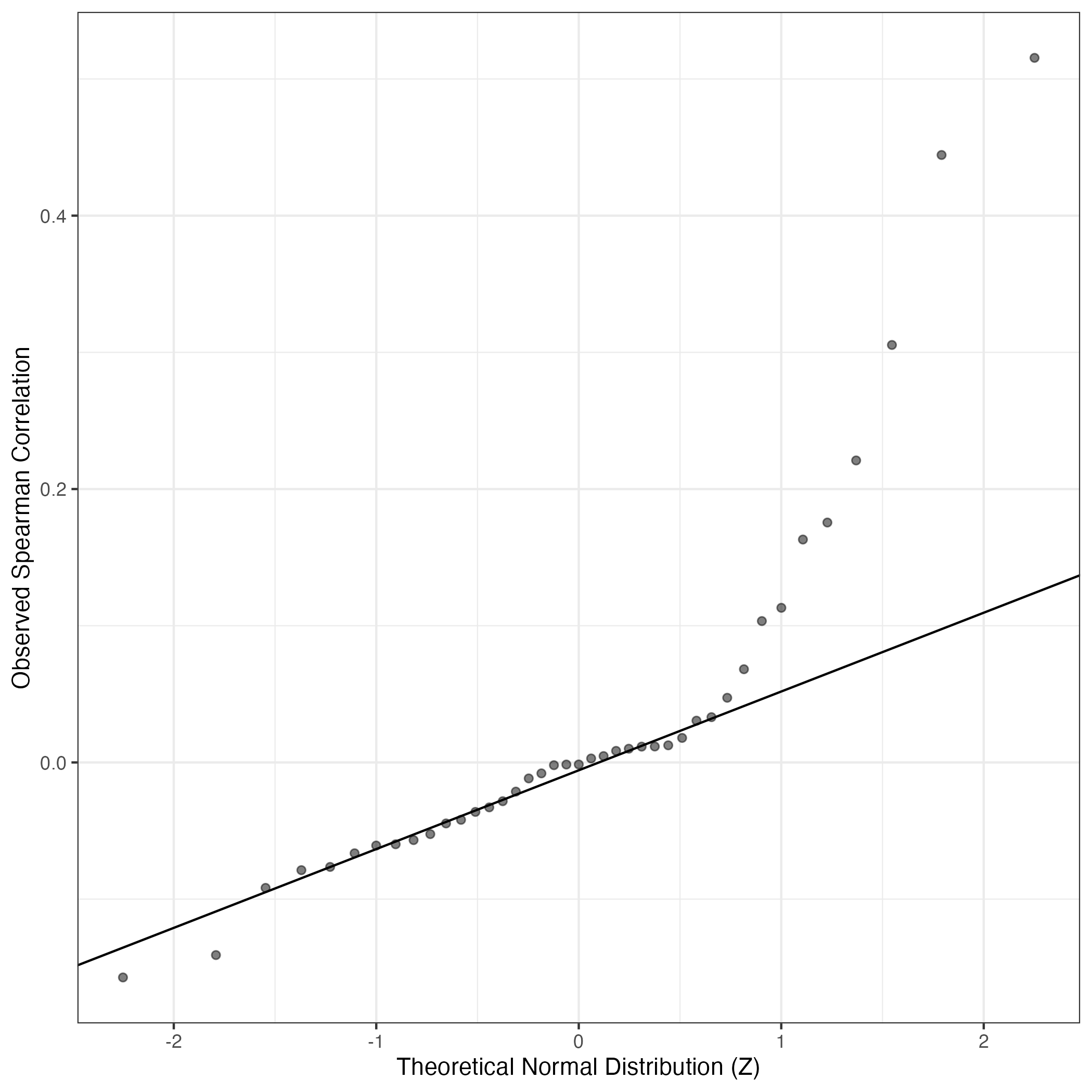
QQ-plot of gene loadings, averaged over both independent splits of the data
This plot highlights the relative contribution of each gene to the GEP
Top genes driving this program.
Note: Decartes website is buggy, try refreshing. Also, Decartes fetal adrenal data have been collected at specific time points (89-122 days), all possible cell types of interest may not be represented, do not overinterpret.
The Mean Count column shows the mean read count in cells scoring highly (H > 50) on this gene expression program.
Gene | Loading | Gene.Name | GTEx | DepMap | Descartes | Mean.Counts | Mean.Tpm | |
---|---|---|---|---|---|---|---|---|
1 | DNASE1L3 | 0.0147279 | deoxyribonuclease 1 like 3 | GTEx | DepMap | Descartes | 9.79 | 1407.58 |
2 | STC1 | 0.0146965 | stanniocalcin 1 | GTEx | DepMap | Descartes | 8.40 | 687.48 |
3 | TFPI | 0.0145824 | tissue factor pathway inhibitor | GTEx | DepMap | Descartes | 10.43 | 422.14 |
4 | LYVE1 | 0.0144278 | lymphatic vessel endothelial hyaluronan receptor 1 | GTEx | DepMap | Descartes | 8.86 | 840.42 |
5 | FCN2 | 0.0139721 | ficolin 2 | GTEx | DepMap | Descartes | 3.66 | 1030.74 |
6 | PLAT | 0.0129218 | plasminogen activator, tissue type | GTEx | DepMap | Descartes | 7.95 | 720.59 |
7 | CAVIN2 | 0.0125491 | caveolae associated protein 2 | GTEx | DepMap | Descartes | 15.05 | NA |
8 | EDN1 | 0.0124637 | endothelin 1 | GTEx | DepMap | Descartes | 2.86 | 437.25 |
9 | CTSL | 0.0121656 | cathepsin L | GTEx | DepMap | Descartes | 6.77 | NA |
10 | CYP26B1 | 0.0119057 | cytochrome P450 family 26 subfamily B member 1 | GTEx | DepMap | Descartes | 4.08 | 273.64 |
11 | CCL14 | 0.0113104 | C-C motif chemokine ligand 14 | GTEx | DepMap | Descartes | 1.19 | 106.34 |
12 | HLA-E | 0.0107156 | major histocompatibility complex, class I, E | GTEx | DepMap | Descartes | 9.11 | 1063.18 |
13 | IGFBP4 | 0.0100226 | insulin like growth factor binding protein 4 | GTEx | DepMap | Descartes | 10.41 | 1400.03 |
14 | DUSP6 | 0.0099176 | dual specificity phosphatase 6 | GTEx | DepMap | Descartes | 5.08 | 430.55 |
15 | MAF | 0.0096567 | MAF bZIP transcription factor | GTEx | DepMap | Descartes | 3.45 | 171.59 |
16 | SLC2A3 | 0.0094678 | solute carrier family 2 member 3 | GTEx | DepMap | Descartes | 5.76 | 422.61 |
17 | GALNT15 | 0.0093915 | polypeptide N-acetylgalactosaminyltransferase 15 | GTEx | DepMap | Descartes | 0.75 | NA |
18 | MMRN1 | 0.0093041 | multimerin 1 | GTEx | DepMap | Descartes | 1.33 | 82.54 |
19 | AKAP12 | 0.0093002 | A-kinase anchoring protein 12 | GTEx | DepMap | Descartes | 15.10 | 517.03 |
20 | PIM3 | 0.0090019 | Pim-3 proto-oncogene, serine/threonine kinase | GTEx | DepMap | Descartes | 1.79 | 248.15 |
21 | B2M | 0.0089923 | beta-2-microglobulin | GTEx | DepMap | Descartes | 36.87 | 4330.71 |
22 | PDK4 | 0.0089828 | pyruvate dehydrogenase kinase 4 | GTEx | DepMap | Descartes | 2.41 | 202.89 |
23 | CEACAM1 | 0.0088736 | CEA cell adhesion molecule 1 | GTEx | DepMap | Descartes | 1.83 | 165.30 |
24 | KDR | 0.0087116 | kinase insert domain receptor | GTEx | DepMap | Descartes | 7.57 | 393.43 |
25 | ST6GAL1 | 0.0086400 | ST6 beta-galactoside alpha-2,6-sialyltransferase 1 | GTEx | DepMap | Descartes | 1.41 | 89.64 |
26 | HES1 | 0.0085975 | hes family bHLH transcription factor 1 | GTEx | DepMap | Descartes | 10.43 | 1938.97 |
27 | NID1 | 0.0085846 | nidogen 1 | GTEx | DepMap | Descartes | 4.85 | 250.85 |
28 | FAM213A | 0.0084360 | NA | GTEx | DepMap | Descartes | 3.22 | NA |
29 | LDB2 | 0.0083726 | LIM domain binding 2 | GTEx | DepMap | Descartes | 3.76 | 406.77 |
30 | NCOA7 | 0.0083646 | nuclear receptor coactivator 7 | GTEx | DepMap | Descartes | 2.88 | NA |
31 | ENG | 0.0082413 | endoglin | GTEx | DepMap | Descartes | 3.68 | 351.26 |
32 | SH3BP5 | 0.0081793 | SH3 domain binding protein 5 | GTEx | DepMap | Descartes | 4.82 | 425.00 |
33 | FCGR2B | 0.0081588 | Fc gamma receptor IIb | GTEx | DepMap | Descartes | 6.28 | 380.88 |
34 | F2R | 0.0081303 | coagulation factor II thrombin receptor | GTEx | DepMap | Descartes | 2.98 | 240.82 |
35 | TGFBR2 | 0.0080977 | transforming growth factor beta receptor 2 | GTEx | DepMap | Descartes | 5.40 | 279.61 |
36 | GJA1 | 0.0080653 | gap junction protein alpha 1 | GTEx | DepMap | Descartes | 3.28 | 336.03 |
37 | IGFBP7 | 0.0079997 | insulin like growth factor binding protein 7 | GTEx | DepMap | Descartes | 12.76 | 2601.10 |
38 | CNTNAP3B | 0.0079335 | contactin associated protein family member 3B | GTEx | DepMap | Descartes | 1.40 | 59.64 |
39 | INHBB | 0.0078921 | inhibin subunit beta B | GTEx | DepMap | Descartes | 0.44 | 45.75 |
40 | WWTR1 | 0.0077161 | WW domain containing transcription regulator 1 | GTEx | DepMap | Descartes | 3.05 | 181.38 |
41 | SLC27A3 | 0.0077066 | solute carrier family 27 member 3 | GTEx | DepMap | Descartes | 1.62 | 107.27 |
42 | SMTN | 0.0076377 | smoothelin | GTEx | DepMap | Descartes | 2.27 | 136.69 |
43 | NRP2 | 0.0076122 | neuropilin 2 | GTEx | DepMap | Descartes | 4.29 | 200.14 |
44 | NPR1 | 0.0075698 | natriuretic peptide receptor 1 | GTEx | DepMap | Descartes | 1.93 | 139.83 |
45 | STAB1 | 0.0074513 | stabilin 1 | GTEx | DepMap | Descartes | 3.64 | 151.52 |
46 | EGFL7 | 0.0074213 | EGF like domain multiple 7 | GTEx | DepMap | Descartes | 13.86 | 1936.30 |
47 | DUSP1 | 0.0073491 | dual specificity phosphatase 1 | GTEx | DepMap | Descartes | 8.60 | 1227.55 |
48 | GNG11 | 0.0073051 | G protein subunit gamma 11 | GTEx | DepMap | Descartes | 11.60 | 1035.13 |
49 | PDE4B | 0.0072566 | phosphodiesterase 4B | GTEx | DepMap | Descartes | 0.77 | 49.77 |
50 | S100A16 | 0.0072181 | S100 calcium binding protein A16 | GTEx | DepMap | Descartes | 6.19 | 1455.93 |
UMAP plots showing activity of gene expression program identified in GEP 29. Endothelial III:
Gene set Enrichments for this program, caculated from top 50 genes
mSigDB Cell Types Gene Set:
P-value | OR | Lower 95% CI | FDR | FWER | Genes Found | Gene Set Size | |
---|---|---|---|---|---|---|---|
AIZARANI_LIVER_C9_LSECS_1 | 2.10e-52 | 184.28 | 98.11 | 1.41e-49 | 1.41e-49 | 33DNASE1L3, STC1, TFPI, LYVE1, FCN2, CAVIN2, EDN1, CTSL, CCL14, DUSP6, MAF, SLC2A3, GALNT15, MMRN1, AKAP12, KDR, HES1, NID1, LDB2, NCOA7, ENG, F2R, IGFBP7, CNTNAP3B, WWTR1, SLC27A3, SMTN, NRP2, NPR1, STAB1, EGFL7, GNG11, S100A16 |
304 |
AIZARANI_LIVER_C13_LSECS_2 | 3.37e-51 | 182.17 | 98.06 | 1.13e-48 | 2.26e-48 | 32DNASE1L3, TFPI, LYVE1, FCN2, CAVIN2, EDN1, CTSL, CCL14, HLA-E, IGFBP4, MAF, GALNT15, AKAP12, PIM3, PDK4, KDR, HES1, NID1, LDB2, ENG, FCGR2B, F2R, TGFBR2, IGFBP7, SLC27A3, SMTN, NRP2, NPR1, STAB1, EGFL7, GNG11, S100A16 |
283 |
CUI_DEVELOPING_HEART_C4_ENDOTHELIAL_CELL | 1.39e-30 | 123.97 | 64.40 | 1.87e-28 | 9.33e-28 | 19TFPI, CAVIN2, HLA-E, IGFBP4, DUSP6, MMRN1, KDR, ST6GAL1, HES1, LDB2, ENG, F2R, WWTR1, SLC27A3, NRP2, NPR1, EGFL7, GNG11, S100A16 |
146 |
FAN_OVARY_CL16_LYMPHATIC_ENDOTHELIAL_CELL | 2.03e-32 | 96.38 | 51.56 | 4.53e-30 | 1.36e-29 | 22TFPI, CAVIN2, CTSL, HLA-E, IGFBP4, DUSP6, MMRN1, AKAP12, PIM3, B2M, LDB2, ENG, TGFBR2, GJA1, IGFBP7, CNTNAP3B, SMTN, NRP2, EGFL7, DUSP1, GNG11, S100A16 |
232 |
AIZARANI_LIVER_C10_MVECS_1 | 5.67e-31 | 81.88 | 43.97 | 9.51e-29 | 3.81e-28 | 22DNASE1L3, PLAT, CAVIN2, EDN1, HLA-E, IGFBP4, DUSP6, GALNT15, MMRN1, KDR, HES1, LDB2, ENG, F2R, TGFBR2, GJA1, IGFBP7, CNTNAP3B, WWTR1, NPR1, EGFL7, GNG11 |
269 |
LAKE_ADULT_KIDNEY_C23_ENDOTHELIAL_CELLS_AVR | 1.35e-19 | 79.80 | 37.96 | 8.26e-18 | 9.09e-17 | 13DNASE1L3, TFPI, PLAT, CAVIN2, HLA-E, B2M, CEACAM1, LDB2, ENG, SH3BP5, TGFBR2, IGFBP7, EGFL7 |
126 |
FAN_OVARY_CL7_ANGEIOGENIC_ENDOTHELIAL_CELL | 5.72e-26 | 68.00 | 35.77 | 5.49e-24 | 3.84e-23 | 19TFPI, CAVIN2, CCL14, HLA-E, IGFBP4, DUSP6, SLC2A3, PIM3, B2M, HES1, LDB2, ENG, SH3BP5, TGFBR2, IGFBP7, EGFL7, DUSP1, GNG11, S100A16 |
251 |
DESCARTES_FETAL_ADRENAL_VASCULAR_ENDOTHELIAL_CELLS | 5.04e-19 | 71.74 | 34.15 | 2.82e-17 | 3.38e-16 | 13DNASE1L3, FCN2, EDN1, CYP26B1, GALNT15, CEACAM1, KDR, LDB2, ENG, FCGR2B, CNTNAP3B, INHBB, NPR1 |
139 |
DURANTE_ADULT_OLFACTORY_NEUROEPITHELIUM_PERICYTES | 3.24e-14 | 80.57 | 33.20 | 1.21e-12 | 2.18e-11 | 9PLAT, CAVIN2, EDN1, HLA-E, IGFBP4, ENG, TGFBR2, EGFL7, GNG11 |
79 |
AIZARANI_LIVER_C20_LSECS_3 | 2.09e-26 | 62.38 | 33.16 | 2.34e-24 | 1.40e-23 | 20DNASE1L3, STC1, TFPI, LYVE1, FCN2, CAVIN2, CTSL, DUSP6, SLC2A3, AKAP12, KDR, NID1, LDB2, NCOA7, ENG, IGFBP7, WWTR1, NRP2, STAB1, S100A16 |
295 |
AIZARANI_LIVER_C29_MVECS_2 | 6.87e-26 | 58.61 | 31.16 | 5.77e-24 | 4.61e-23 | 20STC1, TFPI, CAVIN2, EDN1, HLA-E, IGFBP4, DUSP6, GALNT15, MMRN1, AKAP12, LDB2, NCOA7, ENG, F2R, GJA1, IGFBP7, CNTNAP3B, WWTR1, GNG11, S100A16 |
313 |
DESCARTES_MAIN_FETAL_LYMPHATIC_ENDOTHELIAL_CELLS | 5.08e-12 | 62.82 | 24.66 | 1.48e-10 | 3.41e-09 | 8TFPI, LYVE1, GJA1, CNTNAP3B, SLC27A3, NRP2, GNG11, S100A16 |
86 |
AIZARANI_LIVER_C32_MVECS_3 | 4.09e-14 | 55.91 | 24.34 | 1.44e-12 | 2.75e-11 | 10TFPI, HLA-E, AKAP12, B2M, NCOA7, ENG, FCGR2B, IGFBP7, WWTR1, NRP2 |
125 |
FAN_EMBRYONIC_CTX_BIG_GROUPS_BRAIN_ENDOTHELIAL | 7.11e-23 | 45.62 | 24.09 | 4.77e-21 | 4.77e-20 | 19TFPI, PLAT, CAVIN2, HLA-E, IGFBP4, DUSP6, SLC2A3, B2M, KDR, HES1, NID1, ENG, TGFBR2, IGFBP7, WWTR1, SMTN, EGFL7, GNG11, S100A16 |
365 |
MENON_FETAL_KIDNEY_9_ENDOTHELIAL_CELLS | 2.04e-11 | 52.11 | 20.59 | 5.48e-10 | 1.37e-08 | 8CAVIN2, HLA-E, IGFBP4, B2M, KDR, TGFBR2, EGFL7, GNG11 |
102 |
GAO_LARGE_INTESTINE_24W_C2_MKI67POS_PROGENITOR | 4.67e-11 | 46.74 | 18.48 | 1.21e-09 | 3.13e-08 | 8TFPI, MMRN1, KDR, LDB2, ENG, F2R, EGFL7, GNG11 |
113 |
RUBENSTEIN_SKELETAL_MUSCLE_PCV_ENDOTHELIAL_CELLS | 1.17e-14 | 38.17 | 17.91 | 4.64e-13 | 7.88e-12 | 12PLAT, CCL14, HLA-E, IGFBP4, SLC2A3, PIM3, LDB2, SH3BP5, TGFBR2, EGFL7, GNG11, S100A16 |
225 |
MANNO_MIDBRAIN_NEUROTYPES_HENDO | 1.48e-25 | 32.39 | 17.79 | 1.10e-23 | 9.92e-23 | 26DNASE1L3, CAVIN2, EDN1, IGFBP4, DUSP6, SLC2A3, AKAP12, B2M, PDK4, KDR, ST6GAL1, HES1, LDB2, ENG, TGFBR2, GJA1, IGFBP7, WWTR1, SMTN, NRP2, NPR1, STAB1, EGFL7, DUSP1, GNG11, PDE4B |
888 |
ZHENG_CORD_BLOOD_C6_HSC_MULTIPOTENT_PROGENITOR | 7.25e-10 | 46.53 | 17.20 | 1.57e-08 | 4.86e-07 | 7TFPI, CAVIN2, HLA-E, SLC2A3, MMRN1, PIM3, DUSP1 |
97 |
HU_FETAL_RETINA_FIBROBLAST | 1.09e-17 | 32.84 | 16.77 | 5.60e-16 | 7.28e-15 | 16TFPI, HLA-E, IGFBP4, SLC2A3, B2M, HES1, NID1, NCOA7, ENG, F2R, IGFBP7, WWTR1, SMTN, NRP2, EGFL7, GNG11 |
385 |
Dowload full table
mSigDB Hallmark Gene Sets:
P-value | OR | Lower 95% CI | FDR | FWER | Genes Found | Gene Set Size | |
---|---|---|---|---|---|---|---|
HALLMARK_KRAS_SIGNALING_UP | 1.08e-07 | 21.73 | 8.14 | 5.40e-06 | 5.40e-06 | 7TFPI, PLAT, DUSP6, AKAP12, ST6GAL1, ENG, GNG11 |
200 |
HALLMARK_ESTROGEN_RESPONSE_EARLY | 2.30e-06 | 18.10 | 6.23 | 3.83e-05 | 1.15e-04 | 6CYP26B1, IGFBP4, HES1, SH3BP5, GJA1, INHBB |
200 |
HALLMARK_ALLOGRAFT_REJECTION | 2.30e-06 | 18.10 | 6.23 | 3.83e-05 | 1.15e-04 | 6HLA-E, B2M, FCGR2B, F2R, INHBB, STAB1 |
200 |
HALLMARK_TNFA_SIGNALING_VIA_NFKB | 4.09e-05 | 14.68 | 4.50 | 5.11e-04 | 2.04e-03 | 5EDN1, SLC2A3, HES1, DUSP1, PDE4B |
200 |
HALLMARK_UV_RESPONSE_DN | 1.72e-04 | 15.99 | 4.13 | 1.72e-03 | 8.58e-03 | 4TFPI, TGFBR2, GJA1, DUSP1 |
144 |
HALLMARK_ANDROGEN_RESPONSE | 9.58e-04 | 16.93 | 3.32 | 6.85e-03 | 4.79e-02 | 3MAF, AKAP12, B2M |
100 |
HALLMARK_HYPOXIA | 5.92e-04 | 11.43 | 2.96 | 4.94e-03 | 2.96e-02 | 4STC1, SLC2A3, AKAP12, DUSP1 |
200 |
HALLMARK_TGF_BETA_SIGNALING | 4.92e-03 | 20.62 | 2.37 | 3.06e-02 | 2.46e-01 | 2ENG, WWTR1 |
54 |
HALLMARK_MYOGENESIS | 6.73e-03 | 8.34 | 1.65 | 3.06e-02 | 3.37e-01 | 3IGFBP7, WWTR1, SMTN |
200 |
HALLMARK_COMPLEMENT | 6.73e-03 | 8.34 | 1.65 | 3.06e-02 | 3.37e-01 | 3PLAT, CTSL, DUSP6 |
200 |
HALLMARK_INFLAMMATORY_RESPONSE | 6.73e-03 | 8.34 | 1.65 | 3.06e-02 | 3.37e-01 | 3EDN1, STAB1, PDE4B |
200 |
HALLMARK_INTERFERON_ALPHA_RESPONSE | 1.51e-02 | 11.30 | 1.31 | 6.30e-02 | 7.56e-01 | 2B2M, NCOA7 |
97 |
HALLMARK_COAGULATION | 2.91e-02 | 7.89 | 0.92 | 1.12e-01 | 1.00e+00 | 2PLAT, DUSP6 |
138 |
HALLMARK_APOPTOSIS | 3.85e-02 | 6.75 | 0.79 | 1.35e-01 | 1.00e+00 | 2PLAT, F2R |
161 |
HALLMARK_ADIPOGENESIS | 5.67e-02 | 5.42 | 0.63 | 1.35e-01 | 1.00e+00 | 2CAVIN2, PIM3 |
200 |
HALLMARK_ESTROGEN_RESPONSE_LATE | 5.67e-02 | 5.42 | 0.63 | 1.35e-01 | 1.00e+00 | 2CYP26B1, IGFBP4 |
200 |
HALLMARK_INTERFERON_GAMMA_RESPONSE | 5.67e-02 | 5.42 | 0.63 | 1.35e-01 | 1.00e+00 | 2B2M, PDE4B |
200 |
HALLMARK_MTORC1_SIGNALING | 5.67e-02 | 5.42 | 0.63 | 1.35e-01 | 1.00e+00 | 2STC1, SLC2A3 |
200 |
HALLMARK_EPITHELIAL_MESENCHYMAL_TRANSITION | 5.67e-02 | 5.42 | 0.63 | 1.35e-01 | 1.00e+00 | 2IGFBP4, GJA1 |
200 |
HALLMARK_XENOBIOTIC_METABOLISM | 5.67e-02 | 5.42 | 0.63 | 1.35e-01 | 1.00e+00 | 2IGFBP4, PDK4 |
200 |
Dowload full table
KEGG Pathways:
P-value | OR | Lower 95% CI | FDR | FWER | Genes Found | Gene Set Size | |
---|---|---|---|---|---|---|---|
KEGG_COMPLEMENT_AND_COAGULATION_CASCADES | 3.25e-04 | 24.90 | 4.84 | 6.04e-02 | 6.04e-02 | 3TFPI, PLAT, F2R |
69 |
KEGG_ANTIGEN_PROCESSING_AND_PRESENTATION | 6.62e-04 | 19.34 | 3.78 | 6.16e-02 | 1.23e-01 | 3CTSL, HLA-E, B2M |
88 |
KEGG_CYTOKINE_CYTOKINE_RECEPTOR_INTERACTION | 1.66e-03 | 8.58 | 2.23 | 1.03e-01 | 3.09e-01 | 4CCL14, KDR, TGFBR2, INHBB |
265 |
KEGG_ENDOCYTOSIS | 5.12e-03 | 9.24 | 1.82 | 2.38e-01 | 9.52e-01 | 3HLA-E, KDR, F2R |
181 |
KEGG_TGF_BETA_SIGNALING_PATHWAY | 1.20e-02 | 12.77 | 1.48 | 4.48e-01 | 1.00e+00 | 2TGFBR2, INHBB |
86 |
KEGG_MAPK_SIGNALING_PATHWAY | 1.46e-02 | 6.23 | 1.23 | 4.53e-01 | 1.00e+00 | 3DUSP6, TGFBR2, DUSP1 |
267 |
KEGG_PURINE_METABOLISM | 3.77e-02 | 6.84 | 0.80 | 1.00e+00 | 1.00e+00 | 2NPR1, PDE4B |
159 |
KEGG_CHEMOKINE_SIGNALING_PATHWAY | 5.13e-02 | 5.74 | 0.67 | 1.00e+00 | 1.00e+00 | 2CCL14, GNG11 |
189 |
KEGG_MATURITY_ONSET_DIABETES_OF_THE_YOUNG | 4.73e-02 | 21.89 | 0.52 | 1.00e+00 | 1.00e+00 | 1HES1 |
25 |
KEGG_O_GLYCAN_BIOSYNTHESIS | 5.65e-02 | 18.12 | 0.44 | 1.00e+00 | 1.00e+00 | 1GALNT15 |
30 |
KEGG_ALLOGRAFT_REJECTION | 6.92e-02 | 14.60 | 0.35 | 1.00e+00 | 1.00e+00 | 1HLA-E |
37 |
KEGG_GRAFT_VERSUS_HOST_DISEASE | 7.64e-02 | 13.13 | 0.32 | 1.00e+00 | 1.00e+00 | 1HLA-E |
41 |
KEGG_TYPE_I_DIABETES_MELLITUS | 7.99e-02 | 12.51 | 0.30 | 1.00e+00 | 1.00e+00 | 1HLA-E |
43 |
KEGG_N_GLYCAN_BIOSYNTHESIS | 8.53e-02 | 11.68 | 0.28 | 1.00e+00 | 1.00e+00 | 1ST6GAL1 |
46 |
KEGG_NOTCH_SIGNALING_PATHWAY | 8.70e-02 | 11.42 | 0.28 | 1.00e+00 | 1.00e+00 | 1HES1 |
47 |
KEGG_AUTOIMMUNE_THYROID_DISEASE | 9.58e-02 | 10.31 | 0.25 | 1.00e+00 | 1.00e+00 | 1HLA-E |
52 |
KEGG_COLORECTAL_CANCER | 1.13e-01 | 8.62 | 0.21 | 1.00e+00 | 1.00e+00 | 1TGFBR2 |
62 |
KEGG_RETINOL_METABOLISM | 1.17e-01 | 8.34 | 0.20 | 1.00e+00 | 1.00e+00 | 1CYP26B1 |
64 |
KEGG_PANCREATIC_CANCER | 1.27e-01 | 7.62 | 0.19 | 1.00e+00 | 1.00e+00 | 1TGFBR2 |
70 |
KEGG_VIRAL_MYOCARDITIS | 1.27e-01 | 7.62 | 0.19 | 1.00e+00 | 1.00e+00 | 1HLA-E |
70 |
Dowload full table
CHR Positional Gene Sets:
P-value | OR | Lower 95% CI | FDR | FWER | Genes Found | Gene Set Size | |
---|---|---|---|---|---|---|---|
chr4q12 | 1.02e-02 | 13.94 | 1.61 | 1.00e+00 | 1.00e+00 | 2KDR, IGFBP7 |
79 |
chr2q32 | 1.85e-02 | 10.12 | 1.18 | 1.00e+00 | 1.00e+00 | 2TFPI, CAVIN2 |
108 |
chr6q22 | 2.22e-02 | 9.17 | 1.07 | 1.00e+00 | 1.00e+00 | 2NCOA7, GJA1 |
119 |
chr9q34 | 2.17e-02 | 5.34 | 1.06 | 1.00e+00 | 1.00e+00 | 3FCN2, ENG, EGFL7 |
311 |
chr3p25 | 3.19e-02 | 7.51 | 0.88 | 1.00e+00 | 1.00e+00 | 2GALNT15, SH3BP5 |
145 |
chr1q21 | 3.88e-02 | 4.23 | 0.84 | 1.00e+00 | 1.00e+00 | 3SLC27A3, NPR1, S100A16 |
392 |
chr7q21 | 3.98e-02 | 6.62 | 0.77 | 1.00e+00 | 1.00e+00 | 2PDK4, GNG11 |
164 |
chr9p11 | 9.06e-02 | 10.95 | 0.27 | 1.00e+00 | 1.00e+00 | 1CNTNAP3B |
49 |
chr6p24 | 1.05e-01 | 9.39 | 0.23 | 1.00e+00 | 1.00e+00 | 1EDN1 |
57 |
chr4q22 | 1.27e-01 | 7.62 | 0.19 | 1.00e+00 | 1.00e+00 | 1MMRN1 |
70 |
chr8p11 | 1.68e-01 | 5.59 | 0.14 | 1.00e+00 | 1.00e+00 | 1PLAT |
95 |
chr3p24 | 1.74e-01 | 5.36 | 0.13 | 1.00e+00 | 1.00e+00 | 1TGFBR2 |
99 |
chr16q23 | 1.82e-01 | 5.10 | 0.13 | 1.00e+00 | 1.00e+00 | 1MAF |
104 |
chr3q27 | 1.99e-01 | 4.61 | 0.11 | 1.00e+00 | 1.00e+00 | 1ST6GAL1 |
115 |
chr3p14 | 2.10e-01 | 4.34 | 0.11 | 1.00e+00 | 1.00e+00 | 1DNASE1L3 |
122 |
chr3q29 | 2.10e-01 | 4.34 | 0.11 | 1.00e+00 | 1.00e+00 | 1HES1 |
122 |
chr4p15 | 2.10e-01 | 4.34 | 0.11 | 1.00e+00 | 1.00e+00 | 1LDB2 |
122 |
chr12q21 | 2.19e-01 | 4.14 | 0.10 | 1.00e+00 | 1.00e+00 | 1DUSP6 |
128 |
chr8p21 | 2.19e-01 | 4.14 | 0.10 | 1.00e+00 | 1.00e+00 | 1STC1 |
128 |
chr2p13 | 2.33e-01 | 3.87 | 0.10 | 1.00e+00 | 1.00e+00 | 1CYP26B1 |
137 |
Dowload full table
Transcription Factor Targets:
P-value | OR | Lower 95% CI | FDR | FWER | Genes Found | Gene Set Size | |
---|---|---|---|---|---|---|---|
GATA1_05 | 1.68e-05 | 12.63 | 4.36 | 1.90e-02 | 1.90e-02 | 6DNASE1L3, STC1, CAVIN2, MAF, HES1, EGFL7 |
284 |
TATA_C | 2.13e-04 | 10.22 | 3.14 | 7.16e-02 | 2.41e-01 | 5STC1, CAVIN2, MAF, AKAP12, LDB2 |
285 |
TGATTTRY_GFI1_01 | 2.53e-04 | 9.84 | 3.02 | 7.16e-02 | 2.86e-01 | 5STC1, CAVIN2, LDB2, SH3BP5, NRP2 |
296 |
ARGGGTTAA_UNKNOWN | 1.69e-03 | 13.82 | 2.71 | 1.40e-01 | 1.00e+00 | 3CYP26B1, MAF, HES1 |
122 |
SRF_Q4 | 9.93e-04 | 9.91 | 2.57 | 1.40e-01 | 1.00e+00 | 4CAVIN2, EDN1, DUSP6, AKAP12 |
230 |
IRF2_01 | 1.99e-03 | 13.04 | 2.56 | 1.44e-01 | 1.00e+00 | 3DNASE1L3, B2M, LDB2 |
129 |
FOXJ2_02 | 1.21e-03 | 9.37 | 2.43 | 1.40e-01 | 1.00e+00 | 4EDN1, MAF, IGFBP7, PDE4B |
243 |
OCT1_05 | 1.45e-03 | 8.92 | 2.32 | 1.40e-01 | 1.00e+00 | 4EDN1, DUSP6, LDB2, NRP2 |
255 |
AREB6_02 | 1.53e-03 | 8.79 | 2.28 | 1.40e-01 | 1.00e+00 | 4CAVIN2, EDN1, NRP2, S100A16 |
259 |
AFP1_Q6 | 1.73e-03 | 8.48 | 2.20 | 1.40e-01 | 1.00e+00 | 4STC1, CAVIN2, CYP26B1, DUSP6 |
268 |
TATAAA_TATA_01 | 1.22e-04 | 4.93 | 2.19 | 6.92e-02 | 1.38e-01 | 10DNASE1L3, STC1, EDN1, CYP26B1, IGFBP4, MAF, SLC2A3, PDK4, LDB2, NRP2 |
1317 |
WTGAAAT_UNKNOWN | 1.12e-03 | 5.68 | 1.97 | 1.40e-01 | 1.00e+00 | 6STC1, CYP26B1, DUSP6, MAF, PDK4, LDB2 |
625 |
MAML1_TARGET_GENES | 2.98e-03 | 7.27 | 1.89 | 1.92e-01 | 1.00e+00 | 4DNASE1L3, CEACAM1, ST6GAL1, HES1 |
312 |
RYTTCCTG_ETS2_B | 9.47e-04 | 4.45 | 1.80 | 1.40e-01 | 1.00e+00 | 8CAVIN2, IGFBP4, MMRN1, LDB2, FCGR2B, TGFBR2, EGFL7, GNG11 |
1112 |
ZNF7_TARGET_GENES | 1.39e-03 | 4.68 | 1.77 | 1.40e-01 | 1.00e+00 | 7HLA-E, IGFBP4, PIM3, PDK4, ST6GAL1, HES1, EGFL7 |
903 |
HES2_TARGET_GENES | 1.00e-03 | 4.01 | 1.71 | 1.40e-01 | 1.00e+00 | 9DNASE1L3, STC1, DUSP6, PDK4, NCOA7, TGFBR2, WWTR1, NRP2, DUSP1 |
1420 |
GTF2A2_TARGET_GENES | 3.05e-03 | 5.54 | 1.71 | 1.92e-01 | 1.00e+00 | 5HLA-E, PIM3, HES1, EGFL7, DUSP1 |
522 |
HFH3_01 | 6.37e-03 | 8.52 | 1.68 | 3.16e-01 | 1.00e+00 | 3CYP26B1, MAF, DUSP1 |
196 |
TGCTGAY_UNKNOWN | 3.71e-03 | 5.28 | 1.63 | 2.21e-01 | 1.00e+00 | 5LYVE1, CEACAM1, GJA1, NRP2, STAB1 |
547 |
HSF_Q6 | 7.59e-03 | 7.98 | 1.58 | 3.16e-01 | 1.00e+00 | 3STC1, LYVE1, EDN1 |
209 |
Dowload full table
GO Biological Processes:
P-value | OR | Lower 95% CI | FDR | FWER | Genes Found | Gene Set Size | |
---|---|---|---|---|---|---|---|
GOBP_REGULATION_OF_RENAL_SYSTEM_PROCESS | 4.27e-09 | 105.65 | 30.42 | 5.01e-06 | 3.20e-05 | 5STC1, EDN1, F2R, GJA1, NPR1 |
32 |
GOBP_POSITIVE_REGULATION_OF_EPITHELIAL_TO_MESENCHYMAL_TRANSITION_INVOLVED_IN_ENDOCARDIAL_CUSHION_FORMATION | 3.66e-05 | 352.61 | 29.06 | 2.30e-03 | 2.74e-01 | 2ENG, TGFBR2 |
5 |
GOBP_REGULATION_OF_FOREBRAIN_NEURON_DIFFERENTIATION | 3.66e-05 | 352.61 | 29.06 | 2.30e-03 | 2.74e-01 | 2B2M, HES1 |
5 |
GOBP_REGULATION_OF_EPITHELIAL_TO_MESENCHYMAL_TRANSITION_INVOLVED_IN_ENDOCARDIAL_CUSHION_FORMATION | 5.49e-05 | 267.63 | 23.60 | 3.09e-03 | 4.10e-01 | 2ENG, TGFBR2 |
6 |
GOBP_ANTIGEN_PROCESSING_AND_PRESENTATION_OF_PEPTIDE_ANTIGEN_VIA_MHC_CLASS_IB | 7.67e-05 | 213.09 | 19.86 | 4.04e-03 | 5.74e-01 | 2HLA-E, B2M |
7 |
GOBP_NEGATIVE_REGULATION_OF_GONADOTROPIN_SECRETION | 7.67e-05 | 213.09 | 19.86 | 4.04e-03 | 5.74e-01 | 2GJA1, INHBB |
7 |
GOBP_BRANCHING_INVOLVED_IN_BLOOD_VESSEL_MORPHOGENESIS | 5.51e-07 | 74.47 | 18.34 | 1.21e-04 | 4.12e-03 | 4EDN1, KDR, ENG, TGFBR2 |
34 |
GOBP_NITRIC_OXIDE_SYNTHASE_BIOSYNTHETIC_PROCESS | 7.60e-06 | 96.27 | 17.52 | 6.93e-04 | 5.69e-02 | 3EDN1, AKAP12, KDR |
20 |
GOBP_REGULATION_OF_HYPERSENSITIVITY | 1.02e-04 | 177.85 | 17.16 | 4.96e-03 | 7.64e-01 | 2HLA-E, FCGR2B |
8 |
GOBP_REGULATION_OF_T_CELL_MEDIATED_CYTOTOXICITY | 8.71e-07 | 65.78 | 16.29 | 1.48e-04 | 6.51e-03 | 4HLA-E, B2M, CEACAM1, FCGR2B |
38 |
GOBP_NEGATIVE_REGULATION_OF_LEUKOCYTE_MEDIATED_CYTOTOXICITY | 1.02e-05 | 86.35 | 15.83 | 8.61e-04 | 7.66e-02 | 3HLA-E, CEACAM1, FCGR2B |
22 |
GOBP_REGULATION_OF_EXCRETION | 1.02e-05 | 86.35 | 15.83 | 8.61e-04 | 7.66e-02 | 3STC1, EDN1, NPR1 |
22 |
GOBP_NEGATIVE_REGULATION_OF_T_CELL_MEDIATED_CYTOTOXICITY | 1.31e-04 | 152.29 | 15.11 | 5.95e-03 | 9.81e-01 | 2CEACAM1, FCGR2B |
9 |
GOBP_ANTIGEN_PROCESSING_AND_PRESENTATION_OF_EXOGENOUS_PEPTIDE_ANTIGEN_VIA_MHC_CLASS_I_TAP_INDEPENDENT | 1.31e-04 | 152.29 | 15.11 | 5.95e-03 | 9.81e-01 | 2HLA-E, B2M |
9 |
GOBP_REGULATION_OF_GONADOTROPIN_SECRETION | 1.31e-04 | 152.29 | 15.11 | 5.95e-03 | 9.81e-01 | 2GJA1, INHBB |
9 |
GOBP_REGULATION_OF_CARDIAC_EPITHELIAL_TO_MESENCHYMAL_TRANSITION | 1.31e-04 | 152.29 | 15.11 | 5.95e-03 | 9.81e-01 | 2ENG, TGFBR2 |
9 |
GOBP_OUTFLOW_TRACT_SEPTUM_MORPHOGENESIS | 1.52e-05 | 74.54 | 13.82 | 1.16e-03 | 1.14e-01 | 3ENG, TGFBR2, NRP2 |
25 |
GOBP_HYPERSENSITIVITY | 1.64e-04 | 133.66 | 13.49 | 6.96e-03 | 1.00e+00 | 2HLA-E, FCGR2B |
10 |
GOBP_REGULATION_OF_GLOMERULAR_FILTRATION | 1.64e-04 | 133.66 | 13.49 | 6.96e-03 | 1.00e+00 | 2F2R, GJA1 |
10 |
GOBP_NEGATIVE_REGULATION_OF_LEUKOCYTE_DEGRANULATION | 1.64e-04 | 133.66 | 13.49 | 6.96e-03 | 1.00e+00 | 2CEACAM1, FCGR2B |
10 |
Dowload full table
Immunological Gene Sets:
P-value | OR | Lower 95% CI | FDR | FWER | Genes Found | Gene Set Size | |
---|---|---|---|---|---|---|---|
GSE19198_CTRL_VS_IL21_TREATED_TCELL_24H_UP | 4.32e-09 | 25.53 | 10.22 | 7.02e-06 | 2.11e-05 | 8LYVE1, EDN1, AKAP12, PDK4, INHBB, SLC27A3, STAB1, PDE4B |
200 |
GSE21379_WT_VS_SAP_KO_TFH_CD4_TCELL_UP | 4.32e-09 | 25.53 | 10.22 | 7.02e-06 | 2.11e-05 | 8TFPI, MAF, AKAP12, KDR, LDB2, F2R, NRP2, GNG11 |
200 |
GSE43955_10H_VS_60H_ACT_CD4_TCELL_DN | 4.32e-09 | 25.53 | 10.22 | 7.02e-06 | 2.11e-05 | 8LYVE1, PLAT, HLA-E, MAF, KDR, FCGR2B, GJA1, DUSP1 |
200 |
GSE29618_BCELL_VS_PDC_UP | 1.99e-06 | 18.59 | 6.39 | 2.24e-03 | 9.68e-03 | 6SLC2A3, ST6GAL1, HES1, SH3BP5, FCGR2B, DUSP1 |
195 |
GSE1460_DP_VS_CD4_THYMOCYTE_DN | 2.30e-06 | 18.10 | 6.23 | 2.24e-03 | 1.12e-02 | 6STC1, CTSL, HLA-E, ST6GAL1, FCGR2B, PDE4B |
200 |
GSE6259_FLT3L_INDUCED_33D1_POS_DC_VS_CD4_TCELL_UP | 1.94e-05 | 17.23 | 5.27 | 6.87e-03 | 9.46e-02 | 5TFPI, LYVE1, DUSP6, MAF, STAB1 |
171 |
GSE37605_FOXP3_FUSION_GFP_VS_IRES_GFP_TREG_C57BL6_DN | 2.23e-05 | 16.73 | 5.12 | 6.87e-03 | 1.09e-01 | 5DUSP6, AKAP12, PDK4, F2R, GNG11 |
176 |
GSE9988_ANTI_TREM1_AND_LPS_VS_CTRL_TREATED_MONOCYTES_UP | 3.54e-05 | 15.14 | 4.64 | 6.87e-03 | 1.72e-01 | 5EDN1, SLC2A3, PIM3, HES1, DUSP1 |
194 |
GSE27241_CTRL_VS_DIGOXIN_TREATED_CD4_TCELL_IN_TH17_POLARIZING_CONDITIONS_DN | 3.63e-05 | 15.06 | 4.61 | 6.87e-03 | 1.77e-01 | 5CTSL, ST6GAL1, HES1, LDB2, PDE4B |
195 |
GSE41087_WT_VS_FOXP3_MUT_ANTI_CD3_CD28_STIM_CD4_TCELL_UP | 3.63e-05 | 15.06 | 4.61 | 6.87e-03 | 1.77e-01 | 5PLAT, HLA-E, DUSP1, GNG11, PDE4B |
195 |
GSE12366_GC_VS_NAIVE_BCELL_DN | 3.72e-05 | 14.98 | 4.59 | 6.87e-03 | 1.81e-01 | 5CEACAM1, HES1, TGFBR2, DUSP1, PDE4B |
196 |
GSE9988_LOW_LPS_VS_CTRL_TREATED_MONOCYTE_UP | 3.72e-05 | 14.98 | 4.59 | 6.87e-03 | 1.81e-01 | 5EDN1, PIM3, HES1, DUSP1, PDE4B |
196 |
GSE30971_CTRL_VS_LPS_STIM_MACROPHAGE_WBP7_KO_2H_UP | 3.72e-05 | 14.98 | 4.59 | 6.87e-03 | 1.81e-01 | 5PLAT, CTSL, SLC2A3, HES1, SH3BP5 |
196 |
GSE9988_ANTI_TREM1_VS_CTRL_TREATED_MONOCYTES_UP | 3.90e-05 | 14.83 | 4.54 | 6.87e-03 | 1.90e-01 | 5EDN1, CTSL, SLC2A3, SH3BP5, DUSP1 |
198 |
GSE2770_UNTREATED_VS_TGFB_AND_IL4_TREATED_ACT_CD4_TCELL_48H_DN | 3.90e-05 | 14.83 | 4.54 | 6.87e-03 | 1.90e-01 | 5IGFBP4, CEACAM1, KDR, FCGR2B, PDE4B |
198 |
GSE10239_NAIVE_VS_KLRG1HIGH_EFF_CD8_TCELL_UP | 3.99e-05 | 14.75 | 4.52 | 6.87e-03 | 1.95e-01 | 5HLA-E, IGFBP4, ENG, SH3BP5, INHBB |
199 |
GSE360_DC_VS_MAC_T_GONDII_DN | 3.99e-05 | 14.75 | 4.52 | 6.87e-03 | 1.95e-01 | 5HLA-E, DUSP6, SH3BP5, IGFBP7, STAB1 |
199 |
GSE19401_NAIVE_VS_IMMUNIZED_MOUSE_PLN_FOLLICULAR_DC_UP | 3.99e-05 | 14.75 | 4.52 | 6.87e-03 | 1.95e-01 | 5SLC2A3, ENG, SH3BP5, STAB1, DUSP1 |
199 |
GSE411_WT_VS_SOCS3_KO_MACROPHAGE_IL6_STIM_400MIN_UP | 4.09e-05 | 14.68 | 4.50 | 6.87e-03 | 1.99e-01 | 5DNASE1L3, NID1, NCOA7, NRP2, DUSP1 |
200 |
GSE4748_CTRL_VS_LPS_AND_CYANOBACTERIUM_LPSLIKE_STIM_DC_3H_DN | 4.09e-05 | 14.68 | 4.50 | 6.87e-03 | 1.99e-01 | 5PLAT, PIM3, PDK4, DUSP1, S100A16 |
200 |
Top Ranked Transcription Factors for this Gene Expression Program:
Gene Symbol | TF Rank | DNA Binding Domain | Motif Status | IUPAC PWM | GTEx | DepMap | Decartes |
---|---|---|---|---|---|---|---|
EDN1 | 8 | No | Unlikely to be sequence specific TF | Not a DNA binding protein | No motif | None | Protein that is processed into a secreted signaling peptide |
MAF | 15 | Yes | Known motif | Monomer or homomultimer | High-throughput in vitro | None | None |
HES1 | 26 | Yes | Known motif | Monomer or homomultimer | High-throughput in vitro | None | None |
NCOA7 | 30 | No | Unlikely to be sequence specific TF | Not a DNA binding protein | No motif | None | Known co-activator; included only because TF-cat documents this |
WWTR1 | 40 | No | Unlikely to be sequence specific TF | Not a DNA binding protein | No motif | None | Transcriptional co-activator that binds to TEADs (PMID: 19324877) and TBX5 (PMID: 16332960) |
EPAS1 | 52 | Yes | Known motif | Monomer or homomultimer | In vivo/Misc source | Only known motifs are from Transfac or HocoMoco - origin is uncertain | None |
IRX3 | 54 | Yes | Known motif | Monomer or homomultimer | High-throughput in vitro | None | None |
RAPGEF5 | 79 | No | Unlikely to be sequence specific TF | Not a DNA binding protein | No motif | None | None |
ELK3 | 84 | Yes | Known motif | Monomer or homomultimer | High-throughput in vitro | None | None |
BMP2 | 93 | No | Unlikely to be sequence specific TF | Not a DNA binding protein | No motif | None | None |
SOX7 | 110 | Yes | Known motif | Monomer or homomultimer | High-throughput in vitro | None | None |
JUP | 118 | No | Unlikely to be sequence specific TF | Not a DNA binding protein | No motif | None | None |
NR2F1 | 136 | Yes | Known motif | Monomer or homomultimer | High-throughput in vitro | None | None |
BHLHE40 | 161 | Yes | Known motif | Monomer or homomultimer | High-throughput in vitro | None | None |
PML | 166 | No | Unlikely to be sequence specific TF | Not a DNA binding protein | No motif | None | Likely a transcriptional cofactor. Does not have any clear DBDs. RING-fingers are more typically protein-protein interaction domains |
PLXND1 | 169 | No | Unlikely to be sequence specific TF | Not a DNA binding protein | No motif | None | Protein is a semaphorin receptor that operates far upstream on the signaling cascade. |
MAFF | 173 | Yes | Known motif | Monomer or homomultimer | High-throughput in vitro | None | None |
PLSCR1 | 175 | Yes | Likely to be sequence specific TF | Monomer or homomultimer | No motif | None | PLSCR1 has been demonstrated to bind a GTAACCATGTGGA sequence in the IP3R1 promoter (PMID:16091359), mediated by a specific portion of the protein. |
HIC1 | 179 | Yes | Known motif | Monomer or homomultimer | High-throughput in vitro | None | None |
LRP5 | 191 | No | ssDNA/RNA binding | Not a DNA binding protein | No motif | None | None |
QQ Plot showing correlations with other GEPs in this dataset, calculated by Spearman correlation:
Interactive QQ-plot of gene loadings:
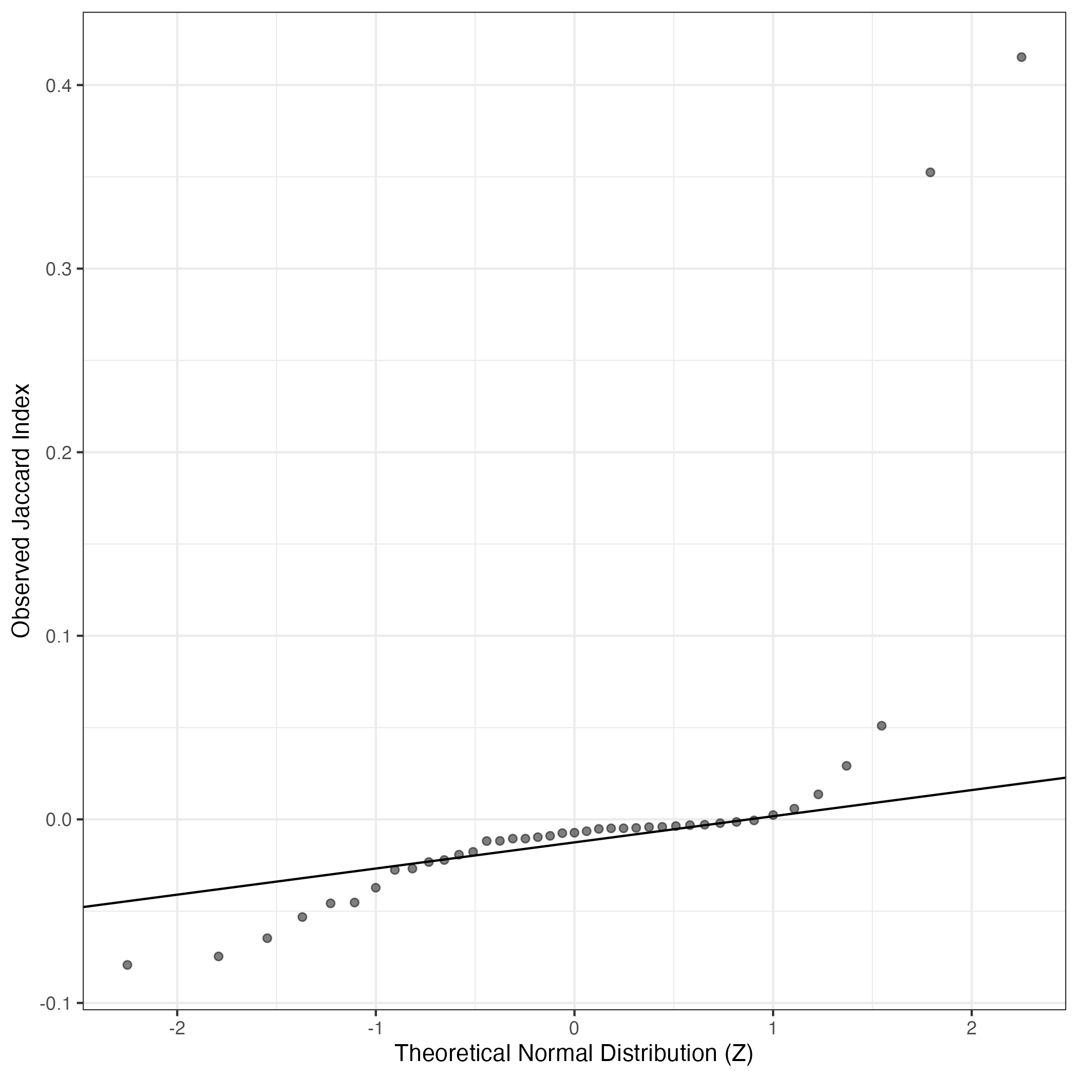
A similar QQ-plot as above, but only for instances where the H value is e.g. > 25, i.e. we are confident that the expression program is active above noise. Agreemenet between these binary vectors is tested using the Jaccard Index, with the P-values calculated by an exact test:
Interactive QQ-plot:
Singler cell type annotations for the top 50 cells on this program.
Cell ID | Singler label | Singler Delta | Activity Score | Top Singler Raw Scores |
---|---|---|---|---|
R48a_w14.5_TCCTTCTGTCAATCTG-1 | Endothelial_cells:lymphatic | 0.17 | 556.73 | Raw ScoresEndothelial_cells:lymphatic:TNFa_48h: 0.54, Endothelial_cells:HUVEC:VEGF: 0.52, Endothelial_cells:HUVEC: 0.52, Endothelial_cells:HUVEC:IL-1b: 0.52, Endothelial_cells:HUVEC:PR8-infected: 0.51, Endothelial_cells:lymphatic: 0.51, Endothelial_cells:HUVEC:H5N1-infected: 0.51, Endothelial_cells:lymphatic:KSHV: 0.5, Endothelial_cells:HUVEC:B._anthracis_LT: 0.5, Endothelial_cells:HUVEC:Serum_Amyloid_A: 0.5 |
R48a_w14.5_TAGAGTCCATGACTAC-1 | Endothelial_cells:lymphatic:KSHV | 0.18 | 523.15 | Raw ScoresEndothelial_cells:lymphatic:TNFa_48h: 0.52, Endothelial_cells:HUVEC:VEGF: 0.5, Endothelial_cells:HUVEC: 0.5, Endothelial_cells:HUVEC:IL-1b: 0.5, Endothelial_cells:HUVEC:PR8-infected: 0.49, Endothelial_cells:lymphatic:KSHV: 0.49, Endothelial_cells:lymphatic: 0.49, Endothelial_cells:HUVEC:H5N1-infected: 0.49, Endothelial_cells:HUVEC:FPV-infected: 0.49, Endothelial_cells:HUVEC:B._anthracis_LT: 0.48 |
R48a_w14.5_ACTGTGATCGCCTATC-1 | Endothelial_cells:lymphatic:KSHV | 0.17 | 513.32 | Raw ScoresEndothelial_cells:lymphatic:TNFa_48h: 0.52, Endothelial_cells:HUVEC:IL-1b: 0.51, Endothelial_cells:HUVEC:VEGF: 0.5, Endothelial_cells:HUVEC: 0.5, Endothelial_cells:HUVEC:PR8-infected: 0.49, Endothelial_cells:HUVEC:H5N1-infected: 0.49, Endothelial_cells:HUVEC:Serum_Amyloid_A: 0.49, Endothelial_cells:lymphatic:KSHV: 0.49, Endothelial_cells:lymphatic: 0.48, Endothelial_cells:HUVEC:B._anthracis_LT: 0.48 |
R48a_w14.5_TCCTTTCTCCATTGTT-1 | Endothelial_cells:lymphatic | 0.19 | 509.58 | Raw ScoresEndothelial_cells:lymphatic:TNFa_48h: 0.48, Endothelial_cells:lymphatic: 0.47, Endothelial_cells:lymphatic:KSHV: 0.45, Endothelial_cells:blood_vessel: 0.45, Endothelial_cells:HUVEC:VEGF: 0.44, Endothelial_cells:HUVEC: 0.44, Endothelial_cells:HUVEC:PR8-infected: 0.44, Endothelial_cells:HUVEC:IL-1b: 0.44, Endothelial_cells:HUVEC:Serum_Amyloid_A: 0.44, Endothelial_cells:HUVEC:B._anthracis_LT: 0.44 |
R48b_w12_CACGTGGCACGACTAT-1 | Endothelial_cells:lymphatic | 0.20 | 446.40 | Raw ScoresEndothelial_cells:lymphatic: 0.51, Endothelial_cells:lymphatic:TNFa_48h: 0.5, Endothelial_cells:lymphatic:KSHV: 0.48, Endothelial_cells:blood_vessel: 0.47, Endothelial_cells:HUVEC: 0.46, Endothelial_cells:HUVEC:VEGF: 0.46, Endothelial_cells:HUVEC:Serum_Amyloid_A: 0.46, Endothelial_cells:HUVEC:IL-1b: 0.46, Endothelial_cells:HUVEC:B._anthracis_LT: 0.45, Endothelial_cells:HUVEC:PR8-infected: 0.45 |
R48a_w14.5_TCAAGCAAGAGCCGAT-1 | Endothelial_cells:lymphatic | 0.19 | 442.86 | Raw ScoresEndothelial_cells:lymphatic:TNFa_48h: 0.54, Endothelial_cells:lymphatic: 0.53, Endothelial_cells:HUVEC:VEGF: 0.53, Endothelial_cells:HUVEC: 0.52, Endothelial_cells:lymphatic:KSHV: 0.52, Endothelial_cells:HUVEC:IL-1b: 0.51, Endothelial_cells:HUVEC:PR8-infected: 0.51, Endothelial_cells:HUVEC:Serum_Amyloid_A: 0.5, Endothelial_cells:HUVEC:FPV-infected: 0.5, Endothelial_cells:HUVEC:H5N1-infected: 0.5 |
R48a_w14.5_CTCCAACAGCCGTTGC-1 | Endothelial_cells:lymphatic | 0.18 | 426.59 | Raw ScoresEndothelial_cells:lymphatic: 0.47, Endothelial_cells:lymphatic:TNFa_48h: 0.47, Endothelial_cells:lymphatic:KSHV: 0.44, Endothelial_cells:HUVEC: 0.44, Endothelial_cells:HUVEC:VEGF: 0.44, Endothelial_cells:blood_vessel: 0.44, Endothelial_cells:HUVEC:Serum_Amyloid_A: 0.44, Endothelial_cells:HUVEC:B._anthracis_LT: 0.44, Endothelial_cells:HUVEC:IL-1b: 0.44, Endothelial_cells:HUVEC:PR8-infected: 0.43 |
R48a_w14.5_GCATTAGGTATCCTCC-1 | Endothelial_cells:lymphatic:KSHV | 0.18 | 409.04 | Raw ScoresEndothelial_cells:lymphatic:TNFa_48h: 0.55, Endothelial_cells:lymphatic: 0.55, Endothelial_cells:lymphatic:KSHV: 0.53, Endothelial_cells:HUVEC:VEGF: 0.52, Endothelial_cells:HUVEC: 0.52, Endothelial_cells:HUVEC:IL-1b: 0.51, Endothelial_cells:blood_vessel: 0.51, Endothelial_cells:HUVEC:Serum_Amyloid_A: 0.51, Endothelial_cells:HUVEC:PR8-infected: 0.5, Endothelial_cells:HUVEC:B._anthracis_LT: 0.5 |
R48a_w14.5_ACCCTCAAGTGGAAAG-1 | Endothelial_cells:lymphatic:TNFa_48h | 0.18 | 394.00 | Raw ScoresEndothelial_cells:lymphatic: 0.49, Endothelial_cells:lymphatic:TNFa_48h: 0.49, Endothelial_cells:lymphatic:KSHV: 0.47, Endothelial_cells:blood_vessel: 0.47, Endothelial_cells:HUVEC:VEGF: 0.45, Endothelial_cells:HUVEC: 0.45, Endothelial_cells:HUVEC:IL-1b: 0.45, Endothelial_cells:HUVEC:FPV-infected: 0.44, Endothelial_cells:HUVEC:Serum_Amyloid_A: 0.44, Endothelial_cells:HUVEC:B._anthracis_LT: 0.44 |
R63_w12GP_AGGCTGCAGGTTCATC-1 | Endothelial_cells:lymphatic:KSHV | 0.17 | 381.35 | Raw ScoresEndothelial_cells:lymphatic:TNFa_48h: 0.52, Endothelial_cells:lymphatic: 0.52, Endothelial_cells:HUVEC: 0.5, Endothelial_cells:HUVEC:VEGF: 0.5, Endothelial_cells:lymphatic:KSHV: 0.5, Endothelial_cells:HUVEC:IL-1b: 0.5, Endothelial_cells:HUVEC:PR8-infected: 0.5, Endothelial_cells:HUVEC:Serum_Amyloid_A: 0.49, Endothelial_cells:HUVEC:B._anthracis_LT: 0.49, Endothelial_cells:HUVEC:FPV-infected: 0.49 |
R48a_w14.5_GCTGCAGTCTTCGCTG-1 | Endothelial_cells:lymphatic | 0.20 | 378.30 | Raw ScoresEndothelial_cells:lymphatic: 0.52, Endothelial_cells:lymphatic:TNFa_48h: 0.51, Endothelial_cells:blood_vessel: 0.49, Endothelial_cells:lymphatic:KSHV: 0.49, Endothelial_cells:HUVEC: 0.47, Endothelial_cells:HUVEC:IL-1b: 0.47, Endothelial_cells:HUVEC:Serum_Amyloid_A: 0.47, Endothelial_cells:HUVEC:VEGF: 0.46, Endothelial_cells:HUVEC:B._anthracis_LT: 0.46, Endothelial_cells:HUVEC:PR8-infected: 0.46 |
R48a_w14.5_TTTACTGCATGATAGA-1 | Endothelial_cells:blood_vessel | 0.15 | 378.11 | Raw ScoresEndothelial_cells:lymphatic: 0.5, Endothelial_cells:lymphatic:TNFa_48h: 0.5, Endothelial_cells:lymphatic:KSHV: 0.48, Endothelial_cells:blood_vessel: 0.48, Endothelial_cells:HUVEC:PR8-infected: 0.47, Endothelial_cells:HUVEC:B._anthracis_LT: 0.47, Endothelial_cells:HUVEC:VEGF: 0.47, Endothelial_cells:HUVEC: 0.47, Endothelial_cells:HUVEC:IL-1b: 0.47, Endothelial_cells:HUVEC:FPV-infected: 0.47 |
R48a_w14.5_AACCTTTCAAGTGCTT-1 | Endothelial_cells:lymphatic:KSHV | 0.16 | 365.30 | Raw ScoresEndothelial_cells:lymphatic:TNFa_48h: 0.51, Endothelial_cells:HUVEC:IL-1b: 0.49, Endothelial_cells:HUVEC:PR8-infected: 0.49, Endothelial_cells:HUVEC: 0.49, Endothelial_cells:HUVEC:VEGF: 0.49, Endothelial_cells:HUVEC:H5N1-infected: 0.49, Endothelial_cells:lymphatic:KSHV: 0.48, Endothelial_cells:lymphatic: 0.48, Endothelial_cells:HUVEC:FPV-infected: 0.48, Endothelial_cells:HUVEC:B._anthracis_LT: 0.48 |
R48a_w14.5_ACGTCCTCAAATTGCC-1 | Endothelial_cells:lymphatic:KSHV | 0.17 | 356.26 | Raw ScoresEndothelial_cells:lymphatic:TNFa_48h: 0.51, Endothelial_cells:HUVEC:IL-1b: 0.5, Endothelial_cells:HUVEC: 0.5, Endothelial_cells:HUVEC:VEGF: 0.49, Endothelial_cells:HUVEC:PR8-infected: 0.49, Endothelial_cells:lymphatic:KSHV: 0.49, Endothelial_cells:HUVEC:H5N1-infected: 0.49, Endothelial_cells:HUVEC:FPV-infected: 0.48, Endothelial_cells:lymphatic: 0.48, Endothelial_cells:HUVEC:Serum_Amyloid_A: 0.48 |
R48a_w14.5_TCACGGGCACCGTCTT-1 | Endothelial_cells:lymphatic:KSHV | 0.14 | 356.09 | Raw ScoresEndothelial_cells:lymphatic:TNFa_48h: 0.44, Endothelial_cells:lymphatic: 0.43, Endothelial_cells:HUVEC:VEGF: 0.43, Endothelial_cells:lymphatic:KSHV: 0.43, Endothelial_cells:HUVEC:IL-1b: 0.43, Endothelial_cells:HUVEC: 0.43, Endothelial_cells:HUVEC:Serum_Amyloid_A: 0.41, Endothelial_cells:HUVEC:H5N1-infected: 0.41, Endothelial_cells:HUVEC:PR8-infected: 0.41, Endothelial_cells:blood_vessel: 0.41 |
R48a_w14.5_CACACAATCTTAGCCC-1 | Endothelial_cells:lymphatic:TNFa_48h | 0.17 | 353.58 | Raw ScoresEndothelial_cells:lymphatic: 0.49, Endothelial_cells:lymphatic:TNFa_48h: 0.48, Endothelial_cells:lymphatic:KSHV: 0.46, Endothelial_cells:blood_vessel: 0.46, Endothelial_cells:HUVEC: 0.45, Endothelial_cells:HUVEC:IL-1b: 0.45, Endothelial_cells:HUVEC:Serum_Amyloid_A: 0.45, Endothelial_cells:HUVEC:VEGF: 0.45, Endothelial_cells:HUVEC:PR8-infected: 0.44, Endothelial_cells:HUVEC:B._anthracis_LT: 0.44 |
R48b_w12_CGTAATGTCAGTGATC-1 | Endothelial_cells:lymphatic:KSHV | 0.14 | 352.67 | Raw ScoresEndothelial_cells:lymphatic:TNFa_48h: 0.45, Endothelial_cells:lymphatic: 0.44, Endothelial_cells:HUVEC:VEGF: 0.44, Endothelial_cells:lymphatic:KSHV: 0.43, Endothelial_cells:HUVEC:IL-1b: 0.43, Endothelial_cells:HUVEC: 0.43, Endothelial_cells:HUVEC:PR8-infected: 0.43, Endothelial_cells:HUVEC:H5N1-infected: 0.42, Endothelial_cells:HUVEC:Serum_Amyloid_A: 0.42, Endothelial_cells:HUVEC:FPV-infected: 0.42 |
R48b_w12_CCCTCAAAGTCTTCGA-1 | Endothelial_cells:lymphatic | 0.15 | 350.07 | Raw ScoresEndothelial_cells:lymphatic:TNFa_48h: 0.45, Endothelial_cells:HUVEC:VEGF: 0.43, Endothelial_cells:HUVEC: 0.42, Endothelial_cells:HUVEC:IL-1b: 0.42, Endothelial_cells:lymphatic: 0.42, Endothelial_cells:HUVEC:PR8-infected: 0.41, Endothelial_cells:HUVEC:H5N1-infected: 0.41, Endothelial_cells:lymphatic:KSHV: 0.41, Endothelial_cells:HUVEC:Serum_Amyloid_A: 0.4, Endothelial_cells:HUVEC:FPV-infected: 0.4 |
R53b_w11.5_TTCTGTAGTCACTACA-1 | Endothelial_cells:blood_vessel | 0.16 | 342.90 | Raw ScoresEndothelial_cells:lymphatic:TNFa_48h: 0.53, Endothelial_cells:lymphatic: 0.53, Endothelial_cells:lymphatic:KSHV: 0.52, Endothelial_cells:blood_vessel: 0.51, Endothelial_cells:HUVEC:IL-1b: 0.51, Endothelial_cells:HUVEC: 0.51, Endothelial_cells:HUVEC:Serum_Amyloid_A: 0.51, Endothelial_cells:HUVEC:VEGF: 0.5, Endothelial_cells:HUVEC:B._anthracis_LT: 0.5, Endothelial_cells:HUVEC:PR8-infected: 0.5 |
R48b_w12_CGGGTCAGTACTGGGA-1 | Endothelial_cells:lymphatic | 0.18 | 342.12 | Raw ScoresEndothelial_cells:lymphatic: 0.45, Endothelial_cells:lymphatic:TNFa_48h: 0.43, Endothelial_cells:blood_vessel: 0.41, Endothelial_cells:lymphatic:KSHV: 0.41, Endothelial_cells:HUVEC: 0.41, Endothelial_cells:HUVEC:VEGF: 0.41, Endothelial_cells:HUVEC:Serum_Amyloid_A: 0.4, Endothelial_cells:HUVEC:IL-1b: 0.4, Endothelial_cells:HUVEC:FPV-infected: 0.4, Endothelial_cells:HUVEC:B._anthracis_LT: 0.4 |
R48a_w14.5_CACCAAATCCCGTTCA-1 | Endothelial_cells:lymphatic:KSHV | 0.14 | 341.22 | Raw ScoresEndothelial_cells:lymphatic: 0.47, Endothelial_cells:lymphatic:TNFa_48h: 0.47, Endothelial_cells:lymphatic:KSHV: 0.44, Endothelial_cells:blood_vessel: 0.44, Endothelial_cells:HUVEC:VEGF: 0.44, Endothelial_cells:HUVEC: 0.44, Endothelial_cells:HUVEC:Serum_Amyloid_A: 0.44, Endothelial_cells:HUVEC:IL-1b: 0.44, Endothelial_cells:HUVEC:B._anthracis_LT: 0.44, Endothelial_cells:HUVEC:PR8-infected: 0.43 |
R48a_w14.5_TCCTTTCTCCACCTCA-1 | Endothelial_cells:lymphatic:KSHV | 0.16 | 333.94 | Raw ScoresEndothelial_cells:lymphatic:TNFa_48h: 0.51, Endothelial_cells:HUVEC:IL-1b: 0.49, Endothelial_cells:HUVEC:VEGF: 0.48, Endothelial_cells:HUVEC: 0.48, Endothelial_cells:HUVEC:PR8-infected: 0.48, Endothelial_cells:lymphatic:KSHV: 0.48, Endothelial_cells:lymphatic: 0.48, Endothelial_cells:HUVEC:H5N1-infected: 0.47, Endothelial_cells:HUVEC:Serum_Amyloid_A: 0.47, Endothelial_cells:HUVEC:FPV-infected: 0.47 |
R48b_w12_ATGACCACATGGAGAC-1 | Endothelial_cells:lymphatic:TNFa_48h | 0.19 | 333.86 | Raw ScoresEndothelial_cells:lymphatic: 0.48, Endothelial_cells:lymphatic:TNFa_48h: 0.48, Endothelial_cells:lymphatic:KSHV: 0.46, Endothelial_cells:blood_vessel: 0.46, Endothelial_cells:HUVEC:VEGF: 0.45, Endothelial_cells:HUVEC: 0.45, Endothelial_cells:HUVEC:IL-1b: 0.44, Endothelial_cells:HUVEC:Serum_Amyloid_A: 0.44, Endothelial_cells:HUVEC:B._anthracis_LT: 0.44, Endothelial_cells:HUVEC:PR8-infected: 0.43 |
R48a_w14.5_CTCATTATCCATTTCA-1 | Endothelial_cells:lymphatic:KSHV | 0.18 | 333.23 | Raw ScoresEndothelial_cells:lymphatic: 0.52, Endothelial_cells:lymphatic:TNFa_48h: 0.52, Endothelial_cells:lymphatic:KSHV: 0.5, Endothelial_cells:blood_vessel: 0.49, Endothelial_cells:HUVEC: 0.48, Endothelial_cells:HUVEC:VEGF: 0.48, Endothelial_cells:HUVEC:B._anthracis_LT: 0.48, Endothelial_cells:HUVEC:Serum_Amyloid_A: 0.48, Endothelial_cells:HUVEC:IL-1b: 0.48, Endothelial_cells:HUVEC:FPV-infected: 0.48 |
R53b_w11.5_TCATCATCAGTCGCAC-1 | Endothelial_cells:lymphatic | 0.18 | 331.70 | Raw ScoresEndothelial_cells:lymphatic: 0.51, Endothelial_cells:lymphatic:TNFa_48h: 0.5, Endothelial_cells:lymphatic:KSHV: 0.48, Endothelial_cells:blood_vessel: 0.48, Endothelial_cells:HUVEC: 0.47, Endothelial_cells:HUVEC:Serum_Amyloid_A: 0.47, Endothelial_cells:HUVEC:VEGF: 0.46, Endothelial_cells:HUVEC:IL-1b: 0.46, Endothelial_cells:HUVEC:B._anthracis_LT: 0.46, Endothelial_cells:HUVEC:PR8-infected: 0.46 |
R48a_w14.5_TCTACCGAGTAAACGT-1 | Endothelial_cells:lymphatic:KSHV | 0.15 | 330.77 | Raw ScoresEndothelial_cells:lymphatic:TNFa_48h: 0.46, Endothelial_cells:HUVEC:IL-1b: 0.45, Endothelial_cells:HUVEC:VEGF: 0.45, Endothelial_cells:HUVEC: 0.45, Endothelial_cells:lymphatic: 0.44, Endothelial_cells:HUVEC:PR8-infected: 0.44, Endothelial_cells:lymphatic:KSHV: 0.44, Endothelial_cells:HUVEC:H5N1-infected: 0.44, Endothelial_cells:HUVEC:FPV-infected: 0.43, Endothelial_cells:HUVEC:B._anthracis_LT: 0.43 |
R48a_w14.5_AAGCCATTCCGGTTCT-1 | Endothelial_cells:lymphatic:TNFa_48h | 0.19 | 328.71 | Raw ScoresEndothelial_cells:lymphatic:TNFa_48h: 0.52, Endothelial_cells:HUVEC:IL-1b: 0.51, Endothelial_cells:HUVEC: 0.5, Endothelial_cells:HUVEC:VEGF: 0.5, Endothelial_cells:HUVEC:PR8-infected: 0.5, Endothelial_cells:HUVEC:H5N1-infected: 0.49, Endothelial_cells:lymphatic: 0.49, Endothelial_cells:lymphatic:KSHV: 0.48, Endothelial_cells:HUVEC:FPV-infected: 0.48, Endothelial_cells:HUVEC:Serum_Amyloid_A: 0.48 |
R48b_w12_TTAATCCGTCGCTCGA-1 | Endothelial_cells:lymphatic:KSHV | 0.17 | 328.17 | Raw ScoresEndothelial_cells:lymphatic: 0.44, Endothelial_cells:lymphatic:TNFa_48h: 0.44, Endothelial_cells:lymphatic:KSHV: 0.42, Endothelial_cells:blood_vessel: 0.41, Endothelial_cells:HUVEC:VEGF: 0.41, Endothelial_cells:HUVEC: 0.41, Endothelial_cells:HUVEC:Serum_Amyloid_A: 0.4, Endothelial_cells:HUVEC:B._anthracis_LT: 0.4, Endothelial_cells:HUVEC:IL-1b: 0.4, Endothelial_cells:HUVEC:PR8-infected: 0.4 |
R53b_w11.5_CATCGTCTCAAGAATG-1 | Endothelial_cells:lymphatic | 0.20 | 327.39 | Raw ScoresEndothelial_cells:lymphatic: 0.5, Endothelial_cells:lymphatic:TNFa_48h: 0.48, Endothelial_cells:HUVEC: 0.47, Endothelial_cells:blood_vessel: 0.46, Endothelial_cells:HUVEC:VEGF: 0.46, Endothelial_cells:lymphatic:KSHV: 0.46, Endothelial_cells:HUVEC:Serum_Amyloid_A: 0.45, Endothelial_cells:HUVEC:FPV-infected: 0.45, Endothelial_cells:HUVEC:B._anthracis_LT: 0.45, Endothelial_cells:HUVEC:IL-1b: 0.45 |
R48b_w12_ATAGACCCATCTGGGC-1 | Endothelial_cells:blood_vessel | 0.16 | 325.19 | Raw ScoresEndothelial_cells:lymphatic: 0.45, Endothelial_cells:lymphatic:TNFa_48h: 0.45, Endothelial_cells:lymphatic:KSHV: 0.43, Endothelial_cells:blood_vessel: 0.43, Endothelial_cells:HUVEC: 0.42, Endothelial_cells:HUVEC:VEGF: 0.42, Endothelial_cells:HUVEC:Serum_Amyloid_A: 0.42, Endothelial_cells:HUVEC:IL-1b: 0.41, Endothelial_cells:HUVEC:FPV-infected: 0.41, Endothelial_cells:HUVEC:B._anthracis_LT: 0.41 |
R48b_w12_GCTGCAGCACAGCCTG-1 | Endothelial_cells:lymphatic | 0.15 | 324.58 | Raw ScoresEndothelial_cells:lymphatic:TNFa_48h: 0.44, Endothelial_cells:HUVEC:VEGF: 0.42, Endothelial_cells:HUVEC: 0.42, Endothelial_cells:lymphatic: 0.42, Endothelial_cells:HUVEC:IL-1b: 0.42, Endothelial_cells:HUVEC:PR8-infected: 0.41, Endothelial_cells:lymphatic:KSHV: 0.41, Endothelial_cells:HUVEC:H5N1-infected: 0.41, Endothelial_cells:HUVEC:FPV-infected: 0.4, Endothelial_cells:HUVEC:Serum_Amyloid_A: 0.4 |
R48b_w12_AATCGTGCAACAAGTA-1 | Endothelial_cells:lymphatic:KSHV | 0.16 | 320.18 | Raw ScoresEndothelial_cells:lymphatic: 0.48, Endothelial_cells:lymphatic:TNFa_48h: 0.48, Endothelial_cells:lymphatic:KSHV: 0.46, Endothelial_cells:HUVEC:VEGF: 0.45, Endothelial_cells:HUVEC: 0.45, Endothelial_cells:blood_vessel: 0.45, Endothelial_cells:HUVEC:IL-1b: 0.44, Endothelial_cells:HUVEC:FPV-infected: 0.44, Endothelial_cells:HUVEC:B._anthracis_LT: 0.44, Endothelial_cells:HUVEC:Serum_Amyloid_A: 0.44 |
R63_w12GP_TTCCTAACAGCACAGA-1 | Endothelial_cells:blood_vessel | 0.16 | 319.80 | Raw ScoresEndothelial_cells:lymphatic: 0.45, Endothelial_cells:lymphatic:TNFa_48h: 0.45, Endothelial_cells:blood_vessel: 0.43, Endothelial_cells:lymphatic:KSHV: 0.43, Endothelial_cells:HUVEC:B._anthracis_LT: 0.42, Endothelial_cells:HUVEC:Serum_Amyloid_A: 0.42, Endothelial_cells:HUVEC: 0.42, Endothelial_cells:HUVEC:VEGF: 0.41, Endothelial_cells:HUVEC:IL-1b: 0.41, Endothelial_cells:HUVEC:PR8-infected: 0.41 |
R48a_w14.5_GTTTGGATCCGAGTGC-1 | Endothelial_cells:lymphatic | 0.18 | 318.11 | Raw ScoresEndothelial_cells:lymphatic:TNFa_48h: 0.46, Endothelial_cells:lymphatic: 0.45, Endothelial_cells:lymphatic:KSHV: 0.43, Endothelial_cells:HUVEC:VEGF: 0.43, Endothelial_cells:HUVEC: 0.43, Endothelial_cells:HUVEC:IL-1b: 0.42, Endothelial_cells:HUVEC:PR8-infected: 0.42, Endothelial_cells:HUVEC:FPV-infected: 0.42, Endothelial_cells:HUVEC:Serum_Amyloid_A: 0.42, Endothelial_cells:HUVEC:H5N1-infected: 0.41 |
R48b_w12_GAAGCCCTCACCACAA-1 | Endothelial_cells:lymphatic:TNFa_48h | 0.20 | 316.57 | Raw ScoresEndothelial_cells:lymphatic:TNFa_48h: 0.52, Endothelial_cells:HUVEC:VEGF: 0.5, Endothelial_cells:HUVEC: 0.5, Endothelial_cells:HUVEC:PR8-infected: 0.49, Endothelial_cells:HUVEC:IL-1b: 0.49, Endothelial_cells:HUVEC:H5N1-infected: 0.49, Endothelial_cells:lymphatic: 0.49, Endothelial_cells:HUVEC:FPV-infected: 0.48, Endothelial_cells:lymphatic:KSHV: 0.48, Endothelial_cells:HUVEC:Serum_Amyloid_A: 0.48 |
R48b_w12_ATTCAGGTCATCCTAT-1 | Endothelial_cells:lymphatic | 0.18 | 309.89 | Raw ScoresEndothelial_cells:lymphatic: 0.43, Endothelial_cells:lymphatic:TNFa_48h: 0.42, Endothelial_cells:lymphatic:KSHV: 0.4, Endothelial_cells:blood_vessel: 0.4, Endothelial_cells:HUVEC: 0.39, Endothelial_cells:HUVEC:VEGF: 0.39, Endothelial_cells:HUVEC:Serum_Amyloid_A: 0.39, Endothelial_cells:HUVEC:IL-1b: 0.38, Endothelial_cells:HUVEC:B._anthracis_LT: 0.38, Endothelial_cells:HUVEC:FPV-infected: 0.37 |
R63_w12GP_GCCATTCGTACTGACT-1 | Endothelial_cells:lymphatic:KSHV | 0.16 | 309.80 | Raw ScoresEndothelial_cells:lymphatic:TNFa_48h: 0.44, Endothelial_cells:lymphatic: 0.43, Endothelial_cells:lymphatic:KSHV: 0.42, Endothelial_cells:HUVEC: 0.41, Endothelial_cells:HUVEC:VEGF: 0.41, Endothelial_cells:HUVEC:B._anthracis_LT: 0.41, Endothelial_cells:HUVEC:Serum_Amyloid_A: 0.41, Endothelial_cells:HUVEC:IL-1b: 0.41, Endothelial_cells:blood_vessel: 0.41, Endothelial_cells:HUVEC:PR8-infected: 0.4 |
R63_w12GP_CCTCCAATCCTCTGCA-1 | Endothelial_cells:lymphatic:KSHV | 0.16 | 309.08 | Raw ScoresEndothelial_cells:lymphatic:TNFa_48h: 0.51, Endothelial_cells:HUVEC:IL-1b: 0.49, Endothelial_cells:HUVEC: 0.49, Endothelial_cells:HUVEC:VEGF: 0.49, Endothelial_cells:lymphatic:KSHV: 0.49, Endothelial_cells:lymphatic: 0.48, Endothelial_cells:HUVEC:PR8-infected: 0.48, Endothelial_cells:HUVEC:Serum_Amyloid_A: 0.47, Endothelial_cells:HUVEC:H5N1-infected: 0.47, Endothelial_cells:HUVEC:FPV-infected: 0.47 |
R48b_w12_TACACCCTCGTGCAGC-1 | Endothelial_cells:lymphatic | 0.18 | 306.71 | Raw ScoresEndothelial_cells:lymphatic: 0.46, Endothelial_cells:lymphatic:TNFa_48h: 0.45, Endothelial_cells:lymphatic:KSHV: 0.44, Endothelial_cells:blood_vessel: 0.44, Endothelial_cells:HUVEC:VEGF: 0.43, Endothelial_cells:HUVEC: 0.43, Endothelial_cells:HUVEC:IL-1b: 0.42, Endothelial_cells:HUVEC:Serum_Amyloid_A: 0.42, Endothelial_cells:HUVEC:B._anthracis_LT: 0.41, Endothelial_cells:HUVEC:PR8-infected: 0.41 |
R48a_w14.5_TCATGAGTCAAGTCTG-1 | Endothelial_cells:lymphatic:TNFa_48h | 0.18 | 303.90 | Raw ScoresEndothelial_cells:lymphatic: 0.48, Endothelial_cells:lymphatic:TNFa_48h: 0.47, Endothelial_cells:lymphatic:KSHV: 0.47, Endothelial_cells:blood_vessel: 0.46, Endothelial_cells:HUVEC: 0.44, Endothelial_cells:HUVEC:IL-1b: 0.44, Endothelial_cells:HUVEC:Serum_Amyloid_A: 0.44, Endothelial_cells:HUVEC:VEGF: 0.44, Endothelial_cells:HUVEC:PR8-infected: 0.44, Endothelial_cells:HUVEC:B._anthracis_LT: 0.44 |
R48b_w12_TCAAGTGCAGCACAAG-1 | Endothelial_cells:lymphatic | 0.17 | 303.08 | Raw ScoresEndothelial_cells:lymphatic: 0.42, Endothelial_cells:lymphatic:TNFa_48h: 0.41, Endothelial_cells:lymphatic:KSHV: 0.39, Endothelial_cells:blood_vessel: 0.38, Endothelial_cells:HUVEC:VEGF: 0.38, Endothelial_cells:HUVEC: 0.38, Endothelial_cells:HUVEC:Serum_Amyloid_A: 0.37, Endothelial_cells:HUVEC:IL-1b: 0.37, Endothelial_cells:HUVEC:B._anthracis_LT: 0.37, Endothelial_cells:HUVEC:PR8-infected: 0.36 |
R63_w12GP_GTCCACTGTTCCTTGC-1 | Endothelial_cells:lymphatic:KSHV | 0.17 | 302.39 | Raw ScoresEndothelial_cells:lymphatic:TNFa_48h: 0.52, Endothelial_cells:HUVEC: 0.51, Endothelial_cells:HUVEC:VEGF: 0.51, Endothelial_cells:lymphatic:KSHV: 0.5, Endothelial_cells:HUVEC:IL-1b: 0.5, Endothelial_cells:lymphatic: 0.5, Endothelial_cells:HUVEC:B._anthracis_LT: 0.49, Endothelial_cells:HUVEC:Serum_Amyloid_A: 0.49, Endothelial_cells:HUVEC:PR8-infected: 0.49, Endothelial_cells:HUVEC:H5N1-infected: 0.49 |
R48b_w12_AGAGAGCTCCGCTTAC-1 | Endothelial_cells:lymphatic:TNFa_48h | 0.20 | 302.16 | Raw ScoresEndothelial_cells:lymphatic:TNFa_48h: 0.48, Endothelial_cells:lymphatic: 0.47, Endothelial_cells:HUVEC: 0.46, Endothelial_cells:lymphatic:KSHV: 0.45, Endothelial_cells:HUVEC:VEGF: 0.45, Endothelial_cells:HUVEC:PR8-infected: 0.45, Endothelial_cells:HUVEC:IL-1b: 0.45, Endothelial_cells:HUVEC:H5N1-infected: 0.45, Endothelial_cells:HUVEC:FPV-infected: 0.45, Endothelial_cells:HUVEC:B._anthracis_LT: 0.45 |
R63_w12GP_CGTAGTACAAACTGCT-1 | Endothelial_cells:lymphatic:KSHV | 0.16 | 297.93 | Raw ScoresEndothelial_cells:lymphatic:TNFa_48h: 0.44, Endothelial_cells:lymphatic: 0.44, Endothelial_cells:lymphatic:KSHV: 0.43, Endothelial_cells:blood_vessel: 0.42, Endothelial_cells:HUVEC:Serum_Amyloid_A: 0.41, Endothelial_cells:HUVEC:B._anthracis_LT: 0.41, Endothelial_cells:HUVEC:IL-1b: 0.41, Endothelial_cells:HUVEC: 0.41, Endothelial_cells:HUVEC:VEGF: 0.4, Endothelial_cells:HUVEC:PR8-infected: 0.4 |
R48a_w14.5_GGGTTTATCCCTTGTG-1 | Endothelial_cells:lymphatic:TNFa_48h | 0.17 | 297.62 | Raw ScoresEndothelial_cells:lymphatic: 0.44, Endothelial_cells:lymphatic:TNFa_48h: 0.44, Endothelial_cells:lymphatic:KSHV: 0.42, Endothelial_cells:blood_vessel: 0.42, Endothelial_cells:HUVEC: 0.41, Endothelial_cells:HUVEC:VEGF: 0.41, Endothelial_cells:HUVEC:Serum_Amyloid_A: 0.4, Endothelial_cells:HUVEC:IL-1b: 0.4, Endothelial_cells:HUVEC:B._anthracis_LT: 0.4, Endothelial_cells:HUVEC:PR8-infected: 0.39 |
R63_w12GP_CCAATGACACTTGAGT-1 | Endothelial_cells:lymphatic | 0.17 | 297.43 | Raw ScoresEndothelial_cells:lymphatic: 0.43, Endothelial_cells:lymphatic:TNFa_48h: 0.43, Endothelial_cells:lymphatic:KSHV: 0.42, Endothelial_cells:blood_vessel: 0.42, Endothelial_cells:HUVEC:VEGF: 0.41, Endothelial_cells:HUVEC: 0.41, Endothelial_cells:HUVEC:B._anthracis_LT: 0.41, Endothelial_cells:HUVEC:Serum_Amyloid_A: 0.41, Endothelial_cells:HUVEC:IL-1b: 0.4, Endothelial_cells:HUVEC:PR8-infected: 0.4 |
R48a_w14.5_CTAGACAGTAAGCAAT-1 | Endothelial_cells:lymphatic:KSHV | 0.15 | 295.49 | Raw ScoresEndothelial_cells:lymphatic:TNFa_48h: 0.49, Endothelial_cells:HUVEC:IL-1b: 0.48, Endothelial_cells:HUVEC: 0.48, Endothelial_cells:HUVEC:VEGF: 0.48, Endothelial_cells:HUVEC:PR8-infected: 0.47, Endothelial_cells:HUVEC:H5N1-infected: 0.47, Endothelial_cells:lymphatic:KSHV: 0.47, Endothelial_cells:HUVEC:FPV-infected: 0.46, Endothelial_cells:lymphatic: 0.46, Endothelial_cells:HUVEC:B._anthracis_LT: 0.46 |
R48a_w14.5_CGAGGCTAGTTTCGAC-1 | Endothelial_cells:lymphatic:KSHV | 0.15 | 294.30 | Raw ScoresEndothelial_cells:lymphatic:TNFa_48h: 0.45, Endothelial_cells:HUVEC:IL-1b: 0.44, Endothelial_cells:HUVEC:PR8-infected: 0.43, Endothelial_cells:HUVEC: 0.43, Endothelial_cells:HUVEC:VEGF: 0.43, Endothelial_cells:HUVEC:H5N1-infected: 0.43, Endothelial_cells:lymphatic:KSHV: 0.42, Endothelial_cells:lymphatic: 0.42, Endothelial_cells:HUVEC:FPV-infected: 0.42, Endothelial_cells:HUVEC:B._anthracis_LT: 0.42 |
R48a_w14.5_TTGAACGCAGGTGACA-1 | Endothelial_cells:lymphatic | 0.17 | 294.17 | Raw ScoresEndothelial_cells:lymphatic: 0.39, Endothelial_cells:lymphatic:TNFa_48h: 0.38, Endothelial_cells:lymphatic:KSHV: 0.37, Endothelial_cells:blood_vessel: 0.37, Endothelial_cells:HUVEC:VEGF: 0.36, Endothelial_cells:HUVEC: 0.36, Endothelial_cells:HUVEC:B._anthracis_LT: 0.36, Endothelial_cells:HUVEC:Serum_Amyloid_A: 0.36, Endothelial_cells:HUVEC:IL-1b: 0.36, Endothelial_cells:HUVEC:FPV-infected: 0.35 |
R48b_w12_TCAGTCCAGGTGGTTG-1 | Endothelial_cells:lymphatic:TNFa_48h | 0.17 | 293.16 | Raw ScoresEndothelial_cells:lymphatic: 0.43, Endothelial_cells:lymphatic:TNFa_48h: 0.42, Endothelial_cells:lymphatic:KSHV: 0.4, Endothelial_cells:blood_vessel: 0.39, Endothelial_cells:HUVEC:VEGF: 0.39, Endothelial_cells:HUVEC: 0.39, Endothelial_cells:HUVEC:IL-1b: 0.39, Endothelial_cells:HUVEC:Serum_Amyloid_A: 0.39, Endothelial_cells:HUVEC:PR8-infected: 0.38, Endothelial_cells:HUVEC:B._anthracis_LT: 0.38 |
Below shows the significant enrichments of this GEP for literature curated gene lists
  This data was procured from existing single cell RNA-seq maps of neuroblastoma or related relevant data.
  High ranks indicate this gene is a driver of this GEP.
  These curated gene list are ranked by the P-value (on this GEP) of their constituent genes.
  The Mean Count column shows the mean read count in cells scoring highly (H > 50) on this gene expression program.
Genes | Weight | Rank | GTEx | DepMap | Decartes | Mean.Counts | Mean.TPM |
---|---|---|---|---|---|---|---|
CAVIN2 | 0.0125491 | 7 | GTEx | DepMap | Descartes | 15.05 | NA |
KDR | 0.0087116 | 24 | GTEx | DepMap | Descartes | 7.57 | 393.43 |
EGFL7 | 0.0074213 | 46 | GTEx | DepMap | Descartes | 13.86 | 1936.30 |
PRCP | 0.0067825 | 68 | GTEx | DepMap | Descartes | 6.61 | 277.70 |
FLT1 | 0.0036034 | 315 | GTEx | DepMap | Descartes | 8.50 | 359.03 |
PECAM1 | 0.0033856 | 367 | GTEx | DepMap | Descartes | 2.50 | 107.08 |
IFN Response (Kinker)
These marker genes were obtained in a pan cancer cell lines NMF analysis of scRNA-eq data in Kinker et al (PMID 33128048) - 10 metaprograms were recovered that manifest across cancers, this program contained interferon response genes.:
Wilcoxon ranksum test P-value for gene set overrepresentation: 2.17e-04
Mean rank of genes in gene set: 2203.33
Rank on gene expression program of genes in gene set:
Genes | Weight | Rank | GTEx | DepMap | Decartes | Mean.Counts | Mean.TPM |
---|---|---|---|---|---|---|---|
ISG20 | 0.0026534 | 557 | GTEx | DepMap | Descartes | 1.18 | 57.94 |
ISG15 | 0.0018291 | 950 | GTEx | DepMap | Descartes | 1.41 | 490.02 |
IFIT3 | 0.0015170 | 1221 | GTEx | DepMap | Descartes | 0.32 | 36.03 |
IFIT1 | 0.0010618 | 1832 | GTEx | DepMap | Descartes | 0.18 | 11.28 |
IFIT2 | 0.0007605 | 2514 | GTEx | DepMap | Descartes | 0.12 | 9.61 |
OASL | 0.0001750 | 6146 | GTEx | DepMap | Descartes | 0.01 | 0.39 |
Vascular (Kildisiute)
Vascular markers obtained from Kildisiute et al, Supplmenentary Table 2, references supporting these genes are provided in Supp Table S2 of Kildisiute et al (PMID 33547074) https://www.science.org/doi/suppl/10.1126/sciadv.abd3311/suppl_file/abd3311_tables_s1_to_s12.xlsx:
Wilcoxon ranksum test P-value for gene set overrepresentation: 3.16e-04
Mean rank of genes in gene set: 174.25
Rank on gene expression program of genes in gene set:
Genes | Weight | Rank | GTEx | DepMap | Decartes | Mean.Counts | Mean.TPM |
---|---|---|---|---|---|---|---|
KDR | 0.0087116 | 24 | GTEx | DepMap | Descartes | 7.57 | 393.43 |
PLVAP | 0.0067784 | 69 | GTEx | DepMap | Descartes | 6.63 | 884.44 |
PTPRB | 0.0042011 | 237 | GTEx | DepMap | Descartes | 2.06 | 51.61 |
PECAM1 | 0.0033856 | 367 | GTEx | DepMap | Descartes | 2.50 | 107.08 |
Below shows ranks on this GEP for literature curated gene lists for large gene sets
  These include those reported as mesenchymal/adrenergic by Van Groningen et al.
  High ranks indicate this gene is a driver of this GEP (note these results are not ordered).
  The Mean Count column shows the mean read count in cells scoring highly (H > 50) on this gene expression program.
VanGroningen Adrenergic Genes
Adrenergic marker genes from Supplementary Table 2 of Van Groningen et al. Nature Genetics 2017. These genes were identified by differential expression analysis of mesenchymal-like and adrenergic-like neuroblastoma cell lines.
Wilcoxon ranksum test P-value for gene set overrepresentation: 1.00e+00
Mean rank of genes in gene set: 17953.52
Median rank of genes in gene set: 22728
Rank on gene expression program of top 30 genes in gene set:
Genes | Weight | Rank | GTEx | DepMap | Descartes | Mean.Counts | Mean.TPM |
---|---|---|---|---|---|---|---|
AKAP12 | 0.0093002 | 19 | GTEx | DepMap | Descartes | 15.10 | 517.03 |
NCOA7 | 0.0083646 | 30 | GTEx | DepMap | Descartes | 2.88 | NA |
TIAM1 | 0.0057401 | 115 | GTEx | DepMap | Descartes | 0.84 | 36.82 |
CDC42EP3 | 0.0050962 | 156 | GTEx | DepMap | Descartes | 1.03 | 59.74 |
MYRIP | 0.0042710 | 229 | GTEx | DepMap | Descartes | 0.15 | 9.12 |
ARHGEF7 | 0.0041928 | 239 | GTEx | DepMap | Descartes | 1.27 | 71.53 |
TMOD2 | 0.0037703 | 291 | GTEx | DepMap | Descartes | 0.53 | 17.70 |
GRB10 | 0.0035899 | 318 | GTEx | DepMap | Descartes | 0.99 | 54.85 |
DAPK1 | 0.0031535 | 413 | GTEx | DepMap | Descartes | 0.43 | 21.95 |
AP1S2 | 0.0028854 | 479 | GTEx | DepMap | Descartes | 1.14 | 88.85 |
DNAJB1 | 0.0027154 | 534 | GTEx | DepMap | Descartes | 2.91 | 351.60 |
H1FX | 0.0025206 | 610 | GTEx | DepMap | Descartes | 5.22 | NA |
EXOC5 | 0.0023814 | 653 | GTEx | DepMap | Descartes | 0.80 | 21.99 |
DPYSL2 | 0.0023583 | 662 | GTEx | DepMap | Descartes | 1.35 | 79.49 |
TOX2 | 0.0023133 | 678 | GTEx | DepMap | Descartes | 0.18 | 20.88 |
ST3GAL6 | 0.0022773 | 697 | GTEx | DepMap | Descartes | 0.37 | 30.92 |
CD200 | 0.0021994 | 730 | GTEx | DepMap | Descartes | 0.40 | 58.01 |
TSPAN7 | 0.0021829 | 738 | GTEx | DepMap | Descartes | 1.14 | 164.97 |
SETD7 | 0.0019063 | 897 | GTEx | DepMap | Descartes | 0.27 | 10.84 |
ICA1 | 0.0018118 | 964 | GTEx | DepMap | Descartes | 0.40 | 49.18 |
FAM107B | 0.0016606 | 1093 | GTEx | DepMap | Descartes | 0.76 | 56.44 |
SEPT6 | 0.0016156 | 1142 | GTEx | DepMap | Descartes | 0.68 | NA |
THSD7A | 0.0015733 | 1174 | GTEx | DepMap | Descartes | 0.66 | 19.15 |
PDK1 | 0.0015285 | 1212 | GTEx | DepMap | Descartes | 0.50 | 11.11 |
RNF144A | 0.0015268 | 1214 | GTEx | DepMap | Descartes | 0.42 | 21.90 |
ZNF22 | 0.0014840 | 1257 | GTEx | DepMap | Descartes | 0.97 | 127.59 |
OLFM1 | 0.0013493 | 1408 | GTEx | DepMap | Descartes | 0.21 | 20.37 |
RALGDS | 0.0012323 | 1571 | GTEx | DepMap | Descartes | 0.35 | 18.54 |
CCNI | 0.0011314 | 1723 | GTEx | DepMap | Descartes | 2.30 | 232.26 |
SLC35G2 | 0.0010904 | 1786 | GTEx | DepMap | Descartes | 0.31 | NA |
VanGroningen Mesenchymal Genes
Mesenchymal marker genes from Supplementary Table 2 of Van Groningen et al. Nature Genetics 2017. These genes were identified by differential expression analysis of mesenchymal-like and adrenergic-like neuroblastoma cell lines.
Wilcoxon ranksum test P-value for gene set overrepresentation: 1.00e-18
Mean rank of genes in gene set: 9946.1
Median rank of genes in gene set: 3792
Rank on gene expression program of top 30 genes in gene set:
Genes | Weight | Rank | GTEx | DepMap | Descartes | Mean.Counts | Mean.TPM |
---|---|---|---|---|---|---|---|
TFPI | 0.0145824 | 3 | GTEx | DepMap | Descartes | 10.43 | 422.14 |
DUSP6 | 0.0099176 | 14 | GTEx | DepMap | Descartes | 5.08 | 430.55 |
B2M | 0.0089923 | 21 | GTEx | DepMap | Descartes | 36.87 | 4330.71 |
HES1 | 0.0085975 | 26 | GTEx | DepMap | Descartes | 10.43 | 1938.97 |
NID1 | 0.0085846 | 27 | GTEx | DepMap | Descartes | 4.85 | 250.85 |
F2R | 0.0081303 | 34 | GTEx | DepMap | Descartes | 2.98 | 240.82 |
TGFBR2 | 0.0080977 | 35 | GTEx | DepMap | Descartes | 5.40 | 279.61 |
GJA1 | 0.0080653 | 36 | GTEx | DepMap | Descartes | 3.28 | 336.03 |
WWTR1 | 0.0077161 | 40 | GTEx | DepMap | Descartes | 3.05 | 181.38 |
ITM2B | 0.0070059 | 59 | GTEx | DepMap | Descartes | 13.73 | 385.71 |
PRCP | 0.0067825 | 68 | GTEx | DepMap | Descartes | 6.61 | 277.70 |
HLA-A | 0.0067305 | 70 | GTEx | DepMap | Descartes | 6.04 | 307.14 |
SDCBP | 0.0066126 | 73 | GTEx | DepMap | Descartes | 4.70 | 368.67 |
ELK3 | 0.0062482 | 84 | GTEx | DepMap | Descartes | 2.93 | 213.13 |
TM4SF1 | 0.0061570 | 88 | GTEx | DepMap | Descartes | 5.85 | 521.49 |
SEC14L1 | 0.0061560 | 89 | GTEx | DepMap | Descartes | 4.71 | 247.14 |
JAM3 | 0.0060998 | 94 | GTEx | DepMap | Descartes | 2.46 | 194.96 |
IFITM3 | 0.0059805 | 99 | GTEx | DepMap | Descartes | 19.28 | 7495.94 |
DUSP5 | 0.0059115 | 104 | GTEx | DepMap | Descartes | 1.45 | 178.17 |
MYL12A | 0.0056819 | 121 | GTEx | DepMap | Descartes | 12.91 | 2838.73 |
APP | 0.0054929 | 134 | GTEx | DepMap | Descartes | 4.37 | 372.61 |
FN1 | 0.0054390 | 138 | GTEx | DepMap | Descartes | 4.21 | 147.08 |
PLSCR4 | 0.0053718 | 140 | GTEx | DepMap | Descartes | 0.61 | 58.66 |
HLA-B | 0.0053306 | 142 | GTEx | DepMap | Descartes | 4.93 | 848.04 |
JAK1 | 0.0052690 | 144 | GTEx | DepMap | Descartes | 2.20 | 82.24 |
HSP90B1 | 0.0051775 | 150 | GTEx | DepMap | Descartes | 7.78 | 725.39 |
SASH1 | 0.0051078 | 155 | GTEx | DepMap | Descartes | 1.28 | 51.92 |
TNFRSF1A | 0.0049233 | 164 | GTEx | DepMap | Descartes | 1.67 | 227.24 |
PLSCR1 | 0.0047785 | 175 | GTEx | DepMap | Descartes | 1.34 | 201.51 |
FGFR1 | 0.0047302 | 182 | GTEx | DepMap | Descartes | 1.22 | 60.99 |
Descartes adrenocortical markers
Top 50 marker genes of adrenocortical cells in the Decartes fetal adrenal single cell map (https://atlas.brotmanbaty.org/bbi/human-gene-expression-during-development/cell/adrenocortical/in/adrenal)
Wilcoxon ranksum test P-value for gene set overrepresentation: 1.00e+00
Mean rank of genes in gene set: 21193.74
Median rank of genes in gene set: 25025
Rank on gene expression program of top 30 genes in gene set:
Genes | Weight | Rank | GTEx | DepMap | Descartes | Mean.Counts | Mean.TPM |
---|---|---|---|---|---|---|---|
SH3BP5 | 0.0081793 | 32 | GTEx | DepMap | Descartes | 4.82 | 425.00 |
PDE10A | 0.0017931 | 982 | GTEx | DepMap | Descartes | 0.27 | 9.36 |
IGF1R | 0.0015403 | 1199 | GTEx | DepMap | Descartes | 0.60 | 15.37 |
LDLR | 0.0011476 | 1697 | GTEx | DepMap | Descartes | 0.68 | 37.48 |
ERN1 | 0.0001260 | 6829 | GTEx | DepMap | Descartes | 0.18 | 6.38 |
FDPS | 0.0001066 | 7148 | GTEx | DepMap | Descartes | 2.69 | 346.43 |
SGCZ | -0.0000983 | 15507 | GTEx | DepMap | Descartes | 0.00 | 0.00 |
MSMO1 | -0.0001435 | 17568 | GTEx | DepMap | Descartes | 0.93 | 117.89 |
DHCR7 | -0.0001466 | 17685 | GTEx | DepMap | Descartes | 0.27 | 29.16 |
HMGCS1 | -0.0002268 | 19953 | GTEx | DepMap | Descartes | 0.73 | 39.84 |
NPC1 | -0.0002403 | 20244 | GTEx | DepMap | Descartes | 0.09 | 5.32 |
HMGCR | -0.0003372 | 21832 | GTEx | DepMap | Descartes | 0.41 | 24.92 |
SLC1A2 | -0.0003389 | 21856 | GTEx | DepMap | Descartes | 0.01 | 0.10 |
FRMD5 | -0.0003422 | 21888 | GTEx | DepMap | Descartes | 0.01 | 0.24 |
CYB5B | -0.0004016 | 22603 | GTEx | DepMap | Descartes | 0.69 | 44.78 |
FREM2 | -0.0004062 | 22661 | GTEx | DepMap | Descartes | 0.01 | 0.17 |
DNER | -0.0004453 | 23006 | GTEx | DepMap | Descartes | 0.00 | 0.11 |
SLC2A14 | -0.0004570 | 23100 | GTEx | DepMap | Descartes | 0.00 | 0.18 |
CLU | -0.0005566 | 23776 | GTEx | DepMap | Descartes | 0.16 | 14.70 |
SH3PXD2B | -0.0007100 | 24488 | GTEx | DepMap | Descartes | 0.05 | 1.82 |
PAPSS2 | -0.0007102 | 24489 | GTEx | DepMap | Descartes | 0.25 | 16.09 |
SCAP | -0.0007539 | 24614 | GTEx | DepMap | Descartes | 0.22 | 14.55 |
LINC00473 | -0.0008782 | 24979 | GTEx | DepMap | Descartes | 0.02 | NA |
CYP17A1 | -0.0009226 | 25071 | GTEx | DepMap | Descartes | 0.36 | 32.06 |
CYP11B1 | -0.0009268 | 25080 | GTEx | DepMap | Descartes | 0.18 | 11.48 |
BAIAP2L1 | -0.0009489 | 25134 | GTEx | DepMap | Descartes | 0.02 | 1.10 |
CYP21A2 | -0.0010220 | 25268 | GTEx | DepMap | Descartes | 0.16 | 11.67 |
SULT2A1 | -0.0010765 | 25349 | GTEx | DepMap | Descartes | 0.26 | 29.37 |
SCARB1 | -0.0011341 | 25412 | GTEx | DepMap | Descartes | 0.28 | 12.21 |
DHCR24 | -0.0011623 | 25436 | GTEx | DepMap | Descartes | 0.53 | 26.31 |
Descartes chromaffin markers
Top 50 marker genes of chromaffin cells in the Decartes fetal adrenal single cell map (https://atlas.brotmanbaty.org/bbi/human-gene-expression-during-development/cell/chromaffin/in/adrenal)
Wilcoxon ranksum test P-value for gene set overrepresentation: 1.00e+00
Mean rank of genes in gene set: 22003.05
Median rank of genes in gene set: 22604
Rank on gene expression program of top 30 genes in gene set:
Genes | Weight | Rank | GTEx | DepMap | Descartes | Mean.Counts | Mean.TPM |
---|---|---|---|---|---|---|---|
REEP1 | 0.0001761 | 6131 | GTEx | DepMap | Descartes | 0.04 | 3.00 |
ELAVL2 | -0.0001098 | 16105 | GTEx | DepMap | Descartes | 0.09 | 6.53 |
NTRK1 | -0.0001194 | 16561 | GTEx | DepMap | Descartes | 0.00 | 0.17 |
EPHA6 | -0.0001456 | 17643 | GTEx | DepMap | Descartes | 0.00 | 0.04 |
ANKFN1 | -0.0001674 | 18424 | GTEx | DepMap | Descartes | 0.00 | 0.05 |
CCND1 | -0.0001696 | 18502 | GTEx | DepMap | Descartes | 2.24 | 148.88 |
KCNB2 | -0.0002001 | 19342 | GTEx | DepMap | Descartes | 0.00 | 0.02 |
SLC44A5 | -0.0002176 | 19739 | GTEx | DepMap | Descartes | 0.00 | 0.16 |
RGMB | -0.0002451 | 20346 | GTEx | DepMap | Descartes | 0.07 | 4.72 |
HS3ST5 | -0.0002453 | 20354 | GTEx | DepMap | Descartes | 0.00 | 0.03 |
HMX1 | -0.0002556 | 20550 | GTEx | DepMap | Descartes | 0.00 | 0.12 |
RYR2 | -0.0002671 | 20784 | GTEx | DepMap | Descartes | 0.00 | 0.03 |
ALK | -0.0002868 | 21102 | GTEx | DepMap | Descartes | 0.00 | 0.01 |
GREM1 | -0.0003031 | 21330 | GTEx | DepMap | Descartes | 0.01 | 0.18 |
RPH3A | -0.0003071 | 21401 | GTEx | DepMap | Descartes | 0.00 | 0.03 |
TMEFF2 | -0.0003528 | 22040 | GTEx | DepMap | Descartes | 0.00 | 0.17 |
TMEM132C | -0.0003556 | 22071 | GTEx | DepMap | Descartes | 0.00 | 0.05 |
IL7 | -0.0003884 | 22451 | GTEx | DepMap | Descartes | 0.01 | 0.49 |
EYA4 | -0.0003898 | 22466 | GTEx | DepMap | Descartes | 0.00 | 0.08 |
PTCHD1 | -0.0003935 | 22513 | GTEx | DepMap | Descartes | 0.00 | 0.01 |
PRPH | -0.0003956 | 22539 | GTEx | DepMap | Descartes | 0.01 | 1.42 |
NPY | -0.0003979 | 22571 | GTEx | DepMap | Descartes | 0.01 | 3.80 |
CNKSR2 | -0.0004047 | 22637 | GTEx | DepMap | Descartes | 0.00 | 0.05 |
EYA1 | -0.0004120 | 22707 | GTEx | DepMap | Descartes | 0.00 | 0.16 |
SLC6A2 | -0.0004360 | 22915 | GTEx | DepMap | Descartes | 0.00 | 0.20 |
FAT3 | -0.0004718 | 23222 | GTEx | DepMap | Descartes | 0.00 | 0.03 |
MARCH11 | -0.0005220 | 23550 | GTEx | DepMap | Descartes | 0.01 | NA |
PLXNA4 | -0.0005240 | 23571 | GTEx | DepMap | Descartes | 0.00 | 0.03 |
RBFOX1 | -0.0005273 | 23587 | GTEx | DepMap | Descartes | 0.00 | 0.11 |
MAB21L2 | -0.0005541 | 23760 | GTEx | DepMap | Descartes | 0.00 | 0.26 |
Descartes Vascular_endothelial markers
Top 50 marker genes of Vascular_endothelial cells in the Decartes fetal adrenal single cell map (https://atlas.brotmanbaty.org/bbi/human-gene-expression-during-development/cell/vascular_endothelial/in/adrenal)
Wilcoxon ranksum test P-value for gene set overrepresentation: 1.33e-22
Mean rank of genes in gene set: 2005.07
Median rank of genes in gene set: 206.5
Rank on gene expression program of top 30 genes in gene set:
Genes | Weight | Rank | GTEx | DepMap | Descartes | Mean.Counts | Mean.TPM |
---|---|---|---|---|---|---|---|
DNASE1L3 | 0.0147279 | 1 | GTEx | DepMap | Descartes | 9.79 | 1407.58 |
CYP26B1 | 0.0119057 | 10 | GTEx | DepMap | Descartes | 4.08 | 273.64 |
GALNT15 | 0.0093915 | 17 | GTEx | DepMap | Descartes | 0.75 | NA |
CEACAM1 | 0.0088736 | 23 | GTEx | DepMap | Descartes | 1.83 | 165.30 |
KDR | 0.0087116 | 24 | GTEx | DepMap | Descartes | 7.57 | 393.43 |
FCGR2B | 0.0081588 | 33 | GTEx | DepMap | Descartes | 6.28 | 380.88 |
NPR1 | 0.0075698 | 44 | GTEx | DepMap | Descartes | 1.93 | 139.83 |
IRX3 | 0.0071673 | 54 | GTEx | DepMap | Descartes | 1.84 | 210.75 |
TEK | 0.0071260 | 56 | GTEx | DepMap | Descartes | 1.85 | 120.60 |
ROBO4 | 0.0070886 | 58 | GTEx | DepMap | Descartes | 1.97 | 140.28 |
CDH5 | 0.0069573 | 63 | GTEx | DepMap | Descartes | 4.34 | 320.29 |
PLVAP | 0.0067784 | 69 | GTEx | DepMap | Descartes | 6.63 | 884.44 |
FLT4 | 0.0061694 | 86 | GTEx | DepMap | Descartes | 1.50 | 82.96 |
MMRN2 | 0.0061221 | 92 | GTEx | DepMap | Descartes | 2.11 | 156.18 |
TM4SF18 | 0.0058924 | 105 | GTEx | DepMap | Descartes | 4.63 | 340.88 |
SHANK3 | 0.0055670 | 125 | GTEx | DepMap | Descartes | 1.49 | 57.31 |
CLDN5 | 0.0055501 | 126 | GTEx | DepMap | Descartes | 6.25 | 713.08 |
ESM1 | 0.0054959 | 133 | GTEx | DepMap | Descartes | 1.72 | 239.24 |
ECSCR | 0.0052564 | 147 | GTEx | DepMap | Descartes | 2.43 | 675.40 |
ARHGAP29 | 0.0050860 | 157 | GTEx | DepMap | Descartes | 4.18 | 140.59 |
TIE1 | 0.0045082 | 202 | GTEx | DepMap | Descartes | 1.61 | 126.17 |
RASIP1 | 0.0044906 | 205 | GTEx | DepMap | Descartes | 1.94 | 176.31 |
HYAL2 | 0.0044775 | 208 | GTEx | DepMap | Descartes | 4.81 | 341.21 |
TMEM88 | 0.0043781 | 218 | GTEx | DepMap | Descartes | 4.91 | 1612.84 |
MYRIP | 0.0042710 | 229 | GTEx | DepMap | Descartes | 0.15 | 9.12 |
PTPRB | 0.0042011 | 237 | GTEx | DepMap | Descartes | 2.06 | 51.61 |
F8 | 0.0041752 | 242 | GTEx | DepMap | Descartes | 3.60 | 118.66 |
KANK3 | 0.0039745 | 262 | GTEx | DepMap | Descartes | 1.97 | 205.05 |
SHE | 0.0038822 | 278 | GTEx | DepMap | Descartes | 1.01 | 44.49 |
NOTCH4 | 0.0038663 | 280 | GTEx | DepMap | Descartes | 1.96 | 91.96 |
Descartes stromal markers
Top 50 marker genes of stromal cells in the Decartes fetal adrenal single cell map (https://atlas.brotmanbaty.org/bbi/human-gene-expression-during-development/cell/stromal/in/adrenal)
Wilcoxon ranksum test P-value for gene set overrepresentation: 1.00e+00
Mean rank of genes in gene set: 21976.59
Median rank of genes in gene set: 23809
Rank on gene expression program of top 30 genes in gene set:
Genes | Weight | Rank | GTEx | DepMap | Descartes | Mean.Counts | Mean.TPM |
---|---|---|---|---|---|---|---|
FREM1 | 0.0016358 | 1119 | GTEx | DepMap | Descartes | 0.24 | 7.74 |
MXRA5 | 0.0010951 | 1779 | GTEx | DepMap | Descartes | 0.07 | 2.62 |
IGFBP3 | 0.0007682 | 2498 | GTEx | DepMap | Descartes | 1.33 | 135.90 |
LAMC3 | 0.0003096 | 4825 | GTEx | DepMap | Descartes | 0.07 | 2.77 |
SCARA5 | -0.0001500 | 17808 | GTEx | DepMap | Descartes | 0.00 | 0.25 |
DKK2 | -0.0001999 | 19338 | GTEx | DepMap | Descartes | 0.01 | 0.32 |
ADAMTSL3 | -0.0002512 | 20482 | GTEx | DepMap | Descartes | 0.01 | 0.17 |
ITGA11 | -0.0002687 | 20809 | GTEx | DepMap | Descartes | 0.01 | 0.23 |
ABCA6 | -0.0002724 | 20861 | GTEx | DepMap | Descartes | 0.00 | 0.08 |
POSTN | -0.0003089 | 21435 | GTEx | DepMap | Descartes | 0.13 | 9.89 |
ACTA2 | -0.0003739 | 22278 | GTEx | DepMap | Descartes | 0.05 | 9.16 |
CCDC102B | -0.0003782 | 22331 | GTEx | DepMap | Descartes | 0.03 | 3.19 |
ADAMTS2 | -0.0004350 | 22905 | GTEx | DepMap | Descartes | 0.01 | 0.22 |
LOX | -0.0004551 | 23077 | GTEx | DepMap | Descartes | 0.01 | 0.66 |
ZNF385D | -0.0004637 | 23160 | GTEx | DepMap | Descartes | 0.00 | 0.09 |
GAS2 | -0.0004764 | 23257 | GTEx | DepMap | Descartes | 0.00 | 0.14 |
ABCC9 | -0.0004864 | 23333 | GTEx | DepMap | Descartes | 0.01 | 0.34 |
GLI2 | -0.0004976 | 23396 | GTEx | DepMap | Descartes | 0.00 | 0.10 |
CLDN11 | -0.0005097 | 23478 | GTEx | DepMap | Descartes | 0.02 | 1.98 |
MGP | -0.0005214 | 23547 | GTEx | DepMap | Descartes | 0.04 | 4.61 |
COL12A1 | -0.0005221 | 23551 | GTEx | DepMap | Descartes | 0.07 | 1.27 |
COL27A1 | -0.0005282 | 23592 | GTEx | DepMap | Descartes | 0.01 | 0.37 |
LUM | -0.0005313 | 23613 | GTEx | DepMap | Descartes | 0.02 | 1.92 |
PAMR1 | -0.0005401 | 23688 | GTEx | DepMap | Descartes | 0.00 | 0.40 |
HHIP | -0.0005612 | 23809 | GTEx | DepMap | Descartes | 0.01 | 0.19 |
ELN | -0.0005991 | 24013 | GTEx | DepMap | Descartes | 0.02 | 0.98 |
SFRP2 | -0.0006114 | 24071 | GTEx | DepMap | Descartes | 0.01 | 0.69 |
PCDH18 | -0.0006326 | 24169 | GTEx | DepMap | Descartes | 0.02 | 0.65 |
ISLR | -0.0006911 | 24420 | GTEx | DepMap | Descartes | 0.02 | 1.96 |
PDGFRA | -0.0007037 | 24468 | GTEx | DepMap | Descartes | 0.01 | 0.61 |
Descartes sympathoblasts markers
Top 50 marker genes of sympathoblasts cells in the Decartes fetal adrenal single cell map (https://atlas.brotmanbaty.org/bbi/human-gene-expression-during-development/cell/sympathoblasts/in/adrenal)
Wilcoxon ranksum test P-value for gene set overrepresentation: 1.00e+00
Mean rank of genes in gene set: 21185.66
Median rank of genes in gene set: 22295.5
Rank on gene expression program of top 30 genes in gene set:
Genes | Weight | Rank | GTEx | DepMap | Descartes | Mean.Counts | Mean.TPM |
---|---|---|---|---|---|---|---|
TIAM1 | 0.0057401 | 115 | GTEx | DepMap | Descartes | 0.84 | 36.82 |
CDH18 | 0.0001245 | 6857 | GTEx | DepMap | Descartes | 0.01 | 0.96 |
SLC35F3 | -0.0001001 | 15614 | GTEx | DepMap | Descartes | 0.00 | 0.04 |
SPOCK3 | -0.0001125 | 16225 | GTEx | DepMap | Descartes | 0.03 | 3.24 |
CNTNAP5 | -0.0001265 | 16900 | GTEx | DepMap | Descartes | 0.00 | 0.03 |
CCSER1 | -0.0001825 | 18849 | GTEx | DepMap | Descartes | 0.07 | NA |
TBX20 | -0.0001848 | 18917 | GTEx | DepMap | Descartes | 0.00 | 0.00 |
SORCS3 | -0.0001981 | 19285 | GTEx | DepMap | Descartes | 0.00 | 0.00 |
GALNTL6 | -0.0001992 | 19320 | GTEx | DepMap | Descartes | 0.00 | 0.07 |
CNTN3 | -0.0002500 | 20451 | GTEx | DepMap | Descartes | 0.00 | 0.09 |
TMEM130 | -0.0002594 | 20638 | GTEx | DepMap | Descartes | 0.00 | 0.15 |
AGBL4 | -0.0002685 | 20807 | GTEx | DepMap | Descartes | 0.00 | 0.06 |
KSR2 | -0.0002737 | 20878 | GTEx | DepMap | Descartes | 0.00 | 0.01 |
ST18 | -0.0002894 | 21140 | GTEx | DepMap | Descartes | 0.00 | 0.01 |
SLC24A2 | -0.0003057 | 21371 | GTEx | DepMap | Descartes | 0.00 | 0.04 |
PNMT | -0.0003063 | 21382 | GTEx | DepMap | Descartes | 0.04 | 12.59 |
PENK | -0.0003110 | 21469 | GTEx | DepMap | Descartes | 0.03 | 5.01 |
EML6 | -0.0003115 | 21475 | GTEx | DepMap | Descartes | 0.01 | 0.12 |
KCTD16 | -0.0003173 | 21556 | GTEx | DepMap | Descartes | 0.00 | 0.06 |
PACRG | -0.0003453 | 21940 | GTEx | DepMap | Descartes | 0.00 | 0.19 |
ARC | -0.0003611 | 22137 | GTEx | DepMap | Descartes | 0.04 | 3.29 |
GRM7 | -0.0003703 | 22240 | GTEx | DepMap | Descartes | 0.00 | 0.19 |
PCSK2 | -0.0003801 | 22351 | GTEx | DepMap | Descartes | 0.00 | 0.12 |
CDH12 | -0.0003839 | 22391 | GTEx | DepMap | Descartes | 0.00 | 0.15 |
LAMA3 | -0.0004096 | 22690 | GTEx | DepMap | Descartes | 0.00 | 0.02 |
DGKK | -0.0004362 | 22918 | GTEx | DepMap | Descartes | 0.00 | 0.06 |
FAM155A | -0.0004723 | 23228 | GTEx | DepMap | Descartes | 0.04 | 1.29 |
TENM1 | -0.0004789 | 23277 | GTEx | DepMap | Descartes | 0.00 | NA |
GRID2 | -0.0004966 | 23391 | GTEx | DepMap | Descartes | 0.00 | 0.20 |
MGAT4C | -0.0005021 | 23434 | GTEx | DepMap | Descartes | 0.00 | 0.04 |
Descartes erythroblasts markers
Top 50 marker genes of erythroblasts cells in the Decartes fetal adrenal single cell map (https://atlas.brotmanbaty.org/bbi/human-gene-expression-during-development/cell/erythroblasts/in/adrenal)
Wilcoxon ranksum test P-value for gene set overrepresentation: 1.00e+00
Mean rank of genes in gene set: 22900
Median rank of genes in gene set: 25238.5
Rank on gene expression program of top 30 genes in gene set:
Genes | Weight | Rank | GTEx | DepMap | Descartes | Mean.Counts | Mean.TPM |
---|---|---|---|---|---|---|---|
GYPC | 0.0019411 | 874 | GTEx | DepMap | Descartes | 4.25 | 654.14 |
MARCH3 | 0.0018904 | 909 | GTEx | DepMap | Descartes | 0.50 | NA |
TSPAN5 | 0.0007013 | 2684 | GTEx | DepMap | Descartes | 0.25 | 17.87 |
DENND4A | 0.0001705 | 6193 | GTEx | DepMap | Descartes | 0.18 | 6.29 |
RAPGEF2 | -0.0001901 | 19071 | GTEx | DepMap | Descartes | 0.29 | 10.23 |
HECTD4 | -0.0002615 | 20685 | GTEx | DepMap | Descartes | 0.18 | NA |
RGS6 | -0.0002673 | 20786 | GTEx | DepMap | Descartes | 0.01 | 0.72 |
SLC25A21 | -0.0003872 | 22429 | GTEx | DepMap | Descartes | 0.01 | 0.62 |
HBZ | -0.0004162 | 22735 | GTEx | DepMap | Descartes | 0.24 | 67.22 |
RHD | -0.0005183 | 23535 | GTEx | DepMap | Descartes | 0.00 | 0.14 |
MICAL2 | -0.0005363 | 23657 | GTEx | DepMap | Descartes | 0.02 | 1.00 |
XPO7 | -0.0005448 | 23712 | GTEx | DepMap | Descartes | 0.16 | 9.42 |
ABCB10 | -0.0006245 | 24133 | GTEx | DepMap | Descartes | 0.12 | 8.86 |
TMCC2 | -0.0006389 | 24204 | GTEx | DepMap | Descartes | 0.03 | 1.61 |
CPOX | -0.0007220 | 24522 | GTEx | DepMap | Descartes | 0.26 | 25.68 |
GYPE | -0.0007693 | 24671 | GTEx | DepMap | Descartes | 0.00 | 0.89 |
TFR2 | -0.0007750 | 24688 | GTEx | DepMap | Descartes | 0.01 | 0.50 |
SPTB | -0.0007840 | 24710 | GTEx | DepMap | Descartes | 0.00 | 0.08 |
GCLC | -0.0008188 | 24823 | GTEx | DepMap | Descartes | 0.06 | 4.44 |
TRAK2 | -0.0009064 | 25035 | GTEx | DepMap | Descartes | 0.15 | 6.46 |
SPTA1 | -0.0009271 | 25082 | GTEx | DepMap | Descartes | 0.01 | 0.35 |
ANK1 | -0.0009503 | 25135 | GTEx | DepMap | Descartes | 0.01 | 0.25 |
CR1L | -0.0009989 | 25216 | GTEx | DepMap | Descartes | 0.01 | 1.38 |
RHCE | -0.0010055 | 25234 | GTEx | DepMap | Descartes | 0.01 | 0.98 |
CAT | -0.0010087 | 25243 | GTEx | DepMap | Descartes | 0.35 | 42.98 |
RHAG | -0.0010830 | 25359 | GTEx | DepMap | Descartes | 0.01 | 1.68 |
SOX6 | -0.0011063 | 25389 | GTEx | DepMap | Descartes | 0.01 | 0.23 |
SLC4A1 | -0.0011233 | 25404 | GTEx | DepMap | Descartes | 0.04 | 1.90 |
TMEM56 | -0.0012188 | 25490 | GTEx | DepMap | Descartes | 0.01 | NA |
EPB41 | -0.0012251 | 25497 | GTEx | DepMap | Descartes | 0.12 | 5.13 |
Descartes myeloid markers
Top 50 marker genes of myeloid cells in the Decartes fetal adrenal single cell map (https://atlas.brotmanbaty.org/bbi/human-gene-expression-during-development/cell/myeloid/in/adrenal)
Wilcoxon ranksum test P-value for gene set overrepresentation: 1.00e+00
Mean rank of genes in gene set: 17925.06
Median rank of genes in gene set: 23295
Rank on gene expression program of top 30 genes in gene set:
Genes | Weight | Rank | GTEx | DepMap | Descartes | Mean.Counts | Mean.TPM |
---|---|---|---|---|---|---|---|
LGMN | 0.0035897 | 319 | GTEx | DepMap | Descartes | 1.43 | 204.24 |
PTPRE | 0.0034879 | 343 | GTEx | DepMap | Descartes | 0.69 | 36.92 |
HLA-DRB1 | 0.0024867 | 623 | GTEx | DepMap | Descartes | 2.11 | 471.32 |
RGL1 | 0.0016953 | 1069 | GTEx | DepMap | Descartes | 0.53 | 30.94 |
CTSD | 0.0014654 | 1283 | GTEx | DepMap | Descartes | 1.56 | 223.97 |
MS4A6A | 0.0014380 | 1316 | GTEx | DepMap | Descartes | 0.40 | 51.44 |
SLC9A9 | 0.0014186 | 1334 | GTEx | DepMap | Descartes | 0.34 | 27.37 |
IFNGR1 | 0.0013781 | 1372 | GTEx | DepMap | Descartes | 0.58 | 67.23 |
ITPR2 | 0.0010144 | 1941 | GTEx | DepMap | Descartes | 0.35 | 8.38 |
WWP1 | 0.0008317 | 2346 | GTEx | DepMap | Descartes | 0.31 | 18.95 |
FGL2 | 0.0002289 | 5534 | GTEx | DepMap | Descartes | 0.28 | 17.49 |
SFMBT2 | 0.0000980 | 7284 | GTEx | DepMap | Descartes | 0.11 | 4.35 |
HLA-DPA1 | 0.0000918 | 7374 | GTEx | DepMap | Descartes | 0.42 | 21.82 |
CTSB | -0.0000774 | 14319 | GTEx | DepMap | Descartes | 1.07 | 81.25 |
CD163L1 | -0.0001881 | 19025 | GTEx | DepMap | Descartes | 0.01 | 0.40 |
MS4A4E | -0.0001955 | 19215 | GTEx | DepMap | Descartes | 0.00 | 0.00 |
CD74 | -0.0003234 | 21662 | GTEx | DepMap | Descartes | 1.08 | 102.78 |
ABCA1 | -0.0003289 | 21732 | GTEx | DepMap | Descartes | 0.18 | 5.46 |
SPP1 | -0.0003489 | 21993 | GTEx | DepMap | Descartes | 0.05 | 4.87 |
HLA-DRA | -0.0003864 | 22419 | GTEx | DepMap | Descartes | 0.30 | 70.35 |
HRH1 | -0.0004316 | 22868 | GTEx | DepMap | Descartes | 0.00 | 0.25 |
MERTK | -0.0004388 | 22948 | GTEx | DepMap | Descartes | 0.09 | 7.16 |
RNASE1 | -0.0004531 | 23056 | GTEx | DepMap | Descartes | 1.36 | 399.77 |
RBPJ | -0.0004778 | 23266 | GTEx | DepMap | Descartes | 0.61 | 29.36 |
ATP8B4 | -0.0004795 | 23285 | GTEx | DepMap | Descartes | 0.00 | 0.18 |
FMN1 | -0.0004816 | 23305 | GTEx | DepMap | Descartes | 0.01 | 0.16 |
HCK | -0.0004857 | 23328 | GTEx | DepMap | Descartes | 0.00 | 0.34 |
CD14 | -0.0005238 | 23570 | GTEx | DepMap | Descartes | 0.08 | 10.97 |
FGD2 | -0.0005466 | 23722 | GTEx | DepMap | Descartes | 0.01 | 0.26 |
MSR1 | -0.0005586 | 23794 | GTEx | DepMap | Descartes | 0.01 | 0.47 |
Descartes Schwann markers
Top 50 marker genes of Schwann cells in the Decartes fetal adrenal single cell map (https://atlas.brotmanbaty.org/bbi/human-gene-expression-during-development/cell/schwann/in/adrenal)
Wilcoxon ranksum test P-value for gene set overrepresentation: 1.00e+00
Mean rank of genes in gene set: 19737.47
Median rank of genes in gene set: 22683
Rank on gene expression program of top 30 genes in gene set:
Genes | Weight | Rank | GTEx | DepMap | Descartes | Mean.Counts | Mean.TPM |
---|---|---|---|---|---|---|---|
MARCKS | 0.0062780 | 81 | GTEx | DepMap | Descartes | 9.00 | 624.20 |
PMP22 | 0.0056994 | 119 | GTEx | DepMap | Descartes | 2.25 | 362.07 |
COL18A1 | 0.0017718 | 1005 | GTEx | DepMap | Descartes | 0.91 | 41.16 |
LAMA4 | 0.0017638 | 1014 | GTEx | DepMap | Descartes | 0.77 | 31.86 |
LAMC1 | 0.0016255 | 1134 | GTEx | DepMap | Descartes | 0.70 | 26.70 |
IL1RAPL2 | 0.0003367 | 4607 | GTEx | DepMap | Descartes | 0.01 | 0.78 |
STARD13 | 0.0002277 | 5549 | GTEx | DepMap | Descartes | 0.16 | 7.79 |
OLFML2A | -0.0000167 | 10319 | GTEx | DepMap | Descartes | 0.14 | 6.29 |
LRRTM4 | -0.0001188 | 16526 | GTEx | DepMap | Descartes | 0.00 | 0.26 |
MDGA2 | -0.0002232 | 19872 | GTEx | DepMap | Descartes | 0.00 | 0.02 |
MPZ | -0.0002317 | 20064 | GTEx | DepMap | Descartes | 0.01 | 1.69 |
SLC35F1 | -0.0002536 | 20516 | GTEx | DepMap | Descartes | 0.05 | 3.07 |
GRIK3 | -0.0002576 | 20588 | GTEx | DepMap | Descartes | 0.00 | 0.00 |
COL25A1 | -0.0002577 | 20591 | GTEx | DepMap | Descartes | 0.02 | 0.70 |
SOX10 | -0.0002827 | 21036 | GTEx | DepMap | Descartes | 0.00 | 0.04 |
PPP2R2B | -0.0002960 | 21245 | GTEx | DepMap | Descartes | 0.00 | 0.01 |
CDH19 | -0.0002964 | 21247 | GTEx | DepMap | Descartes | 0.00 | 0.08 |
XKR4 | -0.0003011 | 21309 | GTEx | DepMap | Descartes | 0.00 | 0.04 |
ERBB4 | -0.0003062 | 21381 | GTEx | DepMap | Descartes | 0.00 | 0.06 |
TRPM3 | -0.0003118 | 21483 | GTEx | DepMap | Descartes | 0.01 | 0.13 |
NRXN3 | -0.0003395 | 21861 | GTEx | DepMap | Descartes | 0.00 | 0.07 |
PLP1 | -0.0003809 | 22361 | GTEx | DepMap | Descartes | 0.01 | 0.48 |
SCN7A | -0.0003947 | 22529 | GTEx | DepMap | Descartes | 0.00 | 0.12 |
ERBB3 | -0.0003986 | 22576 | GTEx | DepMap | Descartes | 0.00 | 0.21 |
EGFLAM | -0.0004090 | 22683 | GTEx | DepMap | Descartes | 0.02 | 1.34 |
IL1RAPL1 | -0.0004277 | 22837 | GTEx | DepMap | Descartes | 0.00 | 0.04 |
HMGA2 | -0.0004330 | 22881 | GTEx | DepMap | Descartes | 0.56 | 19.76 |
LAMB1 | -0.0005064 | 23455 | GTEx | DepMap | Descartes | 0.26 | 13.57 |
PLCE1 | -0.0005105 | 23483 | GTEx | DepMap | Descartes | 0.03 | 0.61 |
SORCS1 | -0.0005127 | 23500 | GTEx | DepMap | Descartes | 0.00 | 0.16 |
Descartes Megakaryocytes markers
Top 50 marker genes of Megakaryocytes cells in the Decartes fetal adrenal single cell map (https://atlas.brotmanbaty.org/bbi/human-gene-expression-during-development/cell/megakaryocytes/in/adrenal)
Wilcoxon ranksum test P-value for gene set overrepresentation: 3.94e-01
Mean rank of genes in gene set: 12620.02
Median rank of genes in gene set: 19291
Rank on gene expression program of top 30 genes in gene set:
Genes | Weight | Rank | GTEx | DepMap | Descartes | Mean.Counts | Mean.TPM |
---|---|---|---|---|---|---|---|
SLC2A3 | 0.0094678 | 16 | GTEx | DepMap | Descartes | 5.76 | 422.61 |
MMRN1 | 0.0093041 | 18 | GTEx | DepMap | Descartes | 1.33 | 82.54 |
TMSB4X | 0.0042076 | 236 | GTEx | DepMap | Descartes | 45.43 | 7184.50 |
RAP1B | 0.0040613 | 252 | GTEx | DepMap | Descartes | 3.55 | 75.69 |
TPM4 | 0.0035569 | 327 | GTEx | DepMap | Descartes | 5.33 | 298.95 |
CD9 | 0.0034691 | 347 | GTEx | DepMap | Descartes | 2.41 | 389.90 |
STOM | 0.0032612 | 391 | GTEx | DepMap | Descartes | 2.12 | 193.88 |
TGFB1 | 0.0026953 | 540 | GTEx | DepMap | Descartes | 1.08 | 112.37 |
HIPK2 | 0.0025735 | 598 | GTEx | DepMap | Descartes | 1.20 | 23.69 |
MYLK | 0.0022108 | 722 | GTEx | DepMap | Descartes | 0.44 | 12.89 |
LIMS1 | 0.0021526 | 754 | GTEx | DepMap | Descartes | 1.33 | 90.32 |
ACTB | 0.0021298 | 769 | GTEx | DepMap | Descartes | 32.69 | 3906.78 |
FLI1 | 0.0019389 | 877 | GTEx | DepMap | Descartes | 0.44 | 22.12 |
THBS1 | 0.0014747 | 1267 | GTEx | DepMap | Descartes | 0.31 | 11.21 |
VCL | 0.0013192 | 1446 | GTEx | DepMap | Descartes | 0.82 | 30.39 |
MYH9 | 0.0010182 | 1927 | GTEx | DepMap | Descartes | 1.34 | 50.58 |
ZYX | 0.0009972 | 1969 | GTEx | DepMap | Descartes | 0.62 | 82.36 |
TLN1 | 0.0009499 | 2048 | GTEx | DepMap | Descartes | 1.53 | 49.24 |
GSN | 0.0005611 | 3254 | GTEx | DepMap | Descartes | 3.59 | 161.64 |
ARHGAP6 | 0.0005589 | 3262 | GTEx | DepMap | Descartes | 0.11 | 4.98 |
FLNA | 0.0002812 | 5073 | GTEx | DepMap | Descartes | 1.01 | 32.89 |
DOK6 | 0.0002589 | 5267 | GTEx | DepMap | Descartes | 0.07 | 2.35 |
INPP4B | 0.0002274 | 5554 | GTEx | DepMap | Descartes | 0.07 | 2.36 |
ITGB3 | -0.0000667 | 13596 | GTEx | DepMap | Descartes | 0.01 | 0.32 |
ITGA2B | -0.0001983 | 19291 | GTEx | DepMap | Descartes | 0.01 | 0.56 |
PPBP | -0.0002145 | 19672 | GTEx | DepMap | Descartes | 0.05 | 9.55 |
PF4 | -0.0002278 | 19980 | GTEx | DepMap | Descartes | 0.02 | 9.25 |
GP1BA | -0.0002286 | 19995 | GTEx | DepMap | Descartes | 0.00 | 0.23 |
SLC24A3 | -0.0002661 | 20771 | GTEx | DepMap | Descartes | 0.00 | 0.02 |
GP9 | -0.0002772 | 20943 | GTEx | DepMap | Descartes | 0.01 | 3.54 |
Descartes Lyphoid markers
Top 50 marker genes of Lyphoid cells in the Decartes fetal adrenal single cell map (https://atlas.brotmanbaty.org/bbi/human-gene-expression-during-development/cell/lymphoid/in/adrenal)
Wilcoxon ranksum test P-value for gene set overrepresentation: 5.68e-01
Mean rank of genes in gene set: 13089.94
Median rank of genes in gene set: 19040.5
Rank on gene expression program of top 30 genes in gene set:
Genes | Weight | Rank | GTEx | DepMap | Descartes | Mean.Counts | Mean.TPM |
---|---|---|---|---|---|---|---|
B2M | 0.0089923 | 21 | GTEx | DepMap | Descartes | 36.87 | 4330.71 |
HLA-A | 0.0067305 | 70 | GTEx | DepMap | Descartes | 6.04 | 307.14 |
HLA-B | 0.0053306 | 142 | GTEx | DepMap | Descartes | 4.93 | 848.04 |
IFI16 | 0.0044624 | 211 | GTEx | DepMap | Descartes | 2.10 | 142.60 |
HLA-C | 0.0042756 | 228 | GTEx | DepMap | Descartes | 3.51 | 514.12 |
PRKCH | 0.0037546 | 293 | GTEx | DepMap | Descartes | 0.72 | 59.90 |
SP100 | 0.0028803 | 481 | GTEx | DepMap | Descartes | 0.77 | 41.02 |
MSN | 0.0027250 | 532 | GTEx | DepMap | Descartes | 1.99 | 141.61 |
MCTP2 | 0.0026635 | 555 | GTEx | DepMap | Descartes | 0.30 | 10.66 |
ARHGDIB | 0.0026484 | 561 | GTEx | DepMap | Descartes | 1.59 | 335.31 |
FYN | 0.0026030 | 586 | GTEx | DepMap | Descartes | 1.04 | 84.95 |
ETS1 | 0.0025106 | 613 | GTEx | DepMap | Descartes | 2.03 | 112.14 |
ITPKB | 0.0019721 | 858 | GTEx | DepMap | Descartes | 0.35 | 17.60 |
WIPF1 | 0.0015359 | 1201 | GTEx | DepMap | Descartes | 0.35 | 22.58 |
MBNL1 | 0.0014161 | 1337 | GTEx | DepMap | Descartes | 1.12 | 50.54 |
RCSD1 | 0.0013880 | 1362 | GTEx | DepMap | Descartes | 0.38 | 18.32 |
ANKRD44 | 0.0013567 | 1398 | GTEx | DepMap | Descartes | 0.44 | 18.93 |
SKAP1 | 0.0011721 | 1654 | GTEx | DepMap | Descartes | 0.09 | 15.29 |
FOXP1 | 0.0009011 | 2157 | GTEx | DepMap | Descartes | 0.42 | 13.64 |
PDE3B | 0.0008373 | 2327 | GTEx | DepMap | Descartes | 0.12 | 5.94 |
GNG2 | 0.0003575 | 4441 | GTEx | DepMap | Descartes | 0.46 | 34.44 |
PITPNC1 | 0.0001843 | 6029 | GTEx | DepMap | Descartes | 0.26 | 11.41 |
BACH2 | -0.0000175 | 10359 | GTEx | DepMap | Descartes | 0.02 | 0.89 |
LINC00299 | -0.0001740 | 18613 | GTEx | DepMap | Descartes | 0.00 | 0.14 |
CCL5 | -0.0002049 | 19468 | GTEx | DepMap | Descartes | 0.07 | 13.43 |
SCML4 | -0.0002601 | 20650 | GTEx | DepMap | Descartes | 0.00 | 0.05 |
NKG7 | -0.0002793 | 20979 | GTEx | DepMap | Descartes | 0.00 | 0.89 |
NCALD | -0.0003047 | 21355 | GTEx | DepMap | Descartes | 0.13 | 9.86 |
RAP1GAP2 | -0.0003431 | 21902 | GTEx | DepMap | Descartes | 0.00 | 0.12 |
SAMD3 | -0.0004373 | 22925 | GTEx | DepMap | Descartes | 0.00 | 0.02 |
Below shows the ranks on this GEP for immune marker gene lists curated by CellTypist (https://www.celltypist.org/encyclopedia).
  High ranks indicate this gene is a driver of this GEP.
  These curated gene list are ranked by P-value (on this GEP) of their constituent genes.
  The Mean Count column shows the mean read count in cells scoring highly (H > 50) on this gene expression program.
Genes | Weight | Rank | GTEx | DepMap | Decartes | Mean.Counts | Mean.TPM |
---|---|---|---|---|---|---|---|
PLVAP | 0.0067784 | 69 | GTEx | DepMap | Descartes | 6.63 | 884.44 |
CLDN5 | 0.0055501 | 126 | GTEx | DepMap | Descartes | 6.25 | 713.08 |
SPARCL1 | 0.0021293 | 770 | GTEx | DepMap | Descartes | 3.54 | 305.14 |
pDC precursor: pDC precursor (curated markers)
precursors of plasmacytoid dendritic cells which have intermixed lymphoid and myeloid origins and give rise to plasmacytoid dendritic cells:
Wilcoxon ranksum test P-value for gene set overrepresentation: 2.62e-03
Mean rank of genes in gene set: 898.33
Rank on gene expression program of genes in gene set:
Genes | Weight | Rank | GTEx | DepMap | Decartes | Mean.Counts | Mean.TPM |
---|---|---|---|---|---|---|---|
CCDC50 | 0.0034286 | 357 | GTEx | DepMap | Descartes | 1.15 | 38.47 |
IRF7 | 0.0018100 | 967 | GTEx | DepMap | Descartes | 0.28 | 40.76 |
IL3RA | 0.0013811 | 1371 | GTEx | DepMap | Descartes | 0.63 | 120.87 |
T cells: CD8a/b(entry) (curated markers)
T lymphocytes with CD8 alpha/beta heterodimers in the late double-positive (entry) stage during T cell development:
Wilcoxon ranksum test P-value for gene set overrepresentation: 2.93e-02
Mean rank of genes in gene set: 4769.33
Rank on gene expression program of genes in gene set:
Genes | Weight | Rank | GTEx | DepMap | Decartes | Mean.Counts | Mean.TPM |
---|---|---|---|---|---|---|---|
TOX2 | 0.0023133 | 678 | GTEx | DepMap | Descartes | 0.18 | 20.88 |
SATB1 | 0.0007311 | 2593 | GTEx | DepMap | Descartes | 0.29 | 11.78 |
CCR9 | -0.0000285 | 11037 | GTEx | DepMap | Descartes | 0.00 | 0.00 |