Program description and justification of annotation: 4.
Submit a comment on this gene expression program’s interpretation: CLICK
QQ-plot of gene loadings, averaged over both independent splits of the data
This plot highlights the relative contribution of each gene to the GEP
Top genes driving this program.
Note: Decartes website is buggy, try refreshing. Also, Decartes fetal adrenal data have been collected at specific time points (89-122 days), all possible cell types of interest may not be represented, do not overinterpret.
The Mean Count column shows the mean read count in cells scoring highly (H > 50) on this gene expression program.
Gene | Loading | Gene.Name | GTEx | DepMap | Descartes | Mean.Counts | Mean.Tpm | |
---|---|---|---|---|---|---|---|---|
1 | NBAS | 0.0085947 | NBAS subunit of NRZ tethering complex | GTEx | DepMap | Descartes | 23.28 | 357.61 |
2 | USP18 | 0.0059082 | ubiquitin specific peptidase 18 | GTEx | DepMap | Descartes | 3.96 | 233.54 |
3 | ANTXR1 | 0.0058372 | ANTXR cell adhesion molecule 1 | GTEx | DepMap | Descartes | 7.26 | 144.36 |
4 | SERBP1 | 0.0052495 | SERPINE1 mRNA binding protein 1 | GTEx | DepMap | Descartes | 31.00 | 485.05 |
5 | EZR | 0.0050398 | ezrin | GTEx | DepMap | Descartes | 6.45 | 228.15 |
6 | LMO4 | 0.0048660 | LIM domain only 4 | GTEx | DepMap | Descartes | 5.59 | 115.96 |
7 | SSTR2 | 0.0048542 | somatostatin receptor 2 | GTEx | DepMap | Descartes | 10.64 | 145.09 |
8 | FABP5 | 0.0048147 | fatty acid binding protein 5 | GTEx | DepMap | Descartes | 15.90 | 1737.78 |
9 | SATB1 | 0.0047923 | SATB homeobox 1 | GTEx | DepMap | Descartes | 4.51 | 58.72 |
10 | PRRC2C | 0.0047034 | proline rich coiled-coil 2C | GTEx | DepMap | Descartes | 15.55 | 158.12 |
11 | HNRNPU | 0.0045579 | heterogeneous nuclear ribonucleoprotein U | GTEx | DepMap | Descartes | 26.34 | 212.80 |
12 | TPR | 0.0044340 | translocated promoter region, nuclear basket protein | GTEx | DepMap | Descartes | 13.11 | 147.98 |
13 | RBFOX3 | 0.0044216 | RNA binding fox-1 homolog 3 | GTEx | DepMap | Descartes | 2.77 | 96.44 |
14 | CBX1 | 0.0044127 | chromobox 1 | GTEx | DepMap | Descartes | 14.65 | 627.48 |
15 | NUCKS1 | 0.0044004 | nuclear casein kinase and cyclin dependent kinase substrate 1 | GTEx | DepMap | Descartes | 27.41 | 441.83 |
16 | PARP1 | 0.0043062 | poly(ADP-ribose) polymerase 1 | GTEx | DepMap | Descartes | 14.01 | 358.41 |
17 | CHD3 | 0.0042596 | chromodomain helicase DNA binding protein 3 | GTEx | DepMap | Descartes | 4.98 | 70.69 |
18 | GCHFR | 0.0041011 | GTP cyclohydrolase I feedback regulator | GTEx | DepMap | Descartes | 1.88 | 257.33 |
19 | ENAH | 0.0040828 | ENAH actin regulator | GTEx | DepMap | Descartes | 11.12 | 87.37 |
20 | ZFP36L1 | 0.0040508 | ZFP36 ring finger protein like 1 | GTEx | DepMap | Descartes | 1.38 | 45.79 |
21 | H3F3A | 0.0040072 | NA | GTEx | DepMap | Descartes | 76.07 | NA |
22 | AKAP12 | 0.0039759 | A-kinase anchoring protein 12 | GTEx | DepMap | Descartes | 9.08 | 111.96 |
23 | MEX3A | 0.0039723 | mex-3 RNA binding family member A | GTEx | DepMap | Descartes | 5.36 | 79.26 |
24 | KPNB1 | 0.0038764 | karyopherin subunit beta 1 | GTEx | DepMap | Descartes | 13.19 | 217.40 |
25 | SMARCC1 | 0.0038599 | SWI/SNF related, matrix associated, actin dependent regulator of chromatin subfamily c member 1 | GTEx | DepMap | Descartes | 7.56 | 123.67 |
26 | TOMM20 | 0.0038336 | translocase of outer mitochondrial membrane 20 | GTEx | DepMap | Descartes | 18.95 | 609.57 |
27 | FOS | 0.0037843 | Fos proto-oncogene, AP-1 transcription factor subunit | GTEx | DepMap | Descartes | 5.74 | 283.10 |
28 | ST13 | 0.0037646 | ST13 Hsp70 interacting protein | GTEx | DepMap | Descartes | 12.07 | 400.67 |
29 | CENPF | 0.0036536 | centromere protein F | GTEx | DepMap | Descartes | 40.71 | 402.86 |
30 | FADS1 | 0.0036496 | fatty acid desaturase 1 | GTEx | DepMap | Descartes | 7.07 | 162.47 |
31 | ANP32A | 0.0034418 | acidic nuclear phosphoprotein 32 family member A | GTEx | DepMap | Descartes | 10.84 | 300.54 |
32 | CSDE1 | 0.0034243 | cold shock domain containing E1 | GTEx | DepMap | Descartes | 11.44 | 269.71 |
33 | H3F3B | 0.0033816 | NA | GTEx | DepMap | Descartes | 47.21 | NA |
34 | OPN3 | 0.0033587 | opsin 3 | GTEx | DepMap | Descartes | 1.77 | 70.68 |
35 | LHX9 | 0.0033437 | LIM homeobox 9 | GTEx | DepMap | Descartes | 1.01 | 14.03 |
36 | BCLAF1 | 0.0033365 | BCL2 associated transcription factor 1 | GTEx | DepMap | Descartes | 8.00 | 105.40 |
37 | ZBTB18 | 0.0033252 | zinc finger and BTB domain containing 18 | GTEx | DepMap | Descartes | 2.35 | NA |
38 | IPO9 | 0.0033247 | importin 9 | GTEx | DepMap | Descartes | 4.59 | 40.83 |
39 | ANP32E | 0.0033205 | acidic nuclear phosphoprotein 32 family member E | GTEx | DepMap | Descartes | 12.43 | 379.24 |
40 | NAP1L1 | 0.0032933 | nucleosome assembly protein 1 like 1 | GTEx | DepMap | Descartes | 19.73 | 155.44 |
41 | CEP170 | 0.0032816 | centrosomal protein 170 | GTEx | DepMap | Descartes | 6.65 | 97.98 |
42 | HNRNPC | 0.0032649 | heterogeneous nuclear ribonucleoprotein C | GTEx | DepMap | Descartes | 14.50 | 328.02 |
43 | CYYR1 | 0.0032482 | cysteine and tyrosine rich 1 | GTEx | DepMap | Descartes | 0.81 | 28.91 |
44 | GPRIN3 | 0.0032386 | GPRIN family member 3 | GTEx | DepMap | Descartes | 1.30 | 10.23 |
45 | FOSB | 0.0032109 | FosB proto-oncogene, AP-1 transcription factor subunit | GTEx | DepMap | Descartes | 2.32 | 57.95 |
46 | RUNX1T1 | 0.0032045 | RUNX1 partner transcriptional co-repressor 1 | GTEx | DepMap | Descartes | 3.07 | 42.07 |
47 | FNBP4 | 0.0031902 | formin binding protein 4 | GTEx | DepMap | Descartes | 3.47 | 91.22 |
48 | RPSA | 0.0031807 | ribosomal protein SA | GTEx | DepMap | Descartes | 48.12 | 2394.83 |
49 | GTF2I | 0.0031231 | general transcription factor IIi | GTEx | DepMap | Descartes | 10.47 | 226.82 |
50 | EID1 | 0.0030923 | EP300 interacting inhibitor of differentiation 1 | GTEx | DepMap | Descartes | 13.77 | 691.54 |
UMAP plots showing activity of gene expression program identified in community:4. NB Cell Line #4 (IMR5)
CNV Data procured from inferCNV.
Outer tracks are putative CNV regions (gains = red, losses = blue) for each patient
Inner track is expression data representing:
The top cells expressing this GEP (purple)
Random cells (n =50) from the reference set used in inferCNV (orange)
Gene set Enrichments for this program, caculated from top 50 genes
mSigDB Cell Types Gene Set:
P-value | OR | Lower 95% CI | FDR | FWER | Genes Found | Gene Set Size | |
---|---|---|---|---|---|---|---|
FAN_OVARY_CL2_PUTATIVE_EARLY_ATRETIC_FOLLICLE_THECAL_CELL_1 | 4.05e-05 | 14.93 | 4.52 | 4.53e-03 | 2.72e-02 | 5NUCKS1, ZFP36L1, FOS, ST13, FOSB |
98 |
BUSSLINGER_ESOPHAGEAL_PROLIFERATING_BASAL_CELLS | 1.65e-04 | 16.46 | 4.18 | 1.38e-02 | 1.11e-01 | 4NUCKS1, CENPF, NAP1L1, HNRNPC |
70 |
BUSSLINGER_DUODENAL_STEM_CELLS | 2.64e-06 | 9.09 | 3.85 | 1.17e-03 | 1.77e-03 | 9SERBP1, HNRNPU, NUCKS1, ZFP36L1, SMARCC1, FOS, BCLAF1, HNRNPC, FOSB |
311 |
LAKE_ADULT_KIDNEY_C18_COLLECTING_DUCT_PRINCIPAL_CELLS_MEDULLA | 3.49e-06 | 8.77 | 3.71 | 1.17e-03 | 2.34e-03 | 9SERBP1, HNRNPU, TPR, NUCKS1, ZFP36L1, CSDE1, NAP1L1, RPSA, EID1 |
322 |
BUSSLINGER_ESOPHAGEAL_EARLY_SUPRABASAL_CELLS | 2.63e-04 | 14.48 | 3.69 | 1.96e-02 | 1.76e-01 | 4NUCKS1, FOS, CENPF, HNRNPC |
79 |
LAKE_ADULT_KIDNEY_C9_THIN_ASCENDING_LIMB | 8.26e-06 | 9.16 | 3.68 | 1.80e-03 | 5.54e-03 | 8SERBP1, HNRNPU, TPR, CSDE1, NAP1L1, HNRNPC, RPSA, EID1 |
268 |
LAKE_ADULT_KIDNEY_C8_DECENDING_THIN_LIMB | 1.07e-05 | 8.82 | 3.54 | 1.80e-03 | 7.20e-03 | 8SERBP1, HNRNPU, ZFP36L1, CSDE1, NAP1L1, HNRNPC, RPSA, EID1 |
278 |
HAY_BONE_MARROW_PRO_B | 2.02e-05 | 8.05 | 3.23 | 2.71e-03 | 1.36e-02 | 8HNRNPU, CBX1, NUCKS1, PARP1, KPNB1, CENPF, ANP32A, ANP32E |
304 |
MENON_FETAL_KIDNEY_0_CAP_MESENCHYME_CELLS | 4.31e-04 | 12.63 | 3.23 | 2.23e-02 | 2.89e-01 | 4TPR, ENAH, CENPF, NAP1L1 |
90 |
MENON_FETAL_KIDNEY_6_COLLECTING_DUCT_CELLS | 5.08e-04 | 12.07 | 3.09 | 2.29e-02 | 3.41e-01 | 4EZR, CHD3, ZFP36L1, FOS |
94 |
ZHENG_CORD_BLOOD_C9_GRANULOCYTE_MACROPHAGE_PROGENITOR | 6.41e-04 | 11.32 | 2.90 | 2.53e-02 | 4.30e-01 | 4HNRNPU, NUCKS1, CENPF, NAP1L1 |
100 |
HU_FETAL_RETINA_RPC | 8.25e-04 | 10.55 | 2.71 | 3.07e-02 | 5.53e-01 | 4ZFP36L1, CENPF, ANP32E, NAP1L1 |
107 |
BUSSLINGER_GASTRIC_PREZYMOGENIC_CELLS | 1.71e-03 | 13.99 | 2.71 | 5.22e-02 | 1.00e+00 | 3ENAH, FOS, FOSB |
60 |
FAN_OVARY_CL6_PUTATIVE_EARLY_ATRETIC_FOLLICLE_THECAL_CELL_2 | 1.49e-04 | 6.95 | 2.61 | 1.38e-02 | 9.99e-02 | 7NUCKS1, ZFP36L1, AKAP12, FOS, ST13, FOSB, EID1 |
300 |
FAN_OVARY_CL7_ANGEIOGENIC_ENDOTHELIAL_CELL | 4.13e-04 | 6.96 | 2.40 | 2.23e-02 | 2.77e-01 | 6ZFP36L1, FOS, BCLAF1, CYYR1, FOSB, EID1 |
251 |
LAKE_ADULT_KIDNEY_C7_PROXIMAL_TUBULE_EPITHELIAL_CELLS_S3 | 1.93e-03 | 8.30 | 2.14 | 5.64e-02 | 1.00e+00 | 4EZR, NUCKS1, AKAP12, RPSA |
135 |
BUSSLINGER_ESOPHAGEAL_QUIESCENT_BASAL_CELLS | 3.48e-03 | 10.78 | 2.10 | 8.98e-02 | 1.00e+00 | 3FOS, NAP1L1, FOSB |
77 |
FAN_OVARY_CL1_GPRC5A_TNFRS12A_HIGH_SELECTABLE_FOLLICLE_STROMAL_CELL | 6.02e-04 | 5.46 | 2.06 | 2.52e-02 | 4.04e-01 | 7SERBP1, HNRNPU, AKAP12, ST13, NAP1L1, HNRNPC, RPSA |
380 |
MENON_FETAL_KIDNEY_3_STROMAL_CELLS | 4.01e-03 | 10.22 | 1.99 | 9.96e-02 | 1.00e+00 | 3CHD3, AKAP12, FOS |
81 |
BUSSLINGER_DUODENAL_DIFFERENTIATING_STEM_CELLS | 1.12e-03 | 5.70 | 1.97 | 3.76e-02 | 7.53e-01 | 6SERBP1, HNRNPU, NUCKS1, KPNB1, CENPF, HNRNPC |
305 |
Dowload full table
mSigDB Hallmark Gene Sets:
P-value | OR | Lower 95% CI | FDR | FWER | Genes Found | Gene Set Size | |
---|---|---|---|---|---|---|---|
HALLMARK_MYC_TARGETS_V1 | 1.24e-04 | 8.78 | 3.02 | 6.18e-03 | 6.18e-03 | 6SERBP1, HNRNPU, KPNB1, SMARCC1, NAP1L1, HNRNPC |
200 |
HALLMARK_G2M_CHECKPOINT | 1.08e-03 | 7.12 | 2.18 | 2.70e-02 | 5.40e-02 | 5HNRNPU, CBX1, KPNB1, SMARCC1, CENPF |
200 |
HALLMARK_UV_RESPONSE_UP | 2.41e-02 | 5.15 | 1.01 | 4.02e-01 | 1.00e+00 | 3HNRNPU, FOS, FOSB |
158 |
HALLMARK_ESTROGEN_RESPONSE_LATE | 4.35e-02 | 4.05 | 0.80 | 5.29e-01 | 1.00e+00 | 3FABP5, FOS, OPN3 |
200 |
HALLMARK_ANDROGEN_RESPONSE | 5.93e-02 | 5.31 | 0.62 | 5.29e-01 | 1.00e+00 | 2AKAP12, FADS1 |
100 |
HALLMARK_PEROXISOME | 6.35e-02 | 5.11 | 0.59 | 5.29e-01 | 1.00e+00 | 2SMARCC1, FADS1 |
104 |
HALLMARK_MITOTIC_SPINDLE | 1.83e-01 | 2.64 | 0.31 | 7.11e-01 | 1.00e+00 | 2EZR, CENPF |
199 |
HALLMARK_TNFA_SIGNALING_VIA_NFKB | 1.85e-01 | 2.63 | 0.31 | 7.11e-01 | 1.00e+00 | 2FOS, FOSB |
200 |
HALLMARK_HYPOXIA | 1.85e-01 | 2.63 | 0.31 | 7.11e-01 | 1.00e+00 | 2AKAP12, FOS |
200 |
HALLMARK_ESTROGEN_RESPONSE_EARLY | 1.85e-01 | 2.63 | 0.31 | 7.11e-01 | 1.00e+00 | 2FOS, OPN3 |
200 |
HALLMARK_E2F_TARGETS | 1.85e-01 | 2.63 | 0.31 | 7.11e-01 | 1.00e+00 | 2ANP32E, NAP1L1 |
200 |
HALLMARK_P53_PATHWAY | 1.85e-01 | 2.63 | 0.31 | 7.11e-01 | 1.00e+00 | 2ZFP36L1, FOS |
200 |
HALLMARK_KRAS_SIGNALING_UP | 1.85e-01 | 2.63 | 0.31 | 7.11e-01 | 1.00e+00 | 2SATB1, AKAP12 |
200 |
HALLMARK_CHOLESTEROL_HOMEOSTASIS | 2.55e-01 | 3.49 | 0.09 | 9.11e-01 | 1.00e+00 | 1FABP5 |
74 |
HALLMARK_PROTEIN_SECRETION | 3.17e-01 | 2.68 | 0.07 | 1.00e+00 | 1.00e+00 | 1ANP32E |
96 |
HALLMARK_INTERFERON_ALPHA_RESPONSE | 3.20e-01 | 2.66 | 0.07 | 1.00e+00 | 1.00e+00 | 1USP18 |
97 |
HALLMARK_BILE_ACID_METABOLISM | 3.59e-01 | 2.30 | 0.06 | 1.00e+00 | 1.00e+00 | 1FADS1 |
112 |
HALLMARK_APOPTOSIS | 4.72e-01 | 1.59 | 0.04 | 1.00e+00 | 1.00e+00 | 1SATB1 |
161 |
HALLMARK_INTERFERON_GAMMA_RESPONSE | 5.47e-01 | 1.28 | 0.03 | 1.00e+00 | 1.00e+00 | 1USP18 |
200 |
HALLMARK_MTORC1_SIGNALING | 5.47e-01 | 1.28 | 0.03 | 1.00e+00 | 1.00e+00 | 1FADS1 |
200 |
Dowload full table
KEGG Pathways:
P-value | OR | Lower 95% CI | FDR | FWER | Genes Found | Gene Set Size | |
---|---|---|---|---|---|---|---|
KEGG_PATHWAYS_IN_CANCER | 1.32e-01 | 2.48 | 0.49 | 1.00e+00 | 1.00e+00 | 3TPR, FOS, RUNX1T1 |
325 |
KEGG_SPLICEOSOME | 8.94e-02 | 4.17 | 0.49 | 1.00e+00 | 1.00e+00 | 2HNRNPU, HNRNPC |
127 |
KEGG_REGULATION_OF_ACTIN_CYTOSKELETON | 2.03e-01 | 2.47 | 0.29 | 1.00e+00 | 1.00e+00 | 2EZR, ENAH |
213 |
KEGG_BIOSYNTHESIS_OF_UNSATURATED_FATTY_ACIDS | 8.40e-02 | 12.14 | 0.29 | 1.00e+00 | 1.00e+00 | 1FADS1 |
22 |
KEGG_THYROID_CANCER | 1.09e-01 | 9.11 | 0.22 | 1.00e+00 | 1.00e+00 | 1TPR |
29 |
KEGG_BASAL_TRANSCRIPTION_FACTORS | 1.30e-01 | 7.50 | 0.18 | 1.00e+00 | 1.00e+00 | 1GTF2I |
35 |
KEGG_BASE_EXCISION_REPAIR | 1.30e-01 | 7.50 | 0.18 | 1.00e+00 | 1.00e+00 | 1PARP1 |
35 |
KEGG_PATHOGENIC_ESCHERICHIA_COLI_INFECTION | 2.00e-01 | 4.64 | 0.11 | 1.00e+00 | 1.00e+00 | 1EZR |
56 |
KEGG_ACUTE_MYELOID_LEUKEMIA | 2.03e-01 | 4.55 | 0.11 | 1.00e+00 | 1.00e+00 | 1RUNX1T1 |
57 |
KEGG_COLORECTAL_CANCER | 2.19e-01 | 4.18 | 0.10 | 1.00e+00 | 1.00e+00 | 1FOS |
62 |
KEGG_PPAR_SIGNALING_PATHWAY | 2.40e-01 | 3.75 | 0.09 | 1.00e+00 | 1.00e+00 | 1FABP5 |
69 |
KEGG_LEISHMANIA_INFECTION | 2.49e-01 | 3.59 | 0.09 | 1.00e+00 | 1.00e+00 | 1FOS |
72 |
KEGG_B_CELL_RECEPTOR_SIGNALING_PATHWAY | 2.58e-01 | 3.45 | 0.08 | 1.00e+00 | 1.00e+00 | 1FOS |
75 |
KEGG_RIBOSOME | 2.95e-01 | 2.93 | 0.07 | 1.00e+00 | 1.00e+00 | 1RPSA |
88 |
KEGG_TOLL_LIKE_RECEPTOR_SIGNALING_PATHWAY | 3.33e-01 | 2.53 | 0.06 | 1.00e+00 | 1.00e+00 | 1FOS |
102 |
KEGG_T_CELL_RECEPTOR_SIGNALING_PATHWAY | 3.49e-01 | 2.38 | 0.06 | 1.00e+00 | 1.00e+00 | 1FOS |
108 |
KEGG_LEUKOCYTE_TRANSENDOTHELIAL_MIGRATION | 3.69e-01 | 2.22 | 0.05 | 1.00e+00 | 1.00e+00 | 1EZR |
116 |
KEGG_MAPK_SIGNALING_PATHWAY | 1.00e+00 | 0.96 | 0.02 | 1.00e+00 | 1.00e+00 | 1FOS |
267 |
KEGG_NEUROACTIVE_LIGAND_RECEPTOR_INTERACTION | 1.00e+00 | 0.94 | 0.02 | 1.00e+00 | 1.00e+00 | 1SSTR2 |
272 |
KEGG_N_GLYCAN_BIOSYNTHESIS | 1.00e+00 | 0.00 | 0.00 | 1.00e+00 | 1.00e+00 | 0 |
46 |
Dowload full table
CHR Positional Gene Sets:
P-value | OR | Lower 95% CI | FDR | FWER | Genes Found | Gene Set Size | |
---|---|---|---|---|---|---|---|
chr1q43 | 2.36e-02 | 8.98 | 1.03 | 1.00e+00 | 1.00e+00 | 2OPN3, CEP170 |
60 |
chr1q31 | 3.21e-02 | 7.55 | 0.87 | 1.00e+00 | 1.00e+00 | 2TPR, LHX9 |
71 |
chr1q42 | 6.08e-02 | 3.51 | 0.69 | 1.00e+00 | 1.00e+00 | 3PARP1, ENAH, TOMM20 |
230 |
chr6q25 | 1.23e-01 | 3.43 | 0.40 | 1.00e+00 | 1.00e+00 | 2EZR, AKAP12 |
154 |
chr8q21 | 1.55e-01 | 2.96 | 0.35 | 1.00e+00 | 1.00e+00 | 2FABP5, RUNX1T1 |
178 |
chr14q24 | 1.72e-01 | 2.76 | 0.32 | 1.00e+00 | 1.00e+00 | 2ZFP36L1, FOS |
191 |
chr1q32 | 2.78e-01 | 1.97 | 0.23 | 1.00e+00 | 1.00e+00 | 2NUCKS1, IPO9 |
266 |
chr17q25 | 3.22e-01 | 1.77 | 0.21 | 1.00e+00 | 1.00e+00 | 2SSTR2, RBFOX3 |
297 |
chr17q21 | 6.95e-01 | 1.14 | 0.13 | 1.00e+00 | 1.00e+00 | 2CBX1, KPNB1 |
457 |
chr15q23 | 2.28e-01 | 3.99 | 0.10 | 1.00e+00 | 1.00e+00 | 1ANP32A |
65 |
chr1q22 | 2.43e-01 | 3.70 | 0.09 | 1.00e+00 | 1.00e+00 | 1MEX3A |
70 |
chr4q22 | 2.43e-01 | 3.70 | 0.09 | 1.00e+00 | 1.00e+00 | 1GPRIN3 |
70 |
chr2p24 | 2.55e-01 | 3.49 | 0.09 | 1.00e+00 | 1.00e+00 | 1NBAS |
74 |
chr1q41 | 3.06e-01 | 2.80 | 0.07 | 1.00e+00 | 1.00e+00 | 1CENPF |
92 |
chr3p24 | 3.25e-01 | 2.60 | 0.06 | 1.00e+00 | 1.00e+00 | 1SATB1 |
99 |
chr6q23 | 3.44e-01 | 2.43 | 0.06 | 1.00e+00 | 1.00e+00 | 1BCLAF1 |
106 |
chr21q21 | 3.77e-01 | 2.16 | 0.05 | 1.00e+00 | 1.00e+00 | 1CYYR1 |
119 |
chr1q24 | 3.87e-01 | 2.09 | 0.05 | 1.00e+00 | 1.00e+00 | 1PRRC2C |
123 |
chr12q21 | 3.99e-01 | 2.01 | 0.05 | 1.00e+00 | 1.00e+00 | 1NAP1L1 |
128 |
chr1p22 | 4.01e-01 | 1.99 | 0.05 | 1.00e+00 | 1.00e+00 | 1LMO4 |
129 |
Dowload full table
Transcription Factor Targets:
P-value | OR | Lower 95% CI | FDR | FWER | Genes Found | Gene Set Size | |
---|---|---|---|---|---|---|---|
ZNF622_TARGET_GENES | 1.47e-04 | 16.96 | 4.31 | 8.35e-02 | 1.67e-01 | 4NUCKS1, KPNB1, CENPF, ANP32A |
68 |
CTR9_TARGET_GENES | 2.25e-03 | 12.65 | 2.46 | 2.81e-01 | 1.00e+00 | 3HNRNPU, CSDE1, HNRNPC |
66 |
E2F_Q2 | 6.77e-04 | 7.94 | 2.43 | 1.92e-01 | 7.67e-01 | 5SERBP1, TPR, CSDE1, IPO9, ANP32E |
180 |
YGCGYRCGC_UNKNOWN | 2.45e-04 | 6.38 | 2.40 | 9.26e-02 | 2.78e-01 | 7SERBP1, TPR, ANP32A, BCLAF1, RUNX1T1, GTF2I, EID1 |
326 |
ZNF513_TARGET_GENES | 1.08e-04 | 4.64 | 2.13 | 8.35e-02 | 1.22e-01 | 11LMO4, SATB1, HNRNPU, TPR, RBFOX3, CHD3, KPNB1, ST13, ANP32E, NAP1L1, GTF2I |
772 |
ZNF746_TARGET_GENES | 3.74e-03 | 10.49 | 2.04 | 2.81e-01 | 1.00e+00 | 3LMO4, HNRNPU, MEX3A |
79 |
MEF2_01 | 2.69e-03 | 7.55 | 1.95 | 2.81e-01 | 1.00e+00 | 4AKAP12, FOS, ANP32A, ZBTB18 |
148 |
SMTTTTGT_UNKNOWN | 8.92e-04 | 5.09 | 1.92 | 2.02e-01 | 1.00e+00 | 7LMO4, ZFP36L1, LHX9, ZBTB18, HNRNPC, GPRIN3, RUNX1T1 |
407 |
YTAAYNGCT_UNKNOWN | 3.10e-03 | 7.25 | 1.87 | 2.81e-01 | 1.00e+00 | 4LMO4, ZFP36L1, ZBTB18, HNRNPC |
154 |
TCCATTKW_UNKNOWN | 2.42e-03 | 5.88 | 1.81 | 2.81e-01 | 1.00e+00 | 5LMO4, NUCKS1, ENAH, CSDE1, RUNX1T1 |
241 |
HFH1_01 | 2.88e-03 | 5.65 | 1.73 | 2.81e-01 | 1.00e+00 | 5LMO4, PRRC2C, LHX9, ZBTB18, RUNX1T1 |
251 |
IRF7_01 | 3.23e-03 | 5.49 | 1.69 | 2.81e-01 | 1.00e+00 | 5USP18, ZFP36L1, FOS, LHX9, RUNX1T1 |
258 |
TAL1BETAITF2_01 | 3.67e-03 | 5.32 | 1.64 | 2.81e-01 | 1.00e+00 | 5ZFP36L1, ZBTB18, NAP1L1, FOSB, RUNX1T1 |
266 |
ATF_01 | 3.73e-03 | 5.30 | 1.63 | 2.81e-01 | 1.00e+00 | 5LMO4, SSTR2, FOS, ST13, FOSB |
267 |
TCF1P_Q6 | 3.96e-03 | 5.22 | 1.60 | 2.81e-01 | 1.00e+00 | 5LMO4, SATB1, PRRC2C, FOS, CENPF |
271 |
H1_6_TARGET_GENES | 3.68e-03 | 3.91 | 1.48 | 2.81e-01 | 1.00e+00 | 7FABP5, PRRC2C, HNRNPU, FOS, LHX9, ZBTB18, ANP32E |
527 |
MEIS1AHOXA9_01 | 1.20e-02 | 6.76 | 1.33 | 6.08e-01 | 1.00e+00 | 3SATB1, LHX9, ZBTB18 |
121 |
TFDP2_TARGET_GENES | 1.98e-02 | 63.54 | 1.27 | 6.08e-01 | 1.00e+00 | 1TPR |
5 |
ZBTB12_TARGET_GENES | 5.70e-03 | 2.74 | 1.26 | 3.80e-01 | 1.00e+00 | 11LMO4, CBX1, PARP1, GCHFR, KPNB1, ST13, LHX9, CEP170, FOSB, FNBP4, GTF2I |
1297 |
VDR_Q3 | 1.27e-02 | 4.77 | 1.24 | 6.08e-01 | 1.00e+00 | 4LMO4, SATB1, FOS, ZBTB18 |
232 |
Dowload full table
GO Biological Processes:
P-value | OR | Lower 95% CI | FDR | FWER | Genes Found | Gene Set Size | |
---|---|---|---|---|---|---|---|
GOBP_ASTRAL_MICROTUBULE_ORGANIZATION | 6.85e-04 | 64.86 | 6.55 | 2.93e-01 | 1.00e+00 | 2EZR, KPNB1 |
10 |
GOBP_NEGATIVE_REGULATION_OF_TELOMERE_MAINTENANCE_VIA_TELOMERE_LENGTHENING | 1.62e-04 | 33.18 | 6.19 | 1.57e-01 | 1.00e+00 | 3HNRNPU, PARP1, HNRNPC |
27 |
GOBP_RESPONSE_TO_MINERALOCORTICOID | 2.70e-04 | 27.48 | 5.18 | 2.12e-01 | 1.00e+00 | 3PARP1, FOS, FOSB |
32 |
GOBP_NEGATIVE_REGULATION_OF_CHROMOSOME_ORGANIZATION | 2.84e-05 | 16.14 | 4.88 | 7.08e-02 | 2.13e-01 | 5HNRNPU, TPR, PARP1, CENPF, HNRNPC |
91 |
GOBP_NEGATIVE_REGULATION_OF_TELOMERE_MAINTENANCE | 3.53e-04 | 24.91 | 4.72 | 2.28e-01 | 1.00e+00 | 3HNRNPU, PARP1, HNRNPC |
35 |
GOBP_RESPONSE_TO_CORTICOSTEROID | 2.74e-05 | 11.67 | 4.00 | 7.08e-02 | 2.05e-01 | 6SSTR2, HNRNPU, PARP1, ZFP36L1, FOS, FOSB |
152 |
GOBP_REGULATION_OF_MITOTIC_SISTER_CHROMATID_SEGREGATION | 7.43e-04 | 18.98 | 3.64 | 2.93e-01 | 1.00e+00 | 3HNRNPU, TPR, CENPF |
45 |
GOBP_REGULATION_OF_MITOTIC_SPINDLE_ASSEMBLY | 2.28e-03 | 32.49 | 3.53 | 5.88e-01 | 1.00e+00 | 2HNRNPU, TPR |
18 |
GOBP_ATP_DEPENDENT_CHROMATIN_REMODELING | 4.13e-04 | 12.78 | 3.27 | 2.38e-01 | 1.00e+00 | 4CHD3, SMARCC1, ANP32E, HNRNPC |
89 |
GOBP_NEGATIVE_REGULATION_OF_TELOMERE_MAINTENANCE_VIA_TELOMERASE | 2.81e-03 | 28.89 | 3.17 | 6.38e-01 | 1.00e+00 | 2HNRNPU, HNRNPC |
20 |
GOBP_RESPONSE_TO_CORTICOSTERONE | 2.81e-03 | 28.89 | 3.17 | 6.38e-01 | 1.00e+00 | 2FOS, FOSB |
20 |
GOBP_RESPONSE_TO_CAMP | 4.88e-04 | 12.21 | 3.12 | 2.61e-01 | 1.00e+00 | 4EZR, ZFP36L1, FOS, FOSB |
93 |
GOBP_CHROMATIN_REMODELING | 1.57e-04 | 8.40 | 2.89 | 1.57e-01 | 1.00e+00 | 6SATB1, TPR, CHD3, SMARCC1, ANP32E, HNRNPC |
209 |
GOBP_REGULATION_OF_MRNA_CATABOLIC_PROCESS | 1.61e-04 | 8.35 | 2.88 | 1.57e-01 | 1.00e+00 | 6NBAS, SERBP1, HNRNPU, ZFP36L1, ANP32A, HNRNPC |
210 |
GOBP_NEGATIVE_REGULATION_OF_MRNA_CATABOLIC_PROCESS | 1.63e-03 | 14.24 | 2.75 | 5.13e-01 | 1.00e+00 | 3NBAS, HNRNPU, HNRNPC |
59 |
GOBP_STRESS_GRANULE_ASSEMBLY | 3.72e-03 | 24.78 | 2.74 | 7.63e-01 | 1.00e+00 | 2PRRC2C, CSDE1 |
23 |
GOBP_CELLULAR_RESPONSE_TO_CORTICOSTEROID_STIMULUS | 1.71e-03 | 13.99 | 2.71 | 5.13e-01 | 1.00e+00 | 3SSTR2, HNRNPU, ZFP36L1 |
60 |
GOBP_REGULATION_OF_TELOMERE_MAINTENANCE_VIA_TELOMERE_LENGTHENING | 1.71e-03 | 13.99 | 2.71 | 5.13e-01 | 1.00e+00 | 3HNRNPU, PARP1, HNRNPC |
60 |
GOBP_METAPHASE_PLATE_CONGRESSION | 2.06e-03 | 13.07 | 2.53 | 5.75e-01 | 1.00e+00 | 3HNRNPU, KPNB1, CENPF |
64 |
GOBP_REGULATION_OF_SPINDLE_ASSEMBLY | 4.39e-03 | 22.60 | 2.52 | 7.74e-01 | 1.00e+00 | 2HNRNPU, TPR |
25 |
Dowload full table
Immunological Gene Sets:
P-value | OR | Lower 95% CI | FDR | FWER | Genes Found | Gene Set Size | |
---|---|---|---|---|---|---|---|
GSE37605_C57BL6_VS_NOD_FOXP3_FUSION_GFP_TREG_DN | 9.64e-05 | 9.21 | 3.17 | 1.51e-01 | 4.70e-01 | 6ZFP36L1, AKAP12, FOS, FADS1, CYYR1, FOSB |
191 |
GSE27786_CD8_TCELL_VS_NKCELL_UP | 1.20e-04 | 8.83 | 3.04 | 1.51e-01 | 5.86e-01 | 6SERBP1, TPR, CHD3, BCLAF1, NAP1L1, HNRNPC |
199 |
GSE5463_CTRL_VS_DEXAMETHASONE_TREATED_THYMOCYTE_DN | 1.20e-04 | 8.83 | 3.04 | 1.51e-01 | 5.86e-01 | 6USP18, LMO4, SATB1, HNRNPU, AKAP12, BCLAF1 |
199 |
GSE2405_0H_VS_9H_A_PHAGOCYTOPHILUM_STIM_NEUTROPHIL_DN | 1.24e-04 | 8.78 | 3.02 | 1.51e-01 | 6.03e-01 | 6SERBP1, FABP5, HNRNPU, NUCKS1, HNRNPC, RPSA |
200 |
GSE360_DC_VS_MAC_M_TUBERCULOSIS_DN | 1.06e-03 | 7.16 | 2.19 | 2.50e-01 | 1.00e+00 | 5NBAS, LMO4, ZFP36L1, FOS, FADS1 |
199 |
GSE9960_GRAM_NEG_VS_GRAM_POS_SEPSIS_PBMC_DN | 1.06e-03 | 7.16 | 2.19 | 2.50e-01 | 1.00e+00 | 5CBX1, SMARCC1, ANP32A, ZBTB18, GPRIN3 |
199 |
GSE22229_RENAL_TRANSPLANT_IMMUNOSUPP_THERAPY_VS_HEALTHY_PBMC_UP | 1.06e-03 | 7.16 | 2.19 | 2.50e-01 | 1.00e+00 | 5LMO4, FABP5, PARP1, OPN3, FNBP4 |
199 |
GSE28726_ACT_CD4_TCELL_VS_ACT_NKTCELL_DN | 1.06e-03 | 7.16 | 2.19 | 2.50e-01 | 1.00e+00 | 5EZR, SATB1, CHD3, BCLAF1, ZBTB18 |
199 |
GSE40277_GATA1_AND_SATB1_TRANSDUCED_VS_CTRL_CD4_TCELL_DN | 1.06e-03 | 7.16 | 2.19 | 2.50e-01 | 1.00e+00 | 5FABP5, SATB1, MEX3A, IPO9, GTF2I |
199 |
KAECH_DAY15_EFF_VS_MEMORY_CD8_TCELL_DN | 1.08e-03 | 7.12 | 2.18 | 2.50e-01 | 1.00e+00 | 5USP18, LMO4, SATB1, FOSB, RPSA |
200 |
GSE15930_STIM_VS_STIM_AND_IL12_48H_CD8_T_CELL_DN | 1.08e-03 | 7.12 | 2.18 | 2.50e-01 | 1.00e+00 | 5USP18, SERBP1, FABP5, SATB1, CSDE1 |
200 |
GSE15930_STIM_VS_STIM_AND_TRICHOSTATINA_48H_CD8_T_CELL_UP | 1.08e-03 | 7.12 | 2.18 | 2.50e-01 | 1.00e+00 | 5SERBP1, SATB1, CSDE1, LHX9, GTF2I |
200 |
GSE20366_EX_VIVO_VS_HOMEOSTATIC_CONVERSION_TREG_DN | 1.08e-03 | 7.12 | 2.18 | 2.50e-01 | 1.00e+00 | 5SATB1, CENPF, ZBTB18, GPRIN3, EID1 |
200 |
GSE7852_LN_VS_THYMUS_TREG_DN | 1.08e-03 | 7.12 | 2.18 | 2.50e-01 | 1.00e+00 | 5EZR, LMO4, NUCKS1, AKAP12, NAP1L1 |
200 |
GSE9006_HEALTHY_VS_TYPE_1_DIABETES_PBMC_1MONTH_POST_DX_UP | 1.08e-03 | 7.12 | 2.18 | 2.50e-01 | 1.00e+00 | 5EZR, HNRNPU, KPNB1, ANP32A, CSDE1 |
200 |
GSE22601_DOUBLE_POSITIVE_VS_CD4_SINGLE_POSITIVE_THYMOCYTE_DN | 1.08e-03 | 7.12 | 2.18 | 2.50e-01 | 1.00e+00 | 5FABP5, ST13, IPO9, ANP32E, NAP1L1 |
200 |
GSE3039_NKT_CELL_VS_ALPHABETA_CD8_TCELL_UP | 1.08e-03 | 7.12 | 2.18 | 2.50e-01 | 1.00e+00 | 5NUCKS1, FOS, FADS1, CSDE1, FOSB |
200 |
GSE12001_MIR223_KO_VS_WT_NEUTROPHIL_DN | 1.08e-03 | 7.12 | 2.18 | 2.50e-01 | 1.00e+00 | 5SATB1, ZFP36L1, KPNB1, BCLAF1, EID1 |
200 |
GSE9960_GRAM_POS_VS_GRAM_NEG_AND_POS_SEPSIS_PBMC_UP | 1.08e-03 | 7.12 | 2.18 | 2.50e-01 | 1.00e+00 | 5USP18, PARP1, FOS, FOSB, EID1 |
200 |
GSE19401_UNSTIM_VS_RETINOIC_ACID_STIM_FOLLICULAR_DC_UP | 1.08e-03 | 7.12 | 2.18 | 2.50e-01 | 1.00e+00 | 5LMO4, FOS, FADS1, FOSB, RUNX1T1 |
200 |
Top Ranked Transcription Factors for this Gene Expression Program:
Gene Symbol | TF Rank | DNA Binding Domain | Motif Status | IUPAC PWM | GTEx | DepMap | Decartes |
---|---|---|---|---|---|---|---|
LMO4 | 6 | No | Unlikely to be sequence specific TF | Not a DNA binding protein | No motif | None | None |
SATB1 | 9 | Yes | Known motif | Low specificity DNA-binding protein | In vivo/Misc source | Only known motifs are from Transfac or HocoMoco - origin is uncertain | SATBs were analyzed by Gwenael Badis and Mike Berger a decade ago; by PBMs. It did not yield a motif; instead; the signal was very closely proportional to nucleotide content, as the name suggests (Special AT Binding). |
HNRNPU | 11 | No | ssDNA/RNA binding | Not a DNA binding protein | No motif | None | Binds pre-mRNA in vivo and binds both RNA and ssDNA in vitro (PMID: 1628625) |
NUCKS1 | 15 | No | Unlikely to be sequence specific TF | Not a DNA binding protein | No motif | None | Contains a GRP core, which is similar to an AT-hook. But, the amino acids flanking the core are quite different from an AT-hook. Could non-specifically bind to DNA, but lacks compelling evidence. |
PARP1 | 16 | No | Unlikely to be sequence specific TF | Low specificity DNA-binding protein | In vivo/Misc source | None | DNA repair protein that binds dsDNA non-specifically (PMID: 21183686; PMID: 21262234). The Transfac motifs are likely NFAT target sites |
CHD3 | 17 | No | Unlikely to be sequence specific TF | Low specificity DNA-binding protein | No motif | Has a putative AT-hook | No evidence for sequence-specific DNA-binding in the literature; and contains only a partial match to an HMG box with no similarity to DBDs of other CHD family proteins |
ZFP36L1 | 20 | No | ssDNA/RNA binding | Not a DNA binding protein | No motif | None | RNA-binding protein (PMID: 27102483; PMID: 17013884). |
SMARCC1 | 25 | No | Unlikely to be sequence specific TF | Not a DNA binding protein | No motif | None | Contains 1 SANT domain, and no other putative DNA-binding domains. Given that SMARCC1 is part of the Swi/Snf chromatin remodelling complex, its Myb/Sant domain is likely involved in binding histone tails. Available motif logos ares likely specificifities of SMARCC1 interactors. |
FOS | 27 | Yes | Known motif | Monomer or homomultimer | High-throughput in vitro | None | None |
CSDE1 | 32 | No | ssDNA/RNA binding | Not a DNA binding protein | No motif | None | Established RNA-binding protein. |
LHX9 | 35 | Yes | Known motif | Monomer or homomultimer | High-throughput in vitro | Has a putative AT-hook | None |
BCLAF1 | 36 | No | Unlikely to be sequence specific TF | Low specificity DNA-binding protein | In vivo/Misc source | Only known motifs are from Transfac or HocoMoco - origin is uncertain | No DBD. Only weak evidence is available for indirect binding (PMID: 10330179). Suspect motif - it is a clear ETS-site. (PMID: 10330179) shows that the protein binds DNA in filter binding assay, but not that it is sequence specific. |
ZBTB18 | 37 | Yes | Known motif | Monomer or homomultimer | High-throughput in vitro | None | None |
FOSB | 45 | Yes | Known motif | Monomer or homomultimer | High-throughput in vitro | None | None |
RUNX1T1 | 46 | No | Unlikely to be sequence specific TF | Not a DNA binding protein | No motif | None | None |
GTF2I | 49 | Yes | Known motif | Monomer or homomultimer | In vivo/Misc source | Only known motifs are from Transfac or HocoMoco - origin is uncertain | (PMID: 18326499) shows through SELEX and EMSA that this family binds DNA specifically. Transfac motifs are dubious. |
EID1 | 50 | No | Unlikely to be sequence specific TF | Not a DNA binding protein | No motif | None | None |
BCL11B | 59 | Yes | Known motif | Monomer or homomultimer | High-throughput in vitro | None | None |
SSBP3 | 61 | No | ssDNA/RNA binding | Not a DNA binding protein | No motif | None | Single stranded DNA binding protein. There is no evidence for sequence specificity, although it can operate as a transcriptional co-regulator (PMID: 26495868) |
MTF2 | 69 | Yes | Known motif | Monomer or homomultimer | High-throughput in vitro | None | Recent study (PMID: 28869966) demonstrates direct, specific DNA binding to CG-rich sequences through PBMs, and crystal structure in complex with DNA |
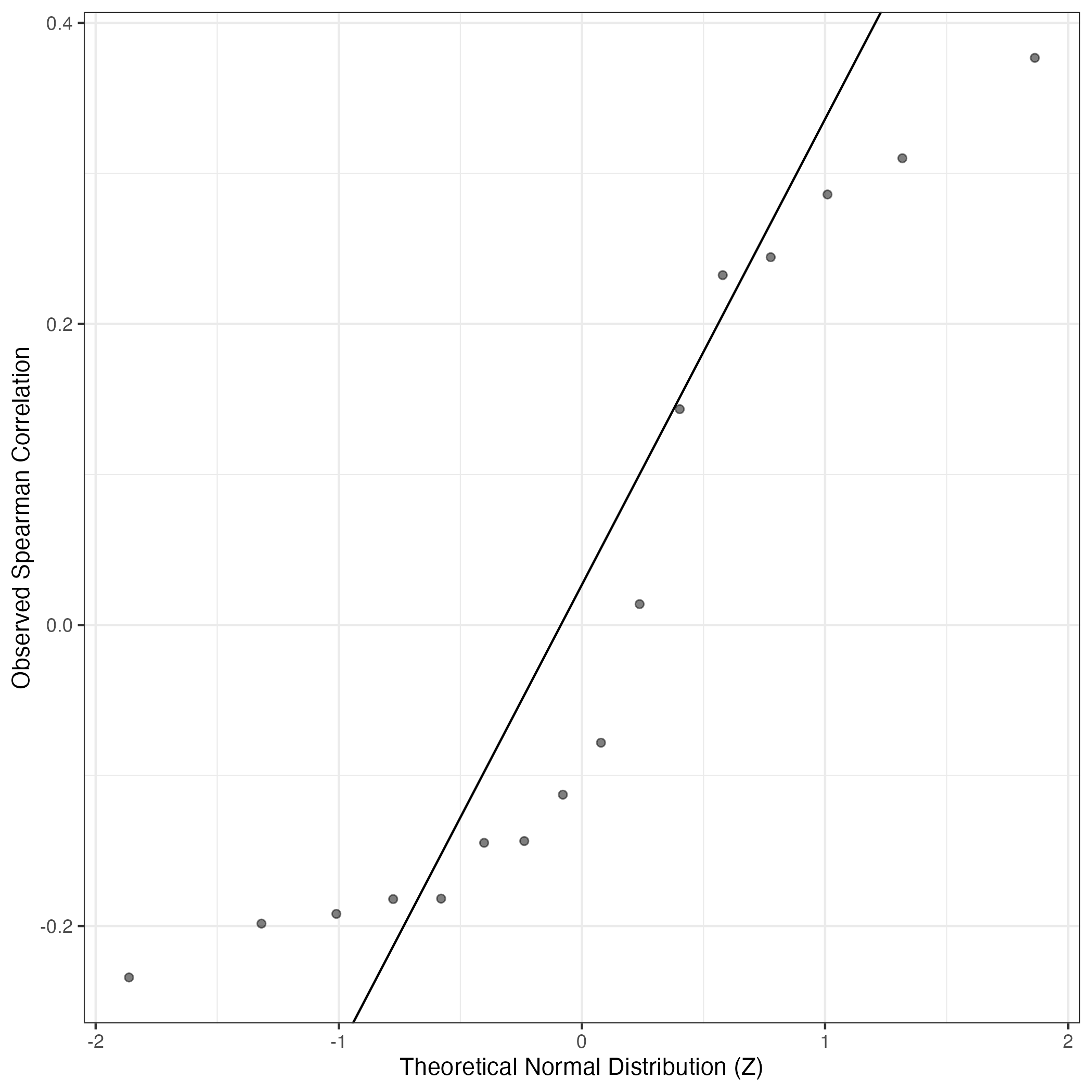
QQ Plot showing correlations with other Gene Expression Programs in this dataset, calculated by Spearman correlation:
Interactive QQ-plot of gene loadings:
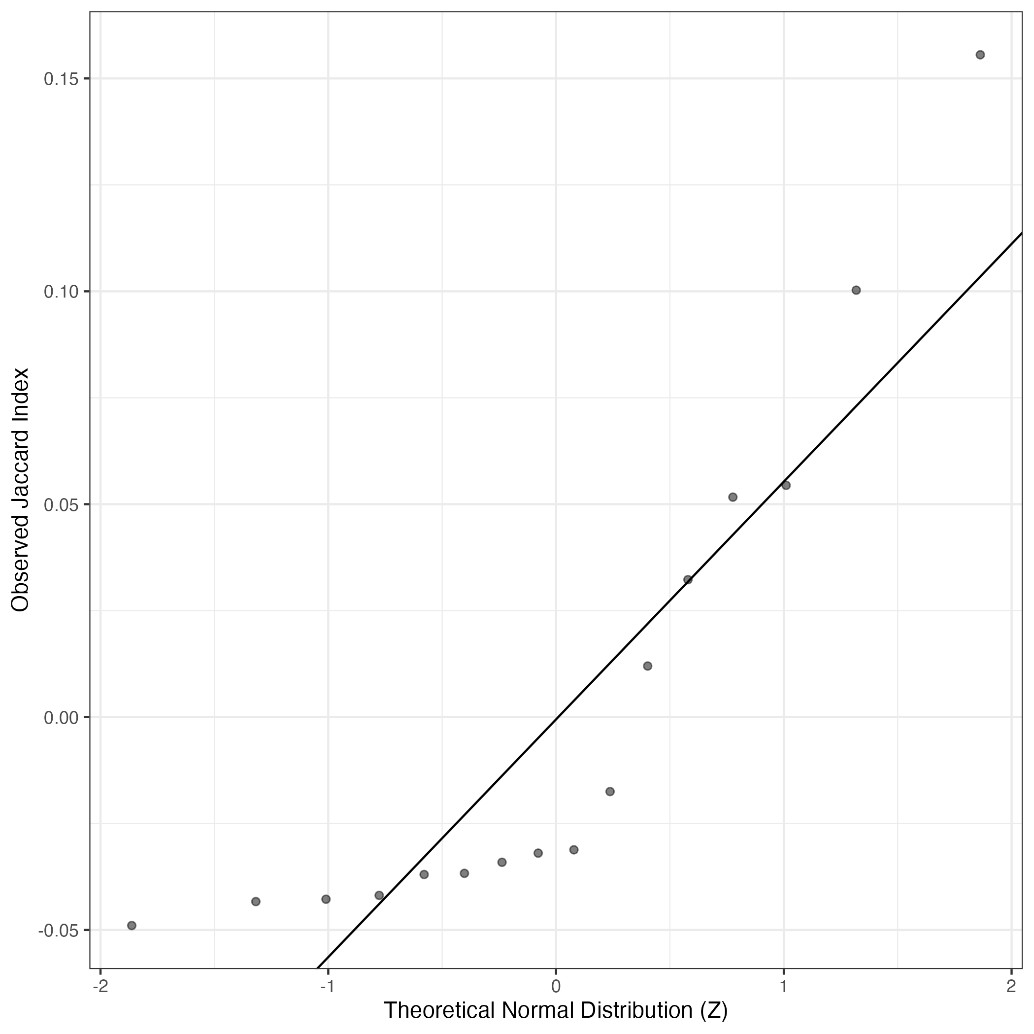
A similar QQ-plot as above, but only for instances where the H value is e.g. > 25, i.e. we are confident that the expression program is active above noise. Agreemenet between these binary vectors is tested using the Jaccard Index, with the P-values calculated by an exact test:
Interactive QQ-plot:
Singler cell type annotations for the top 50 cells on this program.
Cell ID | Singler label | Singler Delta | Activity Score | Top Singler Raw Scores |
---|---|---|---|---|
IMR5_GAGACCCCATAGTCAC-1 | Neurons | 0.30 | 998.19 | Raw ScoresNeurons:adrenal_medulla_cell_line: 0.62, Neuroepithelial_cell:ESC-derived: 0.58, iPS_cells:PDB_1lox-21Puro-20: 0.56, iPS_cells:PDB_1lox-21Puro-26: 0.55, iPS_cells:PDB_1lox-17Puro-10: 0.55, iPS_cells:PDB_1lox-17Puro-5: 0.55, iPS_cells:PDB_2lox-22: 0.55, iPS_cells:PDB_2lox-21: 0.54, iPS_cells:PDB_2lox-17: 0.54, Embryonic_stem_cells: 0.54 |
IMR5_TCCGAAATCACCCTTG-1 | Neurons | 0.29 | 928.88 | Raw ScoresNeurons:adrenal_medulla_cell_line: 0.63, Neuroepithelial_cell:ESC-derived: 0.58, iPS_cells:PDB_1lox-21Puro-20: 0.57, iPS_cells:PDB_1lox-21Puro-26: 0.56, iPS_cells:PDB_1lox-17Puro-10: 0.56, iPS_cells:PDB_2lox-22: 0.56, iPS_cells:PDB_1lox-17Puro-5: 0.56, iPS_cells:PDB_2lox-21: 0.55, iPS_cells:PDB_2lox-17: 0.55, Embryonic_stem_cells: 0.55 |
IMR5_AACGAAAGTACCAATC-1 | Neurons | 0.28 | 891.92 | Raw ScoresNeurons:adrenal_medulla_cell_line: 0.62, Neuroepithelial_cell:ESC-derived: 0.58, iPS_cells:PDB_1lox-21Puro-20: 0.56, iPS_cells:PDB_1lox-21Puro-26: 0.55, iPS_cells:PDB_1lox-17Puro-10: 0.55, iPS_cells:PDB_2lox-22: 0.55, iPS_cells:PDB_1lox-17Puro-5: 0.55, iPS_cells:PDB_2lox-21: 0.54, iPS_cells:PDB_2lox-17: 0.54, Embryonic_stem_cells: 0.54 |
IMR5_GCTACAATCTACCTTA-1 | Neurons | 0.29 | 826.73 | Raw ScoresNeurons:adrenal_medulla_cell_line: 0.63, Neuroepithelial_cell:ESC-derived: 0.59, iPS_cells:PDB_1lox-21Puro-20: 0.57, iPS_cells:PDB_1lox-21Puro-26: 0.57, iPS_cells:PDB_1lox-17Puro-10: 0.57, iPS_cells:PDB_2lox-22: 0.56, iPS_cells:PDB_1lox-17Puro-5: 0.56, iPS_cells:PDB_2lox-21: 0.56, iPS_cells:PDB_2lox-17: 0.56, Embryonic_stem_cells: 0.55 |
IMR5_AGTTCGATCATTCGTT-1 | Neurons | 0.28 | 794.39 | Raw ScoresNeurons:adrenal_medulla_cell_line: 0.62, Neuroepithelial_cell:ESC-derived: 0.58, iPS_cells:PDB_1lox-21Puro-20: 0.56, iPS_cells:PDB_1lox-21Puro-26: 0.56, iPS_cells:PDB_1lox-17Puro-10: 0.55, iPS_cells:PDB_2lox-22: 0.55, iPS_cells:PDB_1lox-17Puro-5: 0.55, iPS_cells:PDB_2lox-21: 0.55, iPS_cells:PDB_2lox-17: 0.55, Embryonic_stem_cells: 0.54 |
IMR5_GTGGAAGTCTCATAGG-1 | Neurons | 0.28 | 740.42 | Raw ScoresNeurons:adrenal_medulla_cell_line: 0.63, Neuroepithelial_cell:ESC-derived: 0.58, iPS_cells:PDB_1lox-21Puro-20: 0.56, iPS_cells:PDB_1lox-21Puro-26: 0.55, iPS_cells:PDB_1lox-17Puro-10: 0.55, iPS_cells:PDB_2lox-22: 0.55, iPS_cells:PDB_1lox-17Puro-5: 0.55, iPS_cells:PDB_2lox-17: 0.54, iPS_cells:PDB_2lox-21: 0.54, iPS_cells:CRL2097_foreskin-derived:undiff.: 0.54 |
IMR5_GAGACCCCAGTTGGTT-1 | Neurons | 0.26 | 733.74 | Raw ScoresNeurons:adrenal_medulla_cell_line: 0.6, Neuroepithelial_cell:ESC-derived: 0.57, iPS_cells:PDB_1lox-21Puro-20: 0.55, iPS_cells:PDB_2lox-22: 0.55, iPS_cells:PDB_1lox-21Puro-26: 0.55, iPS_cells:PDB_1lox-17Puro-10: 0.55, iPS_cells:PDB_1lox-17Puro-5: 0.54, iPS_cells:PDB_2lox-21: 0.54, iPS_cells:PDB_2lox-17: 0.54, iPS_cells:CRL2097_foreskin-derived:undiff.: 0.54 |
IMR5_GCTACCTGTTGCATCA-1 | Neurons | 0.27 | 729.26 | Raw ScoresNeurons:adrenal_medulla_cell_line: 0.61, Neuroepithelial_cell:ESC-derived: 0.57, iPS_cells:PDB_1lox-21Puro-20: 0.55, iPS_cells:PDB_1lox-21Puro-26: 0.55, iPS_cells:PDB_1lox-17Puro-10: 0.55, iPS_cells:PDB_2lox-22: 0.55, iPS_cells:PDB_1lox-17Puro-5: 0.55, iPS_cells:PDB_2lox-21: 0.54, iPS_cells:PDB_2lox-17: 0.54, iPS_cells:CRL2097_foreskin-derived:undiff.: 0.54 |
IMR5_ATTTCTGCAACTCCAA-1 | Neurons | 0.27 | 722.54 | Raw ScoresNeurons:adrenal_medulla_cell_line: 0.62, Neuroepithelial_cell:ESC-derived: 0.59, iPS_cells:PDB_1lox-21Puro-20: 0.58, iPS_cells:PDB_1lox-21Puro-26: 0.57, iPS_cells:PDB_1lox-17Puro-10: 0.57, iPS_cells:PDB_2lox-22: 0.57, iPS_cells:PDB_1lox-17Puro-5: 0.57, iPS_cells:PDB_2lox-17: 0.56, iPS_cells:PDB_2lox-21: 0.56, Embryonic_stem_cells: 0.56 |
IMR5_TACCCGTGTCAAGTTC-1 | Neurons | 0.26 | 710.36 | Raw ScoresNeurons:adrenal_medulla_cell_line: 0.57, Neuroepithelial_cell:ESC-derived: 0.53, iPS_cells:PDB_1lox-21Puro-20: 0.51, iPS_cells:PDB_1lox-21Puro-26: 0.5, iPS_cells:PDB_2lox-22: 0.5, iPS_cells:PDB_1lox-17Puro-10: 0.5, iPS_cells:PDB_1lox-17Puro-5: 0.5, iPS_cells:PDB_2lox-21: 0.5, iPS_cells:PDB_2lox-17: 0.5, iPS_cells:CRL2097_foreskin-derived:undiff.: 0.49 |
IMR5_ACAGGGAAGTCTCTGA-1 | Neurons | 0.29 | 704.85 | Raw ScoresNeurons:adrenal_medulla_cell_line: 0.62, Neuroepithelial_cell:ESC-derived: 0.56, iPS_cells:PDB_1lox-21Puro-20: 0.55, iPS_cells:PDB_1lox-21Puro-26: 0.54, iPS_cells:PDB_2lox-22: 0.54, iPS_cells:PDB_1lox-17Puro-10: 0.54, iPS_cells:PDB_1lox-17Puro-5: 0.54, iPS_cells:PDB_2lox-21: 0.53, iPS_cells:PDB_2lox-17: 0.53, iPS_cells:CRL2097_foreskin-derived:undiff.: 0.53 |
IMR5_GATCCCTAGCAAGCCA-1 | Neurons | 0.26 | 676.49 | Raw ScoresNeurons:adrenal_medulla_cell_line: 0.6, Neuroepithelial_cell:ESC-derived: 0.56, iPS_cells:PDB_1lox-21Puro-20: 0.55, iPS_cells:PDB_1lox-21Puro-26: 0.55, iPS_cells:PDB_1lox-17Puro-10: 0.54, iPS_cells:PDB_2lox-22: 0.54, iPS_cells:PDB_1lox-17Puro-5: 0.54, iPS_cells:PDB_2lox-17: 0.54, iPS_cells:PDB_2lox-21: 0.53, iPS_cells:CRL2097_foreskin-derived:undiff.: 0.53 |
IMR5_CCGATGGTCTTCGATT-1 | Neurons | 0.25 | 673.78 | Raw ScoresNeurons:adrenal_medulla_cell_line: 0.6, Neuroepithelial_cell:ESC-derived: 0.56, iPS_cells:PDB_1lox-21Puro-20: 0.54, iPS_cells:PDB_1lox-17Puro-10: 0.54, iPS_cells:PDB_1lox-21Puro-26: 0.54, iPS_cells:PDB_1lox-17Puro-5: 0.54, iPS_cells:PDB_2lox-22: 0.53, iPS_cells:PDB_2lox-17: 0.53, iPS_cells:PDB_2lox-21: 0.53, iPS_cells:CRL2097_foreskin-derived:undiff.: 0.52 |
IMR5_GACAGCCTCTGCTCTG-1 | Neurons | 0.28 | 668.04 | Raw ScoresNeurons:adrenal_medulla_cell_line: 0.61, Neuroepithelial_cell:ESC-derived: 0.57, iPS_cells:PDB_1lox-21Puro-20: 0.55, iPS_cells:PDB_1lox-21Puro-26: 0.54, iPS_cells:PDB_2lox-22: 0.54, iPS_cells:PDB_1lox-17Puro-10: 0.54, iPS_cells:PDB_1lox-17Puro-5: 0.54, iPS_cells:PDB_2lox-17: 0.54, iPS_cells:PDB_2lox-21: 0.54, iPS_cells:CRL2097_foreskin-derived:undiff.: 0.53 |
IMR5_TACGGTACACTGTCCT-1 | Neurons | 0.26 | 650.40 | Raw ScoresNeurons:adrenal_medulla_cell_line: 0.6, Neuroepithelial_cell:ESC-derived: 0.55, iPS_cells:PDB_1lox-21Puro-20: 0.54, iPS_cells:PDB_1lox-21Puro-26: 0.53, iPS_cells:PDB_1lox-17Puro-10: 0.53, iPS_cells:PDB_2lox-22: 0.53, iPS_cells:PDB_1lox-17Puro-5: 0.53, iPS_cells:PDB_2lox-21: 0.52, iPS_cells:PDB_2lox-17: 0.52, iPS_cells:CRL2097_foreskin-derived:undiff.: 0.52 |
IMR5_TATCTTGGTCCTTTGC-1 | Neurons | 0.26 | 647.39 | Raw ScoresNeurons:adrenal_medulla_cell_line: 0.6, Neuroepithelial_cell:ESC-derived: 0.56, iPS_cells:PDB_1lox-21Puro-20: 0.54, iPS_cells:PDB_1lox-21Puro-26: 0.54, iPS_cells:PDB_2lox-22: 0.54, iPS_cells:PDB_1lox-17Puro-10: 0.53, iPS_cells:PDB_1lox-17Puro-5: 0.53, iPS_cells:PDB_2lox-17: 0.53, iPS_cells:PDB_2lox-21: 0.53, Embryonic_stem_cells: 0.53 |
IMR5_CTGCCATGTCCGTTTC-1 | Neurons | 0.27 | 646.59 | Raw ScoresNeurons:adrenal_medulla_cell_line: 0.59, Neuroepithelial_cell:ESC-derived: 0.54, iPS_cells:PDB_1lox-21Puro-20: 0.52, iPS_cells:PDB_1lox-21Puro-26: 0.52, iPS_cells:PDB_2lox-22: 0.52, iPS_cells:PDB_1lox-17Puro-10: 0.51, iPS_cells:PDB_1lox-17Puro-5: 0.51, iPS_cells:PDB_2lox-21: 0.51, iPS_cells:PDB_2lox-17: 0.51, Embryonic_stem_cells: 0.51 |
IMR5_TTTGATCCAACACGAG-1 | Neurons | 0.23 | 644.76 | Raw ScoresNeurons:adrenal_medulla_cell_line: 0.55, Neuroepithelial_cell:ESC-derived: 0.51, iPS_cells:PDB_1lox-21Puro-20: 0.49, iPS_cells:PDB_2lox-22: 0.49, iPS_cells:PDB_1lox-21Puro-26: 0.49, iPS_cells:PDB_1lox-17Puro-10: 0.48, iPS_cells:PDB_2lox-21: 0.48, iPS_cells:CRL2097_foreskin-derived:undiff.: 0.48, iPS_cells:PDB_2lox-17: 0.48, iPS_cells:PDB_1lox-17Puro-5: 0.48 |
IMR5_AGGGTCCGTGGAACCA-1 | Neurons | 0.27 | 643.54 | Raw ScoresNeurons:adrenal_medulla_cell_line: 0.59, Neuroepithelial_cell:ESC-derived: 0.55, iPS_cells:PDB_1lox-21Puro-20: 0.52, iPS_cells:PDB_2lox-22: 0.52, iPS_cells:PDB_1lox-21Puro-26: 0.51, iPS_cells:PDB_1lox-17Puro-10: 0.51, Astrocyte:Embryonic_stem_cell-derived: 0.51, iPS_cells:PDB_1lox-17Puro-5: 0.51, iPS_cells:PDB_2lox-17: 0.51, iPS_cells:PDB_2lox-21: 0.51 |
IMR5_ATATCCTTCCATTCAT-1 | Neurons | 0.27 | 642.60 | Raw ScoresNeurons:adrenal_medulla_cell_line: 0.62, Neuroepithelial_cell:ESC-derived: 0.58, iPS_cells:PDB_1lox-21Puro-20: 0.57, iPS_cells:PDB_1lox-21Puro-26: 0.56, iPS_cells:PDB_1lox-17Puro-10: 0.56, iPS_cells:PDB_2lox-22: 0.56, iPS_cells:PDB_1lox-17Puro-5: 0.56, iPS_cells:PDB_2lox-21: 0.55, iPS_cells:PDB_2lox-17: 0.55, iPS_cells:CRL2097_foreskin-derived:undiff.: 0.55 |
IMR5_AAAGGTACACATAGCT-1 | Neurons | 0.27 | 640.46 | Raw ScoresNeurons:adrenal_medulla_cell_line: 0.6, Neuroepithelial_cell:ESC-derived: 0.56, iPS_cells:PDB_1lox-21Puro-20: 0.54, iPS_cells:PDB_1lox-21Puro-26: 0.54, iPS_cells:PDB_1lox-17Puro-10: 0.54, iPS_cells:PDB_2lox-22: 0.54, iPS_cells:PDB_1lox-17Puro-5: 0.54, Embryonic_stem_cells: 0.53, iPS_cells:PDB_2lox-21: 0.53, iPS_cells:PDB_2lox-17: 0.53 |
IMR5_CGAGTTAAGGAACGAA-1 | Neurons | 0.27 | 633.35 | Raw ScoresNeurons:adrenal_medulla_cell_line: 0.58, Neuroepithelial_cell:ESC-derived: 0.55, iPS_cells:PDB_1lox-21Puro-20: 0.53, iPS_cells:PDB_2lox-22: 0.52, iPS_cells:PDB_1lox-21Puro-26: 0.52, iPS_cells:PDB_1lox-17Puro-10: 0.52, iPS_cells:PDB_2lox-21: 0.52, iPS_cells:PDB_1lox-17Puro-5: 0.52, iPS_cells:PDB_2lox-17: 0.52, iPS_cells:CRL2097_foreskin-derived:undiff.: 0.51 |
IMR5_GGGTCACGTACGGTTT-1 | Neurons | 0.24 | 631.56 | Raw ScoresNeurons:adrenal_medulla_cell_line: 0.58, Neuroepithelial_cell:ESC-derived: 0.55, iPS_cells:PDB_1lox-21Puro-20: 0.53, iPS_cells:PDB_1lox-21Puro-26: 0.52, iPS_cells:PDB_1lox-17Puro-10: 0.52, iPS_cells:PDB_1lox-17Puro-5: 0.52, iPS_cells:PDB_2lox-22: 0.52, iPS_cells:CRL2097_foreskin-derived:undiff.: 0.51, iPS_cells:PDB_2lox-17: 0.51, iPS_cells:PDB_2lox-21: 0.51 |
IMR5_TGTCCACAGAAGGTAG-1 | Neurons | 0.25 | 628.16 | Raw ScoresNeurons:adrenal_medulla_cell_line: 0.6, Neuroepithelial_cell:ESC-derived: 0.56, iPS_cells:PDB_1lox-21Puro-20: 0.54, iPS_cells:PDB_1lox-17Puro-10: 0.54, iPS_cells:PDB_1lox-21Puro-26: 0.54, iPS_cells:PDB_2lox-22: 0.54, iPS_cells:PDB_1lox-17Puro-5: 0.54, iPS_cells:CRL2097_foreskin-derived:undiff.: 0.53, iPS_cells:PDB_2lox-21: 0.53, iPS_cells:PDB_2lox-17: 0.53 |
IMR5_TCATTCAGTCGATTCA-1 | Neurons | 0.27 | 624.30 | Raw ScoresNeurons:adrenal_medulla_cell_line: 0.59, Neuroepithelial_cell:ESC-derived: 0.55, iPS_cells:PDB_1lox-21Puro-20: 0.54, iPS_cells:PDB_1lox-21Puro-26: 0.53, iPS_cells:PDB_1lox-17Puro-10: 0.53, iPS_cells:PDB_2lox-22: 0.53, iPS_cells:PDB_1lox-17Puro-5: 0.53, iPS_cells:CRL2097_foreskin-derived:undiff.: 0.52, iPS_cells:PDB_2lox-21: 0.52, iPS_cells:PDB_2lox-17: 0.52 |
IMR5_TCCGAAACACCGAATT-1 | Neurons | 0.26 | 621.94 | Raw ScoresNeurons:adrenal_medulla_cell_line: 0.59, Neuroepithelial_cell:ESC-derived: 0.55, iPS_cells:PDB_1lox-21Puro-20: 0.54, iPS_cells:PDB_1lox-17Puro-10: 0.53, iPS_cells:PDB_1lox-21Puro-26: 0.53, iPS_cells:PDB_1lox-17Puro-5: 0.53, iPS_cells:PDB_2lox-22: 0.53, iPS_cells:CRL2097_foreskin-derived:undiff.: 0.53, iPS_cells:PDB_2lox-21: 0.52, iPS_cells:PDB_2lox-17: 0.52 |
IMR5_ATGTCTTGTCCAAATC-1 | Neurons | 0.26 | 619.83 | Raw ScoresNeurons:adrenal_medulla_cell_line: 0.6, Neuroepithelial_cell:ESC-derived: 0.56, iPS_cells:PDB_1lox-21Puro-20: 0.53, iPS_cells:PDB_2lox-22: 0.53, iPS_cells:PDB_1lox-21Puro-26: 0.53, iPS_cells:PDB_1lox-17Puro-10: 0.53, iPS_cells:PDB_2lox-21: 0.53, iPS_cells:PDB_1lox-17Puro-5: 0.53, iPS_cells:CRL2097_foreskin-derived:undiff.: 0.53, iPS_cells:PDB_2lox-17: 0.52 |
IMR5_TCGCTCACACCCTAGG-1 | Neurons | 0.27 | 615.90 | Raw ScoresNeurons:adrenal_medulla_cell_line: 0.59, Neuroepithelial_cell:ESC-derived: 0.54, iPS_cells:PDB_1lox-21Puro-20: 0.52, iPS_cells:PDB_1lox-21Puro-26: 0.52, iPS_cells:PDB_1lox-17Puro-10: 0.52, iPS_cells:PDB_2lox-22: 0.52, iPS_cells:PDB_1lox-17Puro-5: 0.51, iPS_cells:PDB_2lox-17: 0.51, iPS_cells:PDB_2lox-21: 0.51, iPS_cells:PDB_2lox-5: 0.5 |
IMR5_ATGGGAGGTCCTTAAG-1 | Neurons | 0.24 | 615.04 | Raw ScoresNeurons:adrenal_medulla_cell_line: 0.58, Neuroepithelial_cell:ESC-derived: 0.54, iPS_cells:PDB_1lox-21Puro-20: 0.52, iPS_cells:PDB_1lox-21Puro-26: 0.52, iPS_cells:PDB_1lox-17Puro-10: 0.52, iPS_cells:PDB_2lox-22: 0.52, iPS_cells:PDB_1lox-17Puro-5: 0.51, iPS_cells:PDB_2lox-21: 0.51, iPS_cells:PDB_2lox-17: 0.51, iPS_cells:CRL2097_foreskin-derived:undiff.: 0.51 |
IMR5_ACCATTTAGCGAAACC-1 | Neurons | 0.27 | 613.07 | Raw ScoresNeurons:adrenal_medulla_cell_line: 0.58, Neuroepithelial_cell:ESC-derived: 0.54, iPS_cells:PDB_1lox-21Puro-20: 0.52, iPS_cells:PDB_1lox-21Puro-26: 0.52, iPS_cells:PDB_2lox-22: 0.51, iPS_cells:PDB_1lox-17Puro-10: 0.51, iPS_cells:PDB_1lox-17Puro-5: 0.51, iPS_cells:PDB_2lox-21: 0.5, iPS_cells:PDB_2lox-17: 0.5, Embryonic_stem_cells: 0.5 |
IMR5_CAATACGTCCCAACTC-1 | Neurons | 0.25 | 612.63 | Raw ScoresNeurons:adrenal_medulla_cell_line: 0.57, Neuroepithelial_cell:ESC-derived: 0.53, iPS_cells:PDB_1lox-21Puro-20: 0.52, iPS_cells:PDB_1lox-21Puro-26: 0.51, iPS_cells:PDB_2lox-22: 0.51, iPS_cells:PDB_1lox-17Puro-10: 0.51, iPS_cells:PDB_1lox-17Puro-5: 0.51, iPS_cells:PDB_2lox-21: 0.51, iPS_cells:CRL2097_foreskin-derived:undiff.: 0.5, iPS_cells:PDB_2lox-17: 0.5 |
IMR5_GGAATGGAGTCACGCC-1 | Neurons | 0.28 | 608.99 | Raw ScoresNeurons:adrenal_medulla_cell_line: 0.61, Neuroepithelial_cell:ESC-derived: 0.56, iPS_cells:PDB_1lox-21Puro-20: 0.55, iPS_cells:PDB_1lox-21Puro-26: 0.54, iPS_cells:PDB_1lox-17Puro-10: 0.54, iPS_cells:PDB_2lox-22: 0.54, iPS_cells:PDB_1lox-17Puro-5: 0.54, iPS_cells:PDB_2lox-21: 0.53, iPS_cells:PDB_2lox-17: 0.53, Embryonic_stem_cells: 0.52 |
IMR5_CAACCTCAGAGTCACG-1 | Neurons | 0.27 | 607.71 | Raw ScoresNeurons:adrenal_medulla_cell_line: 0.59, Neuroepithelial_cell:ESC-derived: 0.55, iPS_cells:PDB_1lox-21Puro-20: 0.53, iPS_cells:PDB_1lox-21Puro-26: 0.53, iPS_cells:PDB_2lox-22: 0.52, iPS_cells:PDB_1lox-17Puro-10: 0.52, iPS_cells:PDB_1lox-17Puro-5: 0.52, iPS_cells:PDB_2lox-21: 0.52, iPS_cells:PDB_2lox-17: 0.52, iPS_cells:CRL2097_foreskin-derived:undiff.: 0.52 |
IMR5_ATTTACCTCTCCCAAC-1 | Neurons | 0.26 | 607.41 | Raw ScoresNeurons:adrenal_medulla_cell_line: 0.59, Neuroepithelial_cell:ESC-derived: 0.55, iPS_cells:PDB_1lox-21Puro-20: 0.54, iPS_cells:PDB_1lox-21Puro-26: 0.53, iPS_cells:PDB_1lox-17Puro-10: 0.53, iPS_cells:PDB_2lox-22: 0.53, iPS_cells:PDB_1lox-17Puro-5: 0.53, Embryonic_stem_cells: 0.52, iPS_cells:PDB_2lox-21: 0.52, iPS_cells:PDB_2lox-17: 0.52 |
IMR5_TTCAATCCACAGTACT-1 | Neurons | 0.28 | 606.44 | Raw ScoresNeurons:adrenal_medulla_cell_line: 0.61, Neuroepithelial_cell:ESC-derived: 0.56, iPS_cells:PDB_1lox-21Puro-20: 0.54, iPS_cells:PDB_1lox-21Puro-26: 0.54, iPS_cells:PDB_1lox-17Puro-10: 0.54, iPS_cells:PDB_1lox-17Puro-5: 0.54, iPS_cells:PDB_2lox-22: 0.54, iPS_cells:PDB_2lox-21: 0.53, iPS_cells:PDB_2lox-17: 0.53, iPS_cells:CRL2097_foreskin-derived:undiff.: 0.52 |
IMR5_CACTGAAGTCCTTTGC-1 | Neurons | 0.25 | 599.87 | Raw ScoresNeurons:adrenal_medulla_cell_line: 0.6, Neuroepithelial_cell:ESC-derived: 0.56, iPS_cells:PDB_1lox-21Puro-20: 0.55, iPS_cells:PDB_1lox-21Puro-26: 0.55, iPS_cells:PDB_1lox-17Puro-10: 0.54, iPS_cells:PDB_1lox-17Puro-5: 0.54, iPS_cells:PDB_2lox-22: 0.54, iPS_cells:PDB_2lox-21: 0.53, iPS_cells:PDB_2lox-17: 0.53, iPS_cells:CRL2097_foreskin-derived:undiff.: 0.53 |
IMR5_AGAAATGCAAGGCAAC-1 | Neurons | 0.27 | 598.32 | Raw ScoresNeurons:adrenal_medulla_cell_line: 0.6, Neuroepithelial_cell:ESC-derived: 0.56, iPS_cells:PDB_1lox-21Puro-20: 0.54, iPS_cells:PDB_1lox-17Puro-10: 0.54, iPS_cells:PDB_1lox-21Puro-26: 0.54, iPS_cells:PDB_2lox-22: 0.53, iPS_cells:PDB_1lox-17Puro-5: 0.53, iPS_cells:PDB_2lox-17: 0.53, iPS_cells:PDB_2lox-21: 0.53, iPS_cells:CRL2097_foreskin-derived:undiff.: 0.52 |
IMR5_GAAGCCCTCCATCTCG-1 | Neurons | 0.25 | 598.07 | Raw ScoresNeurons:adrenal_medulla_cell_line: 0.58, Neuroepithelial_cell:ESC-derived: 0.55, iPS_cells:PDB_1lox-21Puro-20: 0.54, iPS_cells:PDB_1lox-21Puro-26: 0.54, iPS_cells:PDB_1lox-17Puro-10: 0.53, iPS_cells:PDB_2lox-22: 0.53, iPS_cells:PDB_1lox-17Puro-5: 0.53, iPS_cells:PDB_2lox-21: 0.53, iPS_cells:PDB_2lox-17: 0.53, Embryonic_stem_cells: 0.52 |
IMR5_TTGACCCTCCCAAGTA-1 | Neurons | 0.25 | 595.00 | Raw ScoresNeurons:adrenal_medulla_cell_line: 0.58, Neuroepithelial_cell:ESC-derived: 0.55, iPS_cells:PDB_1lox-21Puro-20: 0.54, iPS_cells:PDB_1lox-21Puro-26: 0.53, iPS_cells:PDB_2lox-22: 0.53, iPS_cells:PDB_1lox-17Puro-10: 0.53, iPS_cells:PDB_1lox-17Puro-5: 0.53, iPS_cells:PDB_2lox-17: 0.53, iPS_cells:PDB_2lox-21: 0.52, Embryonic_stem_cells: 0.52 |
IMR5_TGGATCAGTACGAGTG-1 | Neurons | 0.26 | 593.14 | Raw ScoresNeurons:adrenal_medulla_cell_line: 0.58, Neuroepithelial_cell:ESC-derived: 0.54, iPS_cells:PDB_1lox-21Puro-20: 0.52, iPS_cells:PDB_1lox-21Puro-26: 0.52, iPS_cells:PDB_1lox-17Puro-10: 0.52, iPS_cells:PDB_2lox-22: 0.52, iPS_cells:PDB_1lox-17Puro-5: 0.52, iPS_cells:PDB_2lox-21: 0.51, iPS_cells:CRL2097_foreskin-derived:undiff.: 0.51, iPS_cells:PDB_2lox-17: 0.51 |
IMR5_CATGGTATCCATTGTT-1 | Neurons | 0.26 | 592.67 | Raw ScoresNeurons:adrenal_medulla_cell_line: 0.58, Neuroepithelial_cell:ESC-derived: 0.54, iPS_cells:PDB_1lox-21Puro-20: 0.53, iPS_cells:PDB_1lox-21Puro-26: 0.52, iPS_cells:PDB_1lox-17Puro-10: 0.52, iPS_cells:PDB_2lox-22: 0.52, iPS_cells:PDB_1lox-17Puro-5: 0.52, iPS_cells:PDB_2lox-21: 0.52, iPS_cells:PDB_2lox-17: 0.51, iPS_cells:CRL2097_foreskin-derived:undiff.: 0.51 |
IMR5_TGGTTAGCATCGAACT-1 | Neurons | 0.26 | 588.68 | Raw ScoresNeurons:adrenal_medulla_cell_line: 0.59, Neuroepithelial_cell:ESC-derived: 0.55, iPS_cells:PDB_1lox-21Puro-20: 0.53, iPS_cells:PDB_1lox-21Puro-26: 0.52, iPS_cells:PDB_1lox-17Puro-10: 0.52, iPS_cells:PDB_2lox-22: 0.52, iPS_cells:PDB_1lox-17Puro-5: 0.52, iPS_cells:PDB_2lox-17: 0.51, iPS_cells:PDB_2lox-21: 0.51, Embryonic_stem_cells: 0.51 |
IMR5_CTTACCGTCGGAACTT-1 | Neurons | 0.26 | 588.12 | Raw ScoresNeurons:adrenal_medulla_cell_line: 0.6, Neuroepithelial_cell:ESC-derived: 0.56, iPS_cells:PDB_1lox-21Puro-20: 0.54, iPS_cells:PDB_1lox-21Puro-26: 0.54, iPS_cells:PDB_1lox-17Puro-10: 0.54, iPS_cells:PDB_2lox-22: 0.53, iPS_cells:PDB_1lox-17Puro-5: 0.53, iPS_cells:PDB_2lox-21: 0.53, iPS_cells:PDB_2lox-17: 0.53, iPS_cells:CRL2097_foreskin-derived:undiff.: 0.52 |
IMR5_AGGTAGGCATTCGATG-1 | Neurons | 0.27 | 581.59 | Raw ScoresNeurons:adrenal_medulla_cell_line: 0.61, Neuroepithelial_cell:ESC-derived: 0.57, iPS_cells:PDB_1lox-21Puro-20: 0.54, iPS_cells:PDB_1lox-21Puro-26: 0.54, iPS_cells:PDB_2lox-22: 0.54, iPS_cells:PDB_1lox-17Puro-10: 0.54, iPS_cells:PDB_1lox-17Puro-5: 0.53, iPS_cells:PDB_2lox-17: 0.53, iPS_cells:PDB_2lox-21: 0.53, Astrocyte:Embryonic_stem_cell-derived: 0.53 |
IMR5_GGCACGTGTATGTCTG-1 | Neurons | 0.26 | 580.76 | Raw ScoresNeurons:adrenal_medulla_cell_line: 0.6, Neuroepithelial_cell:ESC-derived: 0.57, iPS_cells:PDB_1lox-21Puro-20: 0.55, iPS_cells:PDB_1lox-21Puro-26: 0.55, iPS_cells:PDB_2lox-22: 0.55, iPS_cells:PDB_1lox-17Puro-10: 0.54, iPS_cells:PDB_1lox-17Puro-5: 0.54, iPS_cells:PDB_2lox-21: 0.54, iPS_cells:PDB_2lox-17: 0.54, iPS_cells:CRL2097_foreskin-derived:undiff.: 0.54 |
IMR5_CATGCTCCAAATGGAT-1 | Neurons | 0.25 | 575.43 | Raw ScoresNeurons:adrenal_medulla_cell_line: 0.58, Neuroepithelial_cell:ESC-derived: 0.54, iPS_cells:PDB_1lox-21Puro-20: 0.52, iPS_cells:PDB_1lox-21Puro-26: 0.52, iPS_cells:PDB_1lox-17Puro-10: 0.51, iPS_cells:PDB_2lox-22: 0.51, iPS_cells:PDB_1lox-17Puro-5: 0.51, iPS_cells:PDB_2lox-21: 0.51, iPS_cells:PDB_2lox-17: 0.51, iPS_cells:CRL2097_foreskin-derived:undiff.: 0.51 |
IMR5_TAGGTTGTCTCGAGTA-1 | Neurons | 0.27 | 569.96 | Raw ScoresNeurons:adrenal_medulla_cell_line: 0.59, Neuroepithelial_cell:ESC-derived: 0.54, iPS_cells:PDB_1lox-21Puro-20: 0.52, iPS_cells:PDB_2lox-22: 0.52, iPS_cells:PDB_1lox-21Puro-26: 0.52, iPS_cells:PDB_1lox-17Puro-10: 0.51, iPS_cells:PDB_1lox-17Puro-5: 0.51, iPS_cells:PDB_2lox-21: 0.51, iPS_cells:PDB_2lox-17: 0.51, iPS_cells:PDB_2lox-5: 0.5 |
IMR5_CGAATTGGTGTAAATG-1 | Neurons | 0.27 | 568.64 | Raw ScoresNeurons:adrenal_medulla_cell_line: 0.59, Neuroepithelial_cell:ESC-derived: 0.55, iPS_cells:PDB_1lox-21Puro-20: 0.54, iPS_cells:PDB_1lox-21Puro-26: 0.53, iPS_cells:PDB_1lox-17Puro-10: 0.53, iPS_cells:PDB_1lox-17Puro-5: 0.53, iPS_cells:PDB_2lox-22: 0.52, iPS_cells:CRL2097_foreskin-derived:undiff.: 0.52, iPS_cells:PDB_2lox-17: 0.52, iPS_cells:PDB_2lox-21: 0.52 |
IMR5_CACCGTTCACACACGC-1 | Neurons | 0.26 | 566.84 | Raw ScoresNeurons:adrenal_medulla_cell_line: 0.59, Neuroepithelial_cell:ESC-derived: 0.55, iPS_cells:PDB_1lox-21Puro-20: 0.53, iPS_cells:PDB_1lox-21Puro-26: 0.53, iPS_cells:PDB_1lox-17Puro-10: 0.53, iPS_cells:PDB_2lox-22: 0.53, iPS_cells:PDB_1lox-17Puro-5: 0.52, iPS_cells:PDB_2lox-21: 0.52, iPS_cells:PDB_2lox-17: 0.52, iPS_cells:CRL2097_foreskin-derived:undiff.: 0.52 |
IMR5_CTGCCATTCTCGTGGG-1 | Neurons | 0.25 | 562.38 | Raw ScoresNeurons:adrenal_medulla_cell_line: 0.57, Neuroepithelial_cell:ESC-derived: 0.54, iPS_cells:PDB_1lox-21Puro-20: 0.52, iPS_cells:PDB_1lox-21Puro-26: 0.51, iPS_cells:PDB_1lox-17Puro-10: 0.51, iPS_cells:PDB_2lox-22: 0.51, iPS_cells:PDB_1lox-17Puro-5: 0.51, iPS_cells:PDB_2lox-21: 0.51, iPS_cells:PDB_2lox-17: 0.51, Embryonic_stem_cells: 0.5 |
Below shows the significant enrichments of this GEP for literature curated gene lists
This data was procured from existing single cell RNA-seq maps of neuroblastoma or related relevant data.
High ranks indicate this gene is a driver of this GEP.
These curated gene list are ranked by the P-value (on this GEP) of their constituent genes.
The Mean Count column shows the mean read count in cells scoring highly (H > 50) on this gene expression program.
Genes | Weight | Rank | GTEx | DepMap | Decartes | Mean.Counts | Mean.TPM |
---|---|---|---|---|---|---|---|
MAP4K4 | 0.0019299 | 216 | GTEx | DepMap | Descartes | 4.38 | 60.67 |
NES | 0.0012579 | 544 | GTEx | DepMap | Descartes | 2.21 | 38.60 |
PREX1 | 0.0007842 | 1191 | GTEx | DepMap | Descartes | 0.31 | 5.24 |
Stress response (Dong)
Markers obtained in computationally inferred meta program (by NMF applied to their neuroblastoma sc-RNA-seq data) from Fig. 5(a) of Dong et al. (PMID 32946775).:
Wilcoxon ranksum test P-value for gene set overrepresentation: 6.63e-03
Mean rank of genes in gene set: 1095
Rank on gene expression program of genes in gene set:
Genes | Weight | Rank | GTEx | DepMap | Decartes | Mean.Counts | Mean.TPM |
---|---|---|---|---|---|---|---|
FOS | 0.0037843 | 27 | GTEx | DepMap | Descartes | 5.74 | 283.10 |
JUN | 0.0026708 | 79 | GTEx | DepMap | Descartes | 4.89 | 150.06 |
JUNB | 0.0002766 | 3179 | GTEx | DepMap | Descartes | 1.33 | 70.32 |
Translation (Dong)
Markers obtained in computationally inferred meta program (by NMF applied to their neuroblastoma sc-RNA-seq data) from Fig. 5(a) of Dong et al. (PMID 32946775).:
Wilcoxon ranksum test P-value for gene set overrepresentation: 1.04e-02
Mean rank of genes in gene set: 1442.33
Rank on gene expression program of genes in gene set:
Genes | Weight | Rank | GTEx | DepMap | Decartes | Mean.Counts | Mean.TPM |
---|---|---|---|---|---|---|---|
EIF3E | 0.0013032 | 510 | GTEx | DepMap | Descartes | 7.03 | 368.39 |
EIF3L | 0.0009795 | 856 | GTEx | DepMap | Descartes | 5.16 | 159.04 |
EIF3F | 0.0003085 | 2961 | GTEx | DepMap | Descartes | 4.58 | 62.04 |
Below shows ranks on this GEP for literature curated gene lists for large gene sets
These include those reported as mesenchymal/adrenergic by Van Groningen et al.
High ranks indicate this gene is a driver of this GEP (note these results are not ordered).
The Mean Count column shows the mean read count in cells scoring highly (H > 50) on this gene expression program.
VanGroningen Adrenergic Genes
Adrenergic marker genes from Supplementary Table 2 of Van Groningen et al. Nature Genetics 2017. These genes were identified by differential expression analysis of mesenchymal-like and adrenergic-like neuroblastoma cell lines.
Wilcoxon ranksum test P-value for gene set overrepresentation: 6.51e-01
Mean rank of genes in gene set: 6354.39
Median rank of genes in gene set: 5636
Rank on gene expression program of top 30 genes in gene set:
Genes | Weight | Rank | GTEx | DepMap | Descartes | Mean.Counts | Mean.TPM |
---|---|---|---|---|---|---|---|
SATB1 | 0.0047923 | 9 | GTEx | DepMap | Descartes | 4.51 | 58.72 |
AKAP12 | 0.0039759 | 22 | GTEx | DepMap | Descartes | 9.08 | 111.96 |
ANP32A | 0.0034418 | 31 | GTEx | DepMap | Descartes | 10.84 | 300.54 |
NNAT | 0.0029976 | 57 | GTEx | DepMap | Descartes | 6.62 | 537.63 |
RNF157 | 0.0028630 | 66 | GTEx | DepMap | Descartes | 1.93 | 36.18 |
OLFM1 | 0.0027379 | 75 | GTEx | DepMap | Descartes | 3.91 | 152.85 |
TMEM97 | 0.0025683 | 90 | GTEx | DepMap | Descartes | 3.70 | 157.47 |
HNRNPA0 | 0.0025471 | 93 | GTEx | DepMap | Descartes | 6.58 | 77.61 |
MMD | 0.0024042 | 113 | GTEx | DepMap | Descartes | 3.33 | 129.77 |
ELAVL2 | 0.0023748 | 121 | GTEx | DepMap | Descartes | 2.29 | 59.27 |
GATA3 | 0.0022270 | 144 | GTEx | DepMap | Descartes | 6.64 | 223.96 |
RNF165 | 0.0021286 | 163 | GTEx | DepMap | Descartes | 1.53 | 20.94 |
HMGA1 | 0.0020720 | 177 | GTEx | DepMap | Descartes | 7.78 | 363.58 |
KIF15 | 0.0020322 | 184 | GTEx | DepMap | Descartes | 1.58 | 31.99 |
CENPV | 0.0019998 | 194 | GTEx | DepMap | Descartes | 7.68 | 438.42 |
DACH1 | 0.0019624 | 205 | GTEx | DepMap | Descartes | 1.85 | 35.12 |
HES6 | 0.0019566 | 207 | GTEx | DepMap | Descartes | 2.64 | 172.81 |
REC8 | 0.0019285 | 217 | GTEx | DepMap | Descartes | 1.60 | 62.14 |
SOX11 | 0.0019113 | 220 | GTEx | DepMap | Descartes | 6.13 | 70.73 |
GLDC | 0.0018815 | 231 | GTEx | DepMap | Descartes | 0.55 | 15.07 |
CHML | 0.0018242 | 252 | GTEx | DepMap | Descartes | 1.97 | 28.18 |
GABRB3 | 0.0018167 | 256 | GTEx | DepMap | Descartes | 2.13 | 37.85 |
MSI2 | 0.0018084 | 260 | GTEx | DepMap | Descartes | 4.68 | 64.06 |
CRMP1 | 0.0017380 | 278 | GTEx | DepMap | Descartes | 3.23 | 102.39 |
EYA1 | 0.0016445 | 315 | GTEx | DepMap | Descartes | 1.02 | 25.48 |
GNG4 | 0.0016025 | 331 | GTEx | DepMap | Descartes | 3.78 | 78.02 |
IGSF3 | 0.0015970 | 332 | GTEx | DepMap | Descartes | 1.15 | 16.13 |
SBK1 | 0.0015768 | 345 | GTEx | DepMap | Descartes | 0.85 | 17.27 |
KLHL23 | 0.0015287 | 371 | GTEx | DepMap | Descartes | 3.37 | 85.26 |
CXADR | 0.0014812 | 388 | GTEx | DepMap | Descartes | 1.01 | 19.27 |
VanGroningen Mesenchymal Genes
Mesenchymal marker genes from Supplementary Table 2 of Van Groningen et al. Nature Genetics 2017. These genes were identified by differential expression analysis of mesenchymal-like and adrenergic-like neuroblastoma cell lines.
Wilcoxon ranksum test P-value for gene set overrepresentation: 1.00e+00
Mean rank of genes in gene set: 7679.57
Median rank of genes in gene set: 8963
Rank on gene expression program of top 30 genes in gene set:
Genes | Weight | Rank | GTEx | DepMap | Descartes | Mean.Counts | Mean.TPM |
---|---|---|---|---|---|---|---|
ANTXR1 | 0.0058372 | 3 | GTEx | DepMap | Descartes | 7.26 | 144.36 |
ENAH | 0.0040828 | 19 | GTEx | DepMap | Descartes | 11.12 | 87.37 |
ZFP36L1 | 0.0040508 | 20 | GTEx | DepMap | Descartes | 1.38 | 45.79 |
IGFBP5 | 0.0029395 | 62 | GTEx | DepMap | Descartes | 4.09 | 75.10 |
SASH1 | 0.0024609 | 106 | GTEx | DepMap | Descartes | 0.66 | 9.32 |
MGST1 | 0.0021877 | 152 | GTEx | DepMap | Descartes | 1.08 | 56.84 |
PHLDB2 | 0.0021336 | 162 | GTEx | DepMap | Descartes | 1.26 | 20.96 |
KDM5B | 0.0021228 | 167 | GTEx | DepMap | Descartes | 3.42 | 38.36 |
RCN1 | 0.0020640 | 178 | GTEx | DepMap | Descartes | 2.34 | 96.63 |
TSC22D2 | 0.0019794 | 200 | GTEx | DepMap | Descartes | 1.16 | 10.94 |
DESI2 | 0.0018061 | 261 | GTEx | DepMap | Descartes | 2.77 | NA |
WLS | 0.0017575 | 274 | GTEx | DepMap | Descartes | 1.66 | 68.67 |
NEK7 | 0.0016523 | 312 | GTEx | DepMap | Descartes | 0.88 | 23.34 |
PRDX6 | 0.0015847 | 342 | GTEx | DepMap | Descartes | 9.66 | 589.01 |
GNG12 | 0.0015464 | 355 | GTEx | DepMap | Descartes | 1.44 | 33.88 |
BNC2 | 0.0015140 | 377 | GTEx | DepMap | Descartes | 0.64 | 5.32 |
CKAP4 | 0.0014184 | 430 | GTEx | DepMap | Descartes | 2.28 | 75.09 |
COPA | 0.0014053 | 440 | GTEx | DepMap | Descartes | 2.84 | 53.76 |
DLC1 | 0.0013632 | 467 | GTEx | DepMap | Descartes | 2.13 | 30.67 |
REST | 0.0013010 | 512 | GTEx | DepMap | Descartes | 1.28 | 18.92 |
ARMCX2 | 0.0012789 | 525 | GTEx | DepMap | Descartes | 0.60 | 21.59 |
NES | 0.0012579 | 544 | GTEx | DepMap | Descartes | 2.21 | 38.60 |
NFIA | 0.0011916 | 605 | GTEx | DepMap | Descartes | 1.76 | 4.06 |
COL4A2 | 0.0011750 | 621 | GTEx | DepMap | Descartes | 1.30 | 21.57 |
HLX | 0.0010997 | 710 | GTEx | DepMap | Descartes | 0.39 | 7.75 |
KLF4 | 0.0010133 | 812 | GTEx | DepMap | Descartes | 0.16 | 5.36 |
ITGA4 | 0.0010025 | 823 | GTEx | DepMap | Descartes | 0.63 | 9.84 |
CTNNA1 | 0.0009812 | 854 | GTEx | DepMap | Descartes | 1.69 | 46.05 |
ADAMTS5 | 0.0009288 | 931 | GTEx | DepMap | Descartes | 0.76 | 7.92 |
KCNK2 | 0.0009286 | 933 | GTEx | DepMap | Descartes | 0.20 | 6.36 |
Descartes adrenocortical markers
Top 50 marker genes of adrenocortical cells in the Decartes fetal adrenal single cell map (https://atlas.brotmanbaty.org/bbi/human-gene-expression-during-development/cell/adrenocortical/in/adrenal)
Wilcoxon ranksum test P-value for gene set overrepresentation: 7.71e-01
Mean rank of genes in gene set: 6723.14
Median rank of genes in gene set: 6738
Rank on gene expression program of top 30 genes in gene set:
Genes | Weight | Rank | GTEx | DepMap | Descartes | Mean.Counts | Mean.TPM |
---|---|---|---|---|---|---|---|
DHCR24 | 0.0019370 | 212 | GTEx | DepMap | Descartes | 2.10 | 39.32 |
FDPS | 0.0015083 | 379 | GTEx | DepMap | Descartes | 6.84 | 355.65 |
SLC1A2 | 0.0009585 | 884 | GTEx | DepMap | Descartes | 0.19 | 2.00 |
SLC16A9 | 0.0007348 | 1295 | GTEx | DepMap | Descartes | 0.32 | 7.82 |
GSTA4 | 0.0005130 | 1961 | GTEx | DepMap | Descartes | 0.92 | 56.67 |
SH3PXD2B | 0.0004033 | 2438 | GTEx | DepMap | Descartes | 0.29 | 3.79 |
CYB5B | 0.0003965 | 2470 | GTEx | DepMap | Descartes | 1.54 | 35.77 |
SCAP | 0.0001749 | 3959 | GTEx | DepMap | Descartes | 0.31 | 7.62 |
HMGCS1 | 0.0001672 | 4026 | GTEx | DepMap | Descartes | 1.19 | 23.72 |
NPC1 | 0.0000924 | 4797 | GTEx | DepMap | Descartes | 0.11 | 2.41 |
LDLR | 0.0000744 | 4985 | GTEx | DepMap | Descartes | 0.61 | 11.38 |
SH3BP5 | 0.0000634 | 5107 | GTEx | DepMap | Descartes | 0.55 | 17.72 |
IGF1R | 0.0000615 | 5138 | GTEx | DepMap | Descartes | 0.83 | 7.11 |
JAKMIP2 | 0.0000555 | 5210 | GTEx | DepMap | Descartes | 1.03 | 11.53 |
DNER | 0.0000203 | 5619 | GTEx | DepMap | Descartes | 0.02 | 0.89 |
FDXR | 0.0000148 | 5691 | GTEx | DepMap | Descartes | 0.39 | 15.59 |
HMGCR | 0.0000017 | 5889 | GTEx | DepMap | Descartes | 1.12 | 26.36 |
ERN1 | -0.0000411 | 6658 | GTEx | DepMap | Descartes | 0.10 | 1.37 |
PEG3 | -0.0000492 | 6818 | GTEx | DepMap | Descartes | 0.21 | NA |
FRMD5 | -0.0000850 | 7570 | GTEx | DepMap | Descartes | 0.09 | 1.98 |
STAR | -0.0001072 | 7973 | GTEx | DepMap | Descartes | 0.01 | 0.25 |
PAPSS2 | -0.0001257 | 8316 | GTEx | DepMap | Descartes | 0.16 | 3.35 |
FREM2 | -0.0001461 | 8623 | GTEx | DepMap | Descartes | 0.00 | 0.00 |
POR | -0.0001637 | 8896 | GTEx | DepMap | Descartes | 0.48 | 19.03 |
SGCZ | -0.0001668 | 8942 | GTEx | DepMap | Descartes | 0.01 | 0.05 |
MSMO1 | -0.0001692 | 8967 | GTEx | DepMap | Descartes | 0.81 | 39.54 |
INHA | -0.0001885 | 9195 | GTEx | DepMap | Descartes | 0.00 | 0.15 |
DHCR7 | -0.0002045 | 9375 | GTEx | DepMap | Descartes | 0.43 | 15.99 |
GRAMD1B | -0.0002996 | 10268 | GTEx | DepMap | Descartes | 0.03 | 0.34 |
SCARB1 | -0.0003311 | 10488 | GTEx | DepMap | Descartes | 0.31 | 5.65 |
Descartes chromaffin markers
Top 50 marker genes of chromaffin cells in the Decartes fetal adrenal single cell map (https://atlas.brotmanbaty.org/bbi/human-gene-expression-during-development/cell/chromaffin/in/adrenal)
Wilcoxon ranksum test P-value for gene set overrepresentation: 8.96e-01
Mean rank of genes in gene set: 6986.46
Median rank of genes in gene set: 8096
Rank on gene expression program of top 30 genes in gene set:
Genes | Weight | Rank | GTEx | DepMap | Descartes | Mean.Counts | Mean.TPM |
---|---|---|---|---|---|---|---|
MLLT11 | 0.0028015 | 72 | GTEx | DepMap | Descartes | 9.79 | 415.71 |
ELAVL2 | 0.0023748 | 121 | GTEx | DepMap | Descartes | 2.29 | 59.27 |
KCNB2 | 0.0021275 | 164 | GTEx | DepMap | Descartes | 0.98 | 31.99 |
BASP1 | 0.0020245 | 188 | GTEx | DepMap | Descartes | 7.86 | 455.09 |
EYA1 | 0.0016445 | 315 | GTEx | DepMap | Descartes | 1.02 | 25.48 |
MAB21L1 | 0.0015950 | 334 | GTEx | DepMap | Descartes | 4.98 | 196.78 |
CNTFR | 0.0012148 | 579 | GTEx | DepMap | Descartes | 1.13 | 58.44 |
MAP1B | 0.0011017 | 708 | GTEx | DepMap | Descartes | 17.96 | 152.72 |
NTRK1 | 0.0010844 | 727 | GTEx | DepMap | Descartes | 0.74 | 25.56 |
PTCHD1 | 0.0006265 | 1568 | GTEx | DepMap | Descartes | 0.06 | 0.51 |
ANKFN1 | 0.0005963 | 1647 | GTEx | DepMap | Descartes | 0.02 | 1.18 |
RBFOX1 | 0.0005868 | 1687 | GTEx | DepMap | Descartes | 0.14 | 3.03 |
MAB21L2 | 0.0002946 | 3054 | GTEx | DepMap | Descartes | 1.31 | 55.36 |
SLC44A5 | 0.0002482 | 3369 | GTEx | DepMap | Descartes | 0.18 | 4.42 |
REEP1 | 0.0002270 | 3533 | GTEx | DepMap | Descartes | 0.12 | 3.17 |
ALK | 0.0000661 | 5075 | GTEx | DepMap | Descartes | 0.19 | 2.84 |
CCND1 | 0.0000174 | 5655 | GTEx | DepMap | Descartes | 9.17 | 213.10 |
EPHA6 | -0.0000429 | 6699 | GTEx | DepMap | Descartes | 0.02 | 0.46 |
EYA4 | -0.0000543 | 6929 | GTEx | DepMap | Descartes | 0.16 | 3.16 |
RGMB | -0.0001116 | 8064 | GTEx | DepMap | Descartes | 0.32 | 7.13 |
TMEM132C | -0.0001133 | 8096 | GTEx | DepMap | Descartes | 0.00 | 0.01 |
RYR2 | -0.0001184 | 8184 | GTEx | DepMap | Descartes | 0.12 | 0.92 |
TMEFF2 | -0.0001499 | 8684 | GTEx | DepMap | Descartes | 0.05 | 1.46 |
CNKSR2 | -0.0002465 | 9818 | GTEx | DepMap | Descartes | 0.16 | 1.91 |
FAT3 | -0.0002925 | 10214 | GTEx | DepMap | Descartes | 0.03 | 0.19 |
HS3ST5 | -0.0003204 | 10411 | GTEx | DepMap | Descartes | 0.07 | 1.56 |
MARCH11 | -0.0004281 | 11070 | GTEx | DepMap | Descartes | 0.67 | NA |
GREM1 | -0.0004324 | 11086 | GTEx | DepMap | Descartes | 0.04 | 0.14 |
ISL1 | -0.0005393 | 11538 | GTEx | DepMap | Descartes | 1.47 | 59.31 |
IL7 | -0.0005657 | 11618 | GTEx | DepMap | Descartes | 0.04 | 1.11 |
Descartes Vascular_endothelial markers
Top 50 marker genes of Vascular_endothelial cells in the Decartes fetal adrenal single cell map (https://atlas.brotmanbaty.org/bbi/human-gene-expression-during-development/cell/vascular_endothelial/in/adrenal)
Wilcoxon ranksum test P-value for gene set overrepresentation: 9.65e-01
Mean rank of genes in gene set: 7339.34
Median rank of genes in gene set: 6967.5
Rank on gene expression program of top 30 genes in gene set:
Genes | Weight | Rank | GTEx | DepMap | Descartes | Mean.Counts | Mean.TPM |
---|---|---|---|---|---|---|---|
RAMP2 | 0.0012894 | 519 | GTEx | DepMap | Descartes | 1.15 | 138.83 |
HYAL2 | 0.0005106 | 1974 | GTEx | DepMap | Descartes | 0.98 | 25.57 |
SHANK3 | 0.0004913 | 2054 | GTEx | DepMap | Descartes | 0.08 | 0.95 |
CYP26B1 | 0.0004181 | 2358 | GTEx | DepMap | Descartes | 0.01 | 0.15 |
FLT4 | 0.0002279 | 3526 | GTEx | DepMap | Descartes | 0.02 | 0.40 |
IRX3 | 0.0002265 | 3538 | GTEx | DepMap | Descartes | 0.10 | 3.74 |
BTNL9 | 0.0001615 | 4080 | GTEx | DepMap | Descartes | 0.01 | 0.12 |
NR5A2 | 0.0000125 | 5724 | GTEx | DepMap | Descartes | 0.00 | 0.03 |
GALNT15 | -0.0000077 | 6043 | GTEx | DepMap | Descartes | 0.00 | NA |
KDR | -0.0000085 | 6058 | GTEx | DepMap | Descartes | 0.00 | 0.03 |
CRHBP | -0.0000147 | 6141 | GTEx | DepMap | Descartes | 0.00 | 0.00 |
CEACAM1 | -0.0000180 | 6214 | GTEx | DepMap | Descartes | 0.00 | 0.17 |
PODXL | -0.0000207 | 6261 | GTEx | DepMap | Descartes | 0.12 | 1.90 |
RASIP1 | -0.0000266 | 6375 | GTEx | DepMap | Descartes | 0.01 | 0.13 |
SHE | -0.0000298 | 6438 | GTEx | DepMap | Descartes | 0.00 | 0.00 |
TIE1 | -0.0000389 | 6619 | GTEx | DepMap | Descartes | 0.00 | 0.00 |
MYRIP | -0.0000395 | 6629 | GTEx | DepMap | Descartes | 0.20 | 3.90 |
PLVAP | -0.0000442 | 6724 | GTEx | DepMap | Descartes | 0.00 | 0.00 |
MMRN2 | -0.0000524 | 6890 | GTEx | DepMap | Descartes | 0.00 | 0.04 |
CDH5 | -0.0000598 | 7045 | GTEx | DepMap | Descartes | 0.00 | 0.00 |
TEK | -0.0000649 | 7166 | GTEx | DepMap | Descartes | 0.00 | 0.00 |
ESM1 | -0.0000694 | 7243 | GTEx | DepMap | Descartes | 0.01 | 0.15 |
ROBO4 | -0.0001021 | 7893 | GTEx | DepMap | Descartes | 0.00 | 0.01 |
F8 | -0.0001062 | 7955 | GTEx | DepMap | Descartes | 0.01 | 0.08 |
KANK3 | -0.0001373 | 8498 | GTEx | DepMap | Descartes | 0.00 | 0.00 |
TMEM88 | -0.0001691 | 8966 | GTEx | DepMap | Descartes | 0.03 | 3.16 |
CALCRL | -0.0002377 | 9736 | GTEx | DepMap | Descartes | 0.00 | 0.05 |
SLCO2A1 | -0.0002688 | 10019 | GTEx | DepMap | Descartes | 0.00 | 0.03 |
CLDN5 | -0.0002730 | 10057 | GTEx | DepMap | Descartes | 0.00 | 0.09 |
ARHGAP29 | -0.0002775 | 10094 | GTEx | DepMap | Descartes | 0.48 | 5.18 |
Descartes stromal markers
Top 50 marker genes of stromal cells in the Decartes fetal adrenal single cell map (https://atlas.brotmanbaty.org/bbi/human-gene-expression-during-development/cell/stromal/in/adrenal)
Wilcoxon ranksum test P-value for gene set overrepresentation: 1.00e+00
Mean rank of genes in gene set: 9109.23
Median rank of genes in gene set: 10421
Rank on gene expression program of top 30 genes in gene set:
Genes | Weight | Rank | GTEx | DepMap | Descartes | Mean.Counts | Mean.TPM |
---|---|---|---|---|---|---|---|
GLI2 | 0.0010003 | 826 | GTEx | DepMap | Descartes | 0.26 | 3.71 |
PDGFRA | 0.0007630 | 1231 | GTEx | DepMap | Descartes | 0.71 | 13.24 |
ADAMTSL3 | 0.0004583 | 2192 | GTEx | DepMap | Descartes | 0.01 | 0.09 |
PRICKLE1 | 0.0004245 | 2334 | GTEx | DepMap | Descartes | 0.59 | 10.54 |
ABCA6 | 0.0002360 | 3455 | GTEx | DepMap | Descartes | 0.00 | 0.05 |
LOX | 0.0001109 | 4602 | GTEx | DepMap | Descartes | 0.15 | 3.42 |
COL27A1 | 0.0000551 | 5219 | GTEx | DepMap | Descartes | 0.04 | 0.57 |
SFRP2 | -0.0000190 | 6234 | GTEx | DepMap | Descartes | 0.00 | 0.00 |
SCARA5 | -0.0000360 | 6565 | GTEx | DepMap | Descartes | 0.00 | 0.00 |
BICC1 | -0.0000706 | 7278 | GTEx | DepMap | Descartes | 0.21 | 3.58 |
GAS2 | -0.0000839 | 7551 | GTEx | DepMap | Descartes | 0.03 | 1.02 |
OGN | -0.0000895 | 7663 | GTEx | DepMap | Descartes | 0.00 | 0.05 |
RSPO3 | -0.0000938 | 7732 | GTEx | DepMap | Descartes | 0.00 | NA |
CD248 | -0.0001085 | 7997 | GTEx | DepMap | Descartes | 0.14 | 5.13 |
CLDN11 | -0.0001097 | 8022 | GTEx | DepMap | Descartes | 0.02 | 0.60 |
LAMC3 | -0.0001184 | 8183 | GTEx | DepMap | Descartes | 0.01 | 0.07 |
PAMR1 | -0.0001439 | 8586 | GTEx | DepMap | Descartes | 0.00 | 0.00 |
PCDH18 | -0.0001617 | 8871 | GTEx | DepMap | Descartes | 0.12 | 1.74 |
ADAMTS2 | -0.0002088 | 9419 | GTEx | DepMap | Descartes | 0.03 | 0.46 |
ABCC9 | -0.0002935 | 10224 | GTEx | DepMap | Descartes | 0.01 | 0.07 |
EDNRA | -0.0002987 | 10260 | GTEx | DepMap | Descartes | 0.08 | 1.79 |
ISLR | -0.0003209 | 10418 | GTEx | DepMap | Descartes | 0.01 | 0.16 |
ELN | -0.0003222 | 10424 | GTEx | DepMap | Descartes | 0.03 | 0.50 |
ACTA2 | -0.0003317 | 10492 | GTEx | DepMap | Descartes | 0.06 | 3.66 |
POSTN | -0.0003569 | 10659 | GTEx | DepMap | Descartes | 0.02 | 0.26 |
FREM1 | -0.0003664 | 10717 | GTEx | DepMap | Descartes | 0.01 | 0.06 |
COL1A2 | -0.0004446 | 11147 | GTEx | DepMap | Descartes | 0.01 | 0.13 |
ITGA11 | -0.0004630 | 11229 | GTEx | DepMap | Descartes | 0.02 | 0.20 |
HHIP | -0.0004682 | 11258 | GTEx | DepMap | Descartes | 0.03 | 0.54 |
COL12A1 | -0.0004926 | 11352 | GTEx | DepMap | Descartes | 0.00 | 0.02 |
Descartes sympathoblasts markers
Top 50 marker genes of sympathoblasts cells in the Decartes fetal adrenal single cell map (https://atlas.brotmanbaty.org/bbi/human-gene-expression-during-development/cell/sympathoblasts/in/adrenal)
Wilcoxon ranksum test P-value for gene set overrepresentation: 1.00e+00
Mean rank of genes in gene set: 8460.13
Median rank of genes in gene set: 9526
Rank on gene expression program of top 30 genes in gene set:
Genes | Weight | Rank | GTEx | DepMap | Descartes | Mean.Counts | Mean.TPM |
---|---|---|---|---|---|---|---|
C1QL1 | 0.0018788 | 233 | GTEx | DepMap | Descartes | 1.97 | 126.21 |
HTATSF1 | 0.0010433 | 772 | GTEx | DepMap | Descartes | 3.53 | 120.89 |
TIAM1 | 0.0004553 | 2203 | GTEx | DepMap | Descartes | 0.69 | 9.86 |
SLC24A2 | 0.0003456 | 2751 | GTEx | DepMap | Descartes | 0.02 | 0.22 |
SORCS3 | 0.0001566 | 4125 | GTEx | DepMap | Descartes | 0.00 | 0.03 |
PCSK2 | 0.0001148 | 4557 | GTEx | DepMap | Descartes | 0.01 | 0.35 |
CNTN3 | 0.0000620 | 5132 | GTEx | DepMap | Descartes | 0.03 | 0.54 |
ROBO1 | 0.0000261 | 5561 | GTEx | DepMap | Descartes | 0.66 | 8.61 |
NTNG1 | 0.0000165 | 5668 | GTEx | DepMap | Descartes | 0.14 | 3.40 |
TENM1 | 0.0000058 | 5827 | GTEx | DepMap | Descartes | 0.01 | NA |
ARC | 0.0000012 | 5895 | GTEx | DepMap | Descartes | 0.08 | 2.68 |
PENK | -0.0000704 | 7275 | GTEx | DepMap | Descartes | 0.00 | 0.05 |
LAMA3 | -0.0001237 | 8276 | GTEx | DepMap | Descartes | 0.00 | 0.00 |
CDH12 | -0.0001291 | 8364 | GTEx | DepMap | Descartes | 0.00 | 0.00 |
PACRG | -0.0001387 | 8519 | GTEx | DepMap | Descartes | 0.00 | 0.14 |
KSR2 | -0.0001521 | 8731 | GTEx | DepMap | Descartes | 0.00 | 0.00 |
SLC35F3 | -0.0001562 | 8786 | GTEx | DepMap | Descartes | 0.05 | 1.47 |
TBX20 | -0.0002017 | 9343 | GTEx | DepMap | Descartes | 0.01 | 0.73 |
SPOCK3 | -0.0002083 | 9407 | GTEx | DepMap | Descartes | 0.07 | 2.22 |
DGKK | -0.0002297 | 9645 | GTEx | DepMap | Descartes | 0.00 | 0.02 |
AGBL4 | -0.0002390 | 9746 | GTEx | DepMap | Descartes | 0.01 | 0.20 |
UNC80 | -0.0002491 | 9839 | GTEx | DepMap | Descartes | 0.15 | 1.12 |
GRID2 | -0.0002767 | 10089 | GTEx | DepMap | Descartes | 0.02 | 0.56 |
CDH18 | -0.0002872 | 10174 | GTEx | DepMap | Descartes | 0.01 | 0.06 |
ST18 | -0.0002934 | 10223 | GTEx | DepMap | Descartes | 0.01 | 0.10 |
GRM7 | -0.0003668 | 10720 | GTEx | DepMap | Descartes | 0.01 | 0.18 |
GALNTL6 | -0.0003755 | 10786 | GTEx | DepMap | Descartes | 0.01 | 0.15 |
CCSER1 | -0.0003862 | 10853 | GTEx | DepMap | Descartes | 0.05 | NA |
MGAT4C | -0.0003891 | 10871 | GTEx | DepMap | Descartes | 0.00 | 0.00 |
KCTD16 | -0.0004022 | 10947 | GTEx | DepMap | Descartes | 0.05 | 0.31 |
Descartes erythroblasts markers
Top 50 marker genes of erythroblasts cells in the Decartes fetal adrenal single cell map (https://atlas.brotmanbaty.org/bbi/human-gene-expression-during-development/cell/erythroblasts/in/adrenal)
Wilcoxon ranksum test P-value for gene set overrepresentation: 6.60e-01
Mean rank of genes in gene set: 6551.97
Median rank of genes in gene set: 6934
Rank on gene expression program of top 30 genes in gene set:
Genes | Weight | Rank | GTEx | DepMap | Descartes | Mean.Counts | Mean.TPM |
---|---|---|---|---|---|---|---|
SELENBP1 | 0.0011270 | 677 | GTEx | DepMap | Descartes | 0.17 | 7.06 |
ABCB10 | 0.0005940 | 1654 | GTEx | DepMap | Descartes | 0.29 | 7.86 |
XPO7 | 0.0005845 | 1694 | GTEx | DepMap | Descartes | 0.73 | 15.11 |
SPECC1 | 0.0004590 | 2190 | GTEx | DepMap | Descartes | 0.34 | 4.18 |
GCLC | 0.0004452 | 2246 | GTEx | DepMap | Descartes | 0.49 | 14.09 |
EPB41 | 0.0004208 | 2349 | GTEx | DepMap | Descartes | 2.16 | 33.12 |
SLC25A37 | 0.0003431 | 2763 | GTEx | DepMap | Descartes | 1.44 | 33.88 |
CAT | 0.0003422 | 2770 | GTEx | DepMap | Descartes | 0.50 | 21.80 |
DENND4A | 0.0002990 | 3017 | GTEx | DepMap | Descartes | 0.35 | 4.15 |
TMCC2 | 0.0001776 | 3933 | GTEx | DepMap | Descartes | 0.06 | 1.63 |
SLC4A1 | -0.0000243 | 6331 | GTEx | DepMap | Descartes | 0.00 | 0.00 |
GYPC | -0.0000286 | 6415 | GTEx | DepMap | Descartes | 0.00 | 0.00 |
CPOX | -0.0000300 | 6450 | GTEx | DepMap | Descartes | 0.14 | 5.26 |
RGS6 | -0.0000387 | 6615 | GTEx | DepMap | Descartes | 0.00 | 0.00 |
TSPAN5 | -0.0000544 | 6934 | GTEx | DepMap | Descartes | 0.96 | 23.33 |
FECH | -0.0000627 | 7107 | GTEx | DepMap | Descartes | 0.16 | 1.95 |
ANK1 | -0.0000635 | 7127 | GTEx | DepMap | Descartes | 0.06 | 0.69 |
ALAS2 | -0.0000768 | 7396 | GTEx | DepMap | Descartes | 0.00 | 0.00 |
SLC25A21 | -0.0001496 | 8682 | GTEx | DepMap | Descartes | 0.00 | 0.00 |
RAPGEF2 | -0.0001848 | 9151 | GTEx | DepMap | Descartes | 0.34 | 3.92 |
RHD | -0.0001898 | 9209 | GTEx | DepMap | Descartes | 0.00 | 0.05 |
TRAK2 | -0.0002010 | 9335 | GTEx | DepMap | Descartes | 0.34 | 4.99 |
SPTB | -0.0002024 | 9352 | GTEx | DepMap | Descartes | 0.01 | 0.06 |
TFR2 | -0.0003425 | 10570 | GTEx | DepMap | Descartes | 0.03 | 0.99 |
BLVRB | -0.0003570 | 10661 | GTEx | DepMap | Descartes | 0.33 | 24.18 |
SOX6 | -0.0004168 | 11016 | GTEx | DepMap | Descartes | 0.00 | 0.05 |
MARCH3 | -0.0004371 | 11111 | GTEx | DepMap | Descartes | 0.06 | NA |
SNCA | -0.0004453 | 11150 | GTEx | DepMap | Descartes | 0.19 | 5.96 |
MICAL2 | -0.0007983 | 12102 | GTEx | DepMap | Descartes | 0.03 | 0.69 |
NA | NA | NA | NA | NA | NA | NA | NA |
Descartes myeloid markers
Top 50 marker genes of myeloid cells in the Decartes fetal adrenal single cell map (https://atlas.brotmanbaty.org/bbi/human-gene-expression-during-development/cell/myeloid/in/adrenal)
Wilcoxon ranksum test P-value for gene set overrepresentation: 1.00e+00
Mean rank of genes in gene set: 8297.63
Median rank of genes in gene set: 8640
Rank on gene expression program of top 30 genes in gene set:
Genes | Weight | Rank | GTEx | DepMap | Descartes | Mean.Counts | Mean.TPM |
---|---|---|---|---|---|---|---|
RBPJ | 0.0014277 | 423 | GTEx | DepMap | Descartes | 3.14 | 56.89 |
HCK | 0.0007323 | 1304 | GTEx | DepMap | Descartes | 0.00 | 0.09 |
CTSC | 0.0005642 | 1768 | GTEx | DepMap | Descartes | 2.22 | 39.84 |
ADAP2 | 0.0001923 | 3805 | GTEx | DepMap | Descartes | 0.00 | 0.18 |
CPVL | 0.0001845 | 3877 | GTEx | DepMap | Descartes | 0.39 | 19.33 |
SLC9A9 | 0.0001269 | 4413 | GTEx | DepMap | Descartes | 0.01 | 0.51 |
FGL2 | 0.0000948 | 4762 | GTEx | DepMap | Descartes | 0.00 | 0.08 |
CD163 | -0.0000051 | 5993 | GTEx | DepMap | Descartes | 0.00 | 0.00 |
FGD2 | -0.0000102 | 6082 | GTEx | DepMap | Descartes | 0.00 | 0.00 |
ITPR2 | -0.0000114 | 6101 | GTEx | DepMap | Descartes | 0.81 | 6.69 |
SLCO2B1 | -0.0000480 | 6801 | GTEx | DepMap | Descartes | 0.00 | 0.00 |
CD74 | -0.0000548 | 6940 | GTEx | DepMap | Descartes | 0.00 | 0.03 |
ATP8B4 | -0.0000573 | 6996 | GTEx | DepMap | Descartes | 0.00 | 0.00 |
MS4A4A | -0.0000618 | 7088 | GTEx | DepMap | Descartes | 0.00 | 0.00 |
CYBB | -0.0000648 | 7158 | GTEx | DepMap | Descartes | 0.00 | 0.00 |
CSF1R | -0.0000684 | 7233 | GTEx | DepMap | Descartes | 0.00 | 0.00 |
CD14 | -0.0000846 | 7561 | GTEx | DepMap | Descartes | 0.00 | 0.22 |
MSR1 | -0.0000966 | 7792 | GTEx | DepMap | Descartes | 0.00 | 0.00 |
SPP1 | -0.0001333 | 8430 | GTEx | DepMap | Descartes | 0.00 | 0.37 |
SLC1A3 | -0.0001604 | 8850 | GTEx | DepMap | Descartes | 0.11 | 2.90 |
WWP1 | -0.0002042 | 9371 | GTEx | DepMap | Descartes | 0.20 | 3.75 |
MARCH1 | -0.0002418 | 9775 | GTEx | DepMap | Descartes | 0.06 | NA |
LGMN | -0.0002438 | 9792 | GTEx | DepMap | Descartes | 0.23 | 11.15 |
RGL1 | -0.0002466 | 9822 | GTEx | DepMap | Descartes | 0.17 | 3.39 |
MERTK | -0.0002766 | 10088 | GTEx | DepMap | Descartes | 0.01 | 0.49 |
CTSS | -0.0003000 | 10272 | GTEx | DepMap | Descartes | 0.00 | 0.01 |
IFNGR1 | -0.0003723 | 10759 | GTEx | DepMap | Descartes | 0.24 | 9.69 |
ABCA1 | -0.0005564 | 11598 | GTEx | DepMap | Descartes | 0.01 | 0.06 |
SFMBT2 | -0.0006063 | 11729 | GTEx | DepMap | Descartes | 0.04 | 0.30 |
TGFBI | -0.0006071 | 11731 | GTEx | DepMap | Descartes | 0.15 | 1.73 |
Descartes Schwann markers
Top 50 marker genes of Schwann cells in the Decartes fetal adrenal single cell map (https://atlas.brotmanbaty.org/bbi/human-gene-expression-during-development/cell/schwann/in/adrenal)
Wilcoxon ranksum test P-value for gene set overrepresentation: 9.99e-01
Mean rank of genes in gene set: 7956.68
Median rank of genes in gene set: 9137
Rank on gene expression program of top 30 genes in gene set:
Genes | Weight | Rank | GTEx | DepMap | Descartes | Mean.Counts | Mean.TPM |
---|---|---|---|---|---|---|---|
MARCKS | 0.0015498 | 354 | GTEx | DepMap | Descartes | 14.34 | 326.73 |
SLC35F1 | 0.0010101 | 817 | GTEx | DepMap | Descartes | 0.21 | 4.14 |
ADAMTS5 | 0.0009288 | 931 | GTEx | DepMap | Descartes | 0.76 | 7.92 |
COL25A1 | 0.0005505 | 1818 | GTEx | DepMap | Descartes | 0.07 | 0.82 |
EGFLAM | 0.0005465 | 1834 | GTEx | DepMap | Descartes | 0.09 | 1.93 |
GRIK3 | 0.0003595 | 2666 | GTEx | DepMap | Descartes | 0.11 | 1.14 |
VCAN | 0.0001593 | 4099 | GTEx | DepMap | Descartes | 1.83 | 15.81 |
SORCS1 | 0.0001588 | 4106 | GTEx | DepMap | Descartes | 0.65 | 9.06 |
PAG1 | 0.0001497 | 4204 | GTEx | DepMap | Descartes | 0.22 | 1.93 |
PLP1 | 0.0000703 | 5024 | GTEx | DepMap | Descartes | 0.01 | 0.31 |
NRXN3 | 0.0000480 | 5299 | GTEx | DepMap | Descartes | 0.01 | 0.13 |
XKR4 | 0.0000143 | 5697 | GTEx | DepMap | Descartes | 0.00 | 0.01 |
SOX5 | -0.0000026 | 5949 | GTEx | DepMap | Descartes | 0.20 | 2.68 |
MPZ | -0.0000176 | 6202 | GTEx | DepMap | Descartes | 0.01 | 0.50 |
IL1RAPL2 | -0.0000277 | 6395 | GTEx | DepMap | Descartes | 0.00 | 0.00 |
MDGA2 | -0.0000453 | 6752 | GTEx | DepMap | Descartes | 0.01 | 0.22 |
FIGN | -0.0000459 | 6759 | GTEx | DepMap | Descartes | 0.58 | 5.80 |
TRPM3 | -0.0000569 | 6987 | GTEx | DepMap | Descartes | 0.03 | 0.39 |
ERBB3 | -0.0000655 | 7171 | GTEx | DepMap | Descartes | 0.00 | 0.05 |
KCTD12 | -0.0001638 | 8898 | GTEx | DepMap | Descartes | 0.49 | 7.21 |
LAMB1 | -0.0001664 | 8933 | GTEx | DepMap | Descartes | 1.26 | 22.11 |
LRRTM4 | -0.0001698 | 8970 | GTEx | DepMap | Descartes | 0.00 | 0.04 |
GAS7 | -0.0001983 | 9304 | GTEx | DepMap | Descartes | 0.00 | 0.00 |
IL1RAPL1 | -0.0002058 | 9391 | GTEx | DepMap | Descartes | 0.01 | 0.42 |
GFRA3 | -0.0002067 | 9398 | GTEx | DepMap | Descartes | 0.01 | 0.25 |
SCN7A | -0.0002122 | 9455 | GTEx | DepMap | Descartes | 0.00 | 0.00 |
OLFML2A | -0.0002161 | 9495 | GTEx | DepMap | Descartes | 0.00 | 0.05 |
LAMC1 | -0.0002179 | 9515 | GTEx | DepMap | Descartes | 0.59 | 7.81 |
EDNRB | -0.0002393 | 9747 | GTEx | DepMap | Descartes | 0.00 | 0.02 |
NRXN1 | -0.0002869 | 10169 | GTEx | DepMap | Descartes | 0.26 | 3.26 |
Descartes Megakaryocytes markers
Top 50 marker genes of Megakaryocytes cells in the Decartes fetal adrenal single cell map (https://atlas.brotmanbaty.org/bbi/human-gene-expression-during-development/cell/megakaryocytes/in/adrenal)
Wilcoxon ranksum test P-value for gene set overrepresentation: 1.00e+00
Mean rank of genes in gene set: 8710.4
Median rank of genes in gene set: 9975
Rank on gene expression program of top 30 genes in gene set:
Genes | Weight | Rank | GTEx | DepMap | Descartes | Mean.Counts | Mean.TPM |
---|---|---|---|---|---|---|---|
HIPK2 | 0.0013717 | 462 | GTEx | DepMap | Descartes | 1.78 | 11.25 |
PSTPIP2 | 0.0008907 | 1000 | GTEx | DepMap | Descartes | 0.15 | 5.34 |
ACTB | 0.0008424 | 1072 | GTEx | DepMap | Descartes | 34.74 | 1513.72 |
TMSB4X | 0.0004353 | 2287 | GTEx | DepMap | Descartes | 26.43 | 1580.37 |
PDE3A | 0.0002231 | 3566 | GTEx | DepMap | Descartes | 0.09 | 1.22 |
MED12L | 0.0001236 | 4447 | GTEx | DepMap | Descartes | 0.13 | 1.24 |
ITGA2B | 0.0001219 | 4468 | GTEx | DepMap | Descartes | 0.03 | 0.92 |
GP1BA | 0.0000292 | 5522 | GTEx | DepMap | Descartes | 0.01 | 0.31 |
SLC24A3 | 0.0000138 | 5708 | GTEx | DepMap | Descartes | 0.01 | 0.18 |
TRPC6 | -0.0000236 | 6315 | GTEx | DepMap | Descartes | 0.00 | 0.01 |
MMRN1 | -0.0000304 | 6460 | GTEx | DepMap | Descartes | 0.00 | 0.00 |
STON2 | -0.0000439 | 6721 | GTEx | DepMap | Descartes | 0.12 | 2.58 |
SPN | -0.0000476 | 6793 | GTEx | DepMap | Descartes | 0.01 | 0.13 |
P2RX1 | -0.0000764 | 7388 | GTEx | DepMap | Descartes | 0.00 | 0.00 |
LIMS1 | -0.0000782 | 7427 | GTEx | DepMap | Descartes | 1.57 | 33.59 |
CD84 | -0.0000845 | 7558 | GTEx | DepMap | Descartes | 0.00 | 0.00 |
TUBB1 | -0.0000852 | 7576 | GTEx | DepMap | Descartes | 0.00 | 0.18 |
PRKAR2B | -0.0001208 | 8226 | GTEx | DepMap | Descartes | 0.94 | 25.38 |
PLEK | -0.0001311 | 8403 | GTEx | DepMap | Descartes | 0.00 | 0.00 |
ITGB3 | -0.0001970 | 9292 | GTEx | DepMap | Descartes | 0.00 | 0.02 |
FLI1 | -0.0002071 | 9402 | GTEx | DepMap | Descartes | 0.00 | 0.07 |
TGFB1 | -0.0002450 | 9804 | GTEx | DepMap | Descartes | 0.46 | 15.65 |
MCTP1 | -0.0002645 | 9975 | GTEx | DepMap | Descartes | 0.02 | 0.26 |
TLN1 | -0.0002674 | 10003 | GTEx | DepMap | Descartes | 2.03 | 22.63 |
VCL | -0.0003086 | 10337 | GTEx | DepMap | Descartes | 0.89 | 11.03 |
DOK6 | -0.0003292 | 10468 | GTEx | DepMap | Descartes | 0.19 | 2.01 |
FERMT3 | -0.0003658 | 10711 | GTEx | DepMap | Descartes | 0.00 | 0.24 |
INPP4B | -0.0003742 | 10768 | GTEx | DepMap | Descartes | 0.00 | 0.03 |
UBASH3B | -0.0003778 | 10796 | GTEx | DepMap | Descartes | 0.01 | 0.06 |
SLC2A3 | -0.0004224 | 11044 | GTEx | DepMap | Descartes | 0.01 | 0.18 |
Descartes Lyphoid markers
Top 50 marker genes of Lyphoid cells in the Decartes fetal adrenal single cell map (https://atlas.brotmanbaty.org/bbi/human-gene-expression-during-development/cell/lymphoid/in/adrenal)
Wilcoxon ranksum test P-value for gene set overrepresentation: 9.99e-01
Mean rank of genes in gene set: 8014.93
Median rank of genes in gene set: 8490.5
Rank on gene expression program of top 30 genes in gene set:
Genes | Weight | Rank | GTEx | DepMap | Descartes | Mean.Counts | Mean.TPM |
---|---|---|---|---|---|---|---|
ITPKB | 0.0028288 | 67 | GTEx | DepMap | Descartes | 0.67 | 11.34 |
EVL | 0.0013459 | 482 | GTEx | DepMap | Descartes | 2.50 | 68.14 |
FYN | 0.0007970 | 1158 | GTEx | DepMap | Descartes | 1.34 | 38.15 |
CELF2 | 0.0005495 | 1821 | GTEx | DepMap | Descartes | 0.25 | 3.30 |
IKZF1 | 0.0005144 | 1953 | GTEx | DepMap | Descartes | 0.04 | 0.68 |
PDE3B | 0.0004236 | 2337 | GTEx | DepMap | Descartes | 0.37 | 6.33 |
DOCK10 | 0.0003829 | 2533 | GTEx | DepMap | Descartes | 0.21 | 3.09 |
FOXP1 | 0.0002558 | 3310 | GTEx | DepMap | Descartes | 1.13 | 12.49 |
ABLIM1 | 0.0001226 | 4461 | GTEx | DepMap | Descartes | 0.95 | 12.21 |
BCL2 | 0.0000777 | 4951 | GTEx | DepMap | Descartes | 0.41 | 5.99 |
STK39 | -0.0000027 | 5951 | GTEx | DepMap | Descartes | 0.50 | 15.38 |
CCL5 | -0.0000128 | 6115 | GTEx | DepMap | Descartes | 0.00 | 0.14 |
RCSD1 | -0.0000637 | 7133 | GTEx | DepMap | Descartes | 0.00 | 0.01 |
SAMD3 | -0.0000643 | 7149 | GTEx | DepMap | Descartes | 0.00 | 0.20 |
PRKCH | -0.0000672 | 7209 | GTEx | DepMap | Descartes | 0.03 | 0.84 |
NCALD | -0.0000763 | 7385 | GTEx | DepMap | Descartes | 0.20 | 5.32 |
ARHGAP15 | -0.0000883 | 7639 | GTEx | DepMap | Descartes | 0.00 | 0.00 |
SKAP1 | -0.0000907 | 7684 | GTEx | DepMap | Descartes | 0.00 | 0.00 |
WIPF1 | -0.0001009 | 7873 | GTEx | DepMap | Descartes | 0.36 | 7.73 |
PITPNC1 | -0.0001258 | 8317 | GTEx | DepMap | Descartes | 0.36 | 5.56 |
SCML4 | -0.0001293 | 8366 | GTEx | DepMap | Descartes | 0.00 | 0.00 |
PLEKHA2 | -0.0001457 | 8615 | GTEx | DepMap | Descartes | 0.09 | 1.54 |
MCTP2 | -0.0001941 | 9258 | GTEx | DepMap | Descartes | 0.00 | 0.04 |
TMSB10 | -0.0002296 | 9644 | GTEx | DepMap | Descartes | 45.03 | 9763.86 |
MBNL1 | -0.0002339 | 9687 | GTEx | DepMap | Descartes | 0.81 | 12.88 |
LCP1 | -0.0002592 | 9927 | GTEx | DepMap | Descartes | 0.01 | 0.11 |
CCND3 | -0.0003028 | 10296 | GTEx | DepMap | Descartes | 0.29 | 11.67 |
BACH2 | -0.0003184 | 10396 | GTEx | DepMap | Descartes | 0.04 | 0.31 |
RAP1GAP2 | -0.0003257 | 10443 | GTEx | DepMap | Descartes | 0.17 | 2.38 |
SORL1 | -0.0003863 | 10854 | GTEx | DepMap | Descartes | 0.07 | 0.59 |
Below shows the ranks on this GEP for immune marker gene lists curated by CellTypist (https://www.celltypist.org/encyclopedia).
High ranks indicate this gene is a driver of this GEP.
These curated gene list are ranked by P-value (on this GEP) of their constituent genes.
The Mean Count column shows the mean read count in cells scoring highly (H > 50) on this gene expression program.
Genes | Weight | Rank | GTEx | DepMap | Decartes | Mean.Counts | Mean.TPM |
---|---|---|---|---|---|---|---|
SATB1 | 0.0047923 | 9 | GTEx | DepMap | Descartes | 4.51 | 58.72 |
Cycling cells: Cycling DCs (curated markers)
proliferating dendritic cells:
Wilcoxon ranksum test P-value for gene set overrepresentation: 4.78e-02
Mean rank of genes in gene set: 2007
Rank on gene expression program of genes in gene set:
Genes | Weight | Rank | GTEx | DepMap | Decartes | Mean.Counts | Mean.TPM |
---|---|---|---|---|---|---|---|
MKI67 | 0.0010596 | 750 | GTEx | DepMap | Descartes | 7.05 | 50.88 |
TOP2A | 0.0002639 | 3264 | GTEx | DepMap | Descartes | 10.55 | 174.88 |
Cycling cells: Cycling gamma-delta T cells (curated markers)
proliferating gamma-delta (γδ) T lymphocytes:
Wilcoxon ranksum test P-value for gene set overrepresentation: 4.78e-02
Mean rank of genes in gene set: 2007
Rank on gene expression program of genes in gene set:
Genes | Weight | Rank | GTEx | DepMap | Decartes | Mean.Counts | Mean.TPM |
---|---|---|---|---|---|---|---|
MKI67 | 0.0010596 | 750 | GTEx | DepMap | Descartes | 7.05 | 50.88 |
TOP2A | 0.0002639 | 3264 | GTEx | DepMap | Descartes | 10.55 | 174.88 |