QQ-plot of gene loadings, averaged over both independent splits of the data
This plot highlights the relative contribution of each gene to the GEP
Top genes driving this program.
Note: Decartes website is buggy, try refreshing. Also, Decartes fetal adrenal data have been collected at specific time points (89-122 days), all possible cell types of interest may not be represented, do not overinterpret.
The Mean Count column shows the mean read count in cells scoring highly (H > 50) on this gene expression program.
Gene | Loading | Gene.Name | GTEx | DepMap | Descartes | Mean.Counts | Mean.Tpm | |
---|---|---|---|---|---|---|---|---|
1 | CYP26B1 | 0.0107351 | cytochrome P450 family 26 subfamily B member 1 | GTEx | DepMap | Descartes | 2.49 | 66.33 |
2 | TRIM29 | 0.0081182 | tripartite motif containing 29 | GTEx | DepMap | Descartes | 0.61 | 25.48 |
3 | CADM1 | 0.0081174 | cell adhesion molecule 1 | GTEx | DepMap | Descartes | 14.10 | 212.18 |
4 | POU3F1 | 0.0079906 | POU class 3 homeobox 1 | GTEx | DepMap | Descartes | 2.31 | 98.42 |
5 | UQCRH | 0.0073054 | ubiquinol-cytochrome c reductase hinge protein | GTEx | DepMap | Descartes | 26.30 | 4490.41 |
6 | ZFHX4 | 0.0071272 | zinc finger homeobox 4 | GTEx | DepMap | Descartes | 2.98 | 26.17 |
7 | EBF1 | 0.0067596 | EBF transcription factor 1 | GTEx | DepMap | Descartes | 7.32 | 170.57 |
8 | STMN2 | 0.0067193 | stathmin 2 | GTEx | DepMap | Descartes | 95.77 | 6173.16 |
9 | SERBP1 | 0.0066904 | SERPINE1 mRNA binding protein 1 | GTEx | DepMap | Descartes | 12.86 | 231.04 |
10 | NRP2 | 0.0062843 | neuropilin 2 | GTEx | DepMap | Descartes | 9.04 | 179.14 |
11 | PHOX2A | 0.0062090 | paired like homeobox 2A | GTEx | DepMap | Descartes | 25.20 | 1879.38 |
12 | PCDH9 | 0.0054768 | protocadherin 9 | GTEx | DepMap | Descartes | 4.25 | 20.14 |
13 | BTF3 | 0.0054758 | basic transcription factor 3 | GTEx | DepMap | Descartes | 36.24 | 3541.38 |
14 | CDH22 | 0.0054641 | cadherin 22 | GTEx | DepMap | Descartes | 0.56 | 18.20 |
15 | ELAVL4 | 0.0051906 | ELAV like RNA binding protein 4 | GTEx | DepMap | Descartes | 18.16 | 555.32 |
16 | KCNK3 | 0.0050571 | potassium two pore domain channel subfamily K member 3 | GTEx | DepMap | Descartes | 2.12 | 43.19 |
17 | PLCXD3 | 0.0049718 | phosphatidylinositol specific phospholipase C X domain containing 3 | GTEx | DepMap | Descartes | 1.08 | 16.98 |
18 | ITGA8 | 0.0047937 | integrin subunit alpha 8 | GTEx | DepMap | Descartes | 0.81 | 15.86 |
19 | CNTNAP2 | 0.0047420 | contactin associated protein 2 | GTEx | DepMap | Descartes | 8.88 | 117.79 |
20 | EIF3I | 0.0046180 | eukaryotic translation initiation factor 3 subunit I | GTEx | DepMap | Descartes | 5.75 | 484.56 |
21 | NOC2L | 0.0045977 | NOC2 like nucleolar associated transcriptional repressor | GTEx | DepMap | Descartes | 3.26 | 98.56 |
22 | SPOCK1 | 0.0045517 | SPARC (osteonectin), cwcv and kazal like domains proteoglycan 1 | GTEx | DepMap | Descartes | 5.04 | 129.73 |
23 | DDT | 0.0045347 | D-dopachrome tautomerase | GTEx | DepMap | Descartes | 9.08 | 1019.99 |
24 | COCH | 0.0044902 | cochlin | GTEx | DepMap | Descartes | 1.66 | 72.61 |
25 | BEND5 | 0.0044597 | BEN domain containing 5 | GTEx | DepMap | Descartes | 3.11 | 233.47 |
26 | UBXN1 | 0.0043634 | UBX domain protein 1 | GTEx | DepMap | Descartes | 9.91 | 592.19 |
27 | XIST | 0.0043274 | X inactive specific transcript | GTEx | DepMap | Descartes | 6.05 | 40.27 |
28 | CHGA | 0.0042274 | chromogranin A | GTEx | DepMap | Descartes | 8.91 | 570.12 |
29 | NEFM | 0.0041583 | neurofilament medium chain | GTEx | DepMap | Descartes | 5.48 | 202.02 |
30 | SLC30A8 | 0.0041123 | solute carrier family 30 member 8 | GTEx | DepMap | Descartes | 0.09 | 2.12 |
31 | EPHA5 | 0.0041067 | EPH receptor A5 | GTEx | DepMap | Descartes | 0.79 | 11.88 |
32 | BASP1 | 0.0040627 | brain abundant membrane attached signal protein 1 | GTEx | DepMap | Descartes | 28.89 | 1998.16 |
33 | INSM2 | 0.0040589 | INSM transcriptional repressor 2 | GTEx | DepMap | Descartes | 2.45 | 109.76 |
34 | ENO3 | 0.0040307 | enolase 3 | GTEx | DepMap | Descartes | 0.83 | 63.43 |
35 | OSBPL3 | 0.0038969 | oxysterol binding protein like 3 | GTEx | DepMap | Descartes | 0.89 | 17.15 |
36 | FZD8 | 0.0038855 | frizzled class receptor 8 | GTEx | DepMap | Descartes | 0.35 | 11.12 |
37 | EIF3H | 0.0038487 | eukaryotic translation initiation factor 3 subunit H | GTEx | DepMap | Descartes | 9.12 | 276.37 |
38 | EIF3G | 0.0038412 | eukaryotic translation initiation factor 3 subunit G | GTEx | DepMap | Descartes | 7.70 | 597.92 |
39 | PCDH7 | 0.0038349 | protocadherin 7 | GTEx | DepMap | Descartes | 2.34 | 42.42 |
40 | GRIK3 | 0.0038039 | glutamate ionotropic receptor kainate type subunit 3 | GTEx | DepMap | Descartes | 0.30 | 3.79 |
41 | HCRT | 0.0037715 | hypocretin neuropeptide precursor | GTEx | DepMap | Descartes | 0.72 | 145.06 |
42 | PERP | 0.0037338 | p53 apoptosis effector related to PMP22 | GTEx | DepMap | Descartes | 1.10 | 32.46 |
43 | EIF3L | 0.0037151 | eukaryotic translation initiation factor 3 subunit L | GTEx | DepMap | Descartes | 12.62 | 463.86 |
44 | SEZ6L | 0.0036713 | seizure related 6 homolog like | GTEx | DepMap | Descartes | 2.06 | 39.85 |
45 | TRABD2B | 0.0036684 | TraB domain containing 2B | GTEx | DepMap | Descartes | 0.19 | NA |
46 | EXOSC4 | 0.0035988 | exosome component 4 | GTEx | DepMap | Descartes | 1.81 | 212.25 |
47 | NCAM1 | 0.0035782 | neural cell adhesion molecule 1 | GTEx | DepMap | Descartes | 10.08 | 210.90 |
48 | PPM1G | 0.0035540 | protein phosphatase, Mg2+/Mn2+ dependent 1G | GTEx | DepMap | Descartes | 7.09 | 225.44 |
49 | YBX1 | 0.0035382 | Y-box binding protein 1 | GTEx | DepMap | Descartes | 34.67 | 1379.81 |
50 | EEF1B2 | 0.0035312 | eukaryotic translation elongation factor 1 beta 2 | GTEx | DepMap | Descartes | 42.12 | 4660.91 |
UMAP plots showing activity of gene expression program identified in GEP 2. Neuroblastoma #1:
CNV Data procured from inferCNV.
Outer tracks are putative CNV regions (gains = red, losses = blue) for each patient
Inner track is expression data representing:
The top cells expressing this GEP (purple)
Random cells (n =50) from the reference set used in inferCNV (orange)
Gene set Enrichments for this program, caculated from top 50 genes
mSigDB Cell Types Gene Set:
P-value | OR | Lower 95% CI | FDR | FWER | Genes Found | Gene Set Size | |
---|---|---|---|---|---|---|---|
DURANTE_ADULT_OLFACTORY_NEUROEPITHELIUM_IMMATURE_NEURONS | 6.17e-08 | 18.17 | 7.22 | 8.29e-06 | 4.14e-05 | 8CADM1, EBF1, STMN2, PCDH9, ELAVL4, SPOCK1, BASP1, NCAM1 |
139 |
DESCARTES_FETAL_STOMACH_ENS_NEURONS | 1.04e-05 | 20.11 | 6.05 | 5.82e-04 | 6.99e-03 | 5STMN2, ELAVL4, CNTNAP2, SPOCK1, SEZ6L |
74 |
MANNO_MIDBRAIN_NEUROTYPES_HRN | 4.70e-08 | 10.88 | 4.98 | 7.89e-06 | 3.16e-05 | 11POU3F1, ZFHX4, STMN2, PCDH9, CDH22, ELAVL4, BEND5, XIST, CHGA, BASP1, NCAM1 |
335 |
MANNO_MIDBRAIN_NEUROTYPES_HOMTN | 1.99e-08 | 10.47 | 4.94 | 4.46e-06 | 1.34e-05 | 12CADM1, STMN2, NRP2, PHOX2A, PCDH9, ELAVL4, PLCXD3, CNTNAP2, CHGA, NEFM, BASP1, PCDH7 |
389 |
TRAVAGLINI_LUNG_PROXIMAL_BASAL_CELL | 6.12e-09 | 8.73 | 4.41 | 2.05e-06 | 4.10e-06 | 15TRIM29, UQCRH, SERBP1, BTF3, EIF3I, BEND5, UBXN1, XIST, EIF3H, EIF3G, PCDH7, PERP, EIF3L, YBX1, EEF1B2 |
629 |
MANNO_MIDBRAIN_NEUROTYPES_HNBML1 | 4.17e-07 | 9.83 | 4.34 | 3.99e-05 | 2.80e-04 | 10POU3F1, EBF1, STMN2, PCDH9, ELAVL4, PLCXD3, XIST, BASP1, SEZ6L, NCAM1 |
328 |
DESCARTES_FETAL_INTESTINE_ENS_NEURONS | 3.64e-05 | 11.06 | 3.80 | 1.75e-03 | 2.45e-02 | 6STMN2, PHOX2A, ELAVL4, CNTNAP2, SPOCK1, NEFM |
160 |
MANNO_MIDBRAIN_NEUROTYPES_HDA | 3.19e-07 | 8.00 | 3.78 | 3.57e-05 | 2.14e-04 | 12CADM1, EBF1, STMN2, ELAVL4, PLCXD3, XIST, CHGA, EPHA5, BASP1, GRIK3, SEZ6L, NCAM1 |
506 |
MANNO_MIDBRAIN_NEUROTYPES_HGABA | 4.15e-09 | 7.06 | 3.76 | 2.05e-06 | 2.78e-06 | 19CADM1, ZFHX4, EBF1, STMN2, NRP2, PCDH9, CDH22, ELAVL4, PLCXD3, ITGA8, CNTNAP2, SPOCK1, XIST, CHGA, BASP1, PCDH7, GRIK3, SEZ6L, NCAM1 |
1105 |
MANNO_MIDBRAIN_NEUROTYPES_HNBM | 1.64e-05 | 8.30 | 3.33 | 8.44e-04 | 1.10e-02 | 8CADM1, POU3F1, ZFHX4, EBF1, STMN2, ELAVL4, XIST, NCAM1 |
295 |
MANNO_MIDBRAIN_NEUROTYPES_HDA1 | 1.37e-06 | 6.90 | 3.27 | 1.03e-04 | 9.23e-04 | 12CADM1, ZFHX4, STMN2, CDH22, ELAVL4, SPOCK1, CHGA, EPHA5, BASP1, GRIK3, SEZ6L, NCAM1 |
584 |
MENON_FETAL_KIDNEY_0_CAP_MESENCHYME_CELLS | 4.31e-04 | 12.63 | 3.23 | 1.52e-02 | 2.89e-01 | 4ITGA8, XIST, NCAM1, PPM1G |
90 |
HU_FETAL_RETINA_RGC | 5.80e-06 | 7.22 | 3.20 | 3.89e-04 | 3.89e-03 | 10CADM1, EBF1, STMN2, ELAVL4, BEND5, NEFM, EPHA5, BASP1, SEZ6L, NCAM1 |
443 |
MANNO_MIDBRAIN_NEUROTYPES_HSERT | 6.63e-06 | 7.10 | 3.15 | 4.04e-04 | 4.45e-03 | 10CADM1, STMN2, PCDH9, KCNK3, PLCXD3, SPOCK1, CHGA, BASP1, PCDH7, NCAM1 |
450 |
MANNO_MIDBRAIN_NEUROTYPES_HNBGABA | 1.35e-06 | 6.37 | 3.09 | 1.03e-04 | 9.07e-04 | 13CADM1, ZFHX4, STMN2, PCDH9, ELAVL4, CNTNAP2, SPOCK1, XIST, CHGA, EPHA5, BASP1, PCDH7, NCAM1 |
703 |
DESCARTES_MAIN_FETAL_CHROMAFFIN_CELLS | 4.05e-03 | 23.65 | 2.62 | 8.76e-02 | 1.00e+00 | 2PHOX2A, INSM2 |
24 |
MANNO_MIDBRAIN_NEUROTYPES_HNBML5 | 5.97e-05 | 6.02 | 2.56 | 2.67e-03 | 4.01e-02 | 9ZFHX4, STMN2, PCDH9, ELAVL4, CNTNAP2, CHGA, BASP1, PCDH7, NCAM1 |
465 |
TRAVAGLINI_LUNG_PERICYTE_CELL | 1.04e-03 | 9.88 | 2.54 | 3.18e-02 | 7.00e-01 | 4CADM1, EBF1, KCNK3, PERP |
114 |
BUSSLINGER_DUODENAL_STEM_CELLS | 1.85e-04 | 6.69 | 2.52 | 7.03e-03 | 1.24e-01 | 7SERBP1, BTF3, XIST, EIF3H, EIF3L, YBX1, EEF1B2 |
311 |
GAO_LARGE_INTESTINE_ADULT_CA_ENTEROENDOCRINE_CELLS | 1.89e-04 | 6.67 | 2.51 | 7.03e-03 | 1.27e-01 | 7STMN2, PCDH9, CDH22, ELAVL4, KCNK3, PLCXD3, SPOCK1 |
312 |
Dowload full table
mSigDB Hallmark Gene Sets:
P-value | OR | Lower 95% CI | FDR | FWER | Genes Found | Gene Set Size | |
---|---|---|---|---|---|---|---|
HALLMARK_EPITHELIAL_MESENCHYMAL_TRANSITION | 7.71e-03 | 5.55 | 1.44 | 3.85e-01 | 3.85e-01 | 4CADM1, SPOCK1, BASP1, FZD8 |
200 |
HALLMARK_ESTROGEN_RESPONSE_LATE | 4.35e-02 | 4.05 | 0.80 | 7.25e-01 | 1.00e+00 | 3CYP26B1, TRIM29, PERP |
200 |
HALLMARK_MYC_TARGETS_V1 | 4.35e-02 | 4.05 | 0.80 | 7.25e-01 | 1.00e+00 | 3SERBP1, PPM1G, EEF1B2 |
200 |
HALLMARK_FATTY_ACID_METABOLISM | 1.28e-01 | 3.34 | 0.39 | 1.00e+00 | 1.00e+00 | 2XIST, ENO3 |
158 |
HALLMARK_IL2_STAT5_SIGNALING | 1.83e-01 | 2.64 | 0.31 | 1.00e+00 | 1.00e+00 | 2COCH, ENO3 |
199 |
HALLMARK_MYOGENESIS | 1.85e-01 | 2.63 | 0.31 | 1.00e+00 | 1.00e+00 | 2ENO3, NCAM1 |
200 |
HALLMARK_HEDGEHOG_SIGNALING | 1.34e-01 | 7.29 | 0.18 | 1.00e+00 | 1.00e+00 | 1NRP2 |
36 |
HALLMARK_PANCREAS_BETA_CELLS | 1.47e-01 | 6.54 | 0.16 | 1.00e+00 | 1.00e+00 | 1CHGA |
40 |
HALLMARK_WNT_BETA_CATENIN_SIGNALING | 1.54e-01 | 6.22 | 0.15 | 1.00e+00 | 1.00e+00 | 1FZD8 |
42 |
HALLMARK_PEROXISOME | 3.39e-01 | 2.48 | 0.06 | 1.00e+00 | 1.00e+00 | 1CADM1 |
104 |
HALLMARK_UNFOLDED_PROTEIN_RESPONSE | 3.62e-01 | 2.28 | 0.06 | 1.00e+00 | 1.00e+00 | 1EXOSC4 |
113 |
HALLMARK_HYPOXIA | 5.47e-01 | 1.28 | 0.03 | 1.00e+00 | 1.00e+00 | 1ENO3 |
200 |
HALLMARK_ADIPOGENESIS | 5.47e-01 | 1.28 | 0.03 | 1.00e+00 | 1.00e+00 | 1DDT |
200 |
HALLMARK_ESTROGEN_RESPONSE_EARLY | 5.47e-01 | 1.28 | 0.03 | 1.00e+00 | 1.00e+00 | 1CYP26B1 |
200 |
HALLMARK_INFLAMMATORY_RESPONSE | 5.47e-01 | 1.28 | 0.03 | 1.00e+00 | 1.00e+00 | 1PCDH7 |
200 |
HALLMARK_XENOBIOTIC_METABOLISM | 5.47e-01 | 1.28 | 0.03 | 1.00e+00 | 1.00e+00 | 1DDT |
200 |
HALLMARK_OXIDATIVE_PHOSPHORYLATION | 5.47e-01 | 1.28 | 0.03 | 1.00e+00 | 1.00e+00 | 1UQCRH |
200 |
HALLMARK_P53_PATHWAY | 5.47e-01 | 1.28 | 0.03 | 1.00e+00 | 1.00e+00 | 1PERP |
200 |
HALLMARK_KRAS_SIGNALING_DN | 5.47e-01 | 1.28 | 0.03 | 1.00e+00 | 1.00e+00 | 1EPHA5 |
200 |
HALLMARK_TNFA_SIGNALING_VIA_NFKB | 1.00e+00 | 0.00 | 0.00 | 1.00e+00 | 1.00e+00 | 0 |
200 |
Dowload full table
KEGG Pathways:
P-value | OR | Lower 95% CI | FDR | FWER | Genes Found | Gene Set Size | |
---|---|---|---|---|---|---|---|
KEGG_CELL_ADHESION_MOLECULES_CAMS | 1.83e-03 | 8.43 | 2.17 | 3.41e-01 | 3.41e-01 | 4CADM1, ITGA8, CNTNAP2, NCAM1 |
133 |
KEGG_RNA_DEGRADATION | 2.28e-02 | 9.13 | 1.05 | 1.00e+00 | 1.00e+00 | 2ENO3, EXOSC4 |
59 |
KEGG_PRION_DISEASES | 1.30e-01 | 7.50 | 0.18 | 1.00e+00 | 1.00e+00 | 1NCAM1 |
35 |
KEGG_AMYOTROPHIC_LATERAL_SCLEROSIS_ALS | 1.90e-01 | 4.91 | 0.12 | 1.00e+00 | 1.00e+00 | 1NEFM |
53 |
KEGG_BASAL_CELL_CARCINOMA | 1.97e-01 | 4.72 | 0.12 | 1.00e+00 | 1.00e+00 | 1FZD8 |
55 |
KEGG_GLYCOLYSIS_GLUCONEOGENESIS | 2.19e-01 | 4.18 | 0.10 | 1.00e+00 | 1.00e+00 | 1ENO3 |
62 |
KEGG_RETINOL_METABOLISM | 2.25e-01 | 4.05 | 0.10 | 1.00e+00 | 1.00e+00 | 1CYP26B1 |
64 |
KEGG_P53_SIGNALING_PATHWAY | 2.37e-01 | 3.81 | 0.09 | 1.00e+00 | 1.00e+00 | 1PERP |
68 |
KEGG_ARRHYTHMOGENIC_RIGHT_VENTRICULAR_CARDIOMYOPATHY_ARVC | 2.55e-01 | 3.49 | 0.09 | 1.00e+00 | 1.00e+00 | 1ITGA8 |
74 |
KEGG_CARDIAC_MUSCLE_CONTRACTION | 2.70e-01 | 3.27 | 0.08 | 1.00e+00 | 1.00e+00 | 1UQCRH |
79 |
KEGG_HYPERTROPHIC_CARDIOMYOPATHY_HCM | 2.81e-01 | 3.11 | 0.08 | 1.00e+00 | 1.00e+00 | 1ITGA8 |
83 |
KEGG_ECM_RECEPTOR_INTERACTION | 2.84e-01 | 3.07 | 0.08 | 1.00e+00 | 1.00e+00 | 1ITGA8 |
84 |
KEGG_DILATED_CARDIOMYOPATHY | 3.01e-01 | 2.87 | 0.07 | 1.00e+00 | 1.00e+00 | 1ITGA8 |
90 |
KEGG_MELANOGENESIS | 3.31e-01 | 2.55 | 0.06 | 1.00e+00 | 1.00e+00 | 1FZD8 |
101 |
KEGG_AXON_GUIDANCE | 4.01e-01 | 1.99 | 0.05 | 1.00e+00 | 1.00e+00 | 1EPHA5 |
129 |
KEGG_PARKINSONS_DISEASE | 4.03e-01 | 1.98 | 0.05 | 1.00e+00 | 1.00e+00 | 1UQCRH |
130 |
KEGG_OXIDATIVE_PHOSPHORYLATION | 4.08e-01 | 1.95 | 0.05 | 1.00e+00 | 1.00e+00 | 1UQCRH |
132 |
KEGG_WNT_SIGNALING_PATHWAY | 4.51e-01 | 1.70 | 0.04 | 1.00e+00 | 1.00e+00 | 1FZD8 |
151 |
KEGG_ALZHEIMERS_DISEASE | 4.82e-01 | 1.55 | 0.04 | 1.00e+00 | 1.00e+00 | 1UQCRH |
166 |
KEGG_HUNTINGTONS_DISEASE | 5.14e-01 | 1.41 | 0.03 | 1.00e+00 | 1.00e+00 | 1UQCRH |
182 |
Dowload full table
CHR Positional Gene Sets:
P-value | OR | Lower 95% CI | FDR | FWER | Genes Found | Gene Set Size | |
---|---|---|---|---|---|---|---|
chr1p33 | 9.06e-05 | 19.39 | 4.91 | 2.52e-02 | 2.52e-02 | 4UQCRH, ELAVL4, BEND5, TRABD2B |
60 |
chr11q23 | 4.62e-02 | 3.95 | 0.78 | 1.00e+00 | 1.00e+00 | 3TRIM29, CADM1, NCAM1 |
205 |
chr1p34 | 9.17e-02 | 2.93 | 0.58 | 1.00e+00 | 1.00e+00 | 3POU3F1, GRIK3, YBX1 |
275 |
chr8q24 | 1.28e-01 | 2.51 | 0.50 | 1.00e+00 | 1.00e+00 | 3SLC30A8, EIF3H, EXOSC4 |
321 |
chr2p23 | 1.11e-01 | 3.64 | 0.42 | 1.00e+00 | 1.00e+00 | 2KCNK3, PPM1G |
145 |
chr8q21 | 1.55e-01 | 2.96 | 0.35 | 1.00e+00 | 1.00e+00 | 2ZFHX4, STMN2 |
178 |
chr2q33 | 1.78e-01 | 2.70 | 0.32 | 1.00e+00 | 1.00e+00 | 2NRP2, EEF1B2 |
195 |
chr14q13 | 2.09e-01 | 4.40 | 0.11 | 1.00e+00 | 1.00e+00 | 1INSM2 |
59 |
chr10p13 | 2.25e-01 | 4.05 | 0.10 | 1.00e+00 | 1.00e+00 | 1ITGA8 |
64 |
chr7q35 | 2.28e-01 | 3.99 | 0.10 | 1.00e+00 | 1.00e+00 | 1CNTNAP2 |
65 |
chr7p15 | 3.17e-01 | 2.68 | 0.07 | 1.00e+00 | 1.00e+00 | 1OSBPL3 |
96 |
chr14q12 | 3.31e-01 | 2.55 | 0.06 | 1.00e+00 | 1.00e+00 | 1COCH |
101 |
chr6q23 | 3.44e-01 | 2.43 | 0.06 | 1.00e+00 | 1.00e+00 | 1PERP |
106 |
chr5q33 | 3.52e-01 | 2.36 | 0.06 | 1.00e+00 | 1.00e+00 | 1EBF1 |
109 |
chr4p15 | 3.84e-01 | 2.11 | 0.05 | 1.00e+00 | 1.00e+00 | 1PCDH7 |
122 |
chr5p13 | 3.99e-01 | 2.01 | 0.05 | 1.00e+00 | 1.00e+00 | 1PLCXD3 |
128 |
chr8p21 | 3.99e-01 | 2.01 | 0.05 | 1.00e+00 | 1.00e+00 | 1NEFM |
128 |
chr1p35 | 4.03e-01 | 1.98 | 0.05 | 1.00e+00 | 1.00e+00 | 1EIF3I |
130 |
chr2p13 | 4.20e-01 | 1.88 | 0.05 | 1.00e+00 | 1.00e+00 | 1CYP26B1 |
137 |
chr5q13 | 4.31e-01 | 1.81 | 0.04 | 1.00e+00 | 1.00e+00 | 1BTF3 |
142 |
Dowload full table
Transcription Factor Targets:
P-value | OR | Lower 95% CI | FDR | FWER | Genes Found | Gene Set Size | |
---|---|---|---|---|---|---|---|
YY1_Q6 | 4.13e-04 | 6.96 | 2.40 | 2.86e-01 | 4.68e-01 | 6UQCRH, SERBP1, BTF3, ELAVL4, FZD8, YBX1 |
251 |
GATA_Q6 | 1.10e-03 | 7.08 | 2.17 | 2.86e-01 | 1.00e+00 | 5NRP2, PHOX2A, PCDH9, ELAVL4, KCNK3 |
201 |
SRY_01 | 1.91e-03 | 6.23 | 1.91 | 2.86e-01 | 1.00e+00 | 5CADM1, ELAVL4, BEND5, NCAM1, YBX1 |
228 |
CHX10_01 | 1.91e-03 | 6.23 | 1.91 | 2.86e-01 | 1.00e+00 | 5ZFHX4, PCDH9, BASP1, HCRT, SEZ6L |
228 |
SOX9_B1 | 2.29e-03 | 5.96 | 1.83 | 2.86e-01 | 1.00e+00 | 5CADM1, EBF1, ELAVL4, BASP1, NCAM1 |
238 |
GCCATNTTG_YY1_Q6 | 1.33e-03 | 4.73 | 1.79 | 2.86e-01 | 1.00e+00 | 7UQCRH, SERBP1, BTF3, ELAVL4, FZD8, YBX1, EEF1B2 |
437 |
GATA1_03 | 2.64e-03 | 5.76 | 1.77 | 2.86e-01 | 1.00e+00 | 5NRP2, PCDH9, ELAVL4, PCDH7, YBX1 |
246 |
FOXM1_01 | 2.73e-03 | 5.72 | 1.76 | 2.86e-01 | 1.00e+00 | 5UQCRH, EBF1, PCDH9, ELAVL4, NCAM1 |
248 |
E2A_Q2 | 2.97e-03 | 5.60 | 1.72 | 2.86e-01 | 1.00e+00 | 5CADM1, SERBP1, ELAVL4, ENO3, GRIK3 |
253 |
NRSF_01 | 6.61e-03 | 8.48 | 1.66 | 3.56e-01 | 1.00e+00 | 3STMN2, CHGA, NEFM |
97 |
PAX2_02 | 3.61e-03 | 5.34 | 1.64 | 2.86e-01 | 1.00e+00 | 5STMN2, SERBP1, ELAVL4, PCDH7, GRIK3 |
265 |
GATA_C | 3.79e-03 | 5.28 | 1.62 | 2.86e-01 | 1.00e+00 | 5PHOX2A, ELAVL4, KCNK3, GRIK3, YBX1 |
268 |
E2F_Q2 | 5.37e-03 | 6.17 | 1.60 | 3.25e-01 | 1.00e+00 | 4POU3F1, UQCRH, SERBP1, GRIK3 |
180 |
AACTTT_UNKNOWN | 5.19e-04 | 3.08 | 1.58 | 2.86e-01 | 5.88e-01 | 16CYP26B1, CADM1, POU3F1, ZFHX4, EBF1, NRP2, PCDH9, ELAVL4, CNTNAP2, NEFM, EPHA5, BASP1, ENO3, PCDH7, GRIK3, SEZ6L |
1928 |
NMYC_01 | 4.54e-03 | 5.05 | 1.55 | 3.21e-01 | 1.00e+00 | 5POU3F1, UBXN1, NEFM, SEZ6L, YBX1 |
280 |
MYC_Q2 | 6.12e-03 | 5.94 | 1.54 | 3.47e-01 | 1.00e+00 | 4POU3F1, SERBP1, UBXN1, YBX1 |
187 |
USF_C | 4.81e-03 | 4.98 | 1.53 | 3.21e-01 | 1.00e+00 | 5SERBP1, UBXN1, ENO3, SEZ6L, YBX1 |
284 |
ZNF596_TARGET_GENES | 3.00e-03 | 3.68 | 1.48 | 2.86e-01 | 1.00e+00 | 8ZFHX4, EBF1, PCDH9, CDH22, BASP1, PCDH7, TRABD2B, NCAM1 |
656 |
FOX_Q2 | 9.54e-03 | 5.20 | 1.35 | 3.77e-01 | 1.00e+00 | 4CYP26B1, CADM1, GRIK3, NCAM1 |
213 |
FOXE1_TARGET_GENES | 5.45e-03 | 3.31 | 1.34 | 3.25e-01 | 1.00e+00 | 8CADM1, UQCRH, NRP2, PCDH9, CNTNAP2, XIST, EXOSC4, YBX1 |
728 |
Dowload full table
GO Biological Processes:
P-value | OR | Lower 95% CI | FDR | FWER | Genes Found | Gene Set Size | |
---|---|---|---|---|---|---|---|
GOBP_FORMATION_OF_CYTOPLASMIC_TRANSLATION_INITIATION_COMPLEX | 3.90e-07 | 90.00 | 20.43 | 2.92e-03 | 2.92e-03 | 4EIF3I, EIF3H, EIF3G, EIF3L |
16 |
GOBP_VIRAL_TRANSLATIONAL_TERMINATION_REINITIATION | 1.54e-04 | 172.68 | 14.09 | 3.85e-01 | 1.00e+00 | 2EIF3G, EIF3L |
5 |
GOBP_CYTOPLASMIC_TRANSLATIONAL_INITIATION | 9.37e-06 | 36.12 | 8.90 | 3.50e-02 | 7.01e-02 | 4EIF3I, EIF3H, EIF3G, EIF3L |
34 |
GOBP_VIRAL_TRANSLATION | 1.80e-03 | 37.11 | 3.99 | 1.00e+00 | 1.00e+00 | 2EIF3G, EIF3L |
16 |
GOBP_PARASYMPATHETIC_NERVOUS_SYSTEM_DEVELOPMENT | 1.80e-03 | 37.11 | 3.99 | 1.00e+00 | 1.00e+00 | 2NRP2, PHOX2A |
16 |
GOBP_BLASTODERM_SEGMENTATION | 2.54e-03 | 30.58 | 3.34 | 1.00e+00 | 1.00e+00 | 2NRP2, BASP1 |
19 |
GOBP_SYMPATHETIC_NERVOUS_SYSTEM_DEVELOPMENT | 3.10e-03 | 27.37 | 3.01 | 1.00e+00 | 1.00e+00 | 2NRP2, PHOX2A |
21 |
GOBP_CYTOPLASMIC_TRANSLATION | 6.90e-04 | 11.09 | 2.84 | 9.22e-01 | 1.00e+00 | 4EIF3I, EIF3H, EIF3G, EIF3L |
102 |
GOBP_CRANIAL_NERVE_MORPHOGENESIS | 4.74e-03 | 21.66 | 2.42 | 1.00e+00 | 1.00e+00 | 2NRP2, PHOX2A |
26 |
GOBP_HEAD_DEVELOPMENT | 4.02e-04 | 4.23 | 1.88 | 7.52e-01 | 1.00e+00 | 10POU3F1, NRP2, PHOX2A, PCDH9, CDH22, KCNK3, ITGA8, CNTNAP2, EPHA5, BASP1 |
750 |
GOBP_NEGATIVE_REGULATION_OF_PROTEASOMAL_UBIQUITIN_DEPENDENT_PROTEIN_CATABOLIC_PROCESS | 8.94e-03 | 15.30 | 1.73 | 1.00e+00 | 1.00e+00 | 2UBXN1, EIF3H |
36 |
GOBP_HOMOPHILIC_CELL_ADHESION_VIA_PLASMA_MEMBRANE_ADHESION_MOLECULES | 4.13e-03 | 6.67 | 1.72 | 1.00e+00 | 1.00e+00 | 4CADM1, PCDH9, CDH22, PCDH7 |
167 |
GOBP_CENTRAL_NERVOUS_SYSTEM_DEVELOPMENT | 7.40e-04 | 3.64 | 1.68 | 9.22e-01 | 1.00e+00 | 11POU3F1, NRP2, PHOX2A, PCDH9, CDH22, KCNK3, ITGA8, CNTNAP2, SPOCK1, EPHA5, BASP1 |
980 |
GOBP_LIMBIC_SYSTEM_DEVELOPMENT | 6.79e-03 | 8.40 | 1.64 | 1.00e+00 | 1.00e+00 | 3NRP2, CNTNAP2, EPHA5 |
98 |
GOBP_SEMAPHORIN_PLEXIN_SIGNALING_PATHWAY | 1.10e-02 | 13.70 | 1.56 | 1.00e+00 | 1.00e+00 | 2NRP2, NCAM1 |
40 |
GOBP_TRANSLATIONAL_INITIATION | 6.83e-03 | 5.75 | 1.49 | 1.00e+00 | 1.00e+00 | 4EIF3I, EIF3H, EIF3G, EIF3L |
193 |
GOBP_CRANIAL_NERVE_DEVELOPMENT | 1.37e-02 | 12.10 | 1.38 | 1.00e+00 | 1.00e+00 | 2NRP2, PHOX2A |
45 |
GOBP_REGULATION_OF_MRNA_CATABOLIC_PROCESS | 9.10e-03 | 5.28 | 1.37 | 1.00e+00 | 1.00e+00 | 4SERBP1, ELAVL4, EXOSC4, YBX1 |
210 |
GOBP_AUTONOMIC_NERVOUS_SYSTEM_DEVELOPMENT | 1.43e-02 | 11.83 | 1.35 | 1.00e+00 | 1.00e+00 | 2NRP2, PHOX2A |
46 |
GOBP_RIBONUCLEOPROTEIN_COMPLEX_BIOGENESIS | 8.96e-03 | 3.67 | 1.27 | 1.00e+00 | 1.00e+00 | 6EIF3I, NOC2L, EIF3H, EIF3G, EIF3L, EXOSC4 |
471 |
Dowload full table
Immunological Gene Sets:
P-value | OR | Lower 95% CI | FDR | FWER | Genes Found | Gene Set Size | |
---|---|---|---|---|---|---|---|
GSE6269_HEALTHY_VS_FLU_INF_PBMC_UP | 5.20e-06 | 12.04 | 4.50 | 2.53e-02 | 2.53e-02 | 7POU3F1, BTF3, NEFM, ENO3, EIF3H, EIF3L, EEF1B2 |
176 |
GSE37301_COMMON_LYMPHOID_PROGENITOR_VS_GRAN_MONO_PROGENITOR_DN | 9.88e-04 | 7.27 | 2.23 | 7.51e-01 | 1.00e+00 | 5DDT, BEND5, EIF3H, SEZ6L, EEF1B2 |
196 |
GSE17721_CTRL_VS_LPS_1H_BMDC_DN | 1.06e-03 | 7.16 | 2.19 | 7.51e-01 | 1.00e+00 | 5PHOX2A, NOC2L, ENO3, HCRT, EEF1B2 |
199 |
GSE9509_LPS_VS_LPS_AND_IL10_STIM_IL10_KO_MACROPHAGE_10MIN_UP | 1.06e-03 | 7.16 | 2.19 | 7.51e-01 | 1.00e+00 | 5EBF1, STMN2, SPOCK1, BASP1, NCAM1 |
199 |
GSE2405_0H_VS_9H_A_PHAGOCYTOPHILUM_STIM_NEUTROPHIL_DN | 1.08e-03 | 7.12 | 2.18 | 7.51e-01 | 1.00e+00 | 5SERBP1, EIF3I, EIF3H, YBX1, EEF1B2 |
200 |
GSE21927_SPLEEN_C57BL6_VS_4T1_TUMOR_BALBC_MONOCYTES_UP | 1.08e-03 | 7.12 | 2.18 | 7.51e-01 | 1.00e+00 | 5UQCRH, BTF3, EIF3H, EIF3L, EEF1B2 |
200 |
GSE21927_SPLEEN_C57BL6_VS_EL4_TUMOR_BALBC_MONOCYTES_DN | 1.08e-03 | 7.12 | 2.18 | 7.51e-01 | 1.00e+00 | 5UQCRH, SERBP1, NOC2L, PPM1G, YBX1 |
200 |
GSE17974_IL4_AND_ANTI_IL12_VS_UNTREATED_6H_ACT_CD4_TCELL_UP | 6.47e-03 | 5.84 | 1.51 | 1.00e+00 | 1.00e+00 | 4ZFHX4, NRP2, PLCXD3, INSM2 |
190 |
GSE10325_CD4_TCELL_VS_BCELL_DN | 6.95e-03 | 5.72 | 1.48 | 1.00e+00 | 1.00e+00 | 4PCDH9, COCH, BEND5, BASP1 |
194 |
GSE27291_6H_VS_7D_STIM_GAMMADELTA_TCELL_UP | 6.95e-03 | 5.72 | 1.48 | 1.00e+00 | 1.00e+00 | 4UQCRH, EIF3I, NOC2L, DDT |
194 |
GSE10325_LUPUS_CD4_TCELL_VS_LUPUS_BCELL_DN | 7.07e-03 | 5.69 | 1.47 | 1.00e+00 | 1.00e+00 | 4PCDH9, COCH, BEND5, BASP1 |
195 |
GSE24814_STAT5_KO_VS_WT_PRE_BCELL_UP | 7.32e-03 | 5.63 | 1.46 | 1.00e+00 | 1.00e+00 | 4CNTNAP2, SPOCK1, CHGA, BASP1 |
197 |
GSE13411_NAIVE_VS_MEMORY_BCELL_DN | 7.45e-03 | 5.60 | 1.45 | 1.00e+00 | 1.00e+00 | 4OSBPL3, EIF3G, EXOSC4, PPM1G |
198 |
GSE15330_HSC_VS_LYMPHOID_PRIMED_MULTIPOTENT_PROGENITOR_IKAROS_KO_UP | 7.45e-03 | 5.60 | 1.45 | 1.00e+00 | 1.00e+00 | 4ZFHX4, EIF3I, NEFM, YBX1 |
198 |
GSE11961_MEMORY_BCELL_DAY40_VS_GERMINAL_CENTER_BCELL_DAY40_UP | 7.45e-03 | 5.60 | 1.45 | 1.00e+00 | 1.00e+00 | 4PLCXD3, CNTNAP2, EPHA5, OSBPL3 |
198 |
GSE15930_STIM_VS_STIM_AND_IL12_24H_CD8_T_CELL_DN | 7.58e-03 | 5.57 | 1.44 | 1.00e+00 | 1.00e+00 | 4ELAVL4, KCNK3, PCDH7, HCRT |
199 |
GSE27786_CD8_TCELL_VS_NKCELL_UP | 7.58e-03 | 5.57 | 1.44 | 1.00e+00 | 1.00e+00 | 4SERBP1, PHOX2A, EIF3I, EIF3G |
199 |
GSE7548_DAY7_VS_DAY28_PCC_IMMUNIZATION_CD4_TCELL_DN | 7.58e-03 | 5.57 | 1.44 | 1.00e+00 | 1.00e+00 | 4CNTNAP2, EIF3I, GRIK3, YBX1 |
199 |
GSE13522_CTRL_VS_T_CRUZI_BRAZIL_STRAIN_INF_SKIN_DN | 7.58e-03 | 5.57 | 1.44 | 1.00e+00 | 1.00e+00 | 4SPOCK1, SLC30A8, EPHA5, TRABD2B |
199 |
GSE23114_WT_VS_SLE2C1_MOUSE_SPLEEN_B1A_BCELL_DN | 7.58e-03 | 5.57 | 1.44 | 1.00e+00 | 1.00e+00 | 4STMN2, CDH22, PCDH7, GRIK3 |
199 |
Top Ranked Transcription Factors for this Gene Expression Program:
Gene Symbol | TF Rank | DNA Binding Domain | Motif Status | IUPAC PWM | GTEx | DepMap | Decartes |
---|---|---|---|---|---|---|---|
TRIM29 | 2 | No | Unlikely to be sequence specific TF | Not a DNA binding protein | No motif | None | Previous evidence for TF activity (PMID: 8188213) is based on sequence analysis and does not provide DNA-binding evidence. Based on EntrezGene information, its likely a transcriptional co-factor |
POU3F1 | 4 | Yes | Known motif | Monomer or homomultimer | High-throughput in vitro | None | None |
ZFHX4 | 6 | Yes | Inferred motif | Monomer or homomultimer | In vivo/Misc source | None | Curious protein with numerous C2H2 and homeodomain-like domains. |
EBF1 | 7 | Yes | Known motif | Monomer or homomultimer | High-throughput in vitro | None | None |
PHOX2A | 11 | Yes | Known motif | Monomer or homomultimer | High-throughput in vitro | None | None |
EPHA5 | 31 | No | Unlikely to be sequence specific TF | Not a DNA binding protein | No motif | None | None |
INSM2 | 33 | Yes | Likely to be sequence specific TF | Monomer or homomultimer | No motif | None | None |
YBX1 | 49 | Yes | Known motif | Monomer or homomultimer | High-throughput in vitro | None | Might also bind RNA |
BCL11A | 83 | Yes | Known motif | Monomer or homomultimer | In vivo/Misc source | None | None |
POU4F2 | 85 | Yes | Known motif | Monomer or homomultimer | High-throughput in vitro | None | None |
KDM1A | 98 | No | Unlikely to be sequence specific TF | Low specificity DNA-binding protein | No motif | None | Affects transcription by histone modification |
NR2F6 | 125 | Yes | Known motif | Monomer or homomultimer | High-throughput in vitro | None | None |
PARK7 | 139 | No | Unlikely to be sequence specific TF | Not a DNA binding protein | No motif | None | Operates upstream in the signaling cascade |
ZC3H13 | 140 | No | ssDNA/RNA binding | Not a DNA binding protein | No motif | None | None |
NTRK1 | 148 | No | Unlikely to be sequence specific TF | Not a DNA binding protein | No motif | None | Membrane bound receptor protein |
ONECUT2 | 152 | Yes | Known motif | Monomer or homomultimer | High-throughput in vitro | None | None |
RAPGEF5 | 156 | No | Unlikely to be sequence specific TF | Not a DNA binding protein | No motif | None | None |
TCF7L2 | 162 | Yes | Known motif | Monomer or homomultimer | 100 perc ID - in vitro | None | None |
EIF3K | 163 | No | Unlikely to be sequence specific TF | Not a DNA binding protein | No motif | None | None |
TSHZ3 | 169 | Yes | Likely to be sequence specific TF | Monomer or homomultimer | No motif | None | The C2H2 domains are too spread out to be credible; but there is also a homodomain. Seems more likely than not that it binds DNA. |
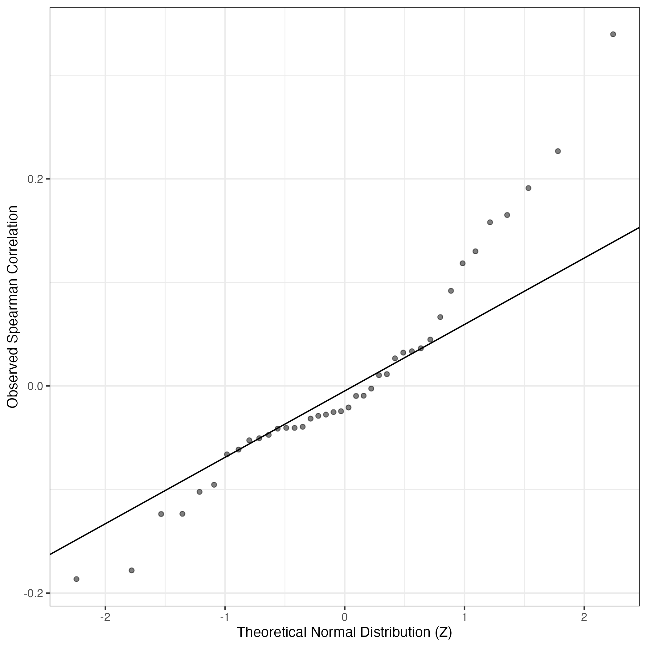
QQ Plot showing correlations with other GEPs in this dataset, calculated by Spearman correlation:
Interactive QQ-plot of gene loadings:
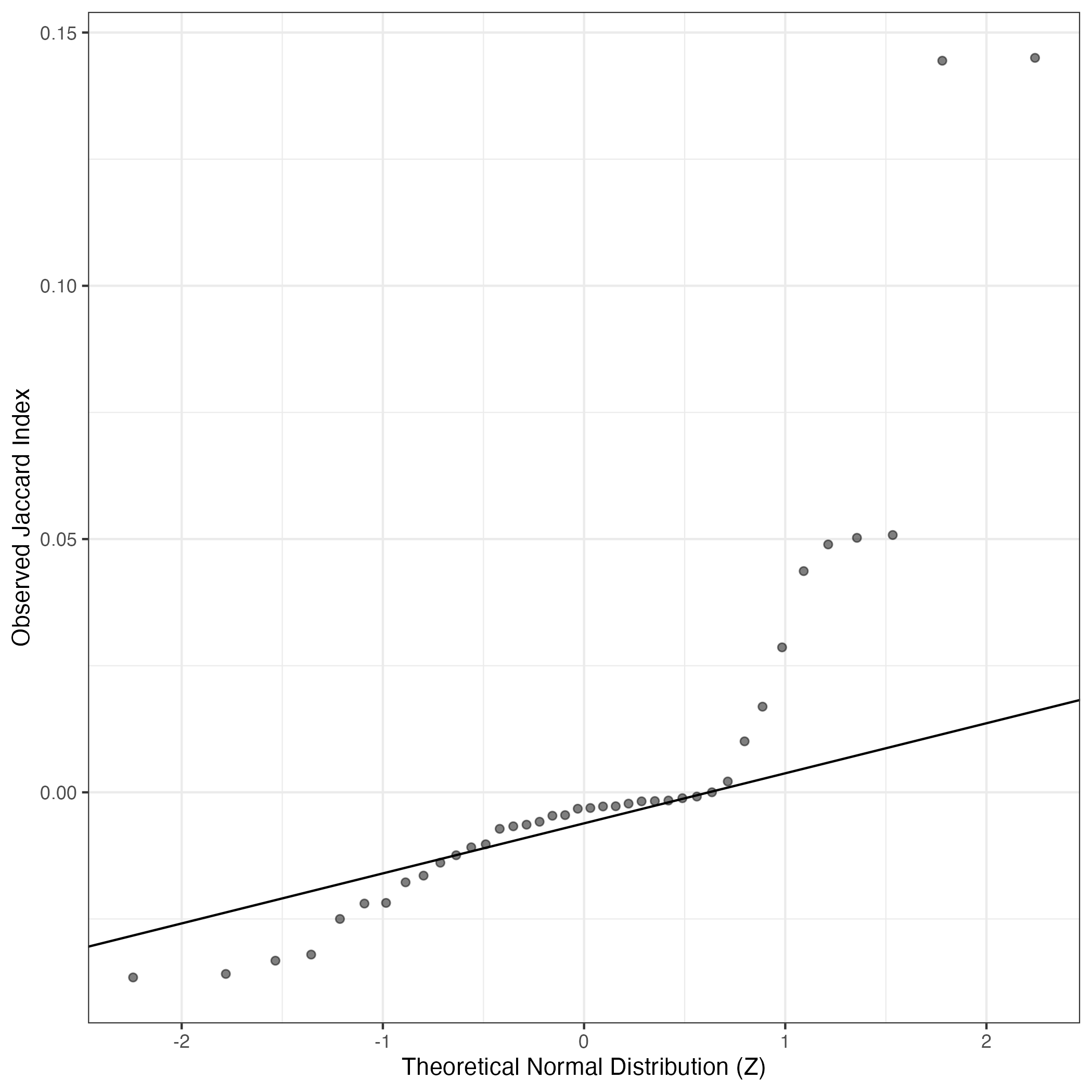
A similar QQ-plot as above, but only for instances where the H value is e.g. > 25, i.e. we are confident that the expression program is active above noise. Agreemenet between these binary vectors is tested using the Jaccard Index, with the P-values calculated by an exact test:
Interactive QQ-plot:
Singler cell type annotations for the top 50 cells on this program.
Cell ID | Singler label | Singler Delta | Activity Score | Top Singler Raw Scores |
---|---|---|---|---|
T214_ATGGGAGGTTTCCATT-1 | Neurons:adrenal_medulla_cell_line | 0.16 | 1009.33 | Raw ScoresNeurons:adrenal_medulla_cell_line: 0.35, Neuroepithelial_cell:ESC-derived: 0.3, Astrocyte:Embryonic_stem_cell-derived: 0.29, iPS_cells:PDB_2lox-22: 0.28, iPS_cells:PDB_2lox-17: 0.28, iPS_cells:PDB_2lox-21: 0.28, iPS_cells:PDB_2lox-5: 0.28, iPS_cells:PDB_1lox-21Puro-20: 0.28, iPS_cells:PDB_1lox-17Puro-10: 0.27, iPS_cells:PDB_1lox-21Puro-26: 0.27 |
T214_TGGTAGTGTGGCTGAA-1 | Neurons:adrenal_medulla_cell_line | 0.16 | 803.41 | Raw ScoresNeurons:adrenal_medulla_cell_line: 0.35, Neuroepithelial_cell:ESC-derived: 0.29, iPS_cells:PDB_2lox-22: 0.27, iPS_cells:PDB_2lox-17: 0.27, iPS_cells:PDB_2lox-21: 0.27, iPS_cells:PDB_1lox-21Puro-20: 0.27, iPS_cells:PDB_1lox-21Puro-26: 0.26, iPS_cells:PDB_1lox-17Puro-10: 0.26, iPS_cells:PDB_2lox-5: 0.26, iPS_cells:PDB_1lox-17Puro-5: 0.26 |
T214_TTGAACGAGCTGTGCC-1 | Neurons:adrenal_medulla_cell_line | 0.20 | 792.44 | Raw ScoresNeurons:adrenal_medulla_cell_line: 0.41, Neuroepithelial_cell:ESC-derived: 0.36, iPS_cells:PDB_2lox-22: 0.34, iPS_cells:PDB_1lox-21Puro-20: 0.33, iPS_cells:PDB_2lox-17: 0.33, iPS_cells:PDB_2lox-21: 0.33, iPS_cells:CRL2097_foreskin-derived:undiff.: 0.33, iPS_cells:PDB_2lox-5: 0.33, iPS_cells:PDB_1lox-21Puro-26: 0.33, iPS_cells:PDB_1lox-17Puro-10: 0.33 |
T214_CTACGGGTCTATGCCC-1 | Neurons:adrenal_medulla_cell_line | 0.17 | 708.98 | Raw ScoresNeurons:adrenal_medulla_cell_line: 0.37, Neuroepithelial_cell:ESC-derived: 0.33, iPS_cells:PDB_2lox-22: 0.32, iPS_cells:PDB_2lox-17: 0.32, iPS_cells:PDB_2lox-21: 0.32, iPS_cells:PDB_1lox-21Puro-20: 0.31, iPS_cells:PDB_2lox-5: 0.31, iPS_cells:PDB_1lox-21Puro-26: 0.31, iPS_cells:CRL2097_foreskin-derived:undiff.: 0.31, iPS_cells:PDB_1lox-17Puro-10: 0.31 |
T214_TAGATCGCAATAGGGC-1 | Neurons:adrenal_medulla_cell_line | 0.15 | 699.16 | Raw ScoresNeurons:adrenal_medulla_cell_line: 0.38, Neuroepithelial_cell:ESC-derived: 0.33, iPS_cells:PDB_1lox-21Puro-20: 0.31, iPS_cells:PDB_2lox-17: 0.31, iPS_cells:PDB_2lox-22: 0.31, iPS_cells:PDB_2lox-21: 0.31, Astrocyte:Embryonic_stem_cell-derived: 0.31, iPS_cells:PDB_1lox-21Puro-26: 0.31, iPS_cells:PDB_2lox-5: 0.3, iPS_cells:PDB_1lox-17Puro-10: 0.3 |
T214_ACTTTGTTCCTTCTAA-1 | Neurons:adrenal_medulla_cell_line | 0.23 | 697.41 | Raw ScoresNeurons:adrenal_medulla_cell_line: 0.41, Neuroepithelial_cell:ESC-derived: 0.36, iPS_cells:PDB_1lox-21Puro-20: 0.34, iPS_cells:PDB_1lox-17Puro-10: 0.34, iPS_cells:PDB_1lox-21Puro-26: 0.34, iPS_cells:PDB_1lox-17Puro-5: 0.33, iPS_cells:PDB_2lox-22: 0.33, iPS_cells:PDB_2lox-21: 0.33, Neurons:ES_cell-derived_neural_precursor: 0.33, iPS_cells:PDB_2lox-17: 0.32 |
T214_TTCGCTGTCCGAAATC-1 | Neurons:adrenal_medulla_cell_line | 0.18 | 668.05 | Raw ScoresNeurons:adrenal_medulla_cell_line: 0.38, Neuroepithelial_cell:ESC-derived: 0.32, iPS_cells:PDB_2lox-22: 0.3, iPS_cells:PDB_2lox-21: 0.3, iPS_cells:PDB_1lox-21Puro-20: 0.3, iPS_cells:PDB_2lox-17: 0.3, iPS_cells:CRL2097_foreskin-derived:undiff.: 0.29, iPS_cells:PDB_1lox-21Puro-26: 0.29, iPS_cells:PDB_1lox-17Puro-10: 0.29, Astrocyte:Embryonic_stem_cell-derived: 0.29 |
T214_AGAAGCGTCCGGCAAC-1 | Neurons:adrenal_medulla_cell_line | 0.18 | 657.19 | Raw ScoresNeurons:adrenal_medulla_cell_line: 0.38, Neuroepithelial_cell:ESC-derived: 0.33, iPS_cells:PDB_2lox-22: 0.3, iPS_cells:PDB_1lox-21Puro-20: 0.3, iPS_cells:PDB_2lox-21: 0.3, iPS_cells:PDB_2lox-17: 0.3, iPS_cells:PDB_2lox-5: 0.3, iPS_cells:PDB_1lox-21Puro-26: 0.3, Astrocyte:Embryonic_stem_cell-derived: 0.3, iPS_cells:PDB_1lox-17Puro-10: 0.29 |
T214_TTAGGGTCAAGCGCTC-1 | Neurons:adrenal_medulla_cell_line | 0.16 | 653.49 | Raw ScoresNeurons:adrenal_medulla_cell_line: 0.35, Neuroepithelial_cell:ESC-derived: 0.3, Astrocyte:Embryonic_stem_cell-derived: 0.29, iPS_cells:PDB_2lox-22: 0.27, iPS_cells:PDB_2lox-17: 0.27, iPS_cells:PDB_1lox-21Puro-20: 0.27, iPS_cells:PDB_2lox-21: 0.27, iPS_cells:PDB_2lox-5: 0.27, iPS_cells:CRL2097_foreskin-derived:undiff.: 0.27, iPS_cells:PDB_1lox-17Puro-10: 0.27 |
T214_CGAGTTAGTATGAAGT-1 | Neurons:adrenal_medulla_cell_line | 0.22 | 651.65 | Raw ScoresNeurons:adrenal_medulla_cell_line: 0.41, Neuroepithelial_cell:ESC-derived: 0.37, iPS_cells:PDB_1lox-21Puro-20: 0.34, iPS_cells:PDB_1lox-21Puro-26: 0.34, Neurons:ES_cell-derived_neural_precursor: 0.34, iPS_cells:PDB_1lox-17Puro-10: 0.34, iPS_cells:PDB_2lox-22: 0.34, iPS_cells:PDB_1lox-17Puro-5: 0.34, iPS_cells:PDB_2lox-17: 0.33, iPS_cells:PDB_2lox-21: 0.33 |
T214_TTCATTGAGTTGAATG-1 | Neurons:adrenal_medulla_cell_line | 0.16 | 649.96 | Raw ScoresNeurons:adrenal_medulla_cell_line: 0.32, Neuroepithelial_cell:ESC-derived: 0.28, Astrocyte:Embryonic_stem_cell-derived: 0.27, iPS_cells:PDB_1lox-21Puro-20: 0.25, iPS_cells:PDB_2lox-21: 0.25, iPS_cells:PDB_2lox-22: 0.25, iPS_cells:PDB_2lox-17: 0.25, iPS_cells:PDB_1lox-21Puro-26: 0.25, iPS_cells:PDB_1lox-17Puro-10: 0.25, iPS_cells:PDB_1lox-17Puro-5: 0.25 |
T214_CTGTGGGCACATTCGA-1 | Neurons:adrenal_medulla_cell_line | 0.15 | 643.91 | Raw ScoresNeurons:adrenal_medulla_cell_line: 0.31, Neuroepithelial_cell:ESC-derived: 0.26, Astrocyte:Embryonic_stem_cell-derived: 0.25, iPS_cells:PDB_2lox-17: 0.24, iPS_cells:PDB_2lox-22: 0.24, iPS_cells:PDB_2lox-5: 0.24, iPS_cells:PDB_1lox-21Puro-20: 0.24, iPS_cells:PDB_2lox-21: 0.24, Embryonic_stem_cells: 0.24, iPS_cells:PDB_1lox-21Puro-26: 0.23 |
T214_CTCCCAAGTTCGTAAC-1 | Neurons:adrenal_medulla_cell_line | 0.21 | 643.50 | Raw ScoresNeurons:adrenal_medulla_cell_line: 0.41, Neuroepithelial_cell:ESC-derived: 0.37, iPS_cells:PDB_1lox-21Puro-20: 0.34, iPS_cells:PDB_2lox-22: 0.34, iPS_cells:PDB_2lox-17: 0.33, iPS_cells:PDB_2lox-21: 0.33, iPS_cells:PDB_1lox-21Puro-26: 0.33, iPS_cells:PDB_1lox-17Puro-10: 0.33, iPS_cells:PDB_2lox-5: 0.33, Neurons:ES_cell-derived_neural_precursor: 0.33 |
T214_TCAGCCTAGACATAGT-1 | Neurons:adrenal_medulla_cell_line | 0.22 | 638.00 | Raw ScoresNeurons:adrenal_medulla_cell_line: 0.39, Neuroepithelial_cell:ESC-derived: 0.34, Astrocyte:Embryonic_stem_cell-derived: 0.32, Neurons:ES_cell-derived_neural_precursor: 0.31, iPS_cells:PDB_1lox-21Puro-20: 0.3, iPS_cells:PDB_1lox-21Puro-26: 0.3, iPS_cells:PDB_1lox-17Puro-10: 0.3, iPS_cells:PDB_2lox-22: 0.3, iPS_cells:PDB_2lox-21: 0.29, iPS_cells:PDB_1lox-17Puro-5: 0.29 |
T214_GCCAGTGGTGGGTCAA-1 | Neurons:adrenal_medulla_cell_line | 0.23 | 632.05 | Raw ScoresNeurons:adrenal_medulla_cell_line: 0.42, Neuroepithelial_cell:ESC-derived: 0.37, iPS_cells:PDB_1lox-21Puro-20: 0.34, Astrocyte:Embryonic_stem_cell-derived: 0.34, iPS_cells:PDB_1lox-17Puro-10: 0.34, iPS_cells:PDB_1lox-21Puro-26: 0.34, Neurons:ES_cell-derived_neural_precursor: 0.33, iPS_cells:PDB_1lox-17Puro-5: 0.33, iPS_cells:PDB_2lox-22: 0.33, Embryonic_stem_cells: 0.33 |
T214_CCTTCAGCAAGCACCC-1 | Neurons:adrenal_medulla_cell_line | 0.20 | 630.20 | Raw ScoresNeurons:adrenal_medulla_cell_line: 0.38, Neuroepithelial_cell:ESC-derived: 0.32, Astrocyte:Embryonic_stem_cell-derived: 0.3, iPS_cells:PDB_1lox-21Puro-20: 0.3, iPS_cells:PDB_2lox-22: 0.3, iPS_cells:PDB_1lox-21Puro-26: 0.29, iPS_cells:PDB_2lox-21: 0.29, iPS_cells:PDB_2lox-17: 0.29, iPS_cells:PDB_1lox-17Puro-5: 0.29, iPS_cells:PDB_1lox-17Puro-10: 0.29 |
T214_AACAACCAGCTTTCTT-1 | Neurons:adrenal_medulla_cell_line | 0.17 | 624.23 | Raw ScoresNeurons:adrenal_medulla_cell_line: 0.35, Neuroepithelial_cell:ESC-derived: 0.3, Astrocyte:Embryonic_stem_cell-derived: 0.28, iPS_cells:PDB_1lox-21Puro-20: 0.28, iPS_cells:PDB_1lox-21Puro-26: 0.28, iPS_cells:PDB_2lox-17: 0.28, iPS_cells:PDB_2lox-22: 0.27, iPS_cells:PDB_2lox-21: 0.27, iPS_cells:PDB_1lox-17Puro-5: 0.27, iPS_cells:PDB_1lox-17Puro-10: 0.27 |
T214_AAGTACCGTTACGTAC-1 | Neurons:adrenal_medulla_cell_line | 0.19 | 604.83 | Raw ScoresNeurons:adrenal_medulla_cell_line: 0.35, Neuroepithelial_cell:ESC-derived: 0.3, Astrocyte:Embryonic_stem_cell-derived: 0.28, Neurons:ES_cell-derived_neural_precursor: 0.27, iPS_cells:PDB_1lox-21Puro-20: 0.27, iPS_cells:PDB_1lox-21Puro-26: 0.27, Embryonic_stem_cells: 0.27, iPS_cells:PDB_1lox-17Puro-10: 0.27, iPS_cells:PDB_2lox-22: 0.27, iPS_cells:PDB_2lox-21: 0.27 |
T214_CACTGAAGTCGAGATG-1 | Neurons:adrenal_medulla_cell_line | 0.17 | 602.41 | Raw ScoresNeurons:adrenal_medulla_cell_line: 0.38, Neuroepithelial_cell:ESC-derived: 0.32, iPS_cells:PDB_1lox-21Puro-20: 0.3, iPS_cells:PDB_2lox-22: 0.3, Astrocyte:Embryonic_stem_cell-derived: 0.3, iPS_cells:PDB_2lox-21: 0.3, iPS_cells:PDB_1lox-21Puro-26: 0.3, iPS_cells:PDB_2lox-17: 0.3, iPS_cells:PDB_1lox-17Puro-10: 0.3, iPS_cells:CRL2097_foreskin-derived:undiff.: 0.3 |
T214_TGGTACATCTCGCTCA-1 | Neurons:adrenal_medulla_cell_line | 0.18 | 592.05 | Raw ScoresNeurons:adrenal_medulla_cell_line: 0.36, Neuroepithelial_cell:ESC-derived: 0.31, Astrocyte:Embryonic_stem_cell-derived: 0.29, iPS_cells:PDB_2lox-21: 0.28, iPS_cells:PDB_2lox-17: 0.28, iPS_cells:PDB_1lox-21Puro-20: 0.28, iPS_cells:PDB_2lox-22: 0.28, iPS_cells:PDB_2lox-5: 0.28, iPS_cells:PDB_1lox-21Puro-26: 0.28, Neurons:ES_cell-derived_neural_precursor: 0.28 |
T214_ACAAGCTAGCAAGGAA-1 | Neurons:adrenal_medulla_cell_line | 0.18 | 591.37 | Raw ScoresNeurons:adrenal_medulla_cell_line: 0.38, Neuroepithelial_cell:ESC-derived: 0.32, Astrocyte:Embryonic_stem_cell-derived: 0.3, iPS_cells:PDB_2lox-22: 0.29, iPS_cells:PDB_1lox-21Puro-20: 0.29, iPS_cells:PDB_2lox-21: 0.29, iPS_cells:PDB_1lox-17Puro-10: 0.29, iPS_cells:PDB_2lox-17: 0.29, iPS_cells:PDB_2lox-5: 0.29, Neurons:ES_cell-derived_neural_precursor: 0.29 |
T214_CCCGAAGCACCAACAT-1 | Neurons:adrenal_medulla_cell_line | 0.24 | 584.87 | Raw ScoresNeurons:adrenal_medulla_cell_line: 0.4, Neuroepithelial_cell:ESC-derived: 0.36, Neurons:ES_cell-derived_neural_precursor: 0.33, iPS_cells:PDB_1lox-21Puro-20: 0.33, iPS_cells:PDB_1lox-17Puro-10: 0.32, iPS_cells:PDB_1lox-21Puro-26: 0.32, Astrocyte:Embryonic_stem_cell-derived: 0.32, iPS_cells:PDB_1lox-17Puro-5: 0.32, iPS_cells:PDB_2lox-22: 0.31, iPS_cells:PDB_2lox-21: 0.31 |
T214_AAAGGATTCCACTGAA-1 | Neurons:adrenal_medulla_cell_line | 0.24 | 582.06 | Raw ScoresNeurons:adrenal_medulla_cell_line: 0.41, Neuroepithelial_cell:ESC-derived: 0.36, iPS_cells:PDB_1lox-21Puro-20: 0.33, iPS_cells:PDB_1lox-21Puro-26: 0.33, iPS_cells:PDB_1lox-17Puro-10: 0.33, iPS_cells:PDB_1lox-17Puro-5: 0.33, Astrocyte:Embryonic_stem_cell-derived: 0.33, Neurons:ES_cell-derived_neural_precursor: 0.32, Embryonic_stem_cells: 0.32, iPS_cells:PDB_2lox-22: 0.32 |
T214_GGGAGTATCAGACCGC-1 | Neurons:adrenal_medulla_cell_line | 0.17 | 575.70 | Raw ScoresNeurons:adrenal_medulla_cell_line: 0.37, Neuroepithelial_cell:ESC-derived: 0.32, iPS_cells:PDB_2lox-22: 0.3, iPS_cells:PDB_2lox-21: 0.3, iPS_cells:PDB_1lox-21Puro-20: 0.3, iPS_cells:PDB_2lox-17: 0.3, iPS_cells:PDB_1lox-21Puro-26: 0.3, iPS_cells:PDB_2lox-5: 0.3, iPS_cells:PDB_1lox-17Puro-10: 0.3, iPS_cells:PDB_1lox-17Puro-5: 0.3 |
T214_ACCTACCGTCCGGTGT-1 | Neurons:adrenal_medulla_cell_line | 0.16 | 567.38 | Raw ScoresNeurons:adrenal_medulla_cell_line: 0.37, Neuroepithelial_cell:ESC-derived: 0.33, iPS_cells:PDB_1lox-21Puro-20: 0.31, Astrocyte:Embryonic_stem_cell-derived: 0.31, iPS_cells:PDB_1lox-21Puro-26: 0.3, iPS_cells:PDB_1lox-17Puro-10: 0.3, iPS_cells:PDB_2lox-22: 0.3, iPS_cells:PDB_2lox-21: 0.3, iPS_cells:PDB_1lox-17Puro-5: 0.3, iPS_cells:PDB_2lox-17: 0.3 |
T214_GGGTGAAAGGAGCAAA-1 | Neurons:adrenal_medulla_cell_line | 0.18 | 563.67 | Raw ScoresNeurons:adrenal_medulla_cell_line: 0.36, Neuroepithelial_cell:ESC-derived: 0.3, Astrocyte:Embryonic_stem_cell-derived: 0.29, iPS_cells:PDB_1lox-21Puro-20: 0.27, iPS_cells:PDB_2lox-17: 0.27, iPS_cells:PDB_2lox-22: 0.27, iPS_cells:PDB_2lox-21: 0.27, iPS_cells:PDB_1lox-17Puro-10: 0.27, iPS_cells:PDB_2lox-5: 0.27, iPS_cells:PDB_1lox-17Puro-5: 0.27 |
T214_TTACGTTAGTATGAAC-1 | Neurons:adrenal_medulla_cell_line | 0.20 | 561.58 | Raw ScoresNeurons:adrenal_medulla_cell_line: 0.37, Neuroepithelial_cell:ESC-derived: 0.31, Astrocyte:Embryonic_stem_cell-derived: 0.3, Neurons:ES_cell-derived_neural_precursor: 0.29, iPS_cells:PDB_1lox-21Puro-20: 0.28, iPS_cells:PDB_1lox-21Puro-26: 0.28, iPS_cells:PDB_1lox-17Puro-10: 0.27, iPS_cells:PDB_2lox-22: 0.27, iPS_cells:PDB_2lox-21: 0.27, iPS_cells:PDB_2lox-17: 0.27 |
T214_TAAGCACAGTCATACC-1 | Neurons:adrenal_medulla_cell_line | 0.19 | 552.37 | Raw ScoresNeurons:adrenal_medulla_cell_line: 0.36, Neuroepithelial_cell:ESC-derived: 0.29, Astrocyte:Embryonic_stem_cell-derived: 0.28, iPS_cells:PDB_1lox-21Puro-20: 0.27, Neurons:ES_cell-derived_neural_precursor: 0.26, iPS_cells:PDB_1lox-21Puro-26: 0.26, iPS_cells:PDB_2lox-22: 0.26, iPS_cells:PDB_2lox-21: 0.26, iPS_cells:PDB_2lox-17: 0.26, iPS_cells:PDB_1lox-17Puro-10: 0.26 |
T214_AACCACACATCCCACT-1 | Neurons:adrenal_medulla_cell_line | 0.18 | 549.87 | Raw ScoresNeurons:adrenal_medulla_cell_line: 0.38, Neuroepithelial_cell:ESC-derived: 0.33, Astrocyte:Embryonic_stem_cell-derived: 0.31, iPS_cells:PDB_2lox-22: 0.3, iPS_cells:PDB_1lox-21Puro-20: 0.3, iPS_cells:PDB_2lox-21: 0.3, iPS_cells:PDB_2lox-17: 0.3, iPS_cells:PDB_1lox-21Puro-26: 0.3, iPS_cells:PDB_1lox-17Puro-10: 0.3, iPS_cells:PDB_1lox-17Puro-5: 0.3 |
T214_AGCTACACAGATCACT-1 | Neurons:adrenal_medulla_cell_line | 0.20 | 549.50 | Raw ScoresNeurons:adrenal_medulla_cell_line: 0.39, Neuroepithelial_cell:ESC-derived: 0.33, Astrocyte:Embryonic_stem_cell-derived: 0.31, iPS_cells:PDB_2lox-22: 0.3, iPS_cells:PDB_1lox-21Puro-20: 0.3, iPS_cells:PDB_2lox-21: 0.3, iPS_cells:PDB_2lox-17: 0.3, iPS_cells:PDB_1lox-21Puro-26: 0.3, iPS_cells:PDB_1lox-17Puro-10: 0.3, iPS_cells:PDB_2lox-5: 0.29 |
T214_ACCACAACATAGTCAC-1 | Neurons:adrenal_medulla_cell_line | 0.16 | 535.39 | Raw ScoresNeurons:adrenal_medulla_cell_line: 0.34, Neuroepithelial_cell:ESC-derived: 0.29, Astrocyte:Embryonic_stem_cell-derived: 0.28, iPS_cells:PDB_1lox-21Puro-20: 0.26, iPS_cells:PDB_1lox-21Puro-26: 0.26, iPS_cells:PDB_1lox-17Puro-5: 0.26, iPS_cells:PDB_2lox-17: 0.26, iPS_cells:PDB_1lox-17Puro-10: 0.26, Neurons:ES_cell-derived_neural_precursor: 0.26, iPS_cells:PDB_2lox-21: 0.26 |
T214_GTAAGTCCACCCTTAC-1 | Neurons:adrenal_medulla_cell_line | 0.21 | 532.60 | Raw ScoresNeurons:adrenal_medulla_cell_line: 0.4, Neuroepithelial_cell:ESC-derived: 0.35, iPS_cells:PDB_1lox-21Puro-20: 0.32, Astrocyte:Embryonic_stem_cell-derived: 0.32, iPS_cells:PDB_1lox-21Puro-26: 0.32, iPS_cells:PDB_1lox-17Puro-10: 0.32, iPS_cells:PDB_1lox-17Puro-5: 0.31, iPS_cells:PDB_2lox-22: 0.31, iPS_cells:PDB_2lox-21: 0.31, iPS_cells:PDB_2lox-17: 0.31 |
T214_TCAAGCATCGTCGGGT-1 | Neurons:adrenal_medulla_cell_line | 0.20 | 519.77 | Raw ScoresNeurons:adrenal_medulla_cell_line: 0.36, Neuroepithelial_cell:ESC-derived: 0.29, Astrocyte:Embryonic_stem_cell-derived: 0.27, iPS_cells:PDB_1lox-21Puro-20: 0.27, iPS_cells:PDB_1lox-21Puro-26: 0.26, iPS_cells:PDB_2lox-22: 0.26, Neurons:ES_cell-derived_neural_precursor: 0.26, iPS_cells:PDB_2lox-17: 0.26, iPS_cells:PDB_2lox-21: 0.26, iPS_cells:PDB_1lox-17Puro-5: 0.26 |
T214_GATAGAACAGTGGCTC-1 | Neurons:adrenal_medulla_cell_line | 0.19 | 516.03 | Raw ScoresNeurons:adrenal_medulla_cell_line: 0.38, Neuroepithelial_cell:ESC-derived: 0.32, Astrocyte:Embryonic_stem_cell-derived: 0.3, iPS_cells:PDB_1lox-21Puro-20: 0.29, Neurons:ES_cell-derived_neural_precursor: 0.29, iPS_cells:PDB_2lox-22: 0.29, iPS_cells:PDB_2lox-21: 0.29, iPS_cells:PDB_1lox-21Puro-26: 0.29, iPS_cells:PDB_1lox-17Puro-10: 0.29, iPS_cells:PDB_2lox-17: 0.29 |
T214_GAGTGAGAGCAGGCTA-1 | Neurons:adrenal_medulla_cell_line | 0.16 | 509.67 | Raw ScoresNeurons:adrenal_medulla_cell_line: 0.36, Neuroepithelial_cell:ESC-derived: 0.31, Astrocyte:Embryonic_stem_cell-derived: 0.29, iPS_cells:PDB_2lox-22: 0.29, iPS_cells:PDB_2lox-21: 0.29, iPS_cells:PDB_1lox-21Puro-20: 0.29, iPS_cells:PDB_2lox-17: 0.28, iPS_cells:PDB_1lox-17Puro-10: 0.28, iPS_cells:CRL2097_foreskin-derived:undiff.: 0.28, iPS_cells:PDB_1lox-21Puro-26: 0.28 |
T214_GTTGCTCCAGGCAATG-1 | Neurons:adrenal_medulla_cell_line | 0.12 | 508.43 | Raw ScoresNeurons:adrenal_medulla_cell_line: 0.34, Neuroepithelial_cell:ESC-derived: 0.29, iPS_cells:adipose_stem_cell-derived:lentiviral: 0.28, Embryonic_stem_cells: 0.28, iPS_cells:iPS:minicircle-derived: 0.28, iPS_cells:PDB_2lox-22: 0.27, iPS_cells:CRL2097_foreskin-derived:undiff.: 0.27, iPS_cells:PDB_2lox-17: 0.27, iPS_cells:adipose_stem_cell-derived:minicircle-derived: 0.27, iPS_cells:PDB_1lox-21Puro-20: 0.27 |
T214_CGAATTGTCCAGCTCT-1 | Neurons:adrenal_medulla_cell_line | 0.24 | 505.67 | Raw ScoresNeurons:adrenal_medulla_cell_line: 0.41, Neuroepithelial_cell:ESC-derived: 0.36, Neurons:ES_cell-derived_neural_precursor: 0.33, iPS_cells:PDB_1lox-21Puro-20: 0.33, iPS_cells:PDB_1lox-17Puro-10: 0.33, iPS_cells:PDB_1lox-21Puro-26: 0.33, iPS_cells:PDB_1lox-17Puro-5: 0.32, Astrocyte:Embryonic_stem_cell-derived: 0.32, iPS_cells:PDB_2lox-22: 0.32, iPS_cells:PDB_2lox-21: 0.32 |
T214_TCGGGTGGTGTTCCTC-1 | Neurons:adrenal_medulla_cell_line | 0.18 | 502.16 | Raw ScoresNeurons:adrenal_medulla_cell_line: 0.37, Neuroepithelial_cell:ESC-derived: 0.31, Astrocyte:Embryonic_stem_cell-derived: 0.29, iPS_cells:PDB_1lox-21Puro-20: 0.29, iPS_cells:PDB_2lox-22: 0.29, iPS_cells:PDB_2lox-5: 0.29, iPS_cells:PDB_2lox-21: 0.29, iPS_cells:PDB_2lox-17: 0.29, iPS_cells:PDB_1lox-17Puro-10: 0.28, iPS_cells:PDB_1lox-21Puro-26: 0.28 |
T214_AACCAACCATCGGAGA-1 | Neurons:adrenal_medulla_cell_line | 0.14 | 499.87 | Raw ScoresNeurons:adrenal_medulla_cell_line: 0.32, Neuroepithelial_cell:ESC-derived: 0.26, Astrocyte:Embryonic_stem_cell-derived: 0.25, Tissue_stem_cells:CD326-CD56+: 0.24, iPS_cells:PDB_2lox-21: 0.24, iPS_cells:PDB_2lox-17: 0.24, iPS_cells:PDB_1lox-21Puro-20: 0.24, iPS_cells:PDB_2lox-22: 0.24, iPS_cells:iPS:minicircle-derived: 0.23, Embryonic_stem_cells: 0.23 |
T214_TATACCTTCCGGTAAT-1 | Neurons:adrenal_medulla_cell_line | 0.18 | 497.19 | Raw ScoresNeurons:adrenal_medulla_cell_line: 0.4, Neuroepithelial_cell:ESC-derived: 0.34, iPS_cells:PDB_1lox-21Puro-20: 0.32, iPS_cells:PDB_2lox-17: 0.32, iPS_cells:PDB_2lox-22: 0.32, iPS_cells:PDB_2lox-21: 0.32, iPS_cells:CRL2097_foreskin-derived:undiff.: 0.32, iPS_cells:PDB_1lox-21Puro-26: 0.32, iPS_cells:PDB_1lox-17Puro-10: 0.32, Embryonic_stem_cells: 0.32 |
T214_TCACAAGAGGTGCCAA-1 | Neurons:adrenal_medulla_cell_line | 0.21 | 495.90 | Raw ScoresNeurons:adrenal_medulla_cell_line: 0.4, Neuroepithelial_cell:ESC-derived: 0.36, iPS_cells:PDB_1lox-21Puro-20: 0.34, iPS_cells:PDB_1lox-21Puro-26: 0.34, iPS_cells:PDB_1lox-17Puro-10: 0.34, iPS_cells:PDB_2lox-22: 0.34, iPS_cells:PDB_1lox-17Puro-5: 0.33, iPS_cells:PDB_2lox-17: 0.33, iPS_cells:PDB_2lox-21: 0.33, Embryonic_stem_cells: 0.33 |
T214_AGGCATTGTCTAATCG-1 | Neurons:adrenal_medulla_cell_line | 0.19 | 494.74 | Raw ScoresNeurons:adrenal_medulla_cell_line: 0.37, Neuroepithelial_cell:ESC-derived: 0.31, Astrocyte:Embryonic_stem_cell-derived: 0.28, iPS_cells:PDB_1lox-21Puro-20: 0.28, iPS_cells:PDB_1lox-17Puro-10: 0.28, iPS_cells:PDB_1lox-21Puro-26: 0.28, Neurons:ES_cell-derived_neural_precursor: 0.28, iPS_cells:PDB_2lox-22: 0.28, iPS_cells:PDB_2lox-21: 0.28, iPS_cells:PDB_1lox-17Puro-5: 0.28 |
T214_CTCAGTCCAACCGCCA-1 | Neurons:adrenal_medulla_cell_line | 0.24 | 480.74 | Raw ScoresNeurons:adrenal_medulla_cell_line: 0.42, Neuroepithelial_cell:ESC-derived: 0.38, iPS_cells:PDB_1lox-21Puro-20: 0.35, iPS_cells:PDB_1lox-21Puro-26: 0.34, iPS_cells:PDB_1lox-17Puro-10: 0.34, iPS_cells:PDB_1lox-17Puro-5: 0.34, Astrocyte:Embryonic_stem_cell-derived: 0.34, iPS_cells:PDB_2lox-22: 0.34, Embryonic_stem_cells: 0.34, Neurons:ES_cell-derived_neural_precursor: 0.34 |
T214_TTGCTGCAGCCATTGT-1 | Neurons:adrenal_medulla_cell_line | 0.24 | 478.77 | Raw ScoresNeurons:adrenal_medulla_cell_line: 0.4, Neuroepithelial_cell:ESC-derived: 0.36, iPS_cells:PDB_1lox-21Puro-20: 0.33, iPS_cells:PDB_1lox-21Puro-26: 0.33, iPS_cells:PDB_1lox-17Puro-10: 0.33, Neurons:ES_cell-derived_neural_precursor: 0.33, Astrocyte:Embryonic_stem_cell-derived: 0.32, iPS_cells:PDB_1lox-17Puro-5: 0.32, iPS_cells:PDB_2lox-22: 0.32, iPS_cells:PDB_2lox-21: 0.32 |
T214_GGGTCACGTGAGGCAT-1 | Neurons:adrenal_medulla_cell_line | 0.20 | 471.92 | Raw ScoresNeurons:adrenal_medulla_cell_line: 0.37, Neuroepithelial_cell:ESC-derived: 0.32, Astrocyte:Embryonic_stem_cell-derived: 0.29, iPS_cells:PDB_1lox-21Puro-20: 0.29, iPS_cells:PDB_2lox-22: 0.29, iPS_cells:PDB_1lox-21Puro-26: 0.28, iPS_cells:PDB_2lox-21: 0.28, iPS_cells:PDB_1lox-17Puro-10: 0.28, iPS_cells:PDB_1lox-17Puro-5: 0.28, Neurons:ES_cell-derived_neural_precursor: 0.28 |
T214_GTGATGTGTACACGTT-1 | Neurons:adrenal_medulla_cell_line | 0.18 | 469.20 | Raw ScoresNeurons:adrenal_medulla_cell_line: 0.37, Neuroepithelial_cell:ESC-derived: 0.31, Astrocyte:Embryonic_stem_cell-derived: 0.29, iPS_cells:PDB_1lox-21Puro-20: 0.28, iPS_cells:PDB_2lox-22: 0.28, iPS_cells:PDB_2lox-21: 0.28, iPS_cells:PDB_1lox-17Puro-10: 0.28, iPS_cells:PDB_2lox-17: 0.28, iPS_cells:PDB_1lox-21Puro-26: 0.28, iPS_cells:PDB_1lox-17Puro-5: 0.28 |
T214_TGCACGGAGTACCGGA-1 | Neurons:adrenal_medulla_cell_line | 0.20 | 468.16 | Raw ScoresNeurons:adrenal_medulla_cell_line: 0.4, Neuroepithelial_cell:ESC-derived: 0.37, iPS_cells:PDB_1lox-21Puro-20: 0.35, iPS_cells:PDB_2lox-22: 0.35, iPS_cells:PDB_1lox-21Puro-26: 0.35, iPS_cells:PDB_2lox-17: 0.34, iPS_cells:PDB_2lox-21: 0.34, iPS_cells:PDB_1lox-17Puro-10: 0.34, iPS_cells:PDB_1lox-17Puro-5: 0.34, iPS_cells:CRL2097_foreskin-derived:undiff.: 0.34 |
T214_TCGAACACAATCCTAG-1 | Neurons:adrenal_medulla_cell_line | 0.19 | 467.16 | Raw ScoresNeurons:adrenal_medulla_cell_line: 0.38, Neuroepithelial_cell:ESC-derived: 0.32, Astrocyte:Embryonic_stem_cell-derived: 0.3, iPS_cells:PDB_1lox-21Puro-20: 0.3, iPS_cells:PDB_2lox-22: 0.3, iPS_cells:PDB_2lox-21: 0.3, iPS_cells:PDB_1lox-17Puro-10: 0.3, iPS_cells:PDB_1lox-21Puro-26: 0.3, iPS_cells:PDB_2lox-17: 0.3, iPS_cells:PDB_2lox-5: 0.29 |
T214_TCCATGCGTGTTAGCT-1 | Neurons:adrenal_medulla_cell_line | 0.18 | 466.99 | Raw ScoresNeurons:adrenal_medulla_cell_line: 0.34, Neuroepithelial_cell:ESC-derived: 0.29, Astrocyte:Embryonic_stem_cell-derived: 0.27, iPS_cells:PDB_1lox-17Puro-10: 0.26, iPS_cells:PDB_1lox-21Puro-20: 0.26, iPS_cells:PDB_1lox-17Puro-5: 0.26, iPS_cells:PDB_1lox-21Puro-26: 0.25, iPS_cells:PDB_2lox-5: 0.25, Neurons:ES_cell-derived_neural_precursor: 0.25, iPS_cells:PDB_2lox-22: 0.25 |
T214_GAAGGGTTCTGCACCT-1 | Neurons:adrenal_medulla_cell_line | 0.18 | 465.62 | Raw ScoresNeurons:adrenal_medulla_cell_line: 0.38, Neuroepithelial_cell:ESC-derived: 0.33, Astrocyte:Embryonic_stem_cell-derived: 0.31, iPS_cells:PDB_2lox-22: 0.31, iPS_cells:PDB_1lox-21Puro-20: 0.31, iPS_cells:PDB_2lox-17: 0.3, iPS_cells:PDB_2lox-21: 0.3, iPS_cells:PDB_1lox-17Puro-5: 0.3, iPS_cells:PDB_2lox-5: 0.3, iPS_cells:PDB_1lox-21Puro-26: 0.3 |
Below shows the significant enrichments of this GEP for literature curated gene lists
This data was procured from existing single cell RNA-seq maps of neuroblastoma or related relevant data.
High ranks indicate this gene is a driver of this GEP.
These curated gene list are ranked by the P-value (on this GEP) of their constituent genes.
The Mean Count column shows the mean read count in cells scoring highly (H > 50) on this gene expression program.
Genes | Weight | Rank | GTEx | DepMap | Decartes | Mean.Counts | Mean.TPM |
---|---|---|---|---|---|---|---|
STMN2 | 0.0067193 | 8 | GTEx | DepMap | Descartes | 95.77 | 6173.16 |
ELAVL4 | 0.0051906 | 15 | GTEx | DepMap | Descartes | 18.16 | 555.32 |
NEFM | 0.0041583 | 29 | GTEx | DepMap | Descartes | 5.48 | 202.02 |
BASP1 | 0.0040627 | 32 | GTEx | DepMap | Descartes | 28.89 | 1998.16 |
NEFL | 0.0023036 | 181 | GTEx | DepMap | Descartes | 3.12 | 102.26 |
INA | 0.0019281 | 266 | GTEx | DepMap | Descartes | 3.63 | 138.08 |
RTN1 | 0.0018612 | 300 | GTEx | DepMap | Descartes | 15.45 | 584.10 |
ISL1 | 0.0012910 | 630 | GTEx | DepMap | Descartes | 5.99 | 321.77 |
CCND1 | 0.0008892 | 1093 | GTEx | DepMap | Descartes | 18.37 | 578.36 |
STMN1 | 0.0006683 | 1564 | GTEx | DepMap | Descartes | 38.32 | 1537.21 |
ELAVL3 | 0.0004791 | 2199 | GTEx | DepMap | Descartes | 4.21 | 107.26 |
Medulla (Hanemaaijer)
Marker genes obtained from Supplementary Table SD of Hanemaaijer et al (PMID 33500353). The authors generated single-cell RNA-seq data (sort-seq, 2,229 cells total) from mouse adrenal glads at E13.5, E14.5, E17.5, E18.5, P1 and P5. These were marker genes that matched with a similar dataset generated by Furlan et al (PMID 28684471). This particular set of markers are for genes defining the broad group labelled adrenal medulla, which included 7 subclusters (SCP, Bridge, Committed Progenitor, N Chromaffin, E Chromaffin, Neuroblast) - see UMAP on their Fig1B for cluster assignments.:
Wilcoxon ranksum test P-value for gene set overrepresentation: 6.75e-05
Mean rank of genes in gene set: 2819.94
Rank on gene expression program of genes in gene set:
Genes | Weight | Rank | GTEx | DepMap | Decartes | Mean.Counts | Mean.TPM |
---|---|---|---|---|---|---|---|
PHOX2A | 0.0062090 | 11 | GTEx | DepMap | Descartes | 25.20 | 1879.38 |
CHGA | 0.0042274 | 28 | GTEx | DepMap | Descartes | 8.91 | 570.12 |
SLC18A1 | 0.0031394 | 73 | GTEx | DepMap | Descartes | 0.94 | 39.17 |
MAP1B | 0.0023546 | 168 | GTEx | DepMap | Descartes | 24.04 | 255.35 |
DBH | 0.0020023 | 243 | GTEx | DepMap | Descartes | 9.96 | 465.69 |
EML5 | 0.0018034 | 321 | GTEx | DepMap | Descartes | 1.77 | 24.17 |
GATA3 | 0.0013305 | 594 | GTEx | DepMap | Descartes | 8.53 | 353.23 |
DISP2 | 0.0012716 | 645 | GTEx | DepMap | Descartes | 0.62 | 6.05 |
DDC | 0.0007313 | 1406 | GTEx | DepMap | Descartes | 2.20 | 143.46 |
TH | 0.0006542 | 1600 | GTEx | DepMap | Descartes | 4.19 | 289.45 |
CYB561 | 0.0004482 | 2329 | GTEx | DepMap | Descartes | 1.73 | 72.97 |
UCHL1 | 0.0001487 | 4108 | GTEx | DepMap | Descartes | 12.36 | 940.05 |
NNAT | 0.0000783 | 4673 | GTEx | DepMap | Descartes | 5.55 | 547.98 |
HAND2 | -0.0000129 | 5669 | GTEx | DepMap | Descartes | 6.32 | 287.69 |
CHGB | -0.0005066 | 11271 | GTEx | DepMap | Descartes | 6.96 | 350.18 |
PCSK1N | -0.0007654 | 11980 | GTEx | DepMap | Descartes | 6.70 | 762.03 |
Adrenergic Fig 1D (Olsen)
Similar to above, but for selected adrenergic marker genes:
Wilcoxon ranksum test P-value for gene set overrepresentation: 7.69e-05
Mean rank of genes in gene set: 2142.45
Rank on gene expression program of genes in gene set:
Genes | Weight | Rank | GTEx | DepMap | Decartes | Mean.Counts | Mean.TPM |
---|---|---|---|---|---|---|---|
STMN2 | 0.0067193 | 8 | GTEx | DepMap | Descartes | 95.77 | 6173.16 |
ELAVL4 | 0.0051906 | 15 | GTEx | DepMap | Descartes | 18.16 | 555.32 |
MAP1B | 0.0023546 | 168 | GTEx | DepMap | Descartes | 24.04 | 255.35 |
DBH | 0.0020023 | 243 | GTEx | DepMap | Descartes | 9.96 | 465.69 |
RTN1 | 0.0018612 | 300 | GTEx | DepMap | Descartes | 15.45 | 584.10 |
NRG1 | 0.0014266 | 523 | GTEx | DepMap | Descartes | 0.54 | 5.66 |
ISL1 | 0.0012910 | 630 | GTEx | DepMap | Descartes | 5.99 | 321.77 |
TH | 0.0006542 | 1600 | GTEx | DepMap | Descartes | 4.19 | 289.45 |
MLLT11 | 0.0002265 | 3489 | GTEx | DepMap | Descartes | 10.33 | 501.79 |
UCHL1 | 0.0001487 | 4108 | GTEx | DepMap | Descartes | 12.36 | 940.05 |
RGS5 | -0.0017351 | 12483 | GTEx | DepMap | Descartes | 4.34 | 112.01 |
Below shows ranks on this GEP for literature curated gene lists for large gene sets
These include those reported as mesenchymal/adrenergic by Van Groningen et al.
High ranks indicate this gene is a driver of this GEP (note these results are not ordered).
The Mean Count column shows the mean read count in cells scoring highly (H > 50) on this gene expression program.
VanGroningen Adrenergic Genes
Adrenergic marker genes from Supplementary Table 2 of Van Groningen et al. Nature Genetics 2017. These genes were identified by differential expression analysis of mesenchymal-like and adrenergic-like neuroblastoma cell lines.
Wilcoxon ranksum test P-value for gene set overrepresentation: 1.31e-01
Mean rank of genes in gene set: 6044.98
Median rank of genes in gene set: 4913
Rank on gene expression program of top 30 genes in gene set:
Genes | Weight | Rank | GTEx | DepMap | Descartes | Mean.Counts | Mean.TPM |
---|---|---|---|---|---|---|---|
CADM1 | 0.0081174 | 3 | GTEx | DepMap | Descartes | 14.10 | 212.18 |
STMN2 | 0.0067193 | 8 | GTEx | DepMap | Descartes | 95.77 | 6173.16 |
PHOX2A | 0.0062090 | 11 | GTEx | DepMap | Descartes | 25.20 | 1879.38 |
ELAVL4 | 0.0051906 | 15 | GTEx | DepMap | Descartes | 18.16 | 555.32 |
CHGA | 0.0042274 | 28 | GTEx | DepMap | Descartes | 8.91 | 570.12 |
NEFM | 0.0041583 | 29 | GTEx | DepMap | Descartes | 5.48 | 202.02 |
INSM2 | 0.0040589 | 33 | GTEx | DepMap | Descartes | 2.45 | 109.76 |
NCAM1 | 0.0035782 | 47 | GTEx | DepMap | Descartes | 10.08 | 210.90 |
TUBB2B | 0.0030149 | 84 | GTEx | DepMap | Descartes | 48.16 | 3040.99 |
KDM1A | 0.0028759 | 98 | GTEx | DepMap | Descartes | 2.69 | 111.12 |
ELAVL2 | 0.0027273 | 115 | GTEx | DepMap | Descartes | 3.27 | 101.84 |
TUBB2A | 0.0026341 | 127 | GTEx | DepMap | Descartes | 12.27 | 915.90 |
GAP43 | 0.0025738 | 141 | GTEx | DepMap | Descartes | 11.34 | 728.28 |
GDAP1 | 0.0025103 | 146 | GTEx | DepMap | Descartes | 2.03 | 69.50 |
MAP1B | 0.0023546 | 168 | GTEx | DepMap | Descartes | 24.04 | 255.35 |
DPYSL3 | 0.0023146 | 179 | GTEx | DepMap | Descartes | 4.22 | 96.01 |
NEFL | 0.0023036 | 181 | GTEx | DepMap | Descartes | 3.12 | 102.26 |
RIMS3 | 0.0022930 | 184 | GTEx | DepMap | Descartes | 1.31 | 22.57 |
CKB | 0.0022915 | 186 | GTEx | DepMap | Descartes | 16.42 | 1369.44 |
OLA1 | 0.0021865 | 194 | GTEx | DepMap | Descartes | 5.03 | 142.04 |
MAP6 | 0.0021086 | 211 | GTEx | DepMap | Descartes | 2.26 | 65.92 |
PKIA | 0.0021008 | 216 | GTEx | DepMap | Descartes | 2.93 | 90.82 |
DBH | 0.0020023 | 243 | GTEx | DepMap | Descartes | 9.96 | 465.69 |
INA | 0.0019281 | 266 | GTEx | DepMap | Descartes | 3.63 | 138.08 |
RTN1 | 0.0018612 | 300 | GTEx | DepMap | Descartes | 15.45 | 584.10 |
TUB | 0.0018251 | 312 | GTEx | DepMap | Descartes | 1.34 | 28.37 |
CELF2 | 0.0017911 | 331 | GTEx | DepMap | Descartes | 2.13 | 32.49 |
CRMP1 | 0.0017415 | 345 | GTEx | DepMap | Descartes | 6.47 | 253.02 |
OLFM1 | 0.0017403 | 348 | GTEx | DepMap | Descartes | 1.67 | 73.01 |
DACH1 | 0.0017365 | 351 | GTEx | DepMap | Descartes | 0.60 | 14.67 |
VanGroningen Mesenchymal Genes
Mesenchymal marker genes from Supplementary Table 2 of Van Groningen et al. Nature Genetics 2017. These genes were identified by differential expression analysis of mesenchymal-like and adrenergic-like neuroblastoma cell lines.
Wilcoxon ranksum test P-value for gene set overrepresentation: 1.00e+00
Mean rank of genes in gene set: 8289.67
Median rank of genes in gene set: 9365
Rank on gene expression program of top 30 genes in gene set:
Genes | Weight | Rank | GTEx | DepMap | Descartes | Mean.Counts | Mean.TPM |
---|---|---|---|---|---|---|---|
RGS10 | 0.0032898 | 63 | GTEx | DepMap | Descartes | 4.44 | 596.50 |
NRP1 | 0.0030435 | 81 | GTEx | DepMap | Descartes | 2.23 | 49.66 |
FAT1 | 0.0026922 | 118 | GTEx | DepMap | Descartes | 0.57 | 4.75 |
SERPINE2 | 0.0024414 | 161 | GTEx | DepMap | Descartes | 4.61 | 103.35 |
TCF7L2 | 0.0024232 | 162 | GTEx | DepMap | Descartes | 0.78 | 23.84 |
DDOST | 0.0022928 | 185 | GTEx | DepMap | Descartes | 2.23 | 130.58 |
PXDN | 0.0018453 | 305 | GTEx | DepMap | Descartes | 1.10 | 20.66 |
PPIB | 0.0017591 | 338 | GTEx | DepMap | Descartes | 8.76 | 902.04 |
ANXA2 | 0.0017112 | 363 | GTEx | DepMap | Descartes | 8.98 | 324.47 |
DLC1 | 0.0014707 | 487 | GTEx | DepMap | Descartes | 3.96 | 70.65 |
TMEFF2 | 0.0014390 | 510 | GTEx | DepMap | Descartes | 1.62 | 60.15 |
SDC2 | 0.0014356 | 513 | GTEx | DepMap | Descartes | 0.85 | 32.62 |
SSBP4 | 0.0012764 | 639 | GTEx | DepMap | Descartes | 2.18 | 157.81 |
SHC1 | 0.0012718 | 644 | GTEx | DepMap | Descartes | 1.60 | 59.35 |
RBMS1 | 0.0012509 | 663 | GTEx | DepMap | Descartes | 2.70 | 77.46 |
EXTL2 | 0.0012061 | 709 | GTEx | DepMap | Descartes | 0.82 | 31.39 |
ADAM19 | 0.0011667 | 740 | GTEx | DepMap | Descartes | 0.36 | 7.29 |
ROR1 | 0.0011160 | 793 | GTEx | DepMap | Descartes | 0.09 | 1.87 |
KDM5B | 0.0011111 | 799 | GTEx | DepMap | Descartes | 1.40 | 18.95 |
COPA | 0.0010651 | 859 | GTEx | DepMap | Descartes | 1.45 | 33.23 |
GNG12 | 0.0010204 | 913 | GTEx | DepMap | Descartes | 0.28 | 7.47 |
GNAI1 | 0.0009745 | 979 | GTEx | DepMap | Descartes | 1.18 | 14.39 |
PLAGL1 | 0.0009383 | 1025 | GTEx | DepMap | Descartes | 0.64 | 12.77 |
PLOD2 | 0.0009068 | 1063 | GTEx | DepMap | Descartes | 0.22 | 7.18 |
TPM2 | 0.0008113 | 1231 | GTEx | DepMap | Descartes | 1.63 | 118.78 |
FLRT2 | 0.0008016 | 1248 | GTEx | DepMap | Descartes | 0.38 | 1.42 |
GPC6 | 0.0007644 | 1326 | GTEx | DepMap | Descartes | 0.27 | 4.66 |
CTNNA1 | 0.0006883 | 1502 | GTEx | DepMap | Descartes | 1.13 | 37.58 |
ACTN1 | 0.0006655 | 1575 | GTEx | DepMap | Descartes | 1.44 | 39.12 |
SLC39A14 | 0.0006593 | 1592 | GTEx | DepMap | Descartes | 0.31 | 8.47 |
Descartes adrenocortical markers
Top 50 marker genes of adrenocortical cells in the Decartes fetal adrenal single cell map (https://atlas.brotmanbaty.org/bbi/human-gene-expression-during-development/cell/adrenocortical/in/adrenal)
Wilcoxon ranksum test P-value for gene set overrepresentation: 8.31e-01
Mean rank of genes in gene set: 6852.33
Median rank of genes in gene set: 7024
Rank on gene expression program of top 30 genes in gene set:
Genes | Weight | Rank | GTEx | DepMap | Descartes | Mean.Counts | Mean.TPM |
---|---|---|---|---|---|---|---|
TM7SF2 | 0.0024886 | 149 | GTEx | DepMap | Descartes | 1.57 | 92.89 |
FRMD5 | 0.0016359 | 401 | GTEx | DepMap | Descartes | 0.35 | 8.48 |
IGF1R | 0.0014787 | 482 | GTEx | DepMap | Descartes | 1.15 | 12.09 |
DNER | 0.0012173 | 692 | GTEx | DepMap | Descartes | 1.14 | 45.97 |
SH3PXD2B | 0.0006444 | 1627 | GTEx | DepMap | Descartes | 0.21 | 3.32 |
DHCR24 | 0.0004715 | 2233 | GTEx | DepMap | Descartes | 0.33 | 6.83 |
NPC1 | 0.0001763 | 3878 | GTEx | DepMap | Descartes | 0.16 | 4.55 |
PDE10A | 0.0001279 | 4241 | GTEx | DepMap | Descartes | 0.24 | 3.64 |
GSTA4 | 0.0001243 | 4268 | GTEx | DepMap | Descartes | 1.58 | 110.54 |
JAKMIP2 | 0.0001079 | 4412 | GTEx | DepMap | Descartes | 0.81 | 11.54 |
GRAMD1B | 0.0000756 | 4700 | GTEx | DepMap | Descartes | 0.10 | 1.51 |
SCAP | 0.0000375 | 5076 | GTEx | DepMap | Descartes | 0.42 | 12.48 |
PEG3 | 0.0000070 | 5408 | GTEx | DepMap | Descartes | 0.59 | NA |
STAR | -0.0000258 | 5851 | GTEx | DepMap | Descartes | 0.03 | 0.78 |
DHCR7 | -0.0000479 | 6217 | GTEx | DepMap | Descartes | 0.22 | 9.59 |
INHA | -0.0000514 | 6266 | GTEx | DepMap | Descartes | 0.02 | 2.14 |
FREM2 | -0.0000560 | 6347 | GTEx | DepMap | Descartes | 0.00 | 0.00 |
SLC16A9 | -0.0000768 | 6713 | GTEx | DepMap | Descartes | 0.17 | 5.07 |
HMGCR | -0.0001100 | 7335 | GTEx | DepMap | Descartes | 0.61 | 16.97 |
MSMO1 | -0.0001649 | 8224 | GTEx | DepMap | Descartes | 0.45 | 24.66 |
SCARB1 | -0.0002076 | 8838 | GTEx | DepMap | Descartes | 0.12 | 2.34 |
SGCZ | -0.0002077 | 8839 | GTEx | DepMap | Descartes | 0.01 | 0.07 |
SLC1A2 | -0.0002398 | 9243 | GTEx | DepMap | Descartes | 0.43 | 4.40 |
FDX1 | -0.0002543 | 9388 | GTEx | DepMap | Descartes | 0.76 | 29.48 |
BAIAP2L1 | -0.0002557 | 9409 | GTEx | DepMap | Descartes | 0.00 | 0.06 |
SH3BP5 | -0.0002834 | 9683 | GTEx | DepMap | Descartes | 0.76 | 31.18 |
POR | -0.0002931 | 9786 | GTEx | DepMap | Descartes | 0.31 | 15.44 |
PAPSS2 | -0.0003315 | 10152 | GTEx | DepMap | Descartes | 0.03 | 1.12 |
LDLR | -0.0003490 | 10297 | GTEx | DepMap | Descartes | 0.08 | 1.53 |
FDXR | -0.0003537 | 10341 | GTEx | DepMap | Descartes | 0.19 | 9.49 |
Descartes chromaffin markers
Top 50 marker genes of chromaffin cells in the Decartes fetal adrenal single cell map (https://atlas.brotmanbaty.org/bbi/human-gene-expression-during-development/cell/chromaffin/in/adrenal)
Wilcoxon ranksum test P-value for gene set overrepresentation: 1.74e-03
Mean rank of genes in gene set: 4624.59
Median rank of genes in gene set: 2405
Rank on gene expression program of top 30 genes in gene set:
Genes | Weight | Rank | GTEx | DepMap | Descartes | Mean.Counts | Mean.TPM |
---|---|---|---|---|---|---|---|
STMN2 | 0.0067193 | 8 | GTEx | DepMap | Descartes | 95.77 | 6173.16 |
BASP1 | 0.0040627 | 32 | GTEx | DepMap | Descartes | 28.89 | 1998.16 |
TUBB2B | 0.0030149 | 84 | GTEx | DepMap | Descartes | 48.16 | 3040.99 |
ELAVL2 | 0.0027273 | 115 | GTEx | DepMap | Descartes | 3.27 | 101.84 |
TUBB2A | 0.0026341 | 127 | GTEx | DepMap | Descartes | 12.27 | 915.90 |
GAP43 | 0.0025738 | 141 | GTEx | DepMap | Descartes | 11.34 | 728.28 |
NTRK1 | 0.0024941 | 148 | GTEx | DepMap | Descartes | 3.30 | 137.62 |
MAP1B | 0.0023546 | 168 | GTEx | DepMap | Descartes | 24.04 | 255.35 |
MAB21L2 | 0.0019957 | 247 | GTEx | DepMap | Descartes | 2.43 | 114.94 |
IL7 | 0.0018872 | 290 | GTEx | DepMap | Descartes | 2.30 | 147.00 |
MAB21L1 | 0.0014870 | 474 | GTEx | DepMap | Descartes | 3.24 | 133.42 |
KCNB2 | 0.0014446 | 506 | GTEx | DepMap | Descartes | 0.59 | 20.57 |
TMEFF2 | 0.0014390 | 510 | GTEx | DepMap | Descartes | 1.62 | 60.15 |
TUBA1A | 0.0014266 | 522 | GTEx | DepMap | Descartes | 76.40 | 4874.25 |
RGMB | 0.0014211 | 524 | GTEx | DepMap | Descartes | 1.66 | 47.47 |
ISL1 | 0.0012910 | 630 | GTEx | DepMap | Descartes | 5.99 | 321.77 |
CNKSR2 | 0.0011203 | 785 | GTEx | DepMap | Descartes | 0.61 | 9.99 |
CCND1 | 0.0008892 | 1093 | GTEx | DepMap | Descartes | 18.37 | 578.36 |
SYNPO2 | 0.0005119 | 2052 | GTEx | DepMap | Descartes | 0.75 | 5.86 |
SLC6A2 | 0.0004728 | 2227 | GTEx | DepMap | Descartes | 0.74 | 26.29 |
HS3ST5 | 0.0004310 | 2405 | GTEx | DepMap | Descartes | 0.25 | 8.79 |
MLLT11 | 0.0002265 | 3489 | GTEx | DepMap | Descartes | 10.33 | 501.79 |
CNTFR | 0.0002074 | 3636 | GTEx | DepMap | Descartes | 1.60 | 100.40 |
MARCH11 | 0.0002055 | 3646 | GTEx | DepMap | Descartes | 2.90 | NA |
RYR2 | 0.0001873 | 3780 | GTEx | DepMap | Descartes | 0.22 | 1.63 |
ANKFN1 | 0.0001109 | 4385 | GTEx | DepMap | Descartes | 0.12 | 3.79 |
PLXNA4 | 0.0000081 | 5394 | GTEx | DepMap | Descartes | 0.58 | 5.52 |
REEP1 | -0.0000942 | 7026 | GTEx | DepMap | Descartes | 0.73 | 22.86 |
ALK | -0.0002553 | 9403 | GTEx | DepMap | Descartes | 0.25 | 5.64 |
FAT3 | -0.0003038 | 9889 | GTEx | DepMap | Descartes | 0.23 | 1.63 |
Descartes Vascular_endothelial markers
Top 50 marker genes of Vascular_endothelial cells in the Decartes fetal adrenal single cell map (https://atlas.brotmanbaty.org/bbi/human-gene-expression-during-development/cell/vascular_endothelial/in/adrenal)
Wilcoxon ranksum test P-value for gene set overrepresentation: 7.54e-01
Mean rank of genes in gene set: 6677.55
Median rank of genes in gene set: 7621
Rank on gene expression program of top 30 genes in gene set:
Genes | Weight | Rank | GTEx | DepMap | Descartes | Mean.Counts | Mean.TPM |
---|---|---|---|---|---|---|---|
CYP26B1 | 0.0107351 | 1 | GTEx | DepMap | Descartes | 2.49 | 66.33 |
EFNB2 | 0.0010277 | 905 | GTEx | DepMap | Descartes | 0.89 | 22.89 |
CLDN5 | 0.0006139 | 1720 | GTEx | DepMap | Descartes | 0.40 | 21.59 |
EHD3 | 0.0005302 | 1990 | GTEx | DepMap | Descartes | 0.09 | 2.29 |
TMEM88 | 0.0004645 | 2263 | GTEx | DepMap | Descartes | 0.18 | 25.10 |
NR5A2 | 0.0002574 | 3304 | GTEx | DepMap | Descartes | 0.01 | 0.21 |
PODXL | 0.0002021 | 3675 | GTEx | DepMap | Descartes | 0.17 | 3.36 |
HYAL2 | 0.0001432 | 4132 | GTEx | DepMap | Descartes | 0.83 | 25.62 |
RAMP2 | 0.0000932 | 4547 | GTEx | DepMap | Descartes | 1.78 | 246.36 |
SHANK3 | 0.0000777 | 4680 | GTEx | DepMap | Descartes | 0.06 | 0.92 |
GALNT15 | 0.0000714 | 4745 | GTEx | DepMap | Descartes | 0.01 | NA |
RASIP1 | 0.0000646 | 4804 | GTEx | DepMap | Descartes | 0.03 | 1.09 |
CDH13 | 0.0000472 | 4986 | GTEx | DepMap | Descartes | 0.07 | 0.98 |
PTPRB | -0.0000605 | 6427 | GTEx | DepMap | Descartes | 0.02 | 0.23 |
NOTCH4 | -0.0000656 | 6504 | GTEx | DepMap | Descartes | 0.26 | 4.65 |
F8 | -0.0000867 | 6898 | GTEx | DepMap | Descartes | 0.01 | 0.14 |
MMRN2 | -0.0000909 | 6977 | GTEx | DepMap | Descartes | 0.01 | 0.23 |
SLCO2A1 | -0.0001061 | 7261 | GTEx | DepMap | Descartes | 0.00 | 0.01 |
MYRIP | -0.0001267 | 7613 | GTEx | DepMap | Descartes | 0.06 | 1.29 |
KDR | -0.0001276 | 7629 | GTEx | DepMap | Descartes | 0.02 | 0.27 |
ESM1 | -0.0001373 | 7766 | GTEx | DepMap | Descartes | 0.00 | 0.05 |
SHE | -0.0001449 | 7893 | GTEx | DepMap | Descartes | 0.00 | 0.01 |
NPR1 | -0.0001454 | 7905 | GTEx | DepMap | Descartes | 0.00 | 0.00 |
PLVAP | -0.0001497 | 7970 | GTEx | DepMap | Descartes | 0.03 | 1.35 |
CDH5 | -0.0001523 | 8019 | GTEx | DepMap | Descartes | 0.01 | 0.18 |
ROBO4 | -0.0001576 | 8109 | GTEx | DepMap | Descartes | 0.02 | 0.40 |
KANK3 | -0.0001585 | 8121 | GTEx | DepMap | Descartes | 0.01 | 0.34 |
TIE1 | -0.0001596 | 8139 | GTEx | DepMap | Descartes | 0.01 | 0.14 |
CRHBP | -0.0001685 | 8280 | GTEx | DepMap | Descartes | 0.00 | 0.07 |
FLT4 | -0.0001687 | 8282 | GTEx | DepMap | Descartes | 0.01 | 0.10 |
Descartes stromal markers
Top 50 marker genes of stromal cells in the Decartes fetal adrenal single cell map (https://atlas.brotmanbaty.org/bbi/human-gene-expression-during-development/cell/stromal/in/adrenal)
Wilcoxon ranksum test P-value for gene set overrepresentation: 9.95e-01
Mean rank of genes in gene set: 7662.98
Median rank of genes in gene set: 8323.5
Rank on gene expression program of top 30 genes in gene set:
Genes | Weight | Rank | GTEx | DepMap | Descartes | Mean.Counts | Mean.TPM |
---|---|---|---|---|---|---|---|
ELN | 0.0034037 | 56 | GTEx | DepMap | Descartes | 0.76 | 23.91 |
GLI2 | 0.0018343 | 307 | GTEx | DepMap | Descartes | 0.05 | 0.95 |
ADAMTS2 | 0.0016644 | 385 | GTEx | DepMap | Descartes | 0.30 | 5.97 |
BICC1 | 0.0003150 | 2971 | GTEx | DepMap | Descartes | 0.09 | 1.99 |
CDH11 | 0.0002655 | 3253 | GTEx | DepMap | Descartes | 0.21 | 3.77 |
GAS2 | 0.0000235 | 5206 | GTEx | DepMap | Descartes | 0.01 | 0.87 |
PRICKLE1 | 0.0000099 | 5367 | GTEx | DepMap | Descartes | 0.38 | 7.78 |
ABCC9 | -0.0000467 | 6194 | GTEx | DepMap | Descartes | 0.01 | 0.12 |
ADAMTSL3 | -0.0000607 | 6438 | GTEx | DepMap | Descartes | 0.00 | 0.02 |
SFRP2 | -0.0000727 | 6653 | GTEx | DepMap | Descartes | 0.00 | 0.03 |
POSTN | -0.0000812 | 6788 | GTEx | DepMap | Descartes | 0.03 | 1.03 |
SCARA5 | -0.0000837 | 6838 | GTEx | DepMap | Descartes | 0.00 | 0.00 |
ITGA11 | -0.0000895 | 6944 | GTEx | DepMap | Descartes | 0.01 | 0.10 |
RSPO3 | -0.0000900 | 6956 | GTEx | DepMap | Descartes | 0.00 | NA |
IGFBP3 | -0.0000981 | 7100 | GTEx | DepMap | Descartes | 0.03 | 1.45 |
CLDN11 | -0.0001072 | 7280 | GTEx | DepMap | Descartes | 0.04 | 1.38 |
DKK2 | -0.0001536 | 8042 | GTEx | DepMap | Descartes | 0.00 | 0.08 |
FREM1 | -0.0001646 | 8219 | GTEx | DepMap | Descartes | 0.00 | 0.04 |
ACTA2 | -0.0001648 | 8222 | GTEx | DepMap | Descartes | 0.30 | 16.43 |
LAMC3 | -0.0001663 | 8242 | GTEx | DepMap | Descartes | 0.00 | 0.00 |
PAMR1 | -0.0001695 | 8288 | GTEx | DepMap | Descartes | 0.00 | 0.08 |
ABCA6 | -0.0001701 | 8300 | GTEx | DepMap | Descartes | 0.00 | 0.04 |
OGN | -0.0001739 | 8347 | GTEx | DepMap | Descartes | 0.00 | 0.05 |
EDNRA | -0.0001751 | 8364 | GTEx | DepMap | Descartes | 0.01 | 0.24 |
MGP | -0.0001757 | 8374 | GTEx | DepMap | Descartes | 0.11 | 4.61 |
C7 | -0.0001759 | 8378 | GTEx | DepMap | Descartes | 0.01 | 0.08 |
COL27A1 | -0.0001771 | 8397 | GTEx | DepMap | Descartes | 0.00 | 0.02 |
PRRX1 | -0.0001848 | 8518 | GTEx | DepMap | Descartes | 0.02 | 0.43 |
LUM | -0.0001984 | 8713 | GTEx | DepMap | Descartes | 0.00 | 0.11 |
DCN | -0.0002090 | 8854 | GTEx | DepMap | Descartes | 0.00 | 0.00 |
Descartes sympathoblasts markers
Top 50 marker genes of sympathoblasts cells in the Decartes fetal adrenal single cell map (https://atlas.brotmanbaty.org/bbi/human-gene-expression-during-development/cell/sympathoblasts/in/adrenal)
Wilcoxon ranksum test P-value for gene set overrepresentation: 8.75e-01
Mean rank of genes in gene set: 6951.05
Median rank of genes in gene set: 7625
Rank on gene expression program of top 30 genes in gene set:
Genes | Weight | Rank | GTEx | DepMap | Descartes | Mean.Counts | Mean.TPM |
---|---|---|---|---|---|---|---|
CHGA | 0.0042274 | 28 | GTEx | DepMap | Descartes | 8.91 | 570.12 |
SLC18A1 | 0.0031394 | 73 | GTEx | DepMap | Descartes | 0.94 | 39.17 |
CDH12 | 0.0023415 | 172 | GTEx | DepMap | Descartes | 0.27 | 8.20 |
KCTD16 | 0.0012056 | 710 | GTEx | DepMap | Descartes | 1.27 | 11.59 |
FAM155A | 0.0010394 | 889 | GTEx | DepMap | Descartes | 0.88 | 11.37 |
CDH18 | 0.0009841 | 967 | GTEx | DepMap | Descartes | 0.16 | 4.38 |
SPOCK3 | 0.0007940 | 1262 | GTEx | DepMap | Descartes | 0.26 | 10.66 |
MGAT4C | 0.0007289 | 1414 | GTEx | DepMap | Descartes | 0.49 | 2.31 |
ROBO1 | 0.0006395 | 1640 | GTEx | DepMap | Descartes | 0.59 | 9.52 |
AGBL4 | 0.0002902 | 3106 | GTEx | DepMap | Descartes | 0.15 | 5.19 |
PACRG | 0.0002676 | 3240 | GTEx | DepMap | Descartes | 0.18 | 13.88 |
C1QL1 | 0.0001837 | 3813 | GTEx | DepMap | Descartes | 2.57 | 216.42 |
CNTN3 | 0.0001285 | 4236 | GTEx | DepMap | Descartes | 0.02 | 0.40 |
TBX20 | 0.0000777 | 4679 | GTEx | DepMap | Descartes | 0.06 | 4.54 |
SLC35F3 | -0.0000052 | 5558 | GTEx | DepMap | Descartes | 0.01 | 0.33 |
PENK | -0.0000563 | 6350 | GTEx | DepMap | Descartes | 0.00 | 0.18 |
CCSER1 | -0.0000848 | 6860 | GTEx | DepMap | Descartes | 0.10 | NA |
GRM7 | -0.0000976 | 7090 | GTEx | DepMap | Descartes | 0.00 | 0.09 |
UNC80 | -0.0001022 | 7179 | GTEx | DepMap | Descartes | 0.53 | 4.93 |
ST18 | -0.0001557 | 8071 | GTEx | DepMap | Descartes | 0.00 | 0.02 |
SORCS3 | -0.0001720 | 8321 | GTEx | DepMap | Descartes | 0.01 | 0.07 |
GRID2 | -0.0001911 | 8608 | GTEx | DepMap | Descartes | 0.31 | 6.83 |
EML6 | -0.0002015 | 8755 | GTEx | DepMap | Descartes | 0.10 | 1.24 |
SLC24A2 | -0.0002213 | 9019 | GTEx | DepMap | Descartes | 0.01 | 0.16 |
FGF14 | -0.0004160 | 10778 | GTEx | DepMap | Descartes | 0.15 | 1.36 |
TIAM1 | -0.0004576 | 11012 | GTEx | DepMap | Descartes | 0.26 | 4.26 |
LAMA3 | -0.0004699 | 11073 | GTEx | DepMap | Descartes | 0.03 | 0.28 |
CHGB | -0.0005066 | 11271 | GTEx | DepMap | Descartes | 6.96 | 350.18 |
GALNTL6 | -0.0005442 | 11427 | GTEx | DepMap | Descartes | 0.04 | 1.38 |
NTNG1 | -0.0005495 | 11453 | GTEx | DepMap | Descartes | 0.15 | 3.14 |
Descartes erythroblasts markers
Top 50 marker genes of erythroblasts cells in the Decartes fetal adrenal single cell map (https://atlas.brotmanbaty.org/bbi/human-gene-expression-during-development/cell/erythroblasts/in/adrenal)
Wilcoxon ranksum test P-value for gene set overrepresentation: 4.60e-01
Mean rank of genes in gene set: 6207.66
Median rank of genes in gene set: 5822
Rank on gene expression program of top 30 genes in gene set:
Genes | Weight | Rank | GTEx | DepMap | Descartes | Mean.Counts | Mean.TPM |
---|---|---|---|---|---|---|---|
SLC25A37 | 0.0018898 | 287 | GTEx | DepMap | Descartes | 1.44 | 40.01 |
ANK1 | 0.0012055 | 711 | GTEx | DepMap | Descartes | 0.34 | 5.09 |
TFR2 | 0.0008346 | 1184 | GTEx | DepMap | Descartes | 0.30 | 10.98 |
EPB41 | 0.0007822 | 1284 | GTEx | DepMap | Descartes | 1.34 | 26.17 |
TSPAN5 | 0.0005937 | 1781 | GTEx | DepMap | Descartes | 1.54 | 47.15 |
XPO7 | 0.0002846 | 3138 | GTEx | DepMap | Descartes | 0.41 | 10.44 |
ABCB10 | 0.0002722 | 3216 | GTEx | DepMap | Descartes | 0.15 | 4.63 |
TMCC2 | 0.0002150 | 3581 | GTEx | DepMap | Descartes | 0.17 | 5.50 |
DENND4A | 0.0001280 | 4240 | GTEx | DepMap | Descartes | 0.52 | 7.83 |
RAPGEF2 | 0.0001137 | 4360 | GTEx | DepMap | Descartes | 0.50 | 7.93 |
FECH | 0.0000833 | 4626 | GTEx | DepMap | Descartes | 0.25 | 4.14 |
GCLC | -0.0000073 | 5586 | GTEx | DepMap | Descartes | 0.18 | 5.97 |
SNCA | -0.0000113 | 5643 | GTEx | DepMap | Descartes | 0.61 | 23.13 |
CPOX | -0.0000169 | 5726 | GTEx | DepMap | Descartes | 0.09 | 4.03 |
RHD | -0.0000239 | 5822 | GTEx | DepMap | Descartes | 0.00 | 0.05 |
SLC25A21 | -0.0000285 | 5900 | GTEx | DepMap | Descartes | 0.00 | 0.00 |
RGS6 | -0.0000676 | 6538 | GTEx | DepMap | Descartes | 0.00 | 0.00 |
ALAS2 | -0.0000711 | 6614 | GTEx | DepMap | Descartes | 0.00 | 0.06 |
MICAL2 | -0.0000812 | 6789 | GTEx | DepMap | Descartes | 0.04 | 0.86 |
SELENBP1 | -0.0001420 | 7860 | GTEx | DepMap | Descartes | 0.00 | 0.09 |
SLC4A1 | -0.0001749 | 8358 | GTEx | DepMap | Descartes | 0.00 | 0.00 |
MARCH3 | -0.0002374 | 9217 | GTEx | DepMap | Descartes | 0.05 | NA |
TRAK2 | -0.0002682 | 9534 | GTEx | DepMap | Descartes | 0.19 | 3.71 |
SOX6 | -0.0003669 | 10443 | GTEx | DepMap | Descartes | 0.18 | 2.72 |
BLVRB | -0.0004511 | 10981 | GTEx | DepMap | Descartes | 0.10 | 6.95 |
CAT | -0.0004839 | 11154 | GTEx | DepMap | Descartes | 0.24 | 12.73 |
SPTB | -0.0005308 | 11383 | GTEx | DepMap | Descartes | 0.08 | 1.12 |
SPECC1 | -0.0006922 | 11854 | GTEx | DepMap | Descartes | 0.01 | 0.16 |
GYPC | -0.0009751 | 12212 | GTEx | DepMap | Descartes | 0.14 | 7.38 |
NA | NA | NA | NA | NA | NA | NA | NA |
Descartes myeloid markers
Top 50 marker genes of myeloid cells in the Decartes fetal adrenal single cell map (https://atlas.brotmanbaty.org/bbi/human-gene-expression-during-development/cell/myeloid/in/adrenal)
Wilcoxon ranksum test P-value for gene set overrepresentation: 1.00e+00
Mean rank of genes in gene set: 9775.16
Median rank of genes in gene set: 10374
Rank on gene expression program of top 30 genes in gene set:
Genes | Weight | Rank | GTEx | DepMap | Descartes | Mean.Counts | Mean.TPM |
---|---|---|---|---|---|---|---|
FMN1 | 0.0009634 | 984 | GTEx | DepMap | Descartes | 0.45 | 4.34 |
SLC1A3 | 0.0002741 | 3205 | GTEx | DepMap | Descartes | 0.08 | 2.43 |
WWP1 | -0.0000377 | 6050 | GTEx | DepMap | Descartes | 0.19 | 4.93 |
ATP8B4 | -0.0001154 | 7420 | GTEx | DepMap | Descartes | 0.02 | 0.37 |
FGD2 | -0.0002032 | 8777 | GTEx | DepMap | Descartes | 0.01 | 0.11 |
ADAP2 | -0.0002263 | 9087 | GTEx | DepMap | Descartes | 0.07 | 2.91 |
MERTK | -0.0002629 | 9465 | GTEx | DepMap | Descartes | 0.01 | 0.17 |
CPVL | -0.0002691 | 9544 | GTEx | DepMap | Descartes | 0.09 | 2.65 |
RBPJ | -0.0002717 | 9570 | GTEx | DepMap | Descartes | 1.60 | 33.70 |
SLC9A9 | -0.0002755 | 9606 | GTEx | DepMap | Descartes | 0.01 | 0.27 |
CD163 | -0.0003195 | 10036 | GTEx | DepMap | Descartes | 0.01 | 0.23 |
MARCH1 | -0.0003203 | 10046 | GTEx | DepMap | Descartes | 0.03 | NA |
SPP1 | -0.0003227 | 10076 | GTEx | DepMap | Descartes | 0.13 | 7.64 |
ABCA1 | -0.0003309 | 10147 | GTEx | DepMap | Descartes | 0.06 | 0.74 |
HRH1 | -0.0003401 | 10210 | GTEx | DepMap | Descartes | 0.01 | 0.38 |
HCK | -0.0003423 | 10228 | GTEx | DepMap | Descartes | 0.01 | 0.64 |
FGL2 | -0.0003441 | 10252 | GTEx | DepMap | Descartes | 0.06 | 1.18 |
MS4A4A | -0.0003502 | 10309 | GTEx | DepMap | Descartes | 0.06 | 3.19 |
SLCO2B1 | -0.0003577 | 10371 | GTEx | DepMap | Descartes | 0.01 | 0.21 |
RGL1 | -0.0003587 | 10377 | GTEx | DepMap | Descartes | 0.02 | 0.42 |
MSR1 | -0.0003622 | 10407 | GTEx | DepMap | Descartes | 0.02 | 0.41 |
CSF1R | -0.0003639 | 10413 | GTEx | DepMap | Descartes | 0.02 | 0.47 |
CTSB | -0.0003661 | 10434 | GTEx | DepMap | Descartes | 1.21 | 37.25 |
LGMN | -0.0003663 | 10436 | GTEx | DepMap | Descartes | 0.33 | 17.83 |
SFMBT2 | -0.0003713 | 10481 | GTEx | DepMap | Descartes | 0.02 | 0.32 |
AXL | -0.0003795 | 10524 | GTEx | DepMap | Descartes | 0.02 | 0.32 |
CD14 | -0.0003951 | 10642 | GTEx | DepMap | Descartes | 0.22 | 11.64 |
CTSC | -0.0003973 | 10651 | GTEx | DepMap | Descartes | 0.46 | 7.83 |
IFNGR1 | -0.0004093 | 10735 | GTEx | DepMap | Descartes | 0.43 | 22.56 |
CD163L1 | -0.0004107 | 10748 | GTEx | DepMap | Descartes | 0.57 | 16.45 |
Descartes Schwann markers
Top 50 marker genes of Schwann cells in the Decartes fetal adrenal single cell map (https://atlas.brotmanbaty.org/bbi/human-gene-expression-during-development/cell/schwann/in/adrenal)
Wilcoxon ranksum test P-value for gene set overrepresentation: 1.00e+00
Mean rank of genes in gene set: 8262.84
Median rank of genes in gene set: 8978.5
Rank on gene expression program of top 30 genes in gene set:
Genes | Weight | Rank | GTEx | DepMap | Descartes | Mean.Counts | Mean.TPM |
---|---|---|---|---|---|---|---|
GRIK3 | 0.0038039 | 40 | GTEx | DepMap | Descartes | 0.30 | 3.79 |
PPP2R2B | 0.0019150 | 270 | GTEx | DepMap | Descartes | 1.43 | 16.03 |
MARCKS | 0.0017958 | 327 | GTEx | DepMap | Descartes | 18.55 | 525.17 |
DST | 0.0006623 | 1583 | GTEx | DepMap | Descartes | 5.33 | 29.79 |
SLC35F1 | 0.0002232 | 3514 | GTEx | DepMap | Descartes | 0.11 | 2.18 |
MDGA2 | 0.0001231 | 4284 | GTEx | DepMap | Descartes | 0.01 | 0.22 |
LAMB1 | 0.0000806 | 4655 | GTEx | DepMap | Descartes | 0.62 | 13.78 |
NRXN3 | 0.0000271 | 5176 | GTEx | DepMap | Descartes | 0.03 | 0.39 |
NRXN1 | 0.0000029 | 5459 | GTEx | DepMap | Descartes | 1.78 | 23.27 |
IL1RAPL1 | -0.0000297 | 5925 | GTEx | DepMap | Descartes | 0.01 | 0.33 |
IL1RAPL2 | -0.0000310 | 5941 | GTEx | DepMap | Descartes | 0.00 | 0.00 |
GFRA3 | -0.0001014 | 7164 | GTEx | DepMap | Descartes | 0.93 | 63.81 |
PLCE1 | -0.0001028 | 7190 | GTEx | DepMap | Descartes | 0.10 | 1.03 |
HMGA2 | -0.0001108 | 7347 | GTEx | DepMap | Descartes | 0.00 | 0.00 |
MPZ | -0.0001222 | 7556 | GTEx | DepMap | Descartes | 0.02 | 1.42 |
ADAMTS5 | -0.0001265 | 7611 | GTEx | DepMap | Descartes | 0.01 | 0.05 |
XKR4 | -0.0001416 | 7850 | GTEx | DepMap | Descartes | 0.03 | 0.17 |
PLP1 | -0.0001451 | 7898 | GTEx | DepMap | Descartes | 0.01 | 0.26 |
SORCS1 | -0.0001658 | 8238 | GTEx | DepMap | Descartes | 0.15 | 2.54 |
PTPRZ1 | -0.0001922 | 8624 | GTEx | DepMap | Descartes | 0.01 | 0.06 |
ERBB4 | -0.0002062 | 8815 | GTEx | DepMap | Descartes | 0.00 | 0.00 |
ERBB3 | -0.0002074 | 8835 | GTEx | DepMap | Descartes | 0.03 | 0.63 |
EDNRB | -0.0002299 | 9122 | GTEx | DepMap | Descartes | 0.01 | 0.14 |
TRPM3 | -0.0002366 | 9206 | GTEx | DepMap | Descartes | 0.01 | 0.07 |
LRRTM4 | -0.0002727 | 9582 | GTEx | DepMap | Descartes | 0.03 | 1.28 |
OLFML2A | -0.0002946 | 9801 | GTEx | DepMap | Descartes | 0.03 | 0.43 |
LAMC1 | -0.0003100 | 9947 | GTEx | DepMap | Descartes | 0.06 | 0.96 |
KCTD12 | -0.0003138 | 9982 | GTEx | DepMap | Descartes | 0.16 | 2.98 |
STARD13 | -0.0003166 | 10004 | GTEx | DepMap | Descartes | 0.02 | 0.26 |
COL25A1 | -0.0003473 | 10278 | GTEx | DepMap | Descartes | 0.01 | 0.12 |
Descartes Megakaryocytes markers
Top 50 marker genes of Megakaryocytes cells in the Decartes fetal adrenal single cell map (https://atlas.brotmanbaty.org/bbi/human-gene-expression-during-development/cell/megakaryocytes/in/adrenal)
Wilcoxon ranksum test P-value for gene set overrepresentation: 1.00e+00
Mean rank of genes in gene set: 8214.62
Median rank of genes in gene set: 9106
Rank on gene expression program of top 30 genes in gene set:
Genes | Weight | Rank | GTEx | DepMap | Descartes | Mean.Counts | Mean.TPM |
---|---|---|---|---|---|---|---|
DOK6 | 0.0012168 | 694 | GTEx | DepMap | Descartes | 0.49 | 6.45 |
STON2 | 0.0012000 | 718 | GTEx | DepMap | Descartes | 0.40 | 11.69 |
ACTN1 | 0.0006655 | 1575 | GTEx | DepMap | Descartes | 1.44 | 39.12 |
UBASH3B | 0.0004680 | 2251 | GTEx | DepMap | Descartes | 0.12 | 2.43 |
VCL | 0.0003015 | 3045 | GTEx | DepMap | Descartes | 0.34 | 5.05 |
MED12L | 0.0002289 | 3473 | GTEx | DepMap | Descartes | 0.10 | 1.12 |
INPP4B | 0.0000885 | 4589 | GTEx | DepMap | Descartes | 0.16 | 2.21 |
ACTB | 0.0000668 | 4785 | GTEx | DepMap | Descartes | 47.05 | 2509.08 |
PRKAR2B | 0.0000212 | 5232 | GTEx | DepMap | Descartes | 1.14 | 38.45 |
GP1BA | -0.0000170 | 5727 | GTEx | DepMap | Descartes | 0.01 | 0.29 |
TRPC6 | -0.0000855 | 6872 | GTEx | DepMap | Descartes | 0.00 | 0.04 |
RAP1B | -0.0000864 | 6894 | GTEx | DepMap | Descartes | 1.48 | 13.38 |
ARHGAP6 | -0.0000901 | 6958 | GTEx | DepMap | Descartes | 0.00 | 0.05 |
P2RX1 | -0.0000920 | 6995 | GTEx | DepMap | Descartes | 0.00 | 0.02 |
ITGB3 | -0.0001131 | 7385 | GTEx | DepMap | Descartes | 0.00 | 0.00 |
SLC24A3 | -0.0001158 | 7432 | GTEx | DepMap | Descartes | 0.00 | 0.02 |
ANGPT1 | -0.0001448 | 7890 | GTEx | DepMap | Descartes | 0.03 | 0.77 |
MMRN1 | -0.0001544 | 8050 | GTEx | DepMap | Descartes | 0.01 | 0.08 |
TUBB1 | -0.0001554 | 8062 | GTEx | DepMap | Descartes | 0.00 | 0.11 |
MYLK | -0.0001853 | 8523 | GTEx | DepMap | Descartes | 0.07 | 0.64 |
ZYX | -0.0001954 | 8667 | GTEx | DepMap | Descartes | 0.42 | 23.94 |
GSN | -0.0002073 | 8830 | GTEx | DepMap | Descartes | 0.34 | 5.83 |
PSTPIP2 | -0.0002281 | 9106 | GTEx | DepMap | Descartes | 0.01 | 0.15 |
MYH9 | -0.0002325 | 9152 | GTEx | DepMap | Descartes | 0.55 | 8.79 |
LTBP1 | -0.0002459 | 9306 | GTEx | DepMap | Descartes | 0.01 | 0.09 |
THBS1 | -0.0002875 | 9727 | GTEx | DepMap | Descartes | 0.01 | 0.19 |
MCTP1 | -0.0002945 | 9800 | GTEx | DepMap | Descartes | 0.02 | 0.35 |
PDE3A | -0.0002989 | 9839 | GTEx | DepMap | Descartes | 0.14 | 2.21 |
FLI1 | -0.0003273 | 10116 | GTEx | DepMap | Descartes | 0.01 | 0.17 |
PLEK | -0.0003352 | 10175 | GTEx | DepMap | Descartes | 0.07 | 2.09 |
Descartes Lyphoid markers
Top 50 marker genes of Lyphoid cells in the Decartes fetal adrenal single cell map (https://atlas.brotmanbaty.org/bbi/human-gene-expression-during-development/cell/lymphoid/in/adrenal)
Wilcoxon ranksum test P-value for gene set overrepresentation: 1.00e+00
Mean rank of genes in gene set: 9034.67
Median rank of genes in gene set: 11353.5
Rank on gene expression program of top 30 genes in gene set:
Genes | Weight | Rank | GTEx | DepMap | Descartes | Mean.Counts | Mean.TPM |
---|---|---|---|---|---|---|---|
FYN | 0.0020216 | 238 | GTEx | DepMap | Descartes | 3.87 | 132.80 |
CELF2 | 0.0017911 | 331 | GTEx | DepMap | Descartes | 2.13 | 32.49 |
RAP1GAP2 | 0.0011597 | 749 | GTEx | DepMap | Descartes | 0.81 | 15.35 |
TOX | 0.0011027 | 812 | GTEx | DepMap | Descartes | 1.06 | 32.89 |
NCALD | 0.0005032 | 2088 | GTEx | DepMap | Descartes | 0.26 | 8.72 |
CD44 | 0.0004842 | 2175 | GTEx | DepMap | Descartes | 3.33 | 78.20 |
SORL1 | 0.0003634 | 2719 | GTEx | DepMap | Descartes | 0.65 | 7.49 |
STK39 | 0.0002967 | 3071 | GTEx | DepMap | Descartes | 0.77 | 29.28 |
FOXP1 | 0.0002631 | 3269 | GTEx | DepMap | Descartes | 2.71 | 37.72 |
GNG2 | 0.0002179 | 3566 | GTEx | DepMap | Descartes | 1.41 | 46.90 |
LCP1 | -0.0000455 | 6175 | GTEx | DepMap | Descartes | 0.61 | 18.40 |
MCTP2 | -0.0001652 | 8229 | GTEx | DepMap | Descartes | 0.02 | 0.24 |
CCL5 | -0.0002647 | 9493 | GTEx | DepMap | Descartes | 0.20 | 18.04 |
PITPNC1 | -0.0003771 | 10509 | GTEx | DepMap | Descartes | 0.33 | 6.43 |
EVL | -0.0003943 | 10632 | GTEx | DepMap | Descartes | 3.19 | 104.78 |
SAMD3 | -0.0003977 | 10654 | GTEx | DepMap | Descartes | 0.02 | 0.68 |
RCSD1 | -0.0004028 | 10694 | GTEx | DepMap | Descartes | 0.03 | 0.69 |
ITPKB | -0.0004091 | 10731 | GTEx | DepMap | Descartes | 0.01 | 0.28 |
PRKCH | -0.0004924 | 11190 | GTEx | DepMap | Descartes | 0.03 | 0.77 |
SKAP1 | -0.0005007 | 11239 | GTEx | DepMap | Descartes | 0.02 | 1.67 |
PLEKHA2 | -0.0005164 | 11318 | GTEx | DepMap | Descartes | 0.02 | 0.37 |
ANKRD44 | -0.0005321 | 11389 | GTEx | DepMap | Descartes | 0.22 | 3.61 |
ARHGAP15 | -0.0005389 | 11406 | GTEx | DepMap | Descartes | 0.04 | 1.31 |
BACH2 | -0.0005412 | 11416 | GTEx | DepMap | Descartes | 0.20 | 2.59 |
ABLIM1 | -0.0005950 | 11588 | GTEx | DepMap | Descartes | 0.27 | 4.13 |
LEF1 | -0.0005983 | 11601 | GTEx | DepMap | Descartes | 0.05 | 1.35 |
IKZF1 | -0.0006226 | 11660 | GTEx | DepMap | Descartes | 0.08 | 1.41 |
SP100 | -0.0006303 | 11687 | GTEx | DepMap | Descartes | 0.05 | 0.90 |
PDE3B | -0.0006552 | 11762 | GTEx | DepMap | Descartes | 0.21 | 4.50 |
MBNL1 | -0.0006914 | 11852 | GTEx | DepMap | Descartes | 0.39 | 7.15 |
Below shows the ranks on this GEP for immune marker gene lists curated by CellTypist (https://www.celltypist.org/encyclopedia).
High ranks indicate this gene is a driver of this GEP.
These curated gene list are ranked by P-value (on this GEP) of their constituent genes.
The Mean Count column shows the mean read count in cells scoring highly (H > 50) on this gene expression program.
Genes | Weight | Rank | GTEx | DepMap | Decartes | Mean.Counts | Mean.TPM |
---|---|---|---|---|---|---|---|
CADM1 | 0.0081174 | 3 | GTEx | DepMap | Descartes | 14.10 | 212.18 |
BATF3 | 0.0008673 | 1131 | GTEx | DepMap | Descartes | 0.22 | 10.40 |
B cells: Transitional B cells (model markers)
immature B cell precursors in the bone marrow which connect Pre-B cells with mature naive B cells and are subject to the process of B cell selection:
Wilcoxon ranksum test P-value for gene set overrepresentation: 4.61e-02
Mean rank of genes in gene set: 173
Rank on gene expression program of genes in gene set:
Genes | Weight | Rank | GTEx | DepMap | Decartes | Mean.Counts | Mean.TPM |
---|---|---|---|---|---|---|---|
GNG3 | 0.0023341 | 173 | GTEx | DepMap | Descartes | 5.44 | 757.82 |
HSC/MPP: Megakaryocyte-erythroid-mast cell progenitor (model markers)
shared progenitors in the fetal liver which originate from common myeloid progenitors and differentiate into megakaryocytes:
Wilcoxon ranksum test P-value for gene set overrepresentation: 4.64e-02
Mean rank of genes in gene set: 186
Rank on gene expression program of genes in gene set:
Genes | Weight | Rank | GTEx | DepMap | Decartes | Mean.Counts | Mean.TPM |
---|---|---|---|---|---|---|---|
CKB | 0.0022915 | 186 | GTEx | DepMap | Descartes | 16.42 | 1369.44 |