Program description and justification of annotation: 17.
Submit a comment on this gene expression program’s interpretation: CLICK
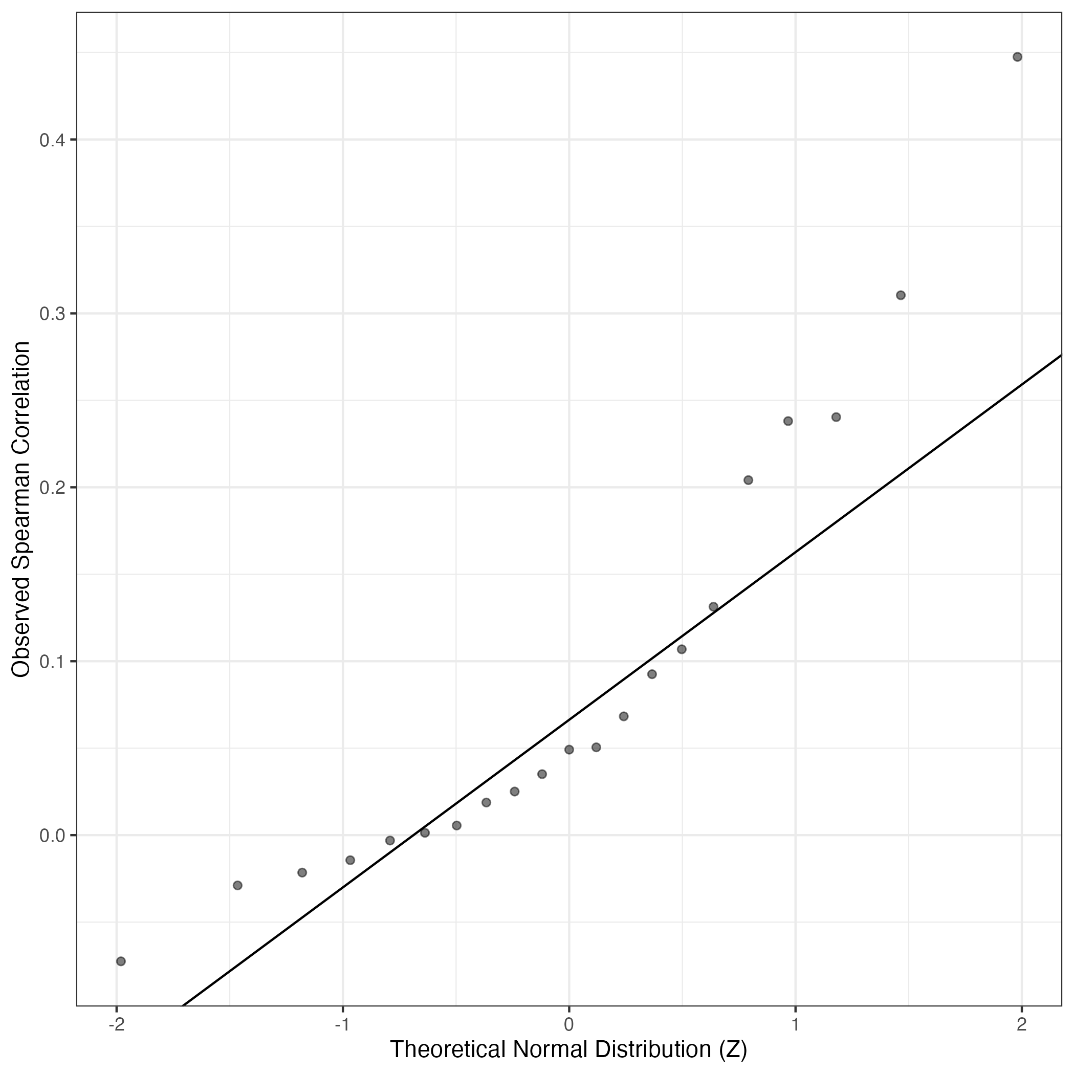
QQ-plot of gene loadings, averaged over both independent splits of the data
This plot highlights the relative contribution of each gene to the GEP
Top genes driving this program.
Note: Decartes website is buggy, try refreshing. Also, Decartes fetal adrenal data have been collected at specific time points (89-122 days), all possible cell types of interest may not be represented, do not overinterpret.
The Mean Count column shows the mean read count in cells scoring highly (H > 50) on this gene expression program.
Gene | Loading | Gene.Name | GTEx | DepMap | Descartes | Mean.Counts | Mean.Tpm | |
---|---|---|---|---|---|---|---|---|
1 | RPL13 | 0.0095351 | ribosomal protein L13 | GTEx | DepMap | Descartes | 169.84 | 3667.46 |
2 | RPL18 | 0.0092761 | ribosomal protein L18 | GTEx | DepMap | Descartes | 67.76 | 1734.96 |
3 | EEF1A1 | 0.0091443 | eukaryotic translation elongation factor 1 alpha 1 | GTEx | DepMap | Descartes | 215.59 | 4667.44 |
4 | EEF2 | 0.0091052 | eukaryotic translation elongation factor 2 | GTEx | DepMap | Descartes | 44.00 | 1396.69 |
5 | BTF3 | 0.0086845 | basic transcription factor 3 | GTEx | DepMap | Descartes | 34.41 | 2643.65 |
6 | NACA | 0.0086036 | nascent polypeptide associated complex subunit alpha | GTEx | DepMap | Descartes | 40.37 | 592.36 |
7 | RPSA | 0.0085496 | ribosomal protein SA | GTEx | DepMap | Descartes | 94.86 | 4525.80 |
8 | HNRNPA1 | 0.0083573 | heterogeneous nuclear ribonucleoprotein A1 | GTEx | DepMap | Descartes | 53.60 | 1311.85 |
9 | NPM1 | 0.0083502 | nucleophosmin 1 | GTEx | DepMap | Descartes | 56.57 | 3110.80 |
10 | EEF1B2 | 0.0080403 | eukaryotic translation elongation factor 1 beta 2 | GTEx | DepMap | Descartes | 46.86 | 4303.16 |
11 | PABPC1 | 0.0077870 | poly(A) binding protein cytoplasmic 1 | GTEx | DepMap | Descartes | 18.76 | 639.44 |
12 | CCNI | 0.0077227 | cyclin I | GTEx | DepMap | Descartes | 31.13 | 1157.11 |
13 | HIST3H2A | 0.0077206 | NA | GTEx | DepMap | Descartes | 5.23 | NA |
14 | EIF3L | 0.0073132 | eukaryotic translation initiation factor 3 subunit L | GTEx | DepMap | Descartes | 12.01 | 364.84 |
15 | EIF3E | 0.0069366 | eukaryotic translation initiation factor 3 subunit E | GTEx | DepMap | Descartes | 12.98 | 629.26 |
16 | TPT1 | 0.0069269 | tumor protein, translationally-controlled 1 | GTEx | DepMap | Descartes | 46.62 | 873.09 |
17 | EIF3F | 0.0067886 | eukaryotic translation initiation factor 3 subunit F | GTEx | DepMap | Descartes | 10.06 | 129.56 |
18 | CIRBP | 0.0067660 | cold inducible RNA binding protein | GTEx | DepMap | Descartes | 12.11 | 361.28 |
19 | PFDN5 | 0.0064868 | prefoldin subunit 5 | GTEx | DepMap | Descartes | 13.30 | 643.17 |
20 | NME2 | 0.0063628 | NME/NM23 nucleoside diphosphate kinase 2 | GTEx | DepMap | Descartes | 75.65 | 7815.26 |
21 | EIF1 | 0.0063440 | eukaryotic translation initiation factor 1 | GTEx | DepMap | Descartes | 37.22 | 1537.56 |
22 | SLC25A5 | 0.0061506 | solute carrier family 25 member 5 | GTEx | DepMap | Descartes | 10.46 | 773.66 |
23 | EEF1D | 0.0061414 | eukaryotic translation elongation factor 1 delta | GTEx | DepMap | Descartes | 11.00 | 290.58 |
24 | EIF4A2 | 0.0060929 | eukaryotic translation initiation factor 4A2 | GTEx | DepMap | Descartes | 11.27 | 216.12 |
25 | RBM3 | 0.0058680 | RNA binding motif protein 3 | GTEx | DepMap | Descartes | 9.53 | 216.45 |
26 | PPA1 | 0.0058472 | inorganic pyrophosphatase 1 | GTEx | DepMap | Descartes | 12.24 | 343.68 |
27 | COX7C | 0.0057657 | cytochrome c oxidase subunit 7C | GTEx | DepMap | Descartes | 24.10 | 1381.66 |
28 | ACTG1 | 0.0056252 | actin gamma 1 | GTEx | DepMap | Descartes | 61.79 | 2500.43 |
29 | RSL24D1 | 0.0055445 | ribosomal L24 domain containing 1 | GTEx | DepMap | Descartes | 6.38 | 346.19 |
30 | LDHB | 0.0055163 | lactate dehydrogenase B | GTEx | DepMap | Descartes | 29.04 | 1696.91 |
31 | AHCY | 0.0055049 | adenosylhomocysteinase | GTEx | DepMap | Descartes | 4.94 | 206.67 |
32 | GAPDH | 0.0054741 | glyceraldehyde-3-phosphate dehydrogenase | GTEx | DepMap | Descartes | 103.73 | 5290.00 |
33 | TKT | 0.0054442 | transketolase | GTEx | DepMap | Descartes | 7.01 | 92.99 |
34 | CCNB1IP1 | 0.0054009 | cyclin B1 interacting protein 1 | GTEx | DepMap | Descartes | 5.33 | 318.21 |
35 | MLLT11 | 0.0053899 | MLLT11 transcription factor 7 cofactor | GTEx | DepMap | Descartes | 15.74 | 645.22 |
36 | HIGD2A | 0.0053600 | HIG1 hypoxia inducible domain family member 2A | GTEx | DepMap | Descartes | 4.67 | 669.67 |
37 | COX4I1 | 0.0053482 | cytochrome c oxidase subunit 4I1 | GTEx | DepMap | Descartes | 14.75 | 351.49 |
38 | H3F3A | 0.0053234 | NA | GTEx | DepMap | Descartes | 54.95 | NA |
39 | NAP1L1 | 0.0053044 | nucleosome assembly protein 1 like 1 | GTEx | DepMap | Descartes | 20.98 | 150.90 |
40 | IMPDH2 | 0.0052600 | inosine monophosphate dehydrogenase 2 | GTEx | DepMap | Descartes | 4.70 | 286.01 |
41 | FTH1 | 0.0052213 | ferritin heavy chain 1 | GTEx | DepMap | Descartes | 44.82 | 3599.72 |
42 | TOMM7 | 0.0052100 | translocase of outer mitochondrial membrane 7 | GTEx | DepMap | Descartes | 12.33 | 1438.97 |
43 | COMMD6 | 0.0051946 | COMM domain containing 6 | GTEx | DepMap | Descartes | 9.09 | 459.43 |
44 | TIMM13 | 0.0051553 | translocase of inner mitochondrial membrane 13 | GTEx | DepMap | Descartes | 10.19 | 585.13 |
45 | SNRPE | 0.0051075 | small nuclear ribonucleoprotein polypeptide E | GTEx | DepMap | Descartes | 14.72 | 921.12 |
46 | PPDPF | 0.0050234 | pancreatic progenitor cell differentiation and proliferation factor | GTEx | DepMap | Descartes | 6.90 | 796.22 |
47 | RSL1D1 | 0.0050056 | ribosomal L1 domain containing 1 | GTEx | DepMap | Descartes | 6.30 | 111.65 |
48 | RPL36AL | 0.0049873 | ribosomal protein L36a like | GTEx | DepMap | Descartes | 10.08 | 1390.77 |
49 | COX6B1 | 0.0049595 | cytochrome c oxidase subunit 6B1 | GTEx | DepMap | Descartes | 11.66 | 1348.52 |
50 | HINT1 | 0.0049162 | histidine triad nucleotide binding protein 1 | GTEx | DepMap | Descartes | 26.01 | 2591.09 |
UMAP plots showing activity of gene expression program identified in community:17. PDX Human #17
Gene set Enrichments for this program, caculated from top 50 genes
mSigDB Cell Types Gene Set:
P-value | OR | Lower 95% CI | FDR | FWER | Genes Found | Gene Set Size | |
---|---|---|---|---|---|---|---|
RUBENSTEIN_SKELETAL_MUSCLE_SATELLITE_CELLS | 3.13e-38 | 73.11 | 39.46 | 2.10e-35 | 2.10e-35 | 31RPL13, RPL18, EEF1A1, EEF2, BTF3, NACA, RPSA, HNRNPA1, NPM1, EEF1B2, PABPC1, EIF3L, EIF3E, TPT1, EIF3F, CIRBP, EIF1, EEF1D, EIF4A2, RBM3, RSL24D1, LDHB, GAPDH, HIGD2A, COX4I1, IMPDH2, TOMM7, COMMD6, TIMM13, SNRPE, RSL1D1 |
310 |
RUBENSTEIN_SKELETAL_MUSCLE_T_CELLS | 8.61e-32 | 73.40 | 39.40 | 2.89e-29 | 5.77e-29 | 24RPL13, RPL18, EEF1A1, BTF3, RPSA, HNRNPA1, NPM1, EEF1B2, PABPC1, EIF3L, EIF3E, TPT1, EIF3F, PFDN5, EIF1, EEF1D, COX7C, RSL24D1, LDHB, TOMM7, COMMD6, RSL1D1, RPL36AL, HINT1 |
181 |
LAKE_ADULT_KIDNEY_C9_THIN_ASCENDING_LIMB | 1.30e-27 | 47.29 | 25.59 | 2.17e-25 | 8.70e-25 | 24RPL13, RPL18, EEF1A1, EEF2, BTF3, NACA, RPSA, NPM1, PABPC1, CCNI, TPT1, CIRBP, PFDN5, EIF1, EEF1D, EIF4A2, COX7C, ACTG1, LDHB, GAPDH, COX4I1, NAP1L1, FTH1, HINT1 |
268 |
LAKE_ADULT_KIDNEY_C8_DECENDING_THIN_LIMB | 1.37e-25 | 41.76 | 22.54 | 1.83e-23 | 9.17e-23 | 23RPL13, RPL18, EEF1A1, EEF2, BTF3, NACA, RPSA, NPM1, EEF1B2, PABPC1, CCNI, TPT1, CIRBP, PFDN5, EIF1, EEF1D, EIF4A2, ACTG1, LDHB, GAPDH, NAP1L1, FTH1, HINT1 |
278 |
FAN_OVARY_CL0_XBP1_SELK_HIGH_STROMAL_CELL | 4.55e-18 | 41.83 | 20.68 | 2.18e-16 | 3.05e-15 | 15RPL13, RPL18, BTF3, NACA, NPM1, PABPC1, EIF3E, CIRBP, PFDN5, EIF1, EEF1D, EIF4A2, RSL24D1, RSL1D1, RPL36AL |
143 |
TRAVAGLINI_LUNG_PROXIMAL_BASAL_CELL | 1.97e-30 | 37.28 | 20.17 | 4.40e-28 | 1.32e-27 | 32RPL13, RPL18, EEF1A1, EEF2, BTF3, NACA, RPSA, HNRNPA1, NPM1, EEF1B2, PABPC1, CCNI, EIF3L, EIF3E, TPT1, EIF3F, CIRBP, SLC25A5, EEF1D, EIF4A2, RSL24D1, LDHB, AHCY, GAPDH, CCNB1IP1, HIGD2A, COX4I1, NAP1L1, IMPDH2, COMMD6, RSL1D1, HINT1 |
629 |
LAKE_ADULT_KIDNEY_C18_COLLECTING_DUCT_PRINCIPAL_CELLS_MEDULLA | 3.87e-24 | 35.60 | 19.27 | 4.33e-22 | 2.60e-21 | 23RPL13, RPL18, EEF1A1, EEF2, BTF3, NACA, RPSA, NPM1, PABPC1, CCNI, TPT1, PFDN5, EIF1, EEF1D, EIF4A2, COX7C, ACTG1, LDHB, GAPDH, COX4I1, NAP1L1, FTH1, HINT1 |
322 |
BUSSLINGER_DUODENAL_DIFFERENTIATING_STEM_CELLS | 4.12e-23 | 34.68 | 18.67 | 3.95e-21 | 2.77e-20 | 22RPL13, RPL18, EEF1A1, EEF2, BTF3, HNRNPA1, NPM1, EEF1B2, PABPC1, EIF3L, EIF3E, SLC25A5, RBM3, COX7C, ACTG1, AHCY, GAPDH, TKT, COX4I1, IMPDH2, SNRPE, HINT1 |
305 |
ZHENG_CORD_BLOOD_C8_PUTATIVE_LYMPHOID_PRIMED_MULTIPOTENT_PROGENITOR_2 | 8.82e-14 | 40.94 | 18.29 | 2.96e-12 | 5.92e-11 | 11BTF3, NACA, HNRNPA1, EEF1B2, TPT1, PFDN5, ACTG1, GAPDH, NAP1L1, COMMD6, HINT1 |
97 |
LAKE_ADULT_KIDNEY_C7_PROXIMAL_TUBULE_EPITHELIAL_CELLS_S3 | 3.17e-15 | 35.97 | 17.10 | 1.25e-13 | 2.13e-12 | 13RPL13, RPL18, EEF1A1, EEF2, RPSA, NPM1, PABPC1, CCNI, TPT1, COX7C, COX4I1, FTH1, HINT1 |
135 |
BUSSLINGER_DUODENAL_TRANSIT_AMPLIFYING_CELLS | 1.40e-17 | 33.03 | 16.71 | 6.25e-16 | 9.37e-15 | 16RPL13, RPL18, EEF1A1, EEF2, HNRNPA1, NPM1, EEF1B2, EIF3L, SLC25A5, RBM3, COX7C, ACTG1, GAPDH, COX4I1, COX6B1, HINT1 |
194 |
LAKE_ADULT_KIDNEY_C10_THIN_ASCENDING_LIMB | 9.54e-22 | 29.66 | 16.00 | 8.00e-20 | 6.40e-19 | 22RPL13, RPL18, EEF1A1, EEF2, BTF3, RPSA, NPM1, PABPC1, TPT1, PFDN5, EIF1, SLC25A5, EEF1D, EIF4A2, PPA1, COX7C, ACTG1, LDHB, GAPDH, COX4I1, FTH1, HINT1 |
353 |
TRAVAGLINI_LUNG_BRONCHIAL_VESSEL_1_CELL | 4.50e-18 | 31.10 | 15.98 | 2.18e-16 | 3.02e-15 | 17RPL13, RPL18, EEF2, NACA, RPSA, HNRNPA1, NPM1, PABPC1, EIF3E, TPT1, EIF3F, PFDN5, SLC25A5, RSL24D1, IMPDH2, SNRPE, RSL1D1 |
224 |
BUSSLINGER_DUODENAL_STEM_CELLS | 6.23e-20 | 28.64 | 15.22 | 4.18e-18 | 4.18e-17 | 20RPL13, RPL18, EEF1A1, EEF2, BTF3, HNRNPA1, NPM1, EEF1B2, PABPC1, EIF3L, EIF3E, TPT1, EIF4A2, COX7C, ACTG1, AHCY, TKT, IMPDH2, TOMM7, SNRPE |
311 |
LAKE_ADULT_KIDNEY_C19_COLLECTING_DUCT_INTERCALATED_CELLS_TYPE_A_MEDULLA | 1.56e-19 | 27.23 | 14.49 | 9.49e-18 | 1.04e-16 | 20RPL13, RPL18, EEF1A1, EEF2, BTF3, NACA, RPSA, NPM1, TPT1, PFDN5, EIF1, SLC25A5, EIF4A2, COX7C, ACTG1, LDHB, GAPDH, COX4I1, FTH1, HINT1 |
326 |
RUBENSTEIN_SKELETAL_MUSCLE_MYELOID_CELLS | 5.20e-19 | 25.49 | 13.57 | 2.91e-17 | 3.49e-16 | 20EEF1A1, NACA, EEF1B2, PABPC1, CCNI, EIF3L, EIF3E, EIF3F, PFDN5, EIF1, SLC25A5, COX7C, GAPDH, TKT, HIGD2A, COX4I1, NAP1L1, FTH1, COMMD6, RPL36AL |
347 |
MANNO_MIDBRAIN_NEUROTYPES_BASAL | 7.09e-10 | 33.49 | 13.11 | 1.76e-08 | 4.76e-07 | 8RPL13, EEF1A1, EEF2, PFDN5, EIF4A2, ACTG1, COX4I1, COX6B1 |
79 |
TRAVAGLINI_LUNG_BASAL_CELL | 2.29e-13 | 25.09 | 12.02 | 7.32e-12 | 1.54e-10 | 13RPL13, EEF1A1, BTF3, NACA, RPSA, HNRNPA1, NPM1, EIF1, ACTG1, AHCY, GAPDH, NAP1L1, IMPDH2 |
188 |
LAKE_ADULT_KIDNEY_C23_ENDOTHELIAL_CELLS_AVR | 4.82e-11 | 26.91 | 11.71 | 1.29e-09 | 3.23e-08 | 10RPL13, RPL18, EEF1A1, NPM1, PABPC1, TPT1, EIF1, ACTG1, GAPDH, FTH1 |
126 |
CUI_DEVELOPING_HEART_COMPACT_ATRIAL_CARDIOMYOCYTE | 2.61e-05 | 66.24 | 11.62 | 3.89e-04 | 1.75e-02 | 3RPL13, GAPDH, FTH1 |
15 |
Dowload full table
mSigDB Hallmark Gene Sets:
P-value | OR | Lower 95% CI | FDR | FWER | Genes Found | Gene Set Size | |
---|---|---|---|---|---|---|---|
HALLMARK_MYC_TARGETS_V1 | 9.73e-07 | 12.40 | 4.96 | 4.87e-05 | 4.87e-05 | 8RPL18, HNRNPA1, NPM1, EEF1B2, PABPC1, NAP1L1, IMPDH2, RSL1D1 |
200 |
HALLMARK_OXIDATIVE_PHOSPHORYLATION | 1.24e-04 | 8.78 | 3.02 | 3.09e-03 | 6.18e-03 | 6SLC25A5, COX7C, LDHB, COX4I1, TIMM13, COX6B1 |
200 |
HALLMARK_UNFOLDED_PROTEIN_RESPONSE | 1.00e-02 | 7.25 | 1.42 | 1.67e-01 | 5.00e-01 | 3EEF2, NPM1, EIF4A2 |
113 |
HALLMARK_MTORC1_SIGNALING | 4.35e-02 | 4.05 | 0.80 | 4.35e-01 | 1.00e+00 | 3PPA1, GAPDH, MLLT11 |
200 |
HALLMARK_P53_PATHWAY | 4.35e-02 | 4.05 | 0.80 | 4.35e-01 | 1.00e+00 | 3RPL18, LDHB, HINT1 |
200 |
HALLMARK_MYC_TARGETS_V2 | 2.06e-01 | 4.47 | 0.11 | 1.00e+00 | 1.00e+00 | 1NPM1 |
58 |
HALLMARK_CHOLESTEROL_HOMEOSTASIS | 2.55e-01 | 3.49 | 0.09 | 1.00e+00 | 1.00e+00 | 1ACTG1 |
74 |
HALLMARK_PEROXISOME | 3.39e-01 | 2.48 | 0.06 | 1.00e+00 | 1.00e+00 | 1PABPC1 |
104 |
HALLMARK_DNA_REPAIR | 4.49e-01 | 1.71 | 0.04 | 1.00e+00 | 1.00e+00 | 1IMPDH2 |
150 |
HALLMARK_IL2_STAT5_SIGNALING | 5.45e-01 | 1.29 | 0.03 | 1.00e+00 | 1.00e+00 | 1AHCY |
199 |
HALLMARK_TNFA_SIGNALING_VIA_NFKB | 5.47e-01 | 1.28 | 0.03 | 1.00e+00 | 1.00e+00 | 1EIF1 |
200 |
HALLMARK_HYPOXIA | 5.47e-01 | 1.28 | 0.03 | 1.00e+00 | 1.00e+00 | 1GAPDH |
200 |
HALLMARK_ADIPOGENESIS | 5.47e-01 | 1.28 | 0.03 | 1.00e+00 | 1.00e+00 | 1TKT |
200 |
HALLMARK_MYOGENESIS | 5.47e-01 | 1.28 | 0.03 | 1.00e+00 | 1.00e+00 | 1EIF4A2 |
200 |
HALLMARK_APICAL_JUNCTION | 5.47e-01 | 1.28 | 0.03 | 1.00e+00 | 1.00e+00 | 1ACTG1 |
200 |
HALLMARK_E2F_TARGETS | 5.47e-01 | 1.28 | 0.03 | 1.00e+00 | 1.00e+00 | 1NAP1L1 |
200 |
HALLMARK_XENOBIOTIC_METABOLISM | 5.47e-01 | 1.28 | 0.03 | 1.00e+00 | 1.00e+00 | 1AHCY |
200 |
HALLMARK_ALLOGRAFT_REJECTION | 5.47e-01 | 1.28 | 0.03 | 1.00e+00 | 1.00e+00 | 1NPM1 |
200 |
HALLMARK_MITOTIC_SPINDLE | 1.00e+00 | 0.00 | 0.00 | 1.00e+00 | 1.00e+00 | 0 |
199 |
HALLMARK_WNT_BETA_CATENIN_SIGNALING | 1.00e+00 | 0.00 | 0.00 | 1.00e+00 | 1.00e+00 | 0 |
42 |
Dowload full table
KEGG Pathways:
P-value | OR | Lower 95% CI | FDR | FWER | Genes Found | Gene Set Size | |
---|---|---|---|---|---|---|---|
KEGG_RIBOSOME | 2.42e-05 | 16.72 | 5.05 | 4.50e-03 | 4.50e-03 | 5RPL13, RPL18, RPSA, RSL24D1, RPL36AL |
88 |
KEGG_PARKINSONS_DISEASE | 1.69e-03 | 8.62 | 2.22 | 1.11e-01 | 3.14e-01 | 4SLC25A5, COX7C, COX4I1, COX6B1 |
130 |
KEGG_OXIDATIVE_PHOSPHORYLATION | 1.78e-03 | 8.49 | 2.19 | 1.11e-01 | 3.32e-01 | 4PPA1, COX7C, COX4I1, COX6B1 |
132 |
KEGG_CARDIAC_MUSCLE_CONTRACTION | 3.74e-03 | 10.49 | 2.04 | 1.50e-01 | 6.95e-01 | 3COX7C, COX4I1, COX6B1 |
79 |
KEGG_CYSTEINE_AND_METHIONINE_METABOLISM | 8.00e-03 | 16.26 | 1.84 | 2.13e-01 | 1.00e+00 | 2LDHB, AHCY |
34 |
KEGG_ALZHEIMERS_DISEASE | 4.04e-03 | 6.71 | 1.73 | 1.50e-01 | 7.52e-01 | 4COX7C, GAPDH, COX4I1, COX6B1 |
166 |
KEGG_HUNTINGTONS_DISEASE | 5.58e-03 | 6.11 | 1.58 | 1.73e-01 | 1.00e+00 | 4SLC25A5, COX7C, COX4I1, COX6B1 |
182 |
KEGG_GLYCOLYSIS_GLUCONEOGENESIS | 2.50e-02 | 8.68 | 1.00 | 5.82e-01 | 1.00e+00 | 2LDHB, GAPDH |
62 |
KEGG_SPLICEOSOME | 8.94e-02 | 4.17 | 0.49 | 1.00e+00 | 1.00e+00 | 2HNRNPA1, SNRPE |
127 |
KEGG_PURINE_METABOLISM | 1.29e-01 | 3.32 | 0.39 | 1.00e+00 | 1.00e+00 | 2NME2, IMPDH2 |
159 |
KEGG_SELENOAMINO_ACID_METABOLISM | 9.85e-02 | 10.19 | 0.24 | 1.00e+00 | 1.00e+00 | 1AHCY |
26 |
KEGG_PENTOSE_PHOSPHATE_PATHWAY | 1.02e-01 | 9.80 | 0.23 | 1.00e+00 | 1.00e+00 | 1TKT |
27 |
KEGG_PROPANOATE_METABOLISM | 1.23e-01 | 7.97 | 0.19 | 1.00e+00 | 1.00e+00 | 1LDHB |
33 |
KEGG_PYRUVATE_METABOLISM | 1.47e-01 | 6.54 | 0.16 | 1.00e+00 | 1.00e+00 | 1LDHB |
40 |
KEGG_PORPHYRIN_AND_CHLOROPHYLL_METABOLISM | 1.51e-01 | 6.37 | 0.15 | 1.00e+00 | 1.00e+00 | 1FTH1 |
41 |
KEGG_DRUG_METABOLISM_OTHER_ENZYMES | 1.84e-01 | 5.10 | 0.12 | 1.00e+00 | 1.00e+00 | 1IMPDH2 |
51 |
KEGG_VIBRIO_CHOLERAE_INFECTION | 1.94e-01 | 4.81 | 0.12 | 1.00e+00 | 1.00e+00 | 1ACTG1 |
54 |
KEGG_PATHOGENIC_ESCHERICHIA_COLI_INFECTION | 2.00e-01 | 4.64 | 0.11 | 1.00e+00 | 1.00e+00 | 1ACTG1 |
56 |
KEGG_VIRAL_MYOCARDITIS | 2.43e-01 | 3.70 | 0.09 | 1.00e+00 | 1.00e+00 | 1ACTG1 |
70 |
KEGG_ADHERENS_JUNCTION | 2.52e-01 | 3.54 | 0.09 | 1.00e+00 | 1.00e+00 | 1ACTG1 |
73 |
Dowload full table
CHR Positional Gene Sets:
P-value | OR | Lower 95% CI | FDR | FWER | Genes Found | Gene Set Size | |
---|---|---|---|---|---|---|---|
chr16q24 | 9.30e-02 | 4.07 | 0.47 | 1.00e+00 | 1.00e+00 | 2RPL13, COX4I1 |
130 |
chr12q13 | 2.07e-01 | 1.98 | 0.39 | 1.00e+00 | 1.00e+00 | 3NACA, HNRNPA1, PFDN5 |
407 |
chr5q35 | 2.16e-01 | 2.37 | 0.28 | 1.00e+00 | 1.00e+00 | 2NPM1, HIGD2A |
222 |
chr19p13 | 7.66e-01 | 1.04 | 0.21 | 1.00e+00 | 1.00e+00 | 3EEF2, CIRBP, TIMM13 |
773 |
chr3p21 | 3.32e-01 | 1.72 | 0.20 | 1.00e+00 | 1.00e+00 | 2TKT, IMPDH2 |
304 |
chr8q23 | 1.61e-01 | 5.93 | 0.14 | 1.00e+00 | 1.00e+00 | 1EIF3E |
44 |
chr17q21 | 6.95e-01 | 1.14 | 0.13 | 1.00e+00 | 1.00e+00 | 2NME2, EIF1 |
457 |
chr6q13 | 2.00e-01 | 4.64 | 0.11 | 1.00e+00 | 1.00e+00 | 1EEF1A1 |
56 |
chr13q22 | 2.16e-01 | 4.25 | 0.10 | 1.00e+00 | 1.00e+00 | 1COMMD6 |
61 |
chrXq24 | 2.73e-01 | 3.23 | 0.08 | 1.00e+00 | 1.00e+00 | 1SLC25A5 |
80 |
chr14q21 | 3.04e-01 | 2.83 | 0.07 | 1.00e+00 | 1.00e+00 | 1RPL36AL |
91 |
chr7p15 | 3.17e-01 | 2.68 | 0.07 | 1.00e+00 | 1.00e+00 | 1TOMM7 |
96 |
chr12p12 | 3.46e-01 | 2.41 | 0.06 | 1.00e+00 | 1.00e+00 | 1LDHB |
107 |
chr3q27 | 3.67e-01 | 2.24 | 0.06 | 1.00e+00 | 1.00e+00 | 1EIF4A2 |
115 |
chr19q13 | 4.39e-01 | 0.45 | 0.05 | 1.00e+00 | 1.00e+00 | 2RPL18, COX6B1 |
1165 |
chr12q21 | 3.99e-01 | 2.01 | 0.05 | 1.00e+00 | 1.00e+00 | 1NAP1L1 |
128 |
chr5q14 | 4.03e-01 | 1.98 | 0.05 | 1.00e+00 | 1.00e+00 | 1COX7C |
130 |
chr5q13 | 4.31e-01 | 1.81 | 0.04 | 1.00e+00 | 1.00e+00 | 1BTF3 |
142 |
chr8q22 | 4.55e-01 | 1.68 | 0.04 | 1.00e+00 | 1.00e+00 | 1PABPC1 |
153 |
chr3p22 | 4.80e-01 | 1.56 | 0.04 | 1.00e+00 | 1.00e+00 | 1RPSA |
165 |
Dowload full table
Transcription Factor Targets:
P-value | OR | Lower 95% CI | FDR | FWER | Genes Found | Gene Set Size | |
---|---|---|---|---|---|---|---|
PSMB5_TARGET_GENES | 1.50e-09 | 13.38 | 6.30 | 8.48e-07 | 1.70e-06 | 12EEF1A1, EEF2, RPSA, NPM1, PABPC1, CIRBP, EIF1, EIF4A2, ACTG1, GAPDH, IMPDH2, FTH1 |
307 |
GTF2A2_TARGET_GENES | 5.50e-09 | 9.57 | 4.74 | 2.08e-06 | 6.24e-06 | 14RPL13, RPL18, EEF1A1, EEF2, RPSA, HNRNPA1, NPM1, PABPC1, CCNI, CIRBP, EIF1, EEF1D, EIF4A2, ACTG1 |
522 |
ZFHX3_TARGET_GENES | 2.41e-10 | 6.83 | 3.76 | 2.73e-07 | 2.73e-07 | 25RPL18, EEF1A1, BTF3, NACA, HNRNPA1, NPM1, PABPC1, CCNI, EIF3E, TPT1, EIF3F, PFDN5, EIF1, SLC25A5, EEF1D, EIF4A2, COX7C, RSL24D1, LDHB, CCNB1IP1, HIGD2A, COX4I1, TOMM7, COMMD6, HINT1 |
1857 |
SETD7_TARGET_GENES | 4.23e-08 | 6.62 | 3.44 | 1.20e-05 | 4.80e-05 | 17RPL13, EEF1A1, BTF3, HNRNPA1, NPM1, TPT1, CIRBP, EIF1, EEF1D, EIF4A2, RBM3, ACTG1, AHCY, GAPDH, COX4I1, NAP1L1, IMPDH2 |
991 |
KAT5_TARGET_GENES | 3.57e-06 | 5.43 | 2.69 | 8.09e-04 | 4.04e-03 | 14RPL13, EEF1A1, NACA, RPSA, EEF1B2, PABPC1, EIF3E, EIF1, RSL24D1, LDHB, HIGD2A, SNRPE, PPDPF, RSL1D1 |
910 |
MAPK3_TARGET_GENES | 2.15e-03 | 12.86 | 2.49 | 1.40e-01 | 1.00e+00 | 3EEF1A1, TPT1, ACTG1 |
65 |
FOXE1_TARGET_GENES | 6.54e-05 | 4.92 | 2.26 | 9.26e-03 | 7.41e-02 | 11RPL13, RPL18, EEF2, NACA, HNRNPA1, PABPC1, EIF4A2, COX7C, ACTG1, GAPDH, COMMD6 |
728 |
NFE2L1_TARGET_GENES | 7.32e-06 | 4.13 | 2.20 | 1.38e-03 | 8.29e-03 | 19EEF1A1, BTF3, NACA, HNRNPA1, NPM1, CCNI, EIF3L, CIRBP, EIF1, EIF4A2, RBM3, COX7C, ACTG1, AHCY, GAPDH, TKT, CCNB1IP1, COMMD6, SNRPE |
1875 |
SNRNP70_TARGET_GENES | 5.27e-05 | 4.41 | 2.15 | 8.53e-03 | 5.97e-02 | 13RPL13, RPL18, EEF1A1, EEF2, NACA, HNRNPA1, NME2, EIF1, EEF1D, EIF4A2, RBM3, AHCY, NAP1L1 |
1009 |
TBPL1_TARGET_GENES | 2.44e-03 | 7.76 | 2.00 | 1.40e-01 | 1.00e+00 | 4EEF1A1, EEF1B2, PABPC1, NAP1L1 |
144 |
CIC_TARGET_GENES | 9.43e-04 | 5.04 | 1.90 | 9.46e-02 | 1.00e+00 | 7HNRNPA1, NPM1, COX7C, RSL24D1, GAPDH, COMMD6, SNRPE |
411 |
PER1_TARGET_GENES | 7.55e-03 | 16.78 | 1.89 | 2.95e-01 | 1.00e+00 | 2EEF1A1, EIF4A2 |
33 |
FOXR2_TARGET_GENES | 2.13e-03 | 6.06 | 1.86 | 1.40e-01 | 1.00e+00 | 5EEF1A1, EIF3L, RSL24D1, HIGD2A, RSL1D1 |
234 |
GCCATNTTG_YY1_Q6 | 1.33e-03 | 4.73 | 1.79 | 1.08e-01 | 1.00e+00 | 7BTF3, NACA, HNRNPA1, EEF1B2, RBM3, GAPDH, CCNB1IP1 |
437 |
TGCGCANK_UNKNOWN | 1.09e-03 | 4.36 | 1.76 | 9.46e-02 | 1.00e+00 | 8HNRNPA1, PABPC1, CCNI, EIF3E, EIF1, EIF4A2, TOMM7, HINT1 |
554 |
YY1_Q6 | 2.88e-03 | 5.65 | 1.73 | 1.55e-01 | 1.00e+00 | 5EEF1A1, BTF3, NACA, RBM3, CCNB1IP1 |
251 |
NPM1_TARGET_GENES | 2.41e-03 | 4.87 | 1.69 | 1.40e-01 | 1.00e+00 | 6RPL18, EEF2, PFDN5, ACTG1, COX4I1, SNRPE |
356 |
CHAF1B_TARGET_GENES | 7.46e-04 | 3.64 | 1.67 | 8.45e-02 | 8.45e-01 | 11RPL18, EEF1A1, EEF2, NPM1, PABPC1, CIRBP, EIF1, EIF4A2, ACTG1, GAPDH, IMPDH2 |
981 |
MAX_01 | 3.67e-03 | 5.32 | 1.64 | 1.89e-01 | 1.00e+00 | 5HNRNPA1, NPM1, EEF1B2, PABPC1, GAPDH |
266 |
RUVBL1_TARGET_GENES | 5.37e-03 | 6.17 | 1.60 | 2.40e-01 | 1.00e+00 | 4RPL18, EEF1A1, NACA, IMPDH2 |
180 |
Dowload full table
GO Biological Processes:
P-value | OR | Lower 95% CI | FDR | FWER | Genes Found | Gene Set Size | |
---|---|---|---|---|---|---|---|
GOBP_FORMATION_OF_CYTOPLASMIC_TRANSLATION_INITIATION_COMPLEX | 3.20e-05 | 61.17 | 10.83 | 2.40e-02 | 2.40e-01 | 3EIF3L, EIF3E, EIF3F |
16 |
GOBP_CYTOPLASMIC_TRANSLATIONAL_INITIATION | 9.37e-06 | 36.12 | 8.90 | 8.76e-03 | 7.01e-02 | 4EIF3L, EIF3E, EIF3F, EIF4A2 |
34 |
GOBP_MITOCHONDRIAL_ELECTRON_TRANSPORT_CYTOCHROME_C_TO_OXYGEN | 7.49e-05 | 44.24 | 8.07 | 4.67e-02 | 5.60e-01 | 3COX7C, COX4I1, COX6B1 |
21 |
GOBP_CYTOPLASMIC_TRANSLATION | 1.35e-07 | 21.41 | 7.92 | 1.45e-04 | 1.01e-03 | 7RPL18, EEF2, RPSA, EIF3L, EIF3E, EIF3F, EIF4A2 |
102 |
GOBP_TRANSLATIONAL_INITIATION | 3.06e-09 | 17.07 | 7.50 | 4.57e-06 | 2.29e-05 | 10RPL13, RPL18, RPSA, NPM1, PABPC1, EIF3L, EIF3E, EIF3F, EIF1, EIF4A2 |
193 |
GOBP_PEPTIDE_BIOSYNTHETIC_PROCESS | 6.18e-13 | 11.59 | 6.20 | 4.62e-09 | 4.62e-09 | 20RPL13, RPL18, EEF1A1, EEF2, RPSA, NPM1, EEF1B2, PABPC1, EIF3L, EIF3E, EIF3F, CIRBP, EIF1, EEF1D, EIF4A2, RBM3, PPA1, RSL24D1, GAPDH, RPL36AL |
740 |
GOBP_GTP_BIOSYNTHETIC_PROCESS | 8.35e-04 | 57.69 | 5.91 | 3.16e-01 | 1.00e+00 | 2NME2, IMPDH2 |
11 |
GOBP_AMIDE_BIOSYNTHETIC_PROCESS | 1.17e-11 | 9.74 | 5.22 | 4.38e-08 | 8.76e-08 | 20RPL13, RPL18, EEF1A1, EEF2, RPSA, NPM1, EEF1B2, PABPC1, EIF3L, EIF3E, EIF3F, CIRBP, EIF1, EEF1D, EIF4A2, RBM3, PPA1, RSL24D1, GAPDH, RPL36AL |
877 |
GOBP_PEPTIDE_METABOLIC_PROCESS | 1.92e-11 | 9.45 | 5.06 | 4.80e-08 | 1.44e-07 | 20RPL13, RPL18, EEF1A1, EEF2, RPSA, NPM1, EEF1B2, PABPC1, EIF3L, EIF3E, EIF3F, CIRBP, EIF1, EEF1D, EIF4A2, RBM3, PPA1, RSL24D1, GAPDH, RPL36AL |
903 |
GOBP_GUANOSINE_CONTAINING_COMPOUND_BIOSYNTHETIC_PROCESS | 1.18e-03 | 47.19 | 4.96 | 3.83e-01 | 1.00e+00 | 2NME2, IMPDH2 |
13 |
GOBP_POSITIVE_REGULATION_OF_TRANSLATION | 1.29e-05 | 13.41 | 4.59 | 1.07e-02 | 9.67e-02 | 6EEF2, NPM1, PABPC1, EIF3E, CIRBP, RBM3 |
133 |
GOBP_VIRAL_TRANSLATION | 1.80e-03 | 37.11 | 3.99 | 4.98e-01 | 1.00e+00 | 2EIF3L, EIF3F |
16 |
GOBP_CELLULAR_AMIDE_METABOLIC_PROCESS | 1.70e-09 | 7.16 | 3.84 | 3.18e-06 | 1.27e-05 | 20RPL13, RPL18, EEF1A1, EEF2, RPSA, NPM1, EEF1B2, PABPC1, EIF3L, EIF3E, EIF3F, CIRBP, EIF1, EEF1D, EIF4A2, RBM3, PPA1, RSL24D1, GAPDH, RPL36AL |
1185 |
GOBP_POSITIVE_REGULATION_OF_CELLULAR_AMIDE_METABOLIC_PROCESS | 4.04e-05 | 10.85 | 3.73 | 2.75e-02 | 3.02e-01 | 6EEF2, NPM1, PABPC1, EIF3E, CIRBP, RBM3 |
163 |
GOBP_NUCLEAR_TRANSCRIBED_MRNA_CATABOLIC_PROCESS_NONSENSE_MEDIATED_DECAY | 1.06e-04 | 12.07 | 3.67 | 5.65e-02 | 7.91e-01 | 5RPL13, RPL18, RPSA, PABPC1, EIF3E |
120 |
GOBP_REGULATION_OF_TRANSLATIONAL_INITIATION | 2.76e-04 | 14.30 | 3.65 | 1.29e-01 | 1.00e+00 | 4NPM1, EIF3E, EIF1, EIF4A2 |
80 |
GOBP_ORGANONITROGEN_COMPOUND_BIOSYNTHETIC_PROCESS | 3.01e-08 | 5.58 | 3.03 | 3.75e-05 | 2.25e-04 | 22RPL13, RPL18, EEF1A1, EEF2, RPSA, NPM1, EEF1B2, PABPC1, EIF3L, EIF3E, EIF3F, CIRBP, NME2, EIF1, EEF1D, EIF4A2, RBM3, PPA1, RSL24D1, GAPDH, IMPDH2, RPL36AL |
1786 |
GOBP_PURINE_NUCLEOSIDE_BIOSYNTHETIC_PROCESS | 3.40e-03 | 26.01 | 2.87 | 7.96e-01 | 1.00e+00 | 2NME2, IMPDH2 |
22 |
GOBP_POSITIVE_REGULATION_OF_MRNA_SPLICING_VIA_SPLICEOSOME | 3.72e-03 | 24.78 | 2.74 | 8.43e-01 | 1.00e+00 | 2CIRBP, RBM3 |
23 |
GOBP_PURINE_NUCLEOSIDE_METABOLIC_PROCESS | 1.80e-03 | 13.75 | 2.66 | 4.98e-01 | 1.00e+00 | 3NME2, AHCY, IMPDH2 |
61 |
Dowload full table
Immunological Gene Sets:
P-value | OR | Lower 95% CI | FDR | FWER | Genes Found | Gene Set Size | |
---|---|---|---|---|---|---|---|
GSE21927_SPLEEN_C57BL6_VS_4T1_TUMOR_BALBC_MONOCYTES_UP | 2.27e-17 | 31.95 | 16.17 | 1.10e-13 | 1.10e-13 | 16RPL13, RPL18, EEF2, BTF3, NACA, EEF1B2, PABPC1, EIF3L, TPT1, EIF3F, CIRBP, PFDN5, EEF1D, ACTG1, COX4I1, HINT1 |
200 |
GSE6269_FLU_VS_E_COLI_INF_PBMC_DN | 6.39e-10 | 20.28 | 8.88 | 6.22e-07 | 3.11e-06 | 10RPL13, EEF2, BTF3, EEF1B2, CCNI, EIF3L, EIF3F, SLC25A5, COX4I1, NAP1L1 |
164 |
GSE34205_HEALTHY_VS_FLU_INF_INFANT_PBMC_UP | 2.12e-10 | 18.85 | 8.57 | 2.87e-07 | 1.03e-06 | 11RPL13, RPL18, EEF2, NACA, EEF1B2, EIF3L, TPT1, EIF3F, EEF1D, NAP1L1, COMMD6 |
198 |
GSE2405_0H_VS_9H_A_PHAGOCYTOPHILUM_STIM_NEUTROPHIL_DN | 2.35e-10 | 18.65 | 8.48 | 2.87e-07 | 1.15e-06 | 11RPL13, RPL18, RPSA, NPM1, EEF1B2, TPT1, ACTG1, LDHB, TKT, COX6B1, HINT1 |
200 |
GSE2405_0H_VS_24H_A_PHAGOCYTOPHILUM_STIM_NEUTROPHIL_UP | 2.35e-10 | 18.65 | 8.48 | 2.87e-07 | 1.15e-06 | 11RPL13, RPL18, RPSA, NPM1, EEF1B2, EIF3E, TPT1, ACTG1, TKT, COX6B1, HINT1 |
200 |
GSE42088_UNINF_VS_LEISHMANIA_INF_DC_4H_DN | 4.09e-09 | 16.53 | 7.26 | 2.99e-06 | 1.99e-05 | 10RPL13, RPL18, BTF3, NACA, EIF3L, EIF3E, EIF3F, CIRBP, EEF1D, RSL24D1 |
199 |
GSE42088_UNINF_VS_LEISHMANIA_INF_DC_2H_DN | 4.29e-09 | 16.45 | 7.22 | 2.99e-06 | 2.09e-05 | 10RPL13, EEF2, BTF3, NACA, EIF3L, EIF3E, EIF3F, PFDN5, RSL24D1, TKT |
200 |
GSE13485_CTRL_VS_DAY7_YF17D_VACCINE_PBMC_UP | 3.56e-08 | 15.59 | 6.56 | 2.17e-05 | 1.73e-04 | 9EEF2, BTF3, NACA, EEF1B2, EIF3F, SLC25A5, TKT, COX4I1, RSL1D1 |
185 |
GSE17974_IL4_AND_ANTI_IL12_VS_UNTREATED_0.5H_ACT_CD4_TCELL_UP | 6.90e-07 | 13.01 | 5.20 | 3.74e-04 | 3.36e-03 | 8EEF2, EIF3L, EIF3F, PFDN5, EIF1, EEF1D, ACTG1, RPL36AL |
191 |
GSE41978_ID2_KO_VS_ID2_KO_AND_BIM_KO_KLRG1_LOW_EFFECTOR_CD8_TCELL_DN | 9.73e-07 | 12.40 | 4.96 | 4.74e-04 | 4.74e-03 | 8RPL13, RPL18, EEF2, RPSA, PABPC1, EIF3E, TPT1, ACTG1 |
200 |
GSE6269_HEALTHY_VS_FLU_INF_PBMC_UP | 5.20e-06 | 12.04 | 4.50 | 2.30e-03 | 2.53e-02 | 7RPL13, BTF3, EEF1B2, EIF3L, EIF3F, COX4I1, TOMM7 |
176 |
GSE14000_TRANSLATED_RNA_VS_MRNA_DC_DN | 9.76e-06 | 10.88 | 4.08 | 3.39e-03 | 4.76e-02 | 7RPL18, RPSA, EEF1B2, PABPC1, EIF3L, EEF1D, IMPDH2 |
194 |
GSE2770_TGFB_AND_IL4_ACT_VS_ACT_CD4_TCELL_2H_UP | 1.04e-05 | 10.76 | 4.03 | 3.39e-03 | 5.08e-02 | 7RPL13, EEF1B2, PABPC1, EIF3L, EIF3F, PFDN5, COMMD6 |
196 |
GSE10325_CD4_TCELL_VS_LUPUS_CD4_TCELL_UP | 1.08e-05 | 10.71 | 4.01 | 3.39e-03 | 5.25e-02 | 7RPL18, EEF1B2, EIF3L, EIF3E, EIF3F, PFDN5, RSL1D1 |
197 |
GSE22886_NAIVE_TCELL_VS_NKCELL_UP | 1.11e-05 | 10.65 | 3.99 | 3.39e-03 | 5.42e-02 | 7PABPC1, EIF3E, LDHB, CCNB1IP1, HIGD2A, IMPDH2, RSL1D1 |
198 |
GSE3982_EFF_MEMORY_CD4_TCELL_VS_NKCELL_UP | 1.11e-05 | 10.65 | 3.99 | 3.39e-03 | 5.42e-02 | 7EEF1A1, HNRNPA1, EEF1B2, TPT1, CIRBP, COX7C, LDHB |
198 |
GSE25085_FETAL_LIVER_VS_FETAL_BM_SP4_THYMIC_IMPLANT_UP | 1.19e-05 | 10.54 | 3.95 | 3.40e-03 | 5.79e-02 | 7RPL13, BTF3, EIF3L, EIF3E, NME2, ACTG1, IMPDH2 |
200 |
GSE3720_UNSTIM_VS_LPS_STIM_VD2_GAMMADELTA_TCELL_UP | 4.62e-05 | 10.58 | 3.63 | 1.25e-02 | 2.25e-01 | 6RPL18, RPSA, EEF1B2, EIF3F, IMPDH2, SNRPE |
167 |
GSE3720_LPS_VS_PMA_STIM_VD1_GAMMADELTA_TCELL_DN | 5.43e-05 | 10.27 | 3.53 | 1.39e-02 | 2.65e-01 | 6RPL18, EEF1A1, RPSA, EEF1B2, CCNI, PPDPF |
172 |
GSE3720_UNSTIM_VS_PMA_STIM_VD2_GAMMADELTA_TCELL_UP | 5.98e-05 | 10.09 | 3.46 | 1.46e-02 | 2.91e-01 | 6RPL18, EEF1A1, NACA, RPSA, EEF1B2, IMPDH2 |
175 |
Top Ranked Transcription Factors for this Gene Expression Program:
Gene Symbol | TF Rank | DNA Binding Domain | Motif Status | IUPAC PWM | GTEx | DepMap | Decartes |
---|---|---|---|---|---|---|---|
HNRNPA1 | 8 | No | ssDNA/RNA binding | Not a DNA binding protein | No motif | None | Binds single stranded DNA in the structure (PDB: 1PGZ) |
NPM1 | 9 | No | Unlikely to be sequence specific TF | Low specificity DNA-binding protein | No motif | None | No evidence for sequence-specific DNA-binding (PMID: 2223875) |
NME2 | 20 | Yes | Likely to be sequence specific TF | Monomer or homomultimer | No motif | None | Binds to telomeres (PMID: 22135295). Binds specific sequences by gel-shift, and binding is impacted by a SNP (PMID: 23368879) |
MLLT11 | 35 | No | Unlikely to be sequence specific TF | Not a DNA binding protein | No motif | None | None |
COMMD6 | 43 | No | Unlikely to be sequence specific TF | Not a DNA binding protein | No motif | None | None |
APEX1 | 57 | No | Unlikely to be sequence specific TF | Low specificity DNA-binding protein | No motif | None | The structure (PDB:1DEW) is with abasic DNA - the protein is a base excision repair enzyme that cleaves off abasic bases |
PHB2 | 63 | No | Unlikely to be sequence specific TF | Not a DNA binding protein | No motif | None | Protein has been shown to bind to TFs and function as a co-repressor. There appears to be no evidence for direct DNA-binding activity (PMID: 18629613) |
H1F0 | 73 | No | Unlikely to be sequence specific TF | Low specificity DNA-binding protein | No motif | None | Histone. Likely a false-positive Pfam match based on the similarity of Forkhead domains to H1 domains |
EDF1 | 76 | No | Unlikely to be sequence specific TF | Not a DNA binding protein | No motif | None | Known co-factor that binds DNA indirectly through interactions with TFs (PMID:12040021) |
JUNB | 80 | Yes | Known motif | Monomer or homomultimer | High-throughput in vitro | None | Prefers forming heterodimers with FOS; FOSB; FOSL1 and FOSL2 over homodimers (PMID:12805554); but, clearly can bind DNA specifically in vitro. |
HMGA1 | 81 | Yes | Known motif | Monomer or homomultimer | In vivo/Misc source | Only known motifs are from Transfac or HocoMoco - origin is uncertain | None |
PCBP2 | 90 | No | ssDNA/RNA binding | Not a DNA binding protein | No motif | None | Protein is an RBP. Structure (PDB:2PQU) is with single stranded DNA |
EIF3K | 93 | No | Unlikely to be sequence specific TF | Not a DNA binding protein | No motif | None | None |
UBB | 94 | No | Unlikely to be sequence specific TF | Not a DNA binding protein | No motif | None | None |
FOS | 96 | Yes | Known motif | Monomer or homomultimer | High-throughput in vitro | None | None |
TCEAL8 | 102 | No | Unlikely to be sequence specific TF | Not a DNA binding protein | No motif | None | Lacks a canonical DBD |
YBX1 | 105 | Yes | Known motif | Monomer or homomultimer | High-throughput in vitro | None | Might also bind RNA |
CNBP | 119 | No | ssDNA/RNA binding | Not a DNA binding protein | No motif | None | CNBP has a specificity for single-stranded DNA (PMID: 2562787) |
ATF4 | 151 | Yes | Known motif | Monomer or homomultimer | High-throughput in vitro | None | None |
SCAND1 | 166 | No | Unlikely to be sequence specific TF | Not a DNA binding protein | No motif | None | None |
QQ Plot showing correlations with other Gene Expression Programs in this dataset, calculated by Spearman correlation:
Interactive QQ-plot of gene loadings:
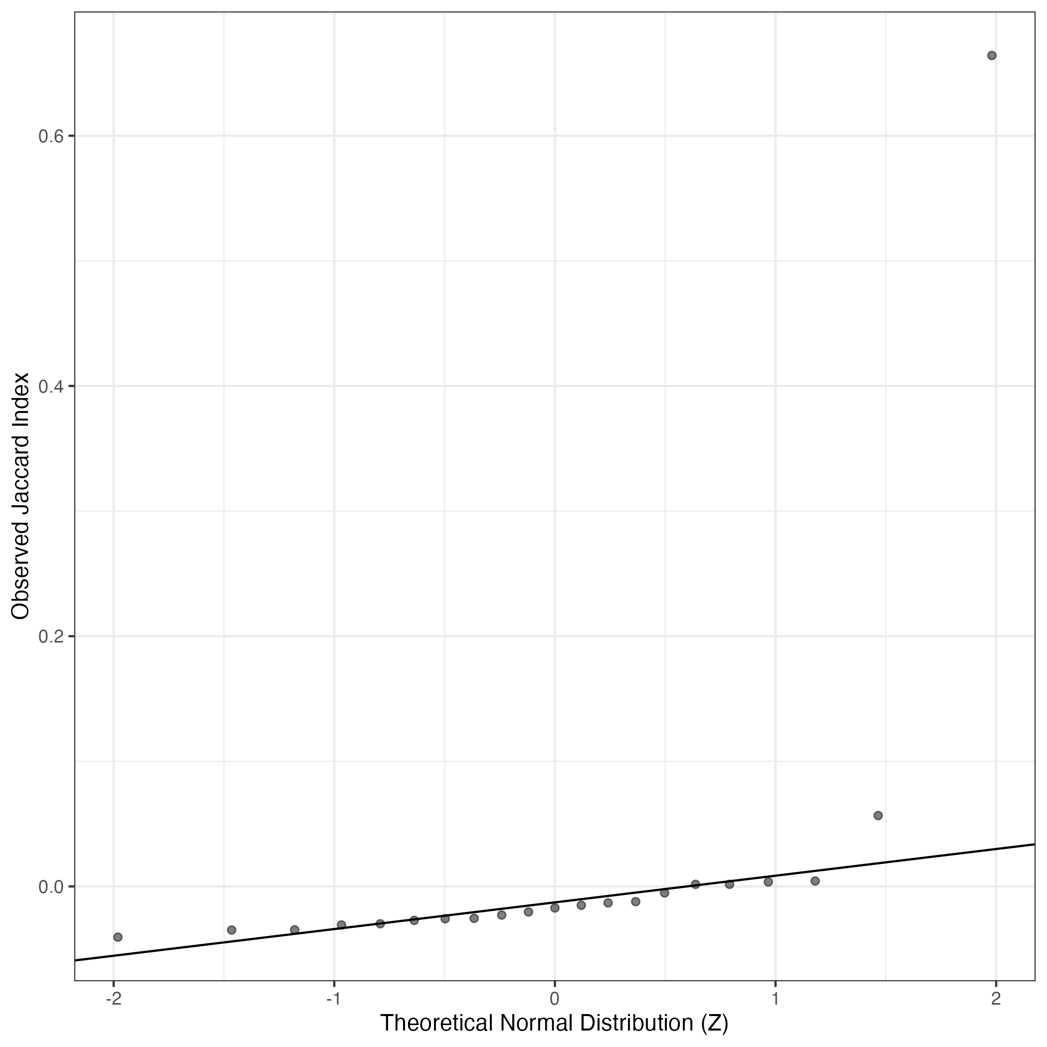
A similar QQ-plot as above, but only for instances where the H value is e.g. > 25, i.e. we are confident that the expression program is active above noise. Agreemenet between these binary vectors is tested using the Jaccard Index, with the P-values calculated by an exact test:
Interactive QQ-plot:
Singler cell type annotations for the top 50 cells on this program.
Cell ID | Singler label | Singler Delta | Activity Score | Top Singler Raw Scores |
---|---|---|---|---|
SJNBL046_sc_CTGCTGTTCACCAGGC-1 | Smooth_muscle_cells | 0.05 | 1089.10 | Raw ScoresSmooth_muscle_cells: -0.03, Tissue_stem_cells: -0.03, Hepatocytes: -0.03, Endothelial_cells: -0.03, Chondrocytes: -0.04, Osteoblasts: -0.04, MSC: -0.05, Fibroblasts: -0.06, Neutrophils: -0.06, Erythroblast: -0.06 |
SJNBL046_sc_GTATTCTTCCGAGCCA-1 | Gametocytes | 0.04 | 1082.25 | Raw ScoresGametocytes: 0.06, Myelocyte: 0.05, Monocyte: 0.05, Pre-B_cell_CD34-: 0.04, Neutrophils: 0.04, Embryonic_stem_cells: 0.04, T_cells: 0.04, Pro-Myelocyte: 0.04, Macrophage: 0.03, NK_cell: 0.03 |
SJNBL046_sc_TGTTCCGCACGAGAGT-1 | Monocyte | 0.02 | 1074.87 | Raw ScoresMonocyte: 0.02, Tissue_stem_cells: 0.02, Platelets: 0.02, Neutrophils: 0.01, Erythroblast: 0.01, Chondrocytes: 0.01, Gametocytes: 0.01, Fibroblasts: 0.01, Epithelial_cells: 0.01, Neurons: 0.01 |
SJNBL046_sc_TCACGAATCCATGCTC-1 | B_cell | 0.06 | 966.06 | Raw ScoresB_cell: 0.05, HSC_CD34+: 0.03, Endothelial_cells: 0.02, Pro-B_cell_CD34+: 0.02, BM: 0.02, Epithelial_cells: 0.02, Pro-Myelocyte: 0.01, CMP: 0.01, Macrophage: 0.01, GMP: 0 |
SJNBL046_sc_CATCAAGCAATGGAGC-1 | Neutrophils | 0.04 | 949.05 | Raw ScoresNeutrophils: -0.06, Endothelial_cells: -0.06, HSC_-G-CSF: -0.07, Keratinocytes: -0.07, Platelets: -0.08, Myelocyte: -0.08, Pro-B_cell_CD34+: -0.08, B_cell: -0.08, Epithelial_cells: -0.09, Erythroblast: -0.09 |
SJNBL046_sc_GGCTCGATCTCTTGAT-1 | Astrocyte | 0.05 | 941.34 | Raw ScoresAstrocyte: -0.02, Smooth_muscle_cells: -0.04, Tissue_stem_cells: -0.04, Osteoblasts: -0.05, Fibroblasts: -0.05, Myelocyte: -0.05, T_cells: -0.05, Chondrocytes: -0.05, MSC: -0.06, NK_cell: -0.06 |
SJNBL031239_sc_CGATCGGCAACTGCTA-1 | Platelets | 0.04 | 929.16 | Raw ScoresPlatelets: 0.15, Erythroblast: 0.15, Epithelial_cells: 0.14, HSC_-G-CSF: 0.13, Keratinocytes: 0.13, BM & Prog.: 0.13, DC: 0.13, Pro-Myelocyte: 0.13, Neutrophils: 0.13, Monocyte: 0.13 |
SJNBL046_sc_GCTCCTAGTCTCCATC-1 | Neutrophils | 0.07 | 884.56 | Raw ScoresNeutrophils: 0.08, HSC_-G-CSF: 0.05, NK_cell: 0.05, Monocyte: 0.04, Myelocyte: 0.04, Macrophage: 0.04, BM: 0.04, DC: 0.03, Pre-B_cell_CD34-: 0.03, B_cell: 0.03 |
SJNBL046_sc_GATCTAGTCGTAGGTT-1 | Neutrophils | 0.06 | 858.03 | Raw ScoresNeutrophils: 0, B_cell: -0.02, Monocyte: -0.03, HSC_-G-CSF: -0.03, Hepatocytes: -0.03, BM: -0.03, T_cells: -0.04, HSC_CD34+: -0.04, Myelocyte: -0.04, NK_cell: -0.04 |
SJNBL031239_sc_CTGCCTAGTCAAGCGA-1 | Gametocytes | 0.10 | 852.33 | Raw ScoresGametocytes: 0.05, Myelocyte: -0.02, Tissue_stem_cells: -0.02, Chondrocytes: -0.03, Smooth_muscle_cells: -0.03, Neurons: -0.03, Neutrophils: -0.03, Monocyte: -0.04, Hepatocytes: -0.04, HSC_-G-CSF: -0.04 |
SJNBL046_sc_CGGACGTGTGCAGGTA-1 | Neutrophils | 0.04 | 851.51 | Raw ScoresNeutrophils: -0.03, Macrophage: -0.04, Monocyte: -0.04, Gametocytes: -0.04, DC: -0.05, Keratinocytes: -0.05, B_cell: -0.05, Erythroblast: -0.05, Myelocyte: -0.06, HSC_-G-CSF: -0.06 |
SJNBL031239_sc_ATCATCTGTCGCGGTT-1 | Myelocyte | 0.05 | 846.70 | Raw ScoresMyelocyte: 0.03, Neutrophils: 0.02, Pre-B_cell_CD34-: 0.01, NK_cell: 0.01, HSC_-G-CSF: 0.01, Monocyte: 0.01, BM: 0.01, Pro-Myelocyte: 0, T_cells: 0, Endothelial_cells: -0.01 |
SJNBL031239_sc_AGGGATGAGAGTCTGG-1 | Epithelial_cells | 0.05 | 818.46 | Raw ScoresEpithelial_cells: 0.08, Erythroblast: 0.07, Chondrocytes: 0.07, Tissue_stem_cells: 0.07, Gametocytes: 0.07, Neutrophils: 0.06, Fibroblasts: 0.05, Embryonic_stem_cells: 0.05, Keratinocytes: 0.05, BM & Prog.: 0.05 |
SJNBL031239_sc_GGCGACTAGTGGTAGC-1 | Myelocyte | 0.03 | 800.46 | Raw ScoresMyelocyte: 0.13, BM: 0.12, MSC: 0.12, iPS_cells: 0.11, Monocyte: 0.11, Pre-B_cell_CD34-: 0.11, Macrophage: 0.11, HSC_-G-CSF: 0.11, Endothelial_cells: 0.11, NK_cell: 0.11 |
SJNBL031239_sc_TGATTTCTCATGTCCC-1 | Endothelial_cells | 0.06 | 799.14 | Raw ScoresEndothelial_cells: 0.11, Platelets: 0.09, Epithelial_cells: 0.09, HSC_CD34+: 0.07, Keratinocytes: 0.06, BM: 0.06, Gametocytes: 0.06, Erythroblast: 0.06, MSC: 0.06, MEP: 0.06 |
SJNBL031239_sc_CGAATGTTCAGGATCT-1 | B_cell | 0.04 | 795.86 | Raw ScoresB_cell: 0.03, Gametocytes: 0.02, T_cells: 0.01, Pro-B_cell_CD34+: 0.01, Platelets: 0.01, Macrophage: 0.01, MEP: 0.01, BM & Prog.: 0, Erythroblast: 0, NK_cell: 0 |
SJNBL046_sc_AGGGATGAGCCAGTAG-1 | MEP | 0.04 | 793.72 | Raw ScoresMEP: 0.11, BM & Prog.: 0.1, Macrophage: 0.1, Erythroblast: 0.1, Pro-B_cell_CD34+: 0.1, Myelocyte: 0.1, CMP: 0.1, Pro-Myelocyte: 0.1, GMP: 0.09, DC: 0.09 |
SJNBL031239_sc_TCATTACGTCCAAGTT-1 | iPS_cells | 0.06 | 778.45 | Raw ScoresiPS_cells: 0.03, Embryonic_stem_cells: 0.03, BM & Prog.: 0.02, Erythroblast: 0.02, Neurons: 0.01, Gametocytes: 0, T_cells: 0, Hepatocytes: -0.01, NK_cell: -0.01, BM: -0.02 |
SJNBL031239_sc_AGCGTATGTTCGGCAC-1 | Chondrocytes | 0.04 | 766.71 | Raw ScoresChondrocytes: 0.02, Osteoblasts: 0.01, Fibroblasts: 0.01, Neutrophils: 0.01, Smooth_muscle_cells: 0.01, Tissue_stem_cells: 0, MSC: 0, iPS_cells: 0, Epithelial_cells: 0, Monocyte: -0.01 |
SJNBL046_sc_GGACAAGAGAGCTATA-1 | Fibroblasts | 0.08 | 765.78 | Raw ScoresFibroblasts: 0.05, Astrocyte: 0.04, Chondrocytes: 0.04, Endothelial_cells: 0.03, Osteoblasts: 0.03, MSC: 0.03, Smooth_muscle_cells: 0.03, Tissue_stem_cells: 0.02, Neurons: 0.01, iPS_cells: 0 |
SJNBL046_sc_GCTTCCATCGGTTAAC-1 | Neutrophils | 0.05 | 748.99 | Raw ScoresNeutrophils: 0.05, NK_cell: 0.04, Monocyte: 0.03, HSC_CD34+: 0.03, Smooth_muscle_cells: 0.02, DC: 0.02, Tissue_stem_cells: 0.02, T_cells: 0.01, CMP: 0.01, Chondrocytes: 0.01 |
SJNBL046_sc_CAAGAAATCTGCAGTA-1 | Neutrophils | 0.08 | 747.57 | Raw ScoresNeutrophils: 0.14, NK_cell: 0.13, HSC_-G-CSF: 0.13, Monocyte: 0.13, Macrophage: 0.12, BM: 0.12, Pre-B_cell_CD34-: 0.12, T_cells: 0.12, Myelocyte: 0.12, DC: 0.11 |
SJNBL046_sc_TCAGGATAGGTGCTTT-1 | Neutrophils | 0.03 | 742.92 | Raw ScoresNeutrophils: -0.05, Tissue_stem_cells: -0.05, Osteoblasts: -0.05, Chondrocytes: -0.05, Gametocytes: -0.05, Monocyte: -0.05, Smooth_muscle_cells: -0.06, B_cell: -0.06, Platelets: -0.06, T_cells: -0.07 |
SJNBL031239_sc_CCTTCGAAGTGAACAT-1 | Neutrophils | 0.08 | 740.83 | Raw ScoresNeutrophils: 0.03, Monocyte: 0.01, B_cell: 0, HSC_-G-CSF: 0, DC: -0.01, Macrophage: -0.01, Erythroblast: -0.01, BM: -0.02, Pre-B_cell_CD34-: -0.02, T_cells: -0.02 |
SJNBL046_sc_CTTCTCTTCAAAGTAG-1 | Gametocytes | 0.03 | 737.85 | Raw ScoresGametocytes: 0.04, Neurons: 0.03, Endothelial_cells: 0.03, Embryonic_stem_cells: 0.03, iPS_cells: 0.03, DC: 0.03, Myelocyte: 0.03, Neuroepithelial_cell: 0.02, BM & Prog.: 0.02, Fibroblasts: 0.02 |
SJNBL031239_sc_TACACGAAGCTAACTC-1 | HSC_-G-CSF | 0.03 | 727.20 | Raw ScoresHSC_-G-CSF: 0, Hepatocytes: 0, Platelets: 0, Pre-B_cell_CD34-: 0, T_cells: 0, B_cell: 0, DC: -0.01, NK_cell: -0.01, Endothelial_cells: -0.01, Pro-B_cell_CD34+: -0.01 |
SJNBL046_sc_TAAGCGTAGCGATGAC-1 | Neutrophils | 0.04 | 711.56 | Raw ScoresNeutrophils: 0.01, HSC_-G-CSF: 0.01, Monocyte: 0, B_cell: 0, CMP: 0, Myelocyte: -0.01, Macrophage: -0.01, Astrocyte: -0.01, Chondrocytes: -0.01, HSC_CD34+: -0.01 |
SJNBL031239_sc_TCAGGTAGTTTGTTTC-1 | Neuroepithelial_cell | 0.11 | 702.04 | Raw ScoresNeuroepithelial_cell: 0.05, Astrocyte: 0.04, Tissue_stem_cells: 0, Embryonic_stem_cells: 0, iPS_cells: 0, Neurons: 0, Chondrocytes: 0, Osteoblasts: -0.01, Fibroblasts: -0.01, MSC: -0.01 |
SJNBL031239_sc_TGCGCAGGTCCCGACA-1 | Neutrophils | 0.03 | 697.00 | Raw ScoresNeutrophils: 0.06, B_cell: 0.05, HSC_-G-CSF: 0.04, Myelocyte: 0.04, Monocyte: 0.04, DC: 0.04, Platelets: 0.03, Gametocytes: 0.03, T_cells: 0.03, Osteoblasts: 0.03 |
SJNBL046_sc_GCCAAATGTGAGGCTA-1 | Endothelial_cells | 0.06 | 688.36 | Raw ScoresEndothelial_cells: 0.01, Osteoblasts: -0.01, Keratinocytes: -0.01, Smooth_muscle_cells: -0.01, Chondrocytes: -0.02, Fibroblasts: -0.02, Tissue_stem_cells: -0.02, Epithelial_cells: -0.03, Gametocytes: -0.03, MSC: -0.03 |
SJNBL046_sc_TTAGTTCTCTGGCGAC-1 | Neutrophils | 0.10 | 686.95 | Raw ScoresNeutrophils: 0.09, Monocyte: 0.04, Gametocytes: 0.04, Macrophage: 0.03, T_cells: 0.02, Epithelial_cells: 0.02, HSC_-G-CSF: 0.02, Myelocyte: 0.02, Pro-Myelocyte: 0.02, DC: 0.02 |
SJNBL031239_sc_TAAGCGTGTAAATGTG-1 | Gametocytes | 0.04 | 685.10 | Raw ScoresB_cell: 0.03, Gametocytes: 0.03, Tissue_stem_cells: 0.02, Epithelial_cells: 0.01, Erythroblast: 0.01, Fibroblasts: 0.01, Osteoblasts: 0, Neutrophils: 0, NK_cell: 0, Smooth_muscle_cells: 0 |
SJNBL046_sc_AGGGTGATCAGAGGTG-1 | Neutrophils | 0.05 | 682.96 | Raw ScoresNeutrophils: 0.14, Myelocyte: 0.13, Gametocytes: 0.13, HSC_-G-CSF: 0.13, DC: 0.12, CMP: 0.12, Pro-Myelocyte: 0.12, Monocyte: 0.12, HSC_CD34+: 0.12, Macrophage: 0.11 |
SJNBL046_sc_TCAACGACAAGCCATT-1 | Neurons | 0.06 | 680.42 | Raw ScoresNeurons: 0, MSC: -0.01, Smooth_muscle_cells: -0.01, Osteoblasts: -0.02, Neuroepithelial_cell: -0.03, Fibroblasts: -0.03, Tissue_stem_cells: -0.03, Gametocytes: -0.03, Chondrocytes: -0.03, Embryonic_stem_cells: -0.03 |
SJNBL046_sc_TGAGGGACAGATAATG-1 | Erythroblast | 0.06 | 678.42 | Raw ScoresErythroblast: 0.23, BM & Prog.: 0.21, Neutrophils: 0.21, MEP: 0.21, CMP: 0.2, Pro-Myelocyte: 0.2, Monocyte: 0.19, GMP: 0.19, B_cell: 0.19, Myelocyte: 0.19 |
SJNBL031239_sc_GTTCATTTCTACCAGA-1 | Erythroblast | 0.05 | 669.09 | Raw ScoresGametocytes: 0.06, Erythroblast: 0.06, HSC_CD34+: 0.05, BM & Prog.: 0.04, CMP: 0.03, Chondrocytes: 0.03, MEP: 0.03, Pro-Myelocyte: 0.03, BM: 0.03, Neutrophils: 0.03 |
SJNBL031239_sc_ACACCCTAGGTGATAT-1 | Erythroblast | 0.04 | 668.86 | Raw ScoresErythroblast: 0.13, Monocyte: 0.12, Neutrophils: 0.12, Myelocyte: 0.12, GMP: 0.12, BM: 0.12, B_cell: 0.11, BM & Prog.: 0.11, MEP: 0.11, HSC_CD34+: 0.11 |
SJNBL031239_sc_GCTTGAACACAACGTT-1 | BM | 0.05 | 667.34 | Raw ScoresB_cell: 0.08, BM: 0.08, Myelocyte: 0.07, NK_cell: 0.07, HSC_-G-CSF: 0.07, Pro-Myelocyte: 0.07, Macrophage: 0.07, T_cells: 0.07, Neutrophils: 0.07, Pre-B_cell_CD34-: 0.07 |
SJNBL031239_sc_ACGTCAAAGTGTACGG-1 | HSC_CD34+ | 0.03 | 662.54 | Raw ScoresHSC_CD34+: 0.05, MEP: 0.04, MSC: 0.03, Embryonic_stem_cells: 0.03, iPS_cells: 0.03, CMP: 0.03, Neurons: 0.03, BM & Prog.: 0.03, Monocyte: 0.02, Pro-B_cell_CD34+: 0.02 |
SJNBL031239_sc_CAAGTTGAGCAATATG-1 | Neutrophils | 0.06 | 660.84 | Raw ScoresNeutrophils: 0.03, Epithelial_cells: 0.02, Keratinocytes: 0, Tissue_stem_cells: 0, Gametocytes: 0, HSC_-G-CSF: 0, DC: 0, Osteoblasts: -0.01, Smooth_muscle_cells: -0.01, Monocyte: -0.01 |
SJNBL031239_sc_TACTTGTAGATGCCAG-1 | Pro-B_cell_CD34+ | 0.05 | 657.05 | Raw ScoresPro-B_cell_CD34+: 0.09, BM: 0.07, MEP: 0.07, Gametocytes: 0.07, Pro-Myelocyte: 0.07, HSC_CD34+: 0.06, Macrophage: 0.06, B_cell: 0.06, GMP: 0.05, T_cells: 0.05 |
SJNBL031239_sc_TGTGTTTAGTTACCCA-1 | Erythroblast | 0.05 | 656.63 | Raw ScoresErythroblast: 0.04, BM & Prog.: 0.04, Epithelial_cells: 0.02, B_cell: 0.02, HSC_CD34+: 0.02, T_cells: 0.01, GMP: 0.01, DC: 0.01, CMP: 0.01, Macrophage: 0.01 |
SJNBL031239_sc_AAGACCTCAGATGGGT-1 | Neutrophils | 0.04 | 652.96 | Raw ScoresNeutrophils: 0.03, Hepatocytes: 0.02, Epithelial_cells: 0.02, DC: 0.02, HSC_CD34+: 0.02, Keratinocytes: 0.02, Macrophage: 0.01, Monocyte: 0.01, Myelocyte: 0.01, T_cells: 0.01 |
SJNBL031239_sc_AAGGAGCAGTTGTCGT-1 | Gametocytes | 0.02 | 649.87 | Raw ScoresPro-Myelocyte: 0.23, Erythroblast: 0.23, BM & Prog.: 0.22, Gametocytes: 0.21, HSC_CD34+: 0.21, Keratinocytes: 0.21, GMP: 0.21, CMP: 0.21, MEP: 0.21, Myelocyte: 0.2 |
SJNBL046_sc_TTAGGACAGTTAGGTA-1 | Fibroblasts | 0.06 | 648.10 | Raw ScoresFibroblasts: 0.13, Smooth_muscle_cells: 0.13, Endothelial_cells: 0.13, Tissue_stem_cells: 0.13, Osteoblasts: 0.12, iPS_cells: 0.12, Chondrocytes: 0.11, MSC: 0.11, Neurons: 0.1, DC: 0.1 |
SJNBL031239_sc_CGAGAAGTCACTCTTA-1 | Neutrophils | 0.08 | 647.10 | Raw ScoresNeutrophils: 0.02, Gametocytes: 0, Macrophage: 0, Hepatocytes: -0.01, Keratinocytes: -0.01, HSC_-G-CSF: -0.02, Monocyte: -0.03, Epithelial_cells: -0.03, DC: -0.03, Chondrocytes: -0.03 |
SJNBL031239_sc_GGGTTGCTCTAAGCCA-1 | Platelets | 0.05 | 646.88 | Raw ScoresPlatelets: -0.05, T_cells: -0.06, Myelocyte: -0.07, Neutrophils: -0.07, Gametocytes: -0.08, DC: -0.08, HSC_-G-CSF: -0.09, Pre-B_cell_CD34-: -0.09, Hepatocytes: -0.09, Erythroblast: -0.09 |
SJNBL046_sc_CGCGGTAGTCCAAGTT-1 | MSC | 0.05 | 646.19 | Raw ScoresMSC: 0.11, Endothelial_cells: 0.09, Fibroblasts: 0.09, Smooth_muscle_cells: 0.08, Astrocyte: 0.08, iPS_cells: 0.08, Chondrocytes: 0.08, Embryonic_stem_cells: 0.08, Monocyte: 0.08, DC: 0.07 |
SJNBL031239_sc_ACGATACGTCGCTTTC-1 | CMP | 0.03 | 643.63 | Raw ScoresCMP: 0.11, HSC_CD34+: 0.1, MSC: 0.1, Erythroblast: 0.1, Fibroblasts: 0.1, MEP: 0.1, BM & Prog.: 0.1, Chondrocytes: 0.1, GMP: 0.09, Tissue_stem_cells: 0.09 |
SJNBL031239_sc_CAAGATCGTAGGCTGA-1 | Neutrophils | 0.04 | 641.06 | Raw ScoresGametocytes: 0.15, Neutrophils: 0.15, Macrophage: 0.14, MEP: 0.14, Erythroblast: 0.14, Pro-Myelocyte: 0.13, DC: 0.13, Epithelial_cells: 0.13, Monocyte: 0.13, Chondrocytes: 0.13 |
Below shows the significant enrichments of this GEP for literature curated gene lists
This data was procured from existing single cell RNA-seq maps of neuroblastoma or related relevant data.
High ranks indicate this gene is a driver of this GEP.
These curated gene list are ranked by the P-value (on this GEP) of their constituent genes.
The Mean Count column shows the mean read count in cells scoring highly (H > 50) on this gene expression program.
Genes | Weight | Rank | GTEx | DepMap | Decartes | Mean.Counts | Mean.TPM |
---|---|---|---|---|---|---|---|
EIF3L | 0.0073132 | 14 | GTEx | DepMap | Descartes | 12.01 | 364.84 |
EIF3E | 0.0069366 | 15 | GTEx | DepMap | Descartes | 12.98 | 629.26 |
EIF3F | 0.0067886 | 17 | GTEx | DepMap | Descartes | 10.06 | 129.56 |
Stress response (Dong)
Markers obtained in computationally inferred meta program (by NMF applied to their neuroblastoma sc-RNA-seq data) from Fig. 5(a) of Dong et al. (PMID 32946775).:
Wilcoxon ranksum test P-value for gene set overrepresentation: 2.58e-03
Mean rank of genes in gene set: 426
Rank on gene expression program of genes in gene set:
Genes | Weight | Rank | GTEx | DepMap | Decartes | Mean.Counts | Mean.TPM |
---|---|---|---|---|---|---|---|
JUNB | 0.0042285 | 80 | GTEx | DepMap | Descartes | 1.64 | 99.39 |
FOS | 0.0039792 | 96 | GTEx | DepMap | Descartes | 2.15 | 115.86 |
JUN | 0.0005611 | 1102 | GTEx | DepMap | Descartes | 2.59 | 76.20 |
Stress response (Kinker)
These marker genes were obtained in a pan cancer cell lines NMF analysis of scRNA-eq data in Kinker et al (PMID 33128048) - 10 metaprograms were recovered that manifest across cancers.:
Wilcoxon ranksum test P-value for gene set overrepresentation: 4.02e-03
Mean rank of genes in gene set: 1982.4
Rank on gene expression program of genes in gene set:
Genes | Weight | Rank | GTEx | DepMap | Decartes | Mean.Counts | Mean.TPM |
---|---|---|---|---|---|---|---|
GADD45A | 0.0007404 | 928 | GTEx | DepMap | Descartes | 0.53 | 35.02 |
DDIT3 | 0.0005040 | 1184 | GTEx | DepMap | Descartes | 0.36 | 35.61 |
ATF3 | 0.0004421 | 1287 | GTEx | DepMap | Descartes | 0.33 | 15.15 |
GADD45B | -0.0000202 | 2923 | GTEx | DepMap | Descartes | 0.00 | 0.37 |
SQSTM1 | -0.0000638 | 3590 | GTEx | DepMap | Descartes | 0.66 | 23.44 |
Below shows ranks on this GEP for literature curated gene lists for large gene sets
These include those reported as mesenchymal/adrenergic by Van Groningen et al.
High ranks indicate this gene is a driver of this GEP (note these results are not ordered).
The Mean Count column shows the mean read count in cells scoring highly (H > 50) on this gene expression program.
VanGroningen Adrenergic Genes
Adrenergic marker genes from Supplementary Table 2 of Van Groningen et al. Nature Genetics 2017. These genes were identified by differential expression analysis of mesenchymal-like and adrenergic-like neuroblastoma cell lines.
Wilcoxon ranksum test P-value for gene set overrepresentation: 1.00e+00
Mean rank of genes in gene set: 7951.27
Median rank of genes in gene set: 9575
Rank on gene expression program of top 30 genes in gene set:
Genes | Weight | Rank | GTEx | DepMap | Descartes | Mean.Counts | Mean.TPM |
---|---|---|---|---|---|---|---|
CCNI | 0.0077227 | 12 | GTEx | DepMap | Descartes | 31.13 | 1157.11 |
TUBB2B | 0.0047157 | 65 | GTEx | DepMap | Descartes | 25.26 | 1228.71 |
RBP1 | 0.0045766 | 69 | GTEx | DepMap | Descartes | 6.89 | 383.00 |
HMGA1 | 0.0042266 | 81 | GTEx | DepMap | Descartes | 9.51 | 403.51 |
GAL | 0.0041302 | 85 | GTEx | DepMap | Descartes | 34.45 | 4638.96 |
HNRNPA0 | 0.0040038 | 92 | GTEx | DepMap | Descartes | 9.75 | 113.48 |
NGRN | 0.0035919 | 128 | GTEx | DepMap | Descartes | 7.07 | 250.95 |
STMN2 | 0.0032491 | 148 | GTEx | DepMap | Descartes | 16.42 | 845.54 |
EIF1B | 0.0029813 | 177 | GTEx | DepMap | Descartes | 3.50 | 345.30 |
HAND1 | 0.0028185 | 199 | GTEx | DepMap | Descartes | 1.22 | 86.77 |
RAB33A | 0.0020555 | 327 | GTEx | DepMap | Descartes | 0.68 | 70.15 |
TMEM97 | 0.0018816 | 367 | GTEx | DepMap | Descartes | 3.92 | 136.13 |
CKB | 0.0018121 | 383 | GTEx | DepMap | Descartes | 10.82 | 715.22 |
CDKN2C | 0.0016969 | 420 | GTEx | DepMap | Descartes | 0.94 | 35.62 |
NSG1 | 0.0016962 | 422 | GTEx | DepMap | Descartes | 2.86 | NA |
PHOX2A | 0.0015741 | 458 | GTEx | DepMap | Descartes | 3.67 | 207.86 |
PHPT1 | 0.0015241 | 474 | GTEx | DepMap | Descartes | 4.81 | 316.35 |
LSM4 | 0.0014663 | 501 | GTEx | DepMap | Descartes | 7.63 | 397.81 |
SHD | 0.0014057 | 531 | GTEx | DepMap | Descartes | 1.40 | 79.07 |
RANBP1 | 0.0013830 | 541 | GTEx | DepMap | Descartes | 11.67 | 475.51 |
TAGLN3 | 0.0011890 | 624 | GTEx | DepMap | Descartes | 2.09 | 134.49 |
LSM3 | 0.0011552 | 644 | GTEx | DepMap | Descartes | 4.22 | 111.97 |
ATP6V0E2 | 0.0010761 | 696 | GTEx | DepMap | Descartes | 1.65 | 40.96 |
REC8 | 0.0010173 | 726 | GTEx | DepMap | Descartes | 1.27 | 47.40 |
RUNDC3A | 0.0010062 | 734 | GTEx | DepMap | Descartes | 1.05 | 27.73 |
FKBP4 | 0.0009933 | 742 | GTEx | DepMap | Descartes | 3.23 | 78.30 |
NAP1L5 | 0.0009782 | 759 | GTEx | DepMap | Descartes | 0.37 | 20.01 |
GGCT | 0.0009223 | 794 | GTEx | DepMap | Descartes | 2.63 | 201.97 |
CENPV | 0.0008921 | 826 | GTEx | DepMap | Descartes | 3.97 | 211.06 |
INA | 0.0008866 | 829 | GTEx | DepMap | Descartes | 1.51 | 47.09 |
VanGroningen Mesenchymal Genes
Mesenchymal marker genes from Supplementary Table 2 of Van Groningen et al. Nature Genetics 2017. These genes were identified by differential expression analysis of mesenchymal-like and adrenergic-like neuroblastoma cell lines.
Wilcoxon ranksum test P-value for gene set overrepresentation: 3.41e-01
Mean rank of genes in gene set: 6205.15
Median rank of genes in gene set: 6408
Rank on gene expression program of top 30 genes in gene set:
Genes | Weight | Rank | GTEx | DepMap | Descartes | Mean.Counts | Mean.TPM |
---|---|---|---|---|---|---|---|
TPM2 | 0.0047183 | 64 | GTEx | DepMap | Descartes | 3.51 | 217.60 |
RGS10 | 0.0037044 | 116 | GTEx | DepMap | Descartes | 1.59 | 159.98 |
PRDX6 | 0.0033290 | 143 | GTEx | DepMap | Descartes | 5.73 | 307.25 |
EGR1 | 0.0026821 | 211 | GTEx | DepMap | Descartes | 1.01 | 35.25 |
OSTC | 0.0021650 | 297 | GTEx | DepMap | Descartes | 3.31 | 293.37 |
TSC22D3 | 0.0021306 | 305 | GTEx | DepMap | Descartes | 0.90 | 39.64 |
LGALS1 | 0.0021159 | 310 | GTEx | DepMap | Descartes | 2.00 | 373.42 |
CRABP2 | 0.0021115 | 311 | GTEx | DepMap | Descartes | 0.72 | 77.34 |
HLX | 0.0019936 | 345 | GTEx | DepMap | Descartes | 0.40 | 8.38 |
ID1 | 0.0019712 | 352 | GTEx | DepMap | Descartes | 0.77 | 65.82 |
VIM | 0.0019278 | 357 | GTEx | DepMap | Descartes | 2.94 | 106.86 |
MYL12B | 0.0018660 | 372 | GTEx | DepMap | Descartes | 3.28 | 237.52 |
POLR2L | 0.0017946 | 387 | GTEx | DepMap | Descartes | 5.13 | 522.78 |
RAB13 | 0.0016045 | 451 | GTEx | DepMap | Descartes | 0.83 | 36.47 |
PPIB | 0.0016019 | 452 | GTEx | DepMap | Descartes | 5.24 | 416.71 |
SSR3 | 0.0015128 | 479 | GTEx | DepMap | Descartes | 2.28 | 57.12 |
TIMP1 | 0.0013510 | 556 | GTEx | DepMap | Descartes | 0.48 | 46.94 |
ID3 | 0.0012041 | 617 | GTEx | DepMap | Descartes | 0.55 | 59.04 |
B2M | 0.0011610 | 640 | GTEx | DepMap | Descartes | 5.43 | 233.77 |
SSBP4 | 0.0010970 | 678 | GTEx | DepMap | Descartes | 1.42 | 83.35 |
TGFB1I1 | 0.0010611 | 703 | GTEx | DepMap | Descartes | 0.15 | 3.32 |
MYL12A | 0.0009749 | 765 | GTEx | DepMap | Descartes | 1.66 | 121.16 |
DLX1 | 0.0009368 | 788 | GTEx | DepMap | Descartes | 0.00 | 0.03 |
CETN2 | 0.0009220 | 795 | GTEx | DepMap | Descartes | 0.72 | 46.19 |
CREG1 | 0.0008119 | 872 | GTEx | DepMap | Descartes | 0.38 | 19.72 |
ALDH1A3 | 0.0007696 | 907 | GTEx | DepMap | Descartes | 0.35 | 11.97 |
DDOST | 0.0007678 | 911 | GTEx | DepMap | Descartes | 1.00 | 46.33 |
FAM43A | 0.0007620 | 912 | GTEx | DepMap | Descartes | 0.14 | 5.19 |
CRTAP | 0.0007247 | 944 | GTEx | DepMap | Descartes | 0.62 | 9.19 |
ABRACL | 0.0006975 | 972 | GTEx | DepMap | Descartes | 0.91 | NA |
Descartes adrenocortical markers
Top 50 marker genes of adrenocortical cells in the Decartes fetal adrenal single cell map (https://atlas.brotmanbaty.org/bbi/human-gene-expression-during-development/cell/adrenocortical/in/adrenal)
Wilcoxon ranksum test P-value for gene set overrepresentation: 9.99e-01
Mean rank of genes in gene set: 8213.64
Median rank of genes in gene set: 9730.5
Rank on gene expression program of top 30 genes in gene set:
Genes | Weight | Rank | GTEx | DepMap | Descartes | Mean.Counts | Mean.TPM |
---|---|---|---|---|---|---|---|
FDX1 | 0.0003883 | 1383 | GTEx | DepMap | Descartes | 0.65 | 19.71 |
APOC1 | 0.0003435 | 1468 | GTEx | DepMap | Descartes | 0.07 | 10.98 |
GSTA4 | 0.0003223 | 1512 | GTEx | DepMap | Descartes | 1.31 | 71.32 |
FDXR | 0.0001827 | 1878 | GTEx | DepMap | Descartes | 0.29 | 10.36 |
TM7SF2 | 0.0000859 | 2239 | GTEx | DepMap | Descartes | 0.34 | 15.77 |
STAR | -0.0001020 | 4344 | GTEx | DepMap | Descartes | 0.03 | 0.80 |
FREM2 | -0.0001407 | 5085 | GTEx | DepMap | Descartes | 0.00 | 0.00 |
INHA | -0.0001599 | 5433 | GTEx | DepMap | Descartes | 0.01 | 0.39 |
ERN1 | -0.0001960 | 6030 | GTEx | DepMap | Descartes | 0.07 | 0.80 |
PAPSS2 | -0.0002217 | 6424 | GTEx | DepMap | Descartes | 0.00 | 0.05 |
BAIAP2L1 | -0.0002527 | 6864 | GTEx | DepMap | Descartes | 0.00 | 0.12 |
DHCR7 | -0.0002669 | 7039 | GTEx | DepMap | Descartes | 0.46 | 15.80 |
SH3BP5 | -0.0002889 | 7298 | GTEx | DepMap | Descartes | 0.30 | 8.74 |
CYB5B | -0.0003589 | 8094 | GTEx | DepMap | Descartes | 1.04 | 22.79 |
PEG3 | -0.0004145 | 8643 | GTEx | DepMap | Descartes | 0.28 | NA |
SLC16A9 | -0.0004147 | 8647 | GTEx | DepMap | Descartes | 0.17 | 4.07 |
SCARB1 | -0.0004485 | 8960 | GTEx | DepMap | Descartes | 0.33 | 5.45 |
SH3PXD2B | -0.0005315 | 9682 | GTEx | DepMap | Descartes | 0.07 | 0.81 |
POR | -0.0005446 | 9779 | GTEx | DepMap | Descartes | 0.37 | 13.49 |
SCAP | -0.0005556 | 9868 | GTEx | DepMap | Descartes | 0.53 | 12.61 |
MSMO1 | -0.0005566 | 9874 | GTEx | DepMap | Descartes | 0.79 | 33.33 |
GRAMD1B | -0.0005960 | 10133 | GTEx | DepMap | Descartes | 0.06 | 0.72 |
LDLR | -0.0006003 | 10162 | GTEx | DepMap | Descartes | 0.16 | 2.63 |
HMGCS1 | -0.0006185 | 10279 | GTEx | DepMap | Descartes | 0.80 | 14.30 |
CLU | -0.0006234 | 10311 | GTEx | DepMap | Descartes | 0.75 | 24.70 |
FDPS | -0.0006272 | 10337 | GTEx | DepMap | Descartes | 3.23 | 140.42 |
HMGCR | -0.0006730 | 10615 | GTEx | DepMap | Descartes | 0.49 | 11.66 |
DHCR24 | -0.0006800 | 10665 | GTEx | DepMap | Descartes | 0.39 | 6.75 |
DNER | -0.0006873 | 10704 | GTEx | DepMap | Descartes | 0.22 | 6.49 |
NPC1 | -0.0007211 | 10901 | GTEx | DepMap | Descartes | 0.05 | 0.92 |
Descartes chromaffin markers
Top 50 marker genes of chromaffin cells in the Decartes fetal adrenal single cell map (https://atlas.brotmanbaty.org/bbi/human-gene-expression-during-development/cell/chromaffin/in/adrenal)
Wilcoxon ranksum test P-value for gene set overrepresentation: 9.99e-01
Mean rank of genes in gene set: 8056.29
Median rank of genes in gene set: 9939
Rank on gene expression program of top 30 genes in gene set:
Genes | Weight | Rank | GTEx | DepMap | Descartes | Mean.Counts | Mean.TPM |
---|---|---|---|---|---|---|---|
MLLT11 | 0.0053899 | 35 | GTEx | DepMap | Descartes | 15.74 | 645.22 |
TUBB2B | 0.0047157 | 65 | GTEx | DepMap | Descartes | 25.26 | 1228.71 |
GAL | 0.0041302 | 85 | GTEx | DepMap | Descartes | 34.45 | 4638.96 |
STMN2 | 0.0032491 | 148 | GTEx | DepMap | Descartes | 16.42 | 845.54 |
MAB21L2 | 0.0016234 | 440 | GTEx | DepMap | Descartes | 2.13 | 85.38 |
MAB21L1 | 0.0012732 | 588 | GTEx | DepMap | Descartes | 3.59 | 128.67 |
ISL1 | 0.0008181 | 868 | GTEx | DepMap | Descartes | 4.04 | 159.00 |
CCND1 | 0.0006999 | 971 | GTEx | DepMap | Descartes | 6.60 | 155.74 |
TUBB2A | 0.0002122 | 1769 | GTEx | DepMap | Descartes | 2.24 | 124.80 |
CNTFR | 0.0002068 | 1794 | GTEx | DepMap | Descartes | 1.17 | 61.16 |
RPH3A | -0.0002529 | 6869 | GTEx | DepMap | Descartes | 0.06 | 1.00 |
BASP1 | -0.0002683 | 7053 | GTEx | DepMap | Descartes | 6.45 | 326.09 |
GAP43 | -0.0003200 | 7673 | GTEx | DepMap | Descartes | 2.68 | 132.30 |
GREM1 | -0.0003786 | 8274 | GTEx | DepMap | Descartes | 0.00 | 0.02 |
PTCHD1 | -0.0004109 | 8606 | GTEx | DepMap | Descartes | 0.06 | 0.48 |
RGMB | -0.0004139 | 8635 | GTEx | DepMap | Descartes | 0.65 | 14.29 |
ANKFN1 | -0.0004220 | 8716 | GTEx | DepMap | Descartes | 0.00 | 0.04 |
TMEFF2 | -0.0004383 | 8862 | GTEx | DepMap | Descartes | 0.09 | 2.42 |
NTRK1 | -0.0004398 | 8881 | GTEx | DepMap | Descartes | 0.00 | 0.15 |
REEP1 | -0.0005515 | 9838 | GTEx | DepMap | Descartes | 0.17 | 4.53 |
NPY | -0.0005664 | 9939 | GTEx | DepMap | Descartes | 7.92 | 989.27 |
HS3ST5 | -0.0006067 | 10205 | GTEx | DepMap | Descartes | 0.08 | 2.21 |
FAT3 | -0.0006576 | 10529 | GTEx | DepMap | Descartes | 0.06 | 0.41 |
EPHA6 | -0.0006647 | 10572 | GTEx | DepMap | Descartes | 0.04 | 1.95 |
ELAVL2 | -0.0006792 | 10658 | GTEx | DepMap | Descartes | 1.32 | 30.92 |
SLC6A2 | -0.0007037 | 10807 | GTEx | DepMap | Descartes | 0.12 | 3.37 |
IL7 | -0.0007705 | 11121 | GTEx | DepMap | Descartes | 0.02 | 2.17 |
KCNB2 | -0.0007920 | 11231 | GTEx | DepMap | Descartes | 0.06 | 1.67 |
PLXNA4 | -0.0007967 | 11261 | GTEx | DepMap | Descartes | 0.11 | 1.02 |
CNKSR2 | -0.0008199 | 11348 | GTEx | DepMap | Descartes | 0.20 | 2.65 |
Descartes Vascular_endothelial markers
Top 50 marker genes of Vascular_endothelial cells in the Decartes fetal adrenal single cell map (https://atlas.brotmanbaty.org/bbi/human-gene-expression-during-development/cell/vascular_endothelial/in/adrenal)
Wilcoxon ranksum test P-value for gene set overrepresentation: 6.71e-02
Mean rank of genes in gene set: 5396.26
Median rank of genes in gene set: 5042
Rank on gene expression program of top 30 genes in gene set:
Genes | Weight | Rank | GTEx | DepMap | Descartes | Mean.Counts | Mean.TPM |
---|---|---|---|---|---|---|---|
RAMP2 | 0.0034902 | 135 | GTEx | DepMap | Descartes | 2.13 | 248.77 |
ID1 | 0.0019712 | 352 | GTEx | DepMap | Descartes | 0.77 | 65.82 |
NOTCH4 | 0.0004049 | 1356 | GTEx | DepMap | Descartes | 0.19 | 2.70 |
HYAL2 | 0.0002723 | 1636 | GTEx | DepMap | Descartes | 0.98 | 22.50 |
TMEM88 | -0.0000333 | 3081 | GTEx | DepMap | Descartes | 0.02 | 3.28 |
CRHBP | -0.0000340 | 3092 | GTEx | DepMap | Descartes | 0.00 | 0.00 |
CDH5 | -0.0000383 | 3156 | GTEx | DepMap | Descartes | 0.00 | 0.01 |
ESM1 | -0.0000643 | 3604 | GTEx | DepMap | Descartes | 0.00 | 0.00 |
BTNL9 | -0.0000648 | 3613 | GTEx | DepMap | Descartes | 0.00 | 0.00 |
FLT4 | -0.0000708 | 3726 | GTEx | DepMap | Descartes | 0.00 | 0.02 |
KDR | -0.0000709 | 3729 | GTEx | DepMap | Descartes | 0.00 | 0.00 |
SLCO2A1 | -0.0000879 | 4061 | GTEx | DepMap | Descartes | 0.00 | 0.06 |
SHE | -0.0000889 | 4083 | GTEx | DepMap | Descartes | 0.00 | 0.00 |
NR5A2 | -0.0000983 | 4270 | GTEx | DepMap | Descartes | 0.00 | 0.04 |
ROBO4 | -0.0000991 | 4284 | GTEx | DepMap | Descartes | 0.00 | 0.03 |
TIE1 | -0.0001070 | 4438 | GTEx | DepMap | Descartes | 0.00 | 0.01 |
MMRN2 | -0.0001159 | 4597 | GTEx | DepMap | Descartes | 0.00 | 0.00 |
IRX3 | -0.0001327 | 4940 | GTEx | DepMap | Descartes | 0.16 | 5.15 |
PLVAP | -0.0001345 | 4983 | GTEx | DepMap | Descartes | 0.00 | 0.00 |
F8 | -0.0001417 | 5101 | GTEx | DepMap | Descartes | 0.01 | 0.11 |
CYP26B1 | -0.0001434 | 5123 | GTEx | DepMap | Descartes | 0.00 | 0.02 |
CLDN5 | -0.0001451 | 5148 | GTEx | DepMap | Descartes | 0.02 | 0.69 |
TEK | -0.0001472 | 5186 | GTEx | DepMap | Descartes | 0.00 | 0.02 |
KANK3 | -0.0001569 | 5387 | GTEx | DepMap | Descartes | 0.00 | 0.08 |
NPR1 | -0.0001652 | 5536 | GTEx | DepMap | Descartes | 0.01 | 0.25 |
GALNT15 | -0.0001821 | 5817 | GTEx | DepMap | Descartes | 0.00 | NA |
RASIP1 | -0.0002008 | 6104 | GTEx | DepMap | Descartes | 0.01 | 0.20 |
SHANK3 | -0.0002380 | 6670 | GTEx | DepMap | Descartes | 0.02 | 0.25 |
EHD3 | -0.0002436 | 6742 | GTEx | DepMap | Descartes | 0.04 | 0.74 |
CALCRL | -0.0002443 | 6750 | GTEx | DepMap | Descartes | 0.00 | 0.02 |
Descartes stromal markers
Top 50 marker genes of stromal cells in the Decartes fetal adrenal single cell map (https://atlas.brotmanbaty.org/bbi/human-gene-expression-during-development/cell/stromal/in/adrenal)
Wilcoxon ranksum test P-value for gene set overrepresentation: 2.48e-01
Mean rank of genes in gene set: 5903.45
Median rank of genes in gene set: 5559.5
Rank on gene expression program of top 30 genes in gene set:
Genes | Weight | Rank | GTEx | DepMap | Descartes | Mean.Counts | Mean.TPM |
---|---|---|---|---|---|---|---|
PCOLCE | 0.0008637 | 845 | GTEx | DepMap | Descartes | 1.80 | 131.08 |
LUM | 0.0003790 | 1398 | GTEx | DepMap | Descartes | 0.02 | 0.96 |
CD248 | 0.0001214 | 2099 | GTEx | DepMap | Descartes | 0.09 | 3.70 |
COL1A2 | -0.0000285 | 3023 | GTEx | DepMap | Descartes | 0.00 | 0.01 |
CLDN11 | -0.0000319 | 3064 | GTEx | DepMap | Descartes | 0.10 | 2.89 |
DCN | -0.0000460 | 3263 | GTEx | DepMap | Descartes | 0.00 | 0.00 |
POSTN | -0.0000526 | 3385 | GTEx | DepMap | Descartes | 0.00 | 0.00 |
SFRP2 | -0.0000557 | 3443 | GTEx | DepMap | Descartes | 0.00 | 0.08 |
PRRX1 | -0.0000573 | 3467 | GTEx | DepMap | Descartes | 0.00 | 0.00 |
RSPO3 | -0.0000695 | 3699 | GTEx | DepMap | Descartes | 0.00 | NA |
MGP | -0.0000849 | 3992 | GTEx | DepMap | Descartes | 0.00 | 0.00 |
ABCA6 | -0.0000879 | 4063 | GTEx | DepMap | Descartes | 0.00 | 0.00 |
CCDC80 | -0.0000911 | 4122 | GTEx | DepMap | Descartes | 0.01 | 0.11 |
IGFBP3 | -0.0001009 | 4315 | GTEx | DepMap | Descartes | 0.00 | 0.27 |
SCARA5 | -0.0001154 | 4587 | GTEx | DepMap | Descartes | 0.00 | 0.00 |
ABCC9 | -0.0001175 | 4630 | GTEx | DepMap | Descartes | 0.00 | 0.00 |
C7 | -0.0001244 | 4774 | GTEx | DepMap | Descartes | 0.00 | 0.03 |
COL3A1 | -0.0001285 | 4865 | GTEx | DepMap | Descartes | 0.01 | 0.14 |
COL27A1 | -0.0001323 | 4935 | GTEx | DepMap | Descartes | 0.00 | 0.04 |
LAMC3 | -0.0001628 | 5497 | GTEx | DepMap | Descartes | 0.00 | 0.01 |
PCDH18 | -0.0001650 | 5534 | GTEx | DepMap | Descartes | 0.02 | 0.26 |
EDNRA | -0.0001662 | 5556 | GTEx | DepMap | Descartes | 0.00 | 0.08 |
COL1A1 | -0.0001667 | 5563 | GTEx | DepMap | Descartes | 0.01 | 0.07 |
PAMR1 | -0.0001841 | 5839 | GTEx | DepMap | Descartes | 0.00 | 0.05 |
LOX | -0.0001967 | 6036 | GTEx | DepMap | Descartes | 0.06 | 1.01 |
ADAMTSL3 | -0.0002075 | 6199 | GTEx | DepMap | Descartes | 0.01 | 0.10 |
ISLR | -0.0002464 | 6778 | GTEx | DepMap | Descartes | 0.01 | 0.45 |
COL12A1 | -0.0002505 | 6837 | GTEx | DepMap | Descartes | 0.01 | 0.11 |
COL6A3 | -0.0002511 | 6843 | GTEx | DepMap | Descartes | 0.01 | 0.08 |
ITGA11 | -0.0002520 | 6855 | GTEx | DepMap | Descartes | 0.00 | 0.03 |
Descartes sympathoblasts markers
Top 50 marker genes of sympathoblasts cells in the Decartes fetal adrenal single cell map (https://atlas.brotmanbaty.org/bbi/human-gene-expression-during-development/cell/sympathoblasts/in/adrenal)
Wilcoxon ranksum test P-value for gene set overrepresentation: 1.00e+00
Mean rank of genes in gene set: 8594.97
Median rank of genes in gene set: 9328
Rank on gene expression program of top 30 genes in gene set:
Genes | Weight | Rank | GTEx | DepMap | Descartes | Mean.Counts | Mean.TPM |
---|---|---|---|---|---|---|---|
ARC | 0.0029365 | 182 | GTEx | DepMap | Descartes | 0.89 | 32.84 |
PCSK1N | 0.0023623 | 260 | GTEx | DepMap | Descartes | 10.81 | 1029.96 |
PENK | 0.0005050 | 1181 | GTEx | DepMap | Descartes | 0.02 | 1.79 |
HTATSF1 | 0.0002865 | 1597 | GTEx | DepMap | Descartes | 1.23 | 38.47 |
CHGB | -0.0000687 | 3674 | GTEx | DepMap | Descartes | 1.28 | 55.81 |
CNTN3 | -0.0002274 | 6507 | GTEx | DepMap | Descartes | 0.00 | 0.05 |
CDH18 | -0.0002423 | 6727 | GTEx | DepMap | Descartes | 0.01 | 0.20 |
ST18 | -0.0002610 | 6964 | GTEx | DepMap | Descartes | 0.02 | 0.27 |
C1QL1 | -0.0002730 | 7110 | GTEx | DepMap | Descartes | 0.51 | 31.97 |
SLC24A2 | -0.0002774 | 7162 | GTEx | DepMap | Descartes | 0.00 | 0.04 |
GALNTL6 | -0.0002968 | 7395 | GTEx | DepMap | Descartes | 0.03 | 0.79 |
PCSK2 | -0.0003585 | 8089 | GTEx | DepMap | Descartes | 0.34 | 7.52 |
DGKK | -0.0003849 | 8331 | GTEx | DepMap | Descartes | 0.01 | 0.10 |
GRID2 | -0.0004304 | 8792 | GTEx | DepMap | Descartes | 0.01 | 0.17 |
SORCS3 | -0.0004361 | 8845 | GTEx | DepMap | Descartes | 0.02 | 0.63 |
GCH1 | -0.0004364 | 8850 | GTEx | DepMap | Descartes | 0.16 | 6.26 |
SLC35F3 | -0.0004369 | 8853 | GTEx | DepMap | Descartes | 0.01 | 0.44 |
CDH12 | -0.0004699 | 9156 | GTEx | DepMap | Descartes | 0.01 | 0.42 |
LAMA3 | -0.0004765 | 9220 | GTEx | DepMap | Descartes | 0.01 | 0.07 |
SLC18A1 | -0.0005023 | 9436 | GTEx | DepMap | Descartes | 0.01 | 0.46 |
GRM7 | -0.0005096 | 9504 | GTEx | DepMap | Descartes | 0.01 | 0.40 |
TBX20 | -0.0005195 | 9579 | GTEx | DepMap | Descartes | 0.00 | 0.14 |
PACRG | -0.0005222 | 9603 | GTEx | DepMap | Descartes | 0.06 | 3.83 |
SPOCK3 | -0.0005229 | 9610 | GTEx | DepMap | Descartes | 0.09 | 2.97 |
TENM1 | -0.0005260 | 9634 | GTEx | DepMap | Descartes | 0.02 | NA |
KSR2 | -0.0007080 | 10826 | GTEx | DepMap | Descartes | 0.08 | 0.51 |
NTNG1 | -0.0007590 | 11080 | GTEx | DepMap | Descartes | 0.09 | 1.77 |
ROBO1 | -0.0007639 | 11093 | GTEx | DepMap | Descartes | 0.32 | 5.64 |
MGAT4C | -0.0007737 | 11143 | GTEx | DepMap | Descartes | 0.08 | 0.36 |
CHGA | -0.0007767 | 11154 | GTEx | DepMap | Descartes | 4.85 | 212.71 |
Descartes erythroblasts markers
Top 50 marker genes of erythroblasts cells in the Decartes fetal adrenal single cell map (https://atlas.brotmanbaty.org/bbi/human-gene-expression-during-development/cell/erythroblasts/in/adrenal)
Wilcoxon ranksum test P-value for gene set overrepresentation: 9.19e-01
Mean rank of genes in gene set: 7215.72
Median rank of genes in gene set: 7527
Rank on gene expression program of top 30 genes in gene set:
Genes | Weight | Rank | GTEx | DepMap | Descartes | Mean.Counts | Mean.TPM |
---|---|---|---|---|---|---|---|
GYPC | 0.0016963 | 421 | GTEx | DepMap | Descartes | 0.64 | 30.46 |
BLVRB | 0.0000969 | 2201 | GTEx | DepMap | Descartes | 0.07 | 4.64 |
SELENBP1 | -0.0000361 | 3128 | GTEx | DepMap | Descartes | 0.00 | 0.12 |
CPOX | -0.0000388 | 3163 | GTEx | DepMap | Descartes | 0.13 | 4.83 |
CAT | -0.0000428 | 3220 | GTEx | DepMap | Descartes | 0.31 | 13.50 |
SLC4A1 | -0.0000639 | 3595 | GTEx | DepMap | Descartes | 0.01 | 0.15 |
FECH | -0.0001069 | 4435 | GTEx | DepMap | Descartes | 0.23 | 2.83 |
ALAS2 | -0.0001143 | 4569 | GTEx | DepMap | Descartes | 0.00 | 0.00 |
SLC25A21 | -0.0001386 | 5045 | GTEx | DepMap | Descartes | 0.00 | 0.06 |
RGS6 | -0.0001491 | 5237 | GTEx | DepMap | Descartes | 0.00 | 0.08 |
TMCC2 | -0.0001962 | 6032 | GTEx | DepMap | Descartes | 0.09 | 2.30 |
TFR2 | -0.0002260 | 6494 | GTEx | DepMap | Descartes | 0.23 | 7.54 |
MICAL2 | -0.0002296 | 6545 | GTEx | DepMap | Descartes | 0.04 | 0.56 |
RHD | -0.0002966 | 7393 | GTEx | DepMap | Descartes | 0.00 | 0.06 |
SPTB | -0.0003071 | 7527 | GTEx | DepMap | Descartes | 0.05 | 0.46 |
SPECC1 | -0.0003319 | 7800 | GTEx | DepMap | Descartes | 0.01 | 0.09 |
GCLC | -0.0003394 | 7879 | GTEx | DepMap | Descartes | 0.19 | 4.79 |
SNCA | -0.0003505 | 8004 | GTEx | DepMap | Descartes | 0.26 | 6.86 |
SLC25A37 | -0.0003734 | 8228 | GTEx | DepMap | Descartes | 0.75 | 15.93 |
SOX6 | -0.0004275 | 8770 | GTEx | DepMap | Descartes | 0.08 | 1.16 |
ABCB10 | -0.0004923 | 9360 | GTEx | DepMap | Descartes | 0.05 | 1.30 |
TRAK2 | -0.0005850 | 10064 | GTEx | DepMap | Descartes | 0.09 | 1.34 |
XPO7 | -0.0006893 | 10721 | GTEx | DepMap | Descartes | 0.28 | 5.99 |
MARCH3 | -0.0006994 | 10790 | GTEx | DepMap | Descartes | 0.05 | NA |
ANK1 | -0.0007263 | 10928 | GTEx | DepMap | Descartes | 0.06 | 0.73 |
EPB41 | -0.0008753 | 11560 | GTEx | DepMap | Descartes | 0.64 | 9.77 |
TSPAN5 | -0.0010004 | 11938 | GTEx | DepMap | Descartes | 0.79 | 17.97 |
DENND4A | -0.0010665 | 12079 | GTEx | DepMap | Descartes | 0.22 | 3.00 |
RAPGEF2 | -0.0010962 | 12130 | GTEx | DepMap | Descartes | 0.23 | 2.99 |
NA | NA | NA | NA | NA | NA | NA | NA |
Descartes myeloid markers
Top 50 marker genes of myeloid cells in the Decartes fetal adrenal single cell map (https://atlas.brotmanbaty.org/bbi/human-gene-expression-during-development/cell/myeloid/in/adrenal)
Wilcoxon ranksum test P-value for gene set overrepresentation: 5.99e-01
Mean rank of genes in gene set: 6422.61
Median rank of genes in gene set: 5811
Rank on gene expression program of top 30 genes in gene set:
Genes | Weight | Rank | GTEx | DepMap | Descartes | Mean.Counts | Mean.TPM |
---|---|---|---|---|---|---|---|
CST3 | 0.0012218 | 608 | GTEx | DepMap | Descartes | 2.24 | 63.23 |
TGFBI | 0.0004295 | 1305 | GTEx | DepMap | Descartes | 1.09 | 20.78 |
CTSD | 0.0001858 | 1867 | GTEx | DepMap | Descartes | 0.61 | 27.96 |
CD163L1 | 0.0001627 | 1938 | GTEx | DepMap | Descartes | 0.27 | 6.32 |
FGD2 | -0.0000630 | 3570 | GTEx | DepMap | Descartes | 0.00 | 0.00 |
FGL2 | -0.0000742 | 3806 | GTEx | DepMap | Descartes | 0.00 | 0.00 |
CD14 | -0.0000816 | 3934 | GTEx | DepMap | Descartes | 0.01 | 0.39 |
SLCO2B1 | -0.0000859 | 4019 | GTEx | DepMap | Descartes | 0.00 | 0.00 |
CTSC | -0.0001012 | 4323 | GTEx | DepMap | Descartes | 0.83 | 12.53 |
AXL | -0.0001072 | 4443 | GTEx | DepMap | Descartes | 0.00 | 0.00 |
CYBB | -0.0001079 | 4456 | GTEx | DepMap | Descartes | 0.01 | 0.31 |
CD163 | -0.0001343 | 4977 | GTEx | DepMap | Descartes | 0.00 | 0.00 |
CSF1R | -0.0001383 | 5034 | GTEx | DepMap | Descartes | 0.00 | 0.00 |
MS4A4A | -0.0001441 | 5131 | GTEx | DepMap | Descartes | 0.00 | 0.00 |
SLC9A9 | -0.0001482 | 5211 | GTEx | DepMap | Descartes | 0.01 | 0.23 |
MERTK | -0.0001518 | 5292 | GTEx | DepMap | Descartes | 0.01 | 0.09 |
SLC1A3 | -0.0001671 | 5572 | GTEx | DepMap | Descartes | 0.00 | 0.09 |
CTSS | -0.0001695 | 5610 | GTEx | DepMap | Descartes | 0.00 | 0.11 |
HCK | -0.0001719 | 5653 | GTEx | DepMap | Descartes | 0.00 | 0.00 |
ADAP2 | -0.0001919 | 5969 | GTEx | DepMap | Descartes | 0.00 | 0.03 |
ATP8B4 | -0.0002081 | 6212 | GTEx | DepMap | Descartes | 0.00 | 0.00 |
CD74 | -0.0002186 | 6383 | GTEx | DepMap | Descartes | 0.01 | 0.44 |
ABCA1 | -0.0002208 | 6409 | GTEx | DepMap | Descartes | 0.03 | 0.41 |
HRH1 | -0.0002309 | 6575 | GTEx | DepMap | Descartes | 0.00 | 0.04 |
CTSB | -0.0002525 | 6861 | GTEx | DepMap | Descartes | 0.68 | 18.34 |
LGMN | -0.0002835 | 7221 | GTEx | DepMap | Descartes | 0.20 | 8.74 |
CPVL | -0.0003771 | 8257 | GTEx | DepMap | Descartes | 0.06 | 2.37 |
PTPRE | -0.0004081 | 8582 | GTEx | DepMap | Descartes | 0.03 | 0.61 |
IFNGR1 | -0.0004085 | 8586 | GTEx | DepMap | Descartes | 0.19 | 7.69 |
MSR1 | -0.0005194 | 9576 | GTEx | DepMap | Descartes | 0.01 | 0.35 |
Descartes Schwann markers
Top 50 marker genes of Schwann cells in the Decartes fetal adrenal single cell map (https://atlas.brotmanbaty.org/bbi/human-gene-expression-during-development/cell/schwann/in/adrenal)
Wilcoxon ranksum test P-value for gene set overrepresentation: 9.97e-01
Mean rank of genes in gene set: 7756.64
Median rank of genes in gene set: 8435.5
Rank on gene expression program of top 30 genes in gene set:
Genes | Weight | Rank | GTEx | DepMap | Descartes | Mean.Counts | Mean.TPM |
---|---|---|---|---|---|---|---|
VIM | 0.0019278 | 357 | GTEx | DepMap | Descartes | 2.94 | 106.86 |
SFRP1 | 0.0008664 | 844 | GTEx | DepMap | Descartes | 1.18 | 27.94 |
PLP1 | 0.0000693 | 2324 | GTEx | DepMap | Descartes | 0.01 | 0.25 |
MPZ | 0.0000274 | 2562 | GTEx | DepMap | Descartes | 0.06 | 3.51 |
KCTD12 | 0.0000235 | 2578 | GTEx | DepMap | Descartes | 0.13 | 1.91 |
HMGA2 | -0.0000832 | 3958 | GTEx | DepMap | Descartes | 0.00 | 0.00 |
PTPRZ1 | -0.0000857 | 4014 | GTEx | DepMap | Descartes | 0.00 | 0.00 |
PMP22 | -0.0001005 | 4308 | GTEx | DepMap | Descartes | 0.27 | 15.10 |
OLFML2A | -0.0001165 | 4608 | GTEx | DepMap | Descartes | 0.00 | 0.00 |
ERBB3 | -0.0001424 | 5110 | GTEx | DepMap | Descartes | 0.01 | 0.09 |
MDGA2 | -0.0001851 | 5863 | GTEx | DepMap | Descartes | 0.00 | 0.00 |
COL5A2 | -0.0001881 | 5905 | GTEx | DepMap | Descartes | 0.01 | 0.12 |
LRRTM4 | -0.0001955 | 6019 | GTEx | DepMap | Descartes | 0.01 | 0.82 |
EDNRB | -0.0002023 | 6129 | GTEx | DepMap | Descartes | 0.00 | 0.03 |
GAS7 | -0.0002145 | 6303 | GTEx | DepMap | Descartes | 0.01 | 0.14 |
COL18A1 | -0.0002532 | 6873 | GTEx | DepMap | Descartes | 0.01 | 0.13 |
ADAMTS5 | -0.0003095 | 7557 | GTEx | DepMap | Descartes | 0.05 | 0.40 |
IL1RAPL1 | -0.0003233 | 7697 | GTEx | DepMap | Descartes | 0.01 | 0.47 |
GFRA3 | -0.0003357 | 7839 | GTEx | DepMap | Descartes | 0.17 | 6.96 |
TRPM3 | -0.0003416 | 7906 | GTEx | DepMap | Descartes | 0.03 | 0.36 |
COL25A1 | -0.0003784 | 8270 | GTEx | DepMap | Descartes | 0.00 | 0.00 |
MARCKS | -0.0003939 | 8422 | GTEx | DepMap | Descartes | 4.37 | 88.68 |
SLC35F1 | -0.0003963 | 8449 | GTEx | DepMap | Descartes | 0.12 | 2.18 |
PAG1 | -0.0004266 | 8761 | GTEx | DepMap | Descartes | 0.07 | 0.63 |
LAMA4 | -0.0004448 | 8928 | GTEx | DepMap | Descartes | 0.00 | 0.05 |
NRXN3 | -0.0004497 | 8971 | GTEx | DepMap | Descartes | 0.02 | 0.22 |
XKR4 | -0.0004554 | 9031 | GTEx | DepMap | Descartes | 0.00 | 0.02 |
STARD13 | -0.0004574 | 9050 | GTEx | DepMap | Descartes | 0.02 | 0.48 |
GRIK3 | -0.0004760 | 9212 | GTEx | DepMap | Descartes | 0.04 | 0.44 |
SCN7A | -0.0004764 | 9218 | GTEx | DepMap | Descartes | 0.01 | 0.14 |
Descartes Megakaryocytes markers
Top 50 marker genes of Megakaryocytes cells in the Decartes fetal adrenal single cell map (https://atlas.brotmanbaty.org/bbi/human-gene-expression-during-development/cell/megakaryocytes/in/adrenal)
Wilcoxon ranksum test P-value for gene set overrepresentation: 8.57e-01
Mean rank of genes in gene set: 6850.22
Median rank of genes in gene set: 6422
Rank on gene expression program of top 30 genes in gene set:
Genes | Weight | Rank | GTEx | DepMap | Descartes | Mean.Counts | Mean.TPM |
---|---|---|---|---|---|---|---|
ZYX | 0.0013512 | 555 | GTEx | DepMap | Descartes | 0.68 | 28.89 |
ACTB | 0.0009193 | 798 | GTEx | DepMap | Descartes | 30.40 | 1198.56 |
TMSB4X | 0.0006319 | 1038 | GTEx | DepMap | Descartes | 29.88 | 1550.33 |
TPM4 | 0.0003649 | 1430 | GTEx | DepMap | Descartes | 1.95 | 39.70 |
THBS1 | 0.0001026 | 2175 | GTEx | DepMap | Descartes | 0.04 | 0.61 |
MMRN1 | -0.0000510 | 3354 | GTEx | DepMap | Descartes | 0.00 | 0.00 |
P2RX1 | -0.0000611 | 3532 | GTEx | DepMap | Descartes | 0.00 | 0.00 |
PLEK | -0.0000694 | 3698 | GTEx | DepMap | Descartes | 0.00 | 0.00 |
CD84 | -0.0000901 | 4103 | GTEx | DepMap | Descartes | 0.00 | 0.04 |
TRPC6 | -0.0000999 | 4293 | GTEx | DepMap | Descartes | 0.00 | 0.06 |
GP1BA | -0.0001172 | 4627 | GTEx | DepMap | Descartes | 0.00 | 0.00 |
FLI1 | -0.0001391 | 5058 | GTEx | DepMap | Descartes | 0.00 | 0.00 |
ANGPT1 | -0.0001440 | 5129 | GTEx | DepMap | Descartes | 0.01 | 0.35 |
ITGB3 | -0.0001531 | 5319 | GTEx | DepMap | Descartes | 0.00 | 0.06 |
SPN | -0.0001578 | 5402 | GTEx | DepMap | Descartes | 0.01 | 0.17 |
TLN1 | -0.0001675 | 5580 | GTEx | DepMap | Descartes | 0.36 | 4.07 |
ARHGAP6 | -0.0001951 | 6013 | GTEx | DepMap | Descartes | 0.00 | 0.00 |
PSTPIP2 | -0.0002050 | 6163 | GTEx | DepMap | Descartes | 0.05 | 1.40 |
SLC2A3 | -0.0002104 | 6249 | GTEx | DepMap | Descartes | 0.03 | 0.93 |
UBASH3B | -0.0002108 | 6255 | GTEx | DepMap | Descartes | 0.00 | 0.06 |
ITGA2B | -0.0002124 | 6280 | GTEx | DepMap | Descartes | 0.03 | 0.81 |
GSN | -0.0002164 | 6328 | GTEx | DepMap | Descartes | 0.04 | 0.57 |
TUBB1 | -0.0002215 | 6422 | GTEx | DepMap | Descartes | 0.00 | 0.00 |
SLC24A3 | -0.0002274 | 6509 | GTEx | DepMap | Descartes | 0.00 | 0.00 |
FERMT3 | -0.0002520 | 6856 | GTEx | DepMap | Descartes | 0.01 | 0.40 |
FLNA | -0.0002897 | 7307 | GTEx | DepMap | Descartes | 0.28 | 3.44 |
STOM | -0.0003307 | 7790 | GTEx | DepMap | Descartes | 0.31 | 9.86 |
INPP4B | -0.0003508 | 8005 | GTEx | DepMap | Descartes | 0.01 | 0.10 |
LTBP1 | -0.0003819 | 8305 | GTEx | DepMap | Descartes | 0.03 | 0.48 |
MYLK | -0.0004188 | 8684 | GTEx | DepMap | Descartes | 0.02 | 0.20 |
Descartes Lyphoid markers
Top 50 marker genes of Lyphoid cells in the Decartes fetal adrenal single cell map (https://atlas.brotmanbaty.org/bbi/human-gene-expression-during-development/cell/lymphoid/in/adrenal)
Wilcoxon ranksum test P-value for gene set overrepresentation: 1.00e+00
Mean rank of genes in gene set: 8321.17
Median rank of genes in gene set: 8650.5
Rank on gene expression program of top 30 genes in gene set:
Genes | Weight | Rank | GTEx | DepMap | Descartes | Mean.Counts | Mean.TPM |
---|---|---|---|---|---|---|---|
TMSB10 | 0.0035518 | 131 | GTEx | DepMap | Descartes | 67.93 | 13257.26 |
B2M | 0.0011610 | 640 | GTEx | DepMap | Descartes | 5.43 | 233.77 |
ARHGDIB | -0.0000993 | 4288 | GTEx | DepMap | Descartes | 0.00 | 0.23 |
RCSD1 | -0.0001014 | 4327 | GTEx | DepMap | Descartes | 0.00 | 0.00 |
PTPRC | -0.0001067 | 4427 | GTEx | DepMap | Descartes | 0.00 | 0.00 |
IKZF1 | -0.0001178 | 4638 | GTEx | DepMap | Descartes | 0.01 | 0.13 |
CCL5 | -0.0001180 | 4646 | GTEx | DepMap | Descartes | 0.00 | 0.32 |
SP100 | -0.0001245 | 4780 | GTEx | DepMap | Descartes | 0.01 | 0.08 |
SAMD3 | -0.0001256 | 4802 | GTEx | DepMap | Descartes | 0.00 | 0.02 |
MSN | -0.0001485 | 5220 | GTEx | DepMap | Descartes | 0.42 | 8.90 |
LEF1 | -0.0001497 | 5248 | GTEx | DepMap | Descartes | 0.00 | 0.00 |
ETS1 | -0.0001606 | 5454 | GTEx | DepMap | Descartes | 0.00 | 0.08 |
ARHGAP15 | -0.0001840 | 5836 | GTEx | DepMap | Descartes | 0.00 | 0.07 |
PRKCH | -0.0002453 | 6763 | GTEx | DepMap | Descartes | 0.01 | 0.29 |
SKAP1 | -0.0002789 | 7179 | GTEx | DepMap | Descartes | 0.00 | 0.05 |
ITPKB | -0.0002919 | 7332 | GTEx | DepMap | Descartes | 0.00 | 0.02 |
PLEKHA2 | -0.0002990 | 7425 | GTEx | DepMap | Descartes | 0.02 | 0.40 |
LCP1 | -0.0003147 | 7612 | GTEx | DepMap | Descartes | 0.00 | 0.06 |
MCTP2 | -0.0003352 | 7832 | GTEx | DepMap | Descartes | 0.03 | 0.74 |
ARID5B | -0.0003574 | 8075 | GTEx | DepMap | Descartes | 0.07 | 1.19 |
CCND3 | -0.0003579 | 8082 | GTEx | DepMap | Descartes | 0.19 | 7.35 |
SORL1 | -0.0004764 | 9219 | GTEx | DepMap | Descartes | 0.24 | 2.29 |
GNG2 | -0.0005079 | 9491 | GTEx | DepMap | Descartes | 0.55 | 15.91 |
CD44 | -0.0005312 | 9679 | GTEx | DepMap | Descartes | 0.11 | 1.74 |
SCML4 | -0.0005439 | 9774 | GTEx | DepMap | Descartes | 0.11 | 2.80 |
WIPF1 | -0.0005617 | 9908 | GTEx | DepMap | Descartes | 0.18 | 4.24 |
NCALD | -0.0005631 | 9921 | GTEx | DepMap | Descartes | 0.13 | 3.54 |
ABLIM1 | -0.0005961 | 10134 | GTEx | DepMap | Descartes | 0.34 | 4.56 |
CELF2 | -0.0006043 | 10186 | GTEx | DepMap | Descartes | 0.18 | 2.80 |
ANKRD44 | -0.0007894 | 11218 | GTEx | DepMap | Descartes | 0.11 | 1.70 |
Below shows the ranks on this GEP for immune marker gene lists curated by CellTypist (https://www.celltypist.org/encyclopedia).
High ranks indicate this gene is a driver of this GEP.
These curated gene list are ranked by P-value (on this GEP) of their constituent genes.
The Mean Count column shows the mean read count in cells scoring highly (H > 50) on this gene expression program.
Genes | Weight | Rank | GTEx | DepMap | Decartes | Mean.Counts | Mean.TPM |
---|---|---|---|---|---|---|---|
MFAP4 | 0.0014332 | 517 | GTEx | DepMap | Descartes | 0.78 | 40.51 |
PDLIM1 | 0.0001020 | 2179 | GTEx | DepMap | Descartes | 0.30 | 17.72 |
FXYD2 | 0.0000238 | 2573 | GTEx | DepMap | Descartes | 0.01 | 0.22 |
SELL | -0.0000098 | 2827 | GTEx | DepMap | Descartes | 0.00 | 0.00 |
CD7 | -0.0000101 | 2829 | GTEx | DepMap | Descartes | 0.00 | 0.00 |
MZB1 | -0.0000501 | 3340 | GTEx | DepMap | Descartes | 0.00 | NA |
Myelocytes: Myelocytes (model markers)
early granulocyte precursors that are derive from promyelocytes and later mature into metamyelocytes:
Wilcoxon ranksum test P-value for gene set overrepresentation: 5.17e-03
Mean rank of genes in gene set: 2120.8
Rank on gene expression program of genes in gene set:
Genes | Weight | Rank | GTEx | DepMap | Decartes | Mean.Counts | Mean.TPM |
---|---|---|---|---|---|---|---|
FTH1 | 0.0052213 | 41 | GTEx | DepMap | Descartes | 44.82 | 3599.72 |
S100A6 | 0.0009851 | 751 | GTEx | DepMap | Descartes | 1.39 | 203.96 |
ACTB | 0.0009193 | 798 | GTEx | DepMap | Descartes | 30.40 | 1198.56 |
SRGN | -0.0000287 | 3029 | GTEx | DepMap | Descartes | 0.01 | 0.43 |
TYROBP | -0.0001928 | 5985 | GTEx | DepMap | Descartes | 0.00 | 0.00 |
Macrophages: Macrophages (model markers)
specialised mononuclear phagocytic cells which recognise:
Wilcoxon ranksum test P-value for gene set overrepresentation: 9.48e-03
Mean rank of genes in gene set: 2025.75
Rank on gene expression program of genes in gene set:
Genes | Weight | Rank | GTEx | DepMap | Decartes | Mean.Counts | Mean.TPM |
---|---|---|---|---|---|---|---|
FTH1 | 0.0052213 | 41 | GTEx | DepMap | Descartes | 44.82 | 3599.72 |
APOC1 | 0.0003435 | 1468 | GTEx | DepMap | Descartes | 0.07 | 10.98 |
APOE | 0.0000370 | 2500 | GTEx | DepMap | Descartes | 0.02 | 1.74 |
CD5L | -0.0000895 | 4094 | GTEx | DepMap | Descartes | 0.00 | 0.00 |
No detectable expression in this dataset: RNASE1