QQ-plot of gene loadings, averaged over both independent splits of the data
This plot highlights the relative contribution of each gene to the GEP
Top genes driving this program.
Note: Decartes website is buggy, try refreshing. Also, Decartes fetal adrenal data have been collected at specific time points (89-122 days), all possible cell types of interest may not be represented, do not overinterpret.
The Mean Count column shows the mean read count in cells scoring highly (H > 50) on this gene expression program.
Gene | Loading | Gene.Name | GTEx | DepMap | Descartes | Mean.Counts | Mean.Tpm | |
---|---|---|---|---|---|---|---|---|
1 | SFRP4 | 0.0468100 | secreted frizzled related protein 4 | GTEx | DepMap | Descartes | 12.35 | 3775.23 |
2 | APOD | 0.0438969 | apolipoprotein D | GTEx | DepMap | Descartes | 9.12 | 6477.56 |
3 | PTGDS | 0.0436945 | prostaglandin D2 synthase | GTEx | DepMap | Descartes | 20.79 | 18845.28 |
4 | EFEMP1 | 0.0371517 | EGF containing fibulin extracellular matrix protein 1 | GTEx | DepMap | Descartes | 2.51 | 613.45 |
5 | EDN3 | 0.0365772 | endothelin 3 | GTEx | DepMap | Descartes | 2.28 | 707.20 |
6 | EGFL6 | 0.0354059 | EGF like domain multiple 6 | GTEx | DepMap | Descartes | 3.09 | 1183.74 |
7 | PI16 | 0.0338886 | peptidase inhibitor 16 | GTEx | DepMap | Descartes | 4.86 | 2099.68 |
8 | PITX2 | 0.0338427 | paired like homeodomain 2 | GTEx | DepMap | Descartes | 1.33 | 346.22 |
9 | MGP | 0.0334882 | matrix Gla protein | GTEx | DepMap | Descartes | 25.33 | 11001.67 |
10 | CCL26 | 0.0332494 | C-C motif chemokine ligand 26 | GTEx | DepMap | Descartes | 1.50 | 1578.74 |
11 | RARRES1 | 0.0325357 | retinoic acid receptor responder 1 | GTEx | DepMap | Descartes | 1.71 | 724.16 |
12 | SMOC2 | 0.0294535 | SPARC related modular calcium binding 2 | GTEx | DepMap | Descartes | 2.18 | 541.80 |
13 | FOXF2 | 0.0283332 | forkhead box F2 | GTEx | DepMap | Descartes | 0.59 | 208.63 |
14 | MYOC | 0.0261260 | myocilin | GTEx | DepMap | Descartes | 0.21 | 69.33 |
15 | GSN | 0.0247609 | gelsolin | GTEx | DepMap | Descartes | 10.46 | 1468.25 |
16 | LTBP2 | 0.0246123 | latent transforming growth factor beta binding protein 2 | GTEx | DepMap | Descartes | 0.55 | 42.24 |
17 | IGFBP6 | 0.0244950 | insulin like growth factor binding protein 6 | GTEx | DepMap | Descartes | 4.58 | 3591.95 |
18 | C1S | 0.0242012 | complement C1s | GTEx | DepMap | Descartes | 1.88 | 468.25 |
19 | SCARA5 | 0.0241947 | scavenger receptor class A member 5 | GTEx | DepMap | Descartes | 0.97 | 214.42 |
20 | SERPING1 | 0.0227163 | serpin family G member 1 | GTEx | DepMap | Descartes | 2.79 | 914.47 |
21 | AC098798.1 | 0.0222725 | NA | GTEx | DepMap | Descartes | 0.21 | NA |
22 | SHOX | 0.0216282 | short stature homeobox | GTEx | DepMap | Descartes | 0.04 | 4.49 |
23 | DIO2 | 0.0213845 | iodothyronine deiodinase 2 | GTEx | DepMap | Descartes | 0.37 | 49.73 |
24 | SOD3 | 0.0202743 | superoxide dismutase 3 | GTEx | DepMap | Descartes | 1.29 | 827.08 |
25 | NPPC | 0.0200692 | natriuretic peptide C | GTEx | DepMap | Descartes | 0.85 | 698.57 |
26 | C2orf40 | 0.0198759 | NA | GTEx | DepMap | Descartes | 1.05 | NA |
27 | ADIRF | 0.0198120 | adipogenesis regulatory factor | GTEx | DepMap | Descartes | 1.81 | NA |
28 | HSD11B1 | 0.0188930 | hydroxysteroid 11-beta dehydrogenase 1 | GTEx | DepMap | Descartes | 0.13 | 70.92 |
29 | C1R | 0.0187437 | complement C1r | GTEx | DepMap | Descartes | 1.62 | 318.94 |
30 | PITX1 | 0.0185895 | paired like homeodomain 1 | GTEx | DepMap | Descartes | 0.50 | 207.13 |
31 | C5orf66-AS1 | 0.0183505 | NA | GTEx | DepMap | Descartes | 0.08 | NA |
32 | PGR | 0.0171308 | progesterone receptor | GTEx | DepMap | Descartes | 0.03 | 0.92 |
33 | F3 | 0.0170187 | coagulation factor III, tissue factor | GTEx | DepMap | Descartes | 1.15 | 364.99 |
34 | ALKAL2 | 0.0167853 | ALK and LTK ligand 2 | GTEx | DepMap | Descartes | 0.86 | NA |
35 | OMD | 0.0162568 | osteomodulin | GTEx | DepMap | Descartes | 0.71 | 251.34 |
36 | THSD4 | 0.0161314 | thrombospondin type 1 domain containing 4 | GTEx | DepMap | Descartes | 0.76 | 57.92 |
37 | LGALS3 | 0.0160916 | galectin 3 | GTEx | DepMap | Descartes | 2.58 | 843.81 |
38 | VIT | 0.0157915 | vitrin | GTEx | DepMap | Descartes | 0.15 | 53.35 |
39 | PRELP | 0.0157429 | proline and arginine rich end leucine rich repeat protein | GTEx | DepMap | Descartes | 0.94 | 144.41 |
40 | FBLN1 | 0.0149031 | fibulin 1 | GTEx | DepMap | Descartes | 3.03 | 744.03 |
41 | C16orf89 | 0.0148645 | chromosome 16 open reading frame 89 | GTEx | DepMap | Descartes | 0.18 | 78.49 |
42 | AL034346.1 | 0.0138874 | NA | GTEx | DepMap | Descartes | 0.03 | NA |
43 | GSTM5 | 0.0138622 | glutathione S-transferase mu 5 | GTEx | DepMap | Descartes | 0.76 | 101.92 |
44 | CRYGD | 0.0138130 | crystallin gamma D | GTEx | DepMap | Descartes | 0.12 | 175.25 |
45 | CLU | 0.0133304 | clusterin | GTEx | DepMap | Descartes | 6.65 | 1897.41 |
46 | ENPP1 | 0.0128369 | ectonucleotide pyrophosphatase/phosphodiesterase 1 | GTEx | DepMap | Descartes | 0.58 | 55.04 |
47 | MMP2 | 0.0124372 | matrix metallopeptidase 2 | GTEx | DepMap | Descartes | 1.65 | 285.20 |
48 | ABI3BP | 0.0122139 | ABI family member 3 binding protein | GTEx | DepMap | Descartes | 0.64 | 74.46 |
49 | FHL2 | 0.0121674 | four and a half LIM domains 2 | GTEx | DepMap | Descartes | 1.49 | 193.50 |
50 | FIBIN | 0.0120756 | fin bud initiation factor homolog | GTEx | DepMap | Descartes | 0.42 | 98.33 |
UMAP plots showing activity of gene expression program identified in GEP 25. Stromal I:
Gene set Enrichments for this program, caculated from top 50 genes
mSigDB Cell Types Gene Set:
P-value | OR | Lower 95% CI | FDR | FWER | Genes Found | Gene Set Size | |
---|---|---|---|---|---|---|---|
RUBENSTEIN_SKELETAL_MUSCLE_FAP_CELLS | 6.56e-25 | 81.82 | 41.89 | 2.20e-22 | 4.40e-22 | 17SFRP4, APOD, PTGDS, EFEMP1, PI16, MGP, SMOC2, MYOC, GSN, IGFBP6, C1S, SERPING1, HSD11B1, C1R, VIT, FBLN1, MMP2 |
179 |
TRAVAGLINI_LUNG_ADVENTITIAL_FIBROBLAST_CELL | 3.42e-28 | 67.72 | 36.29 | 2.29e-25 | 2.29e-25 | 21SFRP4, APOD, EFEMP1, PI16, MGP, RARRES1, MYOC, GSN, IGFBP6, C1S, SCARA5, C1R, F3, OMD, LGALS3, FBLN1, C16orf89, GSTM5, MMP2, ABI3BP, FIBIN |
296 |
DESCARTES_FETAL_MUSCLE_STROMAL_CELLS | 2.40e-13 | 63.45 | 26.32 | 1.79e-11 | 1.61e-10 | 9EGFL6, PI16, MGP, SMOC2, IGFBP6, C1S, SCARA5, C1R, FBLN1 |
98 |
DURANTE_ADULT_OLFACTORY_NEUROEPITHELIUM_FIBROBLASTS_STROMAL_CELLS | 3.44e-12 | 66.20 | 25.93 | 1.92e-10 | 2.31e-09 | 8APOD, MGP, GSN, IGFBP6, C1S, SERPING1, C1R, FBLN1 |
82 |
DESCARTES_FETAL_KIDNEY_STROMAL_CELLS | 3.76e-15 | 53.75 | 24.30 | 4.21e-13 | 2.53e-12 | 11APOD, PI16, MGP, LTBP2, IGFBP6, SCARA5, SOD3, C1R, OMD, PRELP, FIBIN |
146 |
TRAVAGLINI_LUNG_MYOFIBROBLAST_CELL | 2.89e-09 | 59.45 | 19.93 | 1.02e-07 | 1.94e-06 | 6RARRES1, LTBP2, PRELP, C16orf89, CLU, MMP2 |
65 |
DESCARTES_MAIN_FETAL_IGFBP1_DKK1_POSITIVE_CELLS | 3.37e-14 | 43.49 | 19.72 | 3.23e-12 | 2.26e-11 | 11APOD, LTBP2, IGFBP6, SCARA5, SERPING1, HSD11B1, PGR, OMD, ENPP1, MMP2, ABI3BP |
178 |
CUI_DEVELOPING_HEART_SMOOTH_MUSCLE_CELL | 3.54e-08 | 66.53 | 19.63 | 1.13e-06 | 2.37e-05 | 5EGFL6, PI16, C1S, C1R, FBLN1 |
48 |
DESCARTES_FETAL_EYE_STROMAL_CELLS | 4.27e-10 | 50.43 | 18.61 | 1.79e-08 | 2.86e-07 | 7EGFL6, PI16, MGP, IGFBP6, SCARA5, C1R, OMD |
90 |
CUI_DEVELOPING_HEART_VASCULAR_ENDOTHELIAL_CELL | 8.20e-14 | 39.89 | 18.14 | 6.88e-12 | 5.50e-11 | 11SFRP4, PTGDS, EFEMP1, PI16, MGP, LTBP2, C1R, OMD, CLU, MMP2, ABI3BP |
193 |
RUBENSTEIN_SKELETAL_MUSCLE_FBN1_FAP_CELLS | 1.99e-16 | 36.42 | 17.94 | 3.35e-14 | 1.34e-13 | 14EFEMP1, PI16, MGP, GSN, IGFBP6, C1S, SCARA5, SERPING1, C1R, VIT, FBLN1, CLU, MMP2, ABI3BP |
289 |
GAO_LARGE_INTESTINE_24W_C1_DCLK1POS_PROGENITOR | 8.37e-10 | 45.47 | 16.84 | 3.30e-08 | 5.62e-07 | 7MGP, C1S, SERPING1, C1R, FBLN1, GSTM5, MMP2 |
99 |
AIZARANI_LIVER_C21_STELLATE_CELLS_1 | 3.35e-12 | 34.98 | 15.36 | 1.92e-10 | 2.25e-09 | 10PTGDS, EFEMP1, MGP, GSN, C1S, SOD3, C1R, PRELP, FBLN1, MMP2 |
194 |
DESCARTES_FETAL_THYMUS_STROMAL_CELLS | 2.19e-10 | 37.99 | 15.11 | 9.79e-09 | 1.47e-07 | 8PI16, MGP, C1S, SCARA5, SERPING1, C1R, FBLN1, MMP2 |
137 |
HAY_BONE_MARROW_STROMAL | 3.90e-21 | 27.25 | 14.79 | 8.73e-19 | 2.62e-18 | 22APOD, PTGDS, EFEMP1, PITX2, MGP, RARRES1, SMOC2, GSN, LTBP2, IGFBP6, C1S, SERPING1, SOD3, ADIRF, HSD11B1, C1R, THSD4, PRELP, FBLN1, MMP2, ABI3BP, FIBIN |
765 |
DESCARTES_FETAL_PLACENTA_IGFBP1_DKK1_POSITIVE_CELLS | 2.55e-09 | 38.40 | 14.27 | 9.49e-08 | 1.71e-06 | 7APOD, IGFBP6, SCARA5, HSD11B1, C1R, PGR, OMD |
116 |
FAN_OVARY_CL6_PUTATIVE_EARLY_ATRETIC_FOLLICLE_THECAL_CELL_2 | 3.49e-13 | 28.23 | 13.29 | 2.34e-11 | 2.34e-10 | 12SFRP4, MGP, SMOC2, GSN, C1S, SERPING1, C1R, LGALS3, PRELP, FBLN1, GSTM5, MMP2 |
300 |
TRAVAGLINI_LUNG_BASAL_CELL | 8.65e-11 | 31.58 | 13.29 | 4.47e-09 | 5.81e-08 | 9APOD, IGFBP6, SOD3, C1R, F3, FBLN1, CLU, ABI3BP, FHL2 |
188 |
GAO_LARGE_INTESTINE_ADULT_CJ_IMMUNE_CELLS | 7.22e-16 | 24.79 | 12.69 | 9.69e-14 | 4.85e-13 | 16APOD, EFEMP1, MGP, FOXF2, LTBP2, IGFBP6, C1S, SCARA5, SERPING1, C1R, PITX1, C5orf66-AS1, ALKAL2, FBLN1, MMP2, ABI3BP |
505 |
DESCARTES_FETAL_STOMACH_STROMAL_CELLS | 2.67e-06 | 48.59 | 12.22 | 5.77e-05 | 1.79e-03 | 4PI16, FOXF2, SCARA5, FBLN1 |
50 |
Dowload full table
mSigDB Hallmark Gene Sets:
P-value | OR | Lower 95% CI | FDR | FWER | Genes Found | Gene Set Size | |
---|---|---|---|---|---|---|---|
HALLMARK_COAGULATION | 8.52e-09 | 31.99 | 11.92 | 4.26e-07 | 4.26e-07 | 7GSN, C1S, SERPING1, C1R, F3, CLU, MMP2 |
138 |
HALLMARK_COMPLEMENT | 2.30e-06 | 18.10 | 6.23 | 5.75e-05 | 1.15e-04 | 6C1S, SERPING1, C1R, F3, LGALS3, CLU |
200 |
HALLMARK_APOPTOSIS | 1.45e-05 | 18.34 | 5.61 | 2.42e-04 | 7.27e-04 | 5GSN, IGFBP6, LGALS3, CLU, MMP2 |
161 |
HALLMARK_EPITHELIAL_MESENCHYMAL_TRANSITION | 4.09e-05 | 14.68 | 4.50 | 5.11e-04 | 2.04e-03 | 5SFRP4, MGP, FBLN1, MMP2, ABI3BP |
200 |
HALLMARK_MYOGENESIS | 5.92e-04 | 11.43 | 2.96 | 5.92e-03 | 2.96e-02 | 4APOD, GSN, SOD3, CLU |
200 |
HALLMARK_UV_RESPONSE_DN | 2.71e-03 | 11.66 | 2.29 | 2.26e-02 | 1.35e-01 | 3EFEMP1, F3, FHL2 |
144 |
HALLMARK_CHOLESTEROL_HOMEOSTASIS | 9.04e-03 | 14.90 | 1.72 | 4.52e-02 | 4.52e-01 | 2LGALS3, CLU |
74 |
HALLMARK_ESTROGEN_RESPONSE_EARLY | 6.73e-03 | 8.34 | 1.65 | 3.74e-02 | 3.37e-01 | 3PGR, THSD4, FHL2 |
200 |
HALLMARK_INTERFERON_GAMMA_RESPONSE | 6.73e-03 | 8.34 | 1.65 | 3.74e-02 | 3.37e-01 | 3C1S, SERPING1, C1R |
200 |
HALLMARK_XENOBIOTIC_METABOLISM | 6.73e-03 | 8.34 | 1.65 | 3.74e-02 | 3.37e-01 | 3PTGDS, HSD11B1, FBLN1 |
200 |
HALLMARK_KRAS_SIGNALING_UP | 5.67e-02 | 5.42 | 0.63 | 2.58e-01 | 1.00e+00 | 2APOD, HSD11B1 |
200 |
HALLMARK_TGF_BETA_SIGNALING | 9.93e-02 | 9.91 | 0.24 | 4.14e-01 | 1.00e+00 | 1LTBP2 |
54 |
HALLMARK_INTERFERON_ALPHA_RESPONSE | 1.71e-01 | 5.48 | 0.13 | 6.49e-01 | 1.00e+00 | 1C1S |
97 |
HALLMARK_PI3K_AKT_MTOR_SIGNALING | 1.84e-01 | 5.06 | 0.12 | 6.49e-01 | 1.00e+00 | 1PITX2 |
105 |
HALLMARK_BILE_ACID_METABOLISM | 1.95e-01 | 4.74 | 0.12 | 6.49e-01 | 1.00e+00 | 1DIO2 |
112 |
HALLMARK_MITOTIC_SPINDLE | 3.19e-01 | 2.66 | 0.07 | 6.97e-01 | 1.00e+00 | 1GSN |
199 |
HALLMARK_IL2_STAT5_SIGNALING | 3.19e-01 | 2.66 | 0.07 | 6.97e-01 | 1.00e+00 | 1ENPP1 |
199 |
HALLMARK_TNFA_SIGNALING_VIA_NFKB | 3.20e-01 | 2.64 | 0.07 | 6.97e-01 | 1.00e+00 | 1F3 |
200 |
HALLMARK_HYPOXIA | 3.20e-01 | 2.64 | 0.07 | 6.97e-01 | 1.00e+00 | 1F3 |
200 |
HALLMARK_ADIPOGENESIS | 3.20e-01 | 2.64 | 0.07 | 6.97e-01 | 1.00e+00 | 1OMD |
200 |
Dowload full table
KEGG Pathways:
P-value | OR | Lower 95% CI | FDR | FWER | Genes Found | Gene Set Size | |
---|---|---|---|---|---|---|---|
KEGG_COMPLEMENT_AND_COAGULATION_CASCADES | 9.71e-06 | 34.43 | 8.75 | 1.81e-03 | 1.81e-03 | 4C1S, SERPING1, C1R, F3 |
69 |
KEGG_SYSTEMIC_LUPUS_ERYTHEMATOSUS | 2.95e-02 | 7.83 | 0.91 | 1.00e+00 | 1.00e+00 | 2C1S, C1R |
139 |
KEGG_RIBOFLAVIN_METABOLISM | 3.05e-02 | 34.99 | 0.82 | 1.00e+00 | 1.00e+00 | 1ENPP1 |
16 |
KEGG_PANTOTHENATE_AND_COA_BIOSYNTHESIS | 3.05e-02 | 34.99 | 0.82 | 1.00e+00 | 1.00e+00 | 1ENPP1 |
16 |
KEGG_NICOTINATE_AND_NICOTINAMIDE_METABOLISM | 4.54e-02 | 22.85 | 0.54 | 1.00e+00 | 1.00e+00 | 1ENPP1 |
24 |
KEGG_ALDOSTERONE_REGULATED_SODIUM_REABSORPTION | 7.81e-02 | 12.81 | 0.31 | 1.00e+00 | 1.00e+00 | 1HSD11B1 |
42 |
KEGG_BLADDER_CANCER | 7.81e-02 | 12.81 | 0.31 | 1.00e+00 | 1.00e+00 | 1MMP2 |
42 |
KEGG_GLUTATHIONE_METABOLISM | 9.23e-02 | 10.73 | 0.26 | 1.00e+00 | 1.00e+00 | 1GSTM5 |
50 |
KEGG_STARCH_AND_SUCROSE_METABOLISM | 9.58e-02 | 10.31 | 0.25 | 1.00e+00 | 1.00e+00 | 1ENPP1 |
52 |
KEGG_STEROID_HORMONE_BIOSYNTHESIS | 1.01e-01 | 9.73 | 0.24 | 1.00e+00 | 1.00e+00 | 1HSD11B1 |
55 |
KEGG_ARACHIDONIC_ACID_METABOLISM | 1.06e-01 | 9.22 | 0.23 | 1.00e+00 | 1.00e+00 | 1PTGDS |
58 |
KEGG_METABOLISM_OF_XENOBIOTICS_BY_CYTOCHROME_P450 | 1.27e-01 | 7.62 | 0.19 | 1.00e+00 | 1.00e+00 | 1GSTM5 |
70 |
KEGG_DRUG_METABOLISM_CYTOCHROME_P450 | 1.30e-01 | 7.40 | 0.18 | 1.00e+00 | 1.00e+00 | 1GSTM5 |
72 |
KEGG_PROGESTERONE_MEDIATED_OOCYTE_MATURATION | 1.52e-01 | 6.26 | 0.15 | 1.00e+00 | 1.00e+00 | 1PGR |
85 |
KEGG_TGF_BETA_SIGNALING_PATHWAY | 1.53e-01 | 6.18 | 0.15 | 1.00e+00 | 1.00e+00 | 1PITX2 |
86 |
KEGG_FC_GAMMA_R_MEDIATED_PHAGOCYTOSIS | 1.70e-01 | 5.53 | 0.14 | 1.00e+00 | 1.00e+00 | 1GSN |
96 |
KEGG_GNRH_SIGNALING_PATHWAY | 1.78e-01 | 5.26 | 0.13 | 1.00e+00 | 1.00e+00 | 1MMP2 |
101 |
KEGG_OOCYTE_MEIOSIS | 1.96e-01 | 4.69 | 0.12 | 1.00e+00 | 1.00e+00 | 1PGR |
113 |
KEGG_LEUKOCYTE_TRANSENDOTHELIAL_MIGRATION | 2.01e-01 | 4.57 | 0.11 | 1.00e+00 | 1.00e+00 | 1MMP2 |
116 |
KEGG_WNT_SIGNALING_PATHWAY | 2.53e-01 | 3.50 | 0.09 | 1.00e+00 | 1.00e+00 | 1SFRP4 |
151 |
Dowload full table
CHR Positional Gene Sets:
P-value | OR | Lower 95% CI | FDR | FWER | Genes Found | Gene Set Size | |
---|---|---|---|---|---|---|---|
chr6p25 | 1.10e-02 | 13.42 | 1.55 | 1.00e+00 | 1.00e+00 | 2FOXF2, AL034346.1 |
82 |
chr8p21 | 2.54e-02 | 8.52 | 0.99 | 1.00e+00 | 1.00e+00 | 2SCARA5, CLU |
128 |
chrXp22 | 7.38e-02 | 4.65 | 0.54 | 1.00e+00 | 1.00e+00 | 2EGFL6, SHOX |
233 |
chr1q32 | 9.23e-02 | 4.07 | 0.48 | 1.00e+00 | 1.00e+00 | 2HSD11B1, PRELP |
266 |
chr5q31 | 1.05e-01 | 3.77 | 0.44 | 1.00e+00 | 1.00e+00 | 2PITX1, C5orf66-AS1 |
287 |
chr12p13 | 1.33e-01 | 3.24 | 0.38 | 1.00e+00 | 1.00e+00 | 2C1S, C1R |
333 |
chr3q12 | 8.53e-02 | 11.68 | 0.28 | 1.00e+00 | 1.00e+00 | 1ABI3BP |
46 |
chr11p14 | 1.03e-01 | 9.56 | 0.23 | 1.00e+00 | 1.00e+00 | 1FIBIN |
56 |
chr14q31 | 1.03e-01 | 9.56 | 0.23 | 1.00e+00 | 1.00e+00 | 1DIO2 |
56 |
chr15q23 | 1.18e-01 | 8.21 | 0.20 | 1.00e+00 | 1.00e+00 | 1THSD4 |
65 |
chr6q27 | 1.35e-01 | 7.10 | 0.17 | 1.00e+00 | 1.00e+00 | 1SMOC2 |
75 |
chr2q12 | 1.42e-01 | 6.74 | 0.17 | 1.00e+00 | 1.00e+00 | 1FHL2 |
79 |
chr4q25 | 1.55e-01 | 6.11 | 0.15 | 1.00e+00 | 1.00e+00 | 1PITX2 |
87 |
chr14q22 | 1.60e-01 | 5.91 | 0.14 | 1.00e+00 | 1.00e+00 | 1LGALS3 |
90 |
chr16q12 | 1.70e-01 | 5.53 | 0.14 | 1.00e+00 | 1.00e+00 | 1MMP2 |
96 |
chr11q22 | 1.73e-01 | 5.42 | 0.13 | 1.00e+00 | 1.00e+00 | 1PGR |
98 |
chr2p22 | 1.73e-01 | 5.42 | 0.13 | 1.00e+00 | 1.00e+00 | 1VIT |
98 |
chr1p21 | 1.74e-01 | 5.36 | 0.13 | 1.00e+00 | 1.00e+00 | 1F3 |
99 |
chr6q23 | 1.85e-01 | 5.01 | 0.12 | 1.00e+00 | 1.00e+00 | 1ENPP1 |
106 |
chr12p12 | 1.87e-01 | 4.96 | 0.12 | 1.00e+00 | 1.00e+00 | 1MGP |
107 |
Dowload full table
Transcription Factor Targets:
P-value | OR | Lower 95% CI | FDR | FWER | Genes Found | Gene Set Size | |
---|---|---|---|---|---|---|---|
IRF1_01 | 9.16e-06 | 14.11 | 4.87 | 5.19e-03 | 1.04e-02 | 6EGFL6, PITX2, LTBP2, DIO2, PITX1, F3 |
255 |
FOXM1_01 | 1.12e-04 | 11.78 | 3.62 | 2.77e-02 | 1.27e-01 | 5PITX2, DIO2, NPPC, HSD11B1, PITX1 |
248 |
TGGAAA_NFAT_Q4_01 | 2.17e-08 | 6.93 | 3.61 | 2.46e-05 | 2.46e-05 | 17SFRP4, APOD, PTGDS, EGFL6, PITX2, MGP, FOXF2, GSN, LTBP2, C1S, DIO2, HSD11B1, OMD, VIT, PRELP, ENPP1, FIBIN |
1934 |
HFH1_01 | 1.18e-04 | 11.63 | 3.57 | 2.77e-02 | 1.34e-01 | 5EFEMP1, PITX2, HSD11B1, OMD, VIT |
251 |
IRF_Q6 | 1.23e-03 | 9.33 | 2.42 | 1.54e-01 | 1.00e+00 | 4EGFL6, PITX2, DIO2, F3 |
244 |
CP2_01 | 1.55e-03 | 8.75 | 2.27 | 1.54e-01 | 1.00e+00 | 4EGFL6, IGFBP6, SOD3, PRELP |
260 |
TST1_01 | 1.66e-03 | 8.58 | 2.23 | 1.54e-01 | 1.00e+00 | 4PITX2, IGFBP6, DIO2, OMD |
265 |
COUP_01 | 1.66e-03 | 8.58 | 2.23 | 1.54e-01 | 1.00e+00 | 4EDN3, PITX2, FBLN1, ABI3BP |
265 |
TGCCAAR_NF1_Q6 | 4.03e-04 | 5.83 | 2.20 | 7.62e-02 | 4.57e-01 | 7PI16, PITX2, LTBP2, IGFBP6, PITX1, OMD, PRELP |
727 |
TATAAA_TATA_01 | 1.22e-04 | 4.93 | 2.19 | 2.77e-02 | 1.38e-01 | 10APOD, EFEMP1, PITX2, MGP, MYOC, DIO2, NPPC, VIT, ABI3BP, FHL2 |
1317 |
CACCCBINDINGFACTOR_Q6 | 1.80e-03 | 8.39 | 2.18 | 1.54e-01 | 1.00e+00 | 4PTGDS, FOXF2, C1S, ABI3BP |
271 |
FREAC4_01 | 3.21e-03 | 10.96 | 2.16 | 2.43e-01 | 1.00e+00 | 3PITX2, VIT, ABI3BP |
153 |
CRX_Q4 | 1.88e-03 | 8.30 | 2.15 | 1.54e-01 | 1.00e+00 | 4EGFL6, PITX2, PITX1, ABI3BP |
274 |
TTANWNANTGGM_UNKNOWN | 7.04e-03 | 17.02 | 1.96 | 4.43e-01 | 1.00e+00 | 2FOXF2, CLU |
65 |
RTAAACA_FREAC2_01 | 1.71e-03 | 4.51 | 1.71 | 1.54e-01 | 1.00e+00 | 7EFEMP1, PITX2, IGFBP6, HSD11B1, VIT, ABI3BP, FHL2 |
938 |
ZNF514_TARGET_GENES | 1.54e-02 | 74.89 | 1.63 | 4.74e-01 | 1.00e+00 | 1GSN |
8 |
TGAYRTCA_ATF3_Q6 | 3.77e-03 | 5.26 | 1.62 | 2.61e-01 | 1.00e+00 | 5PITX2, DIO2, NPPC, HSD11B1, ABI3BP |
549 |
WGTTNNNNNAAA_UNKNOWN | 3.91e-03 | 5.21 | 1.61 | 2.61e-01 | 1.00e+00 | 5PITX2, MGP, IGFBP6, PITX1, MMP2 |
554 |
CTTTGA_LEF1_Q2 | 1.90e-03 | 3.96 | 1.60 | 1.54e-01 | 1.00e+00 | 8EDN3, PITX2, C1S, HSD11B1, VIT, CRYGD, ENPP1, ABI3BP |
1247 |
CHX10_01 | 9.59e-03 | 7.31 | 1.44 | 4.74e-01 | 1.00e+00 | 3PITX2, FOXF2, PITX1 |
228 |
Dowload full table
GO Biological Processes:
P-value | OR | Lower 95% CI | FDR | FWER | Genes Found | Gene Set Size | |
---|---|---|---|---|---|---|---|
GOBP_KERATINOCYTE_APOPTOTIC_PROCESS | 5.49e-05 | 267.63 | 23.60 | 4.36e-02 | 4.10e-01 | 2SFRP4, GSN |
6 |
GOBP_PROTEIN_ACTIVATION_CASCADE | 2.16e-05 | 65.64 | 12.27 | 2.69e-02 | 1.61e-01 | 3SERPING1, F3, FBLN1 |
28 |
GOBP_KERATAN_SULFATE_CATABOLIC_PROCESS | 2.40e-04 | 106.92 | 11.12 | 9.95e-02 | 1.00e+00 | 2OMD, PRELP |
12 |
GOBP_TRIVALENT_INORGANIC_ANION_HOMEOSTASIS | 2.83e-04 | 97.16 | 10.22 | 1.11e-01 | 1.00e+00 | 2SFRP4, ENPP1 |
13 |
GOBP_EOSINOPHIL_CHEMOTAXIS | 5.51e-04 | 67.02 | 7.27 | 1.59e-01 | 1.00e+00 | 2CCL26, LGALS3 |
18 |
GOBP_SKELETAL_SYSTEM_DEVELOPMENT | 2.20e-08 | 13.56 | 6.01 | 1.65e-04 | 1.65e-04 | 10SFRP4, EFEMP1, PITX2, MGP, MYOC, SHOX, NPPC, PITX1, PRELP, MMP2 |
485 |
GOBP_TRABECULA_FORMATION | 8.27e-04 | 53.60 | 5.91 | 1.60e-01 | 1.00e+00 | 2MMP2, FHL2 |
22 |
GOBP_EOSINOPHIL_MIGRATION | 8.27e-04 | 53.60 | 5.91 | 1.60e-01 | 1.00e+00 | 2CCL26, LGALS3 |
22 |
GOBP_REGULATION_OF_PLATELET_DERIVED_GROWTH_FACTOR_RECEPTOR_SIGNALING_PATHWAY | 9.05e-04 | 50.98 | 5.65 | 1.60e-01 | 1.00e+00 | 2APOD, F3 |
23 |
GOBP_MELANOCYTE_DIFFERENTIATION | 9.86e-04 | 48.67 | 5.41 | 1.60e-01 | 1.00e+00 | 2EDN3, ENPP1 |
24 |
GOBP_REGULATION_OF_COMPLEMENT_ACTIVATION | 6.99e-05 | 20.35 | 5.23 | 4.36e-02 | 5.23e-01 | 4C1S, SERPING1, C1R, CLU |
114 |
GOBP_AMYLOID_FIBRIL_FORMATION | 1.07e-03 | 46.56 | 5.18 | 1.67e-01 | 1.00e+00 | 2GSN, CLU |
25 |
GOBP_NEGATIVE_REGULATION_OF_CELL_SUBSTRATE_ADHESION | 2.98e-04 | 25.69 | 4.98 | 1.11e-01 | 1.00e+00 | 3APOD, MYOC, FBLN1 |
67 |
GOBP_KERATAN_SULFATE_BIOSYNTHETIC_PROCESS | 1.34e-03 | 41.19 | 4.62 | 1.83e-01 | 1.00e+00 | 2OMD, PRELP |
28 |
GOBP_REGULATION_OF_BONE_MINERALIZATION | 4.15e-04 | 22.83 | 4.44 | 1.35e-01 | 1.00e+00 | 3MGP, OMD, ENPP1 |
75 |
GOBP_REGULATION_OF_HUMORAL_IMMUNE_RESPONSE | 1.42e-04 | 16.84 | 4.34 | 7.48e-02 | 1.00e+00 | 4C1S, SERPING1, C1R, CLU |
137 |
GOBP_POSITIVE_REGULATION_OF_CHEMOTAXIS | 1.50e-04 | 16.59 | 4.28 | 7.48e-02 | 1.00e+00 | 4EDN3, CCL26, SMOC2, F3 |
139 |
GOBP_REGULATION_OF_CELL_SUBSTRATE_ADHESION | 6.14e-05 | 13.43 | 4.12 | 4.36e-02 | 4.59e-01 | 5APOD, EGFL6, MYOC, VIT, FBLN1 |
218 |
GOBP_EXTERNAL_ENCAPSULATING_STRUCTURE_ORGANIZATION | 9.74e-06 | 10.78 | 4.07 | 1.53e-02 | 7.28e-02 | 7EGFL6, SMOC2, FOXF2, THSD4, VIT, FBLN1, MMP2 |
396 |
GOBP_OSSIFICATION | 1.02e-05 | 10.70 | 4.03 | 1.53e-02 | 7.64e-02 | 7MGP, MYOC, NPPC, OMD, ENPP1, MMP2, FHL2 |
399 |
Dowload full table
Immunological Gene Sets:
P-value | OR | Lower 95% CI | FDR | FWER | Genes Found | Gene Set Size | |
---|---|---|---|---|---|---|---|
GSE13485_DAY1_VS_DAY7_YF17D_VACCINE_PBMC_UP | 2.75e-05 | 15.99 | 4.89 | 2.85e-02 | 1.34e-01 | 5SMOC2, DIO2, OMD, FBLN1, MMP2 |
184 |
GSE24634_TEFF_VS_TCONV_DAY7_IN_CULTURE_DN | 4.09e-05 | 14.68 | 4.50 | 2.85e-02 | 1.99e-01 | 5GSN, IGFBP6, C1S, HSD11B1, F3 |
200 |
GSE2405_0H_VS_24H_A_PHAGOCYTOPHILUM_STIM_NEUTROPHIL_DN | 4.09e-05 | 14.68 | 4.50 | 2.85e-02 | 1.99e-01 | 5APOD, LTBP2, SERPING1, PGR, MMP2 |
200 |
GSE2405_HEAT_KILLED_VS_LIVE_A_PHAGOCYTOPHILUM_STIM_NEUTROPHIL_9H_DN | 4.09e-05 | 14.68 | 4.50 | 2.85e-02 | 1.99e-01 | 5MGP, SERPING1, DIO2, PGR, F3 |
200 |
GSE19198_CTRL_VS_IL21_TREATED_TCELL_24H_DN | 4.09e-05 | 14.68 | 4.50 | 2.85e-02 | 1.99e-01 | 5GSN, HSD11B1, C16orf89, GSTM5, ABI3BP |
200 |
GSE18281_SUBCAPSULAR_VS_PERIMEDULLARY_CORTICAL_REGION_OF_THYMUS_UP | 4.09e-05 | 14.68 | 4.50 | 2.85e-02 | 1.99e-01 | 5PRELP, C16orf89, GSTM5, CLU, ABI3BP |
200 |
GSE26488_CTRL_VS_PEPTIDE_INJECTION_HDAC7_DELTAP_TG_OT2_THYMOCYTE_UP | 4.09e-05 | 14.68 | 4.50 | 2.85e-02 | 1.99e-01 | 5MYOC, SERPING1, DIO2, LGALS3, GSTM5 |
200 |
GSE24671_CTRL_VS_BAKIMULC_INFECTED_MOUSE_SPLENOCYTES_DN | 3.22e-04 | 13.49 | 3.49 | 1.03e-01 | 1.00e+00 | 4IGFBP6, PITX1, THSD4, FHL2 |
170 |
GSE18281_CORTICAL_THYMOCYTE_VS_WHOLE_CORTEX_THYMUS_UP | 5.49e-04 | 11.66 | 3.02 | 1.03e-01 | 1.00e+00 | 4MYOC, SHOX, PGR, FBLN1 |
196 |
GSE17721_CTRL_VS_POLYIC_0.5H_BMDC_DN | 5.81e-04 | 11.49 | 2.97 | 1.03e-01 | 1.00e+00 | 4PI16, SOD3, NPPC, PGR |
199 |
GSE24634_IL4_VS_CTRL_TREATED_NAIVE_CD4_TCELL_DAY10_DN | 5.81e-04 | 11.49 | 2.97 | 1.03e-01 | 1.00e+00 | 4IGFBP6, SERPING1, HSD11B1, F3 |
199 |
GSE22601_DOUBLE_NEGATIVE_VS_CD8_SINGLE_POSITIVE_THYMOCYTE_UP | 5.81e-04 | 11.49 | 2.97 | 1.03e-01 | 1.00e+00 | 4APOD, C1S, C1R, ALKAL2 |
199 |
GSE22196_HEALTHY_VS_OBESE_MOUSE_SKIN_GAMMADELTA_TCELL_UP | 5.81e-04 | 11.49 | 2.97 | 1.03e-01 | 1.00e+00 | 4C1S, SERPING1, HSD11B1, CLU |
199 |
GSE22935_24H_VS_48H_MBOVIS_BCG_STIM_MYD88_KO_MACROPHAGE_DN | 5.81e-04 | 11.49 | 2.97 | 1.03e-01 | 1.00e+00 | 4SFRP4, SOD3, C1R, CRYGD |
199 |
GSE26727_WT_VS_KLF2_KO_LPS_STIM_MACROPHAGE_UP | 5.81e-04 | 11.49 | 2.97 | 1.03e-01 | 1.00e+00 | 4MYOC, SHOX, OMD, CRYGD |
199 |
GSE40685_TREG_VS_FOXP3_KO_TREG_PRECURSOR_DN | 5.81e-04 | 11.49 | 2.97 | 1.03e-01 | 1.00e+00 | 4C1S, SERPING1, HSD11B1, C1R |
199 |
GSE41978_ID2_KO_AND_BIM_KO_VS_BIM_KO_KLRG1_LOW_EFFECTOR_CD8_TCELL_UP | 5.81e-04 | 11.49 | 2.97 | 1.03e-01 | 1.00e+00 | 4PITX2, C1S, FBLN1, ENPP1 |
199 |
GSE43955_10H_VS_30H_ACT_CD4_TCELL_WITH_TGFB_IL6_DN | 5.81e-04 | 11.49 | 2.97 | 1.03e-01 | 1.00e+00 | 4MGP, OMD, C16orf89, GSTM5 |
199 |
GSE17721_LPS_VS_CPG_16H_BMDC_DN | 5.92e-04 | 11.43 | 2.96 | 1.03e-01 | 1.00e+00 | 4OMD, LGALS3, FHL2, FIBIN |
200 |
GSE20715_0H_VS_24H_OZONE_TLR4_KO_LUNG_DN | 5.92e-04 | 11.43 | 2.96 | 1.03e-01 | 1.00e+00 | 4LTBP2, HSD11B1, F3, LGALS3 |
200 |
Top Ranked Transcription Factors for this Gene Expression Program:
Gene Symbol | TF Rank | DNA Binding Domain | Motif Status | IUPAC PWM | GTEx | DepMap | Decartes |
---|---|---|---|---|---|---|---|
SFRP4 | 1 | No | Unlikely to be sequence specific TF | Not a DNA binding protein | No motif | None | None |
PITX2 | 8 | Yes | Known motif | Monomer or homomultimer | High-throughput in vitro | None | None |
FOXF2 | 13 | Yes | Known motif | Monomer or homomultimer | In vivo/Misc source | None | None |
SHOX | 22 | Yes | Known motif | Monomer or homomultimer | High-throughput in vitro | None | None |
PITX1 | 30 | Yes | Known motif | Monomer or homomultimer | High-throughput in vitro | None | None |
PGR | 32 | Yes | Known motif | Monomer or homomultimer | High-throughput in vitro | None | None |
CLU | 45 | No | Unlikely to be sequence specific TF | Not a DNA binding protein | No motif | None | Included only because GO says positive regulation of NF-kappaB transcription factor activity, but there is no DBD and no evidence of DNA binding. |
FHL2 | 49 | No | Unlikely to be sequence specific TF | Not a DNA binding protein | No motif | None | LIM ZF proteins are unlikely to bind DNA. Experimental evidence does not support a role for FHL2 as a sequence-specific DNA-binding protein (PMID:10654935) |
CYP1B1 | 54 | No | Unlikely to be sequence specific TF | Not a DNA binding protein | No motif | None | None |
FOXC1 | 59 | Yes | Known motif | Monomer or homomultimer | High-throughput in vitro | None | None |
TSC22D1 | 76 | Yes | Likely to be sequence specific TF | Monomer or homomultimer | No motif | None | TSC22D1 appears to homo- and heterodimerize with other TFs to affect transcription (PMID: 10488076). In vitro, it has been shown to bind GC-rich DNA sequences (PMID: 9022669) |
KLF9 | 89 | Yes | Known motif | Monomer or homomultimer | 100 perc ID - in vitro | None | None |
TSC22D3 | 107 | No | Unlikely to be sequence specific TF | Not a DNA binding protein | No motif | None | There is some evidence that a related protein (TSC22D1) binds DNA specifically - thus, it is possible this is also a TF. |
BMP4 | 108 | No | Unlikely to be sequence specific TF | Not a DNA binding protein | No motif | None | Likely a cofactor. |
POU6F2 | 114 | Yes | Known motif | Monomer or homomultimer | High-throughput in vitro | None | None |
CEBPD | 122 | Yes | Known motif | Monomer or homomultimer | High-throughput in vitro | None | CEBPD binds as both a homodimer and as a heterdimer with other C/EBP TFs (PMID: 1884998; PMID: 12805554). |
CEBPB | 124 | Yes | Known motif | Monomer or homomultimer | High-throughput in vitro | None | None |
AEBP1 | 126 | Yes | Likely to be sequence specific TF | Monomer or homomultimer | No motif | None | This is a protease, but its ability to bind DNA is supported by both gel-shift (PMID: 15654748) and ChIP (PMID: 22723309). |
FOXQ1 | 150 | Yes | Known motif | Monomer or homomultimer | High-throughput in vitro | None | None |
ZFP36L2 | 154 | No | ssDNA/RNA binding | Not a DNA binding protein | No motif | None | RNA-binding protein (PMID: 20506496). |
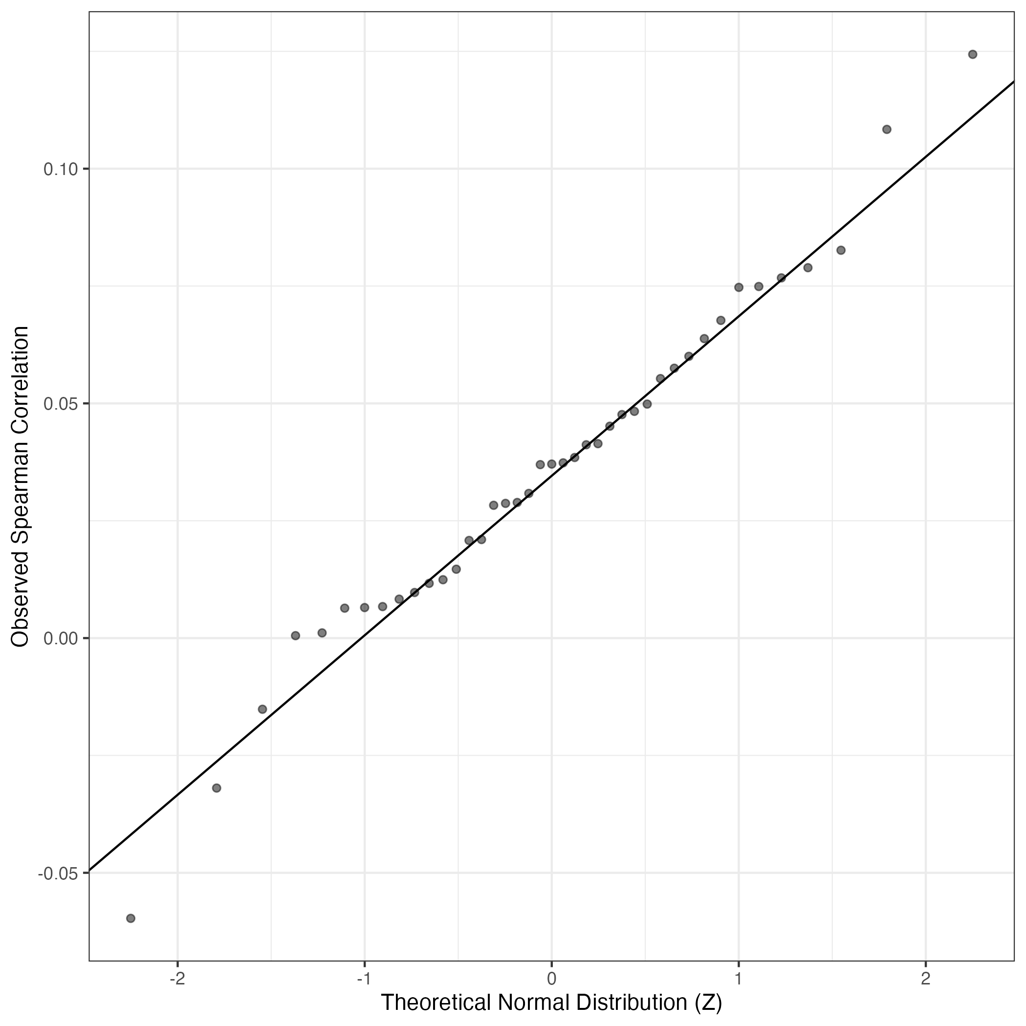
QQ Plot showing correlations with other GEPs in this dataset, calculated by Spearman correlation:
Interactive QQ-plot of gene loadings:
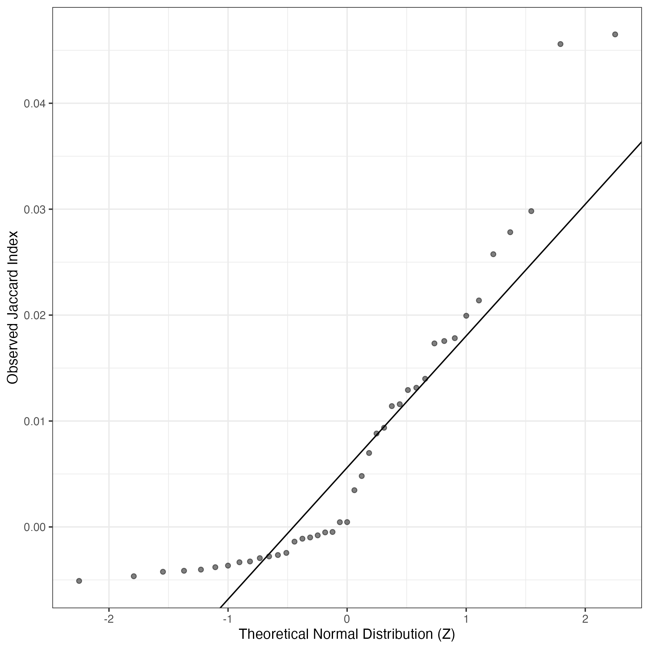
A similar QQ-plot as above, but only for instances where the H value is e.g. > 25, i.e. we are confident that the expression program is active above noise. Agreemenet between these binary vectors is tested using the Jaccard Index, with the P-values calculated by an exact test:
Interactive QQ-plot:
Singler cell type annotations for the top 50 cells on this program.
Cell ID | Singler label | Singler Delta | Activity Score | Top Singler Raw Scores |
---|---|---|---|---|
R39_w9.5_TTGGTTTAGTTGCATC-1 | Chondrocytes:MSC-derived | 0.16 | 1073.95 | Raw ScoresOsteoblasts: 0.34, Fibroblasts:breast: 0.34, Smooth_muscle_cells:bronchial: 0.34, Chondrocytes:MSC-derived: 0.33, Smooth_muscle_cells:bronchial:vit_D: 0.33, Tissue_stem_cells:BM_MSC:BMP2: 0.33, Smooth_muscle_cells:vascular: 0.33, Tissue_stem_cells:BM_MSC:TGFb3: 0.33, iPS_cells:CRL2097_foreskin: 0.33, iPS_cells:adipose_stem_cells: 0.33 |
R39_w9.5_CATTGAGCAAACTAAG-1 | Smooth_muscle_cells:bronchial | 0.17 | 975.49 | Raw ScoresSmooth_muscle_cells:bronchial: 0.36, Smooth_muscle_cells:bronchial:vit_D: 0.36, Fibroblasts:breast: 0.35, Osteoblasts: 0.35, Tissue_stem_cells:BM_MSC:TGFb3: 0.35, Chondrocytes:MSC-derived: 0.35, Tissue_stem_cells:BM_MSC:BMP2: 0.34, iPS_cells:CRL2097_foreskin: 0.34, Tissue_stem_cells:iliac_MSC: 0.34, iPS_cells:adipose_stem_cells: 0.33 |
R39_w9.5_CTCAGTCCACGGGCTT-1 | Smooth_muscle_cells:bronchial:vit_D | 0.14 | 896.17 | Raw ScoresSmooth_muscle_cells:bronchial: 0.32, Smooth_muscle_cells:bronchial:vit_D: 0.32, Fibroblasts:breast: 0.31, Osteoblasts: 0.31, Tissue_stem_cells:iliac_MSC: 0.31, Tissue_stem_cells:BM_MSC:BMP2: 0.31, Chondrocytes:MSC-derived: 0.3, Tissue_stem_cells:BM_MSC:TGFb3: 0.3, iPS_cells:CRL2097_foreskin: 0.3, iPS_cells:adipose_stem_cells: 0.3 |
R39_w9.5_TCGCACTCATTGCAAC-1 | Chondrocytes:MSC-derived | 0.14 | 790.37 | Raw ScoresChondrocytes:MSC-derived: 0.29, Tissue_stem_cells:BM_MSC:TGFb3: 0.29, Smooth_muscle_cells:bronchial: 0.29, Fibroblasts:breast: 0.29, Smooth_muscle_cells:bronchial:vit_D: 0.29, Osteoblasts: 0.28, Smooth_muscle_cells:vascular: 0.28, Tissue_stem_cells:BM_MSC:BMP2: 0.28, iPS_cells:CRL2097_foreskin: 0.28, iPS_cells:adipose_stem_cells: 0.28 |
R39_w9.5_GACGTTAGTAGAAACT-1 | Chondrocytes:MSC-derived | 0.11 | 634.71 | Raw ScoresChondrocytes:MSC-derived: 0.29, Osteoblasts: 0.29, Fibroblasts:breast: 0.29, Smooth_muscle_cells:bronchial: 0.28, Smooth_muscle_cells:bronchial:vit_D: 0.28, iPS_cells:adipose_stem_cells: 0.28, Tissue_stem_cells:BM_MSC:TGFb3: 0.28, Tissue_stem_cells:BM_MSC: 0.28, Tissue_stem_cells:BM_MSC:BMP2: 0.28, Tissue_stem_cells:BM_MSC:osteogenic: 0.28 |
R39_w9.5_TGGTGATGTAGCTGCC-1 | Smooth_muscle_cells:bronchial | 0.15 | 581.61 | Raw ScoresSmooth_muscle_cells:bronchial: 0.32, Smooth_muscle_cells:bronchial:vit_D: 0.32, Chondrocytes:MSC-derived: 0.32, Osteoblasts: 0.31, Tissue_stem_cells:BM_MSC:BMP2: 0.31, Tissue_stem_cells:iliac_MSC: 0.3, Fibroblasts:breast: 0.3, Tissue_stem_cells:BM_MSC:TGFb3: 0.3, Tissue_stem_cells:BM_MSC:osteogenic: 0.3, Smooth_muscle_cells:vascular: 0.3 |
R39_w9.5_ATGGGAGTCTTCCAGC-1 | Fibroblasts:breast | 0.13 | 579.51 | Raw ScoresFibroblasts:breast: 0.28, Osteoblasts: 0.28, Smooth_muscle_cells:bronchial: 0.27, iPS_cells:CRL2097_foreskin: 0.27, Tissue_stem_cells:BM_MSC:TGFb3: 0.27, Chondrocytes:MSC-derived: 0.27, Tissue_stem_cells:iliac_MSC: 0.27, iPS_cells:adipose_stem_cells: 0.27, Smooth_muscle_cells:bronchial:vit_D: 0.27, Tissue_stem_cells:BM_MSC:BMP2: 0.27 |
R39_w9.5_CACACAACAGGAATCG-1 | Smooth_muscle_cells:bronchial | 0.12 | 567.80 | Raw ScoresSmooth_muscle_cells:bronchial: 0.27, Smooth_muscle_cells:bronchial:vit_D: 0.27, Chondrocytes:MSC-derived: 0.27, Fibroblasts:breast: 0.26, iPS_cells:CRL2097_foreskin: 0.26, Tissue_stem_cells:iliac_MSC: 0.26, Osteoblasts: 0.26, Tissue_stem_cells:BM_MSC:TGFb3: 0.26, Tissue_stem_cells:BM_MSC:BMP2: 0.25, Smooth_muscle_cells:vascular: 0.25 |
R39_w9.5_CGAAGGACAGCATGCC-1 | Chondrocytes:MSC-derived | 0.14 | 533.28 | Raw ScoresSmooth_muscle_cells:bronchial: 0.31, Osteoblasts: 0.31, Chondrocytes:MSC-derived: 0.31, Smooth_muscle_cells:bronchial:vit_D: 0.31, Fibroblasts:breast: 0.31, iPS_cells:CRL2097_foreskin: 0.3, Tissue_stem_cells:BM_MSC:TGFb3: 0.3, iPS_cells:adipose_stem_cells: 0.3, Tissue_stem_cells:BM_MSC:BMP2: 0.29, Tissue_stem_cells:iliac_MSC: 0.29 |
R39_w9.5_TGGGAGACAGTAGAAT-1 | Chondrocytes:MSC-derived | 0.12 | 522.14 | Raw ScoresFibroblasts:breast: 0.31, Smooth_muscle_cells:bronchial: 0.31, Chondrocytes:MSC-derived: 0.31, Smooth_muscle_cells:bronchial:vit_D: 0.3, Osteoblasts: 0.3, Tissue_stem_cells:BM_MSC:TGFb3: 0.3, iPS_cells:CRL2097_foreskin: 0.3, Tissue_stem_cells:BM_MSC:BMP2: 0.3, iPS_cells:adipose_stem_cells: 0.3, Tissue_stem_cells:iliac_MSC: 0.3 |
R39_w9.5_AGTGATCGTTACGCCG-1 | Smooth_muscle_cells:bronchial | 0.10 | 496.87 | Raw ScoresSmooth_muscle_cells:bronchial: 0.24, Smooth_muscle_cells:bronchial:vit_D: 0.23, Chondrocytes:MSC-derived: 0.23, Tissue_stem_cells:BM_MSC:TGFb3: 0.23, Osteoblasts: 0.23, Tissue_stem_cells:BM_MSC:BMP2: 0.22, iPS_cells:CRL2097_foreskin: 0.22, Fibroblasts:breast: 0.22, Smooth_muscle_cells:vascular: 0.22, Fibroblasts:foreskin: 0.22 |
R39_w9.5_TTGAACGAGCTAGAAT-1 | Smooth_muscle_cells:bronchial | 0.14 | 489.05 | Raw ScoresSmooth_muscle_cells:bronchial: 0.31, Smooth_muscle_cells:bronchial:vit_D: 0.3, Osteoblasts: 0.29, Chondrocytes:MSC-derived: 0.29, Fibroblasts:breast: 0.29, Tissue_stem_cells:BM_MSC:TGFb3: 0.29, Tissue_stem_cells:BM_MSC:BMP2: 0.29, iPS_cells:CRL2097_foreskin: 0.28, Tissue_stem_cells:BM_MSC:osteogenic: 0.28, Tissue_stem_cells:iliac_MSC: 0.28 |
R39_w9.5_ATGGATCCACGTCGTG-1 | Osteoblasts | 0.09 | 457.65 | Raw ScoresSmooth_muscle_cells:bronchial: 0.27, Osteoblasts: 0.27, Tissue_stem_cells:BM_MSC:BMP2: 0.27, Chondrocytes:MSC-derived: 0.26, Smooth_muscle_cells:bronchial:vit_D: 0.26, Tissue_stem_cells:BM_MSC:TGFb3: 0.26, Tissue_stem_cells:iliac_MSC: 0.26, Fibroblasts:breast: 0.26, Tissue_stem_cells:BM_MSC:osteogenic: 0.26, iPS_cells:CRL2097_foreskin: 0.25 |
R39_w9.5_TTCCTTCGTAGGAGGG-1 | Chondrocytes:MSC-derived | 0.10 | 430.34 | Raw ScoresSmooth_muscle_cells:bronchial: 0.27, Fibroblasts:breast: 0.27, Chondrocytes:MSC-derived: 0.27, Osteoblasts: 0.27, Smooth_muscle_cells:bronchial:vit_D: 0.27, Tissue_stem_cells:BM_MSC:BMP2: 0.27, Tissue_stem_cells:BM_MSC:TGFb3: 0.26, Tissue_stem_cells:iliac_MSC: 0.26, iPS_cells:CRL2097_foreskin: 0.26, iPS_cells:adipose_stem_cells: 0.26 |
R39_w9.5_TACCTGCCACGGCTAC-1 | Tissue_stem_cells:BM_MSC:osteogenic | 0.13 | 424.80 | Raw ScoresOsteoblasts: 0.29, Smooth_muscle_cells:bronchial: 0.29, iPS_cells:CRL2097_foreskin: 0.29, Smooth_muscle_cells:bronchial:vit_D: 0.29, Fibroblasts:breast: 0.28, Chondrocytes:MSC-derived: 0.28, Tissue_stem_cells:BM_MSC:TGFb3: 0.28, Tissue_stem_cells:BM_MSC:BMP2: 0.28, Tissue_stem_cells:BM_MSC: 0.28, Tissue_stem_cells:iliac_MSC: 0.28 |
R39_w9.5_TTCACCGTCTACCAGA-1 | Tissue_stem_cells:BM_MSC:BMP2 | 0.12 | 403.53 | Raw ScoresOsteoblasts: 0.3, Tissue_stem_cells:BM_MSC:BMP2: 0.3, Fibroblasts:breast: 0.3, Tissue_stem_cells:iliac_MSC: 0.3, Chondrocytes:MSC-derived: 0.29, Smooth_muscle_cells:bronchial: 0.29, Tissue_stem_cells:BM_MSC:TGFb3: 0.29, Smooth_muscle_cells:bronchial:vit_D: 0.29, iPS_cells:adipose_stem_cells: 0.29, iPS_cells:CRL2097_foreskin: 0.29 |
R39_w9.5_ATGGAGGCACATTCGA-1 | Smooth_muscle_cells:bronchial | 0.15 | 401.87 | Raw ScoresSmooth_muscle_cells:bronchial: 0.32, Smooth_muscle_cells:bronchial:vit_D: 0.32, iPS_cells:CRL2097_foreskin: 0.32, Fibroblasts:breast: 0.32, Osteoblasts: 0.31, Chondrocytes:MSC-derived: 0.31, iPS_cells:adipose_stem_cells: 0.31, Tissue_stem_cells:BM_MSC:TGFb3: 0.31, Tissue_stem_cells:BM_MSC:BMP2: 0.3, iPS_cells:foreskin_fibrobasts: 0.3 |
R39_w9.5_GTGTTCCCATGATGCT-1 | Smooth_muscle_cells:bronchial | 0.10 | 400.09 | Raw ScoresSmooth_muscle_cells:bronchial: 0.25, Smooth_muscle_cells:bronchial:vit_D: 0.24, Chondrocytes:MSC-derived: 0.24, Fibroblasts:breast: 0.23, iPS_cells:adipose_stem_cells: 0.23, iPS_cells:CRL2097_foreskin: 0.23, Osteoblasts: 0.23, Tissue_stem_cells:BM_MSC:TGFb3: 0.23, Tissue_stem_cells:BM_MSC:BMP2: 0.23, Tissue_stem_cells:iliac_MSC: 0.23 |
R39_w9.5_GGTTCTCTCTTGGAAC-1 | Chondrocytes:MSC-derived | 0.12 | 390.09 | Raw ScoresSmooth_muscle_cells:bronchial: 0.3, Smooth_muscle_cells:bronchial:vit_D: 0.3, Chondrocytes:MSC-derived: 0.29, Tissue_stem_cells:BM_MSC:TGFb3: 0.29, Fibroblasts:breast: 0.29, Tissue_stem_cells:iliac_MSC: 0.28, Tissue_stem_cells:BM_MSC:BMP2: 0.28, iPS_cells:CRL2097_foreskin: 0.28, Osteoblasts: 0.28, iPS_cells:adipose_stem_cells: 0.28 |
R39_w9.5_GTATTGGTCGATCCCT-1 | iPS_cells:CRL2097_foreskin | 0.11 | 354.65 | Raw ScoresSmooth_muscle_cells:bronchial: 0.3, Smooth_muscle_cells:bronchial:vit_D: 0.3, iPS_cells:CRL2097_foreskin: 0.29, Tissue_stem_cells:BM_MSC:TGFb3: 0.29, Chondrocytes:MSC-derived: 0.28, Fibroblasts:breast: 0.28, iPS_cells:adipose_stem_cells: 0.28, Smooth_muscle_cells:vascular: 0.28, Osteoblasts: 0.28, Tissue_stem_cells:BM_MSC:BMP2: 0.28 |
R39_w9.5_ATTCCCGAGACCCGCT-1 | Tissue_stem_cells:BM_MSC:TGFb3 | 0.16 | 303.56 | Raw ScoresOsteoblasts: 0.31, Tissue_stem_cells:BM_MSC:TGFb3: 0.31, Fibroblasts:breast: 0.31, Tissue_stem_cells:BM_MSC:BMP2: 0.3, Smooth_muscle_cells:bronchial: 0.3, Chondrocytes:MSC-derived: 0.3, Tissue_stem_cells:BM_MSC:osteogenic: 0.3, Tissue_stem_cells:iliac_MSC: 0.3, iPS_cells:adipose_stem_cells: 0.3, Tissue_stem_cells:BM_MSC: 0.3 |
R39_w9.5_CCTCCAAGTTGCTTGA-1 | Smooth_muscle_cells:bronchial | 0.15 | 295.68 | Raw ScoresSmooth_muscle_cells:bronchial: 0.3, Fibroblasts:breast: 0.3, Smooth_muscle_cells:bronchial:vit_D: 0.3, iPS_cells:CRL2097_foreskin: 0.29, Osteoblasts: 0.29, Chondrocytes:MSC-derived: 0.29, iPS_cells:adipose_stem_cells: 0.29, Tissue_stem_cells:iliac_MSC: 0.28, Tissue_stem_cells:BM_MSC:BMP2: 0.28, Smooth_muscle_cells:vascular: 0.28 |
R39_w9.5_AAGTACCCACCCAATA-1 | Smooth_muscle_cells:bronchial | 0.14 | 287.60 | Raw ScoresSmooth_muscle_cells:bronchial: 0.29, Smooth_muscle_cells:bronchial:vit_D: 0.29, Fibroblasts:breast: 0.29, Chondrocytes:MSC-derived: 0.29, Osteoblasts: 0.28, iPS_cells:CRL2097_foreskin: 0.28, Tissue_stem_cells:iliac_MSC: 0.28, Tissue_stem_cells:BM_MSC:BMP2: 0.28, Smooth_muscle_cells:vascular: 0.28, Tissue_stem_cells:BM_MSC:TGFb3: 0.28 |
R39_w9.5_TGGATCAAGGCACCAA-1 | Smooth_muscle_cells:bronchial | 0.13 | 285.31 | Raw ScoresOsteoblasts: 0.31, Chondrocytes:MSC-derived: 0.31, Fibroblasts:breast: 0.31, Tissue_stem_cells:BM_MSC:BMP2: 0.3, Tissue_stem_cells:iliac_MSC: 0.3, Smooth_muscle_cells:bronchial: 0.3, Tissue_stem_cells:BM_MSC:osteogenic: 0.3, Smooth_muscle_cells:vascular: 0.3, iPS_cells:CRL2097_foreskin: 0.3, Smooth_muscle_cells:bronchial:vit_D: 0.3 |
R39_w9.5_ATTACCTGTGAGATCG-1 | Smooth_muscle_cells:bronchial | 0.13 | 263.05 | Raw ScoresSmooth_muscle_cells:bronchial: 0.28, Osteoblasts: 0.28, Tissue_stem_cells:iliac_MSC: 0.27, Smooth_muscle_cells:bronchial:vit_D: 0.27, iPS_cells:CRL2097_foreskin: 0.27, Fibroblasts:breast: 0.27, Chondrocytes:MSC-derived: 0.27, Tissue_stem_cells:BM_MSC:BMP2: 0.27, iPS_cells:adipose_stem_cells: 0.26, Tissue_stem_cells:BM_MSC:TGFb3: 0.26 |
R39_w9.5_CACACAACAACAAGAT-1 | Smooth_muscle_cells:bronchial | 0.11 | 245.85 | Raw ScoresSmooth_muscle_cells:bronchial: 0.25, Chondrocytes:MSC-derived: 0.25, Smooth_muscle_cells:bronchial:vit_D: 0.25, Osteoblasts: 0.25, Fibroblasts:breast: 0.25, iPS_cells:CRL2097_foreskin: 0.25, Tissue_stem_cells:BM_MSC:TGFb3: 0.24, iPS_cells:adipose_stem_cells: 0.24, Tissue_stem_cells:BM_MSC:BMP2: 0.24, Smooth_muscle_cells:vascular: 0.24 |
R39_w9.5_ATTCATCGTCCCACGA-1 | Smooth_muscle_cells:bronchial | 0.08 | 242.06 | Raw ScoresSmooth_muscle_cells:bronchial: 0.19, Smooth_muscle_cells:bronchial:vit_D: 0.19, Tissue_stem_cells:iliac_MSC: 0.19, iPS_cells:CRL2097_foreskin: 0.19, Chondrocytes:MSC-derived: 0.19, Tissue_stem_cells:BM_MSC:BMP2: 0.18, Fibroblasts:breast: 0.18, Tissue_stem_cells:BM_MSC:TGFb3: 0.18, Osteoblasts: 0.18, iPS_cells:adipose_stem_cells: 0.18 |
R39_w9.5_AGGGCTCCACAAGCCC-1 | Chondrocytes:MSC-derived | 0.13 | 232.31 | Raw ScoresOsteoblasts: 0.29, Fibroblasts:breast: 0.28, Smooth_muscle_cells:bronchial: 0.28, iPS_cells:CRL2097_foreskin: 0.28, Chondrocytes:MSC-derived: 0.28, iPS_cells:adipose_stem_cells: 0.28, Tissue_stem_cells:BM_MSC:TGFb3: 0.28, Smooth_muscle_cells:bronchial:vit_D: 0.28, Tissue_stem_cells:iliac_MSC: 0.28, Tissue_stem_cells:BM_MSC:BMP2: 0.28 |
R39_w9.5_ATGTCCCAGACGGAAA-1 | Chondrocytes:MSC-derived | 0.11 | 223.86 | Raw ScoresSmooth_muscle_cells:bronchial:vit_D: 0.25, Smooth_muscle_cells:bronchial: 0.25, Osteoblasts: 0.24, Chondrocytes:MSC-derived: 0.24, Tissue_stem_cells:BM_MSC:TGFb3: 0.24, Fibroblasts:breast: 0.24, Tissue_stem_cells:BM_MSC:BMP2: 0.23, Tissue_stem_cells:iliac_MSC: 0.23, iPS_cells:adipose_stem_cells: 0.23, Smooth_muscle_cells:vascular: 0.23 |
R39_w9.5_CAGCAGCCAAATGAGT-1 | iPS_cells:adipose_stem_cells | 0.07 | 221.13 | Raw ScoresSmooth_muscle_cells:bronchial: 0.21, Smooth_muscle_cells:bronchial:vit_D: 0.21, Fibroblasts:breast: 0.21, Chondrocytes:MSC-derived: 0.21, iPS_cells:CRL2097_foreskin: 0.2, iPS_cells:adipose_stem_cells: 0.2, Osteoblasts: 0.2, Tissue_stem_cells:BM_MSC:BMP2: 0.2, Smooth_muscle_cells:vascular: 0.2, Tissue_stem_cells:BM_MSC:TGFb3: 0.2 |
R39_w9.5_TGATCAGGTAGCCAGA-1 | iPS_cells:CRL2097_foreskin | 0.12 | 215.59 | Raw ScoresSmooth_muscle_cells:bronchial: 0.23, Fibroblasts:breast: 0.23, Smooth_muscle_cells:bronchial:vit_D: 0.23, iPS_cells:CRL2097_foreskin: 0.23, iPS_cells:adipose_stem_cells: 0.23, Chondrocytes:MSC-derived: 0.23, Tissue_stem_cells:BM_MSC:TGFb3: 0.22, Osteoblasts: 0.22, Tissue_stem_cells:BM_MSC:BMP2: 0.22, iPS_cells:fibroblasts: 0.22 |
R39_w9.5_TTTAGTCCACACTGGC-1 | Smooth_muscle_cells:bronchial | 0.09 | 205.47 | Raw ScoresChondrocytes:MSC-derived: 0.21, Smooth_muscle_cells:bronchial:vit_D: 0.21, Smooth_muscle_cells:bronchial: 0.21, Fibroblasts:breast: 0.21, Tissue_stem_cells:BM_MSC:TGFb3: 0.2, Osteoblasts: 0.2, Tissue_stem_cells:iliac_MSC: 0.2, Tissue_stem_cells:BM_MSC:BMP2: 0.2, Tissue_stem_cells:BM_MSC:osteogenic: 0.2, iPS_cells:adipose_stem_cells: 0.2 |
R39_w9.5_GTCACTCCAGAGACTG-1 | Tissue_stem_cells:BM_MSC:BMP2 | 0.10 | 161.64 | Raw ScoresSmooth_muscle_cells:bronchial: 0.26, Smooth_muscle_cells:bronchial:vit_D: 0.26, Chondrocytes:MSC-derived: 0.26, Fibroblasts:breast: 0.25, Tissue_stem_cells:BM_MSC:BMP2: 0.25, iPS_cells:CRL2097_foreskin: 0.25, Tissue_stem_cells:BM_MSC:TGFb3: 0.25, Fibroblasts:foreskin: 0.25, Tissue_stem_cells:iliac_MSC: 0.25, Osteoblasts: 0.24 |
R39_w9.5_CGTTAGAGTAGGTGCA-1 | Chondrocytes:MSC-derived | 0.09 | 161.12 | Raw ScoresChondrocytes:MSC-derived: 0.22, Fibroblasts:breast: 0.22, Smooth_muscle_cells:bronchial: 0.22, Smooth_muscle_cells:bronchial:vit_D: 0.22, Tissue_stem_cells:BM_MSC:TGFb3: 0.22, Tissue_stem_cells:BM_MSC:BMP2: 0.22, Osteoblasts: 0.22, Smooth_muscle_cells:vascular: 0.22, iPS_cells:CRL2097_foreskin: 0.22, Tissue_stem_cells:BM_MSC:osteogenic: 0.21 |
R39_w9.5_AAGATAGTCAGTGTTG-1 | Chondrocytes:MSC-derived | 0.11 | 158.40 | Raw ScoresSmooth_muscle_cells:bronchial: 0.24, Chondrocytes:MSC-derived: 0.24, Fibroblasts:breast: 0.24, Osteoblasts: 0.24, Smooth_muscle_cells:bronchial:vit_D: 0.24, Tissue_stem_cells:BM_MSC:TGFb3: 0.23, Tissue_stem_cells:BM_MSC:BMP2: 0.23, Tissue_stem_cells:iliac_MSC: 0.23, iPS_cells:adipose_stem_cells: 0.23, Smooth_muscle_cells:vascular: 0.23 |
R39_w9.5_AGGGAGTAGATTCGAA-1 | Chondrocytes:MSC-derived | 0.09 | 156.48 | Raw ScoresTissue_stem_cells:BM_MSC:BMP2: 0.2, Tissue_stem_cells:BM_MSC:TGFb3: 0.2, Chondrocytes:MSC-derived: 0.2, Osteoblasts: 0.2, iPS_cells:CRL2097_foreskin: 0.2, Tissue_stem_cells:iliac_MSC: 0.2, Smooth_muscle_cells:bronchial: 0.19, Fibroblasts:breast: 0.19, Smooth_muscle_cells:bronchial:vit_D: 0.19, Smooth_muscle_cells:vascular: 0.19 |
R39_w9.5_AGAGCCCTCTGTGCGG-1 | Smooth_muscle_cells:bronchial | 0.10 | 152.98 | Raw ScoresChondrocytes:MSC-derived: 0.18, Smooth_muscle_cells:bronchial: 0.18, Smooth_muscle_cells:bronchial:vit_D: 0.17, Fibroblasts:breast: 0.17, Osteoblasts: 0.17, Tissue_stem_cells:BM_MSC: 0.16, Tissue_stem_cells:BM_MSC:TGFb3: 0.16, Tissue_stem_cells:BM_MSC:BMP2: 0.16, Tissue_stem_cells:iliac_MSC: 0.16, Tissue_stem_cells:BM_MSC:osteogenic: 0.16 |
R30_w8.5_GAGATGGCAAGTGATA-1 | MSC | 0.14 | 146.49 | Raw ScoresNeuroepithelial_cell:ESC-derived: 0.39, Tissue_stem_cells:CD326-CD56+: 0.38, Embryonic_stem_cells: 0.37, MSC: 0.37, iPS_cells:PDB_2lox-22: 0.36, Neurons:ES_cell-derived_neural_precursor: 0.36, iPS_cells:PDB_2lox-5: 0.36, iPS_cells:PDB_1lox-21Puro-26: 0.36, iPS_cells:CRL2097_foreskin-derived:undiff.: 0.36, iPS_cells:PDB_1lox-17Puro-10: 0.36 |
R39_w9.5_CCACGTTGTCACCGAC-1 | Chondrocytes:MSC-derived | 0.10 | 140.94 | Raw ScoresTissue_stem_cells:BM_MSC:BMP2: 0.22, Osteoblasts: 0.22, Fibroblasts:breast: 0.22, Chondrocytes:MSC-derived: 0.22, Tissue_stem_cells:BM_MSC:TGFb3: 0.22, Smooth_muscle_cells:bronchial: 0.22, Tissue_stem_cells:iliac_MSC: 0.21, Smooth_muscle_cells:bronchial:vit_D: 0.21, iPS_cells:adipose_stem_cells: 0.21, Tissue_stem_cells:BM_MSC:osteogenic: 0.21 |
R39_w9.5_TCGATTTAGAGAAGGT-1 | Chondrocytes:MSC-derived | 0.09 | 136.67 | Raw ScoresSmooth_muscle_cells:bronchial: 0.2, Smooth_muscle_cells:bronchial:vit_D: 0.2, Osteoblasts: 0.2, Chondrocytes:MSC-derived: 0.2, Fibroblasts:breast: 0.2, Smooth_muscle_cells:vascular: 0.19, Tissue_stem_cells:BM_MSC:BMP2: 0.19, Tissue_stem_cells:iliac_MSC: 0.19, Tissue_stem_cells:BM_MSC:TGFb3: 0.19, Tissue_stem_cells:BM_MSC:osteogenic: 0.19 |
R39_w9.5_GTGGAAGCAAAGTGTA-1 | Tissue_stem_cells:BM_MSC:TGFb3 | 0.08 | 136.39 | Raw ScoresTissue_stem_cells:BM_MSC:TGFb3: 0.21, Fibroblasts:breast: 0.21, Smooth_muscle_cells:bronchial: 0.21, Tissue_stem_cells:BM_MSC:BMP2: 0.21, Smooth_muscle_cells:bronchial:vit_D: 0.2, Chondrocytes:MSC-derived: 0.2, Osteoblasts: 0.2, Tissue_stem_cells:iliac_MSC: 0.2, iPS_cells:CRL2097_foreskin: 0.19, Fibroblasts:foreskin: 0.19 |
R39_w9.5_CCAAGCGGTGTGTGGA-1 | Chondrocytes:MSC-derived | 0.08 | 132.28 | Raw ScoresFibroblasts:breast: 0.21, Chondrocytes:MSC-derived: 0.21, Smooth_muscle_cells:bronchial: 0.21, Tissue_stem_cells:BM_MSC:TGFb3: 0.2, iPS_cells:adipose_stem_cells: 0.2, Tissue_stem_cells:BM_MSC:BMP2: 0.2, Tissue_stem_cells:iliac_MSC: 0.2, Smooth_muscle_cells:bronchial:vit_D: 0.2, Osteoblasts: 0.2, iPS_cells:CRL2097_foreskin: 0.2 |
R39_w9.5_TTCACGCCAAGTTGGG-1 | Chondrocytes:MSC-derived | 0.07 | 124.95 | Raw ScoresChondrocytes:MSC-derived: 0.17, Fibroblasts:breast: 0.16, Tissue_stem_cells:BM_MSC:BMP2: 0.16, Tissue_stem_cells:BM_MSC: 0.16, Tissue_stem_cells:BM_MSC:osteogenic: 0.16, Tissue_stem_cells:iliac_MSC: 0.16, Osteoblasts: 0.16, iPS_cells:adipose_stem_cells: 0.16, Tissue_stem_cells:BM_MSC:TGFb3: 0.16, Smooth_muscle_cells:vascular: 0.16 |
R39_w9.5_TCCCAGTAGTCGTTAC-1 | Tissue_stem_cells:BM_MSC:TGFb3 | 0.11 | 124.19 | Raw ScoresTissue_stem_cells:BM_MSC:TGFb3: 0.25, Smooth_muscle_cells:bronchial: 0.24, Tissue_stem_cells:BM_MSC:BMP2: 0.24, Smooth_muscle_cells:bronchial:vit_D: 0.24, Chondrocytes:MSC-derived: 0.24, iPS_cells:CRL2097_foreskin: 0.23, Fibroblasts:breast: 0.23, Osteoblasts: 0.23, iPS_cells:adipose_stem_cells: 0.23, Tissue_stem_cells:iliac_MSC: 0.23 |
R39_w9.5_AGGCCACAGCATGAAT-1 | Endothelial_cells:HUVEC:IFNg | 0.14 | 117.86 | Raw ScoresEndothelial_cells:lymphatic: 0.4, Endothelial_cells:lymphatic:TNFa_48h: 0.4, Endothelial_cells:HUVEC:IFNg: 0.39, Endothelial_cells:HUVEC: 0.39, Endothelial_cells:blood_vessel: 0.38, Endothelial_cells:HUVEC:B._anthracis_LT: 0.38, Endothelial_cells:HUVEC:Borrelia_burgdorferi: 0.38, Endothelial_cells:HUVEC:FPV-infected: 0.38, Endothelial_cells:HUVEC:PR8-infected: 0.38, Endothelial_cells:HUVEC:H5N1-infected: 0.38 |
R48a_w14.5_CTGGACGTCCAATCCC-1 | Endothelial_cells:lymphatic:KSHV | 0.17 | 116.34 | Raw ScoresEndothelial_cells:HUVEC:IL-1b: 0.43, Endothelial_cells:lymphatic:TNFa_48h: 0.43, Endothelial_cells:lymphatic:KSHV: 0.42, Endothelial_cells:HUVEC: 0.42, Endothelial_cells:HUVEC:VEGF: 0.42, Endothelial_cells:lymphatic: 0.42, Endothelial_cells:HUVEC:PR8-infected: 0.42, Endothelial_cells:HUVEC:FPV-infected: 0.41, Endothelial_cells:HUVEC:H5N1-infected: 0.41, Endothelial_cells:HUVEC:Serum_Amyloid_A: 0.41 |
R39_w9.5_AGCCACGCAGAACTAA-1 | Osteoblasts | 0.11 | 109.26 | Raw ScoresOsteoblasts: 0.18, Chondrocytes:MSC-derived: 0.17, Tissue_stem_cells:BM_MSC:BMP2: 0.17, Fibroblasts:breast: 0.17, Tissue_stem_cells:BM_MSC:TGFb3: 0.17, Smooth_muscle_cells:bronchial: 0.17, Tissue_stem_cells:iliac_MSC: 0.17, Smooth_muscle_cells:bronchial:vit_D: 0.17, iPS_cells:CRL2097_foreskin: 0.17, Tissue_stem_cells:BM_MSC:osteogenic: 0.16 |
R53b_w11.5_AAACGAACAGGTCAGA-1 | MSC | 0.19 | 106.18 | Raw ScoresMSC: 0.44, Fibroblasts:foreskin: 0.44, iPS_cells:CRL2097_foreskin: 0.43, iPS_cells:foreskin_fibrobasts: 0.43, iPS_cells:skin_fibroblast: 0.42, iPS_cells:PDB_fibroblasts: 0.42, Smooth_muscle_cells:vascular: 0.42, Tissue_stem_cells:lipoma-derived_MSC: 0.42, Tissue_stem_cells:adipose-derived_MSC_AM3: 0.42, Neurons:Schwann_cell: 0.42 |
R39_w9.5_TTCTAACTCCGTAATG-1 | Chondrocytes:MSC-derived | 0.10 | 104.23 | Raw ScoresSmooth_muscle_cells:bronchial: 0.22, Smooth_muscle_cells:bronchial:vit_D: 0.22, Tissue_stem_cells:BM_MSC:BMP2: 0.22, Chondrocytes:MSC-derived: 0.22, Fibroblasts:breast: 0.22, iPS_cells:CRL2097_foreskin: 0.21, Osteoblasts: 0.21, Tissue_stem_cells:BM_MSC:TGFb3: 0.21, Fibroblasts:foreskin: 0.21, Tissue_stem_cells:iliac_MSC: 0.21 |
R39_w9.5_CTTCGGTGTCACCTTC-1 | Smooth_muscle_cells:bronchial | 0.10 | 101.34 | Raw ScoresSmooth_muscle_cells:bronchial:vit_D: 0.22, Smooth_muscle_cells:bronchial: 0.22, Chondrocytes:MSC-derived: 0.22, Osteoblasts: 0.22, Fibroblasts:breast: 0.22, Smooth_muscle_cells:vascular: 0.22, Smooth_muscle_cells:vascular:IL-17: 0.22, Tissue_stem_cells:BM_MSC: 0.21, Tissue_stem_cells:BM_MSC:osteogenic: 0.21, Tissue_stem_cells:BM_MSC:BMP2: 0.21 |
Below shows the significant enrichments of this GEP for literature curated gene lists
This data was procured from existing single cell RNA-seq maps of neuroblastoma or related relevant data.
High ranks indicate this gene is a driver of this GEP.
These curated gene list are ranked by the P-value (on this GEP) of their constituent genes.
The Mean Count column shows the mean read count in cells scoring highly (H > 50) on this gene expression program.
Genes | Weight | Rank | GTEx | DepMap | Decartes | Mean.Counts | Mean.TPM |
---|---|---|---|---|---|---|---|
DCN | 0.0100174 | 67 | GTEx | DepMap | Descartes | 9.44 | 742.47 |
LEPR | 0.0060238 | 123 | GTEx | DepMap | Descartes | 0.44 | 39.26 |
PRRX1 | 0.0043055 | 179 | GTEx | DepMap | Descartes | 0.55 | 90.13 |
PDGFRA | 0.0026656 | 342 | GTEx | DepMap | Descartes | 1.04 | 105.45 |
Stress response (Kinker)
These marker genes were obtained in a pan cancer cell lines NMF analysis of scRNA-eq data in Kinker et al (PMID 33128048) - 10 metaprograms were recovered that manifest across cancers.:
Wilcoxon ranksum test P-value for gene set overrepresentation: 4.65e-04
Mean rank of genes in gene set: 1875
Rank on gene expression program of genes in gene set:
Genes | Weight | Rank | GTEx | DepMap | Decartes | Mean.Counts | Mean.TPM |
---|---|---|---|---|---|---|---|
GADD45B | 0.0035714 | 227 | GTEx | DepMap | Descartes | 4.76 | 613.25 |
SQSTM1 | 0.0016989 | 617 | GTEx | DepMap | Descartes | 0.91 | 174.09 |
DDIT3 | 0.0011089 | 1057 | GTEx | DepMap | Descartes | 0.24 | 151.53 |
GADD45A | 0.0004569 | 2644 | GTEx | DepMap | Descartes | 1.23 | 199.42 |
ATF3 | 0.0001431 | 4830 | GTEx | DepMap | Descartes | 0.68 | 41.76 |
Stress response (Dong)
Markers obtained in computationally inferred meta program (by NMF applied to their neuroblastoma sc-RNA-seq data) from Fig. 5(a) of Dong et al. (PMID 32946775).:
Wilcoxon ranksum test P-value for gene set overrepresentation: 2.37e-03
Mean rank of genes in gene set: 756.33
Rank on gene expression program of genes in gene set:
Genes | Weight | Rank | GTEx | DepMap | Decartes | Mean.Counts | Mean.TPM |
---|---|---|---|---|---|---|---|
JUN | 0.0031493 | 276 | GTEx | DepMap | Descartes | 6.41 | 908.52 |
FOS | 0.0011728 | 989 | GTEx | DepMap | Descartes | 9.35 | 1054.75 |
JUNB | 0.0011569 | 1004 | GTEx | DepMap | Descartes | 5.44 | 714.32 |
Below shows ranks on this GEP for literature curated gene lists for large gene sets
These include those reported as mesenchymal/adrenergic by Van Groningen et al.
High ranks indicate this gene is a driver of this GEP (note these results are not ordered).
The Mean Count column shows the mean read count in cells scoring highly (H > 50) on this gene expression program.
VanGroningen Adrenergic Genes
Adrenergic marker genes from Supplementary Table 2 of Van Groningen et al. Nature Genetics 2017. These genes were identified by differential expression analysis of mesenchymal-like and adrenergic-like neuroblastoma cell lines.
Wilcoxon ranksum test P-value for gene set overrepresentation: 1.00e+00
Mean rank of genes in gene set: 16734.51
Median rank of genes in gene set: 20359
Rank on gene expression program of top 30 genes in gene set:
Genes | Weight | Rank | GTEx | DepMap | Descartes | Mean.Counts | Mean.TPM |
---|---|---|---|---|---|---|---|
PRSS12 | 0.0071855 | 94 | GTEx | DepMap | Descartes | 0.19 | 41.40 |
SYNPO2 | 0.0042837 | 181 | GTEx | DepMap | Descartes | 0.36 | 20.95 |
ABLIM1 | 0.0029678 | 300 | GTEx | DepMap | Descartes | 0.49 | 20.47 |
DPYSL3 | 0.0029657 | 301 | GTEx | DepMap | Descartes | 0.49 | 78.13 |
RBP1 | 0.0025840 | 365 | GTEx | DepMap | Descartes | 5.59 | 1238.92 |
AKAP12 | 0.0024773 | 384 | GTEx | DepMap | Descartes | 5.09 | 328.01 |
HEY1 | 0.0019496 | 514 | GTEx | DepMap | Descartes | 0.10 | 13.30 |
FAM171B | 0.0017243 | 604 | GTEx | DepMap | Descartes | 0.10 | 8.68 |
PIK3R1 | 0.0015878 | 663 | GTEx | DepMap | Descartes | 0.92 | 80.14 |
CCNI | 0.0014563 | 746 | GTEx | DepMap | Descartes | 2.03 | 292.59 |
RGS5 | 0.0013000 | 882 | GTEx | DepMap | Descartes | 0.49 | 73.44 |
GPR27 | 0.0011788 | 980 | GTEx | DepMap | Descartes | 0.00 | 0.00 |
OLFM1 | 0.0011007 | 1069 | GTEx | DepMap | Descartes | 0.06 | 17.42 |
ATL1 | 0.0010721 | 1097 | GTEx | DepMap | Descartes | 0.12 | 11.98 |
ABCB1 | 0.0010629 | 1105 | GTEx | DepMap | Descartes | 0.04 | 6.43 |
RBMS3 | 0.0007109 | 1736 | GTEx | DepMap | Descartes | 0.51 | 23.71 |
EYA1 | 0.0006892 | 1800 | GTEx | DepMap | Descartes | 0.08 | 11.24 |
DTD1 | 0.0006717 | 1837 | GTEx | DepMap | Descartes | 0.40 | 48.82 |
FOXO3 | 0.0006628 | 1861 | GTEx | DepMap | Descartes | 0.47 | 31.27 |
FBXO8 | 0.0006424 | 1927 | GTEx | DepMap | Descartes | 0.08 | 39.37 |
CETN3 | 0.0006216 | 1984 | GTEx | DepMap | Descartes | 0.19 | 49.76 |
CKB | 0.0005912 | 2082 | GTEx | DepMap | Descartes | 1.56 | 390.38 |
TMOD1 | 0.0005589 | 2190 | GTEx | DepMap | Descartes | 0.05 | 6.56 |
SERP2 | 0.0005438 | 2250 | GTEx | DepMap | Descartes | 0.06 | 99.01 |
EPB41L4A-AS1 | 0.0005333 | 2294 | GTEx | DepMap | Descartes | 0.68 | 56.78 |
SETD7 | 0.0005199 | 2353 | GTEx | DepMap | Descartes | 0.14 | 11.03 |
ATP6V0E2 | 0.0005138 | 2380 | GTEx | DepMap | Descartes | 0.05 | 4.49 |
TIAM1 | 0.0005023 | 2422 | GTEx | DepMap | Descartes | 0.21 | 19.24 |
ABCA3 | 0.0004711 | 2558 | GTEx | DepMap | Descartes | 0.01 | 1.36 |
NAP1L5 | 0.0004644 | 2602 | GTEx | DepMap | Descartes | 0.09 | 14.23 |
VanGroningen Mesenchymal Genes
Mesenchymal marker genes from Supplementary Table 2 of Van Groningen et al. Nature Genetics 2017. These genes were identified by differential expression analysis of mesenchymal-like and adrenergic-like neuroblastoma cell lines.
Wilcoxon ranksum test P-value for gene set overrepresentation: 6.39e-05
Mean rank of genes in gene set: 11611.3
Median rank of genes in gene set: 7335
Rank on gene expression program of top 30 genes in gene set:
Genes | Weight | Rank | GTEx | DepMap | Descartes | Mean.Counts | Mean.TPM |
---|---|---|---|---|---|---|---|
MGP | 0.0334882 | 9 | GTEx | DepMap | Descartes | 25.33 | 11001.67 |
GSN | 0.0247609 | 15 | GTEx | DepMap | Descartes | 10.46 | 1468.25 |
IGFBP6 | 0.0244950 | 17 | GTEx | DepMap | Descartes | 4.58 | 3591.95 |
MMP2 | 0.0124372 | 47 | GTEx | DepMap | Descartes | 1.65 | 285.20 |
FIBIN | 0.0120756 | 50 | GTEx | DepMap | Descartes | 0.42 | 98.33 |
SDC2 | 0.0111801 | 53 | GTEx | DepMap | Descartes | 1.23 | 274.53 |
ANXA1 | 0.0108575 | 60 | GTEx | DepMap | Descartes | 2.47 | 513.84 |
CYR61 | 0.0091773 | 74 | GTEx | DepMap | Descartes | 2.81 | NA |
TNMD | 0.0085896 | 80 | GTEx | DepMap | Descartes | 0.08 | 37.79 |
IGFBP5 | 0.0071507 | 95 | GTEx | DepMap | Descartes | 13.82 | 1674.09 |
TSC22D3 | 0.0066049 | 107 | GTEx | DepMap | Descartes | 2.17 | 663.87 |
ANTXR1 | 0.0065015 | 113 | GTEx | DepMap | Descartes | 0.72 | 82.85 |
AEBP1 | 0.0059749 | 126 | GTEx | DepMap | Descartes | 1.17 | 138.21 |
OLFML3 | 0.0056239 | 137 | GTEx | DepMap | Descartes | 1.64 | 380.47 |
CYBRD1 | 0.0054596 | 142 | GTEx | DepMap | Descartes | 0.58 | 85.24 |
PTN | 0.0050958 | 152 | GTEx | DepMap | Descartes | 3.81 | 1220.35 |
PHLDA3 | 0.0046899 | 158 | GTEx | DepMap | Descartes | 0.32 | 79.50 |
CPED1 | 0.0045618 | 164 | GTEx | DepMap | Descartes | 0.58 | NA |
TIMP1 | 0.0044920 | 166 | GTEx | DepMap | Descartes | 4.33 | 1345.81 |
PRRX1 | 0.0043055 | 179 | GTEx | DepMap | Descartes | 0.55 | 90.13 |
MRC2 | 0.0042439 | 185 | GTEx | DepMap | Descartes | 0.68 | 79.22 |
SEMA3C | 0.0041312 | 192 | GTEx | DepMap | Descartes | 0.24 | 38.51 |
HTRA1 | 0.0040967 | 195 | GTEx | DepMap | Descartes | 0.95 | 181.43 |
CYP26A1 | 0.0040806 | 196 | GTEx | DepMap | Descartes | 0.04 | 9.76 |
NFIC | 0.0038354 | 213 | GTEx | DepMap | Descartes | 0.87 | 76.09 |
LAPTM4A | 0.0036221 | 225 | GTEx | DepMap | Descartes | 3.72 | 1222.60 |
ITM2B | 0.0035311 | 231 | GTEx | DepMap | Descartes | 7.77 | 388.29 |
BGN | 0.0035242 | 233 | GTEx | DepMap | Descartes | 2.69 | 411.01 |
ANXA2 | 0.0034484 | 242 | GTEx | DepMap | Descartes | 4.94 | 634.31 |
FILIP1L | 0.0034156 | 245 | GTEx | DepMap | Descartes | 0.38 | 54.87 |
Descartes adrenocortical markers
Top 50 marker genes of adrenocortical cells in the Decartes fetal adrenal single cell map (https://atlas.brotmanbaty.org/bbi/human-gene-expression-during-development/cell/adrenocortical/in/adrenal)
Wilcoxon ranksum test P-value for gene set overrepresentation: 1.00e+00
Mean rank of genes in gene set: 20875.8
Median rank of genes in gene set: 24127
Rank on gene expression program of top 30 genes in gene set:
Genes | Weight | Rank | GTEx | DepMap | Descartes | Mean.Counts | Mean.TPM |
---|---|---|---|---|---|---|---|
CLU | 0.0133304 | 45 | GTEx | DepMap | Descartes | 6.65 | 1897.41 |
PAPSS2 | 0.0005466 | 2239 | GTEx | DepMap | Descartes | 0.28 | 50.27 |
SLC2A14 | 0.0001820 | 4405 | GTEx | DepMap | Descartes | 0.01 | 0.14 |
FRMD5 | 0.0001390 | 4876 | GTEx | DepMap | Descartes | 0.03 | 1.59 |
ERN1 | 0.0001013 | 5315 | GTEx | DepMap | Descartes | 0.10 | 5.64 |
SH3PXD2B | -0.0000412 | 10538 | GTEx | DepMap | Descartes | 0.06 | 3.22 |
SGCZ | -0.0000469 | 11056 | GTEx | DepMap | Descartes | 0.00 | 0.00 |
NPC1 | -0.0001254 | 16786 | GTEx | DepMap | Descartes | 0.04 | 2.35 |
JAKMIP2 | -0.0001977 | 19628 | GTEx | DepMap | Descartes | 0.03 | 3.23 |
POR | -0.0002029 | 19790 | GTEx | DepMap | Descartes | 0.31 | 69.36 |
FREM2 | -0.0002049 | 19836 | GTEx | DepMap | Descartes | 0.05 | 0.30 |
SLC1A2 | -0.0002152 | 20157 | GTEx | DepMap | Descartes | 0.05 | 1.09 |
DNER | -0.0002812 | 21727 | GTEx | DepMap | Descartes | 0.03 | 2.53 |
SH3BP5 | -0.0002821 | 21744 | GTEx | DepMap | Descartes | 0.91 | 95.99 |
BAIAP2L1 | -0.0002957 | 21991 | GTEx | DepMap | Descartes | 0.04 | 0.73 |
GRAMD1B | -0.0003110 | 22280 | GTEx | DepMap | Descartes | 0.05 | 6.81 |
SLC16A9 | -0.0003162 | 22367 | GTEx | DepMap | Descartes | 0.09 | 8.93 |
IGF1R | -0.0003197 | 22425 | GTEx | DepMap | Descartes | 0.14 | 4.37 |
LINC00473 | -0.0003205 | 22442 | GTEx | DepMap | Descartes | 0.06 | NA |
DHCR7 | -0.0003602 | 23072 | GTEx | DepMap | Descartes | 0.10 | 15.58 |
SCAP | -0.0003859 | 23438 | GTEx | DepMap | Descartes | 0.10 | 9.25 |
SCARB1 | -0.0004138 | 23781 | GTEx | DepMap | Descartes | 0.06 | 6.70 |
MC2R | -0.0004394 | 24070 | GTEx | DepMap | Descartes | 0.00 | 0.00 |
MSMO1 | -0.0004483 | 24184 | GTEx | DepMap | Descartes | 0.35 | 42.47 |
CYP17A1 | -0.0004518 | 24213 | GTEx | DepMap | Descartes | 0.06 | 4.82 |
CYP21A2 | -0.0004518 | 24214 | GTEx | DepMap | Descartes | 0.05 | 2.87 |
CYP11B1 | -0.0004582 | 24264 | GTEx | DepMap | Descartes | 0.01 | 0.70 |
HMGCS1 | -0.0004899 | 24516 | GTEx | DepMap | Descartes | 0.21 | 9.98 |
SULT2A1 | -0.0005017 | 24601 | GTEx | DepMap | Descartes | 0.03 | 2.64 |
CYP11A1 | -0.0005542 | 24912 | GTEx | DepMap | Descartes | 0.08 | 6.79 |
Descartes chromaffin markers
Top 50 marker genes of chromaffin cells in the Decartes fetal adrenal single cell map (https://atlas.brotmanbaty.org/bbi/human-gene-expression-during-development/cell/chromaffin/in/adrenal)
Wilcoxon ranksum test P-value for gene set overrepresentation: 9.77e-01
Mean rank of genes in gene set: 15138.84
Median rank of genes in gene set: 17877.5
Rank on gene expression program of top 30 genes in gene set:
Genes | Weight | Rank | GTEx | DepMap | Descartes | Mean.Counts | Mean.TPM |
---|---|---|---|---|---|---|---|
SYNPO2 | 0.0042837 | 181 | GTEx | DepMap | Descartes | 0.36 | 20.95 |
TMEFF2 | 0.0018092 | 575 | GTEx | DepMap | Descartes | 0.06 | 16.90 |
EYA1 | 0.0006892 | 1800 | GTEx | DepMap | Descartes | 0.08 | 11.24 |
NTRK1 | 0.0005679 | 2156 | GTEx | DepMap | Descartes | 0.00 | 0.00 |
CNTFR | 0.0004539 | 2654 | GTEx | DepMap | Descartes | 0.19 | 40.08 |
FAT3 | 0.0003908 | 2952 | GTEx | DepMap | Descartes | 0.08 | 1.49 |
BASP1 | 0.0003004 | 3482 | GTEx | DepMap | Descartes | 0.59 | 121.95 |
EYA4 | 0.0000709 | 5780 | GTEx | DepMap | Descartes | 0.01 | 1.05 |
TMEM132C | 0.0000526 | 6075 | GTEx | DepMap | Descartes | 0.08 | 0.95 |
MAP1B | 0.0000507 | 6120 | GTEx | DepMap | Descartes | 0.67 | 31.68 |
TUBB2B | 0.0000079 | 7263 | GTEx | DepMap | Descartes | 0.64 | 133.23 |
ALK | -0.0000649 | 12670 | GTEx | DepMap | Descartes | 0.00 | 0.00 |
ANKFN1 | -0.0000770 | 13650 | GTEx | DepMap | Descartes | 0.00 | 0.00 |
PLXNA4 | -0.0000789 | 13799 | GTEx | DepMap | Descartes | 0.01 | 0.07 |
KCNB2 | -0.0000803 | 13902 | GTEx | DepMap | Descartes | 0.00 | 0.00 |
EPHA6 | -0.0000851 | 14248 | GTEx | DepMap | Descartes | 0.00 | 0.00 |
CNKSR2 | -0.0000868 | 14365 | GTEx | DepMap | Descartes | 0.04 | 1.61 |
TUBA1A | -0.0001032 | 15502 | GTEx | DepMap | Descartes | 4.12 | 641.24 |
HMX1 | -0.0001321 | 17114 | GTEx | DepMap | Descartes | 0.00 | 0.00 |
GREM1 | -0.0001341 | 17209 | GTEx | DepMap | Descartes | 0.00 | 0.00 |
HS3ST5 | -0.0001371 | 17354 | GTEx | DepMap | Descartes | 0.00 | 0.00 |
PTCHD1 | -0.0001428 | 17587 | GTEx | DepMap | Descartes | 0.00 | 0.00 |
RPH3A | -0.0001571 | 18168 | GTEx | DepMap | Descartes | 0.00 | 0.00 |
TUBB2A | -0.0001577 | 18200 | GTEx | DepMap | Descartes | 0.55 | 63.10 |
IL7 | -0.0001645 | 18487 | GTEx | DepMap | Descartes | 0.00 | 0.00 |
MAB21L2 | -0.0001664 | 18558 | GTEx | DepMap | Descartes | 0.01 | 1.01 |
GAP43 | -0.0001679 | 18619 | GTEx | DepMap | Descartes | 0.08 | 4.47 |
SLC44A5 | -0.0001682 | 18629 | GTEx | DepMap | Descartes | 0.01 | 0.14 |
SLC6A2 | -0.0001749 | 18883 | GTEx | DepMap | Descartes | 0.00 | 0.00 |
MAB21L1 | -0.0001901 | 19425 | GTEx | DepMap | Descartes | 0.01 | 1.96 |
Descartes Vascular_endothelial markers
Top 50 marker genes of Vascular_endothelial cells in the Decartes fetal adrenal single cell map (https://atlas.brotmanbaty.org/bbi/human-gene-expression-during-development/cell/vascular_endothelial/in/adrenal)
Wilcoxon ranksum test P-value for gene set overrepresentation: 1.00e+00
Mean rank of genes in gene set: 23570.95
Median rank of genes in gene set: 24982
Rank on gene expression program of top 30 genes in gene set:
Genes | Weight | Rank | GTEx | DepMap | Descartes | Mean.Counts | Mean.TPM |
---|---|---|---|---|---|---|---|
RAMP2 | 0.0026530 | 346 | GTEx | DepMap | Descartes | 3.71 | 2113.67 |
CHRM3 | -0.0000762 | 13596 | GTEx | DepMap | Descartes | 0.04 | 2.48 |
ARHGAP29 | -0.0001525 | 17971 | GTEx | DepMap | Descartes | 1.13 | 38.40 |
GALNT15 | -0.0002162 | 20184 | GTEx | DepMap | Descartes | 0.03 | NA |
MYRIP | -0.0002228 | 20374 | GTEx | DepMap | Descartes | 0.00 | 0.00 |
ESM1 | -0.0002472 | 21005 | GTEx | DepMap | Descartes | 0.05 | 6.77 |
NR5A2 | -0.0003307 | 22611 | GTEx | DepMap | Descartes | 0.00 | 0.00 |
CLDN5 | -0.0003541 | 22982 | GTEx | DepMap | Descartes | 1.19 | 104.66 |
APLNR | -0.0003649 | 23145 | GTEx | DepMap | Descartes | 0.28 | 10.96 |
SLCO2A1 | -0.0003683 | 23205 | GTEx | DepMap | Descartes | 0.01 | 0.18 |
CDH13 | -0.0004249 | 23909 | GTEx | DepMap | Descartes | 0.06 | 1.03 |
PODXL | -0.0004411 | 24099 | GTEx | DepMap | Descartes | 0.33 | 13.67 |
BTNL9 | -0.0004518 | 24215 | GTEx | DepMap | Descartes | 0.06 | 7.01 |
RASIP1 | -0.0004631 | 24297 | GTEx | DepMap | Descartes | 0.29 | 21.61 |
TIE1 | -0.0004832 | 24469 | GTEx | DepMap | Descartes | 0.23 | 11.93 |
SHE | -0.0005012 | 24597 | GTEx | DepMap | Descartes | 0.06 | 1.19 |
DNASE1L3 | -0.0005128 | 24679 | GTEx | DepMap | Descartes | 0.09 | 13.51 |
SHANK3 | -0.0005184 | 24711 | GTEx | DepMap | Descartes | 0.08 | 3.77 |
HYAL2 | -0.0005456 | 24856 | GTEx | DepMap | Descartes | 0.71 | 44.49 |
PTPRB | -0.0005539 | 24906 | GTEx | DepMap | Descartes | 0.21 | 2.77 |
FCGR2B | -0.0005615 | 24950 | GTEx | DepMap | Descartes | 0.12 | 5.62 |
CALCRL | -0.0005626 | 24961 | GTEx | DepMap | Descartes | 0.74 | 24.83 |
ID1 | -0.0005710 | 25003 | GTEx | DepMap | Descartes | 3.79 | 424.83 |
NOTCH4 | -0.0005738 | 25012 | GTEx | DepMap | Descartes | 0.10 | 3.10 |
F8 | -0.0005767 | 25029 | GTEx | DepMap | Descartes | 0.15 | 4.18 |
TEK | -0.0005855 | 25066 | GTEx | DepMap | Descartes | 0.26 | 7.68 |
IRX3 | -0.0005937 | 25105 | GTEx | DepMap | Descartes | 0.05 | 12.97 |
MMRN2 | -0.0006017 | 25150 | GTEx | DepMap | Descartes | 0.33 | 19.73 |
CYP26B1 | -0.0006081 | 25186 | GTEx | DepMap | Descartes | 0.12 | 3.03 |
CRHBP | -0.0006105 | 25193 | GTEx | DepMap | Descartes | 0.86 | 54.25 |
Descartes stromal markers
Top 50 marker genes of stromal cells in the Decartes fetal adrenal single cell map (https://atlas.brotmanbaty.org/bbi/human-gene-expression-during-development/cell/stromal/in/adrenal)
Wilcoxon ranksum test P-value for gene set overrepresentation: 2.84e-01
Mean rank of genes in gene set: 12299.02
Median rank of genes in gene set: 9982
Rank on gene expression program of top 30 genes in gene set:
Genes | Weight | Rank | GTEx | DepMap | Descartes | Mean.Counts | Mean.TPM |
---|---|---|---|---|---|---|---|
MGP | 0.0334882 | 9 | GTEx | DepMap | Descartes | 25.33 | 11001.67 |
SCARA5 | 0.0241947 | 19 | GTEx | DepMap | Descartes | 0.97 | 214.42 |
OGN | 0.0103125 | 65 | GTEx | DepMap | Descartes | 3.04 | 557.24 |
DCN | 0.0100174 | 67 | GTEx | DepMap | Descartes | 9.44 | 742.47 |
PCOLCE | 0.0071443 | 97 | GTEx | DepMap | Descartes | 1.86 | 823.38 |
ADAMTSL3 | 0.0043619 | 175 | GTEx | DepMap | Descartes | 0.27 | 21.98 |
PRRX1 | 0.0043055 | 179 | GTEx | DepMap | Descartes | 0.55 | 90.13 |
BICC1 | 0.0041687 | 187 | GTEx | DepMap | Descartes | 0.44 | 43.81 |
ABCA6 | 0.0040731 | 197 | GTEx | DepMap | Descartes | 0.22 | 25.11 |
PDGFRA | 0.0026656 | 342 | GTEx | DepMap | Descartes | 1.04 | 105.45 |
CCDC80 | 0.0022757 | 428 | GTEx | DepMap | Descartes | 1.35 | 22.91 |
PRICKLE1 | 0.0015511 | 686 | GTEx | DepMap | Descartes | 0.21 | 28.56 |
ELN | 0.0015194 | 700 | GTEx | DepMap | Descartes | 0.78 | 70.03 |
MXRA5 | 0.0015055 | 712 | GTEx | DepMap | Descartes | 0.29 | 18.14 |
HHIP | 0.0010441 | 1122 | GTEx | DepMap | Descartes | 1.53 | 22.44 |
GLI2 | 0.0009797 | 1224 | GTEx | DepMap | Descartes | 0.04 | 4.50 |
CDH11 | 0.0007645 | 1607 | GTEx | DepMap | Descartes | 1.37 | 74.02 |
ISLR | 0.0006065 | 2027 | GTEx | DepMap | Descartes | 0.67 | 109.75 |
CD248 | 0.0005015 | 2426 | GTEx | DepMap | Descartes | 0.50 | 71.33 |
DKK2 | 0.0002856 | 3582 | GTEx | DepMap | Descartes | 0.05 | 3.18 |
LUM | 0.0001187 | 5086 | GTEx | DepMap | Descartes | 0.60 | 85.48 |
PCDH18 | 0.0000405 | 6346 | GTEx | DepMap | Descartes | 0.74 | 34.18 |
ZNF385D | 0.0000106 | 7166 | GTEx | DepMap | Descartes | 0.05 | 1.15 |
GAS2 | 0.0000027 | 7449 | GTEx | DepMap | Descartes | 0.09 | 6.99 |
C7 | -0.0000354 | 9982 | GTEx | DepMap | Descartes | 2.08 | 55.18 |
ACTA2 | -0.0000878 | 14437 | GTEx | DepMap | Descartes | 1.41 | 252.94 |
LAMC3 | -0.0001199 | 16509 | GTEx | DepMap | Descartes | 0.27 | 5.98 |
RSPO3 | -0.0001294 | 16990 | GTEx | DepMap | Descartes | 0.45 | NA |
CCDC102B | -0.0001364 | 17317 | GTEx | DepMap | Descartes | 0.21 | 26.71 |
IGFBP3 | -0.0001450 | 17671 | GTEx | DepMap | Descartes | 1.13 | 139.25 |
Descartes sympathoblasts markers
Top 50 marker genes of sympathoblasts cells in the Decartes fetal adrenal single cell map (https://atlas.brotmanbaty.org/bbi/human-gene-expression-during-development/cell/sympathoblasts/in/adrenal)
Wilcoxon ranksum test P-value for gene set overrepresentation: 9.99e-01
Mean rank of genes in gene set: 16463.91
Median rank of genes in gene set: 19122.5
Rank on gene expression program of top 30 genes in gene set:
Genes | Weight | Rank | GTEx | DepMap | Descartes | Mean.Counts | Mean.TPM |
---|---|---|---|---|---|---|---|
PCSK1N | 0.0008843 | 1356 | GTEx | DepMap | Descartes | 0.54 | 476.60 |
CDH18 | 0.0005466 | 2238 | GTEx | DepMap | Descartes | 0.03 | 4.38 |
TIAM1 | 0.0005023 | 2422 | GTEx | DepMap | Descartes | 0.21 | 19.24 |
TMEM130 | 0.0003806 | 3010 | GTEx | DepMap | Descartes | 0.01 | 2.73 |
SPOCK3 | 0.0003481 | 3208 | GTEx | DepMap | Descartes | 0.03 | 13.43 |
AGBL4 | 0.0002257 | 4012 | GTEx | DepMap | Descartes | 0.00 | 0.00 |
PENK | 0.0001425 | 4839 | GTEx | DepMap | Descartes | 0.06 | 120.21 |
GALNTL6 | 0.0000730 | 5739 | GTEx | DepMap | Descartes | 0.00 | 0.00 |
HTATSF1 | 0.0000238 | 6773 | GTEx | DepMap | Descartes | 0.37 | 46.97 |
CNTNAP5 | -0.0000415 | 10562 | GTEx | DepMap | Descartes | 0.00 | 0.00 |
PACRG | -0.0000555 | 11832 | GTEx | DepMap | Descartes | 0.08 | 6.33 |
TBX20 | -0.0000985 | 15198 | GTEx | DepMap | Descartes | 0.00 | 0.00 |
SLC24A2 | -0.0001059 | 15659 | GTEx | DepMap | Descartes | 0.00 | 0.00 |
KSR2 | -0.0001186 | 16430 | GTEx | DepMap | Descartes | 0.00 | 0.00 |
PNMT | -0.0001209 | 16562 | GTEx | DepMap | Descartes | 0.00 | 0.00 |
CNTN3 | -0.0001283 | 16943 | GTEx | DepMap | Descartes | 0.00 | 0.00 |
PCSK2 | -0.0001298 | 17020 | GTEx | DepMap | Descartes | 0.00 | 0.00 |
SLC35F3 | -0.0001341 | 17206 | GTEx | DepMap | Descartes | 0.00 | 0.00 |
SLC18A1 | -0.0001523 | 17967 | GTEx | DepMap | Descartes | 0.00 | 0.00 |
ST18 | -0.0001534 | 18019 | GTEx | DepMap | Descartes | 0.00 | 0.00 |
SORCS3 | -0.0001711 | 18736 | GTEx | DepMap | Descartes | 0.00 | 0.00 |
DGKK | -0.0001720 | 18787 | GTEx | DepMap | Descartes | 0.03 | 0.27 |
CDH12 | -0.0001913 | 19458 | GTEx | DepMap | Descartes | 0.00 | 0.00 |
EML6 | -0.0001980 | 19644 | GTEx | DepMap | Descartes | 0.00 | 0.00 |
TENM1 | -0.0001982 | 19653 | GTEx | DepMap | Descartes | 0.03 | NA |
FGF14 | -0.0002062 | 19879 | GTEx | DepMap | Descartes | 0.00 | 0.00 |
ARC | -0.0002082 | 19951 | GTEx | DepMap | Descartes | 0.09 | 1.74 |
SCG2 | -0.0002150 | 20152 | GTEx | DepMap | Descartes | 0.00 | 0.00 |
LAMA3 | -0.0002212 | 20327 | GTEx | DepMap | Descartes | 0.03 | 0.11 |
KCTD16 | -0.0002233 | 20386 | GTEx | DepMap | Descartes | 0.00 | 0.00 |
Descartes erythroblasts markers
Top 50 marker genes of erythroblasts cells in the Decartes fetal adrenal single cell map (https://atlas.brotmanbaty.org/bbi/human-gene-expression-during-development/cell/erythroblasts/in/adrenal)
Wilcoxon ranksum test P-value for gene set overrepresentation: 1.00e+00
Mean rank of genes in gene set: 21394.46
Median rank of genes in gene set: 23836
Rank on gene expression program of top 30 genes in gene set:
Genes | Weight | Rank | GTEx | DepMap | Descartes | Mean.Counts | Mean.TPM |
---|---|---|---|---|---|---|---|
SELENBP1 | 0.0008909 | 1345 | GTEx | DepMap | Descartes | 0.51 | 135.10 |
HBZ | 0.0006335 | 1949 | GTEx | DepMap | Descartes | 2.77 | 292.95 |
MICAL2 | 0.0002924 | 3541 | GTEx | DepMap | Descartes | 0.09 | 7.07 |
CAT | 0.0001917 | 4305 | GTEx | DepMap | Descartes | 0.40 | 86.43 |
HECTD4 | -0.0001156 | 16252 | GTEx | DepMap | Descartes | 0.06 | NA |
RGS6 | -0.0001190 | 16455 | GTEx | DepMap | Descartes | 0.06 | 0.78 |
GYPE | -0.0001354 | 17270 | GTEx | DepMap | Descartes | 0.03 | 27.19 |
TRAK2 | -0.0001646 | 18495 | GTEx | DepMap | Descartes | 0.13 | 9.57 |
RHD | -0.0001658 | 18534 | GTEx | DepMap | Descartes | 0.00 | 0.00 |
SLC25A21 | -0.0001664 | 18559 | GTEx | DepMap | Descartes | 0.00 | 0.00 |
DENND4A | -0.0001712 | 18740 | GTEx | DepMap | Descartes | 0.12 | 4.76 |
TMCC2 | -0.0002652 | 21394 | GTEx | DepMap | Descartes | 0.03 | 1.01 |
BLVRB | -0.0002916 | 21912 | GTEx | DepMap | Descartes | 1.10 | 359.38 |
ANK1 | -0.0003074 | 22215 | GTEx | DepMap | Descartes | 0.03 | 0.13 |
FECH | -0.0003087 | 22236 | GTEx | DepMap | Descartes | 0.13 | 6.17 |
CPOX | -0.0003219 | 22467 | GTEx | DepMap | Descartes | 0.23 | 23.42 |
TSPAN5 | -0.0003233 | 22487 | GTEx | DepMap | Descartes | 0.14 | 5.92 |
TFR2 | -0.0003471 | 22869 | GTEx | DepMap | Descartes | 0.00 | 0.00 |
SLC4A1 | -0.0003497 | 22908 | GTEx | DepMap | Descartes | 0.18 | 6.07 |
SPTA1 | -0.0003554 | 22998 | GTEx | DepMap | Descartes | 0.01 | 0.07 |
SPTB | -0.0003558 | 23003 | GTEx | DepMap | Descartes | 0.04 | 0.25 |
CR1L | -0.0003845 | 23419 | GTEx | DepMap | Descartes | 0.03 | 1.85 |
RHAG | -0.0003993 | 23623 | GTEx | DepMap | Descartes | 0.05 | 13.98 |
MARCH3 | -0.0004119 | 23762 | GTEx | DepMap | Descartes | 0.04 | NA |
RHCE | -0.0004251 | 23910 | GTEx | DepMap | Descartes | 0.00 | 0.00 |
HBG1 | -0.0004368 | 24046 | GTEx | DepMap | Descartes | 0.49 | 62.48 |
XPO7 | -0.0004400 | 24077 | GTEx | DepMap | Descartes | 0.13 | 4.91 |
RAPGEF2 | -0.0004460 | 24158 | GTEx | DepMap | Descartes | 0.05 | 1.64 |
EPB41 | -0.0004601 | 24277 | GTEx | DepMap | Descartes | 0.12 | 5.13 |
GCLC | -0.0004755 | 24404 | GTEx | DepMap | Descartes | 0.04 | 7.31 |
Descartes myeloid markers
Top 50 marker genes of myeloid cells in the Decartes fetal adrenal single cell map (https://atlas.brotmanbaty.org/bbi/human-gene-expression-during-development/cell/myeloid/in/adrenal)
Wilcoxon ranksum test P-value for gene set overrepresentation: 9.95e-01
Mean rank of genes in gene set: 15610.5
Median rank of genes in gene set: 18716.5
Rank on gene expression program of top 30 genes in gene set:
Genes | Weight | Rank | GTEx | DepMap | Descartes | Mean.Counts | Mean.TPM |
---|---|---|---|---|---|---|---|
CST3 | 0.0043499 | 176 | GTEx | DepMap | Descartes | 4.19 | 934.80 |
CTSC | 0.0032723 | 259 | GTEx | DepMap | Descartes | 2.28 | 231.46 |
AXL | 0.0015163 | 702 | GTEx | DepMap | Descartes | 0.29 | 29.07 |
CTSD | 0.0008528 | 1415 | GTEx | DepMap | Descartes | 1.05 | 310.63 |
CTSB | 0.0004260 | 2766 | GTEx | DepMap | Descartes | 0.81 | 113.18 |
CTSS | 0.0003571 | 3157 | GTEx | DepMap | Descartes | 0.09 | 14.12 |
PTPRE | 0.0001955 | 4278 | GTEx | DepMap | Descartes | 0.09 | 3.72 |
FGL2 | 0.0001610 | 4615 | GTEx | DepMap | Descartes | 0.03 | 7.63 |
CD14 | 0.0000340 | 6501 | GTEx | DepMap | Descartes | 0.05 | 34.89 |
IFNGR1 | 0.0000287 | 6636 | GTEx | DepMap | Descartes | 0.32 | 42.65 |
SPP1 | -0.0000062 | 7835 | GTEx | DepMap | Descartes | 0.15 | 28.40 |
TGFBI | -0.0000130 | 8204 | GTEx | DepMap | Descartes | 0.24 | 17.60 |
SLC9A9 | -0.0000215 | 8828 | GTEx | DepMap | Descartes | 0.06 | 8.50 |
SLC1A3 | -0.0000909 | 14668 | GTEx | DepMap | Descartes | 0.05 | 0.78 |
CD163L1 | -0.0000926 | 14802 | GTEx | DepMap | Descartes | 0.00 | 0.00 |
MS4A4E | -0.0000993 | 15243 | GTEx | DepMap | Descartes | 0.00 | 0.00 |
MS4A6A | -0.0001021 | 15438 | GTEx | DepMap | Descartes | 0.03 | 0.62 |
MS4A4A | -0.0001032 | 15500 | GTEx | DepMap | Descartes | 0.00 | 0.00 |
ABCA1 | -0.0001100 | 15916 | GTEx | DepMap | Descartes | 0.19 | 5.63 |
RGL1 | -0.0001122 | 16048 | GTEx | DepMap | Descartes | 0.24 | 23.99 |
LGMN | -0.0001203 | 16531 | GTEx | DepMap | Descartes | 0.27 | 67.97 |
MSR1 | -0.0001285 | 16948 | GTEx | DepMap | Descartes | 0.00 | 0.00 |
CSF1R | -0.0001343 | 17226 | GTEx | DepMap | Descartes | 0.01 | 0.25 |
VSIG4 | -0.0001474 | 17757 | GTEx | DepMap | Descartes | 0.00 | 0.00 |
SLCO2B1 | -0.0001591 | 18270 | GTEx | DepMap | Descartes | 0.01 | 0.24 |
C1QB | -0.0001825 | 19163 | GTEx | DepMap | Descartes | 0.01 | 5.97 |
SFMBT2 | -0.0001829 | 19183 | GTEx | DepMap | Descartes | 0.03 | 3.10 |
C1QC | -0.0001880 | 19381 | GTEx | DepMap | Descartes | 0.00 | 0.00 |
CPVL | -0.0001961 | 19583 | GTEx | DepMap | Descartes | 0.08 | 13.20 |
RNASE1 | -0.0002188 | 20254 | GTEx | DepMap | Descartes | 0.41 | 128.41 |
Descartes Schwann markers
Top 50 marker genes of Schwann cells in the Decartes fetal adrenal single cell map (https://atlas.brotmanbaty.org/bbi/human-gene-expression-during-development/cell/schwann/in/adrenal)
Wilcoxon ranksum test P-value for gene set overrepresentation: 9.38e-01
Mean rank of genes in gene set: 14538.59
Median rank of genes in gene set: 18868
Rank on gene expression program of top 30 genes in gene set:
Genes | Weight | Rank | GTEx | DepMap | Descartes | Mean.Counts | Mean.TPM |
---|---|---|---|---|---|---|---|
PTN | 0.0050958 | 152 | GTEx | DepMap | Descartes | 3.81 | 1220.35 |
ABCA8 | 0.0050852 | 153 | GTEx | DepMap | Descartes | 0.59 | 80.32 |
PMP22 | 0.0046460 | 159 | GTEx | DepMap | Descartes | 2.12 | 500.20 |
VIM | 0.0031162 | 280 | GTEx | DepMap | Descartes | 23.96 | 2965.30 |
LAMA4 | 0.0014137 | 777 | GTEx | DepMap | Descartes | 0.67 | 51.19 |
KCTD12 | 0.0008660 | 1390 | GTEx | DepMap | Descartes | 0.76 | 54.92 |
COL25A1 | 0.0008622 | 1394 | GTEx | DepMap | Descartes | 0.21 | 7.13 |
LAMB1 | 0.0005003 | 2432 | GTEx | DepMap | Descartes | 0.91 | 39.84 |
STARD13 | 0.0004799 | 2522 | GTEx | DepMap | Descartes | 0.18 | 8.67 |
GAS7 | 0.0004711 | 2559 | GTEx | DepMap | Descartes | 0.10 | 15.73 |
PLCE1 | 0.0004478 | 2668 | GTEx | DepMap | Descartes | 0.28 | 6.44 |
MDGA2 | 0.0004427 | 2691 | GTEx | DepMap | Descartes | 0.03 | 9.17 |
ZNF536 | 0.0004356 | 2716 | GTEx | DepMap | Descartes | 0.04 | 2.82 |
OLFML2A | 0.0004199 | 2795 | GTEx | DepMap | Descartes | 0.09 | 6.36 |
SCN7A | 0.0002723 | 3684 | GTEx | DepMap | Descartes | 0.09 | 14.97 |
DST | 0.0002531 | 3817 | GTEx | DepMap | Descartes | 0.73 | 15.38 |
LRRTM4 | 0.0002072 | 4175 | GTEx | DepMap | Descartes | 0.01 | 2.51 |
SFRP1 | 0.0001576 | 4648 | GTEx | DepMap | Descartes | 0.64 | 37.69 |
LAMC1 | -0.0000042 | 7747 | GTEx | DepMap | Descartes | 0.64 | 19.61 |
XKR4 | -0.0001051 | 15619 | GTEx | DepMap | Descartes | 0.01 | 0.05 |
GRIK3 | -0.0001457 | 17694 | GTEx | DepMap | Descartes | 0.00 | 0.00 |
IL1RAPL2 | -0.0001496 | 17852 | GTEx | DepMap | Descartes | 0.00 | 0.00 |
PPP2R2B | -0.0001608 | 18334 | GTEx | DepMap | Descartes | 0.01 | 0.10 |
PLP1 | -0.0001667 | 18573 | GTEx | DepMap | Descartes | 0.08 | 10.44 |
TRPM3 | -0.0001745 | 18868 | GTEx | DepMap | Descartes | 0.05 | 1.22 |
MPZ | -0.0002145 | 20136 | GTEx | DepMap | Descartes | 0.03 | 4.55 |
COL18A1 | -0.0002206 | 20309 | GTEx | DepMap | Descartes | 0.71 | 26.37 |
SOX5 | -0.0002494 | 21049 | GTEx | DepMap | Descartes | 0.06 | 3.33 |
CDH19 | -0.0002708 | 21519 | GTEx | DepMap | Descartes | 0.00 | 0.00 |
GFRA3 | -0.0002731 | 21559 | GTEx | DepMap | Descartes | 0.00 | 0.00 |
Descartes Megakaryocytes markers
Top 50 marker genes of Megakaryocytes cells in the Decartes fetal adrenal single cell map (https://atlas.brotmanbaty.org/bbi/human-gene-expression-during-development/cell/megakaryocytes/in/adrenal)
Wilcoxon ranksum test P-value for gene set overrepresentation: 9.43e-01
Mean rank of genes in gene set: 14588.63
Median rank of genes in gene set: 17409
Rank on gene expression program of top 30 genes in gene set:
Genes | Weight | Rank | GTEx | DepMap | Descartes | Mean.Counts | Mean.TPM |
---|---|---|---|---|---|---|---|
GSN | 0.0247609 | 15 | GTEx | DepMap | Descartes | 10.46 | 1468.25 |
ANGPT1 | 0.0040633 | 198 | GTEx | DepMap | Descartes | 0.55 | 70.90 |
TMSB4X | 0.0020899 | 476 | GTEx | DepMap | Descartes | 25.62 | 6477.82 |
MYLK | 0.0014947 | 721 | GTEx | DepMap | Descartes | 0.32 | 17.83 |
CD9 | 0.0010872 | 1081 | GTEx | DepMap | Descartes | 0.53 | 129.46 |
PDE3A | 0.0009593 | 1249 | GTEx | DepMap | Descartes | 0.10 | 7.40 |
STON2 | 0.0009333 | 1290 | GTEx | DepMap | Descartes | 0.09 | 12.60 |
SPN | 0.0006183 | 1992 | GTEx | DepMap | Descartes | 0.03 | 0.23 |
STOM | 0.0004864 | 2493 | GTEx | DepMap | Descartes | 0.76 | 103.79 |
SLC24A3 | 0.0003677 | 3089 | GTEx | DepMap | Descartes | 0.08 | 6.85 |
FLNA | 0.0002865 | 3577 | GTEx | DepMap | Descartes | 1.21 | 39.90 |
MYH9 | 0.0002765 | 3647 | GTEx | DepMap | Descartes | 0.58 | 28.00 |
ACTN1 | 0.0001823 | 4400 | GTEx | DepMap | Descartes | 0.40 | 23.51 |
ARHGAP6 | 0.0000746 | 5711 | GTEx | DepMap | Descartes | 0.14 | 5.64 |
VCL | 0.0000214 | 6847 | GTEx | DepMap | Descartes | 0.47 | 12.30 |
PF4 | -0.0000607 | 12276 | GTEx | DepMap | Descartes | 0.01 | 1.33 |
BIN2 | -0.0000759 | 13580 | GTEx | DepMap | Descartes | 0.00 | 0.00 |
LIMS1 | -0.0000833 | 14133 | GTEx | DepMap | Descartes | 0.82 | 60.04 |
PPBP | -0.0000861 | 14322 | GTEx | DepMap | Descartes | 0.00 | 0.00 |
GP1BA | -0.0000981 | 15174 | GTEx | DepMap | Descartes | 0.00 | 0.00 |
ITGA2B | -0.0001022 | 15440 | GTEx | DepMap | Descartes | 0.00 | 0.00 |
GP9 | -0.0001200 | 16516 | GTEx | DepMap | Descartes | 0.00 | 0.00 |
FERMT3 | -0.0001284 | 16945 | GTEx | DepMap | Descartes | 0.05 | 5.80 |
ITGB3 | -0.0001330 | 17152 | GTEx | DepMap | Descartes | 0.00 | 0.00 |
RAP1B | -0.0001386 | 17409 | GTEx | DepMap | Descartes | 0.88 | 20.22 |
DOK6 | -0.0001489 | 17825 | GTEx | DepMap | Descartes | 0.03 | 0.40 |
PRKAR2B | -0.0001617 | 18373 | GTEx | DepMap | Descartes | 0.35 | 46.89 |
TUBB1 | -0.0001760 | 18926 | GTEx | DepMap | Descartes | 0.01 | 0.17 |
LTBP1 | -0.0001873 | 19352 | GTEx | DepMap | Descartes | 0.24 | 10.24 |
PLEK | -0.0001940 | 19530 | GTEx | DepMap | Descartes | 0.03 | 1.88 |
Descartes Lyphoid markers
Top 50 marker genes of Lyphoid cells in the Decartes fetal adrenal single cell map (https://atlas.brotmanbaty.org/bbi/human-gene-expression-during-development/cell/lymphoid/in/adrenal)
Wilcoxon ranksum test P-value for gene set overrepresentation: 8.41e-01
Mean rank of genes in gene set: 13976.81
Median rank of genes in gene set: 17213
Rank on gene expression program of top 30 genes in gene set:
Genes | Weight | Rank | GTEx | DepMap | Descartes | Mean.Counts | Mean.TPM |
---|---|---|---|---|---|---|---|
ABLIM1 | 0.0029678 | 300 | GTEx | DepMap | Descartes | 0.49 | 20.47 |
HLA-C | 0.0026860 | 339 | GTEx | DepMap | Descartes | 2.19 | 596.89 |
STK39 | 0.0024624 | 387 | GTEx | DepMap | Descartes | 0.35 | 83.42 |
FOXP1 | 0.0020611 | 483 | GTEx | DepMap | Descartes | 0.59 | 31.30 |
ARID5B | 0.0019662 | 507 | GTEx | DepMap | Descartes | 0.77 | 52.26 |
PITPNC1 | 0.0017317 | 601 | GTEx | DepMap | Descartes | 0.24 | 19.35 |
HLA-A | 0.0015668 | 672 | GTEx | DepMap | Descartes | 1.94 | 210.28 |
HLA-B | 0.0015565 | 680 | GTEx | DepMap | Descartes | 1.50 | 581.78 |
SP100 | 0.0010251 | 1149 | GTEx | DepMap | Descartes | 0.21 | 12.16 |
B2M | 0.0006353 | 1946 | GTEx | DepMap | Descartes | 10.23 | 1665.56 |
TOX | 0.0006131 | 2003 | GTEx | DepMap | Descartes | 0.06 | 20.65 |
MSN | 0.0002935 | 3531 | GTEx | DepMap | Descartes | 0.72 | 68.65 |
ANKRD44 | 0.0001897 | 4324 | GTEx | DepMap | Descartes | 0.18 | 5.87 |
PLEKHA2 | 0.0001760 | 4467 | GTEx | DepMap | Descartes | 0.23 | 21.36 |
ARHGDIB | 0.0001459 | 4797 | GTEx | DepMap | Descartes | 0.36 | 172.71 |
TMSB10 | 0.0000635 | 5898 | GTEx | DepMap | Descartes | 21.71 | 12048.81 |
BACH2 | 0.0000240 | 6770 | GTEx | DepMap | Descartes | 0.12 | 2.09 |
WIPF1 | 0.0000228 | 6805 | GTEx | DepMap | Descartes | 0.17 | 9.71 |
SORL1 | -0.0000864 | 14340 | GTEx | DepMap | Descartes | 0.06 | 5.65 |
LEF1 | -0.0000865 | 14345 | GTEx | DepMap | Descartes | 0.06 | 4.78 |
LINC00299 | -0.0001076 | 15763 | GTEx | DepMap | Descartes | 0.00 | 0.00 |
CCL5 | -0.0001102 | 15922 | GTEx | DepMap | Descartes | 0.01 | 0.94 |
NKG7 | -0.0001317 | 17099 | GTEx | DepMap | Descartes | 0.00 | 0.00 |
SCML4 | -0.0001328 | 17143 | GTEx | DepMap | Descartes | 0.00 | 0.00 |
SAMD3 | -0.0001358 | 17283 | GTEx | DepMap | Descartes | 0.00 | 0.00 |
NCALD | -0.0001475 | 17761 | GTEx | DepMap | Descartes | 0.23 | 18.12 |
MBNL1 | -0.0001481 | 17788 | GTEx | DepMap | Descartes | 0.46 | 27.20 |
IFI16 | -0.0001502 | 17891 | GTEx | DepMap | Descartes | 0.41 | 40.55 |
RAP1GAP2 | -0.0001629 | 18434 | GTEx | DepMap | Descartes | 0.00 | 0.00 |
CD44 | -0.0002141 | 20127 | GTEx | DepMap | Descartes | 0.24 | 17.26 |
Below shows the ranks on this GEP for immune marker gene lists curated by CellTypist (https://www.celltypist.org/encyclopedia).
High ranks indicate this gene is a driver of this GEP.
These curated gene list are ranked by P-value (on this GEP) of their constituent genes.
The Mean Count column shows the mean read count in cells scoring highly (H > 50) on this gene expression program.
Genes | Weight | Rank | GTEx | DepMap | Decartes | Mean.Counts | Mean.TPM |
---|---|---|---|---|---|---|---|
HLA-C | 0.0026860 | 339 | GTEx | DepMap | Descartes | 2.19 | 596.89 |
FTL | 0.0016573 | 639 | GTEx | DepMap | Descartes | 24.22 | 17386.67 |
HLA-A | 0.0015668 | 672 | GTEx | DepMap | Descartes | 1.94 | 210.28 |
HLA-B | 0.0015565 | 680 | GTEx | DepMap | Descartes | 1.50 | 581.78 |
B2M | 0.0006353 | 1946 | GTEx | DepMap | Descartes | 10.23 | 1665.56 |
CD8B | -0.0000493 | 11266 | GTEx | DepMap | Descartes | 0.00 | 0.00 |
CD8A | -0.0000549 | 11768 | GTEx | DepMap | Descartes | 0.00 | 0.00 |
RPS2 | -0.0012287 | 25782 | GTEx | DepMap | Descartes | 35.28 | 3983.04 |
No detectable expression in this dataset: LINC02446
Fibroblasts: Fibroblasts (model markers)
the most common cells of connective tissues which synthesize the extracellular matrix and collagen to maintain tissue homeostasis:
Wilcoxon ranksum test P-value for gene set overrepresentation: 1.32e-02
Mean rank of genes in gene set: 7675.4
Rank on gene expression program of genes in gene set:
Genes | Weight | Rank | GTEx | DepMap | Decartes | Mean.Counts | Mean.TPM |
---|---|---|---|---|---|---|---|
SMOC2 | 0.0294535 | 12 | GTEx | DepMap | Descartes | 2.18 | 541.80 |
PRRX1 | 0.0043055 | 179 | GTEx | DepMap | Descartes | 0.55 | 90.13 |
PDGFRA | 0.0026656 | 342 | GTEx | DepMap | Descartes | 1.04 | 105.45 |
OLFML1 | 0.0016991 | 616 | GTEx | DepMap | Descartes | 0.38 | 40.23 |
MXRA5 | 0.0015055 | 712 | GTEx | DepMap | Descartes | 0.29 | 18.14 |
F10 | 0.0011729 | 988 | GTEx | DepMap | Descartes | 0.23 | 145.53 |
SFRP1 | 0.0001576 | 4648 | GTEx | DepMap | Descartes | 0.64 | 37.69 |
EBF2 | -0.0002922 | 21923 | GTEx | DepMap | Descartes | 0.01 | 0.80 |
ANGPTL1 | -0.0003201 | 22433 | GTEx | DepMap | Descartes | 0.00 | 0.00 |
NTRK2 | -0.0005523 | 24901 | GTEx | DepMap | Descartes | 0.03 | 1.05 |
T cells: Type 17 helper T cells (model markers)
CD4+ helper T lymphocyte subpopulation which is capable of producing interleukin 17 (IL-17) and mediating protective immunity and autoimmunity:
Wilcoxon ranksum test P-value for gene set overrepresentation: 2.49e-02
Mean rank of genes in gene set: 7384.43
Rank on gene expression program of genes in gene set:
Genes | Weight | Rank | GTEx | DepMap | Decartes | Mean.Counts | Mean.TPM |
---|---|---|---|---|---|---|---|
ANXA1 | 0.0108575 | 60 | GTEx | DepMap | Descartes | 2.47 | 513.84 |
CEBPD | 0.0060516 | 122 | GTEx | DepMap | Descartes | 6.37 | 2295.77 |
S100A4 | 0.0028991 | 311 | GTEx | DepMap | Descartes | 0.85 | 914.40 |
LINC02202 | 0.0002133 | 4119 | GTEx | DepMap | Descartes | 0.01 | NA |
LINC02245 | -0.0000609 | 12289 | GTEx | DepMap | Descartes | 0.00 | NA |
LINC02206 | -0.0001176 | 16375 | GTEx | DepMap | Descartes | 0.00 | NA |
KLRB1 | -0.0001625 | 18415 | GTEx | DepMap | Descartes | 0.00 | 0.00 |