Program description and justification of annotation: 42.
Submit a comment on this gene expression program’s interpretation: CLICK
QQ-plot of gene loadings, averaged over both independent splits of the data
This plot highlights the relative contribution of each gene to the GEP
Top genes driving this program.
Note: Decartes website is buggy, try refreshing. Also, Decartes fetal adrenal data have been collected at specific time points (89-122 days), all possible cell types of interest may not be represented, do not overinterpret.
The Mean Count column shows the mean read count in cells scoring highly (H > 50) on this gene expression program.
Gene | Loading | Gene.Name | GTEx | DepMap | Descartes | Mean.Counts | Mean.Tpm | |
---|---|---|---|---|---|---|---|---|
1 | BRK1 | 0.0175154 | BRICK1 subunit of SCAR/WAVE actin nucleating complex | GTEx | DepMap | Descartes | 160.22 | 1645.53 |
2 | SEC13 | 0.0157773 | SEC13 homolog, nuclear pore and COPII coat complex component | GTEx | DepMap | Descartes | 74.37 | 749.58 |
3 | HOXA7 | 0.0139617 | homeobox A7 | GTEx | DepMap | Descartes | 10.30 | 177.53 |
4 | JAGN1 | 0.0121814 | jagunal homolog 1 | GTEx | DepMap | Descartes | 101.21 | 2254.72 |
5 | ARPC4 | 0.0119968 | actin related protein ⅔ complex subunit 4 | GTEx | DepMap | Descartes | 79.52 | 815.29 |
6 | DYNC1I1 | 0.0119286 | dynein cytoplasmic 1 intermediate chain 1 | GTEx | DepMap | Descartes | 3.82 | 1.56 |
7 | DLX5 | 0.0110304 | distal-less homeobox 5 | GTEx | DepMap | Descartes | 4.77 | 140.33 |
8 | VHL | 0.0109729 | von Hippel-Lindau tumor suppressor | GTEx | DepMap | Descartes | 8.43 | 143.89 |
9 | TATDN2 | 0.0102922 | TatD DNase domain containing 2 | GTEx | DepMap | Descartes | 9.59 | 93.24 |
10 | SRM | 0.0101279 | spermidine synthase | GTEx | DepMap | Descartes | 29.55 | 1039.30 |
11 | TADA3 | 0.0101188 | transcriptional adaptor 3 | GTEx | DepMap | Descartes | 16.78 | 184.35 |
12 | PHGDH | 0.0097475 | phosphoglycerate dehydrogenase | GTEx | DepMap | Descartes | 16.39 | 75.97 |
13 | PEG10 | 0.0096907 | paternally expressed 10 | GTEx | DepMap | Descartes | 12.76 | 129.26 |
14 | EMC3 | 0.0096647 | ER membrane protein complex subunit 3 | GTEx | DepMap | Descartes | 48.20 | 370.75 |
15 | NPM1 | 0.0092458 | nucleophosmin 1 | GTEx | DepMap | Descartes | 251.39 | 2842.26 |
16 | RPL5 | 0.0090714 | ribosomal protein L5 | GTEx | DepMap | Descartes | 56.82 | 834.92 |
17 | RPS6 | 0.0089827 | ribosomal protein S6 | GTEx | DepMap | Descartes | 76.93 | 3501.19 |
18 | GNB2L1 | 0.0088760 | NA | GTEx | DepMap | Descartes | 79.20 | NA |
19 | YBX1 | 0.0087216 | Y-box binding protein 1 | GTEx | DepMap | Descartes | 101.60 | 759.37 |
20 | RPS25 | 0.0085678 | ribosomal protein S25 | GTEx | DepMap | Descartes | 60.43 | 2299.78 |
21 | RPS12 | 0.0084112 | ribosomal protein S12 | GTEx | DepMap | Descartes | 70.87 | 4252.10 |
22 | SGCE | 0.0083614 | sarcoglycan epsilon | GTEx | DepMap | Descartes | 6.21 | 10.84 |
23 | OGG1 | 0.0083306 | 8-oxoguanine DNA glycosylase | GTEx | DepMap | Descartes | 6.81 | 104.29 |
24 | C1QTNF7 | 0.0082046 | C1q and TNF related 7 | GTEx | DepMap | Descartes | 1.46 | 1.76 |
25 | EEF1G | 0.0081998 | eukaryotic translation elongation factor 1 gamma | GTEx | DepMap | Descartes | 43.39 | 476.77 |
26 | RPLP1 | 0.0081344 | ribosomal protein lateral stalk subunit P1 | GTEx | DepMap | Descartes | 102.74 | 10230.20 |
27 | GOT1 | 0.0081118 | glutamic-oxaloacetic transaminase 1 | GTEx | DepMap | Descartes | 8.10 | 40.87 |
28 | FANCD2 | 0.0080780 | FA complementation group D2 | GTEx | DepMap | Descartes | 10.35 | 20.68 |
29 | GRB10 | 0.0080013 | growth factor receptor bound protein 10 | GTEx | DepMap | Descartes | 2.97 | 3.46 |
30 | DLX6OS1 | 0.0079040 | NA | GTEx | DepMap | Descartes | 2.13 | 5.49 |
31 | NHP2 | 0.0078221 | NHP2 ribonucleoprotein | GTEx | DepMap | Descartes | 30.30 | 938.04 |
32 | CCT5 | 0.0077950 | chaperonin containing TCP1 subunit 5 | GTEx | DepMap | Descartes | 29.42 | 336.14 |
33 | HSP90AB1 | 0.0077534 | heat shock protein 90 alpha family class B member 1 | GTEx | DepMap | Descartes | 192.79 | 4371.60 |
34 | BUB3 | 0.0077499 | BUB3 mitotic checkpoint protein | GTEx | DepMap | Descartes | 28.78 | 296.55 |
35 | MTMR14 | 0.0077233 | myotubularin related protein 14 | GTEx | DepMap | Descartes | 9.29 | 27.23 |
36 | RPL8 | 0.0076269 | ribosomal protein L8 | GTEx | DepMap | Descartes | 181.33 | 10163.36 |
37 | ATP5A1 | 0.0076020 | NA | GTEx | DepMap | Descartes | 33.01 | 453.95 |
38 | ATP5B | 0.0075380 | NA | GTEx | DepMap | Descartes | 47.57 | 848.70 |
39 | HSPE1 | 0.0075028 | heat shock protein family E (Hsp10) member 1 | GTEx | DepMap | Descartes | 52.39 | 2054.63 |
40 | RPS8 | 0.0074602 | ribosomal protein S8 | GTEx | DepMap | Descartes | 211.67 | 10952.53 |
41 | TOMM20 | 0.0074508 | translocase of outer mitochondrial membrane 20 | GTEx | DepMap | Descartes | 44.25 | 364.21 |
42 | THUMPD3 | 0.0073995 | THUMP domain containing 3 | GTEx | DepMap | Descartes | 29.06 | 168.18 |
43 | MIF | 0.0073963 | macrophage migration inhibitory factor | GTEx | DepMap | Descartes | 117.52 | 16634.66 |
44 | RPS2 | 0.0073811 | ribosomal protein S2 | GTEx | DepMap | Descartes | 213.88 | 6878.90 |
45 | RPL17 | 0.0073200 | ribosomal protein L17 | GTEx | DepMap | Descartes | 100.18 | 2600.79 |
46 | CRELD1 | 0.0072751 | cysteine rich with EGF like domains 1 | GTEx | DepMap | Descartes | 9.96 | 129.40 |
47 | RPL4 | 0.0072425 | ribosomal protein L4 | GTEx | DepMap | Descartes | 57.69 | 1364.35 |
48 | RPL12 | 0.0072285 | ribosomal protein L12 | GTEx | DepMap | Descartes | 65.68 | 2181.13 |
49 | HOXA5 | 0.0072214 | homeobox A5 | GTEx | DepMap | Descartes | 1.19 | 54.62 |
50 | RPS14 | 0.0070766 | ribosomal protein S14 | GTEx | DepMap | Descartes | 126.19 | 505.08 |
UMAP plots showing activity of gene expression program identified in community:42. Neuroblastoma (NB831,NB855,NB864)
CNV Data procured from inferCNV.
Outer tracks are putative CNV regions (gains = red, losses = blue) for each patient
Inner track is expression data representing:
The top cells expressing this GEP (purple)
Random cells (n =50) from the reference set used in inferCNV (orange)
Gene set Enrichments for this program, caculated from top 50 genes
mSigDB Cell Types Gene Set:
P-value | OR | Lower 95% CI | FDR | FWER | Genes Found | Gene Set Size | |
---|---|---|---|---|---|---|---|
BUSSLINGER_GASTRIC_PPP1R1B_POSITIVE_CELLS | 1.13e-18 | 67.89 | 32.17 | 1.52e-16 | 7.58e-16 | 13NPM1, RPL5, RPS6, RPS12, EEF1G, HSP90AB1, RPL8, RPS8, RPS2, RPL17, RPL4, RPL12, RPS14 |
121 |
BUSSLINGER_DUODENAL_TRANSIT_AMPLIFYING_CELLS | 8.57e-23 | 60.81 | 31.15 | 5.75e-20 | 5.75e-20 | 17NPM1, RPL5, RPS6, YBX1, RPS25, RPS12, EEF1G, RPLP1, HSP90AB1, RPL8, HSPE1, RPS8, RPS2, RPL17, RPL4, RPL12, RPS14 |
194 |
FAN_OVARY_CL0_XBP1_SELK_HIGH_STROMAL_CELL | 1.72e-19 | 62.91 | 30.56 | 2.89e-17 | 1.15e-16 | 14PEG10, NPM1, RPL5, RPS6, YBX1, RPS12, RPLP1, HSP90AB1, RPL8, RPS8, RPS2, RPL17, RPL12, RPS14 |
143 |
LAKE_ADULT_KIDNEY_C7_PROXIMAL_TUBULE_EPITHELIAL_CELLS_S3 | 2.85e-16 | 53.51 | 24.89 | 1.91e-14 | 1.91e-13 | 12NPM1, RPL5, RPS6, RPS25, RPS12, RPLP1, HSP90AB1, RPL8, RPS8, RPL4, RPL12, RPS14 |
135 |
LAKE_ADULT_KIDNEY_C23_ENDOTHELIAL_CELLS_AVR | 6.85e-15 | 51.26 | 23.06 | 3.54e-13 | 4.60e-12 | 11NPM1, RPL5, RPS6, RPS12, RPLP1, HSP90AB1, RPL8, RPS8, RPS2, RPL4, RPS14 |
126 |
TRAVAGLINI_LUNG_CD4_NAIVE_T_CELL | 1.15e-14 | 48.68 | 21.94 | 5.15e-13 | 7.73e-12 | 11NPM1, RPL5, RPS6, RPS12, RPLP1, RPL8, RPS8, RPS2, RPL4, RPL12, RPS14 |
132 |
BUSSLINGER_ESOPHAGEAL_EARLY_SUPRABASAL_CELLS | 1.30e-11 | 56.00 | 21.91 | 3.97e-10 | 8.74e-09 | 8NPM1, RPL5, RPS6, YBX1, RPLP1, CCT5, HSP90AB1, RPL4 |
79 |
BUSSLINGER_DUODENAL_DIFFERENTIATING_STEM_CELLS | 4.80e-21 | 40.95 | 21.39 | 1.44e-18 | 3.22e-18 | 18NPM1, RPL5, RPS6, YBX1, RPS25, RPS12, EEF1G, RPLP1, CCT5, HSP90AB1, RPL8, HSPE1, RPS8, RPS2, RPL17, RPL4, RPL12, RPS14 |
305 |
RUBENSTEIN_SKELETAL_MUSCLE_SATELLITE_CELLS | 6.42e-21 | 40.25 | 21.01 | 1.44e-18 | 4.31e-18 | 18NPM1, RPL5, RPS6, RPS25, RPS12, SGCE, RPLP1, NHP2, HSP90AB1, RPL8, HSPE1, RPS8, MIF, RPS2, RPL17, RPL4, RPL12, RPS14 |
310 |
RUBENSTEIN_SKELETAL_MUSCLE_T_CELLS | 2.33e-16 | 43.67 | 20.90 | 1.73e-14 | 1.56e-13 | 13NPM1, RPL5, RPS6, RPS25, RPS12, RPLP1, RPL8, RPS8, RPS2, RPL17, RPL4, RPL12, RPS14 |
181 |
TRAVAGLINI_LUNG_BRONCHIAL_VESSEL_1_CELL | 9.79e-17 | 38.68 | 18.98 | 8.21e-15 | 6.57e-14 | 14NPM1, RPL5, RPS6, RPS12, RPLP1, NHP2, HSP90AB1, RPL8, HSPE1, RPS8, RPS2, RPL4, RPL12, RPS14 |
224 |
BUSSLINGER_GASTRIC_LYZ_POSITIVE_CELLS | 4.72e-12 | 44.93 | 18.71 | 1.51e-10 | 3.17e-09 | 9RPL5, RPS6, RPS12, EEF1G, RPS8, RPS2, RPL17, RPL12, RPS14 |
111 |
RUBENSTEIN_SKELETAL_MUSCLE_B_CELLS | 7.55e-15 | 39.93 | 18.67 | 3.62e-13 | 5.07e-12 | 12NPM1, RPL5, RPS6, RPS25, RPS12, RPLP1, RPL8, RPS8, RPS2, RPL4, RPL12, RPS14 |
177 |
BUSSLINGER_DUODENAL_STEM_CELLS | 9.40e-18 | 33.32 | 16.98 | 1.05e-15 | 6.30e-15 | 16NPM1, RPL5, RPS6, YBX1, RPS25, RPS12, EEF1G, RPLP1, HSP90AB1, RPL8, HSPE1, RPS8, RPS2, RPL4, RPL12, RPS14 |
311 |
LAKE_ADULT_KIDNEY_C9_THIN_ASCENDING_LIMB | 1.17e-15 | 31.99 | 15.74 | 7.14e-14 | 7.85e-13 | 14NPM1, RPL5, RPS6, YBX1, RPS25, RPS12, RPLP1, HSP90AB1, RPL8, RPS8, RPS2, RPL4, RPL12, RPS14 |
268 |
LAKE_ADULT_KIDNEY_C8_DECENDING_THIN_LIMB | 1.94e-15 | 30.77 | 15.14 | 1.08e-13 | 1.30e-12 | 14NPM1, RPL5, RPS6, YBX1, RPS25, RPS12, RPLP1, HSP90AB1, RPL8, RPS8, RPS2, RPL4, RPL12, RPS14 |
278 |
BUSSLINGER_ESOPHAGEAL_QUIESCENT_BASAL_CELLS | 2.76e-08 | 40.09 | 13.53 | 6.18e-07 | 1.86e-05 | 6RPL5, RPS6, EEF1G, RPLP1, HSP90AB1, RPL4 |
77 |
LAKE_ADULT_KIDNEY_C18_COLLECTING_DUCT_PRINCIPAL_CELLS_MEDULLA | 1.44e-14 | 26.38 | 13.01 | 6.03e-13 | 9.64e-12 | 14NPM1, RPL5, RPS6, YBX1, RPS25, RPS12, RPLP1, HSP90AB1, RPL8, RPS8, RPS2, RPL4, RPL12, RPS14 |
322 |
LAKE_ADULT_KIDNEY_C10_THIN_ASCENDING_LIMB | 4.98e-14 | 23.97 | 11.83 | 1.86e-12 | 3.34e-11 | 14NPM1, RPL5, RPS6, YBX1, RPS25, RPS12, RPLP1, HSP90AB1, RPL8, RPS8, RPS2, RPL4, RPL12, RPS14 |
353 |
LAKE_ADULT_KIDNEY_C19_COLLECTING_DUCT_INTERCALATED_CELLS_TYPE_A_MEDULLA | 4.31e-13 | 23.45 | 11.32 | 1.46e-11 | 2.89e-10 | 13NPM1, RPL5, RPS6, RPS25, RPS12, RPLP1, HSP90AB1, RPL8, RPS8, RPS2, RPL4, RPL12, RPS14 |
326 |
Dowload full table
mSigDB Hallmark Gene Sets:
P-value | OR | Lower 95% CI | FDR | FWER | Genes Found | Gene Set Size | |
---|---|---|---|---|---|---|---|
HALLMARK_MYC_TARGETS_V1 | 9.05e-10 | 24.01 | 10.12 | 4.52e-08 | 4.52e-08 | 9SRM, NPM1, RPS6, NHP2, CCT5, HSP90AB1, BUB3, HSPE1, RPS2 |
200 |
HALLMARK_MYC_TARGETS_V2 | 3.57e-04 | 24.24 | 4.69 | 5.95e-03 | 1.78e-02 | 3SRM, NPM1, HSPE1 |
58 |
HALLMARK_UNFOLDED_PROTEIN_RESPONSE | 1.50e-04 | 16.67 | 4.28 | 3.74e-03 | 7.48e-03 | 4TATDN2, NPM1, NHP2, RPS14 |
113 |
HALLMARK_MTORC1_SIGNALING | 1.18e-02 | 6.77 | 1.34 | 1.47e-01 | 5.89e-01 | 3PHGDH, GOT1, HSPE1 |
200 |
HALLMARK_HYPOXIA | 8.11e-02 | 4.40 | 0.51 | 6.76e-01 | 1.00e+00 | 2VHL, MIF |
200 |
HALLMARK_GLYCOLYSIS | 8.11e-02 | 4.40 | 0.51 | 6.76e-01 | 1.00e+00 | 2GOT1, MIF |
200 |
HALLMARK_FATTY_ACID_METABOLISM | 3.13e-01 | 2.72 | 0.07 | 1.00e+00 | 1.00e+00 | 1MIF |
158 |
HALLMARK_G2M_CHECKPOINT | 3.78e-01 | 2.14 | 0.05 | 1.00e+00 | 1.00e+00 | 1BUB3 |
200 |
HALLMARK_ADIPOGENESIS | 3.78e-01 | 2.14 | 0.05 | 1.00e+00 | 1.00e+00 | 1JAGN1 |
200 |
HALLMARK_APICAL_JUNCTION | 3.78e-01 | 2.14 | 0.05 | 1.00e+00 | 1.00e+00 | 1SGCE |
200 |
HALLMARK_P53_PATHWAY | 3.78e-01 | 2.14 | 0.05 | 1.00e+00 | 1.00e+00 | 1RPS12 |
200 |
HALLMARK_ALLOGRAFT_REJECTION | 3.78e-01 | 2.14 | 0.05 | 1.00e+00 | 1.00e+00 | 1NPM1 |
200 |
HALLMARK_TNFA_SIGNALING_VIA_NFKB | 1.00e+00 | 0.00 | 0.00 | 1.00e+00 | 1.00e+00 | 0 |
200 |
HALLMARK_CHOLESTEROL_HOMEOSTASIS | 1.00e+00 | 0.00 | 0.00 | 1.00e+00 | 1.00e+00 | 0 |
74 |
HALLMARK_MITOTIC_SPINDLE | 1.00e+00 | 0.00 | 0.00 | 1.00e+00 | 1.00e+00 | 0 |
199 |
HALLMARK_WNT_BETA_CATENIN_SIGNALING | 1.00e+00 | 0.00 | 0.00 | 1.00e+00 | 1.00e+00 | 0 |
42 |
HALLMARK_TGF_BETA_SIGNALING | 1.00e+00 | 0.00 | 0.00 | 1.00e+00 | 1.00e+00 | 0 |
54 |
HALLMARK_IL6_JAK_STAT3_SIGNALING | 1.00e+00 | 0.00 | 0.00 | 1.00e+00 | 1.00e+00 | 0 |
87 |
HALLMARK_DNA_REPAIR | 1.00e+00 | 0.00 | 0.00 | 1.00e+00 | 1.00e+00 | 0 |
150 |
HALLMARK_APOPTOSIS | 1.00e+00 | 0.00 | 0.00 | 1.00e+00 | 1.00e+00 | 0 |
161 |
Dowload full table
KEGG Pathways:
P-value | OR | Lower 95% CI | FDR | FWER | Genes Found | Gene Set Size | |
---|---|---|---|---|---|---|---|
KEGG_RIBOSOME | 1.17e-16 | 76.26 | 34.00 | 2.18e-14 | 2.18e-14 | 11RPL5, RPS6, RPS25, RPS12, RPLP1, RPL8, RPS8, RPS2, RPL17, RPL4, RPL12 |
88 |
KEGG_PHENYLALANINE_METABOLISM | 8.32e-04 | 54.34 | 5.90 | 7.74e-02 | 1.55e-01 | 2GOT1, MIF |
18 |
KEGG_CYSTEINE_AND_METHIONINE_METABOLISM | 2.97e-03 | 27.19 | 3.07 | 1.84e-01 | 5.53e-01 | 2SRM, GOT1 |
34 |
KEGG_TYROSINE_METABOLISM | 4.50e-03 | 21.76 | 2.48 | 2.09e-01 | 8.38e-01 | 2GOT1, MIF |
42 |
KEGG_ARGININE_AND_PROLINE_METABOLISM | 7.34e-03 | 16.74 | 1.92 | 2.73e-01 | 1.00e+00 | 2SRM, GOT1 |
54 |
KEGG_REGULATION_OF_ACTIN_CYTOSKELETON | 9.02e-02 | 4.13 | 0.48 | 1.00e+00 | 1.00e+00 | 2BRK1, ARPC4 |
213 |
KEGG_BETA_ALANINE_METABOLISM | 5.12e-02 | 20.29 | 0.48 | 1.00e+00 | 1.00e+00 | 1SRM |
22 |
KEGG_GLYCINE_SERINE_AND_THREONINE_METABOLISM | 7.13e-02 | 14.21 | 0.34 | 1.00e+00 | 1.00e+00 | 1PHGDH |
31 |
KEGG_ALANINE_ASPARTATE_AND_GLUTAMATE_METABOLISM | 7.36e-02 | 13.76 | 0.33 | 1.00e+00 | 1.00e+00 | 1GOT1 |
32 |
KEGG_PATHWAYS_IN_CANCER | 1.77e-01 | 2.70 | 0.32 | 1.00e+00 | 1.00e+00 | 2VHL, HSP90AB1 |
325 |
KEGG_BASE_EXCISION_REPAIR | 8.02e-02 | 12.54 | 0.30 | 1.00e+00 | 1.00e+00 | 1OGG1 |
35 |
KEGG_VASOPRESSIN_REGULATED_WATER_REABSORPTION | 9.97e-02 | 9.91 | 0.24 | 1.00e+00 | 1.00e+00 | 1DYNC1I1 |
44 |
KEGG_GLUTATHIONE_METABOLISM | 1.12e-01 | 8.70 | 0.21 | 1.00e+00 | 1.00e+00 | 1SRM |
50 |
KEGG_MTOR_SIGNALING_PATHWAY | 1.17e-01 | 8.36 | 0.20 | 1.00e+00 | 1.00e+00 | 1RPS6 |
52 |
KEGG_PATHOGENIC_ESCHERICHIA_COLI_INFECTION | 1.25e-01 | 7.75 | 0.19 | 1.00e+00 | 1.00e+00 | 1ARPC4 |
56 |
KEGG_NOD_LIKE_RECEPTOR_SIGNALING_PATHWAY | 1.38e-01 | 6.99 | 0.17 | 1.00e+00 | 1.00e+00 | 1HSP90AB1 |
62 |
KEGG_RENAL_CELL_CARCINOMA | 1.54e-01 | 6.18 | 0.15 | 1.00e+00 | 1.00e+00 | 1VHL |
70 |
KEGG_PROGESTERONE_MEDIATED_OOCYTE_MATURATION | 1.83e-01 | 5.08 | 0.12 | 1.00e+00 | 1.00e+00 | 1HSP90AB1 |
85 |
KEGG_ANTIGEN_PROCESSING_AND_PRESENTATION | 1.89e-01 | 4.90 | 0.12 | 1.00e+00 | 1.00e+00 | 1HSP90AB1 |
88 |
KEGG_PROSTATE_CANCER | 1.91e-01 | 4.85 | 0.12 | 1.00e+00 | 1.00e+00 | 1HSP90AB1 |
89 |
Dowload full table
CHR Positional Gene Sets:
P-value | OR | Lower 95% CI | FDR | FWER | Genes Found | Gene Set Size | |
---|---|---|---|---|---|---|---|
chr3p25 | 1.26e-17 | 55.47 | 26.47 | 3.51e-15 | 3.51e-15 | 13BRK1, SEC13, JAGN1, ARPC4, VHL, TATDN2, TADA3, EMC3, OGG1, FANCD2, MTMR14, THUMPD3, CRELD1 |
145 |
chr7q21 | 6.12e-04 | 11.36 | 2.93 | 8.50e-02 | 1.70e-01 | 4DYNC1I1, DLX5, PEG10, SGCE |
164 |
chr7p15 | 2.19e-02 | 9.26 | 1.07 | 1.00e+00 | 1.00e+00 | 2HOXA7, HOXA5 |
96 |
chr5q35 | 9.67e-02 | 3.96 | 0.46 | 1.00e+00 | 1.00e+00 | 2NPM1, NHP2 |
222 |
chr1p34 | 1.37e-01 | 3.19 | 0.37 | 1.00e+00 | 1.00e+00 | 2YBX1, RPS8 |
275 |
chr1p12 | 1.10e-01 | 8.88 | 0.22 | 1.00e+00 | 1.00e+00 | 1PHGDH |
49 |
chr7p12 | 1.29e-01 | 7.48 | 0.18 | 1.00e+00 | 1.00e+00 | 1GRB10 |
58 |
chr15q23 | 1.44e-01 | 6.66 | 0.16 | 1.00e+00 | 1.00e+00 | 1RPLP1 |
65 |
chr6q23 | 2.23e-01 | 4.06 | 0.10 | 1.00e+00 | 1.00e+00 | 1RPS12 |
106 |
chr5q33 | 2.29e-01 | 3.95 | 0.10 | 1.00e+00 | 1.00e+00 | 1RPS14 |
109 |
chr4p15 | 2.52e-01 | 3.52 | 0.09 | 1.00e+00 | 1.00e+00 | 1C1QTNF7 |
122 |
chr15q22 | 2.56e-01 | 3.47 | 0.09 | 1.00e+00 | 1.00e+00 | 1RPL4 |
124 |
chr1p22 | 2.65e-01 | 3.33 | 0.08 | 1.00e+00 | 1.00e+00 | 1RPL5 |
129 |
chr9q33 | 2.68e-01 | 3.28 | 0.08 | 1.00e+00 | 1.00e+00 | 1RPL12 |
131 |
chr10q24 | 3.50e-01 | 2.37 | 0.06 | 1.00e+00 | 1.00e+00 | 1GOT1 |
181 |
chr18q21 | 3.62e-01 | 2.27 | 0.06 | 1.00e+00 | 1.00e+00 | 1RPL17 |
189 |
chr5p15 | 3.62e-01 | 2.27 | 0.06 | 1.00e+00 | 1.00e+00 | 1CCT5 |
189 |
chr2q33 | 3.71e-01 | 2.20 | 0.05 | 1.00e+00 | 1.00e+00 | 1HSPE1 |
195 |
chr10q26 | 3.78e-01 | 2.14 | 0.05 | 1.00e+00 | 1.00e+00 | 1BUB3 |
200 |
chr11q23 | 3.86e-01 | 2.09 | 0.05 | 1.00e+00 | 1.00e+00 | 1RPS25 |
205 |
Dowload full table
Transcription Factor Targets:
P-value | OR | Lower 95% CI | FDR | FWER | Genes Found | Gene Set Size | |
---|---|---|---|---|---|---|---|
ZZZ3_TARGET_GENES | 9.90e-06 | 20.01 | 6.09 | 1.87e-03 | 1.12e-02 | 5EMC3, RPL8, RPS2, RPL17, RPS14 |
121 |
GTF2A2_TARGET_GENES | 2.50e-08 | 11.54 | 5.30 | 1.42e-05 | 2.83e-05 | 11SEC13, NPM1, RPS6, RPS12, RPLP1, HSP90AB1, RPL8, RPS8, RPS2, RPL4, RPL12 |
522 |
FOXE1_TARGET_GENES | 7.00e-09 | 10.27 | 4.99 | 7.93e-06 | 7.93e-06 | 13EMC3, RPL5, RPS6, YBX1, RPS12, EEF1G, HSP90AB1, HSPE1, RPS8, RPL17, RPL4, RPL12, RPS14 |
728 |
GTF2E2_TARGET_GENES | 4.13e-07 | 11.41 | 4.84 | 1.17e-04 | 4.68e-04 | 9BRK1, RPS6, RPS12, RPLP1, HSP90AB1, RPS8, RPL17, RPL4, RPL12 |
411 |
BANP_TARGET_GENES | 8.31e-07 | 8.00 | 3.68 | 1.88e-04 | 9.42e-04 | 11ARPC4, TADA3, NPM1, RPS6, EEF1G, CCT5, MTMR14, RPS2, RPL17, RPL4, RPL12 |
748 |
ZNF529_TARGET_GENES | 2.32e-03 | 31.06 | 3.49 | 8.45e-02 | 1.00e+00 | 2PEG10, SGCE |
30 |
SCGGAAGY_ELK1_02 | 3.86e-07 | 6.62 | 3.29 | 1.17e-04 | 4.37e-04 | 14SEC13, JAGN1, ARPC4, TADA3, EMC3, RPS6, RPS25, OGG1, FANCD2, HSP90AB1, MTMR14, TOMM20, THUMPD3, RPS14 |
1242 |
PSMB5_TARGET_GENES | 8.05e-05 | 9.47 | 3.27 | 7.60e-03 | 9.12e-02 | 6NPM1, RPS12, RPLP1, HSP90AB1, RPS2, RPL12 |
307 |
PER1_TARGET_GENES | 2.80e-03 | 28.07 | 3.17 | 8.46e-02 | 1.00e+00 | 2RPL17, RPL12 |
33 |
FOXR2_TARGET_GENES | 2.23e-04 | 10.14 | 3.11 | 1.58e-02 | 2.52e-01 | 5RPS6, RPS25, RPL8, THUMPD3, RPS14 |
234 |
SRPK1_TARGET_GENES | 1.44e-04 | 8.48 | 2.93 | 1.17e-02 | 1.63e-01 | 6ARPC4, TADA3, RPS6, RPS2, RPL17, RPL12 |
342 |
TAF9B_TARGET_GENES | 4.37e-05 | 7.15 | 2.88 | 5.51e-03 | 4.96e-02 | 8RPL5, RPS6, EEF1G, HSP90AB1, RPL17, RPL4, RPL12, RPS14 |
565 |
ATF5_TARGET_GENES | 8.84e-05 | 7.55 | 2.85 | 7.70e-03 | 1.00e-01 | 7ARPC4, TADA3, RPS12, NHP2, CCT5, HSPE1, THUMPD3 |
458 |
FOXQ1_TARGET_GENES | 3.70e-03 | 24.17 | 2.74 | 9.81e-02 | 1.00e+00 | 2ARPC4, TADA3 |
38 |
SNRNP70_TARGET_GENES | 1.31e-05 | 5.91 | 2.72 | 2.12e-03 | 1.49e-02 | 11SEC13, EMC3, RPL5, RPS6, HSP90AB1, RPL8, RPS8, RPS2, RPL17, RPL12, RPS14 |
1009 |
RUVBL1_TARGET_GENES | 8.64e-04 | 10.32 | 2.67 | 4.38e-02 | 9.79e-01 | 4RPS12, HSP90AB1, THUMPD3, RPS14 |
180 |
ZNF250_TARGET_GENES | 1.60e-04 | 6.83 | 2.58 | 1.21e-02 | 1.81e-01 | 7ARPC4, TADA3, NPM1, RPL5, RPS6, RPL17, RPL12 |
505 |
DYRK1A_TARGET_GENES | 5.96e-05 | 6.00 | 2.55 | 6.76e-03 | 6.76e-02 | 9ARPC4, TADA3, NPM1, RPS6, CCT5, RPS2, RPL17, RPL4, RPL12 |
774 |
ARHGAP35_TARGET_GENES | 2.84e-03 | 11.50 | 2.26 | 8.46e-02 | 1.00e+00 | 3RPS6, RPL17, RPL12 |
119 |
GGCNKCCATNK_UNKNOWN | 2.97e-03 | 11.30 | 2.22 | 8.64e-02 | 1.00e+00 | 3YBX1, RPS8, RPL4 |
121 |
Dowload full table
GO Biological Processes:
P-value | OR | Lower 95% CI | FDR | FWER | Genes Found | Gene Set Size | |
---|---|---|---|---|---|---|---|
GOBP_COTRANSLATIONAL_PROTEIN_TARGETING_TO_MEMBRANE | 1.62e-17 | 69.36 | 31.95 | 1.21e-13 | 1.21e-13 | 12RPL5, RPS6, RPS25, RPS12, RPLP1, RPL8, RPS8, RPS2, RPL17, RPL4, RPL12, RPS14 |
107 |
GOBP_NUCLEAR_TRANSCRIBED_MRNA_CATABOLIC_PROCESS_NONSENSE_MEDIATED_DECAY | 6.71e-17 | 61.04 | 28.23 | 1.85e-13 | 5.02e-13 | 12RPL5, RPS6, RPS25, RPS12, RPLP1, RPL8, RPS8, RPS2, RPL17, RPL4, RPL12, RPS14 |
120 |
GOBP_ESTABLISHMENT_OF_PROTEIN_LOCALIZATION_TO_ENDOPLASMIC_RETICULUM | 7.43e-17 | 60.44 | 27.97 | 1.85e-13 | 5.56e-13 | 12RPL5, RPS6, RPS25, RPS12, RPLP1, RPL8, RPS8, RPS2, RPL17, RPL4, RPL12, RPS14 |
121 |
GOBP_PROTEIN_LOCALIZATION_TO_ENDOPLASMIC_RETICULUM | 9.46e-16 | 48.08 | 22.40 | 1.18e-12 | 7.08e-12 | 12RPL5, RPS6, RPS25, RPS12, RPLP1, RPL8, RPS8, RPS2, RPL17, RPL4, RPL12, RPS14 |
149 |
GOBP_TRANSLATIONAL_INITIATION | 5.37e-16 | 40.72 | 19.55 | 1.00e-12 | 4.01e-12 | 13NPM1, RPL5, RPS6, RPS25, RPS12, RPLP1, RPL8, RPS8, RPS2, RPL17, RPL4, RPL12, RPS14 |
193 |
GOBP_VIRAL_GENE_EXPRESSION | 7.48e-16 | 39.67 | 19.03 | 1.12e-12 | 5.60e-12 | 13SEC13, RPL5, RPS6, RPS25, RPS12, RPLP1, RPL8, RPS8, RPS2, RPL17, RPL4, RPL12, RPS14 |
198 |
GOBP_NUCLEAR_TRANSCRIBED_MRNA_CATABOLIC_PROCESS | 5.18e-14 | 33.66 | 15.76 | 4.85e-11 | 3.88e-10 | 12RPL5, RPS6, RPS25, RPS12, RPLP1, RPL8, RPS8, RPS2, RPL17, RPL4, RPL12, RPS14 |
208 |
GOBP_PROTEIN_TARGETING_TO_MEMBRANE | 5.18e-14 | 33.66 | 15.76 | 4.85e-11 | 3.88e-10 | 12RPL5, RPS6, RPS25, RPS12, RPLP1, RPL8, RPS8, RPS2, RPL17, RPL4, RPL12, RPS14 |
208 |
GOBP_ESTABLISHMENT_OF_PROTEIN_LOCALIZATION_TO_MEMBRANE | 1.08e-12 | 21.72 | 10.50 | 6.76e-10 | 8.11e-09 | 13EMC3, RPL5, RPS6, RPS25, RPS12, RPLP1, RPL8, RPS8, RPS2, RPL17, RPL4, RPL12, RPS14 |
351 |
GOBP_RNA_CATABOLIC_PROCESS | 4.21e-13 | 20.32 | 10.04 | 2.86e-10 | 3.15e-09 | 14NPM1, RPL5, RPS6, YBX1, RPS25, RPS12, RPLP1, RPL8, RPS8, RPS2, RPL17, RPL4, RPL12, RPS14 |
414 |
GOBP_RIBOSOMAL_SMALL_SUBUNIT_BIOGENESIS | 9.43e-07 | 33.14 | 9.97 | 2.28e-04 | 7.06e-03 | 5NPM1, RPS6, RPS25, RPS8, RPS14 |
75 |
GOBP_ESTABLISHMENT_OF_PROTEIN_LOCALIZATION_TO_ORGANELLE | 1.19e-13 | 17.57 | 9.00 | 9.92e-11 | 8.93e-10 | 16SEC13, RPL5, RPS6, RPS25, RPS12, RPLP1, CCT5, HSP90AB1, RPL8, RPS8, TOMM20, RPS2, RPL17, RPL4, RPL12, RPS14 |
576 |
GOBP_PROTEIN_TARGETING | 1.66e-11 | 17.28 | 8.37 | 8.90e-09 | 1.25e-07 | 13RPL5, RPS6, RPS25, RPS12, RPLP1, RPL8, RPS8, TOMM20, RPS2, RPL17, RPL4, RPL12, RPS14 |
438 |
GOBP_TRNA_TRANSPORT | 9.34e-05 | 39.19 | 7.44 | 1.89e-02 | 6.99e-01 | 3SEC13, YBX1, TOMM20 |
37 |
GOBP_ORGANIC_CYCLIC_COMPOUND_CATABOLIC_PROCESS | 8.23e-12 | 14.40 | 7.27 | 4.74e-09 | 6.16e-08 | 15NPM1, RPL5, RPS6, YBX1, RPS25, RPS12, OGG1, RPLP1, RPL8, RPS8, RPS2, RPL17, RPL4, RPL12, RPS14 |
637 |
GOBP_POSITIVE_REGULATION_OF_TELOMERASE_RNA_LOCALIZATION_TO_CAJAL_BODY | 5.74e-04 | 66.82 | 7.13 | 1.10e-01 | 1.00e+00 | 2NHP2, CCT5 |
15 |
GOBP_PROTEIN_LOCALIZATION_TO_ORGANELLE | 2.12e-13 | 13.09 | 6.96 | 1.58e-10 | 1.58e-09 | 19SEC13, EMC3, RPL5, RPS6, YBX1, RPS25, RPS12, RPLP1, CCT5, HSP90AB1, BUB3, RPL8, RPS8, TOMM20, RPS2, RPL17, RPL4, RPL12, RPS14 |
998 |
GOBP_PEPTIDE_BIOSYNTHETIC_PROCESS | 6.36e-11 | 12.36 | 6.24 | 3.17e-08 | 4.76e-07 | 15NPM1, RPL5, RPS6, YBX1, RPS25, RPS12, EEF1G, RPLP1, RPL8, RPS8, RPS2, RPL17, RPL4, RPL12, RPS14 |
740 |
GOBP_TELOMERASE_RNA_LOCALIZATION | 9.28e-04 | 51.08 | 5.58 | 1.58e-01 | 1.00e+00 | 2NHP2, CCT5 |
19 |
GOBP_RRNA_METABOLIC_PROCESS | 1.37e-06 | 14.73 | 5.53 | 3.10e-04 | 1.02e-02 | 7RPL5, RPS6, RPS25, NHP2, RPS8, RPS2, RPS14 |
238 |
Dowload full table
Immunological Gene Sets:
P-value | OR | Lower 95% CI | FDR | FWER | Genes Found | Gene Set Size | |
---|---|---|---|---|---|---|---|
GSE2405_0H_VS_24H_A_PHAGOCYTOPHILUM_STIM_NEUTROPHIL_UP | 2.01e-17 | 43.66 | 21.39 | 9.79e-14 | 9.79e-14 | 14BRK1, NPM1, RPL5, RPS6, YBX1, RPS25, EEF1G, HSPE1, RPS8, RPS2, RPL17, RPL4, RPL12, RPS14 |
200 |
GSE2405_0H_VS_9H_A_PHAGOCYTOPHILUM_STIM_NEUTROPHIL_DN | 8.52e-16 | 39.24 | 18.83 | 2.08e-12 | 4.15e-12 | 13NPM1, RPL5, RPS6, YBX1, RPS25, EEF1G, CCT5, RPS8, RPS2, RPL17, RPL4, RPL12, RPS14 |
200 |
GSE41978_ID2_KO_VS_ID2_KO_AND_BIM_KO_KLRG1_LOW_EFFECTOR_CD8_TCELL_DN | 3.25e-14 | 35.09 | 16.43 | 5.28e-11 | 1.58e-10 | 12RPL5, RPS6, YBX1, RPLP1, HSP90AB1, BUB3, RPS8, MIF, RPL17, RPL4, RPL12, RPS14 |
200 |
GSE14000_TRANSLATED_RNA_VS_MRNA_DC_DN | 7.98e-13 | 32.20 | 14.64 | 9.72e-10 | 3.89e-09 | 11VHL, RPS6, YBX1, RPS25, RPS12, RPLP1, RPL8, RPL17, RPL4, RPL12, RPS14 |
194 |
GSE41978_KLRG1_HIGH_VS_LOW_EFFECTOR_CD8_TCELL_DN | 9.05e-10 | 24.01 | 10.12 | 8.82e-07 | 4.41e-06 | 9RPL5, RPS6, RPS25, EEF1G, RPLP1, HSP90AB1, RPS2, RPL12, RPS14 |
200 |
GSE3720_UNSTIM_VS_LPS_STIM_VD2_GAMMADELTA_TCELL_UP | 5.23e-09 | 25.01 | 9.99 | 4.25e-06 | 2.55e-05 | 8RPL5, RPS12, CCT5, RPL8, RPS8, RPS2, RPL4, RPL12 |
167 |
GSE6269_HEALTHY_VS_FLU_INF_PBMC_UP | 1.83e-07 | 20.12 | 7.53 | 1.11e-04 | 8.89e-04 | 7RPL5, RPS12, EEF1G, BUB3, RPL17, RPL4, RPS14 |
176 |
GSE3720_UNSTIM_VS_PMA_STIM_VD1_GAMMADELTA_TCELL_UP | 1.83e-07 | 20.12 | 7.53 | 1.11e-04 | 8.89e-04 | 7VHL, RPS12, CCT5, RPL8, RPL4, RPL12, RPS14 |
176 |
GSE34205_HEALTHY_VS_FLU_INF_INFANT_PBMC_UP | 4.03e-07 | 17.81 | 6.67 | 2.03e-04 | 1.96e-03 | 7RPL5, RPS12, EEF1G, RPLP1, RPL8, RPL4, RPS14 |
198 |
GSE22886_NAIVE_BCELL_VS_NEUTROPHIL_UP | 4.17e-07 | 17.72 | 6.64 | 2.03e-04 | 2.03e-03 | 7NPM1, RPS6, RPS25, RPLP1, HSP90AB1, RPL8, RPS14 |
199 |
GSE3565_DUSP1_VS_WT_SPLENOCYTES_POST_LPS_INJECTION_UP | 2.40e-06 | 18.02 | 6.19 | 1.06e-03 | 1.17e-02 | 6SRM, NPM1, RPLP1, RPL8, RPS2, RPL17 |
164 |
GSE3720_UNSTIM_VS_PMA_STIM_VD2_GAMMADELTA_TCELL_UP | 3.48e-06 | 16.86 | 5.79 | 1.41e-03 | 1.70e-02 | 6RPS12, RPLP1, CCT5, RPS2, RPL4, RPL12 |
175 |
GSE13485_CTRL_VS_DAY7_YF17D_VACCINE_PBMC_UP | 4.79e-06 | 15.92 | 5.47 | 1.79e-03 | 2.33e-02 | 6RPL5, RPS6, EEF1G, RPS8, TOMM20, RPL4 |
185 |
GSE20727_CTRL_VS_DNFB_ALLERGEN_TREATED_DC_DN | 6.27e-06 | 15.16 | 5.21 | 1.82e-03 | 3.06e-02 | 6NPM1, RPL5, RPS25, RPLP1, RPL17, RPL12 |
194 |
GSE2124_CTRL_VS_LYMPHOTOXIN_BETA_TREATED_MLN_UP | 6.84e-06 | 14.92 | 5.13 | 1.82e-03 | 3.33e-02 | 6TATDN2, RPL5, RPS6, RPS25, RPL17, RPS14 |
197 |
GSE25123_WT_VS_PPARG_KO_MACROPHAGE_DN | 7.25e-06 | 14.77 | 5.08 | 1.82e-03 | 3.53e-02 | 6RPL5, YBX1, HSP90AB1, RPL8, RPS2, RPL12 |
199 |
GSE411_100MIN_VS_400MIN_IL6_STIM_MACROPHAGE_DN | 7.45e-06 | 14.69 | 5.06 | 1.82e-03 | 3.63e-02 | 6NPM1, EEF1G, GOT1, NHP2, TOMM20, MIF |
200 |
GSE21927_SPLEEN_C57BL6_VS_4T1_TUMOR_BALBC_MONOCYTES_UP | 7.45e-06 | 14.69 | 5.06 | 1.82e-03 | 3.63e-02 | 6RPL5, EEF1G, RPS8, TOMM20, RPL17, RPL4 |
200 |
GSE22432_MULTIPOTENT_VS_COMMON_DC_PROGENITOR_UNTREATED_UP | 7.45e-06 | 14.69 | 5.06 | 1.82e-03 | 3.63e-02 | 6JAGN1, SRM, PHGDH, NPM1, YBX1, BUB3 |
200 |
GSE28726_NAIVE_VS_ACTIVATED_VA24NEG_NKTCELL_UP | 7.45e-06 | 14.69 | 5.06 | 1.82e-03 | 3.63e-02 | 6SRM, YBX1, GOT1, NHP2, HSP90AB1, MIF |
200 |
Top Ranked Transcription Factors for this Gene Expression Program:
Gene Symbol | TF Rank | DNA Binding Domain | Motif Status | IUPAC PWM | GTEx | DepMap | Decartes |
---|---|---|---|---|---|---|---|
HOXA7 | 3 | Yes | Known motif | Monomer or homomultimer | High-throughput in vitro | None | None |
DLX5 | 7 | Yes | Known motif | Monomer or homomultimer | High-throughput in vitro | None | None |
TADA3 | 11 | No | Unlikely to be sequence specific TF | Not a DNA binding protein | No motif | Has a putative AT-hook | Paper cited by GO annotation has no evidence of specific DNA-binding activity (PMID: 9674425), and is based on experiments using an entire complex |
NPM1 | 15 | No | Unlikely to be sequence specific TF | Low specificity DNA-binding protein | No motif | None | No evidence for sequence-specific DNA-binding (PMID: 2223875) |
YBX1 | 19 | Yes | Known motif | Monomer or homomultimer | High-throughput in vitro | None | Might also bind RNA |
OGG1 | 23 | No | Unlikely to be sequence specific TF | Low specificity DNA-binding protein | No motif | None | DNA error repairing enzyme. Binds DNA in the crystal structure (PDB: 1EBM), presumably without specificity |
FANCD2 | 28 | No | Unlikely to be sequence specific TF | Not a DNA binding protein | No motif | None | DNA repair protein. Inconclusive data supporting sequence-specific binding. Binds NFKB target sites in EMSA using 293T expressing FANCD2 (PMID: 21912593). Since the protein is expressed in mammalian cells, it could still be NFKB mediated binding. |
HOXA5 | 49 | Yes | Known motif | Monomer or homomultimer | High-throughput in vitro | None | None |
SATB1 | 54 | Yes | Known motif | Low specificity DNA-binding protein | In vivo/Misc source | Only known motifs are from Transfac or HocoMoco - origin is uncertain | SATBs were analyzed by Gwenael Badis and Mike Berger a decade ago; by PBMs. It did not yield a motif; instead; the signal was very closely proportional to nucleotide content, as the name suggests (Special AT Binding). |
ENO1 | 72 | No | Unlikely to be sequence specific TF | Not a DNA binding protein | No motif | Only known motifs are from Transfac or HocoMoco - origin is uncertain | Enolase - DNA binding not shown to be direct |
BNC2 | 76 | Yes | Inferred motif | Monomer or homomultimer | In vivo/Misc source | Has a putative AT-hook | None |
HMX3 | 84 | Yes | Known motif | Monomer or homomultimer | High-throughput in vitro | None | None |
YBX3 | 95 | Yes | Known motif | Monomer or homomultimer | 100 perc ID - in vitro | None | Identical DBD to YBX1. Might also bind RNA. |
CNBP | 99 | No | ssDNA/RNA binding | Not a DNA binding protein | No motif | None | CNBP has a specificity for single-stranded DNA (PMID: 2562787) |
GTF3A | 118 | Yes | Known motif | Monomer or homomultimer | High-throughput in vitro | ChIP-seq motif is consistent with recognition code (RCADE) | None |
BRPF1 | 120 | No | Unlikely to be sequence specific TF | Not a DNA binding protein | No motif | Has a putative AT-hook | None |
LYAR | 131 | No | Unlikely to be sequence specific TF | Not a DNA binding protein | No motif | None | LYAR-type C2H2 ZF domains have not been shown to bind DNA. LYAR binds to the 60S subunit of the ribosome. It regulates translation rather than transcription (PMID: 24990247). |
BANF1 | 137 | No | Unlikely to be sequence specific TF | Low specificity DNA-binding protein | No motif | None | Binds DNA in the crystal structure, contacting only the backbone from the side of the minor groove (PDB: 2BZF) |
ETV1 | 141 | Yes | Known motif | Monomer or homomultimer | High-throughput in vitro | None | None |
RPL7 | 147 | No | Unlikely to be sequence specific TF | Low specificity DNA-binding protein | No motif | None | Binds DNA by filter binding (PMID: 8441630), but competition assays suggest it is non-specific. A specific dsRNA structure is thought to be the preferred substrate. RNA-binding has been demonstrated by gel-shift experiments (PMID: 10329420). |
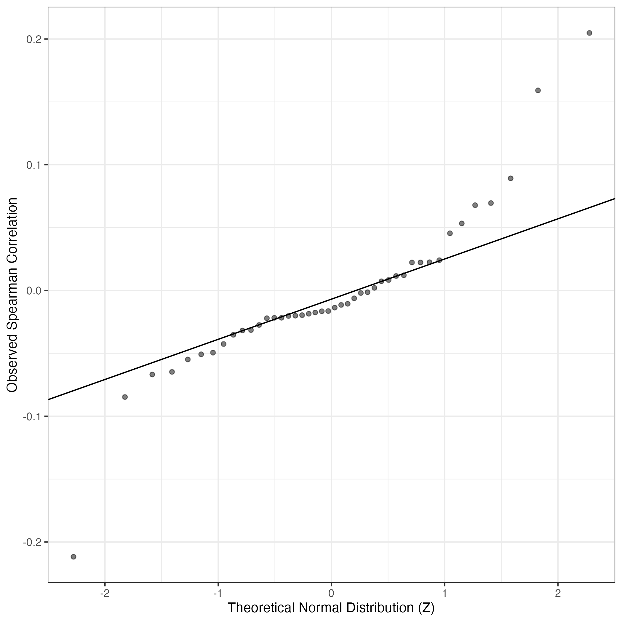
QQ Plot showing correlations with other Gene Expression Programs in this dataset, calculated by Spearman correlation:
Interactive QQ-plot of gene loadings:
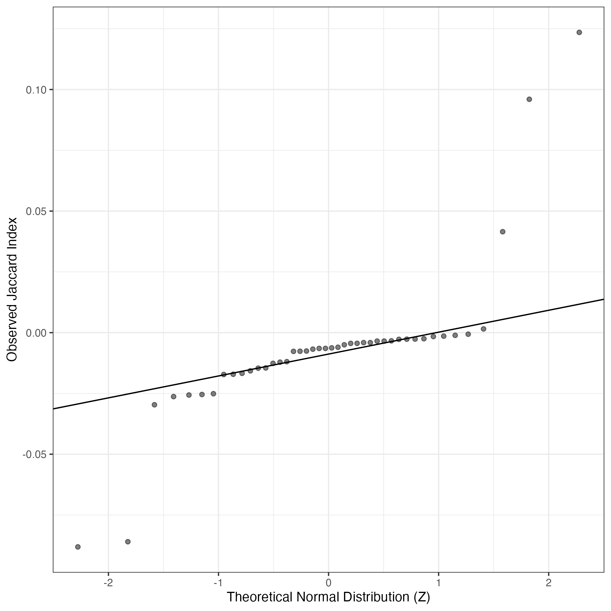
A similar QQ-plot as above, but only for instances where the H value is e.g. > 25, i.e. we are confident that the expression program is active above noise. Agreemenet between these binary vectors is tested using the Jaccard Index, with the P-values calculated by an exact test:
Interactive QQ-plot:
Singler cell type annotations for the top 50 cells on this program.
Cell ID | Singler label | Singler Delta | Activity Score | Top Singler Raw Scores |
---|---|---|---|---|
831_TAACTTCAGCTTAGTC-1 | Neurons:adrenal_medulla_cell_line | 0.28 | 504.40 | Raw ScoresNeurons:adrenal_medulla_cell_line: 0.58, Neuroepithelial_cell:ESC-derived: 0.55, iPS_cells:PDB_1lox-21Puro-20: 0.53, iPS_cells:PDB_1lox-21Puro-26: 0.52, iPS_cells:PDB_1lox-17Puro-10: 0.52, iPS_cells:PDB_2lox-22: 0.51, iPS_cells:PDB_1lox-17Puro-5: 0.51, Astrocyte:Embryonic_stem_cell-derived: 0.51, iPS_cells:PDB_2lox-21: 0.51, Embryonic_stem_cells: 0.51 |
831_GAATCGTCACACCTAA-1 | Neurons:adrenal_medulla_cell_line | 0.26 | 445.17 | Raw ScoresNeurons:adrenal_medulla_cell_line: 0.59, Neuroepithelial_cell:ESC-derived: 0.57, iPS_cells:PDB_1lox-21Puro-20: 0.54, iPS_cells:PDB_1lox-21Puro-26: 0.54, iPS_cells:PDB_1lox-17Puro-10: 0.53, iPS_cells:PDB_2lox-22: 0.53, Embryonic_stem_cells: 0.53, iPS_cells:PDB_1lox-17Puro-5: 0.53, iPS_cells:PDB_2lox-21: 0.53, iPS_cells:PDB_2lox-17: 0.53 |
831_CTACTATTCCAGCAAT-1 | Neurons:adrenal_medulla_cell_line | 0.25 | 422.55 | Raw ScoresNeurons:adrenal_medulla_cell_line: 0.58, Neuroepithelial_cell:ESC-derived: 0.56, iPS_cells:PDB_1lox-21Puro-20: 0.54, iPS_cells:PDB_1lox-21Puro-26: 0.54, iPS_cells:PDB_1lox-17Puro-10: 0.53, iPS_cells:PDB_2lox-22: 0.53, iPS_cells:PDB_1lox-17Puro-5: 0.53, Embryonic_stem_cells: 0.53, iPS_cells:PDB_2lox-21: 0.52, iPS_cells:PDB_2lox-17: 0.52 |
831_GCATGATGTCACCCTT-1 | Neurons:adrenal_medulla_cell_line | 0.27 | 418.12 | Raw ScoresNeurons:adrenal_medulla_cell_line: 0.59, Neuroepithelial_cell:ESC-derived: 0.56, iPS_cells:PDB_1lox-21Puro-20: 0.54, iPS_cells:PDB_1lox-21Puro-26: 0.54, iPS_cells:PDB_1lox-17Puro-10: 0.53, iPS_cells:PDB_2lox-22: 0.53, iPS_cells:PDB_1lox-17Puro-5: 0.53, iPS_cells:PDB_2lox-17: 0.53, Embryonic_stem_cells: 0.53, iPS_cells:PDB_2lox-21: 0.52 |
831_CCTATCGCAATTGCAC-1 | Neurons:adrenal_medulla_cell_line | 0.27 | 403.55 | Raw ScoresNeurons:adrenal_medulla_cell_line: 0.57, Neuroepithelial_cell:ESC-derived: 0.54, iPS_cells:PDB_1lox-21Puro-20: 0.52, iPS_cells:PDB_1lox-21Puro-26: 0.52, iPS_cells:PDB_1lox-17Puro-10: 0.52, iPS_cells:PDB_2lox-22: 0.51, iPS_cells:PDB_1lox-17Puro-5: 0.51, Embryonic_stem_cells: 0.51, iPS_cells:PDB_2lox-17: 0.51, iPS_cells:PDB_2lox-21: 0.51 |
831_TGAGACTCACATATGC-1 | Neurons:adrenal_medulla_cell_line | 0.27 | 395.72 | Raw ScoresNeurons:adrenal_medulla_cell_line: 0.59, Neuroepithelial_cell:ESC-derived: 0.55, iPS_cells:PDB_1lox-21Puro-20: 0.53, iPS_cells:PDB_1lox-21Puro-26: 0.53, iPS_cells:PDB_1lox-17Puro-10: 0.53, iPS_cells:PDB_2lox-22: 0.52, iPS_cells:PDB_1lox-17Puro-5: 0.52, iPS_cells:PDB_2lox-17: 0.52, Astrocyte:Embryonic_stem_cell-derived: 0.52, iPS_cells:PDB_2lox-21: 0.52 |
831_TCCTCGAAGCACGATG-1 | Neurons:adrenal_medulla_cell_line | 0.26 | 390.08 | Raw ScoresNeurons:adrenal_medulla_cell_line: 0.58, Neuroepithelial_cell:ESC-derived: 0.55, iPS_cells:PDB_1lox-21Puro-20: 0.53, iPS_cells:PDB_1lox-21Puro-26: 0.53, iPS_cells:PDB_1lox-17Puro-10: 0.53, iPS_cells:PDB_2lox-22: 0.53, iPS_cells:PDB_1lox-17Puro-5: 0.52, iPS_cells:PDB_2lox-21: 0.52, iPS_cells:PDB_2lox-17: 0.52, Embryonic_stem_cells: 0.52 |
831_GGTCACGGTACCTAAC-1 | Neurons:adrenal_medulla_cell_line | 0.27 | 386.72 | Raw ScoresNeurons:adrenal_medulla_cell_line: 0.6, Neuroepithelial_cell:ESC-derived: 0.58, iPS_cells:PDB_1lox-21Puro-20: 0.56, iPS_cells:PDB_1lox-21Puro-26: 0.56, iPS_cells:PDB_1lox-17Puro-10: 0.55, iPS_cells:PDB_2lox-22: 0.55, iPS_cells:PDB_1lox-17Puro-5: 0.54, Embryonic_stem_cells: 0.54, iPS_cells:PDB_2lox-21: 0.54, iPS_cells:PDB_2lox-17: 0.54 |
831_GGCACGTCATTACGGT-1 | Neurons:adrenal_medulla_cell_line | 0.28 | 384.17 | Raw ScoresNeurons:adrenal_medulla_cell_line: 0.58, Neuroepithelial_cell:ESC-derived: 0.56, iPS_cells:PDB_1lox-21Puro-20: 0.53, iPS_cells:PDB_1lox-21Puro-26: 0.53, iPS_cells:PDB_1lox-17Puro-10: 0.53, iPS_cells:PDB_1lox-17Puro-5: 0.52, iPS_cells:PDB_2lox-22: 0.52, Embryonic_stem_cells: 0.52, iPS_cells:PDB_2lox-17: 0.52, iPS_cells:PDB_2lox-21: 0.52 |
831_TGGGATTTCAGTGCGC-1 | Neurons:adrenal_medulla_cell_line | 0.25 | 382.49 | Raw ScoresNeurons:adrenal_medulla_cell_line: 0.59, Neuroepithelial_cell:ESC-derived: 0.56, iPS_cells:PDB_1lox-21Puro-20: 0.54, iPS_cells:PDB_1lox-21Puro-26: 0.54, iPS_cells:PDB_2lox-22: 0.54, iPS_cells:PDB_1lox-17Puro-10: 0.53, iPS_cells:PDB_2lox-21: 0.53, iPS_cells:PDB_2lox-17: 0.53, iPS_cells:PDB_1lox-17Puro-5: 0.53, Embryonic_stem_cells: 0.53 |
831_AAAGGATCACGAGGTA-1 | Neurons:adrenal_medulla_cell_line | 0.26 | 377.89 | Raw ScoresNeurons:adrenal_medulla_cell_line: 0.57, Neuroepithelial_cell:ESC-derived: 0.55, iPS_cells:PDB_1lox-21Puro-20: 0.53, iPS_cells:PDB_1lox-21Puro-26: 0.53, iPS_cells:PDB_2lox-22: 0.53, iPS_cells:PDB_1lox-17Puro-10: 0.53, iPS_cells:PDB_1lox-17Puro-5: 0.52, iPS_cells:PDB_2lox-17: 0.52, iPS_cells:PDB_2lox-21: 0.52, Embryonic_stem_cells: 0.52 |
831_GGAACCCAGAACGCGT-1 | Neurons:adrenal_medulla_cell_line | 0.27 | 374.60 | Raw ScoresNeurons:adrenal_medulla_cell_line: 0.59, Neuroepithelial_cell:ESC-derived: 0.55, iPS_cells:PDB_1lox-21Puro-20: 0.54, iPS_cells:PDB_2lox-22: 0.54, iPS_cells:PDB_1lox-21Puro-26: 0.53, iPS_cells:PDB_2lox-21: 0.53, iPS_cells:PDB_1lox-17Puro-10: 0.53, iPS_cells:PDB_2lox-17: 0.53, iPS_cells:PDB_1lox-17Puro-5: 0.53, iPS_cells:adipose_stem_cell-derived:minicircle-derived: 0.52 |
831_CAAGCTACACCGTACG-1 | Neurons:adrenal_medulla_cell_line | 0.28 | 373.81 | Raw ScoresNeurons:adrenal_medulla_cell_line: 0.59, Neuroepithelial_cell:ESC-derived: 0.56, iPS_cells:PDB_1lox-21Puro-20: 0.53, iPS_cells:PDB_1lox-21Puro-26: 0.53, iPS_cells:PDB_1lox-17Puro-10: 0.53, iPS_cells:PDB_2lox-22: 0.52, iPS_cells:PDB_1lox-17Puro-5: 0.52, Astrocyte:Embryonic_stem_cell-derived: 0.52, iPS_cells:PDB_2lox-21: 0.52, Embryonic_stem_cells: 0.52 |
831_TGCTTCGTCACGATCA-1 | Neurons:adrenal_medulla_cell_line | 0.26 | 373.69 | Raw ScoresNeurons:adrenal_medulla_cell_line: 0.57, Neuroepithelial_cell:ESC-derived: 0.55, iPS_cells:PDB_1lox-21Puro-20: 0.52, iPS_cells:PDB_1lox-21Puro-26: 0.52, iPS_cells:PDB_1lox-17Puro-10: 0.52, iPS_cells:PDB_2lox-22: 0.51, iPS_cells:PDB_1lox-17Puro-5: 0.51, iPS_cells:PDB_2lox-21: 0.51, iPS_cells:PDB_2lox-17: 0.51, Embryonic_stem_cells: 0.5 |
831_CATCCCACACCCAATA-1 | Neurons:adrenal_medulla_cell_line | 0.27 | 372.93 | Raw ScoresNeurons:adrenal_medulla_cell_line: 0.58, Neuroepithelial_cell:ESC-derived: 0.56, iPS_cells:PDB_1lox-21Puro-20: 0.54, iPS_cells:PDB_1lox-21Puro-26: 0.54, iPS_cells:PDB_1lox-17Puro-10: 0.53, iPS_cells:PDB_2lox-22: 0.53, iPS_cells:PDB_1lox-17Puro-5: 0.53, iPS_cells:PDB_2lox-21: 0.52, iPS_cells:PDB_2lox-17: 0.52, Embryonic_stem_cells: 0.52 |
831_ATTCTACGTGTAAATG-1 | Neurons:adrenal_medulla_cell_line | 0.26 | 367.96 | Raw ScoresNeurons:adrenal_medulla_cell_line: 0.59, Neuroepithelial_cell:ESC-derived: 0.56, iPS_cells:PDB_1lox-21Puro-20: 0.54, iPS_cells:PDB_2lox-22: 0.53, iPS_cells:PDB_1lox-21Puro-26: 0.53, iPS_cells:PDB_1lox-17Puro-10: 0.53, iPS_cells:PDB_2lox-21: 0.53, iPS_cells:PDB_2lox-17: 0.53, Astrocyte:Embryonic_stem_cell-derived: 0.52, iPS_cells:PDB_1lox-17Puro-5: 0.52 |
855_AGAGAGCAGGTTCTTG-1 | Neurons:adrenal_medulla_cell_line | 0.25 | 367.28 | Raw ScoresNeurons:adrenal_medulla_cell_line: 0.55, Neuroepithelial_cell:ESC-derived: 0.51, iPS_cells:PDB_1lox-21Puro-20: 0.5, iPS_cells:PDB_1lox-21Puro-26: 0.5, iPS_cells:PDB_2lox-22: 0.5, iPS_cells:PDB_1lox-17Puro-10: 0.49, iPS_cells:PDB_2lox-17: 0.49, iPS_cells:PDB_2lox-21: 0.49, iPS_cells:PDB_1lox-17Puro-5: 0.49, Embryonic_stem_cells: 0.49 |
831_GACTATGTCCGTCACT-1 | Neurons:adrenal_medulla_cell_line | 0.27 | 359.18 | Raw ScoresNeurons:adrenal_medulla_cell_line: 0.59, Neuroepithelial_cell:ESC-derived: 0.55, iPS_cells:PDB_1lox-21Puro-20: 0.53, iPS_cells:PDB_1lox-21Puro-26: 0.52, iPS_cells:PDB_2lox-22: 0.52, iPS_cells:PDB_1lox-17Puro-10: 0.52, iPS_cells:PDB_2lox-21: 0.51, Astrocyte:Embryonic_stem_cell-derived: 0.51, iPS_cells:PDB_2lox-17: 0.51, iPS_cells:PDB_1lox-17Puro-5: 0.51 |
831_CTCGAGGTCAGCCTTC-1 | Neurons:adrenal_medulla_cell_line | 0.26 | 358.41 | Raw ScoresNeurons:adrenal_medulla_cell_line: 0.57, Neuroepithelial_cell:ESC-derived: 0.55, iPS_cells:PDB_1lox-21Puro-20: 0.52, iPS_cells:PDB_1lox-21Puro-26: 0.52, iPS_cells:PDB_1lox-17Puro-10: 0.52, iPS_cells:PDB_1lox-17Puro-5: 0.51, iPS_cells:PDB_2lox-22: 0.51, Embryonic_stem_cells: 0.51, iPS_cells:PDB_2lox-21: 0.51, iPS_cells:PDB_2lox-17: 0.5 |
831_AACCTGAAGTCATCGT-1 | Neurons:adrenal_medulla_cell_line | 0.27 | 358.28 | Raw ScoresNeurons:adrenal_medulla_cell_line: 0.6, Neuroepithelial_cell:ESC-derived: 0.57, iPS_cells:PDB_1lox-21Puro-20: 0.55, iPS_cells:PDB_1lox-21Puro-26: 0.54, iPS_cells:PDB_1lox-17Puro-10: 0.54, iPS_cells:PDB_2lox-22: 0.54, iPS_cells:PDB_1lox-17Puro-5: 0.53, iPS_cells:PDB_2lox-21: 0.53, iPS_cells:PDB_2lox-17: 0.53, Embryonic_stem_cells: 0.53 |
855_TGGATGTCACCGCTGA-1 | Neurons:adrenal_medulla_cell_line | 0.24 | 353.99 | Raw ScoresNeurons:adrenal_medulla_cell_line: 0.56, Neuroepithelial_cell:ESC-derived: 0.53, iPS_cells:PDB_1lox-21Puro-20: 0.52, iPS_cells:PDB_1lox-21Puro-26: 0.51, iPS_cells:PDB_2lox-22: 0.51, iPS_cells:PDB_1lox-17Puro-10: 0.51, iPS_cells:PDB_2lox-21: 0.51, iPS_cells:PDB_2lox-17: 0.51, iPS_cells:adipose_stem_cell-derived:minicircle-derived: 0.5, iPS_cells:PDB_1lox-17Puro-5: 0.5 |
855_CATTCTACACGACGCT-1 | Neurons:adrenal_medulla_cell_line | 0.22 | 353.03 | Raw ScoresNeurons:adrenal_medulla_cell_line: 0.5, Neuroepithelial_cell:ESC-derived: 0.47, iPS_cells:PDB_1lox-21Puro-20: 0.45, iPS_cells:PDB_1lox-21Puro-26: 0.45, iPS_cells:PDB_2lox-22: 0.45, iPS_cells:PDB_1lox-17Puro-10: 0.44, iPS_cells:PDB_2lox-21: 0.44, iPS_cells:PDB_2lox-17: 0.44, Embryonic_stem_cells: 0.44, iPS_cells:PDB_1lox-17Puro-5: 0.44 |
831_AAGACTCAGAGCTGCA-1 | Neurons:adrenal_medulla_cell_line | 0.24 | 352.29 | Raw ScoresNeurons:adrenal_medulla_cell_line: 0.58, Neuroepithelial_cell:ESC-derived: 0.55, iPS_cells:PDB_1lox-21Puro-20: 0.54, iPS_cells:PDB_1lox-21Puro-26: 0.53, iPS_cells:PDB_1lox-17Puro-10: 0.53, iPS_cells:PDB_2lox-22: 0.53, iPS_cells:PDB_1lox-17Puro-5: 0.53, Embryonic_stem_cells: 0.53, iPS_cells:PDB_2lox-21: 0.53, iPS_cells:PDB_2lox-17: 0.53 |
831_TATTCCATCTGCGAGC-1 | Neurons:adrenal_medulla_cell_line | 0.27 | 346.39 | Raw ScoresNeurons:adrenal_medulla_cell_line: 0.58, Neuroepithelial_cell:ESC-derived: 0.57, iPS_cells:PDB_1lox-21Puro-20: 0.54, iPS_cells:PDB_1lox-21Puro-26: 0.53, iPS_cells:PDB_1lox-17Puro-10: 0.53, Astrocyte:Embryonic_stem_cell-derived: 0.53, iPS_cells:PDB_2lox-22: 0.52, Embryonic_stem_cells: 0.52, Neurons:ES_cell-derived_neural_precursor: 0.52, iPS_cells:PDB_1lox-17Puro-5: 0.52 |
831_TCATTCAGTACGTGTT-1 | Neurons:adrenal_medulla_cell_line | 0.26 | 345.09 | Raw ScoresNeurons:adrenal_medulla_cell_line: 0.57, Neuroepithelial_cell:ESC-derived: 0.55, iPS_cells:PDB_1lox-21Puro-20: 0.53, iPS_cells:PDB_1lox-21Puro-26: 0.52, iPS_cells:PDB_1lox-17Puro-10: 0.52, iPS_cells:PDB_2lox-22: 0.52, iPS_cells:PDB_1lox-17Puro-5: 0.52, Embryonic_stem_cells: 0.51, iPS_cells:PDB_2lox-17: 0.51, iPS_cells:PDB_2lox-21: 0.51 |
831_GAAACCTGTGCCAAGA-1 | Neurons:adrenal_medulla_cell_line | 0.28 | 344.32 | Raw ScoresNeurons:adrenal_medulla_cell_line: 0.58, Neuroepithelial_cell:ESC-derived: 0.56, iPS_cells:PDB_1lox-21Puro-20: 0.54, iPS_cells:PDB_1lox-21Puro-26: 0.53, iPS_cells:PDB_1lox-17Puro-10: 0.53, iPS_cells:PDB_2lox-22: 0.53, iPS_cells:PDB_1lox-17Puro-5: 0.52, iPS_cells:PDB_2lox-21: 0.52, iPS_cells:PDB_2lox-17: 0.52, Astrocyte:Embryonic_stem_cell-derived: 0.52 |
831_CGTCAAAAGCAGATAT-1 | Neurons:adrenal_medulla_cell_line | 0.27 | 343.94 | Raw ScoresNeurons:adrenal_medulla_cell_line: 0.59, Neuroepithelial_cell:ESC-derived: 0.56, iPS_cells:PDB_1lox-21Puro-20: 0.54, iPS_cells:PDB_1lox-21Puro-26: 0.54, iPS_cells:PDB_2lox-22: 0.53, iPS_cells:PDB_1lox-17Puro-10: 0.53, iPS_cells:PDB_1lox-17Puro-5: 0.53, iPS_cells:PDB_2lox-21: 0.53, iPS_cells:PDB_2lox-17: 0.53, Embryonic_stem_cells: 0.52 |
831_CACGAATCACTCACTC-1 | Neurons:adrenal_medulla_cell_line | 0.28 | 343.79 | Raw ScoresNeurons:adrenal_medulla_cell_line: 0.58, Neuroepithelial_cell:ESC-derived: 0.55, iPS_cells:PDB_1lox-21Puro-20: 0.53, iPS_cells:PDB_1lox-21Puro-26: 0.53, iPS_cells:PDB_1lox-17Puro-10: 0.52, iPS_cells:PDB_2lox-22: 0.52, iPS_cells:PDB_1lox-17Puro-5: 0.52, Embryonic_stem_cells: 0.51, iPS_cells:PDB_2lox-21: 0.51, iPS_cells:PDB_2lox-17: 0.51 |
831_TCACTCGGTCCATCTC-1 | Neurons:adrenal_medulla_cell_line | 0.28 | 342.11 | Raw ScoresNeurons:adrenal_medulla_cell_line: 0.59, Neuroepithelial_cell:ESC-derived: 0.55, iPS_cells:PDB_1lox-21Puro-20: 0.53, iPS_cells:PDB_1lox-21Puro-26: 0.52, iPS_cells:PDB_1lox-17Puro-10: 0.52, iPS_cells:PDB_2lox-22: 0.52, iPS_cells:PDB_1lox-17Puro-5: 0.52, iPS_cells:PDB_2lox-21: 0.51, iPS_cells:PDB_2lox-17: 0.51, Astrocyte:Embryonic_stem_cell-derived: 0.51 |
831_AAGTTCGCAGTTGGTT-1 | Neurons:adrenal_medulla_cell_line | 0.26 | 341.55 | Raw ScoresNeurons:adrenal_medulla_cell_line: 0.57, Neuroepithelial_cell:ESC-derived: 0.55, iPS_cells:PDB_1lox-21Puro-20: 0.52, iPS_cells:PDB_1lox-21Puro-26: 0.52, iPS_cells:PDB_2lox-22: 0.52, iPS_cells:PDB_1lox-17Puro-10: 0.51, iPS_cells:PDB_2lox-21: 0.51, iPS_cells:PDB_2lox-17: 0.51, Embryonic_stem_cells: 0.51, iPS_cells:PDB_1lox-17Puro-5: 0.51 |
831_CCGGACAAGATCGCCC-1 | Neurons:adrenal_medulla_cell_line | 0.26 | 340.23 | Raw ScoresNeurons:adrenal_medulla_cell_line: 0.58, Neuroepithelial_cell:ESC-derived: 0.54, iPS_cells:PDB_1lox-21Puro-20: 0.52, iPS_cells:PDB_1lox-21Puro-26: 0.52, iPS_cells:PDB_2lox-22: 0.52, iPS_cells:PDB_1lox-17Puro-10: 0.51, iPS_cells:PDB_2lox-17: 0.51, iPS_cells:PDB_2lox-21: 0.51, iPS_cells:PDB_1lox-17Puro-5: 0.51, Embryonic_stem_cells: 0.51 |
831_GGAAGTGGTTCGGACC-1 | Neurons:adrenal_medulla_cell_line | 0.26 | 338.93 | Raw ScoresNeurons:adrenal_medulla_cell_line: 0.56, Neuroepithelial_cell:ESC-derived: 0.54, iPS_cells:PDB_1lox-21Puro-20: 0.51, iPS_cells:PDB_1lox-21Puro-26: 0.51, iPS_cells:PDB_2lox-22: 0.5, iPS_cells:PDB_1lox-17Puro-10: 0.5, Astrocyte:Embryonic_stem_cell-derived: 0.5, Embryonic_stem_cells: 0.5, iPS_cells:PDB_1lox-17Puro-5: 0.5, iPS_cells:PDB_2lox-21: 0.49 |
831_GATGTTGGTCAACCAT-1 | Neurons:adrenal_medulla_cell_line | 0.26 | 335.81 | Raw ScoresNeurons:adrenal_medulla_cell_line: 0.56, Neuroepithelial_cell:ESC-derived: 0.54, iPS_cells:PDB_1lox-21Puro-20: 0.52, iPS_cells:PDB_1lox-21Puro-26: 0.51, iPS_cells:PDB_1lox-17Puro-10: 0.51, iPS_cells:PDB_1lox-17Puro-5: 0.51, iPS_cells:PDB_2lox-22: 0.5, iPS_cells:PDB_2lox-21: 0.5, Astrocyte:Embryonic_stem_cell-derived: 0.5, iPS_cells:PDB_2lox-17: 0.5 |
831_CTGAGGCAGGTCTACT-1 | Neurons:adrenal_medulla_cell_line | 0.26 | 334.78 | Raw ScoresNeurons:adrenal_medulla_cell_line: 0.57, Neuroepithelial_cell:ESC-derived: 0.54, iPS_cells:PDB_1lox-21Puro-20: 0.52, iPS_cells:PDB_1lox-21Puro-26: 0.52, iPS_cells:PDB_1lox-17Puro-10: 0.51, iPS_cells:PDB_2lox-22: 0.51, iPS_cells:PDB_1lox-17Puro-5: 0.51, iPS_cells:PDB_2lox-21: 0.5, iPS_cells:PDB_2lox-17: 0.5, Embryonic_stem_cells: 0.5 |
831_TTGGATGTCGGACTTA-1 | Neurons:adrenal_medulla_cell_line | 0.26 | 333.79 | Raw ScoresNeurons:adrenal_medulla_cell_line: 0.58, Neuroepithelial_cell:ESC-derived: 0.55, iPS_cells:PDB_1lox-21Puro-20: 0.53, iPS_cells:PDB_1lox-21Puro-26: 0.53, iPS_cells:PDB_1lox-17Puro-10: 0.52, iPS_cells:PDB_2lox-22: 0.52, Embryonic_stem_cells: 0.52, iPS_cells:PDB_1lox-17Puro-5: 0.52, iPS_cells:PDB_2lox-21: 0.52, iPS_cells:PDB_2lox-17: 0.52 |
831_AATCACGTCACCCATC-1 | Neurons:adrenal_medulla_cell_line | 0.25 | 333.46 | Raw ScoresNeurons:adrenal_medulla_cell_line: 0.57, Neuroepithelial_cell:ESC-derived: 0.54, iPS_cells:PDB_1lox-21Puro-20: 0.52, iPS_cells:PDB_1lox-21Puro-26: 0.52, iPS_cells:PDB_1lox-17Puro-10: 0.52, iPS_cells:PDB_2lox-22: 0.51, iPS_cells:PDB_1lox-17Puro-5: 0.51, iPS_cells:PDB_2lox-17: 0.51, iPS_cells:PDB_2lox-21: 0.51, Embryonic_stem_cells: 0.5 |
831_CATAAGCTCCACATAG-1 | Neurons:adrenal_medulla_cell_line | 0.26 | 331.50 | Raw ScoresNeurons:adrenal_medulla_cell_line: 0.56, Neuroepithelial_cell:ESC-derived: 0.54, iPS_cells:PDB_1lox-21Puro-20: 0.52, iPS_cells:PDB_1lox-21Puro-26: 0.51, iPS_cells:PDB_1lox-17Puro-10: 0.51, iPS_cells:PDB_2lox-22: 0.51, iPS_cells:PDB_1lox-17Puro-5: 0.5, Embryonic_stem_cells: 0.5, iPS_cells:PDB_2lox-17: 0.5, iPS_cells:PDB_2lox-21: 0.5 |
831_ATCCTATCACATTACG-1 | Neurons:adrenal_medulla_cell_line | 0.27 | 330.35 | Raw ScoresNeurons:adrenal_medulla_cell_line: 0.58, Neuroepithelial_cell:ESC-derived: 0.55, iPS_cells:PDB_1lox-21Puro-20: 0.54, iPS_cells:PDB_1lox-21Puro-26: 0.53, iPS_cells:PDB_1lox-17Puro-10: 0.53, iPS_cells:PDB_1lox-17Puro-5: 0.52, iPS_cells:PDB_2lox-22: 0.52, iPS_cells:PDB_2lox-17: 0.52, Embryonic_stem_cells: 0.52, iPS_cells:PDB_2lox-21: 0.52 |
831_CGAGAAGAGTTGTAAG-1 | Neurons:adrenal_medulla_cell_line | 0.27 | 327.94 | Raw ScoresNeurons:adrenal_medulla_cell_line: 0.59, Neuroepithelial_cell:ESC-derived: 0.56, iPS_cells:PDB_1lox-21Puro-20: 0.53, iPS_cells:PDB_1lox-21Puro-26: 0.53, iPS_cells:PDB_2lox-22: 0.52, iPS_cells:PDB_1lox-17Puro-10: 0.52, iPS_cells:PDB_1lox-17Puro-5: 0.52, Embryonic_stem_cells: 0.52, iPS_cells:PDB_2lox-21: 0.52, iPS_cells:PDB_2lox-17: 0.52 |
831_CTCCACAGTCCAAAGG-1 | Neurons:adrenal_medulla_cell_line | 0.26 | 327.55 | Raw ScoresNeurons:adrenal_medulla_cell_line: 0.59, Neuroepithelial_cell:ESC-derived: 0.56, iPS_cells:PDB_1lox-21Puro-20: 0.54, iPS_cells:PDB_1lox-21Puro-26: 0.54, iPS_cells:PDB_1lox-17Puro-10: 0.53, iPS_cells:PDB_1lox-17Puro-5: 0.53, iPS_cells:PDB_2lox-22: 0.53, iPS_cells:PDB_2lox-21: 0.52, Embryonic_stem_cells: 0.52, iPS_cells:PDB_2lox-17: 0.52 |
831_GGGACTCTCTACGGGC-1 | Neurons:adrenal_medulla_cell_line | 0.27 | 326.78 | Raw ScoresNeurons:adrenal_medulla_cell_line: 0.59, Neuroepithelial_cell:ESC-derived: 0.55, iPS_cells:PDB_1lox-21Puro-20: 0.53, iPS_cells:PDB_1lox-21Puro-26: 0.53, iPS_cells:PDB_2lox-22: 0.52, iPS_cells:PDB_1lox-17Puro-10: 0.52, iPS_cells:PDB_1lox-17Puro-5: 0.52, iPS_cells:PDB_2lox-21: 0.52, iPS_cells:PDB_2lox-17: 0.52, Astrocyte:Embryonic_stem_cell-derived: 0.52 |
831_ACCCTTGGTCTACGAT-1 | Neurons:adrenal_medulla_cell_line | 0.27 | 326.50 | Raw ScoresNeurons:adrenal_medulla_cell_line: 0.57, Neuroepithelial_cell:ESC-derived: 0.54, iPS_cells:PDB_1lox-21Puro-20: 0.52, iPS_cells:PDB_1lox-21Puro-26: 0.52, iPS_cells:PDB_2lox-22: 0.52, iPS_cells:PDB_1lox-17Puro-10: 0.52, iPS_cells:PDB_2lox-21: 0.51, iPS_cells:PDB_1lox-17Puro-5: 0.51, iPS_cells:PDB_2lox-17: 0.51, Embryonic_stem_cells: 0.51 |
831_CACTGAATCTTGTTAC-1 | Neurons:adrenal_medulla_cell_line | 0.26 | 325.58 | Raw ScoresNeurons:adrenal_medulla_cell_line: 0.58, Neuroepithelial_cell:ESC-derived: 0.56, iPS_cells:PDB_1lox-21Puro-20: 0.53, iPS_cells:PDB_1lox-21Puro-26: 0.53, iPS_cells:PDB_1lox-17Puro-10: 0.53, iPS_cells:PDB_2lox-22: 0.53, iPS_cells:PDB_1lox-17Puro-5: 0.52, iPS_cells:PDB_2lox-21: 0.52, Embryonic_stem_cells: 0.52, iPS_cells:PDB_2lox-17: 0.52 |
831_AGACTCAAGACCAGAC-1 | Neurons:adrenal_medulla_cell_line | 0.27 | 324.31 | Raw ScoresNeurons:adrenal_medulla_cell_line: 0.58, Neuroepithelial_cell:ESC-derived: 0.55, iPS_cells:PDB_1lox-21Puro-20: 0.52, iPS_cells:PDB_1lox-21Puro-26: 0.52, iPS_cells:PDB_1lox-17Puro-10: 0.51, Astrocyte:Embryonic_stem_cell-derived: 0.51, iPS_cells:PDB_2lox-22: 0.51, Embryonic_stem_cells: 0.51, iPS_cells:PDB_1lox-17Puro-5: 0.51, Neurons:ES_cell-derived_neural_precursor: 0.51 |
831_AGGATCTTCGCCGATG-1 | Neurons:adrenal_medulla_cell_line | 0.26 | 323.89 | Raw ScoresNeurons:adrenal_medulla_cell_line: 0.57, Neuroepithelial_cell:ESC-derived: 0.54, iPS_cells:PDB_1lox-21Puro-20: 0.52, iPS_cells:PDB_1lox-21Puro-26: 0.52, iPS_cells:PDB_1lox-17Puro-10: 0.51, iPS_cells:PDB_1lox-17Puro-5: 0.51, iPS_cells:PDB_2lox-22: 0.51, Astrocyte:Embryonic_stem_cell-derived: 0.5, iPS_cells:PDB_2lox-17: 0.5, Embryonic_stem_cells: 0.5 |
831_TAACCAGTCTCGGCTT-1 | Neurons:adrenal_medulla_cell_line | 0.26 | 323.87 | Raw ScoresNeurons:adrenal_medulla_cell_line: 0.56, Neuroepithelial_cell:ESC-derived: 0.52, iPS_cells:PDB_1lox-21Puro-20: 0.51, iPS_cells:PDB_1lox-21Puro-26: 0.51, iPS_cells:PDB_2lox-22: 0.5, iPS_cells:PDB_1lox-17Puro-10: 0.5, iPS_cells:PDB_2lox-21: 0.5, iPS_cells:PDB_1lox-17Puro-5: 0.5, iPS_cells:PDB_2lox-17: 0.5, Embryonic_stem_cells: 0.5 |
831_ATCCATTGTCCTACGG-1 | Neurons:adrenal_medulla_cell_line | 0.26 | 322.20 | Raw ScoresNeurons:adrenal_medulla_cell_line: 0.58, Neuroepithelial_cell:ESC-derived: 0.55, iPS_cells:PDB_1lox-21Puro-20: 0.53, iPS_cells:PDB_1lox-21Puro-26: 0.53, iPS_cells:PDB_2lox-22: 0.52, iPS_cells:PDB_1lox-17Puro-10: 0.52, iPS_cells:PDB_1lox-17Puro-5: 0.52, Embryonic_stem_cells: 0.52, iPS_cells:PDB_2lox-17: 0.52, iPS_cells:PDB_2lox-21: 0.52 |
831_CCTCACAGTCGGTGAA-1 | Neurons:adrenal_medulla_cell_line | 0.28 | 321.39 | Raw ScoresNeurons:adrenal_medulla_cell_line: 0.59, Neuroepithelial_cell:ESC-derived: 0.57, iPS_cells:PDB_1lox-21Puro-20: 0.55, iPS_cells:PDB_1lox-21Puro-26: 0.55, iPS_cells:PDB_1lox-17Puro-10: 0.54, iPS_cells:PDB_2lox-22: 0.54, iPS_cells:PDB_1lox-17Puro-5: 0.54, iPS_cells:PDB_2lox-21: 0.54, iPS_cells:PDB_2lox-17: 0.54, Embryonic_stem_cells: 0.53 |
831_TCCTCCCAGTTGCCTA-1 | Neurons:adrenal_medulla_cell_line | 0.24 | 320.42 | Raw ScoresNeurons:adrenal_medulla_cell_line: 0.54, Neuroepithelial_cell:ESC-derived: 0.51, Astrocyte:Embryonic_stem_cell-derived: 0.48, iPS_cells:PDB_1lox-21Puro-20: 0.48, iPS_cells:PDB_1lox-21Puro-26: 0.48, iPS_cells:PDB_1lox-17Puro-10: 0.47, iPS_cells:PDB_2lox-22: 0.47, iPS_cells:PDB_1lox-17Puro-5: 0.47, iPS_cells:PDB_2lox-17: 0.47, iPS_cells:PDB_2lox-21: 0.47 |
831_ACTGTCCCATTGACAC-1 | Neurons:adrenal_medulla_cell_line | 0.26 | 320.31 | Raw ScoresNeurons:adrenal_medulla_cell_line: 0.58, Neuroepithelial_cell:ESC-derived: 0.56, iPS_cells:PDB_1lox-21Puro-20: 0.53, iPS_cells:PDB_1lox-21Puro-26: 0.53, iPS_cells:PDB_1lox-17Puro-10: 0.53, iPS_cells:PDB_2lox-22: 0.53, iPS_cells:PDB_1lox-17Puro-5: 0.52, Embryonic_stem_cells: 0.52, iPS_cells:PDB_2lox-17: 0.52, iPS_cells:PDB_2lox-21: 0.52 |
Below shows the significant enrichments of this GEP for literature curated gene lists
This data was procured from existing single cell RNA-seq maps of neuroblastoma or related relevant data.
High ranks indicate this gene is a driver of this GEP.
These curated gene list are ranked by the P-value (on this GEP) of their constituent genes.
The Mean Count column shows the mean read count in cells scoring highly (H > 50) on this gene expression program.
Genes | Weight | Rank | GTEx | DepMap | Decartes | Mean.Counts | Mean.TPM |
---|---|---|---|---|---|---|---|
EIF3L | 0.0047927 | 146 | GTEx | DepMap | Descartes | 9.38 | 60.71 |
EIF3E | 0.0047618 | 155 | GTEx | DepMap | Descartes | 16.13 | 61.19 |
EIF3F | 0.0027709 | 469 | GTEx | DepMap | Descartes | 20.79 | 302.24 |
Adrenal Premordium (Hanemaaijer)
Marker genes obtained from Supplementary Table SD of Hanemaaijer et al (PMID 33500353). The authors generated single-cell RNA-seq data (sort-seq, 2,229 cells total) from mouse adrenal glads at E13.5, E14.5, E17.5, E18.5, P1 and P5. These were marker genes that matched with a similar dataset generated by Furlan et al (PMID 28684471). This particular set of markers are for the Adrenal Premordium subcluster, which is part of the Cortex cluster.:
Wilcoxon ranksum test P-value for gene set overrepresentation: 4.74e-03
Mean rank of genes in gene set: 3460.2
Rank on gene expression program of genes in gene set:
Genes | Weight | Rank | GTEx | DepMap | Decartes | Mean.Counts | Mean.TPM |
---|---|---|---|---|---|---|---|
NPM1 | 0.0092458 | 15 | GTEx | DepMap | Descartes | 251.39 | 2842.26 |
MIF | 0.0073963 | 43 | GTEx | DepMap | Descartes | 117.52 | 16634.66 |
RPS2 | 0.0073811 | 44 | GTEx | DepMap | Descartes | 213.88 | 6878.90 |
TPI1 | 0.0039249 | 225 | GTEx | DepMap | Descartes | 21.57 | 727.46 |
TK1 | -0.0006925 | 16974 | GTEx | DepMap | Descartes | 1.17 | 13.10 |
Proteasomal degradation (Kinker)
These marker genes were obtained in a pan cancer cell lines NMF analysis of scRNA-eq data in Kinker et al (PMID 33128048) - 10 metaprograms were recovered that manifest across cancers, this is for proteasomal degradataion:
Wilcoxon ranksum test P-value for gene set overrepresentation: 1.31e-02
Mean rank of genes in gene set: 4465.2
Rank on gene expression program of genes in gene set:
Genes | Weight | Rank | GTEx | DepMap | Decartes | Mean.Counts | Mean.TPM |
---|---|---|---|---|---|---|---|
PSMA4 | 0.0051625 | 113 | GTEx | DepMap | Descartes | 18.36 | 313.84 |
PSMA3 | 0.0023642 | 602 | GTEx | DepMap | Descartes | 27.58 | 156.32 |
PSMC2 | 0.0021933 | 676 | GTEx | DepMap | Descartes | 8.61 | 58.08 |
PSMB3 | 0.0019897 | 784 | GTEx | DepMap | Descartes | 21.82 | 266.68 |
PSME2 | -0.0015037 | 20151 | GTEx | DepMap | Descartes | 1.16 | 38.82 |
Below shows ranks on this GEP for literature curated gene lists for large gene sets
These include those reported as mesenchymal/adrenergic by Van Groningen et al.
High ranks indicate this gene is a driver of this GEP (note these results are not ordered).
The Mean Count column shows the mean read count in cells scoring highly (H > 50) on this gene expression program.
VanGroningen Adrenergic Genes
Adrenergic marker genes from Supplementary Table 2 of Van Groningen et al. Nature Genetics 2017. These genes were identified by differential expression analysis of mesenchymal-like and adrenergic-like neuroblastoma cell lines.
Wilcoxon ranksum test P-value for gene set overrepresentation: 9.99e-01
Mean rank of genes in gene set: 11525.06
Median rank of genes in gene set: 13970
Rank on gene expression program of top 30 genes in gene set:
Genes | Weight | Rank | GTEx | DepMap | Descartes | Mean.Counts | Mean.TPM |
---|---|---|---|---|---|---|---|
GRB10 | 0.0080013 | 29 | GTEx | DepMap | Descartes | 2.97 | 3.46 |
SATB1 | 0.0068976 | 54 | GTEx | DepMap | Descartes | 8.67 | 11.32 |
HS6ST2 | 0.0059556 | 77 | GTEx | DepMap | Descartes | 1.34 | 0.58 |
TUBB2B | 0.0049067 | 132 | GTEx | DepMap | Descartes | 44.61 | 1499.76 |
PHOX2A | 0.0047671 | 153 | GTEx | DepMap | Descartes | 16.28 | 464.24 |
CENPV | 0.0042361 | 197 | GTEx | DepMap | Descartes | 15.62 | 135.34 |
RANBP1 | 0.0042190 | 198 | GTEx | DepMap | Descartes | 38.84 | 535.75 |
BEX1 | 0.0041372 | 202 | GTEx | DepMap | Descartes | 19.24 | 1554.15 |
TMEM97 | 0.0039949 | 218 | GTEx | DepMap | Descartes | 7.00 | 96.66 |
SYT4 | 0.0039059 | 227 | GTEx | DepMap | Descartes | 3.80 | 50.06 |
ST3GAL6 | 0.0038333 | 242 | GTEx | DepMap | Descartes | 1.05 | 2.36 |
LSM4 | 0.0036820 | 263 | GTEx | DepMap | Descartes | 23.21 | 525.60 |
FKBP4 | 0.0036514 | 271 | GTEx | DepMap | Descartes | 19.89 | 276.96 |
PIK3R1 | 0.0035707 | 282 | GTEx | DepMap | Descartes | 6.88 | 10.02 |
INA | 0.0034624 | 305 | GTEx | DepMap | Descartes | 12.93 | 153.86 |
AHSA1 | 0.0032354 | 350 | GTEx | DepMap | Descartes | 9.16 | 150.41 |
PPP2R3C | 0.0031177 | 376 | GTEx | DepMap | Descartes | 4.97 | 25.61 |
OLA1 | 0.0030110 | 403 | GTEx | DepMap | Descartes | 10.39 | 10.24 |
MAPT | 0.0029957 | 411 | GTEx | DepMap | Descartes | 6.33 | 7.82 |
LMO3 | 0.0028815 | 428 | GTEx | DepMap | Descartes | 1.91 | 1.10 |
KIF21A | 0.0027993 | 452 | GTEx | DepMap | Descartes | 6.84 | 7.43 |
DTD1 | 0.0027853 | 458 | GTEx | DepMap | Descartes | 5.09 | 3.75 |
ELAVL2 | 0.0027232 | 489 | GTEx | DepMap | Descartes | 9.74 | 8.10 |
FBLL1 | 0.0026464 | 513 | GTEx | DepMap | Descartes | 3.85 | 323.94 |
SOX11 | 0.0025659 | 532 | GTEx | DepMap | Descartes | 24.02 | 361.81 |
DPYSL3 | 0.0025572 | 539 | GTEx | DepMap | Descartes | 7.89 | 8.47 |
ACOT7 | 0.0025012 | 555 | GTEx | DepMap | Descartes | 5.05 | 6.74 |
HMGA1 | 0.0022335 | 661 | GTEx | DepMap | Descartes | 0.76 | 13.08 |
SERP2 | 0.0021529 | 695 | GTEx | DepMap | Descartes | 4.83 | 25.09 |
NPTX2 | 0.0021216 | 715 | GTEx | DepMap | Descartes | 0.74 | 8.32 |
VanGroningen Mesenchymal Genes
Mesenchymal marker genes from Supplementary Table 2 of Van Groningen et al. Nature Genetics 2017. These genes were identified by differential expression analysis of mesenchymal-like and adrenergic-like neuroblastoma cell lines.
Wilcoxon ranksum test P-value for gene set overrepresentation: 1.00e+00
Mean rank of genes in gene set: 14153.41
Median rank of genes in gene set: 15939
Rank on gene expression program of top 30 genes in gene set:
Genes | Weight | Rank | GTEx | DepMap | Descartes | Mean.Counts | Mean.TPM |
---|---|---|---|---|---|---|---|
PRDX6 | 0.0064149 | 64 | GTEx | DepMap | Descartes | 26.55 | 297.17 |
BNC2 | 0.0060147 | 76 | GTEx | DepMap | Descartes | 2.04 | 0.66 |
ABRACL | 0.0037186 | 256 | GTEx | DepMap | Descartes | 12.10 | 124.14 |
SSBP4 | 0.0032911 | 337 | GTEx | DepMap | Descartes | 6.40 | 70.67 |
TSPAN4 | 0.0031526 | 365 | GTEx | DepMap | Descartes | 2.09 | 14.29 |
TFPI | 0.0027285 | 486 | GTEx | DepMap | Descartes | 0.87 | 2.48 |
GNAI1 | 0.0021621 | 691 | GTEx | DepMap | Descartes | 2.07 | 2.70 |
CNN3 | 0.0020492 | 754 | GTEx | DepMap | Descartes | 3.86 | 15.45 |
MANF | 0.0019785 | 792 | GTEx | DepMap | Descartes | 10.49 | 24.31 |
CAPN6 | 0.0018520 | 853 | GTEx | DepMap | Descartes | 0.14 | 0.70 |
PTN | 0.0016441 | 985 | GTEx | DepMap | Descartes | 5.82 | 7.61 |
MYDGF | 0.0015176 | 1068 | GTEx | DepMap | Descartes | 4.87 | 74.06 |
PLSCR1 | 0.0014245 | 1138 | GTEx | DepMap | Descartes | 0.47 | 2.63 |
FAM129A | 0.0012477 | 1301 | GTEx | DepMap | Descartes | 0.42 | 0.33 |
ARL1 | 0.0012178 | 1321 | GTEx | DepMap | Descartes | 6.45 | 61.15 |
FIBIN | 0.0011794 | 1362 | GTEx | DepMap | Descartes | 0.16 | 8.84 |
DDR2 | 0.0010714 | 1477 | GTEx | DepMap | Descartes | 0.99 | 0.96 |
LRRC17 | 0.0009757 | 1594 | GTEx | DepMap | Descartes | 0.11 | 0.43 |
SPRY1 | 0.0009720 | 1597 | GTEx | DepMap | Descartes | 0.51 | 13.78 |
EPHA3 | 0.0009181 | 1665 | GTEx | DepMap | Descartes | 0.09 | 0.04 |
TMBIM4 | 0.0008835 | 1712 | GTEx | DepMap | Descartes | 3.13 | 16.62 |
MAN2A1 | 0.0008560 | 1760 | GTEx | DepMap | Descartes | 1.49 | 1.25 |
PALLD | 0.0008216 | 1803 | GTEx | DepMap | Descartes | 0.43 | 0.13 |
SH3BGRL | 0.0008095 | 1825 | GTEx | DepMap | Descartes | 3.79 | 4.63 |
LUZP1 | 0.0007478 | 1945 | GTEx | DepMap | Descartes | 2.20 | 3.32 |
DMD | 0.0006885 | 2062 | GTEx | DepMap | Descartes | 0.21 | 0.01 |
PTPRK | 0.0006879 | 2064 | GTEx | DepMap | Descartes | 0.37 | 0.09 |
SUCLG2 | 0.0006802 | 2075 | GTEx | DepMap | Descartes | 1.25 | 0.62 |
SDC2 | 0.0006598 | 2132 | GTEx | DepMap | Descartes | 0.49 | 0.54 |
ELAVL1 | 0.0006411 | 2173 | GTEx | DepMap | Descartes | 4.56 | 14.41 |
Descartes adrenocortical markers
Top 50 marker genes of adrenocortical cells in the Decartes fetal adrenal single cell map (https://atlas.brotmanbaty.org/bbi/human-gene-expression-during-development/cell/adrenocortical/in/adrenal)
Wilcoxon ranksum test P-value for gene set overrepresentation: 2.58e-01
Mean rank of genes in gene set: 9870.83
Median rank of genes in gene set: 10789
Rank on gene expression program of top 30 genes in gene set:
Genes | Weight | Rank | GTEx | DepMap | Descartes | Mean.Counts | Mean.TPM |
---|---|---|---|---|---|---|---|
HSPE1 | 0.0075028 | 39 | GTEx | DepMap | Descartes | 52.39 | 2054.63 |
HSPD1 | 0.0063545 | 67 | GTEx | DepMap | Descartes | 52.83 | 636.60 |
BAIAP2L1 | 0.0055024 | 98 | GTEx | DepMap | Descartes | 1.60 | 2.11 |
DHCR7 | 0.0009950 | 1571 | GTEx | DepMap | Descartes | 1.52 | 7.68 |
CYB5B | 0.0009792 | 1588 | GTEx | DepMap | Descartes | 2.25 | 7.63 |
SH3BP5 | 0.0009224 | 1659 | GTEx | DepMap | Descartes | 1.27 | 2.14 |
MSMO1 | 0.0009156 | 1671 | GTEx | DepMap | Descartes | 2.55 | 20.80 |
TM7SF2 | 0.0003638 | 2813 | GTEx | DepMap | Descartes | 0.25 | 5.64 |
PDE10A | 0.0003578 | 2823 | GTEx | DepMap | Descartes | 0.56 | 0.16 |
SCARB1 | 0.0001621 | 3613 | GTEx | DepMap | Descartes | 0.40 | 0.79 |
JAKMIP2 | 0.0001464 | 3703 | GTEx | DepMap | Descartes | 0.65 | 0.54 |
FDPS | 0.0001151 | 3856 | GTEx | DepMap | Descartes | 6.78 | 99.69 |
SLC1A2 | 0.0000787 | 4077 | GTEx | DepMap | Descartes | 0.20 | 0.19 |
FRMD5 | 0.0000124 | 4689 | GTEx | DepMap | Descartes | 0.43 | 0.20 |
CYP17A1 | -0.0000025 | 4925 | GTEx | DepMap | Descartes | 0.00 | 0.00 |
CYP11A1 | -0.0000250 | 5553 | GTEx | DepMap | Descartes | 0.00 | 0.01 |
SULT2A1 | -0.0000323 | 5790 | GTEx | DepMap | Descartes | 0.00 | 0.00 |
CYP11B1 | -0.0000431 | 6211 | GTEx | DepMap | Descartes | 0.00 | 0.00 |
STAR | -0.0000648 | 7101 | GTEx | DepMap | Descartes | 0.02 | 0.21 |
FDXR | -0.0000815 | 7736 | GTEx | DepMap | Descartes | 0.57 | 7.91 |
HMGCS1 | -0.0001718 | 10260 | GTEx | DepMap | Descartes | 2.58 | 18.93 |
SH3PXD2B | -0.0002242 | 11318 | GTEx | DepMap | Descartes | 0.37 | 0.61 |
FREM2 | -0.0002247 | 11326 | GTEx | DepMap | Descartes | 0.00 | 0.00 |
INHA | -0.0002481 | 11750 | GTEx | DepMap | Descartes | 0.07 | 2.76 |
CLU | -0.0002598 | 11951 | GTEx | DepMap | Descartes | 0.05 | 0.56 |
APOC1 | -0.0003287 | 13034 | GTEx | DepMap | Descartes | 0.03 | 0.23 |
GSTA4 | -0.0003663 | 13522 | GTEx | DepMap | Descartes | 0.04 | 0.11 |
FDX1 | -0.0003875 | 13803 | GTEx | DepMap | Descartes | 1.84 | 11.23 |
LDLR | -0.0003923 | 13866 | GTEx | DepMap | Descartes | 0.40 | 1.91 |
DNER | -0.0004052 | 14043 | GTEx | DepMap | Descartes | 0.09 | 0.04 |
Descartes chromaffin markers
Top 50 marker genes of chromaffin cells in the Decartes fetal adrenal single cell map (https://atlas.brotmanbaty.org/bbi/human-gene-expression-during-development/cell/chromaffin/in/adrenal)
Wilcoxon ranksum test P-value for gene set overrepresentation: 9.30e-01
Mean rank of genes in gene set: 11816.64
Median rank of genes in gene set: 13761.5
Rank on gene expression program of top 30 genes in gene set:
Genes | Weight | Rank | GTEx | DepMap | Descartes | Mean.Counts | Mean.TPM |
---|---|---|---|---|---|---|---|
TUBB2B | 0.0049067 | 132 | GTEx | DepMap | Descartes | 44.61 | 1499.76 |
ELAVL2 | 0.0027232 | 489 | GTEx | DepMap | Descartes | 9.74 | 8.10 |
MLLT11 | 0.0022555 | 649 | GTEx | DepMap | Descartes | 12.48 | 119.58 |
RBFOX1 | 0.0022330 | 662 | GTEx | DepMap | Descartes | 2.49 | 0.20 |
HS3ST5 | 0.0020655 | 741 | GTEx | DepMap | Descartes | 0.31 | 0.12 |
EPHA6 | 0.0013377 | 1211 | GTEx | DepMap | Descartes | 0.05 | 0.01 |
TUBA1A | 0.0013336 | 1218 | GTEx | DepMap | Descartes | 102.86 | 3314.99 |
MAB21L1 | 0.0012645 | 1277 | GTEx | DepMap | Descartes | 0.12 | 6.01 |
TUBB2A | 0.0010817 | 1457 | GTEx | DepMap | Descartes | 10.83 | 357.98 |
MARCH11 | 0.0006232 | 2206 | GTEx | DepMap | Descartes | 1.42 | 1.79 |
BASP1 | 0.0006115 | 2226 | GTEx | DepMap | Descartes | 46.45 | 113.68 |
RGMB | 0.0003734 | 2783 | GTEx | DepMap | Descartes | 0.61 | 2.94 |
STMN2 | 0.0003597 | 2820 | GTEx | DepMap | Descartes | 57.30 | 135.79 |
IL7 | -0.0001564 | 9889 | GTEx | DepMap | Descartes | 0.00 | 0.00 |
GREM1 | -0.0002178 | 11195 | GTEx | DepMap | Descartes | 0.01 | 0.05 |
FAT3 | -0.0002362 | 11524 | GTEx | DepMap | Descartes | 0.19 | 0.04 |
SYNPO2 | -0.0002513 | 11813 | GTEx | DepMap | Descartes | 0.01 | 0.01 |
STMN4 | -0.0002696 | 12125 | GTEx | DepMap | Descartes | 7.31 | 53.72 |
ANKFN1 | -0.0002802 | 12277 | GTEx | DepMap | Descartes | 0.01 | 0.00 |
ALK | -0.0002835 | 12346 | GTEx | DepMap | Descartes | 0.08 | 0.01 |
RPH3A | -0.0003170 | 12873 | GTEx | DepMap | Descartes | 0.01 | 0.01 |
RYR2 | -0.0003676 | 13542 | GTEx | DepMap | Descartes | 0.21 | 0.05 |
MAP1B | -0.0004002 | 13981 | GTEx | DepMap | Descartes | 28.15 | 37.79 |
TMEM132C | -0.0004207 | 14225 | GTEx | DepMap | Descartes | 0.03 | 0.01 |
NTRK1 | -0.0004811 | 14934 | GTEx | DepMap | Descartes | 0.03 | 0.22 |
CNKSR2 | -0.0005263 | 15448 | GTEx | DepMap | Descartes | 1.48 | 0.87 |
GAL | -0.0005446 | 15636 | GTEx | DepMap | Descartes | 0.02 | 0.37 |
SLC44A5 | -0.0005947 | 16125 | GTEx | DepMap | Descartes | 0.28 | 0.12 |
NPY | -0.0006011 | 16192 | GTEx | DepMap | Descartes | 0.01 | 0.12 |
CNTFR | -0.0006412 | 16533 | GTEx | DepMap | Descartes | 2.29 | 7.28 |
Descartes Vascular_endothelial markers
Top 50 marker genes of Vascular_endothelial cells in the Decartes fetal adrenal single cell map (https://atlas.brotmanbaty.org/bbi/human-gene-expression-during-development/cell/vascular_endothelial/in/adrenal)
Wilcoxon ranksum test P-value for gene set overrepresentation: 7.97e-01
Mean rank of genes in gene set: 11242.12
Median rank of genes in gene set: 11609
Rank on gene expression program of top 30 genes in gene set:
Genes | Weight | Rank | GTEx | DepMap | Descartes | Mean.Counts | Mean.TPM |
---|---|---|---|---|---|---|---|
CDH13 | 0.0014617 | 1107 | GTEx | DepMap | Descartes | 0.94 | 0.12 |
MYRIP | 0.0010433 | 1517 | GTEx | DepMap | Descartes | 0.17 | 0.13 |
HYAL2 | 0.0009572 | 1616 | GTEx | DepMap | Descartes | 1.15 | 29.97 |
PODXL | 0.0000497 | 4292 | GTEx | DepMap | Descartes | 0.50 | 1.49 |
RAMP2 | 0.0000368 | 4406 | GTEx | DepMap | Descartes | 0.43 | 4.03 |
CRHBP | -0.0000261 | 5586 | GTEx | DepMap | Descartes | 0.00 | 0.02 |
CHRM3 | -0.0000551 | 6706 | GTEx | DepMap | Descartes | 0.00 | 0.00 |
NR5A2 | -0.0000673 | 7195 | GTEx | DepMap | Descartes | 0.00 | 0.00 |
BTNL9 | -0.0001422 | 9556 | GTEx | DepMap | Descartes | 0.00 | 0.00 |
SHE | -0.0001567 | 9898 | GTEx | DepMap | Descartes | 0.00 | 0.01 |
GALNT15 | -0.0001584 | 9950 | GTEx | DepMap | Descartes | 0.00 | 0.00 |
ESM1 | -0.0001586 | 9958 | GTEx | DepMap | Descartes | 0.00 | 0.03 |
FLT4 | -0.0001664 | 10135 | GTEx | DepMap | Descartes | 0.00 | 0.00 |
DNASE1L3 | -0.0001743 | 10312 | GTEx | DepMap | Descartes | 0.00 | 0.00 |
CLDN5 | -0.0001834 | 10498 | GTEx | DepMap | Descartes | 0.00 | 0.12 |
SLCO2A1 | -0.0001950 | 10735 | GTEx | DepMap | Descartes | 0.00 | 0.00 |
TEK | -0.0002038 | 10929 | GTEx | DepMap | Descartes | 0.00 | 0.00 |
RASIP1 | -0.0002040 | 10938 | GTEx | DepMap | Descartes | 0.04 | 0.41 |
APLNR | -0.0002194 | 11232 | GTEx | DepMap | Descartes | 0.00 | 0.00 |
KDR | -0.0002240 | 11315 | GTEx | DepMap | Descartes | 0.00 | 0.00 |
ROBO4 | -0.0002339 | 11483 | GTEx | DepMap | Descartes | 0.00 | 0.01 |
SOX18 | -0.0002399 | 11609 | GTEx | DepMap | Descartes | 0.00 | 0.16 |
MMRN2 | -0.0002413 | 11642 | GTEx | DepMap | Descartes | 0.00 | 0.01 |
PLVAP | -0.0002475 | 11741 | GTEx | DepMap | Descartes | 0.01 | 0.07 |
TMEM88 | -0.0002571 | 11899 | GTEx | DepMap | Descartes | 0.01 | 1.04 |
TIE1 | -0.0002578 | 11915 | GTEx | DepMap | Descartes | 0.00 | 0.01 |
PTPRB | -0.0002592 | 11946 | GTEx | DepMap | Descartes | 0.00 | 0.00 |
ECSCR | -0.0002652 | 12047 | GTEx | DepMap | Descartes | 0.01 | 0.06 |
CEACAM1 | -0.0002658 | 12065 | GTEx | DepMap | Descartes | 0.00 | 0.00 |
CDH5 | -0.0002985 | 12592 | GTEx | DepMap | Descartes | 0.00 | 0.01 |
Descartes stromal markers
Top 50 marker genes of stromal cells in the Decartes fetal adrenal single cell map (https://atlas.brotmanbaty.org/bbi/human-gene-expression-during-development/cell/stromal/in/adrenal)
Wilcoxon ranksum test P-value for gene set overrepresentation: 9.58e-01
Mean rank of genes in gene set: 12012.8
Median rank of genes in gene set: 12972.5
Rank on gene expression program of top 30 genes in gene set:
Genes | Weight | Rank | GTEx | DepMap | Descartes | Mean.Counts | Mean.TPM |
---|---|---|---|---|---|---|---|
LRRC17 | 0.0009757 | 1594 | GTEx | DepMap | Descartes | 0.11 | 0.43 |
SCARA5 | 0.0008113 | 1820 | GTEx | DepMap | Descartes | 0.12 | 0.15 |
SFRP2 | 0.0006239 | 2204 | GTEx | DepMap | Descartes | 1.60 | 26.03 |
PRICKLE1 | 0.0002973 | 3030 | GTEx | DepMap | Descartes | 0.14 | 0.19 |
ADAMTSL3 | -0.0000611 | 6959 | GTEx | DepMap | Descartes | 0.00 | 0.00 |
SULT1E1 | -0.0000620 | 6990 | GTEx | DepMap | Descartes | 0.00 | 0.00 |
FREM1 | -0.0000800 | 7673 | GTEx | DepMap | Descartes | 0.00 | 0.00 |
C7 | -0.0000961 | 8260 | GTEx | DepMap | Descartes | 0.00 | 0.00 |
ACTA2 | -0.0001442 | 9616 | GTEx | DepMap | Descartes | 0.03 | 0.20 |
PAMR1 | -0.0001476 | 9684 | GTEx | DepMap | Descartes | 0.00 | 0.00 |
EDNRA | -0.0001551 | 9848 | GTEx | DepMap | Descartes | 0.04 | 0.09 |
ITGA11 | -0.0001774 | 10379 | GTEx | DepMap | Descartes | 0.00 | 0.00 |
OGN | -0.0001841 | 10518 | GTEx | DepMap | Descartes | 0.00 | 0.01 |
MGP | -0.0001922 | 10671 | GTEx | DepMap | Descartes | 0.07 | 1.88 |
IGFBP3 | -0.0002156 | 11149 | GTEx | DepMap | Descartes | 0.06 | 0.88 |
PDGFRA | -0.0002262 | 11350 | GTEx | DepMap | Descartes | 0.00 | 0.01 |
ABCC9 | -0.0002273 | 11374 | GTEx | DepMap | Descartes | 0.00 | 0.00 |
LOX | -0.0002334 | 11474 | GTEx | DepMap | Descartes | 0.02 | 0.14 |
COL3A1 | -0.0002823 | 12321 | GTEx | DepMap | Descartes | 0.07 | 0.32 |
ABCA6 | -0.0002845 | 12362 | GTEx | DepMap | Descartes | 0.00 | 0.00 |
DKK2 | -0.0002995 | 12610 | GTEx | DepMap | Descartes | 0.00 | 0.00 |
LUM | -0.0003114 | 12779 | GTEx | DepMap | Descartes | 0.00 | 0.01 |
PRRX1 | -0.0003223 | 12948 | GTEx | DepMap | Descartes | 0.01 | 0.01 |
COL27A1 | -0.0003260 | 12997 | GTEx | DepMap | Descartes | 0.00 | 0.00 |
POSTN | -0.0003291 | 13042 | GTEx | DepMap | Descartes | 0.04 | 0.15 |
COL1A2 | -0.0003301 | 13058 | GTEx | DepMap | Descartes | 0.04 | 0.13 |
CD248 | -0.0003377 | 13155 | GTEx | DepMap | Descartes | 0.03 | 1.33 |
COL1A1 | -0.0003415 | 13193 | GTEx | DepMap | Descartes | 0.03 | 0.25 |
DCN | -0.0003510 | 13328 | GTEx | DepMap | Descartes | 0.01 | 0.04 |
BICC1 | -0.0003580 | 13401 | GTEx | DepMap | Descartes | 0.05 | 0.03 |
Descartes sympathoblasts markers
Top 50 marker genes of sympathoblasts cells in the Decartes fetal adrenal single cell map (https://atlas.brotmanbaty.org/bbi/human-gene-expression-during-development/cell/sympathoblasts/in/adrenal)
Wilcoxon ranksum test P-value for gene set overrepresentation: 9.93e-01
Mean rank of genes in gene set: 12747.02
Median rank of genes in gene set: 14115
Rank on gene expression program of top 30 genes in gene set:
Genes | Weight | Rank | GTEx | DepMap | Descartes | Mean.Counts | Mean.TPM |
---|---|---|---|---|---|---|---|
CDH12 | 0.0015776 | 1026 | GTEx | DepMap | Descartes | 0.11 | 0.01 |
FAM155A | 0.0012844 | 1254 | GTEx | DepMap | Descartes | 1.27 | 0.28 |
GRID2 | 0.0012352 | 1312 | GTEx | DepMap | Descartes | 0.11 | 0.01 |
HTATSF1 | 0.0009299 | 1649 | GTEx | DepMap | Descartes | 3.43 | 31.87 |
TBX20 | 0.0007378 | 1966 | GTEx | DepMap | Descartes | 0.22 | 0.50 |
SPOCK3 | 0.0007245 | 1990 | GTEx | DepMap | Descartes | 0.56 | 0.17 |
EML6 | 0.0003893 | 2735 | GTEx | DepMap | Descartes | 0.26 | 0.12 |
PACRG | 0.0003711 | 2788 | GTEx | DepMap | Descartes | 0.28 | 0.08 |
CNTN3 | 0.0001273 | 3789 | GTEx | DepMap | Descartes | 0.04 | 0.01 |
KCTD16 | 0.0000678 | 4164 | GTEx | DepMap | Descartes | 0.00 | 0.00 |
SORCS3 | 0.0000380 | 4391 | GTEx | DepMap | Descartes | 0.06 | 0.01 |
ROBO1 | -0.0000747 | 7457 | GTEx | DepMap | Descartes | 0.43 | 0.08 |
CDH18 | -0.0002124 | 11094 | GTEx | DepMap | Descartes | 0.01 | 0.00 |
PENK | -0.0002379 | 11561 | GTEx | DepMap | Descartes | 0.00 | 0.00 |
GRM7 | -0.0002625 | 12005 | GTEx | DepMap | Descartes | 0.03 | 0.00 |
INSM1 | -0.0002709 | 12144 | GTEx | DepMap | Descartes | 3.21 | 124.52 |
AGBL4 | -0.0003146 | 12831 | GTEx | DepMap | Descartes | 0.02 | 0.00 |
ARC | -0.0003152 | 12845 | GTEx | DepMap | Descartes | 0.01 | 0.35 |
TIAM1 | -0.0003410 | 13187 | GTEx | DepMap | Descartes | 0.77 | 0.28 |
LAMA3 | -0.0003447 | 13244 | GTEx | DepMap | Descartes | 0.00 | 0.00 |
TENM1 | -0.0004043 | 14024 | GTEx | DepMap | Descartes | 0.00 | 0.00 |
SLC24A2 | -0.0004191 | 14206 | GTEx | DepMap | Descartes | 0.02 | 0.01 |
SLC35F3 | -0.0004262 | 14292 | GTEx | DepMap | Descartes | 0.01 | 0.01 |
PNMT | -0.0005274 | 15463 | GTEx | DepMap | Descartes | 0.00 | 0.18 |
SLC18A1 | -0.0005506 | 15692 | GTEx | DepMap | Descartes | 0.00 | 0.01 |
UNC80 | -0.0006289 | 16432 | GTEx | DepMap | Descartes | 0.68 | 0.38 |
CHGB | -0.0007952 | 17677 | GTEx | DepMap | Descartes | 1.15 | 10.64 |
TMEM130 | -0.0008284 | 17889 | GTEx | DepMap | Descartes | 0.02 | 0.12 |
GALNTL6 | -0.0008504 | 18002 | GTEx | DepMap | Descartes | 0.29 | 0.03 |
SCG2 | -0.0010241 | 18854 | GTEx | DepMap | Descartes | 0.70 | 15.81 |
Descartes erythroblasts markers
Top 50 marker genes of erythroblasts cells in the Decartes fetal adrenal single cell map (https://atlas.brotmanbaty.org/bbi/human-gene-expression-during-development/cell/erythroblasts/in/adrenal)
Wilcoxon ranksum test P-value for gene set overrepresentation: 8.41e-01
Mean rank of genes in gene set: 11495.54
Median rank of genes in gene set: 12236
Rank on gene expression program of top 30 genes in gene set:
Genes | Weight | Rank | GTEx | DepMap | Descartes | Mean.Counts | Mean.TPM |
---|---|---|---|---|---|---|---|
CPOX | 0.0007362 | 1972 | GTEx | DepMap | Descartes | 1.20 | 3.11 |
SLC25A21 | 0.0006583 | 2141 | GTEx | DepMap | Descartes | 0.00 | 0.00 |
GCLC | 0.0005003 | 2441 | GTEx | DepMap | Descartes | 0.99 | 3.17 |
TSPAN5 | 0.0004354 | 2611 | GTEx | DepMap | Descartes | 1.59 | 1.21 |
GYPC | 0.0002526 | 3189 | GTEx | DepMap | Descartes | 0.08 | 0.29 |
XPO7 | 0.0000212 | 4565 | GTEx | DepMap | Descartes | 1.59 | 1.78 |
TMEM56 | -0.0000143 | 5200 | GTEx | DepMap | Descartes | 0.15 | 0.25 |
ANK1 | -0.0000163 | 5254 | GTEx | DepMap | Descartes | 0.02 | 0.02 |
EPB42 | -0.0000372 | 5978 | GTEx | DepMap | Descartes | 0.00 | 0.00 |
SPTA1 | -0.0000443 | 6259 | GTEx | DepMap | Descartes | 0.00 | 0.00 |
RHD | -0.0000873 | 7961 | GTEx | DepMap | Descartes | 0.00 | 0.00 |
HEMGN | -0.0000891 | 8024 | GTEx | DepMap | Descartes | 0.00 | 0.00 |
SLC4A1 | -0.0001140 | 8790 | GTEx | DepMap | Descartes | 0.00 | 0.00 |
MICAL2 | -0.0001343 | 9360 | GTEx | DepMap | Descartes | 0.28 | 0.20 |
GYPA | -0.0001426 | 9571 | GTEx | DepMap | Descartes | 0.00 | 0.01 |
RGS6 | -0.0001685 | 10184 | GTEx | DepMap | Descartes | 0.00 | 0.00 |
MARCH3 | -0.0001838 | 10505 | GTEx | DepMap | Descartes | 0.01 | 0.00 |
FECH | -0.0002771 | 12236 | GTEx | DepMap | Descartes | 0.25 | 0.82 |
TFR2 | -0.0002943 | 12523 | GTEx | DepMap | Descartes | 0.03 | 0.18 |
CAT | -0.0003677 | 13545 | GTEx | DepMap | Descartes | 0.36 | 1.45 |
SLC25A37 | -0.0004067 | 14063 | GTEx | DepMap | Descartes | 0.88 | 2.70 |
SOX6 | -0.0004126 | 14134 | GTEx | DepMap | Descartes | 0.13 | 0.03 |
DENND4A | -0.0005244 | 15427 | GTEx | DepMap | Descartes | 0.29 | 0.35 |
ABCB10 | -0.0005438 | 15629 | GTEx | DepMap | Descartes | 0.19 | 0.79 |
SELENBP1 | -0.0005959 | 16144 | GTEx | DepMap | Descartes | 0.04 | 0.43 |
TMCC2 | -0.0006205 | 16348 | GTEx | DepMap | Descartes | 0.41 | 1.54 |
BLVRB | -0.0008240 | 17857 | GTEx | DepMap | Descartes | 0.21 | 1.44 |
SNCA | -0.0008490 | 17995 | GTEx | DepMap | Descartes | 2.28 | 2.93 |
ALAS2 | -0.0008584 | 18040 | GTEx | DepMap | Descartes | 0.01 | 0.07 |
SPECC1 | -0.0008626 | 18056 | GTEx | DepMap | Descartes | 0.05 | 0.02 |
Descartes myeloid markers
Top 50 marker genes of myeloid cells in the Decartes fetal adrenal single cell map (https://atlas.brotmanbaty.org/bbi/human-gene-expression-during-development/cell/myeloid/in/adrenal)
Wilcoxon ranksum test P-value for gene set overrepresentation: 1.00e+00
Mean rank of genes in gene set: 13678.6
Median rank of genes in gene set: 15499
Rank on gene expression program of top 30 genes in gene set:
Genes | Weight | Rank | GTEx | DepMap | Descartes | Mean.Counts | Mean.TPM |
---|---|---|---|---|---|---|---|
SLC1A3 | 0.0028205 | 447 | GTEx | DepMap | Descartes | 0.49 | 0.88 |
SFMBT2 | 0.0013165 | 1233 | GTEx | DepMap | Descartes | 0.32 | 0.18 |
WWP1 | 0.0001551 | 3644 | GTEx | DepMap | Descartes | 0.96 | 1.20 |
HRH1 | 0.0000452 | 4325 | GTEx | DepMap | Descartes | 0.01 | 0.01 |
CD163L1 | -0.0000586 | 6851 | GTEx | DepMap | Descartes | 0.00 | 0.00 |
VSIG4 | -0.0000673 | 7192 | GTEx | DepMap | Descartes | 0.00 | 0.00 |
CD163 | -0.0000985 | 8336 | GTEx | DepMap | Descartes | 0.00 | 0.00 |
CPVL | -0.0001198 | 8967 | GTEx | DepMap | Descartes | 0.00 | 0.00 |
RNASE1 | -0.0001595 | 9973 | GTEx | DepMap | Descartes | 0.00 | 0.00 |
ATP8B4 | -0.0002234 | 11308 | GTEx | DepMap | Descartes | 0.00 | 0.00 |
FGL2 | -0.0002320 | 11449 | GTEx | DepMap | Descartes | 0.00 | 0.07 |
SLCO2B1 | -0.0002482 | 11753 | GTEx | DepMap | Descartes | 0.00 | 0.00 |
MS4A4A | -0.0002741 | 12192 | GTEx | DepMap | Descartes | 0.00 | 0.00 |
SPP1 | -0.0002757 | 12217 | GTEx | DepMap | Descartes | 0.21 | 3.17 |
ADAP2 | -0.0003173 | 12879 | GTEx | DepMap | Descartes | 0.00 | 0.01 |
CD14 | -0.0003281 | 13030 | GTEx | DepMap | Descartes | 0.01 | 0.32 |
MARCH1 | -0.0003505 | 13319 | GTEx | DepMap | Descartes | 0.02 | 0.00 |
FGD2 | -0.0003680 | 13547 | GTEx | DepMap | Descartes | 0.00 | 0.01 |
HCK | -0.0003712 | 13596 | GTEx | DepMap | Descartes | 0.00 | 0.00 |
ITPR2 | -0.0004036 | 14017 | GTEx | DepMap | Descartes | 0.09 | 0.03 |
MERTK | -0.0004371 | 14423 | GTEx | DepMap | Descartes | 0.01 | 0.01 |
MSR1 | -0.0005274 | 15462 | GTEx | DepMap | Descartes | 0.01 | 0.01 |
CD74 | -0.0005313 | 15499 | GTEx | DepMap | Descartes | 0.02 | 0.22 |
CYBB | -0.0005367 | 15550 | GTEx | DepMap | Descartes | 0.01 | 0.02 |
SLC9A9 | -0.0005443 | 15633 | GTEx | DepMap | Descartes | 0.02 | 0.00 |
CSF1R | -0.0005965 | 16149 | GTEx | DepMap | Descartes | 0.02 | 0.05 |
AXL | -0.0006141 | 16301 | GTEx | DepMap | Descartes | 0.01 | 0.04 |
MS4A7 | -0.0006239 | 16381 | GTEx | DepMap | Descartes | 0.08 | 0.46 |
PTPRE | -0.0006451 | 16568 | GTEx | DepMap | Descartes | 0.01 | 0.01 |
RGL1 | -0.0006651 | 16762 | GTEx | DepMap | Descartes | 0.08 | 0.04 |
Descartes Schwann markers
Top 50 marker genes of Schwann cells in the Decartes fetal adrenal single cell map (https://atlas.brotmanbaty.org/bbi/human-gene-expression-during-development/cell/schwann/in/adrenal)
Wilcoxon ranksum test P-value for gene set overrepresentation: 9.73e-01
Mean rank of genes in gene set: 12169.38
Median rank of genes in gene set: 12347
Rank on gene expression program of top 30 genes in gene set:
Genes | Weight | Rank | GTEx | DepMap | Descartes | Mean.Counts | Mean.TPM |
---|---|---|---|---|---|---|---|
MDGA2 | 0.0018467 | 861 | GTEx | DepMap | Descartes | 0.57 | 0.09 |
PTN | 0.0016441 | 985 | GTEx | DepMap | Descartes | 5.82 | 7.61 |
ERBB4 | 0.0003210 | 2946 | GTEx | DepMap | Descartes | 0.08 | 0.01 |
VCAN | 0.0002726 | 3114 | GTEx | DepMap | Descartes | 0.23 | 0.36 |
GRIK3 | 0.0002344 | 3267 | GTEx | DepMap | Descartes | 0.04 | 0.02 |
LRRTM4 | 0.0001548 | 3648 | GTEx | DepMap | Descartes | 0.05 | 0.01 |
SLC35F1 | 0.0001495 | 3684 | GTEx | DepMap | Descartes | 0.09 | 0.03 |
MARCKS | 0.0000607 | 4203 | GTEx | DepMap | Descartes | 19.16 | 438.83 |
IL1RAPL2 | 0.0000062 | 4777 | GTEx | DepMap | Descartes | 0.00 | 0.00 |
PTPRZ1 | -0.0000207 | 5393 | GTEx | DepMap | Descartes | 0.15 | 0.11 |
HMGA2 | -0.0000449 | 6290 | GTEx | DepMap | Descartes | 0.01 | 0.01 |
TRPM3 | -0.0000770 | 7559 | GTEx | DepMap | Descartes | 0.00 | 0.00 |
MPZ | -0.0000981 | 8326 | GTEx | DepMap | Descartes | 0.00 | 0.00 |
KCTD12 | -0.0001023 | 8442 | GTEx | DepMap | Descartes | 0.71 | 14.87 |
IL1RAPL1 | -0.0001110 | 8706 | GTEx | DepMap | Descartes | 0.00 | 0.00 |
EGFLAM | -0.0001617 | 10018 | GTEx | DepMap | Descartes | 0.00 | 0.00 |
ADAMTS5 | -0.0001819 | 10470 | GTEx | DepMap | Descartes | 0.08 | 0.26 |
PLP1 | -0.0002179 | 11197 | GTEx | DepMap | Descartes | 0.19 | 1.45 |
NRXN3 | -0.0002352 | 11506 | GTEx | DepMap | Descartes | 0.09 | 0.01 |
CDH19 | -0.0002403 | 11618 | GTEx | DepMap | Descartes | 0.00 | 0.00 |
SCN7A | -0.0002527 | 11843 | GTEx | DepMap | Descartes | 0.00 | 0.00 |
SOX10 | -0.0002616 | 11985 | GTEx | DepMap | Descartes | 0.00 | 0.06 |
FIGN | -0.0002752 | 12211 | GTEx | DepMap | Descartes | 0.94 | 0.90 |
OLFML2A | -0.0002836 | 12347 | GTEx | DepMap | Descartes | 0.00 | 0.01 |
EDNRB | -0.0002980 | 12577 | GTEx | DepMap | Descartes | 0.00 | 0.01 |
COL5A2 | -0.0003886 | 13817 | GTEx | DepMap | Descartes | 0.02 | 0.02 |
PPP2R2B | -0.0004048 | 14036 | GTEx | DepMap | Descartes | 1.61 | 0.48 |
LAMA4 | -0.0004334 | 14385 | GTEx | DepMap | Descartes | 0.00 | 0.00 |
PLCE1 | -0.0004863 | 14992 | GTEx | DepMap | Descartes | 0.13 | 0.05 |
PAG1 | -0.0005114 | 15270 | GTEx | DepMap | Descartes | 0.08 | 0.07 |
Descartes Megakaryocytes markers
Top 50 marker genes of Megakaryocytes cells in the Decartes fetal adrenal single cell map (https://atlas.brotmanbaty.org/bbi/human-gene-expression-during-development/cell/megakaryocytes/in/adrenal)
Wilcoxon ranksum test P-value for gene set overrepresentation: 1.00e+00
Mean rank of genes in gene set: 13388.47
Median rank of genes in gene set: 14603
Rank on gene expression program of top 30 genes in gene set:
Genes | Weight | Rank | GTEx | DepMap | Descartes | Mean.Counts | Mean.TPM |
---|---|---|---|---|---|---|---|
PSTPIP2 | 0.0008313 | 1789 | GTEx | DepMap | Descartes | 0.16 | 0.22 |
PRKAR2B | 0.0006730 | 2093 | GTEx | DepMap | Descartes | 3.26 | 4.00 |
RAP1B | 0.0006279 | 2196 | GTEx | DepMap | Descartes | 3.30 | 12.99 |
SLC2A3 | 0.0003547 | 2842 | GTEx | DepMap | Descartes | 0.83 | 1.47 |
UBASH3B | 0.0001550 | 3646 | GTEx | DepMap | Descartes | 0.16 | 0.12 |
MCTP1 | 0.0000150 | 4648 | GTEx | DepMap | Descartes | 0.03 | 0.01 |
TUBB1 | -0.0000142 | 5194 | GTEx | DepMap | Descartes | 0.00 | 0.00 |
GP9 | -0.0000360 | 5929 | GTEx | DepMap | Descartes | 0.00 | 0.00 |
GP1BA | -0.0000375 | 5988 | GTEx | DepMap | Descartes | 0.00 | 0.00 |
PPBP | -0.0000417 | 6151 | GTEx | DepMap | Descartes | 0.00 | 0.00 |
MMRN1 | -0.0000547 | 6689 | GTEx | DepMap | Descartes | 0.00 | 0.00 |
ZYX | -0.0001013 | 8415 | GTEx | DepMap | Descartes | 1.21 | 13.98 |
TRPC6 | -0.0001506 | 9749 | GTEx | DepMap | Descartes | 0.00 | 0.00 |
ITGB3 | -0.0001939 | 10708 | GTEx | DepMap | Descartes | 0.00 | 0.00 |
SPN | -0.0002079 | 11014 | GTEx | DepMap | Descartes | 0.00 | 0.06 |
PF4 | -0.0002348 | 11501 | GTEx | DepMap | Descartes | 0.02 | 1.62 |
DOK6 | -0.0003061 | 12707 | GTEx | DepMap | Descartes | 0.11 | 0.03 |
ITGA2B | -0.0003102 | 12767 | GTEx | DepMap | Descartes | 0.00 | 0.03 |
GSN | -0.0003662 | 13518 | GTEx | DepMap | Descartes | 0.17 | 0.40 |
ANGPT1 | -0.0003772 | 13663 | GTEx | DepMap | Descartes | 0.04 | 0.02 |
P2RX1 | -0.0003776 | 13667 | GTEx | DepMap | Descartes | 0.00 | 0.00 |
ARHGAP6 | -0.0003852 | 13770 | GTEx | DepMap | Descartes | 0.00 | 0.00 |
BIN2 | -0.0003994 | 13973 | GTEx | DepMap | Descartes | 0.00 | 0.01 |
SLC24A3 | -0.0004524 | 14602 | GTEx | DepMap | Descartes | 0.01 | 0.00 |
FLI1 | -0.0004526 | 14603 | GTEx | DepMap | Descartes | 0.00 | 0.00 |
THBS1 | -0.0004610 | 14694 | GTEx | DepMap | Descartes | 0.01 | 0.09 |
LIMS1 | -0.0004764 | 14889 | GTEx | DepMap | Descartes | 1.83 | 2.25 |
PLEK | -0.0005232 | 15413 | GTEx | DepMap | Descartes | 0.04 | 0.05 |
LTBP1 | -0.0005605 | 15784 | GTEx | DepMap | Descartes | 0.15 | 0.05 |
INPP4B | -0.0005638 | 15821 | GTEx | DepMap | Descartes | 0.02 | 0.00 |
Descartes Lyphoid markers
Top 50 marker genes of Lyphoid cells in the Decartes fetal adrenal single cell map (https://atlas.brotmanbaty.org/bbi/human-gene-expression-during-development/cell/lymphoid/in/adrenal)
Wilcoxon ranksum test P-value for gene set overrepresentation: 9.93e-01
Mean rank of genes in gene set: 12700.34
Median rank of genes in gene set: 14338
Rank on gene expression program of top 30 genes in gene set:
Genes | Weight | Rank | GTEx | DepMap | Descartes | Mean.Counts | Mean.TPM |
---|---|---|---|---|---|---|---|
GNG2 | 0.0026905 | 497 | GTEx | DepMap | Descartes | 6.34 | 7.64 |
STK39 | 0.0021975 | 673 | GTEx | DepMap | Descartes | 2.42 | 1.15 |
TOX | 0.0013287 | 1224 | GTEx | DepMap | Descartes | 0.80 | 0.32 |
CELF2 | 0.0012784 | 1260 | GTEx | DepMap | Descartes | 2.51 | 0.32 |
EVL | 0.0010330 | 1528 | GTEx | DepMap | Descartes | 5.36 | 5.01 |
SORL1 | 0.0004626 | 2532 | GTEx | DepMap | Descartes | 0.43 | 0.35 |
FAM65B | 0.0003257 | 2930 | GTEx | DepMap | Descartes | 0.63 | NA |
BACH2 | 0.0002971 | 3031 | GTEx | DepMap | Descartes | 0.50 | 0.18 |
RAP1GAP2 | 0.0000272 | 4502 | GTEx | DepMap | Descartes | 0.34 | 0.19 |
SAMD3 | -0.0000755 | 7501 | GTEx | DepMap | Descartes | 0.00 | 0.00 |
CCL5 | -0.0001069 | 8566 | GTEx | DepMap | Descartes | 0.00 | 0.05 |
CCND3 | -0.0001122 | 8728 | GTEx | DepMap | Descartes | 0.40 | 0.55 |
NKG7 | -0.0001454 | 9638 | GTEx | DepMap | Descartes | 0.00 | 0.00 |
ARID5B | -0.0002168 | 11179 | GTEx | DepMap | Descartes | 0.56 | 0.38 |
PITPNC1 | -0.0002377 | 11556 | GTEx | DepMap | Descartes | 1.35 | 0.65 |
SKAP1 | -0.0002408 | 11627 | GTEx | DepMap | Descartes | 0.00 | 0.00 |
RCSD1 | -0.0003404 | 13182 | GTEx | DepMap | Descartes | 0.00 | 0.00 |
IKZF1 | -0.0003433 | 13224 | GTEx | DepMap | Descartes | 0.00 | 0.00 |
ARHGAP15 | -0.0003466 | 13268 | GTEx | DepMap | Descartes | 0.09 | 0.02 |
MCTP2 | -0.0003635 | 13487 | GTEx | DepMap | Descartes | 0.00 | 0.00 |
PLEKHA2 | -0.0003642 | 13495 | GTEx | DepMap | Descartes | 0.01 | 0.01 |
PDE3B | -0.0004122 | 14130 | GTEx | DepMap | Descartes | 0.90 | 0.95 |
BCL2 | -0.0004485 | 14546 | GTEx | DepMap | Descartes | 0.31 | 0.22 |
SP100 | -0.0004582 | 14662 | GTEx | DepMap | Descartes | 0.00 | 0.00 |
PRKCH | -0.0004759 | 14884 | GTEx | DepMap | Descartes | 0.00 | 0.00 |
SCML4 | -0.0005294 | 15482 | GTEx | DepMap | Descartes | 0.01 | 0.01 |
ITPKB | -0.0005344 | 15525 | GTEx | DepMap | Descartes | 0.00 | 0.00 |
ABLIM1 | -0.0006309 | 16450 | GTEx | DepMap | Descartes | 0.09 | 0.04 |
WIPF1 | -0.0006484 | 16604 | GTEx | DepMap | Descartes | 0.06 | 0.08 |
PTPRC | -0.0006549 | 16658 | GTEx | DepMap | Descartes | 0.01 | 0.01 |
Below shows the ranks on this GEP for immune marker gene lists curated by CellTypist (https://www.celltypist.org/encyclopedia).
High ranks indicate this gene is a driver of this GEP.
These curated gene list are ranked by P-value (on this GEP) of their constituent genes.
The Mean Count column shows the mean read count in cells scoring highly (H > 50) on this gene expression program.
Genes | Weight | Rank | GTEx | DepMap | Decartes | Mean.Counts | Mean.TPM |
---|---|---|---|---|---|---|---|
KCNK10 | 0.0010541 | 1497 | GTEx | DepMap | Descartes | 0.40 | 0.35 |
GRIN1 | 0.0003910 | 2731 | GTEx | DepMap | Descartes | 0.85 | 4.15 |
KLRC2 | -0.0000531 | 6615 | GTEx | DepMap | Descartes | 0.00 | 0.00 |
T cells: CD8a/b(entry) (curated markers)
T lymphocytes with CD8 alpha/beta heterodimers in the late double-positive (entry) stage during T cell development:
Wilcoxon ranksum test P-value for gene set overrepresentation: 3.68e-02
Mean rank of genes in gene set: 4229
Rank on gene expression program of genes in gene set:
Genes | Weight | Rank | GTEx | DepMap | Decartes | Mean.Counts | Mean.TPM |
---|---|---|---|---|---|---|---|
SATB1 | 0.0068976 | 54 | GTEx | DepMap | Descartes | 8.67 | 11.32 |
TOX2 | 0.0002299 | 3286 | GTEx | DepMap | Descartes | 0.41 | 0.43 |
CCR9 | -0.0001336 | 9347 | GTEx | DepMap | Descartes | 0.00 | 0.00 |
Early MK: Early MK (model markers)
early megakaryocytes which are committed to megakaryocyte lineage cells:
Wilcoxon ranksum test P-value for gene set overrepresentation: 5.04e-02
Mean rank of genes in gene set: 5512.75
Rank on gene expression program of genes in gene set:
Genes | Weight | Rank | GTEx | DepMap | Decartes | Mean.Counts | Mean.TPM |
---|---|---|---|---|---|---|---|
PCP2 | 1.31e-05 | 4678 | GTEx | DepMap | Descartes | 0 | 0.00 |
CIB3 | -2.80e-05 | 5639 | GTEx | DepMap | Descartes | 0 | 0.00 |
CCDC175 | -2.83e-05 | 5646 | GTEx | DepMap | Descartes | 0 | 0.01 |
CD207 | -3.97e-05 | 6088 | GTEx | DepMap | Descartes | 0 | 0.00 |