Program description and justification of annotation: 1.
Submit a comment on this gene expression program’s interpretation: CLICK
QQ-plot of gene loadings, averaged over both independent splits of the data
This plot highlights the relative contribution of each gene to the GEP
Top genes driving this program.
Note: Decartes website is buggy, try refreshing. Also, Decartes fetal adrenal data have been collected at specific time points (89-122 days), all possible cell types of interest may not be represented, do not overinterpret.
The Mean Count column shows the mean read count in cells scoring highly (H > 50) on this gene expression program.
Gene | Loading | Gene.Name | GTEx | DepMap | Descartes | Mean.Counts | Mean.Tpm | |
---|---|---|---|---|---|---|---|---|
1 | TFPI2 | 0.0175979 | tissue factor pathway inhibitor 2 | GTEx | DepMap | Descartes | 82.69 | 1608.87 |
2 | DMRTA2 | 0.0113961 | DMRT like family A2 | GTEx | DepMap | Descartes | 2.92 | 38.03 |
3 | TNNT2 | 0.0111913 | troponin T2, cardiac type | GTEx | DepMap | Descartes | 10.14 | 152.11 |
4 | PTN | 0.0106498 | pleiotrophin | GTEx | DepMap | Descartes | 53.26 | 1420.57 |
5 | LIX1 | 0.0091905 | limb and CNS expressed 1 | GTEx | DepMap | Descartes | 10.39 | 115.93 |
6 | ACSL6 | 0.0090279 | acyl-CoA synthetase long chain family member 6 | GTEx | DepMap | Descartes | 1.58 | 7.70 |
7 | HAND1 | 0.0089697 | heart and neural crest derivatives expressed 1 | GTEx | DepMap | Descartes | 26.78 | 651.53 |
8 | LAMA4 | 0.0086495 | laminin subunit alpha 4 | GTEx | DepMap | Descartes | 6.44 | 36.59 |
9 | STOM | 0.0083295 | stomatin | GTEx | DepMap | Descartes | 13.79 | 185.71 |
10 | CD9 | 0.0082836 | CD9 molecule | GTEx | DepMap | Descartes | 73.98 | 1748.60 |
11 | FAM181B | 0.0080269 | family with sequence similarity 181 member B | GTEx | DepMap | Descartes | 6.57 | 72.06 |
12 | NPY | 0.0078635 | neuropeptide Y | GTEx | DepMap | Descartes | 218.14 | 11974.16 |
13 | MGAT4C | 0.0072131 | MGAT4 family member C | GTEx | DepMap | Descartes | 6.50 | 10.85 |
14 | ACVRL1 | 0.0072130 | activin A receptor like type 1 | GTEx | DepMap | Descartes | 1.37 | 13.75 |
15 | ITGA6 | 0.0071152 | integrin subunit alpha 6 | GTEx | DepMap | Descartes | 15.85 | 116.95 |
16 | KRT19 | 0.0070943 | keratin 19 | GTEx | DepMap | Descartes | 26.63 | 766.50 |
17 | PPP2R2B | 0.0070172 | protein phosphatase 2 regulatory subunit Bbeta | GTEx | DepMap | Descartes | 11.83 | 43.82 |
18 | FZD5 | 0.0069944 | frizzled class receptor 5 | GTEx | DepMap | Descartes | 1.93 | 11.31 |
19 | RGS16 | 0.0069941 | regulator of G protein signaling 16 | GTEx | DepMap | Descartes | 15.89 | 263.10 |
20 | RALY | 0.0067293 | RALY heterogeneous nuclear ribonucleoprotein | GTEx | DepMap | Descartes | 20.35 | 132.21 |
21 | PDLIM3 | 0.0067150 | PDZ and LIM domain 3 | GTEx | DepMap | Descartes | 2.94 | 24.72 |
22 | GNG11 | 0.0066360 | G protein subunit gamma 11 | GTEx | DepMap | Descartes | 40.18 | 523.02 |
23 | MTTP | 0.0065659 | microsomal triglyceride transfer protein | GTEx | DepMap | Descartes | 0.55 | 7.16 |
24 | WNT11 | 0.0064435 | Wnt family member 11 | GTEx | DepMap | Descartes | 0.90 | 21.54 |
25 | LCP1 | 0.0063397 | lymphocyte cytosolic protein 1 | GTEx | DepMap | Descartes | 3.34 | 37.14 |
26 | GABRG3 | 0.0062106 | gamma-aminobutyric acid type A receptor subunit gamma3 | GTEx | DepMap | Descartes | 2.39 | 9.38 |
27 | GALNT1 | 0.0062001 | polypeptide N-acetylgalactosaminyltransferase 1 | GTEx | DepMap | Descartes | 9.62 | 109.69 |
28 | CALM2 | 0.0061690 | calmodulin 2 | GTEx | DepMap | Descartes | 169.78 | 1520.82 |
29 | STXBP6 | 0.0060641 | syntaxin binding protein 6 | GTEx | DepMap | Descartes | 2.11 | 20.92 |
30 | RCSD1 | 0.0059331 | RCSD domain containing 1 | GTEx | DepMap | Descartes | 0.16 | 1.36 |
31 | GLRX | 0.0058048 | glutaredoxin | GTEx | DepMap | Descartes | 16.09 | 177.67 |
32 | ARHGEF6 | 0.0055610 | Rac/Cdc42 guanine nucleotide exchange factor 6 | GTEx | DepMap | Descartes | 2.05 | 17.12 |
33 | LRRTM1 | 0.0054294 | leucine rich repeat transmembrane neuronal 1 | GTEx | DepMap | Descartes | 2.13 | 21.28 |
34 | SCN7A | 0.0054124 | sodium voltage-gated channel alpha subunit 7 | GTEx | DepMap | Descartes | 1.07 | 7.24 |
35 | BAALC | 0.0053542 | BAALC binder of MAP3K1 and KLF4 | GTEx | DepMap | Descartes | 7.59 | 108.74 |
36 | DLEU7 | 0.0053200 | deleted in lymphocytic leukemia 7 | GTEx | DepMap | Descartes | 0.68 | 8.96 |
37 | PRKD1 | 0.0053006 | protein kinase D1 | GTEx | DepMap | Descartes | 0.44 | 5.14 |
38 | SPCS1 | 0.0051859 | signal peptidase complex subunit 1 | GTEx | DepMap | Descartes | 37.28 | 367.56 |
39 | NRP2 | 0.0051437 | neuropilin 2 | GTEx | DepMap | Descartes | 10.24 | 59.41 |
40 | NDUFA13 | 0.0048926 | NADH:ubiquinone oxidoreductase subunit A13 | GTEx | DepMap | Descartes | 73.68 | 2358.75 |
41 | C3AR1 | 0.0048519 | complement C3a receptor 1 | GTEx | DepMap | Descartes | 0.14 | 1.97 |
42 | KLHDC8A | 0.0047990 | kelch domain containing 8A | GTEx | DepMap | Descartes | 1.58 | 20.67 |
43 | PLXNA4 | 0.0045755 | plexin A4 | GTEx | DepMap | Descartes | 4.22 | 12.63 |
44 | CTDSPL | 0.0045445 | CTD small phosphatase like | GTEx | DepMap | Descartes | 5.22 | 43.45 |
45 | GTSF1 | 0.0044840 | gametocyte specific factor 1 | GTEx | DepMap | Descartes | 18.11 | 426.26 |
46 | GNG5 | 0.0044789 | G protein subunit gamma 5 | GTEx | DepMap | Descartes | 59.11 | 2439.23 |
47 | PMP22 | 0.0044706 | peripheral myelin protein 22 | GTEx | DepMap | Descartes | 10.32 | 230.66 |
48 | ELL2 | 0.0044676 | elongation factor for RNA polymerase II 2 | GTEx | DepMap | Descartes | 4.53 | 30.81 |
49 | PSMA6 | 0.0044211 | proteasome 20S subunit alpha 6 | GTEx | DepMap | Descartes | 24.20 | 205.13 |
50 | ALDH1A2 | 0.0044059 | aldehyde dehydrogenase 1 family member A2 | GTEx | DepMap | Descartes | 0.45 | 5.67 |
UMAP plots showing activity of gene expression program identified in community:1. NB Cell Line #1 (SKNFI #1)
CNV Data procured from inferCNV.
Outer tracks are putative CNV regions (gains = red, losses = blue) for each patient
Inner track is expression data representing:
The top cells expressing this GEP (purple)
Random cells (n =50) from the reference set used in inferCNV (orange)
Gene set Enrichments for this program, caculated from top 50 genes
mSigDB Cell Types Gene Set:
P-value | OR | Lower 95% CI | FDR | FWER | Genes Found | Gene Set Size | |
---|---|---|---|---|---|---|---|
ZHONG_PFC_MAJOR_TYPES_ASTROCYTES | 3.84e-07 | 9.92 | 4.38 | 2.58e-04 | 2.58e-04 | 10PTN, LIX1, ACSL6, CD9, FAM181B, PDLIM3, GNG11, KLHDC8A, GNG5, PMP22 |
325 |
CUI_DEVELOPING_HEART_CARDIAC_FIBROBLASTS | 7.96e-04 | 10.65 | 2.73 | 7.63e-02 | 5.34e-01 | 4TNNT2, PTN, SCN7A, ALDH1A2 |
106 |
MANNO_MIDBRAIN_NEUROTYPES_HRGL2B | 3.94e-05 | 6.37 | 2.70 | 1.32e-02 | 2.65e-02 | 9PTN, LIX1, ACSL6, FAM181B, ITGA6, PDLIM3, MTTP, ARHGEF6, PMP22 |
440 |
DURANTE_ADULT_OLFACTORY_NEUROEPITHELIUM_OLFACTORY_ENSHEATHING_GLIA | 1.08e-03 | 9.79 | 2.52 | 8.50e-02 | 7.23e-01 | 4PTN, NPY, SCN7A, PMP22 |
115 |
MANNO_MIDBRAIN_NEUROTYPES_HRGL2C | 2.45e-04 | 6.38 | 2.40 | 3.29e-02 | 1.64e-01 | 7PTN, LIX1, ACSL6, FAM181B, PDLIM3, ARHGEF6, PMP22 |
326 |
MANNO_MIDBRAIN_NEUROTYPES_HRGL2A | 7.14e-05 | 5.30 | 2.35 | 1.60e-02 | 4.79e-02 | 10LIX1, LAMA4, STOM, FAM181B, PPP2R2B, PDLIM3, MTTP, ARHGEF6, KLHDC8A, PMP22 |
600 |
DURANTE_ADULT_OLFACTORY_NEUROEPITHELIUM_RESPIRATORY_COLUMNAR_CELLS | 5.48e-03 | 20.00 | 2.24 | 1.57e-01 | 1.00e+00 | 2CD9, KRT19 |
28 |
MANNO_MIDBRAIN_NEUROTYPES_HPERIC | 1.37e-04 | 4.50 | 2.07 | 2.31e-02 | 9.22e-02 | 11PTN, LAMA4, STOM, CD9, RGS16, GNG11, RCSD1, GLRX, ARHGEF6, PMP22, ELL2 |
795 |
CUI_DEVELOPING_HEART_VALVAR_ENDOTHELIAL_CELL | 2.26e-03 | 7.93 | 2.05 | 1.07e-01 | 1.00e+00 | 4TFPI2, CD9, PDLIM3, PMP22 |
141 |
HU_FETAL_RETINA_FIBROBLAST | 6.49e-04 | 5.38 | 2.03 | 7.26e-02 | 4.36e-01 | 7PTN, LAMA4, STOM, GNG11, NRP2, PMP22, ALDH1A2 |
385 |
CUI_DEVELOPING_HEART_C4_ENDOTHELIAL_CELL | 2.56e-03 | 7.65 | 1.97 | 1.07e-01 | 1.00e+00 | 4STOM, CD9, GNG11, NRP2 |
146 |
FAN_OVARY_CL14_MATURE_SMOOTH_MUSCLE_CELL | 1.14e-03 | 5.68 | 1.96 | 8.50e-02 | 7.65e-01 | 6PTN, CD9, RGS16, CALM2, SPCS1, NDUFA13 |
306 |
ZHONG_PFC_C9_ORG_OTHER | 4.29e-03 | 9.97 | 1.94 | 1.37e-01 | 1.00e+00 | 3PTN, STOM, PDLIM3 |
83 |
DURANTE_ADULT_OLFACTORY_NEUROEPITHELIUM_RESPIRATORY_HORIZONTAL_BASAL_CELLS | 7.55e-03 | 16.78 | 1.89 | 1.69e-01 | 1.00e+00 | 2CD9, KRT19 |
33 |
FAN_OVARY_CL16_LYMPHATIC_ENDOTHELIAL_CELL | 2.06e-03 | 6.12 | 1.88 | 1.06e-01 | 1.00e+00 | 5LAMA4, STOM, CD9, GNG11, NRP2 |
232 |
RUBENSTEIN_SKELETAL_MUSCLE_SMOOTH_MUSCLE_CELLS | 1.47e-03 | 4.65 | 1.75 | 8.98e-02 | 9.88e-01 | 7PTN, CD9, RGS16, PDLIM3, CALM2, SPCS1, NDUFA13 |
445 |
DESCARTES_FETAL_STOMACH_MESOTHELIAL_CELLS | 8.94e-03 | 15.30 | 1.73 | 1.94e-01 | 1.00e+00 | 2TFPI2, ALDH1A2 |
36 |
ZHENG_CORD_BLOOD_C8_PUTATIVE_LYMPHOID_PRIMED_MULTIPOTENT_PROGENITOR_2 | 6.61e-03 | 8.48 | 1.66 | 1.57e-01 | 1.00e+00 | 3GNG11, RCSD1, BAALC |
97 |
MURARO_PANCREAS_ENDOTHELIAL_CELL | 2.62e-03 | 4.79 | 1.66 | 1.07e-01 | 1.00e+00 | 6LAMA4, STOM, CD9, ACVRL1, GNG11, NRP2 |
362 |
ZHENG_CORD_BLOOD_C1_PUTATIVE_MEGAKARYOCYTE_PROGENITOR | 6.79e-03 | 8.40 | 1.64 | 1.57e-01 | 1.00e+00 | 3STOM, CD9, ITGA6 |
98 |
Dowload full table
mSigDB Hallmark Gene Sets:
P-value | OR | Lower 95% CI | FDR | FWER | Genes Found | Gene Set Size | |
---|---|---|---|---|---|---|---|
HALLMARK_KRAS_SIGNALING_UP | 1.19e-05 | 10.54 | 3.95 | 5.94e-04 | 5.94e-04 | 7TNNT2, RGS16, GNG11, LCP1, GLRX, C3AR1, ALDH1A2 |
200 |
HALLMARK_ESTROGEN_RESPONSE_LATE | 7.71e-03 | 5.55 | 1.44 | 1.93e-01 | 3.85e-01 | 4TFPI2, CD9, KRT19, PDLIM3 |
200 |
HALLMARK_INFLAMMATORY_RESPONSE | 4.35e-02 | 4.05 | 0.80 | 5.44e-01 | 1.00e+00 | 3FZD5, RGS16, C3AR1 |
200 |
HALLMARK_IL6_JAK_STAT3_SIGNALING | 4.64e-02 | 6.13 | 0.71 | 5.44e-01 | 1.00e+00 | 2CD9, ACVRL1 |
87 |
HALLMARK_ANDROGEN_RESPONSE | 5.93e-02 | 5.31 | 0.62 | 5.44e-01 | 1.00e+00 | 2KRT19, ELL2 |
100 |
HALLMARK_COAGULATION | 1.03e-01 | 3.83 | 0.45 | 5.44e-01 | 1.00e+00 | 2TFPI2, CD9 |
138 |
HALLMARK_IL2_STAT5_SIGNALING | 1.83e-01 | 2.64 | 0.31 | 5.44e-01 | 1.00e+00 | 2ITGA6, RGS16 |
199 |
HALLMARK_ADIPOGENESIS | 1.85e-01 | 2.63 | 0.31 | 5.44e-01 | 1.00e+00 | 2LAMA4, STOM |
200 |
HALLMARK_ESTROGEN_RESPONSE_EARLY | 1.85e-01 | 2.63 | 0.31 | 5.44e-01 | 1.00e+00 | 2KRT19, PDLIM3 |
200 |
HALLMARK_MTORC1_SIGNALING | 1.85e-01 | 2.63 | 0.31 | 5.44e-01 | 1.00e+00 | 2CD9, GLRX |
200 |
HALLMARK_EPITHELIAL_MESENCHYMAL_TRANSITION | 1.85e-01 | 2.63 | 0.31 | 5.44e-01 | 1.00e+00 | 2TFPI2, PMP22 |
200 |
HALLMARK_P53_PATHWAY | 1.85e-01 | 2.63 | 0.31 | 5.44e-01 | 1.00e+00 | 2STOM, RGS16 |
200 |
HALLMARK_HEME_METABOLISM | 1.85e-01 | 2.63 | 0.31 | 5.44e-01 | 1.00e+00 | 2ACSL6, ELL2 |
200 |
HALLMARK_NOTCH_SIGNALING | 1.20e-01 | 8.23 | 0.20 | 5.44e-01 | 1.00e+00 | 1FZD5 |
32 |
HALLMARK_HEDGEHOG_SIGNALING | 1.34e-01 | 7.29 | 0.18 | 5.44e-01 | 1.00e+00 | 1NRP2 |
36 |
HALLMARK_PANCREAS_BETA_CELLS | 1.47e-01 | 6.54 | 0.16 | 5.44e-01 | 1.00e+00 | 1SPCS1 |
40 |
HALLMARK_REACTIVE_OXYGEN_SPECIES_PATHWAY | 1.77e-01 | 5.31 | 0.13 | 5.44e-01 | 1.00e+00 | 1GLRX |
49 |
HALLMARK_CHOLESTEROL_HOMEOSTASIS | 2.55e-01 | 3.49 | 0.09 | 7.09e-01 | 1.00e+00 | 1CD9 |
74 |
HALLMARK_UNFOLDED_PROTEIN_RESPONSE | 3.62e-01 | 2.28 | 0.06 | 9.43e-01 | 1.00e+00 | 1SPCS1 |
113 |
HALLMARK_UV_RESPONSE_DN | 4.35e-01 | 1.78 | 0.04 | 9.43e-01 | 1.00e+00 | 1PMP22 |
144 |
Dowload full table
KEGG Pathways:
P-value | OR | Lower 95% CI | FDR | FWER | Genes Found | Gene Set Size | |
---|---|---|---|---|---|---|---|
KEGG_MELANOGENESIS | 7.38e-03 | 8.14 | 1.59 | 1.00e+00 | 1.00e+00 | 3FZD5, WNT11, CALM2 |
101 |
KEGG_BASAL_CELL_CARCINOMA | 2.00e-02 | 9.82 | 1.13 | 1.00e+00 | 1.00e+00 | 2FZD5, WNT11 |
55 |
KEGG_ADIPOCYTOKINE_SIGNALING_PATHWAY | 2.89e-02 | 8.01 | 0.92 | 1.00e+00 | 1.00e+00 | 2ACSL6, NPY |
67 |
KEGG_PATHWAYS_IN_CANCER | 3.70e-02 | 3.39 | 0.88 | 1.00e+00 | 1.00e+00 | 4LAMA4, ITGA6, FZD5, WNT11 |
325 |
KEGG_HYPERTROPHIC_CARDIOMYOPATHY_HCM | 4.26e-02 | 6.43 | 0.74 | 1.00e+00 | 1.00e+00 | 2TNNT2, ITGA6 |
83 |
KEGG_ECM_RECEPTOR_INTERACTION | 4.36e-02 | 6.35 | 0.74 | 1.00e+00 | 1.00e+00 | 2LAMA4, ITGA6 |
84 |
KEGG_SMALL_CELL_LUNG_CANCER | 4.36e-02 | 6.35 | 0.74 | 1.00e+00 | 1.00e+00 | 2LAMA4, ITGA6 |
84 |
KEGG_HEMATOPOIETIC_CELL_LINEAGE | 4.64e-02 | 6.13 | 0.71 | 1.00e+00 | 1.00e+00 | 2CD9, ITGA6 |
87 |
KEGG_DILATED_CARDIOMYOPATHY | 4.93e-02 | 5.92 | 0.69 | 1.00e+00 | 1.00e+00 | 2TNNT2, ITGA6 |
90 |
KEGG_WNT_SIGNALING_PATHWAY | 1.19e-01 | 3.50 | 0.41 | 1.00e+00 | 1.00e+00 | 2FZD5, WNT11 |
151 |
KEGG_CHEMOKINE_SIGNALING_PATHWAY | 1.70e-01 | 2.79 | 0.33 | 1.00e+00 | 1.00e+00 | 2GNG11, GNG5 |
189 |
KEGG_FOCAL_ADHESION | 1.83e-01 | 2.64 | 0.31 | 1.00e+00 | 1.00e+00 | 2LAMA4, ITGA6 |
199 |
KEGG_REGULATION_OF_ACTIN_CYTOSKELETON | 2.03e-01 | 2.47 | 0.29 | 1.00e+00 | 1.00e+00 | 2ITGA6, ARHGEF6 |
213 |
KEGG_PROTEIN_EXPORT | 9.13e-02 | 11.08 | 0.26 | 1.00e+00 | 1.00e+00 | 1SPCS1 |
24 |
KEGG_NEUROACTIVE_LIGAND_RECEPTOR_INTERACTION | 2.87e-01 | 1.93 | 0.23 | 1.00e+00 | 1.00e+00 | 2GABRG3, C3AR1 |
272 |
KEGG_O_GLYCAN_BIOSYNTHESIS | 1.13e-01 | 8.79 | 0.21 | 1.00e+00 | 1.00e+00 | 1GALNT1 |
30 |
KEGG_FATTY_ACID_METABOLISM | 1.54e-01 | 6.22 | 0.15 | 1.00e+00 | 1.00e+00 | 1ACSL6 |
42 |
KEGG_PROTEASOME | 1.67e-01 | 5.67 | 0.14 | 1.00e+00 | 1.00e+00 | 1PSMA6 |
46 |
KEGG_HEDGEHOG_SIGNALING_PATHWAY | 2.00e-01 | 4.64 | 0.11 | 1.00e+00 | 1.00e+00 | 1WNT11 |
56 |
KEGG_RETINOL_METABOLISM | 2.25e-01 | 4.05 | 0.10 | 1.00e+00 | 1.00e+00 | 1ALDH1A2 |
64 |
Dowload full table
CHR Positional Gene Sets:
P-value | OR | Lower 95% CI | FDR | FWER | Genes Found | Gene Set Size | |
---|---|---|---|---|---|---|---|
chr5q15 | 1.71e-03 | 13.99 | 2.71 | 4.76e-01 | 4.76e-01 | 3LIX1, GLRX, ELL2 |
60 |
chr14q12 | 6.04e-02 | 5.26 | 0.61 | 1.00e+00 | 1.00e+00 | 2STXBP6, PRKD1 |
101 |
chr15q12 | 5.81e-02 | 18.20 | 0.42 | 1.00e+00 | 1.00e+00 | 1GABRG3 |
15 |
chr7q21 | 1.36e-01 | 3.21 | 0.38 | 1.00e+00 | 1.00e+00 | 2TFPI2, GNG11 |
164 |
chr2q33 | 1.78e-01 | 2.70 | 0.32 | 1.00e+00 | 1.00e+00 | 2FZD5, NRP2 |
195 |
chr13q14 | 2.41e-01 | 2.19 | 0.26 | 1.00e+00 | 1.00e+00 | 2LCP1, DLEU7 |
240 |
chr1q32 | 2.78e-01 | 1.97 | 0.23 | 1.00e+00 | 1.00e+00 | 2TNNT2, KLHDC8A |
266 |
chr12p13 | 3.72e-01 | 1.57 | 0.18 | 1.00e+00 | 1.00e+00 | 2CD9, C3AR1 |
333 |
chr12q13 | 6.71e-01 | 1.29 | 0.15 | 1.00e+00 | 1.00e+00 | 2ACVRL1, GTSF1 |
407 |
chr7q33 | 1.87e-01 | 5.00 | 0.12 | 1.00e+00 | 1.00e+00 | 1PTN |
52 |
chr2p12 | 1.90e-01 | 4.91 | 0.12 | 1.00e+00 | 1.00e+00 | 1LRRTM1 |
53 |
chr14q13 | 2.09e-01 | 4.40 | 0.11 | 1.00e+00 | 1.00e+00 | 1PSMA6 |
59 |
chr17p12 | 2.22e-01 | 4.11 | 0.10 | 1.00e+00 | 1.00e+00 | 1PMP22 |
63 |
chr2p21 | 2.73e-01 | 3.23 | 0.08 | 1.00e+00 | 1.00e+00 | 1CALM2 |
80 |
chr7q32 | 3.01e-01 | 2.87 | 0.07 | 1.00e+00 | 1.00e+00 | 1PLXNA4 |
90 |
chr18q12 | 3.17e-01 | 2.68 | 0.07 | 1.00e+00 | 1.00e+00 | 1GALNT1 |
96 |
chr7p15 | 3.17e-01 | 2.68 | 0.07 | 1.00e+00 | 1.00e+00 | 1NPY |
96 |
chr4q35 | 3.41e-01 | 2.45 | 0.06 | 1.00e+00 | 1.00e+00 | 1PDLIM3 |
105 |
chr5q33 | 3.52e-01 | 2.36 | 0.06 | 1.00e+00 | 1.00e+00 | 1HAND1 |
109 |
chr6q21 | 3.72e-01 | 2.20 | 0.05 | 1.00e+00 | 1.00e+00 | 1LAMA4 |
117 |
Dowload full table
Transcription Factor Targets:
P-value | OR | Lower 95% CI | FDR | FWER | Genes Found | Gene Set Size | |
---|---|---|---|---|---|---|---|
PAX2_02 | 3.61e-03 | 5.34 | 1.64 | 9.36e-01 | 1.00e+00 | 5PPP2R2B, CALM2, LRRTM1, NDUFA13, PMP22 |
265 |
RUVBL2_TARGET_GENES | 9.92e-03 | 14.46 | 1.64 | 9.36e-01 | 1.00e+00 | 2RALY, CALM2 |
38 |
ACAWYAAAG_UNKNOWN | 8.63e-03 | 7.67 | 1.50 | 9.36e-01 | 1.00e+00 | 3LIX1, HAND1, ALDH1A2 |
107 |
CAGCTG_AP4_Q5 | 9.36e-03 | 2.60 | 1.24 | 9.36e-01 | 1.00e+00 | 12TNNT2, CD9, ITGA6, KRT19, CALM2, STXBP6, RCSD1, ARHGEF6, LRRTM1, SPCS1, NRP2, PMP22 |
1530 |
CEBP_Q2 | 1.38e-02 | 4.65 | 1.20 | 9.77e-01 | 1.00e+00 | 4ARHGEF6, NRP2, C3AR1, ALDH1A2 |
238 |
LMO2COM_02 | 1.50e-02 | 4.53 | 1.17 | 9.98e-01 | 1.00e+00 | 4ACVRL1, WNT11, CALM2, NRP2 |
244 |
MYOD_Q6_01 | 1.77e-02 | 4.30 | 1.11 | 1.00e+00 | 1.00e+00 | 4ITGA6, PPP2R2B, FZD5, SPCS1 |
257 |
SRY_02 | 1.82e-02 | 4.26 | 1.11 | 1.00e+00 | 1.00e+00 | 4PTN, MGAT4C, PPP2R2B, ALDH1A2 |
259 |
MMEF2_Q6 | 2.18e-02 | 4.03 | 1.05 | 1.00e+00 | 1.00e+00 | 4PPP2R2B, RALY, LRRTM1, NRP2 |
274 |
ETS2_B | 2.36e-02 | 3.92 | 1.02 | 1.00e+00 | 1.00e+00 | 4GNG11, LCP1, CALM2, ARHGEF6 |
281 |
GATA1_05 | 2.44e-02 | 3.88 | 1.01 | 1.00e+00 | 1.00e+00 | 4LIX1, MGAT4C, CALM2, PSMA6 |
284 |
AR_01 | 2.45e-02 | 5.11 | 1.01 | 1.00e+00 | 1.00e+00 | 3PMP22, ELL2, PSMA6 |
159 |
CTTTAAR_UNKNOWN | 2.80e-02 | 2.42 | 0.98 | 1.00e+00 | 1.00e+00 | 8TNNT2, LIX1, MGAT4C, PPP2R2B, GNG11, STXBP6, GLRX, PMP22 |
994 |
TTCYNRGAA_STAT5B_01 | 4.28e-02 | 3.23 | 0.84 | 1.00e+00 | 1.00e+00 | 4LIX1, MGAT4C, MTTP, STXBP6 |
341 |
TGCCAAR_NF1_Q6 | 5.42e-02 | 2.37 | 0.82 | 1.00e+00 | 1.00e+00 | 6MGAT4C, RALY, CALM2, ARHGEF6, NRP2, NDUFA13 |
727 |
GATA_Q6 | 4.40e-02 | 4.03 | 0.80 | 1.00e+00 | 1.00e+00 | 3LIX1, WNT11, NRP2 |
201 |
CAGNYGKNAAA_UNKNOWN | 3.81e-02 | 6.85 | 0.79 | 1.00e+00 | 1.00e+00 | 2LIX1, PRKD1 |
78 |
LBP1_Q6 | 5.59e-02 | 3.64 | 0.72 | 1.00e+00 | 1.00e+00 | 3TNNT2, STXBP6, RCSD1 |
222 |
CTGYNNCTYTAA_UNKNOWN | 4.73e-02 | 6.05 | 0.70 | 1.00e+00 | 1.00e+00 | 2NRP2, PMP22 |
88 |
TGTYNNNNNRGCARM_UNKNOWN | 4.73e-02 | 6.05 | 0.70 | 1.00e+00 | 1.00e+00 | 2LIX1, PPP2R2B |
88 |
Dowload full table
GO Biological Processes:
P-value | OR | Lower 95% CI | FDR | FWER | Genes Found | Gene Set Size | |
---|---|---|---|---|---|---|---|
GOBP_NEGATIVE_REGULATION_OF_MESENCHYMAL_CELL_PROLIFERATION | 2.31e-04 | 129.66 | 11.45 | 5.76e-01 | 1.00e+00 | 2PTN, WNT11 |
6 |
GOBP_CRANIAL_NERVE_STRUCTURAL_ORGANIZATION | 5.49e-04 | 74.10 | 7.33 | 7.32e-01 | 1.00e+00 | 2NRP2, PLXNA4 |
9 |
GOBP_CELL_DIFFERENTIATION_INVOLVED_IN_EMBRYONIC_PLACENTA_DEVELOPMENT | 9.91e-05 | 39.79 | 7.33 | 5.76e-01 | 7.41e-01 | 3HAND1, KRT19, FZD5 |
23 |
GOBP_FACIAL_NERVE_MORPHOGENESIS | 6.85e-04 | 64.86 | 6.55 | 7.32e-01 | 1.00e+00 | 2NRP2, PLXNA4 |
10 |
GOBP_SEMAPHORIN_PLEXIN_SIGNALING_PATHWAY_INVOLVED_IN_NEURON_PROJECTION_GUIDANCE | 1.18e-03 | 47.19 | 4.96 | 7.92e-01 | 1.00e+00 | 2NRP2, PLXNA4 |
13 |
GOBP_ANATOMICAL_STRUCTURE_ARRANGEMENT | 1.58e-03 | 39.95 | 4.27 | 7.92e-01 | 1.00e+00 | 2NRP2, PLXNA4 |
15 |
GOBP_PARASYMPATHETIC_NERVOUS_SYSTEM_DEVELOPMENT | 1.80e-03 | 37.11 | 3.99 | 7.92e-01 | 1.00e+00 | 2NRP2, PLXNA4 |
16 |
GOBP_BLASTODERM_SEGMENTATION | 2.54e-03 | 30.58 | 3.34 | 7.92e-01 | 1.00e+00 | 2FZD5, NRP2 |
19 |
GOBP_MYELIN_ASSEMBLY | 2.54e-03 | 30.58 | 3.34 | 7.92e-01 | 1.00e+00 | 2CD9, PMP22 |
19 |
GOBP_SYMPATHETIC_NERVOUS_SYSTEM_DEVELOPMENT | 3.10e-03 | 27.37 | 3.01 | 8.60e-01 | 1.00e+00 | 2NRP2, PLXNA4 |
21 |
GOBP_CELLULAR_COMPONENT_ASSEMBLY_INVOLVED_IN_MORPHOGENESIS | 6.41e-04 | 11.32 | 2.90 | 7.32e-01 | 1.00e+00 | 4TNNT2, CD9, KRT19, PMP22 |
100 |
GOBP_CARDIAC_SEPTUM_MORPHOGENESIS | 2.06e-03 | 13.07 | 2.53 | 7.92e-01 | 1.00e+00 | 3HAND1, WNT11, NRP2 |
64 |
GOBP_CELLULAR_RESPONSE_TO_RETINOIC_ACID | 2.06e-03 | 13.07 | 2.53 | 7.92e-01 | 1.00e+00 | 3WNT11, NDUFA13, ALDH1A2 |
64 |
GOBP_HEART_MORPHOGENESIS | 3.20e-04 | 7.32 | 2.52 | 5.98e-01 | 1.00e+00 | 6TNNT2, HAND1, ACVRL1, WNT11, NRP2, ALDH1A2 |
239 |
GOBP_CARDIAC_CHAMBER_MORPHOGENESIS | 1.08e-03 | 9.79 | 2.52 | 7.92e-01 | 1.00e+00 | 4TNNT2, HAND1, WNT11, NRP2 |
115 |
GOBP_REGULATION_OF_MESENCHYMAL_CELL_PROLIFERATION | 4.74e-03 | 21.66 | 2.42 | 1.00e+00 | 1.00e+00 | 2PTN, WNT11 |
26 |
GOBP_CRANIAL_NERVE_MORPHOGENESIS | 4.74e-03 | 21.66 | 2.42 | 1.00e+00 | 1.00e+00 | 2NRP2, PLXNA4 |
26 |
GOBP_DIENCEPHALON_DEVELOPMENT | 2.77e-03 | 11.73 | 2.28 | 8.28e-01 | 1.00e+00 | 3PTN, NRP2, ALDH1A2 |
71 |
GOBP_PLACENTA_DEVELOPMENT | 1.93e-03 | 8.30 | 2.14 | 7.92e-01 | 1.00e+00 | 4PTN, HAND1, KRT19, FZD5 |
135 |
GOBP_EMBRYONIC_PLACENTA_DEVELOPMENT | 3.74e-03 | 10.49 | 2.04 | 9.32e-01 | 1.00e+00 | 3HAND1, KRT19, FZD5 |
79 |
Dowload full table
Immunological Gene Sets:
P-value | OR | Lower 95% CI | FDR | FWER | Genes Found | Gene Set Size | |
---|---|---|---|---|---|---|---|
GSE360_LOW_DOSE_B_MALAYI_VS_M_TUBERCULOSIS_DC_DN | 1.20e-04 | 8.83 | 3.04 | 3.01e-01 | 5.86e-01 | 6STOM, LCP1, NRP2, C3AR1, ELL2, ALDH1A2 |
199 |
GSE17721_LPS_VS_CPG_12H_BMDC_DN | 1.24e-04 | 8.78 | 3.02 | 3.01e-01 | 6.03e-01 | 6TNNT2, CD9, FAM181B, PRKD1, C3AR1, PMP22 |
200 |
GSE13762_CTRL_VS_125_VITAMIND_DAY12_DC_UP | 2.79e-04 | 9.71 | 2.96 | 4.54e-01 | 1.00e+00 | 5KRT19, LCP1, STXBP6, SCN7A, GNG5 |
148 |
GSE29618_BCELL_VS_MDC_DN | 1.08e-03 | 7.12 | 2.18 | 7.51e-01 | 1.00e+00 | 5STOM, LCP1, CALM2, GLRX, GNG5 |
200 |
GSE10240_IL22_VS_IL17_STIM_PRIMARY_BRONCHIAL_EPITHELIAL_CELLS_DN | 1.08e-03 | 7.12 | 2.18 | 7.51e-01 | 1.00e+00 | 5STOM, GALNT1, STXBP6, CTDSPL, ELL2 |
200 |
GSE21379_WT_VS_SAP_KO_CD4_TCELL_UP | 1.08e-03 | 7.12 | 2.18 | 7.51e-01 | 1.00e+00 | 5CD9, FAM181B, ITGA6, NRP2, CTDSPL |
200 |
GSE37532_WT_VS_PPARG_KO_VISCERAL_ADIPOSE_TISSUE_TREG_DN | 1.08e-03 | 7.12 | 2.18 | 7.51e-01 | 1.00e+00 | 5TNNT2, STXBP6, RCSD1, ELL2, ALDH1A2 |
200 |
GSE6259_CD4_TCELL_VS_CD8_TCELL_UP | 6.12e-03 | 5.94 | 1.54 | 8.73e-01 | 1.00e+00 | 4RGS16, PRKD1, PLXNA4, ALDH1A2 |
187 |
GSE34156_UNTREATED_VS_24H_TLR1_TLR2_LIGAND_TREATED_MONOCYTE_UP | 6.95e-03 | 5.72 | 1.48 | 8.73e-01 | 1.00e+00 | 4FAM181B, MTTP, SCN7A, PRKD1 |
194 |
GSE41087_WT_VS_FOXP3_MUT_ANTI_CD3_CD28_STIM_CD4_TCELL_UP | 7.07e-03 | 5.69 | 1.47 | 8.73e-01 | 1.00e+00 | 4CD9, GNG11, LCP1, GNG5 |
195 |
GSE34156_NOD2_LIGAND_VS_TLR1_TLR2_LIGAND_6H_TREATED_MONOCYTE_DN | 7.32e-03 | 5.63 | 1.46 | 8.73e-01 | 1.00e+00 | 4LAMA4, ACVRL1, NRP2, C3AR1 |
197 |
GSE360_CTRL_VS_T_GONDII_MAC_DN | 7.45e-03 | 5.60 | 1.45 | 8.73e-01 | 1.00e+00 | 4PTN, RGS16, RALY, ELL2 |
198 |
GSE11057_EFF_MEM_VS_CENT_MEM_CD4_TCELL_UP | 7.58e-03 | 5.57 | 1.44 | 8.73e-01 | 1.00e+00 | 4DMRTA2, ACSL6, STOM, PPP2R2B |
199 |
GSE360_L_DONOVANI_VS_B_MALAYI_LOW_DOSE_DC_UP | 7.58e-03 | 5.57 | 1.44 | 8.73e-01 | 1.00e+00 | 4MGAT4C, PMP22, PSMA6, ALDH1A2 |
199 |
GSE360_T_GONDII_VS_M_TUBERCULOSIS_DC_DN | 7.58e-03 | 5.57 | 1.44 | 8.73e-01 | 1.00e+00 | 4LAMA4, GLRX, C3AR1, PSMA6 |
199 |
GSE360_L_DONOVANI_VS_B_MALAYI_LOW_DOSE_MAC_UP | 7.58e-03 | 5.57 | 1.44 | 8.73e-01 | 1.00e+00 | 4GLRX, C3AR1, CTDSPL, ELL2 |
199 |
GSE3982_MAC_VS_NKCELL_UP | 7.58e-03 | 5.57 | 1.44 | 8.73e-01 | 1.00e+00 | 4RGS16, GLRX, GNG5, PMP22 |
199 |
GSE22025_PROGESTERONE_VS_TGFB1_AND_PROGESTERONE_TREATED_CD4_TCELL_UP | 7.58e-03 | 5.57 | 1.44 | 8.73e-01 | 1.00e+00 | 4PPP2R2B, RGS16, GALNT1, GNG5 |
199 |
GSE22025_UNTREATED_VS_PROGESTERONE_TREATED_CD4_TCELL_DN | 7.58e-03 | 5.57 | 1.44 | 8.73e-01 | 1.00e+00 | 4PPP2R2B, RGS16, CALM2, ELL2 |
199 |
GSE29949_MICROGLIA_BRAIN_VS_CD8_POS_DC_SPLEEN_UP | 7.58e-03 | 5.57 | 1.44 | 8.73e-01 | 1.00e+00 | 4CD9, KRT19, RGS16, GNG5 |
199 |
Top Ranked Transcription Factors for this Gene Expression Program:
Gene Symbol | TF Rank | DNA Binding Domain | Motif Status | IUPAC PWM | GTEx | DepMap | Decartes |
---|---|---|---|---|---|---|---|
DMRTA2 | 2 | Yes | Known motif | Monomer or homomultimer | High-throughput in vitro | None | None |
HAND1 | 7 | Yes | Known motif | Obligate heteromer | In vivo/Misc source | Only known motifs are from Transfac or HocoMoco - origin is uncertain | Obligate heteromer (PMID: 10611232). |
PRKD1 | 37 | No | Unlikely to be sequence specific TF | Not a DNA binding protein | No motif | None | None |
PLXNA4 | 43 | No | Unlikely to be sequence specific TF | Not a DNA binding protein | No motif | None | Protein is a semaphorin receptor that operates far upstream on the signaling cascade (PMID: 12591607). |
PSMA6 | 49 | No | Unlikely to be sequence specific TF | Not a DNA binding protein | No motif | None | None |
MSX1 | 57 | Yes | Known motif | Monomer or homomultimer | High-throughput in vitro | None | None |
HEY2 | 66 | Yes | Known motif | Monomer or homomultimer | High-throughput in vitro | None | None |
JUND | 76 | Yes | Known motif | Monomer or homomultimer | High-throughput in vitro | None | None |
PLXNA2 | 79 | No | Unlikely to be sequence specific TF | Not a DNA binding protein | No motif | None | Protein is a semaphorin receptor that operates far upstream on the signaling cascade. |
CLU | 80 | No | Unlikely to be sequence specific TF | Not a DNA binding protein | No motif | None | Included only because GO says positive regulation of NF-kappaB transcription factor activity, but there is no DBD and no evidence of DNA binding. |
HEY1 | 116 | Yes | Known motif | Monomer or homomultimer | High-throughput in vitro | None | None |
PARK7 | 117 | No | Unlikely to be sequence specific TF | Not a DNA binding protein | No motif | None | Operates upstream in the signaling cascade |
SCAND1 | 134 | No | Unlikely to be sequence specific TF | Not a DNA binding protein | No motif | None | None |
HIF1A | 136 | Yes | Known motif | Obligate heteromer | In vivo/Misc source | Only known motifs are from Transfac or HocoMoco - origin is uncertain | Binds as obligate heteromer with ARNT (PMID: 9027737). |
UBE2N | 154 | No | Unlikely to be sequence specific TF | Not a DNA binding protein | No motif | None | None |
MTPN | 157 | No | Unlikely to be sequence specific TF | Not a DNA binding protein | No motif | None | No DBD; no evidence for DNA binding - only included because GO says its a positive regulator of NFkappaB. |
SUB1 | 164 | No | ssDNA/RNA binding | Not a DNA binding protein | No motif | None | The structure (PDB: 2C62) demonstrates binding to single stranded DNA |
BMP2 | 172 | No | Unlikely to be sequence specific TF | Not a DNA binding protein | No motif | None | None |
ID3 | 177 | No | Unlikely to be sequence specific TF | Not a DNA binding protein | No motif | None | ID bHLH proteins lack the basic region and should not be able to bind DNA. The HT-SELEX motif for ID4 is likely by a co-precipitated protein or it is a contamination |
RBM27 | 203 | No | ssDNA/RNA binding | Not a DNA binding protein | No motif | None | Likely an RNA-binding protein |
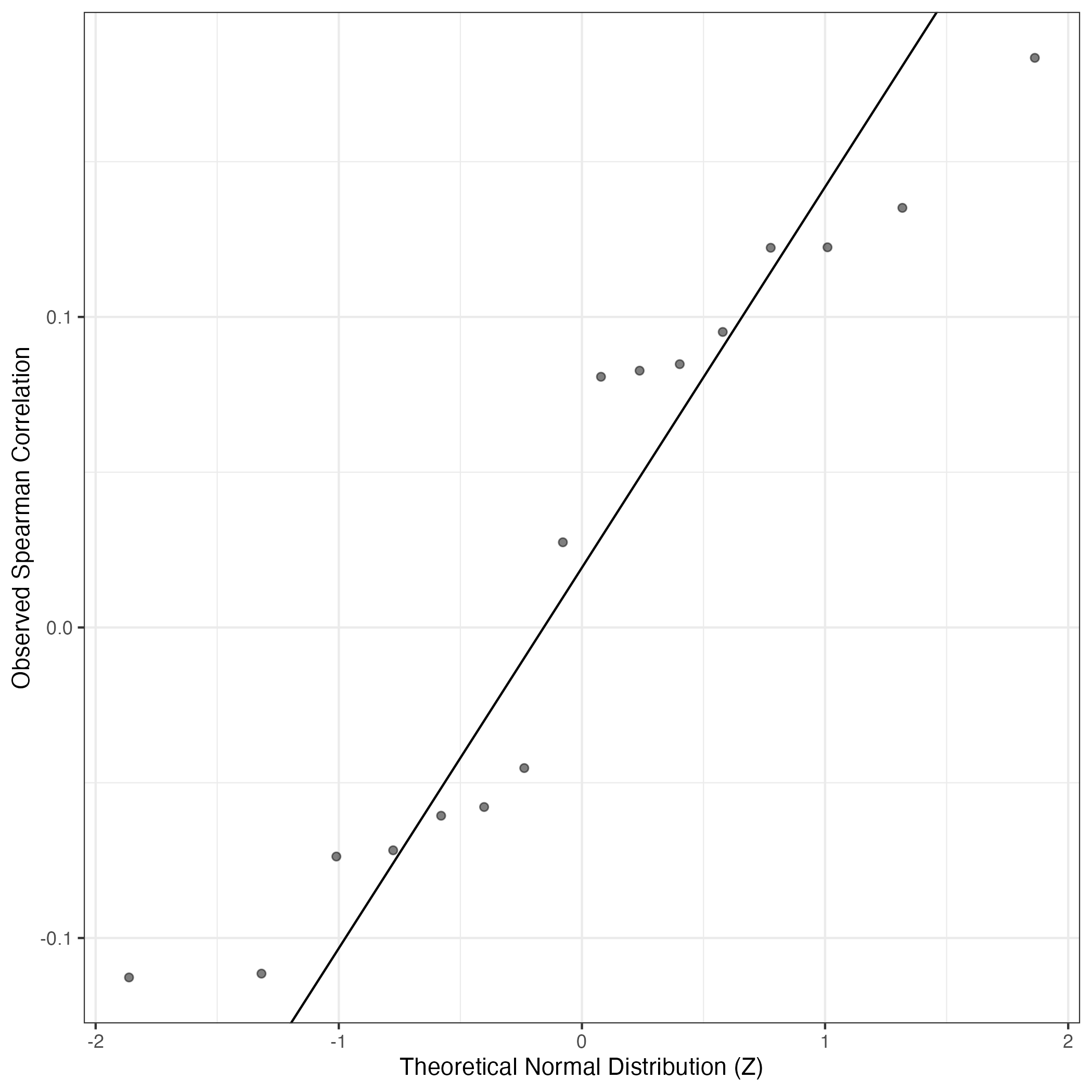
QQ Plot showing correlations with other Gene Expression Programs in this dataset, calculated by Spearman correlation:
Interactive QQ-plot of gene loadings:
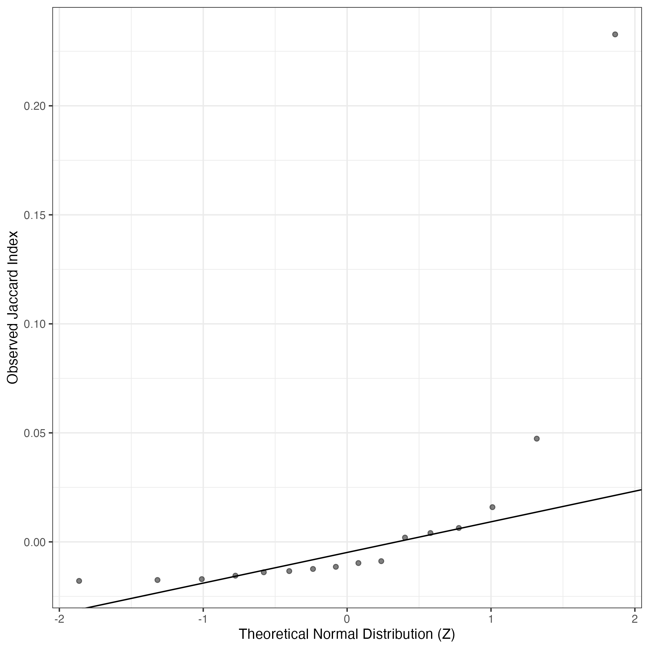
A similar QQ-plot as above, but only for instances where the H value is e.g. > 25, i.e. we are confident that the expression program is active above noise. Agreemenet between these binary vectors is tested using the Jaccard Index, with the P-values calculated by an exact test:
Interactive QQ-plot:
Singler cell type annotations for the top 50 cells on this program.
Cell ID | Singler label | Singler Delta | Activity Score | Top Singler Raw Scores |
---|---|---|---|---|
SKNFI_GGATGTTCATCACCAA-1 | Neurons | 0.24 | 958.19 | Raw ScoresNeurons:adrenal_medulla_cell_line: 0.61, Neuroepithelial_cell:ESC-derived: 0.53, iPS_cells:PDB_1lox-21Puro-20: 0.52, iPS_cells:PDB_2lox-22: 0.52, iPS_cells:PDB_1lox-21Puro-26: 0.52, iPS_cells:PDB_1lox-17Puro-10: 0.52, iPS_cells:PDB_2lox-17: 0.51, Astrocyte:Embryonic_stem_cell-derived: 0.51, iPS_cells:PDB_2lox-21: 0.51, Embryonic_stem_cells: 0.51 |
SKNFI_GGTTCTCGTGTCTTCC-1 | Neurons | 0.23 | 827.92 | Raw ScoresNeurons:adrenal_medulla_cell_line: 0.59, Neuroepithelial_cell:ESC-derived: 0.51, iPS_cells:PDB_2lox-22: 0.5, iPS_cells:PDB_1lox-21Puro-20: 0.5, iPS_cells:PDB_2lox-17: 0.5, iPS_cells:PDB_1lox-17Puro-10: 0.5, iPS_cells:PDB_1lox-21Puro-26: 0.5, iPS_cells:PDB_2lox-21: 0.49, iPS_cells:PDB_2lox-5: 0.49, iPS_cells:PDB_1lox-17Puro-5: 0.49 |
SKNFI_AGTAACCCATTCAGGT-1 | Neurons | 0.22 | 780.48 | Raw ScoresNeurons:adrenal_medulla_cell_line: 0.58, Neuroepithelial_cell:ESC-derived: 0.5, Astrocyte:Embryonic_stem_cell-derived: 0.49, iPS_cells:PDB_1lox-21Puro-20: 0.48, iPS_cells:PDB_2lox-22: 0.48, iPS_cells:PDB_1lox-21Puro-26: 0.48, iPS_cells:PDB_1lox-17Puro-10: 0.48, iPS_cells:PDB_2lox-17: 0.48, iPS_cells:PDB_2lox-5: 0.48, iPS_cells:PDB_2lox-21: 0.48 |
SKNFI_GGTAACTTCCGGGACT-1 | Neurons | 0.22 | 764.40 | Raw ScoresNeurons:adrenal_medulla_cell_line: 0.57, Neuroepithelial_cell:ESC-derived: 0.49, Tissue_stem_cells:CD326-CD56+: 0.48, iPS_cells:PDB_2lox-22: 0.47, iPS_cells:PDB_1lox-21Puro-20: 0.47, Astrocyte:Embryonic_stem_cell-derived: 0.47, iPS_cells:PDB_1lox-17Puro-10: 0.47, iPS_cells:fibroblast-derived:Retroviral_transf: 0.47, iPS_cells:PDB_1lox-21Puro-26: 0.47, iPS_cells:PDB_1lox-17Puro-5: 0.47 |
SKNFI_ACCCTCAGTGCCCTTT-1 | Neurons | 0.23 | 743.71 | Raw ScoresNeurons:adrenal_medulla_cell_line: 0.6, Neuroepithelial_cell:ESC-derived: 0.52, iPS_cells:PDB_1lox-21Puro-20: 0.52, iPS_cells:PDB_2lox-22: 0.52, iPS_cells:PDB_1lox-21Puro-26: 0.52, iPS_cells:PDB_1lox-17Puro-10: 0.51, iPS_cells:PDB_2lox-17: 0.51, iPS_cells:PDB_1lox-17Puro-5: 0.51, iPS_cells:PDB_2lox-21: 0.51, Astrocyte:Embryonic_stem_cell-derived: 0.51 |
SKNFI_TTGGATGCATGACTTG-1 | Neurons | 0.23 | 683.30 | Raw ScoresNeurons:adrenal_medulla_cell_line: 0.6, Neuroepithelial_cell:ESC-derived: 0.52, iPS_cells:PDB_2lox-22: 0.51, iPS_cells:PDB_1lox-21Puro-20: 0.51, iPS_cells:PDB_1lox-17Puro-10: 0.51, iPS_cells:PDB_1lox-21Puro-26: 0.51, iPS_cells:PDB_1lox-17Puro-5: 0.51, iPS_cells:PDB_2lox-17: 0.51, iPS_cells:PDB_2lox-5: 0.5, Tissue_stem_cells:CD326-CD56+: 0.5 |
SKNFI_AAACCCATCTGTCTCG-1 | Neurons | 0.22 | 677.80 | Raw ScoresNeurons:adrenal_medulla_cell_line: 0.6, Neuroepithelial_cell:ESC-derived: 0.52, iPS_cells:PDB_2lox-22: 0.5, Astrocyte:Embryonic_stem_cell-derived: 0.5, iPS_cells:PDB_1lox-21Puro-20: 0.5, Tissue_stem_cells:CD326-CD56+: 0.5, iPS_cells:PDB_2lox-17: 0.5, iPS_cells:PDB_2lox-5: 0.5, iPS_cells:PDB_1lox-21Puro-26: 0.5, iPS_cells:PDB_1lox-17Puro-10: 0.5 |
SKNFI_TGGGCTGTCATCAGTG-1 | Neurons | 0.25 | 653.35 | Raw ScoresNeurons:adrenal_medulla_cell_line: 0.6, Neuroepithelial_cell:ESC-derived: 0.52, iPS_cells:PDB_1lox-21Puro-20: 0.51, iPS_cells:PDB_1lox-21Puro-26: 0.51, iPS_cells:PDB_1lox-17Puro-10: 0.51, iPS_cells:PDB_2lox-22: 0.51, iPS_cells:PDB_1lox-17Puro-5: 0.5, iPS_cells:PDB_2lox-17: 0.5, iPS_cells:PDB_2lox-21: 0.5, iPS_cells:PDB_2lox-5: 0.5 |
SKNFI_TGAATGCTCAAGTGTC-1 | Neurons | 0.20 | 616.46 | Raw ScoresNeurons:adrenal_medulla_cell_line: 0.56, iPS_cells:PDB_2lox-22: 0.49, Neuroepithelial_cell:ESC-derived: 0.49, iPS_cells:PDB_1lox-21Puro-20: 0.49, iPS_cells:PDB_2lox-17: 0.49, iPS_cells:PDB_1lox-21Puro-26: 0.49, iPS_cells:PDB_2lox-21: 0.49, iPS_cells:PDB_1lox-17Puro-10: 0.48, Tissue_stem_cells:CD326-CD56+: 0.48, iPS_cells:fibroblast-derived:Retroviral_transf: 0.48 |
SKNFI_ATTCTTGCACAGCATT-1 | Neurons | 0.22 | 572.30 | Raw ScoresNeurons:adrenal_medulla_cell_line: 0.59, Neuroepithelial_cell:ESC-derived: 0.51, iPS_cells:PDB_2lox-22: 0.51, iPS_cells:PDB_1lox-21Puro-20: 0.51, iPS_cells:PDB_1lox-21Puro-26: 0.5, iPS_cells:PDB_1lox-17Puro-10: 0.5, iPS_cells:PDB_2lox-17: 0.5, iPS_cells:PDB_1lox-17Puro-5: 0.5, iPS_cells:PDB_2lox-21: 0.5, iPS_cells:PDB_2lox-5: 0.5 |
SKNFI_ACGGGTCCACAACGAG-1 | Neurons | 0.19 | 572.08 | Raw ScoresNeurons:adrenal_medulla_cell_line: 0.53, Neuroepithelial_cell:ESC-derived: 0.46, iPS_cells:PDB_2lox-22: 0.45, Tissue_stem_cells:CD326-CD56+: 0.45, iPS_cells:PDB_1lox-21Puro-20: 0.45, iPS_cells:fibroblast-derived:Retroviral_transf: 0.45, Astrocyte:Embryonic_stem_cell-derived: 0.45, iPS_cells:PDB_2lox-17: 0.45, iPS_cells:PDB_2lox-5: 0.45, iPS_cells:PDB_1lox-21Puro-26: 0.45 |
SKNFI_GAGGGTACATGGCCAC-1 | Neurons | 0.21 | 567.04 | Raw ScoresNeurons:adrenal_medulla_cell_line: 0.58, Neuroepithelial_cell:ESC-derived: 0.51, iPS_cells:PDB_1lox-21Puro-20: 0.51, iPS_cells:PDB_2lox-22: 0.51, iPS_cells:PDB_1lox-17Puro-10: 0.51, iPS_cells:PDB_1lox-21Puro-26: 0.51, iPS_cells:PDB_1lox-17Puro-5: 0.5, iPS_cells:fibroblast-derived:Retroviral_transf: 0.5, iPS_cells:PDB_2lox-17: 0.5, Tissue_stem_cells:CD326-CD56+: 0.5 |
SKNFI_CGTCAAAAGGCGATAC-1 | Neurons | 0.22 | 552.81 | Raw ScoresNeurons:adrenal_medulla_cell_line: 0.59, Neuroepithelial_cell:ESC-derived: 0.52, iPS_cells:PDB_1lox-21Puro-20: 0.52, iPS_cells:PDB_2lox-22: 0.52, iPS_cells:PDB_1lox-21Puro-26: 0.51, iPS_cells:PDB_1lox-17Puro-10: 0.51, iPS_cells:PDB_2lox-17: 0.51, iPS_cells:PDB_1lox-17Puro-5: 0.51, iPS_cells:PDB_2lox-21: 0.51, iPS_cells:PDB_2lox-5: 0.51 |
SKNFI_AGCGATTTCAAGCCAT-1 | Neurons | 0.24 | 548.10 | Raw ScoresNeurons:adrenal_medulla_cell_line: 0.61, Neuroepithelial_cell:ESC-derived: 0.53, iPS_cells:PDB_1lox-21Puro-20: 0.53, iPS_cells:PDB_2lox-22: 0.52, iPS_cells:PDB_1lox-21Puro-26: 0.52, iPS_cells:PDB_2lox-21: 0.52, iPS_cells:PDB_1lox-17Puro-10: 0.52, iPS_cells:PDB_2lox-17: 0.52, iPS_cells:PDB_1lox-17Puro-5: 0.52, iPS_cells:PDB_2lox-5: 0.52 |
SKNFI_CTACAGACAAGCGCAA-1 | Neurons | 0.21 | 547.77 | Raw ScoresNeurons:adrenal_medulla_cell_line: 0.55, Neuroepithelial_cell:ESC-derived: 0.49, iPS_cells:PDB_1lox-21Puro-20: 0.48, iPS_cells:PDB_2lox-22: 0.48, iPS_cells:PDB_1lox-21Puro-26: 0.48, iPS_cells:PDB_1lox-17Puro-10: 0.48, iPS_cells:PDB_1lox-17Puro-5: 0.48, iPS_cells:PDB_2lox-17: 0.48, iPS_cells:fibroblast-derived:Retroviral_transf: 0.48, Tissue_stem_cells:CD326-CD56+: 0.47 |
SKNFI_ACTATCTTCCAACTGA-1 | Neurons | 0.21 | 544.47 | Raw ScoresNeurons:adrenal_medulla_cell_line: 0.57, Neuroepithelial_cell:ESC-derived: 0.49, Astrocyte:Embryonic_stem_cell-derived: 0.49, iPS_cells:PDB_2lox-22: 0.48, iPS_cells:PDB_1lox-21Puro-20: 0.48, MSC: 0.48, Tissue_stem_cells:CD326-CD56+: 0.48, iPS_cells:PDB_1lox-21Puro-26: 0.47, Neurons:Schwann_cell: 0.47, iPS_cells:PDB_1lox-17Puro-10: 0.47 |
SKNFI_CATTCTATCATGCTAG-1 | Neurons | 0.24 | 544.33 | Raw ScoresNeurons:adrenal_medulla_cell_line: 0.57, Neuroepithelial_cell:ESC-derived: 0.49, Astrocyte:Embryonic_stem_cell-derived: 0.48, iPS_cells:PDB_1lox-21Puro-20: 0.47, iPS_cells:PDB_1lox-21Puro-26: 0.47, iPS_cells:PDB_2lox-22: 0.47, iPS_cells:PDB_1lox-17Puro-10: 0.47, iPS_cells:PDB_1lox-17Puro-5: 0.46, iPS_cells:PDB_2lox-5: 0.46, Embryonic_stem_cells: 0.46 |
SKNFI_GGGCCATGTCGCAACC-1 | Neurons | 0.22 | 537.25 | Raw ScoresNeurons:adrenal_medulla_cell_line: 0.57, Neuroepithelial_cell:ESC-derived: 0.5, iPS_cells:PDB_1lox-21Puro-20: 0.5, iPS_cells:PDB_2lox-22: 0.5, iPS_cells:PDB_1lox-21Puro-26: 0.5, iPS_cells:PDB_1lox-17Puro-10: 0.5, iPS_cells:PDB_2lox-17: 0.5, iPS_cells:PDB_2lox-21: 0.49, iPS_cells:PDB_1lox-17Puro-5: 0.49, iPS_cells:PDB_2lox-5: 0.49 |
SKNFI_CCTCATGTCACTGATG-1 | Neurons | 0.26 | 536.65 | Raw ScoresNeurons:adrenal_medulla_cell_line: 0.61, Neuroepithelial_cell:ESC-derived: 0.53, iPS_cells:PDB_1lox-21Puro-20: 0.52, iPS_cells:PDB_2lox-22: 0.52, iPS_cells:PDB_1lox-21Puro-26: 0.52, iPS_cells:PDB_1lox-17Puro-10: 0.52, iPS_cells:PDB_2lox-17: 0.51, iPS_cells:PDB_2lox-21: 0.51, iPS_cells:PDB_1lox-17Puro-5: 0.51, Tissue_stem_cells:CD326-CD56+: 0.51 |
SKNFI_CCAATTTTCGTAACAC-1 | Neurons | 0.18 | 512.56 | Raw ScoresNeurons:adrenal_medulla_cell_line: 0.54, Neuroepithelial_cell:ESC-derived: 0.48, iPS_cells:PDB_1lox-17Puro-10: 0.48, Tissue_stem_cells:CD326-CD56+: 0.48, iPS_cells:PDB_2lox-22: 0.48, iPS_cells:CRL2097_foreskin-derived:undiff.: 0.48, iPS_cells:PDB_1lox-17Puro-5: 0.48, iPS_cells:PDB_1lox-21Puro-20: 0.48, MSC: 0.48, iPS_cells:PDB_1lox-21Puro-26: 0.48 |
SKNFI_ATAGACCCAAGTGCTT-1 | Neurons | 0.21 | 507.47 | Raw ScoresNeurons:adrenal_medulla_cell_line: 0.53, Neuroepithelial_cell:ESC-derived: 0.45, Astrocyte:Embryonic_stem_cell-derived: 0.44, iPS_cells:PDB_2lox-22: 0.44, iPS_cells:PDB_1lox-17Puro-10: 0.44, iPS_cells:PDB_1lox-21Puro-20: 0.44, iPS_cells:PDB_2lox-5: 0.44, iPS_cells:PDB_2lox-17: 0.44, iPS_cells:PDB_1lox-21Puro-26: 0.44, iPS_cells:fibroblast-derived:Retroviral_transf: 0.44 |
SKNFI_AGGTTGTTCTCCCTAG-1 | Neurons | 0.22 | 476.55 | Raw ScoresNeurons:adrenal_medulla_cell_line: 0.59, Neuroepithelial_cell:ESC-derived: 0.52, iPS_cells:PDB_2lox-22: 0.51, iPS_cells:PDB_1lox-21Puro-20: 0.51, iPS_cells:PDB_1lox-21Puro-26: 0.51, iPS_cells:PDB_2lox-17: 0.5, iPS_cells:PDB_1lox-17Puro-10: 0.5, iPS_cells:PDB_2lox-21: 0.5, iPS_cells:PDB_2lox-5: 0.5, iPS_cells:fibroblast-derived:Retroviral_transf: 0.5 |
SKNFI_AGACAAACAGCGACCT-1 | Neurons | 0.23 | 467.62 | Raw ScoresNeurons:adrenal_medulla_cell_line: 0.59, Neuroepithelial_cell:ESC-derived: 0.52, iPS_cells:PDB_1lox-21Puro-20: 0.51, iPS_cells:PDB_1lox-21Puro-26: 0.51, iPS_cells:PDB_2lox-22: 0.51, iPS_cells:PDB_1lox-17Puro-10: 0.51, iPS_cells:PDB_1lox-17Puro-5: 0.5, iPS_cells:PDB_2lox-17: 0.5, iPS_cells:PDB_2lox-21: 0.5, Embryonic_stem_cells: 0.5 |
SKNFI_CGCCAGACAGACGGAT-1 | Neurons | 0.22 | 463.41 | Raw ScoresNeurons:adrenal_medulla_cell_line: 0.56, iPS_cells:PDB_2lox-22: 0.48, Neuroepithelial_cell:ESC-derived: 0.48, iPS_cells:PDB_1lox-21Puro-20: 0.47, iPS_cells:PDB_1lox-21Puro-26: 0.47, iPS_cells:PDB_1lox-17Puro-10: 0.47, iPS_cells:PDB_2lox-17: 0.47, iPS_cells:PDB_2lox-21: 0.47, Astrocyte:Embryonic_stem_cell-derived: 0.47, iPS_cells:PDB_1lox-17Puro-5: 0.47 |
SKNFI_AGAAATGGTGCGCTCA-1 | Neurons | 0.23 | 444.63 | Raw ScoresNeurons:adrenal_medulla_cell_line: 0.57, iPS_cells:PDB_1lox-21Puro-20: 0.51, Neuroepithelial_cell:ESC-derived: 0.51, iPS_cells:PDB_1lox-21Puro-26: 0.5, iPS_cells:PDB_2lox-22: 0.5, iPS_cells:PDB_1lox-17Puro-10: 0.5, iPS_cells:PDB_1lox-17Puro-5: 0.5, iPS_cells:PDB_2lox-17: 0.5, iPS_cells:PDB_2lox-21: 0.49, iPS_cells:PDB_2lox-5: 0.49 |
SKNFI_GTCCTCACAGCTCATA-1 | Neurons | 0.25 | 444.58 | Raw ScoresNeurons:adrenal_medulla_cell_line: 0.61, Neuroepithelial_cell:ESC-derived: 0.53, iPS_cells:PDB_1lox-21Puro-20: 0.52, iPS_cells:PDB_1lox-21Puro-26: 0.52, iPS_cells:PDB_2lox-22: 0.52, iPS_cells:PDB_1lox-17Puro-10: 0.52, iPS_cells:PDB_2lox-17: 0.51, iPS_cells:PDB_1lox-17Puro-5: 0.51, iPS_cells:PDB_2lox-21: 0.51, iPS_cells:PDB_2lox-5: 0.51 |
SKNFI_GGAACCCAGTAACGAT-1 | Neurons | 0.22 | 432.99 | Raw ScoresNeurons:adrenal_medulla_cell_line: 0.55, Neuroepithelial_cell:ESC-derived: 0.49, iPS_cells:PDB_2lox-22: 0.48, iPS_cells:PDB_1lox-21Puro-20: 0.48, iPS_cells:PDB_1lox-21Puro-26: 0.47, iPS_cells:PDB_1lox-17Puro-10: 0.47, iPS_cells:PDB_2lox-17: 0.47, iPS_cells:PDB_1lox-17Puro-5: 0.47, iPS_cells:PDB_2lox-5: 0.47, Tissue_stem_cells:CD326-CD56+: 0.47 |
SKNFI_AGGGTTTGTGCCGAAA-1 | Neurons | 0.24 | 423.42 | Raw ScoresNeurons:adrenal_medulla_cell_line: 0.59, Neuroepithelial_cell:ESC-derived: 0.51, iPS_cells:PDB_1lox-21Puro-20: 0.49, iPS_cells:PDB_2lox-22: 0.49, iPS_cells:PDB_1lox-17Puro-10: 0.49, Astrocyte:Embryonic_stem_cell-derived: 0.49, iPS_cells:PDB_1lox-21Puro-26: 0.49, iPS_cells:PDB_2lox-5: 0.49, iPS_cells:PDB_2lox-17: 0.49, iPS_cells:PDB_2lox-21: 0.49 |
SKNFI_GAGCTGCTCTACGGTA-1 | Neurons | 0.22 | 416.01 | Raw ScoresNeurons:adrenal_medulla_cell_line: 0.55, Neuroepithelial_cell:ESC-derived: 0.49, iPS_cells:PDB_1lox-21Puro-20: 0.48, iPS_cells:PDB_1lox-21Puro-26: 0.48, iPS_cells:PDB_1lox-17Puro-10: 0.48, iPS_cells:PDB_2lox-22: 0.48, iPS_cells:PDB_1lox-17Puro-5: 0.48, iPS_cells:PDB_2lox-17: 0.47, iPS_cells:PDB_2lox-21: 0.47, iPS_cells:fibroblast-derived:Retroviral_transf: 0.47 |
SKNFI_TCGTAGAGTTAAGGAT-1 | Neurons | 0.19 | 410.44 | Raw ScoresNeurons:adrenal_medulla_cell_line: 0.52, iPS_cells:PDB_2lox-22: 0.45, Neuroepithelial_cell:ESC-derived: 0.45, iPS_cells:PDB_2lox-17: 0.45, iPS_cells:PDB_1lox-21Puro-20: 0.45, Tissue_stem_cells:CD326-CD56+: 0.45, iPS_cells:PDB_1lox-17Puro-10: 0.45, iPS_cells:PDB_2lox-21: 0.44, iPS_cells:adipose_stem_cell-derived:minicircle-derived: 0.44, iPS_cells:PDB_1lox-21Puro-26: 0.44 |
SKNFI_CTACTATTCACCATCC-1 | Neurons | 0.21 | 402.63 | Raw ScoresNeurons:adrenal_medulla_cell_line: 0.56, Neuroepithelial_cell:ESC-derived: 0.5, iPS_cells:PDB_1lox-21Puro-20: 0.5, iPS_cells:PDB_2lox-22: 0.5, iPS_cells:PDB_1lox-21Puro-26: 0.5, iPS_cells:PDB_1lox-17Puro-10: 0.5, iPS_cells:PDB_1lox-17Puro-5: 0.49, iPS_cells:PDB_2lox-17: 0.49, iPS_cells:PDB_2lox-21: 0.49, iPS_cells:PDB_2lox-5: 0.49 |
SKNFI_AGAACAAGTTAACCTG-1 | Neurons | 0.26 | 398.22 | Raw ScoresNeurons:adrenal_medulla_cell_line: 0.62, Neuroepithelial_cell:ESC-derived: 0.53, iPS_cells:PDB_1lox-21Puro-20: 0.52, iPS_cells:PDB_2lox-22: 0.52, iPS_cells:PDB_1lox-21Puro-26: 0.51, iPS_cells:PDB_1lox-17Puro-10: 0.51, iPS_cells:PDB_2lox-17: 0.51, iPS_cells:PDB_2lox-21: 0.51, iPS_cells:PDB_1lox-17Puro-5: 0.51, iPS_cells:PDB_2lox-5: 0.51 |
SKNFI_GATTGGTGTAGTTACC-1 | Neurons | 0.22 | 371.63 | Raw ScoresNeurons:adrenal_medulla_cell_line: 0.57, Neuroepithelial_cell:ESC-derived: 0.5, iPS_cells:PDB_2lox-22: 0.49, iPS_cells:PDB_1lox-21Puro-20: 0.49, iPS_cells:PDB_1lox-21Puro-26: 0.49, iPS_cells:PDB_1lox-17Puro-10: 0.49, iPS_cells:PDB_2lox-17: 0.49, iPS_cells:PDB_2lox-5: 0.49, iPS_cells:PDB_1lox-17Puro-5: 0.49, Astrocyte:Embryonic_stem_cell-derived: 0.49 |
SKNFI_ACATCCCCAGGTTCGC-1 | Neurons | 0.25 | 370.54 | Raw ScoresNeurons:adrenal_medulla_cell_line: 0.58, iPS_cells:PDB_1lox-21Puro-20: 0.5, Neuroepithelial_cell:ESC-derived: 0.5, iPS_cells:PDB_1lox-21Puro-26: 0.5, iPS_cells:PDB_2lox-22: 0.5, iPS_cells:PDB_1lox-17Puro-10: 0.5, iPS_cells:PDB_1lox-17Puro-5: 0.5, iPS_cells:PDB_2lox-17: 0.49, iPS_cells:PDB_2lox-21: 0.49, iPS_cells:PDB_2lox-5: 0.49 |
SKNFI_ACCATTTTCGCCTCTA-1 | Neurons | 0.27 | 369.80 | Raw ScoresNeurons:adrenal_medulla_cell_line: 0.63, Neuroepithelial_cell:ESC-derived: 0.54, iPS_cells:PDB_1lox-21Puro-20: 0.53, iPS_cells:PDB_1lox-21Puro-26: 0.52, iPS_cells:PDB_1lox-17Puro-10: 0.52, iPS_cells:PDB_2lox-22: 0.52, Astrocyte:Embryonic_stem_cell-derived: 0.52, iPS_cells:PDB_1lox-17Puro-5: 0.52, iPS_cells:PDB_2lox-21: 0.51, iPS_cells:PDB_2lox-17: 0.51 |
SKNFI_TGGTACAAGCTGAAGC-1 | Neurons | 0.25 | 362.15 | Raw ScoresNeurons:adrenal_medulla_cell_line: 0.61, Neuroepithelial_cell:ESC-derived: 0.53, iPS_cells:PDB_1lox-21Puro-20: 0.52, iPS_cells:PDB_1lox-21Puro-26: 0.52, iPS_cells:PDB_2lox-22: 0.52, iPS_cells:PDB_1lox-17Puro-10: 0.52, iPS_cells:PDB_1lox-17Puro-5: 0.51, iPS_cells:PDB_2lox-17: 0.51, iPS_cells:PDB_2lox-21: 0.51, iPS_cells:PDB_2lox-5: 0.5 |
SKNFI_AGTACCAGTGCTAGCC-1 | Neurons | 0.22 | 356.51 | Raw ScoresNeurons:adrenal_medulla_cell_line: 0.56, Neuroepithelial_cell:ESC-derived: 0.49, iPS_cells:PDB_1lox-21Puro-20: 0.48, iPS_cells:PDB_2lox-22: 0.48, iPS_cells:PDB_1lox-21Puro-26: 0.48, iPS_cells:PDB_1lox-17Puro-10: 0.48, iPS_cells:PDB_2lox-21: 0.47, iPS_cells:PDB_1lox-17Puro-5: 0.47, iPS_cells:PDB_2lox-17: 0.47, iPS_cells:PDB_2lox-5: 0.47 |
SKNFI_TCAAGTGGTGATCGTT-1 | Neurons | 0.20 | 349.94 | Raw ScoresNeurons:adrenal_medulla_cell_line: 0.52, iPS_cells:PDB_2lox-22: 0.46, Neuroepithelial_cell:ESC-derived: 0.46, iPS_cells:PDB_1lox-21Puro-20: 0.46, iPS_cells:PDB_1lox-17Puro-10: 0.46, iPS_cells:PDB_1lox-21Puro-26: 0.46, iPS_cells:PDB_2lox-17: 0.45, iPS_cells:PDB_2lox-21: 0.45, iPS_cells:PDB_1lox-17Puro-5: 0.45, iPS_cells:PDB_2lox-5: 0.45 |
SKNFI_CATCGGGGTATGTCCA-1 | Neurons | 0.25 | 348.70 | Raw ScoresNeurons:adrenal_medulla_cell_line: 0.61, Neuroepithelial_cell:ESC-derived: 0.53, iPS_cells:PDB_2lox-22: 0.52, iPS_cells:PDB_1lox-21Puro-20: 0.52, Astrocyte:Embryonic_stem_cell-derived: 0.51, iPS_cells:PDB_1lox-21Puro-26: 0.51, iPS_cells:PDB_1lox-17Puro-10: 0.51, iPS_cells:PDB_2lox-21: 0.51, iPS_cells:PDB_2lox-17: 0.51, iPS_cells:PDB_1lox-17Puro-5: 0.51 |
SKNFI_CGCGTGAGTTGCCGAC-1 | Neurons | 0.21 | 348.57 | Raw ScoresNeurons:adrenal_medulla_cell_line: 0.56, Neuroepithelial_cell:ESC-derived: 0.49, iPS_cells:PDB_1lox-21Puro-20: 0.48, iPS_cells:PDB_1lox-17Puro-10: 0.48, iPS_cells:PDB_2lox-22: 0.48, iPS_cells:PDB_1lox-21Puro-26: 0.48, iPS_cells:PDB_2lox-17: 0.47, iPS_cells:PDB_1lox-17Puro-5: 0.47, iPS_cells:PDB_2lox-5: 0.47, iPS_cells:PDB_2lox-21: 0.47 |
SKNFI_ACGATGTCACGGTGCT-1 | Neurons | 0.24 | 340.31 | Raw ScoresNeurons:adrenal_medulla_cell_line: 0.6, Neuroepithelial_cell:ESC-derived: 0.52, iPS_cells:PDB_1lox-21Puro-20: 0.5, iPS_cells:PDB_2lox-22: 0.5, iPS_cells:PDB_1lox-21Puro-26: 0.5, iPS_cells:PDB_1lox-17Puro-10: 0.5, Astrocyte:Embryonic_stem_cell-derived: 0.5, iPS_cells:PDB_1lox-17Puro-5: 0.5, iPS_cells:PDB_2lox-21: 0.5, iPS_cells:PDB_2lox-17: 0.5 |
SKNFI_TGGATCATCCCATTTA-1 | Neurons | 0.27 | 336.52 | Raw ScoresNeurons:adrenal_medulla_cell_line: 0.61, Neuroepithelial_cell:ESC-derived: 0.53, iPS_cells:PDB_1lox-21Puro-20: 0.51, iPS_cells:PDB_2lox-22: 0.51, iPS_cells:PDB_1lox-21Puro-26: 0.51, iPS_cells:PDB_1lox-17Puro-10: 0.51, Astrocyte:Embryonic_stem_cell-derived: 0.51, iPS_cells:PDB_2lox-21: 0.51, iPS_cells:PDB_1lox-17Puro-5: 0.51, iPS_cells:PDB_2lox-17: 0.5 |
SKNFI_GGGCTACAGCTCATAC-1 | Neurons | 0.26 | 334.16 | Raw ScoresNeurons:adrenal_medulla_cell_line: 0.61, Neuroepithelial_cell:ESC-derived: 0.53, iPS_cells:PDB_1lox-21Puro-20: 0.52, iPS_cells:PDB_1lox-21Puro-26: 0.52, iPS_cells:PDB_2lox-22: 0.52, iPS_cells:PDB_1lox-17Puro-10: 0.51, iPS_cells:PDB_2lox-17: 0.51, iPS_cells:PDB_1lox-17Puro-5: 0.51, iPS_cells:PDB_2lox-21: 0.51, iPS_cells:PDB_2lox-5: 0.5 |
SKNFI_TCACTCGTCGAGAATA-1 | Neurons | 0.15 | 331.15 | Raw ScoresNeurons:adrenal_medulla_cell_line: 0.51, iPS_cells:iPS:minicircle-derived: 0.46, iPS_cells:adipose_stem_cell-derived:minicircle-derived: 0.46, iPS_cells:PDB_2lox-22: 0.45, iPS_cells:adipose_stem_cell-derived:lentiviral: 0.45, Neuroepithelial_cell:ESC-derived: 0.45, iPS_cells:skin_fibroblast-derived: 0.45, Tissue_stem_cells:CD326-CD56+: 0.45, MSC: 0.45, iPS_cells:fibroblast-derived:Retroviral_transf: 0.45 |
SKNFI_GTAACACCACCCAACG-1 | Neurons | 0.26 | 328.46 | Raw ScoresNeurons:adrenal_medulla_cell_line: 0.62, Neuroepithelial_cell:ESC-derived: 0.53, iPS_cells:PDB_1lox-21Puro-20: 0.52, iPS_cells:PDB_1lox-21Puro-26: 0.52, iPS_cells:PDB_2lox-22: 0.52, iPS_cells:PDB_1lox-17Puro-10: 0.52, iPS_cells:PDB_2lox-17: 0.51, Astrocyte:Embryonic_stem_cell-derived: 0.51, iPS_cells:PDB_1lox-17Puro-5: 0.51, iPS_cells:PDB_2lox-5: 0.51 |
SKNFI_TTGGTTTTCTGGGCCA-1 | Neurons | 0.21 | 318.36 | Raw ScoresNeurons:adrenal_medulla_cell_line: 0.56, Neuroepithelial_cell:ESC-derived: 0.49, iPS_cells:PDB_2lox-22: 0.48, iPS_cells:PDB_1lox-21Puro-20: 0.48, iPS_cells:PDB_1lox-21Puro-26: 0.48, iPS_cells:PDB_2lox-17: 0.48, iPS_cells:PDB_1lox-17Puro-10: 0.48, iPS_cells:PDB_2lox-21: 0.48, iPS_cells:PDB_1lox-17Puro-5: 0.48, iPS_cells:PDB_2lox-5: 0.48 |
SKNFI_TGAGGGAAGTTCCGGC-1 | Neurons | 0.21 | 316.13 | Raw ScoresNeurons:adrenal_medulla_cell_line: 0.55, iPS_cells:PDB_1lox-21Puro-26: 0.49, iPS_cells:PDB_1lox-21Puro-20: 0.49, iPS_cells:PDB_2lox-22: 0.49, iPS_cells:PDB_1lox-17Puro-10: 0.49, iPS_cells:PDB_2lox-17: 0.49, iPS_cells:PDB_1lox-17Puro-5: 0.49, Neuroepithelial_cell:ESC-derived: 0.49, iPS_cells:PDB_2lox-21: 0.49, iPS_cells:PDB_2lox-5: 0.48 |
SKNFI_TTCTGTATCGGCCTTT-1 | Neurons | 0.23 | 315.95 | Raw ScoresNeurons:adrenal_medulla_cell_line: 0.56, Neuroepithelial_cell:ESC-derived: 0.49, iPS_cells:PDB_2lox-22: 0.49, iPS_cells:PDB_1lox-21Puro-20: 0.48, iPS_cells:PDB_1lox-21Puro-26: 0.48, iPS_cells:PDB_2lox-17: 0.48, iPS_cells:PDB_2lox-21: 0.48, iPS_cells:PDB_1lox-17Puro-10: 0.48, iPS_cells:PDB_2lox-5: 0.48, iPS_cells:PDB_1lox-17Puro-5: 0.47 |
SKNFI_TCCAGAAGTTCATCGA-1 | Neurons | 0.22 | 306.20 | Raw ScoresNeurons:adrenal_medulla_cell_line: 0.58, Neuroepithelial_cell:ESC-derived: 0.5, iPS_cells:PDB_2lox-22: 0.49, iPS_cells:PDB_1lox-21Puro-20: 0.49, iPS_cells:PDB_2lox-17: 0.49, iPS_cells:PDB_2lox-21: 0.49, iPS_cells:PDB_1lox-17Puro-10: 0.49, iPS_cells:PDB_1lox-21Puro-26: 0.49, Tissue_stem_cells:CD326-CD56+: 0.48, iPS_cells:PDB_1lox-17Puro-5: 0.48 |
SKNFI_CCCTCTCTCATGGGAG-1 | Neurons | 0.18 | 304.73 | Raw ScoresNeurons:adrenal_medulla_cell_line: 0.53, iPS_cells:adipose_stem_cell-derived:minicircle-derived: 0.47, Neuroepithelial_cell:ESC-derived: 0.47, iPS_cells:PDB_2lox-22: 0.47, iPS_cells:iPS:minicircle-derived: 0.47, iPS_cells:fibroblast-derived:Retroviral_transf: 0.47, iPS_cells:PDB_1lox-21Puro-20: 0.47, iPS_cells:PDB_1lox-17Puro-10: 0.47, Tissue_stem_cells:CD326-CD56+: 0.47, iPS_cells:PDB_2lox-17: 0.47 |
Below shows the significant enrichments of this GEP for literature curated gene lists
This data was procured from existing single cell RNA-seq maps of neuroblastoma or related relevant data.
High ranks indicate this gene is a driver of this GEP.
These curated gene list are ranked by the P-value (on this GEP) of their constituent genes.
The Mean Count column shows the mean read count in cells scoring highly (H > 50) on this gene expression program.
Genes | Weight | Rank | GTEx | DepMap | Decartes | Mean.Counts | Mean.TPM |
---|---|---|---|---|---|---|---|
BASP1 | 0.0029505 | 137 | GTEx | DepMap | Descartes | 24.60 | 554.45 |
CCND1 | 0.0025454 | 196 | GTEx | DepMap | Descartes | 71.25 | 663.44 |
NEFL | 0.0019958 | 330 | GTEx | DepMap | Descartes | 19.35 | 204.03 |
STMN1 | 0.0014139 | 587 | GTEx | DepMap | Descartes | 105.24 | 1381.70 |
RTN1 | 0.0011875 | 752 | GTEx | DepMap | Descartes | 9.84 | 113.41 |
ISL1 | 0.0011776 | 766 | GTEx | DepMap | Descartes | 12.01 | 190.09 |
ELAVL4 | 0.0011694 | 773 | GTEx | DepMap | Descartes | 18.79 | 182.45 |
NEFM | 0.0007839 | 1344 | GTEx | DepMap | Descartes | 10.86 | 124.62 |
ELAVL3 | 0.0002612 | 3266 | GTEx | DepMap | Descartes | 7.46 | 55.96 |
INA | 0.0002591 | 3278 | GTEx | DepMap | Descartes | 5.40 | 61.01 |
STMN2 | -0.0011434 | 12496 | GTEx | DepMap | Descartes | 10.91 | 183.16 |
Adrenergic Fig 1D (Olsen)
Similar to above, but for selected adrenergic marker genes:
Wilcoxon ranksum test P-value for gene set overrepresentation: 1.55e-03
Mean rank of genes in gene set: 3045.18
Rank on gene expression program of genes in gene set:
Genes | Weight | Rank | GTEx | DepMap | Decartes | Mean.Counts | Mean.TPM |
---|---|---|---|---|---|---|---|
MAP1B | 0.0033377 | 106 | GTEx | DepMap | Descartes | 57.78 | 198.04 |
NRG1 | 0.0020010 | 328 | GTEx | DepMap | Descartes | 2.41 | 8.22 |
RTN1 | 0.0011875 | 752 | GTEx | DepMap | Descartes | 9.84 | 113.41 |
ISL1 | 0.0011776 | 766 | GTEx | DepMap | Descartes | 12.01 | 190.09 |
ELAVL4 | 0.0011694 | 773 | GTEx | DepMap | Descartes | 18.79 | 182.45 |
DBH | 0.0010739 | 893 | GTEx | DepMap | Descartes | 10.08 | 135.40 |
UCHL1 | 0.0009757 | 1011 | GTEx | DepMap | Descartes | 36.09 | 881.38 |
MLLT11 | 0.0009389 | 1064 | GTEx | DepMap | Descartes | 23.12 | 340.34 |
RGS5 | 0.0002940 | 3082 | GTEx | DepMap | Descartes | 64.10 | 437.46 |
TH | -0.0007047 | 12226 | GTEx | DepMap | Descartes | 0.16 | 2.13 |
STMN2 | -0.0011434 | 12496 | GTEx | DepMap | Descartes | 10.91 | 183.16 |
Proteasomal degradation (Kinker)
These marker genes were obtained in a pan cancer cell lines NMF analysis of scRNA-eq data in Kinker et al (PMID 33128048) - 10 metaprograms were recovered that manifest across cancers, this is for proteasomal degradataion:
Wilcoxon ranksum test P-value for gene set overrepresentation: 3.02e-03
Mean rank of genes in gene set: 1826.8
Rank on gene expression program of genes in gene set:
Genes | Weight | Rank | GTEx | DepMap | Decartes | Mean.Counts | Mean.TPM |
---|---|---|---|---|---|---|---|
PSME2 | 0.0038652 | 72 | GTEx | DepMap | Descartes | 16.90 | 247.11 |
PSMA3 | 0.0017733 | 409 | GTEx | DepMap | Descartes | 12.70 | 419.15 |
PSMC2 | 0.0007942 | 1324 | GTEx | DepMap | Descartes | 4.90 | 66.92 |
PSMB3 | 0.0006182 | 1743 | GTEx | DepMap | Descartes | 18.60 | 954.36 |
PSMA4 | 0.0000157 | 5586 | GTEx | DepMap | Descartes | 16.59 | 147.88 |
Below shows ranks on this GEP for literature curated gene lists for large gene sets
These include those reported as mesenchymal/adrenergic by Van Groningen et al.
High ranks indicate this gene is a driver of this GEP (note these results are not ordered).
The Mean Count column shows the mean read count in cells scoring highly (H > 50) on this gene expression program.
VanGroningen Adrenergic Genes
Adrenergic marker genes from Supplementary Table 2 of Van Groningen et al. Nature Genetics 2017. These genes were identified by differential expression analysis of mesenchymal-like and adrenergic-like neuroblastoma cell lines.
Wilcoxon ranksum test P-value for gene set overrepresentation: 8.06e-01
Mean rank of genes in gene set: 6451.85
Median rank of genes in gene set: 5948
Rank on gene expression program of top 30 genes in gene set:
Genes | Weight | Rank | GTEx | DepMap | Descartes | Mean.Counts | Mean.TPM |
---|---|---|---|---|---|---|---|
HAND1 | 0.0089697 | 7 | GTEx | DepMap | Descartes | 26.78 | 651.53 |
NPY | 0.0078635 | 12 | GTEx | DepMap | Descartes | 218.14 | 11974.16 |
GLRX | 0.0058048 | 31 | GTEx | DepMap | Descartes | 16.09 | 177.67 |
DPYSL3 | 0.0041665 | 61 | GTEx | DepMap | Descartes | 9.24 | 70.54 |
CADM1 | 0.0037335 | 81 | GTEx | DepMap | Descartes | 12.52 | 60.51 |
MAP1B | 0.0033377 | 106 | GTEx | DepMap | Descartes | 57.78 | 198.04 |
HEY1 | 0.0031793 | 116 | GTEx | DepMap | Descartes | 3.56 | 38.94 |
MYRIP | 0.0027782 | 161 | GTEx | DepMap | Descartes | 3.99 | 31.02 |
GAL | 0.0027078 | 167 | GTEx | DepMap | Descartes | 151.99 | 7640.13 |
CCND1 | 0.0025454 | 196 | GTEx | DepMap | Descartes | 71.25 | 663.44 |
SYT1 | 0.0023494 | 233 | GTEx | DepMap | Descartes | 56.34 | 449.13 |
QDPR | 0.0023350 | 236 | GTEx | DepMap | Descartes | 10.97 | 291.44 |
RET | 0.0023260 | 237 | GTEx | DepMap | Descartes | 7.25 | 54.63 |
DLK1 | 0.0022461 | 260 | GTEx | DepMap | Descartes | 83.68 | 653.08 |
INO80C | 0.0021854 | 278 | GTEx | DepMap | Descartes | 3.04 | 36.49 |
DUSP4 | 0.0020360 | 316 | GTEx | DepMap | Descartes | 18.69 | 130.90 |
KIF2A | 0.0020204 | 319 | GTEx | DepMap | Descartes | 11.75 | 58.20 |
NEFL | 0.0019958 | 330 | GTEx | DepMap | Descartes | 19.35 | 204.03 |
TMOD1 | 0.0019545 | 344 | GTEx | DepMap | Descartes | 11.03 | 134.44 |
GATA2 | 0.0018559 | 380 | GTEx | DepMap | Descartes | 21.75 | 248.20 |
TMEM178B | 0.0017315 | 422 | GTEx | DepMap | Descartes | 1.92 | NA |
KIF21A | 0.0017206 | 430 | GTEx | DepMap | Descartes | 45.33 | 265.06 |
TUBB2A | 0.0017103 | 435 | GTEx | DepMap | Descartes | 10.09 | 249.41 |
LSM4 | 0.0016059 | 468 | GTEx | DepMap | Descartes | 29.91 | 655.79 |
ARL6IP1 | 0.0015686 | 485 | GTEx | DepMap | Descartes | 24.42 | 423.74 |
NANOS1 | 0.0015671 | 486 | GTEx | DepMap | Descartes | 1.63 | 16.64 |
MARCH11 | 0.0015132 | 517 | GTEx | DepMap | Descartes | 7.41 | NA |
RGS17 | 0.0014936 | 533 | GTEx | DepMap | Descartes | 2.15 | 11.10 |
SEC11C | 0.0014703 | 554 | GTEx | DepMap | Descartes | 8.05 | 146.14 |
GCH1 | 0.0014588 | 562 | GTEx | DepMap | Descartes | 2.27 | 32.04 |
VanGroningen Mesenchymal Genes
Mesenchymal marker genes from Supplementary Table 2 of Van Groningen et al. Nature Genetics 2017. These genes were identified by differential expression analysis of mesenchymal-like and adrenergic-like neuroblastoma cell lines.
Wilcoxon ranksum test P-value for gene set overrepresentation: 1.00e+00
Mean rank of genes in gene set: 7375.16
Median rank of genes in gene set: 8542
Rank on gene expression program of top 30 genes in gene set:
Genes | Weight | Rank | GTEx | DepMap | Descartes | Mean.Counts | Mean.TPM |
---|---|---|---|---|---|---|---|
PTN | 0.0106498 | 4 | GTEx | DepMap | Descartes | 53.26 | 1420.57 |
SFT2D1 | 0.0037921 | 74 | GTEx | DepMap | Descartes | 5.61 | 91.14 |
DUSP5 | 0.0032715 | 112 | GTEx | DepMap | Descartes | 1.49 | 27.27 |
ACTN1 | 0.0031102 | 120 | GTEx | DepMap | Descartes | 9.02 | 77.92 |
PON2 | 0.0028287 | 150 | GTEx | DepMap | Descartes | 3.81 | 83.40 |
PDLIM1 | 0.0027877 | 158 | GTEx | DepMap | Descartes | 2.96 | 88.02 |
ID3 | 0.0026527 | 177 | GTEx | DepMap | Descartes | 29.18 | 1263.52 |
TXNDC12 | 0.0026108 | 181 | GTEx | DepMap | Descartes | 9.54 | 269.88 |
CILP | 0.0025802 | 188 | GTEx | DepMap | Descartes | 0.10 | 0.52 |
CCDC80 | 0.0024889 | 211 | GTEx | DepMap | Descartes | 3.78 | 13.09 |
SYNJ2 | 0.0024798 | 213 | GTEx | DepMap | Descartes | 2.09 | 11.07 |
LMNA | 0.0023592 | 231 | GTEx | DepMap | Descartes | 17.74 | 240.20 |
FUCA2 | 0.0021921 | 271 | GTEx | DepMap | Descartes | 3.44 | 61.75 |
FAM3C | 0.0021862 | 277 | GTEx | DepMap | Descartes | 8.60 | 142.63 |
NFIA | 0.0021562 | 283 | GTEx | DepMap | Descartes | 6.04 | 5.56 |
CREG1 | 0.0020234 | 318 | GTEx | DepMap | Descartes | 1.67 | 36.34 |
DDOST | 0.0020117 | 325 | GTEx | DepMap | Descartes | 9.46 | 186.66 |
CD164 | 0.0019592 | 341 | GTEx | DepMap | Descartes | 6.49 | 54.38 |
ITPR1 | 0.0018515 | 381 | GTEx | DepMap | Descartes | 3.00 | 11.76 |
B2M | 0.0018498 | 383 | GTEx | DepMap | Descartes | 53.66 | 868.54 |
MYL12B | 0.0018132 | 396 | GTEx | DepMap | Descartes | 20.81 | 681.57 |
SPRY4 | 0.0017960 | 400 | GTEx | DepMap | Descartes | 2.51 | 19.68 |
PRCP | 0.0017795 | 405 | GTEx | DepMap | Descartes | 2.90 | 16.43 |
CPED1 | 0.0017589 | 414 | GTEx | DepMap | Descartes | 0.68 | NA |
ARHGEF40 | 0.0016960 | 437 | GTEx | DepMap | Descartes | 2.19 | 14.68 |
CD44 | 0.0016759 | 445 | GTEx | DepMap | Descartes | 3.63 | 27.75 |
ARL1 | 0.0015857 | 477 | GTEx | DepMap | Descartes | 6.42 | 77.77 |
CSRP1 | 0.0015784 | 481 | GTEx | DepMap | Descartes | 3.09 | 15.58 |
INSIG1 | 0.0015614 | 492 | GTEx | DepMap | Descartes | 1.88 | 27.21 |
CLIC4 | 0.0013540 | 628 | GTEx | DepMap | Descartes | 5.37 | 52.71 |
Descartes adrenocortical markers
Top 50 marker genes of adrenocortical cells in the Decartes fetal adrenal single cell map (https://atlas.brotmanbaty.org/bbi/human-gene-expression-during-development/cell/adrenocortical/in/adrenal)
Wilcoxon ranksum test P-value for gene set overrepresentation: 4.09e-01
Mean rank of genes in gene set: 6135.97
Median rank of genes in gene set: 4737
Rank on gene expression program of top 30 genes in gene set:
Genes | Weight | Rank | GTEx | DepMap | Descartes | Mean.Counts | Mean.TPM |
---|---|---|---|---|---|---|---|
CLU | 0.0037355 | 80 | GTEx | DepMap | Descartes | 15.40 | 218.40 |
GRAMD1B | 0.0019089 | 361 | GTEx | DepMap | Descartes | 1.14 | 6.02 |
APOC1 | 0.0013778 | 611 | GTEx | DepMap | Descartes | 1.38 | 73.43 |
PDE10A | 0.0011795 | 761 | GTEx | DepMap | Descartes | 1.76 | 8.95 |
STAR | 0.0010649 | 898 | GTEx | DepMap | Descartes | 0.20 | 2.66 |
HMGCR | 0.0009267 | 1094 | GTEx | DepMap | Descartes | 4.46 | 44.08 |
INHA | 0.0008278 | 1273 | GTEx | DepMap | Descartes | 0.12 | 3.27 |
SH3BP5 | 0.0008258 | 1276 | GTEx | DepMap | Descartes | 1.76 | 23.08 |
HMGCS1 | 0.0006034 | 1777 | GTEx | DepMap | Descartes | 3.27 | 26.84 |
FDX1 | 0.0004206 | 2450 | GTEx | DepMap | Descartes | 3.39 | 40.19 |
MSMO1 | 0.0003774 | 2656 | GTEx | DepMap | Descartes | 2.75 | 54.45 |
JAKMIP2 | 0.0002321 | 3464 | GTEx | DepMap | Descartes | 2.63 | 10.90 |
ERN1 | 0.0002197 | 3561 | GTEx | DepMap | Descartes | 0.36 | 1.83 |
POR | 0.0002174 | 3575 | GTEx | DepMap | Descartes | 1.53 | 25.24 |
SCAP | 0.0001649 | 3977 | GTEx | DepMap | Descartes | 0.97 | 8.19 |
PEG3 | 0.0001512 | 4085 | GTEx | DepMap | Descartes | 1.53 | NA |
NPC1 | 0.0001385 | 4213 | GTEx | DepMap | Descartes | 0.37 | 3.18 |
CYB5B | 0.0000999 | 4580 | GTEx | DepMap | Descartes | 3.51 | 32.61 |
DHCR7 | 0.0000718 | 4894 | GTEx | DepMap | Descartes | 0.88 | 13.81 |
DHCR24 | -0.0000660 | 7351 | GTEx | DepMap | Descartes | 1.58 | 12.13 |
FREM2 | -0.0000757 | 7569 | GTEx | DepMap | Descartes | 0.00 | 0.00 |
SGCZ | -0.0000835 | 7749 | GTEx | DepMap | Descartes | 0.00 | 0.00 |
TM7SF2 | -0.0001247 | 8572 | GTEx | DepMap | Descartes | 1.79 | 31.79 |
DNER | -0.0001368 | 8781 | GTEx | DepMap | Descartes | 0.20 | 3.26 |
SLC1A2 | -0.0002417 | 10213 | GTEx | DepMap | Descartes | 0.00 | 0.00 |
FRMD5 | -0.0002627 | 10409 | GTEx | DepMap | Descartes | 0.09 | 0.83 |
FDXR | -0.0002707 | 10508 | GTEx | DepMap | Descartes | 0.91 | 13.75 |
BAIAP2L1 | -0.0003080 | 10838 | GTEx | DepMap | Descartes | 0.00 | 0.00 |
GSTA4 | -0.0003491 | 11132 | GTEx | DepMap | Descartes | 1.46 | 33.09 |
PAPSS2 | -0.0003654 | 11230 | GTEx | DepMap | Descartes | 0.04 | 0.43 |
Descartes chromaffin markers
Top 50 marker genes of chromaffin cells in the Decartes fetal adrenal single cell map (https://atlas.brotmanbaty.org/bbi/human-gene-expression-during-development/cell/chromaffin/in/adrenal)
Wilcoxon ranksum test P-value for gene set overrepresentation: 3.88e-01
Mean rank of genes in gene set: 6114.05
Median rank of genes in gene set: 7125
Rank on gene expression program of top 30 genes in gene set:
Genes | Weight | Rank | GTEx | DepMap | Descartes | Mean.Counts | Mean.TPM |
---|---|---|---|---|---|---|---|
NPY | 0.0078635 | 12 | GTEx | DepMap | Descartes | 218.14 | 11974.16 |
PLXNA4 | 0.0045755 | 43 | GTEx | DepMap | Descartes | 4.22 | 12.63 |
MAP1B | 0.0033377 | 106 | GTEx | DepMap | Descartes | 57.78 | 198.04 |
BASP1 | 0.0029505 | 137 | GTEx | DepMap | Descartes | 24.60 | 554.45 |
GAL | 0.0027078 | 167 | GTEx | DepMap | Descartes | 151.99 | 7640.13 |
TUBA1A | 0.0025717 | 191 | GTEx | DepMap | Descartes | 119.55 | 2474.96 |
CCND1 | 0.0025454 | 196 | GTEx | DepMap | Descartes | 71.25 | 663.44 |
TUBB2A | 0.0017103 | 435 | GTEx | DepMap | Descartes | 10.09 | 249.41 |
MARCH11 | 0.0015132 | 517 | GTEx | DepMap | Descartes | 7.41 | NA |
TUBB2B | 0.0013251 | 653 | GTEx | DepMap | Descartes | 20.63 | 448.39 |
ISL1 | 0.0011776 | 766 | GTEx | DepMap | Descartes | 12.01 | 190.09 |
MLLT11 | 0.0009389 | 1064 | GTEx | DepMap | Descartes | 23.12 | 340.34 |
CNTFR | 0.0006238 | 1734 | GTEx | DepMap | Descartes | 3.36 | 61.92 |
GAP43 | 0.0003984 | 2543 | GTEx | DepMap | Descartes | 11.06 | 209.16 |
NTRK1 | 0.0003686 | 2700 | GTEx | DepMap | Descartes | 0.82 | 11.10 |
SYNPO2 | 0.0002712 | 3211 | GTEx | DepMap | Descartes | 10.77 | 26.31 |
RPH3A | 0.0002702 | 3221 | GTEx | DepMap | Descartes | 0.91 | 5.90 |
RGMB | 0.0002387 | 3425 | GTEx | DepMap | Descartes | 1.57 | 12.96 |
HS3ST5 | 0.0000886 | 4705 | GTEx | DepMap | Descartes | 0.58 | 5.47 |
ANKFN1 | -0.0000548 | 7087 | GTEx | DepMap | Descartes | 0.00 | 0.00 |
MAB21L2 | -0.0000562 | 7125 | GTEx | DepMap | Descartes | 3.86 | 59.27 |
REEP1 | -0.0001093 | 8288 | GTEx | DepMap | Descartes | 0.22 | 1.89 |
GREM1 | -0.0001157 | 8408 | GTEx | DepMap | Descartes | 0.28 | 0.58 |
PTCHD1 | -0.0001408 | 8844 | GTEx | DepMap | Descartes | 0.01 | 0.02 |
EPHA6 | -0.0001726 | 9313 | GTEx | DepMap | Descartes | 0.00 | 0.12 |
TMEM132C | -0.0001861 | 9526 | GTEx | DepMap | Descartes | 0.05 | 0.34 |
ALK | -0.0001892 | 9564 | GTEx | DepMap | Descartes | 0.42 | 2.59 |
RBFOX1 | -0.0002135 | 9884 | GTEx | DepMap | Descartes | 0.26 | 1.92 |
KCNB2 | -0.0002366 | 10149 | GTEx | DepMap | Descartes | 0.03 | 0.29 |
EYA1 | -0.0002492 | 10293 | GTEx | DepMap | Descartes | 0.90 | 7.77 |
Descartes Vascular_endothelial markers
Top 50 marker genes of Vascular_endothelial cells in the Decartes fetal adrenal single cell map (https://atlas.brotmanbaty.org/bbi/human-gene-expression-during-development/cell/vascular_endothelial/in/adrenal)
Wilcoxon ranksum test P-value for gene set overrepresentation: 9.73e-01
Mean rank of genes in gene set: 7403.68
Median rank of genes in gene set: 7394.5
Rank on gene expression program of top 30 genes in gene set:
Genes | Weight | Rank | GTEx | DepMap | Descartes | Mean.Counts | Mean.TPM |
---|---|---|---|---|---|---|---|
MYRIP | 0.0027782 | 161 | GTEx | DepMap | Descartes | 3.99 | 31.02 |
ARHGAP29 | 0.0016342 | 457 | GTEx | DepMap | Descartes | 5.87 | 26.06 |
NOTCH4 | 0.0009389 | 1063 | GTEx | DepMap | Descartes | 0.68 | 4.25 |
EHD3 | 0.0007546 | 1399 | GTEx | DepMap | Descartes | 0.55 | 4.36 |
TIE1 | 0.0003467 | 2812 | GTEx | DepMap | Descartes | 0.00 | 0.06 |
HYAL2 | 0.0002739 | 3190 | GTEx | DepMap | Descartes | 2.84 | 28.48 |
RASIP1 | 0.0000387 | 5293 | GTEx | DepMap | Descartes | 0.06 | 0.72 |
MMRN2 | 0.0000246 | 5485 | GTEx | DepMap | Descartes | 0.01 | 0.04 |
NR5A2 | 0.0000239 | 5491 | GTEx | DepMap | Descartes | 0.04 | 0.30 |
F8 | 0.0000004 | 5821 | GTEx | DepMap | Descartes | 0.07 | 0.29 |
SHE | -0.0000287 | 6414 | GTEx | DepMap | Descartes | 0.00 | 0.00 |
KANK3 | -0.0000356 | 6595 | GTEx | DepMap | Descartes | 0.00 | 0.05 |
BTNL9 | -0.0000377 | 6648 | GTEx | DepMap | Descartes | 0.00 | 0.00 |
CYP26B1 | -0.0000449 | 6840 | GTEx | DepMap | Descartes | 0.00 | 0.00 |
PLVAP | -0.0000542 | 7076 | GTEx | DepMap | Descartes | 0.00 | 0.00 |
ROBO4 | -0.0000586 | 7174 | GTEx | DepMap | Descartes | 0.00 | 0.00 |
CRHBP | -0.0000616 | 7252 | GTEx | DepMap | Descartes | 0.00 | 0.00 |
CEACAM1 | -0.0000648 | 7329 | GTEx | DepMap | Descartes | 0.00 | 0.05 |
TEK | -0.0000657 | 7345 | GTEx | DepMap | Descartes | 0.00 | 0.00 |
FLT4 | -0.0000701 | 7444 | GTEx | DepMap | Descartes | 0.00 | 0.00 |
GALNT15 | -0.0000771 | 7607 | GTEx | DepMap | Descartes | 0.00 | NA |
ESM1 | -0.0000988 | 8071 | GTEx | DepMap | Descartes | 0.00 | 0.00 |
SLCO2A1 | -0.0001112 | 8313 | GTEx | DepMap | Descartes | 0.00 | 0.06 |
CALCRL | -0.0001203 | 8490 | GTEx | DepMap | Descartes | 0.02 | 0.15 |
CLDN5 | -0.0001321 | 8688 | GTEx | DepMap | Descartes | 0.00 | 0.00 |
PTPRB | -0.0001394 | 8820 | GTEx | DepMap | Descartes | 0.12 | 0.34 |
CDH5 | -0.0001695 | 9277 | GTEx | DepMap | Descartes | 0.00 | 0.00 |
KDR | -0.0001888 | 9559 | GTEx | DepMap | Descartes | 0.00 | 0.00 |
IRX3 | -0.0001973 | 9678 | GTEx | DepMap | Descartes | 0.01 | 0.28 |
SHANK3 | -0.0002214 | 9972 | GTEx | DepMap | Descartes | 0.02 | 0.09 |
Descartes stromal markers
Top 50 marker genes of stromal cells in the Decartes fetal adrenal single cell map (https://atlas.brotmanbaty.org/bbi/human-gene-expression-during-development/cell/stromal/in/adrenal)
Wilcoxon ranksum test P-value for gene set overrepresentation: 9.99e-01
Mean rank of genes in gene set: 7922.16
Median rank of genes in gene set: 9668
Rank on gene expression program of top 30 genes in gene set:
Genes | Weight | Rank | GTEx | DepMap | Descartes | Mean.Counts | Mean.TPM |
---|---|---|---|---|---|---|---|
CCDC80 | 0.0024889 | 211 | GTEx | DepMap | Descartes | 3.78 | 13.09 |
BICC1 | 0.0011381 | 808 | GTEx | DepMap | Descartes | 1.12 | 8.46 |
MGP | 0.0008834 | 1171 | GTEx | DepMap | Descartes | 8.70 | 217.60 |
CDH11 | 0.0007224 | 1482 | GTEx | DepMap | Descartes | 0.81 | 5.00 |
ISLR | 0.0006097 | 1766 | GTEx | DepMap | Descartes | 0.25 | 4.09 |
SCARA5 | 0.0005401 | 1979 | GTEx | DepMap | Descartes | 0.01 | 0.14 |
ACTA2 | 0.0005205 | 2044 | GTEx | DepMap | Descartes | 0.63 | 18.92 |
RSPO3 | 0.0004788 | 2213 | GTEx | DepMap | Descartes | 0.02 | NA |
DKK2 | 0.0003637 | 2725 | GTEx | DepMap | Descartes | 2.69 | 26.56 |
CLDN11 | 0.0002971 | 3058 | GTEx | DepMap | Descartes | 0.10 | 1.49 |
PRICKLE1 | 0.0002953 | 3068 | GTEx | DepMap | Descartes | 2.42 | 15.16 |
ITGA11 | 0.0002293 | 3490 | GTEx | DepMap | Descartes | 0.54 | 2.13 |
GAS2 | 0.0001045 | 4530 | GTEx | DepMap | Descartes | 0.16 | 2.72 |
SFRP2 | 0.0000233 | 5499 | GTEx | DepMap | Descartes | 0.00 | 0.00 |
ADAMTSL3 | 0.0000181 | 5563 | GTEx | DepMap | Descartes | 0.01 | 0.02 |
ABCA6 | -0.0000335 | 6541 | GTEx | DepMap | Descartes | 0.00 | 0.02 |
OGN | -0.0000370 | 6624 | GTEx | DepMap | Descartes | 0.00 | 0.00 |
LAMC3 | -0.0000942 | 7989 | GTEx | DepMap | Descartes | 0.00 | 0.00 |
PAMR1 | -0.0001076 | 8258 | GTEx | DepMap | Descartes | 0.00 | 0.00 |
POSTN | -0.0001144 | 8390 | GTEx | DepMap | Descartes | 0.07 | 0.77 |
EDNRA | -0.0001655 | 9225 | GTEx | DepMap | Descartes | 1.10 | 9.38 |
FREM1 | -0.0001867 | 9536 | GTEx | DepMap | Descartes | 0.02 | 0.07 |
ELN | -0.0002067 | 9800 | GTEx | DepMap | Descartes | 0.01 | 0.05 |
COL27A1 | -0.0002257 | 10024 | GTEx | DepMap | Descartes | 0.00 | 0.01 |
PCDH18 | -0.0002378 | 10162 | GTEx | DepMap | Descartes | 0.13 | 0.90 |
ADAMTS2 | -0.0002391 | 10178 | GTEx | DepMap | Descartes | 0.12 | 0.55 |
ABCC9 | -0.0002692 | 10484 | GTEx | DepMap | Descartes | 0.01 | 0.04 |
COL6A3 | -0.0003066 | 10826 | GTEx | DepMap | Descartes | 0.27 | 0.93 |
LOX | -0.0003254 | 10971 | GTEx | DepMap | Descartes | 0.01 | 0.02 |
COL1A2 | -0.0003569 | 11177 | GTEx | DepMap | Descartes | 0.00 | 0.03 |
Descartes sympathoblasts markers
Top 50 marker genes of sympathoblasts cells in the Decartes fetal adrenal single cell map (https://atlas.brotmanbaty.org/bbi/human-gene-expression-during-development/cell/sympathoblasts/in/adrenal)
Wilcoxon ranksum test P-value for gene set overrepresentation: 9.51e-01
Mean rank of genes in gene set: 7244.37
Median rank of genes in gene set: 8275.5
Rank on gene expression program of top 30 genes in gene set:
Genes | Weight | Rank | GTEx | DepMap | Descartes | Mean.Counts | Mean.TPM |
---|---|---|---|---|---|---|---|
MGAT4C | 0.0072131 | 13 | GTEx | DepMap | Descartes | 6.50 | 10.85 |
HTATSF1 | 0.0028279 | 151 | GTEx | DepMap | Descartes | 15.90 | 211.19 |
SORCS3 | 0.0023013 | 247 | GTEx | DepMap | Descartes | 0.05 | 0.55 |
C1QL1 | 0.0015531 | 496 | GTEx | DepMap | Descartes | 8.07 | 195.50 |
GCH1 | 0.0014588 | 562 | GTEx | DepMap | Descartes | 2.27 | 32.04 |
KSR2 | 0.0009538 | 1037 | GTEx | DepMap | Descartes | 0.07 | 0.17 |
PCSK2 | 0.0005428 | 1971 | GTEx | DepMap | Descartes | 0.12 | 1.38 |
AGBL4 | 0.0004698 | 2236 | GTEx | DepMap | Descartes | 0.29 | 2.65 |
DGKK | 0.0001574 | 4034 | GTEx | DepMap | Descartes | 0.53 | 2.91 |
TBX20 | 0.0001312 | 4281 | GTEx | DepMap | Descartes | 0.16 | 3.80 |
PCSK1N | 0.0001061 | 4512 | GTEx | DepMap | Descartes | 14.64 | 504.77 |
LAMA3 | 0.0000280 | 5445 | GTEx | DepMap | Descartes | 0.03 | 0.13 |
SLC18A1 | 0.0000112 | 5654 | GTEx | DepMap | Descartes | 0.57 | 6.70 |
PACRG | 0.0000046 | 5756 | GTEx | DepMap | Descartes | 0.08 | 1.67 |
SLC24A2 | -0.0000150 | 6087 | GTEx | DepMap | Descartes | 0.00 | 0.00 |
FAM155A | -0.0000510 | 6989 | GTEx | DepMap | Descartes | 3.19 | 12.02 |
CDH12 | -0.0000724 | 7491 | GTEx | DepMap | Descartes | 0.00 | 0.04 |
PENK | -0.0000774 | 7615 | GTEx | DepMap | Descartes | 0.00 | 0.00 |
CNTN3 | -0.0000894 | 7890 | GTEx | DepMap | Descartes | 0.00 | 0.00 |
CDH18 | -0.0001304 | 8661 | GTEx | DepMap | Descartes | 0.01 | 0.03 |
KCTD16 | -0.0001555 | 9062 | GTEx | DepMap | Descartes | 0.11 | 0.32 |
GRM7 | -0.0001860 | 9524 | GTEx | DepMap | Descartes | 0.02 | 0.16 |
TENM1 | -0.0002033 | 9748 | GTEx | DepMap | Descartes | 0.00 | NA |
CCSER1 | -0.0002290 | 10057 | GTEx | DepMap | Descartes | 0.01 | NA |
FGF14 | -0.0002401 | 10189 | GTEx | DepMap | Descartes | 0.41 | 1.50 |
TIAM1 | -0.0002520 | 10318 | GTEx | DepMap | Descartes | 0.86 | 4.60 |
ARC | -0.0002705 | 10502 | GTEx | DepMap | Descartes | 0.05 | 0.44 |
UNC80 | -0.0002722 | 10529 | GTEx | DepMap | Descartes | 0.28 | 0.62 |
GALNTL6 | -0.0002741 | 10549 | GTEx | DepMap | Descartes | 0.01 | 0.05 |
SLC35F3 | -0.0002867 | 10666 | GTEx | DepMap | Descartes | 0.01 | 0.07 |
Descartes erythroblasts markers
Top 50 marker genes of erythroblasts cells in the Decartes fetal adrenal single cell map (https://atlas.brotmanbaty.org/bbi/human-gene-expression-during-development/cell/erythroblasts/in/adrenal)
Wilcoxon ranksum test P-value for gene set overrepresentation: 7.46e-01
Mean rank of genes in gene set: 6719.59
Median rank of genes in gene set: 6752
Rank on gene expression program of top 30 genes in gene set:
Genes | Weight | Rank | GTEx | DepMap | Descartes | Mean.Counts | Mean.TPM |
---|---|---|---|---|---|---|---|
TSPAN5 | 0.0037035 | 83 | GTEx | DepMap | Descartes | 6.38 | 64.79 |
MARCH3 | 0.0025311 | 199 | GTEx | DepMap | Descartes | 1.48 | NA |
SPECC1 | 0.0009097 | 1124 | GTEx | DepMap | Descartes | 1.19 | 5.87 |
CPOX | 0.0003282 | 2915 | GTEx | DepMap | Descartes | 0.53 | 8.35 |
SLC4A1 | 0.0002404 | 3413 | GTEx | DepMap | Descartes | 0.01 | 0.06 |
SLC25A21 | 0.0002398 | 3417 | GTEx | DepMap | Descartes | 0.00 | 0.07 |
FECH | 0.0002002 | 3691 | GTEx | DepMap | Descartes | 0.46 | 2.71 |
SPTB | 0.0000642 | 4984 | GTEx | DepMap | Descartes | 0.13 | 0.46 |
CAT | 0.0000548 | 5100 | GTEx | DepMap | Descartes | 0.92 | 16.39 |
ABCB10 | 0.0000495 | 5155 | GTEx | DepMap | Descartes | 0.59 | 6.20 |
ALAS2 | -0.0000041 | 5892 | GTEx | DepMap | Descartes | 0.00 | 0.00 |
GCLC | -0.0000287 | 6412 | GTEx | DepMap | Descartes | 0.76 | 8.23 |
DENND4A | -0.0000322 | 6502 | GTEx | DepMap | Descartes | 0.83 | 3.57 |
RGS6 | -0.0000396 | 6691 | GTEx | DepMap | Descartes | 0.00 | 0.00 |
TMCC2 | -0.0000422 | 6752 | GTEx | DepMap | Descartes | 0.15 | 1.24 |
RHD | -0.0000432 | 6776 | GTEx | DepMap | Descartes | 0.00 | 0.00 |
GYPC | -0.0000471 | 6884 | GTEx | DepMap | Descartes | 0.00 | 0.00 |
SLC25A37 | -0.0000598 | 7209 | GTEx | DepMap | Descartes | 2.81 | 24.39 |
TRAK2 | -0.0000680 | 7397 | GTEx | DepMap | Descartes | 1.34 | 8.63 |
RAPGEF2 | -0.0000982 | 8062 | GTEx | DepMap | Descartes | 0.88 | 4.03 |
XPO7 | -0.0001546 | 9051 | GTEx | DepMap | Descartes | 1.11 | 10.16 |
EPB41 | -0.0001965 | 9666 | GTEx | DepMap | Descartes | 3.49 | 21.36 |
TFR2 | -0.0002003 | 9720 | GTEx | DepMap | Descartes | 0.06 | 0.73 |
SELENBP1 | -0.0002167 | 9924 | GTEx | DepMap | Descartes | 0.06 | 0.70 |
ANK1 | -0.0002865 | 10663 | GTEx | DepMap | Descartes | 0.22 | 0.82 |
SOX6 | -0.0003705 | 11260 | GTEx | DepMap | Descartes | 0.04 | 0.14 |
BLVRB | -0.0004158 | 11482 | GTEx | DepMap | Descartes | 1.26 | 34.47 |
MICAL2 | -0.0006182 | 12084 | GTEx | DepMap | Descartes | 0.22 | 1.25 |
SNCA | -0.0008244 | 12360 | GTEx | DepMap | Descartes | 1.45 | 15.13 |
NA | NA | NA | NA | NA | NA | NA | NA |
Descartes myeloid markers
Top 50 marker genes of myeloid cells in the Decartes fetal adrenal single cell map (https://atlas.brotmanbaty.org/bbi/human-gene-expression-during-development/cell/myeloid/in/adrenal)
Wilcoxon ranksum test P-value for gene set overrepresentation: 4.20e-01
Mean rank of genes in gene set: 6156.58
Median rank of genes in gene set: 6215
Rank on gene expression program of top 30 genes in gene set:
Genes | Weight | Rank | GTEx | DepMap | Descartes | Mean.Counts | Mean.TPM |
---|---|---|---|---|---|---|---|
CD163L1 | 0.0026027 | 182 | GTEx | DepMap | Descartes | 9.34 | 74.45 |
ITPR2 | 0.0016641 | 449 | GTEx | DepMap | Descartes | 7.20 | 21.97 |
CST3 | 0.0014029 | 595 | GTEx | DepMap | Descartes | 18.62 | 216.35 |
PTPRE | 0.0013274 | 651 | GTEx | DepMap | Descartes | 2.56 | 17.88 |
CYBB | 0.0010586 | 905 | GTEx | DepMap | Descartes | 0.04 | 0.41 |
IFNGR1 | 0.0006512 | 1655 | GTEx | DepMap | Descartes | 1.76 | 28.68 |
SLC1A3 | 0.0006162 | 1749 | GTEx | DepMap | Descartes | 0.39 | 4.16 |
MERTK | 0.0005847 | 1831 | GTEx | DepMap | Descartes | 0.16 | 1.63 |
CPVL | 0.0003481 | 2803 | GTEx | DepMap | Descartes | 1.30 | 24.27 |
MSR1 | 0.0003295 | 2910 | GTEx | DepMap | Descartes | 0.18 | 1.96 |
CTSD | 0.0003182 | 2960 | GTEx | DepMap | Descartes | 3.77 | 72.84 |
SPP1 | 0.0002201 | 3557 | GTEx | DepMap | Descartes | 0.25 | 5.41 |
CD14 | 0.0000639 | 4988 | GTEx | DepMap | Descartes | 0.03 | 0.78 |
WWP1 | 0.0000600 | 5045 | GTEx | DepMap | Descartes | 0.70 | 5.67 |
CTSB | 0.0000466 | 5188 | GTEx | DepMap | Descartes | 2.78 | 28.57 |
HRH1 | 0.0000383 | 5302 | GTEx | DepMap | Descartes | 0.07 | 0.87 |
SLCO2B1 | 0.0000270 | 5459 | GTEx | DepMap | Descartes | 0.01 | 0.04 |
ADAP2 | 0.0000189 | 5553 | GTEx | DepMap | Descartes | 0.00 | 0.03 |
CD163 | -0.0000179 | 6158 | GTEx | DepMap | Descartes | 0.00 | 0.00 |
FGL2 | -0.0000226 | 6272 | GTEx | DepMap | Descartes | 0.00 | 0.00 |
FGD2 | -0.0000347 | 6572 | GTEx | DepMap | Descartes | 0.00 | 0.00 |
HCK | -0.0000366 | 6618 | GTEx | DepMap | Descartes | 0.00 | 0.00 |
CSF1R | -0.0000613 | 7240 | GTEx | DepMap | Descartes | 0.00 | 0.00 |
ATP8B4 | -0.0000683 | 7408 | GTEx | DepMap | Descartes | 0.00 | 0.00 |
MS4A4A | -0.0000842 | 7765 | GTEx | DepMap | Descartes | 0.00 | 0.00 |
SLC9A9 | -0.0001237 | 8553 | GTEx | DepMap | Descartes | 0.00 | 0.00 |
FMN1 | -0.0001351 | 8746 | GTEx | DepMap | Descartes | 2.05 | 5.64 |
MARCH1 | -0.0001444 | 8908 | GTEx | DepMap | Descartes | 0.03 | NA |
CTSS | -0.0001648 | 9214 | GTEx | DepMap | Descartes | 0.00 | 0.02 |
LGMN | -0.0001781 | 9414 | GTEx | DepMap | Descartes | 0.71 | 14.24 |
Descartes Schwann markers
Top 50 marker genes of Schwann cells in the Decartes fetal adrenal single cell map (https://atlas.brotmanbaty.org/bbi/human-gene-expression-during-development/cell/schwann/in/adrenal)
Wilcoxon ranksum test P-value for gene set overrepresentation: 9.99e-01
Mean rank of genes in gene set: 8020.3
Median rank of genes in gene set: 10103.5
Rank on gene expression program of top 30 genes in gene set:
Genes | Weight | Rank | GTEx | DepMap | Descartes | Mean.Counts | Mean.TPM |
---|---|---|---|---|---|---|---|
PTN | 0.0106498 | 4 | GTEx | DepMap | Descartes | 53.26 | 1420.57 |
LAMA4 | 0.0086495 | 8 | GTEx | DepMap | Descartes | 6.44 | 36.59 |
PPP2R2B | 0.0070172 | 17 | GTEx | DepMap | Descartes | 11.83 | 43.82 |
SCN7A | 0.0054124 | 34 | GTEx | DepMap | Descartes | 1.07 | 7.24 |
PMP22 | 0.0044706 | 47 | GTEx | DepMap | Descartes | 10.32 | 230.66 |
EDNRB | 0.0033900 | 101 | GTEx | DepMap | Descartes | 0.23 | 2.32 |
EGFLAM | 0.0018217 | 391 | GTEx | DepMap | Descartes | 0.55 | 4.74 |
GAS7 | 0.0003463 | 2816 | GTEx | DepMap | Descartes | 0.15 | 0.70 |
MPZ | 0.0003236 | 2941 | GTEx | DepMap | Descartes | 0.10 | 1.88 |
SORCS1 | 0.0001155 | 4424 | GTEx | DepMap | Descartes | 0.90 | 4.84 |
NRXN3 | 0.0000758 | 4845 | GTEx | DepMap | Descartes | 0.01 | 0.07 |
ERBB3 | 0.0000384 | 5299 | GTEx | DepMap | Descartes | 0.04 | 0.25 |
PLP1 | -0.0000124 | 6036 | GTEx | DepMap | Descartes | 0.01 | 0.13 |
XKR4 | -0.0000201 | 6215 | GTEx | DepMap | Descartes | 0.03 | 0.04 |
IL1RAPL2 | -0.0000460 | 6863 | GTEx | DepMap | Descartes | 0.00 | 0.00 |
ADAMTS5 | -0.0000586 | 7175 | GTEx | DepMap | Descartes | 0.44 | 1.67 |
LRRTM4 | -0.0000912 | 7922 | GTEx | DepMap | Descartes | 0.00 | 0.00 |
COL25A1 | -0.0001126 | 8341 | GTEx | DepMap | Descartes | 0.00 | 0.00 |
GFRA3 | -0.0001161 | 8414 | GTEx | DepMap | Descartes | 0.00 | 0.13 |
TRPM3 | -0.0001580 | 9105 | GTEx | DepMap | Descartes | 0.05 | 0.19 |
OLFML2A | -0.0002062 | 9797 | GTEx | DepMap | Descartes | 0.00 | 0.00 |
MDGA2 | -0.0002101 | 9849 | GTEx | DepMap | Descartes | 0.00 | 0.00 |
IL1RAPL1 | -0.0002562 | 10358 | GTEx | DepMap | Descartes | 0.00 | 0.00 |
FIGN | -0.0002605 | 10393 | GTEx | DepMap | Descartes | 1.03 | 4.17 |
ERBB4 | -0.0002934 | 10711 | GTEx | DepMap | Descartes | 0.01 | 0.01 |
STARD13 | -0.0002957 | 10736 | GTEx | DepMap | Descartes | 0.05 | 0.31 |
COL5A2 | -0.0003144 | 10886 | GTEx | DepMap | Descartes | 0.13 | 0.75 |
SOX5 | -0.0003290 | 11002 | GTEx | DepMap | Descartes | 0.07 | 0.44 |
KCTD12 | -0.0003302 | 11005 | GTEx | DepMap | Descartes | 2.52 | 15.20 |
SLC35F1 | -0.0003383 | 11056 | GTEx | DepMap | Descartes | 0.01 | 0.09 |
Descartes Megakaryocytes markers
Top 50 marker genes of Megakaryocytes cells in the Decartes fetal adrenal single cell map (https://atlas.brotmanbaty.org/bbi/human-gene-expression-during-development/cell/megakaryocytes/in/adrenal)
Wilcoxon ranksum test P-value for gene set overrepresentation: 9.14e-01
Mean rank of genes in gene set: 7012.18
Median rank of genes in gene set: 8001
Rank on gene expression program of top 30 genes in gene set:
Genes | Weight | Rank | GTEx | DepMap | Descartes | Mean.Counts | Mean.TPM |
---|---|---|---|---|---|---|---|
STOM | 0.0083295 | 9 | GTEx | DepMap | Descartes | 13.79 | 185.71 |
CD9 | 0.0082836 | 10 | GTEx | DepMap | Descartes | 73.98 | 1748.60 |
ACTN1 | 0.0031102 | 120 | GTEx | DepMap | Descartes | 9.02 | 77.92 |
UBASH3B | 0.0022959 | 249 | GTEx | DepMap | Descartes | 0.44 | 2.65 |
ZYX | 0.0022260 | 264 | GTEx | DepMap | Descartes | 8.85 | 152.79 |
ANGPT1 | 0.0016119 | 463 | GTEx | DepMap | Descartes | 0.77 | 7.91 |
TGFB1 | 0.0011483 | 796 | GTEx | DepMap | Descartes | 2.71 | 39.48 |
RAP1B | 0.0009361 | 1072 | GTEx | DepMap | Descartes | 11.17 | 34.58 |
ACTB | 0.0007004 | 1545 | GTEx | DepMap | Descartes | 93.79 | 1648.11 |
STON2 | 0.0005201 | 2047 | GTEx | DepMap | Descartes | 0.94 | 8.41 |
SLC2A3 | 0.0004697 | 2237 | GTEx | DepMap | Descartes | 0.58 | 4.43 |
LIMS1 | 0.0004275 | 2423 | GTEx | DepMap | Descartes | 5.54 | 48.36 |
TLN1 | 0.0003582 | 2749 | GTEx | DepMap | Descartes | 7.73 | 34.35 |
GSN | 0.0001676 | 3948 | GTEx | DepMap | Descartes | 0.64 | 3.93 |
TPM4 | 0.0000671 | 4948 | GTEx | DepMap | Descartes | 13.22 | 107.23 |
PLEK | -0.0000147 | 6080 | GTEx | DepMap | Descartes | 0.00 | 0.05 |
GP1BA | -0.0000190 | 6182 | GTEx | DepMap | Descartes | 0.00 | 0.04 |
MMRN1 | -0.0000219 | 6255 | GTEx | DepMap | Descartes | 0.00 | 0.00 |
TUBB1 | -0.0000437 | 6798 | GTEx | DepMap | Descartes | 0.00 | 0.00 |
CD84 | -0.0000670 | 7372 | GTEx | DepMap | Descartes | 0.00 | 0.00 |
ARHGAP6 | -0.0000886 | 7877 | GTEx | DepMap | Descartes | 0.09 | 0.55 |
ITGA2B | -0.0000932 | 7965 | GTEx | DepMap | Descartes | 0.01 | 0.07 |
TRPC6 | -0.0000946 | 8001 | GTEx | DepMap | Descartes | 0.00 | 0.00 |
SPN | -0.0000992 | 8082 | GTEx | DepMap | Descartes | 0.00 | 0.01 |
P2RX1 | -0.0001103 | 8299 | GTEx | DepMap | Descartes | 0.00 | 0.00 |
ITGB3 | -0.0001222 | 8525 | GTEx | DepMap | Descartes | 0.03 | 0.25 |
SLC24A3 | -0.0001638 | 9191 | GTEx | DepMap | Descartes | 0.00 | 0.00 |
MCTP1 | -0.0001711 | 9294 | GTEx | DepMap | Descartes | 0.00 | 0.03 |
PRKAR2B | -0.0002115 | 9861 | GTEx | DepMap | Descartes | 5.03 | 49.63 |
MYH9 | -0.0002127 | 9873 | GTEx | DepMap | Descartes | 2.67 | 14.48 |
Descartes Lyphoid markers
Top 50 marker genes of Lyphoid cells in the Decartes fetal adrenal single cell map (https://atlas.brotmanbaty.org/bbi/human-gene-expression-during-development/cell/lymphoid/in/adrenal)
Wilcoxon ranksum test P-value for gene set overrepresentation: 6.78e-02
Mean rank of genes in gene set: 5442.02
Median rank of genes in gene set: 4304.5
Rank on gene expression program of top 30 genes in gene set:
Genes | Weight | Rank | GTEx | DepMap | Descartes | Mean.Counts | Mean.TPM |
---|---|---|---|---|---|---|---|
LCP1 | 0.0063397 | 25 | GTEx | DepMap | Descartes | 3.34 | 37.14 |
RCSD1 | 0.0059331 | 30 | GTEx | DepMap | Descartes | 0.16 | 1.36 |
B2M | 0.0018498 | 383 | GTEx | DepMap | Descartes | 53.66 | 868.54 |
SAMD3 | 0.0017606 | 412 | GTEx | DepMap | Descartes | 0.17 | 1.95 |
ARHGDIB | 0.0017383 | 420 | GTEx | DepMap | Descartes | 1.38 | 45.30 |
CD44 | 0.0016759 | 445 | GTEx | DepMap | Descartes | 3.63 | 27.75 |
MSN | 0.0010172 | 950 | GTEx | DepMap | Descartes | 5.41 | 53.94 |
ANKRD44 | 0.0010145 | 953 | GTEx | DepMap | Descartes | 1.06 | 6.36 |
GNG2 | 0.0008367 | 1253 | GTEx | DepMap | Descartes | 4.54 | 47.55 |
LEF1 | 0.0006161 | 1750 | GTEx | DepMap | Descartes | 0.33 | 4.87 |
BCL2 | 0.0006145 | 1754 | GTEx | DepMap | Descartes | 1.19 | 6.38 |
NCALD | 0.0006001 | 1788 | GTEx | DepMap | Descartes | 0.92 | 10.32 |
MBNL1 | 0.0003973 | 2551 | GTEx | DepMap | Descartes | 2.96 | 18.28 |
CCND3 | 0.0003858 | 2618 | GTEx | DepMap | Descartes | 0.98 | 17.95 |
PRKCH | 0.0003194 | 2955 | GTEx | DepMap | Descartes | 0.12 | 1.13 |
FOXP1 | 0.0003123 | 2989 | GTEx | DepMap | Descartes | 3.46 | 14.50 |
TMSB10 | 0.0002413 | 3410 | GTEx | DepMap | Descartes | 148.75 | 11874.12 |
BACH2 | 0.0001720 | 3918 | GTEx | DepMap | Descartes | 0.26 | 1.00 |
SORL1 | 0.0001717 | 3920 | GTEx | DepMap | Descartes | 0.41 | 1.35 |
WIPF1 | 0.0001357 | 4237 | GTEx | DepMap | Descartes | 0.88 | 6.73 |
RAP1GAP2 | 0.0001326 | 4263 | GTEx | DepMap | Descartes | 1.42 | 7.34 |
DOCK10 | 0.0001234 | 4346 | GTEx | DepMap | Descartes | 0.73 | 4.02 |
FYN | 0.0000949 | 4639 | GTEx | DepMap | Descartes | 2.96 | 30.76 |
PLEKHA2 | 0.0000571 | 5074 | GTEx | DepMap | Descartes | 0.27 | 1.69 |
SCML4 | 0.0000291 | 5431 | GTEx | DepMap | Descartes | 0.01 | 0.08 |
SKAP1 | 0.0000159 | 5584 | GTEx | DepMap | Descartes | 0.14 | 2.95 |
STK39 | 0.0000098 | 5677 | GTEx | DepMap | Descartes | 1.34 | 16.67 |
CCL5 | 0.0000037 | 5769 | GTEx | DepMap | Descartes | 0.00 | 0.10 |
ARHGAP15 | -0.0000421 | 6750 | GTEx | DepMap | Descartes | 0.00 | 0.00 |
MCTP2 | -0.0000970 | 8046 | GTEx | DepMap | Descartes | 0.00 | 0.00 |
Below shows the ranks on this GEP for immune marker gene lists curated by CellTypist (https://www.celltypist.org/encyclopedia).
High ranks indicate this gene is a driver of this GEP.
These curated gene list are ranked by P-value (on this GEP) of their constituent genes.
The Mean Count column shows the mean read count in cells scoring highly (H > 50) on this gene expression program.
Genes | Weight | Rank | GTEx | DepMap | Decartes | Mean.Counts | Mean.TPM |
---|---|---|---|---|---|---|---|
GATA2 | 0.0018559 | 380 | GTEx | DepMap | Descartes | 21.75 | 248.20 |
APOC1 | 0.0013778 | 611 | GTEx | DepMap | Descartes | 1.38 | 73.43 |
TESPA1 | 0.0007941 | 1325 | GTEx | DepMap | Descartes | 0.01 | NA |
DC: DC1 (curated markers)
conventional type 1 dendritic cells which constitute a rare dendritic cell population with superior cross-presentation ability:
Wilcoxon ranksum test P-value for gene set overrepresentation: 1.30e-02
Mean rank of genes in gene set: 570.5
Rank on gene expression program of genes in gene set:
Genes | Weight | Rank | GTEx | DepMap | Decartes | Mean.Counts | Mean.TPM |
---|---|---|---|---|---|---|---|
CADM1 | 0.0037335 | 81 | GTEx | DepMap | Descartes | 12.52 | 60.51 |
BATF3 | 0.0009392 | 1060 | GTEx | DepMap | Descartes | 0.99 | 17.70 |
B cells: Transitional B cells (model markers)
immature B cell precursors in the bone marrow which connect Pre-B cells with mature naive B cells and are subject to the process of B cell selection:
Wilcoxon ranksum test P-value for gene set overrepresentation: 4.86e-02
Mean rank of genes in gene set: 266
Rank on gene expression program of genes in gene set:
Genes | Weight | Rank | GTEx | DepMap | Decartes | Mean.Counts | Mean.TPM |
---|---|---|---|---|---|---|---|
GNG3 | 0.0022163 | 266 | GTEx | DepMap | Descartes | 7.11 | 300.81 |