Program description and justification of annotation: 34.
Submit a comment on this gene expression program’s interpretation: CLICK
QQ-plot of gene loadings, averaged over both independent splits of the data
This plot highlights the relative contribution of each gene to the GEP
Top genes driving this program.
Note: Decartes website is buggy, try refreshing. Also, Decartes fetal adrenal data have been collected at specific time points (89-122 days), all possible cell types of interest may not be represented, do not overinterpret.
The Mean Count column shows the mean read count in cells scoring highly (H > 50) on this gene expression program.
Gene | Loading | Gene.Name | GTEx | DepMap | Descartes | Mean.Counts | Mean.Tpm | |
---|---|---|---|---|---|---|---|---|
1 | MT-ND4 | 0.0458320 | NA | GTEx | DepMap | Descartes | 100.23 | 13857.33 |
2 | MT-CYTB | 0.0439348 | NA | GTEx | DepMap | Descartes | 183.16 | 29512.34 |
3 | MT-CO2 | 0.0438283 | NA | GTEx | DepMap | Descartes | 260.35 | 68903.92 |
4 | MT-ATP6 | 0.0431751 | NA | GTEx | DepMap | Descartes | 385.64 | 99788.74 |
5 | MT-ND2 | 0.0430666 | NA | GTEx | DepMap | Descartes | 46.81 | 8347.46 |
6 | MT-ND1 | 0.0424499 | NA | GTEx | DepMap | Descartes | 63.63 | 11795.82 |
7 | MT-CO3 | 0.0416539 | NA | GTEx | DepMap | Descartes | 193.71 | 42325.31 |
8 | MT-ND4L | 0.0381268 | NA | GTEx | DepMap | Descartes | 33.15 | 26228.27 |
9 | MT-CO1 | 0.0380286 | NA | GTEx | DepMap | Descartes | 201.90 | 23360.76 |
10 | MT-ND5 | 0.0348844 | NA | GTEx | DepMap | Descartes | 17.12 | 1860.42 |
11 | MT-ATP8 | 0.0335026 | NA | GTEx | DepMap | Descartes | 14.07 | 15906.35 |
12 | MT-ND3 | 0.0290063 | NA | GTEx | DepMap | Descartes | 10.07 | 5497.04 |
13 | DYNC1H1 | 0.0199834 | dynein cytoplasmic 1 heavy chain 1 | GTEx | DepMap | Descartes | 6.29 | 16.41 |
14 | ATP2A2 | 0.0194361 | ATPase sarcoplasmic/endoplasmic reticulum Ca2+ transporting 2 | GTEx | DepMap | Descartes | 5.76 | 20.29 |
15 | CACNA2D1 | 0.0194230 | calcium voltage-gated channel auxiliary subunit alpha2delta 1 | GTEx | DepMap | Descartes | 4.94 | 1.86 |
16 | MYCBP2 | 0.0191988 | MYC binding protein 2 | GTEx | DepMap | Descartes | 7.75 | 5.68 |
17 | GM26917 | 0.0187618 | NA | GTEx | DepMap | Descartes | 15.57 | 1146.78 |
18 | DGKH | 0.0187448 | diacylglycerol kinase eta | GTEx | DepMap | Descartes | 3.55 | 3.37 |
19 | AUTS2 | 0.0180995 | activator of transcription and developmental regulator AUTS2 | GTEx | DepMap | Descartes | 4.83 | 0.79 |
20 | KTN1 | 0.0179530 | kinectin 1 | GTEx | DepMap | Descartes | 6.02 | 11.29 |
21 | EML5 | 0.0177984 | EMAP like 5 | GTEx | DepMap | Descartes | 4.15 | 6.11 |
22 | PTPRS | 0.0174618 | protein tyrosine phosphatase receptor type S | GTEx | DepMap | Descartes | 5.28 | 15.18 |
23 | GM42418 | 0.0173467 | NA | GTEx | DepMap | Descartes | 174.05 | 23111.38 |
24 | MEG3 | 0.0173367 | maternally expressed 3 | GTEx | DepMap | Descartes | 40.21 | 218.02 |
25 | VARS | 0.0170385 | NA | GTEx | DepMap | Descartes | 3.63 | 41.93 |
26 | SYNE2 | 0.0165300 | spectrin repeat containing nuclear envelope protein 2 | GTEx | DepMap | Descartes | 3.23 | 1.95 |
27 | PNN | 0.0160994 | pinin, desmosome associated protein | GTEx | DepMap | Descartes | 10.27 | 242.11 |
28 | TTC3 | 0.0159327 | tetratricopeptide repeat domain 3 | GTEx | DepMap | Descartes | 13.62 | 20.96 |
29 | SMARCA4 | 0.0159013 | SWI/SNF related, matrix associated, actin dependent regulator of chromatin, subfamily a, member 4 | GTEx | DepMap | Descartes | 6.89 | 12.48 |
30 | SETD5 | 0.0158673 | SET domain containing 5 | GTEx | DepMap | Descartes | 22.53 | 49.86 |
31 | TFRC | 0.0157958 | transferrin receptor | GTEx | DepMap | Descartes | 4.60 | 31.23 |
32 | MDN1 | 0.0157817 | midasin AAA ATPase 1 | GTEx | DepMap | Descartes | 2.99 | 4.39 |
33 | XIST | 0.0157778 | X inactive specific transcript | GTEx | DepMap | Descartes | 2.84 | 34.45 |
34 | HUWE1 | 0.0157073 | HECT, UBA and WWE domain containing E3 ubiquitin protein ligase 1 | GTEx | DepMap | Descartes | 5.36 | 6.77 |
35 | TMEM132A | 0.0154850 | transmembrane protein 132A | GTEx | DepMap | Descartes | 2.33 | 35.51 |
36 | EIF4G1 | 0.0152422 | eukaryotic translation initiation factor 4 gamma 1 | GTEx | DepMap | Descartes | 7.60 | 49.32 |
37 | CDH2 | 0.0151626 | cadherin 2 | GTEx | DepMap | Descartes | 3.36 | 2.76 |
38 | LHFPL4 | 0.0151508 | LHFPL tetraspan subfamily member 4 | GTEx | DepMap | Descartes | 10.56 | 69.98 |
39 | KCNQ1OT1 | 0.0151112 | KCNQ1 opposite strand/antisense transcript 1 | GTEx | DepMap | Descartes | 7.71 | 14.02 |
40 | SLIT2 | 0.0150489 | slit guidance ligand 2 | GTEx | DepMap | Descartes | 2.42 | 1.62 |
41 | ATRX | 0.0150333 | ATRX chromatin remodeler | GTEx | DepMap | Descartes | 9.80 | 11.79 |
42 | TAF1D | 0.0149123 | TATA-box binding protein associated factor, RNA polymerase I subunit D | GTEx | DepMap | Descartes | 4.14 | 70.01 |
43 | BAZ1B | 0.0146472 | bromodomain adjacent to zinc finger domain 1B | GTEx | DepMap | Descartes | 4.99 | 13.73 |
44 | SRRM2 | 0.0146285 | serine/arginine repetitive matrix 2 | GTEx | DepMap | Descartes | 14.45 | 70.29 |
45 | CTTNBP2 | 0.0144081 | cortactin binding protein 2 | GTEx | DepMap | Descartes | 1.91 | 2.29 |
46 | HJURP | 0.0141789 | Holliday junction recognition protein | GTEx | DepMap | Descartes | 5.41 | 61.02 |
47 | NRP2 | 0.0141117 | neuropilin 2 | GTEx | DepMap | Descartes | 3.31 | 5.05 |
48 | BPTF | 0.0140835 | bromodomain PHD finger transcription factor | GTEx | DepMap | Descartes | 5.05 | 7.89 |
49 | TTC14 | 0.0139409 | tetratricopeptide repeat domain 14 | GTEx | DepMap | Descartes | 3.84 | 43.63 |
50 | LARS2 | 0.0138288 | leucyl-tRNA synthetase 2, mitochondrial | GTEx | DepMap | Descartes | 10.26 | 28.36 |
UMAP plots showing activity of gene expression program identified in community:34. Neuroblastoma (Broad)
CNV Data procured from inferCNV.
Outer tracks are putative CNV regions (gains = red, losses = blue) for each patient
Inner track is expression data representing:
The top cells expressing this GEP (purple)
Random cells (n =50) from the reference set used in inferCNV (orange)
Gene set Enrichments for this program, caculated from top 50 genes
mSigDB Cell Types Gene Set:
P-value | OR | Lower 95% CI | FDR | FWER | Genes Found | Gene Set Size | |
---|---|---|---|---|---|---|---|
FAN_OVARY_CL3_MATURE_CUMULUS_GRANULOSA_CELL_1 | 5.95e-26 | 59.50 | 31.54 | 3.99e-23 | 3.99e-23 | 20MT-ND4, MT-CO2, MT-ATP6, MT-ND2, MT-ND1, MT-CO3, MT-ND4L, MT-CO1, MT-ND5, MT-ND3, KTN1, EML5, SYNE2, TTC3, XIST, HUWE1, EIF4G1, CDH2, KCNQ1OT1, ATRX |
254 |
HAY_BONE_MARROW_EOSINOPHIL | 7.66e-11 | 66.57 | 24.12 | 1.28e-08 | 5.14e-08 | 7MT-ND4, MT-CO2, MT-ATP6, MT-ND1, MT-CO3, MT-ND4L, MT-ND5 |
58 |
FAN_OVARY_CL11_MURAL_GRANULOSA_CELL | 2.26e-15 | 23.04 | 11.78 | 7.57e-13 | 1.51e-12 | 16MT-ND4, MT-CO2, MT-ATP6, MT-ND2, MT-ND1, MT-CO3, MT-CO1, KTN1, EML5, SYNE2, PNN, XIST, HUWE1, CDH2, KCNQ1OT1, TAF1D |
443 |
MENON_FETAL_KIDNEY_7_LOOPOF_HENLE_CELLS_DISTAL | 3.51e-11 | 22.23 | 10.16 | 7.85e-09 | 2.36e-08 | 11MT-ND4, MT-CO2, MT-ATP6, MT-ND2, MT-ND1, MT-CO3, MT-ND4L, MT-CO1, MT-ND5, MT-ATP8, MT-ND3 |
276 |
MENON_FETAL_KIDNEY_0_CAP_MESENCHYME_CELLS | 2.33e-06 | 27.31 | 8.25 | 1.74e-04 | 1.56e-03 | 5SYNE2, XIST, ATRX, BAZ1B, BPTF |
90 |
HU_FETAL_RETINA_RPE | 1.31e-09 | 18.53 | 8.18 | 1.75e-07 | 8.76e-07 | 10MT-ND4, MT-CO2, MT-ATP6, MT-ND2, MT-ND1, MT-CO3, MT-CO1, MT-ND5, MT-ATP8, MT-ND3 |
292 |
MENON_FETAL_KIDNEY_3_STROMAL_CELLS | 4.11e-05 | 23.60 | 6.02 | 2.30e-03 | 2.76e-02 | 4MEG3, TTC3, XIST, KCNQ1OT1 |
81 |
FAN_OVARY_CL8_MATURE_CUMULUS_GRANULOSA_CELL_2 | 1.75e-09 | 11.60 | 5.63 | 1.95e-07 | 1.17e-06 | 13MT-ND4, MT-CO2, MT-ATP6, MT-CO3, MT-ND4L, MT-CO1, MT-ND5, MT-ND3, KTN1, SYNE2, HUWE1, EIF4G1, CDH2 |
646 |
ZHENG_CORD_BLOOD_C7_PUTATIVE_LYMPHOID_PRIMED_MULTIPOTENT_PROGENITOR_1 | 7.65e-05 | 19.97 | 5.11 | 3.95e-03 | 5.14e-02 | 4MT-ND5, MT-ATP8, TTC3, XIST |
95 |
ZHENG_CORD_BLOOD_C8_PUTATIVE_LYMPHOID_PRIMED_MULTIPOTENT_PROGENITOR_2 | 8.30e-05 | 19.53 | 5.01 | 3.98e-03 | 5.57e-02 | 4MT-ND4, MT-CO3, MT-CO1, MT-ND3 |
97 |
FAN_OVARY_CL15_SMALL_ANTRAL_FOLLICLE_GRANULOSA_CELL | 1.96e-08 | 10.43 | 4.94 | 1.88e-06 | 1.31e-05 | 12MT-CO2, MT-CO3, MT-ND4L, MT-CO1, MT-ND3, KTN1, EML5, SYNE2, PNN, HUWE1, CDH2, TAF1D |
645 |
RUBENSTEIN_SKELETAL_MUSCLE_FBN1_FAP_CELLS | 4.86e-06 | 12.07 | 4.54 | 3.26e-04 | 3.26e-03 | 7MT-ND4, MT-ND2, MT-ND1, MT-CO3, MT-ND3, DYNC1H1, MEG3 |
289 |
RUBENSTEIN_SKELETAL_MUSCLE_SMOOTH_MUSCLE_CELLS | 7.91e-07 | 10.53 | 4.47 | 6.63e-05 | 5.30e-04 | 9MT-ND4, MT-CO2, MT-ATP6, MT-ND2, MT-ND1, MT-CO3, MT-ND4L, MT-CO1, MT-ND3 |
445 |
FAN_OVARY_CL16_LYMPHATIC_ENDOTHELIAL_CELL | 2.14e-04 | 10.23 | 3.14 | 9.58e-03 | 1.44e-01 | 5MT-ND4L, MT-CO1, MT-ND5, XIST, NRP2 |
232 |
ZHENG_CORD_BLOOD_C6_HSC_MULTIPOTENT_PROGENITOR | 1.59e-03 | 14.19 | 2.78 | 5.08e-02 | 1.00e+00 | 3MT-ND2, MT-ND5, MEG3 |
97 |
MENON_FETAL_KIDNEY_8_CONNECTING_TUBULE_CELLS | 4.06e-04 | 8.86 | 2.72 | 1.43e-02 | 2.72e-01 | 5MT-CO2, MT-CO3, MT-CO1, MT-ND3, TTC14 |
267 |
ZHONG_PFC_C3_ASTROCYTE | 2.85e-04 | 7.44 | 2.58 | 1.12e-02 | 1.91e-01 | 6AUTS2, PTPRS, MEG3, MDN1, KCNQ1OT1, BPTF |
389 |
MANNO_MIDBRAIN_NEUROTYPES_HGABA | 2.93e-05 | 5.39 | 2.48 | 1.79e-03 | 1.96e-02 | 11MYCBP2, AUTS2, MEG3, TTC3, MDN1, XIST, LHFPL4, KCNQ1OT1, ATRX, NRP2, TTC14 |
1105 |
RUBENSTEIN_SKELETAL_MUSCLE_SATELLITE_CELLS | 7.90e-04 | 7.61 | 2.34 | 2.65e-02 | 5.30e-01 | 5MT-CO3, MT-CO1, MT-ND5, MEG3, TTC3 |
310 |
LAKE_ADULT_KIDNEY_C3_PROXIMAL_TUBULE_EPITHELIAL_CELLS_S1_S2 | 1.83e-03 | 8.37 | 2.17 | 5.57e-02 | 1.00e+00 | 4SYNE2, KCNQ1OT1, SLIT2, SRRM2 |
221 |
Dowload full table
mSigDB Hallmark Gene Sets:
P-value | OR | Lower 95% CI | FDR | FWER | Genes Found | Gene Set Size | |
---|---|---|---|---|---|---|---|
HALLMARK_MTORC1_SIGNALING | 8.11e-02 | 4.40 | 0.51 | 1.00e+00 | 1.00e+00 | 2ATP2A2, TFRC |
200 |
HALLMARK_E2F_TARGETS | 8.11e-02 | 4.40 | 0.51 | 1.00e+00 | 1.00e+00 | 2PNN, TFRC |
200 |
HALLMARK_EPITHELIAL_MESENCHYMAL_TRANSITION | 8.11e-02 | 4.40 | 0.51 | 1.00e+00 | 1.00e+00 | 2CDH2, SLIT2 |
200 |
HALLMARK_HEDGEHOG_SIGNALING | 8.24e-02 | 12.18 | 0.29 | 1.00e+00 | 1.00e+00 | 1NRP2 |
36 |
HALLMARK_UNFOLDED_PROTEIN_RESPONSE | 2.36e-01 | 3.81 | 0.09 | 1.00e+00 | 1.00e+00 | 1EIF4G1 |
113 |
HALLMARK_UV_RESPONSE_DN | 2.90e-01 | 2.98 | 0.07 | 1.00e+00 | 1.00e+00 | 1ATRX |
144 |
HALLMARK_FATTY_ACID_METABOLISM | 3.13e-01 | 2.72 | 0.07 | 1.00e+00 | 1.00e+00 | 1XIST |
158 |
HALLMARK_UV_RESPONSE_UP | 3.13e-01 | 2.72 | 0.07 | 1.00e+00 | 1.00e+00 | 1TFRC |
158 |
HALLMARK_MITOTIC_SPINDLE | 3.77e-01 | 2.15 | 0.05 | 1.00e+00 | 1.00e+00 | 1DYNC1H1 |
199 |
HALLMARK_IL2_STAT5_SIGNALING | 3.77e-01 | 2.15 | 0.05 | 1.00e+00 | 1.00e+00 | 1HUWE1 |
199 |
HALLMARK_G2M_CHECKPOINT | 3.78e-01 | 2.14 | 0.05 | 1.00e+00 | 1.00e+00 | 1ATRX |
200 |
HALLMARK_INTERFERON_GAMMA_RESPONSE | 3.78e-01 | 2.14 | 0.05 | 1.00e+00 | 1.00e+00 | 1AUTS2 |
200 |
HALLMARK_APICAL_JUNCTION | 3.78e-01 | 2.14 | 0.05 | 1.00e+00 | 1.00e+00 | 1SLIT2 |
200 |
HALLMARK_COMPLEMENT | 3.78e-01 | 2.14 | 0.05 | 1.00e+00 | 1.00e+00 | 1DGKH |
200 |
HALLMARK_INFLAMMATORY_RESPONSE | 3.78e-01 | 2.14 | 0.05 | 1.00e+00 | 1.00e+00 | 1ATP2A2 |
200 |
HALLMARK_XENOBIOTIC_METABOLISM | 3.78e-01 | 2.14 | 0.05 | 1.00e+00 | 1.00e+00 | 1ATP2A2 |
200 |
HALLMARK_HEME_METABOLISM | 3.78e-01 | 2.14 | 0.05 | 1.00e+00 | 1.00e+00 | 1TFRC |
200 |
HALLMARK_TNFA_SIGNALING_VIA_NFKB | 1.00e+00 | 0.00 | 0.00 | 1.00e+00 | 1.00e+00 | 0 |
200 |
HALLMARK_HYPOXIA | 1.00e+00 | 0.00 | 0.00 | 1.00e+00 | 1.00e+00 | 0 |
200 |
HALLMARK_CHOLESTEROL_HOMEOSTASIS | 1.00e+00 | 0.00 | 0.00 | 1.00e+00 | 1.00e+00 | 0 |
74 |
Dowload full table
KEGG Pathways:
P-value | OR | Lower 95% CI | FDR | FWER | Genes Found | Gene Set Size | |
---|---|---|---|---|---|---|---|
KEGG_PARKINSONS_DISEASE | 9.71e-15 | 49.51 | 22.30 | 1.07e-12 | 1.81e-12 | 11MT-ND4, MT-CO2, MT-ATP6, MT-ND2, MT-ND1, MT-CO3, MT-ND4L, MT-CO1, MT-ND5, MT-ATP8, MT-ND3 |
130 |
KEGG_OXIDATIVE_PHOSPHORYLATION | 1.15e-14 | 48.68 | 21.94 | 1.07e-12 | 2.14e-12 | 11MT-ND4, MT-CO2, MT-ATP6, MT-ND2, MT-ND1, MT-CO3, MT-ND4L, MT-CO1, MT-ND5, MT-ATP8, MT-ND3 |
132 |
KEGG_CARDIAC_MUSCLE_CONTRACTION | 1.22e-06 | 31.35 | 9.45 | 7.57e-05 | 2.27e-04 | 5MT-CO2, MT-CO3, MT-CO1, ATP2A2, CACNA2D1 |
79 |
KEGG_ALZHEIMERS_DISEASE | 2.57e-06 | 17.80 | 6.11 | 1.20e-04 | 4.79e-04 | 6MT-CO2, MT-ATP6, MT-CO3, MT-CO1, MT-ATP8, ATP2A2 |
166 |
KEGG_HUNTINGTONS_DISEASE | 6.94e-05 | 13.11 | 4.02 | 2.58e-03 | 1.29e-02 | 5MT-CO2, MT-ATP6, MT-CO3, MT-CO1, MT-ATP8 |
182 |
KEGG_ARRHYTHMOGENIC_RIGHT_VENTRICULAR_CARDIOMYOPATHY_ARVC | 7.29e-04 | 18.78 | 3.65 | 2.26e-02 | 1.36e-01 | 3ATP2A2, CACNA2D1, CDH2 |
74 |
KEGG_HYPERTROPHIC_CARDIOMYOPATHY_HCM | 1.67e-02 | 10.75 | 1.24 | 4.43e-01 | 1.00e+00 | 2ATP2A2, CACNA2D1 |
83 |
KEGG_DILATED_CARDIOMYOPATHY | 1.94e-02 | 9.89 | 1.15 | 4.51e-01 | 1.00e+00 | 2ATP2A2, CACNA2D1 |
90 |
KEGG_VALINE_LEUCINE_AND_ISOLEUCINE_BIOSYNTHESIS | 2.59e-02 | 42.55 | 0.96 | 5.36e-01 | 1.00e+00 | 1LARS2 |
11 |
KEGG_AMINOACYL_TRNA_BIOSYNTHESIS | 9.32e-02 | 10.66 | 0.26 | 1.00e+00 | 1.00e+00 | 1LARS2 |
41 |
KEGG_VASOPRESSIN_REGULATED_WATER_REABSORPTION | 9.97e-02 | 9.91 | 0.24 | 1.00e+00 | 1.00e+00 | 1DYNC1H1 |
44 |
KEGG_GLYCEROLIPID_METABOLISM | 1.10e-01 | 8.88 | 0.22 | 1.00e+00 | 1.00e+00 | 1DGKH |
49 |
KEGG_VIRAL_MYOCARDITIS | 1.54e-01 | 6.18 | 0.15 | 1.00e+00 | 1.00e+00 | 1EIF4G1 |
70 |
KEGG_PHOSPHATIDYLINOSITOL_SIGNALING_SYSTEM | 1.66e-01 | 5.69 | 0.14 | 1.00e+00 | 1.00e+00 | 1DGKH |
76 |
KEGG_GLYCEROPHOSPHOLIPID_METABOLISM | 1.68e-01 | 5.61 | 0.14 | 1.00e+00 | 1.00e+00 | 1DGKH |
77 |
KEGG_HEMATOPOIETIC_CELL_LINEAGE | 1.87e-01 | 4.96 | 0.12 | 1.00e+00 | 1.00e+00 | 1TFRC |
87 |
KEGG_AXON_GUIDANCE | 2.65e-01 | 3.33 | 0.08 | 1.00e+00 | 1.00e+00 | 1SLIT2 |
129 |
KEGG_CELL_ADHESION_MOLECULES_CAMS | 2.72e-01 | 3.23 | 0.08 | 1.00e+00 | 1.00e+00 | 1CDH2 |
133 |
KEGG_UBIQUITIN_MEDIATED_PROTEOLYSIS | 2.75e-01 | 3.18 | 0.08 | 1.00e+00 | 1.00e+00 | 1HUWE1 |
135 |
KEGG_CALCIUM_SIGNALING_PATHWAY | 3.45e-01 | 2.41 | 0.06 | 1.00e+00 | 1.00e+00 | 1ATP2A2 |
178 |
Dowload full table
CHR Positional Gene Sets:
P-value | OR | Lower 95% CI | FDR | FWER | Genes Found | Gene Set Size | |
---|---|---|---|---|---|---|---|
MT | 3.51e-21 | 224.92 | 94.24 | 9.77e-19 | 9.77e-19 | 11MT-ND4, MT-CO2, MT-ATP6, MT-ND2, MT-ND1, MT-CO3, MT-ND4L, MT-CO1, MT-ND5, MT-ATP8, MT-ND3 |
37 |
chr3p25 | 4.64e-02 | 6.09 | 0.71 | 1.00e+00 | 1.00e+00 | 2SETD5, LHFPL4 |
145 |
chr7q11 | 1.20e-01 | 3.47 | 0.41 | 1.00e+00 | 1.00e+00 | 2AUTS2, BAZ1B |
253 |
chr6q15 | 1.08e-01 | 9.07 | 0.22 | 1.00e+00 | 1.00e+00 | 1MDN1 |
48 |
chr14q31 | 1.25e-01 | 7.75 | 0.19 | 1.00e+00 | 1.00e+00 | 1EML5 |
56 |
chr14q32 | 3.64e-01 | 1.60 | 0.19 | 1.00e+00 | 1.00e+00 | 2DYNC1H1, MEG3 |
546 |
chr13q22 | 1.35e-01 | 7.11 | 0.17 | 1.00e+00 | 1.00e+00 | 1MYCBP2 |
61 |
chr19p13 | 6.98e-01 | 1.13 | 0.13 | 1.00e+00 | 1.00e+00 | 2PTPRS, SMARCA4 |
773 |
chr14q22 | 1.93e-01 | 4.79 | 0.12 | 1.00e+00 | 1.00e+00 | 1KTN1 |
90 |
chr14q21 | 1.95e-01 | 4.74 | 0.12 | 1.00e+00 | 1.00e+00 | 1PNN |
91 |
chr17q24 | 2.01e-01 | 4.59 | 0.11 | 1.00e+00 | 1.00e+00 | 1BPTF |
94 |
chr18q12 | 2.05e-01 | 4.49 | 0.11 | 1.00e+00 | 1.00e+00 | 1CDH2 |
96 |
chr3q27 | 2.40e-01 | 3.74 | 0.09 | 1.00e+00 | 1.00e+00 | 1EIF4G1 |
115 |
chr3q29 | 2.52e-01 | 3.52 | 0.09 | 1.00e+00 | 1.00e+00 | 1TFRC |
122 |
chr4p15 | 2.52e-01 | 3.52 | 0.09 | 1.00e+00 | 1.00e+00 | 1SLIT2 |
122 |
chr14q23 | 2.56e-01 | 3.47 | 0.09 | 1.00e+00 | 1.00e+00 | 1SYNE2 |
124 |
chr7q31 | 2.65e-01 | 3.33 | 0.08 | 1.00e+00 | 1.00e+00 | 1CTTNBP2 |
129 |
chrXq21 | 2.77e-01 | 3.16 | 0.08 | 1.00e+00 | 1.00e+00 | 1ATRX |
136 |
chrXq13 | 3.17e-01 | 2.68 | 0.07 | 1.00e+00 | 1.00e+00 | 1XIST |
160 |
chr7q21 | 3.23e-01 | 2.62 | 0.06 | 1.00e+00 | 1.00e+00 | 1CACNA2D1 |
164 |
Dowload full table
Transcription Factor Targets:
P-value | OR | Lower 95% CI | FDR | FWER | Genes Found | Gene Set Size | |
---|---|---|---|---|---|---|---|
RARB_TARGET_GENES | 4.44e-07 | 333.89 | 47.11 | 1.68e-04 | 5.03e-04 | 3MT-ND4, MT-ND4L, MT-ND3 |
7 |
HMCES_TARGET_GENES | 2.03e-07 | 100.32 | 23.84 | 1.15e-04 | 2.30e-04 | 4MT-ND4, MT-ND4L, MT-CO1, MT-ND3 |
22 |
CASP3_TARGET_GENES | 5.69e-06 | 110.69 | 19.43 | 1.29e-03 | 6.45e-03 | 3MT-ND2, MT-CO1, MT-ND5 |
15 |
DROSHA_TARGET_GENES | 1.42e-08 | 45.15 | 15.19 | 1.61e-05 | 1.61e-05 | 6MT-ATP6, MT-ND2, MT-ND1, MT-CO3, MT-ATP8, MT-ND3 |
69 |
SNAI1_TARGET_GENES | 2.34e-06 | 9.18 | 3.90 | 6.62e-04 | 2.65e-03 | 9MT-ND4, MT-ATP6, MT-ND1, MT-CO3, MT-ND4L, MT-CO1, MT-ND5, MT-ATP8, TFRC |
509 |
CDH4_TARGET_GENES | 1.05e-03 | 16.47 | 3.21 | 1.19e-01 | 1.00e+00 | 3MT-ND4, MT-ND4L, MT-ND3 |
84 |
FOXR2_TARGET_GENES | 2.23e-04 | 10.14 | 3.11 | 4.20e-02 | 2.52e-01 | 5MT-ND4, MT-ND1, MT-ND4L, MT-CO1, MT-ND3 |
234 |
OCT1_Q6 | 4.41e-04 | 8.70 | 2.67 | 6.24e-02 | 5.00e-01 | 5MT-CO2, MT-ND2, MT-CO1, ATP2A2, NRP2 |
272 |
THRA_TARGET_GENES | 2.27e-03 | 12.46 | 2.44 | 2.34e-01 | 1.00e+00 | 3MT-CO2, MT-ND2, MT-CO1 |
110 |
SMARCA1_TARGET_GENES | 4.12e-03 | 10.03 | 1.97 | 2.92e-01 | 1.00e+00 | 3MT-ND4, MT-ND4L, MT-ND5 |
136 |
E2A_Q2 | 2.96e-03 | 7.30 | 1.89 | 2.58e-01 | 1.00e+00 | 4ATP2A2, SLIT2, BPTF, LARS2 |
253 |
TFAM_TARGET_GENES | 8.71e-03 | 15.27 | 1.76 | 4.48e-01 | 1.00e+00 | 2MT-ND2, MT-ND5 |
59 |
PAX3_TARGET_GENES | 4.28e-04 | 3.68 | 1.75 | 6.24e-02 | 4.85e-01 | 12ATP2A2, MYCBP2, AUTS2, KTN1, SYNE2, PNN, SETD5, MDN1, CDH2, SLIT2, TAF1D, CTTNBP2 |
1807 |
ZFHX3_TARGET_GENES | 5.37e-04 | 3.58 | 1.70 | 6.76e-02 | 6.08e-01 | 12MT-ND4, MT-ATP6, MT-ND1, MT-CO3, MT-ND4L, MT-CO1, MT-ND5, MT-ATP8, MT-ND3, MYCBP2, PNN, BAZ1B |
1857 |
PSIP1_TARGET_GENES | 9.88e-03 | 14.27 | 1.64 | 4.48e-01 | 1.00e+00 | 2MT-ND1, MT-ND4L |
63 |
ZNF680_TARGET_GENES | 3.25e-03 | 4.56 | 1.58 | 2.63e-01 | 1.00e+00 | 6MT-ND4, MT-ND4L, MT-ND5, MYCBP2, TTC3, HUWE1 |
631 |
ZNF175_TARGET_GENES | 2.91e-03 | 4.09 | 1.55 | 2.58e-01 | 1.00e+00 | 7MT-ND4, MT-ND4L, MT-CO1, MT-ND3, SMARCA4, XIST, CTTNBP2 |
840 |
METHYLCYTOSINE_DIOXYGENASE_TET_UNIPROT_A0A023HHK9_UNREVIEWED_TARGET_GENES | 8.49e-03 | 7.67 | 1.51 | 4.48e-01 | 1.00e+00 | 3MT-ND2, MT-ND1, MT-CO1 |
177 |
CBX5_TARGET_GENES | 3.48e-03 | 3.95 | 1.49 | 2.63e-01 | 1.00e+00 | 7MT-ND2, MT-CO3, MT-ND5, MT-ND3, DYNC1H1, MEG3, TTC14 |
869 |
RFX7_TARGET_GENES | 6.03e-03 | 4.69 | 1.45 | 3.80e-01 | 1.00e+00 | 5DGKH, SETD5, BAZ1B, SRRM2, LARS2 |
500 |
Dowload full table
GO Biological Processes:
P-value | OR | Lower 95% CI | FDR | FWER | Genes Found | Gene Set Size | |
---|---|---|---|---|---|---|---|
GOBP_ENERGY_COUPLED_PROTON_TRANSMEMBRANE_TRANSPORT_AGAINST_ELECTROCHEMICAL_GRADIENT | 1.27e-07 | 665.36 | 73.76 | 8.66e-05 | 9.53e-04 | 3MT-ND4, MT-CO1, MT-ND5 |
5 |
GOBP_ATP_SYNTHESIS_COUPLED_ELECTRON_TRANSPORT | 1.82e-12 | 50.34 | 20.90 | 6.81e-09 | 1.36e-08 | 9MT-ND4, MT-CO2, MT-ND2, MT-ND1, MT-CO3, MT-ND4L, MT-CO1, MT-ND5, MT-ND3 |
100 |
GOBP_OXIDATIVE_PHOSPHORYLATION | 4.10e-14 | 43.04 | 19.45 | 3.07e-10 | 3.07e-10 | 11MT-ND4, MT-CO2, MT-ATP6, MT-ND2, MT-ND1, MT-CO3, MT-ND4L, MT-CO1, MT-ND5, MT-ATP8, MT-ND3 |
148 |
GOBP_MITOCHONDRIAL_ELECTRON_TRANSPORT_NADH_TO_UBIQUINONE | 3.54e-09 | 58.06 | 19.33 | 3.31e-06 | 2.65e-05 | 6MT-ND4, MT-ND2, MT-ND1, MT-ND4L, MT-ND5, MT-ND3 |
55 |
GOBP_RESPIRATORY_ELECTRON_TRANSPORT_CHAIN | 7.61e-12 | 42.42 | 17.69 | 1.90e-08 | 5.69e-08 | 9MT-ND4, MT-CO2, MT-ND2, MT-ND1, MT-CO3, MT-ND4L, MT-CO1, MT-ND5, MT-ND3 |
117 |
GOBP_MITOCHONDRIAL_ELECTRON_TRANSPORT_CYTOCHROME_C_TO_OXYGEN | 1.65e-05 | 73.91 | 13.50 | 6.16e-03 | 1.23e-01 | 3MT-CO2, MT-CO3, MT-CO1 |
21 |
GOBP_NEGATIVE_REGULATION_OF_MITOCHONDRIAL_FUSION | 1.99e-04 | 123.89 | 12.26 | 4.37e-02 | 1.00e+00 | 2TFRC, HUWE1 |
9 |
GOBP_NADH_DEHYDROGENASE_COMPLEX_ASSEMBLY | 4.61e-07 | 38.66 | 11.57 | 2.87e-04 | 3.45e-03 | 5MT-ND4, MT-ND2, MT-ND1, MT-ND5, MT-ND3 |
65 |
GOBP_ELECTRON_TRANSPORT_CHAIN | 3.25e-10 | 27.12 | 11.41 | 4.86e-07 | 2.43e-06 | 9MT-ND4, MT-CO2, MT-ND2, MT-ND1, MT-CO3, MT-ND4L, MT-CO1, MT-ND5, MT-ND3 |
178 |
GOBP_CELLULAR_RESPIRATION | 5.02e-10 | 25.75 | 10.84 | 6.26e-07 | 3.75e-06 | 9MT-ND4, MT-CO2, MT-ND2, MT-ND1, MT-CO3, MT-ND4L, MT-CO1, MT-ND5, MT-ND3 |
187 |
GOBP_PROTON_TRANSMEMBRANE_TRANSPORT | 3.23e-09 | 26.69 | 10.64 | 3.31e-06 | 2.41e-05 | 8MT-ND4, MT-CO2, MT-ATP6, MT-CO3, MT-CO1, MT-ND5, MT-ATP8, ATP2A2 |
157 |
GOBP_ATP_METABOLIC_PROCESS | 1.32e-10 | 19.53 | 8.93 | 2.47e-07 | 9.90e-07 | 11MT-ND4, MT-CO2, MT-ATP6, MT-ND2, MT-ND1, MT-CO3, MT-ND4L, MT-CO1, MT-ND5, MT-ATP8, MT-ND3 |
313 |
GOBP_AEROBIC_RESPIRATION | 1.86e-06 | 28.65 | 8.65 | 9.95e-04 | 1.39e-02 | 5MT-ND4, MT-CO2, MT-ND1, MT-CO3, MT-CO1 |
86 |
GOBP_REGULATION_OF_MITOCHONDRIAL_FUSION | 4.28e-04 | 78.83 | 8.29 | 8.42e-02 | 1.00e+00 | 2TFRC, HUWE1 |
13 |
GOBP_REGULATION_OF_AXON_GUIDANCE | 4.98e-04 | 72.33 | 7.67 | 9.26e-02 | 1.00e+00 | 2MYCBP2, SLIT2 |
14 |
GOBP_REGULATION_OF_POSTSYNAPTIC_DENSITY_ORGANIZATION | 4.98e-04 | 72.33 | 7.67 | 9.26e-02 | 1.00e+00 | 2PTPRS, CDH2 |
14 |
GOBP_MITOCHONDRIAL_RESPIRATORY_CHAIN_COMPLEX_ASSEMBLY | 4.11e-06 | 24.19 | 7.33 | 1.96e-03 | 3.07e-02 | 5MT-ND4, MT-ND2, MT-ND1, MT-ND5, MT-ND3 |
101 |
GOBP_ENERGY_DERIVATION_BY_OXIDATION_OF_ORGANIC_COMPOUNDS | 1.56e-08 | 17.05 | 7.21 | 1.30e-05 | 1.17e-04 | 9MT-ND4, MT-CO2, MT-ND2, MT-ND1, MT-CO3, MT-ND4L, MT-CO1, MT-ND5, MT-ND3 |
278 |
GOBP_REGULATION_OF_SYNAPSE_STRUCTURE_OR_ACTIVITY | 6.77e-07 | 16.43 | 6.16 | 3.89e-04 | 5.06e-03 | 7PTPRS, SETD5, EIF4G1, CDH2, LHFPL4, CTTNBP2, NRP2 |
214 |
GOBP_NUCLEAR_MIGRATION | 9.28e-04 | 51.08 | 5.58 | 1.49e-01 | 1.00e+00 | 2DYNC1H1, SYNE2 |
19 |
Dowload full table
Immunological Gene Sets:
P-value | OR | Lower 95% CI | FDR | FWER | Genes Found | Gene Set Size | |
---|---|---|---|---|---|---|---|
GSE22886_NAIVE_CD4_TCELL_VS_48H_ACT_TH2_DN | 1.08e-04 | 11.91 | 3.65 | 2.63e-01 | 5.25e-01 | 5ATP2A2, TFRC, EIF4G1, BAZ1B, HJURP |
200 |
GSE25890_CTRL_VS_IL33_IL7_TREATED_NUOCYTES_UP | 1.08e-04 | 11.91 | 3.65 | 2.63e-01 | 5.25e-01 | 5MYCBP2, DGKH, KCNQ1OT1, HJURP, NRP2 |
200 |
GSE15330_HSC_VS_MEGAKARYOCYTE_ERYTHROID_PROGENITOR_DN | 6.69e-04 | 11.08 | 2.86 | 5.16e-01 | 1.00e+00 | 4MYCBP2, EML5, TTC3, MDN1 |
168 |
GSE6269_HEALTHY_VS_STAPH_AUREUS_INF_PBMC_UP | 7.46e-04 | 10.75 | 2.78 | 5.16e-01 | 1.00e+00 | 4SMARCA4, EIF4G1, ATRX, BPTF |
173 |
GSE11057_EFF_MEM_VS_CENT_MEM_CD4_TCELL_DN | 1.01e-03 | 9.87 | 2.56 | 5.16e-01 | 1.00e+00 | 4MYCBP2, PTPRS, MDN1, BPTF |
188 |
GSE19401_PLN_VS_PEYERS_PATCH_FOLLICULAR_DC_UP | 1.18e-03 | 9.46 | 2.45 | 5.16e-01 | 1.00e+00 | 4MEG3, TTC3, ATRX, SRRM2 |
196 |
GSE3982_EOSINOPHIL_VS_BCELL_DN | 1.20e-03 | 9.42 | 2.44 | 5.16e-01 | 1.00e+00 | 4AUTS2, SMARCA4, BAZ1B, LARS2 |
197 |
GSE39820_CTRL_VS_TGFBETA1_IL6_IL23A_CD4_TCELL_UP | 1.25e-03 | 9.32 | 2.41 | 5.16e-01 | 1.00e+00 | 4PNN, TFRC, TAF1D, SRRM2 |
199 |
GSE17721_CTRL_VS_POLYIC_12H_BMDC_UP | 1.27e-03 | 9.27 | 2.40 | 5.16e-01 | 1.00e+00 | 4MYCBP2, TFRC, EIF4G1, BAZ1B |
200 |
GSE17721_CTRL_VS_PAM3CSK4_24H_BMDC_DN | 1.27e-03 | 9.27 | 2.40 | 5.16e-01 | 1.00e+00 | 4SMARCA4, MDN1, EIF4G1, HJURP |
200 |
GSE9650_NAIVE_VS_EFF_CD8_TCELL_UP | 1.27e-03 | 9.27 | 2.40 | 5.16e-01 | 1.00e+00 | 4MYCBP2, EML5, TTC3, MDN1 |
200 |
GSE40274_FOXP3_VS_FOXP3_AND_LEF1_TRANSDUCED_ACTIVATED_CD4_TCELL_DN | 1.27e-03 | 9.27 | 2.40 | 5.16e-01 | 1.00e+00 | 4KTN1, TTC3, TMEM132A, NRP2 |
200 |
GSE15330_HSC_VS_MEGAKARYOCYTE_ERYTHROID_PROGENITOR_UP | 6.68e-03 | 8.39 | 1.65 | 6.75e-01 | 1.00e+00 | 3EML5, TTC3, MDN1 |
162 |
GSE6269_FLU_VS_E_COLI_INF_PBMC_UP | 7.02e-03 | 8.23 | 1.62 | 6.75e-01 | 1.00e+00 | 3ATP2A2, EIF4G1, BPTF |
165 |
GSE25146_UNSTIM_VS_HELIOBACTER_PYLORI_LPS_STIM_AGS_CELL_DN | 7.02e-03 | 8.23 | 1.62 | 6.75e-01 | 1.00e+00 | 3MYCBP2, KTN1, TTC14 |
165 |
GSE15330_LYMPHOID_MULTIPOTENT_VS_MEGAKARYOCYTE_ERYTHROID_PROGENITOR_IKAROS_KO_UP | 7.13e-03 | 8.18 | 1.61 | 6.75e-01 | 1.00e+00 | 3EML5, TTC3, MDN1 |
166 |
GSE26488_WT_VS_VP16_TRANSGENIC_HDAC7_KO_DOUBLE_POSITIVE_THYMOCYTE_DN | 7.49e-03 | 8.04 | 1.58 | 6.75e-01 | 1.00e+00 | 3MYCBP2, TAF1D, NRP2 |
169 |
GSE6269_FLU_VS_STREP_PNEUMO_INF_PBMC_UP | 7.73e-03 | 7.94 | 1.57 | 6.75e-01 | 1.00e+00 | 3SMARCA4, EIF4G1, BPTF |
171 |
GSE3565_CTRL_VS_LPS_INJECTED_DUSP1_KO_SPLENOCYTES_DN | 7.73e-03 | 7.94 | 1.57 | 6.75e-01 | 1.00e+00 | 3TTC3, TFRC, MDN1 |
171 |
GSE14415_INDUCED_TREG_VS_FOXP3_KO_INDUCED_TREG_UP | 7.86e-03 | 7.89 | 1.56 | 6.75e-01 | 1.00e+00 | 3EML5, TTC3, TTC14 |
172 |
Top Ranked Transcription Factors for this Gene Expression Program:
Gene Symbol | TF Rank | DNA Binding Domain | Motif Status | IUPAC PWM | GTEx | DepMap | Decartes |
---|---|---|---|---|---|---|---|
SMARCA4 | 29 | No | Unlikely to be sequence specific TF | Not a DNA binding protein | No motif | Has a putative AT-hook | (PMID: 24752179) shows via ChIP that it has DNA mediated regulatory activity, but unknown if this is direct or indirect binding. No clear DBD present in the protein. |
ATRX | 41 | No | Unlikely to be sequence specific TF | Low specificity DNA-binding protein | No motif | None | ATRX does not contain any canonical sequence-specific DBDs but it does contain a non-specific DNA binding helicase that allows it to bind repeat sequences (PMID:21029860) and telomeres (PMID:20651253). ATRX is involved in multiple processes (transcription, replication), and is associated with multiple complexes (Swi/Snf, histone chaperones, and repressive complexes including TRIM 28 (PMID:27029610)), and as such does affect transcription. Given the lack of sequence-specific binding it is unlikel |
BPTF | 48 | Yes | Known motif | Monomer or homomultimer | In vivo/Misc source | Only known motifs are from Transfac or HocoMoco - origin is uncertain; Has a putative AT-hook | (PMID: 10575013) obtained a motif by SELEX and showed that mutating the sequence diminished binding in vitro. Unusual for a PHD/Ring finger, but its there in the literature. |
CHD4 | 53 | No | Unlikely to be sequence specific TF | Low specificity DNA-binding protein | No motif | None | CHD4 is likely not a sequence-specific DNA-binding protein despite having a partial match to an HMG box. This protein binds to the DNA backbone, but binds poly(ADP-ribose) with higher affinity (PMID: 26565020). |
MYBBP1A | 57 | No | Unlikely to be sequence specific TF | Not a DNA binding protein | No motif | Has a putative AT-hook | Protein that activates TP53 (PMID: 24375404) and binds to MYB (PMID: 24375404); however, there is no evidence of direct binding to DNA |
SON | 59 | Yes | Likely to be sequence specific TF | Monomer or homomultimer | No motif | None | The protein has been reported to bind a GAKANSRCC consensus based on SELEX experiments. Recognizes a matching GAGACCACC sequence in a hepatitis B virus regulatory element (PMID: 11306577) |
FUS | 61 | No | ssDNA/RNA binding | Not a DNA binding protein | No motif | None | FUS is a well-established RNA-binding protein |
NFIB | 62 | Yes | Known motif | Monomer or homomultimer | High-throughput in vitro | None | None |
CHD7 | 63 | No | Unlikely to be sequence specific TF | Low specificity DNA-binding protein | No motif | None | Helicase and chromodomain |
KIT | 76 | No | Unlikely to be sequence specific TF | Not a DNA binding protein | No motif | None | None |
MGA | 80 | Yes | Known motif | Monomer or homomultimer | High-throughput in vitro | Has a putative AT-hook | Some isoforms also contain a predicted bHLH domain, but it is unlike any other known bHLH domain and the MGA motif looks like a standard T-box motif, so the bHLH domain is likely a false positive |
KMT2A | 88 | Yes | Known motif | Monomer or homomultimer | High-throughput in vitro | None | Contains 3 AT-hook domain, a CXXC domain, and a possible C2H2 domain. |
SLC39A10 | 91 | No | Unlikely to be sequence specific TF | Not a DNA binding protein | No motif | None | None |
BRPF1 | 114 | No | Unlikely to be sequence specific TF | Not a DNA binding protein | No motif | Has a putative AT-hook | None |
CHD6 | 117 | No | Unlikely to be sequence specific TF | Low specificity DNA-binding protein | No motif | None | ATP dependent helicase (PMID: 17027977), so it has some affinity for DNA |
PAXBP1 | 121 | No | Unlikely to be sequence specific TF | Not a DNA binding protein | No motif | None | Has been shown to associate with PAX3 and PAX7, and recruits H3K4 methyltransferase complex (PMID: 22862948). Has a putative DNA-binding domain, so it could contribute to specificity or even function as an independent TF |
GPATCH8 | 123 | No | Unlikely to be sequence specific TF | Not a DNA binding protein | No motif | None | None |
AHCTF1 | 124 | Yes | Likely to be sequence specific TF | Monomer or homomultimer | No motif | None | None |
CCNT2 | 129 | No | Unlikely to be sequence specific TF | Not a DNA binding protein | No motif | Only known motifs are from Transfac or HocoMoco - origin is uncertain | Has low or no sequence specificity (PMID: 27899659) |
MTDH | 133 | No | Unlikely to be sequence specific TF | Not a DNA binding protein | No motif | None | None |
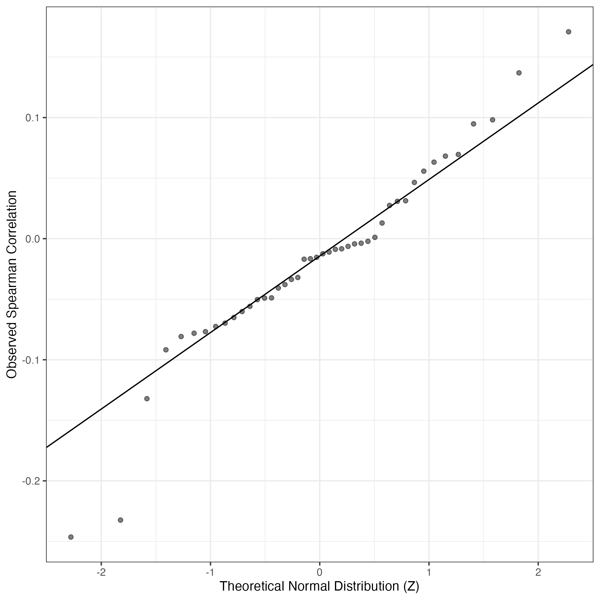
QQ Plot showing correlations with other Gene Expression Programs in this dataset, calculated by Spearman correlation:
Interactive QQ-plot of gene loadings:
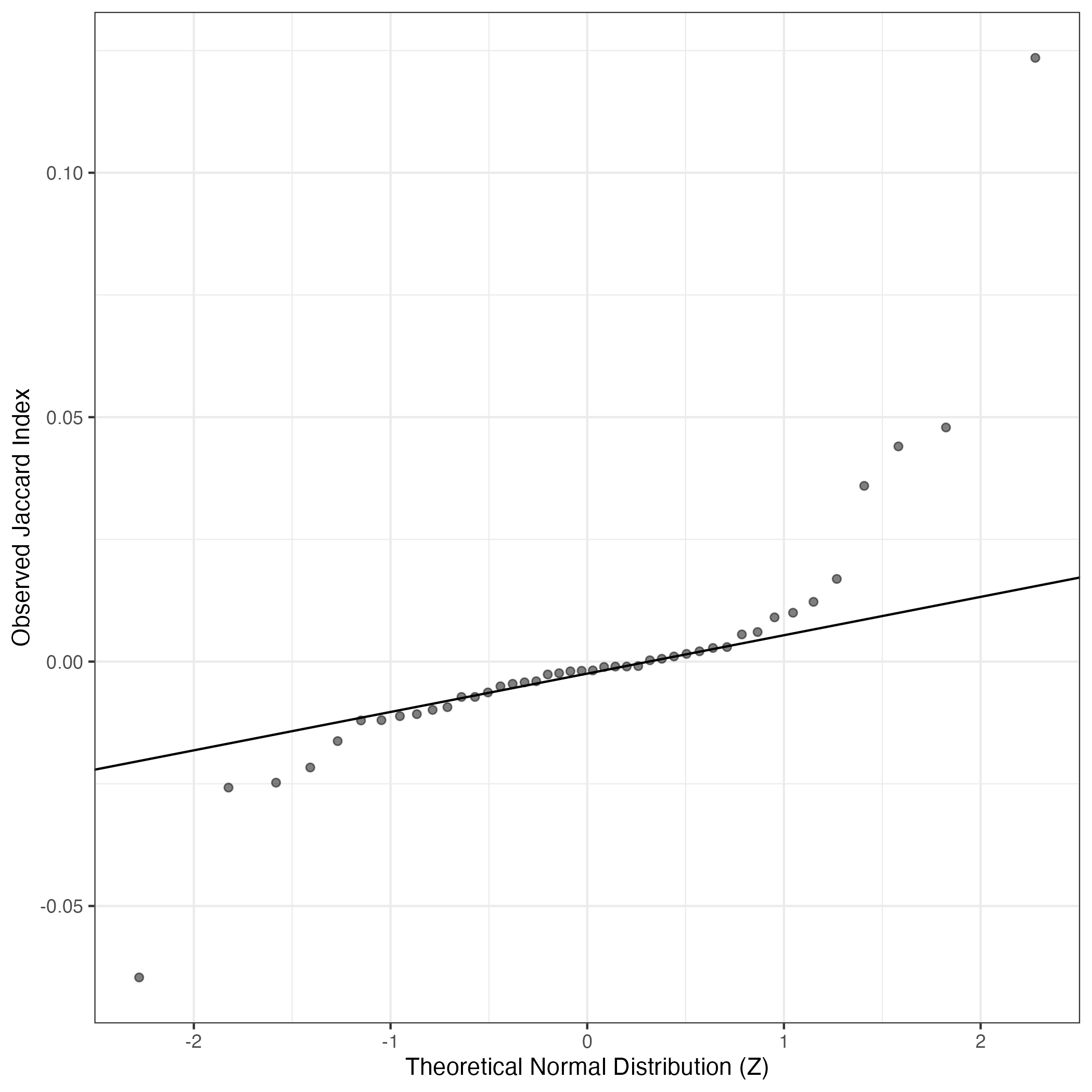
A similar QQ-plot as above, but only for instances where the H value is e.g. > 25, i.e. we are confident that the expression program is active above noise. Agreemenet between these binary vectors is tested using the Jaccard Index, with the P-values calculated by an exact test:
Interactive QQ-plot:
Singler cell type annotations for the top 50 cells on this program.
Cell ID | Singler label | Singler Delta | Activity Score | Top Singler Raw Scores |
---|---|---|---|---|
847_AAGTTCGGTGCAGGAT-1 | Keratinocytes:KGF | 0.15 | 386.12 | Raw ScoresKeratinocytes:IL20: 0.47, Keratinocytes:IL19: 0.47, Keratinocytes:KGF: 0.47, Epithelial_cells:bronchial: 0.47, Keratinocytes:IL22: 0.47, Keratinocytes: 0.47, Keratinocytes:IL26: 0.47, Keratinocytes:IL24: 0.47, Keratinocytes:IL1b: 0.46, Keratinocytes:IFNg: 0.46 |
847_TGACGCGTCTCGTGGG-1 | Epithelial_cells:bronchial | 0.15 | 224.77 | Raw ScoresKeratinocytes:KGF: 0.51, Keratinocytes:IL20: 0.51, Keratinocytes:IL22: 0.51, Keratinocytes:IL19: 0.51, Keratinocytes:IL24: 0.51, Keratinocytes:IL1b: 0.5, Keratinocytes: 0.5, Keratinocytes:IL26: 0.5, Keratinocytes:IFNg: 0.5, Epithelial_cells:bronchial: 0.49 |
831_CAGATCAAGTTGCGAG-1 | Neurons:adrenal_medulla_cell_line | 0.25 | 204.18 | Raw ScoresNeurons:adrenal_medulla_cell_line: 0.54, Neuroepithelial_cell:ESC-derived: 0.51, iPS_cells:PDB_1lox-21Puro-20: 0.5, iPS_cells:PDB_1lox-21Puro-26: 0.49, iPS_cells:PDB_1lox-17Puro-10: 0.49, iPS_cells:PDB_2lox-22: 0.49, iPS_cells:PDB_2lox-21: 0.48, iPS_cells:PDB_2lox-17: 0.48, iPS_cells:PDB_1lox-17Puro-5: 0.48, Embryonic_stem_cells: 0.48 |
831_CACGTGGTCTGTTGGA-1 | Neurons:adrenal_medulla_cell_line | 0.20 | 165.80 | Raw ScoresNeurons:adrenal_medulla_cell_line: 0.49, Neuroepithelial_cell:ESC-derived: 0.47, iPS_cells:PDB_1lox-21Puro-20: 0.45, iPS_cells:PDB_2lox-22: 0.45, iPS_cells:PDB_1lox-21Puro-26: 0.45, iPS_cells:PDB_2lox-17: 0.44, iPS_cells:PDB_1lox-17Puro-10: 0.44, iPS_cells:PDB_2lox-21: 0.44, Embryonic_stem_cells: 0.44, iPS_cells:PDB_1lox-17Puro-5: 0.44 |
847_AACTTCTAGGGATCGT-1 | Neurons:adrenal_medulla_cell_line | 0.16 | 158.36 | Raw ScoresNeurons:adrenal_medulla_cell_line: 0.42, Neuroepithelial_cell:ESC-derived: 0.38, Astrocyte:Embryonic_stem_cell-derived: 0.38, iPS_cells:PDB_1lox-21Puro-20: 0.36, iPS_cells:PDB_1lox-17Puro-10: 0.36, iPS_cells:PDB_1lox-17Puro-5: 0.35, iPS_cells:PDB_1lox-21Puro-26: 0.35, iPS_cells:PDB_2lox-22: 0.35, iPS_cells:PDB_2lox-21: 0.35, iPS_cells:PDB_2lox-17: 0.35 |
831_CTAACCCGTTGTGCAT-1 | Neurons:adrenal_medulla_cell_line | 0.27 | 150.72 | Raw ScoresNeurons:adrenal_medulla_cell_line: 0.57, Neuroepithelial_cell:ESC-derived: 0.54, iPS_cells:PDB_1lox-21Puro-20: 0.52, iPS_cells:PDB_1lox-21Puro-26: 0.52, iPS_cells:PDB_1lox-17Puro-10: 0.51, iPS_cells:PDB_2lox-22: 0.51, iPS_cells:PDB_1lox-17Puro-5: 0.51, iPS_cells:PDB_2lox-17: 0.5, iPS_cells:PDB_2lox-21: 0.5, Embryonic_stem_cells: 0.5 |
847_GTTCCGTTCCCTCTCC-1 | Keratinocytes:IL20 | 0.20 | 145.52 | Raw ScoresKeratinocytes:IL20: 0.52, Keratinocytes:IL22: 0.51, Keratinocytes:IL19: 0.51, Keratinocytes:IL24: 0.51, Keratinocytes:KGF: 0.51, Keratinocytes:IL1b: 0.51, Keratinocytes:IL26: 0.51, Keratinocytes: 0.51, Keratinocytes:IFNg: 0.5, Epithelial_cells:bladder: 0.48 |
847_TTCTAGTTCCTCTAGC-1 | Epithelial_cells:bronchial | 0.11 | 141.37 | Raw ScoresEpithelial_cells:bladder: 0.49, Keratinocytes:KGF: 0.48, Keratinocytes:IL20: 0.47, Keratinocytes: 0.47, Keratinocytes:IL19: 0.47, Keratinocytes:IL26: 0.47, Keratinocytes:IL24: 0.47, Keratinocytes:IL1b: 0.47, Keratinocytes:IL22: 0.47, Keratinocytes:IFNg: 0.46 |
831_AACAGGGAGACGAAGA-1 | Neurons:adrenal_medulla_cell_line | 0.25 | 140.64 | Raw ScoresNeurons:adrenal_medulla_cell_line: 0.55, Neuroepithelial_cell:ESC-derived: 0.52, iPS_cells:PDB_1lox-21Puro-20: 0.5, iPS_cells:PDB_1lox-21Puro-26: 0.49, iPS_cells:PDB_1lox-17Puro-10: 0.49, Astrocyte:Embryonic_stem_cell-derived: 0.49, iPS_cells:PDB_2lox-22: 0.49, Embryonic_stem_cells: 0.48, iPS_cells:PDB_2lox-21: 0.48, iPS_cells:PDB_1lox-17Puro-5: 0.48 |
831_TCCTCTTAGCTGACAG-1 | Neurons:adrenal_medulla_cell_line | 0.26 | 138.50 | Raw ScoresNeurons:adrenal_medulla_cell_line: 0.56, Neuroepithelial_cell:ESC-derived: 0.54, iPS_cells:PDB_1lox-21Puro-20: 0.52, iPS_cells:PDB_1lox-21Puro-26: 0.51, iPS_cells:PDB_2lox-22: 0.51, iPS_cells:PDB_1lox-17Puro-10: 0.51, iPS_cells:PDB_2lox-21: 0.5, Embryonic_stem_cells: 0.5, iPS_cells:PDB_2lox-17: 0.5, iPS_cells:PDB_1lox-17Puro-5: 0.5 |
847_CAACGGCGTTGGAGAC-1 | Epithelial_cells:bladder | 0.08 | 138.39 | Raw ScoresEpithelial_cells:bronchial: 0.37, iPS_cells:PDB_1lox-21Puro-20: 0.36, iPS_cells:PDB_1lox-21Puro-26: 0.36, iPS_cells:skin_fibroblast-derived: 0.36, Embryonic_stem_cells: 0.36, iPS_cells:PDB_1lox-17Puro-5: 0.36, iPS_cells:PDB_1lox-17Puro-10: 0.36, Epithelial_cells:bladder: 0.35, iPS_cells:CRL2097_foreskin-derived:d20_hepatic_diff: 0.35, iPS_cells:PDB_2lox-21: 0.35 |
837_CTATCCGAGCCTTGAT-1 | Epithelial_cells:bronchial | 0.14 | 133.00 | Raw ScoresEpithelial_cells:bronchial: 0.49, Epithelial_cells:bladder: 0.46, iPS_cells:CRL2097_foreskin-derived:d20_hepatic_diff: 0.43, iPS_cells:PDB_1lox-21Puro-20: 0.43, iPS_cells:PDB_1lox-21Puro-26: 0.43, iPS_cells:PDB_1lox-17Puro-5: 0.43, Keratinocytes:KGF: 0.43, Hepatocytes: 0.43, Embryonic_stem_cells: 0.43, Keratinocytes:IL20: 0.43 |
831_CAGAGCCCAGAGAATT-1 | Neurons:adrenal_medulla_cell_line | 0.20 | 130.14 | Raw ScoresNeurons:adrenal_medulla_cell_line: 0.43, Neuroepithelial_cell:ESC-derived: 0.4, iPS_cells:PDB_1lox-21Puro-20: 0.37, iPS_cells:PDB_1lox-21Puro-26: 0.37, Astrocyte:Embryonic_stem_cell-derived: 0.37, iPS_cells:PDB_2lox-22: 0.37, iPS_cells:PDB_1lox-17Puro-10: 0.37, iPS_cells:PDB_2lox-21: 0.36, iPS_cells:PDB_1lox-17Puro-5: 0.36, iPS_cells:PDB_2lox-17: 0.36 |
831_CACAACACACGGATCC-1 | Neurons:adrenal_medulla_cell_line | 0.23 | 128.37 | Raw ScoresNeurons:adrenal_medulla_cell_line: 0.53, Neuroepithelial_cell:ESC-derived: 0.5, iPS_cells:PDB_1lox-21Puro-20: 0.49, iPS_cells:PDB_1lox-21Puro-26: 0.49, iPS_cells:PDB_2lox-22: 0.48, iPS_cells:PDB_1lox-17Puro-10: 0.48, iPS_cells:PDB_2lox-17: 0.48, iPS_cells:PDB_2lox-21: 0.48, iPS_cells:PDB_1lox-17Puro-5: 0.48, iPS_cells:PDB_2lox-5: 0.47 |
847_TCAGGGCGTGGATCGA-1 | Keratinocytes:KGF | 0.11 | 123.13 | Raw ScoresKeratinocytes:KGF: 0.39, Keratinocytes:IL20: 0.38, Keratinocytes:IL19: 0.38, Keratinocytes: 0.38, Epithelial_cells:bronchial: 0.38, Keratinocytes:IL26: 0.38, Keratinocytes:IL1b: 0.38, Keratinocytes:IL22: 0.38, Keratinocytes:IL24: 0.38, Keratinocytes:IFNg: 0.37 |
837_TGTAAGCGTAGTTCCA-1 | Neurons:adrenal_medulla_cell_line | 0.16 | 111.12 | Raw ScoresNeurons:adrenal_medulla_cell_line: 0.46, iPS_cells:PDB_1lox-21Puro-20: 0.43, Neuroepithelial_cell:ESC-derived: 0.43, iPS_cells:PDB_1lox-21Puro-26: 0.42, iPS_cells:PDB_1lox-17Puro-10: 0.42, iPS_cells:PDB_1lox-17Puro-5: 0.42, iPS_cells:PDB_2lox-22: 0.42, iPS_cells:PDB_2lox-17: 0.42, Embryonic_stem_cells: 0.42, iPS_cells:PDB_2lox-21: 0.42 |
831_TCTACATCAACCGCTG-1 | Neurons:adrenal_medulla_cell_line | 0.23 | 110.65 | Raw ScoresNeurons:adrenal_medulla_cell_line: 0.51, Neuroepithelial_cell:ESC-derived: 0.48, iPS_cells:PDB_1lox-21Puro-20: 0.46, iPS_cells:PDB_1lox-21Puro-26: 0.46, iPS_cells:PDB_1lox-17Puro-10: 0.45, iPS_cells:PDB_2lox-22: 0.45, iPS_cells:PDB_1lox-17Puro-5: 0.45, iPS_cells:PDB_2lox-21: 0.45, iPS_cells:PDB_2lox-17: 0.44, Astrocyte:Embryonic_stem_cell-derived: 0.44 |
847_CCACGTTAGGTTAGTA-1 | Keratinocytes:KGF | 0.18 | 110.13 | Raw ScoresKeratinocytes:KGF: 0.52, Keratinocytes:IL20: 0.52, Keratinocytes:IL24: 0.51, Keratinocytes:IL19: 0.51, Keratinocytes:IL22: 0.51, Keratinocytes: 0.51, Keratinocytes:IL26: 0.51, Keratinocytes:IL1b: 0.51, Keratinocytes:IFNg: 0.5, Epithelial_cells:bronchial: 0.48 |
831_AATAGAGTCTGTTGGA-1 | Neurons:adrenal_medulla_cell_line | 0.22 | 108.85 | Raw ScoresNeurons:adrenal_medulla_cell_line: 0.46, Neuroepithelial_cell:ESC-derived: 0.42, iPS_cells:PDB_1lox-21Puro-20: 0.41, iPS_cells:PDB_1lox-21Puro-26: 0.41, iPS_cells:PDB_2lox-22: 0.41, iPS_cells:PDB_1lox-17Puro-10: 0.41, iPS_cells:PDB_2lox-21: 0.41, iPS_cells:PDB_2lox-17: 0.4, iPS_cells:PDB_1lox-17Puro-5: 0.4, Embryonic_stem_cells: 0.4 |
831_CACGAATCACGTAACT-1 | Neurons:adrenal_medulla_cell_line | 0.20 | 107.53 | Raw ScoresNeurons:adrenal_medulla_cell_line: 0.47, Neuroepithelial_cell:ESC-derived: 0.44, Astrocyte:Embryonic_stem_cell-derived: 0.41, iPS_cells:PDB_1lox-21Puro-20: 0.41, iPS_cells:PDB_1lox-21Puro-26: 0.41, iPS_cells:PDB_2lox-22: 0.41, iPS_cells:PDB_1lox-17Puro-10: 0.41, Embryonic_stem_cells: 0.4, iPS_cells:PDB_2lox-17: 0.4, iPS_cells:PDB_2lox-21: 0.4 |
864_GATGTTGTCGCACGGT-1 | Neurons:adrenal_medulla_cell_line | 0.24 | 107.12 | Raw ScoresNeurons:adrenal_medulla_cell_line: 0.52, Neuroepithelial_cell:ESC-derived: 0.5, iPS_cells:PDB_1lox-21Puro-20: 0.49, iPS_cells:PDB_1lox-21Puro-26: 0.49, iPS_cells:PDB_2lox-22: 0.48, iPS_cells:PDB_1lox-17Puro-10: 0.48, iPS_cells:PDB_1lox-17Puro-5: 0.48, iPS_cells:PDB_2lox-21: 0.48, iPS_cells:PDB_2lox-17: 0.48, Embryonic_stem_cells: 0.47 |
831_ACCGTTCTCCGCAAAT-1 | Neurons:adrenal_medulla_cell_line | 0.22 | 106.56 | Raw ScoresNeurons:adrenal_medulla_cell_line: 0.47, Neuroepithelial_cell:ESC-derived: 0.44, iPS_cells:PDB_1lox-21Puro-20: 0.43, iPS_cells:PDB_2lox-22: 0.43, iPS_cells:PDB_1lox-21Puro-26: 0.43, iPS_cells:PDB_2lox-21: 0.42, iPS_cells:PDB_2lox-17: 0.42, iPS_cells:PDB_1lox-17Puro-10: 0.42, iPS_cells:PDB_1lox-17Puro-5: 0.42, iPS_cells:PDB_2lox-5: 0.41 |
831_CATGCAAAGCCAGTAG-1 | Neurons:adrenal_medulla_cell_line | 0.27 | 104.79 | Raw ScoresNeurons:adrenal_medulla_cell_line: 0.58, Neuroepithelial_cell:ESC-derived: 0.55, iPS_cells:PDB_1lox-21Puro-20: 0.54, iPS_cells:PDB_1lox-21Puro-26: 0.53, iPS_cells:PDB_2lox-22: 0.53, iPS_cells:PDB_1lox-17Puro-10: 0.53, iPS_cells:PDB_2lox-21: 0.53, iPS_cells:PDB_2lox-17: 0.52, iPS_cells:PDB_1lox-17Puro-5: 0.52, Embryonic_stem_cells: 0.52 |
831_TGCTGAACACAGTCAT-1 | Neurons:adrenal_medulla_cell_line | 0.26 | 102.35 | Raw ScoresNeurons:adrenal_medulla_cell_line: 0.53, Neuroepithelial_cell:ESC-derived: 0.5, iPS_cells:PDB_1lox-21Puro-20: 0.48, iPS_cells:PDB_1lox-21Puro-26: 0.48, iPS_cells:PDB_2lox-22: 0.47, iPS_cells:PDB_1lox-17Puro-10: 0.47, Embryonic_stem_cells: 0.47, iPS_cells:PDB_1lox-17Puro-5: 0.47, Astrocyte:Embryonic_stem_cell-derived: 0.47, iPS_cells:PDB_2lox-17: 0.46 |
831_AGTAACCGTGGTCCGT-1 | Neurons:adrenal_medulla_cell_line | 0.21 | 102.02 | Raw ScoresNeurons:adrenal_medulla_cell_line: 0.45, Neuroepithelial_cell:ESC-derived: 0.42, iPS_cells:PDB_1lox-21Puro-20: 0.39, iPS_cells:PDB_2lox-22: 0.39, iPS_cells:PDB_1lox-21Puro-26: 0.39, Astrocyte:Embryonic_stem_cell-derived: 0.39, iPS_cells:PDB_1lox-17Puro-10: 0.39, Neurons:ES_cell-derived_neural_precursor: 0.38, iPS_cells:PDB_2lox-21: 0.38, iPS_cells:PDB_2lox-17: 0.38 |
831_ATCGATGCAAGTATCC-1 | Neurons:adrenal_medulla_cell_line | 0.23 | 97.49 | Raw ScoresNeurons:adrenal_medulla_cell_line: 0.5, Neuroepithelial_cell:ESC-derived: 0.48, iPS_cells:PDB_1lox-21Puro-20: 0.46, iPS_cells:PDB_1lox-21Puro-26: 0.46, iPS_cells:PDB_1lox-17Puro-10: 0.45, iPS_cells:PDB_2lox-22: 0.45, Embryonic_stem_cells: 0.45, iPS_cells:PDB_1lox-17Puro-5: 0.45, iPS_cells:PDB_2lox-21: 0.45, iPS_cells:PDB_2lox-17: 0.44 |
831_AGGCCACAGACTTCGT-1 | Neurons:adrenal_medulla_cell_line | 0.26 | 97.44 | Raw ScoresNeurons:adrenal_medulla_cell_line: 0.54, Neuroepithelial_cell:ESC-derived: 0.51, iPS_cells:PDB_1lox-21Puro-20: 0.49, iPS_cells:PDB_1lox-21Puro-26: 0.49, iPS_cells:PDB_1lox-17Puro-10: 0.49, iPS_cells:PDB_2lox-22: 0.48, iPS_cells:PDB_1lox-17Puro-5: 0.48, iPS_cells:PDB_2lox-21: 0.48, iPS_cells:PDB_2lox-17: 0.48, Astrocyte:Embryonic_stem_cell-derived: 0.47 |
847_GTAGCTATCTCTCTAA-1 | Epithelial_cells:bronchial | 0.11 | 97.27 | Raw ScoresEpithelial_cells:bronchial: 0.39, Epithelial_cells:bladder: 0.38, Keratinocytes:KGF: 0.34, Keratinocytes:IL19: 0.34, Keratinocytes:IL20: 0.34, Keratinocytes: 0.34, Keratinocytes:IL24: 0.34, Keratinocytes:IL26: 0.34, iPS_cells:CRL2097_foreskin-derived:undiff.: 0.34, Keratinocytes:IL22: 0.34 |
831_GCTGAATAGGATCATA-1 | Neurons:adrenal_medulla_cell_line | 0.26 | 96.65 | Raw ScoresNeurons:adrenal_medulla_cell_line: 0.53, Neuroepithelial_cell:ESC-derived: 0.5, iPS_cells:PDB_1lox-21Puro-20: 0.48, iPS_cells:PDB_1lox-21Puro-26: 0.48, iPS_cells:PDB_2lox-22: 0.48, iPS_cells:PDB_1lox-17Puro-10: 0.48, iPS_cells:PDB_1lox-17Puro-5: 0.47, iPS_cells:PDB_2lox-17: 0.47, iPS_cells:PDB_2lox-21: 0.47, Embryonic_stem_cells: 0.47 |
847_TGGAACTCATGATAGA-1 | Keratinocytes:KGF | 0.20 | 96.50 | Raw ScoresKeratinocytes:KGF: 0.57, Keratinocytes:IL20: 0.57, Keratinocytes:IL19: 0.56, Keratinocytes:IL24: 0.56, Keratinocytes:IL1b: 0.56, Keratinocytes:IL22: 0.56, Keratinocytes:IL26: 0.56, Keratinocytes: 0.56, Keratinocytes:IFNg: 0.55, Epithelial_cells:bladder: 0.53 |
831_TCAGCAAAGTTCATGC-1 | Neurons:adrenal_medulla_cell_line | 0.21 | 96.25 | Raw ScoresNeurons:adrenal_medulla_cell_line: 0.44, Neuroepithelial_cell:ESC-derived: 0.43, iPS_cells:PDB_1lox-21Puro-20: 0.41, iPS_cells:PDB_1lox-21Puro-26: 0.4, iPS_cells:PDB_1lox-17Puro-10: 0.4, iPS_cells:PDB_2lox-22: 0.4, iPS_cells:PDB_1lox-17Puro-5: 0.4, iPS_cells:PDB_2lox-21: 0.39, Astrocyte:Embryonic_stem_cell-derived: 0.39, Embryonic_stem_cells: 0.39 |
831_CAATACGAGGGCAACT-1 | Neurons:adrenal_medulla_cell_line | 0.23 | 95.58 | Raw ScoresNeurons:adrenal_medulla_cell_line: 0.49, Neuroepithelial_cell:ESC-derived: 0.47, iPS_cells:PDB_1lox-21Puro-20: 0.45, iPS_cells:PDB_1lox-21Puro-26: 0.44, iPS_cells:PDB_1lox-17Puro-10: 0.44, Astrocyte:Embryonic_stem_cell-derived: 0.44, iPS_cells:PDB_2lox-22: 0.44, Embryonic_stem_cells: 0.43, iPS_cells:PDB_1lox-17Puro-5: 0.43, iPS_cells:PDB_2lox-21: 0.43 |
831_TGTACAGCACGATTCA-1 | Neurons:adrenal_medulla_cell_line | 0.27 | 95.26 | Raw ScoresNeurons:adrenal_medulla_cell_line: 0.57, Neuroepithelial_cell:ESC-derived: 0.55, iPS_cells:PDB_1lox-21Puro-20: 0.52, iPS_cells:PDB_1lox-21Puro-26: 0.52, iPS_cells:PDB_1lox-17Puro-10: 0.52, iPS_cells:PDB_2lox-22: 0.51, iPS_cells:PDB_1lox-17Puro-5: 0.51, Embryonic_stem_cells: 0.51, iPS_cells:PDB_2lox-21: 0.51, iPS_cells:PDB_2lox-17: 0.51 |
831_CAACCAATCCGCATAA-1 | Neurons:adrenal_medulla_cell_line | 0.26 | 94.89 | Raw ScoresNeurons:adrenal_medulla_cell_line: 0.57, Neuroepithelial_cell:ESC-derived: 0.55, iPS_cells:PDB_1lox-21Puro-20: 0.53, iPS_cells:PDB_1lox-21Puro-26: 0.52, iPS_cells:PDB_1lox-17Puro-10: 0.52, iPS_cells:PDB_2lox-22: 0.52, Embryonic_stem_cells: 0.52, iPS_cells:PDB_1lox-17Puro-5: 0.52, iPS_cells:PDB_2lox-21: 0.51, iPS_cells:PDB_2lox-17: 0.51 |
831_CACTTCGCAGACTGCC-1 | Neurons:adrenal_medulla_cell_line | 0.20 | 94.83 | Raw ScoresNeurons:adrenal_medulla_cell_line: 0.44, Neuroepithelial_cell:ESC-derived: 0.4, iPS_cells:PDB_1lox-21Puro-20: 0.39, iPS_cells:PDB_1lox-21Puro-26: 0.39, iPS_cells:PDB_2lox-22: 0.39, iPS_cells:PDB_1lox-17Puro-10: 0.38, iPS_cells:PDB_2lox-21: 0.38, iPS_cells:PDB_1lox-17Puro-5: 0.38, iPS_cells:PDB_2lox-17: 0.38, Embryonic_stem_cells: 0.38 |
831_TACAACGAGGGTAGCT-1 | Neurons:adrenal_medulla_cell_line | 0.25 | 94.75 | Raw ScoresNeurons:adrenal_medulla_cell_line: 0.57, Neuroepithelial_cell:ESC-derived: 0.54, iPS_cells:PDB_1lox-21Puro-20: 0.52, iPS_cells:PDB_2lox-22: 0.52, iPS_cells:PDB_1lox-21Puro-26: 0.52, iPS_cells:PDB_2lox-21: 0.52, iPS_cells:PDB_2lox-17: 0.51, iPS_cells:PDB_1lox-17Puro-10: 0.51, Embryonic_stem_cells: 0.51, iPS_cells:PDB_1lox-17Puro-5: 0.51 |
864_GTGAGGATCACCCATC-1 | Neurons:adrenal_medulla_cell_line | 0.18 | 94.75 | Raw ScoresNeurons:adrenal_medulla_cell_line: 0.41, Neuroepithelial_cell:ESC-derived: 0.39, iPS_cells:PDB_2lox-22: 0.38, iPS_cells:PDB_1lox-21Puro-20: 0.38, iPS_cells:PDB_1lox-21Puro-26: 0.38, iPS_cells:PDB_2lox-21: 0.37, iPS_cells:PDB_2lox-17: 0.37, iPS_cells:PDB_1lox-17Puro-10: 0.37, Embryonic_stem_cells: 0.37, iPS_cells:PDB_1lox-17Puro-5: 0.37 |
864_ATTCCCGCAACTTGCA-1 | Neurons:adrenal_medulla_cell_line | 0.18 | 94.72 | Raw ScoresNeurons:adrenal_medulla_cell_line: 0.46, Neuroepithelial_cell:ESC-derived: 0.44, iPS_cells:PDB_2lox-22: 0.43, iPS_cells:PDB_1lox-21Puro-20: 0.43, iPS_cells:PDB_1lox-21Puro-26: 0.43, iPS_cells:PDB_2lox-21: 0.43, iPS_cells:PDB_2lox-17: 0.43, iPS_cells:PDB_1lox-17Puro-10: 0.42, iPS_cells:PDB_1lox-17Puro-5: 0.42, iPS_cells:PDB_2lox-5: 0.42 |
831_CAGGGCTCAACCGCCA-1 | Neurons:adrenal_medulla_cell_line | 0.21 | 94.63 | Raw ScoresNeurons:adrenal_medulla_cell_line: 0.48, Neuroepithelial_cell:ESC-derived: 0.45, iPS_cells:PDB_1lox-21Puro-20: 0.43, iPS_cells:PDB_1lox-21Puro-26: 0.42, Astrocyte:Embryonic_stem_cell-derived: 0.42, iPS_cells:PDB_2lox-22: 0.42, iPS_cells:PDB_1lox-17Puro-10: 0.42, iPS_cells:PDB_2lox-17: 0.42, iPS_cells:PDB_1lox-17Puro-5: 0.42, iPS_cells:PDB_2lox-21: 0.42 |
831_GAGCCTGAGCTCGTGC-1 | Neurons:adrenal_medulla_cell_line | 0.23 | 94.04 | Raw ScoresNeurons:adrenal_medulla_cell_line: 0.5, Neuroepithelial_cell:ESC-derived: 0.47, iPS_cells:PDB_1lox-21Puro-20: 0.44, iPS_cells:PDB_1lox-21Puro-26: 0.44, iPS_cells:PDB_2lox-22: 0.44, iPS_cells:PDB_1lox-17Puro-10: 0.44, iPS_cells:PDB_2lox-21: 0.44, iPS_cells:PDB_2lox-17: 0.43, iPS_cells:PDB_1lox-17Puro-5: 0.43, Astrocyte:Embryonic_stem_cell-derived: 0.43 |
831_TTAGGCAGTCAACGCC-1 | Neurons:adrenal_medulla_cell_line | 0.22 | 93.94 | Raw ScoresNeurons:adrenal_medulla_cell_line: 0.45, Neuroepithelial_cell:ESC-derived: 0.42, iPS_cells:PDB_1lox-21Puro-20: 0.41, iPS_cells:PDB_1lox-21Puro-26: 0.41, iPS_cells:PDB_2lox-22: 0.4, iPS_cells:PDB_1lox-17Puro-10: 0.4, iPS_cells:PDB_2lox-21: 0.4, iPS_cells:PDB_1lox-17Puro-5: 0.4, iPS_cells:PDB_2lox-17: 0.4, Embryonic_stem_cells: 0.4 |
837_AAAGGGCCAATAGTAG-1 | Epithelial_cells:bronchial | 0.11 | 93.60 | Raw ScoresEpithelial_cells:bronchial: 0.4, Epithelial_cells:bladder: 0.39, Keratinocytes:KGF: 0.36, iPS_cells:CRL2097_foreskin-derived:d20_hepatic_diff: 0.36, Keratinocytes:IL22: 0.35, Keratinocytes:IL20: 0.35, Keratinocytes:IL19: 0.35, Keratinocytes: 0.35, Keratinocytes:IL26: 0.35, Keratinocytes:IL24: 0.35 |
837_TGGAACTCAATAGAGT-1 | Neurons:adrenal_medulla_cell_line | 0.13 | 93.22 | Raw ScoresNeurons:adrenal_medulla_cell_line: 0.44, iPS_cells:PDB_1lox-21Puro-20: 0.43, iPS_cells:PDB_1lox-21Puro-26: 0.43, iPS_cells:PDB_1lox-17Puro-5: 0.43, iPS_cells:PDB_2lox-22: 0.43, Embryonic_stem_cells: 0.42, iPS_cells:PDB_1lox-17Puro-10: 0.42, iPS_cells:PDB_2lox-17: 0.42, iPS_cells:PDB_2lox-21: 0.42, iPS_cells:PDB_2lox-5: 0.42 |
831_CGGACACCATCCTTGC-1 | Neurons:adrenal_medulla_cell_line | 0.21 | 93.12 | Raw ScoresNeurons:adrenal_medulla_cell_line: 0.47, Neuroepithelial_cell:ESC-derived: 0.44, iPS_cells:PDB_1lox-21Puro-20: 0.42, iPS_cells:PDB_1lox-21Puro-26: 0.42, iPS_cells:PDB_1lox-17Puro-10: 0.42, iPS_cells:PDB_2lox-22: 0.42, iPS_cells:PDB_1lox-17Puro-5: 0.42, iPS_cells:PDB_2lox-17: 0.41, iPS_cells:PDB_2lox-21: 0.41, Embryonic_stem_cells: 0.41 |
856_CGGGTGTAGTGCGCTC-1 | Neurons:adrenal_medulla_cell_line | 0.22 | 92.86 | Raw ScoresNeurons:adrenal_medulla_cell_line: 0.49, Neuroepithelial_cell:ESC-derived: 0.46, iPS_cells:PDB_1lox-21Puro-20: 0.44, iPS_cells:PDB_1lox-21Puro-26: 0.44, iPS_cells:PDB_2lox-22: 0.44, iPS_cells:PDB_1lox-17Puro-10: 0.44, iPS_cells:PDB_1lox-17Puro-5: 0.43, iPS_cells:PDB_2lox-21: 0.43, Embryonic_stem_cells: 0.43, iPS_cells:PDB_2lox-17: 0.43 |
831_AGCGTATCAGCAAGAC-1 | Neurons:adrenal_medulla_cell_line | 0.22 | 92.56 | Raw ScoresNeurons:adrenal_medulla_cell_line: 0.47, Neuroepithelial_cell:ESC-derived: 0.44, iPS_cells:PDB_1lox-21Puro-20: 0.42, iPS_cells:PDB_1lox-21Puro-26: 0.41, iPS_cells:PDB_1lox-17Puro-10: 0.41, iPS_cells:PDB_2lox-22: 0.41, iPS_cells:PDB_2lox-21: 0.41, Astrocyte:Embryonic_stem_cell-derived: 0.41, iPS_cells:PDB_1lox-17Puro-5: 0.41, iPS_cells:PDB_2lox-17: 0.41 |
831_TATTGGGCAGGTTACT-1 | Neurons:adrenal_medulla_cell_line | 0.22 | 92.43 | Raw ScoresNeurons:adrenal_medulla_cell_line: 0.47, Neuroepithelial_cell:ESC-derived: 0.44, iPS_cells:PDB_1lox-21Puro-20: 0.42, iPS_cells:PDB_1lox-21Puro-26: 0.42, iPS_cells:PDB_2lox-22: 0.42, iPS_cells:PDB_1lox-17Puro-10: 0.42, iPS_cells:PDB_2lox-21: 0.41, iPS_cells:PDB_1lox-17Puro-5: 0.41, iPS_cells:PDB_2lox-17: 0.41, Embryonic_stem_cells: 0.41 |
847_CCTAAGAGTTTGAACC-1 | Keratinocytes:KGF | 0.17 | 92.38 | Raw ScoresKeratinocytes:IL20: 0.43, Keratinocytes:IL22: 0.43, Keratinocytes:IL24: 0.43, Keratinocytes:IL19: 0.43, Keratinocytes:KGF: 0.43, Keratinocytes:IL1b: 0.43, Keratinocytes: 0.43, Keratinocytes:IL26: 0.43, Keratinocytes:IFNg: 0.42, Epithelial_cells:bladder: 0.4 |
864_AACACACTCTCGTGAA-1 | Neurons:adrenal_medulla_cell_line | 0.23 | 92.26 | Raw ScoresNeurons:adrenal_medulla_cell_line: 0.52, Neuroepithelial_cell:ESC-derived: 0.49, Astrocyte:Embryonic_stem_cell-derived: 0.47, iPS_cells:PDB_1lox-21Puro-20: 0.47, iPS_cells:PDB_1lox-21Puro-26: 0.46, iPS_cells:PDB_2lox-22: 0.46, iPS_cells:PDB_1lox-17Puro-10: 0.46, iPS_cells:PDB_2lox-21: 0.46, iPS_cells:PDB_2lox-17: 0.46, Embryonic_stem_cells: 0.46 |
831_TTGACCCGTTGGCCGT-1 | Neurons:adrenal_medulla_cell_line | 0.28 | 92.02 | Raw ScoresNeurons:adrenal_medulla_cell_line: 0.58, Neuroepithelial_cell:ESC-derived: 0.55, iPS_cells:PDB_1lox-21Puro-20: 0.53, iPS_cells:PDB_1lox-21Puro-26: 0.53, iPS_cells:PDB_1lox-17Puro-10: 0.52, iPS_cells:PDB_1lox-17Puro-5: 0.52, iPS_cells:PDB_2lox-22: 0.52, iPS_cells:PDB_2lox-21: 0.51, iPS_cells:PDB_2lox-17: 0.51, Embryonic_stem_cells: 0.51 |
Below shows the significant enrichments of this GEP for literature curated gene lists
This data was procured from existing single cell RNA-seq maps of neuroblastoma or related relevant data.
High ranks indicate this gene is a driver of this GEP.
These curated gene list are ranked by the P-value (on this GEP) of their constituent genes.
The Mean Count column shows the mean read count in cells scoring highly (H > 50) on this gene expression program.
Genes | Weight | Rank | GTEx | DepMap | Decartes | Mean.Counts | Mean.TPM |
---|---|---|---|---|---|---|---|
CACNA2D1 | 0.0194230 | 15 | GTEx | DepMap | Descartes | 4.94 | 1.86 |
PCLO | 0.0107401 | 169 | GTEx | DepMap | Descartes | 2.31 | 1.12 |
SCG3 | 0.0080269 | 488 | GTEx | DepMap | Descartes | 2.55 | 9.52 |
ADCYAP1R1 | 0.0062522 | 1012 | GTEx | DepMap | Descartes | 0.87 | 2.94 |
PPFIA2 | 0.0061127 | 1073 | GTEx | DepMap | Descartes | 1.22 | 0.41 |
SLCO3A1 | 0.0053090 | 1454 | GTEx | DepMap | Descartes | 0.76 | 0.41 |
C1QL1 | 0.0041450 | 2314 | GTEx | DepMap | Descartes | 0.62 | 14.29 |
CELF4 | 0.0033233 | 3123 | GTEx | DepMap | Descartes | 3.93 | 2.21 |
PTPRN | 0.0023801 | 4461 | GTEx | DepMap | Descartes | 0.30 | 2.89 |
LGR5 | 0.0022636 | 4645 | GTEx | DepMap | Descartes | 0.39 | 0.46 |
SYN2 | 0.0017273 | 5642 | GTEx | DepMap | Descartes | 1.30 | 1.34 |
SCG5 | 0.0013072 | 6618 | GTEx | DepMap | Descartes | 2.12 | 5.81 |
SNAP25 | 0.0011056 | 7189 | GTEx | DepMap | Descartes | 3.33 | 7.05 |
SLC35D3 | -0.0000222 | 12909 | GTEx | DepMap | Descartes | 0.02 | 0.99 |
NAP1L5 | -0.0009069 | 17847 | GTEx | DepMap | Descartes | 1.12 | 88.11 |
CXCL14 | -0.0012010 | 18368 | GTEx | DepMap | Descartes | 0.01 | 0.09 |
GNAS | -0.0046418 | 20184 | GTEx | DepMap | Descartes | 61.42 | 132.92 |
Meta_9 ATRX (Dong)
Markers obtained in computationally inferred meta program (by NMF applied to their neuroblastoma sc-RNA-seq data) from Fig. 5(a) of Dong et al. (PMID 32946775).:
Wilcoxon ranksum test P-value for gene set overrepresentation: 1.87e-02
Mean rank of genes in gene set: 1571
Rank on gene expression program of genes in gene set:
Genes | Weight | Rank | GTEx | DepMap | Decartes | Mean.Counts | Mean.TPM |
---|---|---|---|---|---|---|---|
ATRX | 0.0150333 | 41 | GTEx | DepMap | Descartes | 9.80 | 11.79 |
ZFHX3 | 0.0033458 | 3101 | GTEx | DepMap | Descartes | 2.56 | 0.41 |
Protein maturation (Kinker)
These marker genes were obtained in a pan cancer cell lines NMF analysis of scRNA-eq data in Kinker et al (PMID 33128048) - 10 metaprograms were recovered that manifest across cancers.:
Wilcoxon ranksum test P-value for gene set overrepresentation: 2.09e-02
Mean rank of genes in gene set: 4971.2
Rank on gene expression program of genes in gene set:
Genes | Weight | Rank | GTEx | DepMap | Decartes | Mean.Counts | Mean.TPM |
---|---|---|---|---|---|---|---|
HSPA5 | 0.0081861 | 458 | GTEx | DepMap | Descartes | 8.57 | 247.67 |
PDIA3 | 0.0059152 | 1162 | GTEx | DepMap | Descartes | 6.44 | 40.82 |
RPN2 | 0.0056777 | 1258 | GTEx | DepMap | Descartes | 2.97 | 9.77 |
OS9 | 0.0052977 | 1463 | GTEx | DepMap | Descartes | 1.00 | 6.61 |
HSPA8 | -0.0063811 | 20515 | GTEx | DepMap | Descartes | 54.28 | 813.41 |
Below shows ranks on this GEP for literature curated gene lists for large gene sets
These include those reported as mesenchymal/adrenergic by Van Groningen et al.
High ranks indicate this gene is a driver of this GEP (note these results are not ordered).
The Mean Count column shows the mean read count in cells scoring highly (H > 50) on this gene expression program.
VanGroningen Adrenergic Genes
Adrenergic marker genes from Supplementary Table 2 of Van Groningen et al. Nature Genetics 2017. These genes were identified by differential expression analysis of mesenchymal-like and adrenergic-like neuroblastoma cell lines.
Wilcoxon ranksum test P-value for gene set overrepresentation: 2.81e-09
Mean rank of genes in gene set: 8590.81
Median rank of genes in gene set: 5492
Rank on gene expression program of top 30 genes in gene set:
Genes | Weight | Rank | GTEx | DepMap | Descartes | Mean.Counts | Mean.TPM |
---|---|---|---|---|---|---|---|
AUTS2 | 0.0180995 | 19 | GTEx | DepMap | Descartes | 4.83 | 0.79 |
MYO5A | 0.0136026 | 52 | GTEx | DepMap | Descartes | 3.24 | 3.46 |
KIF5C | 0.0123230 | 85 | GTEx | DepMap | Descartes | 8.67 | 8.36 |
GRIA2 | 0.0122622 | 86 | GTEx | DepMap | Descartes | 3.61 | 5.26 |
ANK2 | 0.0116473 | 111 | GTEx | DepMap | Descartes | 4.01 | 1.13 |
KIDINS220 | 0.0109116 | 157 | GTEx | DepMap | Descartes | 1.64 | 3.25 |
AKAP1 | 0.0105981 | 180 | GTEx | DepMap | Descartes | 1.13 | 5.29 |
EYA1 | 0.0105022 | 187 | GTEx | DepMap | Descartes | 3.33 | 4.01 |
CADM1 | 0.0104741 | 188 | GTEx | DepMap | Descartes | 4.51 | 2.16 |
NCAM1 | 0.0102446 | 204 | GTEx | DepMap | Descartes | 5.28 | 3.02 |
PBX3 | 0.0101268 | 216 | GTEx | DepMap | Descartes | 2.48 | 1.99 |
FZD3 | 0.0098378 | 241 | GTEx | DepMap | Descartes | 0.92 | 2.47 |
SYT4 | 0.0096942 | 262 | GTEx | DepMap | Descartes | 2.73 | 41.58 |
NBEA | 0.0096870 | 264 | GTEx | DepMap | Descartes | 1.69 | 0.50 |
LIN28B | 0.0095503 | 275 | GTEx | DepMap | Descartes | 0.75 | 1.14 |
CXADR | 0.0093760 | 290 | GTEx | DepMap | Descartes | 2.19 | 5.87 |
THSD7A | 0.0093578 | 294 | GTEx | DepMap | Descartes | 1.18 | 0.53 |
CCP110 | 0.0087755 | 350 | GTEx | DepMap | Descartes | 1.44 | 9.79 |
REEP1 | 0.0087710 | 352 | GTEx | DepMap | Descartes | 1.61 | 2.52 |
MAP1B | 0.0087448 | 358 | GTEx | DepMap | Descartes | 22.21 | 35.35 |
KIF1A | 0.0085627 | 390 | GTEx | DepMap | Descartes | 1.37 | 2.84 |
MIAT | 0.0085266 | 399 | GTEx | DepMap | Descartes | 0.65 | 7.69 |
ADGRB3 | 0.0084306 | 417 | GTEx | DepMap | Descartes | 1.32 | 0.27 |
KDM1A | 0.0083718 | 429 | GTEx | DepMap | Descartes | 5.95 | 18.04 |
KIF21A | 0.0081681 | 460 | GTEx | DepMap | Descartes | 5.56 | 6.78 |
CACNA1B | 0.0081566 | 464 | GTEx | DepMap | Descartes | 0.80 | 0.88 |
NELL2 | 0.0081350 | 471 | GTEx | DepMap | Descartes | 1.14 | 0.43 |
TENM4 | 0.0081001 | 476 | GTEx | DepMap | Descartes | 0.64 | 0.14 |
SV2C | 0.0080421 | 483 | GTEx | DepMap | Descartes | 0.82 | 0.75 |
SCG3 | 0.0080269 | 488 | GTEx | DepMap | Descartes | 2.55 | 9.52 |
VanGroningen Mesenchymal Genes
Mesenchymal marker genes from Supplementary Table 2 of Van Groningen et al. Nature Genetics 2017. These genes were identified by differential expression analysis of mesenchymal-like and adrenergic-like neuroblastoma cell lines.
Wilcoxon ranksum test P-value for gene set overrepresentation: 9.41e-01
Mean rank of genes in gene set: 10909.36
Median rank of genes in gene set: 10942
Rank on gene expression program of top 30 genes in gene set:
Genes | Weight | Rank | GTEx | DepMap | Descartes | Mean.Counts | Mean.TPM |
---|---|---|---|---|---|---|---|
SLC38A2 | 0.0126511 | 74 | GTEx | DepMap | Descartes | 3.96 | 52.76 |
APP | 0.0120714 | 93 | GTEx | DepMap | Descartes | 5.24 | 3.79 |
LAMB1 | 0.0115317 | 118 | GTEx | DepMap | Descartes | 0.99 | 2.65 |
GPC6 | 0.0110062 | 148 | GTEx | DepMap | Descartes | 2.11 | 0.33 |
DDR2 | 0.0109263 | 153 | GTEx | DepMap | Descartes | 0.82 | 1.02 |
PHTF2 | 0.0102606 | 202 | GTEx | DepMap | Descartes | 1.63 | 2.05 |
HSP90B1 | 0.0097941 | 248 | GTEx | DepMap | Descartes | 16.00 | 164.82 |
ENAH | 0.0094868 | 280 | GTEx | DepMap | Descartes | 4.21 | 5.37 |
PDE3A | 0.0094529 | 284 | GTEx | DepMap | Descartes | 2.05 | 1.26 |
ATP2B1 | 0.0093129 | 301 | GTEx | DepMap | Descartes | 3.64 | 5.10 |
BNC2 | 0.0084773 | 409 | GTEx | DepMap | Descartes | 1.38 | 0.53 |
ITGB1 | 0.0084303 | 418 | GTEx | DepMap | Descartes | 4.41 | 15.66 |
PTPRK | 0.0083364 | 437 | GTEx | DepMap | Descartes | 0.47 | 0.14 |
HSPA5 | 0.0081861 | 458 | GTEx | DepMap | Descartes | 8.57 | 247.67 |
LIFR | 0.0079240 | 514 | GTEx | DepMap | Descartes | 0.77 | 1.21 |
SSR1 | 0.0079233 | 515 | GTEx | DepMap | Descartes | 2.42 | 14.59 |
KDM5B | 0.0079056 | 522 | GTEx | DepMap | Descartes | 3.03 | 6.35 |
DNAJC10 | 0.0075955 | 589 | GTEx | DepMap | Descartes | 1.66 | 6.87 |
COPA | 0.0074093 | 631 | GTEx | DepMap | Descartes | 2.15 | 8.76 |
MBTPS1 | 0.0073311 | 653 | GTEx | DepMap | Descartes | 0.96 | 3.28 |
ATP8B2 | 0.0070709 | 739 | GTEx | DepMap | Descartes | 0.42 | 3.44 |
PLOD2 | 0.0068440 | 794 | GTEx | DepMap | Descartes | 0.91 | 2.27 |
DPY19L1 | 0.0067722 | 825 | GTEx | DepMap | Descartes | 0.73 | 1.37 |
TM9SF2 | 0.0065529 | 902 | GTEx | DepMap | Descartes | 1.38 | 3.99 |
IGF2R | 0.0065479 | 905 | GTEx | DepMap | Descartes | 0.94 | 1.94 |
HYOU1 | 0.0064872 | 924 | GTEx | DepMap | Descartes | 0.72 | 9.70 |
ASPH | 0.0064754 | 930 | GTEx | DepMap | Descartes | 1.38 | 1.03 |
FBN2 | 0.0061072 | 1077 | GTEx | DepMap | Descartes | 0.67 | 0.55 |
PXDN | 0.0060321 | 1106 | GTEx | DepMap | Descartes | 0.59 | 1.33 |
PTPRG | 0.0059780 | 1137 | GTEx | DepMap | Descartes | 0.55 | 0.14 |
Descartes adrenocortical markers
Top 50 marker genes of adrenocortical cells in the Decartes fetal adrenal single cell map (https://atlas.brotmanbaty.org/bbi/human-gene-expression-during-development/cell/adrenocortical/in/adrenal)
Wilcoxon ranksum test P-value for gene set overrepresentation: 3.90e-03
Mean rank of genes in gene set: 7995.14
Median rank of genes in gene set: 5467
Rank on gene expression program of top 30 genes in gene set:
Genes | Weight | Rank | GTEx | DepMap | Descartes | Mean.Counts | Mean.TPM |
---|---|---|---|---|---|---|---|
IGF1R | 0.0082704 | 446 | GTEx | DepMap | Descartes | 1.07 | 0.64 |
HMGCR | 0.0080360 | 485 | GTEx | DepMap | Descartes | 3.31 | 24.35 |
DHCR24 | 0.0074591 | 618 | GTEx | DepMap | Descartes | 1.17 | 6.75 |
SCAP | 0.0072322 | 682 | GTEx | DepMap | Descartes | 0.93 | 3.07 |
SGCZ | 0.0054840 | 1355 | GTEx | DepMap | Descartes | 0.10 | 0.02 |
PDE10A | 0.0050202 | 1637 | GTEx | DepMap | Descartes | 0.46 | 0.16 |
LDLR | 0.0048914 | 1726 | GTEx | DepMap | Descartes | 0.54 | 3.48 |
DHCR7 | 0.0039000 | 2525 | GTEx | DepMap | Descartes | 0.97 | 6.04 |
POR | 0.0037159 | 2695 | GTEx | DepMap | Descartes | 1.47 | 3.99 |
DNER | 0.0034269 | 2997 | GTEx | DepMap | Descartes | 0.14 | 0.07 |
GRAMD1B | 0.0033125 | 3137 | GTEx | DepMap | Descartes | 0.36 | 0.26 |
BAIAP2L1 | 0.0033023 | 3149 | GTEx | DepMap | Descartes | 1.47 | 2.02 |
NPC1 | 0.0031840 | 3281 | GTEx | DepMap | Descartes | 0.47 | 1.91 |
SLC1A2 | 0.0026151 | 4088 | GTEx | DepMap | Descartes | 0.13 | 0.19 |
PEG3 | 0.0025908 | 4125 | GTEx | DepMap | Descartes | 2.61 | 14.06 |
JAKMIP2 | 0.0025602 | 4177 | GTEx | DepMap | Descartes | 0.59 | 0.59 |
SH3PXD2B | 0.0021083 | 4915 | GTEx | DepMap | Descartes | 0.38 | 0.76 |
FRMD5 | 0.0020780 | 4966 | GTEx | DepMap | Descartes | 0.31 | 0.20 |
SLC16A9 | 0.0019879 | 5114 | GTEx | DepMap | Descartes | 0.24 | 0.98 |
ERN1 | 0.0019335 | 5220 | GTEx | DepMap | Descartes | 0.18 | 0.33 |
INHA | 0.0018391 | 5407 | GTEx | DepMap | Descartes | 0.08 | 4.74 |
FDXR | 0.0017837 | 5527 | GTEx | DepMap | Descartes | 0.40 | 6.48 |
SCARB1 | 0.0014427 | 6305 | GTEx | DepMap | Descartes | 0.34 | 0.77 |
HMGCS1 | 0.0012802 | 6690 | GTEx | DepMap | Descartes | 2.33 | 21.49 |
HSPD1 | 0.0012636 | 6739 | GTEx | DepMap | Descartes | 30.67 | 388.05 |
MSMO1 | 0.0011498 | 7061 | GTEx | DepMap | Descartes | 1.54 | 15.90 |
PAPSS2 | 0.0009424 | 7703 | GTEx | DepMap | Descartes | 0.11 | 0.29 |
TM7SF2 | 0.0007131 | 8470 | GTEx | DepMap | Descartes | 0.15 | 3.94 |
CLU | 0.0000917 | 11896 | GTEx | DepMap | Descartes | 3.14 | 32.18 |
STAR | 0.0000045 | 12656 | GTEx | DepMap | Descartes | 0.02 | 0.36 |
Descartes chromaffin markers
Top 50 marker genes of chromaffin cells in the Decartes fetal adrenal single cell map (https://atlas.brotmanbaty.org/bbi/human-gene-expression-during-development/cell/chromaffin/in/adrenal)
Wilcoxon ranksum test P-value for gene set overrepresentation: 5.83e-02
Mean rank of genes in gene set: 9046.09
Median rank of genes in gene set: 5381.5
Rank on gene expression program of top 30 genes in gene set:
Genes | Weight | Rank | GTEx | DepMap | Descartes | Mean.Counts | Mean.TPM |
---|---|---|---|---|---|---|---|
EYA1 | 0.0105022 | 187 | GTEx | DepMap | Descartes | 3.33 | 4.01 |
REEP1 | 0.0087710 | 352 | GTEx | DepMap | Descartes | 1.61 | 2.52 |
MAP1B | 0.0087448 | 358 | GTEx | DepMap | Descartes | 22.21 | 35.35 |
CNKSR2 | 0.0076085 | 581 | GTEx | DepMap | Descartes | 1.41 | 1.02 |
PLXNA4 | 0.0066516 | 859 | GTEx | DepMap | Descartes | 0.63 | 0.25 |
RYR2 | 0.0060060 | 1121 | GTEx | DepMap | Descartes | 0.25 | 0.09 |
ELAVL2 | 0.0056496 | 1272 | GTEx | DepMap | Descartes | 6.07 | 5.80 |
KCNB2 | 0.0051118 | 1576 | GTEx | DepMap | Descartes | 0.20 | 0.08 |
EYA4 | 0.0048975 | 1722 | GTEx | DepMap | Descartes | 0.29 | 0.22 |
RGMB | 0.0047270 | 1841 | GTEx | DepMap | Descartes | 0.51 | 3.11 |
ALK | 0.0045833 | 1950 | GTEx | DepMap | Descartes | 0.11 | 0.03 |
ISL1 | 0.0041254 | 2328 | GTEx | DepMap | Descartes | 7.21 | 100.65 |
SLC44A5 | 0.0038916 | 2531 | GTEx | DepMap | Descartes | 0.23 | 0.11 |
TMEFF2 | 0.0038453 | 2579 | GTEx | DepMap | Descartes | 0.54 | 0.28 |
HS3ST5 | 0.0037042 | 2707 | GTEx | DepMap | Descartes | 0.23 | 0.11 |
CNTFR | 0.0035116 | 2905 | GTEx | DepMap | Descartes | 1.64 | 5.93 |
SLC6A2 | 0.0034672 | 2955 | GTEx | DepMap | Descartes | 0.08 | 0.53 |
MAB21L2 | 0.0033231 | 3124 | GTEx | DepMap | Descartes | 3.13 | 156.15 |
EPHA6 | 0.0033126 | 3136 | GTEx | DepMap | Descartes | 0.04 | 0.01 |
MAB21L1 | 0.0028524 | 3746 | GTEx | DepMap | Descartes | 0.10 | 5.14 |
PTCHD1 | 0.0028398 | 3761 | GTEx | DepMap | Descartes | 0.08 | 0.35 |
RBFOX1 | 0.0021968 | 4758 | GTEx | DepMap | Descartes | 1.49 | 0.13 |
TMEM132C | 0.0015677 | 6005 | GTEx | DepMap | Descartes | 0.02 | 0.02 |
RPH3A | 0.0012513 | 6774 | GTEx | DepMap | Descartes | 0.01 | 0.04 |
ANKFN1 | 0.0010549 | 7337 | GTEx | DepMap | Descartes | 0.00 | 0.00 |
NTRK1 | 0.0007222 | 8440 | GTEx | DepMap | Descartes | 0.17 | 2.29 |
GAL | 0.0006763 | 8630 | GTEx | DepMap | Descartes | 0.08 | 2.84 |
SYNPO2 | 0.0002645 | 10710 | GTEx | DepMap | Descartes | 0.02 | 0.02 |
IL7 | -0.0001433 | 14127 | GTEx | DepMap | Descartes | 0.00 | 0.00 |
NPY | -0.0002065 | 14725 | GTEx | DepMap | Descartes | 1.15 | 36.27 |
Descartes Vascular_endothelial markers
Top 50 marker genes of Vascular_endothelial cells in the Decartes fetal adrenal single cell map (https://atlas.brotmanbaty.org/bbi/human-gene-expression-during-development/cell/vascular_endothelial/in/adrenal)
Wilcoxon ranksum test P-value for gene set overrepresentation: 9.84e-01
Mean rank of genes in gene set: 12445.56
Median rank of genes in gene set: 13422
Rank on gene expression program of top 30 genes in gene set:
Genes | Weight | Rank | GTEx | DepMap | Descartes | Mean.Counts | Mean.TPM |
---|---|---|---|---|---|---|---|
CDH13 | 0.0071281 | 721 | GTEx | DepMap | Descartes | 0.76 | 0.13 |
SHANK3 | 0.0053571 | 1430 | GTEx | DepMap | Descartes | 0.15 | 0.51 |
PODXL | 0.0042173 | 2248 | GTEx | DepMap | Descartes | 0.38 | 1.47 |
HYAL2 | 0.0030238 | 3503 | GTEx | DepMap | Descartes | 0.83 | 27.11 |
MYRIP | 0.0027579 | 3867 | GTEx | DepMap | Descartes | 0.11 | 0.12 |
EFNB2 | 0.0019176 | 5248 | GTEx | DepMap | Descartes | 0.33 | 1.47 |
CYP26B1 | 0.0011976 | 6920 | GTEx | DepMap | Descartes | 0.08 | 0.75 |
F8 | 0.0010871 | 7242 | GTEx | DepMap | Descartes | 0.04 | 0.04 |
IRX3 | 0.0010424 | 7378 | GTEx | DepMap | Descartes | 0.15 | 8.27 |
TMEM88 | 0.0005583 | 9169 | GTEx | DepMap | Descartes | 0.01 | 1.02 |
RASIP1 | 0.0002254 | 10991 | GTEx | DepMap | Descartes | 0.03 | 0.46 |
ROBO4 | 0.0002233 | 11005 | GTEx | DepMap | Descartes | 0.00 | 0.00 |
CHRM3 | 0.0002114 | 11085 | GTEx | DepMap | Descartes | 0.00 | 0.00 |
APLNR | 0.0002027 | 11143 | GTEx | DepMap | Descartes | 0.00 | 0.00 |
DNASE1L3 | 0.0000782 | 12002 | GTEx | DepMap | Descartes | 0.00 | 0.03 |
CALCRL | 0.0000686 | 12087 | GTEx | DepMap | Descartes | 0.04 | 0.07 |
PTPRB | 0.0000554 | 12195 | GTEx | DepMap | Descartes | 0.00 | 0.00 |
SLCO2A1 | 0.0000303 | 12425 | GTEx | DepMap | Descartes | 0.04 | 0.07 |
ESM1 | -0.0000337 | 13017 | GTEx | DepMap | Descartes | 0.00 | 0.00 |
TIE1 | -0.0000361 | 13038 | GTEx | DepMap | Descartes | 0.01 | 0.11 |
BTNL9 | -0.0000404 | 13092 | GTEx | DepMap | Descartes | 0.00 | 0.00 |
GALNT15 | -0.0000688 | 13422 | GTEx | DepMap | Descartes | 0.00 | 0.00 |
KDR | -0.0000700 | 13436 | GTEx | DepMap | Descartes | 0.00 | 0.01 |
CDH5 | -0.0001172 | 13892 | GTEx | DepMap | Descartes | 0.01 | 0.02 |
SHE | -0.0001239 | 13952 | GTEx | DepMap | Descartes | 0.00 | 0.00 |
TEK | -0.0001275 | 13987 | GTEx | DepMap | Descartes | 0.00 | 0.00 |
MMRN2 | -0.0002069 | 14729 | GTEx | DepMap | Descartes | 0.00 | 0.00 |
KANK3 | -0.0002209 | 14848 | GTEx | DepMap | Descartes | 0.06 | 0.71 |
FLT4 | -0.0002445 | 15043 | GTEx | DepMap | Descartes | 0.00 | 0.00 |
CRHBP | -0.0002599 | 15156 | GTEx | DepMap | Descartes | 0.00 | 0.01 |
Descartes stromal markers
Top 50 marker genes of stromal cells in the Decartes fetal adrenal single cell map (https://atlas.brotmanbaty.org/bbi/human-gene-expression-during-development/cell/stromal/in/adrenal)
Wilcoxon ranksum test P-value for gene set overrepresentation: 1.00e+00
Mean rank of genes in gene set: 13432.24
Median rank of genes in gene set: 14438
Rank on gene expression program of top 30 genes in gene set:
Genes | Weight | Rank | GTEx | DepMap | Descartes | Mean.Counts | Mean.TPM |
---|---|---|---|---|---|---|---|
SFRP2 | 0.0035390 | 2874 | GTEx | DepMap | Descartes | 0.82 | 17.50 |
HHIP | 0.0023304 | 4535 | GTEx | DepMap | Descartes | 0.04 | 0.07 |
GAS2 | 0.0021060 | 4921 | GTEx | DepMap | Descartes | 0.21 | 0.24 |
PRICKLE1 | 0.0019036 | 5288 | GTEx | DepMap | Descartes | 0.11 | 0.16 |
LRRC17 | 0.0012596 | 6750 | GTEx | DepMap | Descartes | 0.07 | 0.30 |
CLDN11 | 0.0009906 | 7541 | GTEx | DepMap | Descartes | 0.10 | 1.21 |
FREM1 | 0.0005518 | 9196 | GTEx | DepMap | Descartes | 0.00 | 0.00 |
GLI2 | 0.0004922 | 9457 | GTEx | DepMap | Descartes | 0.01 | 0.01 |
PCDH18 | 0.0004539 | 9624 | GTEx | DepMap | Descartes | 0.03 | 0.45 |
ADAMTSL3 | 0.0002031 | 11140 | GTEx | DepMap | Descartes | 0.01 | 0.01 |
COL6A3 | 0.0002014 | 11153 | GTEx | DepMap | Descartes | 0.03 | 0.06 |
CD248 | 0.0001872 | 11231 | GTEx | DepMap | Descartes | 0.02 | 1.41 |
ABCA6 | 0.0001273 | 11617 | GTEx | DepMap | Descartes | 0.00 | 0.01 |
FNDC1 | 0.0001249 | 11635 | GTEx | DepMap | Descartes | 0.01 | 0.03 |
SCARA5 | 0.0000840 | 11952 | GTEx | DepMap | Descartes | 0.10 | 0.13 |
ABCC9 | 0.0000473 | 12270 | GTEx | DepMap | Descartes | 0.01 | 0.01 |
COL27A1 | -0.0000089 | 12786 | GTEx | DepMap | Descartes | 0.03 | 0.05 |
LOX | -0.0000694 | 13428 | GTEx | DepMap | Descartes | 0.03 | 0.19 |
ITGA11 | -0.0000700 | 13435 | GTEx | DepMap | Descartes | 0.00 | 0.00 |
CCDC80 | -0.0001219 | 13935 | GTEx | DepMap | Descartes | 0.01 | 0.10 |
C7 | -0.0001359 | 14075 | GTEx | DepMap | Descartes | 0.00 | 0.00 |
COL3A1 | -0.0001628 | 14314 | GTEx | DepMap | Descartes | 0.01 | 0.07 |
DKK2 | -0.0001693 | 14385 | GTEx | DepMap | Descartes | 0.01 | 0.03 |
IGFBP3 | -0.0001802 | 14491 | GTEx | DepMap | Descartes | 0.20 | 3.82 |
COL1A1 | -0.0001958 | 14618 | GTEx | DepMap | Descartes | 0.01 | 0.08 |
PAMR1 | -0.0002017 | 14670 | GTEx | DepMap | Descartes | 0.00 | 0.00 |
SULT1E1 | -0.0002092 | 14757 | GTEx | DepMap | Descartes | 0.00 | 0.01 |
ADAMTS2 | -0.0002180 | 14822 | GTEx | DepMap | Descartes | 0.00 | 0.00 |
PDGFRA | -0.0002237 | 14873 | GTEx | DepMap | Descartes | 0.00 | 0.00 |
BICC1 | -0.0002559 | 15126 | GTEx | DepMap | Descartes | 0.03 | 0.01 |
Descartes sympathoblasts markers
Top 50 marker genes of sympathoblasts cells in the Decartes fetal adrenal single cell map (https://atlas.brotmanbaty.org/bbi/human-gene-expression-during-development/cell/sympathoblasts/in/adrenal)
Wilcoxon ranksum test P-value for gene set overrepresentation: 8.04e-06
Mean rank of genes in gene set: 6454.38
Median rank of genes in gene set: 4705.5
Rank on gene expression program of top 30 genes in gene set:
Genes | Weight | Rank | GTEx | DepMap | Descartes | Mean.Counts | Mean.TPM |
---|---|---|---|---|---|---|---|
GALNTL6 | 0.0082548 | 450 | GTEx | DepMap | Descartes | 0.39 | 0.07 |
UNC80 | 0.0077487 | 548 | GTEx | DepMap | Descartes | 0.77 | 0.51 |
ST18 | 0.0077356 | 552 | GTEx | DepMap | Descartes | 0.56 | 0.24 |
TIAM1 | 0.0071309 | 719 | GTEx | DepMap | Descartes | 1.34 | 0.63 |
KSR2 | 0.0055604 | 1314 | GTEx | DepMap | Descartes | 0.23 | 0.12 |
FAM155A | 0.0045988 | 1938 | GTEx | DepMap | Descartes | 0.98 | 0.25 |
NTNG1 | 0.0045840 | 1948 | GTEx | DepMap | Descartes | 0.17 | 0.10 |
C1QL1 | 0.0041450 | 2314 | GTEx | DepMap | Descartes | 0.62 | 14.29 |
CDH12 | 0.0038715 | 2552 | GTEx | DepMap | Descartes | 0.11 | 0.01 |
EML6 | 0.0037652 | 2660 | GTEx | DepMap | Descartes | 0.29 | 0.17 |
CCSER1 | 0.0037531 | 2671 | GTEx | DepMap | Descartes | 0.14 | 0.02 |
MGAT4C | 0.0034875 | 2930 | GTEx | DepMap | Descartes | 0.13 | 0.03 |
INSM1 | 0.0032201 | 3243 | GTEx | DepMap | Descartes | 2.30 | 98.59 |
ROBO1 | 0.0030732 | 3429 | GTEx | DepMap | Descartes | 0.50 | 0.11 |
PCSK2 | 0.0030693 | 3439 | GTEx | DepMap | Descartes | 0.57 | 0.35 |
GRID2 | 0.0029831 | 3559 | GTEx | DepMap | Descartes | 0.11 | 0.01 |
GRM7 | 0.0028052 | 3811 | GTEx | DepMap | Descartes | 0.06 | 0.01 |
TMEM130 | 0.0027146 | 3930 | GTEx | DepMap | Descartes | 0.09 | 0.50 |
CHGA | 0.0024438 | 4369 | GTEx | DepMap | Descartes | 1.96 | 32.26 |
FGF14 | 0.0023899 | 4450 | GTEx | DepMap | Descartes | 0.08 | 0.02 |
CNTN3 | 0.0023016 | 4585 | GTEx | DepMap | Descartes | 0.06 | 0.03 |
HTATSF1 | 0.0021610 | 4826 | GTEx | DepMap | Descartes | 2.48 | 24.84 |
TBX20 | 0.0015887 | 5949 | GTEx | DepMap | Descartes | 0.17 | 0.48 |
SLC18A1 | 0.0015236 | 6099 | GTEx | DepMap | Descartes | 0.05 | 0.15 |
CDH18 | 0.0014996 | 6161 | GTEx | DepMap | Descartes | 0.01 | 0.00 |
TENM1 | 0.0014676 | 6242 | GTEx | DepMap | Descartes | 0.00 | 0.00 |
SPOCK3 | 0.0014643 | 6250 | GTEx | DepMap | Descartes | 0.45 | 0.15 |
SLC24A2 | 0.0011852 | 6950 | GTEx | DepMap | Descartes | 0.03 | 0.03 |
SORCS3 | 0.0011492 | 7064 | GTEx | DepMap | Descartes | 0.06 | 0.02 |
PNMT | 0.0008970 | 7827 | GTEx | DepMap | Descartes | 0.03 | 1.36 |
Descartes erythroblasts markers
Top 50 marker genes of erythroblasts cells in the Decartes fetal adrenal single cell map (https://atlas.brotmanbaty.org/bbi/human-gene-expression-during-development/cell/erythroblasts/in/adrenal)
Wilcoxon ranksum test P-value for gene set overrepresentation: 8.36e-02
Mean rank of genes in gene set: 9064.43
Median rank of genes in gene set: 7558
Rank on gene expression program of top 30 genes in gene set:
Genes | Weight | Rank | GTEx | DepMap | Descartes | Mean.Counts | Mean.TPM |
---|---|---|---|---|---|---|---|
EPB41 | 0.0069953 | 755 | GTEx | DepMap | Descartes | 1.81 | 1.92 |
SLC25A37 | 0.0063692 | 961 | GTEx | DepMap | Descartes | 0.86 | 3.44 |
MICAL2 | 0.0053048 | 1456 | GTEx | DepMap | Descartes | 0.28 | 0.28 |
XPO7 | 0.0052195 | 1502 | GTEx | DepMap | Descartes | 1.33 | 1.78 |
TSPAN5 | 0.0045191 | 2010 | GTEx | DepMap | Descartes | 1.10 | 0.97 |
GCLC | 0.0043305 | 2154 | GTEx | DepMap | Descartes | 0.85 | 3.39 |
RAPGEF2 | 0.0034909 | 2927 | GTEx | DepMap | Descartes | 0.35 | 0.26 |
SPTB | 0.0034647 | 2957 | GTEx | DepMap | Descartes | 0.33 | 0.42 |
TRAK2 | 0.0032477 | 3203 | GTEx | DepMap | Descartes | 0.49 | 1.22 |
SOX6 | 0.0026918 | 3968 | GTEx | DepMap | Descartes | 0.32 | 0.11 |
TMCC2 | 0.0026831 | 3980 | GTEx | DepMap | Descartes | 0.39 | 2.09 |
ABCB10 | 0.0024174 | 4410 | GTEx | DepMap | Descartes | 0.36 | 1.87 |
CR1L | 0.0021773 | 4792 | GTEx | DepMap | Descartes | 0.79 | 3.62 |
DENND4A | 0.0019200 | 5241 | GTEx | DepMap | Descartes | 0.33 | 0.52 |
CPOX | 0.0015904 | 5945 | GTEx | DepMap | Descartes | 1.02 | 2.96 |
TMEM56 | 0.0013901 | 6430 | GTEx | DepMap | Descartes | 0.17 | 0.32 |
ANK1 | 0.0010087 | 7486 | GTEx | DepMap | Descartes | 0.02 | 0.03 |
SPECC1 | 0.0009855 | 7558 | GTEx | DepMap | Descartes | 0.08 | 0.07 |
MARCH3 | 0.0006549 | 8733 | GTEx | DepMap | Descartes | 0.01 | 0.01 |
EPB42 | 0.0003079 | 10452 | GTEx | DepMap | Descartes | 0.00 | 0.00 |
RGS6 | 0.0001119 | 11743 | GTEx | DepMap | Descartes | 0.00 | 0.00 |
RHD | 0.0000406 | 12328 | GTEx | DepMap | Descartes | 0.00 | 0.00 |
CAT | 0.0000157 | 12559 | GTEx | DepMap | Descartes | 0.41 | 1.91 |
SLC4A1 | -0.0000072 | 12757 | GTEx | DepMap | Descartes | 0.00 | 0.00 |
SLC25A21 | -0.0000075 | 12762 | GTEx | DepMap | Descartes | 0.01 | 0.00 |
SPTA1 | -0.0000528 | 13225 | GTEx | DepMap | Descartes | 0.00 | 0.00 |
GYPA | -0.0001543 | 14230 | GTEx | DepMap | Descartes | 0.00 | 0.01 |
HEMGN | -0.0002028 | 14686 | GTEx | DepMap | Descartes | 0.00 | 0.00 |
TFR2 | -0.0003716 | 15928 | GTEx | DepMap | Descartes | 0.02 | 0.17 |
FECH | -0.0004409 | 16298 | GTEx | DepMap | Descartes | 0.24 | 1.00 |
Descartes myeloid markers
Top 50 marker genes of myeloid cells in the Decartes fetal adrenal single cell map (https://atlas.brotmanbaty.org/bbi/human-gene-expression-during-development/cell/myeloid/in/adrenal)
Wilcoxon ranksum test P-value for gene set overrepresentation: 1.00e+00
Mean rank of genes in gene set: 14217.49
Median rank of genes in gene set: 16316
Rank on gene expression program of top 30 genes in gene set:
Genes | Weight | Rank | GTEx | DepMap | Descartes | Mean.Counts | Mean.TPM |
---|---|---|---|---|---|---|---|
SFMBT2 | 0.0046138 | 1926 | GTEx | DepMap | Descartes | 0.23 | 0.13 |
SLC1A3 | 0.0040212 | 2416 | GTEx | DepMap | Descartes | 0.36 | 0.75 |
RBPJ | 0.0039960 | 2443 | GTEx | DepMap | Descartes | 1.50 | 1.23 |
WWP1 | 0.0026184 | 4082 | GTEx | DepMap | Descartes | 1.03 | 1.57 |
FMN1 | 0.0014001 | 6413 | GTEx | DepMap | Descartes | 0.16 | 0.06 |
ITPR2 | 0.0008287 | 8045 | GTEx | DepMap | Descartes | 0.35 | 0.18 |
SLC9A9 | 0.0007305 | 8401 | GTEx | DepMap | Descartes | 0.09 | 0.03 |
CTSD | 0.0006372 | 8802 | GTEx | DepMap | Descartes | 8.39 | 110.74 |
HRH1 | 0.0004966 | 9440 | GTEx | DepMap | Descartes | 0.01 | 0.02 |
RGL1 | 0.0003018 | 10497 | GTEx | DepMap | Descartes | 0.10 | 0.07 |
ABCA1 | 0.0002034 | 11136 | GTEx | DepMap | Descartes | 0.33 | 0.45 |
PTPRE | 0.0001936 | 11199 | GTEx | DepMap | Descartes | 0.19 | 0.20 |
MS4A4A | 0.0000877 | 11926 | GTEx | DepMap | Descartes | 0.00 | 0.01 |
AXL | 0.0000848 | 11945 | GTEx | DepMap | Descartes | 0.10 | 0.61 |
MPEG1 | -0.0000065 | 12750 | GTEx | DepMap | Descartes | 0.29 | 11.38 |
CD163 | -0.0001204 | 13922 | GTEx | DepMap | Descartes | 0.00 | 0.00 |
MERTK | -0.0002044 | 14703 | GTEx | DepMap | Descartes | 0.05 | 0.07 |
SLCO2B1 | -0.0002786 | 15292 | GTEx | DepMap | Descartes | 0.01 | 0.03 |
CSF1R | -0.0002794 | 15300 | GTEx | DepMap | Descartes | 0.13 | 0.67 |
FGD2 | -0.0003055 | 15492 | GTEx | DepMap | Descartes | 0.01 | 0.14 |
ATP8B4 | -0.0003529 | 15817 | GTEx | DepMap | Descartes | 0.00 | 0.00 |
ADAP2 | -0.0004083 | 16144 | GTEx | DepMap | Descartes | 0.02 | 0.11 |
RNASE1 | -0.0004443 | 16316 | GTEx | DepMap | Descartes | 0.01 | 0.89 |
CD163L1 | -0.0004628 | 16403 | GTEx | DepMap | Descartes | 0.00 | 0.00 |
VSIG4 | -0.0004992 | 16557 | GTEx | DepMap | Descartes | 0.00 | 0.01 |
CTSB | -0.0005006 | 16570 | GTEx | DepMap | Descartes | 5.50 | 36.23 |
MSR1 | -0.0005223 | 16647 | GTEx | DepMap | Descartes | 0.07 | 0.21 |
CPVL | -0.0005728 | 16842 | GTEx | DepMap | Descartes | 0.00 | 0.00 |
SPP1 | -0.0006916 | 17296 | GTEx | DepMap | Descartes | 2.72 | 58.13 |
IFNGR1 | -0.0008474 | 17703 | GTEx | DepMap | Descartes | 0.44 | 4.20 |
Descartes Schwann markers
Top 50 marker genes of Schwann cells in the Decartes fetal adrenal single cell map (https://atlas.brotmanbaty.org/bbi/human-gene-expression-during-development/cell/schwann/in/adrenal)
Wilcoxon ranksum test P-value for gene set overrepresentation: 5.88e-01
Mean rank of genes in gene set: 10672.26
Median rank of genes in gene set: 10415
Rank on gene expression program of top 30 genes in gene set:
Genes | Weight | Rank | GTEx | DepMap | Descartes | Mean.Counts | Mean.TPM |
---|---|---|---|---|---|---|---|
DST | 0.0120887 | 92 | GTEx | DepMap | Descartes | 5.08 | 2.35 |
LAMB1 | 0.0115317 | 118 | GTEx | DepMap | Descartes | 0.99 | 2.65 |
NRXN1 | 0.0078781 | 530 | GTEx | DepMap | Descartes | 3.40 | 0.52 |
MDGA2 | 0.0067186 | 842 | GTEx | DepMap | Descartes | 0.46 | 0.09 |
XKR4 | 0.0058230 | 1195 | GTEx | DepMap | Descartes | 0.34 | NA |
FIGN | 0.0055364 | 1331 | GTEx | DepMap | Descartes | 0.74 | 1.02 |
SORCS1 | 0.0050705 | 1608 | GTEx | DepMap | Descartes | 0.21 | 0.06 |
MARCKS | 0.0034989 | 2917 | GTEx | DepMap | Descartes | 14.77 | 387.84 |
GFRA3 | 0.0034826 | 2935 | GTEx | DepMap | Descartes | 0.29 | 1.93 |
LAMC1 | 0.0034056 | 3026 | GTEx | DepMap | Descartes | 0.38 | 0.58 |
PLCE1 | 0.0031970 | 3272 | GTEx | DepMap | Descartes | 0.14 | 0.10 |
ERBB4 | 0.0030908 | 3401 | GTEx | DepMap | Descartes | 0.07 | 0.01 |
LRRTM4 | 0.0018057 | 5482 | GTEx | DepMap | Descartes | 0.06 | 0.01 |
SOX5 | 0.0017588 | 5563 | GTEx | DepMap | Descartes | 0.03 | 0.01 |
FAM134B | 0.0017387 | 5618 | GTEx | DepMap | Descartes | 0.59 | NA |
SFRP1 | 0.0012495 | 6779 | GTEx | DepMap | Descartes | 0.43 | 2.05 |
PAG1 | 0.0008104 | 8110 | GTEx | DepMap | Descartes | 0.10 | 0.13 |
PTPRZ1 | 0.0007506 | 8320 | GTEx | DepMap | Descartes | 0.34 | 0.30 |
ERBB3 | 0.0005503 | 9212 | GTEx | DepMap | Descartes | 0.20 | 1.52 |
HMGA2 | 0.0004667 | 9567 | GTEx | DepMap | Descartes | 0.01 | 0.01 |
NRXN3 | 0.0004055 | 9894 | GTEx | DepMap | Descartes | 0.12 | 0.01 |
IL1RAPL2 | 0.0004037 | 9903 | GTEx | DepMap | Descartes | 0.00 | 0.00 |
SLC35F1 | 0.0003332 | 10301 | GTEx | DepMap | Descartes | 0.09 | 0.03 |
VCAN | 0.0003129 | 10415 | GTEx | DepMap | Descartes | 0.13 | 0.26 |
STARD13 | 0.0002750 | 10644 | GTEx | DepMap | Descartes | 0.10 | 0.09 |
IL1RAPL1 | 0.0001395 | 11531 | GTEx | DepMap | Descartes | 0.01 | 0.00 |
MPZ | -0.0000109 | 12804 | GTEx | DepMap | Descartes | 0.00 | 0.04 |
PPP2R2B | -0.0001454 | 14153 | GTEx | DepMap | Descartes | 1.13 | 0.35 |
KCTD12 | -0.0001792 | 14487 | GTEx | DepMap | Descartes | 0.52 | 13.40 |
LAMA4 | -0.0002167 | 14812 | GTEx | DepMap | Descartes | 0.00 | 0.00 |
Descartes Megakaryocytes markers
Top 50 marker genes of Megakaryocytes cells in the Decartes fetal adrenal single cell map (https://atlas.brotmanbaty.org/bbi/human-gene-expression-during-development/cell/megakaryocytes/in/adrenal)
Wilcoxon ranksum test P-value for gene set overrepresentation: 9.97e-01
Mean rank of genes in gene set: 12851.02
Median rank of genes in gene set: 15990
Rank on gene expression program of top 30 genes in gene set:
Genes | Weight | Rank | GTEx | DepMap | Descartes | Mean.Counts | Mean.TPM |
---|---|---|---|---|---|---|---|
PDE3A | 0.0094529 | 284 | GTEx | DepMap | Descartes | 2.05 | 1.26 |
HIPK2 | 0.0057593 | 1222 | GTEx | DepMap | Descartes | 1.68 | 1.50 |
STOM | 0.0047055 | 1855 | GTEx | DepMap | Descartes | 0.87 | 7.37 |
SLC2A3 | 0.0044141 | 2079 | GTEx | DepMap | Descartes | 0.62 | 1.48 |
MED12L | 0.0038023 | 2619 | GTEx | DepMap | Descartes | 0.17 | 0.10 |
FLNA | 0.0037470 | 2674 | GTEx | DepMap | Descartes | 0.89 | 6.66 |
PRKAR2B | 0.0029446 | 3613 | GTEx | DepMap | Descartes | 2.15 | 2.87 |
STON2 | 0.0029102 | 3667 | GTEx | DepMap | Descartes | 0.18 | 0.19 |
DOK6 | 0.0026249 | 4074 | GTEx | DepMap | Descartes | 0.12 | 0.03 |
RAB27B | 0.0026189 | 4080 | GTEx | DepMap | Descartes | 0.33 | 0.33 |
VCL | 0.0023287 | 4539 | GTEx | DepMap | Descartes | 0.42 | 0.64 |
SLC24A3 | 0.0021692 | 4808 | GTEx | DepMap | Descartes | 0.01 | 0.00 |
PSTPIP2 | 0.0021251 | 4894 | GTEx | DepMap | Descartes | 0.12 | 0.21 |
MYH9 | 0.0015778 | 5978 | GTEx | DepMap | Descartes | 1.60 | 3.63 |
ITGA2B | 0.0005181 | 9350 | GTEx | DepMap | Descartes | 0.08 | 0.70 |
GP1BA | 0.0002873 | 10573 | GTEx | DepMap | Descartes | 0.00 | 0.00 |
TRPC6 | 0.0002131 | 11076 | GTEx | DepMap | Descartes | 0.00 | 0.00 |
TUBB1 | 0.0000748 | 12030 | GTEx | DepMap | Descartes | 0.00 | 0.00 |
ANGPT1 | -0.0000619 | 13334 | GTEx | DepMap | Descartes | 0.04 | 0.03 |
UBASH3B | -0.0001026 | 13748 | GTEx | DepMap | Descartes | 0.13 | 0.13 |
ITGB3 | -0.0001673 | 14360 | GTEx | DepMap | Descartes | 0.01 | 0.02 |
MCTP1 | -0.0001939 | 14601 | GTEx | DepMap | Descartes | 0.03 | 0.01 |
ACTN1 | -0.0002108 | 14769 | GTEx | DepMap | Descartes | 0.87 | 1.42 |
INPP4B | -0.0003459 | 15773 | GTEx | DepMap | Descartes | 0.07 | 0.02 |
MMRN1 | -0.0003801 | 15990 | GTEx | DepMap | Descartes | 0.00 | 0.00 |
PPBP | -0.0004169 | 16179 | GTEx | DepMap | Descartes | 0.00 | 0.00 |
SPN | -0.0004254 | 16223 | GTEx | DepMap | Descartes | 0.00 | 0.09 |
GP9 | -0.0004354 | 16273 | GTEx | DepMap | Descartes | 0.00 | 0.25 |
THBS1 | -0.0005615 | 16799 | GTEx | DepMap | Descartes | 0.07 | 0.65 |
CD84 | -0.0005994 | 16950 | GTEx | DepMap | Descartes | 0.09 | 0.34 |
Descartes Lyphoid markers
Top 50 marker genes of Lyphoid cells in the Decartes fetal adrenal single cell map (https://atlas.brotmanbaty.org/bbi/human-gene-expression-during-development/cell/lymphoid/in/adrenal)
Wilcoxon ranksum test P-value for gene set overrepresentation: 9.91e-01
Mean rank of genes in gene set: 12644.11
Median rank of genes in gene set: 16434
Rank on gene expression program of top 30 genes in gene set:
Genes | Weight | Rank | GTEx | DepMap | Descartes | Mean.Counts | Mean.TPM |
---|---|---|---|---|---|---|---|
PDE3B | 0.0067828 | 815 | GTEx | DepMap | Descartes | 0.77 | 1.07 |
CD44 | 0.0034260 | 3000 | GTEx | DepMap | Descartes | 1.43 | 3.16 |
STK39 | 0.0027746 | 3849 | GTEx | DepMap | Descartes | 1.68 | 0.89 |
FAM65B | 0.0027144 | 3931 | GTEx | DepMap | Descartes | 0.53 | NA |
FYN | 0.0027110 | 3939 | GTEx | DepMap | Descartes | 1.20 | 0.94 |
MBNL1 | 0.0025666 | 4165 | GTEx | DepMap | Descartes | 2.90 | 3.03 |
DOCK10 | 0.0024874 | 4298 | GTEx | DepMap | Descartes | 0.46 | 0.31 |
RAP1GAP2 | 0.0024618 | 4336 | GTEx | DepMap | Descartes | 0.36 | 0.23 |
TOX | 0.0020609 | 4992 | GTEx | DepMap | Descartes | 0.71 | 0.33 |
PITPNC1 | 0.0019707 | 5150 | GTEx | DepMap | Descartes | 1.10 | 0.61 |
ABLIM1 | 0.0016743 | 5760 | GTEx | DepMap | Descartes | 0.94 | 0.58 |
FOXP1 | 0.0016312 | 5856 | GTEx | DepMap | Descartes | 2.15 | 0.57 |
CELF2 | 0.0014167 | 6368 | GTEx | DepMap | Descartes | 1.82 | 0.24 |
BCL2 | 0.0011918 | 6932 | GTEx | DepMap | Descartes | 0.34 | 0.33 |
SORL1 | 0.0008979 | 7825 | GTEx | DepMap | Descartes | 0.43 | 0.43 |
BACH2 | 0.0008366 | 8017 | GTEx | DepMap | Descartes | 0.41 | 0.17 |
MCTP2 | 0.0007421 | 8354 | GTEx | DepMap | Descartes | 0.08 | 0.06 |
ANKRD44 | 0.0004323 | 9754 | GTEx | DepMap | Descartes | 0.25 | 0.15 |
EVL | 0.0001335 | 11566 | GTEx | DepMap | Descartes | 3.57 | 3.53 |
SCML4 | 0.0000811 | 11976 | GTEx | DepMap | Descartes | 0.06 | 0.12 |
SAMD3 | -0.0002521 | 15098 | GTEx | DepMap | Descartes | 0.00 | 0.00 |
ARID5B | -0.0003596 | 15855 | GTEx | DepMap | Descartes | 0.52 | 0.40 |
PRKCH | -0.0006157 | 17013 | GTEx | DepMap | Descartes | 0.05 | 0.04 |
ITPKB | -0.0006706 | 17204 | GTEx | DepMap | Descartes | 0.05 | 0.12 |
CCL5 | -0.0006829 | 17259 | GTEx | DepMap | Descartes | 0.00 | 0.00 |
PLEKHA2 | -0.0007089 | 17342 | GTEx | DepMap | Descartes | 0.04 | 0.10 |
MSN | -0.0007508 | 17470 | GTEx | DepMap | Descartes | 0.77 | 1.84 |
SKAP1 | -0.0007823 | 17544 | GTEx | DepMap | Descartes | 0.00 | 0.00 |
LEF1 | -0.0008012 | 17589 | GTEx | DepMap | Descartes | 0.62 | 0.93 |
RCSD1 | -0.0009366 | 17916 | GTEx | DepMap | Descartes | 0.01 | 0.03 |
Below shows the ranks on this GEP for immune marker gene lists curated by CellTypist (https://www.celltypist.org/encyclopedia).
High ranks indicate this gene is a driver of this GEP.
These curated gene list are ranked by P-value (on this GEP) of their constituent genes.
The Mean Count column shows the mean read count in cells scoring highly (H > 50) on this gene expression program.
Genes | Weight | Rank | GTEx | DepMap | Decartes | Mean.Counts | Mean.TPM |
---|---|---|---|---|---|---|---|
MKI67 | 0.0108415 | 161 | GTEx | DepMap | Descartes | 7.69 | 46.73 |
TOP2A | 0.0099375 | 230 | GTEx | DepMap | Descartes | 12.11 | 56.92 |
Cycling cells: Cycling NK cells (curated markers)
proliferating natural killer cells:
Wilcoxon ranksum test P-value for gene set overrepresentation: 8.11e-03
Mean rank of genes in gene set: 195.5
Rank on gene expression program of genes in gene set:
Genes | Weight | Rank | GTEx | DepMap | Decartes | Mean.Counts | Mean.TPM |
---|---|---|---|---|---|---|---|
MKI67 | 0.0108415 | 161 | GTEx | DepMap | Descartes | 7.69 | 46.73 |
TOP2A | 0.0099375 | 230 | GTEx | DepMap | Descartes | 12.11 | 56.92 |
T cells: gamma-delta T cells (model markers)
unconventional T lymphocyte subpopulation expressing a gamma-delta T cell receptor complex on the surface to recognise antigens:
Wilcoxon ranksum test P-value for gene set overrepresentation: 6.18e-02
Mean rank of genes in gene set: 5098.33
Rank on gene expression program of genes in gene set:
Genes | Weight | Rank | GTEx | DepMap | Decartes | Mean.Counts | Mean.TPM |
---|---|---|---|---|---|---|---|
GRIN1 | 0.0108344 | 162 | GTEx | DepMap | Descartes | 0.85 | 5.35 |
KCNK10 | 0.0062353 | 1021 | GTEx | DepMap | Descartes | 0.37 | 0.38 |
KLRC2 | -0.0001412 | 14112 | GTEx | DepMap | Descartes | 0.00 | 0.00 |