GTEx | DepMap | Descartes | 0.01 | 0.00 |
CDH12 | -0.0000628 | 12979 | GTEx | DepMap | Descartes | 0.02 | 0.00 |
CHGB | -0.0000696 | 13350 | GTEx | DepMap | Descartes | 0.78 | 9.13 |
DGKK | -0.0000840 | 14004 | GTEx | DepMap | Descartes | 0.13 | 0.11 |
GALNTL6 | -0.0000871 | 14131 | GTEx | DepMap | Descartes | 0.04 | 0.00 |
SLC18A1 | -0.0000874 | 14147 | GTEx | DepMap | Descartes | 0.06 | 0.15 |
EML6 | -0.0000935 | 14390 | GTEx | DepMap | Descartes | 0.03 | 0.01 |
SORCS3 | -0.0001016 | 14668 | GTEx | DepMap | Descartes | 0.09 | 0.02 |
SCG2 | -0.0001050 | 14781 | GTEx | DepMap | Descartes | 0.02 | 0.41 |
CHGA | -0.0001076 | 14862 | GTEx | DepMap | Descartes | 0.45 | 5.15 |
PENK | -0.0001125 | 15029 | GTEx | DepMap | Descartes | 1.64 | 46.41 |
FAM155A | -0.0001156 | 15106 | GTEx | DepMap | Descartes | 0.13 | 0.03 |
TBX20 | -0.0001169 | 15146 | GTEx | DepMap | Descartes | 0.01 | 0.03 |
TENM1 | -0.0001190 | 15205 | GTEx | DepMap | Descartes | 0.05 | 0.01 |
MGAT4C | -0.0001304 | 15539 | GTEx | DepMap | Descartes | 0.03 | 0.01 |
KSR2 | -0.0001321 | 15597 | GTEx | DepMap | Descartes | 0.10 | 0.02 |
Descartes erythroblasts markers
Top 50 marker genes of erythroblasts cells in the Decartes fetal adrenal single cell map (https://atlas.brotmanbaty.org/bbi/human-gene-expression-during-development/cell/erythroblasts/in/adrenal)
Wilcoxon ranksum test P-value for gene set overrepresentation: 8.85e-01
Mean rank of genes in gene set: 10779.44
Median rank of genes in gene set: 10931.5
Rank on gene expression program of top 30 genes in gene set:
Genes | Weight | Rank | GTEx | DepMap | Descartes | Mean.Counts | Mean.TPM |
---|---|---|---|---|---|---|---|
SELENBP1 | 0.0010578 | 232 | GTEx | DepMap | Descartes | 1.24 | 11.85 |
GCLC | 0.0006289 | 567 | GTEx | DepMap | Descartes | 0.88 | 2.41 |
SLC25A37 | 0.0002584 | 1923 | GTEx | DepMap | Descartes | 0.60 | 1.43 |
CPOX | 0.0001598 | 3204 | GTEx | DepMap | Descartes | 0.98 | 2.06 |
RGS6 | 0.0001280 | 3809 | GTEx | DepMap | Descartes | 0.06 | 0.01 |
SPECC1 | 0.0001203 | 3995 | GTEx | DepMap | Descartes | 0.76 | 0.32 |
CR1L | 0.0000670 | 5471 | GTEx | DepMap | Descartes | 1.33 | 4.30 |
XPO7 | 0.0000517 | 5971 | GTEx | DepMap | Descartes | 1.59 | 1.47 |
SPTB | 0.0000285 | 6860 | GTEx | DepMap | Descartes | 0.14 | 0.10 |
SLC4A1 | 0.0000229 | 7126 | GTEx | DepMap | Descartes | 0.00 | 0.00 |
GYPA | 0.0000070 | 7936 | GTEx | DepMap | Descartes | 0.00 | 0.02 |
EPB42 | 0.0000008 | 8330 | GTEx | DepMap | Descartes | 0.00 | 0.00 |
ABCB10 | -0.0000032 | 8569 | GTEx | DepMap | Descartes | 0.53 | 1.64 |
ALAS2 | -0.0000119 | 9206 | GTEx | DepMap | Descartes | 0.00 | 0.00 |
TMEM56 | -0.0000260 | 10408 | GTEx | DepMap | Descartes | 0.04 | 0.05 |
MARCH3 | -0.0000278 | 10549 | GTEx | DepMap | Descartes | 0.03 | 0.02 |
MICAL2 | -0.0000280 | 10569 | GTEx | DepMap | Descartes | 0.10 | 0.05 |
RHD | -0.0000306 | 10777 | GTEx | DepMap | Descartes | 0.01 | 0.04 |
SPTA1 | -0.0000343 | 11086 | GTEx | DepMap | Descartes | 0.00 | 0.00 |
RHAG | -0.0000493 | 12220 | GTEx | DepMap | Descartes | 0.00 | 0.01 |
TFR2 | -0.0000550 | 12560 | GTEx | DepMap | Descartes | 0.01 | 0.07 |
SLC25A21 | -0.0000562 | 12635 | GTEx | DepMap | Descartes | 0.01 | 0.00 |
DENND4A | -0.0000579 | 12728 | GTEx | DepMap | Descartes | 0.12 | 0.10 |
SNCA | -0.0000736 | 13555 | GTEx | DepMap | Descartes | 0.31 | 0.20 |
HEMGN | -0.0000914 | 14314 | GTEx | DepMap | Descartes | 0.01 | 0.06 |
TRAK2 | -0.0001041 | 14758 | GTEx | DepMap | Descartes | 0.35 | 0.48 |
EPB41 | -0.0001188 | 15200 | GTEx | DepMap | Descartes | 2.10 | 1.42 |
RAPGEF2 | -0.0001384 | 15761 | GTEx | DepMap | Descartes | 0.64 | 0.35 |
TMCC2 | -0.0001525 | 16066 | GTEx | DepMap | Descartes | 0.32 | 0.91 |
ANK1 | -0.0001659 | 16355 | GTEx | DepMap | Descartes | 0.09 | 0.04 |
Descartes myeloid markers
Top 50 marker genes of myeloid cells in the Decartes fetal adrenal single cell map (https://atlas.brotmanbaty.org/bbi/human-gene-expression-during-development/cell/myeloid/in/adrenal)
Wilcoxon ranksum test P-value for gene set overrepresentation: 6.96e-01
Mean rank of genes in gene set: 10105.79
Median rank of genes in gene set: 10369.5
Rank on gene expression program of top 30 genes in gene set:
Genes | Weight | Rank | GTEx | DepMap | Descartes | Mean.Counts | Mean.TPM |
---|---|---|---|---|---|---|---|
FMN1 | 0.0016775 | 101 | GTEx | DepMap | Descartes | 0.45 | 0.12 |
FGD2 | 0.0010419 | 238 | GTEx | DepMap | Descartes | 0.78 | 4.34 |
MERTK | 0.0004884 | 798 | GTEx | DepMap | Descartes | 0.32 | 0.39 |
ABCA1 | 0.0003759 | 1149 | GTEx | DepMap | Descartes | 0.62 | 0.47 |
WWP1 | 0.0002068 | 2477 | GTEx | DepMap | Descartes | 1.03 | 1.08 |
IFNGR1 | 0.0001607 | 3191 | GTEx | DepMap | Descartes | 0.42 | 2.75 |
SLC9A9 | 0.0001310 | 3739 | GTEx | DepMap | Descartes | 0.18 | 0.03 |
RBPJ | 0.0000919 | 4740 | GTEx | DepMap | Descartes | 1.82 | 1.04 |
CPVL | 0.0000909 | 4766 | GTEx | DepMap | Descartes | 0.00 | 0.01 |
FGL2 | 0.0000906 | 4774 | GTEx | DepMap | Descartes | 0.06 | 0.82 |
CST3 | 0.0000785 | 5116 | GTEx | DepMap | Descartes | 12.96 | 349.78 |
LGMN | 0.0000606 | 5681 | GTEx | DepMap | Descartes | 1.02 | 2.64 |
PTPRE | 0.0000542 | 5893 | GTEx | DepMap | Descartes | 0.50 | 0.37 |
CYBB | -0.0000128 | 9268 | GTEx | DepMap | Descartes | 0.00 | 0.00 |
CD14 | -0.0000153 | 9472 | GTEx | DepMap | Descartes | 0.02 | 1.27 |
MSR1 | -0.0000154 | 9481 | GTEx | DepMap | Descartes | 0.00 | 0.01 |
MS4A7 | -0.0000157 | 9515 | GTEx | DepMap | Descartes | 0.00 | 0.00 |
MPEG1 | -0.0000186 | 9743 | GTEx | DepMap | Descartes | 0.01 | 0.29 |
CTSS | -0.0000219 | 10050 | GTEx | DepMap | Descartes | 0.00 | 0.00 |
C1QA | -0.0000222 | 10081 | GTEx | DepMap | Descartes | 0.00 | 0.09 |
C1QB | -0.0000245 | 10279 | GTEx | DepMap | Descartes | 0.00 | 0.00 |
C1QC | -0.0000267 | 10460 | GTEx | DepMap | Descartes | 0.00 | 0.08 |
SLCO2B1 | -0.0000289 | 10627 | GTEx | DepMap | Descartes | 0.01 | 0.01 |
CSF1R | -0.0000300 | 10726 | GTEx | DepMap | Descartes | 0.00 | 0.01 |
MS4A4A | -0.0000315 | 10866 | GTEx | DepMap | Descartes | 0.00 | 0.00 |
ATP8B4 | -0.0000340 | 11059 | GTEx | DepMap | Descartes | 0.00 | 0.00 |
RNASE1 | -0.0000381 | 11404 | GTEx | DepMap | Descartes | 0.00 | 0.00 |
ADAP2 | -0.0000420 | 11700 | GTEx | DepMap | Descartes | 0.00 | 0.00 |
SPP1 | -0.0000694 | 13339 | GTEx | DepMap | Descartes | 0.04 | 0.93 |
CTSB | -0.0000792 | 13803 | GTEx | DepMap | Descartes | 3.70 | 18.25 |
Descartes Schwann markers
Top 50 marker genes of Schwann cells in the Decartes fetal adrenal single cell map (https://atlas.brotmanbaty.org/bbi/human-gene-expression-during-development/cell/schwann/in/adrenal)
Wilcoxon ranksum test P-value for gene set overrepresentation: 1.00e+00
Mean rank of genes in gene set: 13934.02
Median rank of genes in gene set: 16985
Rank on gene expression program of top 30 genes in gene set:
Genes | Weight | Rank | GTEx | DepMap | Descartes | Mean.Counts | Mean.TPM |
---|---|---|---|---|---|---|---|
LAMC1 | 0.0007065 | 470 | GTEx | DepMap | Descartes | 2.13 | 1.96 |
LAMB1 | 0.0005811 | 633 | GTEx | DepMap | Descartes | 5.28 | 8.35 |
HMGA2 | 0.0003529 | 1272 | GTEx | DepMap | Descartes | 17.12 | 16.85 |
COL5A2 | 0.0002885 | 1667 | GTEx | DepMap | Descartes | 4.94 | 4.48 |
COL18A1 | 0.0002671 | 1850 | GTEx | DepMap | Descartes | 6.85 | 6.20 |
DST | 0.0002157 | 2378 | GTEx | DepMap | Descartes | 8.79 | 2.20 |
PTN | 0.0001882 | 2746 | GTEx | DepMap | Descartes | 23.05 | 27.69 |
PAG1 | 0.0000972 | 4594 | GTEx | DepMap | Descartes | 0.44 | 0.30 |
FAM134B | 0.0000879 | 4842 | GTEx | DepMap | Descartes | 0.44 | NA |
VCAN | 0.0000376 | 6491 | GTEx | DepMap | Descartes | 8.88 | 10.75 |
SCN7A | -0.0000055 | 8716 | GTEx | DepMap | Descartes | 0.09 | 0.04 |
OLFML2A | -0.0000095 | 9010 | GTEx | DepMap | Descartes | 0.25 | 0.68 |
COL25A1 | -0.0000401 | 11570 | GTEx | DepMap | Descartes | 0.57 | 0.13 |
IL1RAPL2 | -0.0000762 | 13667 | GTEx | DepMap | Descartes | 0.01 | 0.00 |
GRIK3 | -0.0000957 | 14462 | GTEx | DepMap | Descartes | 0.03 | 0.01 |
ERBB3 | -0.0000979 | 14537 | GTEx | DepMap | Descartes | 1.33 | 5.37 |
LRRTM4 | -0.0001113 | 14989 | GTEx | DepMap | Descartes | 0.02 | 0.00 |
XKR4 | -0.0001185 | 15190 | GTEx | DepMap | Descartes | 0.04 | NA |
SORCS1 | -0.0001480 | 15968 | GTEx | DepMap | Descartes | 0.29 | 0.04 |
TRPM3 | -0.0001520 | 16056 | GTEx | DepMap | Descartes | 0.03 | 0.00 |
ERBB4 | -0.0001547 | 16114 | GTEx | DepMap | Descartes | 0.06 | 0.01 |
NRXN3 | -0.0001711 | 16444 | GTEx | DepMap | Descartes | 0.46 | 0.03 |
EGFLAM | -0.0001826 | 16710 | GTEx | DepMap | Descartes | 0.23 | 0.14 |
IL1RAPL1 | -0.0001980 | 16985 | GTEx | DepMap | Descartes | 0.09 | 0.01 |
MDGA2 | -0.0002069 | 17154 | GTEx | DepMap | Descartes | 0.10 | 0.01 |
PLCE1 | -0.0002398 | 17593 | GTEx | DepMap | Descartes | 0.34 | 0.10 |
NRXN1 | -0.0002646 | 17883 | GTEx | DepMap | Descartes | 0.96 | 0.08 |
GAS7 | -0.0003031 | 18201 | GTEx | DepMap | Descartes | 0.48 | 0.18 |
PTPRZ1 | -0.0003048 | 18219 | GTEx | DepMap | Descartes | 1.52 | 0.75 |
CDH19 | -0.0003135 | 18282 | GTEx | DepMap | Descartes | 0.16 | 0.13 |
Descartes Megakaryocytes markers
Top 50 marker genes of Megakaryocytes cells in the Decartes fetal adrenal single cell map (https://atlas.brotmanbaty.org/bbi/human-gene-expression-during-development/cell/megakaryocytes/in/adrenal)
Wilcoxon ranksum test P-value for gene set overrepresentation: 8.99e-01
Mean rank of genes in gene set: 10701.98
Median rank of genes in gene set: 11577
Rank on gene expression program of top 30 genes in gene set:
Genes | Weight | Rank | GTEx | DepMap | Descartes | Mean.Counts | Mean.TPM |
---|---|---|---|---|---|---|---|
TGFB1 | 0.0011700 | 194 | GTEx | DepMap | Descartes | 0.62 | 4.55 |
MYH9 | 0.0010582 | 231 | GTEx | DepMap | Descartes | 5.53 | 6.71 |
STON2 | 0.0008388 | 354 | GTEx | DepMap | Descartes | 0.53 | 0.39 |
RAB27B | 0.0006837 | 494 | GTEx | DepMap | Descartes | 0.37 | 0.25 |
HIPK2 | 0.0005285 | 719 | GTEx | DepMap | Descartes | 2.66 | 1.55 |
LTBP1 | 0.0004329 | 942 | GTEx | DepMap | Descartes | 1.33 | 0.41 |
TPM4 | 0.0002021 | 2555 | GTEx | DepMap | Descartes | 6.12 | 30.95 |
ANGPT1 | 0.0001908 | 2707 | GTEx | DepMap | Descartes | 0.24 | 0.10 |
FLNA | 0.0001679 | 3059 | GTEx | DepMap | Descartes | 7.07 | 26.98 |
LIMS1 | 0.0001330 | 3697 | GTEx | DepMap | Descartes | 2.45 | 2.77 |
SLC2A3 | 0.0000920 | 4731 | GTEx | DepMap | Descartes | 3.56 | 5.05 |
ACTN1 | 0.0000486 | 6069 | GTEx | DepMap | Descartes | 2.44 | 2.88 |
THBS1 | 0.0000479 | 6089 | GTEx | DepMap | Descartes | 1.00 | 6.84 |
PSTPIP2 | 0.0000330 | 6673 | GTEx | DepMap | Descartes | 0.00 | 0.01 |
P2RX1 | -0.0000164 | 9568 | GTEx | DepMap | Descartes | 0.00 | 0.01 |
MED12L | -0.0000257 | 10388 | GTEx | DepMap | Descartes | 0.13 | 0.04 |
CD84 | -0.0000263 | 10430 | GTEx | DepMap | Descartes | 0.00 | 0.00 |
VCL | -0.0000299 | 10714 | GTEx | DepMap | Descartes | 1.50 | 1.55 |
INPP4B | -0.0000310 | 10814 | GTEx | DepMap | Descartes | 0.09 | 0.01 |
GP9 | -0.0000315 | 10869 | GTEx | DepMap | Descartes | 0.01 | 0.34 |
PRKAR2B | -0.0000353 | 11168 | GTEx | DepMap | Descartes | 1.24 | 1.23 |
FERMT3 | -0.0000389 | 11467 | GTEx | DepMap | Descartes | 0.01 | 0.07 |
BIN2 | -0.0000393 | 11502 | GTEx | DepMap | Descartes | 0.01 | 0.01 |
ITGA2B | -0.0000401 | 11577 | GTEx | DepMap | Descartes | 0.06 | 0.29 |
PF4 | -0.0000445 | 11894 | GTEx | DepMap | Descartes | 0.03 | 1.89 |
MCTP1 | -0.0000469 | 12058 | GTEx | DepMap | Descartes | 0.01 | 0.00 |
MMRN1 | -0.0000498 | 12251 | GTEx | DepMap | Descartes | 0.00 | 0.00 |
PPBP | -0.0000521 | 12393 | GTEx | DepMap | Descartes | 0.00 | 0.00 |
TRPC6 | -0.0000568 | 12672 | GTEx | DepMap | Descartes | 0.00 | 0.00 |
DOK6 | -0.0000666 | 13175 | GTEx | DepMap | Descartes | 0.02 | 0.01 |
Descartes Lyphoid markers
Top 50 marker genes of Lyphoid cells in the Decartes fetal adrenal single cell map (https://atlas.brotmanbaty.org/bbi/human-gene-expression-during-development/cell/lymphoid/in/adrenal)
Wilcoxon ranksum test P-value for gene set overrepresentation: 9.90e-01
Mean rank of genes in gene set: 11677.02
Median rank of genes in gene set: 14213
Rank on gene expression program of top 30 genes in gene set:
Genes | Weight | Rank | GTEx | DepMap | Descartes | Mean.Counts | Mean.TPM |
---|---|---|---|---|---|---|---|
MBNL1 | 0.0011104 | 218 | GTEx | DepMap | Descartes | 3.24 | 2.23 |
ARID5B | 0.0009510 | 286 | GTEx | DepMap | Descartes | 2.64 | 1.75 |
BACH2 | 0.0004216 | 971 | GTEx | DepMap | Descartes | 1.18 | 0.36 |
PRKCH | 0.0003963 | 1066 | GTEx | DepMap | Descartes | 0.66 | 0.37 |
SORL1 | 0.0002552 | 1955 | GTEx | DepMap | Descartes | 0.81 | 0.63 |
ITPKB | 0.0002438 | 2076 | GTEx | DepMap | Descartes | 0.69 | 0.80 |
ABLIM1 | 0.0002200 | 2330 | GTEx | DepMap | Descartes | 3.47 | 1.24 |
RCSD1 | 0.0001580 | 3234 | GTEx | DepMap | Descartes | 0.62 | 1.03 |
PITPNC1 | 0.0001549 | 3285 | GTEx | DepMap | Descartes | 1.27 | 0.55 |
CD44 | 0.0000684 | 5429 | GTEx | DepMap | Descartes | 0.28 | 0.29 |
WIPF1 | 0.0000682 | 5433 | GTEx | DepMap | Descartes | 0.32 | 0.41 |
CCND3 | 0.0000223 | 7150 | GTEx | DepMap | Descartes | 11.18 | 13.24 |
ANKRD44 | 0.0000132 | 7592 | GTEx | DepMap | Descartes | 0.71 | 0.31 |
PTPRC | -0.0000049 | 8687 | GTEx | DepMap | Descartes | 0.00 | 0.00 |
PLEKHA2 | -0.0000213 | 9988 | GTEx | DepMap | Descartes | 0.06 | 0.12 |
NKG7 | -0.0000504 | 12296 | GTEx | DepMap | Descartes | 0.00 | 0.00 |
ARHGAP15 | -0.0000527 | 12427 | GTEx | DepMap | Descartes | 0.01 | 0.00 |
MCTP2 | -0.0000529 | 12438 | GTEx | DepMap | Descartes | 0.08 | 0.04 |
TOX | -0.0000719 | 13467 | GTEx | DepMap | Descartes | 0.54 | 0.21 |
SP100 | -0.0000762 | 13666 | GTEx | DepMap | Descartes | 0.00 | 0.00 |
IKZF1 | -0.0000853 | 14050 | GTEx | DepMap | Descartes | 0.00 | 0.00 |
FOXP1 | -0.0000931 | 14376 | GTEx | DepMap | Descartes | 6.74 | 1.13 |
SCML4 | -0.0000935 | 14388 | GTEx | DepMap | Descartes | 0.00 | 0.00 |
RAP1GAP2 | -0.0001040 | 14754 | GTEx | DepMap | Descartes | 0.04 | 0.01 |
LEF1 | -0.0001050 | 14783 | GTEx | DepMap | Descartes | 1.87 | 1.90 |
BCL2 | -0.0001073 | 14846 | GTEx | DepMap | Descartes | 1.28 | 0.83 |
LCP1 | -0.0001077 | 14866 | GTEx | DepMap | Descartes | 0.02 | 0.02 |
STK39 | -0.0001084 | 14889 | GTEx | DepMap | Descartes | 0.66 | 0.29 |
PDE3B | -0.0001105 | 14961 | GTEx | DepMap | Descartes | 0.21 | 0.18 |
SKAP1 | -0.0001533 | 16085 | GTEx | DepMap | Descartes | 0.01 | 0.00 |
Below shows the ranks on this GEP for immune marker gene lists curated by CellTypist (https://www.celltypist.org/encyclopedia).
High ranks indicate this gene is a driver of this GEP.
These curated gene list are ranked by P-value (on this GEP) of their constituent genes.
The Mean Count column shows the mean read count in cells scoring highly (H > 50) on this gene expression program.
Genes | Weight | Rank | GTEx | DepMap | Decartes | Mean.Counts | Mean.TPM |
---|---|---|---|---|---|---|---|
SCT | 0.0016608 | 106 | GTEx | DepMap | Descartes | 0.24 | 35.22 |
TRIM71 | 0.0003647 | 1198 | GTEx | DepMap | Descartes | 0.13 | 0.22 |
OGDHL | 0.0000168 | 7412 | GTEx | DepMap | Descartes | 0.01 | 0.03 |
SYCP1 | -0.0000134 | 9312 | GTEx | DepMap | Descartes | 0.00 | 0.01 |
B cells: Memory B cells (model markers)
long-lived mature B lymphocytes which are formed within germinal centers following primary infection and selected for higher-affinity immunoglobulin:
Wilcoxon ranksum test P-value for gene set overrepresentation: 3.34e-02
Mean rank of genes in gene set: 5090.8
Rank on gene expression program of genes in gene set:
Genes | Weight | Rank | GTEx | DepMap | Decartes | Mean.Counts | Mean.TPM |
---|---|---|---|---|---|---|---|
RPS17 | 0.0006255 | 570 | GTEx | DepMap | Descartes | 45.35 | 1855.59 |
HES1 | 0.0003766 | 1147 | GTEx | DepMap | Descartes | 3.72 | 110.41 |
MT-ATP8 | 0.0002152 | 2386 | GTEx | DepMap | Descartes | 1.57 | 871.13 |
MT-ND3 | 0.0001630 | 3148 | GTEx | DepMap | Descartes | 37.17 | 11059.09 |
CD74 | -0.0003033 | 18203 | GTEx | DepMap | Descartes | 0.05 | 0.59 |
B cells: Transitional B cells (curated markers)
immature B cell precursors in the bone marrow which connect Pre-B cells with mature naive B cells and are subject to the process of B cell selection:
Wilcoxon ranksum test P-value for gene set overrepresentation: 3.90e-02
Mean rank of genes in gene set: 2709
Rank on gene expression program of genes in gene set:
Genes | Weight | Rank | GTEx | DepMap | Decartes | Mean.Counts | Mean.TPM |
---|---|---|---|---|---|---|---|
MS4A1 | 0.0007631 | 425 | GTEx | DepMap | Descartes | 0.00 | 0.00 |
MYO1C | 0.0000826 | 4993 | GTEx | DepMap | Descartes | 0.92 | 4.32 |