Program description and justification of annotation: 16.
Submit a comment on this gene expression program’s interpretation: CLICK
QQ-plot of gene loadings, averaged over both independent splits of the data
This plot highlights the relative contribution of each gene to the GEP
Top genes driving this program.
Note: Decartes website is buggy, try refreshing. Also, Decartes fetal adrenal data have been collected at specific time points (89-122 days), all possible cell types of interest may not be represented, do not overinterpret.
The Mean Count column shows the mean read count in cells scoring highly (H > 50) on this gene expression program.
Gene | Loading | Gene.Name | GTEx | DepMap | Descartes | Mean.Counts | Mean.Tpm | |
---|---|---|---|---|---|---|---|---|
1 | DDX1 | 0.0145441 | DEAD-box helicase 1 | GTEx | DepMap | Descartes | 524.66 | 17283.70 |
2 | HDAC9 | 0.0100643 | histone deacetylase 9 | GTEx | DepMap | Descartes | 8.84 | 81.71 |
3 | PKIB | 0.0098331 | cAMP-dependent protein kinase inhibitor beta | GTEx | DepMap | Descartes | 8.30 | 397.62 |
4 | NNAT | 0.0094317 | neuronatin | GTEx | DepMap | Descartes | 12.49 | 881.22 |
5 | PPP1R14A | 0.0088119 | protein phosphatase 1 regulatory inhibitor subunit 14A | GTEx | DepMap | Descartes | 7.38 | 712.59 |
6 | RAI14 | 0.0084482 | retinoic acid induced 14 | GTEx | DepMap | Descartes | 6.80 | 121.09 |
7 | NDUFS5 | 0.0082055 | NADH:ubiquinone oxidoreductase subunit S5 | GTEx | DepMap | Descartes | 44.47 | 7250.68 |
8 | CITED1 | 0.0081544 | Cbp/p300 interacting transactivator with Glu/Asp rich carboxy-terminal domain 1 | GTEx | DepMap | Descartes | 3.73 | 285.60 |
9 | STMN1 | 0.0079066 | stathmin 1 | GTEx | DepMap | Descartes | 65.37 | 2012.91 |
10 | DTNBP1 | 0.0075196 | dystrobrevin binding protein 1 | GTEx | DepMap | Descartes | 3.68 | 178.98 |
11 | POU3F1 | 0.0071498 | POU class 3 homeobox 1 | GTEx | DepMap | Descartes | 1.48 | 47.46 |
12 | IFI44 | 0.0070617 | interferon induced protein 44 | GTEx | DepMap | Descartes | 3.17 | 179.60 |
13 | NUDC | 0.0068376 | nuclear distribution C, dynein complex regulator | GTEx | DepMap | Descartes | 15.45 | 768.73 |
14 | PSMB3 | 0.0066291 | proteasome 20S subunit beta 3 | GTEx | DepMap | Descartes | 16.75 | 1915.86 |
15 | SRM | 0.0063738 | spermidine synthase | GTEx | DepMap | Descartes | 13.11 | 900.42 |
16 | H3F3B | 0.0062788 | NA | GTEx | DepMap | Descartes | 63.86 | NA |
17 | SF3A3 | 0.0062232 | splicing factor 3a subunit 3 | GTEx | DepMap | Descartes | 6.57 | 209.99 |
18 | TUBA4A | 0.0060997 | tubulin alpha 4a | GTEx | DepMap | Descartes | 1.47 | 53.59 |
19 | ACLY | 0.0060398 | ATP citrate lyase | GTEx | DepMap | Descartes | 7.48 | 154.57 |
20 | PSMA7 | 0.0059518 | proteasome 20S subunit alpha 7 | GTEx | DepMap | Descartes | 39.48 | 3429.20 |
21 | MARCKSL1 | 0.0058692 | MARCKS like 1 | GTEx | DepMap | Descartes | 23.63 | 1326.81 |
22 | ALDOA | 0.0058620 | aldolase, fructose-bisphosphate A | GTEx | DepMap | Descartes | 14.14 | 361.49 |
23 | NTMT1 | 0.0058156 | N-terminal Xaa-Pro-Lys N-methyltransferase 1 | GTEx | DepMap | Descartes | 7.11 | NA |
24 | HMGN2 | 0.0057683 | high mobility group nucleosomal binding domain 2 | GTEx | DepMap | Descartes | 30.18 | 1397.81 |
25 | AKIRIN1 | 0.0057454 | akirin 1 | GTEx | DepMap | Descartes | 5.50 | 182.74 |
26 | PSMD3 | 0.0056734 | proteasome 26S subunit, non-ATPase 3 | GTEx | DepMap | Descartes | 5.73 | 175.59 |
27 | PSMB5 | 0.0055941 | proteasome 20S subunit beta 5 | GTEx | DepMap | Descartes | 17.87 | 1385.15 |
28 | SSTR2 | 0.0055673 | somatostatin receptor 2 | GTEx | DepMap | Descartes | 11.98 | 139.20 |
29 | TNFAIP6 | 0.0054237 | TNF alpha induced protein 6 | GTEx | DepMap | Descartes | 1.67 | 106.43 |
30 | TAGLN3 | 0.0054216 | transgelin 3 | GTEx | DepMap | Descartes | 4.35 | 268.83 |
31 | DFFA | 0.0053705 | DNA fragmentation factor subunit alpha | GTEx | DepMap | Descartes | 4.15 | 60.44 |
32 | FNDC5 | 0.0052886 | fibronectin type III domain containing 5 | GTEx | DepMap | Descartes | 4.13 | 133.00 |
33 | FADS1 | 0.0052503 | fatty acid desaturase 1 | GTEx | DepMap | Descartes | 8.59 | 166.54 |
34 | KDM1A | 0.0052129 | lysine demethylase 1A | GTEx | DepMap | Descartes | 9.47 | 281.19 |
35 | LHX2 | 0.0051463 | LIM homeobox 2 | GTEx | DepMap | Descartes | 0.27 | 10.43 |
36 | KPNB1 | 0.0050993 | karyopherin subunit beta 1 | GTEx | DepMap | Descartes | 15.71 | 220.39 |
37 | APRT | 0.0050750 | adenine phosphoribosyltransferase | GTEx | DepMap | Descartes | 11.22 | 1041.08 |
38 | CKM | 0.0049805 | creatine kinase, M-type | GTEx | DepMap | Descartes | 0.50 | 30.24 |
39 | MRTO4 | 0.0049629 | MRT4 homolog, ribosome maturation factor | GTEx | DepMap | Descartes | 5.54 | 239.01 |
40 | CDC34 | 0.0048662 | cell division cycle 34, ubiqiutin conjugating enzyme | GTEx | DepMap | Descartes | 3.50 | 219.32 |
41 | HNRNPR | 0.0048538 | heterogeneous nuclear ribonucleoprotein R | GTEx | DepMap | Descartes | 14.98 | 172.15 |
42 | PRDX1 | 0.0048489 | peroxiredoxin 1 | GTEx | DepMap | Descartes | 31.44 | 2247.26 |
43 | PTGFR | 0.0048358 | prostaglandin F receptor | GTEx | DepMap | Descartes | 2.19 | 38.25 |
44 | MAD2L2 | 0.0048074 | mitotic arrest deficient 2 like 2 | GTEx | DepMap | Descartes | 2.58 | 126.69 |
45 | NME1 | 0.0048046 | NME/NM23 nucleoside diphosphate kinase 1 | GTEx | DepMap | Descartes | 37.71 | 2000.90 |
46 | PSMB2 | 0.0047718 | proteasome 20S subunit beta 2 | GTEx | DepMap | Descartes | 10.44 | 208.88 |
47 | PRDM8 | 0.0046818 | PR/SET domain 8 | GTEx | DepMap | Descartes | 2.68 | 58.51 |
48 | TIMM50 | 0.0046432 | translocase of inner mitochondrial membrane 50 | GTEx | DepMap | Descartes | 4.01 | 68.94 |
49 | LRRC59 | 0.0045705 | leucine rich repeat containing 59 | GTEx | DepMap | Descartes | 6.34 | 191.68 |
50 | RNASEH2A | 0.0045411 | ribonuclease H2 subunit A | GTEx | DepMap | Descartes | 3.63 | 251.34 |
UMAP plots showing activity of gene expression program identified in community:16. NB Cell Line #16 (Mixed)
CNV Data procured from inferCNV.
Outer tracks are putative CNV regions (gains = red, losses = blue) for each patient
Inner track is expression data representing:
The top cells expressing this GEP (purple)
Random cells (n =50) from the reference set used in inferCNV (orange)
Gene set Enrichments for this program, caculated from top 50 genes
mSigDB Cell Types Gene Set:
P-value | OR | Lower 95% CI | FDR | FWER | Genes Found | Gene Set Size | |
---|---|---|---|---|---|---|---|
DURANTE_ADULT_OLFACTORY_NEUROEPITHELIUM_GLOBOSE_BASAL_CELLS | 1.05e-05 | 34.98 | 8.63 | 3.54e-03 | 7.08e-03 | 4STMN1, MARCKSL1, HMGN2, LHX2 |
35 |
FAN_OVARY_CL10_PUTATIVE_EARLY_ATRESIA_GRANULOSA_CELL | 4.20e-10 | 15.07 | 7.08 | 2.82e-07 | 2.82e-07 | 12PPP1R14A, NDUFS5, STMN1, PSMB3, PSMA7, MARCKSL1, ALDOA, HMGN2, PSMB5, APRT, NME1, PSMB2 |
274 |
HU_FETAL_RETINA_AMACRINE | 1.17e-04 | 18.10 | 4.59 | 1.81e-02 | 7.82e-02 | 4NNAT, STMN1, MARCKSL1, TAGLN3 |
64 |
HU_FETAL_RETINA_HORIZONTAL | 5.25e-04 | 21.53 | 4.11 | 5.87e-02 | 3.52e-01 | 3NNAT, STMN1, TAGLN3 |
40 |
MANNO_MIDBRAIN_NEUROTYPES_HNBM | 1.35e-04 | 7.07 | 2.66 | 1.81e-02 | 9.03e-02 | 7NNAT, STMN1, POU3F1, SSTR2, TAGLN3, FNDC5, PRDM8 |
295 |
FAN_OVARY_CL8_MATURE_CUMULUS_GRANULOSA_CELL_2 | 2.31e-05 | 5.56 | 2.55 | 5.18e-03 | 1.55e-02 | 11PPP1R14A, NDUFS5, STMN1, DTNBP1, PSMB3, MARCKSL1, ALDOA, HMGN2, PSMB5, APRT, NME1 |
646 |
TRAVAGLINI_LUNG_NEUROENDOCRINE_CELL | 1.59e-03 | 8.76 | 2.26 | 1.34e-01 | 1.00e+00 | 4PKIB, NNAT, STMN1, TAGLN3 |
128 |
HAY_BONE_MARROW_PRO_B | 1.10e-03 | 5.72 | 1.98 | 1.06e-01 | 7.40e-01 | 6STMN1, MARCKSL1, HMGN2, KPNB1, HNRNPR, MAD2L2 |
304 |
MANNO_MIDBRAIN_NEUROTYPES_HNPROG | 1.94e-03 | 6.20 | 1.90 | 1.45e-01 | 1.00e+00 | 5STMN1, POU3F1, TAGLN3, FNDC5, PRDX1 |
229 |
ZHONG_PFC_C4_UNKNOWN_INP | 5.21e-03 | 9.27 | 1.81 | 2.53e-01 | 1.00e+00 | 3TAGLN3, MRTO4, TIMM50 |
89 |
DURANTE_ADULT_OLFACTORY_NEUROEPITHELIUM_UNSPECIFIED | 9.43e-03 | 14.87 | 1.69 | 3.51e-01 | 1.00e+00 | 2STMN1, PRDX1 |
37 |
ZHENG_CORD_BLOOD_C9_GRANULOCYTE_MACROPHAGE_PROGENITOR | 7.18e-03 | 8.22 | 1.61 | 2.83e-01 | 1.00e+00 | 3STMN1, PSMA7, HMGN2 |
100 |
TRAVAGLINI_LUNG_PROLIFERATING_MACROPHAGE_CELL | 2.50e-03 | 3.26 | 1.45 | 1.68e-01 | 1.00e+00 | 10STMN1, PSMB3, PSMA7, ALDOA, HMGN2, PSMB5, TNFAIP6, PRDX1, PSMB2, RNASEH2A |
968 |
MURARO_PANCREAS_MESENCHYMAL_STROMAL_CELL | 3.70e-03 | 3.54 | 1.43 | 2.26e-01 | 1.00e+00 | 8RAI14, SRM, PSMA7, MARCKSL1, TNFAIP6, FADS1, PRDX1, LRRC59 |
680 |
FAN_OVARY_CL18_B_LYMPHOCYTE | 5.42e-03 | 4.10 | 1.42 | 2.53e-01 | 1.00e+00 | 6NUDC, PSMB3, TUBA4A, AKIRIN1, APRT, PRDX1 |
422 |
RUBENSTEIN_SKELETAL_MUSCLE_SATELLITE_CELLS | 6.88e-03 | 4.55 | 1.40 | 2.83e-01 | 1.00e+00 | 5NDUFS5, ALDOA, HMGN2, APRT, HNRNPR |
310 |
TRAVAGLINI_LUNG_TREM2_DENDRITIC_CELL | 5.65e-03 | 3.60 | 1.36 | 2.53e-01 | 1.00e+00 | 7PSMB3, PSMA7, ALDOA, PSMB5, MRTO4, PRDX1, NME1 |
572 |
TRAVAGLINI_LUNG_PROLIFERATING_BASAL_CELL | 5.08e-03 | 3.11 | 1.33 | 2.53e-01 | 1.00e+00 | 9STMN1, SRM, TUBA4A, ALDOA, HMGN2, HNRNPR, MAD2L2, NME1, RNASEH2A |
891 |
MANNO_MIDBRAIN_NEUROTYPES_HPROGFPM | 1.19e-02 | 3.96 | 1.22 | 3.94e-01 | 1.00e+00 | 5PKIB, STMN1, POU3F1, HMGN2, RNASEH2A |
356 |
FAN_EMBRYONIC_CTX_BIG_GROUPS_CAJAL_RETZIUS | 1.16e-02 | 3.46 | 1.20 | 3.94e-01 | 1.00e+00 | 6TUBA4A, ACLY, PSMA7, MARCKSL1, ALDOA, FNDC5 |
499 |
Dowload full table
mSigDB Hallmark Gene Sets:
P-value | OR | Lower 95% CI | FDR | FWER | Genes Found | Gene Set Size | |
---|---|---|---|---|---|---|---|
HALLMARK_MYC_TARGETS_V1 | 9.73e-07 | 12.40 | 4.96 | 4.87e-05 | 4.87e-05 | 8PSMB3, SRM, PSMA7, PSMD3, KPNB1, HNRNPR, NME1, PSMB2 |
200 |
HALLMARK_MTORC1_SIGNALING | 1.24e-04 | 8.78 | 3.02 | 3.09e-03 | 6.18e-03 | 6TUBA4A, ACLY, ALDOA, PSMB5, FADS1, PRDX1 |
200 |
HALLMARK_UV_RESPONSE_UP | 3.40e-03 | 7.06 | 1.82 | 5.66e-02 | 1.70e-01 | 4TUBA4A, ALDOA, LHX2, CDC34 |
158 |
HALLMARK_MYC_TARGETS_V2 | 2.21e-02 | 9.30 | 1.07 | 2.21e-01 | 1.00e+00 | 2SRM, MRTO4 |
58 |
HALLMARK_DNA_REPAIR | 2.11e-02 | 5.43 | 1.07 | 2.21e-01 | 1.00e+00 | 3SF3A3, APRT, NME1 |
150 |
HALLMARK_G2M_CHECKPOINT | 4.35e-02 | 4.05 | 0.80 | 2.72e-01 | 1.00e+00 | 3STMN1, HMGN2, KPNB1 |
200 |
HALLMARK_INTERFERON_GAMMA_RESPONSE | 4.35e-02 | 4.05 | 0.80 | 2.72e-01 | 1.00e+00 | 3IFI44, TNFAIP6, PSMB2 |
200 |
HALLMARK_E2F_TARGETS | 4.35e-02 | 4.05 | 0.80 | 2.72e-01 | 1.00e+00 | 3STMN1, NME1, RNASEH2A |
200 |
HALLMARK_PEROXISOME | 6.35e-02 | 5.11 | 0.59 | 3.53e-01 | 1.00e+00 | 2FADS1, PRDX1 |
104 |
HALLMARK_ADIPOGENESIS | 1.85e-01 | 2.63 | 0.31 | 6.60e-01 | 1.00e+00 | 2ACLY, ALDOA |
200 |
HALLMARK_GLYCOLYSIS | 1.85e-01 | 2.63 | 0.31 | 6.60e-01 | 1.00e+00 | 2STMN1, ALDOA |
200 |
HALLMARK_ALLOGRAFT_REJECTION | 1.85e-01 | 2.63 | 0.31 | 6.60e-01 | 1.00e+00 | 2HDAC9, NME1 |
200 |
HALLMARK_KRAS_SIGNALING_DN | 1.85e-01 | 2.63 | 0.31 | 6.60e-01 | 1.00e+00 | 2CKM, PTGFR |
200 |
HALLMARK_REACTIVE_OXYGEN_SPECIES_PATHWAY | 1.77e-01 | 5.31 | 0.13 | 6.60e-01 | 1.00e+00 | 1PRDX1 |
49 |
HALLMARK_INTERFERON_ALPHA_RESPONSE | 3.20e-01 | 2.66 | 0.07 | 9.77e-01 | 1.00e+00 | 1IFI44 |
97 |
HALLMARK_ANDROGEN_RESPONSE | 3.28e-01 | 2.58 | 0.06 | 9.77e-01 | 1.00e+00 | 1FADS1 |
100 |
HALLMARK_BILE_ACID_METABOLISM | 3.59e-01 | 2.30 | 0.06 | 9.77e-01 | 1.00e+00 | 1FADS1 |
112 |
HALLMARK_UV_RESPONSE_DN | 4.35e-01 | 1.78 | 0.04 | 9.77e-01 | 1.00e+00 | 1PTGFR |
144 |
HALLMARK_FATTY_ACID_METABOLISM | 4.66e-01 | 1.62 | 0.04 | 9.77e-01 | 1.00e+00 | 1ALDOA |
158 |
HALLMARK_APOPTOSIS | 4.72e-01 | 1.59 | 0.04 | 9.77e-01 | 1.00e+00 | 1DFFA |
161 |
Dowload full table
KEGG Pathways:
P-value | OR | Lower 95% CI | FDR | FWER | Genes Found | Gene Set Size | |
---|---|---|---|---|---|---|---|
KEGG_PROTEASOME | 9.74e-07 | 33.82 | 9.97 | 1.81e-04 | 1.81e-04 | 5PSMB3, PSMA7, PSMD3, PSMB5, PSMB2 |
46 |
KEGG_ARGININE_AND_PROLINE_METABOLISM | 1.94e-02 | 10.01 | 1.15 | 1.00e+00 | 1.00e+00 | 2SRM, CKM |
54 |
KEGG_PURINE_METABOLISM | 1.29e-01 | 3.32 | 0.39 | 1.00e+00 | 1.00e+00 | 2APRT, NME1 |
159 |
KEGG_BETA_ALANINE_METABOLISM | 8.40e-02 | 12.14 | 0.29 | 1.00e+00 | 1.00e+00 | 1SRM |
22 |
KEGG_BIOSYNTHESIS_OF_UNSATURATED_FATTY_ACIDS | 8.40e-02 | 12.14 | 0.29 | 1.00e+00 | 1.00e+00 | 1FADS1 |
22 |
KEGG_PENTOSE_PHOSPHATE_PATHWAY | 1.02e-01 | 9.80 | 0.23 | 1.00e+00 | 1.00e+00 | 1ALDOA |
27 |
KEGG_NEUROACTIVE_LIGAND_RECEPTOR_INTERACTION | 2.87e-01 | 1.93 | 0.23 | 1.00e+00 | 1.00e+00 | 2SSTR2, PTGFR |
272 |
KEGG_CITRATE_CYCLE_TCA_CYCLE | 1.16e-01 | 8.50 | 0.20 | 1.00e+00 | 1.00e+00 | 1ACLY |
31 |
KEGG_FRUCTOSE_AND_MANNOSE_METABOLISM | 1.27e-01 | 7.73 | 0.19 | 1.00e+00 | 1.00e+00 | 1ALDOA |
34 |
KEGG_CYSTEINE_AND_METHIONINE_METABOLISM | 1.27e-01 | 7.73 | 0.19 | 1.00e+00 | 1.00e+00 | 1SRM |
34 |
KEGG_DNA_REPLICATION | 1.34e-01 | 7.29 | 0.18 | 1.00e+00 | 1.00e+00 | 1RNASEH2A |
36 |
KEGG_GLUTATHIONE_METABOLISM | 1.81e-01 | 5.21 | 0.13 | 1.00e+00 | 1.00e+00 | 1SRM |
50 |
KEGG_PATHOGENIC_ESCHERICHIA_COLI_INFECTION | 2.00e-01 | 4.64 | 0.11 | 1.00e+00 | 1.00e+00 | 1TUBA4A |
56 |
KEGG_GLYCOLYSIS_GLUCONEOGENESIS | 2.19e-01 | 4.18 | 0.10 | 1.00e+00 | 1.00e+00 | 1ALDOA |
62 |
KEGG_LEISHMANIA_INFECTION | 2.49e-01 | 3.59 | 0.09 | 1.00e+00 | 1.00e+00 | 1MARCKSL1 |
72 |
KEGG_PEROXISOME | 2.67e-01 | 3.31 | 0.08 | 1.00e+00 | 1.00e+00 | 1PRDX1 |
78 |
KEGG_PROGESTERONE_MEDIATED_OOCYTE_MATURATION | 2.87e-01 | 3.04 | 0.07 | 1.00e+00 | 1.00e+00 | 1MAD2L2 |
85 |
KEGG_APOPTOSIS | 2.93e-01 | 2.97 | 0.07 | 1.00e+00 | 1.00e+00 | 1DFFA |
87 |
KEGG_GAP_JUNCTION | 3.01e-01 | 2.87 | 0.07 | 1.00e+00 | 1.00e+00 | 1TUBA4A |
90 |
KEGG_FC_GAMMA_R_MEDIATED_PHAGOCYTOSIS | 3.17e-01 | 2.68 | 0.07 | 1.00e+00 | 1.00e+00 | 1MARCKSL1 |
96 |
Dowload full table
CHR Positional Gene Sets:
P-value | OR | Lower 95% CI | FDR | FWER | Genes Found | Gene Set Size | |
---|---|---|---|---|---|---|---|
chr1p34 | 6.63e-04 | 6.34 | 2.19 | 9.74e-02 | 1.84e-01 | 6NDUFS5, POU3F1, SF3A3, AKIRIN1, PRDX1, PSMB2 |
275 |
chr1p36 | 7.00e-04 | 4.24 | 1.81 | 9.74e-02 | 1.95e-01 | 9STMN1, NUDC, SRM, HMGN2, DFFA, KDM1A, MRTO4, HNRNPR, MAD2L2 |
656 |
chr17q21 | 3.04e-02 | 3.07 | 0.95 | 1.00e+00 | 1.00e+00 | 5ACLY, PSMD3, KPNB1, NME1, LRRC59 |
457 |
chr1p35 | 9.30e-02 | 4.07 | 0.47 | 1.00e+00 | 1.00e+00 | 2MARCKSL1, FNDC5 |
130 |
chr1p31 | 2.09e-01 | 2.42 | 0.28 | 1.00e+00 | 1.00e+00 | 2IFI44, PTGFR |
217 |
chr19q13 | 7.98e-01 | 0.69 | 0.14 | 1.00e+00 | 1.00e+00 | 3PPP1R14A, CKM, TIMM50 |
1165 |
chr2q23 | 1.84e-01 | 5.10 | 0.12 | 1.00e+00 | 1.00e+00 | 1TNFAIP6 |
51 |
chr2p24 | 2.55e-01 | 3.49 | 0.09 | 1.00e+00 | 1.00e+00 | 1DDX1 |
74 |
chr19p13 | 1.00e+00 | 0.68 | 0.08 | 1.00e+00 | 1.00e+00 | 2CDC34, RNASEH2A |
773 |
chr7p21 | 2.81e-01 | 3.11 | 0.08 | 1.00e+00 | 1.00e+00 | 1HDAC9 |
83 |
chr6q22 | 3.77e-01 | 2.16 | 0.05 | 1.00e+00 | 1.00e+00 | 1PKIB |
119 |
chr2q35 | 3.94e-01 | 2.04 | 0.05 | 1.00e+00 | 1.00e+00 | 1TUBA4A |
126 |
chr5p13 | 3.99e-01 | 2.01 | 0.05 | 1.00e+00 | 1.00e+00 | 1RAI14 |
128 |
chr16q24 | 4.03e-01 | 1.98 | 0.05 | 1.00e+00 | 1.00e+00 | 1APRT |
130 |
chr9q33 | 4.06e-01 | 1.96 | 0.05 | 1.00e+00 | 1.00e+00 | 1LHX2 |
131 |
chr17q12 | 4.33e-01 | 1.80 | 0.04 | 1.00e+00 | 1.00e+00 | 1PSMB3 |
143 |
chrXq13 | 4.70e-01 | 1.60 | 0.04 | 1.00e+00 | 1.00e+00 | 1CITED1 |
160 |
chr3q13 | 5.23e-01 | 1.37 | 0.03 | 1.00e+00 | 1.00e+00 | 1TAGLN3 |
187 |
chr20q11 | 6.08e-01 | 1.08 | 0.03 | 1.00e+00 | 1.00e+00 | 1NNAT |
237 |
chr16p11 | 1.00e+00 | 0.97 | 0.02 | 1.00e+00 | 1.00e+00 | 1ALDOA |
263 |
Dowload full table
Transcription Factor Targets:
P-value | OR | Lower 95% CI | FDR | FWER | Genes Found | Gene Set Size | |
---|---|---|---|---|---|---|---|
ETF_Q6 | 1.22e-03 | 9.45 | 2.43 | 2.98e-01 | 1.00e+00 | 4MARCKSL1, HMGN2, KDM1A, MRTO4 |
119 |
E2F_Q2 | 6.77e-04 | 7.94 | 2.43 | 2.98e-01 | 7.67e-01 | 5STMN1, POU3F1, MARCKSL1, HMGN2, HNRNPR |
180 |
HIF1_Q5 | 3.96e-04 | 7.01 | 2.42 | 2.98e-01 | 4.49e-01 | 6STMN1, MARCKSL1, HMGN2, LHX2, KPNB1, MRTO4 |
249 |
ZNF622_TARGET_GENES | 2.45e-03 | 12.27 | 2.38 | 3.96e-01 | 1.00e+00 | 3PSMB3, SRM, KPNB1 |
68 |
MYC_Q2 | 8.02e-04 | 7.63 | 2.34 | 2.98e-01 | 9.09e-01 | 5STMN1, POU3F1, NUDC, HMGN2, MRTO4 |
187 |
SP1_01 | 2.34e-03 | 5.94 | 1.82 | 3.96e-01 | 1.00e+00 | 5STMN1, ACLY, MARCKSL1, HMGN2, KPNB1 |
239 |
USF2_Q6 | 3.02e-03 | 5.58 | 1.71 | 4.28e-01 | 1.00e+00 | 5STMN1, POU3F1, NUDC, HMGN2, MRTO4 |
254 |
MYCMAX_B | 4.09e-03 | 5.18 | 1.59 | 5.15e-01 | 1.00e+00 | 5RAI14, STMN1, MARCKSL1, KPNB1, HNRNPR |
273 |
CACGTG_MYC_Q2 | 1.32e-03 | 3.37 | 1.55 | 2.98e-01 | 1.00e+00 | 11STMN1, NUDC, PSMB3, TUBA4A, ACLY, ALDOA, NTMT1, HMGN2, MRTO4, TIMM50, LRRC59 |
1057 |
PCGF2_TARGET_GENES | 5.22e-03 | 3.10 | 1.32 | 5.91e-01 | 1.00e+00 | 9DDX1, RAI14, CITED1, NUDC, SF3A3, ALDOA, KPNB1, MRTO4, PRDX1 |
895 |
SUMO1_TARGET_GENES | 6.37e-03 | 3.00 | 1.28 | 6.56e-01 | 1.00e+00 | 9SF3A3, TUBA4A, AKIRIN1, PSMD3, KDM1A, MRTO4, NME1, PRDM8, LRRC59 |
925 |
ZSCAN26_TARGET_GENES | 1.98e-02 | 63.54 | 1.27 | 6.65e-01 | 1.00e+00 | 1CITED1 |
5 |
E2F1DP1RB_01 | 1.29e-02 | 4.75 | 1.23 | 6.65e-01 | 1.00e+00 | 4STMN1, HMGN2, KPNB1, HNRNPR |
233 |
HIF1_Q3 | 1.34e-02 | 4.69 | 1.21 | 6.65e-01 | 1.00e+00 | 4STMN1, NTMT1, HMGN2, MRTO4 |
236 |
E2F_Q6 | 1.34e-02 | 4.69 | 1.21 | 6.65e-01 | 1.00e+00 | 4STMN1, HMGN2, KPNB1, HNRNPR |
236 |
E2F_Q4 | 1.38e-02 | 4.65 | 1.20 | 6.65e-01 | 1.00e+00 | 4STMN1, HMGN2, KPNB1, HNRNPR |
238 |
E2F_Q6_01 | 1.46e-02 | 4.57 | 1.18 | 6.65e-01 | 1.00e+00 | 4STMN1, MARCKSL1, HMGN2, KPNB1 |
242 |
ZF5_B | 1.48e-02 | 4.55 | 1.18 | 6.65e-01 | 1.00e+00 | 4DDX1, STMN1, KDM1A, LHX2 |
243 |
E2F1_Q3_01 | 1.62e-02 | 4.42 | 1.15 | 6.65e-01 | 1.00e+00 | 4STMN1, HMGN2, LHX2, KPNB1 |
250 |
E2A_Q2 | 1.69e-02 | 4.37 | 1.13 | 6.65e-01 | 1.00e+00 | 4TUBA4A, FNDC5, CKM, PRDM8 |
253 |
Dowload full table
GO Biological Processes:
P-value | OR | Lower 95% CI | FDR | FWER | Genes Found | Gene Set Size | |
---|---|---|---|---|---|---|---|
GOBP_PROTEASOMAL_UBIQUITIN_INDEPENDENT_PROTEIN_CATABOLIC_PROCESS | 1.54e-06 | 60.20 | 14.27 | 1.15e-02 | 1.15e-02 | 4PSMB3, PSMA7, PSMB5, PSMB2 |
22 |
GOBP_REGULATION_OF_CELLULAR_AMINO_ACID_METABOLIC_PROCESS | 4.36e-06 | 24.32 | 7.27 | 1.63e-02 | 3.26e-02 | 5PSMB3, PSMA7, PSMD3, PSMB5, PSMB2 |
62 |
GOBP_REGULATION_OF_HEMATOPOIETIC_STEM_CELL_DIFFERENTIATION | 1.04e-05 | 20.11 | 6.05 | 1.70e-02 | 7.79e-02 | 5PSMB3, PSMA7, PSMD3, PSMB5, PSMB2 |
74 |
GOBP_REGULATION_OF_CELLULAR_AMINE_METABOLIC_PROCESS | 1.26e-05 | 19.27 | 5.80 | 1.70e-02 | 9.46e-02 | 5PSMB3, PSMA7, PSMD3, PSMB5, PSMB2 |
77 |
GOBP_REGULATION_OF_TRANSCRIPTION_FROM_RNA_POLYMERASE_II_PROMOTER_IN_RESPONSE_TO_HYPOXIA | 1.26e-05 | 19.27 | 5.80 | 1.70e-02 | 9.46e-02 | 5PSMB3, PSMA7, PSMD3, PSMB5, PSMB2 |
77 |
GOBP_ANTIGEN_PROCESSING_AND_PRESENTATION_OF_EXOGENOUS_PEPTIDE_ANTIGEN_VIA_MHC_CLASS_I | 1.52e-05 | 18.50 | 5.58 | 1.70e-02 | 1.14e-01 | 5PSMB3, PSMA7, PSMD3, PSMB5, PSMB2 |
80 |
GOBP_ANAPHASE_PROMOTING_COMPLEX_DEPENDENT_CATABOLIC_PROCESS | 1.82e-05 | 17.79 | 5.37 | 1.70e-02 | 1.36e-01 | 5PSMB3, PSMA7, PSMD3, PSMB5, PSMB2 |
83 |
GOBP_HEMATOPOIETIC_STEM_CELL_DIFFERENTIATION | 2.42e-05 | 16.72 | 5.05 | 1.91e-02 | 1.81e-01 | 5PSMB3, PSMA7, PSMD3, PSMB5, PSMB2 |
88 |
GOBP_REGULATION_OF_HEMATOPOIETIC_PROGENITOR_CELL_DIFFERENTIATION | 2.55e-05 | 16.52 | 4.99 | 1.91e-02 | 1.91e-01 | 5PSMB3, PSMA7, PSMD3, PSMB5, PSMB2 |
89 |
GOBP_SCF_DEPENDENT_PROTEASOMAL_UBIQUITIN_DEPENDENT_PROTEIN_CATABOLIC_PROCESS | 3.15e-05 | 15.77 | 4.77 | 2.14e-02 | 2.36e-01 | 5PSMB3, PSMA7, PSMD3, PSMB5, PSMB2 |
93 |
GOBP_ANTIGEN_PROCESSING_AND_PRESENTATION_OF_PEPTIDE_ANTIGEN_VIA_MHC_CLASS_I | 4.25e-05 | 14.77 | 4.47 | 2.45e-02 | 3.18e-01 | 5PSMB3, PSMA7, PSMD3, PSMB5, PSMB2 |
99 |
GOBP_INTERLEUKIN_1_MEDIATED_SIGNALING_PATHWAY | 5.14e-05 | 14.17 | 4.30 | 2.75e-02 | 3.84e-01 | 5PSMB3, PSMA7, PSMD3, PSMB5, PSMB2 |
103 |
GOBP_NEGATIVE_REGULATION_OF_CELL_CYCLE_G2_M_PHASE_TRANSITION | 7.32e-05 | 13.09 | 3.98 | 3.36e-02 | 5.48e-01 | 5PSMB3, PSMA7, PSMD3, PSMB5, PSMB2 |
111 |
GOBP_REGULATION_OF_STEM_CELL_DIFFERENTIATION | 7.64e-05 | 12.97 | 3.94 | 3.36e-02 | 5.72e-01 | 5PSMB3, PSMA7, PSMD3, PSMB5, PSMB2 |
112 |
GOBP_REGULATION_OF_DNA_TEMPLATED_TRANSCRIPTION_IN_RESPONSE_TO_STRESS | 8.65e-05 | 12.62 | 3.84 | 3.60e-02 | 6.47e-01 | 5PSMB3, PSMA7, PSMD3, PSMB5, PSMB2 |
115 |
GOBP_INNATE_IMMUNE_RESPONSE_ACTIVATING_SIGNAL_TRANSDUCTION | 9.77e-05 | 12.29 | 3.74 | 3.85e-02 | 7.31e-01 | 5PSMB3, PSMA7, PSMD3, PSMB5, PSMB2 |
118 |
GOBP_AMINE_METABOLIC_PROCESS | 4.04e-05 | 10.85 | 3.73 | 2.45e-02 | 3.02e-01 | 6PSMB3, SRM, PSMA7, PSMD3, PSMB5, PSMB2 |
163 |
GOBP_NEGATIVE_REGULATION_OF_WNT_SIGNALING_PATHWAY | 1.72e-05 | 9.93 | 3.72 | 1.70e-02 | 1.29e-01 | 7CITED1, PSMB3, PSMA7, PSMD3, PSMB5, MAD2L2, PSMB2 |
212 |
GOBP_ESTABLISHMENT_OF_TISSUE_POLARITY | 1.19e-04 | 11.77 | 3.58 | 4.23e-02 | 8.88e-01 | 5PSMB3, PSMA7, PSMD3, PSMB5, PSMB2 |
123 |
GOBP_NEGATIVE_REGULATION_OF_CANONICAL_WNT_SIGNALING_PATHWAY | 6.77e-05 | 9.85 | 3.39 | 3.36e-02 | 5.06e-01 | 6PSMB3, PSMA7, PSMD3, PSMB5, MAD2L2, PSMB2 |
179 |
Dowload full table
Immunological Gene Sets:
P-value | OR | Lower 95% CI | FDR | FWER | Genes Found | Gene Set Size | |
---|---|---|---|---|---|---|---|
GSE28726_NAIVE_VS_ACTIVATED_CD4_TCELL_DN | 1.15e-05 | 10.60 | 3.97 | 1.93e-02 | 5.60e-02 | 7PSMB3, SRM, ALDOA, HMGN2, DFFA, PRDX1, NME1 |
199 |
GSE15930_NAIVE_VS_48H_IN_VITRO_STIM_CD8_TCELL_DN | 1.19e-05 | 10.54 | 3.95 | 1.93e-02 | 5.79e-02 | 7STMN1, PSMA7, MARCKSL1, ALDOA, CDC34, PRDX1, LRRC59 |
200 |
GSE22432_MULTIPOTENT_VS_COMMON_DC_PROGENITOR_UNTREATED_UP | 1.19e-05 | 10.54 | 3.95 | 1.93e-02 | 5.79e-02 | 7DDX1, NDUFS5, NUDC, SRM, SF3A3, APRT, LRRC59 |
200 |
GSE14415_INDUCED_TREG_VS_FAILED_INDUCED_TREG_UP | 8.10e-05 | 9.52 | 3.27 | 5.02e-02 | 3.95e-01 | 6TUBA4A, HMGN2, FADS1, MRTO4, PRDX1, PSMB2 |
185 |
GSE3982_BASOPHIL_VS_TH1_DN | 1.20e-04 | 8.83 | 3.04 | 5.02e-02 | 5.86e-01 | 6RAI14, STMN1, PSMB5, MRTO4, NME1, PSMB2 |
199 |
GSE26156_DOUBLE_POSITIVE_VS_CD4_SINGLE_POSITIVE_THYMOCYTE_DN | 1.20e-04 | 8.83 | 3.04 | 5.02e-02 | 5.86e-01 | 6SRM, HMGN2, PSMB5, PRDX1, NME1, PSMB2 |
199 |
GSE46242_CTRL_VS_EGR2_DELETED_TH1_CD4_TCELL_UP | 1.20e-04 | 8.83 | 3.04 | 5.02e-02 | 5.86e-01 | 6PPP1R14A, PSMB3, TUBA4A, KPNB1, MAD2L2, NME1 |
199 |
GSE42088_UNINF_VS_LEISHMANIA_INF_DC_24H_DN | 1.20e-04 | 8.83 | 3.04 | 5.02e-02 | 5.86e-01 | 6PSMA7, PSMB5, KDM1A, MRTO4, PRDX1, NME1 |
199 |
GSE36476_CTRL_VS_TSST_ACT_72H_MEMORY_CD4_TCELL_OLD_DN | 1.24e-04 | 8.78 | 3.02 | 5.02e-02 | 6.03e-01 | 6STMN1, HMGN2, PSMB5, NME1, PSMB2, RNASEH2A |
200 |
GSE3982_EOSINOPHIL_VS_TH1_DN | 1.24e-04 | 8.78 | 3.02 | 5.02e-02 | 6.03e-01 | 6NUDC, MRTO4, PRDX1, NME1, PSMB2, RNASEH2A |
200 |
GSE3039_ALPHAALPHA_VS_ALPHABETA_CD8_TCELL_UP | 1.24e-04 | 8.78 | 3.02 | 5.02e-02 | 6.03e-01 | 6NDUFS5, ALDOA, PSMD3, PSMB5, APRT, MRTO4 |
200 |
GSE42088_UNINF_VS_LEISHMANIA_INF_DC_2H_UP | 1.24e-04 | 8.78 | 3.02 | 5.02e-02 | 6.03e-01 | 6HDAC9, PSMA7, MRTO4, PRDX1, NME1, LRRC59 |
200 |
GSE12963_ENV_NEF_VS_ENV_NEF_AND_VPR_DEFICIENT_HIV1_INF_CD4_TCELL_DN | 3.06e-04 | 9.51 | 2.90 | 1.15e-01 | 1.00e+00 | 5TNFAIP6, MRTO4, CDC34, NME1, LRRC59 |
151 |
GSE40274_CTRL_VS_FOXP3_AND_PBX1_TRANSDUCED_ACTIVATED_CD4_TCELL_DN | 4.46e-04 | 8.73 | 2.67 | 1.55e-01 | 1.00e+00 | 5CITED1, PSMB3, PSMB5, PRDX1, TIMM50 |
164 |
GSE13547_WT_VS_ZFX_KO_BCELL_ANTI_IGM_STIM_2H_UP | 6.94e-04 | 7.89 | 2.42 | 1.59e-01 | 1.00e+00 | 5DDX1, STMN1, HMGN2, PSMB2, TIMM50 |
181 |
GSE13547_2H_VS_12_H_ANTI_IGM_STIM_BCELL_DN | 7.47e-04 | 7.76 | 2.38 | 1.59e-01 | 1.00e+00 | 5STMN1, HMGN2, MRTO4, NME1, PSMB2 |
184 |
GSE360_L_DONOVANI_VS_T_GONDII_DC_DN | 1.01e-03 | 7.23 | 2.22 | 1.59e-01 | 1.00e+00 | 5STMN1, IFI44, MARCKSL1, FADS1, NME1 |
197 |
GSE15930_NAIVE_VS_24H_IN_VITRO_STIM_IL12_CD8_TCELL_DN | 1.06e-03 | 7.16 | 2.19 | 1.59e-01 | 1.00e+00 | 5DDX1, NDUFS5, SRM, MRTO4, LRRC59 |
199 |
GSE17974_0H_VS_4H_IN_VITRO_ACT_CD4_TCELL_DN | 1.06e-03 | 7.16 | 2.19 | 1.59e-01 | 1.00e+00 | 5SRM, NTMT1, PSMB5, PRDX1, PSMB2 |
199 |
GSE17974_CTRL_VS_ACT_IL4_AND_ANTI_IL12_4H_CD4_TCELL_DN | 1.06e-03 | 7.16 | 2.19 | 1.59e-01 | 1.00e+00 | 5SRM, PSMB5, PRDX1, PSMB2, TIMM50 |
199 |
Top Ranked Transcription Factors for this Gene Expression Program:
Gene Symbol | TF Rank | DNA Binding Domain | Motif Status | IUPAC PWM | GTEx | DepMap | Decartes |
---|---|---|---|---|---|---|---|
HDAC9 | 2 | No | Unlikely to be sequence specific TF | Not a DNA binding protein | No motif | None | Histone deacetylase; likely to be a transcriptional cofactor |
CITED1 | 8 | No | Unlikely to be sequence specific TF | Not a DNA binding protein | No motif | None | Known co-activator. GO says its sequence-specific DNA binding transcription factor activity NAS - PMID: 8901575 but this reference does not show this. |
POU3F1 | 11 | Yes | Known motif | Monomer or homomultimer | High-throughput in vitro | None | None |
SF3A3 | 17 | No | ssDNA/RNA binding | Not a DNA binding protein | No motif | None | RNA-binding protein |
KDM1A | 34 | No | Unlikely to be sequence specific TF | Low specificity DNA-binding protein | No motif | None | Affects transcription by histone modification |
LHX2 | 35 | Yes | Known motif | Monomer or homomultimer | High-throughput in vitro | Has a putative AT-hook | None |
MAD2L2 | 44 | No | Unlikely to be sequence specific TF | Low specificity DNA-binding protein | No motif | None | Likely to be a DNA-binding protein that operates on DNA-repair (PMID: 25799990) |
PRDM8 | 47 | Yes | Likely to be sequence specific TF | Monomer or homomultimer | No motif | None | None |
HOXA7 | 54 | Yes | Known motif | Monomer or homomultimer | High-throughput in vitro | None | None |
SSRP1 | 62 | No | Unlikely to be sequence specific TF | Low specificity DNA-binding protein | No motif | None | HMG domain is highly divergent based on AA-sequence |
POLR2E | 65 | No | Unlikely to be sequence specific TF | Low specificity DNA-binding protein | No motif | None | RNA-polymerase subunit. Binds DNA in the crystal structure (PDB: 5IY6) |
HNRNPD | 66 | No | ssDNA/RNA binding | Not a DNA binding protein | No motif | None | Binds single stranded DNA in the structure (PDB: 1WTB) |
HES6 | 68 | Yes | Known motif | Monomer or homomultimer | High-throughput in vitro | None | None |
HDAC1 | 73 | No | Unlikely to be sequence specific TF | Not a DNA binding protein | No motif | Only known motifs are from Transfac or HocoMoco - origin is uncertain | Histone deacetylase; likely to be a transcriptional cofactor. Transfac motif is dubious, and the GO annotation (PMID: 8646880) seems to be based on remote homology to a yeast TF |
MYBL2 | 75 | Yes | Known motif | Monomer or homomultimer | High-throughput in vitro | None | Contains 3 Myb DBDs |
TOP2A | 78 | No | Unlikely to be sequence specific TF | Low specificity DNA-binding protein | No motif | None | DNA topoisomerase. Binds DNA in the crystal structure (PDB: 4FM9). |
DEK | 80 | No | Unlikely to be sequence specific TF | Low specificity DNA-binding protein | No motif | None | This protein binds to cruciform and superhelical DNA and induces positive supercoils into closed circular DNA, and is also involved in splice site selection during mRNA processing. (Entrez gene summary). So it must have some nonspecific DNA affinity. |
HNRNPAB | 93 | No | ssDNA/RNA binding | Not a DNA binding protein | No motif | None | HNRNPAB proteins are involved in pre-mRNA splicing. However; RRM domains can also constitute ssDNA binding domains |
PSMC5 | 94 | No | Unlikely to be sequence specific TF | Not a DNA binding protein | No motif | None | None |
NEUROD2 | 106 | Yes | Known motif | Monomer or homomultimer | High-throughput in vitro | None | None |
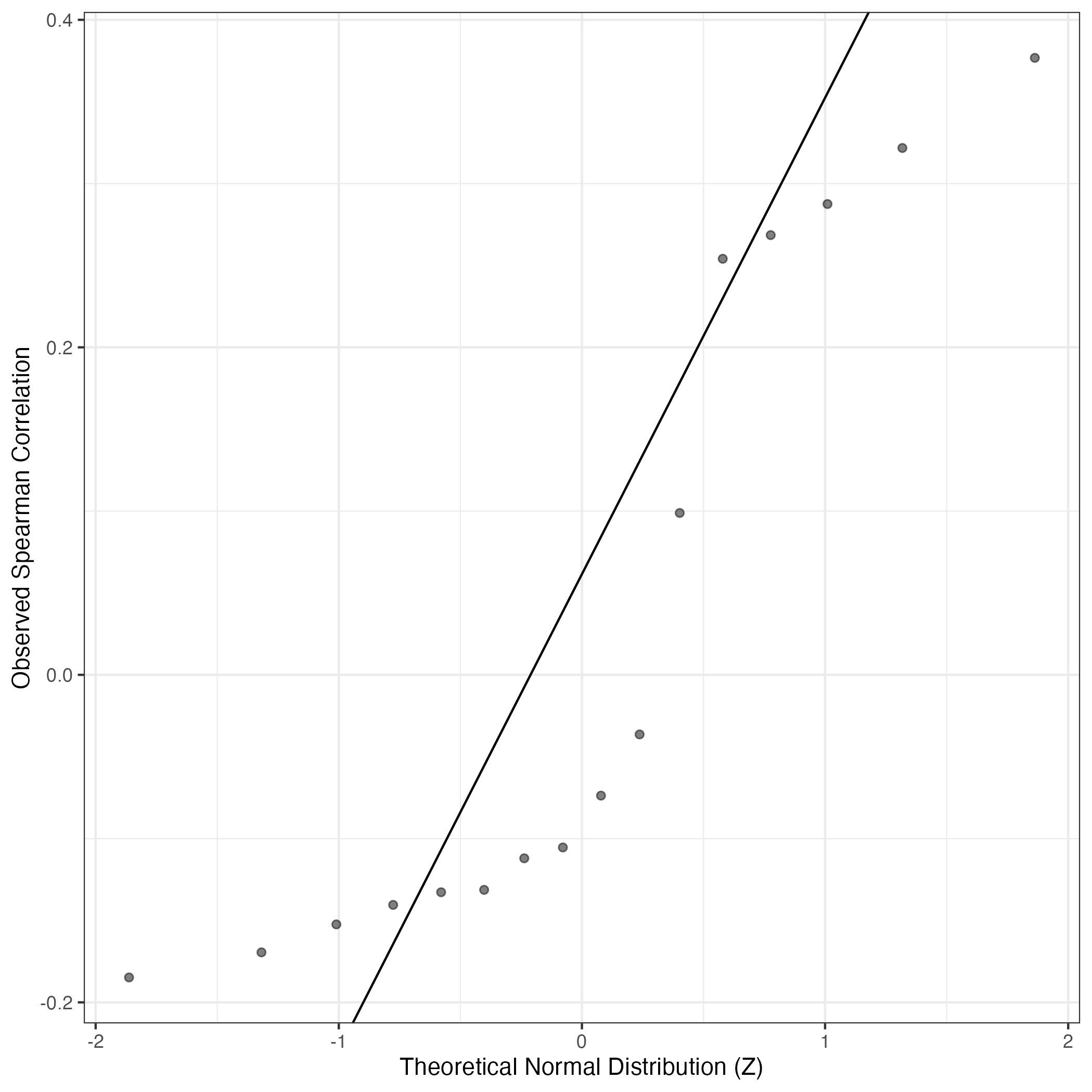
QQ Plot showing correlations with other Gene Expression Programs in this dataset, calculated by Spearman correlation:
Interactive QQ-plot of gene loadings:
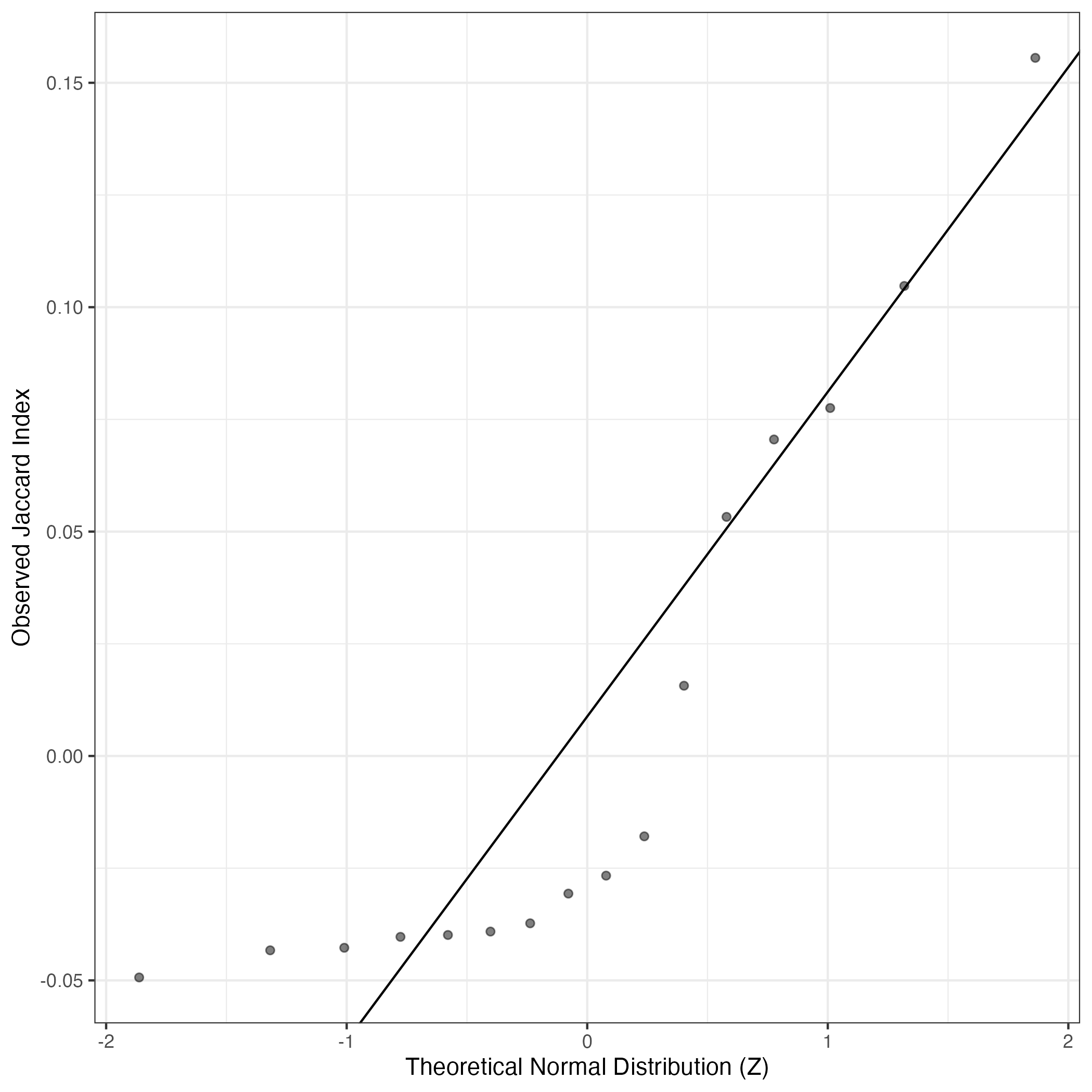
A similar QQ-plot as above, but only for instances where the H value is e.g. > 25, i.e. we are confident that the expression program is active above noise. Agreemenet between these binary vectors is tested using the Jaccard Index, with the P-values calculated by an exact test:
Interactive QQ-plot:
Singler cell type annotations for the top 50 cells on this program.
Cell ID | Singler label | Singler Delta | Activity Score | Top Singler Raw Scores |
---|---|---|---|---|
CHP134_AGACTCACAATCGCAT-1 | Neurons | 0.26 | 782.75 | Raw ScoresNeurons:adrenal_medulla_cell_line: 0.61, Neuroepithelial_cell:ESC-derived: 0.56, iPS_cells:PDB_1lox-21Puro-20: 0.55, iPS_cells:PDB_2lox-22: 0.55, iPS_cells:PDB_1lox-21Puro-26: 0.54, iPS_cells:PDB_2lox-21: 0.54, iPS_cells:PDB_2lox-17: 0.54, iPS_cells:PDB_1lox-17Puro-10: 0.54, iPS_cells:PDB_1lox-17Puro-5: 0.54, Embryonic_stem_cells: 0.53 |
CHP134_TCTTTGACACAAACGG-1 | Neurons | 0.27 | 684.96 | Raw ScoresNeurons:adrenal_medulla_cell_line: 0.64, Neuroepithelial_cell:ESC-derived: 0.59, iPS_cells:PDB_1lox-21Puro-20: 0.58, iPS_cells:PDB_1lox-21Puro-26: 0.57, iPS_cells:PDB_2lox-22: 0.57, iPS_cells:PDB_1lox-17Puro-10: 0.57, iPS_cells:PDB_2lox-17: 0.56, iPS_cells:PDB_2lox-21: 0.56, iPS_cells:PDB_1lox-17Puro-5: 0.56, Embryonic_stem_cells: 0.56 |
CHP134_GCCGATGTCTTGGGCG-1 | Neurons | 0.26 | 657.46 | Raw ScoresNeurons:adrenal_medulla_cell_line: 0.62, Neuroepithelial_cell:ESC-derived: 0.55, iPS_cells:PDB_1lox-21Puro-20: 0.55, iPS_cells:PDB_2lox-22: 0.55, iPS_cells:PDB_1lox-21Puro-26: 0.55, iPS_cells:PDB_2lox-21: 0.54, iPS_cells:PDB_2lox-17: 0.54, iPS_cells:PDB_1lox-17Puro-10: 0.54, iPS_cells:PDB_1lox-17Puro-5: 0.54, iPS_cells:PDB_2lox-5: 0.54 |
CHP134_GGTTGTAGTGATTCAC-1 | Neurons | 0.27 | 622.37 | Raw ScoresNeurons:adrenal_medulla_cell_line: 0.62, Neuroepithelial_cell:ESC-derived: 0.56, iPS_cells:PDB_1lox-21Puro-20: 0.55, iPS_cells:PDB_2lox-22: 0.54, iPS_cells:PDB_1lox-21Puro-26: 0.54, iPS_cells:PDB_2lox-21: 0.54, iPS_cells:PDB_1lox-17Puro-10: 0.54, iPS_cells:PDB_2lox-17: 0.53, Embryonic_stem_cells: 0.53, iPS_cells:PDB_1lox-17Puro-5: 0.53 |
CHP134_TGGAGAGCATGTGCTA-1 | Neurons | 0.23 | 607.37 | Raw ScoresNeurons:adrenal_medulla_cell_line: 0.6, Neuroepithelial_cell:ESC-derived: 0.54, iPS_cells:PDB_1lox-21Puro-20: 0.54, iPS_cells:PDB_1lox-21Puro-26: 0.53, iPS_cells:PDB_2lox-22: 0.53, iPS_cells:PDB_1lox-17Puro-10: 0.53, iPS_cells:PDB_2lox-21: 0.53, iPS_cells:PDB_2lox-17: 0.53, iPS_cells:PDB_1lox-17Puro-5: 0.52, iPS_cells:CRL2097_foreskin-derived:undiff.: 0.52 |
CHP134_CCATAAGCAACGAGGT-1 | Neurons | 0.24 | 601.24 | Raw ScoresNeurons:adrenal_medulla_cell_line: 0.59, iPS_cells:PDB_1lox-21Puro-20: 0.53, Neuroepithelial_cell:ESC-derived: 0.53, iPS_cells:PDB_1lox-21Puro-26: 0.53, iPS_cells:PDB_2lox-22: 0.53, iPS_cells:PDB_1lox-17Puro-10: 0.52, iPS_cells:PDB_2lox-17: 0.52, iPS_cells:PDB_2lox-21: 0.52, iPS_cells:PDB_1lox-17Puro-5: 0.52, Embryonic_stem_cells: 0.52 |
CHP134_TAACACGTCAGAATAG-1 | Neurons | 0.26 | 570.19 | Raw ScoresNeurons:adrenal_medulla_cell_line: 0.61, Neuroepithelial_cell:ESC-derived: 0.55, iPS_cells:PDB_1lox-21Puro-20: 0.54, iPS_cells:PDB_2lox-22: 0.53, iPS_cells:PDB_1lox-21Puro-26: 0.53, iPS_cells:PDB_1lox-17Puro-10: 0.53, iPS_cells:PDB_2lox-21: 0.53, iPS_cells:PDB_2lox-17: 0.53, iPS_cells:PDB_1lox-17Puro-5: 0.52, iPS_cells:PDB_2lox-5: 0.52 |
CHP134_CACGGGTGTTCTTCAT-1 | Neurons | 0.25 | 562.05 | Raw ScoresNeurons:adrenal_medulla_cell_line: 0.6, Neuroepithelial_cell:ESC-derived: 0.54, iPS_cells:PDB_1lox-21Puro-20: 0.53, iPS_cells:PDB_1lox-21Puro-26: 0.53, iPS_cells:PDB_2lox-22: 0.53, iPS_cells:PDB_2lox-21: 0.53, iPS_cells:PDB_1lox-17Puro-10: 0.53, iPS_cells:PDB_2lox-17: 0.52, iPS_cells:PDB_1lox-17Puro-5: 0.52, Embryonic_stem_cells: 0.52 |
CHP134_ACATTTCAGACATACA-1 | Neurons | 0.28 | 560.91 | Raw ScoresNeurons:adrenal_medulla_cell_line: 0.61, Neuroepithelial_cell:ESC-derived: 0.55, iPS_cells:PDB_1lox-21Puro-20: 0.54, iPS_cells:PDB_1lox-21Puro-26: 0.54, iPS_cells:PDB_2lox-22: 0.53, iPS_cells:PDB_1lox-17Puro-10: 0.53, iPS_cells:PDB_2lox-21: 0.53, iPS_cells:PDB_1lox-17Puro-5: 0.53, iPS_cells:PDB_2lox-17: 0.53, Embryonic_stem_cells: 0.53 |
CHP134_GATCACACATTGCTGA-1 | Neurons | 0.28 | 548.81 | Raw ScoresNeurons:adrenal_medulla_cell_line: 0.59, Neuroepithelial_cell:ESC-derived: 0.53, iPS_cells:PDB_1lox-21Puro-20: 0.52, iPS_cells:PDB_1lox-21Puro-26: 0.52, iPS_cells:PDB_2lox-22: 0.51, iPS_cells:PDB_1lox-17Puro-10: 0.51, iPS_cells:PDB_1lox-17Puro-5: 0.51, iPS_cells:PDB_2lox-21: 0.51, iPS_cells:PDB_2lox-17: 0.51, Embryonic_stem_cells: 0.51 |
CHP134_GAAGGACAGCACTCGC-1 | Neurons | 0.23 | 539.15 | Raw ScoresNeurons:adrenal_medulla_cell_line: 0.62, iPS_cells:PDB_1lox-21Puro-20: 0.56, Neuroepithelial_cell:ESC-derived: 0.56, iPS_cells:PDB_1lox-21Puro-26: 0.56, iPS_cells:PDB_2lox-22: 0.55, iPS_cells:PDB_1lox-17Puro-10: 0.55, iPS_cells:PDB_2lox-21: 0.55, iPS_cells:PDB_2lox-17: 0.55, iPS_cells:PDB_1lox-17Puro-5: 0.55, Embryonic_stem_cells: 0.55 |
CHP134_CCGGTGAGTGGACCTC-1 | Neurons | 0.26 | 536.39 | Raw ScoresNeurons:adrenal_medulla_cell_line: 0.61, Neuroepithelial_cell:ESC-derived: 0.56, iPS_cells:PDB_1lox-21Puro-20: 0.55, iPS_cells:PDB_1lox-21Puro-26: 0.55, iPS_cells:PDB_2lox-22: 0.54, iPS_cells:PDB_1lox-17Puro-10: 0.54, Embryonic_stem_cells: 0.54, iPS_cells:PDB_2lox-21: 0.54, iPS_cells:PDB_1lox-17Puro-5: 0.54, iPS_cells:PDB_2lox-17: 0.54 |
CHP134_ACCGTTCGTTTACTTC-1 | Neurons | 0.23 | 520.21 | Raw ScoresNeurons:adrenal_medulla_cell_line: 0.58, Neuroepithelial_cell:ESC-derived: 0.53, iPS_cells:PDB_1lox-21Puro-20: 0.53, iPS_cells:PDB_2lox-22: 0.53, iPS_cells:PDB_1lox-21Puro-26: 0.52, iPS_cells:PDB_2lox-17: 0.52, iPS_cells:PDB_2lox-21: 0.52, iPS_cells:PDB_1lox-17Puro-10: 0.52, iPS_cells:PDB_1lox-17Puro-5: 0.51, Embryonic_stem_cells: 0.51 |
CHP134_CAGTTAGGTTATGACC-1 | Neurons | 0.25 | 509.16 | Raw ScoresNeurons:adrenal_medulla_cell_line: 0.61, Neuroepithelial_cell:ESC-derived: 0.55, iPS_cells:PDB_1lox-21Puro-20: 0.54, iPS_cells:PDB_2lox-22: 0.54, iPS_cells:PDB_1lox-21Puro-26: 0.54, iPS_cells:PDB_2lox-21: 0.53, iPS_cells:PDB_1lox-17Puro-10: 0.53, iPS_cells:PDB_2lox-17: 0.53, Embryonic_stem_cells: 0.53, iPS_cells:PDB_1lox-17Puro-5: 0.53 |
CHP134_GTAACACTCGTCACCT-1 | Neurons | 0.26 | 507.24 | Raw ScoresNeurons:adrenal_medulla_cell_line: 0.61, Neuroepithelial_cell:ESC-derived: 0.55, iPS_cells:PDB_1lox-21Puro-20: 0.55, iPS_cells:PDB_1lox-21Puro-26: 0.54, iPS_cells:PDB_1lox-17Puro-10: 0.54, iPS_cells:PDB_2lox-22: 0.54, iPS_cells:PDB_1lox-17Puro-5: 0.53, iPS_cells:PDB_2lox-21: 0.53, iPS_cells:PDB_2lox-17: 0.53, Embryonic_stem_cells: 0.53 |
CHP134_AGAACAATCTCTGAGA-1 | Neurons | 0.24 | 501.08 | Raw ScoresNeurons:adrenal_medulla_cell_line: 0.58, Neuroepithelial_cell:ESC-derived: 0.53, iPS_cells:PDB_1lox-21Puro-20: 0.53, iPS_cells:PDB_1lox-21Puro-26: 0.52, iPS_cells:PDB_2lox-22: 0.52, iPS_cells:PDB_1lox-17Puro-10: 0.52, iPS_cells:PDB_2lox-17: 0.52, iPS_cells:PDB_2lox-21: 0.52, iPS_cells:PDB_1lox-17Puro-5: 0.52, iPS_cells:CRL2097_foreskin-derived:undiff.: 0.51 |
CHP134_TGCTGAATCGTTAGTG-1 | Neurons | 0.26 | 487.46 | Raw ScoresNeurons:adrenal_medulla_cell_line: 0.6, Neuroepithelial_cell:ESC-derived: 0.55, iPS_cells:PDB_1lox-21Puro-20: 0.54, iPS_cells:PDB_1lox-21Puro-26: 0.54, iPS_cells:PDB_1lox-17Puro-10: 0.53, iPS_cells:PDB_2lox-22: 0.53, iPS_cells:PDB_1lox-17Puro-5: 0.53, iPS_cells:PDB_2lox-21: 0.53, iPS_cells:PDB_2lox-17: 0.53, Embryonic_stem_cells: 0.52 |
CHP134_TTGGATGGTTCGGGTC-1 | Neurons | 0.23 | 486.44 | Raw ScoresNeurons:adrenal_medulla_cell_line: 0.57, Neuroepithelial_cell:ESC-derived: 0.52, iPS_cells:PDB_1lox-21Puro-20: 0.51, iPS_cells:PDB_2lox-22: 0.51, iPS_cells:PDB_1lox-21Puro-26: 0.5, iPS_cells:PDB_1lox-17Puro-10: 0.5, iPS_cells:PDB_2lox-17: 0.5, iPS_cells:PDB_2lox-21: 0.5, iPS_cells:PDB_1lox-17Puro-5: 0.5, Embryonic_stem_cells: 0.5 |
CHP134_ACTGTCCTCATCTCTA-1 | Neurons | 0.24 | 467.31 | Raw ScoresNeurons:adrenal_medulla_cell_line: 0.58, Neuroepithelial_cell:ESC-derived: 0.52, iPS_cells:PDB_1lox-21Puro-20: 0.52, iPS_cells:PDB_2lox-22: 0.51, iPS_cells:PDB_1lox-21Puro-26: 0.51, iPS_cells:PDB_1lox-17Puro-10: 0.51, iPS_cells:PDB_2lox-21: 0.51, iPS_cells:PDB_2lox-17: 0.51, iPS_cells:PDB_1lox-17Puro-5: 0.51, Embryonic_stem_cells: 0.51 |
CHP134_GTGTTCCGTTTGGAGG-1 | Neurons | 0.24 | 461.74 | Raw ScoresNeurons:adrenal_medulla_cell_line: 0.59, Neuroepithelial_cell:ESC-derived: 0.54, iPS_cells:PDB_1lox-21Puro-20: 0.53, iPS_cells:PDB_2lox-22: 0.53, iPS_cells:PDB_1lox-21Puro-26: 0.53, iPS_cells:PDB_2lox-21: 0.52, iPS_cells:PDB_2lox-17: 0.52, iPS_cells:PDB_1lox-17Puro-10: 0.52, iPS_cells:PDB_1lox-17Puro-5: 0.52, Embryonic_stem_cells: 0.52 |
CHP134_AGCCACGGTAAGATAC-1 | Neurons | 0.25 | 456.21 | Raw ScoresNeurons:adrenal_medulla_cell_line: 0.6, Neuroepithelial_cell:ESC-derived: 0.55, iPS_cells:PDB_1lox-21Puro-20: 0.54, iPS_cells:PDB_2lox-22: 0.54, iPS_cells:PDB_1lox-21Puro-26: 0.54, iPS_cells:PDB_2lox-17: 0.53, iPS_cells:PDB_2lox-21: 0.53, iPS_cells:PDB_1lox-17Puro-10: 0.53, iPS_cells:PDB_1lox-17Puro-5: 0.53, Embryonic_stem_cells: 0.53 |
CHP134_ACACCAAGTCACTACA-1 | Neurons | 0.24 | 454.17 | Raw ScoresNeurons:adrenal_medulla_cell_line: 0.59, iPS_cells:PDB_1lox-21Puro-20: 0.53, iPS_cells:PDB_1lox-21Puro-26: 0.53, Neuroepithelial_cell:ESC-derived: 0.53, iPS_cells:PDB_1lox-17Puro-10: 0.52, iPS_cells:PDB_2lox-22: 0.52, iPS_cells:PDB_1lox-17Puro-5: 0.52, iPS_cells:PDB_2lox-21: 0.52, iPS_cells:PDB_2lox-17: 0.52, Embryonic_stem_cells: 0.51 |
CHP134_TATCGCCGTCTTAGTG-1 | Neurons | 0.24 | 449.17 | Raw ScoresNeurons:adrenal_medulla_cell_line: 0.59, iPS_cells:PDB_1lox-21Puro-20: 0.54, iPS_cells:PDB_1lox-21Puro-26: 0.54, iPS_cells:PDB_2lox-22: 0.53, Neuroepithelial_cell:ESC-derived: 0.53, iPS_cells:PDB_1lox-17Puro-10: 0.53, iPS_cells:PDB_2lox-21: 0.53, iPS_cells:PDB_2lox-17: 0.53, iPS_cells:PDB_1lox-17Puro-5: 0.53, Embryonic_stem_cells: 0.52 |
CHP134_TAGAGTCAGCACTAGG-1 | Neurons | 0.26 | 447.91 | Raw ScoresNeurons:adrenal_medulla_cell_line: 0.6, Neuroepithelial_cell:ESC-derived: 0.54, iPS_cells:PDB_1lox-21Puro-20: 0.53, iPS_cells:PDB_2lox-22: 0.53, iPS_cells:PDB_1lox-21Puro-26: 0.53, iPS_cells:PDB_1lox-17Puro-10: 0.52, iPS_cells:PDB_2lox-21: 0.52, iPS_cells:PDB_1lox-17Puro-5: 0.52, iPS_cells:PDB_2lox-17: 0.52, iPS_cells:PDB_2lox-5: 0.52 |
CHP134_AAGCATCTCATTCTTG-1 | Neurons | 0.23 | 446.22 | Raw ScoresNeurons:adrenal_medulla_cell_line: 0.57, Neuroepithelial_cell:ESC-derived: 0.52, iPS_cells:PDB_1lox-21Puro-20: 0.51, iPS_cells:PDB_2lox-22: 0.51, iPS_cells:PDB_1lox-21Puro-26: 0.5, iPS_cells:PDB_1lox-17Puro-10: 0.5, iPS_cells:PDB_2lox-21: 0.5, iPS_cells:PDB_2lox-17: 0.5, iPS_cells:PDB_1lox-17Puro-5: 0.5, iPS_cells:CRL2097_foreskin-derived:undiff.: 0.5 |
CHP134_CCGATCTTCCAGTTCC-1 | Neurons | 0.26 | 443.69 | Raw ScoresNeurons:adrenal_medulla_cell_line: 0.57, Neuroepithelial_cell:ESC-derived: 0.52, iPS_cells:PDB_1lox-21Puro-20: 0.51, iPS_cells:PDB_1lox-21Puro-26: 0.51, iPS_cells:PDB_2lox-22: 0.51, iPS_cells:PDB_1lox-17Puro-10: 0.5, iPS_cells:PDB_2lox-21: 0.5, iPS_cells:PDB_2lox-17: 0.5, Embryonic_stem_cells: 0.5, iPS_cells:PDB_1lox-17Puro-5: 0.5 |
CHP134_CTGAGCGCAACGATCT-1 | Neurons | 0.24 | 440.34 | Raw ScoresNeurons:adrenal_medulla_cell_line: 0.61, Neuroepithelial_cell:ESC-derived: 0.55, iPS_cells:PDB_1lox-21Puro-20: 0.55, iPS_cells:PDB_2lox-22: 0.55, iPS_cells:PDB_1lox-21Puro-26: 0.55, iPS_cells:PDB_2lox-17: 0.54, iPS_cells:PDB_1lox-17Puro-10: 0.54, iPS_cells:PDB_2lox-21: 0.54, iPS_cells:PDB_1lox-17Puro-5: 0.54, iPS_cells:CRL2097_foreskin-derived:undiff.: 0.54 |
CHP134_TCATGTTTCACGGAGA-1 | Neurons | 0.24 | 438.92 | Raw ScoresNeurons:adrenal_medulla_cell_line: 0.57, Neuroepithelial_cell:ESC-derived: 0.53, iPS_cells:PDB_1lox-21Puro-20: 0.52, iPS_cells:PDB_1lox-21Puro-26: 0.52, iPS_cells:PDB_1lox-17Puro-10: 0.52, iPS_cells:PDB_2lox-22: 0.52, iPS_cells:PDB_2lox-21: 0.51, iPS_cells:PDB_1lox-17Puro-5: 0.51, iPS_cells:PDB_2lox-17: 0.51, Embryonic_stem_cells: 0.51 |
CHP134_GTTACAGTCGCGCTGA-1 | Neurons | 0.24 | 436.20 | Raw ScoresNeurons:adrenal_medulla_cell_line: 0.58, Neuroepithelial_cell:ESC-derived: 0.52, iPS_cells:PDB_1lox-21Puro-20: 0.52, iPS_cells:PDB_2lox-22: 0.52, iPS_cells:PDB_1lox-21Puro-26: 0.52, iPS_cells:PDB_2lox-21: 0.51, iPS_cells:PDB_1lox-17Puro-10: 0.51, iPS_cells:PDB_2lox-17: 0.51, iPS_cells:PDB_1lox-17Puro-5: 0.51, iPS_cells:CRL2097_foreskin-derived:undiff.: 0.51 |
CHP134_ATACTTCTCCCAAGCG-1 | Neurons | 0.25 | 433.75 | Raw ScoresNeurons:adrenal_medulla_cell_line: 0.6, Neuroepithelial_cell:ESC-derived: 0.54, iPS_cells:PDB_1lox-21Puro-20: 0.54, iPS_cells:PDB_1lox-21Puro-26: 0.54, iPS_cells:PDB_2lox-22: 0.53, iPS_cells:PDB_1lox-17Puro-10: 0.53, iPS_cells:PDB_1lox-17Puro-5: 0.53, iPS_cells:PDB_2lox-17: 0.53, iPS_cells:PDB_2lox-21: 0.53, Embryonic_stem_cells: 0.52 |
CHP134_ATCCGTCCATCGGCCA-1 | Neurons | 0.23 | 432.67 | Raw ScoresNeurons:adrenal_medulla_cell_line: 0.58, Neuroepithelial_cell:ESC-derived: 0.54, iPS_cells:PDB_1lox-21Puro-20: 0.54, iPS_cells:PDB_1lox-21Puro-26: 0.53, iPS_cells:PDB_2lox-22: 0.53, iPS_cells:PDB_1lox-17Puro-10: 0.53, iPS_cells:PDB_2lox-21: 0.53, iPS_cells:PDB_2lox-17: 0.53, iPS_cells:PDB_1lox-17Puro-5: 0.53, Embryonic_stem_cells: 0.52 |
CHP134_TGTTACTAGGAGTACC-1 | Neurons | 0.25 | 430.91 | Raw ScoresNeurons:adrenal_medulla_cell_line: 0.58, Neuroepithelial_cell:ESC-derived: 0.52, iPS_cells:PDB_1lox-21Puro-20: 0.51, iPS_cells:PDB_2lox-22: 0.51, iPS_cells:PDB_1lox-21Puro-26: 0.51, iPS_cells:PDB_2lox-17: 0.51, iPS_cells:PDB_2lox-21: 0.51, iPS_cells:PDB_1lox-17Puro-10: 0.5, iPS_cells:PDB_1lox-17Puro-5: 0.5, iPS_cells:PDB_2lox-5: 0.5 |
CHP134_AGGTCTATCAGCATTG-1 | Neurons | 0.25 | 427.36 | Raw ScoresNeurons:adrenal_medulla_cell_line: 0.58, Neuroepithelial_cell:ESC-derived: 0.53, iPS_cells:PDB_1lox-21Puro-20: 0.52, iPS_cells:PDB_1lox-21Puro-26: 0.52, iPS_cells:PDB_2lox-22: 0.51, iPS_cells:PDB_1lox-17Puro-10: 0.51, iPS_cells:PDB_2lox-21: 0.51, iPS_cells:PDB_1lox-17Puro-5: 0.51, Embryonic_stem_cells: 0.51, iPS_cells:PDB_2lox-17: 0.51 |
CHP134_GAGGCAACAACGTTAC-1 | Neurons | 0.22 | 426.47 | Raw ScoresNeurons:adrenal_medulla_cell_line: 0.57, iPS_cells:PDB_1lox-21Puro-20: 0.51, iPS_cells:PDB_2lox-22: 0.51, iPS_cells:PDB_1lox-21Puro-26: 0.51, Neuroepithelial_cell:ESC-derived: 0.5, iPS_cells:PDB_2lox-21: 0.5, iPS_cells:PDB_2lox-17: 0.5, iPS_cells:PDB_1lox-17Puro-10: 0.5, Embryonic_stem_cells: 0.5, iPS_cells:PDB_1lox-17Puro-5: 0.5 |
CHP134_ATCATTCCACTTCCTG-1 | Neurons | 0.23 | 426.29 | Raw ScoresNeurons:adrenal_medulla_cell_line: 0.56, iPS_cells:PDB_1lox-21Puro-20: 0.51, iPS_cells:PDB_1lox-21Puro-26: 0.5, Neuroepithelial_cell:ESC-derived: 0.5, iPS_cells:PDB_2lox-22: 0.5, iPS_cells:PDB_1lox-17Puro-10: 0.5, iPS_cells:PDB_2lox-21: 0.5, iPS_cells:PDB_1lox-17Puro-5: 0.5, iPS_cells:PDB_2lox-17: 0.49, iPS_cells:CRL2097_foreskin-derived:undiff.: 0.49 |
CHP134_CATTGCCTCAGTGGGA-1 | Neurons | 0.24 | 426.18 | Raw ScoresNeurons:adrenal_medulla_cell_line: 0.57, Neuroepithelial_cell:ESC-derived: 0.53, iPS_cells:PDB_1lox-21Puro-20: 0.52, iPS_cells:PDB_2lox-22: 0.51, iPS_cells:PDB_1lox-21Puro-26: 0.51, iPS_cells:PDB_2lox-21: 0.51, iPS_cells:PDB_2lox-17: 0.51, iPS_cells:PDB_1lox-17Puro-10: 0.51, iPS_cells:PDB_1lox-17Puro-5: 0.51, iPS_cells:CRL2097_foreskin-derived:undiff.: 0.51 |
CHP134_GGGACAACAGCCTATA-1 | Neurons | 0.25 | 424.93 | Raw ScoresNeurons:adrenal_medulla_cell_line: 0.6, Neuroepithelial_cell:ESC-derived: 0.55, iPS_cells:PDB_1lox-21Puro-20: 0.54, iPS_cells:PDB_2lox-22: 0.54, iPS_cells:PDB_1lox-21Puro-26: 0.54, iPS_cells:PDB_2lox-21: 0.53, iPS_cells:PDB_2lox-17: 0.53, iPS_cells:PDB_1lox-17Puro-10: 0.53, iPS_cells:PDB_1lox-17Puro-5: 0.53, iPS_cells:CRL2097_foreskin-derived:undiff.: 0.53 |
CHP134_ATTTCACCAGATCACT-1 | Neurons | 0.26 | 422.51 | Raw ScoresNeurons:adrenal_medulla_cell_line: 0.58, Neuroepithelial_cell:ESC-derived: 0.54, iPS_cells:PDB_1lox-21Puro-20: 0.52, iPS_cells:PDB_1lox-21Puro-26: 0.52, iPS_cells:PDB_2lox-22: 0.52, iPS_cells:PDB_2lox-21: 0.51, Embryonic_stem_cells: 0.51, iPS_cells:PDB_1lox-17Puro-10: 0.51, iPS_cells:PDB_2lox-17: 0.51, iPS_cells:PDB_1lox-17Puro-5: 0.51 |
CHP134_ACCAAACAGGTAAAGG-1 | Neurons | 0.21 | 419.98 | Raw ScoresNeurons:adrenal_medulla_cell_line: 0.58, Neuroepithelial_cell:ESC-derived: 0.53, iPS_cells:PDB_1lox-21Puro-20: 0.53, iPS_cells:PDB_2lox-22: 0.52, iPS_cells:PDB_1lox-21Puro-26: 0.52, iPS_cells:PDB_1lox-17Puro-10: 0.52, Embryonic_stem_cells: 0.52, iPS_cells:PDB_2lox-17: 0.52, iPS_cells:PDB_2lox-21: 0.52, iPS_cells:PDB_1lox-17Puro-5: 0.52 |
CHP134_AGCTCAATCGCGTGAC-1 | Neurons | 0.22 | 417.57 | Raw ScoresNeurons:adrenal_medulla_cell_line: 0.57, Neuroepithelial_cell:ESC-derived: 0.51, iPS_cells:PDB_1lox-21Puro-20: 0.51, iPS_cells:PDB_1lox-21Puro-26: 0.5, iPS_cells:PDB_2lox-22: 0.5, iPS_cells:PDB_1lox-17Puro-10: 0.5, iPS_cells:PDB_1lox-17Puro-5: 0.5, iPS_cells:PDB_2lox-21: 0.5, iPS_cells:PDB_2lox-17: 0.5, Embryonic_stem_cells: 0.49 |
CHP134_TGTGAGTGTATCACGT-1 | Neurons | 0.26 | 414.80 | Raw ScoresNeurons:adrenal_medulla_cell_line: 0.57, Neuroepithelial_cell:ESC-derived: 0.51, iPS_cells:PDB_1lox-21Puro-20: 0.5, iPS_cells:PDB_2lox-22: 0.5, iPS_cells:PDB_1lox-21Puro-26: 0.5, iPS_cells:PDB_2lox-21: 0.49, iPS_cells:PDB_2lox-17: 0.49, iPS_cells:PDB_1lox-17Puro-10: 0.49, iPS_cells:PDB_1lox-17Puro-5: 0.49, iPS_cells:PDB_2lox-5: 0.49 |
CHP134_GATCAGTAGTGAGCCA-1 | Neurons | 0.22 | 414.17 | Raw ScoresNeurons:adrenal_medulla_cell_line: 0.57, iPS_cells:PDB_1lox-21Puro-20: 0.52, iPS_cells:PDB_2lox-22: 0.52, Neuroepithelial_cell:ESC-derived: 0.52, iPS_cells:PDB_1lox-21Puro-26: 0.52, iPS_cells:PDB_2lox-21: 0.51, iPS_cells:PDB_2lox-17: 0.51, Embryonic_stem_cells: 0.51, iPS_cells:PDB_1lox-17Puro-10: 0.51, iPS_cells:PDB_1lox-17Puro-5: 0.51 |
CHP134_TGTTCTATCTGCGGGT-1 | Neurons | 0.26 | 412.11 | Raw ScoresNeurons:adrenal_medulla_cell_line: 0.56, Neuroepithelial_cell:ESC-derived: 0.51, iPS_cells:PDB_1lox-21Puro-20: 0.5, iPS_cells:PDB_2lox-22: 0.5, iPS_cells:PDB_1lox-21Puro-26: 0.5, iPS_cells:PDB_1lox-17Puro-10: 0.49, iPS_cells:PDB_2lox-21: 0.49, iPS_cells:PDB_2lox-17: 0.49, iPS_cells:PDB_1lox-17Puro-5: 0.49, iPS_cells:PDB_2lox-5: 0.48 |
CHP134_TGATGCAGTACACGCC-1 | Neurons | 0.26 | 412.05 | Raw ScoresNeurons:adrenal_medulla_cell_line: 0.6, iPS_cells:PDB_1lox-21Puro-20: 0.54, Neuroepithelial_cell:ESC-derived: 0.54, iPS_cells:PDB_1lox-21Puro-26: 0.54, iPS_cells:PDB_2lox-22: 0.54, iPS_cells:PDB_1lox-17Puro-10: 0.53, iPS_cells:PDB_2lox-21: 0.53, iPS_cells:PDB_2lox-17: 0.53, iPS_cells:PDB_1lox-17Puro-5: 0.53, Embryonic_stem_cells: 0.53 |
CHP134_ACTTTCACAGGTTACT-1 | Neurons | 0.23 | 410.82 | Raw ScoresNeurons:adrenal_medulla_cell_line: 0.59, iPS_cells:PDB_1lox-21Puro-20: 0.53, iPS_cells:PDB_2lox-22: 0.53, iPS_cells:PDB_1lox-21Puro-26: 0.53, Neuroepithelial_cell:ESC-derived: 0.53, iPS_cells:PDB_2lox-21: 0.53, iPS_cells:PDB_2lox-17: 0.53, iPS_cells:PDB_1lox-17Puro-10: 0.53, iPS_cells:PDB_1lox-17Puro-5: 0.52, Embryonic_stem_cells: 0.52 |
CHP134_GCTGGGTGTCACCCTT-1 | Neurons | 0.24 | 406.35 | Raw ScoresNeurons:adrenal_medulla_cell_line: 0.58, Neuroepithelial_cell:ESC-derived: 0.52, iPS_cells:PDB_1lox-21Puro-20: 0.51, iPS_cells:PDB_2lox-22: 0.51, iPS_cells:PDB_1lox-21Puro-26: 0.51, iPS_cells:PDB_2lox-21: 0.51, iPS_cells:PDB_2lox-17: 0.51, iPS_cells:PDB_1lox-17Puro-10: 0.51, iPS_cells:PDB_1lox-17Puro-5: 0.5, iPS_cells:CRL2097_foreskin-derived:undiff.: 0.5 |
CHP134_TTTGGTTTCCCTCATG-1 | Neurons | 0.26 | 405.18 | Raw ScoresNeurons:adrenal_medulla_cell_line: 0.57, Neuroepithelial_cell:ESC-derived: 0.5, iPS_cells:PDB_1lox-21Puro-20: 0.5, iPS_cells:PDB_1lox-21Puro-26: 0.49, iPS_cells:PDB_2lox-22: 0.49, iPS_cells:PDB_1lox-17Puro-10: 0.49, iPS_cells:PDB_2lox-21: 0.49, iPS_cells:PDB_2lox-17: 0.48, iPS_cells:PDB_1lox-17Puro-5: 0.48, iPS_cells:PDB_2lox-5: 0.48 |
CHP134_GTGGAAGTCCAGTGTA-1 | Neurons | 0.23 | 403.99 | Raw ScoresNeurons:adrenal_medulla_cell_line: 0.56, Neuroepithelial_cell:ESC-derived: 0.51, iPS_cells:PDB_1lox-21Puro-20: 0.51, iPS_cells:PDB_2lox-22: 0.51, iPS_cells:PDB_1lox-21Puro-26: 0.5, iPS_cells:PDB_2lox-21: 0.5, iPS_cells:PDB_2lox-17: 0.5, iPS_cells:CRL2097_foreskin-derived:undiff.: 0.5, iPS_cells:PDB_1lox-17Puro-10: 0.5, iPS_cells:PDB_1lox-17Puro-5: 0.5 |
CHP134_AACGAAAAGCATGTTC-1 | Neurons | 0.21 | 401.90 | Raw ScoresNeurons:adrenal_medulla_cell_line: 0.57, iPS_cells:PDB_1lox-21Puro-20: 0.52, iPS_cells:PDB_1lox-21Puro-26: 0.52, Neuroepithelial_cell:ESC-derived: 0.51, iPS_cells:PDB_2lox-22: 0.51, iPS_cells:PDB_1lox-17Puro-10: 0.51, iPS_cells:PDB_1lox-17Puro-5: 0.51, iPS_cells:PDB_2lox-21: 0.51, iPS_cells:PDB_2lox-17: 0.51, Embryonic_stem_cells: 0.51 |
CHP134_TTGAACGCAAATCGTC-1 | Neurons | 0.23 | 397.66 | Raw ScoresNeurons:adrenal_medulla_cell_line: 0.58, iPS_cells:PDB_1lox-21Puro-20: 0.52, Neuroepithelial_cell:ESC-derived: 0.52, iPS_cells:PDB_2lox-22: 0.51, iPS_cells:PDB_1lox-21Puro-26: 0.51, iPS_cells:PDB_2lox-21: 0.51, iPS_cells:PDB_1lox-17Puro-10: 0.51, iPS_cells:PDB_2lox-17: 0.51, iPS_cells:PDB_1lox-17Puro-5: 0.51, Embryonic_stem_cells: 0.51 |
Below shows the significant enrichments of this GEP for literature curated gene lists
This data was procured from existing single cell RNA-seq maps of neuroblastoma or related relevant data.
High ranks indicate this gene is a driver of this GEP.
These curated gene list are ranked by the P-value (on this GEP) of their constituent genes.
The Mean Count column shows the mean read count in cells scoring highly (H > 50) on this gene expression program.
Genes | Weight | Rank | GTEx | DepMap | Decartes | Mean.Counts | Mean.TPM |
---|---|---|---|---|---|---|---|
PSMB3 | 0.0066291 | 14 | GTEx | DepMap | Descartes | 16.75 | 1915.86 |
PSMC2 | 0.0035710 | 110 | GTEx | DepMap | Descartes | 3.74 | 106.89 |
PSMA4 | 0.0018302 | 540 | GTEx | DepMap | Descartes | 8.79 | 174.79 |
PSMA3 | 0.0015029 | 743 | GTEx | DepMap | Descartes | 5.56 | 378.56 |
PSME2 | -0.0014617 | 12367 | GTEx | DepMap | Descartes | 1.52 | 42.53 |
Translation (Dong)
Markers obtained in computationally inferred meta program (by NMF applied to their neuroblastoma sc-RNA-seq data) from Fig. 5(a) of Dong et al. (PMID 32946775).:
Wilcoxon ranksum test P-value for gene set overrepresentation: 1.49e-02
Mean rank of genes in gene set: 1732.67
Rank on gene expression program of genes in gene set:
Genes | Weight | Rank | GTEx | DepMap | Decartes | Mean.Counts | Mean.TPM |
---|---|---|---|---|---|---|---|
EIF3L | 0.0014349 | 812 | GTEx | DepMap | Descartes | 6.37 | 159.38 |
EIF3E | 0.0009668 | 1339 | GTEx | DepMap | Descartes | 7.97 | 336.18 |
EIF3F | 0.0003391 | 3047 | GTEx | DepMap | Descartes | 5.65 | 62.28 |
Bridge (Hanemaaijer)
Marker genes obtained from Supplementary Table SD of Hanemaaijer et al (PMID 33500353). The authors generated single-cell RNA-seq data (sort-seq, 2,229 cells total) from mouse adrenal glads at E13.5, E14.5, E17.5, E18.5, P1 and P5. These were marker genes that matched with a similar dataset generated by Furlan et al (PMID 28684471). This particular set of markers are for the Bridge subcluster, which is part of the Adrenal Medulla cluster.:
Wilcoxon ranksum test P-value for gene set overrepresentation: 3.62e-02
Mean rank of genes in gene set: 4396.75
Rank on gene expression program of genes in gene set:
Genes | Weight | Rank | GTEx | DepMap | Decartes | Mean.Counts | Mean.TPM |
---|---|---|---|---|---|---|---|
RCC2 | 0.0035773 | 109 | GTEx | DepMap | Descartes | 3.50 | 78.13 |
CKB | 0.0035048 | 119 | GTEx | DepMap | Descartes | 17.56 | 1044.95 |
GSE1 | 0.0027756 | 246 | GTEx | DepMap | Descartes | 2.62 | NA |
LDHB | 0.0020981 | 425 | GTEx | DepMap | Descartes | 32.72 | 1830.76 |
SOX11 | 0.0015429 | 710 | GTEx | DepMap | Descartes | 6.34 | 61.04 |
DLL3 | 0.0014796 | 766 | GTEx | DepMap | Descartes | 1.93 | 74.91 |
CDKN1C | -0.0000753 | 6099 | GTEx | DepMap | Descartes | 0.19 | 8.46 |
MIAT | -0.0001029 | 6588 | GTEx | DepMap | Descartes | 0.73 | 6.01 |
NFASC | -0.0002434 | 8338 | GTEx | DepMap | Descartes | 0.23 | 1.90 |
TBX20 | -0.0002786 | 8690 | GTEx | DepMap | Descartes | 0.02 | 0.65 |
WDR6 | -0.0003254 | 9128 | GTEx | DepMap | Descartes | 0.73 | 12.44 |
DPYSL3 | -0.0008149 | 11543 | GTEx | DepMap | Descartes | 1.02 | 14.39 |
Below shows ranks on this GEP for literature curated gene lists for large gene sets
These include those reported as mesenchymal/adrenergic by Van Groningen et al.
High ranks indicate this gene is a driver of this GEP (note these results are not ordered).
The Mean Count column shows the mean read count in cells scoring highly (H > 50) on this gene expression program.
VanGroningen Adrenergic Genes
Adrenergic marker genes from Supplementary Table 2 of Van Groningen et al. Nature Genetics 2017. These genes were identified by differential expression analysis of mesenchymal-like and adrenergic-like neuroblastoma cell lines.
Wilcoxon ranksum test P-value for gene set overrepresentation: 7.57e-01
Mean rank of genes in gene set: 6418.04
Median rank of genes in gene set: 6242
Rank on gene expression program of top 30 genes in gene set:
Genes | Weight | Rank | GTEx | DepMap | Descartes | Mean.Counts | Mean.TPM |
---|---|---|---|---|---|---|---|
NNAT | 0.0094317 | 4 | GTEx | DepMap | Descartes | 12.49 | 881.22 |
TAGLN3 | 0.0054216 | 30 | GTEx | DepMap | Descartes | 4.35 | 268.83 |
KDM1A | 0.0052129 | 34 | GTEx | DepMap | Descartes | 9.47 | 281.19 |
BIRC5 | 0.0044490 | 52 | GTEx | DepMap | Descartes | 10.99 | 354.28 |
NCS1 | 0.0042431 | 58 | GTEx | DepMap | Descartes | 4.94 | 82.34 |
HES6 | 0.0041375 | 68 | GTEx | DepMap | Descartes | 3.92 | 219.28 |
MYBL2 | 0.0040026 | 75 | GTEx | DepMap | Descartes | 4.38 | 137.00 |
OLFM1 | 0.0037566 | 86 | GTEx | DepMap | Descartes | 4.70 | 157.48 |
MANEAL | 0.0036646 | 96 | GTEx | DepMap | Descartes | 1.48 | 48.42 |
CEP44 | 0.0035776 | 108 | GTEx | DepMap | Descartes | 9.76 | 210.03 |
MCM7 | 0.0035629 | 112 | GTEx | DepMap | Descartes | 6.75 | 189.74 |
CCDC167 | 0.0035524 | 114 | GTEx | DepMap | Descartes | 5.35 | 835.32 |
ELAVL2 | 0.0035415 | 115 | GTEx | DepMap | Descartes | 2.82 | 63.71 |
CKB | 0.0035048 | 119 | GTEx | DepMap | Descartes | 17.56 | 1044.95 |
KIF5C | 0.0033541 | 135 | GTEx | DepMap | Descartes | 5.75 | 72.59 |
ELAVL4 | 0.0032662 | 150 | GTEx | DepMap | Descartes | 8.98 | 196.79 |
CENPV | 0.0032496 | 153 | GTEx | DepMap | Descartes | 9.66 | 469.05 |
ANP32A | 0.0030405 | 195 | GTEx | DepMap | Descartes | 11.13 | 260.43 |
RRM2 | 0.0029213 | 214 | GTEx | DepMap | Descartes | 4.12 | 96.78 |
DACH1 | 0.0028862 | 219 | GTEx | DepMap | Descartes | 2.20 | 36.62 |
CSE1L | 0.0028859 | 220 | GTEx | DepMap | Descartes | 3.78 | 92.46 |
FKBP4 | 0.0028717 | 222 | GTEx | DepMap | Descartes | 5.55 | 129.63 |
LSM4 | 0.0028234 | 233 | GTEx | DepMap | Descartes | 11.66 | 588.68 |
TMEM97 | 0.0026307 | 272 | GTEx | DepMap | Descartes | 3.96 | 139.72 |
MAP1B | 0.0026231 | 273 | GTEx | DepMap | Descartes | 23.77 | 172.30 |
CCNI | 0.0024933 | 296 | GTEx | DepMap | Descartes | 14.31 | 432.53 |
LSM3 | 0.0024866 | 298 | GTEx | DepMap | Descartes | 7.16 | 182.98 |
HMGA1 | 0.0024038 | 323 | GTEx | DepMap | Descartes | 9.28 | 362.16 |
ASRGL1 | 0.0021246 | 405 | GTEx | DepMap | Descartes | 2.30 | 88.87 |
TUBB2B | 0.0021093 | 417 | GTEx | DepMap | Descartes | 9.10 | 404.23 |
VanGroningen Mesenchymal Genes
Mesenchymal marker genes from Supplementary Table 2 of Van Groningen et al. Nature Genetics 2017. These genes were identified by differential expression analysis of mesenchymal-like and adrenergic-like neuroblastoma cell lines.
Wilcoxon ranksum test P-value for gene set overrepresentation: 1.00e+00
Mean rank of genes in gene set: 9146.83
Median rank of genes in gene set: 10856
Rank on gene expression program of top 30 genes in gene set:
Genes | Weight | Rank | GTEx | DepMap | Descartes | Mean.Counts | Mean.TPM |
---|---|---|---|---|---|---|---|
PLSCR1 | 0.0033280 | 140 | GTEx | DepMap | Descartes | 1.06 | 49.70 |
PTBP1 | 0.0030841 | 188 | GTEx | DepMap | Descartes | 4.39 | 81.10 |
FAM43A | 0.0030705 | 192 | GTEx | DepMap | Descartes | 1.03 | 28.68 |
STAT3 | 0.0027766 | 245 | GTEx | DepMap | Descartes | 3.11 | 53.54 |
ROBO1 | 0.0026406 | 269 | GTEx | DepMap | Descartes | 1.42 | 17.09 |
ADAMTS5 | 0.0024095 | 320 | GTEx | DepMap | Descartes | 1.15 | 10.44 |
ANXA6 | 0.0021715 | 388 | GTEx | DepMap | Descartes | 1.31 | 39.83 |
SIX1 | 0.0021316 | 402 | GTEx | DepMap | Descartes | 0.77 | 16.40 |
LMAN1 | 0.0020395 | 453 | GTEx | DepMap | Descartes | 4.21 | 78.01 |
ID1 | 0.0019345 | 491 | GTEx | DepMap | Descartes | 8.16 | 579.26 |
SSBP4 | 0.0017440 | 585 | GTEx | DepMap | Descartes | 3.13 | 152.06 |
HOMER1 | 0.0016576 | 636 | GTEx | DepMap | Descartes | 0.72 | 10.92 |
DLX1 | 0.0016526 | 639 | GTEx | DepMap | Descartes | 0.11 | 4.39 |
CALU | 0.0016057 | 671 | GTEx | DepMap | Descartes | 5.51 | 89.45 |
NANS | 0.0015247 | 723 | GTEx | DepMap | Descartes | 1.95 | 56.02 |
ELAVL1 | 0.0015011 | 748 | GTEx | DepMap | Descartes | 2.71 | 38.61 |
CREB3L2 | 0.0014436 | 803 | GTEx | DepMap | Descartes | 0.95 | 11.22 |
CLIC4 | 0.0011716 | 1066 | GTEx | DepMap | Descartes | 1.59 | 33.17 |
PHLDB2 | 0.0011681 | 1070 | GTEx | DepMap | Descartes | 1.03 | 13.84 |
SSR3 | 0.0011597 | 1078 | GTEx | DepMap | Descartes | 6.28 | 146.36 |
FBN2 | 0.0010881 | 1171 | GTEx | DepMap | Descartes | 0.27 | 2.15 |
KCNK2 | 0.0010299 | 1260 | GTEx | DepMap | Descartes | 0.21 | 5.16 |
ID3 | 0.0010030 | 1291 | GTEx | DepMap | Descartes | 7.41 | 696.61 |
CKAP4 | 0.0010027 | 1292 | GTEx | DepMap | Descartes | 2.43 | 65.16 |
TMEM50A | 0.0009295 | 1392 | GTEx | DepMap | Descartes | 2.61 | 101.19 |
SSR1 | 0.0009158 | 1409 | GTEx | DepMap | Descartes | 1.50 | 13.47 |
CTSC | 0.0009049 | 1421 | GTEx | DepMap | Descartes | 2.79 | 40.06 |
PDIA4 | 0.0008784 | 1476 | GTEx | DepMap | Descartes | 2.72 | 79.88 |
UGDH | 0.0008425 | 1536 | GTEx | DepMap | Descartes | 0.93 | 26.43 |
SERPINE2 | 0.0008080 | 1603 | GTEx | DepMap | Descartes | 1.13 | 16.72 |
Descartes adrenocortical markers
Top 50 marker genes of adrenocortical cells in the Decartes fetal adrenal single cell map (https://atlas.brotmanbaty.org/bbi/human-gene-expression-during-development/cell/adrenocortical/in/adrenal)
Wilcoxon ranksum test P-value for gene set overrepresentation: 9.15e-01
Mean rank of genes in gene set: 7102.94
Median rank of genes in gene set: 7191
Rank on gene expression program of top 30 genes in gene set:
Genes | Weight | Rank | GTEx | DepMap | Descartes | Mean.Counts | Mean.TPM |
---|---|---|---|---|---|---|---|
JAKMIP2 | 0.0025237 | 290 | GTEx | DepMap | Descartes | 2.12 | 20.66 |
DHCR7 | 0.0020130 | 464 | GTEx | DepMap | Descartes | 1.00 | 32.97 |
CYB5B | 0.0012453 | 990 | GTEx | DepMap | Descartes | 2.11 | 42.60 |
GSTA4 | 0.0005579 | 2248 | GTEx | DepMap | Descartes | 1.04 | 52.20 |
PEG3 | 0.0004292 | 2710 | GTEx | DepMap | Descartes | 0.36 | NA |
DHCR24 | 0.0004140 | 2765 | GTEx | DepMap | Descartes | 1.64 | 24.41 |
SCARB1 | 0.0003697 | 2942 | GTEx | DepMap | Descartes | 0.58 | 8.49 |
FREM2 | 0.0003339 | 3065 | GTEx | DepMap | Descartes | 0.01 | 0.04 |
ERN1 | 0.0001844 | 3825 | GTEx | DepMap | Descartes | 0.14 | 1.66 |
FDX1 | 0.0001779 | 3854 | GTEx | DepMap | Descartes | 0.82 | 21.67 |
POR | 0.0001612 | 3960 | GTEx | DepMap | Descartes | 0.65 | 20.82 |
BAIAP2L1 | 0.0001555 | 3994 | GTEx | DepMap | Descartes | 0.05 | 0.91 |
SLC16A9 | 0.0000175 | 4946 | GTEx | DepMap | Descartes | 0.22 | 4.07 |
FDXR | -0.0000327 | 5429 | GTEx | DepMap | Descartes | 0.50 | 15.39 |
NPC1 | -0.0000374 | 5495 | GTEx | DepMap | Descartes | 0.11 | 2.10 |
SGCZ | -0.0000564 | 5801 | GTEx | DepMap | Descartes | 0.01 | 0.11 |
INHA | -0.0000980 | 6494 | GTEx | DepMap | Descartes | 0.01 | 0.40 |
STAR | -0.0001116 | 6711 | GTEx | DepMap | Descartes | 0.01 | 0.31 |
DNER | -0.0001802 | 7671 | GTEx | DepMap | Descartes | 0.02 | 0.42 |
SH3PXD2B | -0.0002496 | 8400 | GTEx | DepMap | Descartes | 0.24 | 2.39 |
SLC1A2 | -0.0003487 | 9320 | GTEx | DepMap | Descartes | 0.05 | 0.33 |
HMGCR | -0.0004184 | 9862 | GTEx | DepMap | Descartes | 1.13 | 22.15 |
MSMO1 | -0.0004557 | 10104 | GTEx | DepMap | Descartes | 0.87 | 34.23 |
SCAP | -0.0004624 | 10136 | GTEx | DepMap | Descartes | 0.25 | 4.23 |
GRAMD1B | -0.0004995 | 10350 | GTEx | DepMap | Descartes | 0.03 | 0.26 |
FRMD5 | -0.0005018 | 10368 | GTEx | DepMap | Descartes | 0.07 | 0.93 |
FDPS | -0.0005234 | 10480 | GTEx | DepMap | Descartes | 5.74 | 230.88 |
HMGCS1 | -0.0005317 | 10531 | GTEx | DepMap | Descartes | 1.00 | 16.03 |
LDLR | -0.0006109 | 10918 | GTEx | DepMap | Descartes | 0.52 | 7.54 |
PAPSS2 | -0.0006133 | 10927 | GTEx | DepMap | Descartes | 0.21 | 3.22 |
Descartes chromaffin markers
Top 50 marker genes of chromaffin cells in the Decartes fetal adrenal single cell map (https://atlas.brotmanbaty.org/bbi/human-gene-expression-during-development/cell/chromaffin/in/adrenal)
Wilcoxon ranksum test P-value for gene set overrepresentation: 9.99e-01
Mean rank of genes in gene set: 8014.49
Median rank of genes in gene set: 9888
Rank on gene expression program of top 30 genes in gene set:
Genes | Weight | Rank | GTEx | DepMap | Descartes | Mean.Counts | Mean.TPM |
---|---|---|---|---|---|---|---|
ELAVL2 | 0.0035415 | 115 | GTEx | DepMap | Descartes | 2.82 | 63.71 |
BASP1 | 0.0033171 | 141 | GTEx | DepMap | Descartes | 10.46 | 503.98 |
MAP1B | 0.0026231 | 273 | GTEx | DepMap | Descartes | 23.77 | 172.30 |
TUBB2B | 0.0021093 | 417 | GTEx | DepMap | Descartes | 9.10 | 404.23 |
TUBB2A | 0.0019357 | 489 | GTEx | DepMap | Descartes | 2.95 | 160.00 |
REEP1 | 0.0006214 | 2057 | GTEx | DepMap | Descartes | 0.18 | 3.89 |
RYR2 | 0.0005410 | 2312 | GTEx | DepMap | Descartes | 0.28 | 1.60 |
KCNB2 | 0.0004395 | 2675 | GTEx | DepMap | Descartes | 0.52 | 12.41 |
EYA1 | 0.0003165 | 3148 | GTEx | DepMap | Descartes | 0.68 | 13.51 |
CNTFR | 0.0001646 | 3938 | GTEx | DepMap | Descartes | 0.95 | 36.58 |
NTRK1 | 0.0000860 | 4450 | GTEx | DepMap | Descartes | 0.54 | 14.18 |
RBFOX1 | 0.0000217 | 4923 | GTEx | DepMap | Descartes | 0.10 | 1.61 |
RGMB | 0.0000087 | 5022 | GTEx | DepMap | Descartes | 0.42 | 8.02 |
CNKSR2 | -0.0000134 | 5216 | GTEx | DepMap | Descartes | 0.23 | 2.42 |
TMEM132C | -0.0000997 | 6519 | GTEx | DepMap | Descartes | 0.00 | 0.01 |
ANKFN1 | -0.0001407 | 7131 | GTEx | DepMap | Descartes | 0.00 | 0.12 |
TMEFF2 | -0.0001590 | 7376 | GTEx | DepMap | Descartes | 0.05 | 1.34 |
EPHA6 | -0.0002627 | 8523 | GTEx | DepMap | Descartes | 0.01 | 0.13 |
PTCHD1 | -0.0003626 | 9447 | GTEx | DepMap | Descartes | 0.02 | 0.09 |
HS3ST5 | -0.0004059 | 9776 | GTEx | DepMap | Descartes | 0.09 | 1.67 |
MAB21L1 | -0.0004226 | 9888 | GTEx | DepMap | Descartes | 3.60 | 106.34 |
ALK | -0.0004569 | 10111 | GTEx | DepMap | Descartes | 0.12 | 1.48 |
GREM1 | -0.0005528 | 10652 | GTEx | DepMap | Descartes | 0.06 | 0.24 |
FAT3 | -0.0005602 | 10681 | GTEx | DepMap | Descartes | 0.01 | 0.05 |
SLC44A5 | -0.0006673 | 11140 | GTEx | DepMap | Descartes | 0.08 | 1.09 |
EYA4 | -0.0007446 | 11366 | GTEx | DepMap | Descartes | 0.07 | 0.98 |
MARCH11 | -0.0007786 | 11459 | GTEx | DepMap | Descartes | 0.76 | NA |
MLLT11 | -0.0007801 | 11462 | GTEx | DepMap | Descartes | 6.89 | 221.51 |
IL7 | -0.0007816 | 11466 | GTEx | DepMap | Descartes | 0.05 | 1.36 |
RPH3A | -0.0009086 | 11767 | GTEx | DepMap | Descartes | 0.11 | 0.97 |
Descartes Vascular_endothelial markers
Top 50 marker genes of Vascular_endothelial cells in the Decartes fetal adrenal single cell map (https://atlas.brotmanbaty.org/bbi/human-gene-expression-during-development/cell/vascular_endothelial/in/adrenal)
Wilcoxon ranksum test P-value for gene set overrepresentation: 9.60e-01
Mean rank of genes in gene set: 7299.74
Median rank of genes in gene set: 6713.5
Rank on gene expression program of top 30 genes in gene set:
Genes | Weight | Rank | GTEx | DepMap | Descartes | Mean.Counts | Mean.TPM |
---|---|---|---|---|---|---|---|
RAMP2 | 0.0022460 | 366 | GTEx | DepMap | Descartes | 1.45 | 147.48 |
ID1 | 0.0019345 | 491 | GTEx | DepMap | Descartes | 8.16 | 579.26 |
CLDN5 | 0.0007770 | 1674 | GTEx | DepMap | Descartes | 0.05 | 1.90 |
SHANK3 | 0.0001393 | 4104 | GTEx | DepMap | Descartes | 0.06 | 0.67 |
SHE | 0.0001311 | 4154 | GTEx | DepMap | Descartes | 0.00 | 0.00 |
F8 | 0.0000885 | 4435 | GTEx | DepMap | Descartes | 0.02 | 0.22 |
KANK3 | 0.0000362 | 4805 | GTEx | DepMap | Descartes | 0.00 | 0.05 |
CRHBP | -0.0000295 | 5390 | GTEx | DepMap | Descartes | 0.00 | 0.00 |
TMEM88 | -0.0000536 | 5743 | GTEx | DepMap | Descartes | 0.05 | 5.22 |
GALNT15 | -0.0000689 | 5982 | GTEx | DepMap | Descartes | 0.00 | NA |
TIE1 | -0.0000754 | 6103 | GTEx | DepMap | Descartes | 0.00 | 0.01 |
CEACAM1 | -0.0000805 | 6180 | GTEx | DepMap | Descartes | 0.00 | 0.08 |
PLVAP | -0.0000862 | 6295 | GTEx | DepMap | Descartes | 0.00 | 0.00 |
CYP26B1 | -0.0000890 | 6346 | GTEx | DepMap | Descartes | 0.00 | 0.01 |
TEK | -0.0000959 | 6460 | GTEx | DepMap | Descartes | 0.00 | 0.00 |
CDH5 | -0.0001002 | 6528 | GTEx | DepMap | Descartes | 0.00 | 0.00 |
NR5A2 | -0.0001020 | 6572 | GTEx | DepMap | Descartes | 0.00 | 0.00 |
ROBO4 | -0.0001087 | 6668 | GTEx | DepMap | Descartes | 0.00 | 0.00 |
FLT4 | -0.0001092 | 6678 | GTEx | DepMap | Descartes | 0.01 | 0.08 |
MMRN2 | -0.0001136 | 6749 | GTEx | DepMap | Descartes | 0.00 | 0.00 |
ESM1 | -0.0001214 | 6865 | GTEx | DepMap | Descartes | 0.00 | 0.08 |
RASIP1 | -0.0001408 | 7133 | GTEx | DepMap | Descartes | 0.00 | 0.07 |
BTNL9 | -0.0001469 | 7201 | GTEx | DepMap | Descartes | 0.00 | 0.02 |
KDR | -0.0001961 | 7846 | GTEx | DepMap | Descartes | 0.00 | 0.00 |
SLCO2A1 | -0.0002116 | 8019 | GTEx | DepMap | Descartes | 0.01 | 0.07 |
NOTCH4 | -0.0002939 | 8847 | GTEx | DepMap | Descartes | 0.04 | 0.44 |
CALCRL | -0.0003452 | 9299 | GTEx | DepMap | Descartes | 0.00 | 0.00 |
CDH13 | -0.0003752 | 9537 | GTEx | DepMap | Descartes | 0.02 | 0.10 |
EHD3 | -0.0004377 | 9985 | GTEx | DepMap | Descartes | 0.12 | 1.80 |
IRX3 | -0.0004629 | 10142 | GTEx | DepMap | Descartes | 0.07 | 1.67 |
Descartes stromal markers
Top 50 marker genes of stromal cells in the Decartes fetal adrenal single cell map (https://atlas.brotmanbaty.org/bbi/human-gene-expression-during-development/cell/stromal/in/adrenal)
Wilcoxon ranksum test P-value for gene set overrepresentation: 1.00e+00
Mean rank of genes in gene set: 9533.77
Median rank of genes in gene set: 10581.5
Rank on gene expression program of top 30 genes in gene set:
Genes | Weight | Rank | GTEx | DepMap | Descartes | Mean.Counts | Mean.TPM |
---|---|---|---|---|---|---|---|
LOX | 0.0005833 | 2156 | GTEx | DepMap | Descartes | 0.28 | 4.89 |
LAMC3 | 0.0003266 | 3099 | GTEx | DepMap | Descartes | 0.02 | 0.20 |
CLDN11 | 0.0002267 | 3605 | GTEx | DepMap | Descartes | 0.04 | 1.15 |
ABCA6 | 0.0001183 | 4236 | GTEx | DepMap | Descartes | 0.01 | 0.08 |
COL27A1 | 0.0000618 | 4595 | GTEx | DepMap | Descartes | 0.04 | 0.38 |
GAS2 | 0.0000479 | 4713 | GTEx | DepMap | Descartes | 0.05 | 1.76 |
SFRP2 | -0.0000343 | 5445 | GTEx | DepMap | Descartes | 0.00 | 0.00 |
SCARA5 | -0.0000566 | 5805 | GTEx | DepMap | Descartes | 0.00 | 0.00 |
OGN | -0.0001163 | 6790 | GTEx | DepMap | Descartes | 0.00 | 0.09 |
PCOLCE | -0.0001482 | 7222 | GTEx | DepMap | Descartes | 5.61 | 296.33 |
ADAMTSL3 | -0.0001585 | 7371 | GTEx | DepMap | Descartes | 0.00 | 0.02 |
RSPO3 | -0.0001693 | 7520 | GTEx | DepMap | Descartes | 0.00 | NA |
PAMR1 | -0.0001719 | 7553 | GTEx | DepMap | Descartes | 0.00 | 0.00 |
ABCC9 | -0.0003747 | 9531 | GTEx | DepMap | Descartes | 0.01 | 0.09 |
ISLR | -0.0004079 | 9790 | GTEx | DepMap | Descartes | 0.01 | 0.20 |
FREM1 | -0.0004378 | 9987 | GTEx | DepMap | Descartes | 0.02 | 0.13 |
CD248 | -0.0004495 | 10065 | GTEx | DepMap | Descartes | 0.12 | 3.62 |
GLI2 | -0.0004605 | 10132 | GTEx | DepMap | Descartes | 0.12 | 1.29 |
ELN | -0.0004761 | 10224 | GTEx | DepMap | Descartes | 0.03 | 0.34 |
COL1A2 | -0.0004783 | 10236 | GTEx | DepMap | Descartes | 0.07 | 1.01 |
ADAMTS2 | -0.0005071 | 10405 | GTEx | DepMap | Descartes | 0.02 | 0.20 |
ACTA2 | -0.0005211 | 10471 | GTEx | DepMap | Descartes | 0.10 | 4.51 |
PCDH18 | -0.0005622 | 10692 | GTEx | DepMap | Descartes | 0.09 | 1.06 |
POSTN | -0.0005750 | 10769 | GTEx | DepMap | Descartes | 0.03 | 0.48 |
BICC1 | -0.0006517 | 11079 | GTEx | DepMap | Descartes | 0.15 | 1.90 |
PRRX1 | -0.0007049 | 11241 | GTEx | DepMap | Descartes | 0.32 | 5.04 |
ITGA11 | -0.0007354 | 11331 | GTEx | DepMap | Descartes | 0.02 | 0.16 |
HHIP | -0.0007678 | 11424 | GTEx | DepMap | Descartes | 0.02 | 0.19 |
EDNRA | -0.0007691 | 11429 | GTEx | DepMap | Descartes | 0.05 | 0.68 |
COL12A1 | -0.0007734 | 11449 | GTEx | DepMap | Descartes | 0.00 | 0.02 |
Descartes sympathoblasts markers
Top 50 marker genes of sympathoblasts cells in the Decartes fetal adrenal single cell map (https://atlas.brotmanbaty.org/bbi/human-gene-expression-during-development/cell/sympathoblasts/in/adrenal)
Wilcoxon ranksum test P-value for gene set overrepresentation: 1.00e+00
Mean rank of genes in gene set: 8496.13
Median rank of genes in gene set: 9429
Rank on gene expression program of top 30 genes in gene set:
Genes | Weight | Rank | GTEx | DepMap | Descartes | Mean.Counts | Mean.TPM |
---|---|---|---|---|---|---|---|
ROBO1 | 0.0026406 | 269 | GTEx | DepMap | Descartes | 1.42 | 17.09 |
C1QL1 | 0.0016010 | 675 | GTEx | DepMap | Descartes | 2.02 | 113.23 |
ST18 | 0.0009909 | 1301 | GTEx | DepMap | Descartes | 0.16 | 2.34 |
TIAM1 | 0.0005229 | 2380 | GTEx | DepMap | Descartes | 0.76 | 9.01 |
HTATSF1 | 0.0003880 | 2860 | GTEx | DepMap | Descartes | 3.48 | 101.00 |
SLC24A2 | -0.0000199 | 5283 | GTEx | DepMap | Descartes | 0.01 | 0.08 |
SORCS3 | -0.0000257 | 5335 | GTEx | DepMap | Descartes | 0.00 | 0.01 |
PENK | -0.0000898 | 6368 | GTEx | DepMap | Descartes | 0.01 | 0.34 |
GCH1 | -0.0001293 | 6982 | GTEx | DepMap | Descartes | 0.24 | 7.21 |
LAMA3 | -0.0001513 | 7270 | GTEx | DepMap | Descartes | 0.00 | 0.00 |
CDH12 | -0.0001652 | 7455 | GTEx | DepMap | Descartes | 0.00 | 0.01 |
CNTN3 | -0.0001884 | 7753 | GTEx | DepMap | Descartes | 0.01 | 0.21 |
PACRG | -0.0001998 | 7887 | GTEx | DepMap | Descartes | 0.00 | 0.08 |
KSR2 | -0.0002070 | 7963 | GTEx | DepMap | Descartes | 0.00 | 0.00 |
TENM1 | -0.0002491 | 8392 | GTEx | DepMap | Descartes | 0.01 | NA |
TBX20 | -0.0002786 | 8690 | GTEx | DepMap | Descartes | 0.02 | 0.65 |
DGKK | -0.0003272 | 9150 | GTEx | DepMap | Descartes | 0.00 | 0.02 |
CCSER1 | -0.0003287 | 9165 | GTEx | DepMap | Descartes | 0.07 | NA |
CDH18 | -0.0003465 | 9308 | GTEx | DepMap | Descartes | 0.01 | 0.14 |
AGBL4 | -0.0003767 | 9550 | GTEx | DepMap | Descartes | 0.01 | 0.14 |
PCSK2 | -0.0003894 | 9646 | GTEx | DepMap | Descartes | 0.00 | 0.04 |
ARC | -0.0004165 | 9850 | GTEx | DepMap | Descartes | 0.07 | 1.68 |
SLC35F3 | -0.0004710 | 10187 | GTEx | DepMap | Descartes | 0.02 | 0.30 |
SPOCK3 | -0.0004779 | 10233 | GTEx | DepMap | Descartes | 0.05 | 1.11 |
GRM7 | -0.0004798 | 10245 | GTEx | DepMap | Descartes | 0.02 | 0.18 |
GALNTL6 | -0.0005391 | 10568 | GTEx | DepMap | Descartes | 0.01 | 0.08 |
MGAT4C | -0.0005607 | 10683 | GTEx | DepMap | Descartes | 0.01 | 0.03 |
UNC80 | -0.0005828 | 10808 | GTEx | DepMap | Descartes | 0.11 | 0.61 |
PCSK1N | -0.0005967 | 10863 | GTEx | DepMap | Descartes | 3.68 | 288.01 |
KCTD16 | -0.0006061 | 10903 | GTEx | DepMap | Descartes | 0.03 | 0.15 |
Descartes erythroblasts markers
Top 50 marker genes of erythroblasts cells in the Decartes fetal adrenal single cell map (https://atlas.brotmanbaty.org/bbi/human-gene-expression-during-development/cell/erythroblasts/in/adrenal)
Wilcoxon ranksum test P-value for gene set overrepresentation: 5.74e-01
Mean rank of genes in gene set: 6399.55
Median rank of genes in gene set: 6214
Rank on gene expression program of top 30 genes in gene set:
Genes | Weight | Rank | GTEx | DepMap | Descartes | Mean.Counts | Mean.TPM |
---|---|---|---|---|---|---|---|
EPB41 | 0.0034604 | 126 | GTEx | DepMap | Descartes | 3.89 | 55.09 |
TSPAN5 | 0.0013927 | 849 | GTEx | DepMap | Descartes | 1.67 | 35.59 |
CAT | 0.0012060 | 1026 | GTEx | DepMap | Descartes | 0.79 | 30.30 |
GCLC | 0.0005345 | 2336 | GTEx | DepMap | Descartes | 0.56 | 13.01 |
XPO7 | 0.0004741 | 2550 | GTEx | DepMap | Descartes | 0.83 | 14.47 |
FECH | 0.0003279 | 3093 | GTEx | DepMap | Descartes | 0.25 | 2.71 |
TFR2 | 0.0001777 | 3856 | GTEx | DepMap | Descartes | 0.09 | 2.56 |
TMCC2 | 0.0001487 | 4035 | GTEx | DepMap | Descartes | 0.07 | 1.62 |
CPOX | 0.0001473 | 4042 | GTEx | DepMap | Descartes | 0.20 | 6.71 |
ABCB10 | 0.0001130 | 4274 | GTEx | DepMap | Descartes | 0.25 | 5.54 |
SLC25A37 | 0.0000720 | 4524 | GTEx | DepMap | Descartes | 1.56 | 27.61 |
GYPC | -0.0000443 | 5597 | GTEx | DepMap | Descartes | 0.00 | 0.00 |
RGS6 | -0.0000620 | 5869 | GTEx | DepMap | Descartes | 0.00 | 0.00 |
TRAK2 | -0.0000748 | 6093 | GTEx | DepMap | Descartes | 0.48 | 6.37 |
ALAS2 | -0.0000821 | 6214 | GTEx | DepMap | Descartes | 0.00 | 0.00 |
SLC4A1 | -0.0000862 | 6297 | GTEx | DepMap | Descartes | 0.00 | 0.00 |
SPTB | -0.0001589 | 7375 | GTEx | DepMap | Descartes | 0.02 | 0.15 |
RHD | -0.0001934 | 7813 | GTEx | DepMap | Descartes | 0.00 | 0.03 |
RAPGEF2 | -0.0002372 | 8281 | GTEx | DepMap | Descartes | 0.41 | 4.15 |
SLC25A21 | -0.0002463 | 8369 | GTEx | DepMap | Descartes | 0.00 | 0.00 |
BLVRB | -0.0002591 | 8493 | GTEx | DepMap | Descartes | 0.51 | 28.80 |
DENND4A | -0.0003197 | 9076 | GTEx | DepMap | Descartes | 0.26 | 2.48 |
ANK1 | -0.0003333 | 9211 | GTEx | DepMap | Descartes | 0.04 | 0.39 |
SNCA | -0.0003429 | 9275 | GTEx | DepMap | Descartes | 0.32 | 8.15 |
SELENBP1 | -0.0004717 | 10194 | GTEx | DepMap | Descartes | 0.03 | 0.61 |
SOX6 | -0.0006625 | 11113 | GTEx | DepMap | Descartes | 0.00 | 0.00 |
MARCH3 | -0.0007756 | 11453 | GTEx | DepMap | Descartes | 0.06 | NA |
MICAL2 | -0.0010907 | 12069 | GTEx | DepMap | Descartes | 0.08 | 0.78 |
SPECC1 | -0.0011064 | 12084 | GTEx | DepMap | Descartes | 0.15 | 0.94 |
NA | NA | NA | NA | NA | NA | NA | NA |
Descartes myeloid markers
Top 50 marker genes of myeloid cells in the Decartes fetal adrenal single cell map (https://atlas.brotmanbaty.org/bbi/human-gene-expression-during-development/cell/myeloid/in/adrenal)
Wilcoxon ranksum test P-value for gene set overrepresentation: 9.97e-01
Mean rank of genes in gene set: 7895.82
Median rank of genes in gene set: 7527
Rank on gene expression program of top 30 genes in gene set:
Genes | Weight | Rank | GTEx | DepMap | Descartes | Mean.Counts | Mean.TPM |
---|---|---|---|---|---|---|---|
CTSC | 0.0009049 | 1421 | GTEx | DepMap | Descartes | 2.79 | 40.06 |
SLC1A3 | 0.0008190 | 1584 | GTEx | DepMap | Descartes | 0.24 | 5.68 |
LGMN | 0.0004977 | 2468 | GTEx | DepMap | Descartes | 0.46 | 18.01 |
RBPJ | 0.0002522 | 3470 | GTEx | DepMap | Descartes | 2.70 | 38.43 |
ADAP2 | -0.0000127 | 5208 | GTEx | DepMap | Descartes | 0.00 | 0.16 |
CD163 | -0.0000151 | 5228 | GTEx | DepMap | Descartes | 0.00 | 0.00 |
FGD2 | -0.0000266 | 5355 | GTEx | DepMap | Descartes | 0.00 | 0.00 |
SFMBT2 | -0.0000275 | 5367 | GTEx | DepMap | Descartes | 0.18 | 1.76 |
CTSD | -0.0000409 | 5540 | GTEx | DepMap | Descartes | 1.35 | 51.76 |
IFNGR1 | -0.0000598 | 5837 | GTEx | DepMap | Descartes | 0.39 | 14.17 |
MS4A4A | -0.0000637 | 5897 | GTEx | DepMap | Descartes | 0.00 | 0.00 |
ATP8B4 | -0.0000655 | 5930 | GTEx | DepMap | Descartes | 0.00 | 0.00 |
SLCO2B1 | -0.0000713 | 6023 | GTEx | DepMap | Descartes | 0.00 | 0.00 |
FGL2 | -0.0000819 | 6210 | GTEx | DepMap | Descartes | 0.00 | 0.02 |
CD14 | -0.0001063 | 6638 | GTEx | DepMap | Descartes | 0.00 | 0.09 |
HCK | -0.0001092 | 6676 | GTEx | DepMap | Descartes | 0.00 | 0.02 |
CSF1R | -0.0001164 | 6795 | GTEx | DepMap | Descartes | 0.00 | 0.00 |
CYBB | -0.0001281 | 6966 | GTEx | DepMap | Descartes | 0.00 | 0.00 |
MSR1 | -0.0001471 | 7203 | GTEx | DepMap | Descartes | 0.00 | 0.00 |
SLC9A9 | -0.0001965 | 7851 | GTEx | DepMap | Descartes | 0.00 | 0.07 |
SPP1 | -0.0001969 | 7855 | GTEx | DepMap | Descartes | 0.00 | 0.10 |
CD74 | -0.0002109 | 8015 | GTEx | DepMap | Descartes | 0.00 | 0.00 |
CTSS | -0.0002714 | 8609 | GTEx | DepMap | Descartes | 0.01 | 0.10 |
WWP1 | -0.0002767 | 8664 | GTEx | DepMap | Descartes | 0.23 | 3.88 |
MERTK | -0.0003913 | 9666 | GTEx | DepMap | Descartes | 0.01 | 0.17 |
ABCA1 | -0.0004368 | 9977 | GTEx | DepMap | Descartes | 0.03 | 0.19 |
ITPR2 | -0.0004387 | 9996 | GTEx | DepMap | Descartes | 0.78 | 4.98 |
MARCH1 | -0.0005568 | 10670 | GTEx | DepMap | Descartes | 0.02 | NA |
HRH1 | -0.0006428 | 11038 | GTEx | DepMap | Descartes | 0.04 | 0.49 |
CPVL | -0.0006555 | 11090 | GTEx | DepMap | Descartes | 0.25 | 9.18 |
Descartes Schwann markers
Top 50 marker genes of Schwann cells in the Decartes fetal adrenal single cell map (https://atlas.brotmanbaty.org/bbi/human-gene-expression-during-development/cell/schwann/in/adrenal)
Wilcoxon ranksum test P-value for gene set overrepresentation: 1.00e+00
Mean rank of genes in gene set: 8208.84
Median rank of genes in gene set: 9569.5
Rank on gene expression program of top 30 genes in gene set:
Genes | Weight | Rank | GTEx | DepMap | Descartes | Mean.Counts | Mean.TPM |
---|---|---|---|---|---|---|---|
SOX5 | 0.0030765 | 191 | GTEx | DepMap | Descartes | 0.57 | 7.18 |
ADAMTS5 | 0.0024095 | 320 | GTEx | DepMap | Descartes | 1.15 | 10.44 |
MARCKS | 0.0021269 | 403 | GTEx | DepMap | Descartes | 17.53 | 340.66 |
FIGN | 0.0013414 | 897 | GTEx | DepMap | Descartes | 1.04 | 9.27 |
MPZ | 0.0004628 | 2592 | GTEx | DepMap | Descartes | 0.04 | 1.43 |
PAG1 | 0.0003319 | 3074 | GTEx | DepMap | Descartes | 0.26 | 2.03 |
SLC35F1 | 0.0002696 | 3364 | GTEx | DepMap | Descartes | 0.16 | 2.43 |
EGFLAM | 0.0002656 | 3394 | GTEx | DepMap | Descartes | 0.08 | 1.42 |
COL25A1 | 0.0002334 | 3571 | GTEx | DepMap | Descartes | 0.05 | 0.61 |
NRXN3 | 0.0000313 | 4846 | GTEx | DepMap | Descartes | 0.01 | 0.11 |
XKR4 | 0.0000243 | 4902 | GTEx | DepMap | Descartes | 0.00 | 0.02 |
PTPRZ1 | -0.0000205 | 5290 | GTEx | DepMap | Descartes | 0.06 | 0.67 |
IL1RAPL2 | -0.0000247 | 5329 | GTEx | DepMap | Descartes | 0.00 | 0.00 |
MDGA2 | -0.0000518 | 5703 | GTEx | DepMap | Descartes | 0.01 | 0.13 |
PLP1 | -0.0001011 | 6549 | GTEx | DepMap | Descartes | 0.00 | 0.05 |
ERBB3 | -0.0001267 | 6954 | GTEx | DepMap | Descartes | 0.00 | 0.04 |
LRRTM4 | -0.0002031 | 7916 | GTEx | DepMap | Descartes | 0.00 | 0.06 |
GFRA3 | -0.0002539 | 8440 | GTEx | DepMap | Descartes | 0.02 | 0.34 |
GAS7 | -0.0002866 | 8774 | GTEx | DepMap | Descartes | 0.00 | 0.02 |
OLFML2A | -0.0002907 | 8816 | GTEx | DepMap | Descartes | 0.01 | 0.08 |
SCN7A | -0.0003168 | 9055 | GTEx | DepMap | Descartes | 0.00 | 0.02 |
EDNRB | -0.0003726 | 9515 | GTEx | DepMap | Descartes | 0.00 | 0.03 |
IL1RAPL1 | -0.0003871 | 9624 | GTEx | DepMap | Descartes | 0.02 | 0.19 |
TRPM3 | -0.0003948 | 9696 | GTEx | DepMap | Descartes | 0.01 | 0.08 |
NRXN1 | -0.0004860 | 10274 | GTEx | DepMap | Descartes | 0.31 | 2.75 |
GRIK3 | -0.0005261 | 10489 | GTEx | DepMap | Descartes | 0.04 | 0.31 |
ERBB4 | -0.0005526 | 10651 | GTEx | DepMap | Descartes | 0.02 | 0.16 |
LAMA4 | -0.0005764 | 10775 | GTEx | DepMap | Descartes | 0.05 | 0.42 |
LAMB1 | -0.0006577 | 11096 | GTEx | DepMap | Descartes | 1.28 | 17.66 |
COL5A2 | -0.0006768 | 11169 | GTEx | DepMap | Descartes | 0.02 | 0.17 |
Descartes Megakaryocytes markers
Top 50 marker genes of Megakaryocytes cells in the Decartes fetal adrenal single cell map (https://atlas.brotmanbaty.org/bbi/human-gene-expression-during-development/cell/megakaryocytes/in/adrenal)
Wilcoxon ranksum test P-value for gene set overrepresentation: 1.00e+00
Mean rank of genes in gene set: 8616.09
Median rank of genes in gene set: 10035
Rank on gene expression program of top 30 genes in gene set:
Genes | Weight | Rank | GTEx | DepMap | Descartes | Mean.Counts | Mean.TPM |
---|---|---|---|---|---|---|---|
HIPK2 | 0.0024057 | 322 | GTEx | DepMap | Descartes | 2.33 | 12.80 |
ACTB | 0.0014355 | 810 | GTEx | DepMap | Descartes | 45.84 | 1651.04 |
TMSB4X | 0.0011654 | 1073 | GTEx | DepMap | Descartes | 37.85 | 1864.05 |
MED12L | 0.0003415 | 3035 | GTEx | DepMap | Descartes | 0.16 | 1.36 |
PLEK | 0.0001398 | 4097 | GTEx | DepMap | Descartes | 0.00 | 0.01 |
LIMS1 | 0.0001103 | 4297 | GTEx | DepMap | Descartes | 2.11 | 38.82 |
GP1BA | 0.0000646 | 4572 | GTEx | DepMap | Descartes | 0.01 | 0.32 |
DOK6 | -0.0000018 | 5111 | GTEx | DepMap | Descartes | 0.31 | 2.85 |
ITGA2B | -0.0000033 | 5122 | GTEx | DepMap | Descartes | 0.02 | 0.49 |
SLC24A3 | -0.0000266 | 5356 | GTEx | DepMap | Descartes | 0.01 | 0.32 |
MMRN1 | -0.0000559 | 5792 | GTEx | DepMap | Descartes | 0.00 | 0.00 |
CD84 | -0.0000953 | 6453 | GTEx | DepMap | Descartes | 0.00 | 0.00 |
P2RX1 | -0.0000995 | 6517 | GTEx | DepMap | Descartes | 0.00 | 0.00 |
TUBB1 | -0.0001255 | 6936 | GTEx | DepMap | Descartes | 0.00 | 0.07 |
STON2 | -0.0001327 | 7035 | GTEx | DepMap | Descartes | 0.12 | 2.22 |
SPN | -0.0001974 | 7864 | GTEx | DepMap | Descartes | 0.00 | 0.06 |
TRPC6 | -0.0002088 | 7985 | GTEx | DepMap | Descartes | 0.00 | 0.01 |
ITGB3 | -0.0002950 | 8854 | GTEx | DepMap | Descartes | 0.00 | 0.02 |
MCTP1 | -0.0003417 | 9269 | GTEx | DepMap | Descartes | 0.02 | 0.20 |
PSTPIP2 | -0.0003980 | 9715 | GTEx | DepMap | Descartes | 0.05 | 1.16 |
ARHGAP6 | -0.0004059 | 9779 | GTEx | DepMap | Descartes | 0.06 | 0.64 |
FLNA | -0.0004290 | 9929 | GTEx | DepMap | Descartes | 2.09 | 19.15 |
STOM | -0.0004444 | 10035 | GTEx | DepMap | Descartes | 0.25 | 6.79 |
FLI1 | -0.0004486 | 10060 | GTEx | DepMap | Descartes | 0.00 | 0.02 |
TGFB1 | -0.0004665 | 10165 | GTEx | DepMap | Descartes | 0.58 | 15.85 |
PRKAR2B | -0.0004670 | 10169 | GTEx | DepMap | Descartes | 1.03 | 22.41 |
UBASH3B | -0.0005046 | 10382 | GTEx | DepMap | Descartes | 0.02 | 0.11 |
FERMT3 | -0.0005081 | 10410 | GTEx | DepMap | Descartes | 0.01 | 0.32 |
INPP4B | -0.0005691 | 10733 | GTEx | DepMap | Descartes | 0.00 | 0.01 |
TPM4 | -0.0005926 | 10848 | GTEx | DepMap | Descartes | 4.94 | 83.32 |
Descartes Lyphoid markers
Top 50 marker genes of Lyphoid cells in the Decartes fetal adrenal single cell map (https://atlas.brotmanbaty.org/bbi/human-gene-expression-during-development/cell/lymphoid/in/adrenal)
Wilcoxon ranksum test P-value for gene set overrepresentation: 1.00e+00
Mean rank of genes in gene set: 9119.26
Median rank of genes in gene set: 10223.5
Rank on gene expression program of top 30 genes in gene set:
Genes | Weight | Rank | GTEx | DepMap | Descartes | Mean.Counts | Mean.TPM |
---|---|---|---|---|---|---|---|
CCND3 | 0.0018729 | 519 | GTEx | DepMap | Descartes | 0.84 | 30.55 |
EVL | 0.0006068 | 2099 | GTEx | DepMap | Descartes | 2.46 | 53.75 |
FYN | 0.0004847 | 2515 | GTEx | DepMap | Descartes | 1.37 | 31.91 |
RAP1GAP2 | 0.0002065 | 3700 | GTEx | DepMap | Descartes | 0.33 | 4.13 |
PITPNC1 | 0.0000973 | 4380 | GTEx | DepMap | Descartes | 0.48 | 6.37 |
CCL5 | -0.0000102 | 5183 | GTEx | DepMap | Descartes | 0.00 | 0.22 |
SKAP1 | -0.0000817 | 6207 | GTEx | DepMap | Descartes | 0.00 | 0.07 |
SAMD3 | -0.0001007 | 6541 | GTEx | DepMap | Descartes | 0.00 | 0.06 |
ARHGAP15 | -0.0001088 | 6670 | GTEx | DepMap | Descartes | 0.00 | 0.00 |
PRKCH | -0.0001112 | 6705 | GTEx | DepMap | Descartes | 0.03 | 0.74 |
RCSD1 | -0.0001384 | 7100 | GTEx | DepMap | Descartes | 0.00 | 0.01 |
SCML4 | -0.0001660 | 7470 | GTEx | DepMap | Descartes | 0.00 | 0.01 |
IKZF1 | -0.0001767 | 7623 | GTEx | DepMap | Descartes | 0.01 | 0.07 |
TMSB10 | -0.0002034 | 7922 | GTEx | DepMap | Descartes | 59.45 | 10563.00 |
MCTP2 | -0.0002632 | 8526 | GTEx | DepMap | Descartes | 0.01 | 0.05 |
LCP1 | -0.0002748 | 8638 | GTEx | DepMap | Descartes | 0.03 | 0.54 |
BACH2 | -0.0003052 | 8949 | GTEx | DepMap | Descartes | 0.06 | 0.46 |
CELF2 | -0.0003196 | 9072 | GTEx | DepMap | Descartes | 0.16 | 1.73 |
WIPF1 | -0.0003742 | 9523 | GTEx | DepMap | Descartes | 0.39 | 6.52 |
PDE3B | -0.0004151 | 9839 | GTEx | DepMap | Descartes | 0.22 | 2.90 |
MBNL1 | -0.0004528 | 10084 | GTEx | DepMap | Descartes | 0.91 | 11.44 |
NCALD | -0.0005012 | 10363 | GTEx | DepMap | Descartes | 0.16 | 3.24 |
PLEKHA2 | -0.0005480 | 10622 | GTEx | DepMap | Descartes | 0.07 | 0.89 |
ITPKB | -0.0005891 | 10837 | GTEx | DepMap | Descartes | 0.13 | 1.41 |
STK39 | -0.0005909 | 10843 | GTEx | DepMap | Descartes | 0.44 | 10.80 |
SORL1 | -0.0006073 | 10908 | GTEx | DepMap | Descartes | 0.08 | 0.48 |
DOCK10 | -0.0006139 | 10930 | GTEx | DepMap | Descartes | 0.09 | 0.80 |
FOXP1 | -0.0006457 | 11045 | GTEx | DepMap | Descartes | 1.07 | 9.31 |
ARHGDIB | -0.0006794 | 11177 | GTEx | DepMap | Descartes | 0.18 | 8.08 |
PTPRC | -0.0007464 | 11374 | GTEx | DepMap | Descartes | 0.00 | 0.05 |
Below shows the ranks on this GEP for immune marker gene lists curated by CellTypist (https://www.celltypist.org/encyclopedia).
High ranks indicate this gene is a driver of this GEP.
These curated gene list are ranked by P-value (on this GEP) of their constituent genes.
The Mean Count column shows the mean read count in cells scoring highly (H > 50) on this gene expression program.
Genes | Weight | Rank | GTEx | DepMap | Decartes | Mean.Counts | Mean.TPM |
---|---|---|---|---|---|---|---|
IKZF4 | 0.0007643 | 1707 | GTEx | DepMap | Descartes | 0.37 | 5.98 |
CD27 | 0.0004789 | 2539 | GTEx | DepMap | Descartes | 0.03 | 1.94 |
CCR7 | 0.0003318 | 3077 | GTEx | DepMap | Descartes | 0.00 | 0.05 |
HSC/MPP: Megakaryocyte-erythroid-mast cell progenitor (model markers)
shared progenitors in the fetal liver which originate from common myeloid progenitors and differentiate into megakaryocytes:
Wilcoxon ranksum test P-value for gene set overrepresentation: 4.46e-02
Mean rank of genes in gene set: 119
Rank on gene expression program of genes in gene set:
Genes | Weight | Rank | GTEx | DepMap | Decartes | Mean.Counts | Mean.TPM |
---|---|---|---|---|---|---|---|
CKB | 0.0035048 | 119 | GTEx | DepMap | Descartes | 17.56 | 1044.95 |
T cells: CD8a/b(entry) (curated markers)
T lymphocytes with CD8 alpha/beta heterodimers in the late double-positive (entry) stage during T cell development:
Wilcoxon ranksum test P-value for gene set overrepresentation: 5.59e-02
Mean rank of genes in gene set: 515
Rank on gene expression program of genes in gene set:
Genes | Weight | Rank | GTEx | DepMap | Decartes | Mean.Counts | Mean.TPM |
---|---|---|---|---|---|---|---|
SATB1 | 0.0018752 | 515 | GTEx | DepMap | Descartes | 3.1 | 33.47 |