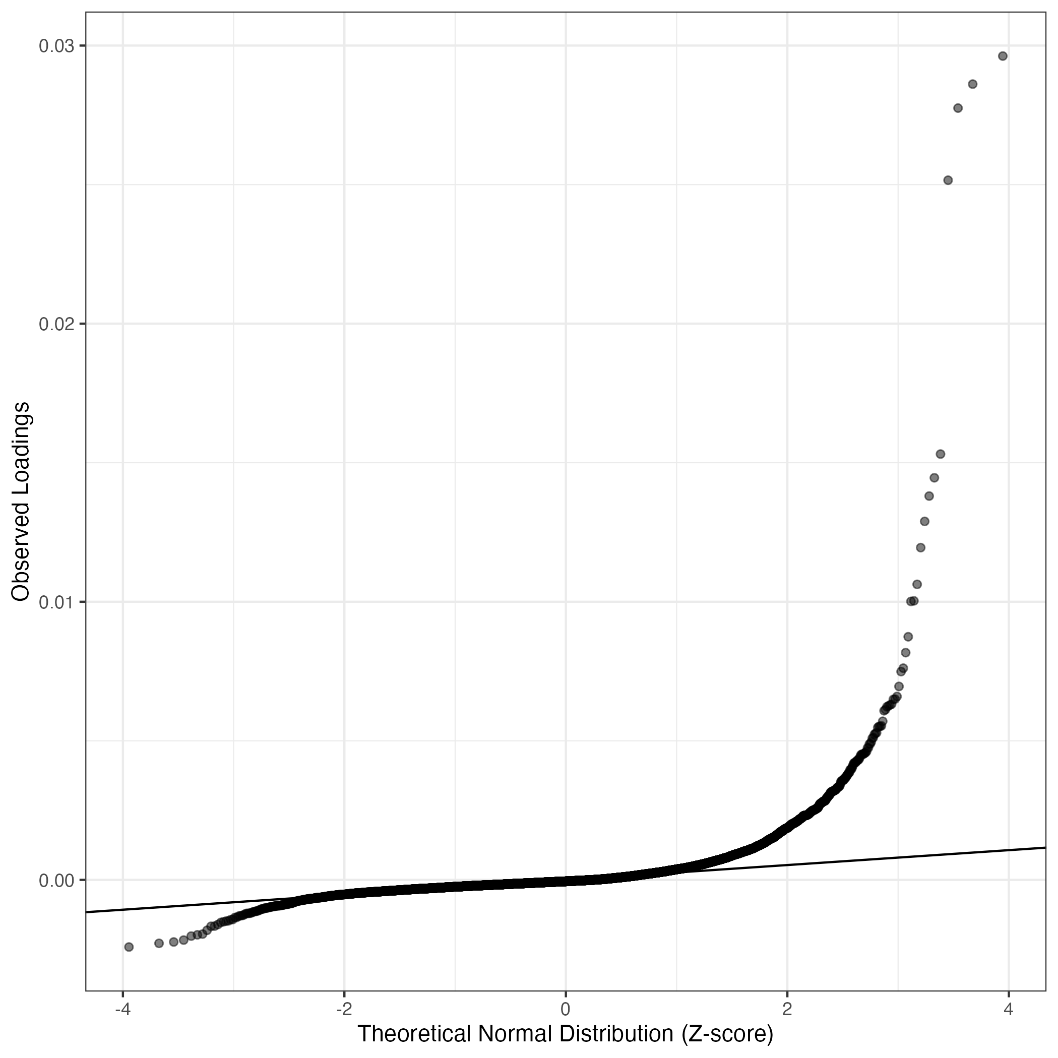
QQ-plot of gene loadings, averaged over both independent splits of the data
This plot highlights the relative contribution of each gene to the GEP
Top genes driving this program.
Note: Decartes website is buggy, try refreshing. Also, Decartes fetal adrenal data have been collected at specific time points (89-122 days), all possible cell types of interest may not be represented, do not overinterpret.
The Mean Count column shows the mean read count in cells scoring highly (H > 50) on this gene expression program.
Gene | Loading | Gene.Name | GTEx | DepMap | Descartes | Mean.Counts | Mean.Tpm | |
---|---|---|---|---|---|---|---|---|
1 | TNFRSF4 | 0.0296228 | TNF receptor superfamily member 4 | GTEx | DepMap | Descartes | 3.09 | 689.26 |
2 | TIGIT | 0.0286139 | T cell immunoreceptor with Ig and ITIM domains | GTEx | DepMap | Descartes | 1.87 | 233.37 |
3 | TNFRSF18 | 0.0277520 | TNF receptor superfamily member 18 | GTEx | DepMap | Descartes | 2.79 | 1224.27 |
4 | FOXP3 | 0.0251580 | forkhead box P3 | GTEx | DepMap | Descartes | 0.38 | 90.04 |
5 | ZBTB32 | 0.0153109 | zinc finger and BTB domain containing 32 | GTEx | DepMap | Descartes | 0.22 | 37.60 |
6 | TNFRSF1B | 0.0144584 | TNF receptor superfamily member 1B | GTEx | DepMap | Descartes | 1.56 | 182.00 |
7 | TNFRSF9 | 0.0138011 | TNF receptor superfamily member 9 | GTEx | DepMap | Descartes | 0.28 | 20.99 |
8 | CD27 | 0.0128902 | CD27 molecule | GTEx | DepMap | Descartes | 2.01 | 637.28 |
9 | IL1R2 | 0.0119468 | interleukin 1 receptor type 2 | GTEx | DepMap | Descartes | 0.18 | 63.71 |
10 | TBC1D4 | 0.0106260 | TBC1 domain family member 4 | GTEx | DepMap | Descartes | 0.50 | 28.21 |
11 | GBP5 | 0.0100334 | guanylate binding protein 5 | GTEx | DepMap | Descartes | 0.62 | 52.69 |
12 | S100A4 | 0.0100124 | S100 calcium binding protein A4 | GTEx | DepMap | Descartes | 8.89 | 4316.58 |
13 | ARID5B | 0.0087417 | AT-rich interaction domain 5B | GTEx | DepMap | Descartes | 1.41 | 79.73 |
14 | FANK1 | 0.0081709 | fibronectin type III and ankyrin repeat domains 1 | GTEx | DepMap | Descartes | 0.05 | 10.03 |
15 | SPOCK2 | 0.0076117 | SPARC (osteonectin), cwcv and kazal like domains proteoglycan 2 | GTEx | DepMap | Descartes | 1.23 | 104.09 |
16 | DUSP4 | 0.0074889 | dual specificity phosphatase 4 | GTEx | DepMap | Descartes | 1.55 | 95.30 |
17 | GBP2 | 0.0069556 | guanylate binding protein 2 | GTEx | DepMap | Descartes | 0.85 | 83.00 |
18 | TNIP3 | 0.0065944 | TNFAIP3 interacting protein 3 | GTEx | DepMap | Descartes | 0.22 | 42.32 |
19 | DNPH1 | 0.0065010 | 2’-deoxynucleoside 5’-phosphate N-hydrolase 1 | GTEx | DepMap | Descartes | 1.39 | NA |
20 | RTKN2 | 0.0064914 | rhotekin 2 | GTEx | DepMap | Descartes | 0.41 | 30.21 |
21 | ZC3H12D | 0.0063139 | zinc finger CCCH-type containing 12D | GTEx | DepMap | Descartes | 0.17 | 13.08 |
22 | TRAF1 | 0.0062904 | TNF receptor associated factor 1 | GTEx | DepMap | Descartes | 0.33 | 32.84 |
23 | IL1R1 | 0.0062523 | interleukin 1 receptor type 1 | GTEx | DepMap | Descartes | 0.11 | 7.95 |
24 | CORO1B | 0.0062242 | coronin 1B | GTEx | DepMap | Descartes | 1.54 | 120.71 |
25 | FAS | 0.0061217 | Fas cell surface death receptor | GTEx | DepMap | Descartes | 0.20 | 22.78 |
26 | LAG3 | 0.0060816 | lymphocyte activating 3 | GTEx | DepMap | Descartes | 0.77 | 126.54 |
27 | HTATIP2 | 0.0057024 | HIV-1 Tat interactive protein 2 | GTEx | DepMap | Descartes | 0.35 | 72.24 |
28 | LAYN | 0.0055393 | layilin | GTEx | DepMap | Descartes | 0.33 | 60.62 |
29 | LRRC32 | 0.0055198 | leucine rich repeat containing 32 | GTEx | DepMap | Descartes | 0.11 | 11.19 |
30 | CTSC | 0.0055183 | cathepsin C | GTEx | DepMap | Descartes | 2.41 | 117.58 |
31 | PDCD1 | 0.0054781 | programmed cell death 1 | GTEx | DepMap | Descartes | 0.36 | 80.36 |
32 | PBXIP1 | 0.0052879 | PBX homeobox interacting protein 1 | GTEx | DepMap | Descartes | 0.64 | 82.24 |
33 | SAMSN1 | 0.0052680 | SAM domain, SH3 domain and nuclear localization signals 1 | GTEx | DepMap | Descartes | 1.52 | 222.99 |
34 | GALM | 0.0052309 | galactose mutarotase | GTEx | DepMap | Descartes | 0.33 | 59.08 |
35 | TNFRSF8 | 0.0051152 | TNF receptor superfamily member 8 | GTEx | DepMap | Descartes | 0.02 | 3.70 |
36 | SKAP1 | 0.0050943 | src kinase associated phosphoprotein 1 | GTEx | DepMap | Descartes | 0.86 | 200.34 |
37 | SH2D2A | 0.0049633 | SH2 domain containing 2A | GTEx | DepMap | Descartes | 0.69 | 168.00 |
38 | TMEM173 | 0.0048916 | NA | GTEx | DepMap | Descartes | 0.38 | NA |
39 | RAC2 | 0.0048836 | Rac family small GTPase 2 | GTEx | DepMap | Descartes | 2.98 | 728.84 |
40 | IL2RB | 0.0047487 | interleukin 2 receptor subunit beta | GTEx | DepMap | Descartes | 0.59 | 56.52 |
41 | IL18R1 | 0.0047468 | interleukin 18 receptor 1 | GTEx | DepMap | Descartes | 0.20 | 20.16 |
42 | PSMB8 | 0.0046221 | proteasome 20S subunit beta 8 | GTEx | DepMap | Descartes | 1.90 | 256.16 |
43 | CD4 | 0.0045807 | CD4 molecule | GTEx | DepMap | Descartes | 0.51 | 61.96 |
44 | PHLDA1 | 0.0045660 | pleckstrin homology like domain family A member 1 | GTEx | DepMap | Descartes | 0.81 | 45.23 |
45 | IL12RB1 | 0.0045356 | interleukin 12 receptor subunit beta 1 | GTEx | DepMap | Descartes | 0.20 | 30.08 |
46 | PHACTR2 | 0.0045240 | phosphatase and actin regulator 2 | GTEx | DepMap | Descartes | 0.59 | 24.51 |
47 | GADD45A | 0.0045149 | growth arrest and DNA damage inducible alpha | GTEx | DepMap | Descartes | 0.97 | 288.00 |
48 | MDFIC | 0.0045137 | MyoD family inhibitor domain containing | GTEx | DepMap | Descartes | 0.38 | 32.03 |
49 | IRF1 | 0.0044900 | interferon regulatory factor 1 | GTEx | DepMap | Descartes | 2.08 | 154.97 |
50 | IKZF2 | 0.0044224 | IKAROS family zinc finger 2 | GTEx | DepMap | Descartes | 0.22 | 11.59 |
UMAP plots showing activity of gene expression program identified in GEP 32. Regulatory T Cell:
CNV Data procured from inferCNV.
Outer tracks are putative CNV regions (gains = red, losses = blue) for each patient
Inner track is expression data representing:
The top cells expressing this GEP (purple)
Random cells (n =50) from the reference set used in inferCNV (orange)
Gene set Enrichments for this program, caculated from top 50 genes
mSigDB Cell Types Gene Set:
P-value | OR | Lower 95% CI | FDR | FWER | Genes Found | Gene Set Size | |
---|---|---|---|---|---|---|---|
DESCARTES_FETAL_HEART_LYMPHOID_CELLS | 9.97e-09 | 23.32 | 9.23 | 3.34e-06 | 6.69e-06 | 8TIGIT, FOXP3, CD27, GBP2, TNIP3, PDCD1, SKAP1, IL2RB |
110 |
HAY_BONE_MARROW_CD8_T_CELL | 8.50e-06 | 21.01 | 6.31 | 6.34e-04 | 5.71e-03 | 5TIGIT, TNFRSF9, GBP5, TNIP3, LAG3 |
71 |
DESCARTES_FETAL_KIDNEY_LYMPHOID_CELLS | 9.24e-08 | 13.86 | 5.84 | 2.07e-05 | 6.20e-05 | 9TIGIT, TNFRSF18, FOXP3, CD27, TNIP3, PBXIP1, SKAP1, SH2D2A, IL2RB |
207 |
DESCARTES_FETAL_LUNG_LYMPHOID_CELLS | 2.46e-06 | 13.56 | 5.06 | 2.96e-04 | 1.65e-03 | 7TIGIT, FOXP3, TNFRSF9, CD27, PDCD1, SKAP1, IL2RB |
157 |
DESCARTES_FETAL_ADRENAL_LYMPHOID_CELLS | 3.15e-06 | 13.04 | 4.87 | 2.96e-04 | 2.11e-03 | 7TIGIT, CD27, GBP5, SKAP1, SH2D2A, IL2RB, IKZF2 |
163 |
DESCARTES_FETAL_PANCREAS_LYMPHOID_CELLS | 3.28e-06 | 12.96 | 4.84 | 2.96e-04 | 2.20e-03 | 7TIGIT, FOXP3, CD27, PDCD1, SKAP1, SH2D2A, IL2RB |
164 |
BUSSLINGER_GASTRIC_IMMUNE_CELLS | 3.32e-12 | 8.54 | 4.70 | 2.23e-09 | 2.23e-09 | 25TIGIT, TNFRSF1B, CD27, TBC1D4, GBP5, S100A4, SPOCK2, DUSP4, GBP2, TRAF1, FAS, LAG3, PDCD1, PBXIP1, SAMSN1, SKAP1, SH2D2A, RAC2, IL2RB, IL18R1, PSMB8, CD4, PHLDA1, MDFIC, IRF1 |
1490 |
FAN_EMBRYONIC_CTX_BRAIN_EFFECTOR_T_CELL | 1.19e-05 | 13.64 | 4.66 | 7.96e-04 | 7.96e-03 | 6S100A4, SKAP1, SH2D2A, RAC2, IL2RB, IRF1 |
131 |
AIZARANI_LIVER_C28_NK_NKT_CELLS_6 | 4.25e-05 | 14.77 | 4.47 | 1.68e-03 | 2.85e-02 | 5SPOCK2, DUSP4, PBXIP1, SAMSN1, SH2D2A |
99 |
TRAVAGLINI_LUNG_CD8_NAIVE_T_CELL | 2.02e-05 | 12.35 | 4.23 | 1.23e-03 | 1.36e-02 | 6TIGIT, SPOCK2, LAG3, SKAP1, SH2D2A, IL12RB1 |
144 |
CUI_DEVELOPING_HEART_C9_B_T_CELL | 3.05e-05 | 11.43 | 3.92 | 1.57e-03 | 2.05e-02 | 6SPOCK2, SAMSN1, SKAP1, RAC2, IL2RB, IRF1 |
155 |
AIZARANI_LIVER_C1_NK_NKT_CELLS_1 | 3.28e-05 | 11.28 | 3.87 | 1.57e-03 | 2.20e-02 | 6TIGIT, TNFRSF1B, SH2D2A, RAC2, IL2RB, IKZF2 |
157 |
AIZARANI_LIVER_C3_NK_NKT_CELLS_2 | 3.90e-05 | 10.92 | 3.75 | 1.68e-03 | 2.62e-02 | 6GBP5, S100A4, SPOCK2, PBXIP1, RAC2, MDFIC |
162 |
DESCARTES_FETAL_INTESTINE_LYMPHOID_CELLS | 4.18e-05 | 10.78 | 3.70 | 1.68e-03 | 2.80e-02 | 6TNFRSF18, GBP5, SKAP1, SH2D2A, IL2RB, IKZF2 |
164 |
DESCARTES_FETAL_STOMACH_LYMPHOID_CELLS | 3.03e-04 | 13.93 | 3.55 | 9.67e-03 | 2.03e-01 | 4CD27, SKAP1, RAC2, IL2RB |
82 |
HAY_BONE_MARROW_NAIVE_T_CELL | 2.57e-06 | 7.95 | 3.52 | 2.96e-04 | 1.72e-03 | 10TNFRSF4, CD27, TBC1D4, ARID5B, SPOCK2, ZC3H12D, TRAF1, CORO1B, PBXIP1, GALM |
403 |
GAO_LARGE_INTESTINE_24W_C11_PANETH_LIKE_CELL | 3.22e-05 | 7.51 | 3.02 | 1.57e-03 | 2.16e-02 | 8TNFRSF1B, IL1R2, GBP5, TRAF1, CTSC, SAMSN1, RAC2, CD4 |
325 |
ZHENG_CORD_BLOOD_C6_HSC_MULTIPOTENT_PROGENITOR | 5.72e-04 | 11.68 | 2.99 | 1.53e-02 | 3.84e-01 | 4TNFRSF1B, SAMSN1, GADD45A, IRF1 |
97 |
FAN_EMBRYONIC_CTX_BIG_GROUPS_BRAIN_IMMUNE | 2.79e-04 | 9.71 | 2.96 | 9.37e-03 | 1.87e-01 | 5S100A4, SKAP1, RAC2, PSMB8, IRF1 |
148 |
FAN_EMBRYONIC_CTX_BRAIN_NAIVE_LIKE_T_CELL | 3.76e-04 | 9.08 | 2.77 | 1.10e-02 | 2.53e-01 | 5CD27, GBP2, SKAP1, RAC2, PSMB8 |
158 |
Dowload full table
mSigDB Hallmark Gene Sets:
P-value | OR | Lower 95% CI | FDR | FWER | Genes Found | Gene Set Size | |
---|---|---|---|---|---|---|---|
HALLMARK_IL2_STAT5_SIGNALING | 1.08e-11 | 21.10 | 9.88 | 5.42e-10 | 5.42e-10 | 12TNFRSF4, TNFRSF18, TNFRSF1B, TNFRSF9, IL1R2, TRAF1, GALM, TNFRSF8, IL2RB, IL18R1, PHLDA1, IKZF2 |
199 |
HALLMARK_IL6_JAK_STAT3_SIGNALING | 4.51e-08 | 25.39 | 9.36 | 1.13e-06 | 2.26e-06 | 7TNFRSF1B, IL1R2, IL1R1, FAS, IL18R1, IL12RB1, IRF1 |
87 |
HALLMARK_TNFA_SIGNALING_VIA_NFKB | 1.24e-04 | 8.78 | 3.02 | 1.55e-03 | 6.18e-03 | 6TNFRSF9, DUSP4, TRAF1, PHLDA1, GADD45A, IRF1 |
200 |
HALLMARK_INFLAMMATORY_RESPONSE | 1.24e-04 | 8.78 | 3.02 | 1.55e-03 | 6.18e-03 | 6TNFRSF1B, TNFRSF9, IL1R1, IL2RB, IL18R1, IRF1 |
200 |
HALLMARK_INTERFERON_GAMMA_RESPONSE | 1.08e-03 | 7.12 | 2.18 | 9.00e-03 | 5.40e-02 | 5ARID5B, FAS, IL2RB, PSMB8, IRF1 |
200 |
HALLMARK_ALLOGRAFT_REJECTION | 1.08e-03 | 7.12 | 2.18 | 9.00e-03 | 5.40e-02 | 5GBP2, FAS, IL2RB, CD4, IL12RB1 |
200 |
HALLMARK_INTERFERON_ALPHA_RESPONSE | 6.61e-03 | 8.48 | 1.66 | 4.72e-02 | 3.30e-01 | 3GBP2, PSMB8, IRF1 |
97 |
HALLMARK_APOPTOSIS | 2.53e-02 | 5.05 | 0.99 | 1.58e-01 | 1.00e+00 | 3FAS, GADD45A, IRF1 |
161 |
HALLMARK_APICAL_JUNCTION | 4.35e-02 | 4.05 | 0.80 | 1.81e-01 | 1.00e+00 | 3TRAF1, LAYN, RAC2 |
200 |
HALLMARK_COMPLEMENT | 4.35e-02 | 4.05 | 0.80 | 1.81e-01 | 1.00e+00 | 3SPOCK2, CTSC, IRF1 |
200 |
HALLMARK_P53_PATHWAY | 4.35e-02 | 4.05 | 0.80 | 1.81e-01 | 1.00e+00 | 3S100A4, FAS, GADD45A |
200 |
HALLMARK_KRAS_SIGNALING_UP | 4.35e-02 | 4.05 | 0.80 | 1.81e-01 | 1.00e+00 | 3TNFRSF1B, TRAF1, PSMB8 |
200 |
HALLMARK_EPITHELIAL_MESENCHYMAL_TRANSITION | 1.85e-01 | 2.63 | 0.31 | 5.78e-01 | 1.00e+00 | 2FAS, GADD45A |
200 |
HALLMARK_XENOBIOTIC_METABOLISM | 1.85e-01 | 2.63 | 0.31 | 5.78e-01 | 1.00e+00 | 2IL1R1, FAS |
200 |
HALLMARK_ANGIOGENESIS | 1.34e-01 | 7.29 | 0.18 | 5.14e-01 | 1.00e+00 | 1S100A4 |
36 |
HALLMARK_APICAL_SURFACE | 1.61e-01 | 5.93 | 0.14 | 5.74e-01 | 1.00e+00 | 1IL2RB |
44 |
HALLMARK_PROTEIN_SECRETION | 3.17e-01 | 2.68 | 0.07 | 9.11e-01 | 1.00e+00 | 1CTSC |
96 |
HALLMARK_ANDROGEN_RESPONSE | 3.28e-01 | 2.58 | 0.06 | 9.11e-01 | 1.00e+00 | 1ARID5B |
100 |
HALLMARK_UV_RESPONSE_UP | 4.66e-01 | 1.62 | 0.04 | 1.00e+00 | 1.00e+00 | 1IRF1 |
158 |
HALLMARK_HYPOXIA | 5.47e-01 | 1.28 | 0.03 | 1.00e+00 | 1.00e+00 | 1S100A4 |
200 |
Dowload full table
KEGG Pathways:
P-value | OR | Lower 95% CI | FDR | FWER | Genes Found | Gene Set Size | |
---|---|---|---|---|---|---|---|
KEGG_CYTOKINE_CYTOKINE_RECEPTOR_INTERACTION | 2.88e-10 | 15.61 | 7.33 | 5.36e-08 | 5.36e-08 | 12TNFRSF4, TNFRSF18, TNFRSF1B, TNFRSF9, CD27, IL1R2, IL1R1, FAS, TNFRSF8, IL2RB, IL18R1, IL12RB1 |
265 |
KEGG_MAPK_SIGNALING_PATHWAY | 5.69e-04 | 6.53 | 2.25 | 5.29e-02 | 1.06e-01 | 6IL1R2, DUSP4, IL1R1, FAS, RAC2, GADD45A |
267 |
KEGG_HEMATOPOIETIC_CELL_LINEAGE | 4.89e-03 | 9.50 | 1.85 | 3.03e-01 | 9.10e-01 | 3IL1R2, IL1R1, CD4 |
87 |
KEGG_P53_SIGNALING_PATHWAY | 2.97e-02 | 7.89 | 0.91 | 1.00e+00 | 1.00e+00 | 2FAS, GADD45A |
68 |
KEGG_VEGF_SIGNALING_PATHWAY | 3.64e-02 | 7.04 | 0.81 | 1.00e+00 | 1.00e+00 | 2SH2D2A, RAC2 |
76 |
KEGG_APOPTOSIS | 4.64e-02 | 6.13 | 0.71 | 1.00e+00 | 1.00e+00 | 2IL1R1, FAS |
87 |
KEGG_T_CELL_RECEPTOR_SIGNALING_PATHWAY | 6.78e-02 | 4.91 | 0.57 | 1.00e+00 | 1.00e+00 | 2PDCD1, CD4 |
108 |
KEGG_PATHWAYS_IN_CANCER | 1.32e-01 | 2.48 | 0.49 | 1.00e+00 | 1.00e+00 | 3TRAF1, FAS, RAC2 |
325 |
KEGG_CELL_ADHESION_MOLECULES_CAMS | 9.66e-02 | 3.98 | 0.46 | 1.00e+00 | 1.00e+00 | 2PDCD1, CD4 |
133 |
KEGG_NATURAL_KILLER_CELL_MEDIATED_CYTOTOXICITY | 1.01e-01 | 3.86 | 0.45 | 1.00e+00 | 1.00e+00 | 2FAS, RAC2 |
137 |
KEGG_JAK_STAT_SIGNALING_PATHWAY | 1.24e-01 | 3.40 | 0.40 | 1.00e+00 | 1.00e+00 | 2IL2RB, IL12RB1 |
155 |
KEGG_PRIMARY_IMMUNODEFICIENCY | 1.30e-01 | 7.50 | 0.18 | 1.00e+00 | 1.00e+00 | 1CD4 |
35 |
KEGG_ALLOGRAFT_REJECTION | 1.37e-01 | 7.08 | 0.17 | 1.00e+00 | 1.00e+00 | 1FAS |
37 |
KEGG_GRAFT_VERSUS_HOST_DISEASE | 1.51e-01 | 6.37 | 0.15 | 1.00e+00 | 1.00e+00 | 1FAS |
41 |
KEGG_TYPE_I_DIABETES_MELLITUS | 1.57e-01 | 6.07 | 0.15 | 1.00e+00 | 1.00e+00 | 1FAS |
43 |
KEGG_PROTEASOME | 1.67e-01 | 5.67 | 0.14 | 1.00e+00 | 1.00e+00 | 1PSMB8 |
46 |
KEGG_AUTOIMMUNE_THYROID_DISEASE | 1.87e-01 | 5.00 | 0.12 | 1.00e+00 | 1.00e+00 | 1FAS |
52 |
KEGG_AMYOTROPHIC_LATERAL_SCLEROSIS_ALS | 1.90e-01 | 4.91 | 0.12 | 1.00e+00 | 1.00e+00 | 1TNFRSF1B |
53 |
KEGG_GLYCOLYSIS_GLUCONEOGENESIS | 2.19e-01 | 4.18 | 0.10 | 1.00e+00 | 1.00e+00 | 1GALM |
62 |
KEGG_COLORECTAL_CANCER | 2.19e-01 | 4.18 | 0.10 | 1.00e+00 | 1.00e+00 | 1RAC2 |
62 |
Dowload full table
CHR Positional Gene Sets:
P-value | OR | Lower 95% CI | FDR | FWER | Genes Found | Gene Set Size | |
---|---|---|---|---|---|---|---|
chr1p36 | 1.01e-01 | 2.13 | 0.66 | 1.00e+00 | 1.00e+00 | 5TNFRSF4, TNFRSF18, TNFRSF1B, TNFRSF9, TNFRSF8 |
656 |
chr10q21 | 7.67e-02 | 4.57 | 0.53 | 1.00e+00 | 1.00e+00 | 2ARID5B, RTKN2 |
116 |
chr12p13 | 1.39e-01 | 2.42 | 0.48 | 1.00e+00 | 1.00e+00 | 3CD27, LAG3, CD4 |
333 |
chr1p22 | 9.18e-02 | 4.10 | 0.48 | 1.00e+00 | 1.00e+00 | 2GBP5, GBP2 |
129 |
chr2q11 | 1.13e-01 | 3.62 | 0.42 | 1.00e+00 | 1.00e+00 | 2IL1R2, IL1R1 |
146 |
chr4q27 | 1.09e-01 | 9.11 | 0.22 | 1.00e+00 | 1.00e+00 | 1TNIP3 |
29 |
chr1q21 | 6.64e-01 | 1.34 | 0.16 | 1.00e+00 | 1.00e+00 | 2S100A4, PBXIP1 |
392 |
chr11q13 | 6.78e-01 | 1.24 | 0.15 | 1.00e+00 | 1.00e+00 | 2CORO1B, LRRC32 |
421 |
chr2q34 | 1.64e-01 | 5.80 | 0.14 | 1.00e+00 | 1.00e+00 | 1IKZF2 |
45 |
chr21q11 | 1.67e-01 | 5.67 | 0.14 | 1.00e+00 | 1.00e+00 | 1SAMSN1 |
46 |
chr6p21 | 7.00e-01 | 1.12 | 0.13 | 1.00e+00 | 1.00e+00 | 2DNPH1, PSMB8 |
467 |
chr13q22 | 2.16e-01 | 4.25 | 0.10 | 1.00e+00 | 1.00e+00 | 1TBC1D4 |
61 |
chr8p12 | 2.34e-01 | 3.86 | 0.09 | 1.00e+00 | 1.00e+00 | 1DUSP4 |
67 |
chr6q24 | 2.49e-01 | 3.59 | 0.09 | 1.00e+00 | 1.00e+00 | 1PHACTR2 |
72 |
chr2q12 | 2.70e-01 | 3.27 | 0.08 | 1.00e+00 | 1.00e+00 | 1IL18R1 |
79 |
chr2p22 | 3.23e-01 | 2.63 | 0.06 | 1.00e+00 | 1.00e+00 | 1GALM |
98 |
chr12q21 | 3.99e-01 | 2.01 | 0.05 | 1.00e+00 | 1.00e+00 | 1PHLDA1 |
128 |
chr7q31 | 4.01e-01 | 1.99 | 0.05 | 1.00e+00 | 1.00e+00 | 1MDFIC |
129 |
chr9q33 | 4.06e-01 | 1.96 | 0.05 | 1.00e+00 | 1.00e+00 | 1TRAF1 |
131 |
chr11q14 | 4.29e-01 | 1.82 | 0.04 | 1.00e+00 | 1.00e+00 | 1CTSC |
141 |
Dowload full table
Transcription Factor Targets:
P-value | OR | Lower 95% CI | FDR | FWER | Genes Found | Gene Set Size | |
---|---|---|---|---|---|---|---|
ZBTB49_TARGET_GENES | 1.98e-02 | 63.54 | 1.27 | 1.00e+00 | 1.00e+00 | 1GALM |
5 |
NFAT_Q6 | 1.60e-02 | 4.44 | 1.15 | 1.00e+00 | 1.00e+00 | 4FOXP3, ZBTB32, IRF1, IKZF2 |
249 |
ELF1_Q6 | 1.60e-02 | 4.44 | 1.15 | 1.00e+00 | 1.00e+00 | 4TNIP3, LAG3, SAMSN1, IKZF2 |
249 |
TGACATY_UNKNOWN | 1.30e-02 | 3.04 | 1.15 | 1.00e+00 | 1.00e+00 | 7ZBTB32, CD27, GBP5, SPOCK2, CTSC, PBXIP1, TNFRSF8 |
676 |
NFKAPPAB_01 | 1.73e-02 | 4.33 | 1.12 | 1.00e+00 | 1.00e+00 | 4TNFRSF1B, TNFRSF9, SAMSN1, IRF1 |
255 |
TGGAAA_NFAT_Q4_01 | 1.89e-02 | 2.29 | 1.11 | 1.00e+00 | 1.00e+00 | 13FOXP3, ZBTB32, TNFRSF1B, CD27, FANK1, LAG3, PBXIP1, TNFRSF8, SH2D2A, IL18R1, GADD45A, MDFIC, IKZF2 |
1934 |
YKACATTT_UNKNOWN | 2.60e-02 | 3.80 | 0.99 | 1.00e+00 | 1.00e+00 | 4ZBTB32, CD27, TNFRSF8, SH2D2A |
290 |
RGAGGAARY_PU1_Q6 | 4.62e-02 | 2.72 | 0.84 | 1.00e+00 | 1.00e+00 | 5LRRC32, SAMSN1, SKAP1, RAC2, IKZF2 |
515 |
STTTCRNTTT_IRF_Q6 | 3.94e-02 | 4.22 | 0.83 | 1.00e+00 | 1.00e+00 | 3PSMB8, IL12RB1, IKZF2 |
192 |
RTAAACA_FREAC2_01 | 8.34e-02 | 2.19 | 0.83 | 1.00e+00 | 1.00e+00 | 7SPOCK2, DUSP4, LAG3, PBXIP1, SKAP1, GADD45A, IKZF2 |
938 |
BACH2_TARGET_GENES | 9.82e-02 | 1.78 | 0.82 | 1.00e+00 | 1.00e+00 | 11ZBTB32, ARID5B, GBP2, DNPH1, ZC3H12D, IL1R1, FAS, HTATIP2, SAMSN1, IL12RB1, GADD45A |
1998 |
HSF_Q6 | 4.84e-02 | 3.87 | 0.76 | 1.00e+00 | 1.00e+00 | 3ZBTB32, SH2D2A, IKZF2 |
209 |
PAX4_04 | 5.65e-02 | 3.63 | 0.72 | 1.00e+00 | 1.00e+00 | 3FOXP3, DUSP4, IKZF2 |
223 |
SMTTTTGT_UNKNOWN | 7.14e-02 | 2.70 | 0.70 | 1.00e+00 | 1.00e+00 | 4ZBTB32, DUSP4, CD4, IKZF2 |
407 |
RYTTCCTG_ETS2_B | 1.23e-01 | 1.84 | 0.70 | 1.00e+00 | 1.00e+00 | 7DUSP4, LAG3, LAYN, SKAP1, SH2D2A, CD4, IKZF2 |
1112 |
NFKB_Q6_01 | 6.53e-02 | 3.41 | 0.67 | 1.00e+00 | 1.00e+00 | 3TNFRSF1B, TNFRSF9, TNIP3 |
237 |
EVI1_04 | 6.79e-02 | 3.35 | 0.66 | 1.00e+00 | 1.00e+00 | 3RTKN2, TNFRSF8, IKZF2 |
241 |
IRF_Q6 | 6.98e-02 | 3.31 | 0.65 | 1.00e+00 | 1.00e+00 | 3ZBTB32, PSMB8, IKZF2 |
244 |
FOXO4_01 | 7.12e-02 | 3.28 | 0.65 | 1.00e+00 | 1.00e+00 | 3FOXP3, SKAP1, IKZF2 |
246 |
FOXO3_01 | 7.45e-02 | 3.22 | 0.64 | 1.00e+00 | 1.00e+00 | 3LAG3, SKAP1, IKZF2 |
251 |
Dowload full table
GO Biological Processes:
P-value | OR | Lower 95% CI | FDR | FWER | Genes Found | Gene Set Size | |
---|---|---|---|---|---|---|---|
GOBP_T_HELPER_1_CELL_CYTOKINE_PRODUCTION | 1.54e-04 | 172.68 | 14.09 | 2.68e-02 | 1.00e+00 | 2IL1R1, IL18R1 |
5 |
GOBP_POSITIVE_REGULATION_OF_T_HELPER_1_TYPE_IMMUNE_RESPONSE | 2.61e-05 | 66.24 | 11.62 | 6.30e-03 | 1.95e-01 | 3IL1R1, IL18R1, IL12RB1 |
15 |
GOBP_NEGATIVE_REGULATION_OF_REGULATORY_T_CELL_DIFFERENTIATION | 3.22e-04 | 103.49 | 9.64 | 4.64e-02 | 1.00e+00 | 2LAG3, IRF1 |
7 |
GOBP_T_CELL_CYTOKINE_PRODUCTION | 1.18e-05 | 33.91 | 8.38 | 3.54e-03 | 8.85e-02 | 4FOXP3, TNFRSF1B, IL1R1, IL18R1 |
36 |
GOBP_REGULATORY_T_CELL_DIFFERENTIATION | 1.18e-05 | 33.91 | 8.38 | 3.54e-03 | 8.85e-02 | 4TNFRSF18, FOXP3, LAG3, IRF1 |
36 |
GOBP_REGULATION_OF_ADAPTIVE_IMMUNE_RESPONSE | 1.72e-08 | 17.04 | 7.16 | 1.84e-05 | 1.29e-04 | 9FOXP3, TNFRSF1B, IL1R1, SAMSN1, SKAP1, IL18R1, CD4, IL12RB1, IRF1 |
170 |
GOBP_TUMOR_NECROSIS_FACTOR_MEDIATED_SIGNALING_PATHWAY | 2.11e-08 | 16.62 | 6.99 | 1.97e-05 | 1.58e-04 | 9TNFRSF4, TNFRSF18, TNFRSF1B, TNFRSF9, CD27, TRAF1, FAS, TNFRSF8, PSMB8 |
174 |
GOBP_REGULATION_OF_INTERLEUKIN_1_MEDIATED_SIGNALING_PATHWAY | 6.85e-04 | 64.86 | 6.55 | 8.68e-02 | 1.00e+00 | 2IL1R2, IL1R1 |
10 |
GOBP_REGULATION_OF_T_HELPER_1_TYPE_IMMUNE_RESPONSE | 1.62e-04 | 33.18 | 6.19 | 2.69e-02 | 1.00e+00 | 3IL1R1, IL18R1, IL12RB1 |
27 |
GOBP_T_CELL_MEDIATED_IMMUNITY | 2.82e-06 | 17.74 | 6.04 | 1.32e-03 | 2.11e-02 | 6FOXP3, TNFRSF1B, IL1R1, CTSC, IL18R1, IL12RB1 |
102 |
GOBP_POSITIVE_REGULATION_OF_ADAPTIVE_IMMUNE_RESPONSE | 3.16e-06 | 17.38 | 5.92 | 1.33e-03 | 2.36e-02 | 6FOXP3, IL1R1, SKAP1, IL18R1, CD4, IL12RB1 |
104 |
GOBP_REGULATION_OF_T_CELL_ACTIVATION | 3.01e-09 | 12.53 | 5.90 | 4.96e-06 | 2.25e-05 | 12TIGIT, TNFRSF18, FOXP3, TNFRSF1B, CD27, LAG3, LRRC32, PDCD1, RAC2, CD4, IL12RB1, IRF1 |
327 |
GOBP_REGULATION_OF_T_CELL_MEDIATED_IMMUNITY | 1.35e-05 | 19.00 | 5.73 | 3.88e-03 | 1.01e-01 | 5FOXP3, TNFRSF1B, IL1R1, IL18R1, IL12RB1 |
78 |
GOBP_POSITIVE_REGULATION_OF_T_CELL_MEDIATED_IMMUNITY | 5.16e-05 | 22.60 | 5.69 | 1.07e-02 | 3.86e-01 | 4FOXP3, IL1R1, IL18R1, IL12RB1 |
52 |
GOBP_T_CELL_ACTIVATION | 1.67e-09 | 10.57 | 5.23 | 4.96e-06 | 1.25e-05 | 14TNFRSF4, TIGIT, TNFRSF18, FOXP3, TNFRSF1B, CD27, LAG3, LRRC32, PDCD1, RAC2, IL18R1, CD4, IL12RB1, IRF1 |
474 |
GOBP_T_CELL_PROLIFERATION | 8.06e-07 | 12.73 | 5.09 | 4.64e-04 | 6.03e-03 | 8TNFRSF4, FOXP3, TNFRSF1B, LRRC32, RAC2, CD4, IL12RB1, IRF1 |
195 |
GOBP_REGULATION_OF_LYMPHOCYTE_ACTIVATION | 3.32e-09 | 9.99 | 4.94 | 4.96e-06 | 2.48e-05 | 14TNFRSF4, TIGIT, TNFRSF18, FOXP3, TNFRSF1B, CD27, LAG3, LRRC32, PDCD1, SAMSN1, RAC2, CD4, IL12RB1, IRF1 |
501 |
GOBP_RESPONSE_TO_INTERLEUKIN_15 | 1.37e-03 | 43.30 | 4.59 | 1.35e-01 | 1.00e+00 | 2IL2RB, CD4 |
14 |
GOBP_LEUKOCYTE_CELL_CELL_ADHESION | 1.13e-07 | 9.93 | 4.55 | 8.45e-05 | 8.45e-04 | 11TIGIT, FOXP3, CD27, LAG3, LRRC32, PDCD1, SKAP1, RAC2, CD4, IL12RB1, IRF1 |
366 |
GOBP_RESPONSE_TO_TUMOR_NECROSIS_FACTOR | 3.25e-07 | 10.11 | 4.47 | 2.02e-04 | 2.43e-03 | 10TNFRSF4, TNFRSF18, TNFRSF1B, TNFRSF9, CD27, GBP2, TRAF1, FAS, TNFRSF8, PSMB8 |
319 |
Dowload full table
Immunological Gene Sets:
P-value | OR | Lower 95% CI | FDR | FWER | Genes Found | Gene Set Size | |
---|---|---|---|---|---|---|---|
GSE13522_WT_VS_IFNAR_KO_SKING_T_CRUZI_Y_STRAIN_INF_UP | 5.03e-13 | 23.47 | 11.26 | 2.45e-09 | 2.45e-09 | 13TNFRSF4, TNFRSF18, FOXP3, TNFRSF9, IL1R2, TBC1D4, DUSP4, TRAF1, LAG3, GALM, IL2RB, MDFIC, IKZF2 |
200 |
GSE7852_TREG_VS_TCONV_LN_UP | 1.15e-11 | 20.99 | 9.83 | 2.80e-08 | 5.60e-08 | 12TNFRSF4, TNFRSF18, FOXP3, TNFRSF1B, TBC1D4, DUSP4, GBP2, ZC3H12D, PBXIP1, SAMSN1, IL12RB1, MDFIC |
200 |
GSE7460_TCONV_VS_TREG_LN_DN | 2.35e-10 | 18.65 | 8.48 | 1.27e-07 | 1.15e-06 | 11TNFRSF18, FOXP3, TNFRSF1B, TNFRSF9, TBC1D4, DUSP4, GBP2, ZC3H12D, SAMSN1, IL2RB, MDFIC |
200 |
GSE7460_TCONV_VS_TREG_THYMUS_DN | 2.35e-10 | 18.65 | 8.48 | 1.27e-07 | 1.15e-06 | 11TNFRSF4, FOXP3, TNFRSF1B, TNFRSF9, IL1R2, S100A4, DUSP4, IL2RB, IL18R1, MDFIC, IKZF2 |
200 |
GSE7852_TREG_VS_TCONV_THYMUS_UP | 2.35e-10 | 18.65 | 8.48 | 1.27e-07 | 1.15e-06 | 11TNFRSF4, FOXP3, TNFRSF1B, IL1R2, S100A4, DUSP4, IL1R1, PDCD1, IL18R1, MDFIC, IKZF2 |
200 |
GSE7852_TREG_VS_TCONV_UP | 2.35e-10 | 18.65 | 8.48 | 1.27e-07 | 1.15e-06 | 11TNFRSF4, TNFRSF18, TNFRSF1B, TNFRSF9, IL1R2, ARID5B, DUSP4, PDCD1, GALM, MDFIC, IKZF2 |
200 |
GSE3039_NKT_CELL_VS_ALPHAALPHA_CD8_TCELL_DN | 2.35e-10 | 18.65 | 8.48 | 1.27e-07 | 1.15e-06 | 11TNFRSF18, ZBTB32, CD27, GBP2, LAG3, PDCD1, SKAP1, SH2D2A, IL2RB, IL12RB1, IRF1 |
200 |
GSE13522_CTRL_VS_T_CRUZI_Y_STRAIN_INF_SKIN_IFNAR_KO_DN | 2.35e-10 | 18.65 | 8.48 | 1.27e-07 | 1.15e-06 | 11TNFRSF18, IL1R2, S100A4, DUSP4, ZC3H12D, LAG3, PDCD1, GALM, PHLDA1, IL12RB1, MDFIC |
200 |
GSE32164_RESTING_DIFFERENTIATED_VS_CMYC_INHIBITED_MACROPHAGE_DN | 2.35e-10 | 18.65 | 8.48 | 1.27e-07 | 1.15e-06 | 11TNFRSF18, CD27, S100A4, TRAF1, CORO1B, FAS, HTATIP2, SH2D2A, RAC2, IL18R1, PSMB8 |
200 |
GSE5542_UNTREATED_VS_IFNG_TREATED_EPITHELIAL_CELLS_24H_UP | 3.90e-09 | 16.62 | 7.30 | 1.49e-06 | 1.90e-05 | 10TIGIT, TNFRSF1B, ARID5B, TNIP3, FAS, GALM, SH2D2A, IL2RB, IL12RB1, PHACTR2 |
198 |
GSE5455_HEALTHY_VS_TUMOR_BEARING_MOUSE_SPLEEN_MONOCYTE_24H_INCUBATION_DN | 3.90e-09 | 16.62 | 7.30 | 1.49e-06 | 1.90e-05 | 10TNFRSF9, S100A4, ARID5B, DUSP4, ZC3H12D, IL1R1, FAS, SAMSN1, IL12RB1, IKZF2 |
198 |
GSE22886_NAIVE_CD8_TCELL_VS_MEMORY_TCELL_DN | 4.09e-09 | 16.53 | 7.26 | 1.49e-06 | 1.99e-05 | 10TNFRSF4, S100A4, ARID5B, IL1R1, CORO1B, FAS, PBXIP1, SAMSN1, CD4, MDFIC |
199 |
GSE25123_WT_VS_PPARG_KO_MACROPHAGE_IL4_STIM_DN | 4.29e-09 | 16.45 | 7.22 | 1.49e-06 | 2.09e-05 | 10TNFRSF4, FOXP3, TNFRSF1B, TNFRSF9, IL1R2, S100A4, ZC3H12D, PDCD1, SAMSN1, PHLDA1 |
200 |
GSE23568_ID3_TRANSDUCED_VS_ID3_KO_CD8_TCELL_UP | 4.29e-09 | 16.45 | 7.22 | 1.49e-06 | 2.09e-05 | 10TNFRSF4, TNFRSF1B, CD27, S100A4, TRAF1, FAS, PDCD1, SH2D2A, RAC2, IL18R1 |
200 |
GSE7218_UNSTIM_VS_ANTIGEN_STIM_THROUGH_IGG_BCELL_DN | 1.64e-08 | 17.14 | 7.20 | 5.32e-06 | 7.98e-05 | 9TIGIT, TNFRSF18, ZBTB32, TNFRSF1B, TRAF1, SH2D2A, RAC2, IL2RB, GADD45A |
169 |
GSE14386_UNTREATED_VS_IFNA_TREATED_ACT_PBMC_MS_PATIENT_DN | 1.65e-07 | 15.87 | 6.33 | 3.83e-05 | 8.03e-04 | 8TNFRSF4, TIGIT, TNFRSF18, TNFRSF9, IL1R2, PDCD1, PHLDA1, MDFIC |
158 |
GSE22886_NAIVE_VS_IGM_MEMORY_BCELL_DN | 6.08e-08 | 14.60 | 6.15 | 1.68e-05 | 2.96e-04 | 9ZBTB32, TNFRSF1B, CD27, S100A4, HTATIP2, CTSC, PBXIP1, SAMSN1, MDFIC |
197 |
GSE42724_MEMORY_VS_B1_BCELL_DN | 6.08e-08 | 14.60 | 6.15 | 1.68e-05 | 2.96e-04 | 9TNFRSF4, TNFRSF18, TNFRSF9, ARID5B, DUSP4, TRAF1, PSMB8, GADD45A, IRF1 |
197 |
GSE25087_TREG_VS_TCONV_ADULT_UP | 6.62e-08 | 14.44 | 6.08 | 1.68e-05 | 3.22e-04 | 9TNFRSF1B, S100A4, SAMSN1, GALM, SKAP1, IL2RB, IL12RB1, PHACTR2, IKZF2 |
199 |
GSE26495_NAIVE_VS_PD1HIGH_CD8_TCELL_DN | 6.62e-08 | 14.44 | 6.08 | 1.68e-05 | 3.22e-04 | 9TIGIT, TNFRSF1B, GBP5, S100A4, FAS, LAG3, CTSC, GALM, MDFIC |
199 |
Top Ranked Transcription Factors for this Gene Expression Program:
Gene Symbol | TF Rank | DNA Binding Domain | Motif Status | IUPAC PWM | GTEx | DepMap | Decartes |
---|---|---|---|---|---|---|---|
TNFRSF4 | 1 | No | Unlikely to be sequence specific TF | Not a DNA binding protein | No motif | None | Operates far upstream in the signaling cascade |
FOXP3 | 4 | Yes | Known motif | Monomer or homomultimer | High-throughput in vitro | None | None |
ZBTB32 | 5 | Yes | Known motif | Monomer or homomultimer | High-throughput in vitro | None | None |
ARID5B | 13 | Yes | Known motif | Monomer or homomultimer | 100 perc ID - in vitro | Has a putative AT-hook | None |
FANK1 | 14 | No | Unlikely to be sequence specific TF | Not a DNA binding protein | No motif | None | Binds JUN to control its activity (PMID: 20978819), but there is no evidence that it binds DNA itself |
TRAF1 | 22 | No | Unlikely to be sequence specific TF | Not a DNA binding protein | No motif | None | TRAF1 is an NF-kappaB interactor (PMID: 10692572), and is unlikely to have DNA-binding activity |
GADD45A | 47 | No | Unlikely to be sequence specific TF | Not a DNA binding protein | No motif | None | Doesnt have any DBDs - likely a co-factor |
IRF1 | 49 | Yes | Known motif | Monomer or homomultimer | In vivo/Misc source | None | None |
IKZF2 | 50 | Yes | Known motif | Monomer or homomultimer | In vivo/Misc source | Only known motifs are from Transfac or HocoMoco - origin is uncertain | None |
CFLAR | 58 | No | Unlikely to be sequence specific TF | Not a DNA binding protein | No motif | None | None |
BARX2 | 72 | Yes | Known motif | Monomer or homomultimer | High-throughput in vitro | Has a putative AT-hook | None |
MAF | 73 | Yes | Known motif | Monomer or homomultimer | High-throughput in vitro | None | None |
UBC | 83 | No | Unlikely to be sequence specific TF | Not a DNA binding protein | No motif | None | None |
PRDM1 | 85 | Yes | Known motif | Monomer or homomultimer | High-throughput in vitro | None | None |
VDR | 125 | Yes | Known motif | Monomer or homomultimer | High-throughput in vitro | None | None |
ENO1 | 128 | No | Unlikely to be sequence specific TF | Not a DNA binding protein | No motif | Only known motifs are from Transfac or HocoMoco - origin is uncertain | Enolase - DNA binding not shown to be direct |
SUB1 | 130 | No | ssDNA/RNA binding | Not a DNA binding protein | No motif | None | The structure (PDB: 2C62) demonstrates binding to single stranded DNA |
SP140 | 133 | Yes | Likely to be sequence specific TF | Monomer or homomultimer | No motif | None | None |
CREB3L2 | 143 | Yes | Known motif | Monomer or homomultimer | 100 perc ID - in vitro | None | None |
PIM1 | 147 | No | Unlikely to be sequence specific TF | Not a DNA binding protein | No motif | None | Affects transcription by phosphorylating TFs (PMID: 18593906) |
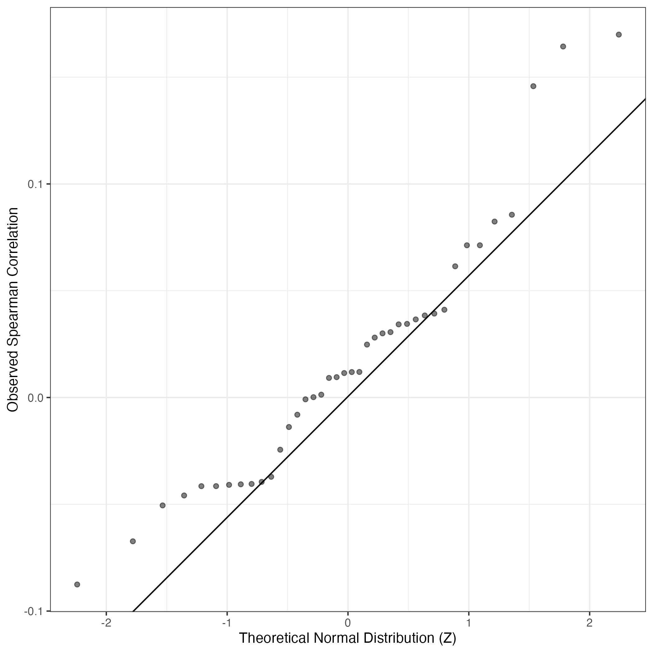
QQ Plot showing correlations with other GEPs in this dataset, calculated by Spearman correlation:
Interactive QQ-plot of gene loadings:
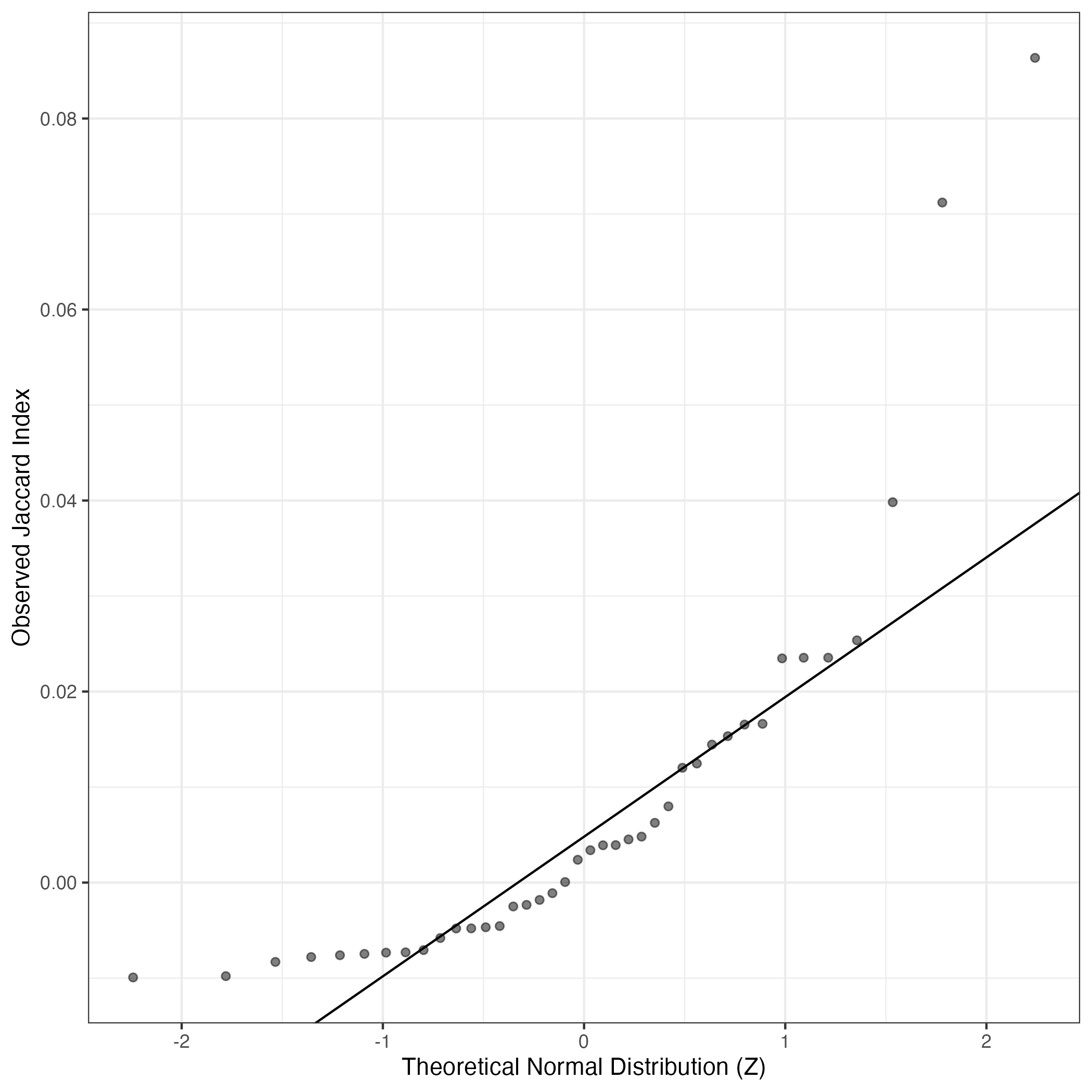
A similar QQ-plot as above, but only for instances where the H value is e.g. > 25, i.e. we are confident that the expression program is active above noise. Agreemenet between these binary vectors is tested using the Jaccard Index, with the P-values calculated by an exact test:
Interactive QQ-plot:
Singler cell type annotations for the top 50 cells on this program.
Cell ID | Singler label | Singler Delta | Activity Score | Top Singler Raw Scores |
---|---|---|---|---|
T188_CTCCGATGTTGGCTAT-1 | T_cell:CD4+_effector_memory | 0.14 | 1764.30 | Raw ScoresT_cell:CD4+_central_memory: 0.43, T_cell:CD4+_effector_memory: 0.43, T_cell:gamma-delta: 0.43, T_cell:Treg:Naive: 0.42, NK_cell: 0.41, T_cell:CD4+_Naive: 0.4, T_cell:CD4+: 0.4, T_cell:CD8+_Central_memory: 0.4, NK_cell:IL2: 0.4, NK_cell:CD56hiCD62L+: 0.4 |
T230_GAACACTTCGAAGCCC-1 | T_cell:CD4+_central_memory | 0.14 | 1131.31 | Raw ScoresT_cell:gamma-delta: 0.46, T_cell:CD4+_effector_memory: 0.45, T_cell:CD4+_central_memory: 0.45, T_cell:Treg:Naive: 0.45, T_cell:effector: 0.44, NK_cell:IL2: 0.43, T_cell:CCR10-CLA+1,25(OH)2_vit_D3/IL-12: 0.43, T_cell:CCR10+CLA+1,25(OH)2_vit_D3/IL-12: 0.43, T_cell:CD4+: 0.42, T_cell:CD8+_Central_memory: 0.42 |
T188_TAGGGTTTCCATGCAA-1 | T_cell:CD4+_central_memory | 0.13 | 696.06 | Raw ScoresT_cell:CD4+_central_memory: 0.35, T_cell:CD4+_effector_memory: 0.35, T_cell:Treg:Naive: 0.35, T_cell:gamma-delta: 0.34, NK_cell: 0.34, T_cell:CD8+_Central_memory: 0.33, T_cell:CD4+: 0.33, T_cell:CD8+_naive: 0.33, T_cell:CD4+_Naive: 0.33, T_cell:CD8+_effector_memory_RA: 0.33 |
T188_TCGTCCAGTCGAACAG-1 | T_cell:CD4+_effector_memory | 0.10 | 536.11 | Raw ScoresT_cell:CD4+_central_memory: 0.32, T_cell:CD4+_effector_memory: 0.32, T_cell:gamma-delta: 0.31, T_cell:Treg:Naive: 0.3, T_cell:CD4+: 0.3, T_cell:CD4+_Naive: 0.3, T_cell:CD8+_naive: 0.3, T_cell:CD8+_Central_memory: 0.3, NK_cell: 0.3, T_cell:CD8+_effector_memory: 0.3 |
T188_CAACGATTCTAAGCCA-1 | T_cell:CD4+_central_memory | 0.11 | 505.86 | Raw ScoresT_cell:CD4+_central_memory: 0.34, T_cell:CD4+_effector_memory: 0.34, T_cell:gamma-delta: 0.33, T_cell:CD4+_Naive: 0.32, T_cell:Treg:Naive: 0.32, T_cell:CD8+_Central_memory: 0.32, NK_cell: 0.32, T_cell:CD4+: 0.31, T_cell:CD8+_naive: 0.31, T_cell:CD8+_effector_memory_RA: 0.31 |
T188_GATGTTGGTATGTCTG-1 | T_cell:CD4+_central_memory | 0.11 | 437.10 | Raw ScoresT_cell:CD4+_central_memory: 0.31, T_cell:CD4+_effector_memory: 0.31, T_cell:gamma-delta: 0.3, NK_cell: 0.29, T_cell:Treg:Naive: 0.29, T_cell:CD4+: 0.29, T_cell:CD4+_Naive: 0.29, T_cell:CD8+_naive: 0.29, NK_cell:CD56hiCD62L+: 0.29, T_cell:CD8+_Central_memory: 0.29 |
T40_TTGAACGCACCTGGTG.1 | T_cell:CD4+_effector_memory | 0.12 | 421.45 | Raw ScoresT_cell:CD4+_central_memory: 0.39, T_cell:CD4+_effector_memory: 0.39, T_cell:gamma-delta: 0.37, T_cell:CD4+_Naive: 0.37, T_cell:CD4+: 0.37, T_cell:Treg:Naive: 0.37, T_cell:CD8+: 0.36, NK_cell: 0.36, T_cell:CD8+_naive: 0.36, T_cell:CD8+_Central_memory: 0.36 |
T40_CCCATACGTGCAGTAG.1 | T_cell:CD8+_naive | 0.10 | 415.48 | Raw ScoresT_cell:CD4+_effector_memory: 0.37, T_cell:CD4+_central_memory: 0.37, T_cell:gamma-delta: 0.36, T_cell:CD8+_Central_memory: 0.35, NK_cell: 0.35, T_cell:CD8+_naive: 0.35, T_cell:CD8+_effector_memory_RA: 0.34, T_cell:CD4+: 0.34, T_cell:CD8+: 0.34, T_cell:CD4+_Naive: 0.34 |
T188_AGCGCTGAGGCGAACT-1 | T_cell:CD4+_central_memory | 0.08 | 408.43 | Raw ScoresT_cell:Treg:Naive: 0.33, T_cell:CD4+_central_memory: 0.33, T_cell:CD4+_effector_memory: 0.33, NK_cell: 0.33, NK_cell:CD56hiCD62L+: 0.32, T_cell:CD8+_Central_memory: 0.32, NK_cell:IL2: 0.32, T_cell:gamma-delta: 0.32, T_cell:CD8+_naive: 0.32, T_cell:CD8+_effector_memory_RA: 0.32 |
T230_TCTAACTGTGAGCTCC-1 | T_cell:CD4+_central_memory | 0.10 | 381.93 | Raw ScoresT_cell:CD4+_central_memory: 0.32, T_cell:CD4+_effector_memory: 0.32, T_cell:gamma-delta: 0.31, T_cell:CD4+: 0.31, T_cell:CD8+_Central_memory: 0.3, T_cell:CD8+: 0.3, NK_cell: 0.3, T_cell:Treg:Naive: 0.3, T_cell:CD4+_Naive: 0.3, T_cell:CD8+_naive: 0.29 |
T230_TGCATGAGTTGAGGAC-1 | T_cell:CD4+_effector_memory | 0.10 | 381.07 | Raw ScoresT_cell:CD4+_effector_memory: 0.32, T_cell:gamma-delta: 0.32, T_cell:CD4+_central_memory: 0.32, T_cell:CD4+: 0.3, T_cell:CD8+: 0.3, T_cell:CD8+_Central_memory: 0.3, T_cell:CD8+_naive: 0.3, NK_cell: 0.3, T_cell:CD4+_Naive: 0.3, NK_cell:IL2: 0.3 |
T188_GGTAGAGCATGACTGT-1 | T_cell:CD4+_central_memory | 0.10 | 370.51 | Raw ScoresT_cell:CD4+_central_memory: 0.34, T_cell:CD4+_effector_memory: 0.34, T_cell:gamma-delta: 0.34, T_cell:CD8+_naive: 0.33, T_cell:CD8+_Central_memory: 0.33, NK_cell: 0.33, T_cell:CD8+_effector_memory: 0.32, T_cell:CD4+_Naive: 0.32, T_cell:CD4+: 0.32, T_cell:Treg:Naive: 0.32 |
T230_TTGACCCCAATCGCGC-1 | T_cell:CD4+_central_memory | 0.09 | 347.73 | Raw ScoresT_cell:gamma-delta: 0.31, T_cell:CD4+_effector_memory: 0.31, T_cell:CD4+_central_memory: 0.31, T_cell:Treg:Naive: 0.3, T_cell:CD4+: 0.3, T_cell:CD8+_Central_memory: 0.29, NK_cell:IL2: 0.29, T_cell:CD8+_naive: 0.29, T_cell:CD8+: 0.29, NK_cell: 0.29 |
T40_CAGAGAGGTGGTAACG.1 | Macrophage:monocyte-derived:IFNa | 0.15 | 323.81 | Raw ScoresMacrophage:monocyte-derived:IFNa: 0.38, Macrophage:monocyte-derived:M-CSF/IFNg: 0.38, Monocyte:leukotriene_D4: 0.37, Monocyte:anti-FcgRIIB: 0.37, Monocyte: 0.37, Macrophage:monocyte-derived: 0.37, DC:monocyte-derived:Galectin-1: 0.37, Macrophage:monocyte-derived:M-CSF/IFNg/Pam3Cys: 0.37, Monocyte:CD14+: 0.36, Pre-B_cell_CD34-: 0.36 |
T230_GCTTCACGTGATGGCA-1 | T_cell:CD4+_effector_memory | 0.10 | 293.29 | Raw ScoresT_cell:CD4+_central_memory: 0.3, T_cell:CD4+_effector_memory: 0.3, T_cell:gamma-delta: 0.29, T_cell:CD8+_Central_memory: 0.28, T_cell:CD4+_Naive: 0.28, NK_cell: 0.28, NK_cell:IL2: 0.28, T_cell:CD8+_naive: 0.28, T_cell:CD4+: 0.28, T_cell:CD8+_effector_memory: 0.28 |
T230_TCTACCGGTGCCCGTA-1 | T_cell:CD4+_central_memory | 0.09 | 291.18 | Raw ScoresT_cell:CD4+_effector_memory: 0.32, T_cell:CD4+_central_memory: 0.32, T_cell:gamma-delta: 0.32, T_cell:Treg:Naive: 0.31, T_cell:CD4+: 0.3, NK_cell:IL2: 0.3, NK_cell: 0.3, T_cell:CD8+_Central_memory: 0.29, T_cell:CD4+_Naive: 0.29, B_cell:Memory: 0.29 |
T188_GAGGGTAGTCAACCAT-1 | T_cell:CD4+_effector_memory | 0.10 | 286.25 | Raw ScoresT_cell:CD4+_central_memory: 0.32, T_cell:CD4+_effector_memory: 0.32, T_cell:gamma-delta: 0.31, T_cell:CD8+_Central_memory: 0.3, NK_cell: 0.3, T_cell:Treg:Naive: 0.3, T_cell:CD4+: 0.3, T_cell:CD8+: 0.3, T_cell:CD8+_effector_memory_RA: 0.3, T_cell:CD8+_naive: 0.3 |
T188_TGAGACTTCATACGAC-1 | DC:monocyte-derived:mature | 0.13 | 282.03 | Raw ScoresDC:monocyte-derived:anti-DC-SIGN_2h: 0.4, DC:monocyte-derived:A._fumigatus_germ_tubes_6h: 0.4, Macrophage:monocyte-derived:M-CSF/IFNg/Pam3Cys: 0.39, Monocyte:leukotriene_D4: 0.39, Macrophage:monocyte-derived:M-CSF/IFNg: 0.39, DC:monocyte-derived:Poly(IC): 0.39, Monocyte: 0.38, Monocyte:anti-FcgRIIB: 0.38, Monocyte:CD16+: 0.38, DC:monocyte-derived:antiCD40/VAF347: 0.38 |
T230_ACGTTCCGTATTTCCT-1 | T_cell:CD4+_central_memory | 0.11 | 263.83 | Raw ScoresT_cell:CD4+_central_memory: 0.31, T_cell:CD4+_effector_memory: 0.31, T_cell:Treg:Naive: 0.3, NK_cell: 0.3, T_cell:CD4+_Naive: 0.29, T_cell:gamma-delta: 0.29, T_cell:CD4+: 0.29, NK_cell:IL2: 0.29, NK_cell:CD56hiCD62L+: 0.29, T_cell:CD8+_Central_memory: 0.29 |
T230_ACCACAAGTATCGTTG-1 | T_cell:CD4+_effector_memory | 0.14 | 253.70 | Raw ScoresT_cell:CD4+_effector_memory: 0.42, T_cell:CD4+_central_memory: 0.41, NK_cell: 0.4, T_cell:gamma-delta: 0.4, T_cell:CD8+: 0.4, NK_cell:IL2: 0.4, T_cell:CD4+: 0.39, T_cell:Treg:Naive: 0.39, T_cell:CD4+_Naive: 0.38, T_cell:CD8+_effector_memory_RA: 0.38 |
T188_CCTCAACTCTATTGTC-1 | Neurons:adrenal_medulla_cell_line | 0.10 | 236.28 | Raw ScoresNeurons:adrenal_medulla_cell_line: 0.35, T_cell:CD4+_central_memory: 0.31, T_cell:Treg:Naive: 0.31, T_cell:CD4+_effector_memory: 0.31, NK_cell: 0.31, T_cell:CD4+_Naive: 0.3, NK_cell:CD56hiCD62L+: 0.3, Astrocyte:Embryonic_stem_cell-derived: 0.3, NK_cell:IL2: 0.3, T_cell:CD8+_Central_memory: 0.3 |
T230_TAATTCCAGTAGGTTA-1 | T_cell:CD4+_central_memory | 0.10 | 228.07 | Raw ScoresT_cell:CD4+_central_memory: 0.32, T_cell:CD4+_effector_memory: 0.32, T_cell:CD4+: 0.3, T_cell:gamma-delta: 0.3, T_cell:Treg:Naive: 0.3, T_cell:CD4+_Naive: 0.3, NK_cell: 0.3, T_cell:CD8+: 0.29, B_cell:Memory: 0.29, NK_cell:IL2: 0.29 |
T230_GCCTGTTAGACATCCT-1 | T_cell:gamma-delta | 0.17 | 225.76 | Raw ScoresT_cell:gamma-delta: 0.46, T_cell:CCR10-CLA+1,25(OH)2_vit_D3/IL-12: 0.42, T_cell:effector: 0.42, T_cell:CCR10+CLA+1,25(OH)2_vit_D3/IL-12: 0.41, NK_cell:IL2: 0.41, T_cell:CD4+_central_memory: 0.41, T_cell:CD4+_effector_memory: 0.4, T_cell:Treg:Naive: 0.4, B_cell:Germinal_center: 0.4, Pro-B_cell_CD34+: 0.4 |
T200_AACAACCGTTGGACTT-1 | T_cell:gamma-delta | 0.20 | 223.57 | Raw ScoresT_cell:gamma-delta: 0.47, T_cell:effector: 0.43, NK_cell:IL2: 0.43, T_cell:CCR10-CLA+1,25(OH)2_vit_D3/IL-12: 0.43, T_cell:CCR10+CLA+1,25(OH)2_vit_D3/IL-12: 0.42, T_cell:CD4+_central_memory: 0.42, T_cell:CD4+_effector_memory: 0.41, Pre-B_cell_CD34-: 0.4, T_cell:CD8+: 0.4, NK_cell: 0.4 |
T40_AGTGGGACAGATAATG.1 | T_cell:CD4+_central_memory | 0.13 | 221.24 | Raw ScoresT_cell:CD4+_central_memory: 0.36, T_cell:CD4+_effector_memory: 0.35, T_cell:CD4+_Naive: 0.34, T_cell:CD4+: 0.33, T_cell:CD8+: 0.33, T_cell:gamma-delta: 0.32, T_cell:CD8+_effector_memory: 0.32, T_cell:Treg:Naive: 0.32, NK_cell: 0.32, NK_cell:IL2: 0.32 |
T188_CCACACTGTCCGAAGA-1 | T_cell:CD4+_central_memory | 0.10 | 216.22 | Raw ScoresT_cell:CD4+_central_memory: 0.32, NK_cell: 0.31, T_cell:CD4+_effector_memory: 0.31, NK_cell:IL2: 0.3, T_cell:Treg:Naive: 0.3, T_cell:CD4+_Naive: 0.3, NK_cell:CD56hiCD62L+: 0.3, T_cell:gamma-delta: 0.3, T_cell:CD4+: 0.3, T_cell:CD8+_Central_memory: 0.29 |
T92_TATTACCAGGCGTACA.1 | T_cell:gamma-delta | 0.15 | 215.38 | Raw ScoresT_cell:gamma-delta: 0.39, T_cell:CD4+_central_memory: 0.35, NK_cell:IL2: 0.35, T_cell:CD4+_effector_memory: 0.34, T_cell:effector: 0.34, T_cell:CCR10-CLA+1,25(OH)2_vit_D3/IL-12: 0.34, Pre-B_cell_CD34-: 0.33, T_cell:CD8+_Central_memory: 0.33, T_cell:CD8+: 0.33, T_cell:CD8+_effector_memory_RA: 0.33 |
T230_CGAATTGAGCTAAACA-1 | T_cell:CD4+_central_memory | 0.11 | 211.66 | Raw ScoresT_cell:CD4+_central_memory: 0.34, T_cell:CD4+_effector_memory: 0.33, T_cell:CD4+_Naive: 0.32, T_cell:Treg:Naive: 0.32, T_cell:gamma-delta: 0.32, T_cell:CD4+: 0.31, T_cell:CD8+_Central_memory: 0.31, NK_cell: 0.31, T_cell:CD8+: 0.31, T_cell:CD8+_naive: 0.31 |
T200_GACTCAATCGTCGGGT-1 | T_cell:CD8+_Central_memory | 0.07 | 210.99 | Raw ScoresT_cell:gamma-delta: 0.36, T_cell:CD4+_effector_memory: 0.35, T_cell:CD4+_central_memory: 0.35, NK_cell:IL2: 0.35, NK_cell: 0.35, NK_cell:CD56hiCD62L+: 0.34, T_cell:CD8+: 0.34, T_cell:CD8+_Central_memory: 0.34, T_cell:CD4+: 0.34, T_cell:CD8+_effector_memory_RA: 0.33 |
T230_TAACCAGCAGCTGCCA-1 | B_cell:Plasma_cell | 0.10 | 203.63 | Raw ScoresB_cell:Plasma_cell: 0.34, B_cell:Memory: 0.31, B_cell:Naive: 0.31, B_cell:CXCR4-_centrocyte: 0.31, B_cell:immature: 0.31, B_cell: 0.3, NK_cell: 0.29, T_cell:CD4+_effector_memory: 0.29, T_cell:CD4+_central_memory: 0.29, T_cell:gamma-delta: 0.29 |
T188_TAGGGTTAGCGCATCC-1 | T_cell:CD4+_central_memory | 0.10 | 195.73 | Raw ScoresT_cell:CD4+_central_memory: 0.32, T_cell:CD4+_effector_memory: 0.32, T_cell:gamma-delta: 0.31, NK_cell: 0.31, T_cell:Treg:Naive: 0.31, T_cell:CD8+_Central_memory: 0.31, NK_cell:IL2: 0.31, NK_cell:CD56hiCD62L+: 0.31, T_cell:CD8+: 0.31, T_cell:CD8+_naive: 0.31 |
T200_AGGATAATCGCCTCTA-1 | T_cell:gamma-delta | 0.20 | 191.94 | Raw ScoresT_cell:gamma-delta: 0.48, T_cell:effector: 0.44, T_cell:CCR10-CLA+1,25(OH)2_vit_D3/IL-12: 0.44, T_cell:CD4+_central_memory: 0.44, T_cell:CCR10+CLA+1,25(OH)2_vit_D3/IL-12: 0.43, NK_cell:IL2: 0.43, T_cell:CD4+_effector_memory: 0.43, T_cell:Treg:Naive: 0.42, B_cell:Memory: 0.41, T_cell:CD4+: 0.4 |
T230_TGAGCATAGGACGCTA-1 | Neurons:adrenal_medulla_cell_line | 0.09 | 191.54 | Raw ScoresNeurons:adrenal_medulla_cell_line: 0.29, Astrocyte:Embryonic_stem_cell-derived: 0.24, NK_cell:IL2: 0.24, T_cell:gamma-delta: 0.24, T_cell:CD4+_effector_memory: 0.24, T_cell:CD4+_central_memory: 0.23, Neuroepithelial_cell:ESC-derived: 0.23, CMP: 0.23, T_cell:CD4+_Naive: 0.23, Tissue_stem_cells:CD326-CD56+: 0.23 |
T40_CCGTACTAGTGACTCT.1 | T_cell:CD4+_central_memory | 0.12 | 187.59 | Raw ScoresT_cell:CD4+_central_memory: 0.37, T_cell:CD4+_effector_memory: 0.37, T_cell:gamma-delta: 0.37, NK_cell: 0.36, T_cell:CD4+_Naive: 0.35, T_cell:CD4+: 0.35, T_cell:Treg:Naive: 0.35, NK_cell:IL2: 0.35, T_cell:CD8+: 0.35, T_cell:CD8+_Central_memory: 0.35 |
T230_CTTCAATAGAAGTCAT-1 | T_cell:gamma-delta | 0.19 | 186.29 | Raw ScoresT_cell:gamma-delta: 0.45, NK_cell:IL2: 0.42, T_cell:effector: 0.41, T_cell:CCR10-CLA+1,25(OH)2_vit_D3/IL-12: 0.41, T_cell:CCR10+CLA+1,25(OH)2_vit_D3/IL-12: 0.4, T_cell:CD4+_effector_memory: 0.4, B_cell:Memory: 0.39, T_cell:CD4+_central_memory: 0.39, NK_cell: 0.39, T_cell:CD8+: 0.39 |
T214_GGAGGATGTACGGTTT-1 | T_cell:CD4+_central_memory | 0.12 | 165.45 | Raw ScoresT_cell:CD4+_central_memory: 0.34, T_cell:CD4+_effector_memory: 0.33, T_cell:CD4+_Naive: 0.32, T_cell:CD4+: 0.32, T_cell:gamma-delta: 0.32, T_cell:CD8+_effector_memory: 0.31, T_cell:CD8+_naive: 0.31, T_cell:CD8+: 0.3, T_cell:Treg:Naive: 0.3, T_cell:CD8+_Central_memory: 0.3 |
T19_TGCGGGTTCCGTCATC.1 | NK_cell | 0.10 | 157.12 | Raw ScoresT_cell:CD4+_central_memory: 0.36, T_cell:CD4+_effector_memory: 0.36, NK_cell: 0.36, NK_cell:CD56hiCD62L+: 0.36, T_cell:CD4+: 0.35, NK_cell:IL2: 0.35, T_cell:CD8+: 0.35, T_cell:gamma-delta: 0.35, Pre-B_cell_CD34-: 0.35, T_cell:CD8+_Central_memory: 0.34 |
T71_TGCTGCTCATATACCG.1 | T_cell:gamma-delta | 0.09 | 156.15 | Raw ScoresT_cell:gamma-delta: 0.33, T_cell:CD4+_central_memory: 0.32, T_cell:CD4+_effector_memory: 0.31, T_cell:Treg:Naive: 0.31, T_cell:CCR10-CLA+1,25(OH)2_vit_D3/IL-12: 0.3, B_cell:Memory: 0.3, T_cell:effector: 0.3, NK_cell:IL2: 0.3, T_cell:CCR10+CLA+1,25(OH)2_vit_D3/IL-12: 0.3, Pro-B_cell_CD34+: 0.3 |
T188_CCAATTTGTGGTCTCG-1 | T_cell:CD4+_central_memory | 0.09 | 151.84 | Raw ScoresT_cell:CD4+_central_memory: 0.32, T_cell:CD4+_effector_memory: 0.32, NK_cell: 0.31, T_cell:gamma-delta: 0.31, T_cell:CD8+_Central_memory: 0.31, T_cell:CD4+: 0.31, T_cell:Treg:Naive: 0.31, T_cell:CD8+_effector_memory_RA: 0.3, NK_cell:CD56hiCD62L+: 0.3, T_cell:CD8+_naive: 0.3 |
T230_CAGCAATTCACAAGGG-1 | T_cell:CD4+_central_memory | 0.12 | 135.44 | Raw ScoresT_cell:CD4+_central_memory: 0.37, T_cell:CD4+_effector_memory: 0.36, T_cell:CD4+_Naive: 0.35, T_cell:gamma-delta: 0.35, T_cell:CD8+_naive: 0.34, T_cell:CD4+: 0.34, T_cell:CD8+_effector_memory: 0.34, T_cell:CD8+_Central_memory: 0.34, T_cell:CD8+_effector_memory_RA: 0.34, T_cell:CD8+: 0.34 |
T188_AAGGTAAGTTGATGTC-1 | T_cell:CD4+_effector_memory | 0.11 | 133.81 | Raw ScoresNK_cell:CD56hiCD62L+: 0.35, NK_cell: 0.35, T_cell:CD4+_effector_memory: 0.34, T_cell:CD4+_central_memory: 0.34, NK_cell:IL2: 0.33, T_cell:CD4+_Naive: 0.32, T_cell:CD4+: 0.32, T_cell:gamma-delta: 0.32, T_cell:CD8+_Central_memory: 0.32, T_cell:CD8+: 0.32 |
T200_CCACACTTCTCCAATT-1 | T_cell:gamma-delta | 0.20 | 129.44 | Raw ScoresT_cell:gamma-delta: 0.48, NK_cell:IL2: 0.44, T_cell:CCR10-CLA+1,25(OH)2_vit_D3/IL-12: 0.44, T_cell:effector: 0.44, T_cell:CCR10+CLA+1,25(OH)2_vit_D3/IL-12: 0.43, T_cell:CD4+_central_memory: 0.42, T_cell:CD4+_effector_memory: 0.42, NK_cell: 0.41, T_cell:CD8+: 0.41, T_cell:Treg:Naive: 0.41 |
T40_CTCATTATCCCTGACT.1 | T_cell:CD4+_central_memory | 0.11 | 125.31 | Raw ScoresT_cell:CD4+_central_memory: 0.34, T_cell:CD4+_effector_memory: 0.34, T_cell:CD4+_Naive: 0.33, T_cell:CD4+: 0.33, T_cell:CD8+: 0.32, NK_cell: 0.31, T_cell:Treg:Naive: 0.31, B_cell:Memory: 0.31, NK_cell:CD56hiCD62L+: 0.31, T_cell:gamma-delta: 0.31 |
T230_GCAGCTGTCAAACGAA-1 | Neurons:adrenal_medulla_cell_line | 0.14 | 122.45 | Raw ScoresNeurons:adrenal_medulla_cell_line: 0.31, Neuroepithelial_cell:ESC-derived: 0.27, Astrocyte:Embryonic_stem_cell-derived: 0.26, iPS_cells:adipose_stem_cell-derived:minicircle-derived: 0.25, iPS_cells:CRL2097_foreskin-derived:undiff.: 0.25, Embryonic_stem_cells: 0.25, iPS_cells:adipose_stem_cell-derived:lentiviral: 0.25, iPS_cells:PDB_1lox-17Puro-5: 0.25, iPS_cells:PDB_2lox-22: 0.25, Neurons:ES_cell-derived_neural_precursor: 0.24 |
T188_TCATGTTCATTGTGCA-1 | T_cell:CD8+_naive | 0.10 | 119.90 | Raw ScoresT_cell:CD4+_central_memory: 0.35, T_cell:CD4+_effector_memory: 0.35, T_cell:CD8+_Central_memory: 0.35, T_cell:CD8+_effector_memory_RA: 0.34, NK_cell: 0.34, T_cell:CD8+_effector_memory: 0.34, T_cell:CD8+_naive: 0.34, NK_cell:CD56hiCD62L+: 0.34, T_cell:CD4+_Naive: 0.34, T_cell:CD8+: 0.33 |
T200_TTTGGAGGTAAGTCAA-1 | Endothelial_cells:lymphatic:TNFa_48h | 0.20 | 118.67 | Raw ScoresEndothelial_cells:lymphatic:TNFa_48h: 0.44, Endothelial_cells:lymphatic: 0.43, Endothelial_cells:lymphatic:KSHV: 0.41, Endothelial_cells:blood_vessel: 0.4, Endothelial_cells:HUVEC:Serum_Amyloid_A: 0.4, Endothelial_cells:HUVEC:B._anthracis_LT: 0.4, Endothelial_cells:HUVEC:PR8-infected: 0.39, Endothelial_cells:HUVEC:FPV-infected: 0.39, Endothelial_cells:HUVEC:H5N1-infected: 0.39, Endothelial_cells:HUVEC: 0.38 |
T230_CATCCCACAATGTCTG-1 | T_cell:CD4+_central_memory | 0.14 | 115.55 | Raw ScoresT_cell:CD4+_central_memory: 0.39, T_cell:CD4+_effector_memory: 0.38, T_cell:CD4+_Naive: 0.37, T_cell:CD4+: 0.37, T_cell:CD8+: 0.37, T_cell:gamma-delta: 0.36, T_cell:CD8+_effector_memory: 0.36, NK_cell: 0.35, T_cell:CD8+_Central_memory: 0.35, T_cell:Treg:Naive: 0.35 |
T69_CGGACGTAGCTACCTA.1 | Neurons:adrenal_medulla_cell_line | 0.07 | 112.47 | Raw ScoresNeurons:adrenal_medulla_cell_line: 0.31, T_cell:CD4+_effector_memory: 0.3, T_cell:CD4+_central_memory: 0.29, NK_cell: 0.29, NK_cell:CD56hiCD62L+: 0.29, NK_cell:IL2: 0.28, T_cell:gamma-delta: 0.28, T_cell:CD8+_Central_memory: 0.28, CMP: 0.28, T_cell:CD8+_naive: 0.28 |
T69_CTGAAGTGTTATCACG.1 | T_cell:CD4+_central_memory | 0.05 | 108.35 | Raw ScoresT_cell:CD4+_central_memory: 0.25, T_cell:CD4+_effector_memory: 0.25, T_cell:gamma-delta: 0.24, T_cell:CD8+_Central_memory: 0.24, T_cell:CD8+_naive: 0.24, T_cell:CD4+_Naive: 0.23, T_cell:CD8+_effector_memory_RA: 0.23, T_cell:CD8+_effector_memory: 0.23, T_cell:CD4+: 0.23, NK_cell:IL2: 0.23 |
T92_TCGGGACCAAGCTGAG.1 | T_cell:CD4+_central_memory | 0.12 | 107.14 | Raw ScoresT_cell:CD4+_central_memory: 0.34, T_cell:CD4+_effector_memory: 0.33, T_cell:CD4+_Naive: 0.32, T_cell:CD4+: 0.32, T_cell:CD8+: 0.31, T_cell:Treg:Naive: 0.31, T_cell:CD8+_effector_memory: 0.31, T_cell:gamma-delta: 0.31, T_cell:CD8+_naive: 0.3, B_cell:Memory: 0.3 |
Below shows the significant enrichments of this GEP for literature curated gene lists
This data was procured from existing single cell RNA-seq maps of neuroblastoma or related relevant data.
High ranks indicate this gene is a driver of this GEP.
These curated gene list are ranked by the P-value (on this GEP) of their constituent genes.
The Mean Count column shows the mean read count in cells scoring highly (H > 50) on this gene expression program.
Genes | Weight | Rank | GTEx | DepMap | Decartes | Mean.Counts | Mean.TPM |
---|---|---|---|---|---|---|---|
PSME2 | 0.0029895 | 113 | GTEx | DepMap | Descartes | 3.27 | 352.29 |
PSMB3 | 0.0011456 | 564 | GTEx | DepMap | Descartes | 2.13 | 675.85 |
PSMA3 | 0.0010670 | 627 | GTEx | DepMap | Descartes | 0.98 | 185.08 |
PSMC2 | 0.0005059 | 1518 | GTEx | DepMap | Descartes | 0.33 | 28.09 |
PSMA4 | 0.0005047 | 1520 | GTEx | DepMap | Descartes | 1.34 | 79.07 |
Immune cells (Jansky)
Mentioned in the main text (Jansky et al, Nature Genetics (2021)), page 1, that PTPRC+ Immune cells were identified in their fetal adrenal glands, this is also highlighted in the UMAP plot on their Fig 1B. Additional genes also shown in their Extended data Figure 2D.:
Wilcoxon ranksum test P-value for gene set overrepresentation: 7.69e-03
Mean rank of genes in gene set: 67.5
Rank on gene expression program of genes in gene set:
Genes | Weight | Rank | GTEx | DepMap | Decartes | Mean.Counts | Mean.TPM |
---|---|---|---|---|---|---|---|
PTPRC | 0.0040792 | 61 | GTEx | DepMap | Descartes | 3.86 | 293.54 |
CD247 | 0.0036541 | 74 | GTEx | DepMap | Descartes | 1.10 | 152.29 |
PMN-MDSC
These marker genes were curated for MDSC subtypes as reviewed in Veglia et. al. (PMID 33526920):
Wilcoxon ranksum test P-value for gene set overrepresentation: 1.08e-02
Mean rank of genes in gene set: 4195.88
Rank on gene expression program of genes in gene set:
Genes | Weight | Rank | GTEx | DepMap | Decartes | Mean.Counts | Mean.TPM |
---|---|---|---|---|---|---|---|
IRF1 | 0.0044900 | 49 | GTEx | DepMap | Descartes | 2.08 | 154.97 |
ARG1 | 0.0031216 | 107 | GTEx | DepMap | Descartes | 0.00 | 0.00 |
SLC27A2 | 0.0022217 | 211 | GTEx | DepMap | Descartes | 0.06 | 9.29 |
CSF1 | 0.0021834 | 219 | GTEx | DepMap | Descartes | 0.08 | 10.37 |
STAT3 | 0.0015662 | 368 | GTEx | DepMap | Descartes | 1.17 | 73.77 |
STAT1 | 0.0014010 | 436 | GTEx | DepMap | Descartes | 1.06 | 74.34 |
CD84 | 0.0010529 | 640 | GTEx | DepMap | Descartes | 0.24 | 6.72 |
STAT6 | 0.0003546 | 2093 | GTEx | DepMap | Descartes | 0.15 | 11.31 |
ARG2 | 0.0000185 | 4733 | GTEx | DepMap | Descartes | 0.11 | 7.95 |
TNFRSF10B | 0.0000181 | 4744 | GTEx | DepMap | Descartes | 0.09 | 4.71 |
CD36 | -0.0000294 | 5735 | GTEx | DepMap | Descartes | 0.30 | 6.87 |
PTGS2 | -0.0000504 | 6222 | GTEx | DepMap | Descartes | 0.06 | 4.51 |
HIF1A | -0.0001022 | 7572 | GTEx | DepMap | Descartes | 0.40 | 23.33 |
IL1B | -0.0002421 | 10481 | GTEx | DepMap | Descartes | 0.21 | 35.90 |
TGFB1 | -0.0002847 | 10984 | GTEx | DepMap | Descartes | 1.06 | 133.99 |
ANXA1 | -0.0016620 | 12540 | GTEx | DepMap | Descartes | 1.72 | 283.64 |
Below shows ranks on this GEP for literature curated gene lists for large gene sets
These include those reported as mesenchymal/adrenergic by Van Groningen et al.
High ranks indicate this gene is a driver of this GEP (note these results are not ordered).
The Mean Count column shows the mean read count in cells scoring highly (H > 50) on this gene expression program.
VanGroningen Adrenergic Genes
Adrenergic marker genes from Supplementary Table 2 of Van Groningen et al. Nature Genetics 2017. These genes were identified by differential expression analysis of mesenchymal-like and adrenergic-like neuroblastoma cell lines.
Wilcoxon ranksum test P-value for gene set overrepresentation: 1.00e+00
Mean rank of genes in gene set: 9742.6
Median rank of genes in gene set: 11199
Rank on gene expression program of top 30 genes in gene set:
Genes | Weight | Rank | GTEx | DepMap | Descartes | Mean.Counts | Mean.TPM |
---|---|---|---|---|---|---|---|
DUSP4 | 0.0074889 | 16 | GTEx | DepMap | Descartes | 1.55 | 95.30 |
UCP2 | 0.0028355 | 123 | GTEx | DepMap | Descartes | 1.50 | 265.27 |
GLRX | 0.0025218 | 155 | GTEx | DepMap | Descartes | 0.96 | 88.58 |
SEC11C | 0.0014639 | 411 | GTEx | DepMap | Descartes | 1.41 | 182.77 |
FAM107B | 0.0012176 | 523 | GTEx | DepMap | Descartes | 0.82 | 70.84 |
ICA1 | 0.0010182 | 678 | GTEx | DepMap | Descartes | 0.90 | 109.54 |
ANP32A | 0.0006021 | 1273 | GTEx | DepMap | Descartes | 1.19 | 82.39 |
RAB33A | 0.0005676 | 1346 | GTEx | DepMap | Descartes | 0.19 | 48.06 |
CELF2 | 0.0004403 | 1719 | GTEx | DepMap | Descartes | 0.74 | 32.04 |
MYO5A | 0.0003996 | 1887 | GTEx | DepMap | Descartes | 0.16 | 3.82 |
GLCCI1 | 0.0003667 | 2036 | GTEx | DepMap | Descartes | 0.65 | 34.44 |
RBBP8 | 0.0003509 | 2110 | GTEx | DepMap | Descartes | 0.17 | 12.61 |
ATP6V1B2 | 0.0003376 | 2183 | GTEx | DepMap | Descartes | 0.29 | 9.66 |
PPP2R3C | 0.0003069 | 2308 | GTEx | DepMap | Descartes | 0.38 | 59.91 |
EML4 | 0.0002990 | 2358 | GTEx | DepMap | Descartes | 0.63 | 38.70 |
HK2 | 0.0002875 | 2416 | GTEx | DepMap | Descartes | 0.04 | 2.11 |
RALGDS | 0.0002869 | 2418 | GTEx | DepMap | Descartes | 0.45 | 21.10 |
GNB1 | 0.0002864 | 2425 | GTEx | DepMap | Descartes | 0.66 | 59.11 |
INO80C | 0.0002444 | 2679 | GTEx | DepMap | Descartes | 0.17 | 16.98 |
CDKN2C | 0.0002291 | 2782 | GTEx | DepMap | Descartes | 0.24 | 27.43 |
MSI2 | 0.0002256 | 2800 | GTEx | DepMap | Descartes | 0.47 | 17.46 |
RRM2 | 0.0002247 | 2806 | GTEx | DepMap | Descartes | 0.40 | 20.56 |
RANBP1 | 0.0002185 | 2857 | GTEx | DepMap | Descartes | 2.15 | 206.25 |
TUBB4B | 0.0002174 | 2863 | GTEx | DepMap | Descartes | 1.72 | 226.49 |
SETD7 | 0.0002107 | 2918 | GTEx | DepMap | Descartes | 0.07 | 3.13 |
AHSA1 | 0.0002012 | 2984 | GTEx | DepMap | Descartes | 0.67 | 134.05 |
LSM3 | 0.0001930 | 3037 | GTEx | DepMap | Descartes | 1.25 | 99.31 |
EVL | 0.0001698 | 3197 | GTEx | DepMap | Descartes | 2.44 | 192.52 |
MYRIP | 0.0001528 | 3321 | GTEx | DepMap | Descartes | 0.02 | 0.62 |
CYFIP2 | 0.0000920 | 3861 | GTEx | DepMap | Descartes | 0.37 | 15.52 |
VanGroningen Mesenchymal Genes
Mesenchymal marker genes from Supplementary Table 2 of Van Groningen et al. Nature Genetics 2017. These genes were identified by differential expression analysis of mesenchymal-like and adrenergic-like neuroblastoma cell lines.
Wilcoxon ranksum test P-value for gene set overrepresentation: 1.53e-05
Mean rank of genes in gene set: 5563.48
Median rank of genes in gene set: 5352
Rank on gene expression program of top 30 genes in gene set:
Genes | Weight | Rank | GTEx | DepMap | Descartes | Mean.Counts | Mean.TPM |
---|---|---|---|---|---|---|---|
CTSC | 0.0055183 | 30 | GTEx | DepMap | Descartes | 2.41 | 117.58 |
RAP1A | 0.0042257 | 56 | GTEx | DepMap | Descartes | 1.16 | 95.98 |
SDC4 | 0.0038621 | 66 | GTEx | DepMap | Descartes | 0.10 | 18.54 |
ARPC1B | 0.0036011 | 76 | GTEx | DepMap | Descartes | 2.72 | 466.84 |
B2M | 0.0032776 | 92 | GTEx | DepMap | Descartes | 69.78 | 10158.97 |
SQSTM1 | 0.0030200 | 112 | GTEx | DepMap | Descartes | 1.43 | 148.20 |
JAK1 | 0.0029648 | 115 | GTEx | DepMap | Descartes | 1.42 | 69.48 |
CREB3L2 | 0.0026126 | 143 | GTEx | DepMap | Descartes | 0.22 | 12.44 |
ABRACL | 0.0025727 | 148 | GTEx | DepMap | Descartes | 1.36 | NA |
LRP10 | 0.0025424 | 152 | GTEx | DepMap | Descartes | 0.37 | 19.43 |
MBD2 | 0.0025164 | 157 | GTEx | DepMap | Descartes | 0.34 | 24.48 |
CMTM6 | 0.0024297 | 171 | GTEx | DepMap | Descartes | 0.71 | 80.89 |
TMEM50A | 0.0023184 | 190 | GTEx | DepMap | Descartes | 1.17 | 173.84 |
SH3BGRL | 0.0022317 | 209 | GTEx | DepMap | Descartes | 0.95 | 199.07 |
MICAL2 | 0.0022231 | 210 | GTEx | DepMap | Descartes | 0.06 | 4.64 |
PHTF2 | 0.0021024 | 233 | GTEx | DepMap | Descartes | 0.26 | 18.27 |
ID3 | 0.0019983 | 262 | GTEx | DepMap | Descartes | 0.58 | 265.79 |
LUZP1 | 0.0018687 | 286 | GTEx | DepMap | Descartes | 0.22 | 7.10 |
SDF4 | 0.0017771 | 311 | GTEx | DepMap | Descartes | 0.40 | 38.24 |
CD164 | 0.0017365 | 328 | GTEx | DepMap | Descartes | 0.81 | 50.86 |
MYL12B | 0.0016989 | 337 | GTEx | DepMap | Descartes | 3.51 | 900.62 |
RHOC | 0.0016915 | 339 | GTEx | DepMap | Descartes | 0.48 | 76.38 |
TSC22D3 | 0.0016289 | 353 | GTEx | DepMap | Descartes | 3.41 | 638.32 |
STAT3 | 0.0015662 | 368 | GTEx | DepMap | Descartes | 1.17 | 73.77 |
PDIA6 | 0.0015203 | 386 | GTEx | DepMap | Descartes | 1.56 | 141.95 |
IL6ST | 0.0014930 | 396 | GTEx | DepMap | Descartes | 0.34 | 14.16 |
NR3C1 | 0.0014266 | 424 | GTEx | DepMap | Descartes | 0.66 | 33.01 |
ITGA4 | 0.0014079 | 434 | GTEx | DepMap | Descartes | 0.59 | 35.24 |
STAT1 | 0.0014010 | 436 | GTEx | DepMap | Descartes | 1.06 | 74.34 |
DUSP5 | 0.0013353 | 459 | GTEx | DepMap | Descartes | 0.49 | 61.81 |
Descartes adrenocortical markers
Top 50 marker genes of adrenocortical cells in the Decartes fetal adrenal single cell map (https://atlas.brotmanbaty.org/bbi/human-gene-expression-during-development/cell/adrenocortical/in/adrenal)
Wilcoxon ranksum test P-value for gene set overrepresentation: 1.00e+00
Mean rank of genes in gene set: 8406.97
Median rank of genes in gene set: 8947.5
Rank on gene expression program of top 30 genes in gene set:
Genes | Weight | Rank | GTEx | DepMap | Descartes | Mean.Counts | Mean.TPM |
---|---|---|---|---|---|---|---|
NPC1 | 0.0006819 | 1117 | GTEx | DepMap | Descartes | 0.07 | 3.16 |
GRAMD1B | 0.0004258 | 1772 | GTEx | DepMap | Descartes | 0.09 | 3.29 |
FDX1 | 0.0004225 | 1783 | GTEx | DepMap | Descartes | 0.59 | 60.92 |
FDPS | 0.0001297 | 3506 | GTEx | DepMap | Descartes | 0.78 | 100.68 |
FDXR | 0.0000328 | 4524 | GTEx | DepMap | Descartes | 0.12 | 13.76 |
SGCZ | 0.0000036 | 4974 | GTEx | DepMap | Descartes | 0.00 | 0.00 |
POR | -0.0000146 | 5357 | GTEx | DepMap | Descartes | 0.12 | 12.55 |
FREM2 | -0.0000150 | 5366 | GTEx | DepMap | Descartes | 0.00 | 0.00 |
CYB5B | -0.0000249 | 5622 | GTEx | DepMap | Descartes | 0.29 | 18.67 |
STAR | -0.0000520 | 6263 | GTEx | DepMap | Descartes | 0.00 | 0.00 |
INHA | -0.0000551 | 6340 | GTEx | DepMap | Descartes | 0.00 | 0.00 |
SCAP | -0.0000809 | 7031 | GTEx | DepMap | Descartes | 0.19 | 8.89 |
SH3PXD2B | -0.0001175 | 7947 | GTEx | DepMap | Descartes | 0.03 | 0.59 |
SCARB1 | -0.0001208 | 8027 | GTEx | DepMap | Descartes | 0.08 | 2.13 |
APOC1 | -0.0001339 | 8352 | GTEx | DepMap | Descartes | 2.93 | 651.05 |
BAIAP2L1 | -0.0001468 | 8643 | GTEx | DepMap | Descartes | 0.00 | 0.00 |
SLC16A9 | -0.0001528 | 8781 | GTEx | DepMap | Descartes | 0.03 | 2.06 |
PDE10A | -0.0001572 | 8866 | GTEx | DepMap | Descartes | 0.04 | 1.00 |
FRMD5 | -0.0001651 | 9029 | GTEx | DepMap | Descartes | 0.00 | 0.00 |
PAPSS2 | -0.0001691 | 9143 | GTEx | DepMap | Descartes | 0.02 | 1.15 |
SLC1A2 | -0.0001838 | 9428 | GTEx | DepMap | Descartes | 0.10 | 1.31 |
DHCR24 | -0.0002233 | 10186 | GTEx | DepMap | Descartes | 0.02 | 0.42 |
SH3BP5 | -0.0002262 | 10244 | GTEx | DepMap | Descartes | 0.26 | 15.97 |
MSMO1 | -0.0002434 | 10497 | GTEx | DepMap | Descartes | 0.10 | 11.18 |
LDLR | -0.0002887 | 11021 | GTEx | DepMap | Descartes | 0.09 | 6.59 |
HMGCR | -0.0003052 | 11189 | GTEx | DepMap | Descartes | 0.07 | 2.17 |
DNER | -0.0003073 | 11217 | GTEx | DepMap | Descartes | 0.06 | 3.05 |
PEG3 | -0.0003129 | 11279 | GTEx | DepMap | Descartes | 0.04 | NA |
DHCR7 | -0.0003138 | 11297 | GTEx | DepMap | Descartes | 0.04 | 4.44 |
TM7SF2 | -0.0003743 | 11736 | GTEx | DepMap | Descartes | 0.10 | 11.32 |
Descartes chromaffin markers
Top 50 marker genes of chromaffin cells in the Decartes fetal adrenal single cell map (https://atlas.brotmanbaty.org/bbi/human-gene-expression-during-development/cell/chromaffin/in/adrenal)
Wilcoxon ranksum test P-value for gene set overrepresentation: 1.00e+00
Mean rank of genes in gene set: 10774.32
Median rank of genes in gene set: 11573
Rank on gene expression program of top 30 genes in gene set:
Genes | Weight | Rank | GTEx | DepMap | Descartes | Mean.Counts | Mean.TPM |
---|---|---|---|---|---|---|---|
CNKSR2 | 0.0000567 | 4242 | GTEx | DepMap | Descartes | 0.08 | 3.87 |
EYA1 | 0.0000321 | 4537 | GTEx | DepMap | Descartes | 0.05 | 2.77 |
FAT3 | -0.0001204 | 8013 | GTEx | DepMap | Descartes | 0.10 | 0.74 |
SLC44A5 | -0.0001245 | 8111 | GTEx | DepMap | Descartes | 0.00 | 0.00 |
ANKFN1 | -0.0001336 | 8341 | GTEx | DepMap | Descartes | 0.00 | 0.00 |
RYR2 | -0.0001426 | 8568 | GTEx | DepMap | Descartes | 0.01 | 0.09 |
EPHA6 | -0.0001477 | 8661 | GTEx | DepMap | Descartes | 0.00 | 0.00 |
RPH3A | -0.0001487 | 8685 | GTEx | DepMap | Descartes | 0.01 | 0.07 |
GREM1 | -0.0001694 | 9150 | GTEx | DepMap | Descartes | 0.01 | 0.23 |
HS3ST5 | -0.0001775 | 9309 | GTEx | DepMap | Descartes | 0.01 | 0.28 |
ALK | -0.0002147 | 10035 | GTEx | DepMap | Descartes | 0.03 | 0.52 |
SYNPO2 | -0.0002430 | 10490 | GTEx | DepMap | Descartes | 0.05 | 0.44 |
KCNB2 | -0.0002556 | 10655 | GTEx | DepMap | Descartes | 0.04 | 1.36 |
PTCHD1 | -0.0002578 | 10677 | GTEx | DepMap | Descartes | 0.01 | 0.07 |
EYA4 | -0.0002714 | 10836 | GTEx | DepMap | Descartes | 0.04 | 0.86 |
IL7 | -0.0002915 | 11045 | GTEx | DepMap | Descartes | 0.20 | 13.54 |
SLC6A2 | -0.0002993 | 11132 | GTEx | DepMap | Descartes | 0.08 | 3.70 |
TMEFF2 | -0.0003000 | 11142 | GTEx | DepMap | Descartes | 0.10 | 6.46 |
PLXNA4 | -0.0003307 | 11447 | GTEx | DepMap | Descartes | 0.03 | 0.47 |
RGMB | -0.0003406 | 11517 | GTEx | DepMap | Descartes | 0.10 | 4.29 |
GAL | -0.0003487 | 11573 | GTEx | DepMap | Descartes | 0.57 | 84.93 |
TMEM132C | -0.0003488 | 11575 | GTEx | DepMap | Descartes | 0.03 | 1.96 |
NTRK1 | -0.0003538 | 11618 | GTEx | DepMap | Descartes | 0.25 | 13.72 |
RBFOX1 | -0.0003594 | 11645 | GTEx | DepMap | Descartes | 0.02 | 1.02 |
CNTFR | -0.0003827 | 11786 | GTEx | DepMap | Descartes | 0.15 | 14.32 |
MAB21L2 | -0.0003967 | 11859 | GTEx | DepMap | Descartes | 0.06 | 3.72 |
REEP1 | -0.0004268 | 12002 | GTEx | DepMap | Descartes | 0.08 | 2.62 |
ELAVL2 | -0.0004360 | 12039 | GTEx | DepMap | Descartes | 0.14 | 3.88 |
NPY | -0.0004732 | 12161 | GTEx | DepMap | Descartes | 0.66 | 240.38 |
MAB21L1 | -0.0004761 | 12172 | GTEx | DepMap | Descartes | 0.22 | 7.68 |
Descartes Vascular_endothelial markers
Top 50 marker genes of Vascular_endothelial cells in the Decartes fetal adrenal single cell map (https://atlas.brotmanbaty.org/bbi/human-gene-expression-during-development/cell/vascular_endothelial/in/adrenal)
Wilcoxon ranksum test P-value for gene set overrepresentation: 9.07e-01
Mean rank of genes in gene set: 7052.76
Median rank of genes in gene set: 7115
Rank on gene expression program of top 30 genes in gene set:
Genes | Weight | Rank | GTEx | DepMap | Descartes | Mean.Counts | Mean.TPM |
---|---|---|---|---|---|---|---|
BTNL9 | 0.0016586 | 345 | GTEx | DepMap | Descartes | 0.01 | 3.29 |
CEACAM1 | 0.0010916 | 607 | GTEx | DepMap | Descartes | 0.03 | 3.18 |
NR5A2 | 0.0004181 | 1804 | GTEx | DepMap | Descartes | 0.01 | 0.07 |
KANK3 | 0.0003442 | 2139 | GTEx | DepMap | Descartes | 0.01 | 1.48 |
MYRIP | 0.0001528 | 3321 | GTEx | DepMap | Descartes | 0.02 | 0.62 |
ROBO4 | 0.0000932 | 3847 | GTEx | DepMap | Descartes | 0.03 | 1.36 |
ESM1 | 0.0000917 | 3867 | GTEx | DepMap | Descartes | 0.01 | 0.45 |
CDH5 | 0.0000338 | 4512 | GTEx | DepMap | Descartes | 0.03 | 1.20 |
NPR1 | 0.0000203 | 4702 | GTEx | DepMap | Descartes | 0.00 | 0.00 |
CLDN5 | -0.0000222 | 5537 | GTEx | DepMap | Descartes | 0.05 | 2.73 |
CYP26B1 | -0.0000365 | 5899 | GTEx | DepMap | Descartes | 0.10 | 2.20 |
CALCRL | -0.0000404 | 5982 | GTEx | DepMap | Descartes | 0.08 | 2.12 |
KDR | -0.0000404 | 5983 | GTEx | DepMap | Descartes | 0.01 | 1.04 |
EHD3 | -0.0000408 | 5988 | GTEx | DepMap | Descartes | 0.02 | 0.24 |
FLT4 | -0.0000499 | 6210 | GTEx | DepMap | Descartes | 0.01 | 0.17 |
PLVAP | -0.0000609 | 6506 | GTEx | DepMap | Descartes | 0.05 | 3.04 |
PTPRB | -0.0000732 | 6826 | GTEx | DepMap | Descartes | 0.01 | 0.16 |
TEK | -0.0000769 | 6932 | GTEx | DepMap | Descartes | 0.01 | 0.21 |
SHANK3 | -0.0000828 | 7080 | GTEx | DepMap | Descartes | 0.00 | 0.00 |
CRHBP | -0.0000861 | 7150 | GTEx | DepMap | Descartes | 0.01 | 0.89 |
IRX3 | -0.0000886 | 7231 | GTEx | DepMap | Descartes | 0.04 | 1.48 |
F8 | -0.0001087 | 7727 | GTEx | DepMap | Descartes | 0.01 | 0.52 |
GALNT15 | -0.0001157 | 7909 | GTEx | DepMap | Descartes | 0.00 | NA |
TMEM88 | -0.0001248 | 8117 | GTEx | DepMap | Descartes | 0.05 | 17.03 |
RASIP1 | -0.0001276 | 8192 | GTEx | DepMap | Descartes | 0.02 | 0.66 |
PODXL | -0.0001340 | 8354 | GTEx | DepMap | Descartes | 0.05 | 1.47 |
MMRN2 | -0.0001458 | 8624 | GTEx | DepMap | Descartes | 0.00 | 0.00 |
SHE | -0.0001613 | 8951 | GTEx | DepMap | Descartes | 0.00 | 0.00 |
CDH13 | -0.0001642 | 9012 | GTEx | DepMap | Descartes | 0.00 | 0.00 |
ARHGAP29 | -0.0001778 | 9317 | GTEx | DepMap | Descartes | 0.13 | 2.22 |
Descartes stromal markers
Top 50 marker genes of stromal cells in the Decartes fetal adrenal single cell map (https://atlas.brotmanbaty.org/bbi/human-gene-expression-during-development/cell/stromal/in/adrenal)
Wilcoxon ranksum test P-value for gene set overrepresentation: 4.36e-01
Mean rank of genes in gene set: 6187.25
Median rank of genes in gene set: 5866
Rank on gene expression program of top 30 genes in gene set:
Genes | Weight | Rank | GTEx | DepMap | Descartes | Mean.Counts | Mean.TPM |
---|---|---|---|---|---|---|---|
ABCC9 | 0.0004663 | 1634 | GTEx | DepMap | Descartes | 0.00 | 0.00 |
EDNRA | 0.0002565 | 2608 | GTEx | DepMap | Descartes | 0.00 | 0.00 |
BICC1 | 0.0002268 | 2794 | GTEx | DepMap | Descartes | 0.01 | 0.76 |
COL27A1 | 0.0001985 | 2999 | GTEx | DepMap | Descartes | 0.01 | 0.32 |
IGFBP3 | 0.0001754 | 3159 | GTEx | DepMap | Descartes | 0.03 | 1.89 |
PRRX1 | 0.0001027 | 3757 | GTEx | DepMap | Descartes | 0.00 | 0.00 |
ITGA11 | 0.0000808 | 3977 | GTEx | DepMap | Descartes | 0.00 | 0.00 |
SFRP2 | 0.0000376 | 4455 | GTEx | DepMap | Descartes | 0.00 | 0.00 |
COL1A2 | 0.0000285 | 4586 | GTEx | DepMap | Descartes | 0.20 | 7.50 |
SCARA5 | 0.0000116 | 4840 | GTEx | DepMap | Descartes | 0.00 | 0.00 |
ABCA6 | 0.0000096 | 4873 | GTEx | DepMap | Descartes | 0.05 | 0.84 |
COL6A3 | 0.0000047 | 4953 | GTEx | DepMap | Descartes | 0.00 | 0.00 |
RSPO3 | 0.0000020 | 5011 | GTEx | DepMap | Descartes | 0.00 | NA |
DKK2 | 0.0000015 | 5019 | GTEx | DepMap | Descartes | 0.00 | 0.00 |
C7 | 0.0000003 | 5039 | GTEx | DepMap | Descartes | 0.01 | 0.43 |
LRRC17 | -0.0000033 | 5092 | GTEx | DepMap | Descartes | 0.01 | 0.71 |
LOX | -0.0000105 | 5255 | GTEx | DepMap | Descartes | 0.01 | 0.20 |
GLI2 | -0.0000128 | 5304 | GTEx | DepMap | Descartes | 0.00 | 0.00 |
PCDH18 | -0.0000169 | 5409 | GTEx | DepMap | Descartes | 0.00 | 0.00 |
COL3A1 | -0.0000172 | 5415 | GTEx | DepMap | Descartes | 0.02 | 0.97 |
ACTA2 | -0.0000255 | 5635 | GTEx | DepMap | Descartes | 0.10 | 29.10 |
CDH11 | -0.0000291 | 5729 | GTEx | DepMap | Descartes | 0.01 | 0.11 |
DCN | -0.0000416 | 6003 | GTEx | DepMap | Descartes | 0.10 | 5.57 |
COL12A1 | -0.0000423 | 6019 | GTEx | DepMap | Descartes | 0.01 | 0.21 |
POSTN | -0.0000517 | 6254 | GTEx | DepMap | Descartes | 0.00 | 0.00 |
LAMC3 | -0.0000522 | 6271 | GTEx | DepMap | Descartes | 0.00 | 0.00 |
GAS2 | -0.0000525 | 6276 | GTEx | DepMap | Descartes | 0.00 | 0.00 |
COL1A1 | -0.0000569 | 6394 | GTEx | DepMap | Descartes | 0.06 | 3.34 |
CCDC80 | -0.0000571 | 6401 | GTEx | DepMap | Descartes | 0.01 | 0.08 |
LUM | -0.0000652 | 6610 | GTEx | DepMap | Descartes | 0.13 | 18.36 |
Descartes sympathoblasts markers
Top 50 marker genes of sympathoblasts cells in the Decartes fetal adrenal single cell map (https://atlas.brotmanbaty.org/bbi/human-gene-expression-during-development/cell/sympathoblasts/in/adrenal)
Wilcoxon ranksum test P-value for gene set overrepresentation: 1.00e+00
Mean rank of genes in gene set: 8822.92
Median rank of genes in gene set: 9053.5
Rank on gene expression program of top 30 genes in gene set:
Genes | Weight | Rank | GTEx | DepMap | Descartes | Mean.Counts | Mean.TPM |
---|---|---|---|---|---|---|---|
KSR2 | 0.0003583 | 2078 | GTEx | DepMap | Descartes | 0.10 | 2.40 |
SLC35F3 | 0.0002402 | 2704 | GTEx | DepMap | Descartes | 0.00 | 0.00 |
GRM7 | 0.0001882 | 3067 | GTEx | DepMap | Descartes | 0.01 | 0.28 |
ST18 | -0.0000100 | 5246 | GTEx | DepMap | Descartes | 0.00 | 0.00 |
PENK | -0.0000383 | 5934 | GTEx | DepMap | Descartes | 0.00 | 0.00 |
CDH12 | -0.0000563 | 6374 | GTEx | DepMap | Descartes | 0.01 | 0.26 |
SORCS3 | -0.0000758 | 6885 | GTEx | DepMap | Descartes | 0.00 | 0.00 |
CDH18 | -0.0000789 | 6970 | GTEx | DepMap | Descartes | 0.00 | 0.00 |
CNTN3 | -0.0000878 | 7209 | GTEx | DepMap | Descartes | 0.00 | 0.00 |
SLC24A2 | -0.0000913 | 7289 | GTEx | DepMap | Descartes | 0.00 | 0.00 |
GALNTL6 | -0.0001113 | 7805 | GTEx | DepMap | Descartes | 0.01 | 0.83 |
LAMA3 | -0.0001136 | 7866 | GTEx | DepMap | Descartes | 0.00 | 0.00 |
TBX20 | -0.0001224 | 8059 | GTEx | DepMap | Descartes | 0.00 | 0.00 |
AGBL4 | -0.0001334 | 8335 | GTEx | DepMap | Descartes | 0.00 | 0.00 |
EML6 | -0.0001351 | 8388 | GTEx | DepMap | Descartes | 0.01 | 0.23 |
CCSER1 | -0.0001571 | 8862 | GTEx | DepMap | Descartes | 0.01 | NA |
NTNG1 | -0.0001588 | 8909 | GTEx | DepMap | Descartes | 0.03 | 0.33 |
GRID2 | -0.0001594 | 8915 | GTEx | DepMap | Descartes | 0.01 | 0.29 |
TIAM1 | -0.0001654 | 9038 | GTEx | DepMap | Descartes | 0.10 | 5.53 |
DGKK | -0.0001665 | 9069 | GTEx | DepMap | Descartes | 0.01 | 0.17 |
SPOCK3 | -0.0001880 | 9518 | GTEx | DepMap | Descartes | 0.01 | 0.64 |
PCSK2 | -0.0001885 | 9531 | GTEx | DepMap | Descartes | 0.01 | 0.42 |
PACRG | -0.0001893 | 9550 | GTEx | DepMap | Descartes | 0.03 | 2.51 |
FGF14 | -0.0002047 | 9859 | GTEx | DepMap | Descartes | 0.01 | 0.03 |
GCH1 | -0.0002077 | 9919 | GTEx | DepMap | Descartes | 0.16 | 13.96 |
MGAT4C | -0.0002143 | 10027 | GTEx | DepMap | Descartes | 0.06 | 0.40 |
SLC18A1 | -0.0002567 | 10667 | GTEx | DepMap | Descartes | 0.06 | 1.51 |
ROBO1 | -0.0002672 | 10794 | GTEx | DepMap | Descartes | 0.03 | 0.44 |
FAM155A | -0.0002700 | 10823 | GTEx | DepMap | Descartes | 0.06 | 0.70 |
UNC80 | -0.0002740 | 10868 | GTEx | DepMap | Descartes | 0.04 | 0.21 |
Descartes erythroblasts markers
Top 50 marker genes of erythroblasts cells in the Decartes fetal adrenal single cell map (https://atlas.brotmanbaty.org/bbi/human-gene-expression-during-development/cell/erythroblasts/in/adrenal)
Wilcoxon ranksum test P-value for gene set overrepresentation: 3.41e-01
Mean rank of genes in gene set: 5999.62
Median rank of genes in gene set: 6521
Rank on gene expression program of top 30 genes in gene set:
Genes | Weight | Rank | GTEx | DepMap | Descartes | Mean.Counts | Mean.TPM |
---|---|---|---|---|---|---|---|
MICAL2 | 0.0022231 | 210 | GTEx | DepMap | Descartes | 0.06 | 4.64 |
MARCH3 | 0.0012701 | 491 | GTEx | DepMap | Descartes | 0.08 | NA |
CPOX | 0.0011676 | 550 | GTEx | DepMap | Descartes | 0.06 | 8.18 |
TSPAN5 | 0.0009436 | 754 | GTEx | DepMap | Descartes | 0.41 | 30.05 |
CAT | 0.0007409 | 1012 | GTEx | DepMap | Descartes | 0.21 | 28.17 |
TMCC2 | 0.0003918 | 1926 | GTEx | DepMap | Descartes | 0.02 | 3.68 |
GYPC | 0.0003808 | 1976 | GTEx | DepMap | Descartes | 1.76 | 311.63 |
GCLC | 0.0003433 | 2148 | GTEx | DepMap | Descartes | 0.06 | 4.34 |
ABCB10 | 0.0001983 | 3000 | GTEx | DepMap | Descartes | 0.04 | 3.92 |
BLVRB | 0.0001301 | 3501 | GTEx | DepMap | Descartes | 0.34 | 57.20 |
TRAK2 | 0.0001013 | 3769 | GTEx | DepMap | Descartes | 0.10 | 4.70 |
RGS6 | 0.0000335 | 4516 | GTEx | DepMap | Descartes | 0.01 | 0.69 |
TFR2 | -0.0000159 | 5382 | GTEx | DepMap | Descartes | 0.03 | 1.07 |
SLC25A21 | -0.0000266 | 5664 | GTEx | DepMap | Descartes | 0.00 | 0.00 |
EPB41 | -0.0000618 | 6521 | GTEx | DepMap | Descartes | 0.48 | 23.34 |
ANK1 | -0.0000619 | 6526 | GTEx | DepMap | Descartes | 0.04 | 0.81 |
ALAS2 | -0.0000766 | 6919 | GTEx | DepMap | Descartes | 0.00 | 0.00 |
SPTB | -0.0001447 | 8596 | GTEx | DepMap | Descartes | 0.04 | 0.38 |
XPO7 | -0.0001723 | 9199 | GTEx | DepMap | Descartes | 0.10 | 4.30 |
FECH | -0.0001742 | 9234 | GTEx | DepMap | Descartes | 0.03 | 1.77 |
RAPGEF2 | -0.0001794 | 9347 | GTEx | DepMap | Descartes | 0.10 | 2.75 |
SELENBP1 | -0.0001803 | 9360 | GTEx | DepMap | Descartes | 0.00 | 0.00 |
SLC4A1 | -0.0001880 | 9519 | GTEx | DepMap | Descartes | 0.00 | 0.00 |
SOX6 | -0.0001903 | 9573 | GTEx | DepMap | Descartes | 0.01 | 0.04 |
SPECC1 | -0.0001933 | 9628 | GTEx | DepMap | Descartes | 0.07 | 2.86 |
SLC25A37 | -0.0002476 | 10565 | GTEx | DepMap | Descartes | 0.29 | 18.09 |
RHD | -0.0002945 | 11079 | GTEx | DepMap | Descartes | 0.00 | 0.00 |
DENND4A | -0.0003164 | 11324 | GTEx | DepMap | Descartes | 0.13 | 4.26 |
SNCA | -0.0003686 | 11700 | GTEx | DepMap | Descartes | 0.07 | 4.52 |
NA | NA | NA | NA | NA | NA | NA | NA |
Descartes myeloid markers
Top 50 marker genes of myeloid cells in the Decartes fetal adrenal single cell map (https://atlas.brotmanbaty.org/bbi/human-gene-expression-during-development/cell/myeloid/in/adrenal)
Wilcoxon ranksum test P-value for gene set overrepresentation: 3.39e-01
Mean rank of genes in gene set: 6032.11
Median rank of genes in gene set: 5945.5
Rank on gene expression program of top 30 genes in gene set:
Genes | Weight | Rank | GTEx | DepMap | Descartes | Mean.Counts | Mean.TPM |
---|---|---|---|---|---|---|---|
CTSC | 0.0055183 | 30 | GTEx | DepMap | Descartes | 2.41 | 117.58 |
WWP1 | 0.0011272 | 576 | GTEx | DepMap | Descartes | 0.18 | 10.25 |
SLC9A9 | 0.0005626 | 1362 | GTEx | DepMap | Descartes | 0.11 | 10.61 |
MERTK | 0.0004347 | 1741 | GTEx | DepMap | Descartes | 0.08 | 4.54 |
RBPJ | 0.0004285 | 1764 | GTEx | DepMap | Descartes | 0.76 | 38.07 |
ITPR2 | 0.0003988 | 1891 | GTEx | DepMap | Descartes | 0.20 | 4.23 |
CD74 | 0.0002753 | 2487 | GTEx | DepMap | Descartes | 8.14 | 604.14 |
CTSB | 0.0002057 | 2948 | GTEx | DepMap | Descartes | 0.87 | 61.53 |
ATP8B4 | 0.0001830 | 3103 | GTEx | DepMap | Descartes | 0.08 | 4.83 |
SPP1 | 0.0001560 | 3299 | GTEx | DepMap | Descartes | 1.01 | 81.78 |
SLC1A3 | 0.0000903 | 3881 | GTEx | DepMap | Descartes | 0.07 | 2.63 |
RGL1 | 0.0000526 | 4297 | GTEx | DepMap | Descartes | 0.03 | 1.03 |
FGD2 | 0.0000254 | 4622 | GTEx | DepMap | Descartes | 0.03 | 0.26 |
CTSS | 0.0000213 | 4685 | GTEx | DepMap | Descartes | 0.68 | 45.93 |
CD14 | 0.0000091 | 4884 | GTEx | DepMap | Descartes | 0.51 | 49.18 |
CSF1R | -0.0000043 | 5112 | GTEx | DepMap | Descartes | 0.14 | 4.99 |
FGL2 | -0.0000137 | 5329 | GTEx | DepMap | Descartes | 0.27 | 13.07 |
AXL | -0.0000342 | 5833 | GTEx | DepMap | Descartes | 0.05 | 1.42 |
MARCH1 | -0.0000357 | 5884 | GTEx | DepMap | Descartes | 0.08 | NA |
LGMN | -0.0000419 | 6007 | GTEx | DepMap | Descartes | 0.57 | 44.24 |
HCK | -0.0000438 | 6067 | GTEx | DepMap | Descartes | 0.06 | 4.83 |
SLCO2B1 | -0.0000521 | 6266 | GTEx | DepMap | Descartes | 0.03 | 0.59 |
CTSD | -0.0000664 | 6648 | GTEx | DepMap | Descartes | 1.41 | 165.51 |
MS4A4A | -0.0000762 | 6901 | GTEx | DepMap | Descartes | 0.27 | 26.67 |
CD163 | -0.0000963 | 7417 | GTEx | DepMap | Descartes | 0.03 | 0.79 |
ADAP2 | -0.0001113 | 7806 | GTEx | DepMap | Descartes | 0.06 | 3.40 |
HRH1 | -0.0001274 | 8189 | GTEx | DepMap | Descartes | 0.00 | 0.00 |
CYBB | -0.0001342 | 8361 | GTEx | DepMap | Descartes | 0.17 | 5.83 |
TGFBI | -0.0001576 | 8877 | GTEx | DepMap | Descartes | 0.13 | 4.06 |
MSR1 | -0.0001722 | 9196 | GTEx | DepMap | Descartes | 0.03 | 0.94 |
Descartes Schwann markers
Top 50 marker genes of Schwann cells in the Decartes fetal adrenal single cell map (https://atlas.brotmanbaty.org/bbi/human-gene-expression-during-development/cell/schwann/in/adrenal)
Wilcoxon ranksum test P-value for gene set overrepresentation: 1.00e+00
Mean rank of genes in gene set: 8182.27
Median rank of genes in gene set: 7610
Rank on gene expression program of top 30 genes in gene set:
Genes | Weight | Rank | GTEx | DepMap | Descartes | Mean.Counts | Mean.TPM |
---|---|---|---|---|---|---|---|
COL18A1 | 0.0002896 | 2405 | GTEx | DepMap | Descartes | 0.05 | 3.40 |
VIM | 0.0001592 | 3274 | GTEx | DepMap | Descartes | 7.76 | 704.91 |
EDNRB | 0.0000870 | 3908 | GTEx | DepMap | Descartes | 0.01 | 1.38 |
LAMC1 | 0.0000125 | 4823 | GTEx | DepMap | Descartes | 0.08 | 2.02 |
LAMA4 | 0.0000094 | 4879 | GTEx | DepMap | Descartes | 0.10 | 2.18 |
COL5A2 | -0.0000041 | 5109 | GTEx | DepMap | Descartes | 0.08 | 2.22 |
IL1RAPL2 | -0.0000338 | 5830 | GTEx | DepMap | Descartes | 0.00 | 0.00 |
MDGA2 | -0.0000435 | 6061 | GTEx | DepMap | Descartes | 0.00 | 0.00 |
IL1RAPL1 | -0.0000442 | 6076 | GTEx | DepMap | Descartes | 0.00 | 0.00 |
MPZ | -0.0000572 | 6404 | GTEx | DepMap | Descartes | 0.01 | 1.29 |
HMGA2 | -0.0000589 | 6448 | GTEx | DepMap | Descartes | 0.00 | 0.00 |
TRPM3 | -0.0000592 | 6461 | GTEx | DepMap | Descartes | 0.00 | 0.00 |
PTPRZ1 | -0.0000640 | 6583 | GTEx | DepMap | Descartes | 0.00 | 0.00 |
EGFLAM | -0.0000675 | 6677 | GTEx | DepMap | Descartes | 0.01 | 0.21 |
ERBB4 | -0.0000692 | 6721 | GTEx | DepMap | Descartes | 0.02 | 0.21 |
LAMB1 | -0.0000788 | 6966 | GTEx | DepMap | Descartes | 0.06 | 2.21 |
OLFML2A | -0.0000827 | 7077 | GTEx | DepMap | Descartes | 0.00 | 0.00 |
XKR4 | -0.0000905 | 7269 | GTEx | DepMap | Descartes | 0.01 | 0.09 |
ADAMTS5 | -0.0000939 | 7356 | GTEx | DepMap | Descartes | 0.03 | 0.41 |
GAS7 | -0.0000951 | 7389 | GTEx | DepMap | Descartes | 0.07 | 3.37 |
COL25A1 | -0.0000979 | 7460 | GTEx | DepMap | Descartes | 0.00 | 0.00 |
PLP1 | -0.0001000 | 7518 | GTEx | DepMap | Descartes | 0.01 | 0.46 |
NRXN3 | -0.0001082 | 7702 | GTEx | DepMap | Descartes | 0.00 | 0.00 |
GRIK3 | -0.0001253 | 8131 | GTEx | DepMap | Descartes | 0.03 | 0.23 |
SLC35F1 | -0.0001271 | 8180 | GTEx | DepMap | Descartes | 0.01 | 0.07 |
LRRTM4 | -0.0001336 | 8343 | GTEx | DepMap | Descartes | 0.00 | 0.00 |
PLCE1 | -0.0001454 | 8618 | GTEx | DepMap | Descartes | 0.04 | 0.72 |
STARD13 | -0.0001503 | 8714 | GTEx | DepMap | Descartes | 0.01 | 0.37 |
ERBB3 | -0.0001779 | 9318 | GTEx | DepMap | Descartes | 0.00 | 0.00 |
FIGN | -0.0001860 | 9479 | GTEx | DepMap | Descartes | 0.06 | 1.01 |
Descartes Megakaryocytes markers
Top 50 marker genes of Megakaryocytes cells in the Decartes fetal adrenal single cell map (https://atlas.brotmanbaty.org/bbi/human-gene-expression-during-development/cell/megakaryocytes/in/adrenal)
Wilcoxon ranksum test P-value for gene set overrepresentation: 3.12e-01
Mean rank of genes in gene set: 6010.18
Median rank of genes in gene set: 5737
Rank on gene expression program of top 30 genes in gene set:
Genes | Weight | Rank | GTEx | DepMap | Descartes | Mean.Counts | Mean.TPM |
---|---|---|---|---|---|---|---|
ACTB | 0.0024200 | 173 | GTEx | DepMap | Descartes | 30.89 | 3698.45 |
LIMS1 | 0.0022946 | 202 | GTEx | DepMap | Descartes | 0.85 | 58.93 |
FERMT3 | 0.0019393 | 270 | GTEx | DepMap | Descartes | 0.63 | 82.10 |
MYH9 | 0.0015259 | 384 | GTEx | DepMap | Descartes | 0.91 | 37.12 |
CD84 | 0.0010529 | 640 | GTEx | DepMap | Descartes | 0.24 | 6.72 |
UBASH3B | 0.0010140 | 682 | GTEx | DepMap | Descartes | 0.06 | 2.27 |
TLN1 | 0.0009786 | 720 | GTEx | DepMap | Descartes | 0.64 | 21.32 |
RAP1B | 0.0009028 | 805 | GTEx | DepMap | Descartes | 1.04 | 25.05 |
TMSB4X | 0.0008458 | 869 | GTEx | DepMap | Descartes | 88.22 | 15648.12 |
TPM4 | 0.0007704 | 972 | GTEx | DepMap | Descartes | 1.41 | 72.27 |
PLEK | 0.0005105 | 1505 | GTEx | DepMap | Descartes | 0.43 | 35.39 |
ZYX | 0.0004235 | 1781 | GTEx | DepMap | Descartes | 0.36 | 42.93 |
SPN | 0.0003933 | 1913 | GTEx | DepMap | Descartes | 0.36 | 14.18 |
ARHGAP6 | 0.0002452 | 2674 | GTEx | DepMap | Descartes | 0.00 | 0.00 |
FLNA | 0.0002125 | 2905 | GTEx | DepMap | Descartes | 0.65 | 24.48 |
GP1BA | 0.0001635 | 3245 | GTEx | DepMap | Descartes | 0.00 | 0.00 |
P2RX1 | 0.0001137 | 3647 | GTEx | DepMap | Descartes | 0.03 | 4.22 |
GSN | 0.0000222 | 4669 | GTEx | DepMap | Descartes | 0.34 | 13.73 |
FLI1 | 0.0000178 | 4750 | GTEx | DepMap | Descartes | 0.15 | 8.49 |
SLC24A3 | 0.0000169 | 4765 | GTEx | DepMap | Descartes | 0.00 | 0.00 |
TRPC6 | -0.0000066 | 5167 | GTEx | DepMap | Descartes | 0.00 | 0.00 |
ITGB3 | -0.0000101 | 5247 | GTEx | DepMap | Descartes | 0.00 | 0.00 |
PSTPIP2 | -0.0000295 | 5737 | GTEx | DepMap | Descartes | 0.03 | 1.55 |
TUBB1 | -0.0000710 | 6765 | GTEx | DepMap | Descartes | 0.00 | 0.00 |
MCTP1 | -0.0000984 | 7473 | GTEx | DepMap | Descartes | 0.05 | 2.08 |
INPP4B | -0.0001048 | 7626 | GTEx | DepMap | Descartes | 0.15 | 4.41 |
ANGPT1 | -0.0001113 | 7807 | GTEx | DepMap | Descartes | 0.00 | 0.00 |
VCL | -0.0001205 | 8020 | GTEx | DepMap | Descartes | 0.09 | 2.59 |
MYLK | -0.0001276 | 8194 | GTEx | DepMap | Descartes | 0.00 | 0.00 |
LTBP1 | -0.0001312 | 8272 | GTEx | DepMap | Descartes | 0.00 | 0.00 |
Descartes Lyphoid markers
Top 50 marker genes of Lyphoid cells in the Decartes fetal adrenal single cell map (https://atlas.brotmanbaty.org/bbi/human-gene-expression-during-development/cell/lymphoid/in/adrenal)
Wilcoxon ranksum test P-value for gene set overrepresentation: 3.42e-03
Mean rank of genes in gene set: 4765.93
Median rank of genes in gene set: 1345
Rank on gene expression program of top 30 genes in gene set:
Genes | Weight | Rank | GTEx | DepMap | Descartes | Mean.Counts | Mean.TPM |
---|---|---|---|---|---|---|---|
ARID5B | 0.0087417 | 13 | GTEx | DepMap | Descartes | 1.41 | 79.73 |
SKAP1 | 0.0050943 | 36 | GTEx | DepMap | Descartes | 0.86 | 200.34 |
PTPRC | 0.0040792 | 61 | GTEx | DepMap | Descartes | 3.86 | 293.54 |
B2M | 0.0032776 | 92 | GTEx | DepMap | Descartes | 69.78 | 10158.97 |
SP100 | 0.0023470 | 182 | GTEx | DepMap | Descartes | 0.71 | 42.66 |
LCP1 | 0.0023162 | 195 | GTEx | DepMap | Descartes | 2.01 | 148.99 |
ARHGDIB | 0.0023107 | 197 | GTEx | DepMap | Descartes | 5.81 | 1528.70 |
RCSD1 | 0.0014449 | 419 | GTEx | DepMap | Descartes | 0.43 | 27.62 |
PRKCH | 0.0012712 | 490 | GTEx | DepMap | Descartes | 0.45 | 49.38 |
ETS1 | 0.0012498 | 502 | GTEx | DepMap | Descartes | 0.92 | 73.12 |
BCL2 | 0.0011746 | 547 | GTEx | DepMap | Descartes | 0.50 | 23.82 |
MBNL1 | 0.0011623 | 552 | GTEx | DepMap | Descartes | 0.78 | 41.27 |
IKZF1 | 0.0009258 | 774 | GTEx | DepMap | Descartes | 0.71 | 40.90 |
CD44 | 0.0008705 | 839 | GTEx | DepMap | Descartes | 1.68 | 109.56 |
NCALD | 0.0008625 | 853 | GTEx | DepMap | Descartes | 0.15 | 15.60 |
FYN | 0.0008300 | 887 | GTEx | DepMap | Descartes | 1.00 | 86.96 |
MSN | 0.0007472 | 1002 | GTEx | DepMap | Descartes | 1.31 | 98.96 |
GNG2 | 0.0007337 | 1022 | GTEx | DepMap | Descartes | 0.77 | 62.19 |
TOX | 0.0007106 | 1065 | GTEx | DepMap | Descartes | 0.33 | 23.27 |
WIPF1 | 0.0006986 | 1091 | GTEx | DepMap | Descartes | 0.90 | 66.16 |
ARHGAP15 | 0.0006474 | 1182 | GTEx | DepMap | Descartes | 0.47 | 69.04 |
DOCK10 | 0.0005088 | 1508 | GTEx | DepMap | Descartes | 0.22 | 13.08 |
FOXP1 | 0.0004782 | 1593 | GTEx | DepMap | Descartes | 0.80 | 33.04 |
CELF2 | 0.0004403 | 1719 | GTEx | DepMap | Descartes | 0.74 | 32.04 |
EVL | 0.0001698 | 3197 | GTEx | DepMap | Descartes | 2.44 | 192.52 |
TMSB10 | 0.0000340 | 4507 | GTEx | DepMap | Descartes | 36.24 | 21353.37 |
CCND3 | -0.0000270 | 5669 | GTEx | DepMap | Descartes | 0.74 | 118.16 |
PITPNC1 | -0.0000930 | 7330 | GTEx | DepMap | Descartes | 0.21 | 9.88 |
RAP1GAP2 | -0.0001364 | 8413 | GTEx | DepMap | Descartes | 0.12 | 4.59 |
ANKRD44 | -0.0001757 | 9268 | GTEx | DepMap | Descartes | 0.35 | 15.89 |
Below shows the ranks on this GEP for immune marker gene lists curated by CellTypist (https://www.celltypist.org/encyclopedia).
High ranks indicate this gene is a driver of this GEP.
These curated gene list are ranked by P-value (on this GEP) of their constituent genes.
The Mean Count column shows the mean read count in cells scoring highly (H > 50) on this gene expression program.
Genes | Weight | Rank | GTEx | DepMap | Decartes | Mean.Counts | Mean.TPM |
---|---|---|---|---|---|---|---|
BIRC3 | 0.0042189 | 57 | GTEx | DepMap | Descartes | 1.41 | 82.07 |
PTPRC | 0.0040792 | 61 | GTEx | DepMap | Descartes | 3.86 | 293.54 |
B2M | 0.0032776 | 92 | GTEx | DepMap | Descartes | 69.78 | 10158.97 |
ITM2A | 0.0029205 | 118 | GTEx | DepMap | Descartes | 2.10 | 439.49 |
COTL1 | 0.0012733 | 489 | GTEx | DepMap | Descartes | 4.38 | 206.96 |
SMS | 0.0006510 | 1171 | GTEx | DepMap | Descartes | 1.01 | 144.19 |
CD74 | 0.0002753 | 2487 | GTEx | DepMap | Descartes | 8.14 | 604.14 |
T cells: Regulatory T cells (model markers)
T cell subpopulation which modulates immune responses and regulates other cells through direct cell-cell contact and cytokine release:
Wilcoxon ranksum test P-value for gene set overrepresentation: 3.22e-04
Mean rank of genes in gene set: 95
Rank on gene expression program of genes in gene set:
Genes | Weight | Rank | GTEx | DepMap | Decartes | Mean.Counts | Mean.TPM |
---|---|---|---|---|---|---|---|
TIGIT | 0.0286139 | 2 | GTEx | DepMap | Descartes | 1.87 | 233.37 |
RTKN2 | 0.0064914 | 20 | GTEx | DepMap | Descartes | 0.41 | 30.21 |
RGS1 | 0.0027521 | 134 | GTEx | DepMap | Descartes | 4.15 | 606.91 |
SRGN | 0.0021420 | 224 | GTEx | DepMap | Descartes | 6.60 | 1991.98 |
T cells: Treg(diff) (model markers)
unconventional T lymphocyte subpopulation in the thymus which connects αβ T cells and canonical regulatory T cells and is still differentiating:
Wilcoxon ranksum test P-value for gene set overrepresentation: 3.53e-04
Mean rank of genes in gene set: 140
Rank on gene expression program of genes in gene set:
Genes | Weight | Rank | GTEx | DepMap | Decartes | Mean.Counts | Mean.TPM |
---|---|---|---|---|---|---|---|
S100A4 | 0.0100124 | 12 | GTEx | DepMap | Descartes | 8.89 | 4316.58 |
PTPRC | 0.0040792 | 61 | GTEx | DepMap | Descartes | 3.86 | 293.54 |
RGS1 | 0.0027521 | 134 | GTEx | DepMap | Descartes | 4.15 | 606.91 |
TSC22D3 | 0.0016289 | 353 | GTEx | DepMap | Descartes | 3.41 | 638.32 |