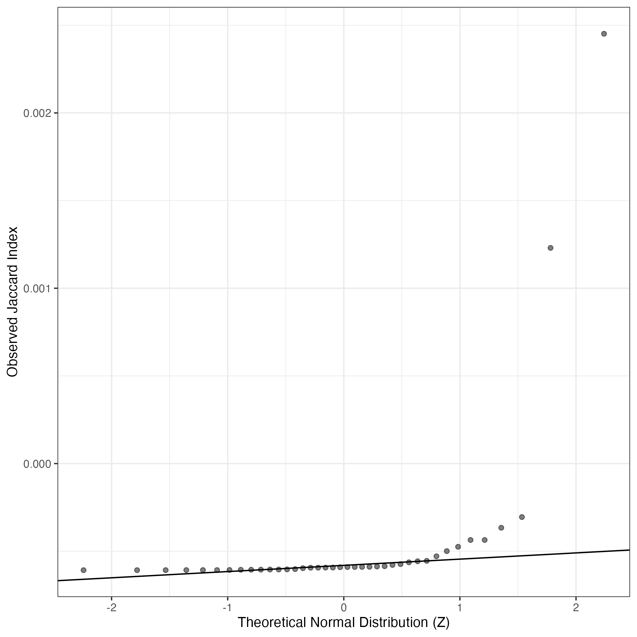
QQ-plot of gene loadings, averaged over both independent splits of the data
This plot highlights the relative contribution of each gene to the GEP
## Error in apply(allData[cellsHGreaterThan50, ], 2, mean): dim(X) must have a positive length
## Error in apply(allDataTpm[cellsHGreaterThan50, ], 2, mean): dim(X) must have a positive length
## Error in eval(expr, envir, enclos): object 'meanCountsHOver50' not found
## Error in eval(expr, envir, enclos): object 'meanTpmHOver50' not found
## Error in data.frame(Gene = geneCardsLink, Loading = dftoDisplay[, 2], : object 'countHighScoringCells' not found
## Error in rownames(dftForKable) <- rn: object 'dftForKable' not found
Top genes driving this program.
Note: Decartes website is buggy, try refreshing. Also, Decartes fetal adrenal data have been collected at specific time points (89-122 days), all possible cell types of interest may not be represented, do not overinterpret.
The Mean Count column shows the mean read count in cells scoring highly (H > 50) on this gene expression program.
## Error in kable(dftForKable[1:50, ], row.names = TRUE): object 'dftForKable' not found
## Error in eval(quote(list(...)), env): object 'countHighScoringCells' not found
UMAP plots showing activity of gene expression program identified in GEP 31. Myelocyte:
CNV Data procured from inferCNV.
Outer tracks are putative CNV regions (gains = red, losses = blue) for each patient
Inner track is expression data representing:
The top cells expressing this GEP (purple)
Random cells (n =50) from the reference set used in inferCNV (orange)
Gene set Enrichments for this program, caculated from top 50 genes
mSigDB Cell Types Gene Set:
P-value | OR | Lower 95% CI | FDR | FWER | Genes Found | Gene Set Size | |
---|---|---|---|---|---|---|---|
DURANTE_ADULT_OLFACTORY_NEUROEPITHELIUM_BOWMANS_GLAND | 2.96e-04 | 26.56 | 5.01 | 1.68e-01 | 1.99e-01 | 3LCN2, LTF, SLPI |
33 |
DURANTE_ADULT_OLFACTORY_NEUROEPITHELIUM_RESPIRATORY_EPITHELIAL_CELLS | 1.58e-03 | 39.95 | 4.27 | 3.53e-01 | 1.00e+00 | 2LTF, SLPI |
15 |
TRAVAGLINI_LUNG_NEUTROPHIL_CELL | 5.00e-04 | 5.64 | 2.13 | 1.68e-01 | 3.36e-01 | 7PGLYRP1, HLX, GCA, B4GALT5, MSRB1, PGD, TMEM259 |
368 |
BUSSLINGER_GASTRIC_REG3A_POSITIVE_CELLS | 1.31e-02 | 12.39 | 1.41 | 1.00e+00 | 1.00e+00 | 2LCN2, LTF |
44 |
HAY_BONE_MARROW_NEUTROPHIL | 7.21e-03 | 3.85 | 1.33 | 1.00e+00 | 1.00e+00 | 6HLX, GCA, TMEM107, MSRB1, AGO4, PGD |
449 |
TRAVAGLINI_LUNG_MUCOUS_CELL | 1.31e-02 | 6.54 | 1.28 | 1.00e+00 | 1.00e+00 | 3LCN2, LTF, SLPI |
125 |
TRAVAGLINI_LUNG_GOBLET_CELL | 2.04e-02 | 5.50 | 1.08 | 1.00e+00 | 1.00e+00 | 3LCN2, SLPI, PGD |
148 |
AIZARANI_LIVER_C24_EPCAM_POS_BILE_DUCT_CELLS_3 | 3.59e-02 | 4.38 | 0.86 | 1.00e+00 | 1.00e+00 | 3LCN2, SLPI, CYSTM1 |
185 |
TRAVAGLINI_LUNG_BASOPHIL_MAST_2_CELL | 4.23e-02 | 2.80 | 0.86 | 1.00e+00 | 1.00e+00 | 5COL9A2, B4GALT5, GBE1, CYSTM1, RELB |
502 |
DESCARTES_FETAL_MUSCLE_MEGAKARYOCYTES | 6.59e-02 | 3.40 | 0.67 | 1.00e+00 | 1.00e+00 | 3SIAE, SORT1, MADD |
238 |
DESCARTES_FETAL_EYE_CORNEAL_AND_CONJUNCTIVAL_EPITHELIAL_CELLS | 6.92e-02 | 3.32 | 0.66 | 1.00e+00 | 1.00e+00 | 3LCN2, SLPI, B4GALT5 |
243 |
TRAVAGLINI_LUNG_SEROUS_CELL | 5.42e-02 | 5.60 | 0.65 | 1.00e+00 | 1.00e+00 | 2LTF, SLPI |
95 |
DESCARTES_FETAL_STOMACH_ERYTHROBLASTS | 5.93e-02 | 5.31 | 0.62 | 1.00e+00 | 1.00e+00 | 2YOD1, ABCB10 |
100 |
TRAVAGLINI_LUNG_PROLIFERATING_MACROPHAGE_CELL | 1.70e-01 | 1.77 | 0.62 | 1.00e+00 | 1.00e+00 | 6GCA, TMEM107, SORT1, HAUS4, CNIH4, PGD |
968 |
FAN_EMBRYONIC_CTX_OLIG | 2.06e-01 | 1.85 | 0.57 | 1.00e+00 | 1.00e+00 | 5SLC27A4, SORT1, LDLR, ENPP4, SETD7 |
754 |
HU_FETAL_RETINA_BLOOD | 9.70e-02 | 2.86 | 0.57 | 1.00e+00 | 1.00e+00 | 3YOD1, FBN2, ABCB10 |
282 |
DESCARTES_MAIN_FETAL_CORNEAL_AND_CONJUNCTIVAL_EPITHELIAL_CELLS | 1.03e-01 | 2.78 | 0.55 | 1.00e+00 | 1.00e+00 | 3LCN2, SLPI, B4GALT5 |
290 |
MURARO_PANCREAS_DUCTAL_CELL | 4.61e-01 | 1.34 | 0.47 | 1.00e+00 | 1.00e+00 | 6LCN2, SIAE, SLPI, B4GALT5, LDLR, SETD7 |
1276 |
DESCARTES_FETAL_PANCREAS_ERYTHROBLASTS | 9.90e-02 | 3.92 | 0.46 | 1.00e+00 | 1.00e+00 | 2YOD1, ABCB10 |
135 |
BUSSLINGER_ESOPHAGEAL_LATE_SUPRABASAL_CELLS | 1.05e-01 | 3.77 | 0.44 | 1.00e+00 | 1.00e+00 | 2SLPI, SORT1 |
140 |
Dowload full table
mSigDB Hallmark Gene Sets:
P-value | OR | Lower 95% CI | FDR | FWER | Genes Found | Gene Set Size | |
---|---|---|---|---|---|---|---|
HALLMARK_TNFA_SIGNALING_VIA_NFKB | 4.35e-02 | 4.05 | 0.80 | 1.00e+00 | 1.00e+00 | 3B4GALT5, LDLR, RELB |
200 |
HALLMARK_COMPLEMENT | 4.35e-02 | 4.05 | 0.80 | 1.00e+00 | 1.00e+00 | 3LTF, GCA, MSRB1 |
200 |
HALLMARK_DNA_REPAIR | 1.18e-01 | 3.52 | 0.41 | 1.00e+00 | 1.00e+00 | 2TK2, AGO4 |
150 |
HALLMARK_MTORC1_SIGNALING | 1.85e-01 | 2.63 | 0.31 | 1.00e+00 | 1.00e+00 | 2LDLR, GBE1 |
200 |
HALLMARK_EPITHELIAL_MESENCHYMAL_TRANSITION | 1.85e-01 | 2.63 | 0.31 | 1.00e+00 | 1.00e+00 | 2SNTB1, FBN2 |
200 |
HALLMARK_XENOBIOTIC_METABOLISM | 1.85e-01 | 2.63 | 0.31 | 1.00e+00 | 1.00e+00 | 2ATOH8, PGD |
200 |
HALLMARK_ANGIOGENESIS | 1.34e-01 | 7.29 | 0.18 | 1.00e+00 | 1.00e+00 | 1PGLYRP1 |
36 |
HALLMARK_CHOLESTEROL_HOMEOSTASIS | 2.55e-01 | 3.49 | 0.09 | 1.00e+00 | 1.00e+00 | 1LDLR |
74 |
HALLMARK_UV_RESPONSE_DN | 4.35e-01 | 1.78 | 0.04 | 1.00e+00 | 1.00e+00 | 1LDLR |
144 |
HALLMARK_UV_RESPONSE_UP | 4.66e-01 | 1.62 | 0.04 | 1.00e+00 | 1.00e+00 | 1TGFBRAP1 |
158 |
HALLMARK_APOPTOSIS | 4.72e-01 | 1.59 | 0.04 | 1.00e+00 | 1.00e+00 | 1MADD |
161 |
HALLMARK_MITOTIC_SPINDLE | 5.45e-01 | 1.29 | 0.03 | 1.00e+00 | 1.00e+00 | 1CEP192 |
199 |
HALLMARK_HYPOXIA | 5.47e-01 | 1.28 | 0.03 | 1.00e+00 | 1.00e+00 | 1GBE1 |
200 |
HALLMARK_ADIPOGENESIS | 5.47e-01 | 1.28 | 0.03 | 1.00e+00 | 1.00e+00 | 1GBE1 |
200 |
HALLMARK_ESTROGEN_RESPONSE_LATE | 5.47e-01 | 1.28 | 0.03 | 1.00e+00 | 1.00e+00 | 1LTF |
200 |
HALLMARK_INFLAMMATORY_RESPONSE | 5.47e-01 | 1.28 | 0.03 | 1.00e+00 | 1.00e+00 | 1LDLR |
200 |
HALLMARK_HEME_METABOLISM | 5.47e-01 | 1.28 | 0.03 | 1.00e+00 | 1.00e+00 | 1FOXJ2 |
200 |
HALLMARK_ALLOGRAFT_REJECTION | 5.47e-01 | 1.28 | 0.03 | 1.00e+00 | 1.00e+00 | 1LY75 |
200 |
HALLMARK_KRAS_SIGNALING_UP | 5.47e-01 | 1.28 | 0.03 | 1.00e+00 | 1.00e+00 | 1SLPI |
200 |
HALLMARK_WNT_BETA_CATENIN_SIGNALING | 1.00e+00 | 0.00 | 0.00 | 1.00e+00 | 1.00e+00 | 0 |
42 |
Dowload full table
KEGG Pathways:
P-value | OR | Lower 95% CI | FDR | FWER | Genes Found | Gene Set Size | |
---|---|---|---|---|---|---|---|
KEGG_LIMONENE_AND_PINENE_DEGRADATION | 3.91e-02 | 28.30 | 0.63 | 1.00e+00 | 1.00e+00 | 1YOD1 |
10 |
KEGG_BIOSYNTHESIS_OF_UNSATURATED_FATTY_ACIDS | 8.40e-02 | 12.14 | 0.29 | 1.00e+00 | 1.00e+00 | 1YOD1 |
22 |
KEGG_GLYCOSYLPHOSPHATIDYLINOSITOL_GPI_ANCHOR_BIOSYNTHESIS | 9.49e-02 | 10.62 | 0.25 | 1.00e+00 | 1.00e+00 | 1PIGN |
25 |
KEGG_PENTOSE_PHOSPHATE_PATHWAY | 1.02e-01 | 9.80 | 0.23 | 1.00e+00 | 1.00e+00 | 1PGD |
27 |
KEGG_HOMOLOGOUS_RECOMBINATION | 1.06e-01 | 9.44 | 0.23 | 1.00e+00 | 1.00e+00 | 1RAD51B |
28 |
KEGG_O_GLYCAN_BIOSYNTHESIS | 1.13e-01 | 8.79 | 0.21 | 1.00e+00 | 1.00e+00 | 1B4GALT5 |
30 |
KEGG_LYSINE_DEGRADATION | 1.61e-01 | 5.93 | 0.14 | 1.00e+00 | 1.00e+00 | 1SETD7 |
44 |
KEGG_ABC_TRANSPORTERS | 1.61e-01 | 5.93 | 0.14 | 1.00e+00 | 1.00e+00 | 1ABCB10 |
44 |
KEGG_GLUTATHIONE_METABOLISM | 1.81e-01 | 5.21 | 0.13 | 1.00e+00 | 1.00e+00 | 1PGD |
50 |
KEGG_DRUG_METABOLISM_OTHER_ENZYMES | 1.84e-01 | 5.10 | 0.12 | 1.00e+00 | 1.00e+00 | 1TK2 |
51 |
KEGG_STARCH_AND_SUCROSE_METABOLISM | 1.87e-01 | 5.00 | 0.12 | 1.00e+00 | 1.00e+00 | 1GBE1 |
52 |
KEGG_PPAR_SIGNALING_PATHWAY | 2.40e-01 | 3.75 | 0.09 | 1.00e+00 | 1.00e+00 | 1SLC27A4 |
69 |
KEGG_PYRIMIDINE_METABOLISM | 3.23e-01 | 2.63 | 0.06 | 1.00e+00 | 1.00e+00 | 1TK2 |
98 |
KEGG_LYSOSOME | 3.82e-01 | 2.13 | 0.05 | 1.00e+00 | 1.00e+00 | 1SORT1 |
121 |
KEGG_NEUROTROPHIN_SIGNALING_PATHWAY | 3.94e-01 | 2.04 | 0.05 | 1.00e+00 | 1.00e+00 | 1SORT1 |
126 |
KEGG_ENDOCYTOSIS | 5.12e-01 | 1.42 | 0.03 | 1.00e+00 | 1.00e+00 | 1LDLR |
181 |
KEGG_MAPK_SIGNALING_PATHWAY | 1.00e+00 | 0.96 | 0.02 | 1.00e+00 | 1.00e+00 | 1RELB |
267 |
KEGG_N_GLYCAN_BIOSYNTHESIS | 1.00e+00 | 0.00 | 0.00 | 1.00e+00 | 1.00e+00 | 0 |
46 |
KEGG_OTHER_GLYCAN_DEGRADATION | 1.00e+00 | 0.00 | 0.00 | 1.00e+00 | 1.00e+00 | 0 |
16 |
KEGG_GLYCOSAMINOGLYCAN_DEGRADATION | 1.00e+00 | 0.00 | 0.00 | 1.00e+00 | 1.00e+00 | 0 |
21 |
Dowload full table
CHR Positional Gene Sets:
P-value | OR | Lower 95% CI | FDR | FWER | Genes Found | Gene Set Size | |
---|---|---|---|---|---|---|---|
chr3p21 | 1.14e-01 | 2.65 | 0.52 | 1.00e+00 | 1.00e+00 | 3LTF, TCAIM, NEK4 |
304 |
chr2q24 | 8.71e-02 | 4.23 | 0.49 | 1.00e+00 | 1.00e+00 | 2GCA, LY75 |
125 |
chr20q13 | 2.00e-01 | 2.01 | 0.40 | 1.00e+00 | 1.00e+00 | 3SLPI, B4GALT5, SLC9A8 |
400 |
chr11q24 | 1.61e-01 | 2.88 | 0.34 | 1.00e+00 | 1.00e+00 | 2SIAE, SLC37A2 |
183 |
chr1q42 | 2.27e-01 | 2.28 | 0.27 | 1.00e+00 | 1.00e+00 | 2ABCB10, CNIH4 |
230 |
chr1p34 | 2.91e-01 | 1.91 | 0.22 | 1.00e+00 | 1.00e+00 | 2COL9A2, AGO4 |
275 |
chr9q34 | 3.42e-01 | 1.69 | 0.20 | 1.00e+00 | 1.00e+00 | 2LCN2, SLC27A4 |
311 |
chr19q13 | 7.98e-01 | 0.69 | 0.14 | 1.00e+00 | 1.00e+00 | 3CD177, PGLYRP1, RELB |
1165 |
chr6p21 | 7.00e-01 | 1.12 | 0.13 | 1.00e+00 | 1.00e+00 | 2CPNE5, ENPP4 |
467 |
chr3p12 | 2.31e-01 | 3.92 | 0.10 | 1.00e+00 | 1.00e+00 | 1GBE1 |
66 |
chr16q21 | 2.55e-01 | 3.49 | 0.09 | 1.00e+00 | 1.00e+00 | 1TK2 |
74 |
chr2q12 | 2.70e-01 | 3.27 | 0.08 | 1.00e+00 | 1.00e+00 | 1TGFBRAP1 |
79 |
chr19p13 | 1.00e+00 | 0.68 | 0.08 | 1.00e+00 | 1.00e+00 | 2LDLR, TMEM259 |
773 |
chrXq24 | 2.73e-01 | 3.23 | 0.08 | 1.00e+00 | 1.00e+00 | 1ZBTB33 |
80 |
chr1q41 | 3.06e-01 | 2.80 | 0.07 | 1.00e+00 | 1.00e+00 | 1HLX |
92 |
chr5q23 | 3.57e-01 | 2.32 | 0.06 | 1.00e+00 | 1.00e+00 | 1FBN2 |
111 |
chr15q24 | 3.69e-01 | 2.22 | 0.05 | 1.00e+00 | 1.00e+00 | 1CLK3 |
116 |
chr11p11 | 4.38e-01 | 1.77 | 0.04 | 1.00e+00 | 1.00e+00 | 1MADD |
145 |
chr2q11 | 4.40e-01 | 1.76 | 0.04 | 1.00e+00 | 1.00e+00 | 1UNC50 |
146 |
chr4q31 | 4.64e-01 | 1.64 | 0.04 | 1.00e+00 | 1.00e+00 | 1SETD7 |
157 |
Dowload full table
Transcription Factor Targets:
P-value | OR | Lower 95% CI | FDR | FWER | Genes Found | Gene Set Size | |
---|---|---|---|---|---|---|---|
TERT_TARGET_GENES | 1.37e-02 | 6.43 | 1.26 | 1.00e+00 | 1.00e+00 | 3SLC27A4, RELB, TMEM259 |
127 |
ZA_UNIPROT_Q9UM89_UNREVIEWED_TARGET_GENES | 2.14e-02 | 9.46 | 1.09 | 1.00e+00 | 1.00e+00 | 2PGLYRP1, CLK3 |
57 |
AML1_01 | 2.10e-02 | 4.07 | 1.06 | 1.00e+00 | 1.00e+00 | 4HLX, COL9A2, SLC37A2, MADD |
271 |
AML1_Q6 | 2.10e-02 | 4.07 | 1.06 | 1.00e+00 | 1.00e+00 | 4HLX, COL9A2, SLC37A2, MADD |
271 |
COREBINDINGFACTOR_Q6 | 2.23e-02 | 4.00 | 1.04 | 1.00e+00 | 1.00e+00 | 4HLX, COL9A2, SLC37A2, MADD |
276 |
CEBP_01 | 2.25e-02 | 3.98 | 1.03 | 1.00e+00 | 1.00e+00 | 4SIAE, ORAI3, MSRB1, CNIH4 |
277 |
MIF1_01 | 3.64e-02 | 4.36 | 0.86 | 1.00e+00 | 1.00e+00 | 3SIAE, ORAI3, MADD |
186 |
MAFG_TARGET_GENES | 1.44e-01 | 1.66 | 0.74 | 1.00e+00 | 1.00e+00 | 10TMEM107, MSRB1, SORT1, TK2, DENND4C, GBE1, NEK4, HAUS4, SETD7, TMEM259 |
1893 |
ZSCAN5B_TARGET_GENES | 4.36e-02 | 6.35 | 0.74 | 1.00e+00 | 1.00e+00 | 2SLC27A4, TMEM259 |
84 |
ZNF33A_TARGET_GENES | 7.45e-02 | 3.22 | 0.64 | 1.00e+00 | 1.00e+00 | 3TGFBRAP1, CLK3, TK2 |
251 |
RYBP_TARGET_GENES | 2.88e-01 | 1.48 | 0.63 | 1.00e+00 | 1.00e+00 | 9ATOH8, COL9A2, SLC27A4, FBN2, TK2, CPNE5, SETD7, PGD, TMEM259 |
1858 |
NFE2L1_TARGET_GENES | 2.90e-01 | 1.47 | 0.63 | 1.00e+00 | 1.00e+00 | 9YOD1, MSRB1, PIGN, TCAIM, GBE1, NEK4, CNIH4, SETD7, PGD |
1875 |
CREBP1CJUN_01 | 8.36e-02 | 3.06 | 0.60 | 1.00e+00 | 1.00e+00 | 3CYSTM1, RELB, MADD |
264 |
GGGTGGRR_PAX4_03 | 3.26e-01 | 1.56 | 0.59 | 1.00e+00 | 1.00e+00 | 7ATOH8, SIAE, RAD51B, ORAI3, FOXJ2, CPNE5, HAUS4 |
1310 |
BARX2_TARGET_GENES | 3.83e-01 | 1.39 | 0.56 | 1.00e+00 | 1.00e+00 | 8RAD51B, GCA, CLK3, SORT1, ENPP4, CEP192, PGD, TMEM259 |
1723 |
TGACCTY_ERR1_Q2 | 2.82e-01 | 1.61 | 0.56 | 1.00e+00 | 1.00e+00 | 6LCN2, SLC27A4, SORT1, ZBTB33, SLC37A2, MADD |
1064 |
CDC73_TARGET_GENES | 1.35e-01 | 2.12 | 0.55 | 1.00e+00 | 1.00e+00 | 4COL9A2, CLK3, ABCB10, SETD7 |
517 |
SAFB2_TARGET_GENES | 2.27e-01 | 1.73 | 0.53 | 1.00e+00 | 1.00e+00 | 5GCA, CLK3, SORT1, TK2, HAUS4 |
808 |
RYTGCNWTGGNR_UNKNOWN | 7.90e-02 | 4.49 | 0.52 | 1.00e+00 | 1.00e+00 | 2ORAI3, TMEM107 |
118 |
FOXN3_TARGET_GENES | 4.87e-01 | 1.36 | 0.52 | 1.00e+00 | 1.00e+00 | 7ATOH8, TMEM107, CLK3, TK2, CPNE5, NEK4, ENPP4 |
1502 |
Dowload full table
GO Biological Processes:
P-value | OR | Lower 95% CI | FDR | FWER | Genes Found | Gene Set Size | |
---|---|---|---|---|---|---|---|
GOBP_REGULATION_OF_RAB_PROTEIN_SIGNAL_TRANSDUCTION | 3.22e-04 | 103.49 | 9.64 | 6.03e-01 | 1.00e+00 | 2DENND4C, MADD |
7 |
GOBP_IRON_COORDINATION_ENTITY_TRANSPORT | 1.37e-03 | 43.30 | 4.59 | 1.00e+00 | 1.00e+00 | 2LCN2, LTF |
14 |
GOBP_T_HELPER_1_CELL_DIFFERENTIATION | 2.28e-03 | 32.49 | 3.53 | 1.00e+00 | 1.00e+00 | 2HLX, RELB |
18 |
GOBP_RAB_PROTEIN_SIGNAL_TRANSDUCTION | 3.10e-03 | 27.37 | 3.01 | 1.00e+00 | 1.00e+00 | 2DENND4C, MADD |
21 |
GOBP_MYELOID_LEUKOCYTE_ACTIVATION | 2.76e-05 | 5.44 | 2.50 | 2.06e-01 | 2.06e-01 | 11LCN2, LTF, CD177, PGLYRP1, SLPI, GCA, DNASE1L1, LDLR, CYSTM1, RELB, ENPP4 |
659 |
GOBP_CELL_ACTIVATION_INVOLVED_IN_IMMUNE_RESPONSE | 6.09e-05 | 4.96 | 2.28 | 2.28e-01 | 4.56e-01 | 11LCN2, LTF, CD177, PGLYRP1, HLX, SLPI, GCA, DNASE1L1, CYSTM1, RELB, ENPP4 |
722 |
GOBP_MYELOID_LEUKOCYTE_MEDIATED_IMMUNITY | 2.04e-04 | 5.07 | 2.16 | 5.09e-01 | 1.00e+00 | 9LCN2, LTF, CD177, PGLYRP1, SLPI, GCA, DNASE1L1, CYSTM1, ENPP4 |
550 |
GOBP_ANTIMICROBIAL_HUMORAL_RESPONSE | 2.32e-03 | 7.87 | 2.03 | 1.00e+00 | 1.00e+00 | 4LCN2, LTF, PGLYRP1, SLPI |
142 |
GOBP_POSITIVE_REGULATION_OF_BONE_MINERALIZATION | 1.04e-02 | 14.07 | 1.60 | 1.00e+00 | 1.00e+00 | 2LTF, FBN2 |
39 |
GOBP_T_HELPER_1_TYPE_IMMUNE_RESPONSE | 1.15e-02 | 13.35 | 1.52 | 1.00e+00 | 1.00e+00 | 2HLX, RELB |
41 |
GOBP_REGULATION_OF_ENDOTHELIAL_CELL_DIFFERENTIATION | 1.37e-02 | 12.10 | 1.38 | 1.00e+00 | 1.00e+00 | 2ATOH8, FOXJ2 |
45 |
GOBP_LEUKOCYTE_MEDIATED_IMMUNITY | 4.48e-03 | 3.18 | 1.35 | 1.00e+00 | 1.00e+00 | 9LCN2, LTF, CD177, PGLYRP1, SLPI, GCA, DNASE1L1, CYSTM1, ENPP4 |
873 |
GOBP_EXOCYTOSIS | 5.08e-03 | 3.11 | 1.33 | 1.00e+00 | 1.00e+00 | 9LCN2, LTF, CD177, PGLYRP1, SLPI, GCA, DNASE1L1, CYSTM1, ENPP4 |
891 |
GOBP_POSITIVE_REGULATION_OF_OSSIFICATION | 1.55e-02 | 11.31 | 1.29 | 1.00e+00 | 1.00e+00 | 2LTF, FBN2 |
48 |
GOBP_POSITIVE_REGULATION_OF_BIOMINERALIZATION | 1.55e-02 | 11.31 | 1.29 | 1.00e+00 | 1.00e+00 | 2LTF, FBN2 |
48 |
GOBP_CELL_ACTIVATION | 4.46e-03 | 2.73 | 1.29 | 1.00e+00 | 1.00e+00 | 12LCN2, LTF, CD177, PGLYRP1, HLX, SLPI, GCA, DNASE1L1, LDLR, CYSTM1, RELB, ENPP4 |
1461 |
GOBP_ANTIFUNGAL_HUMORAL_RESPONSE | 1.98e-02 | 63.54 | 1.27 | 1.00e+00 | 1.00e+00 | 1LTF |
5 |
GOBP_PROTEIN_K29_LINKED_DEUBIQUITINATION | 1.98e-02 | 63.54 | 1.27 | 1.00e+00 | 1.00e+00 | 1YOD1 |
5 |
GOBP_GLUCOSE_IMPORT_IN_RESPONSE_TO_INSULIN_STIMULUS | 1.98e-02 | 63.54 | 1.27 | 1.00e+00 | 1.00e+00 | 1SLC27A4 |
5 |
GOBP_MICROTUBULE_NUCLEATION_BY_MICROTUBULE_ORGANIZING_CENTER | 1.98e-02 | 63.54 | 1.27 | 1.00e+00 | 1.00e+00 | 1CEP192 |
5 |
Dowload full table
Immunological Gene Sets:
P-value | OR | Lower 95% CI | FDR | FWER | Genes Found | Gene Set Size | |
---|---|---|---|---|---|---|---|
GSE34205_HEALTHY_VS_RSV_INF_INFANT_PBMC_DN | 4.29e-09 | 16.45 | 7.22 | 2.09e-05 | 2.09e-05 | 10LCN2, LTF, CD177, PGLYRP1, HLX, SLPI, YOD1, LDLR, CYSTM1, SLC9A8 |
200 |
GSE6269_E_COLI_VS_STREP_PNEUMO_INF_PBMC_DN | 4.47e-05 | 10.65 | 3.66 | 1.09e-01 | 2.18e-01 | 6LCN2, LTF, CD177, PGLYRP1, SLPI, PGD |
166 |
GSE4748_CYANOBACTERIUM_LPSLIKE_VS_LPS_AND_CYANOBACTERIUM_LPSLIKE_STIM_DC_3H_DN | 9.44e-04 | 7.35 | 2.25 | 8.77e-01 | 1.00e+00 | 5LCN2, LTF, PGLYRP1, SLPI, CYSTM1 |
194 |
GSE2770_IL12_VS_TGFB_AND_IL12_TREATED_ACT_CD4_TCELL_48H_DN | 1.06e-03 | 7.16 | 2.19 | 8.77e-01 | 1.00e+00 | 5SLPI, GCA, DENND4C, LY75, AGO4 |
199 |
GSE17721_POLYIC_VS_CPG_16H_BMDC_UP | 1.08e-03 | 7.12 | 2.18 | 8.77e-01 | 1.00e+00 | 5FBN2, B4GALT5, MSRB1, CLK3, DENND4C |
200 |
GSE22886_NAIVE_BCELL_VS_NEUTROPHIL_DN | 1.08e-03 | 7.12 | 2.18 | 8.77e-01 | 1.00e+00 | 5HLX, SLPI, GCA, B4GALT5, MSRB1 |
200 |
GSE13547_CTRL_VS_ANTI_IGM_STIM_ZFX_KO_BCELL_2H_UP | 3.96e-03 | 6.75 | 1.74 | 9.88e-01 | 1.00e+00 | 4LCN2, LTF, PGLYRP1, SLPI |
165 |
GSE6269_HEALTHY_VS_STAPH_PNEUMO_INF_PBMC_DN | 4.40e-03 | 6.55 | 1.69 | 9.88e-01 | 1.00e+00 | 4LCN2, LTF, SORT1, PGD |
170 |
GSE4984_GALECTIN1_VS_VEHICLE_CTRL_TREATED_DC_UP | 6.83e-03 | 5.75 | 1.49 | 9.88e-01 | 1.00e+00 | 4TMEM107, CLK3, TK2, ZBTB33 |
193 |
GSE11057_CD4_CENT_MEM_VS_PBMC_DN | 7.07e-03 | 5.69 | 1.47 | 9.88e-01 | 1.00e+00 | 4FBN2, SORT1, SLC37A2, CPNE5 |
195 |
GSE37416_CTRL_VS_12H_F_TULARENSIS_LVS_NEUTROPHIL_UP | 7.07e-03 | 5.69 | 1.47 | 9.88e-01 | 1.00e+00 | 4MSRB1, LY75, HAUS4, AGO4 |
195 |
GSE360_T_GONDII_VS_B_MALAYI_LOW_DOSE_DC_UP | 7.32e-03 | 5.63 | 1.46 | 9.88e-01 | 1.00e+00 | 4HLX, COL9A2, LY75, GBE1 |
197 |
GSE7400_CTRL_VS_CSF3_IN_VIVO_TREATED_PBMC_DN | 7.45e-03 | 5.60 | 1.45 | 9.88e-01 | 1.00e+00 | 4CD177, SLPI, DNASE1L1, CYSTM1 |
198 |
GSE36888_STAT5_AB_KNOCKIN_VS_WT_TCELL_IL2_TREATED_2H_DN | 7.45e-03 | 5.60 | 1.45 | 9.88e-01 | 1.00e+00 | 4HLX, SNTB1, GCA, FBN2 |
198 |
GSE45382_UNTREATED_VS_TGFB_TREATED_MACROPHAGES_UP | 7.45e-03 | 5.60 | 1.45 | 9.88e-01 | 1.00e+00 | 4TK2, SLC37A2, DENND4C, SETD7 |
198 |
GSE41176_UNSTIM_VS_ANTI_IGM_STIM_BCELL_24H_UP | 7.45e-03 | 5.60 | 1.45 | 9.88e-01 | 1.00e+00 | 4UEVLD, HLX, SIAE, CPNE5 |
198 |
GSE17721_PAM3CSK4_VS_CPG_1H_BMDC_DN | 7.58e-03 | 5.57 | 1.44 | 9.88e-01 | 1.00e+00 | 4FOXJ2, UNC50, ABCB10, ZBTB33 |
199 |
GSE24142_DN2_VS_DN3_THYMOCYTE_FETAL_DN | 7.58e-03 | 5.57 | 1.44 | 9.88e-01 | 1.00e+00 | 4ATOH8, CLK3, SLC37A2, RELB |
199 |
GSE3982_NEUTROPHIL_VS_NKCELL_UP | 7.58e-03 | 5.57 | 1.44 | 9.88e-01 | 1.00e+00 | 4HLX, SLPI, B4GALT5, AGO4 |
199 |
GSE5589_WT_VS_IL6_KO_LPS_AND_IL6_STIM_MACROPHAGE_45MIN_DN | 7.58e-03 | 5.57 | 1.44 | 9.88e-01 | 1.00e+00 | 4SLC27A4, TGFBRAP1, SORT1, SLC37A2 |
199 |
Top Ranked Transcription Factors for this Gene Expression Program:
Gene Symbol | TF Rank | DNA Binding Domain | Motif Status | IUPAC PWM | GTEx | DepMap | Decartes |
---|---|---|---|---|---|---|---|
LTF | 2 | Yes | Known motif | Monomer or homomultimer | In vivo/Misc source | Only known motifs are from Transfac or HocoMoco - origin is uncertain | None |
HLX | 6 | Yes | Known motif | Monomer or homomultimer | 100 perc ID - in vitro | None | None |
ATOH8 | 7 | Yes | Inferred motif | Monomer or homomultimer | High-throughput in vitro | None | None |
YOD1 | 14 | No | Unlikely to be sequence specific TF | Not a DNA binding protein | No motif | None | None |
FOXJ2 | 24 | Yes | Known motif | Monomer or homomultimer | High-throughput in vitro | None | None |
ZBTB33 | 32 | Yes | Known motif | Monomer or homomultimer | In vivo/Misc source | None | None |
RELB | 40 | Yes | Known motif | Obligate heteromer | In vivo/Misc source | Only known motifs are from Transfac or HocoMoco - origin is uncertain | Likely an obligate heteromer (PMID: 22101729), pmid:17869269 forms heterodimer with NFKB1, citation is a crystal structure |
ARID3B | 55 | Yes | Inferred motif | Monomer or homomultimer | High-throughput in vitro | None | None |
UHRF2 | 57 | No | Unlikely to be sequence specific TF | Low specificity DNA-binding protein | No motif | None | Binds DNA in the crystal structure contacting the minor groove and backbone (PDB: 4PW5). Recognizes 5hmC-containing DNA (PDB: 4PW5) |
NCOA2 | 64 | Yes | Likely to be sequence specific TF | Obligate heteromer | No motif | None | NCOA½/3 all have been tested on PBMs and HT-SELEX without yielding a motif. All are co-activators, collectively suggesting they might be obligate heteromers. |
CUL1 | 77 | No | Unlikely to be sequence specific TF | Not a DNA binding protein | No motif | None | Component of the E3-ubiquitin ligase complex (PMID: 11961546) |
CHURC1 | 92 | No | Unlikely to be sequence specific TF | Not a DNA binding protein | No motif | Only known motifs are from Transfac or HocoMoco - origin is uncertain | Most recent work has conclusively shown it does not bind DNA (PMID: 17610897), refuting a previous study (PMID: 14651851) |
CREB3L2 | 100 | Yes | Known motif | Monomer or homomultimer | 100 perc ID - in vitro | None | None |
DAP | 104 | No | Unlikely to be sequence specific TF | Not a DNA binding protein | No motif | None | Protein functions in apoptotic signaling |
MAPK14 | 108 | No | Unlikely to be sequence specific TF | Not a DNA binding protein | No motif | None | Well characterized MAPK. Included because it as a regulator of several TFs and GO captures this. |
TAF13 | 117 | No | Unlikely to be sequence specific TF | Low specificity DNA-binding protein | No motif | None | Forms heterodimer TAF11:TAF13, which has a histone-fold like structure and could thus bind DNA in a non- or low specific manner (PMID: 9695952) |
MXI1 | 124 | Yes | Known motif | Obligate heteromer | In vivo/Misc source | Has a putative AT-hook | Obligate heteromer (PMID: 8425219). |
NCOR2 | 128 | No | Unlikely to be sequence specific TF | Not a DNA binding protein | No motif | None | Contains 2 SANT domains, and no other putative DNA-binding domains |
KDM5C | 131 | No | Unlikely to be sequence specific TF | Low specificity DNA-binding protein | No motif | None | None |
MED17 | 151 | No | Unlikely to be sequence specific TF | Not a DNA binding protein | No motif | None | None |
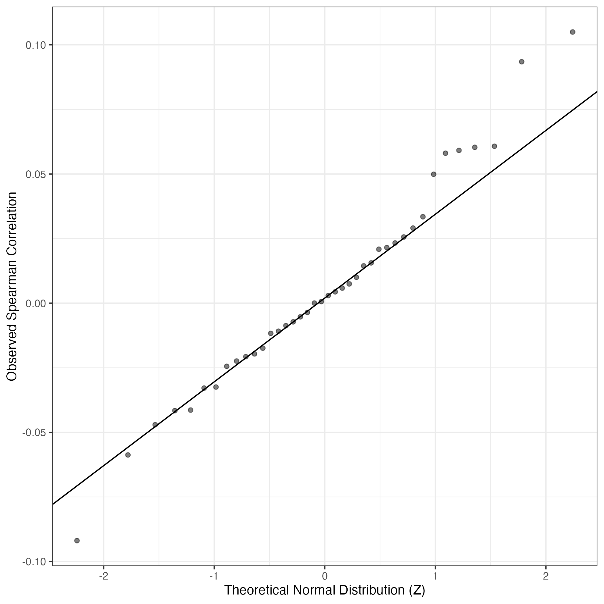
QQ Plot showing correlations with other GEPs in this dataset, calculated by Spearman correlation:
Interactive QQ-plot of gene loadings:
A similar QQ-plot as above, but only for instances where the H value is e.g. > 25, i.e. we are confident that the expression program is active above noise. Agreemenet between these binary vectors is tested using the Jaccard Index, with the P-values calculated by an exact test:
Interactive QQ-plot:
Singler cell type annotations for the top 50 cells on this program.
## Error in 1:nrow(topCellsAnnotMat): argument of length 0
Cell ID | Singler label | Singler Delta | Activity Score | Top Singler Raw Scores |
---|---|---|---|---|
STDY7685342_TGTATTCCATGACATC | HSC_-G-CSF | 0.1 | 570.41 | Raw Scores |
Below shows the significant enrichments of this GEP for literature curated gene lists
This data was procured from existing single cell RNA-seq maps of neuroblastoma or related relevant data.
High ranks indicate this gene is a driver of this GEP.
These curated gene list are ranked by the P-value (on this GEP) of their constituent genes.
The Mean Count column shows the mean read count in cells scoring highly (H > 50) on this gene expression program.
## Error in data.frame(Genes = geneCardsLinkSmallGsets, Weight = theseGenes, : object 'countHighScoringCells' not found
Below shows ranks on this GEP for literature curated gene lists for large gene sets
These include those reported as mesenchymal/adrenergic by Van Groningen et al.
High ranks indicate this gene is a driver of this GEP (note these results are not ordered).
The Mean Count column shows the mean read count in cells scoring highly (H > 50) on this gene expression program.
VanGroningen Adrenergic Genes
Adrenergic marker genes from Supplementary Table 2 of Van Groningen et al. Nature Genetics 2017. These genes were identified by differential expression analysis of mesenchymal-like and adrenergic-like neuroblastoma cell lines.
Wilcoxon ranksum test P-value for gene set overrepresentation: 1.00e+00
Mean rank of genes in gene set: 7756.39
Median rank of genes in gene set: 8318
Rank on gene expression program of top 30 genes in gene set:
## Error in data.frame(Genes = geneCardsLinkSmallGsets, Weight = theseGenes, : object 'countHighScoringCells' not found
Below shows the ranks on this GEP for immune marker gene lists curated by CellTypist (https://www.celltypist.org/encyclopedia).
High ranks indicate this gene is a driver of this GEP.
These curated gene list are ranked by P-value (on this GEP) of their constituent genes.
The Mean Count column shows the mean read count in cells scoring highly (H > 50) on this gene expression program.
## Error in data.frame(Genes = geneCardsLinkSmallGsets, Weight = theseGenes, : object 'countHighScoringCells' not found