Program description and justification of annotation: 5.
Submit a comment on this gene expression program’s interpretation: CLICK
QQ-plot of gene loadings, averaged over both independent splits of the data
This plot highlights the relative contribution of each gene to the GEP
Top genes driving this program.
Note: Decartes website is buggy, try refreshing. Also, Decartes fetal adrenal data have been collected at specific time points (89-122 days), all possible cell types of interest may not be represented, do not overinterpret.
The Mean Count column shows the mean read count in cells scoring highly (H > 50) on this gene expression program.
Gene | Loading | Gene.Name | GTEx | DepMap | Descartes | Mean.Counts | Mean.Tpm | |
---|---|---|---|---|---|---|---|---|
1 | C7 | 0.0087669 | complement C7 | GTEx | DepMap | Descartes | 0.86 | 408.39 |
2 | TNC | 0.0085546 | tenascin C | GTEx | DepMap | Descartes | 2.06 | 488.76 |
3 | EXOC3L4 | 0.0069854 | exocyst complex component 3 like 4 | GTEx | DepMap | Descartes | 0.11 | 103.34 |
4 | IGFBP7 | 0.0068017 | insulin like growth factor binding protein 7 | GTEx | DepMap | Descartes | 3.11 | 3421.62 |
5 | PAPLN | 0.0065595 | papilin, proteoglycan like sulfated glycoprotein | GTEx | DepMap | Descartes | 0.32 | 70.55 |
6 | SULF1 | 0.0062347 | sulfatase 1 | GTEx | DepMap | Descartes | 2.85 | 906.06 |
7 | POSTN | 0.0054233 | periostin | GTEx | DepMap | Descartes | 1.57 | 862.81 |
8 | ADAM12 | 0.0048947 | ADAM metallopeptidase domain 12 | GTEx | DepMap | Descartes | 1.38 | 307.75 |
9 | TIMP1 | 0.0046397 | TIMP metallopeptidase inhibitor 1 | GTEx | DepMap | Descartes | 2.87 | 4863.81 |
10 | FN1 | 0.0043083 | fibronectin 1 | GTEx | DepMap | Descartes | 4.35 | 844.41 |
11 | PRRX1 | 0.0041227 | paired related homeobox 1 | GTEx | DepMap | Descartes | 0.57 | 231.54 |
12 | PARD3B | 0.0039587 | par-3 family cell polarity regulator beta | GTEx | DepMap | Descartes | 1.33 | 270.30 |
13 | CLU | 0.0037933 | clusterin | GTEx | DepMap | Descartes | 1.14 | 494.10 |
14 | PRKG1 | 0.0037786 | protein kinase cGMP-dependent 1 | GTEx | DepMap | Descartes | 2.21 | 477.99 |
15 | ADAMTS12 | 0.0035537 | ADAM metallopeptidase with thrombospondin type 1 motif 12 | GTEx | DepMap | Descartes | 0.40 | 77.21 |
16 | BNC2 | 0.0034729 | basonuclin 2 | GTEx | DepMap | Descartes | 1.14 | 164.39 |
17 | NPY1R | 0.0034116 | neuropeptide Y receptor Y1 | GTEx | DepMap | Descartes | 0.04 | 29.00 |
18 | SLC26A7 | 0.0033975 | solute carrier family 26 member 7 | GTEx | DepMap | Descartes | 0.16 | 36.06 |
19 | GEM | 0.0033794 | GTP binding protein overexpressed in skeletal muscle | GTEx | DepMap | Descartes | 0.81 | 697.57 |
20 | ABI3BP | 0.0033485 | ABI family member 3 binding protein | GTEx | DepMap | Descartes | 0.38 | 97.20 |
21 | UACA | 0.0032723 | uveal autoantigen with coiled-coil domains and ankyrin repeats | GTEx | DepMap | Descartes | 0.91 | 270.62 |
22 | NFIA | 0.0032102 | nuclear factor I A | GTEx | DepMap | Descartes | 1.06 | 43.23 |
23 | FGF11 | 0.0032060 | fibroblast growth factor 11 | GTEx | DepMap | Descartes | 0.03 | 30.80 |
24 | ANKRD29 | 0.0032047 | ankyrin repeat domain 29 | GTEx | DepMap | Descartes | 0.14 | 48.71 |
25 | B2M | 0.0031452 | beta-2-microglobulin | GTEx | DepMap | Descartes | 3.35 | 1835.87 |
26 | HS3ST3A1 | 0.0030440 | heparan sulfate-glucosamine 3-sulfotransferase 3A1 | GTEx | DepMap | Descartes | 0.19 | 86.58 |
27 | PDE1A | 0.0030304 | phosphodiesterase 1A | GTEx | DepMap | Descartes | 0.49 | 163.95 |
28 | BIRC3 | 0.0029385 | baculoviral IAP repeat containing 3 | GTEx | DepMap | Descartes | 0.08 | 21.25 |
29 | CYP7B1 | 0.0029235 | cytochrome P450 family 7 subfamily B member 1 | GTEx | DepMap | Descartes | 0.45 | 126.85 |
30 | IL33 | 0.0029119 | interleukin 33 | GTEx | DepMap | Descartes | 0.14 | 103.70 |
31 | ARHGAP42 | 0.0029005 | Rho GTPase activating protein 42 | GTEx | DepMap | Descartes | 0.40 | 92.36 |
32 | CCL2 | 0.0028949 | C-C motif chemokine ligand 2 | GTEx | DepMap | Descartes | 0.64 | 1212.95 |
33 | ARHGAP15 | 0.0028605 | Rho GTPase activating protein 15 | GTEx | DepMap | Descartes | 0.82 | 386.03 |
34 | PDGFRB | 0.0028514 | platelet derived growth factor receptor beta | GTEx | DepMap | Descartes | 0.50 | 162.41 |
35 | OSMR | 0.0028266 | oncostatin M receptor | GTEx | DepMap | Descartes | 0.43 | 137.23 |
36 | ITIH5 | 0.0028046 | inter-alpha-trypsin inhibitor heavy chain 5 | GTEx | DepMap | Descartes | 0.19 | 37.14 |
37 | KCNE4 | 0.0027821 | potassium voltage-gated channel subfamily E regulatory subunit 4 | GTEx | DepMap | Descartes | 0.21 | 114.45 |
38 | ZFPM2 | 0.0027781 | zinc finger protein, FOG family member 2 | GTEx | DepMap | Descartes | 1.50 | 466.75 |
39 | BACE2 | 0.0027780 | beta-secretase 2 | GTEx | DepMap | Descartes | 0.47 | NA |
40 | SLC9A9 | 0.0027771 | solute carrier family 9 member A9 | GTEx | DepMap | Descartes | 0.52 | 269.29 |
41 | RBPMS | 0.0027029 | RNA binding protein, mRNA processing factor | GTEx | DepMap | Descartes | 0.79 | 420.44 |
42 | VCAM1 | 0.0026682 | vascular cell adhesion molecule 1 | GTEx | DepMap | Descartes | 0.18 | 94.72 |
43 | ID3 | 0.0026613 | inhibitor of DNA binding 3, HLH protein | GTEx | DepMap | Descartes | 0.32 | 475.93 |
44 | C3 | 0.0026599 | complement C3 | GTEx | DepMap | Descartes | 1.04 | 311.89 |
45 | TNFAIP3 | 0.0026434 | TNF alpha induced protein 3 | GTEx | DepMap | Descartes | 0.15 | 48.07 |
46 | GNA14 | 0.0026312 | G protein subunit alpha 14 | GTEx | DepMap | Descartes | 0.35 | 206.93 |
47 | CALD1 | 0.0026092 | caldesmon 1 | GTEx | DepMap | Descartes | 3.33 | 1177.92 |
48 | SVIL | 0.0025921 | supervillin | GTEx | DepMap | Descartes | 1.06 | 219.62 |
49 | EPB41L2 | 0.0025726 | erythrocyte membrane protein band 4.1 like 2 | GTEx | DepMap | Descartes | 0.50 | 170.75 |
50 | EPHA3 | 0.0025716 | EPH receptor A3 | GTEx | DepMap | Descartes | 0.28 | 104.30 |
UMAP plots showing activity of gene expression program identified in community:5. Cancer Associated Fibroblast: Inflammatory
CNV Data procured from inferCNV.
Outer tracks are putative CNV regions (gains = red, losses = blue) for each patient
Inner track is expression data representing:
The top cells expressing this GEP (purple)
Random cells (n =50) from the reference set used in inferCNV (orange)
Gene set Enrichments for this program, caculated from top 50 genes
mSigDB Cell Types Gene Set:
P-value | OR | Lower 95% CI | FDR | FWER | Genes Found | Gene Set Size | |
---|---|---|---|---|---|---|---|
TRAVAGLINI_LUNG_VEIN_CELL | 9.97e-09 | 49.98 | 16.33 | 1.12e-06 | 6.69e-06 | 6C7, TIMP1, CLU, ABI3BP, VCAM1, TNFAIP3 |
40 |
DURANTE_ADULT_OLFACTORY_NEUROEPITHELIUM_FIBROBLASTS_STROMAL_CELLS | 2.99e-08 | 27.08 | 9.96 | 2.23e-06 | 2.00e-05 | 7IGFBP7, POSTN, TIMP1, PRRX1, CCL2, KCNE4, CALD1 |
82 |
AIZARANI_LIVER_C33_STELLATE_CELLS_2 | 1.26e-09 | 23.42 | 9.79 | 1.69e-07 | 8.47e-07 | 9C7, IGFBP7, PRKG1, UACA, NFIA, RBPMS, ID3, CALD1, EPB41L2 |
126 |
LAKE_ADULT_KIDNEY_C28_INTERSTITIUM | 4.16e-08 | 25.71 | 9.48 | 2.79e-06 | 2.79e-05 | 7C7, TNC, IGFBP7, PRKG1, UACA, NFIA, CALD1 |
86 |
HU_FETAL_RETINA_FIBROBLAST | 8.48e-12 | 14.48 | 7.28 | 1.90e-09 | 5.69e-09 | 15IGFBP7, SULF1, TIMP1, FN1, PRRX1, SLC26A7, UACA, NFIA, B2M, PDGFRB, ID3, CALD1, SVIL, EPB41L2, EPHA3 |
385 |
TRAVAGLINI_LUNG_MYOFIBROBLAST_CELL | 5.50e-06 | 23.11 | 6.92 | 2.31e-04 | 3.69e-03 | 5TNC, POSTN, CLU, GEM, HS3ST3A1 |
65 |
LAKE_ADULT_KIDNEY_C26_MESANGIAL_CELLS | 2.44e-08 | 16.33 | 6.87 | 2.05e-06 | 1.64e-05 | 9C7, IGFBP7, POSTN, PRKG1, UACA, B2M, PDGFRB, CALD1, EPB41L2 |
177 |
MANNO_MIDBRAIN_NEUROTYPES_HPERIC | 1.90e-13 | 11.71 | 6.32 | 1.27e-10 | 1.27e-10 | 21IGFBP7, ADAM12, TIMP1, FN1, PRKG1, GEM, UACA, B2M, ARHGAP42, CCL2, ARHGAP15, PDGFRB, OSMR, ITIH5, KCNE4, RBPMS, ID3, TNFAIP3, CALD1, SVIL, EPB41L2 |
795 |
MURARO_PANCREAS_MESENCHYMAL_STROMAL_CELL | 1.71e-12 | 11.60 | 6.16 | 5.72e-10 | 1.14e-09 | 19TNC, IGFBP7, SULF1, POSTN, ADAM12, TIMP1, FN1, PRRX1, PRKG1, GEM, UACA, IL33, PDGFRB, OSMR, KCNE4, RBPMS, ID3, CALD1, SVIL |
680 |
FAN_EMBRYONIC_CTX_BRAIN_ENDOTHELIAL_2 | 1.72e-08 | 12.07 | 5.52 | 1.65e-06 | 1.15e-05 | 11IGFBP7, ADAM12, TIMP1, FN1, PRKG1, UACA, ARHGAP42, PDGFRB, ITIH5, KCNE4, CALD1 |
303 |
MENON_FETAL_KIDNEY_3_STROMAL_CELLS | 1.62e-05 | 18.27 | 5.51 | 5.17e-04 | 1.09e-02 | 5TNC, POSTN, FN1, UACA, CALD1 |
81 |
HAY_BONE_MARROW_STROMAL | 1.21e-11 | 10.28 | 5.46 | 2.02e-09 | 8.10e-09 | 19C7, TNC, IGFBP7, SULF1, FN1, PRRX1, NPY1R, GEM, ABI3BP, PDE1A, CCL2, PDGFRB, OSMR, ITIH5, KCNE4, VCAM1, ID3, CALD1, EPHA3 |
765 |
LAKE_ADULT_KIDNEY_C29_UNKNOWN_NOVEL_PT_CFH_POS_SUBPOPULATION_S2 | 2.16e-05 | 17.14 | 5.17 | 6.31e-04 | 1.45e-02 | 5PARD3B, BNC2, PDE1A, ZFPM2, SVIL |
86 |
AIZARANI_LIVER_C21_STELLATE_CELLS_1 | 7.76e-07 | 12.80 | 5.12 | 4.34e-05 | 5.20e-04 | 8C7, IGFBP7, TIMP1, GEM, NFIA, CCL2, RBPMS, CALD1 |
194 |
DESCARTES_FETAL_LIVER_STELLATE_CELLS | 2.67e-06 | 13.38 | 5.00 | 1.24e-04 | 1.79e-03 | 7POSTN, ADAMTS12, GEM, PDGFRB, ITIH5, KCNE4, EPHA3 |
159 |
AIZARANI_LIVER_C32_MVECS_3 | 9.09e-06 | 14.32 | 4.89 | 3.31e-04 | 6.10e-03 | 6C7, IGFBP7, NFIA, B2M, IL33, VCAM1 |
125 |
DURANTE_ADULT_OLFACTORY_NEUROEPITHELIUM_VASCULAR_SMOOTH_MUSCLE_CELLS | 3.15e-05 | 15.77 | 4.77 | 8.14e-04 | 2.12e-02 | 5IGFBP7, GEM, CCL2, PDGFRB, CALD1 |
93 |
DESCARTES_FETAL_PANCREAS_CCL19_CCL21_POSITIVE_CELLS | 1.24e-04 | 17.81 | 4.52 | 2.60e-03 | 8.31e-02 | 4TNC, SLC26A7, FGF11, VCAM1 |
65 |
LAKE_ADULT_KIDNEY_C22_ENDOTHELIAL_CELLS_GLOMERULAR_CAPILLARIES | 1.53e-05 | 13.01 | 4.45 | 5.13e-04 | 1.03e-02 | 6PRKG1, UACA, NFIA, GNA14, CALD1, SVIL |
137 |
HU_FETAL_RETINA_RPE | 1.59e-06 | 9.70 | 4.10 | 8.20e-05 | 1.07e-03 | 9IGFBP7, SULF1, GEM, UACA, B2M, PDGFRB, BACE2, ID3, CALD1 |
292 |
Dowload full table
mSigDB Hallmark Gene Sets:
P-value | OR | Lower 95% CI | FDR | FWER | Genes Found | Gene Set Size | |
---|---|---|---|---|---|---|---|
HALLMARK_EPITHELIAL_MESENCHYMAL_TRANSITION | 1.15e-11 | 20.99 | 9.83 | 5.75e-10 | 5.75e-10 | 12TNC, POSTN, ADAM12, TIMP1, FN1, PRRX1, GEM, ABI3BP, PDGFRB, VCAM1, TNFAIP3, CALD1 |
200 |
HALLMARK_COMPLEMENT | 1.24e-04 | 8.78 | 3.02 | 3.09e-03 | 6.18e-03 | 6TIMP1, FN1, CLU, ZFPM2, C3, TNFAIP3 |
200 |
HALLMARK_TNFA_SIGNALING_VIA_NFKB | 1.08e-03 | 7.12 | 2.18 | 1.80e-02 | 5.40e-02 | 5TNC, GEM, BIRC3, CCL2, TNFAIP3 |
200 |
HALLMARK_COAGULATION | 2.09e-03 | 8.11 | 2.09 | 2.62e-02 | 1.05e-01 | 4TIMP1, FN1, CLU, C3 |
138 |
HALLMARK_APOPTOSIS | 3.63e-03 | 6.92 | 1.79 | 3.63e-02 | 1.82e-01 | 4TIMP1, CLU, BIRC3, PDGFRB |
161 |
HALLMARK_ANGIOGENESIS | 8.94e-03 | 15.30 | 1.73 | 4.97e-02 | 4.47e-01 | 2POSTN, TIMP1 |
36 |
HALLMARK_MYOGENESIS | 7.71e-03 | 5.55 | 1.44 | 4.82e-02 | 3.85e-01 | 4IGFBP7, ADAM12, CLU, SVIL |
200 |
HALLMARK_INTERFERON_GAMMA_RESPONSE | 7.71e-03 | 5.55 | 1.44 | 4.82e-02 | 3.85e-01 | 4B2M, CCL2, VCAM1, TNFAIP3 |
200 |
HALLMARK_KRAS_SIGNALING_UP | 7.71e-03 | 5.55 | 1.44 | 4.82e-02 | 3.85e-01 | 4PRRX1, BIRC3, IL33, TNFAIP3 |
200 |
HALLMARK_INFLAMMATORY_RESPONSE | 4.35e-02 | 4.05 | 0.80 | 1.98e-01 | 1.00e+00 | 3TIMP1, CCL2, OSMR |
200 |
HALLMARK_ALLOGRAFT_REJECTION | 4.35e-02 | 4.05 | 0.80 | 1.98e-01 | 1.00e+00 | 3TIMP1, B2M, CCL2 |
200 |
HALLMARK_UV_RESPONSE_DN | 1.10e-01 | 3.67 | 0.43 | 4.59e-01 | 1.00e+00 | 2PDGFRB, RBPMS |
144 |
HALLMARK_ADIPOGENESIS | 1.85e-01 | 2.63 | 0.31 | 6.05e-01 | 1.00e+00 | 2ITIH5, C3 |
200 |
HALLMARK_ESTROGEN_RESPONSE_EARLY | 1.85e-01 | 2.63 | 0.31 | 6.05e-01 | 1.00e+00 | 2NPY1R, SVIL |
200 |
HALLMARK_APICAL_JUNCTION | 1.85e-01 | 2.63 | 0.31 | 6.05e-01 | 1.00e+00 | 2VCAM1, EPB41L2 |
200 |
HALLMARK_TGF_BETA_SIGNALING | 1.94e-01 | 4.81 | 0.12 | 6.05e-01 | 1.00e+00 | 1ID3 |
54 |
HALLMARK_CHOLESTEROL_HOMEOSTASIS | 2.55e-01 | 3.49 | 0.09 | 7.50e-01 | 1.00e+00 | 1CLU |
74 |
HALLMARK_IL6_JAK_STAT3_SIGNALING | 2.93e-01 | 2.97 | 0.07 | 7.87e-01 | 1.00e+00 | 1OSMR |
87 |
HALLMARK_INTERFERON_ALPHA_RESPONSE | 3.20e-01 | 2.66 | 0.07 | 7.87e-01 | 1.00e+00 | 1B2M |
97 |
HALLMARK_ANDROGEN_RESPONSE | 3.28e-01 | 2.58 | 0.06 | 7.87e-01 | 1.00e+00 | 1B2M |
100 |
Dowload full table
KEGG Pathways:
P-value | OR | Lower 95% CI | FDR | FWER | Genes Found | Gene Set Size | |
---|---|---|---|---|---|---|---|
KEGG_NOD_LIKE_RECEPTOR_SIGNALING_PATHWAY | 1.88e-03 | 13.52 | 2.62 | 3.50e-01 | 3.50e-01 | 3BIRC3, CCL2, TNFAIP3 |
62 |
KEGG_FOCAL_ADHESION | 7.58e-03 | 5.57 | 1.44 | 7.05e-01 | 1.00e+00 | 4TNC, FN1, BIRC3, PDGFRB |
199 |
KEGG_CALCIUM_SIGNALING_PATHWAY | 3.26e-02 | 4.56 | 0.90 | 9.43e-01 | 1.00e+00 | 3PDE1A, PDGFRB, GNA14 |
178 |
KEGG_COMPLEMENT_AND_COAGULATION_CASCADES | 3.05e-02 | 7.77 | 0.90 | 9.43e-01 | 1.00e+00 | 2C7, C3 |
69 |
KEGG_PATHWAYS_IN_CANCER | 3.70e-02 | 3.39 | 0.88 | 9.43e-01 | 1.00e+00 | 4FN1, FGF11, BIRC3, PDGFRB |
325 |
KEGG_MELANOMA | 3.21e-02 | 7.55 | 0.87 | 9.43e-01 | 1.00e+00 | 2FGF11, PDGFRB |
71 |
KEGG_REGULATION_OF_ACTIN_CYTOSKELETON | 5.07e-02 | 3.80 | 0.75 | 9.43e-01 | 1.00e+00 | 3FN1, FGF11, PDGFRB |
213 |
KEGG_ECM_RECEPTOR_INTERACTION | 4.36e-02 | 6.35 | 0.74 | 9.43e-01 | 1.00e+00 | 2TNC, FN1 |
84 |
KEGG_SMALL_CELL_LUNG_CANCER | 4.36e-02 | 6.35 | 0.74 | 9.43e-01 | 1.00e+00 | 2FN1, BIRC3 |
84 |
KEGG_GAP_JUNCTION | 4.93e-02 | 5.92 | 0.69 | 9.43e-01 | 1.00e+00 | 2PRKG1, PDGFRB |
90 |
KEGG_CYTOKINE_CYTOKINE_RECEPTOR_INTERACTION | 8.44e-02 | 3.05 | 0.60 | 1.00e+00 | 1.00e+00 | 3CCL2, PDGFRB, OSMR |
265 |
KEGG_VASCULAR_SMOOTH_MUSCLE_CONTRACTION | 7.56e-02 | 4.61 | 0.54 | 1.00e+00 | 1.00e+00 | 2PRKG1, CALD1 |
115 |
KEGG_SYSTEMIC_LUPUS_ERYTHEMATOSUS | 1.04e-01 | 3.80 | 0.44 | 1.00e+00 | 1.00e+00 | 2C7, C3 |
139 |
KEGG_PRIMARY_BILE_ACID_BIOSYNTHESIS | 6.18e-02 | 16.98 | 0.40 | 1.00e+00 | 1.00e+00 | 1CYP7B1 |
16 |
KEGG_GLYCOSAMINOGLYCAN_DEGRADATION | 8.04e-02 | 12.74 | 0.30 | 1.00e+00 | 1.00e+00 | 1HS3ST3A1 |
21 |
KEGG_GLYCOSAMINOGLYCAN_BIOSYNTHESIS_HEPARAN_SULFATE | 9.85e-02 | 10.19 | 0.24 | 1.00e+00 | 1.00e+00 | 1HS3ST3A1 |
26 |
KEGG_MAPK_SIGNALING_PATHWAY | 2.80e-01 | 1.97 | 0.23 | 1.00e+00 | 1.00e+00 | 2FGF11, PDGFRB |
267 |
KEGG_PRION_DISEASES | 1.30e-01 | 7.50 | 0.18 | 1.00e+00 | 1.00e+00 | 1C7 |
35 |
KEGG_TASTE_TRANSDUCTION | 1.87e-01 | 5.00 | 0.12 | 1.00e+00 | 1.00e+00 | 1PDE1A |
52 |
KEGG_STEROID_HORMONE_BIOSYNTHESIS | 1.97e-01 | 4.72 | 0.12 | 1.00e+00 | 1.00e+00 | 1CYP7B1 |
55 |
Dowload full table
CHR Positional Gene Sets:
P-value | OR | Lower 95% CI | FDR | FWER | Genes Found | Gene Set Size | |
---|---|---|---|---|---|---|---|
chr5p13 | 1.40e-02 | 6.38 | 1.25 | 1.00e+00 | 1.00e+00 | 3C7, ADAMTS12, OSMR |
128 |
chr11q22 | 5.73e-02 | 5.42 | 0.63 | 1.00e+00 | 1.00e+00 | 2BIRC3, ARHGAP42 |
98 |
chr6q23 | 6.57e-02 | 5.01 | 0.58 | 1.00e+00 | 1.00e+00 | 2TNFAIP3, EPB41L2 |
106 |
chr8q22 | 1.22e-01 | 3.45 | 0.40 | 1.00e+00 | 1.00e+00 | 2GEM, ZFPM2 |
153 |
chr3p11 | 9.13e-02 | 11.08 | 0.26 | 1.00e+00 | 1.00e+00 | 1EPHA3 |
24 |
chr3q12 | 1.67e-01 | 5.67 | 0.14 | 1.00e+00 | 1.00e+00 | 1ABI3BP |
46 |
chr10p14 | 1.71e-01 | 5.54 | 0.13 | 1.00e+00 | 1.00e+00 | 1ITIH5 |
47 |
chr7q33 | 1.87e-01 | 5.00 | 0.12 | 1.00e+00 | 1.00e+00 | 1CALD1 |
52 |
chr17p12 | 2.22e-01 | 4.11 | 0.10 | 1.00e+00 | 1.00e+00 | 1HS3ST3A1 |
63 |
chr15q23 | 2.28e-01 | 3.99 | 0.10 | 1.00e+00 | 1.00e+00 | 1UACA |
65 |
chr8p12 | 2.34e-01 | 3.86 | 0.09 | 1.00e+00 | 1.00e+00 | 1RBPMS |
67 |
chr2q22 | 2.37e-01 | 3.81 | 0.09 | 1.00e+00 | 1.00e+00 | 1ARHGAP15 |
68 |
chr8q13 | 2.46e-01 | 3.64 | 0.09 | 1.00e+00 | 1.00e+00 | 1SULF1 |
71 |
chr13q13 | 2.67e-01 | 3.31 | 0.08 | 1.00e+00 | 1.00e+00 | 1POSTN |
78 |
chr4q12 | 2.70e-01 | 3.27 | 0.08 | 1.00e+00 | 1.00e+00 | 1IGFBP7 |
79 |
chr18q11 | 2.73e-01 | 3.23 | 0.08 | 1.00e+00 | 1.00e+00 | 1ANKRD29 |
80 |
chr2q36 | 2.78e-01 | 3.15 | 0.08 | 1.00e+00 | 1.00e+00 | 1KCNE4 |
82 |
chr8q12 | 2.95e-01 | 2.93 | 0.07 | 1.00e+00 | 1.00e+00 | 1CYP7B1 |
88 |
chr1p21 | 3.25e-01 | 2.60 | 0.06 | 1.00e+00 | 1.00e+00 | 1VCAM1 |
99 |
chr9p24 | 3.31e-01 | 2.55 | 0.06 | 1.00e+00 | 1.00e+00 | 1IL33 |
101 |
Dowload full table
Transcription Factor Targets:
P-value | OR | Lower 95% CI | FDR | FWER | Genes Found | Gene Set Size | |
---|---|---|---|---|---|---|---|
HOX13_01 | 7.92e-04 | 18.54 | 3.56 | 3.03e-01 | 8.98e-01 | 3PRRX1, CALD1, SVIL |
46 |
TGCCAAR_NF1_Q6 | 6.46e-05 | 4.93 | 2.27 | 7.32e-02 | 7.32e-02 | 11PAPLN, POSTN, ADAM12, BNC2, SLC26A7, NFIA, PDE1A, SLC9A9, ID3, CALD1, EPHA3 |
727 |
CART1_01 | 1.94e-03 | 6.20 | 1.90 | 3.03e-01 | 1.00e+00 | 5PRRX1, BNC2, ZFPM2, BACE2, CALD1 |
229 |
CEBP_Q2 | 2.29e-03 | 5.96 | 1.83 | 3.03e-01 | 1.00e+00 | 5CLU, PRKG1, OSMR, RBPMS, ID3 |
238 |
PAX4_02 | 2.42e-03 | 5.88 | 1.81 | 3.03e-01 | 1.00e+00 | 5SLC26A7, NFIA, B2M, ARHGAP15, BACE2 |
241 |
OCT1_04 | 2.51e-03 | 5.84 | 1.79 | 3.03e-01 | 1.00e+00 | 5BNC2, SLC26A7, NFIA, PDE1A, ZFPM2 |
243 |
GATA1_04 | 2.69e-03 | 5.74 | 1.76 | 3.03e-01 | 1.00e+00 | 5BNC2, SLC26A7, RBPMS, ID3, CALD1 |
247 |
AFP1_Q6 | 3.79e-03 | 5.28 | 1.62 | 3.03e-01 | 1.00e+00 | 5SULF1, PRRX1, ZFPM2, BACE2, CALD1 |
268 |
NF1_Q6 | 3.90e-03 | 5.24 | 1.61 | 3.03e-01 | 1.00e+00 | 5SLC26A7, NFIA, FGF11, B2M, VCAM1 |
270 |
CEBP_Q2_01 | 4.03e-03 | 5.20 | 1.60 | 3.03e-01 | 1.00e+00 | 5SULF1, PRKG1, BNC2, ID3, CALD1 |
272 |
STAT5A_03 | 4.15e-03 | 5.16 | 1.59 | 3.03e-01 | 1.00e+00 | 5FN1, SLC26A7, FGF11, ID3, SVIL |
274 |
NF1_Q6_01 | 4.28e-03 | 5.13 | 1.58 | 3.03e-01 | 1.00e+00 | 5POSTN, SLC26A7, NFIA, FGF11, B2M |
276 |
YTAATTAA_LHX3_01 | 6.70e-03 | 5.78 | 1.50 | 3.35e-01 | 1.00e+00 | 4SULF1, PRRX1, BNC2, BACE2 |
192 |
ZNF449_TARGET_GENES | 2.42e-03 | 2.96 | 1.41 | 3.03e-01 | 1.00e+00 | 12TNC, SULF1, FN1, GEM, ABI3BP, UACA, NFIA, B2M, BIRC3, RBPMS, SVIL, EPB41L2 |
1346 |
MYOGNF1_01 | 1.55e-02 | 11.31 | 1.29 | 3.35e-01 | 1.00e+00 | 2NFIA, B2M |
48 |
IRF2_01 | 1.42e-02 | 6.33 | 1.24 | 3.35e-01 | 1.00e+00 | 3BNC2, B2M, KCNE4 |
129 |
LHX3_01 | 1.27e-02 | 4.77 | 1.24 | 3.35e-01 | 1.00e+00 | 4SULF1, PRRX1, PRKG1, ID3 |
232 |
TTANTCA_UNKNOWN | 8.28e-03 | 2.87 | 1.22 | 3.35e-01 | 1.00e+00 | 9SULF1, TIMP1, PRRX1, BNC2, ABI3BP, PDE1A, ZFPM2, BACE2, SLC9A9 |
967 |
ATF1_Q6 | 1.36e-02 | 4.67 | 1.21 | 3.35e-01 | 1.00e+00 | 4GEM, HS3ST3A1, PDE1A, CALD1 |
237 |
GGGNNTTTCC_NFKB_Q6_01 | 1.57e-02 | 6.09 | 1.20 | 3.35e-01 | 1.00e+00 | 3BNC2, GEM, BIRC3 |
134 |
Dowload full table
GO Biological Processes:
P-value | OR | Lower 95% CI | FDR | FWER | Genes Found | Gene Set Size | |
---|---|---|---|---|---|---|---|
GOBP_MICROGLIAL_CELL_PROLIFERATION | 4.28e-04 | 86.37 | 8.33 | 2.67e-01 | 1.00e+00 | 2CLU, IL33 |
8 |
GOBP_REGULATION_OF_APOPTOTIC_CELL_CLEARANCE | 5.49e-04 | 74.10 | 7.33 | 2.67e-01 | 1.00e+00 | 2CCL2, C3 |
9 |
GOBP_PROSTATE_GLAND_MORPHOGENESIS | 1.62e-04 | 33.18 | 6.19 | 1.53e-01 | 1.00e+00 | 3TNC, SULF1, CYP7B1 |
27 |
GOBP_MACROPHAGE_PROLIFERATION | 9.99e-04 | 51.89 | 5.39 | 3.53e-01 | 1.00e+00 | 2CLU, IL33 |
12 |
GOBP_REGULATION_OF_NUCLEOTIDE_BINDING_OLIGOMERIZATION_DOMAIN_CONTAINING_SIGNALING_PATHWAY | 1.18e-03 | 47.19 | 4.96 | 3.81e-01 | 1.00e+00 | 2BIRC3, TNFAIP3 |
13 |
GOBP_NEGATIVE_REGULATION_OF_SMOOTH_MUSCLE_CONTRACTION | 1.37e-03 | 43.30 | 4.59 | 3.81e-01 | 1.00e+00 | 2PRKG1, ARHGAP42 |
14 |
GOBP_POSITIVE_REGULATION_OF_NITRIC_OXIDE_SYNTHASE_BIOSYNTHETIC_PROCESS | 1.58e-03 | 39.95 | 4.27 | 3.92e-01 | 1.00e+00 | 2IL33, CCL2 |
15 |
GOBP_PROSTATE_GLAND_DEVELOPMENT | 5.65e-04 | 20.97 | 4.00 | 2.67e-01 | 1.00e+00 | 3TNC, SULF1, CYP7B1 |
41 |
GOBP_COMPLEMENT_ACTIVATION_ALTERNATIVE_PATHWAY | 2.28e-03 | 32.49 | 3.53 | 4.87e-01 | 1.00e+00 | 2C7, C3 |
18 |
GOBP_CHRONIC_INFLAMMATORY_RESPONSE | 2.54e-03 | 30.58 | 3.34 | 4.90e-01 | 1.00e+00 | 2VCAM1, TNFAIP3 |
19 |
GOBP_POSITIVE_REGULATION_OF_RECEPTOR_MEDIATED_ENDOCYTOSIS | 1.01e-03 | 16.95 | 3.26 | 3.53e-01 | 1.00e+00 | 3CLU, B2M, C3 |
50 |
GOBP_NITRIC_OXIDE_SYNTHASE_BIOSYNTHETIC_PROCESS | 2.81e-03 | 28.89 | 3.17 | 4.90e-01 | 1.00e+00 | 2IL33, CCL2 |
20 |
GOBP_POSITIVE_REGULATION_OF_CALCIUM_ION_IMPORT | 2.81e-03 | 28.89 | 3.17 | 4.90e-01 | 1.00e+00 | 2CCL2, PDGFRB |
20 |
GOBP_EXTERNAL_ENCAPSULATING_STRUCTURE_ORGANIZATION | 1.77e-05 | 7.09 | 3.01 | 1.32e-01 | 1.32e-01 | 9TNC, PAPLN, SULF1, POSTN, ADAM12, TIMP1, FN1, ADAMTS12, VCAM1 |
396 |
GOBP_NEGATIVE_REGULATION_OF_MUSCLE_CONTRACTION | 3.40e-03 | 26.01 | 2.87 | 5.42e-01 | 1.00e+00 | 2PRKG1, ARHGAP42 |
22 |
GOBP_NEGATIVE_REGULATION_OF_REPRODUCTIVE_PROCESS | 1.48e-03 | 14.76 | 2.85 | 3.81e-01 | 1.00e+00 | 3SULF1, TIMP1, ZFPM2 |
57 |
GOBP_RESPONSE_TO_RETINOIC_ACID | 7.16e-04 | 10.98 | 2.82 | 3.15e-01 | 1.00e+00 | 4TNC, IGFBP7, PDGFRB, EPHA3 |
103 |
GOBP_INNERVATION | 3.72e-03 | 24.78 | 2.74 | 5.56e-01 | 1.00e+00 | 2SULF1, VCAM1 |
23 |
GOBP_ACUTE_INFLAMMATORY_RESPONSE | 8.25e-04 | 10.55 | 2.71 | 3.43e-01 | 1.00e+00 | 4FN1, OSMR, VCAM1, C3 |
107 |
GOBP_GLAND_MORPHOGENESIS | 9.45e-04 | 10.15 | 2.61 | 3.53e-01 | 1.00e+00 | 4TNC, SULF1, CYP7B1, TNFAIP3 |
111 |
Dowload full table
Immunological Gene Sets:
P-value | OR | Lower 95% CI | FDR | FWER | Genes Found | Gene Set Size | |
---|---|---|---|---|---|---|---|
GSE45365_NK_CELL_VS_BCELL_UP | 1.17e-04 | 8.88 | 3.05 | 4.05e-01 | 5.71e-01 | 6GEM, BIRC3, CYP7B1, VCAM1, ID3, TNFAIP3 |
198 |
GSE36891_POLYIC_TLR3_VS_PAM_TLR2_STIM_PERITONEAL_MACROPHAGE_UP | 3.25e-04 | 9.38 | 2.87 | 4.05e-01 | 1.00e+00 | 5GEM, BIRC3, CCL2, KCNE4, TNFAIP3 |
153 |
GSE37605_FOXP3_FUSION_GFP_VS_IRES_GFP_TREG_C57BL6_UP | 7.65e-04 | 7.72 | 2.36 | 4.05e-01 | 1.00e+00 | 5GEM, NFIA, CCL2, KCNE4, ID3 |
185 |
GSE9509_LPS_VS_LPS_AND_IL10_STIM_IL10_KO_MACROPHAGE_20MIN_UP | 9.44e-04 | 7.35 | 2.25 | 4.05e-01 | 1.00e+00 | 5NFIA, BIRC3, BACE2, RBPMS, C3 |
194 |
GSE18804_SPLEEN_MACROPHAGE_VS_BRAIN_TUMORAL_MACROPHAGE_UP | 9.88e-04 | 7.27 | 2.23 | 4.05e-01 | 1.00e+00 | 5TNC, PRRX1, CCL2, ID3, TNFAIP3 |
196 |
GSE17721_CTRL_VS_LPS_6H_BMDC_DN | 1.06e-03 | 7.16 | 2.19 | 4.05e-01 | 1.00e+00 | 5TIMP1, SLC26A7, PDE1A, CCL2, ZFPM2 |
199 |
GSE17721_LPS_VS_PAM3CSK4_1H_BMDC_DN | 1.06e-03 | 7.16 | 2.19 | 4.05e-01 | 1.00e+00 | 5BIRC3, PDGFRB, VCAM1, EPB41L2, EPHA3 |
199 |
GSE13306_RA_VS_UNTREATED_TCONV_DN | 1.08e-03 | 7.12 | 2.18 | 4.05e-01 | 1.00e+00 | 5EXOC3L4, POSTN, ADAM12, NPY1R, B2M |
200 |
GSE14769_UNSTIM_VS_40MIN_LPS_BMDM_DN | 1.08e-03 | 7.12 | 2.18 | 4.05e-01 | 1.00e+00 | 5EXOC3L4, BIRC3, CCL2, ID3, TNFAIP3 |
200 |
GSE20715_0H_VS_24H_OZONE_LUNG_DN | 1.08e-03 | 7.12 | 2.18 | 4.05e-01 | 1.00e+00 | 5PAPLN, TIMP1, IL33, OSMR, C3 |
200 |
GSE20715_0H_VS_48H_OZONE_TLR4_KO_LUNG_DN | 1.08e-03 | 7.12 | 2.18 | 4.05e-01 | 1.00e+00 | 5TNC, CLU, CYP7B1, IL33, OSMR |
200 |
GSE9601_NFKB_INHIBITOR_VS_PI3K_INHIBITOR_TREATED_HCMV_INF_MONOCYTE_DN | 1.08e-03 | 7.12 | 2.18 | 4.05e-01 | 1.00e+00 | 5TIMP1, GEM, IL33, CCL2, KCNE4 |
200 |
GSE43955_1H_VS_20H_ACT_CD4_TCELL_WITH_TGFB_IL6_DN | 1.08e-03 | 7.12 | 2.18 | 4.05e-01 | 1.00e+00 | 5TNC, B2M, PDE1A, BIRC3, OSMR |
200 |
GSE36891_UNSTIM_VS_POLYIC_TLR3_STIM_PERITONEAL_MACROPHAGE_UP | 2.76e-03 | 7.50 | 1.93 | 7.51e-01 | 1.00e+00 | 4ADAM12, CCL2, KCNE4, TNFAIP3 |
149 |
GSE37605_TREG_VS_TCONV_NOD_FOXP3_FUSION_GFP_UP | 2.83e-03 | 7.44 | 1.92 | 7.51e-01 | 1.00e+00 | 4BIRC3, CCL2, KCNE4, ID3 |
150 |
GSE7218_IGM_VS_IGG_SIGNAL_THGOUGH_ANTIGEN_BCELL_DN | 4.40e-03 | 6.55 | 1.69 | 7.51e-01 | 1.00e+00 | 4GEM, B2M, BIRC3, ARHGAP15 |
170 |
GSE37605_TREG_VS_TCONV_NOD_FOXP3_FUSION_GFP_DN | 4.40e-03 | 6.55 | 1.69 | 7.51e-01 | 1.00e+00 | 4HS3ST3A1, PDE1A, CCL2, ID3 |
170 |
GSE6259_33D1_POS_VS_DEC205_POS_FLT3L_INDUCED_SPLENIC_DC_UP | 4.87e-03 | 6.36 | 1.64 | 7.51e-01 | 1.00e+00 | 4FN1, PDGFRB, RBPMS, TNFAIP3 |
175 |
GSE37605_FOXP3_FUSION_GFP_VS_IRES_GFP_TREG_C57BL6_DN | 4.96e-03 | 6.32 | 1.63 | 7.51e-01 | 1.00e+00 | 4HS3ST3A1, PDE1A, SLC9A9, ID3 |
176 |
GSE21360_SECONDARY_VS_QUATERNARY_MEMORY_CD8_TCELL_UP | 5.58e-03 | 6.11 | 1.58 | 7.51e-01 | 1.00e+00 | 4CCL2, RBPMS, VCAM1, TNFAIP3 |
182 |
Top Ranked Transcription Factors for this Gene Expression Program:
Gene Symbol | TF Rank | DNA Binding Domain | Motif Status | IUPAC PWM | GTEx | DepMap | Decartes |
---|---|---|---|---|---|---|---|
PRRX1 | 11 | Yes | Known motif | Monomer or homomultimer | High-throughput in vitro | None | None |
CLU | 13 | No | Unlikely to be sequence specific TF | Not a DNA binding protein | No motif | None | Included only because GO says positive regulation of NF-kappaB transcription factor activity, but there is no DBD and no evidence of DNA binding. |
BNC2 | 16 | Yes | Inferred motif | Monomer or homomultimer | In vivo/Misc source | Has a putative AT-hook | None |
NFIA | 22 | Yes | Known motif | Monomer or homomultimer | High-throughput in vitro | None | None |
ZFPM2 | 38 | Yes | Likely to be sequence specific TF | Monomer or homomultimer | No motif | None | FOG-proteins use some of their zinc-fingers to interact with the GATA proteins. Other C2H2 ZFs are probably also capable of binding DNA (PMID: 10329627). |
ID3 | 43 | No | Unlikely to be sequence specific TF | Not a DNA binding protein | No motif | None | ID bHLH proteins lack the basic region and should not be able to bind DNA. The HT-SELEX motif for ID4 is likely by a co-precipitated protein or it is a contamination |
TNFAIP3 | 45 | No | Unlikely to be sequence specific TF | Not a DNA binding protein | No motif | None | Inhibits NFKB-activation. No evidence for direct binding to DNA |
HOXA10 | 51 | Yes | Known motif | Monomer or homomultimer | High-throughput in vitro | None | None |
STK3 | 66 | No | Unlikely to be sequence specific TF | Not a DNA binding protein | No motif | None | Kinase - included only because GO says it regulates TFs |
TBX18 | 67 | Yes | Known motif | Monomer or homomultimer | High-throughput in vitro | None | None |
ERG | 75 | Yes | Known motif | Monomer or homomultimer | High-throughput in vitro | None | None |
DEPTOR | 83 | No | Unlikely to be sequence specific TF | Not a DNA binding protein | No motif | None | None |
NR2F2 | 92 | Yes | Known motif | Monomer or homomultimer | 100 perc ID - in vitro | None | None |
HOXA7 | 96 | Yes | Known motif | Monomer or homomultimer | High-throughput in vitro | None | None |
NOTCH3 | 98 | No | Unlikely to be sequence specific TF | Not a DNA binding protein | No motif | None | Fragment of NOTCH. Is a coactivator. |
ETV6 | 100 | Yes | Known motif | Monomer or homomultimer | High-throughput in vitro | None | None |
LPP | 108 | No | Unlikely to be sequence specific TF | Not a DNA binding protein | No motif | None | znfLIM is probably not a DNA binding domain (PMID: 8506279). The protein has been reported to be coactivator for ETV4 (PMID: 16738319). |
HOXA9 | 109 | Yes | Known motif | Monomer or homomultimer | High-throughput in vitro | None | None |
JUNB | 114 | Yes | Known motif | Monomer or homomultimer | High-throughput in vitro | None | Prefers forming heterodimers with FOS; FOSB; FOSL1 and FOSL2 over homodimers (PMID:12805554); but, clearly can bind DNA specifically in vitro. |
RARB | 122 | Yes | Known motif | Monomer or homomultimer | High-throughput in vitro | None | None |
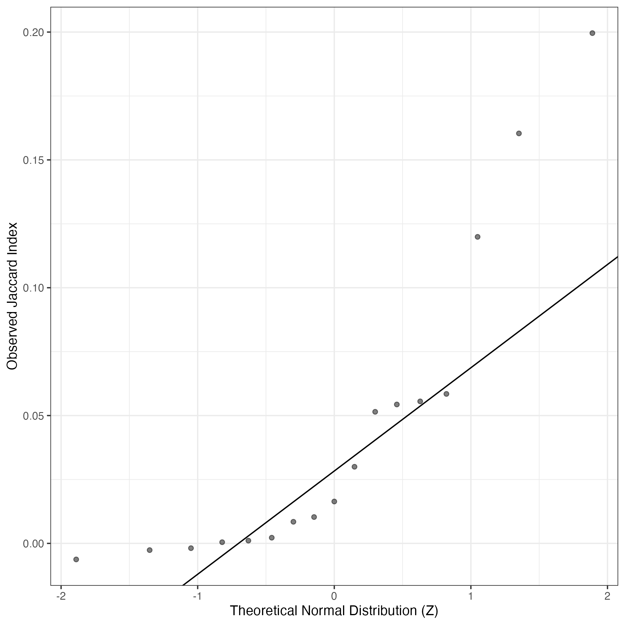
QQ Plot showing correlations with other Gene Expression Programs in this dataset, calculated by Spearman correlation:
Interactive QQ-plot of gene loadings:
A similar QQ-plot as above, but only for instances where the H value is e.g. > 25, i.e. we are confident that the expression program is active above noise. Agreemenet between these binary vectors is tested using the Jaccard Index, with the P-values calculated by an exact test:
Interactive QQ-plot:
Singler cell type annotations for the top 50 cells on this program.
Cell ID | Singler label | Singler Delta | Activity Score | Top Singler Raw Scores |
---|---|---|---|---|
NB12_CAGTAACTCCGATATG-1 | Smooth_muscle_cells:vascular | 0.16 | 1200.23 | Raw ScoresiPS_cells:CRL2097_foreskin: 0.26, Fibroblasts:breast: 0.25, Smooth_muscle_cells:vascular: 0.25, Smooth_muscle_cells:bronchial: 0.25, Smooth_muscle_cells:vascular:IL-17: 0.25, Smooth_muscle_cells:bronchial:vit_D: 0.25, Osteoblasts: 0.24, Osteoblasts:BMP2: 0.24, iPS_cells:adipose_stem_cells: 0.24, MSC: 0.24 |
NB13_GAAACTCAGGGTATCG-1 | Fibroblasts:breast | 0.15 | 1056.79 | Raw ScoresOsteoblasts: 0.24, Osteoblasts:BMP2: 0.24, Smooth_muscle_cells:vascular: 0.24, Fibroblasts:breast: 0.24, iPS_cells:adipose_stem_cells: 0.24, iPS_cells:CRL2097_foreskin: 0.24, Smooth_muscle_cells:bronchial: 0.23, Tissue_stem_cells:BM_MSC: 0.23, Smooth_muscle_cells:bronchial:vit_D: 0.23, Smooth_muscle_cells:vascular:IL-17: 0.23 |
NB12_TCCCGATTCCATGAAC-1 | Smooth_muscle_cells:bronchial:vit_D | 0.09 | 914.74 | Raw ScoresSmooth_muscle_cells:bronchial: 0.18, Smooth_muscle_cells:bronchial:vit_D: 0.18, Smooth_muscle_cells:vascular: 0.17, Osteoblasts: 0.17, Smooth_muscle_cells:vascular:IL-17: 0.17, Fibroblasts:breast: 0.16, iPS_cells:adipose_stem_cells: 0.16, iPS_cells:CRL2097_foreskin: 0.16, Osteoblasts:BMP2: 0.16, Tissue_stem_cells:BM_MSC: 0.16 |
NB13_ATCATCTGTCGCGTGT-1 | Smooth_muscle_cells:vascular | 0.16 | 672.36 | Raw ScoresSmooth_muscle_cells:bronchial: 0.22, Fibroblasts:breast: 0.22, Smooth_muscle_cells:bronchial:vit_D: 0.22, Smooth_muscle_cells:vascular: 0.21, iPS_cells:adipose_stem_cells: 0.21, Smooth_muscle_cells:vascular:IL-17: 0.21, Osteoblasts: 0.2, iPS_cells:CRL2097_foreskin: 0.2, Osteoblasts:BMP2: 0.2, Tissue_stem_cells:BM_MSC:BMP2: 0.2 |
NB13_AGGGAGTCAAACGCGA-1 | Chondrocytes:MSC-derived | 0.07 | 528.84 | Raw ScoresiPS_cells:CRL2097_foreskin: 0.16, Smooth_muscle_cells:bronchial: 0.16, Osteoblasts: 0.16, Chondrocytes:MSC-derived: 0.16, Fibroblasts:breast: 0.16, Smooth_muscle_cells:bronchial:vit_D: 0.16, Osteoblasts:BMP2: 0.16, Tissue_stem_cells:BM_MSC:TGFb3: 0.16, Smooth_muscle_cells:vascular: 0.16, iPS_cells:adipose_stem_cells: 0.15 |
NB05_TGCGTGGCAGACAAAT-1 | Neurons:adrenal_medulla_cell_line | 0.15 | 413.48 | Raw ScoresNeurons:adrenal_medulla_cell_line: 0.33, Neuroepithelial_cell:ESC-derived: 0.33, Astrocyte:Embryonic_stem_cell-derived: 0.32, Endothelial_cells:HUVEC:VEGF: 0.3, Endothelial_cells:lymphatic:TNFa_48h: 0.3, Neurons:ES_cell-derived_neural_precursor: 0.3, Endothelial_cells:lymphatic: 0.3, Endothelial_cells:HUVEC: 0.29, MSC: 0.29, iPS_cells:CRL2097_foreskin: 0.29 |
NB13_CTGATCCCATGGTTGT-1 | Tissue_stem_cells:BM_MSC | 0.09 | 400.44 | Raw ScoresiPS_cells:CRL2097_foreskin: 0.28, Smooth_muscle_cells:bronchial: 0.28, iPS_cells:PDB_fibroblasts: 0.28, Chondrocytes:MSC-derived: 0.27, Smooth_muscle_cells:bronchial:vit_D: 0.27, Osteoblasts: 0.27, iPS_cells:skin_fibroblast: 0.27, Fibroblasts:breast: 0.27, iPS_cells:fibroblasts: 0.27, iPS_cells:adipose_stem_cells: 0.27 |
NB05_GTATCTTCACGCGAAA-1 | Fibroblasts:breast | 0.15 | 376.50 | Raw ScoresiPS_cells:CRL2097_foreskin: 0.28, Smooth_muscle_cells:bronchial: 0.27, Fibroblasts:breast: 0.27, MSC: 0.27, Smooth_muscle_cells:bronchial:vit_D: 0.27, iPS_cells:adipose_stem_cells: 0.26, Smooth_muscle_cells:vascular: 0.26, Astrocyte:Embryonic_stem_cell-derived: 0.26, iPS_cells:foreskin_fibrobasts: 0.26, Chondrocytes:MSC-derived: 0.26 |
NB03_CTTGGCTCAGTGAGTG-1 | Neurons:adrenal_medulla_cell_line | 0.07 | 332.93 | Raw ScoresNeurons:adrenal_medulla_cell_line: 0.25, Astrocyte:Embryonic_stem_cell-derived: 0.24, Endothelial_cells:lymphatic:TNFa_48h: 0.23, Endothelial_cells:HUVEC:VEGF: 0.23, Endothelial_cells:lymphatic: 0.23, Smooth_muscle_cells:bronchial: 0.23, Neuroepithelial_cell:ESC-derived: 0.22, Smooth_muscle_cells:bronchial:vit_D: 0.22, iPS_cells:CRL2097_foreskin: 0.22, Neurons:ES_cell-derived_neural_precursor: 0.22 |
NB13_AGCATACGTTCCCTTG-1 | Smooth_muscle_cells:vascular | 0.11 | 314.48 | Raw ScoresiPS_cells:CRL2097_foreskin: 0.19, Smooth_muscle_cells:bronchial: 0.18, Fibroblasts:breast: 0.18, Smooth_muscle_cells:vascular: 0.18, iPS_cells:adipose_stem_cells: 0.18, Osteoblasts: 0.18, Smooth_muscle_cells:bronchial:vit_D: 0.17, Smooth_muscle_cells:vascular:IL-17: 0.17, Tissue_stem_cells:BM_MSC: 0.17, iPS_cells:skin_fibroblast: 0.17 |
NB12_AACTCAGGTTATTCTC-1 | Smooth_muscle_cells:vascular | 0.13 | 312.12 | Raw ScoresSmooth_muscle_cells:vascular: 0.22, Fibroblasts:breast: 0.21, Smooth_muscle_cells:bronchial: 0.21, Smooth_muscle_cells:bronchial:vit_D: 0.21, Smooth_muscle_cells:vascular:IL-17: 0.21, iPS_cells:CRL2097_foreskin: 0.21, iPS_cells:adipose_stem_cells: 0.21, MSC: 0.21, Tissue_stem_cells:BM_MSC: 0.21, Osteoblasts: 0.2 |
NB12_CAGCGACGTGCAGACA-1 | Neurons:adrenal_medulla_cell_line | 0.14 | 296.47 | Raw ScoresNeuroepithelial_cell:ESC-derived: 0.21, Neurons:adrenal_medulla_cell_line: 0.21, Neurons:ES_cell-derived_neural_precursor: 0.2, iPS_cells:CRL2097_foreskin: 0.19, MSC: 0.19, Astrocyte:Embryonic_stem_cell-derived: 0.19, Fibroblasts:breast: 0.19, Tissue_stem_cells:lipoma-derived_MSC: 0.19, iPS_cells:skin_fibroblast: 0.18, iPS_cells:PDB_fibroblasts: 0.18 |
NB13_CATCGGGAGATGAGAG-1 | iPS_cells:adipose_stem_cells | 0.10 | 293.97 | Raw ScoresiPS_cells:CRL2097_foreskin: 0.25, iPS_cells:adipose_stem_cells: 0.25, Fibroblasts:breast: 0.25, Osteoblasts: 0.24, Smooth_muscle_cells:bronchial: 0.24, iPS_cells:skin_fibroblast: 0.24, Smooth_muscle_cells:bronchial:vit_D: 0.24, iPS_cells:PDB_fibroblasts: 0.24, iPS_cells:fibroblasts: 0.24, Tissue_stem_cells:BM_MSC:TGFb3: 0.24 |
NB12_AAACGGGGTCTTCAAG-1 | Osteoblasts | 0.09 | 259.85 | Raw ScoresSmooth_muscle_cells:bronchial: 0.16, Smooth_muscle_cells:bronchial:vit_D: 0.16, Osteoblasts: 0.16, Osteoblasts:BMP2: 0.15, Fibroblasts:breast: 0.15, iPS_cells:CRL2097_foreskin: 0.15, Tissue_stem_cells:BM_MSC:TGFb3: 0.15, Tissue_stem_cells:BM_MSC:BMP2: 0.15, Smooth_muscle_cells:vascular: 0.15, Tissue_stem_cells:iliac_MSC: 0.15 |
NB02_GCAATCATCATAACCG-1 | iPS_cells:adipose_stem_cells | 0.09 | 226.34 | Raw ScoresSmooth_muscle_cells:bronchial: 0.14, Fibroblasts:breast: 0.14, Smooth_muscle_cells:bronchial:vit_D: 0.13, iPS_cells:CRL2097_foreskin: 0.13, Smooth_muscle_cells:vascular: 0.13, Smooth_muscle_cells:vascular:IL-17: 0.13, Osteoblasts: 0.13, iPS_cells:adipose_stem_cells: 0.13, Tissue_stem_cells:BM_MSC:TGFb3: 0.13, Chondrocytes:MSC-derived: 0.12 |
NB12_GATGAGGTCCCTTGTG-1 | Smooth_muscle_cells:vascular | 0.11 | 219.51 | Raw ScoresSmooth_muscle_cells:bronchial: 0.18, Fibroblasts:breast: 0.18, Smooth_muscle_cells:bronchial:vit_D: 0.18, iPS_cells:adipose_stem_cells: 0.17, iPS_cells:CRL2097_foreskin: 0.17, Smooth_muscle_cells:vascular: 0.17, Osteoblasts: 0.17, Chondrocytes:MSC-derived: 0.16, Smooth_muscle_cells:vascular:IL-17: 0.16, Tissue_stem_cells:BM_MSC:TGFb3: 0.16 |
NB13_CAGCAGCCAGCTTAAC-1 | Chondrocytes:MSC-derived | 0.05 | 218.32 | Raw ScoresAstrocyte:Embryonic_stem_cell-derived: 0.09, Chondrocytes:MSC-derived: 0.09, Osteoblasts: 0.08, iPS_cells:CRL2097_foreskin: 0.08, Fibroblasts:breast: 0.08, Smooth_muscle_cells:bronchial: 0.08, Smooth_muscle_cells:vascular: 0.08, Endothelial_cells:HUVEC:Serum_Amyloid_A: 0.08, Smooth_muscle_cells:bronchial:vit_D: 0.08, MSC: 0.08 |
NB12_AGCTTGACAAGTTAAG-1 | Neurons:adrenal_medulla_cell_line | 0.16 | 212.03 | Raw ScoresNeurons:adrenal_medulla_cell_line: 0.23, Astrocyte:Embryonic_stem_cell-derived: 0.2, Neuroepithelial_cell:ESC-derived: 0.2, Neurons:ES_cell-derived_neural_precursor: 0.19, Embryonic_stem_cells: 0.17, iPS_cells:PDB_1lox-17Puro-10: 0.17, iPS_cells:PDB_1lox-21Puro-20: 0.16, iPS_cells:PDB_1lox-17Puro-5: 0.16, iPS_cells:PDB_1lox-21Puro-26: 0.16, iPS_cells:CRL2097_foreskin: 0.16 |
NB13_TTCTACATCCAGAAGG-1 | iPS_cells:adipose_stem_cells | 0.16 | 210.63 | Raw ScoresFibroblasts:breast: 0.22, Osteoblasts: 0.22, iPS_cells:adipose_stem_cells: 0.22, iPS_cells:CRL2097_foreskin: 0.22, Smooth_muscle_cells:vascular: 0.22, Chondrocytes:MSC-derived: 0.21, Osteoblasts:BMP2: 0.21, Smooth_muscle_cells:bronchial: 0.21, Smooth_muscle_cells:bronchial:vit_D: 0.21, Smooth_muscle_cells:vascular:IL-17: 0.21 |
NB13_TTAGGACAGAGAGCTC-1 | iPS_cells:adipose_stem_cells | 0.14 | 207.97 | Raw ScoresiPS_cells:adipose_stem_cells: 0.26, Fibroblasts:breast: 0.26, Smooth_muscle_cells:vascular: 0.25, iPS_cells:CRL2097_foreskin: 0.25, Chondrocytes:MSC-derived: 0.25, Smooth_muscle_cells:bronchial: 0.25, Smooth_muscle_cells:vascular:IL-17: 0.25, Tissue_stem_cells:BM_MSC: 0.25, Osteoblasts: 0.25, Osteoblasts:BMP2: 0.25 |
NB13_ACCGTAAGTACGCACC-1 | Fibroblasts:breast | 0.11 | 205.00 | Raw ScoresFibroblasts:breast: 0.18, Tissue_stem_cells:BM_MSC: 0.18, iPS_cells:adipose_stem_cells: 0.18, Smooth_muscle_cells:bronchial: 0.18, MSC: 0.18, iPS_cells:skin_fibroblast: 0.18, Neurons:Schwann_cell: 0.18, Osteoblasts: 0.18, Chondrocytes:MSC-derived: 0.18, iPS_cells:CRL2097_foreskin: 0.18 |
NB12_TGTCCCACATGGTCAT-1 | Endothelial_cells:lymphatic:TNFa_48h | 0.19 | 202.01 | Raw ScoresEndothelial_cells:lymphatic:TNFa_48h: 0.3, Endothelial_cells:lymphatic: 0.3, Endothelial_cells:HUVEC:VEGF: 0.29, Endothelial_cells:HUVEC:Serum_Amyloid_A: 0.27, Endothelial_cells:HUVEC: 0.27, Endothelial_cells:HUVEC:B._anthracis_LT: 0.26, Endothelial_cells:HUVEC:H5N1-infected: 0.26, Endothelial_cells:HUVEC:IL-1b: 0.26, Endothelial_cells:HUVEC:FPV-infected: 0.25, Endothelial_cells:HUVEC:PR8-infected: 0.25 |
NB12_ATGAGGGTCTGGTGTA-1 | Fibroblasts:breast | 0.20 | 193.73 | Raw ScoresFibroblasts:breast: 0.27, iPS_cells:adipose_stem_cells: 0.26, Osteoblasts: 0.26, Tissue_stem_cells:BM_MSC:TGFb3: 0.25, Smooth_muscle_cells:vascular: 0.25, iPS_cells:CRL2097_foreskin: 0.25, Chondrocytes:MSC-derived: 0.25, Osteoblasts:BMP2: 0.25, Smooth_muscle_cells:vascular:IL-17: 0.24, Smooth_muscle_cells:bronchial:vit_D: 0.24 |
NB12_GTGGGTCAGAGGGATA-1 | Neurons:adrenal_medulla_cell_line | 0.17 | 181.78 | Raw ScoresNeurons:adrenal_medulla_cell_line: 0.28, Astrocyte:Embryonic_stem_cell-derived: 0.24, Neuroepithelial_cell:ESC-derived: 0.24, Neurons:ES_cell-derived_neural_precursor: 0.23, iPS_cells:PDB_1lox-21Puro-20: 0.21, iPS_cells:PDB_1lox-21Puro-26: 0.21, iPS_cells:PDB_1lox-17Puro-10: 0.21, iPS_cells:PDB_1lox-17Puro-5: 0.2, Embryonic_stem_cells: 0.2, iPS_cells:PDB_2lox-22: 0.19 |
NB12_AGCGTATTCTCTAAGG-1 | Neurons:adrenal_medulla_cell_line | 0.08 | 176.46 | Raw ScoresSmooth_muscle_cells:vascular: 0.16, Fibroblasts:breast: 0.16, Smooth_muscle_cells:bronchial: 0.15, Osteoblasts: 0.15, iPS_cells:CRL2097_foreskin: 0.15, Smooth_muscle_cells:vascular:IL-17: 0.15, Tissue_stem_cells:BM_MSC:BMP2: 0.15, Chondrocytes:MSC-derived: 0.15, iPS_cells:adipose_stem_cells: 0.15, Tissue_stem_cells:BM_MSC:TGFb3: 0.15 |
NB09_TCCACACCAATGGATA-1 | Osteoblasts | 0.11 | 169.99 | Raw ScoresiPS_cells:CRL2097_foreskin: 0.19, MSC: 0.19, Smooth_muscle_cells:bronchial: 0.19, Chondrocytes:MSC-derived: 0.18, Osteoblasts: 0.18, Tissue_stem_cells:BM_MSC:TGFb3: 0.18, Fibroblasts:breast: 0.18, Smooth_muscle_cells:bronchial:vit_D: 0.18, Smooth_muscle_cells:vascular: 0.18, iPS_cells:adipose_stem_cells: 0.18 |
NB03_AAGCCGCCACCAGCAC-1 | Smooth_muscle_cells:bronchial | 0.05 | 169.87 | Raw ScoresSmooth_muscle_cells:bronchial: 0.13, Smooth_muscle_cells:bronchial:vit_D: 0.13, iPS_cells:CRL2097_foreskin: 0.13, iPS_cells:skin_fibroblast: 0.12, Tissue_stem_cells:BM_MSC:TGFb3: 0.12, iPS_cells:fibroblasts: 0.12, iPS_cells:adipose_stem_cells: 0.12, Astrocyte:Embryonic_stem_cell-derived: 0.12, Fibroblasts:breast: 0.12, NK_cell:IL2: 0.12 |
NB12_CAGCTAAGTATGAATG-1 | Neurons:adrenal_medulla_cell_line | 0.13 | 166.79 | Raw ScoresNeurons:adrenal_medulla_cell_line: 0.19, Astrocyte:Embryonic_stem_cell-derived: 0.17, Neuroepithelial_cell:ESC-derived: 0.16, Neurons:ES_cell-derived_neural_precursor: 0.16, Smooth_muscle_cells:bronchial: 0.15, iPS_cells:CRL2097_foreskin: 0.14, Smooth_muscle_cells:bronchial:vit_D: 0.14, MSC: 0.14, Smooth_muscle_cells:vascular: 0.14, Embryonic_stem_cells: 0.14 |
NB06_AGTAGTCAGGTCATCT-1 | Neuroepithelial_cell:ESC-derived | 0.07 | 164.26 | Raw ScoresOsteoblasts: 0.17, iPS_cells:adipose_stem_cells: 0.17, iPS_cells:CRL2097_foreskin: 0.17, Fibroblasts:breast: 0.17, Smooth_muscle_cells:vascular: 0.17, Chondrocytes:MSC-derived: 0.17, Osteoblasts:BMP2: 0.17, Smooth_muscle_cells:vascular:IL-17: 0.16, Smooth_muscle_cells:bronchial: 0.16, Tissue_stem_cells:BM_MSC: 0.16 |
NB09_TTGTAGGGTTCAGGCC-1 | Smooth_muscle_cells:vascular | 0.09 | 156.89 | Raw ScoresFibroblasts:breast: 0.14, Smooth_muscle_cells:vascular: 0.14, Smooth_muscle_cells:vascular:IL-17: 0.13, Neuroepithelial_cell:ESC-derived: 0.13, Neurons:ES_cell-derived_neural_precursor: 0.13, MSC: 0.13, iPS_cells:adipose_stem_cells: 0.13, Osteoblasts: 0.13, iPS_cells:CRL2097_foreskin: 0.13, Osteoblasts:BMP2: 0.13 |
NB14_CAGAGAGTCGCGTTTC-1 | Tissue_stem_cells:BM_MSC | 0.15 | 155.86 | Raw ScoresChondrocytes:MSC-derived: 0.19, Fibroblasts:breast: 0.18, Smooth_muscle_cells:bronchial: 0.18, Smooth_muscle_cells:bronchial:vit_D: 0.18, iPS_cells:CRL2097_foreskin: 0.18, Osteoblasts: 0.18, iPS_cells:adipose_stem_cells: 0.18, Tissue_stem_cells:BM_MSC: 0.18, Smooth_muscle_cells:vascular: 0.18, Tissue_stem_cells:BM_MSC:TGFb3: 0.18 |
NB07_AACCGCGCATTAGCCA-1 | Neurons:adrenal_medulla_cell_line | 0.17 | 144.08 | Raw ScoresNeurons:adrenal_medulla_cell_line: 0.29, Neuroepithelial_cell:ESC-derived: 0.26, Astrocyte:Embryonic_stem_cell-derived: 0.25, Neurons:ES_cell-derived_neural_precursor: 0.23, Embryonic_stem_cells: 0.21, iPS_cells:PDB_1lox-21Puro-20: 0.21, iPS_cells:PDB_1lox-17Puro-10: 0.21, iPS_cells:PDB_1lox-21Puro-26: 0.21, iPS_cells:PDB_1lox-17Puro-5: 0.21, iPS_cells:PDB_2lox-22: 0.21 |
NB12_GATGAGGTCTCTGTCG-1 | Osteoblasts | 0.09 | 144.00 | Raw ScoresSmooth_muscle_cells:bronchial: 0.14, Smooth_muscle_cells:bronchial:vit_D: 0.14, iPS_cells:CRL2097_foreskin: 0.14, Osteoblasts: 0.14, Fibroblasts:breast: 0.14, Osteoblasts:BMP2: 0.13, iPS_cells:adipose_stem_cells: 0.13, MSC: 0.13, Smooth_muscle_cells:vascular: 0.13, iPS_cells:skin_fibroblast: 0.13 |
NB06_CACTCCACAATCTACG-1 | Neurons:adrenal_medulla_cell_line | 0.19 | 138.24 | Raw ScoresNeurons:adrenal_medulla_cell_line: 0.33, Neuroepithelial_cell:ESC-derived: 0.31, Astrocyte:Embryonic_stem_cell-derived: 0.31, Neurons:ES_cell-derived_neural_precursor: 0.3, Embryonic_stem_cells: 0.26, iPS_cells:PDB_1lox-17Puro-10: 0.25, iPS_cells:PDB_1lox-21Puro-20: 0.25, iPS_cells:PDB_1lox-21Puro-26: 0.25, MSC: 0.25, Tissue_stem_cells:CD326-CD56+: 0.25 |
NB13_CAGATCAAGGCGCTCT-1 | Tissue_stem_cells:BM_MSC:BMP2 | 0.06 | 137.53 | Raw ScoresTissue_stem_cells:BM_MSC:BMP2: 0.19, iPS_cells:adipose_stem_cells: 0.19, Smooth_muscle_cells:bronchial: 0.19, Tissue_stem_cells:BM_MSC:TGFb3: 0.19, Fibroblasts:breast: 0.19, Smooth_muscle_cells:bronchial:vit_D: 0.19, Osteoblasts: 0.19, Chondrocytes:MSC-derived: 0.19, Osteoblasts:BMP2: 0.19, Tissue_stem_cells:BM_MSC: 0.18 |
NB13_GTTCTCGGTACGCACC-1 | Tissue_stem_cells:BM_MSC:BMP2 | 0.12 | 134.48 | Raw ScoresSmooth_muscle_cells:bronchial: 0.17, Osteoblasts: 0.17, Smooth_muscle_cells:bronchial:vit_D: 0.17, Fibroblasts:breast: 0.17, Osteoblasts:BMP2: 0.16, Tissue_stem_cells:BM_MSC:TGFb3: 0.16, Tissue_stem_cells:BM_MSC:BMP2: 0.16, Smooth_muscle_cells:vascular: 0.16, iPS_cells:adipose_stem_cells: 0.16, iPS_cells:CRL2097_foreskin: 0.16 |
NB14_GGCCGATGTCCGCTGA-1 | Tissue_stem_cells:BM_MSC | 0.15 | 131.91 | Raw ScoresOsteoblasts: 0.2, Smooth_muscle_cells:bronchial: 0.2, Chondrocytes:MSC-derived: 0.2, Smooth_muscle_cells:bronchial:vit_D: 0.2, iPS_cells:adipose_stem_cells: 0.19, Osteoblasts:BMP2: 0.19, iPS_cells:CRL2097_foreskin: 0.19, Tissue_stem_cells:BM_MSC: 0.19, Fibroblasts:breast: 0.19, Smooth_muscle_cells:vascular: 0.19 |
NB07_CGCTATCTCAGAAATG-1 | Neurons:adrenal_medulla_cell_line | 0.17 | 131.05 | Raw ScoresNeurons:adrenal_medulla_cell_line: 0.26, Astrocyte:Embryonic_stem_cell-derived: 0.22, Neuroepithelial_cell:ESC-derived: 0.21, Neurons:ES_cell-derived_neural_precursor: 0.21, iPS_cells:CRL2097_foreskin: 0.18, Smooth_muscle_cells:bronchial: 0.18, Embryonic_stem_cells: 0.17, Smooth_muscle_cells:bronchial:vit_D: 0.17, iPS_cells:PDB_1lox-21Puro-20: 0.17, iPS_cells:PDB_1lox-17Puro-10: 0.17 |
NB13_CTAACTTAGCCGCCTA-1 | Neurons:adrenal_medulla_cell_line | 0.23 | 128.27 | Raw ScoresNeurons:adrenal_medulla_cell_line: 0.42, Astrocyte:Embryonic_stem_cell-derived: 0.34, Neuroepithelial_cell:ESC-derived: 0.33, Neurons:ES_cell-derived_neural_precursor: 0.31, iPS_cells:PDB_1lox-21Puro-20: 0.3, iPS_cells:PDB_1lox-21Puro-26: 0.3, iPS_cells:PDB_1lox-17Puro-10: 0.3, iPS_cells:PDB_1lox-17Puro-5: 0.3, Embryonic_stem_cells: 0.29, iPS_cells:PDB_2lox-22: 0.29 |
NB12_GGGCATCGTGTGTGCC-1 | Neurons:adrenal_medulla_cell_line | 0.18 | 125.71 | Raw ScoresNeurons:adrenal_medulla_cell_line: 0.27, Neuroepithelial_cell:ESC-derived: 0.24, Astrocyte:Embryonic_stem_cell-derived: 0.23, Neurons:ES_cell-derived_neural_precursor: 0.23, iPS_cells:PDB_1lox-21Puro-20: 0.21, iPS_cells:PDB_1lox-21Puro-26: 0.21, Embryonic_stem_cells: 0.21, iPS_cells:PDB_1lox-17Puro-10: 0.21, iPS_cells:PDB_1lox-17Puro-5: 0.2, iPS_cells:PDB_2lox-22: 0.2 |
NB11_GCAAACTAGTGGGATC-1 | Fibroblasts:breast | 0.15 | 122.45 | Raw ScoresSmooth_muscle_cells:bronchial: 0.18, Fibroblasts:breast: 0.18, iPS_cells:CRL2097_foreskin: 0.18, iPS_cells:adipose_stem_cells: 0.18, Smooth_muscle_cells:bronchial:vit_D: 0.18, Chondrocytes:MSC-derived: 0.17, Osteoblasts: 0.17, Smooth_muscle_cells:vascular: 0.16, Osteoblasts:BMP2: 0.16, iPS_cells:PDB_fibroblasts: 0.16 |
NB03_TTGCGTCTCGAACTGT-1 | iPS_cells:skin_fibroblast | 0.06 | 121.61 | Raw ScoresiPS_cells:adipose_stem_cells: 0.15, Smooth_muscle_cells:bronchial: 0.15, iPS_cells:skin_fibroblast: 0.15, iPS_cells:CRL2097_foreskin: 0.14, Osteoblasts: 0.14, Fibroblasts:breast: 0.14, Smooth_muscle_cells:vascular: 0.14, Smooth_muscle_cells:bronchial:vit_D: 0.14, Tissue_stem_cells:BM_MSC:TGFb3: 0.14, iPS_cells:PDB_fibroblasts: 0.14 |
NB13_CAAGGCCTCAACACAC-1 | Neurons:adrenal_medulla_cell_line | 0.07 | 121.21 | Raw ScoresNeurons:adrenal_medulla_cell_line: 0.19, Astrocyte:Embryonic_stem_cell-derived: 0.17, Neuroepithelial_cell:ESC-derived: 0.16, Neurons:ES_cell-derived_neural_precursor: 0.16, iPS_cells:skin_fibroblast: 0.15, iPS_cells:CRL2097_foreskin: 0.15, MSC: 0.15, Neurons:Schwann_cell: 0.15, Endothelial_cells:HUVEC:VEGF: 0.15, iPS_cells:PDB_fibroblasts: 0.15 |
NB02_TATGCCCTCAACGCTA-1 | Fibroblasts:breast | 0.10 | 121.05 | Raw ScoresOsteoblasts: 0.16, Chondrocytes:MSC-derived: 0.16, Fibroblasts:breast: 0.15, iPS_cells:adipose_stem_cells: 0.15, Tissue_stem_cells:BM_MSC:TGFb3: 0.15, Tissue_stem_cells:BM_MSC:BMP2: 0.15, Tissue_stem_cells:BM_MSC: 0.15, Tissue_stem_cells:BM_MSC:osteogenic: 0.14, Smooth_muscle_cells:vascular: 0.14, Smooth_muscle_cells:vascular:IL-17: 0.14 |
NB13_CTAATGGGTATAGTAG-1 | Smooth_muscle_cells:bronchial:vit_D | 0.12 | 118.87 | Raw ScoresSmooth_muscle_cells:bronchial:vit_D: 0.2, iPS_cells:adipose_stem_cells: 0.2, Smooth_muscle_cells:bronchial: 0.2, Fibroblasts:breast: 0.2, Chondrocytes:MSC-derived: 0.2, iPS_cells:CRL2097_foreskin: 0.2, Osteoblasts: 0.19, Tissue_stem_cells:BM_MSC:TGFb3: 0.19, Tissue_stem_cells:BM_MSC:BMP2: 0.19, Smooth_muscle_cells:vascular: 0.19 |
NB02_GCTTCCACATTCTCAT-1 | iPS_cells:adipose_stem_cells | 0.17 | 118.48 | Raw ScoresFibroblasts:breast: 0.27, Osteoblasts: 0.27, iPS_cells:adipose_stem_cells: 0.27, Chondrocytes:MSC-derived: 0.26, Osteoblasts:BMP2: 0.26, Smooth_muscle_cells:vascular:IL-17: 0.26, Tissue_stem_cells:BM_MSC: 0.26, iPS_cells:CRL2097_foreskin: 0.26, Smooth_muscle_cells:vascular: 0.26, Tissue_stem_cells:BM_MSC:osteogenic: 0.25 |
NB12_CAGCATAAGATACACA-1 | Neurons:adrenal_medulla_cell_line | 0.09 | 117.32 | Raw ScoresNeurons:ES_cell-derived_neural_precursor: 0.14, iPS_cells:CRL2097_foreskin: 0.14, Fibroblasts:breast: 0.14, Neuroepithelial_cell:ESC-derived: 0.14, Smooth_muscle_cells:bronchial: 0.14, Smooth_muscle_cells:bronchial:vit_D: 0.14, iPS_cells:adipose_stem_cells: 0.14, MSC: 0.14, Smooth_muscle_cells:vascular: 0.13, Osteoblasts: 0.13 |
NB13_CGAGAAGTCACAACGT-1 | Neurons:adrenal_medulla_cell_line | 0.12 | 116.42 | Raw ScoresNeurons:adrenal_medulla_cell_line: 0.22, Neuroepithelial_cell:ESC-derived: 0.19, Astrocyte:Embryonic_stem_cell-derived: 0.19, Neurons:ES_cell-derived_neural_precursor: 0.18, Tissue_stem_cells:CD326-CD56+: 0.17, Neurons:Schwann_cell: 0.16, Embryonic_stem_cells: 0.16, Endothelial_cells:lymphatic:TNFa_48h: 0.16, Endothelial_cells:HUVEC:VEGF: 0.16, MSC: 0.16 |
NB12_GATGCTACACATCTTT-1 | Neurons:adrenal_medulla_cell_line | 0.08 | 114.29 | Raw ScoresNeurons:adrenal_medulla_cell_line: 0.13, Astrocyte:Embryonic_stem_cell-derived: 0.11, Neurons:ES_cell-derived_neural_precursor: 0.11, Neuroepithelial_cell:ESC-derived: 0.11, MSC: 0.09, Smooth_muscle_cells:umbilical_vein: 0.09, iPS_cells:skin_fibroblast: 0.09, iPS_cells:fibroblasts: 0.09, iPS_cells:CRL2097_foreskin: 0.09, Smooth_muscle_cells:bronchial: 0.09 |
NB13_ATTATCCCACCAGGCT-1 | Tissue_stem_cells:BM_MSC | 0.07 | 112.00 | Raw ScoresNeurons:adrenal_medulla_cell_line: 0.17, MSC: 0.17, iPS_cells:CRL2097_foreskin: 0.17, Osteoblasts: 0.17, Smooth_muscle_cells:bronchial: 0.17, Smooth_muscle_cells:bronchial:vit_D: 0.17, Osteoblasts:BMP2: 0.17, Chondrocytes:MSC-derived: 0.16, iPS_cells:skin_fibroblast: 0.16, Fibroblasts:breast: 0.16 |
Below shows the significant enrichments of this GEP for literature curated gene lists
This data was procured from existing single cell RNA-seq maps of neuroblastoma or related relevant data.
High ranks indicate this gene is a driver of this GEP.
These curated gene list are ranked by the P-value (on this GEP) of their constituent genes.
The Mean Count column shows the mean read count in cells scoring highly (H > 50) on this gene expression program.
Genes | Weight | Rank | GTEx | DepMap | Decartes | Mean.Counts | Mean.TPM |
---|---|---|---|---|---|---|---|
TNC | 0.0085546 | 2 | GTEx | DepMap | Descartes | 2.06 | 488.76 |
IGFBP7 | 0.0068017 | 4 | GTEx | DepMap | Descartes | 3.11 | 3421.62 |
POSTN | 0.0054233 | 7 | GTEx | DepMap | Descartes | 1.57 | 862.81 |
FN1 | 0.0043083 | 10 | GTEx | DepMap | Descartes | 4.35 | 844.41 |
BGN | 0.0016672 | 117 | GTEx | DepMap | Descartes | 0.65 | 661.27 |
IGFBP3 | 0.0015960 | 125 | GTEx | DepMap | Descartes | 0.25 | 101.61 |
COL4A1 | 0.0015230 | 135 | GTEx | DepMap | Descartes | 0.96 | 277.42 |
ACTA2 | 0.0015138 | 140 | GTEx | DepMap | Descartes | 0.51 | 515.87 |
MEF2C | 0.0012116 | 212 | GTEx | DepMap | Descartes | 0.72 | 89.27 |
TPM1 | 0.0011275 | 236 | GTEx | DepMap | Descartes | 1.08 | 367.27 |
COL14A1 | 0.0009719 | 314 | GTEx | DepMap | Descartes | 0.38 | 108.17 |
TAGLN | 0.0008694 | 371 | GTEx | DepMap | Descartes | 0.43 | 171.46 |
TGFBR2 | 0.0008106 | 419 | GTEx | DepMap | Descartes | 0.35 | 85.12 |
MYH11 | 0.0007970 | 432 | GTEx | DepMap | Descartes | 0.11 | 24.98 |
THBS2 | 0.0007479 | 468 | GTEx | DepMap | Descartes | 0.91 | 342.88 |
MMP11 | 0.0006621 | 561 | GTEx | DepMap | Descartes | 0.04 | 27.65 |
COL5A2 | 0.0006453 | 580 | GTEx | DepMap | Descartes | 1.28 | 376.18 |
MYL9 | 0.0006399 | 591 | GTEx | DepMap | Descartes | 0.32 | 185.96 |
COL3A1 | 0.0006366 | 601 | GTEx | DepMap | Descartes | 3.72 | 1343.30 |
COL10A1 | 0.0006104 | 632 | GTEx | DepMap | Descartes | 0.03 | 23.70 |
VCAN | 0.0005827 | 664 | GTEx | DepMap | Descartes | 1.34 | 201.70 |
COL5A1 | 0.0005633 | 691 | GTEx | DepMap | Descartes | 0.69 | 160.34 |
WNT5A | 0.0005314 | 744 | GTEx | DepMap | Descartes | 0.03 | 4.17 |
THY1 | 0.0005127 | 784 | GTEx | DepMap | Descartes | 0.31 | 116.89 |
COL15A1 | 0.0005095 | 795 | GTEx | DepMap | Descartes | 0.18 | 63.88 |
TPM2 | 0.0004858 | 851 | GTEx | DepMap | Descartes | 0.36 | 351.06 |
CNN2 | 0.0004831 | 858 | GTEx | DepMap | Descartes | 0.12 | 84.17 |
ITGA7 | 0.0003383 | 1328 | GTEx | DepMap | Descartes | 0.11 | 33.49 |
MYLK | 0.0003235 | 1413 | GTEx | DepMap | Descartes | 0.14 | 17.62 |
DCN | 0.0002902 | 1600 | GTEx | DepMap | Descartes | 0.44 | 108.52 |
VEGFA | 0.0002853 | 1633 | GTEx | DepMap | Descartes | 0.23 | 35.30 |
COL13A1 | 0.0002536 | 1879 | GTEx | DepMap | Descartes | 0.06 | 25.68 |
TGFB1 | 0.0002402 | 1991 | GTEx | DepMap | Descartes | 0.20 | 106.63 |
HOPX | 0.0001995 | 2399 | GTEx | DepMap | Descartes | 0.03 | 8.68 |
TGFB2 | 0.0001992 | 2403 | GTEx | DepMap | Descartes | 0.09 | 14.72 |
PGF | 0.0000349 | 5377 | GTEx | DepMap | Descartes | 0.08 | 24.96 |
TGFBR1 | -0.0000141 | 6761 | GTEx | DepMap | Descartes | 0.26 | 67.30 |
COL1A1 | -0.0000431 | 7753 | GTEx | DepMap | Descartes | 4.85 | 1426.45 |
CNN3 | -0.0000930 | 9249 | GTEx | DepMap | Descartes | 0.25 | 203.88 |
TMEM119 | -0.0001305 | 10215 | GTEx | DepMap | Descartes | 0.07 | 28.14 |
COL12A1 | -0.0002393 | 11715 | GTEx | DepMap | Descartes | 0.47 | 67.66 |
RGS5 | -0.0002548 | 11828 | GTEx | DepMap | Descartes | 0.73 | 118.19 |
ACTG2 | -0.0003723 | 12216 | GTEx | DepMap | Descartes | 0.00 | 0.00 |
LUM | -0.0005435 | 12402 | GTEx | DepMap | Descartes | 0.48 | 293.95 |
THBS1 | -0.0006937 | 12473 | GTEx | DepMap | Descartes | 0.87 | 237.57 |
MMP2 | -0.0007342 | 12486 | GTEx | DepMap | Descartes | 0.23 | 105.86 |
COL8A1 | -0.0008538 | 12501 | GTEx | DepMap | Descartes | 0.53 | 174.85 |
COL11A1 | -0.0009265 | 12512 | GTEx | DepMap | Descartes | 0.15 | 29.31 |
COL1A2 | -0.0013785 | 12545 | GTEx | DepMap | Descartes | 4.21 | 1365.65 |
Inflammatory CAF
These marker genes were curated across cancer subtypes in multiple organ systems as reviewed in Lavie et. al. (PMID 35883004) and contain inflammatory specific CAF genes:
Wilcoxon ranksum test P-value for gene set overrepresentation: 3.88e-07
Mean rank of genes in gene set: 2698.44
Rank on gene expression program of genes in gene set:
Genes | Weight | Rank | GTEx | DepMap | Decartes | Mean.Counts | Mean.TPM |
---|---|---|---|---|---|---|---|
C7 | 0.0087669 | 1 | GTEx | DepMap | Descartes | 0.86 | 408.39 |
IL33 | 0.0029119 | 30 | GTEx | DepMap | Descartes | 0.14 | 103.70 |
CCL2 | 0.0028949 | 32 | GTEx | DepMap | Descartes | 0.64 | 1212.95 |
PDGFRB | 0.0028514 | 34 | GTEx | DepMap | Descartes | 0.50 | 162.41 |
C3 | 0.0026599 | 44 | GTEx | DepMap | Descartes | 1.04 | 311.89 |
CXCL14 | 0.0012992 | 187 | GTEx | DepMap | Descartes | 0.05 | 35.69 |
CXCL12 | 0.0011452 | 228 | GTEx | DepMap | Descartes | 0.19 | 94.43 |
PDGFRA | 0.0009306 | 332 | GTEx | DepMap | Descartes | 0.14 | 51.02 |
SERPING1 | 0.0005859 | 659 | GTEx | DepMap | Descartes | 0.29 | 201.15 |
SCARA3 | 0.0005619 | 693 | GTEx | DepMap | Descartes | 0.08 | 28.75 |
GPX3 | 0.0005264 | 757 | GTEx | DepMap | Descartes | 0.13 | 123.60 |
IGFBP6 | 0.0004160 | 1053 | GTEx | DepMap | Descartes | 0.08 | 106.27 |
PDPN | 0.0004063 | 1081 | GTEx | DepMap | Descartes | 0.06 | 44.41 |
SOD2 | 0.0003601 | 1242 | GTEx | DepMap | Descartes | 0.47 | 54.75 |
PDGFD | 0.0001929 | 2488 | GTEx | DepMap | Descartes | 0.24 | 88.23 |
IL1R1 | 0.0001174 | 3569 | GTEx | DepMap | Descartes | 0.31 | 132.12 |
RGMA | 0.0001165 | 3589 | GTEx | DepMap | Descartes | 0.08 | 11.46 |
CFB | 0.0001033 | 3849 | GTEx | DepMap | Descartes | 0.03 | 13.32 |
SCARA5 | 0.0000937 | 4034 | GTEx | DepMap | Descartes | 0.00 | 0.00 |
CXCL2 | 0.0000843 | 4213 | GTEx | DepMap | Descartes | 0.07 | 138.00 |
HGF | 0.0000710 | 4477 | GTEx | DepMap | Descartes | 0.03 | 7.16 |
CFD | 0.0000113 | 6041 | GTEx | DepMap | Descartes | 0.03 | 48.95 |
LIF | 0.0000037 | 6250 | GTEx | DepMap | Descartes | 0.06 | 29.27 |
IL10 | -0.0001265 | 10129 | GTEx | DepMap | Descartes | 0.00 | 0.00 |
IGF1 | -0.0006415 | 12449 | GTEx | DepMap | Descartes | 0.26 | 64.88 |
Stromal 2 (Hanemaaijer)
Marker genes obtained from Supplementary Table SD of Hanemaaijer et al (PMID 33500353). The authors generated single-cell RNA-seq data (sort-seq, 2,229 cells total) from mouse adrenal glads at E13.5, E14.5, E17.5, E18.5, P1 and P5. These were marker genes that matched with a similar dataset generated by Furlan et al (PMID 28684471). This particular set of markers are for Stroma subcluster:
Wilcoxon ranksum test P-value for gene set overrepresentation: 4.68e-05
Mean rank of genes in gene set: 2191.33
Rank on gene expression program of genes in gene set:
Genes | Weight | Rank | GTEx | DepMap | Decartes | Mean.Counts | Mean.TPM |
---|---|---|---|---|---|---|---|
POSTN | 0.0054233 | 7 | GTEx | DepMap | Descartes | 1.57 | 862.81 |
FBN1 | 0.0013597 | 168 | GTEx | DepMap | Descartes | 0.94 | 119.61 |
FSTL1 | 0.0013010 | 186 | GTEx | DepMap | Descartes | 0.48 | 164.74 |
FBN2 | 0.0010006 | 297 | GTEx | DepMap | Descartes | 0.09 | 13.56 |
COL14A1 | 0.0009719 | 314 | GTEx | DepMap | Descartes | 0.38 | 108.17 |
IGFBP5 | 0.0009462 | 326 | GTEx | DepMap | Descartes | 0.58 | 137.03 |
GSN | 0.0008514 | 390 | GTEx | DepMap | Descartes | 0.44 | 107.03 |
COL5A2 | 0.0006453 | 580 | GTEx | DepMap | Descartes | 1.28 | 376.18 |
GAS1 | 0.0004077 | 1077 | GTEx | DepMap | Descartes | 0.06 | 29.61 |
SFRP1 | 0.0000665 | 4599 | GTEx | DepMap | Descartes | 0.10 | 43.55 |
ITM2A | -0.0000270 | 7180 | GTEx | DepMap | Descartes | 0.01 | 1.87 |
PENK | -0.0001840 | 11172 | GTEx | DepMap | Descartes | 0.00 | 0.00 |
Below shows ranks on this GEP for literature curated gene lists for large gene sets
These include those reported as mesenchymal/adrenergic by Van Groningen et al.
High ranks indicate this gene is a driver of this GEP (note these results are not ordered).
The Mean Count column shows the mean read count in cells scoring highly (H > 50) on this gene expression program.
VanGroningen Adrenergic Genes
Adrenergic marker genes from Supplementary Table 2 of Van Groningen et al. Nature Genetics 2017. These genes were identified by differential expression analysis of mesenchymal-like and adrenergic-like neuroblastoma cell lines.
Wilcoxon ranksum test P-value for gene set overrepresentation: 1.00e+00
Mean rank of genes in gene set: 9000.03
Median rank of genes in gene set: 10048
Rank on gene expression program of top 30 genes in gene set:
Genes | Weight | Rank | GTEx | DepMap | Descartes | Mean.Counts | Mean.TPM |
---|---|---|---|---|---|---|---|
CELF2 | 0.0008081 | 422 | GTEx | DepMap | Descartes | 0.70 | 106.62 |
AKAP12 | 0.0005613 | 697 | GTEx | DepMap | Descartes | 0.68 | 146.95 |
SYNPO2 | 0.0005259 | 761 | GTEx | DepMap | Descartes | 0.76 | 70.73 |
CXCR4 | 0.0005233 | 767 | GTEx | DepMap | Descartes | 0.14 | 55.75 |
RBP1 | 0.0004738 | 884 | GTEx | DepMap | Descartes | 0.40 | 227.63 |
RTN1 | 0.0004684 | 895 | GTEx | DepMap | Descartes | 2.36 | 728.71 |
NPY | 0.0004082 | 1075 | GTEx | DepMap | Descartes | 4.37 | 6313.43 |
ABLIM1 | 0.0003148 | 1458 | GTEx | DepMap | Descartes | 0.31 | 44.99 |
EXOC5 | 0.0003097 | 1493 | GTEx | DepMap | Descartes | 0.33 | 33.88 |
SLIT3 | 0.0003026 | 1521 | GTEx | DepMap | Descartes | 1.66 | 236.13 |
ICA1 | 0.0002914 | 1592 | GTEx | DepMap | Descartes | 2.45 | 1115.95 |
CDKN2C | 0.0002511 | 1899 | GTEx | DepMap | Descartes | 0.05 | 27.45 |
LYN | 0.0002370 | 2023 | GTEx | DepMap | Descartes | 0.11 | 28.35 |
LSM3 | 0.0002330 | 2058 | GTEx | DepMap | Descartes | 0.16 | 91.86 |
FKBP1B | 0.0002300 | 2083 | GTEx | DepMap | Descartes | 0.03 | 27.70 |
POLB | 0.0002279 | 2107 | GTEx | DepMap | Descartes | 0.12 | 122.06 |
TMEM178B | 0.0002135 | 2247 | GTEx | DepMap | Descartes | 2.04 | NA |
INSM2 | 0.0002035 | 2358 | GTEx | DepMap | Descartes | 0.10 | 48.36 |
PPP2R3C | 0.0001974 | 2425 | GTEx | DepMap | Descartes | 0.16 | 135.50 |
LIN28B | 0.0001889 | 2548 | GTEx | DepMap | Descartes | 0.25 | 52.96 |
DPYSL3 | 0.0001838 | 2603 | GTEx | DepMap | Descartes | 0.93 | 232.20 |
PARP6 | 0.0001788 | 2652 | GTEx | DepMap | Descartes | 0.23 | 90.34 |
PHPT1 | 0.0001773 | 2682 | GTEx | DepMap | Descartes | 0.31 | 322.02 |
ALK | 0.0001712 | 2752 | GTEx | DepMap | Descartes | 2.27 | 379.23 |
TUBB4B | 0.0001590 | 2911 | GTEx | DepMap | Descartes | 0.23 | 143.00 |
RNF150 | 0.0001385 | 3196 | GTEx | DepMap | Descartes | 0.74 | 87.74 |
RUFY3 | 0.0001376 | 3216 | GTEx | DepMap | Descartes | 0.65 | 190.52 |
MCM7 | 0.0001361 | 3237 | GTEx | DepMap | Descartes | 0.53 | 154.15 |
DAPK1 | 0.0001360 | 3239 | GTEx | DepMap | Descartes | 0.35 | 60.92 |
CCNI | 0.0001225 | 3469 | GTEx | DepMap | Descartes | 0.72 | 391.17 |
VanGroningen Mesenchymal Genes
Mesenchymal marker genes from Supplementary Table 2 of Van Groningen et al. Nature Genetics 2017. These genes were identified by differential expression analysis of mesenchymal-like and adrenergic-like neuroblastoma cell lines.
Wilcoxon ranksum test P-value for gene set overrepresentation: 1.47e-34
Mean rank of genes in gene set: 4192.22
Median rank of genes in gene set: 2568
Rank on gene expression program of top 30 genes in gene set:
Genes | Weight | Rank | GTEx | DepMap | Descartes | Mean.Counts | Mean.TPM |
---|---|---|---|---|---|---|---|
TNC | 0.0085546 | 2 | GTEx | DepMap | Descartes | 2.06 | 488.76 |
POSTN | 0.0054233 | 7 | GTEx | DepMap | Descartes | 1.57 | 862.81 |
TIMP1 | 0.0046397 | 9 | GTEx | DepMap | Descartes | 2.87 | 4863.81 |
FN1 | 0.0043083 | 10 | GTEx | DepMap | Descartes | 4.35 | 844.41 |
PRRX1 | 0.0041227 | 11 | GTEx | DepMap | Descartes | 0.57 | 231.54 |
BNC2 | 0.0034729 | 16 | GTEx | DepMap | Descartes | 1.14 | 164.39 |
NFIA | 0.0032102 | 22 | GTEx | DepMap | Descartes | 1.06 | 43.23 |
B2M | 0.0031452 | 25 | GTEx | DepMap | Descartes | 3.35 | 1835.87 |
HS3ST3A1 | 0.0030440 | 26 | GTEx | DepMap | Descartes | 0.19 | 86.58 |
ID3 | 0.0026613 | 43 | GTEx | DepMap | Descartes | 0.32 | 475.93 |
CALD1 | 0.0026092 | 47 | GTEx | DepMap | Descartes | 3.33 | 1177.92 |
SVIL | 0.0025921 | 48 | GTEx | DepMap | Descartes | 1.06 | 219.62 |
EPHA3 | 0.0025716 | 50 | GTEx | DepMap | Descartes | 0.28 | 104.30 |
FLRT2 | 0.0025077 | 52 | GTEx | DepMap | Descartes | 0.73 | 33.90 |
COL27A1 | 0.0024809 | 53 | GTEx | DepMap | Descartes | 0.21 | 67.95 |
TFPI | 0.0024692 | 54 | GTEx | DepMap | Descartes | 0.56 | 98.10 |
PLEKHH2 | 0.0024500 | 55 | GTEx | DepMap | Descartes | 0.19 | 63.33 |
COL6A3 | 0.0024122 | 56 | GTEx | DepMap | Descartes | 1.21 | 215.79 |
EDNRA | 0.0023488 | 59 | GTEx | DepMap | Descartes | 0.35 | 154.74 |
RIN2 | 0.0023313 | 60 | GTEx | DepMap | Descartes | 0.43 | 177.56 |
COL4A2 | 0.0022438 | 64 | GTEx | DepMap | Descartes | 1.03 | 262.76 |
MGP | 0.0021670 | 70 | GTEx | DepMap | Descartes | 1.16 | 1200.34 |
CDH11 | 0.0021492 | 72 | GTEx | DepMap | Descartes | 0.84 | 253.94 |
MAML2 | 0.0021475 | 73 | GTEx | DepMap | Descartes | 1.41 | 321.79 |
EPS8 | 0.0020320 | 81 | GTEx | DepMap | Descartes | 0.53 | 183.32 |
COL6A2 | 0.0020268 | 82 | GTEx | DepMap | Descartes | 1.44 | 669.08 |
PEAK1 | 0.0019873 | 87 | GTEx | DepMap | Descartes | 0.86 | NA |
CFH | 0.0018385 | 101 | GTEx | DepMap | Descartes | 0.37 | 127.50 |
IFITM3 | 0.0017634 | 107 | GTEx | DepMap | Descartes | 0.47 | 1105.04 |
LPP | 0.0017524 | 108 | GTEx | DepMap | Descartes | 1.81 | 174.80 |
Descartes adrenocortical markers
Top 50 marker genes of adrenocortical cells in the Decartes fetal adrenal single cell map (https://atlas.brotmanbaty.org/bbi/human-gene-expression-during-development/cell/adrenocortical/in/adrenal)
Wilcoxon ranksum test P-value for gene set overrepresentation: 8.97e-01
Mean rank of genes in gene set: 7038.67
Median rank of genes in gene set: 7903
Rank on gene expression program of top 30 genes in gene set:
Genes | Weight | Rank | GTEx | DepMap | Descartes | Mean.Counts | Mean.TPM |
---|---|---|---|---|---|---|---|
CLU | 0.0037933 | 13 | GTEx | DepMap | Descartes | 1.14 | 494.10 |
ERN1 | 0.0004081 | 1076 | GTEx | DepMap | Descartes | 0.18 | 29.45 |
SH3PXD2B | 0.0002931 | 1585 | GTEx | DepMap | Descartes | 0.31 | 62.28 |
PAPSS2 | 0.0002832 | 1654 | GTEx | DepMap | Descartes | 0.15 | 74.61 |
LDLR | 0.0002190 | 2193 | GTEx | DepMap | Descartes | 0.12 | 32.51 |
NPC1 | 0.0002183 | 2199 | GTEx | DepMap | Descartes | 0.26 | 58.32 |
INHA | 0.0001476 | 3069 | GTEx | DepMap | Descartes | 0.02 | 15.94 |
IGF1R | 0.0001333 | 3287 | GTEx | DepMap | Descartes | 1.01 | 86.23 |
CYB5B | 0.0001193 | 3530 | GTEx | DepMap | Descartes | 0.23 | 66.06 |
SGCZ | 0.0001188 | 3537 | GTEx | DepMap | Descartes | 0.19 | 34.86 |
FDX1 | 0.0001043 | 3820 | GTEx | DepMap | Descartes | 0.06 | 33.68 |
SCAP | 0.0001020 | 3868 | GTEx | DepMap | Descartes | 0.19 | 58.47 |
TM7SF2 | 0.0000899 | 4111 | GTEx | DepMap | Descartes | 0.11 | 45.36 |
FDPS | 0.0000841 | 4221 | GTEx | DepMap | Descartes | 0.36 | 267.71 |
PDE10A | 0.0000494 | 5025 | GTEx | DepMap | Descartes | 0.35 | 66.46 |
SLC1A2 | 0.0000045 | 6224 | GTEx | DepMap | Descartes | 0.21 | 20.66 |
STAR | -0.0000326 | 7381 | GTEx | DepMap | Descartes | 0.00 | 0.00 |
SH3BP5 | -0.0000409 | 7680 | GTEx | DepMap | Descartes | 0.14 | 61.32 |
SCARB1 | -0.0000552 | 8126 | GTEx | DepMap | Descartes | 0.09 | 18.89 |
HMGCR | -0.0000580 | 8216 | GTEx | DepMap | Descartes | 0.11 | 26.18 |
POR | -0.0000692 | 8581 | GTEx | DepMap | Descartes | 0.13 | 46.58 |
DHCR7 | -0.0000705 | 8631 | GTEx | DepMap | Descartes | 0.05 | 17.77 |
FREM2 | -0.0000766 | 8807 | GTEx | DepMap | Descartes | 0.00 | 0.00 |
DHCR24 | -0.0000890 | 9155 | GTEx | DepMap | Descartes | 0.14 | 25.49 |
MSMO1 | -0.0001154 | 9861 | GTEx | DepMap | Descartes | 0.07 | 36.13 |
FDXR | -0.0001722 | 10999 | GTEx | DepMap | Descartes | 0.03 | 8.69 |
SLC16A9 | -0.0001801 | 11109 | GTEx | DepMap | Descartes | 0.08 | 11.84 |
APOC1 | -0.0001854 | 11194 | GTEx | DepMap | Descartes | 0.21 | 667.55 |
HMGCS1 | -0.0001974 | 11350 | GTEx | DepMap | Descartes | 0.11 | 20.73 |
BAIAP2L1 | -0.0002128 | 11500 | GTEx | DepMap | Descartes | 0.05 | 11.14 |
Descartes chromaffin markers
Top 50 marker genes of chromaffin cells in the Decartes fetal adrenal single cell map (https://atlas.brotmanbaty.org/bbi/human-gene-expression-during-development/cell/chromaffin/in/adrenal)
Wilcoxon ranksum test P-value for gene set overrepresentation: 1.00e+00
Mean rank of genes in gene set: 10601.22
Median rank of genes in gene set: 12083
Rank on gene expression program of top 30 genes in gene set:
Genes | Weight | Rank | GTEx | DepMap | Descartes | Mean.Counts | Mean.TPM |
---|---|---|---|---|---|---|---|
SYNPO2 | 0.0005259 | 761 | GTEx | DepMap | Descartes | 0.76 | 70.73 |
NPY | 0.0004082 | 1075 | GTEx | DepMap | Descartes | 4.37 | 6313.43 |
ALK | 0.0001712 | 2752 | GTEx | DepMap | Descartes | 2.27 | 379.23 |
RPH3A | 0.0000126 | 5998 | GTEx | DepMap | Descartes | 0.05 | 7.40 |
PLXNA4 | -0.0000011 | 6394 | GTEx | DepMap | Descartes | 0.43 | 28.00 |
MAB21L2 | -0.0000065 | 6552 | GTEx | DepMap | Descartes | 0.13 | 38.57 |
MAB21L1 | -0.0000510 | 8016 | GTEx | DepMap | Descartes | 0.14 | 66.26 |
GREM1 | -0.0000742 | 8737 | GTEx | DepMap | Descartes | 0.04 | 6.58 |
GAL | -0.0001069 | 9630 | GTEx | DepMap | Descartes | 0.45 | 598.17 |
EYA4 | -0.0001261 | 10115 | GTEx | DepMap | Descartes | 0.46 | 91.43 |
SLC6A2 | -0.0001313 | 10233 | GTEx | DepMap | Descartes | 0.14 | 28.61 |
CCND1 | -0.0001534 | 10692 | GTEx | DepMap | Descartes | 1.52 | 411.85 |
EYA1 | -0.0001785 | 11085 | GTEx | DepMap | Descartes | 0.57 | 101.86 |
IL7 | -0.0002074 | 11462 | GTEx | DepMap | Descartes | 1.49 | 692.33 |
FAT3 | -0.0002367 | 11697 | GTEx | DepMap | Descartes | 0.31 | 13.35 |
CNTFR | -0.0002462 | 11766 | GTEx | DepMap | Descartes | 0.13 | 53.45 |
PTCHD1 | -0.0002518 | 11803 | GTEx | DepMap | Descartes | 0.06 | 3.38 |
REEP1 | -0.0002800 | 11966 | GTEx | DepMap | Descartes | 0.15 | 44.33 |
GAP43 | -0.0002937 | 12016 | GTEx | DepMap | Descartes | 0.73 | 351.68 |
MLLT11 | -0.0003076 | 12071 | GTEx | DepMap | Descartes | 0.37 | 144.66 |
TMEM132C | -0.0003120 | 12083 | GTEx | DepMap | Descartes | 1.91 | 315.50 |
KCNB2 | -0.0003402 | 12154 | GTEx | DepMap | Descartes | 1.11 | 227.60 |
TUBB2A | -0.0003872 | 12245 | GTEx | DepMap | Descartes | 0.52 | 293.83 |
SLC44A5 | -0.0004186 | 12285 | GTEx | DepMap | Descartes | 0.19 | 54.08 |
BASP1 | -0.0004226 | 12294 | GTEx | DepMap | Descartes | 0.74 | 450.07 |
TMEFF2 | -0.0004245 | 12298 | GTEx | DepMap | Descartes | 0.16 | 52.66 |
ISL1 | -0.0004304 | 12307 | GTEx | DepMap | Descartes | 0.40 | 169.30 |
EPHA6 | -0.0004333 | 12310 | GTEx | DepMap | Descartes | 0.26 | 53.66 |
RGMB | -0.0004568 | 12331 | GTEx | DepMap | Descartes | 0.19 | 56.92 |
TUBB2B | -0.0005016 | 12371 | GTEx | DepMap | Descartes | 1.33 | 652.68 |
Descartes Vascular_endothelial markers
Top 50 marker genes of Vascular_endothelial cells in the Decartes fetal adrenal single cell map (https://atlas.brotmanbaty.org/bbi/human-gene-expression-during-development/cell/vascular_endothelial/in/adrenal)
Wilcoxon ranksum test P-value for gene set overrepresentation: 1.83e-01
Mean rank of genes in gene set: 5745.42
Median rank of genes in gene set: 5001.5
Rank on gene expression program of top 30 genes in gene set:
Genes | Weight | Rank | GTEx | DepMap | Descartes | Mean.Counts | Mean.TPM |
---|---|---|---|---|---|---|---|
ARHGAP29 | 0.0014406 | 154 | GTEx | DepMap | Descartes | 0.40 | 66.47 |
NPR1 | 0.0006756 | 547 | GTEx | DepMap | Descartes | 0.04 | 23.86 |
MMRN2 | 0.0005641 | 689 | GTEx | DepMap | Descartes | 0.08 | 24.91 |
FLT4 | 0.0004609 | 925 | GTEx | DepMap | Descartes | 0.06 | 10.64 |
SLCO2A1 | 0.0004157 | 1055 | GTEx | DepMap | Descartes | 0.08 | 22.83 |
ROBO4 | 0.0004026 | 1097 | GTEx | DepMap | Descartes | 0.08 | 22.31 |
F8 | 0.0003950 | 1123 | GTEx | DepMap | Descartes | 0.04 | 3.89 |
CEACAM1 | 0.0003816 | 1161 | GTEx | DepMap | Descartes | 0.10 | 31.18 |
ESM1 | 0.0003553 | 1255 | GTEx | DepMap | Descartes | 0.08 | 29.38 |
RASIP1 | 0.0003153 | 1452 | GTEx | DepMap | Descartes | 0.09 | 38.73 |
KANK3 | 0.0002968 | 1559 | GTEx | DepMap | Descartes | 0.06 | 29.86 |
KDR | 0.0002120 | 2271 | GTEx | DepMap | Descartes | 0.09 | 12.28 |
CDH5 | 0.0001609 | 2883 | GTEx | DepMap | Descartes | 0.04 | 9.02 |
PTPRB | 0.0001584 | 2922 | GTEx | DepMap | Descartes | 0.21 | 17.01 |
TIE1 | 0.0001386 | 3193 | GTEx | DepMap | Descartes | 0.11 | 23.62 |
SHE | 0.0001320 | 3307 | GTEx | DepMap | Descartes | 0.04 | 10.59 |
CLDN5 | 0.0001097 | 3723 | GTEx | DepMap | Descartes | 0.13 | 46.58 |
IRX3 | 0.0000594 | 4784 | GTEx | DepMap | Descartes | 0.00 | 0.00 |
EHD3 | 0.0000543 | 4907 | GTEx | DepMap | Descartes | 0.04 | 9.00 |
BTNL9 | 0.0000465 | 5096 | GTEx | DepMap | Descartes | 0.02 | 3.50 |
HYAL2 | 0.0000205 | 5796 | GTEx | DepMap | Descartes | 0.07 | 15.64 |
NR5A2 | 0.0000063 | 6185 | GTEx | DepMap | Descartes | 0.11 | 19.18 |
PODXL | 0.0000005 | 6353 | GTEx | DepMap | Descartes | 0.09 | 17.86 |
RAMP2 | -0.0000057 | 6532 | GTEx | DepMap | Descartes | 0.11 | 111.66 |
CYP26B1 | -0.0000159 | 6816 | GTEx | DepMap | Descartes | 0.01 | 1.26 |
CRHBP | -0.0000568 | 8175 | GTEx | DepMap | Descartes | 0.01 | 11.27 |
CALCRL | -0.0000661 | 8467 | GTEx | DepMap | Descartes | 0.25 | 35.82 |
ID1 | -0.0001293 | 10192 | GTEx | DepMap | Descartes | 0.06 | 95.43 |
GALNT15 | -0.0001468 | 10563 | GTEx | DepMap | Descartes | 0.01 | NA |
PLVAP | -0.0001471 | 10569 | GTEx | DepMap | Descartes | 0.17 | 47.65 |
Descartes stromal markers
Top 50 marker genes of stromal cells in the Decartes fetal adrenal single cell map (https://atlas.brotmanbaty.org/bbi/human-gene-expression-during-development/cell/stromal/in/adrenal)
Wilcoxon ranksum test P-value for gene set overrepresentation: 1.87e-09
Mean rank of genes in gene set: 3060.8
Median rank of genes in gene set: 799
Rank on gene expression program of top 30 genes in gene set:
Genes | Weight | Rank | GTEx | DepMap | Descartes | Mean.Counts | Mean.TPM |
---|---|---|---|---|---|---|---|
C7 | 0.0087669 | 1 | GTEx | DepMap | Descartes | 0.86 | 408.39 |
POSTN | 0.0054233 | 7 | GTEx | DepMap | Descartes | 1.57 | 862.81 |
PRRX1 | 0.0041227 | 11 | GTEx | DepMap | Descartes | 0.57 | 231.54 |
COL27A1 | 0.0024809 | 53 | GTEx | DepMap | Descartes | 0.21 | 67.95 |
COL6A3 | 0.0024122 | 56 | GTEx | DepMap | Descartes | 1.21 | 215.79 |
EDNRA | 0.0023488 | 59 | GTEx | DepMap | Descartes | 0.35 | 154.74 |
MGP | 0.0021670 | 70 | GTEx | DepMap | Descartes | 1.16 | 1200.34 |
ABCA6 | 0.0021566 | 71 | GTEx | DepMap | Descartes | 0.19 | 51.22 |
CDH11 | 0.0021492 | 72 | GTEx | DepMap | Descartes | 0.84 | 253.94 |
ABCC9 | 0.0018517 | 99 | GTEx | DepMap | Descartes | 0.21 | 32.80 |
IGFBP3 | 0.0015960 | 125 | GTEx | DepMap | Descartes | 0.25 | 101.61 |
ACTA2 | 0.0015138 | 140 | GTEx | DepMap | Descartes | 0.51 | 515.87 |
ITGA11 | 0.0013564 | 169 | GTEx | DepMap | Descartes | 0.28 | 48.14 |
ADAMTS2 | 0.0012748 | 191 | GTEx | DepMap | Descartes | 0.41 | 112.97 |
GLI2 | 0.0011415 | 231 | GTEx | DepMap | Descartes | 0.24 | 70.73 |
ADAMTSL3 | 0.0010642 | 266 | GTEx | DepMap | Descartes | 0.12 | 27.21 |
PDGFRA | 0.0009306 | 332 | GTEx | DepMap | Descartes | 0.14 | 51.02 |
CCDC80 | 0.0008862 | 362 | GTEx | DepMap | Descartes | 0.36 | 51.55 |
BICC1 | 0.0008271 | 406 | GTEx | DepMap | Descartes | 1.12 | 463.63 |
DKK2 | 0.0007736 | 449 | GTEx | DepMap | Descartes | 0.05 | 19.05 |
COL3A1 | 0.0006366 | 601 | GTEx | DepMap | Descartes | 3.72 | 1343.30 |
ISLR | 0.0006159 | 622 | GTEx | DepMap | Descartes | 0.22 | 184.51 |
PAMR1 | 0.0004395 | 976 | GTEx | DepMap | Descartes | 0.09 | 40.65 |
ELN | 0.0004197 | 1040 | GTEx | DepMap | Descartes | 0.41 | 181.12 |
RSPO3 | 0.0003427 | 1314 | GTEx | DepMap | Descartes | 0.00 | NA |
DCN | 0.0002902 | 1600 | GTEx | DepMap | Descartes | 0.44 | 108.52 |
PCDH18 | 0.0002794 | 1684 | GTEx | DepMap | Descartes | 0.03 | 6.07 |
LRRC17 | 0.0002545 | 1872 | GTEx | DepMap | Descartes | 0.04 | 43.44 |
LAMC3 | 0.0001783 | 2665 | GTEx | DepMap | Descartes | 0.03 | 7.90 |
GAS2 | 0.0001704 | 2758 | GTEx | DepMap | Descartes | 0.08 | 44.42 |
Descartes sympathoblasts markers
Top 50 marker genes of sympathoblasts cells in the Decartes fetal adrenal single cell map (https://atlas.brotmanbaty.org/bbi/human-gene-expression-during-development/cell/sympathoblasts/in/adrenal)
Wilcoxon ranksum test P-value for gene set overrepresentation: 1.00e+00
Mean rank of genes in gene set: 9518.82
Median rank of genes in gene set: 11315.5
Rank on gene expression program of top 30 genes in gene set:
Genes | Weight | Rank | GTEx | DepMap | Descartes | Mean.Counts | Mean.TPM |
---|---|---|---|---|---|---|---|
LAMA3 | 0.0011355 | 234 | GTEx | DepMap | Descartes | 0.23 | 34.23 |
CNTN3 | 0.0005565 | 706 | GTEx | DepMap | Descartes | 0.08 | 11.13 |
TENM1 | 0.0003639 | 1226 | GTEx | DepMap | Descartes | 0.57 | NA |
AGBL4 | 0.0002627 | 1814 | GTEx | DepMap | Descartes | 1.99 | 417.04 |
SLC35F3 | 0.0000826 | 4253 | GTEx | DepMap | Descartes | 0.25 | 72.87 |
CDH12 | 0.0000744 | 4413 | GTEx | DepMap | Descartes | 0.12 | 15.14 |
SORCS3 | 0.0000720 | 4456 | GTEx | DepMap | Descartes | 0.03 | 4.39 |
DGKK | 0.0000651 | 4636 | GTEx | DepMap | Descartes | 0.01 | 0.16 |
HTATSF1 | -0.0000364 | 7522 | GTEx | DepMap | Descartes | 0.13 | 48.92 |
SLC24A2 | -0.0000440 | 7786 | GTEx | DepMap | Descartes | 0.05 | 6.23 |
CHGA | -0.0000607 | 8292 | GTEx | DepMap | Descartes | 1.38 | 651.57 |
ARC | -0.0001009 | 9463 | GTEx | DepMap | Descartes | 0.03 | 17.24 |
KSR2 | -0.0001172 | 9902 | GTEx | DepMap | Descartes | 0.35 | 15.71 |
PACRG | -0.0001225 | 10033 | GTEx | DepMap | Descartes | 0.39 | 158.68 |
TBX20 | -0.0001318 | 10243 | GTEx | DepMap | Descartes | 0.12 | 84.41 |
C1QL1 | -0.0001579 | 10760 | GTEx | DepMap | Descartes | 0.04 | 28.74 |
TIAM1 | -0.0001626 | 10839 | GTEx | DepMap | Descartes | 0.40 | 57.37 |
CDH18 | -0.0001768 | 11065 | GTEx | DepMap | Descartes | 0.21 | 44.74 |
PENK | -0.0001840 | 11172 | GTEx | DepMap | Descartes | 0.00 | 0.00 |
CCSER1 | -0.0002073 | 11459 | GTEx | DepMap | Descartes | 1.22 | NA |
ST18 | -0.0002698 | 11915 | GTEx | DepMap | Descartes | 0.02 | 4.60 |
EML6 | -0.0003059 | 12062 | GTEx | DepMap | Descartes | 0.19 | 25.56 |
GALNTL6 | -0.0003077 | 12073 | GTEx | DepMap | Descartes | 0.16 | 36.78 |
GCH1 | -0.0003171 | 12095 | GTEx | DepMap | Descartes | 0.24 | 88.60 |
SPOCK3 | -0.0003184 | 12100 | GTEx | DepMap | Descartes | 0.08 | 17.54 |
ROBO1 | -0.0003674 | 12207 | GTEx | DepMap | Descartes | 2.27 | 336.13 |
SLC18A1 | -0.0004306 | 12308 | GTEx | DepMap | Descartes | 0.14 | 31.41 |
PCSK1N | -0.0004559 | 12330 | GTEx | DepMap | Descartes | 1.13 | 866.15 |
PCSK2 | -0.0004772 | 12348 | GTEx | DepMap | Descartes | 0.16 | 28.98 |
UNC80 | -0.0004806 | 12353 | GTEx | DepMap | Descartes | 0.47 | 31.00 |
Descartes erythroblasts markers
Top 50 marker genes of erythroblasts cells in the Decartes fetal adrenal single cell map (https://atlas.brotmanbaty.org/bbi/human-gene-expression-during-development/cell/erythroblasts/in/adrenal)
Wilcoxon ranksum test P-value for gene set overrepresentation: 5.41e-02
Mean rank of genes in gene set: 5195.31
Median rank of genes in gene set: 5038
Rank on gene expression program of top 30 genes in gene set:
Genes | Weight | Rank | GTEx | DepMap | Descartes | Mean.Counts | Mean.TPM |
---|---|---|---|---|---|---|---|
MICAL2 | 0.0010076 | 295 | GTEx | DepMap | Descartes | 0.31 | 98.50 |
GYPC | 0.0009309 | 330 | GTEx | DepMap | Descartes | 0.07 | 46.18 |
RHD | 0.0009114 | 343 | GTEx | DepMap | Descartes | 0.08 | 32.65 |
MARCH3 | 0.0006509 | 571 | GTEx | DepMap | Descartes | 0.33 | NA |
BLVRB | 0.0004987 | 819 | GTEx | DepMap | Descartes | 0.06 | 94.16 |
SLC25A37 | 0.0004799 | 865 | GTEx | DepMap | Descartes | 0.21 | 57.83 |
TSPAN5 | 0.0003211 | 1424 | GTEx | DepMap | Descartes | 0.76 | 207.05 |
SPECC1 | 0.0003111 | 1481 | GTEx | DepMap | Descartes | 0.08 | 9.90 |
DENND4A | 0.0002665 | 1788 | GTEx | DepMap | Descartes | 0.62 | 85.43 |
SELENBP1 | 0.0002462 | 1938 | GTEx | DepMap | Descartes | 0.03 | 10.64 |
CAT | 0.0002146 | 2231 | GTEx | DepMap | Descartes | 0.09 | 74.73 |
SLC25A21 | 0.0001911 | 2517 | GTEx | DepMap | Descartes | 0.04 | 16.50 |
XPO7 | 0.0001530 | 2999 | GTEx | DepMap | Descartes | 0.18 | 43.32 |
GCLC | 0.0000897 | 4116 | GTEx | DepMap | Descartes | 0.11 | 52.11 |
ANK1 | 0.0000491 | 5038 | GTEx | DepMap | Descartes | 0.24 | 39.16 |
TRAK2 | 0.0000326 | 5444 | GTEx | DepMap | Descartes | 0.14 | 23.56 |
CPOX | -0.0000227 | 7023 | GTEx | DepMap | Descartes | 0.04 | 17.57 |
TMCC2 | -0.0000232 | 7042 | GTEx | DepMap | Descartes | 0.03 | 1.91 |
SLC4A1 | -0.0000355 | 7493 | GTEx | DepMap | Descartes | 0.00 | 0.00 |
TFR2 | -0.0000359 | 7504 | GTEx | DepMap | Descartes | 0.20 | 63.35 |
ABCB10 | -0.0000534 | 8071 | GTEx | DepMap | Descartes | 0.11 | 26.20 |
ALAS2 | -0.0000803 | 8909 | GTEx | DepMap | Descartes | 0.00 | 0.00 |
EPB41 | -0.0000813 | 8939 | GTEx | DepMap | Descartes | 0.52 | 55.18 |
RAPGEF2 | -0.0000972 | 9373 | GTEx | DepMap | Descartes | 0.54 | 83.45 |
RGS6 | -0.0001127 | 9793 | GTEx | DepMap | Descartes | 0.03 | 4.38 |
SPTB | -0.0001236 | 10045 | GTEx | DepMap | Descartes | 0.05 | 7.74 |
SNCA | -0.0001627 | 10841 | GTEx | DepMap | Descartes | 0.18 | 48.50 |
FECH | -0.0001706 | 10974 | GTEx | DepMap | Descartes | 0.06 | 7.54 |
SOX6 | -0.0006618 | 12458 | GTEx | DepMap | Descartes | 0.58 | 75.08 |
NA | NA | NA | NA | NA | NA | NA | NA |
Descartes myeloid markers
Top 50 marker genes of myeloid cells in the Decartes fetal adrenal single cell map (https://atlas.brotmanbaty.org/bbi/human-gene-expression-during-development/cell/myeloid/in/adrenal)
Wilcoxon ranksum test P-value for gene set overrepresentation: 8.43e-01
Mean rank of genes in gene set: 6865.42
Median rank of genes in gene set: 7883.5
Rank on gene expression program of top 30 genes in gene set:
Genes | Weight | Rank | GTEx | DepMap | Descartes | Mean.Counts | Mean.TPM |
---|---|---|---|---|---|---|---|
SLC9A9 | 0.0027771 | 40 | GTEx | DepMap | Descartes | 0.52 | 269.29 |
SLCO2B1 | 0.0015027 | 144 | GTEx | DepMap | Descartes | 0.14 | 27.84 |
PTPRE | 0.0014366 | 156 | GTEx | DepMap | Descartes | 0.58 | 162.30 |
CD74 | 0.0013409 | 179 | GTEx | DepMap | Descartes | 0.82 | 282.02 |
ITPR2 | 0.0010349 | 281 | GTEx | DepMap | Descartes | 0.60 | 76.08 |
CST3 | 0.0008485 | 393 | GTEx | DepMap | Descartes | 0.55 | 214.35 |
CTSS | 0.0006027 | 638 | GTEx | DepMap | Descartes | 0.14 | 49.34 |
ABCA1 | 0.0005804 | 666 | GTEx | DepMap | Descartes | 0.25 | 50.05 |
HRH1 | 0.0004683 | 896 | GTEx | DepMap | Descartes | 0.14 | 42.75 |
CTSC | 0.0003375 | 1332 | GTEx | DepMap | Descartes | 0.11 | 30.08 |
RGL1 | 0.0002577 | 1851 | GTEx | DepMap | Descartes | 0.21 | 57.29 |
CSF1R | 0.0002239 | 2138 | GTEx | DepMap | Descartes | 0.06 | 21.74 |
FGL2 | 0.0001719 | 2742 | GTEx | DepMap | Descartes | 0.04 | 14.12 |
WWP1 | 0.0001563 | 2959 | GTEx | DepMap | Descartes | 0.23 | 80.98 |
IFNGR1 | 0.0001508 | 3027 | GTEx | DepMap | Descartes | 0.16 | 76.26 |
FGD2 | 0.0000602 | 4753 | GTEx | DepMap | Descartes | 0.05 | 10.11 |
HCK | 0.0000331 | 5426 | GTEx | DepMap | Descartes | 0.03 | 22.01 |
MARCH1 | 0.0000238 | 5694 | GTEx | DepMap | Descartes | 0.14 | NA |
CTSD | 0.0000014 | 6328 | GTEx | DepMap | Descartes | 0.47 | 402.40 |
SFMBT2 | -0.0000997 | 9439 | GTEx | DepMap | Descartes | 0.25 | 42.97 |
CPVL | -0.0001293 | 10191 | GTEx | DepMap | Descartes | 0.08 | 25.95 |
RBPJ | -0.0001486 | 10608 | GTEx | DepMap | Descartes | 0.48 | 110.99 |
AXL | -0.0001704 | 10967 | GTEx | DepMap | Descartes | 0.16 | 37.85 |
ATP8B4 | -0.0001807 | 11117 | GTEx | DepMap | Descartes | 0.04 | 9.75 |
CD163 | -0.0001920 | 11279 | GTEx | DepMap | Descartes | 0.02 | 3.43 |
CTSB | -0.0001932 | 11297 | GTEx | DepMap | Descartes | 0.33 | 140.02 |
MERTK | -0.0002228 | 11596 | GTEx | DepMap | Descartes | 0.07 | 22.36 |
CYBB | -0.0002295 | 11647 | GTEx | DepMap | Descartes | 0.03 | 3.64 |
ADAP2 | -0.0003276 | 12127 | GTEx | DepMap | Descartes | 0.06 | 18.81 |
MS4A4A | -0.0003298 | 12135 | GTEx | DepMap | Descartes | 0.00 | 0.00 |
Descartes Schwann markers
Top 50 marker genes of Schwann cells in the Decartes fetal adrenal single cell map (https://atlas.brotmanbaty.org/bbi/human-gene-expression-during-development/cell/schwann/in/adrenal)
Wilcoxon ranksum test P-value for gene set overrepresentation: 1.89e-01
Mean rank of genes in gene set: 5794.61
Median rank of genes in gene set: 4252
Rank on gene expression program of top 30 genes in gene set:
Genes | Weight | Rank | GTEx | DepMap | Descartes | Mean.Counts | Mean.TPM |
---|---|---|---|---|---|---|---|
NRXN3 | 0.0021702 | 69 | GTEx | DepMap | Descartes | 0.81 | 159.27 |
XKR4 | 0.0021460 | 74 | GTEx | DepMap | Descartes | 0.42 | 23.03 |
GAS7 | 0.0015207 | 137 | GTEx | DepMap | Descartes | 0.47 | 106.10 |
COL18A1 | 0.0011483 | 227 | GTEx | DepMap | Descartes | 0.91 | 219.05 |
VIM | 0.0010974 | 250 | GTEx | DepMap | Descartes | 1.12 | 718.14 |
LAMC1 | 0.0010211 | 288 | GTEx | DepMap | Descartes | 0.60 | 127.66 |
EDNRB | 0.0009662 | 317 | GTEx | DepMap | Descartes | 0.06 | 13.04 |
LAMA4 | 0.0009109 | 344 | GTEx | DepMap | Descartes | 0.23 | 48.35 |
STARD13 | 0.0008260 | 407 | GTEx | DepMap | Descartes | 0.46 | 141.46 |
COL5A2 | 0.0006453 | 580 | GTEx | DepMap | Descartes | 1.28 | 376.18 |
VCAN | 0.0005827 | 664 | GTEx | DepMap | Descartes | 1.34 | 201.70 |
GRIK3 | 0.0004236 | 1030 | GTEx | DepMap | Descartes | 0.06 | 8.99 |
HMGA2 | 0.0003993 | 1112 | GTEx | DepMap | Descartes | 0.04 | 12.97 |
OLFML2A | 0.0003335 | 1352 | GTEx | DepMap | Descartes | 0.04 | 9.17 |
PLCE1 | 0.0003140 | 1467 | GTEx | DepMap | Descartes | 0.15 | 16.85 |
FIGN | 0.0002957 | 1565 | GTEx | DepMap | Descartes | 0.31 | 45.60 |
COL25A1 | 0.0001713 | 2751 | GTEx | DepMap | Descartes | 0.04 | 5.91 |
PTN | 0.0001492 | 3050 | GTEx | DepMap | Descartes | 0.28 | 178.37 |
IL1RAPL1 | 0.0001486 | 3057 | GTEx | DepMap | Descartes | 0.25 | 82.32 |
LAMB1 | 0.0001078 | 3756 | GTEx | DepMap | Descartes | 0.52 | 122.54 |
ERBB3 | 0.0001010 | 3887 | GTEx | DepMap | Descartes | 0.03 | 6.18 |
PTPRZ1 | 0.0001001 | 3905 | GTEx | DepMap | Descartes | 0.01 | 0.74 |
SFRP1 | 0.0000665 | 4599 | GTEx | DepMap | Descartes | 0.10 | 43.55 |
PLP1 | 0.0000626 | 4695 | GTEx | DepMap | Descartes | 0.01 | 6.35 |
KCTD12 | 0.0000293 | 5531 | GTEx | DepMap | Descartes | 0.08 | 15.05 |
EGFLAM | -0.0000062 | 6543 | GTEx | DepMap | Descartes | 0.10 | 28.82 |
GFRA3 | -0.0000545 | 8104 | GTEx | DepMap | Descartes | 0.17 | 67.65 |
SLC35F1 | -0.0000682 | 8548 | GTEx | DepMap | Descartes | 0.06 | 14.73 |
MDGA2 | -0.0000864 | 9093 | GTEx | DepMap | Descartes | 0.00 | 0.00 |
MPZ | -0.0001051 | 9585 | GTEx | DepMap | Descartes | 0.00 | 0.00 |
Descartes Megakaryocytes markers
Top 50 marker genes of Megakaryocytes cells in the Decartes fetal adrenal single cell map (https://atlas.brotmanbaty.org/bbi/human-gene-expression-during-development/cell/megakaryocytes/in/adrenal)
Wilcoxon ranksum test P-value for gene set overrepresentation: 4.76e-03
Mean rank of genes in gene set: 4877.11
Median rank of genes in gene set: 2443
Rank on gene expression program of top 30 genes in gene set:
Genes | Weight | Rank | GTEx | DepMap | Descartes | Mean.Counts | Mean.TPM |
---|---|---|---|---|---|---|---|
SLC2A3 | 0.0019557 | 91 | GTEx | DepMap | Descartes | 0.62 | 238.12 |
SLC24A3 | 0.0011881 | 217 | GTEx | DepMap | Descartes | 0.31 | 106.46 |
MYH9 | 0.0008616 | 379 | GTEx | DepMap | Descartes | 0.55 | 119.24 |
GSN | 0.0008514 | 390 | GTEx | DepMap | Descartes | 0.44 | 107.03 |
TRPC6 | 0.0008334 | 400 | GTEx | DepMap | Descartes | 0.08 | 15.96 |
LTBP1 | 0.0008174 | 413 | GTEx | DepMap | Descartes | 0.25 | 64.28 |
MMRN1 | 0.0007712 | 453 | GTEx | DepMap | Descartes | 0.08 | 15.49 |
ARHGAP6 | 0.0006473 | 578 | GTEx | DepMap | Descartes | 0.16 | 33.76 |
VCL | 0.0005363 | 733 | GTEx | DepMap | Descartes | 0.44 | 93.02 |
FLNA | 0.0005110 | 792 | GTEx | DepMap | Descartes | 0.57 | 99.28 |
ACTN1 | 0.0004814 | 861 | GTEx | DepMap | Descartes | 0.63 | 189.07 |
TMSB4X | 0.0004501 | 947 | GTEx | DepMap | Descartes | 5.19 | 3018.20 |
GP1BA | 0.0004453 | 961 | GTEx | DepMap | Descartes | 0.03 | 10.41 |
TPM4 | 0.0004187 | 1044 | GTEx | DepMap | Descartes | 0.37 | 111.58 |
MYLK | 0.0003235 | 1413 | GTEx | DepMap | Descartes | 0.14 | 17.62 |
PDE3A | 0.0003206 | 1427 | GTEx | DepMap | Descartes | 0.82 | 207.09 |
ANGPT1 | 0.0002934 | 1582 | GTEx | DepMap | Descartes | 0.08 | 23.39 |
STOM | 0.0002730 | 1736 | GTEx | DepMap | Descartes | 0.14 | 47.62 |
DOK6 | 0.0002700 | 1754 | GTEx | DepMap | Descartes | 0.38 | 59.74 |
RAP1B | 0.0002674 | 1781 | GTEx | DepMap | Descartes | 0.37 | 45.73 |
LIMS1 | 0.0002426 | 1974 | GTEx | DepMap | Descartes | 0.50 | 204.60 |
TGFB1 | 0.0002402 | 1991 | GTEx | DepMap | Descartes | 0.20 | 106.63 |
FLI1 | 0.0001960 | 2443 | GTEx | DepMap | Descartes | 0.29 | 59.48 |
STON2 | 0.0001874 | 2562 | GTEx | DepMap | Descartes | 0.19 | 38.08 |
FERMT3 | 0.0001244 | 3435 | GTEx | DepMap | Descartes | 0.05 | 42.66 |
ZYX | 0.0000202 | 5807 | GTEx | DepMap | Descartes | 0.12 | 103.91 |
HIPK2 | 0.0000113 | 6042 | GTEx | DepMap | Descartes | 0.57 | 51.74 |
CD9 | -0.0000062 | 6544 | GTEx | DepMap | Descartes | 0.25 | 158.89 |
MED12L | -0.0000249 | 7103 | GTEx | DepMap | Descartes | 0.06 | 6.74 |
TUBB1 | -0.0000276 | 7200 | GTEx | DepMap | Descartes | 0.00 | 0.00 |
Descartes Lyphoid markers
Top 50 marker genes of Lyphoid cells in the Decartes fetal adrenal single cell map (https://atlas.brotmanbaty.org/bbi/human-gene-expression-during-development/cell/lymphoid/in/adrenal)
Wilcoxon ranksum test P-value for gene set overrepresentation: 8.60e-07
Mean rank of genes in gene set: 3605.38
Median rank of genes in gene set: 702.5
Rank on gene expression program of top 30 genes in gene set:
Genes | Weight | Rank | GTEx | DepMap | Descartes | Mean.Counts | Mean.TPM |
---|---|---|---|---|---|---|---|
B2M | 0.0031452 | 25 | GTEx | DepMap | Descartes | 3.35 | 1835.87 |
ARHGAP15 | 0.0028605 | 33 | GTEx | DepMap | Descartes | 0.82 | 386.03 |
SP100 | 0.0013444 | 177 | GTEx | DepMap | Descartes | 0.36 | 102.36 |
DOCK10 | 0.0012650 | 193 | GTEx | DepMap | Descartes | 0.74 | 129.45 |
FOXP1 | 0.0012487 | 199 | GTEx | DepMap | Descartes | 2.97 | 484.52 |
MBNL1 | 0.0010805 | 260 | GTEx | DepMap | Descartes | 1.15 | 265.05 |
ARID5B | 0.0010575 | 270 | GTEx | DepMap | Descartes | 0.62 | 130.30 |
ETS1 | 0.0010137 | 290 | GTEx | DepMap | Descartes | 0.35 | 99.57 |
NCALD | 0.0010029 | 296 | GTEx | DepMap | Descartes | 0.52 | 191.98 |
CCND3 | 0.0008970 | 352 | GTEx | DepMap | Descartes | 0.30 | 226.91 |
PLEKHA2 | 0.0008919 | 358 | GTEx | DepMap | Descartes | 0.21 | 67.31 |
SKAP1 | 0.0008701 | 368 | GTEx | DepMap | Descartes | 0.18 | 113.44 |
SAMD3 | 0.0008464 | 396 | GTEx | DepMap | Descartes | 0.08 | 35.29 |
LEF1 | 0.0008196 | 411 | GTEx | DepMap | Descartes | 0.15 | 53.50 |
CELF2 | 0.0008081 | 422 | GTEx | DepMap | Descartes | 0.70 | 106.62 |
RCSD1 | 0.0007997 | 428 | GTEx | DepMap | Descartes | 0.13 | 30.74 |
IKZF1 | 0.0007772 | 444 | GTEx | DepMap | Descartes | 0.09 | 15.64 |
ITPKB | 0.0007618 | 458 | GTEx | DepMap | Descartes | 0.17 | 37.38 |
PRKCH | 0.0006873 | 533 | GTEx | DepMap | Descartes | 0.30 | 92.56 |
MSN | 0.0005701 | 681 | GTEx | DepMap | Descartes | 0.22 | 88.21 |
MCTP2 | 0.0005623 | 692 | GTEx | DepMap | Descartes | 0.16 | 30.91 |
ANKRD44 | 0.0005504 | 713 | GTEx | DepMap | Descartes | 0.52 | 96.19 |
CCL5 | 0.0004022 | 1101 | GTEx | DepMap | Descartes | 0.05 | 36.83 |
LCP1 | 0.0003655 | 1217 | GTEx | DepMap | Descartes | 0.06 | 31.34 |
WIPF1 | 0.0003169 | 1444 | GTEx | DepMap | Descartes | 0.31 | 90.79 |
ABLIM1 | 0.0003148 | 1458 | GTEx | DepMap | Descartes | 0.31 | 44.99 |
PITPNC1 | 0.0003032 | 1514 | GTEx | DepMap | Descartes | 0.93 | 185.19 |
BACH2 | 0.0001911 | 2516 | GTEx | DepMap | Descartes | 0.76 | 111.43 |
ARHGDIB | 0.0001783 | 2659 | GTEx | DepMap | Descartes | 0.06 | 45.44 |
PTPRC | 0.0000835 | 4234 | GTEx | DepMap | Descartes | 0.10 | 19.60 |
Below shows the ranks on this GEP for immune marker gene lists curated by CellTypist (https://www.celltypist.org/encyclopedia).
High ranks indicate this gene is a driver of this GEP.
These curated gene list are ranked by P-value (on this GEP) of their constituent genes.
The Mean Count column shows the mean read count in cells scoring highly (H > 50) on this gene expression program.
Genes | Weight | Rank | GTEx | DepMap | Decartes | Mean.Counts | Mean.TPM |
---|---|---|---|---|---|---|---|
PRRX1 | 0.0041227 | 11 | GTEx | DepMap | Descartes | 0.57 | 231.54 |
PDGFRA | 0.0009306 | 332 | GTEx | DepMap | Descartes | 0.14 | 51.02 |
EBF2 | 0.0007511 | 464 | GTEx | DepMap | Descartes | 0.10 | 23.95 |
SMOC2 | 0.0004169 | 1050 | GTEx | DepMap | Descartes | 0.22 | 105.51 |
NTRK2 | 0.0003284 | 1389 | GTEx | DepMap | Descartes | 0.11 | 20.70 |
ANGPTL1 | 0.0002861 | 1630 | GTEx | DepMap | Descartes | 0.26 | 81.78 |
OLFML1 | 0.0002504 | 1910 | GTEx | DepMap | Descartes | 0.03 | 7.82 |
SFRP1 | 0.0000665 | 4599 | GTEx | DepMap | Descartes | 0.10 | 43.55 |
F10 | 0.0000170 | 5897 | GTEx | DepMap | Descartes | 0.01 | 4.36 |
B cells: Memory B cells (model markers)
long-lived mature B lymphocytes which are formed within germinal centers following primary infection and selected for higher-affinity immunoglobulin:
Wilcoxon ranksum test P-value for gene set overrepresentation: 1.17e-02
Mean rank of genes in gene set: 467
Rank on gene expression program of genes in gene set:
Genes | Weight | Rank | GTEx | DepMap | Decartes | Mean.Counts | Mean.TPM |
---|---|---|---|---|---|---|---|
CD74 | 0.0013409 | 179 | GTEx | DepMap | Descartes | 0.82 | 282.02 |
HES1 | 0.0005265 | 755 | GTEx | DepMap | Descartes | 0.18 | 181.69 |
T cells: Tcm/Naive helper T cells (curated markers)
CD4+ helper T lymphocytes mainly localized in secondary lymphoid tissues and sustaining the responses by proliferating and producing new effectors:
Wilcoxon ranksum test P-value for gene set overrepresentation: 1.78e-02
Mean rank of genes in gene set: 1879.33
Rank on gene expression program of genes in gene set:
Genes | Weight | Rank | GTEx | DepMap | Decartes | Mean.Counts | Mean.TPM |
---|---|---|---|---|---|---|---|
CCR7 | 0.0009624 | 319 | GTEx | DepMap | Descartes | 0.03 | 26.30 |
SELL | 0.0004646 | 912 | GTEx | DepMap | Descartes | 0.03 | 7.28 |
CD4 | 0.0000746 | 4407 | GTEx | DepMap | Descartes | 0.02 | 3.72 |