Program description and justification of annotation: 17.
Submit a comment on this gene expression program’s interpretation: CLICK
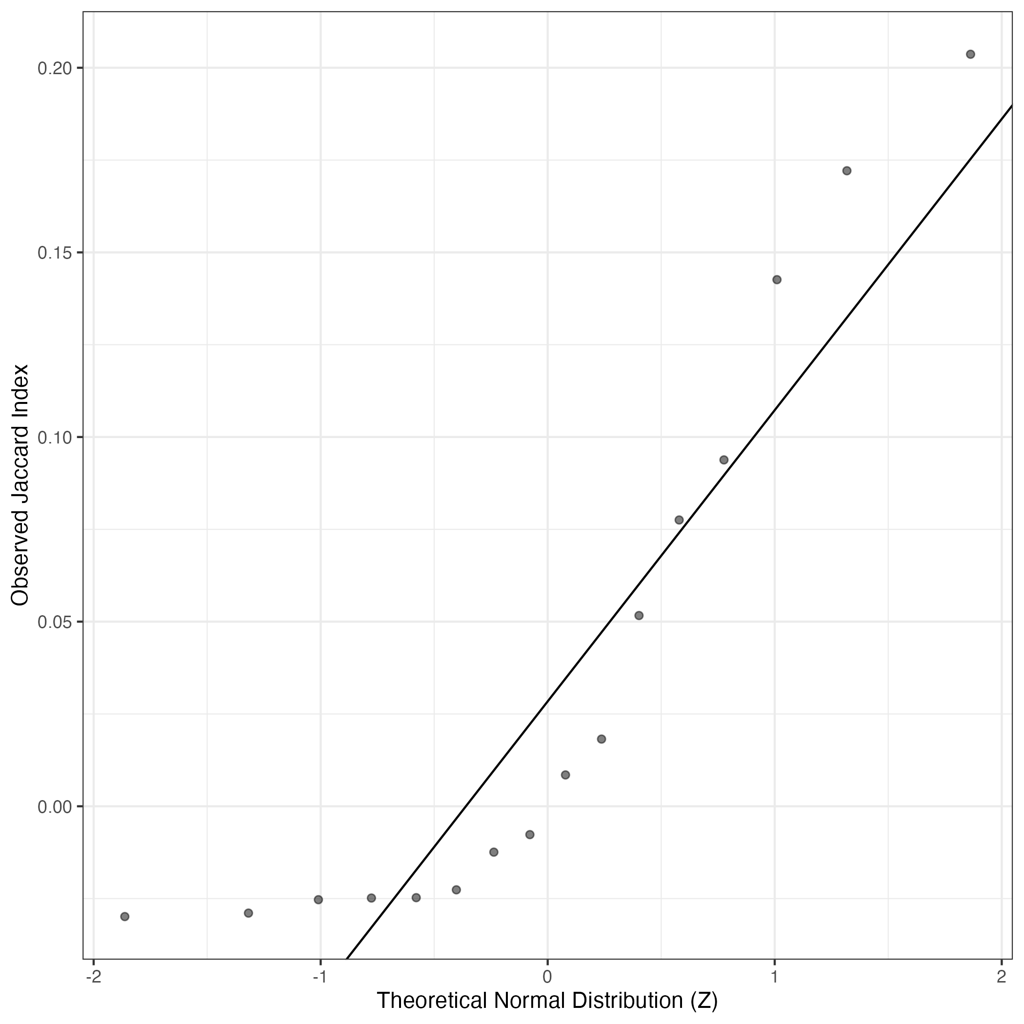
QQ-plot of gene loadings, averaged over both independent splits of the data
This plot highlights the relative contribution of each gene to the GEP
Top genes driving this program.
Note: Decartes website is buggy, try refreshing. Also, Decartes fetal adrenal data have been collected at specific time points (89-122 days), all possible cell types of interest may not be represented, do not overinterpret.
The Mean Count column shows the mean read count in cells scoring highly (H > 50) on this gene expression program.
Gene | Loading | Gene.Name | GTEx | DepMap | Descartes | Mean.Counts | Mean.Tpm | |
---|---|---|---|---|---|---|---|---|
1 | MME | 0.0259652 | membrane metalloendopeptidase | GTEx | DepMap | Descartes | 8.41 | 102.57 |
2 | PRSS23 | 0.0232576 | serine protease 23 | GTEx | DepMap | Descartes | 13.93 | 166.63 |
3 | MFAP5 | 0.0200940 | microfibril associated protein 5 | GTEx | DepMap | Descartes | 2.41 | 54.65 |
4 | PAPSS2 | 0.0142966 | 3’-phosphoadenosine 5’-phosphosulfate synthase 2 | GTEx | DepMap | Descartes | 2.26 | 37.34 |
5 | AHNAK2 | 0.0140553 | AHNAK nucleoprotein 2 | GTEx | DepMap | Descartes | 2.42 | 8.80 |
6 | COL3A1 | 0.0136720 | collagen type III alpha 1 chain | GTEx | DepMap | Descartes | 18.73 | 248.59 |
7 | AHNAK | 0.0136665 | AHNAK nucleoprotein | GTEx | DepMap | Descartes | 20.69 | 76.77 |
8 | UGP2 | 0.0130290 | UDP-glucose pyrophosphorylase 2 | GTEx | DepMap | Descartes | 8.81 | 140.36 |
9 | DIO2 | 0.0124746 | iodothyronine deiodinase 2 | GTEx | DepMap | Descartes | 0.74 | 7.77 |
10 | LAYN | 0.0124582 | layilin | GTEx | DepMap | Descartes | 8.28 | 210.61 |
11 | LRRC17 | 0.0122081 | leucine rich repeat containing 17 | GTEx | DepMap | Descartes | 10.28 | 339.96 |
12 | CRIM1 | 0.0119201 | cysteine rich transmembrane BMP regulator 1 | GTEx | DepMap | Descartes | 2.71 | 29.76 |
13 | THY1 | 0.0115227 | Thy-1 cell surface antigen | GTEx | DepMap | Descartes | 10.93 | 165.05 |
14 | ATP2B4 | 0.0112862 | ATPase plasma membrane Ca2+ transporting 4 | GTEx | DepMap | Descartes | 3.78 | 29.07 |
15 | RDH10 | 0.0112751 | retinol dehydrogenase 10 | GTEx | DepMap | Descartes | 2.19 | 37.63 |
16 | PLS3 | 0.0109853 | plastin 3 | GTEx | DepMap | Descartes | 6.63 | 138.35 |
17 | SYTL2 | 0.0107924 | synaptotagmin like 2 | GTEx | DepMap | Descartes | 1.19 | 11.93 |
18 | ARHGDIB | 0.0106984 | Rho GDP dissociation inhibitor beta | GTEx | DepMap | Descartes | 2.45 | 125.24 |
19 | FILIP1L | 0.0106032 | filamin A interacting protein 1 like | GTEx | DepMap | Descartes | 6.11 | 100.59 |
20 | PLAC1 | 0.0105383 | placenta enriched 1 | GTEx | DepMap | Descartes | 0.75 | 47.88 |
21 | ITGA3 | 0.0103497 | integrin subunit alpha 3 | GTEx | DepMap | Descartes | 3.66 | 43.53 |
22 | MATN2 | 0.0103470 | matrilin 2 | GTEx | DepMap | Descartes | 1.76 | 30.35 |
23 | IGFBP6 | 0.0102729 | insulin like growth factor binding protein 6 | GTEx | DepMap | Descartes | 4.60 | 269.13 |
24 | ANXA3 | 0.0102037 | annexin A3 | GTEx | DepMap | Descartes | 0.70 | 14.96 |
25 | SEMA3D | 0.0097990 | semaphorin 3D | GTEx | DepMap | Descartes | 1.70 | 18.80 |
26 | CDKN1A | 0.0097245 | cyclin dependent kinase inhibitor 1A | GTEx | DepMap | Descartes | 4.43 | 121.60 |
27 | TPM1 | 0.0094370 | tropomyosin 1 | GTEx | DepMap | Descartes | 42.59 | 686.76 |
28 | F2R | 0.0093527 | coagulation factor II thrombin receptor | GTEx | DepMap | Descartes | 4.60 | 83.23 |
29 | UBE2H | 0.0090250 | ubiquitin conjugating enzyme E2 H | GTEx | DepMap | Descartes | 8.07 | 105.46 |
30 | DCBLD2 | 0.0088350 | discoidin, CUB and LCCL domain containing 2 | GTEx | DepMap | Descartes | 6.94 | 75.05 |
31 | NPC2 | 0.0087471 | NPC intracellular cholesterol transporter 2 | GTEx | DepMap | Descartes | 8.22 | 392.30 |
32 | CPA4 | 0.0086164 | carboxypeptidase A4 | GTEx | DepMap | Descartes | 2.26 | 52.16 |
33 | FBN1 | 0.0084655 | fibrillin 1 | GTEx | DepMap | Descartes | 6.31 | 39.13 |
34 | HBEGF | 0.0082367 | heparin binding EGF like growth factor | GTEx | DepMap | Descartes | 1.37 | 39.19 |
35 | KRT18 | 0.0081902 | keratin 18 | GTEx | DepMap | Descartes | 18.83 | 560.34 |
36 | LTBP1 | 0.0081574 | latent transforming growth factor beta binding protein 1 | GTEx | DepMap | Descartes | 3.86 | 42.90 |
37 | HEG1 | 0.0079570 | heart development protein with EGF like domains 1 | GTEx | DepMap | Descartes | 1.75 | 13.77 |
38 | FSTL1 | 0.0079331 | follistatin like 1 | GTEx | DepMap | Descartes | 3.84 | 47.24 |
39 | HNMT | 0.0079039 | histamine N-methyltransferase | GTEx | DepMap | Descartes | 1.09 | 22.58 |
40 | SEMA3C | 0.0078472 | semaphorin 3C | GTEx | DepMap | Descartes | 3.91 | 56.87 |
41 | MYH9 | 0.0077615 | myosin heavy chain 9 | GTEx | DepMap | Descartes | 6.35 | 57.04 |
42 | S100A10 | 0.0077214 | S100 calcium binding protein A10 | GTEx | DepMap | Descartes | 27.12 | 2436.82 |
43 | BMPER | 0.0076135 | BMP binding endothelial regulator | GTEx | DepMap | Descartes | 0.21 | 2.89 |
44 | VCL | 0.0075172 | vinculin | GTEx | DepMap | Descartes | 5.46 | 47.49 |
45 | ARSJ | 0.0073599 | arylsulfatase family member J | GTEx | DepMap | Descartes | 2.89 | 41.99 |
46 | SERPINE1 | 0.0071465 | serpin family E member 1 | GTEx | DepMap | Descartes | 4.28 | 82.18 |
47 | TAX1BP1 | 0.0070393 | Tax1 binding protein 1 | GTEx | DepMap | Descartes | 10.01 | 168.38 |
48 | LRP10 | 0.0070274 | LDL receptor related protein 10 | GTEx | DepMap | Descartes | 2.74 | 26.80 |
49 | MYLK | 0.0068744 | myosin light chain kinase | GTEx | DepMap | Descartes | 3.50 | 22.59 |
50 | ACTB | 0.0067638 | actin beta | GTEx | DepMap | Descartes | 74.78 | 2152.76 |
UMAP plots showing activity of gene expression program identified in community:17. NB Cell Line #17 (SKNSH Mesenchymal
CNV Data procured from inferCNV.
Outer tracks are putative CNV regions (gains = red, losses = blue) for each patient
Inner track is expression data representing:
The top cells expressing this GEP (purple)
Random cells (n =50) from the reference set used in inferCNV (orange)
Gene set Enrichments for this program, caculated from top 50 genes
mSigDB Cell Types Gene Set:
P-value | OR | Lower 95% CI | FDR | FWER | Genes Found | Gene Set Size | |
---|---|---|---|---|---|---|---|
TRAVAGLINI_LUNG_VASCULAR_SMOOTH_MUSCLE_CELL | 3.69e-09 | 37.61 | 13.66 | 3.10e-07 | 2.48e-06 | 7CRIM1, SYTL2, ARHGDIB, TPM1, KRT18, MYH9, MYLK |
61 |
AIZARANI_LIVER_C21_STELLATE_CELLS_1 | 1.71e-10 | 19.26 | 8.76 | 3.67e-08 | 1.15e-07 | 11PRSS23, COL3A1, THY1, FILIP1L, MATN2, CDKN1A, FBN1, FSTL1, VCL, SERPINE1, MYLK |
194 |
CUI_DEVELOPING_HEART_C6_EPICARDIAL_CELL | 5.57e-08 | 14.75 | 6.21 | 3.74e-06 | 3.74e-05 | 9PRSS23, PAPSS2, CRIM1, ITGA3, ANXA3, CPA4, KRT18, SEMA3C, S100A10 |
195 |
AIZARANI_LIVER_C29_MVECS_2 | 1.85e-09 | 13.12 | 6.18 | 1.78e-07 | 1.24e-06 | 12PRSS23, COL3A1, AHNAK, CRIM1, FILIP1L, MATN2, CDKN1A, F2R, HBEGF, HEG1, S100A10, SERPINE1 |
313 |
HU_FETAL_RETINA_FIBROBLAST | 1.54e-09 | 11.81 | 5.71 | 1.78e-07 | 1.03e-06 | 13PRSS23, COL3A1, AHNAK, LRRC17, THY1, PLS3, IGFBP6, TPM1, F2R, FBN1, FSTL1, MYH9, S100A10 |
385 |
TRAVAGLINI_LUNG_ADVENTITIAL_FIBROBLAST_CELL | 1.36e-08 | 12.37 | 5.66 | 1.01e-06 | 9.11e-06 | 11MFAP5, COL3A1, LRRC17, THY1, RDH10, MATN2, IGFBP6, FBN1, FSTL1, SEMA3C, S100A10 |
296 |
TRAVAGLINI_LUNG_ALVEOLAR_EPITHELIAL_TYPE_1_CELL | 1.85e-09 | 11.62 | 5.62 | 1.78e-07 | 1.24e-06 | 13PAPSS2, AHNAK, ATP2B4, PLS3, ITGA3, ANXA3, CDKN1A, HBEGF, KRT18, HEG1, S100A10, VCL, ACTB |
391 |
MURARO_PANCREAS_MESENCHYMAL_STROMAL_CELL | 1.93e-11 | 10.63 | 5.59 | 6.48e-09 | 1.30e-08 | 18COL3A1, AHNAK, THY1, PLS3, TPM1, F2R, DCBLD2, NPC2, FBN1, HBEGF, LTBP1, HEG1, FSTL1, MYH9, VCL, SERPINE1, MYLK, ACTB |
680 |
MURARO_PANCREAS_DUCTAL_CELL | 1.41e-13 | 10.01 | 5.50 | 9.45e-11 | 9.45e-11 | 25PRSS23, AHNAK, UGP2, CRIM1, ATP2B4, RDH10, PLS3, ARHGDIB, FILIP1L, ITGA3, ANXA3, CDKN1A, TPM1, DCBLD2, NPC2, HBEGF, KRT18, HEG1, FSTL1, HNMT, MYH9, S100A10, VCL, LRP10, ACTB |
1276 |
CUI_DEVELOPING_HEART_C3_FIBROBLAST_LIKE_CELL | 6.23e-06 | 15.35 | 5.24 | 2.32e-04 | 4.18e-03 | 6LRRC17, THY1, FILIP1L, MATN2, FBN1, FSTL1 |
117 |
DESCARTES_FETAL_SPLEEN_MESOTHELIAL_CELLS | 8.06e-07 | 12.73 | 5.09 | 4.51e-05 | 5.41e-04 | 8AHNAK2, ITGA3, SEMA3D, CDKN1A, KRT18, SEMA3C, S100A10, ARSJ |
195 |
DESCARTES_MAIN_FETAL_EXTRAVILLOUS_TROPHOBLASTS | 1.04e-05 | 13.97 | 4.77 | 3.49e-04 | 6.98e-03 | 6MFAP5, DIO2, FBN1, KRT18, FSTL1, SERPINE1 |
128 |
MANNO_MIDBRAIN_NEUROTYPES_HPERIC | 2.19e-10 | 9.06 | 4.76 | 3.67e-08 | 1.47e-07 | 18PAPSS2, COL3A1, UGP2, LAYN, LRRC17, THY1, PLS3, SYTL2, ARHGDIB, FILIP1L, CDKN1A, F2R, FBN1, HBEGF, FSTL1, MYH9, VCL, MYLK |
795 |
FAN_EMBRYONIC_CTX_BRAIN_ENDOTHELIAL_2 | 2.04e-07 | 10.66 | 4.71 | 1.24e-05 | 1.37e-04 | 10PAPSS2, COL3A1, THY1, PLS3, SYTL2, F2R, FSTL1, MYH9, VCL, MYLK |
303 |
RUBENSTEIN_SKELETAL_MUSCLE_FAP_CELLS | 5.80e-06 | 11.82 | 4.43 | 2.29e-04 | 3.89e-03 | 7MME, MFAP5, COL3A1, IGFBP6, NPC2, FSTL1, S100A10 |
179 |
AIZARANI_LIVER_C39_EPCAM_POS_BILE_DUCT_CELLS_4 | 6.94e-06 | 11.49 | 4.30 | 2.45e-04 | 4.66e-03 | 7AHNAK, CRIM1, TPM1, HBEGF, KRT18, MYH9, VCL |
184 |
DESCARTES_FETAL_KIDNEY_STROMAL_CELLS | 2.19e-05 | 12.17 | 4.17 | 6.67e-04 | 1.47e-02 | 6MFAP5, AHNAK2, COL3A1, IGFBP6, CPA4, FBN1 |
146 |
RUBENSTEIN_SKELETAL_MUSCLE_FBN1_FAP_CELLS | 1.46e-06 | 9.80 | 4.15 | 7.54e-05 | 9.81e-04 | 9MFAP5, COL3A1, AHNAK, UGP2, IGFBP6, FBN1, FSTL1, SEMA3C, S100A10 |
289 |
HU_FETAL_RETINA_RPE | 1.59e-06 | 9.70 | 4.10 | 7.62e-05 | 1.07e-03 | 9CRIM1, PLS3, TPM1, NPC2, FBN1, KRT18, LTBP1, FSTL1, SEMA3C |
292 |
FAN_OVARY_CL6_PUTATIVE_EARLY_ATRETIC_FOLLICLE_THECAL_CELL_2 | 1.98e-06 | 9.43 | 3.99 | 8.84e-05 | 1.33e-03 | 9COL3A1, LRRC17, THY1, MATN2, TPM1, NPC2, FSTL1, HNMT, MYLK |
300 |
Dowload full table
mSigDB Hallmark Gene Sets:
P-value | OR | Lower 95% CI | FDR | FWER | Genes Found | Gene Set Size | |
---|---|---|---|---|---|---|---|
HALLMARK_EPITHELIAL_MESENCHYMAL_TRANSITION | 6.91e-08 | 14.37 | 6.05 | 3.45e-06 | 3.45e-06 | 9MFAP5, COL3A1, THY1, MATN2, TPM1, FBN1, FSTL1, SERPINE1, MYLK |
200 |
HALLMARK_APICAL_JUNCTION | 1.19e-05 | 10.54 | 3.95 | 2.97e-04 | 5.94e-04 | 7LAYN, THY1, ITGA3, FBN1, MYH9, VCL, ACTB |
200 |
HALLMARK_MYOGENESIS | 1.08e-03 | 7.12 | 2.18 | 1.80e-02 | 5.40e-02 | 5COL3A1, CDKN1A, HBEGF, MYH9, MYLK |
200 |
HALLMARK_UV_RESPONSE_DN | 2.44e-03 | 7.76 | 2.00 | 3.05e-02 | 1.22e-01 | 4COL3A1, ATP2B4, LTBP1, SERPINE1 |
144 |
HALLMARK_APOPTOSIS | 3.63e-03 | 6.92 | 1.79 | 3.63e-02 | 1.82e-01 | 4IGFBP6, CDKN1A, F2R, KRT18 |
161 |
HALLMARK_HEDGEHOG_SIGNALING | 8.94e-03 | 15.30 | 1.73 | 4.06e-02 | 4.47e-01 | 2THY1, MYH9 |
36 |
HALLMARK_ANGIOGENESIS | 8.94e-03 | 15.30 | 1.73 | 4.06e-02 | 4.47e-01 | 2COL3A1, FSTL1 |
36 |
HALLMARK_HYPOXIA | 7.71e-03 | 5.55 | 1.44 | 4.06e-02 | 3.85e-01 | 4UGP2, CDKN1A, MYH9, SERPINE1 |
200 |
HALLMARK_ESTROGEN_RESPONSE_LATE | 7.71e-03 | 5.55 | 1.44 | 4.06e-02 | 3.85e-01 | 4PRSS23, PAPSS2, ATP2B4, PLAC1 |
200 |
HALLMARK_INFLAMMATORY_RESPONSE | 7.71e-03 | 5.55 | 1.44 | 4.06e-02 | 3.85e-01 | 4CDKN1A, DCBLD2, HBEGF, SERPINE1 |
200 |
HALLMARK_P53_PATHWAY | 7.71e-03 | 5.55 | 1.44 | 4.06e-02 | 3.85e-01 | 4CDKN1A, F2R, HBEGF, S100A10 |
200 |
HALLMARK_APICAL_SURFACE | 1.31e-02 | 12.39 | 1.41 | 5.48e-02 | 6.57e-01 | 2THY1, DCBLD2 |
44 |
HALLMARK_COAGULATION | 1.70e-02 | 5.91 | 1.16 | 6.54e-02 | 8.50e-01 | 3PRSS23, FBN1, SERPINE1 |
138 |
HALLMARK_TNFA_SIGNALING_VIA_NFKB | 4.35e-02 | 4.05 | 0.80 | 1.45e-01 | 1.00e+00 | 3CDKN1A, HBEGF, SERPINE1 |
200 |
HALLMARK_ESTROGEN_RESPONSE_EARLY | 4.35e-02 | 4.05 | 0.80 | 1.45e-01 | 1.00e+00 | 3PRSS23, PAPSS2, KRT18 |
200 |
HALLMARK_MITOTIC_SPINDLE | 1.83e-01 | 2.64 | 0.31 | 4.61e-01 | 1.00e+00 | 2MYH9, VCL |
199 |
HALLMARK_MTORC1_SIGNALING | 1.85e-01 | 2.63 | 0.31 | 4.61e-01 | 1.00e+00 | 2SYTL2, CDKN1A |
200 |
HALLMARK_XENOBIOTIC_METABOLISM | 1.85e-01 | 2.63 | 0.31 | 4.61e-01 | 1.00e+00 | 2PAPSS2, SERPINE1 |
200 |
HALLMARK_ALLOGRAFT_REJECTION | 1.85e-01 | 2.63 | 0.31 | 4.61e-01 | 1.00e+00 | 2THY1, F2R |
200 |
HALLMARK_KRAS_SIGNALING_UP | 1.85e-01 | 2.63 | 0.31 | 4.61e-01 | 1.00e+00 | 2DCBLD2, HBEGF |
200 |
Dowload full table
KEGG Pathways:
P-value | OR | Lower 95% CI | FDR | FWER | Genes Found | Gene Set Size | |
---|---|---|---|---|---|---|---|
KEGG_REGULATION_OF_ACTIN_CYTOSKELETON | 1.73e-04 | 8.23 | 2.84 | 3.23e-02 | 3.23e-02 | 6ITGA3, F2R, MYH9, VCL, MYLK, ACTB |
213 |
KEGG_FOCAL_ADHESION | 1.06e-03 | 7.16 | 2.19 | 9.82e-02 | 1.96e-01 | 5COL3A1, ITGA3, VCL, MYLK, ACTB |
199 |
KEGG_HYPERTROPHIC_CARDIOMYOPATHY_HCM | 4.29e-03 | 9.97 | 1.94 | 2.50e-01 | 7.98e-01 | 3ITGA3, TPM1, ACTB |
83 |
KEGG_DILATED_CARDIOMYOPATHY | 5.37e-03 | 9.17 | 1.79 | 2.50e-01 | 1.00e+00 | 3ITGA3, TPM1, ACTB |
90 |
KEGG_LEUKOCYTE_TRANSENDOTHELIAL_MIGRATION | 1.07e-02 | 7.06 | 1.39 | 3.99e-01 | 1.00e+00 | 3THY1, VCL, ACTB |
116 |
KEGG_PATHOGENIC_ESCHERICHIA_COLI_INFECTION | 2.07e-02 | 9.64 | 1.11 | 5.37e-01 | 1.00e+00 | 2KRT18, ACTB |
56 |
KEGG_P53_SIGNALING_PATHWAY | 2.97e-02 | 7.89 | 0.91 | 5.37e-01 | 1.00e+00 | 2CDKN1A, SERPINE1 |
68 |
KEGG_CALCIUM_SIGNALING_PATHWAY | 3.26e-02 | 4.56 | 0.90 | 5.37e-01 | 1.00e+00 | 3ATP2B4, F2R, MYLK |
178 |
KEGG_COMPLEMENT_AND_COAGULATION_CASCADES | 3.05e-02 | 7.77 | 0.90 | 5.37e-01 | 1.00e+00 | 2F2R, SERPINE1 |
69 |
KEGG_VIRAL_MYOCARDITIS | 3.13e-02 | 7.66 | 0.88 | 5.37e-01 | 1.00e+00 | 2MYH9, ACTB |
70 |
KEGG_ADHERENS_JUNCTION | 3.38e-02 | 7.33 | 0.85 | 5.37e-01 | 1.00e+00 | 2VCL, ACTB |
73 |
KEGG_ARRHYTHMOGENIC_RIGHT_VENTRICULAR_CARDIOMYOPATHY_ARVC | 3.47e-02 | 7.23 | 0.84 | 5.37e-01 | 1.00e+00 | 2ITGA3, ACTB |
74 |
KEGG_ECM_RECEPTOR_INTERACTION | 4.36e-02 | 6.35 | 0.74 | 5.75e-01 | 1.00e+00 | 2COL3A1, ITGA3 |
84 |
KEGG_ERBB_SIGNALING_PATHWAY | 4.64e-02 | 6.13 | 0.71 | 5.75e-01 | 1.00e+00 | 2CDKN1A, HBEGF |
87 |
KEGG_HEMATOPOIETIC_CELL_LINEAGE | 4.64e-02 | 6.13 | 0.71 | 5.75e-01 | 1.00e+00 | 2MME, ITGA3 |
87 |
KEGG_SULFUR_METABOLISM | 5.05e-02 | 21.22 | 0.49 | 5.88e-01 | 1.00e+00 | 1PAPSS2 |
13 |
KEGG_AXON_GUIDANCE | 9.18e-02 | 4.10 | 0.48 | 8.72e-01 | 1.00e+00 | 2SEMA3D, SEMA3C |
129 |
KEGG_TIGHT_JUNCTION | 9.54e-02 | 4.01 | 0.47 | 8.72e-01 | 1.00e+00 | 2MYH9, ACTB |
132 |
KEGG_RENIN_ANGIOTENSIN_SYSTEM | 6.56e-02 | 15.93 | 0.37 | 7.17e-01 | 1.00e+00 | 1MME |
17 |
KEGG_GALACTOSE_METABOLISM | 9.85e-02 | 10.19 | 0.24 | 8.72e-01 | 1.00e+00 | 1UGP2 |
26 |
Dowload full table
CHR Positional Gene Sets:
P-value | OR | Lower 95% CI | FDR | FWER | Genes Found | Gene Set Size | |
---|---|---|---|---|---|---|---|
chr3q12 | 1.43e-02 | 11.83 | 1.35 | 1.00e+00 | 1.00e+00 | 2FILIP1L, DCBLD2 |
46 |
chr7q32 | 4.93e-02 | 5.92 | 0.69 | 1.00e+00 | 1.00e+00 | 2UBE2H, CPA4 |
90 |
chr2p22 | 5.73e-02 | 5.42 | 0.63 | 1.00e+00 | 1.00e+00 | 2CRIM1, LTBP1 |
98 |
chr3q21 | 1.03e-01 | 3.83 | 0.45 | 1.00e+00 | 1.00e+00 | 2HEG1, MYLK |
138 |
chr11q14 | 1.06e-01 | 3.75 | 0.44 | 1.00e+00 | 1.00e+00 | 2PRSS23, SYTL2 |
141 |
chr7q21 | 1.36e-01 | 3.21 | 0.38 | 1.00e+00 | 1.00e+00 | 2SEMA3D, SEMA3C |
164 |
chr11q23 | 1.92e-01 | 2.57 | 0.30 | 1.00e+00 | 1.00e+00 | 2LAYN, THY1 |
205 |
chr7q22 | 2.03e-01 | 2.47 | 0.29 | 1.00e+00 | 1.00e+00 | 2LRRC17, SERPINE1 |
213 |
chr12q13 | 6.71e-01 | 1.29 | 0.15 | 1.00e+00 | 1.00e+00 | 2IGFBP6, KRT18 |
407 |
chr2p15 | 1.57e-01 | 6.07 | 0.15 | 1.00e+00 | 1.00e+00 | 1UGP2 |
43 |
chr4q26 | 1.90e-01 | 4.91 | 0.12 | 1.00e+00 | 1.00e+00 | 1ARSJ |
53 |
chr14q31 | 2.00e-01 | 4.64 | 0.11 | 1.00e+00 | 1.00e+00 | 1DIO2 |
56 |
chr2q22 | 2.37e-01 | 3.81 | 0.09 | 1.00e+00 | 1.00e+00 | 1HNMT |
68 |
chrXq23 | 2.98e-01 | 2.90 | 0.07 | 1.00e+00 | 1.00e+00 | 1PLS3 |
89 |
chr7p15 | 3.17e-01 | 2.68 | 0.07 | 1.00e+00 | 1.00e+00 | 1TAX1BP1 |
96 |
chr12p12 | 3.46e-01 | 2.41 | 0.06 | 1.00e+00 | 1.00e+00 | 1ARHGDIB |
107 |
chr2q32 | 3.49e-01 | 2.38 | 0.06 | 1.00e+00 | 1.00e+00 | 1COL3A1 |
108 |
chr7p22 | 3.82e-01 | 2.13 | 0.05 | 1.00e+00 | 1.00e+00 | 1ACTB |
121 |
chr15q22 | 3.89e-01 | 2.07 | 0.05 | 1.00e+00 | 1.00e+00 | 1TPM1 |
124 |
chr5q13 | 4.31e-01 | 1.81 | 0.04 | 1.00e+00 | 1.00e+00 | 1F2R |
142 |
Dowload full table
Transcription Factor Targets:
P-value | OR | Lower 95% CI | FDR | FWER | Genes Found | Gene Set Size | |
---|---|---|---|---|---|---|---|
IK2_01 | 6.38e-04 | 6.38 | 2.20 | 2.78e-01 | 7.23e-01 | 6AHNAK, RDH10, SYTL2, IGFBP6, LTBP1, ACTB |
273 |
ATXN7L3_TARGET_GENES | 7.40e-04 | 6.20 | 2.14 | 2.78e-01 | 8.39e-01 | 6ITGA3, ANXA3, KRT18, SEMA3C, S100A10, ACTB |
281 |
GTGGGTGK_UNKNOWN | 9.81e-04 | 5.86 | 2.02 | 2.78e-01 | 1.00e+00 | 6ATP2B4, IGFBP6, TPM1, HBEGF, FSTL1, SERPINE1 |
297 |
WGGAATGY_TEF1_Q6 | 6.69e-04 | 5.36 | 2.02 | 2.78e-01 | 7.58e-01 | 7PLS3, SYTL2, ITGA3, IGFBP6, TPM1, FSTL1, VCL |
387 |
TGGNNNNNNKCCAR_UNKNOWN | 1.31e-03 | 4.74 | 1.79 | 2.98e-01 | 1.00e+00 | 7DIO2, LRRC17, ANXA3, UBE2H, HBEGF, SEMA3C, VCL |
436 |
FOXM1_01 | 2.73e-03 | 5.72 | 1.76 | 4.33e-01 | 1.00e+00 | 5COL3A1, DIO2, CRIM1, ARHGDIB, FSTL1 |
248 |
SMAD_Q6 | 3.23e-03 | 5.49 | 1.69 | 4.33e-01 | 1.00e+00 | 5CRIM1, ATP2B4, RDH10, ARHGDIB, LTBP1 |
258 |
CATTGTYY_SOX9_B1 | 2.83e-03 | 4.71 | 1.63 | 4.33e-01 | 1.00e+00 | 6MFAP5, RDH10, SYTL2, CDKN1A, VCL, MYLK |
368 |
IK1_01 | 4.68e-03 | 5.01 | 1.54 | 5.03e-01 | 1.00e+00 | 5AHNAK, ATP2B4, RDH10, UBE2H, LTBP1 |
282 |
TATA_C | 4.88e-03 | 4.96 | 1.53 | 5.03e-01 | 1.00e+00 | 5DIO2, LTBP1, S100A10, MYLK, ACTB |
285 |
HFH4_01 | 8.38e-03 | 5.41 | 1.40 | 6.56e-01 | 1.00e+00 | 4CRIM1, ITGA3, UBE2H, FSTL1 |
205 |
FOX_Q2 | 9.54e-03 | 5.20 | 1.35 | 6.56e-01 | 1.00e+00 | 4CRIM1, ITGA3, CDKN1A, FSTL1 |
213 |
SRF_C | 9.84e-03 | 5.15 | 1.33 | 6.56e-01 | 1.00e+00 | 4LTBP1, VCL, MYLK, ACTB |
215 |
TGTTTGY_HNF3_Q6 | 6.35e-03 | 3.22 | 1.30 | 5.99e-01 | 1.00e+00 | 8AHNAK, LRRC17, ITGA3, UBE2H, LTBP1, FSTL1, SEMA3C, MYLK |
748 |
SRF_Q5_01 | 1.15e-02 | 4.92 | 1.27 | 6.62e-01 | 1.00e+00 | 4UBE2H, VCL, MYLK, ACTB |
225 |
SRF_Q4 | 1.23e-02 | 4.81 | 1.25 | 6.62e-01 | 1.00e+00 | 4TPM1, VCL, MYLK, ACTB |
230 |
CAGCTG_AP4_Q5 | 9.36e-03 | 2.60 | 1.24 | 6.56e-01 | 1.00e+00 | 12LAYN, RDH10, PLS3, SYTL2, PLAC1, ITGA3, IGFBP6, UBE2H, LTBP1, SERPINE1, MYLK, ACTB |
1530 |
SRF_01 | 1.74e-02 | 10.62 | 1.22 | 6.62e-01 | 1.00e+00 | 2TPM1, VCL |
51 |
SIX1_TARGET_GENES | 1.47e-02 | 3.74 | 1.15 | 6.62e-01 | 1.00e+00 | 5LRRC17, SYTL2, TPM1, SEMA3C, MYH9 |
376 |
NERF_Q2 | 1.71e-02 | 4.35 | 1.13 | 6.62e-01 | 1.00e+00 | 4LAYN, ARHGDIB, HBEGF, VCL |
254 |
Dowload full table
GO Biological Processes:
P-value | OR | Lower 95% CI | FDR | FWER | Genes Found | Gene Set Size | |
---|---|---|---|---|---|---|---|
GOBP_PROTEIN_LOCALIZATION_TO_ADHERENS_JUNCTION | 2.31e-04 | 129.66 | 11.45 | 1.02e-01 | 1.00e+00 | 2VCL, ACTB |
6 |
GOBP_REPLICATIVE_SENESCENCE | 3.88e-05 | 56.82 | 10.14 | 2.64e-02 | 2.90e-01 | 3MME, CDKN1A, SERPINE1 |
17 |
GOBP_MAINTENANCE_OF_PROTEIN_LOCATION_IN_EXTRACELLULAR_REGION | 3.22e-04 | 103.49 | 9.64 | 1.21e-01 | 1.00e+00 | 2FBN1, LTBP1 |
7 |
GOBP_CELLULAR_RESPONSE_TO_UV_B | 4.28e-04 | 86.37 | 8.33 | 1.34e-01 | 1.00e+00 | 2MME, CDKN1A |
8 |
GOBP_SEQUESTERING_OF_EXTRACELLULAR_LIGAND_FROM_RECEPTOR | 6.85e-04 | 64.86 | 6.55 | 1.83e-01 | 1.00e+00 | 2FBN1, LTBP1 |
10 |
GOBP_ADHERENS_JUNCTION_ASSEMBLY | 9.99e-04 | 51.89 | 5.39 | 2.20e-01 | 1.00e+00 | 2VCL, ACTB |
12 |
GOBP_EXTRACELLULAR_REGULATION_OF_SIGNAL_TRANSDUCTION | 9.99e-04 | 51.89 | 5.39 | 2.20e-01 | 1.00e+00 | 2FBN1, LTBP1 |
12 |
GOBP_REGULATION_OF_RHO_PROTEIN_SIGNAL_TRANSDUCTION | 1.93e-05 | 17.57 | 5.30 | 2.06e-02 | 1.44e-01 | 5COL3A1, ARHGDIB, ITGA3, F2R, HEG1 |
84 |
GOBP_POSITIVE_REGULATION_OF_WOUND_HEALING | 8.48e-05 | 19.75 | 4.99 | 5.29e-02 | 6.35e-01 | 4F2R, HBEGF, SERPINE1, MYLK |
59 |
GOBP_VENOUS_BLOOD_VESSEL_DEVELOPMENT | 1.18e-03 | 47.19 | 4.96 | 2.45e-01 | 1.00e+00 | 2HEG1, SEMA3C |
13 |
GOBP_REGULATION_OF_BMP_SIGNALING_PATHWAY | 2.84e-05 | 16.14 | 4.88 | 2.36e-02 | 2.13e-01 | 5CRIM1, ITGA3, FBN1, FSTL1, BMPER |
91 |
GOBP_POSITIVE_REGULATION_OF_RESPONSE_TO_WOUNDING | 1.84e-04 | 15.97 | 4.06 | 8.60e-02 | 1.00e+00 | 4F2R, HBEGF, SERPINE1, MYLK |
72 |
GOBP_RESPONSE_TO_UV_B | 1.80e-03 | 37.11 | 3.99 | 3.06e-01 | 1.00e+00 | 2MME, CDKN1A |
16 |
GOBP_REGULATION_OF_SYSTEMIC_ARTERIAL_BLOOD_PRESSURE_MEDIATED_BY_A_CHEMICAL_SIGNAL | 7.92e-04 | 18.54 | 3.56 | 1.99e-01 | 1.00e+00 | 3MME, TPM1, F2R |
46 |
GOBP_REGULATION_OF_SYSTEMIC_ARTERIAL_BLOOD_PRESSURE_BY_CIRCULATORY_RENIN_ANGIOTENSIN | 2.28e-03 | 32.49 | 3.53 | 3.42e-01 | 1.00e+00 | 2MME, F2R |
18 |
GOBP_RHO_PROTEIN_SIGNAL_TRANSDUCTION | 1.77e-04 | 10.76 | 3.28 | 8.60e-02 | 1.00e+00 | 5COL3A1, ARHGDIB, ITGA3, F2R, HEG1 |
134 |
GOBP_NEGATIVE_REGULATION_OF_BMP_SIGNALING_PATHWAY | 1.07e-03 | 16.60 | 3.20 | 2.29e-01 | 1.00e+00 | 3CRIM1, FBN1, BMPER |
51 |
GOBP_NEGATIVE_REGULATION_OF_LOCOMOTION | 1.21e-05 | 7.46 | 3.16 | 1.77e-02 | 9.03e-02 | 9COL3A1, THY1, ATP2B4, ARHGDIB, SEMA3D, TPM1, SEMA3C, VCL, SERPINE1 |
377 |
GOBP_WOUND_HEALING | 4.22e-06 | 6.73 | 3.09 | 1.36e-02 | 3.16e-02 | 11COL3A1, CDKN1A, TPM1, F2R, DCBLD2, HBEGF, MYH9, VCL, SERPINE1, MYLK, ACTB |
535 |
GOBP_NEGATIVE_REGULATION_OF_RHO_PROTEIN_SIGNAL_TRANSDUCTION | 3.10e-03 | 27.37 | 3.01 | 4.00e-01 | 1.00e+00 | 2ITGA3, HEG1 |
21 |
Dowload full table
Immunological Gene Sets:
P-value | OR | Lower 95% CI | FDR | FWER | Genes Found | Gene Set Size | |
---|---|---|---|---|---|---|---|
GSE21546_UNSTIM_VS_ANTI_CD3_STIM_SAP1A_KO_DP_THYMOCYTES_UP | 6.34e-08 | 14.52 | 6.11 | 1.61e-04 | 3.09e-04 | 9PRSS23, ATP2B4, ARHGDIB, FILIP1L, ANXA3, KRT18, FSTL1, MYH9, SERPINE1 |
198 |
GSE21546_UNSTIM_VS_ANTI_CD3_STIM_DP_THYMOCYTES_UP | 6.62e-08 | 14.44 | 6.08 | 1.61e-04 | 3.22e-04 | 9ATP2B4, RDH10, NPC2, CPA4, HBEGF, KRT18, LTBP1, FSTL1, SERPINE1 |
199 |
GSE15930_STIM_VS_STIM_AND_TRICHOSTATINA_48H_CD8_T_CELL_UP | 1.19e-05 | 10.54 | 3.95 | 1.45e-02 | 5.79e-02 | 7AHNAK, THY1, PLS3, ARHGDIB, UBE2H, S100A10, TAX1BP1 |
200 |
GSE4748_CTRL_VS_LPS_STIM_DC_3H_UP | 1.19e-05 | 10.54 | 3.95 | 1.45e-02 | 5.79e-02 | 7PRSS23, COL3A1, AHNAK, FBN1, HBEGF, FSTL1, SERPINE1 |
200 |
GSE9006_HEALTHY_VS_TYPE_1_DIABETES_PBMC_AT_DX_UP | 1.17e-04 | 8.88 | 3.05 | 7.53e-02 | 5.71e-01 | 6UGP2, TPM1, S100A10, VCL, TAX1BP1, MYLK |
198 |
GSE21546_WT_VS_SAP1A_KO_AND_ELK1_KO_ANTI_CD3_STIM_DP_THYMOCYTES_UP | 1.20e-04 | 8.83 | 3.04 | 7.53e-02 | 5.86e-01 | 6IGFBP6, KRT18, LTBP1, FSTL1, MYH9, VCL |
199 |
GSE22432_MULTIPOTENT_VS_COMMON_DC_PROGENITOR_DN | 1.24e-04 | 8.78 | 3.02 | 7.53e-02 | 6.03e-01 | 6PRSS23, DCBLD2, NPC2, BMPER, TAX1BP1, LRP10 |
200 |
GSE36078_UNTREATED_VS_AD5_INF_MOUSE_LUNG_DC_DN | 1.24e-04 | 8.78 | 3.02 | 7.53e-02 | 6.03e-01 | 6THY1, PLS3, SYTL2, CDKN1A, DCBLD2, VCL |
200 |
GSE37301_MULTIPOTENT_PROGENITOR_VS_LYMPHOID_PRIMED_MPP_DN | 6.94e-04 | 7.89 | 2.42 | 1.70e-01 | 1.00e+00 | 5AHNAK, SYTL2, CDKN1A, KRT18, VCL |
181 |
GSE6259_CD4_TCELL_VS_CD8_TCELL_UP | 8.02e-04 | 7.63 | 2.34 | 1.70e-01 | 1.00e+00 | 5LAYN, ATP2B4, IGFBP6, DCBLD2, FSTL1 |
187 |
GSE22886_NAIVE_CD8_TCELL_VS_NKCELL_DN | 1.01e-03 | 7.23 | 2.22 | 1.70e-01 | 1.00e+00 | 5LRRC17, CRIM1, ATP2B4, HEG1, ARSJ |
197 |
GSE24634_TREG_VS_TCONV_POST_DAY7_IL4_CONVERSION_DN | 1.03e-03 | 7.19 | 2.20 | 1.70e-01 | 1.00e+00 | 5IGFBP6, CDKN1A, HNMT, SEMA3C, SERPINE1 |
198 |
GSE24671_CTRL_VS_SENDAI_VIRUS_INFECTED_MOUSE_SPLENOCYTES_DN | 1.03e-03 | 7.19 | 2.20 | 1.70e-01 | 1.00e+00 | 5AHNAK, THY1, ARHGDIB, FILIP1L, F2R |
198 |
GSE360_CTRL_VS_T_GONDII_DC_UP | 1.06e-03 | 7.16 | 2.19 | 1.70e-01 | 1.00e+00 | 5TPM1, HNMT, MYH9, VCL, TAX1BP1 |
199 |
GSE3982_DC_VS_MAC_LPS_STIM_DN | 1.06e-03 | 7.16 | 2.19 | 1.70e-01 | 1.00e+00 | 5MFAP5, PAPSS2, PLS3, SYTL2, UBE2H |
199 |
GSE9006_TYPE_1_VS_TYPE_2_DIABETES_PBMC_AT_DX_DN | 1.06e-03 | 7.16 | 2.19 | 1.70e-01 | 1.00e+00 | 5PAPSS2, UGP2, ATP2B4, VCL, TAX1BP1 |
199 |
GSE9650_NAIVE_VS_EFF_CD8_TCELL_DN | 1.06e-03 | 7.16 | 2.19 | 1.70e-01 | 1.00e+00 | 5AHNAK, ARHGDIB, S100A10, LRP10, ACTB |
199 |
GSE5542_UNTREATED_VS_IFNA_TREATED_EPITHELIAL_CELLS_6H_UP | 1.06e-03 | 7.16 | 2.19 | 1.70e-01 | 1.00e+00 | 5AHNAK, CRIM1, ATP2B4, RDH10, F2R |
199 |
GSE8621_UNSTIM_VS_LPS_PRIMED_AND_LPS_STIM_MACROPHAGE_UP | 1.06e-03 | 7.16 | 2.19 | 1.70e-01 | 1.00e+00 | 5DIO2, CRIM1, THY1, KRT18, HNMT |
199 |
GSE26488_WT_VS_HDAC7_DELTAP_TG_OT2_THYMOCYTE_WITH_PEPTIDE_INJECTION_DN | 1.06e-03 | 7.16 | 2.19 | 1.70e-01 | 1.00e+00 | 5PRSS23, AHNAK, ANXA3, FSTL1, S100A10 |
199 |
Top Ranked Transcription Factors for this Gene Expression Program:
Gene Symbol | TF Rank | DNA Binding Domain | Motif Status | IUPAC PWM | GTEx | DepMap | Decartes |
---|---|---|---|---|---|---|---|
ANXA3 | 24 | No | Unlikely to be sequence specific TF | Not a DNA binding protein | No motif | None | Protein operates far upstream on the signaling cascade. |
CDKN1A | 26 | No | Unlikely to be sequence specific TF | Not a DNA binding protein | No motif | None | None |
FBN1 | 33 | No | Unlikely to be sequence specific TF | Not a DNA binding protein | No motif | None | None |
TAX1BP1 | 47 | No | Unlikely to be sequence specific TF | Not a DNA binding protein | No motif | None | None |
LARP6 | 62 | No | ssDNA/RNA binding | Not a DNA binding protein | No motif | None | Classic RNA binding protein |
ARID5B | 65 | Yes | Known motif | Monomer or homomultimer | 100 perc ID - in vitro | Has a putative AT-hook | None |
FLNA | 127 | No | Unlikely to be sequence specific TF | Not a DNA binding protein | No motif | None | Go annotation is based on (PMID: 15684392), which shows that it binds FOXC1 and PBX1 but doesnt show evidence for binding to DNA |
SP100 | 129 | Yes | Likely to be sequence specific TF | Monomer or homomultimer | No motif | None | Gel-shift experiments using human SP100 have shown binding to specific TTCG half sites (PMID: 11427895). |
ID2 | 149 | No | Unlikely to be sequence specific TF | Not a DNA binding protein | No motif | None | ID bHLH proteins lack the basic region and should not be able to bind DNA. The HT-SELEX motif for ID4 is likely by a co-precipitated protein or it is a contamination |
LPP | 151 | No | Unlikely to be sequence specific TF | Not a DNA binding protein | No motif | None | znfLIM is probably not a DNA binding domain (PMID: 8506279). The protein has been reported to be coactivator for ETV4 (PMID: 16738319). |
MBNL2 | 154 | Yes | Likely to be sequence specific TF | Monomer or homomultimer | High-throughput in vitro | None | Has methylated and unmethylated HT-SELEX motifs, despite this family largely binding RNA exclusively (PMID: 28473536 ) |
CLU | 166 | No | Unlikely to be sequence specific TF | Not a DNA binding protein | No motif | None | Included only because GO says positive regulation of NF-kappaB transcription factor activity, but there is no DBD and no evidence of DNA binding. |
ZFHX4 | 210 | Yes | Inferred motif | Monomer or homomultimer | In vivo/Misc source | None | Curious protein with numerous C2H2 and homeodomain-like domains. |
SMARCD3 | 215 | No | Unlikely to be sequence specific TF | Low specificity DNA-binding protein | No motif | None | Chromatin remodelling complex component |
BNC2 | 217 | Yes | Inferred motif | Monomer or homomultimer | In vivo/Misc source | Has a putative AT-hook | None |
PRAP1 | 229 | No | Unlikely to be sequence specific TF | Not a DNA binding protein | No motif | None | None |
ZMAT3 | 247 | No | ssDNA/RNA binding | Not a DNA binding protein | No motif | None | Protein binds RNA (PMID: 19805223 and PMID: 16844115). |
TRIM5 | 256 | No | Unlikely to be sequence specific TF | Not a DNA binding protein | No motif | None | No DBD and no evidence for DNA binding. Included as a candidate only because GO says its a regulator. |
KLF6 | 257 | Yes | Known motif | Monomer or homomultimer | High-throughput in vitro | None | None |
KLF5 | 272 | Yes | Known motif | Monomer or homomultimer | High-throughput in vitro | None | Binds as a monomer and as a dimer (PMID: 25575120). |
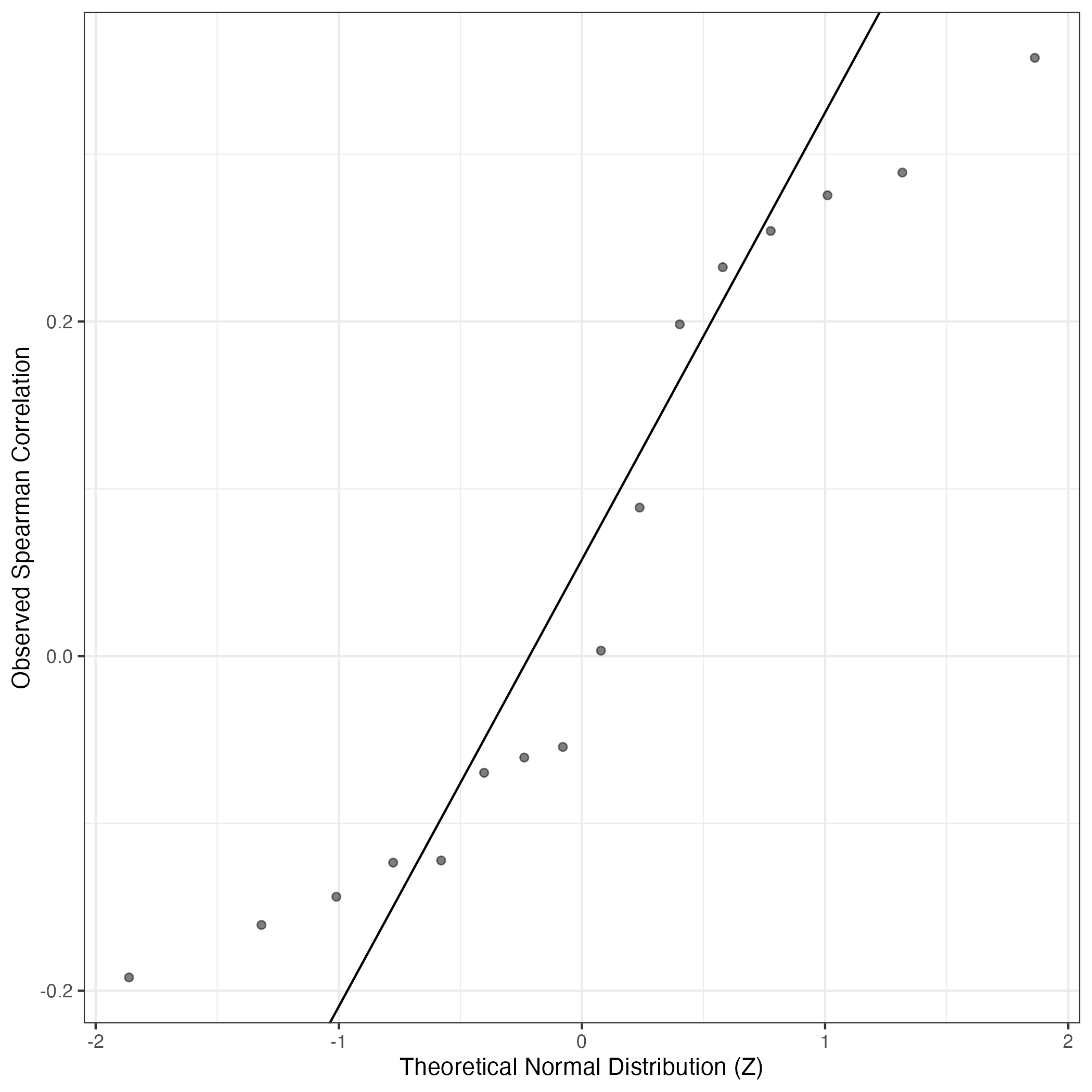
QQ Plot showing correlations with other Gene Expression Programs in this dataset, calculated by Spearman correlation:
Interactive QQ-plot of gene loadings:
A similar QQ-plot as above, but only for instances where the H value is e.g. > 25, i.e. we are confident that the expression program is active above noise. Agreemenet between these binary vectors is tested using the Jaccard Index, with the P-values calculated by an exact test:
Interactive QQ-plot:
Singler cell type annotations for the top 50 cells on this program.
Cell ID | Singler label | Singler Delta | Activity Score | Top Singler Raw Scores |
---|---|---|---|---|
SKNSH_GACGTTATCATTTGCT-1 | Smooth_muscle_cells | 0.22 | 1037.12 | Raw ScoresSmooth_muscle_cells:vascular: 0.51, Smooth_muscle_cells:vascular:IL-17: 0.51, Fibroblasts:breast: 0.51, iPS_cells:foreskin_fibrobasts: 0.51, iPS_cells:CRL2097_foreskin: 0.51, MSC: 0.51, iPS_cells:skin_fibroblast: 0.5, Smooth_muscle_cells:umbilical_vein: 0.5, Tissue_stem_cells:BM_MSC: 0.5, Fibroblasts:foreskin: 0.49 |
SKNSH_GGTGTCGCAGCACACC-1 | Neurons | 0.18 | 793.35 | Raw ScoresNeurons:adrenal_medulla_cell_line: 0.51, MSC: 0.5, iPS_cells:foreskin_fibrobasts: 0.5, iPS_cells:CRL2097_foreskin: 0.5, iPS_cells:skin_fibroblast: 0.5, Smooth_muscle_cells:vascular:IL-17: 0.5, Smooth_muscle_cells:vascular: 0.5, Fibroblasts:breast: 0.49, Smooth_muscle_cells:umbilical_vein: 0.49, Smooth_muscle_cells:bronchial: 0.49 |
SKNSH_ACCAAACTCCAGCTCT-1 | Neurons | 0.20 | 648.88 | Raw ScoresiPS_cells:CRL2097_foreskin: 0.51, Neurons:adrenal_medulla_cell_line: 0.5, MSC: 0.5, iPS_cells:foreskin_fibrobasts: 0.5, Fibroblasts:breast: 0.5, iPS_cells:skin_fibroblast: 0.5, Smooth_muscle_cells:vascular:IL-17: 0.49, Smooth_muscle_cells:vascular: 0.49, Smooth_muscle_cells:bronchial: 0.49, iPS_cells:adipose_stem_cells: 0.49 |
SKNSH_AGGCATTAGTGATCGG-1 | Smooth_muscle_cells | 0.18 | 522.62 | Raw ScoresiPS_cells:foreskin_fibrobasts: 0.48, iPS_cells:CRL2097_foreskin: 0.48, MSC: 0.48, Fibroblasts:breast: 0.48, iPS_cells:skin_fibroblast: 0.48, Smooth_muscle_cells:vascular: 0.47, Smooth_muscle_cells:vascular:IL-17: 0.47, Fibroblasts:foreskin: 0.47, Smooth_muscle_cells:umbilical_vein: 0.47, Tissue_stem_cells:BM_MSC: 0.46 |
SKNSH_CCTATCGTCACGAACT-1 | Neurons | 0.18 | 517.71 | Raw ScoresMSC: 0.53, iPS_cells:CRL2097_foreskin: 0.52, iPS_cells:foreskin_fibrobasts: 0.52, iPS_cells:skin_fibroblast: 0.52, Fibroblasts:breast: 0.51, Neurons:adrenal_medulla_cell_line: 0.51, Fibroblasts:foreskin: 0.51, Smooth_muscle_cells:umbilical_vein: 0.51, Tissue_stem_cells:dental_pulp: 0.51, Smooth_muscle_cells:vascular: 0.51 |
SKNSH_CCGGACACAAACCACT-1 | Neurons | 0.16 | 438.87 | Raw ScoresMSC: 0.54, iPS_cells:skin_fibroblast: 0.53, Fibroblasts:foreskin: 0.53, iPS_cells:foreskin_fibrobasts: 0.53, iPS_cells:CRL2097_foreskin: 0.52, Smooth_muscle_cells:umbilical_vein: 0.52, Smooth_muscle_cells:vascular: 0.51, Tissue_stem_cells:lipoma-derived_MSC: 0.51, Tissue_stem_cells:dental_pulp: 0.51, Neurons:Schwann_cell: 0.51 |
SKNSH_ATAGACCAGCATTTGC-1 | Smooth_muscle_cells | 0.17 | 431.14 | Raw ScoresMSC: 0.46, Smooth_muscle_cells:vascular: 0.45, Smooth_muscle_cells:vascular:IL-17: 0.45, iPS_cells:CRL2097_foreskin: 0.45, Fibroblasts:breast: 0.45, iPS_cells:foreskin_fibrobasts: 0.45, iPS_cells:skin_fibroblast: 0.45, Neurons:adrenal_medulla_cell_line: 0.45, Fibroblasts:foreskin: 0.44, Smooth_muscle_cells:umbilical_vein: 0.44 |
SKNSH_CGGGTGTCACCTGAAT-1 | Neurons | 0.17 | 400.52 | Raw ScoresMSC: 0.47, Fibroblasts:foreskin: 0.45, iPS_cells:foreskin_fibrobasts: 0.45, iPS_cells:CRL2097_foreskin: 0.45, iPS_cells:skin_fibroblast: 0.45, Smooth_muscle_cells:vascular: 0.45, Smooth_muscle_cells:umbilical_vein: 0.45, Neurons:Schwann_cell: 0.44, Neurons:adrenal_medulla_cell_line: 0.44, Tissue_stem_cells:dental_pulp: 0.43 |
SKNSH_CTTCGGTAGTATGAAC-1 | MSC | 0.22 | 389.12 | Raw ScoresMSC: 0.53, Fibroblasts:foreskin: 0.49, iPS_cells:skin_fibroblast: 0.49, Smooth_muscle_cells:umbilical_vein: 0.49, iPS_cells:CRL2097_foreskin: 0.49, Tissue_stem_cells:lipoma-derived_MSC: 0.49, iPS_cells:foreskin_fibrobasts: 0.48, Neurons:adrenal_medulla_cell_line: 0.48, Smooth_muscle_cells:vascular: 0.48, Tissue_stem_cells:adipose-derived_MSC_AM3: 0.48 |
SKNSH_ATTCCTACAAAGCTCT-1 | MSC | 0.21 | 388.75 | Raw ScoresMSC: 0.53, iPS_cells:foreskin_fibrobasts: 0.52, iPS_cells:skin_fibroblast: 0.52, Smooth_muscle_cells:umbilical_vein: 0.52, iPS_cells:CRL2097_foreskin: 0.52, Smooth_muscle_cells:vascular: 0.52, Smooth_muscle_cells:vascular:IL-17: 0.52, Fibroblasts:breast: 0.51, Fibroblasts:foreskin: 0.51, Tissue_stem_cells:dental_pulp: 0.51 |
SKNSH_CATTGTTAGTGATTCC-1 | MSC | 0.20 | 387.62 | Raw ScoresMSC: 0.56, Smooth_muscle_cells:umbilical_vein: 0.53, iPS_cells:skin_fibroblast: 0.53, Fibroblasts:foreskin: 0.53, Tissue_stem_cells:lipoma-derived_MSC: 0.53, iPS_cells:foreskin_fibrobasts: 0.53, Tissue_stem_cells:adipose-derived_MSC_AM3: 0.53, Neurons:adrenal_medulla_cell_line: 0.52, Tissue_stem_cells:dental_pulp: 0.52, iPS_cells:CRL2097_foreskin: 0.52 |
SKNSH_GACACGCAGTCGAAGC-1 | MSC | 0.21 | 385.98 | Raw ScoresMSC: 0.56, Smooth_muscle_cells:umbilical_vein: 0.54, Fibroblasts:foreskin: 0.53, iPS_cells:skin_fibroblast: 0.53, Tissue_stem_cells:lipoma-derived_MSC: 0.53, iPS_cells:foreskin_fibrobasts: 0.53, Tissue_stem_cells:adipose-derived_MSC_AM3: 0.53, Smooth_muscle_cells:vascular: 0.52, Neurons:adrenal_medulla_cell_line: 0.52, Tissue_stem_cells:dental_pulp: 0.52 |
SKNSH_TCACGCTGTGACGCCT-1 | Neurons | 0.19 | 361.62 | Raw ScoresNeurons:adrenal_medulla_cell_line: 0.48, iPS_cells:CRL2097_foreskin: 0.45, MSC: 0.44, Fibroblasts:breast: 0.44, iPS_cells:foreskin_fibrobasts: 0.44, iPS_cells:skin_fibroblast: 0.43, Fibroblasts:foreskin: 0.43, Smooth_muscle_cells:vascular: 0.43, Neuroepithelial_cell:ESC-derived: 0.43, iPS_cells:adipose_stem_cells: 0.43 |
SKNSH_CTACAGAGTTGAGGAC-1 | Neurons | 0.15 | 358.80 | Raw ScoresMSC: 0.45, iPS_cells:foreskin_fibrobasts: 0.45, iPS_cells:skin_fibroblast: 0.45, Fibroblasts:foreskin: 0.44, iPS_cells:CRL2097_foreskin: 0.44, Smooth_muscle_cells:vascular: 0.44, Fibroblasts:breast: 0.44, Smooth_muscle_cells:umbilical_vein: 0.44, Tissue_stem_cells:dental_pulp: 0.44, iPS_cells:adipose_stem_cells: 0.43 |
SKNSH_CTACCCATCTAATTCC-1 | MSC | 0.21 | 350.54 | Raw ScoresMSC: 0.51, iPS_cells:foreskin_fibrobasts: 0.5, iPS_cells:CRL2097_foreskin: 0.5, iPS_cells:skin_fibroblast: 0.5, Fibroblasts:foreskin: 0.49, Smooth_muscle_cells:umbilical_vein: 0.49, Fibroblasts:breast: 0.49, Smooth_muscle_cells:vascular:IL-17: 0.49, Smooth_muscle_cells:vascular: 0.48, Tissue_stem_cells:dental_pulp: 0.48 |
SKNSH_CACACAACAGGAGACT-1 | Smooth_muscle_cells | 0.24 | 341.22 | Raw ScoresiPS_cells:CRL2097_foreskin: 0.54, MSC: 0.54, Smooth_muscle_cells:vascular:IL-17: 0.53, Smooth_muscle_cells:vascular: 0.53, Fibroblasts:breast: 0.53, iPS_cells:foreskin_fibrobasts: 0.53, iPS_cells:skin_fibroblast: 0.53, Smooth_muscle_cells:bronchial: 0.52, Smooth_muscle_cells:bronchial:vit_D: 0.52, Neurons:adrenal_medulla_cell_line: 0.52 |
SKNSH_CACCAAACATTCACAG-1 | Neurons | 0.21 | 332.32 | Raw ScoresNeurons:adrenal_medulla_cell_line: 0.59, MSC: 0.57, Neuroepithelial_cell:ESC-derived: 0.54, Tissue_stem_cells:lipoma-derived_MSC: 0.54, Fibroblasts:foreskin: 0.54, Smooth_muscle_cells:umbilical_vein: 0.54, iPS_cells:skin_fibroblast: 0.54, iPS_cells:foreskin_fibrobasts: 0.53, Neurons:Schwann_cell: 0.53, Tissue_stem_cells:adipose-derived_MSC_AM3: 0.53 |
SKNSH_GTCCCATTCGCTGACG-1 | MSC | 0.18 | 306.85 | Raw ScoresMSC: 0.46, iPS_cells:foreskin_fibrobasts: 0.45, iPS_cells:skin_fibroblast: 0.45, Fibroblasts:foreskin: 0.45, iPS_cells:CRL2097_foreskin: 0.45, Smooth_muscle_cells:umbilical_vein: 0.45, Fibroblasts:breast: 0.45, Smooth_muscle_cells:vascular: 0.45, Tissue_stem_cells:dental_pulp: 0.44, Smooth_muscle_cells:vascular:IL-17: 0.44 |
SKNSH_ATCATTCTCGAGCCAC-1 | Smooth_muscle_cells | 0.19 | 300.71 | Raw ScoresMSC: 0.49, iPS_cells:foreskin_fibrobasts: 0.48, iPS_cells:CRL2097_foreskin: 0.48, iPS_cells:skin_fibroblast: 0.48, Smooth_muscle_cells:vascular: 0.48, Smooth_muscle_cells:umbilical_vein: 0.48, Fibroblasts:breast: 0.48, Smooth_muscle_cells:vascular:IL-17: 0.48, Fibroblasts:foreskin: 0.47, Smooth_muscle_cells:bronchial: 0.47 |
SKNSH_GATTGGTGTTCGTGCG-1 | Neurons | 0.16 | 299.49 | Raw ScoresSmooth_muscle_cells:vascular: 0.45, Smooth_muscle_cells:vascular:IL-17: 0.44, MSC: 0.44, iPS_cells:CRL2097_foreskin: 0.44, Fibroblasts:breast: 0.44, Neurons:adrenal_medulla_cell_line: 0.44, Smooth_muscle_cells:umbilical_vein: 0.43, iPS_cells:skin_fibroblast: 0.43, iPS_cells:foreskin_fibrobasts: 0.43, Smooth_muscle_cells:bronchial: 0.43 |
SKNSH_TCCATGCTCCTCTAGC-1 | Neurons | 0.17 | 296.05 | Raw ScoresNeurons:adrenal_medulla_cell_line: 0.42, MSC: 0.41, Smooth_muscle_cells:bronchial: 0.41, iPS_cells:CRL2097_foreskin: 0.4, iPS_cells:skin_fibroblast: 0.4, Smooth_muscle_cells:bronchial:vit_D: 0.4, iPS_cells:foreskin_fibrobasts: 0.4, Smooth_muscle_cells:vascular: 0.4, Fibroblasts:breast: 0.4, Fibroblasts:foreskin: 0.4 |
SKNSH_TCGATTTCACCTAAAC-1 | MSC | 0.22 | 294.85 | Raw ScoresMSC: 0.58, Neurons:adrenal_medulla_cell_line: 0.56, Tissue_stem_cells:lipoma-derived_MSC: 0.55, Fibroblasts:foreskin: 0.55, iPS_cells:skin_fibroblast: 0.55, Smooth_muscle_cells:umbilical_vein: 0.54, Neuroepithelial_cell:ESC-derived: 0.54, iPS_cells:foreskin_fibrobasts: 0.54, Tissue_stem_cells:adipose-derived_MSC_AM3: 0.54, iPS_cells:CRL2097_foreskin: 0.53 |
SKNSH_AGCTTCCGTCCGTTTC-1 | Smooth_muscle_cells | 0.21 | 289.74 | Raw ScoresSmooth_muscle_cells:umbilical_vein: 0.51, iPS_cells:foreskin_fibrobasts: 0.5, MSC: 0.5, Smooth_muscle_cells:vascular:IL-17: 0.5, Smooth_muscle_cells:vascular: 0.5, iPS_cells:skin_fibroblast: 0.5, Fibroblasts:breast: 0.5, iPS_cells:CRL2097_foreskin: 0.49, Fibroblasts:foreskin: 0.49, Tissue_stem_cells:dental_pulp: 0.49 |
SKNSH_TGTGAGTAGGAGTCTG-1 | Neurons | 0.18 | 289.53 | Raw ScoresiPS_cells:CRL2097_foreskin: 0.48, iPS_cells:foreskin_fibrobasts: 0.48, MSC: 0.47, iPS_cells:skin_fibroblast: 0.47, Fibroblasts:breast: 0.47, Smooth_muscle_cells:vascular: 0.47, Fibroblasts:foreskin: 0.47, Smooth_muscle_cells:vascular:IL-17: 0.47, iPS_cells:adipose_stem_cells: 0.46, Smooth_muscle_cells:bronchial: 0.46 |
SKNSH_TTCTAACAGTGTAGAT-1 | Smooth_muscle_cells | 0.22 | 289.16 | Raw ScoresMSC: 0.53, Smooth_muscle_cells:umbilical_vein: 0.53, Fibroblasts:foreskin: 0.53, Smooth_muscle_cells:vascular: 0.53, iPS_cells:foreskin_fibrobasts: 0.52, Smooth_muscle_cells:vascular:IL-17: 0.52, iPS_cells:skin_fibroblast: 0.52, iPS_cells:CRL2097_foreskin: 0.52, Fibroblasts:breast: 0.51, Tissue_stem_cells:dental_pulp: 0.51 |
SKNSH_GAGAGGTGTATACAGA-1 | MSC | 0.17 | 287.80 | Raw ScoresMSC: 0.54, Smooth_muscle_cells:umbilical_vein: 0.53, Fibroblasts:foreskin: 0.53, Neurons:adrenal_medulla_cell_line: 0.52, iPS_cells:skin_fibroblast: 0.52, iPS_cells:foreskin_fibrobasts: 0.52, Neurons:Schwann_cell: 0.51, Smooth_muscle_cells:vascular: 0.51, Tissue_stem_cells:lipoma-derived_MSC: 0.51, Tissue_stem_cells:dental_pulp: 0.51 |
SKNSH_ATGGGTTAGCTGACTT-1 | Smooth_muscle_cells | 0.20 | 287.76 | Raw ScoresMSC: 0.45, Smooth_muscle_cells:vascular: 0.45, iPS_cells:foreskin_fibrobasts: 0.45, Smooth_muscle_cells:vascular:IL-17: 0.45, Smooth_muscle_cells:umbilical_vein: 0.44, iPS_cells:CRL2097_foreskin: 0.44, Fibroblasts:breast: 0.44, iPS_cells:skin_fibroblast: 0.44, Fibroblasts:foreskin: 0.44, Tissue_stem_cells:dental_pulp: 0.43 |
SKNSH_TCATGAGTCTACTCAT-1 | Smooth_muscle_cells | 0.18 | 285.24 | Raw ScoresSmooth_muscle_cells:vascular: 0.46, Smooth_muscle_cells:bronchial: 0.46, Smooth_muscle_cells:bronchial:vit_D: 0.45, Smooth_muscle_cells:vascular:IL-17: 0.45, MSC: 0.45, iPS_cells:skin_fibroblast: 0.45, Fibroblasts:breast: 0.45, Smooth_muscle_cells:umbilical_vein: 0.45, iPS_cells:foreskin_fibrobasts: 0.45, iPS_cells:CRL2097_foreskin: 0.44 |
SKNSH_CGAAGTTTCGCTATTT-1 | Neurons | 0.18 | 282.22 | Raw ScoresMSC: 0.58, Smooth_muscle_cells:umbilical_vein: 0.55, Tissue_stem_cells:lipoma-derived_MSC: 0.55, Neurons:adrenal_medulla_cell_line: 0.54, iPS_cells:skin_fibroblast: 0.54, Fibroblasts:foreskin: 0.54, iPS_cells:foreskin_fibrobasts: 0.54, Tissue_stem_cells:adipose-derived_MSC_AM3: 0.54, Smooth_muscle_cells:vascular: 0.54, Neurons:Schwann_cell: 0.53 |
SKNSH_GCATCGGGTTGCTTGA-1 | MSC | 0.20 | 270.60 | Raw ScoresMSC: 0.45, iPS_cells:CRL2097_foreskin: 0.45, Fibroblasts:foreskin: 0.44, iPS_cells:foreskin_fibrobasts: 0.44, iPS_cells:skin_fibroblast: 0.44, Fibroblasts:breast: 0.44, Smooth_muscle_cells:vascular: 0.44, Smooth_muscle_cells:vascular:IL-17: 0.44, iPS_cells:adipose_stem_cells: 0.43, Smooth_muscle_cells:umbilical_vein: 0.43 |
SKNSH_GTTCCGTGTACAGAGC-1 | MSC | 0.22 | 266.29 | Raw ScoresMSC: 0.56, Smooth_muscle_cells:umbilical_vein: 0.54, Tissue_stem_cells:lipoma-derived_MSC: 0.54, iPS_cells:skin_fibroblast: 0.54, Fibroblasts:foreskin: 0.54, iPS_cells:foreskin_fibrobasts: 0.53, Smooth_muscle_cells:vascular: 0.53, Tissue_stem_cells:adipose-derived_MSC_AM3: 0.52, Tissue_stem_cells:dental_pulp: 0.52, iPS_cells:CRL2097_foreskin: 0.52 |
SKNSH_ACAACCATCAAACCTG-1 | MSC | 0.20 | 265.32 | Raw ScoresMSC: 0.51, iPS_cells:foreskin_fibrobasts: 0.5, iPS_cells:skin_fibroblast: 0.5, Fibroblasts:foreskin: 0.49, Smooth_muscle_cells:umbilical_vein: 0.49, iPS_cells:CRL2097_foreskin: 0.49, Smooth_muscle_cells:vascular: 0.49, Tissue_stem_cells:lipoma-derived_MSC: 0.48, Tissue_stem_cells:dental_pulp: 0.48, Fibroblasts:breast: 0.48 |
SKNSH_CAGCAATAGGACATCG-1 | MSC | 0.20 | 264.43 | Raw ScoresMSC: 0.57, Neurons:adrenal_medulla_cell_line: 0.55, iPS_cells:skin_fibroblast: 0.54, Fibroblasts:foreskin: 0.54, Tissue_stem_cells:lipoma-derived_MSC: 0.54, Smooth_muscle_cells:umbilical_vein: 0.54, iPS_cells:foreskin_fibrobasts: 0.53, Tissue_stem_cells:adipose-derived_MSC_AM3: 0.53, Neurons:Schwann_cell: 0.53, Endothelial_cells:HUVEC: 0.53 |
SKNSH_AGAACAAAGTGCACCC-1 | Smooth_muscle_cells | 0.16 | 263.20 | Raw ScoresiPS_cells:foreskin_fibrobasts: 0.46, Smooth_muscle_cells:umbilical_vein: 0.46, iPS_cells:skin_fibroblast: 0.46, Neurons:adrenal_medulla_cell_line: 0.46, MSC: 0.45, Smooth_muscle_cells:bronchial: 0.45, Smooth_muscle_cells:bronchial:vit_D: 0.45, iPS_cells:CRL2097_foreskin: 0.45, Smooth_muscle_cells:vascular: 0.45, Smooth_muscle_cells:vascular:IL-17: 0.45 |
SKNSH_TCCTTTCCAATGTGGG-1 | MSC | 0.20 | 261.39 | Raw ScoresMSC: 0.54, iPS_cells:skin_fibroblast: 0.51, Fibroblasts:foreskin: 0.51, iPS_cells:foreskin_fibrobasts: 0.51, Neurons:adrenal_medulla_cell_line: 0.51, Tissue_stem_cells:lipoma-derived_MSC: 0.51, Smooth_muscle_cells:umbilical_vein: 0.51, iPS_cells:CRL2097_foreskin: 0.51, Neurons:Schwann_cell: 0.5, Tissue_stem_cells:dental_pulp: 0.5 |
SKNSH_GTAACCAAGAATTCAG-1 | MSC | 0.18 | 249.07 | Raw ScoresMSC: 0.47, iPS_cells:CRL2097_foreskin: 0.46, iPS_cells:foreskin_fibrobasts: 0.46, iPS_cells:skin_fibroblast: 0.46, Fibroblasts:foreskin: 0.46, Smooth_muscle_cells:vascular: 0.45, Fibroblasts:breast: 0.45, Smooth_muscle_cells:umbilical_vein: 0.45, Smooth_muscle_cells:vascular:IL-17: 0.45, iPS_cells:PDB_fibroblasts: 0.45 |
SKNSH_TGGAACTGTCTCAGAT-1 | Neurons | 0.19 | 249.07 | Raw ScoresMSC: 0.51, iPS_cells:foreskin_fibrobasts: 0.5, Smooth_muscle_cells:umbilical_vein: 0.5, Fibroblasts:foreskin: 0.5, iPS_cells:skin_fibroblast: 0.5, iPS_cells:CRL2097_foreskin: 0.5, Smooth_muscle_cells:vascular: 0.49, Fibroblasts:breast: 0.49, Tissue_stem_cells:dental_pulp: 0.49, Neurons:adrenal_medulla_cell_line: 0.48 |
SKNSH_TGTGTGAGTGTAAACA-1 | Neurons | 0.15 | 247.75 | Raw ScoresFibroblasts:breast: 0.44, MSC: 0.44, Smooth_muscle_cells:vascular: 0.44, Smooth_muscle_cells:vascular:IL-17: 0.44, iPS_cells:CRL2097_foreskin: 0.43, Neurons:adrenal_medulla_cell_line: 0.43, iPS_cells:foreskin_fibrobasts: 0.43, Smooth_muscle_cells:umbilical_vein: 0.43, iPS_cells:skin_fibroblast: 0.43, iPS_cells:adipose_stem_cells: 0.43 |
SKNSH_TCCTAATGTAAGTTAG-1 | MSC | 0.20 | 245.94 | Raw ScoresMSC: 0.47, iPS_cells:skin_fibroblast: 0.46, iPS_cells:foreskin_fibrobasts: 0.46, iPS_cells:CRL2097_foreskin: 0.46, Fibroblasts:foreskin: 0.45, Smooth_muscle_cells:vascular: 0.45, Fibroblasts:breast: 0.45, iPS_cells:PDB_fibroblasts: 0.44, Smooth_muscle_cells:umbilical_vein: 0.44, Smooth_muscle_cells:vascular:IL-17: 0.44 |
SKNSH_TGAATCGTCTCCGAGG-1 | MSC | 0.20 | 245.26 | Raw ScoresMSC: 0.52, iPS_cells:foreskin_fibrobasts: 0.51, iPS_cells:skin_fibroblast: 0.51, Fibroblasts:foreskin: 0.51, iPS_cells:CRL2097_foreskin: 0.51, Smooth_muscle_cells:umbilical_vein: 0.51, Smooth_muscle_cells:vascular: 0.5, Fibroblasts:breast: 0.5, Tissue_stem_cells:lipoma-derived_MSC: 0.49, Tissue_stem_cells:dental_pulp: 0.49 |
SKNSH_AGATCCACACAACGAG-1 | Neurons | 0.20 | 245.18 | Raw ScoresMSC: 0.54, Neurons:adrenal_medulla_cell_line: 0.53, iPS_cells:skin_fibroblast: 0.53, iPS_cells:CRL2097_foreskin: 0.53, iPS_cells:foreskin_fibrobasts: 0.53, Fibroblasts:breast: 0.52, Fibroblasts:foreskin: 0.52, Smooth_muscle_cells:vascular: 0.52, iPS_cells:PDB_fibroblasts: 0.51, Smooth_muscle_cells:bronchial: 0.51 |
SKNSH_TACTTCACACTCCACT-1 | Neurons | 0.18 | 242.39 | Raw ScoresMSC: 0.55, Neurons:adrenal_medulla_cell_line: 0.54, Tissue_stem_cells:lipoma-derived_MSC: 0.52, iPS_cells:skin_fibroblast: 0.52, Smooth_muscle_cells:umbilical_vein: 0.52, Fibroblasts:foreskin: 0.51, iPS_cells:foreskin_fibrobasts: 0.51, Tissue_stem_cells:adipose-derived_MSC_AM3: 0.51, Neuroepithelial_cell:ESC-derived: 0.51, Tissue_stem_cells:dental_pulp: 0.5 |
SKNSH_ACTCCCAGTCGTACTA-1 | Neurons | 0.16 | 241.32 | Raw ScoresMSC: 0.56, Smooth_muscle_cells:umbilical_vein: 0.54, Tissue_stem_cells:lipoma-derived_MSC: 0.53, Neurons:adrenal_medulla_cell_line: 0.53, Fibroblasts:foreskin: 0.53, Tissue_stem_cells:adipose-derived_MSC_AM3: 0.53, iPS_cells:skin_fibroblast: 0.52, iPS_cells:foreskin_fibrobasts: 0.52, Endothelial_cells:HUVEC: 0.52, Smooth_muscle_cells:vascular: 0.52 |
SKNSH_GCATGATTCATCAGTG-1 | Neurons | 0.20 | 241.10 | Raw ScoresiPS_cells:CRL2097_foreskin: 0.47, MSC: 0.47, Neurons:adrenal_medulla_cell_line: 0.47, Fibroblasts:breast: 0.47, iPS_cells:foreskin_fibrobasts: 0.47, iPS_cells:skin_fibroblast: 0.46, Smooth_muscle_cells:vascular:IL-17: 0.46, Smooth_muscle_cells:vascular: 0.46, Fibroblasts:foreskin: 0.46, iPS_cells:adipose_stem_cells: 0.46 |
SKNSH_GTCAAACTCTGCGATA-1 | Smooth_muscle_cells | 0.18 | 240.48 | Raw ScoresMSC: 0.43, Smooth_muscle_cells:vascular: 0.43, iPS_cells:skin_fibroblast: 0.42, iPS_cells:foreskin_fibrobasts: 0.42, Smooth_muscle_cells:vascular:IL-17: 0.42, iPS_cells:CRL2097_foreskin: 0.42, Fibroblasts:breast: 0.42, Fibroblasts:foreskin: 0.42, Smooth_muscle_cells:umbilical_vein: 0.42, Tissue_stem_cells:dental_pulp: 0.41 |
SKNSH_ACCCTCACAAATGCGG-1 | Neurons | 0.16 | 238.06 | Raw ScoresMSC: 0.5, iPS_cells:foreskin_fibrobasts: 0.49, iPS_cells:CRL2097_foreskin: 0.49, iPS_cells:skin_fibroblast: 0.49, Smooth_muscle_cells:umbilical_vein: 0.49, Fibroblasts:foreskin: 0.48, Fibroblasts:breast: 0.48, Smooth_muscle_cells:vascular: 0.48, Smooth_muscle_cells:vascular:IL-17: 0.48, Neurons:adrenal_medulla_cell_line: 0.48 |
SKNSH_CTTACCGGTCACTTAG-1 | Smooth_muscle_cells | 0.18 | 238.02 | Raw ScoresMSC: 0.49, iPS_cells:CRL2097_foreskin: 0.49, iPS_cells:foreskin_fibrobasts: 0.49, Fibroblasts:foreskin: 0.48, Smooth_muscle_cells:vascular: 0.48, iPS_cells:skin_fibroblast: 0.48, Fibroblasts:breast: 0.48, Smooth_muscle_cells:vascular:IL-17: 0.47, iPS_cells:adipose_stem_cells: 0.47, Smooth_muscle_cells:umbilical_vein: 0.47 |
SKNSH_CCCTCTCTCATGGTAC-1 | Neurons | 0.18 | 237.20 | Raw ScoresMSC: 0.48, iPS_cells:CRL2097_foreskin: 0.47, iPS_cells:foreskin_fibrobasts: 0.46, Neurons:adrenal_medulla_cell_line: 0.46, iPS_cells:skin_fibroblast: 0.46, Fibroblasts:foreskin: 0.46, Smooth_muscle_cells:vascular: 0.46, Fibroblasts:breast: 0.45, Smooth_muscle_cells:umbilical_vein: 0.45, Smooth_muscle_cells:vascular:IL-17: 0.45 |
SKNSH_GGGAAGTCAAGTGGGT-1 | Neurons | 0.17 | 234.97 | Raw ScoresNeurons:adrenal_medulla_cell_line: 0.49, MSC: 0.47, iPS_cells:CRL2097_foreskin: 0.46, iPS_cells:foreskin_fibrobasts: 0.46, Smooth_muscle_cells:vascular: 0.46, Fibroblasts:foreskin: 0.46, iPS_cells:skin_fibroblast: 0.46, Smooth_muscle_cells:vascular:IL-17: 0.46, Fibroblasts:breast: 0.45, Smooth_muscle_cells:umbilical_vein: 0.45 |
SKNSH_TCAAGCACAGGGACTA-1 | MSC | 0.18 | 231.58 | Raw ScoresMSC: 0.55, Neurons:adrenal_medulla_cell_line: 0.54, Fibroblasts:foreskin: 0.52, iPS_cells:skin_fibroblast: 0.51, iPS_cells:foreskin_fibrobasts: 0.51, iPS_cells:CRL2097_foreskin: 0.51, Smooth_muscle_cells:umbilical_vein: 0.51, Neuroepithelial_cell:ESC-derived: 0.51, Tissue_stem_cells:lipoma-derived_MSC: 0.5, Endothelial_cells:HUVEC: 0.5 |
Below shows the significant enrichments of this GEP for literature curated gene lists
This data was procured from existing single cell RNA-seq maps of neuroblastoma or related relevant data.
High ranks indicate this gene is a driver of this GEP.
These curated gene list are ranked by the P-value (on this GEP) of their constituent genes.
The Mean Count column shows the mean read count in cells scoring highly (H > 50) on this gene expression program.
Genes | Weight | Rank | GTEx | DepMap | Decartes | Mean.Counts | Mean.TPM |
---|---|---|---|---|---|---|---|
OLFML3 | 0.0042567 | 176 | GTEx | DepMap | Descartes | 1.38 | 47.66 |
PIK3R1 | 0.0015781 | 945 | GTEx | DepMap | Descartes | 2.16 | 21.61 |
NOTCH3 | 0.0007941 | 2000 | GTEx | DepMap | Descartes | 0.27 | 1.98 |
p53 Dependent Senescence (Kinker)
These marker genes were obtained in a pan cancer cell lines NMF analysis of scRNA-eq data in Kinker et al (PMID 33128048) - 10 metaprograms were recovered that manifest across cancers.:
Wilcoxon ranksum test P-value for gene set overrepresentation: 7.49e-03
Mean rank of genes in gene set: 42.5
Rank on gene expression program of genes in gene set:
Genes | Weight | Rank | GTEx | DepMap | Decartes | Mean.Counts | Mean.TPM |
---|---|---|---|---|---|---|---|
CDKN1A | 0.0097245 | 26 | GTEx | DepMap | Descartes | 4.43 | 121.6 |
NEAT1 | 0.0065624 | 59 | GTEx | DepMap | Descartes | 91.94 | 287.7 |
IFN Response (Kinker)
These marker genes were obtained in a pan cancer cell lines NMF analysis of scRNA-eq data in Kinker et al (PMID 33128048) - 10 metaprograms were recovered that manifest across cancers, this program contained interferon response genes.:
Wilcoxon ranksum test P-value for gene set overrepresentation: 9.60e-03
Mean rank of genes in gene set: 2482
Rank on gene expression program of genes in gene set:
Genes | Weight | Rank | GTEx | DepMap | Decartes | Mean.Counts | Mean.TPM |
---|---|---|---|---|---|---|---|
IFIT1 | 0.0019373 | 712 | GTEx | DepMap | Descartes | 0.24 | 3.33 |
ISG15 | 0.0013469 | 1164 | GTEx | DepMap | Descartes | 0.77 | 63.69 |
IFIT2 | 0.0008892 | 1785 | GTEx | DepMap | Descartes | 0.08 | 2.01 |
IFIT3 | 0.0006330 | 2419 | GTEx | DepMap | Descartes | 0.17 | 5.37 |
ISG20 | 0.0000010 | 6330 | GTEx | DepMap | Descartes | 0.06 | 0.62 |
Below shows ranks on this GEP for literature curated gene lists for large gene sets
These include those reported as mesenchymal/adrenergic by Van Groningen et al.
High ranks indicate this gene is a driver of this GEP (note these results are not ordered).
The Mean Count column shows the mean read count in cells scoring highly (H > 50) on this gene expression program.
VanGroningen Adrenergic Genes
Adrenergic marker genes from Supplementary Table 2 of Van Groningen et al. Nature Genetics 2017. These genes were identified by differential expression analysis of mesenchymal-like and adrenergic-like neuroblastoma cell lines.
Wilcoxon ranksum test P-value for gene set overrepresentation: 1.00e+00
Mean rank of genes in gene set: 9734.13
Median rank of genes in gene set: 11322
Rank on gene expression program of top 30 genes in gene set:
Genes | Weight | Rank | GTEx | DepMap | Descartes | Mean.Counts | Mean.TPM |
---|---|---|---|---|---|---|---|
DPYSL3 | 0.0055347 | 91 | GTEx | DepMap | Descartes | 5.07 | 64.76 |
MAP1B | 0.0053444 | 98 | GTEx | DepMap | Descartes | 33.37 | 191.44 |
AKAP12 | 0.0033698 | 267 | GTEx | DepMap | Descartes | 11.28 | 93.48 |
PHPT1 | 0.0028634 | 375 | GTEx | DepMap | Descartes | 11.64 | 576.86 |
SYNPO2 | 0.0028487 | 382 | GTEx | DepMap | Descartes | 7.63 | 35.23 |
RPS6KA2 | 0.0027993 | 389 | GTEx | DepMap | Descartes | 1.78 | 20.14 |
SYT4 | 0.0024125 | 500 | GTEx | DepMap | Descartes | 12.67 | 242.23 |
REC8 | 0.0019931 | 673 | GTEx | DepMap | Descartes | 1.99 | 45.92 |
CDC42EP3 | 0.0018541 | 758 | GTEx | DepMap | Descartes | 6.04 | 74.64 |
ABLIM1 | 0.0017289 | 836 | GTEx | DepMap | Descartes | 2.37 | 21.54 |
SLIT3 | 0.0016642 | 881 | GTEx | DepMap | Descartes | 5.42 | 39.57 |
PIK3R1 | 0.0015781 | 945 | GTEx | DepMap | Descartes | 2.16 | 21.61 |
KIDINS220 | 0.0015718 | 954 | GTEx | DepMap | Descartes | 4.02 | 32.18 |
CYFIP2 | 0.0014275 | 1087 | GTEx | DepMap | Descartes | 0.66 | 6.44 |
GNB1 | 0.0013641 | 1149 | GTEx | DepMap | Descartes | 4.73 | 94.27 |
NCOA7 | 0.0013556 | 1157 | GTEx | DepMap | Descartes | 3.95 | NA |
FKBP1B | 0.0010537 | 1499 | GTEx | DepMap | Descartes | 1.12 | 46.34 |
ACOT7 | 0.0008956 | 1768 | GTEx | DepMap | Descartes | 1.73 | 43.83 |
NPY | 0.0008609 | 1848 | GTEx | DepMap | Descartes | 9.85 | 921.50 |
RBMS3 | 0.0008052 | 1975 | GTEx | DepMap | Descartes | 3.98 | 31.51 |
DUSP4 | 0.0007171 | 2209 | GTEx | DepMap | Descartes | 1.89 | 22.14 |
ISL1 | 0.0007105 | 2226 | GTEx | DepMap | Descartes | 3.50 | 99.24 |
MYRIP | 0.0007076 | 2234 | GTEx | DepMap | Descartes | 0.64 | 8.81 |
FOXO3 | 0.0006934 | 2270 | GTEx | DepMap | Descartes | 2.00 | 18.38 |
CXADR | 0.0006755 | 2302 | GTEx | DepMap | Descartes | 0.83 | 10.85 |
ATP6V0E2 | 0.0006632 | 2334 | GTEx | DepMap | Descartes | 1.36 | 20.60 |
PHOX2A | 0.0006278 | 2441 | GTEx | DepMap | Descartes | 11.30 | 439.41 |
NFIL3 | 0.0005153 | 2822 | GTEx | DepMap | Descartes | 0.39 | 12.36 |
AP1S2 | 0.0004853 | 2961 | GTEx | DepMap | Descartes | 2.00 | 37.41 |
UCP2 | 0.0004130 | 3282 | GTEx | DepMap | Descartes | 0.67 | 19.94 |
VanGroningen Mesenchymal Genes
Mesenchymal marker genes from Supplementary Table 2 of Van Groningen et al. Nature Genetics 2017. These genes were identified by differential expression analysis of mesenchymal-like and adrenergic-like neuroblastoma cell lines.
Wilcoxon ranksum test P-value for gene set overrepresentation: 1.12e-66
Mean rank of genes in gene set: 3337.96
Median rank of genes in gene set: 1485
Rank on gene expression program of top 30 genes in gene set:
Genes | Weight | Rank | GTEx | DepMap | Descartes | Mean.Counts | Mean.TPM |
---|---|---|---|---|---|---|---|
PAPSS2 | 0.0142966 | 4 | GTEx | DepMap | Descartes | 2.26 | 37.34 |
COL3A1 | 0.0136720 | 6 | GTEx | DepMap | Descartes | 18.73 | 248.59 |
LRRC17 | 0.0122081 | 11 | GTEx | DepMap | Descartes | 10.28 | 339.96 |
ATP2B4 | 0.0112862 | 14 | GTEx | DepMap | Descartes | 3.78 | 29.07 |
PLS3 | 0.0109853 | 16 | GTEx | DepMap | Descartes | 6.63 | 138.35 |
FILIP1L | 0.0106032 | 19 | GTEx | DepMap | Descartes | 6.11 | 100.59 |
IGFBP6 | 0.0102729 | 23 | GTEx | DepMap | Descartes | 4.60 | 269.13 |
TPM1 | 0.0094370 | 27 | GTEx | DepMap | Descartes | 42.59 | 686.76 |
F2R | 0.0093527 | 28 | GTEx | DepMap | Descartes | 4.60 | 83.23 |
NPC2 | 0.0087471 | 31 | GTEx | DepMap | Descartes | 8.22 | 392.30 |
FBN1 | 0.0084655 | 33 | GTEx | DepMap | Descartes | 6.31 | 39.13 |
LTBP1 | 0.0081574 | 36 | GTEx | DepMap | Descartes | 3.86 | 42.90 |
FSTL1 | 0.0079331 | 38 | GTEx | DepMap | Descartes | 3.84 | 47.24 |
HNMT | 0.0079039 | 39 | GTEx | DepMap | Descartes | 1.09 | 22.58 |
SEMA3C | 0.0078472 | 40 | GTEx | DepMap | Descartes | 3.91 | 56.87 |
VCL | 0.0075172 | 44 | GTEx | DepMap | Descartes | 5.46 | 47.49 |
LRP10 | 0.0070274 | 48 | GTEx | DepMap | Descartes | 2.74 | 26.80 |
CCDC80 | 0.0066962 | 52 | GTEx | DepMap | Descartes | 3.95 | 21.93 |
TPBG | 0.0066717 | 53 | GTEx | DepMap | Descartes | 4.51 | 51.91 |
CALD1 | 0.0066666 | 54 | GTEx | DepMap | Descartes | 20.23 | 270.69 |
DKK3 | 0.0066625 | 55 | GTEx | DepMap | Descartes | 2.41 | 17.15 |
RHOC | 0.0065650 | 58 | GTEx | DepMap | Descartes | 6.10 | 178.33 |
PHLDB2 | 0.0065433 | 60 | GTEx | DepMap | Descartes | 2.82 | 31.95 |
ANXA2 | 0.0064685 | 63 | GTEx | DepMap | Descartes | 35.28 | 638.87 |
MGP | 0.0063815 | 68 | GTEx | DepMap | Descartes | 22.24 | 982.05 |
SDC4 | 0.0063504 | 69 | GTEx | DepMap | Descartes | 1.12 | 29.46 |
PPIC | 0.0062339 | 72 | GTEx | DepMap | Descartes | 2.86 | 140.73 |
GDF15 | 0.0061141 | 75 | GTEx | DepMap | Descartes | 1.32 | 70.40 |
ARPC1B | 0.0060963 | 76 | GTEx | DepMap | Descartes | 9.92 | 357.05 |
MEST | 0.0060913 | 77 | GTEx | DepMap | Descartes | 2.89 | 64.47 |
Descartes adrenocortical markers
Top 50 marker genes of adrenocortical cells in the Decartes fetal adrenal single cell map (https://atlas.brotmanbaty.org/bbi/human-gene-expression-during-development/cell/adrenocortical/in/adrenal)
Wilcoxon ranksum test P-value for gene set overrepresentation: 3.34e-01
Mean rank of genes in gene set: 6017.17
Median rank of genes in gene set: 5655
Rank on gene expression program of top 30 genes in gene set:
Genes | Weight | Rank | GTEx | DepMap | Descartes | Mean.Counts | Mean.TPM |
---|---|---|---|---|---|---|---|
PAPSS2 | 0.0142966 | 4 | GTEx | DepMap | Descartes | 2.26 | 37.34 |
CLU | 0.0044703 | 166 | GTEx | DepMap | Descartes | 6.35 | 160.16 |
FDXR | 0.0033884 | 264 | GTEx | DepMap | Descartes | 1.37 | 34.80 |
TM7SF2 | 0.0032083 | 300 | GTEx | DepMap | Descartes | 3.47 | 111.98 |
BAIAP2L1 | 0.0018285 | 778 | GTEx | DepMap | Descartes | 0.15 | 2.33 |
FRMD5 | 0.0016883 | 863 | GTEx | DepMap | Descartes | 0.42 | 5.34 |
SH3BP5 | 0.0015493 | 976 | GTEx | DepMap | Descartes | 1.30 | 25.97 |
SH3PXD2B | 0.0011634 | 1356 | GTEx | DepMap | Descartes | 0.66 | 5.80 |
SLC16A9 | 0.0006989 | 2256 | GTEx | DepMap | Descartes | 0.40 | 6.36 |
IGF1R | 0.0006271 | 2445 | GTEx | DepMap | Descartes | 1.60 | 9.59 |
POR | 0.0005610 | 2660 | GTEx | DepMap | Descartes | 1.04 | 26.55 |
INHA | 0.0004372 | 3168 | GTEx | DepMap | Descartes | 0.02 | 0.62 |
FDX1 | 0.0003270 | 3706 | GTEx | DepMap | Descartes | 0.85 | 16.36 |
SCAP | 0.0002777 | 4007 | GTEx | DepMap | Descartes | 0.52 | 8.56 |
NPC1 | 0.0002259 | 4322 | GTEx | DepMap | Descartes | 0.21 | 3.42 |
APOC1 | 0.0001409 | 4966 | GTEx | DepMap | Descartes | 0.23 | 21.37 |
SCARB1 | 0.0001107 | 5220 | GTEx | DepMap | Descartes | 0.49 | 5.53 |
DHCR24 | 0.0001062 | 5261 | GTEx | DepMap | Descartes | 1.20 | 15.25 |
DNER | 0.0000251 | 6049 | GTEx | DepMap | Descartes | 0.06 | 1.16 |
LDLR | -0.0000327 | 6810 | GTEx | DepMap | Descartes | 0.77 | 9.83 |
FREM2 | -0.0000385 | 6900 | GTEx | DepMap | Descartes | 0.00 | 0.00 |
ERN1 | -0.0000447 | 7000 | GTEx | DepMap | Descartes | 0.17 | 1.42 |
STAR | -0.0001030 | 7872 | GTEx | DepMap | Descartes | 0.00 | 0.06 |
PDE10A | -0.0001288 | 8263 | GTEx | DepMap | Descartes | 0.09 | 0.65 |
SGCZ | -0.0001509 | 8558 | GTEx | DepMap | Descartes | 0.00 | 0.01 |
DHCR7 | -0.0002045 | 9173 | GTEx | DepMap | Descartes | 0.49 | 11.59 |
GRAMD1B | -0.0003103 | 10061 | GTEx | DepMap | Descartes | 0.08 | 0.71 |
SLC1A2 | -0.0003784 | 10535 | GTEx | DepMap | Descartes | 0.01 | 0.07 |
CYB5B | -0.0004316 | 10823 | GTEx | DepMap | Descartes | 1.22 | 17.95 |
GSTA4 | -0.0004431 | 10895 | GTEx | DepMap | Descartes | 0.65 | 25.75 |
Descartes chromaffin markers
Top 50 marker genes of chromaffin cells in the Decartes fetal adrenal single cell map (https://atlas.brotmanbaty.org/bbi/human-gene-expression-during-development/cell/chromaffin/in/adrenal)
Wilcoxon ranksum test P-value for gene set overrepresentation: 1.00e+00
Mean rank of genes in gene set: 9224.27
Median rank of genes in gene set: 10509
Rank on gene expression program of top 30 genes in gene set:
Genes | Weight | Rank | GTEx | DepMap | Descartes | Mean.Counts | Mean.TPM |
---|---|---|---|---|---|---|---|
MAP1B | 0.0053444 | 98 | GTEx | DepMap | Descartes | 33.37 | 191.44 |
SYNPO2 | 0.0028487 | 382 | GTEx | DepMap | Descartes | 7.63 | 35.23 |
GREM1 | 0.0028383 | 383 | GTEx | DepMap | Descartes | 0.82 | 3.56 |
NPY | 0.0008609 | 1848 | GTEx | DepMap | Descartes | 9.85 | 921.50 |
IL7 | 0.0007848 | 2023 | GTEx | DepMap | Descartes | 0.55 | 18.57 |
ISL1 | 0.0007105 | 2226 | GTEx | DepMap | Descartes | 3.50 | 99.24 |
BASP1 | 0.0003397 | 3651 | GTEx | DepMap | Descartes | 4.63 | 173.03 |
PLXNA4 | -0.0000430 | 6967 | GTEx | DepMap | Descartes | 0.89 | 4.67 |
SLC44A5 | -0.0000951 | 7757 | GTEx | DepMap | Descartes | 0.30 | 4.62 |
TMEM132C | -0.0001065 | 7941 | GTEx | DepMap | Descartes | 0.00 | 0.02 |
ANKFN1 | -0.0001171 | 8096 | GTEx | DepMap | Descartes | 0.00 | 0.00 |
EYA4 | -0.0001314 | 8295 | GTEx | DepMap | Descartes | 0.09 | 1.16 |
PTCHD1 | -0.0002057 | 9183 | GTEx | DepMap | Descartes | 0.01 | 0.05 |
EPHA6 | -0.0002493 | 9606 | GTEx | DepMap | Descartes | 0.00 | 0.00 |
TMEFF2 | -0.0002836 | 9875 | GTEx | DepMap | Descartes | 0.02 | 0.35 |
REEP1 | -0.0003050 | 10026 | GTEx | DepMap | Descartes | 0.02 | 0.38 |
HS3ST5 | -0.0003514 | 10333 | GTEx | DepMap | Descartes | 0.10 | 1.53 |
FAT3 | -0.0003525 | 10342 | GTEx | DepMap | Descartes | 0.02 | 0.06 |
TUBB2A | -0.0003614 | 10403 | GTEx | DepMap | Descartes | 1.16 | 45.30 |
RBFOX1 | -0.0003704 | 10470 | GTEx | DepMap | Descartes | 0.01 | 0.50 |
CNKSR2 | -0.0003748 | 10509 | GTEx | DepMap | Descartes | 0.11 | 0.84 |
KCNB2 | -0.0004146 | 10731 | GTEx | DepMap | Descartes | 0.04 | 0.63 |
RYR2 | -0.0004197 | 10757 | GTEx | DepMap | Descartes | 0.05 | 0.22 |
ALK | -0.0005148 | 11215 | GTEx | DepMap | Descartes | 0.11 | 0.93 |
MAB21L1 | -0.0005467 | 11329 | GTEx | DepMap | Descartes | 2.38 | 59.24 |
RGMB | -0.0005809 | 11448 | GTEx | DepMap | Descartes | 0.25 | 3.34 |
EYA1 | -0.0006143 | 11558 | GTEx | DepMap | Descartes | 0.20 | 3.07 |
NTRK1 | -0.0006349 | 11621 | GTEx | DepMap | Descartes | 0.24 | 5.40 |
CNTFR | -0.0006368 | 11625 | GTEx | DepMap | Descartes | 0.72 | 23.68 |
TUBA1A | -0.0006676 | 11708 | GTEx | DepMap | Descartes | 18.17 | 638.07 |
Descartes Vascular_endothelial markers
Top 50 marker genes of Vascular_endothelial cells in the Decartes fetal adrenal single cell map (https://atlas.brotmanbaty.org/bbi/human-gene-expression-during-development/cell/vascular_endothelial/in/adrenal)
Wilcoxon ranksum test P-value for gene set overrepresentation: 1.01e-01
Mean rank of genes in gene set: 5527.74
Median rank of genes in gene set: 6985.5
Rank on gene expression program of top 30 genes in gene set:
Genes | Weight | Rank | GTEx | DepMap | Descartes | Mean.Counts | Mean.TPM |
---|---|---|---|---|---|---|---|
SLCO2A1 | 0.0049631 | 114 | GTEx | DepMap | Descartes | 0.10 | 1.67 |
CDH13 | 0.0049116 | 119 | GTEx | DepMap | Descartes | 0.21 | 1.73 |
ARHGAP29 | 0.0032906 | 281 | GTEx | DepMap | Descartes | 2.55 | 17.86 |
EHD3 | 0.0032091 | 298 | GTEx | DepMap | Descartes | 0.85 | 11.78 |
PODXL | 0.0024093 | 502 | GTEx | DepMap | Descartes | 0.68 | 7.28 |
HYAL2 | 0.0019163 | 724 | GTEx | DepMap | Descartes | 2.11 | 34.42 |
IRX3 | 0.0015030 | 1012 | GTEx | DepMap | Descartes | 0.31 | 7.05 |
BTNL9 | 0.0009159 | 1726 | GTEx | DepMap | Descartes | 0.00 | 0.01 |
KANK3 | 0.0007324 | 2163 | GTEx | DepMap | Descartes | 0.01 | 0.61 |
MYRIP | 0.0007076 | 2234 | GTEx | DepMap | Descartes | 0.64 | 8.81 |
NPR1 | 0.0006120 | 2491 | GTEx | DepMap | Descartes | 0.14 | 1.96 |
CEACAM1 | 0.0003528 | 3567 | GTEx | DepMap | Descartes | 0.02 | 0.49 |
KDR | 0.0002562 | 4136 | GTEx | DepMap | Descartes | 0.01 | 0.09 |
ID1 | 0.0001135 | 5194 | GTEx | DepMap | Descartes | 7.82 | 416.91 |
GALNT15 | 0.0000939 | 5378 | GTEx | DepMap | Descartes | 0.00 | NA |
ROBO4 | 0.0000771 | 5539 | GTEx | DepMap | Descartes | 0.01 | 0.13 |
RASIP1 | 0.0000105 | 6212 | GTEx | DepMap | Descartes | 0.01 | 0.12 |
SHE | 0.0000068 | 6262 | GTEx | DepMap | Descartes | 0.00 | 0.00 |
TMEM88 | -0.0000425 | 6960 | GTEx | DepMap | Descartes | 0.03 | 2.44 |
CRHBP | -0.0000454 | 7011 | GTEx | DepMap | Descartes | 0.00 | 0.00 |
CALCRL | -0.0000513 | 7101 | GTEx | DepMap | Descartes | 0.02 | 0.23 |
F8 | -0.0000535 | 7142 | GTEx | DepMap | Descartes | 0.02 | 0.15 |
TEK | -0.0000637 | 7300 | GTEx | DepMap | Descartes | 0.00 | 0.00 |
NR5A2 | -0.0000742 | 7438 | GTEx | DepMap | Descartes | 0.00 | 0.00 |
CDH5 | -0.0000747 | 7441 | GTEx | DepMap | Descartes | 0.00 | 0.00 |
TIE1 | -0.0000795 | 7503 | GTEx | DepMap | Descartes | 0.00 | 0.00 |
SHANK3 | -0.0000932 | 7722 | GTEx | DepMap | Descartes | 0.06 | 0.45 |
ESM1 | -0.0000946 | 7749 | GTEx | DepMap | Descartes | 0.01 | 0.17 |
MMRN2 | -0.0000952 | 7760 | GTEx | DepMap | Descartes | 0.00 | 0.00 |
NOTCH4 | -0.0001049 | 7905 | GTEx | DepMap | Descartes | 0.07 | 0.61 |
Descartes stromal markers
Top 50 marker genes of stromal cells in the Decartes fetal adrenal single cell map (https://atlas.brotmanbaty.org/bbi/human-gene-expression-during-development/cell/stromal/in/adrenal)
Wilcoxon ranksum test P-value for gene set overrepresentation: 9.43e-01
Mean rank of genes in gene set: 7137.23
Median rank of genes in gene set: 7668
Rank on gene expression program of top 30 genes in gene set:
Genes | Weight | Rank | GTEx | DepMap | Descartes | Mean.Counts | Mean.TPM |
---|---|---|---|---|---|---|---|
COL3A1 | 0.0136720 | 6 | GTEx | DepMap | Descartes | 18.73 | 248.59 |
LRRC17 | 0.0122081 | 11 | GTEx | DepMap | Descartes | 10.28 | 339.96 |
CCDC80 | 0.0066962 | 52 | GTEx | DepMap | Descartes | 3.95 | 21.93 |
MGP | 0.0063815 | 68 | GTEx | DepMap | Descartes | 22.24 | 982.05 |
IGFBP3 | 0.0045142 | 160 | GTEx | DepMap | Descartes | 3.52 | 95.80 |
ACTA2 | 0.0043082 | 172 | GTEx | DepMap | Descartes | 1.09 | 53.37 |
CDH11 | 0.0017093 | 846 | GTEx | DepMap | Descartes | 1.22 | 11.99 |
PCOLCE | 0.0010371 | 1522 | GTEx | DepMap | Descartes | 14.13 | 643.82 |
CLDN11 | 0.0006503 | 2364 | GTEx | DepMap | Descartes | 0.06 | 1.46 |
ELN | 0.0006034 | 2523 | GTEx | DepMap | Descartes | 0.22 | 3.42 |
COL27A1 | 0.0002230 | 4346 | GTEx | DepMap | Descartes | 0.05 | 0.48 |
ISLR | 0.0001815 | 4643 | GTEx | DepMap | Descartes | 0.12 | 3.40 |
RSPO3 | 0.0000589 | 5713 | GTEx | DepMap | Descartes | 0.00 | NA |
PCDH18 | 0.0000408 | 5892 | GTEx | DepMap | Descartes | 0.33 | 3.49 |
COL12A1 | 0.0000241 | 6058 | GTEx | DepMap | Descartes | 0.09 | 0.28 |
DKK2 | 0.0000048 | 6288 | GTEx | DepMap | Descartes | 1.35 | 20.21 |
ADAMTSL3 | 0.0000024 | 6315 | GTEx | DepMap | Descartes | 0.00 | 0.02 |
SFRP2 | -0.0000008 | 6351 | GTEx | DepMap | Descartes | 0.00 | 0.00 |
CD248 | -0.0000032 | 6381 | GTEx | DepMap | Descartes | 0.29 | 7.30 |
LOX | -0.0000079 | 6449 | GTEx | DepMap | Descartes | 0.11 | 1.40 |
SCARA5 | -0.0000272 | 6728 | GTEx | DepMap | Descartes | 0.00 | 0.00 |
GAS2 | -0.0000806 | 7520 | GTEx | DepMap | Descartes | 0.10 | 2.59 |
BICC1 | -0.0000991 | 7816 | GTEx | DepMap | Descartes | 0.41 | 4.56 |
ABCA6 | -0.0001133 | 8035 | GTEx | DepMap | Descartes | 0.00 | 0.00 |
FREM1 | -0.0001194 | 8125 | GTEx | DepMap | Descartes | 0.13 | 0.88 |
LAMC3 | -0.0001325 | 8309 | GTEx | DepMap | Descartes | 0.00 | 0.01 |
PDGFRA | -0.0001591 | 8675 | GTEx | DepMap | Descartes | 0.87 | 10.26 |
OGN | -0.0001663 | 8764 | GTEx | DepMap | Descartes | 0.00 | 0.00 |
ABCC9 | -0.0002079 | 9207 | GTEx | DepMap | Descartes | 0.00 | 0.01 |
PRICKLE1 | -0.0003166 | 10105 | GTEx | DepMap | Descartes | 0.61 | 6.52 |
Descartes sympathoblasts markers
Top 50 marker genes of sympathoblasts cells in the Decartes fetal adrenal single cell map (https://atlas.brotmanbaty.org/bbi/human-gene-expression-during-development/cell/sympathoblasts/in/adrenal)
Wilcoxon ranksum test P-value for gene set overrepresentation: 1.00e+00
Mean rank of genes in gene set: 9006.37
Median rank of genes in gene set: 9693.5
Rank on gene expression program of top 30 genes in gene set:
Genes | Weight | Rank | GTEx | DepMap | Descartes | Mean.Counts | Mean.TPM |
---|---|---|---|---|---|---|---|
LAMA3 | 0.0010635 | 1483 | GTEx | DepMap | Descartes | 0.05 | 0.28 |
KCTD16 | 0.0009959 | 1587 | GTEx | DepMap | Descartes | 0.50 | 2.65 |
CDH18 | 0.0003800 | 3420 | GTEx | DepMap | Descartes | 0.07 | 0.93 |
CNTN3 | 0.0001117 | 5210 | GTEx | DepMap | Descartes | 0.07 | 1.02 |
CDH12 | 0.0000601 | 5704 | GTEx | DepMap | Descartes | 0.00 | 0.00 |
FGF14 | -0.0000272 | 6726 | GTEx | DepMap | Descartes | 1.64 | 9.26 |
AGBL4 | -0.0000313 | 6787 | GTEx | DepMap | Descartes | 0.05 | 0.97 |
PACRG | -0.0000334 | 6826 | GTEx | DepMap | Descartes | 0.03 | 1.15 |
SORCS3 | -0.0000814 | 7532 | GTEx | DepMap | Descartes | 0.00 | 0.00 |
KSR2 | -0.0000940 | 7743 | GTEx | DepMap | Descartes | 0.01 | 0.05 |
ROBO1 | -0.0001274 | 8249 | GTEx | DepMap | Descartes | 0.69 | 6.21 |
SLC24A2 | -0.0001318 | 8305 | GTEx | DepMap | Descartes | 0.00 | 0.00 |
GRM7 | -0.0001437 | 8448 | GTEx | DepMap | Descartes | 0.12 | 1.82 |
GRID2 | -0.0001462 | 8479 | GTEx | DepMap | Descartes | 0.04 | 0.41 |
PENK | -0.0001572 | 8651 | GTEx | DepMap | Descartes | 0.00 | 0.00 |
TBX20 | -0.0001766 | 8869 | GTEx | DepMap | Descartes | 0.03 | 1.39 |
GALNTL6 | -0.0002097 | 9229 | GTEx | DepMap | Descartes | 0.01 | 0.18 |
DGKK | -0.0002200 | 9344 | GTEx | DepMap | Descartes | 0.00 | 0.02 |
TENM1 | -0.0002537 | 9644 | GTEx | DepMap | Descartes | 0.00 | NA |
PCSK2 | -0.0002654 | 9743 | GTEx | DepMap | Descartes | 0.00 | 0.00 |
ST18 | -0.0002873 | 9904 | GTEx | DepMap | Descartes | 0.00 | 0.00 |
ARC | -0.0003058 | 10031 | GTEx | DepMap | Descartes | 0.04 | 0.74 |
CCSER1 | -0.0003116 | 10075 | GTEx | DepMap | Descartes | 0.09 | NA |
GCH1 | -0.0003137 | 10087 | GTEx | DepMap | Descartes | 0.17 | 3.54 |
MGAT4C | -0.0003404 | 10267 | GTEx | DepMap | Descartes | 0.01 | 0.01 |
NTNG1 | -0.0003614 | 10401 | GTEx | DepMap | Descartes | 0.14 | 1.79 |
SPOCK3 | -0.0004059 | 10685 | GTEx | DepMap | Descartes | 0.01 | 0.21 |
SLC35F3 | -0.0004178 | 10747 | GTEx | DepMap | Descartes | 0.05 | 1.12 |
SLC18A1 | -0.0004768 | 11052 | GTEx | DepMap | Descartes | 0.02 | 0.44 |
UNC80 | -0.0004913 | 11105 | GTEx | DepMap | Descartes | 0.12 | 0.56 |
Descartes erythroblasts markers
Top 50 marker genes of erythroblasts cells in the Decartes fetal adrenal single cell map (https://atlas.brotmanbaty.org/bbi/human-gene-expression-during-development/cell/erythroblasts/in/adrenal)
Wilcoxon ranksum test P-value for gene set overrepresentation: 4.30e-01
Mean rank of genes in gene set: 6156.17
Median rank of genes in gene set: 6644
Rank on gene expression program of top 30 genes in gene set:
Genes | Weight | Rank | GTEx | DepMap | Descartes | Mean.Counts | Mean.TPM |
---|---|---|---|---|---|---|---|
SPECC1 | 0.0033709 | 266 | GTEx | DepMap | Descartes | 1.32 | 10.93 |
MICAL2 | 0.0032404 | 293 | GTEx | DepMap | Descartes | 0.82 | 8.35 |
BLVRB | 0.0024550 | 488 | GTEx | DepMap | Descartes | 1.82 | 83.23 |
MARCH3 | 0.0015841 | 936 | GTEx | DepMap | Descartes | 0.45 | NA |
SNCA | 0.0015705 | 955 | GTEx | DepMap | Descartes | 0.96 | 19.69 |
TRAK2 | 0.0012190 | 1300 | GTEx | DepMap | Descartes | 1.07 | 10.79 |
TSPAN5 | 0.0007526 | 2099 | GTEx | DepMap | Descartes | 1.50 | 24.58 |
FECH | 0.0007300 | 2168 | GTEx | DepMap | Descartes | 0.39 | 3.29 |
RAPGEF2 | 0.0002659 | 4079 | GTEx | DepMap | Descartes | 0.70 | 5.83 |
XPO7 | 0.0002258 | 4323 | GTEx | DepMap | Descartes | 0.68 | 9.04 |
SLC4A1 | 0.0000601 | 5705 | GTEx | DepMap | Descartes | 0.00 | 0.03 |
CAT | 0.0000588 | 5716 | GTEx | DepMap | Descartes | 0.60 | 18.32 |
RGS6 | 0.0000040 | 6301 | GTEx | DepMap | Descartes | 0.00 | 0.00 |
GYPC | -0.0000166 | 6566 | GTEx | DepMap | Descartes | 0.00 | 0.00 |
DENND4A | -0.0000223 | 6644 | GTEx | DepMap | Descartes | 0.33 | 2.67 |
CPOX | -0.0000458 | 7020 | GTEx | DepMap | Descartes | 0.17 | 3.99 |
TMCC2 | -0.0000530 | 7134 | GTEx | DepMap | Descartes | 0.06 | 0.83 |
SLC25A21 | -0.0000683 | 7358 | GTEx | DepMap | Descartes | 0.00 | 0.00 |
ALAS2 | -0.0000698 | 7377 | GTEx | DepMap | Descartes | 0.00 | 0.00 |
SPTB | -0.0000873 | 7624 | GTEx | DepMap | Descartes | 0.02 | 0.09 |
GCLC | -0.0001761 | 8861 | GTEx | DepMap | Descartes | 0.37 | 6.36 |
ABCB10 | -0.0001798 | 8902 | GTEx | DepMap | Descartes | 0.17 | 2.66 |
ANK1 | -0.0001918 | 9023 | GTEx | DepMap | Descartes | 0.03 | 0.23 |
RHD | -0.0003564 | 10364 | GTEx | DepMap | Descartes | 0.00 | 0.00 |
SELENBP1 | -0.0003968 | 10636 | GTEx | DepMap | Descartes | 0.01 | 0.17 |
TFR2 | -0.0004456 | 10907 | GTEx | DepMap | Descartes | 0.04 | 0.72 |
SOX6 | -0.0004733 | 11044 | GTEx | DepMap | Descartes | 0.02 | 0.10 |
SLC25A37 | -0.0008822 | 12096 | GTEx | DepMap | Descartes | 0.98 | 14.02 |
EPB41 | -0.0011662 | 12344 | GTEx | DepMap | Descartes | 1.01 | 10.08 |
NA | NA | NA | NA | NA | NA | NA | NA |
Descartes myeloid markers
Top 50 marker genes of myeloid cells in the Decartes fetal adrenal single cell map (https://atlas.brotmanbaty.org/bbi/human-gene-expression-during-development/cell/myeloid/in/adrenal)
Wilcoxon ranksum test P-value for gene set overrepresentation: 2.81e-02
Mean rank of genes in gene set: 5154.92
Median rank of genes in gene set: 5021
Rank on gene expression program of top 30 genes in gene set:
Genes | Weight | Rank | GTEx | DepMap | Descartes | Mean.Counts | Mean.TPM |
---|---|---|---|---|---|---|---|
PTPRE | 0.0041200 | 186 | GTEx | DepMap | Descartes | 2.19 | 26.04 |
HRH1 | 0.0039708 | 201 | GTEx | DepMap | Descartes | 0.63 | 9.74 |
AXL | 0.0039511 | 202 | GTEx | DepMap | Descartes | 1.23 | 16.62 |
CTSD | 0.0038772 | 209 | GTEx | DepMap | Descartes | 4.46 | 144.65 |
CTSB | 0.0029542 | 346 | GTEx | DepMap | Descartes | 3.63 | 66.08 |
TGFBI | 0.0027446 | 404 | GTEx | DepMap | Descartes | 2.95 | 42.17 |
FMN1 | 0.0018442 | 768 | GTEx | DepMap | Descartes | 1.69 | 8.19 |
ABCA1 | 0.0018358 | 775 | GTEx | DepMap | Descartes | 0.34 | 2.56 |
CST3 | 0.0017804 | 804 | GTEx | DepMap | Descartes | 9.57 | 192.66 |
ITPR2 | 0.0006574 | 2344 | GTEx | DepMap | Descartes | 1.42 | 7.66 |
CTSS | 0.0005695 | 2628 | GTEx | DepMap | Descartes | 0.07 | 1.50 |
SPP1 | 0.0004694 | 3022 | GTEx | DepMap | Descartes | 0.05 | 0.81 |
FGL2 | 0.0004528 | 3107 | GTEx | DepMap | Descartes | 0.00 | 0.07 |
CTSC | 0.0003871 | 3390 | GTEx | DepMap | Descartes | 2.24 | 22.92 |
LGMN | 0.0003163 | 3776 | GTEx | DepMap | Descartes | 0.52 | 17.47 |
RGL1 | 0.0003050 | 3847 | GTEx | DepMap | Descartes | 0.45 | 5.25 |
ADAP2 | 0.0001816 | 4640 | GTEx | DepMap | Descartes | 0.01 | 0.20 |
WWP1 | 0.0001753 | 4691 | GTEx | DepMap | Descartes | 0.38 | 4.75 |
MERTK | 0.0001403 | 4972 | GTEx | DepMap | Descartes | 0.08 | 1.41 |
CPVL | 0.0001296 | 5070 | GTEx | DepMap | Descartes | 0.33 | 11.65 |
CD163 | 0.0000348 | 5940 | GTEx | DepMap | Descartes | 0.00 | 0.00 |
SLCO2B1 | 0.0000164 | 6136 | GTEx | DepMap | Descartes | 0.00 | 0.01 |
FGD2 | 0.0000127 | 6185 | GTEx | DepMap | Descartes | 0.00 | 0.00 |
CSF1R | -0.0000086 | 6455 | GTEx | DepMap | Descartes | 0.00 | 0.07 |
ATP8B4 | -0.0000141 | 6532 | GTEx | DepMap | Descartes | 0.00 | 0.00 |
CYBB | -0.0000361 | 6867 | GTEx | DepMap | Descartes | 0.00 | 0.00 |
HCK | -0.0000789 | 7492 | GTEx | DepMap | Descartes | 0.00 | 0.00 |
MSR1 | -0.0001014 | 7853 | GTEx | DepMap | Descartes | 0.00 | 0.00 |
SLC9A9 | -0.0001125 | 8023 | GTEx | DepMap | Descartes | 0.00 | 0.10 |
CD74 | -0.0001196 | 8126 | GTEx | DepMap | Descartes | 0.01 | 0.12 |
Descartes Schwann markers
Top 50 marker genes of Schwann cells in the Decartes fetal adrenal single cell map (https://atlas.brotmanbaty.org/bbi/human-gene-expression-during-development/cell/schwann/in/adrenal)
Wilcoxon ranksum test P-value for gene set overrepresentation: 2.04e-01
Mean rank of genes in gene set: 5823.75
Median rank of genes in gene set: 6308.5
Rank on gene expression program of top 30 genes in gene set:
Genes | Weight | Rank | GTEx | DepMap | Descartes | Mean.Counts | Mean.TPM |
---|---|---|---|---|---|---|---|
MARCKS | 0.0062366 | 71 | GTEx | DepMap | Descartes | 27.37 | 439.22 |
DST | 0.0032568 | 289 | GTEx | DepMap | Descartes | 10.93 | 33.63 |
LAMB1 | 0.0029886 | 338 | GTEx | DepMap | Descartes | 4.37 | 54.41 |
PPP2R2B | 0.0028660 | 372 | GTEx | DepMap | Descartes | 2.98 | 18.89 |
VIM | 0.0027432 | 405 | GTEx | DepMap | Descartes | 85.74 | 2134.15 |
LAMC1 | 0.0027224 | 411 | GTEx | DepMap | Descartes | 2.16 | 18.88 |
OLFML2A | 0.0019529 | 700 | GTEx | DepMap | Descartes | 0.09 | 1.03 |
COL18A1 | 0.0017989 | 794 | GTEx | DepMap | Descartes | 1.45 | 14.05 |
STARD13 | 0.0016331 | 895 | GTEx | DepMap | Descartes | 0.19 | 2.20 |
VCAN | 0.0015725 | 953 | GTEx | DepMap | Descartes | 3.93 | 21.79 |
PLCE1 | 0.0011346 | 1390 | GTEx | DepMap | Descartes | 1.23 | 7.29 |
ADAMTS5 | 0.0009861 | 1602 | GTEx | DepMap | Descartes | 1.03 | 7.17 |
IL1RAPL1 | 0.0009350 | 1693 | GTEx | DepMap | Descartes | 0.14 | 2.30 |
LAMA4 | 0.0007706 | 2054 | GTEx | DepMap | Descartes | 0.27 | 2.27 |
NRXN3 | 0.0004109 | 3292 | GTEx | DepMap | Descartes | 0.02 | 0.14 |
PTN | 0.0003865 | 3393 | GTEx | DepMap | Descartes | 9.50 | 437.06 |
ERBB3 | 0.0002712 | 4043 | GTEx | DepMap | Descartes | 0.03 | 0.38 |
KCTD12 | 0.0002689 | 4061 | GTEx | DepMap | Descartes | 1.63 | 18.74 |
MPZ | 0.0001872 | 4590 | GTEx | DepMap | Descartes | 0.03 | 0.79 |
PLP1 | 0.0001796 | 4661 | GTEx | DepMap | Descartes | 0.02 | 0.55 |
GAS7 | 0.0001096 | 5230 | GTEx | DepMap | Descartes | 0.04 | 0.31 |
IL1RAPL2 | 0.0000572 | 5730 | GTEx | DepMap | Descartes | 0.00 | 0.00 |
ERBB4 | -0.0000378 | 6887 | GTEx | DepMap | Descartes | 0.08 | 0.49 |
XKR4 | -0.0000383 | 6895 | GTEx | DepMap | Descartes | 0.00 | 0.01 |
PMP22 | -0.0000384 | 6896 | GTEx | DepMap | Descartes | 1.18 | 42.02 |
COL25A1 | -0.0000707 | 7397 | GTEx | DepMap | Descartes | 0.01 | 0.04 |
SORCS1 | -0.0000900 | 7669 | GTEx | DepMap | Descartes | 1.46 | 14.32 |
SOX5 | -0.0001019 | 7859 | GTEx | DepMap | Descartes | 0.20 | 1.98 |
PAG1 | -0.0001142 | 8052 | GTEx | DepMap | Descartes | 0.19 | 1.10 |
MDGA2 | -0.0001450 | 8464 | GTEx | DepMap | Descartes | 0.01 | 0.03 |
Descartes Megakaryocytes markers
Top 50 marker genes of Megakaryocytes cells in the Decartes fetal adrenal single cell map (https://atlas.brotmanbaty.org/bbi/human-gene-expression-during-development/cell/megakaryocytes/in/adrenal)
Wilcoxon ranksum test P-value for gene set overrepresentation: 1.51e-03
Mean rank of genes in gene set: 4675.91
Median rank of genes in gene set: 4718
Rank on gene expression program of top 30 genes in gene set:
Genes | Weight | Rank | GTEx | DepMap | Descartes | Mean.Counts | Mean.TPM |
---|---|---|---|---|---|---|---|
LTBP1 | 0.0081574 | 36 | GTEx | DepMap | Descartes | 3.86 | 42.90 |
MYH9 | 0.0077615 | 41 | GTEx | DepMap | Descartes | 6.35 | 57.04 |
VCL | 0.0075172 | 44 | GTEx | DepMap | Descartes | 5.46 | 47.49 |
MYLK | 0.0068744 | 49 | GTEx | DepMap | Descartes | 3.50 | 22.59 |
ACTB | 0.0067638 | 50 | GTEx | DepMap | Descartes | 74.78 | 2152.76 |
ZYX | 0.0059275 | 78 | GTEx | DepMap | Descartes | 6.90 | 205.73 |
TMSB4X | 0.0050425 | 108 | GTEx | DepMap | Descartes | 91.84 | 3463.78 |
FLNA | 0.0048495 | 127 | GTEx | DepMap | Descartes | 6.84 | 53.12 |
ACTN1 | 0.0031563 | 308 | GTEx | DepMap | Descartes | 4.15 | 56.95 |
TLN1 | 0.0029772 | 343 | GTEx | DepMap | Descartes | 5.82 | 45.58 |
TGFB1 | 0.0028659 | 373 | GTEx | DepMap | Descartes | 2.00 | 46.08 |
UBASH3B | 0.0020063 | 666 | GTEx | DepMap | Descartes | 0.19 | 1.65 |
LIMS1 | 0.0018052 | 789 | GTEx | DepMap | Descartes | 3.79 | 54.50 |
TPM4 | 0.0016420 | 892 | GTEx | DepMap | Descartes | 9.56 | 129.54 |
GSN | 0.0014309 | 1082 | GTEx | DepMap | Descartes | 0.91 | 9.86 |
PSTPIP2 | 0.0014154 | 1095 | GTEx | DepMap | Descartes | 0.22 | 4.72 |
HIPK2 | 0.0010566 | 1494 | GTEx | DepMap | Descartes | 2.30 | 9.51 |
STOM | 0.0008239 | 1927 | GTEx | DepMap | Descartes | 0.82 | 17.96 |
ARHGAP6 | 0.0005877 | 2569 | GTEx | DepMap | Descartes | 0.30 | 3.30 |
TRPC6 | 0.0003060 | 3837 | GTEx | DepMap | Descartes | 0.00 | 0.00 |
CD9 | 0.0002569 | 4129 | GTEx | DepMap | Descartes | 2.63 | 98.22 |
ITGB3 | 0.0002172 | 4388 | GTEx | DepMap | Descartes | 0.01 | 0.11 |
PRKAR2B | 0.0001716 | 4718 | GTEx | DepMap | Descartes | 1.66 | 29.43 |
ANGPT1 | 0.0001206 | 5132 | GTEx | DepMap | Descartes | 0.15 | 2.26 |
SLC2A3 | 0.0001060 | 5264 | GTEx | DepMap | Descartes | 0.10 | 1.60 |
RAB27B | 0.0000890 | 5422 | GTEx | DepMap | Descartes | 0.21 | 1.69 |
CD84 | 0.0000070 | 6259 | GTEx | DepMap | Descartes | 0.00 | 0.00 |
MMRN1 | -0.0000098 | 6476 | GTEx | DepMap | Descartes | 0.00 | 0.00 |
THBS1 | -0.0000343 | 6843 | GTEx | DepMap | Descartes | 0.54 | 5.40 |
ITGA2B | -0.0000347 | 6846 | GTEx | DepMap | Descartes | 0.02 | 0.46 |
Descartes Lyphoid markers
Top 50 marker genes of Lyphoid cells in the Decartes fetal adrenal single cell map (https://atlas.brotmanbaty.org/bbi/human-gene-expression-during-development/cell/lymphoid/in/adrenal)
Wilcoxon ranksum test P-value for gene set overrepresentation: 3.92e-01
Mean rank of genes in gene set: 6122.05
Median rank of genes in gene set: 6974.5
Rank on gene expression program of top 30 genes in gene set:
Genes | Weight | Rank | GTEx | DepMap | Descartes | Mean.Counts | Mean.TPM |
---|---|---|---|---|---|---|---|
ARHGDIB | 0.0106984 | 18 | GTEx | DepMap | Descartes | 2.45 | 125.24 |
ARID5B | 0.0064408 | 65 | GTEx | DepMap | Descartes | 3.55 | 33.20 |
CD44 | 0.0049356 | 117 | GTEx | DepMap | Descartes | 2.41 | 29.23 |
SP100 | 0.0048289 | 129 | GTEx | DepMap | Descartes | 1.09 | 13.64 |
MSN | 0.0045374 | 158 | GTEx | DepMap | Descartes | 3.16 | 55.83 |
TMSB10 | 0.0029408 | 350 | GTEx | DepMap | Descartes | 111.09 | 15597.47 |
PLEKHA2 | 0.0028889 | 364 | GTEx | DepMap | Descartes | 0.64 | 7.64 |
ETS1 | 0.0019721 | 690 | GTEx | DepMap | Descartes | 0.64 | 7.82 |
ABLIM1 | 0.0017289 | 836 | GTEx | DepMap | Descartes | 2.37 | 21.54 |
TOX | 0.0017097 | 845 | GTEx | DepMap | Descartes | 0.82 | 13.55 |
B2M | 0.0015301 | 988 | GTEx | DepMap | Descartes | 20.77 | 590.77 |
WIPF1 | 0.0014659 | 1043 | GTEx | DepMap | Descartes | 1.18 | 18.03 |
DOCK10 | 0.0005526 | 2688 | GTEx | DepMap | Descartes | 0.31 | 2.80 |
CCND3 | 0.0003468 | 3604 | GTEx | DepMap | Descartes | 0.53 | 14.14 |
FOXP1 | 0.0001603 | 4802 | GTEx | DepMap | Descartes | 1.74 | 12.85 |
MBNL1 | 0.0001369 | 5006 | GTEx | DepMap | Descartes | 1.41 | 13.99 |
SORL1 | 0.0001219 | 5122 | GTEx | DepMap | Descartes | 0.22 | 1.29 |
SAMD3 | 0.0000653 | 5652 | GTEx | DepMap | Descartes | 0.01 | 0.12 |
STK39 | 0.0000482 | 5821 | GTEx | DepMap | Descartes | 0.69 | 13.36 |
SKAP1 | -0.0000237 | 6666 | GTEx | DepMap | Descartes | 0.00 | 0.00 |
RCSD1 | -0.0000267 | 6717 | GTEx | DepMap | Descartes | 0.00 | 0.06 |
ARHGAP15 | -0.0000594 | 7232 | GTEx | DepMap | Descartes | 0.00 | 0.00 |
BACH2 | -0.0000624 | 7276 | GTEx | DepMap | Descartes | 0.16 | 1.18 |
CCL5 | -0.0000625 | 7277 | GTEx | DepMap | Descartes | 0.01 | 0.24 |
CELF2 | -0.0001115 | 8004 | GTEx | DepMap | Descartes | 0.14 | 1.10 |
PITPNC1 | -0.0001264 | 8235 | GTEx | DepMap | Descartes | 0.53 | 5.67 |
SCML4 | -0.0001644 | 8745 | GTEx | DepMap | Descartes | 0.00 | 0.00 |
PRKCH | -0.0001704 | 8801 | GTEx | DepMap | Descartes | 0.05 | 0.81 |
LCP1 | -0.0001794 | 8897 | GTEx | DepMap | Descartes | 0.01 | 0.12 |
IKZF1 | -0.0001855 | 8965 | GTEx | DepMap | Descartes | 0.00 | 0.00 |
Below shows the ranks on this GEP for immune marker gene lists curated by CellTypist (https://www.celltypist.org/encyclopedia).
High ranks indicate this gene is a driver of this GEP.
These curated gene list are ranked by P-value (on this GEP) of their constituent genes.
The Mean Count column shows the mean read count in cells scoring highly (H > 50) on this gene expression program.
Genes | Weight | Rank | GTEx | DepMap | Decartes | Mean.Counts | Mean.TPM |
---|---|---|---|---|---|---|---|
FCGRT | 0.0045323 | 159 | GTEx | DepMap | Descartes | 3.41 | 87.39 |
TMSB10 | 0.0029408 | 350 | GTEx | DepMap | Descartes | 111.09 | 15597.47 |
CTSL | 0.0020279 | 655 | GTEx | DepMap | Descartes | 1.53 | NA |
LTB | 0.0000546 | 5753 | GTEx | DepMap | Descartes | 0.01 | 0.51 |
T cells: CD8a/b(entry) (model markers)
T lymphocytes with CD8 alpha/beta heterodimers in the late double-positive (entry) stage during T cell development:
Wilcoxon ranksum test P-value for gene set overrepresentation: 1.38e-02
Mean rank of genes in gene set: 2706.4
Rank on gene expression program of genes in gene set:
Genes | Weight | Rank | GTEx | DepMap | Decartes | Mean.Counts | Mean.TPM |
---|---|---|---|---|---|---|---|
CD44 | 0.0049356 | 117 | GTEx | DepMap | Descartes | 2.41 | 29.23 |
TMSB10 | 0.0029408 | 350 | GTEx | DepMap | Descartes | 111.09 | 15597.47 |
MALAT1 | 0.0018319 | 777 | GTEx | DepMap | Descartes | 498.45 | 4118.72 |
ITM2A | 0.0014763 | 1038 | GTEx | DepMap | Descartes | 0.33 | 12.54 |
SATB1 | -0.0005244 | 11250 | GTEx | DepMap | Descartes | 1.37 | 11.41 |
Monocytes: Monocytes (model markers)
myeloid mononuclear recirculating leukocytes that are capable of differentiating into macrophages and myeloid lineage dendritic cells:
Wilcoxon ranksum test P-value for gene set overrepresentation: 1.68e-02
Mean rank of genes in gene set: 1829.67
Rank on gene expression program of genes in gene set:
Genes | Weight | Rank | GTEx | DepMap | Decartes | Mean.Counts | Mean.TPM |
---|---|---|---|---|---|---|---|
NEAT1 | 0.0065624 | 59 | GTEx | DepMap | Descartes | 91.94 | 287.70 |
SAT1 | 0.0035691 | 244 | GTEx | DepMap | Descartes | 1.99 | 128.28 |
TYROBP | 0.0001145 | 5186 | GTEx | DepMap | Descartes | 0.00 | 0.00 |