QQ-plot of gene loadings, averaged over both independent splits of the data
This plot highlights the relative contribution of each gene to the GEP
Top genes driving this program. Note: Decartes website is buggy, try refreshing. Also, Decartes fetal adrenal data have been collected at specific time points (89-122 days), all possible cell types of interest may not be represented, do not overinterpret. The Mean Count column shows the mean read count in cells scoring highly (H > 50) on this gene expression program (currently only calculated for the cells in the first 50/50 split of the data).
Note: Decartes website is buggy, try refreshing. Also, Decartes fetal adrenal data have been collected at specific time points (89-122 days), all possible cell types of interest may not be represented, do not overinterpret.
The Mean Count column shows the mean read count in cells scoring highly (H > 50) on this gene expression program.
Gene | Loading | Gene.Name | GTEx | DepMap | Descartes | Mean.Counts | Mean.Tpm | |
---|---|---|---|---|---|---|---|---|
1 | DBH | 0.0071452 | dopamine beta-hydroxylase | GTEx | DepMap | Descartes | 7.82 | 330.97 |
2 | ELAVL3 | 0.0068603 | ELAV like RNA binding protein 3 | GTEx | DepMap | Descartes | 16.51 | 400.31 |
3 | ONECUT2 | 0.0061201 | one cut homeobox 2 | GTEx | DepMap | Descartes | 4.84 | 33.96 |
4 | XIST | 0.0060422 | X inactive specific transcript | GTEx | DepMap | Descartes | 18.71 | 108.90 |
5 | HAND1 | 0.0059995 | heart and neural crest derivatives expressed 1 | GTEx | DepMap | Descartes | 7.31 | 558.85 |
6 | DLK1 | 0.0059350 | delta like non-canonical Notch ligand 1 | GTEx | DepMap | Descartes | 12.89 | 368.74 |
7 | ICA1 | 0.0059123 | islet cell autoantigen 1 | GTEx | DepMap | Descartes | 4.54 | 207.02 |
8 | PEG3 | 0.0056845 | paternally expressed 3 | GTEx | DepMap | Descartes | 16.51 | NA |
9 | CYB561 | 0.0056614 | cytochrome b561 | GTEx | DepMap | Descartes | 6.47 | 237.81 |
10 | UBB | 0.0054984 | ubiquitin B | GTEx | DepMap | Descartes | 59.49 | 7082.88 |
11 | USP22 | 0.0053071 | ubiquitin specific peptidase 22 | GTEx | DepMap | Descartes | 15.70 | 358.80 |
12 | TANC2 | 0.0051649 | tetratricopeptide repeat, ankyrin repeat and coiled-coil containing 2 | GTEx | DepMap | Descartes | 7.19 | 72.55 |
13 | GNAS | 0.0051483 | GNAS complex locus | GTEx | DepMap | Descartes | 126.01 | 3825.14 |
14 | FKBP4 | 0.0049896 | FKBP prolyl isomerase 4 | GTEx | DepMap | Descartes | 15.64 | 552.94 |
15 | DDC | 0.0048330 | dopa decarboxylase | GTEx | DepMap | Descartes | 2.51 | 147.77 |
16 | KIF5C | 0.0048158 | kinesin family member 5C | GTEx | DepMap | Descartes | 9.84 | 160.46 |
17 | KPNB1 | 0.0046405 | karyopherin subunit beta 1 | GTEx | DepMap | Descartes | 19.15 | 378.60 |
18 | NEFH | 0.0045782 | neurofilament heavy chain | GTEx | DepMap | Descartes | 2.44 | 74.32 |
19 | C1QL1 | 0.0045623 | complement C1q like 1 | GTEx | DepMap | Descartes | 3.92 | 330.12 |
20 | MAOA | 0.0045311 | monoamine oxidase A | GTEx | DepMap | Descartes | 5.37 | 114.42 |
21 | ATAD5 | 0.0044781 | ATPase family AAA domain containing 5 | GTEx | DepMap | Descartes | 3.01 | 45.86 |
22 | CBX4 | 0.0044677 | chromobox 4 | GTEx | DepMap | Descartes | 14.73 | 720.49 |
23 | FSCN1 | 0.0044664 | fascin actin-bundling protein 1 | GTEx | DepMap | Descartes | 11.35 | 477.15 |
24 | NPY | 0.0044637 | neuropeptide Y | GTEx | DepMap | Descartes | 26.19 | 4759.74 |
25 | DYNLL2 | 0.0044130 | dynein light chain LC8-type 2 | GTEx | DepMap | Descartes | 12.26 | 220.04 |
26 | SLC18A1 | 0.0043768 | solute carrier family 18 member A1 | GTEx | DepMap | Descartes | 1.36 | 60.70 |
27 | CDC6 | 0.0043359 | cell division cycle 6 | GTEx | DepMap | Descartes | 1.76 | 41.10 |
28 | CNTNAP2 | 0.0042351 | contactin associated protein 2 | GTEx | DepMap | Descartes | 5.02 | 63.09 |
29 | NOS1AP | 0.0042020 | nitric oxide synthase 1 adaptor protein | GTEx | DepMap | Descartes | 1.87 | 38.62 |
30 | SCN3B | 0.0041584 | sodium voltage-gated channel beta subunit 3 | GTEx | DepMap | Descartes | 3.55 | 65.15 |
31 | TFAP2B | 0.0041098 | transcription factor AP-2 beta | GTEx | DepMap | Descartes | 1.65 | 34.26 |
32 | ELFN1 | 0.0040428 | extracellular leucine rich repeat and fibronectin type III domain containing 1 | GTEx | DepMap | Descartes | 1.44 | 46.64 |
33 | TOP2A | 0.0040336 | DNA topoisomerase II alpha | GTEx | DepMap | Descartes | 6.50 | 120.72 |
34 | ZFAND2A | 0.0040158 | zinc finger AN1-type containing 2A | GTEx | DepMap | Descartes | 6.24 | 743.54 |
35 | KIF1A | 0.0040103 | kinesin family member 1A | GTEx | DepMap | Descartes | 5.62 | 66.46 |
36 | KIF18B | 0.0039695 | kinesin family member 18B | GTEx | DepMap | Descartes | 0.89 | 22.57 |
37 | HRK | 0.0039687 | harakiri, BCL2 interacting protein | GTEx | DepMap | Descartes | 2.43 | 50.33 |
38 | SOX11 | 0.0039093 | SRY-box transcription factor 11 | GTEx | DepMap | Descartes | 9.73 | 119.78 |
39 | GLCCI1 | 0.0038882 | glucocorticoid induced 1 | GTEx | DepMap | Descartes | 8.16 | 216.66 |
40 | JUN | 0.0038881 | Jun proto-oncogene, AP-1 transcription factor subunit | GTEx | DepMap | Descartes | 33.85 | 1425.84 |
41 | TSEN34 | 0.0038711 | tRNA splicing endonuclease subunit 34 | GTEx | DepMap | Descartes | 3.60 | 179.43 |
42 | INA | 0.0037997 | internexin neuronal intermediate filament protein alpha | GTEx | DepMap | Descartes | 8.32 | 308.64 |
43 | SLC6A2 | 0.0037563 | solute carrier family 6 member 2 | GTEx | DepMap | Descartes | 1.88 | 58.33 |
44 | CHGB | 0.0037538 | chromogranin B | GTEx | DepMap | Descartes | 16.41 | 803.03 |
45 | TMEM132C | 0.0037443 | transmembrane protein 132C | GTEx | DepMap | Descartes | 1.09 | 24.93 |
46 | CADPS | 0.0037391 | calcium dependent secretion activator | GTEx | DepMap | Descartes | 4.29 | 91.82 |
47 | CAMTA1 | 0.0037234 | calmodulin binding transcription activator 1 | GTEx | DepMap | Descartes | 9.49 | 137.45 |
48 | DYNLL1 | 0.0036863 | dynein light chain LC8-type 1 | GTEx | DepMap | Descartes | 23.41 | 2251.60 |
49 | KLHL13 | 0.0036198 | kelch like family member 13 | GTEx | DepMap | Descartes | 1.90 | 43.35 |
50 | CNTN1 | 0.0035665 | contactin 1 | GTEx | DepMap | Descartes | 5.33 | 115.25 |
UMAP plots showing activity of gene expression program identified in community:9. Neuroblastoma: Adrenergic #1
CNV Data procured from inferCNV.
Outer tracks are putative CNV regions (gains = red, losses = blue) for each patient
Inner track is expression data representing:
The top cells expressing this GEP (purple)
Random cells (n =50) from the reference set used in inferCNV (orange)
Gene set Enrichments for this program, caculated from top 50 genes
mSigDB Cell Types Gene Set:
P-value | OR | Lower 95% CI | FDR | FWER | Genes Found | Gene Set Size | |
---|---|---|---|---|---|---|---|
DESCARTES_MAIN_FETAL_SYMPATHOBLASTS | 2.87e-06 | 26.68 | 7.95 | 3.21e-04 | 1.92e-03 | 5DBH, CYB561, C1QL1, SLC18A1, CHGB |
57 |
HU_FETAL_RETINA_HORIZONTAL | 1.81e-05 | 30.14 | 7.49 | 1.35e-03 | 1.22e-02 | 4ONECUT2, CNTNAP2, TFAP2B, INA |
40 |
DURANTE_ADULT_OLFACTORY_NEUROEPITHELIUM_IMMATURE_NEURONS | 6.17e-08 | 18.17 | 7.22 | 4.14e-05 | 4.14e-05 | 8ELAVL3, KIF5C, CBX4, KIF1A, HRK, SOX11, INA, CADPS |
139 |
DESCARTES_FETAL_HEART_VISCERAL_NEURONS | 1.12e-06 | 21.03 | 7.12 | 2.31e-04 | 7.48e-04 | 6DBH, DDC, NEFH, SLC18A1, SLC6A2, CHGB |
87 |
BUSSLINGER_DUODENAL_EC_CELLS | 2.46e-04 | 28.45 | 5.35 | 9.19e-03 | 1.65e-01 | 3DDC, CHGB, CADPS |
31 |
TRAVAGLINI_LUNG_NEUROENDOCRINE_CELL | 1.04e-05 | 13.97 | 4.77 | 8.73e-04 | 6.98e-03 | 6DDC, KIF5C, NOS1AP, KIF1A, INA, CHGB |
128 |
DESCARTES_FETAL_STOMACH_ENS_NEURONS | 2.04e-04 | 15.52 | 3.95 | 8.57e-03 | 1.37e-01 | 4ELAVL3, NPY, CNTNAP2, INA |
74 |
DESCARTES_FETAL_INTESTINE_ENS_NEURONS | 3.64e-05 | 11.06 | 3.80 | 2.22e-03 | 2.45e-02 | 6DBH, ELAVL3, CNTNAP2, INA, SLC6A2, CNTN1 |
160 |
MANNO_MIDBRAIN_NEUROTYPES_HDA | 3.19e-07 | 8.00 | 3.78 | 1.07e-04 | 2.14e-04 | 12ELAVL3, XIST, DLK1, DDC, KIF5C, C1QL1, SLC18A1, SCN3B, SOX11, INA, CADPS, CNTN1 |
506 |
DESCARTES_FETAL_PANCREAS_ENS_NEURONS | 4.04e-05 | 10.85 | 3.73 | 2.26e-03 | 2.71e-02 | 6DBH, ELAVL3, NEFH, NPY, CNTNAP2, INA |
163 |
DESCARTES_FETAL_ADRENAL_CHROMAFFIN_CELLS | 1.02e-04 | 12.18 | 3.70 | 4.55e-03 | 6.82e-02 | 5ONECUT2, HAND1, NPY, SLC6A2, TMEM132C |
119 |
MANNO_MIDBRAIN_NEUROTYPES_HDA1 | 1.37e-06 | 6.90 | 3.27 | 2.31e-04 | 9.23e-04 | 12ELAVL3, DLK1, PEG3, DDC, KIF5C, SLC18A1, SCN3B, SOX11, INA, CADPS, KLHL13, CNTN1 |
584 |
MANNO_MIDBRAIN_NEUROTYPES_HDA2 | 2.86e-06 | 7.03 | 3.23 | 3.21e-04 | 1.92e-03 | 11DLK1, DDC, C1QL1, SLC18A1, CNTNAP2, SCN3B, SOX11, INA, CADPS, KLHL13, CNTN1 |
513 |
DESCARTES_FETAL_SPLEEN_STROMAL_CELLS | 1.26e-03 | 15.63 | 3.02 | 3.53e-02 | 8.48e-01 | 3CNTNAP2, CADPS, KLHL13 |
54 |
MANNO_MIDBRAIN_NEUROTYPES_HNBML1 | 3.44e-05 | 7.44 | 2.99 | 2.22e-03 | 2.31e-02 | 8ELAVL3, ONECUT2, XIST, KIF5C, C1QL1, SOX11, INA, CADPS |
328 |
BUSSLINGER_GASTRIC_G_CELLS | 5.94e-04 | 11.56 | 2.96 | 1.90e-02 | 3.99e-01 | 4DDC, KIF1A, CHGB, CADPS |
98 |
MANNO_MIDBRAIN_NEUROTYPES_HSERT | 4.67e-05 | 6.22 | 2.64 | 2.41e-03 | 3.13e-02 | 9ICA1, PEG3, DDC, KIF5C, MAOA, SCN3B, INA, CHGB, CNTN1 |
450 |
MANNO_MIDBRAIN_NEUROTYPES_HNBML5 | 5.97e-05 | 6.02 | 2.56 | 2.86e-03 | 4.01e-02 | 9ELAVL3, PEG3, KIF5C, FSCN1, CNTNAP2, SCN3B, SOX11, INA, CADPS |
465 |
MANNO_MIDBRAIN_NEUROTYPES_HGABA | 5.73e-06 | 4.92 | 2.49 | 5.49e-04 | 3.84e-03 | 15ELAVL3, XIST, PEG3, TANC2, KIF5C, CBX4, CNTNAP2, SCN3B, KIF1A, SOX11, INA, CADPS, CAMTA1, KLHL13, CNTN1 |
1105 |
ZHONG_PFC_C1_NEUROD1_POS_EXCITATORY_NEURON | 4.74e-03 | 21.66 | 2.42 | 1.03e-01 | 1.00e+00 | 2CNTNAP2, CADPS |
26 |
Dowload full table
mSigDB Hallmark Gene Sets:
P-value | OR | Lower 95% CI | FDR | FWER | Genes Found | Gene Set Size | |
---|---|---|---|---|---|---|---|
HALLMARK_APOPTOSIS | 2.53e-02 | 5.05 | 0.99 | 5.44e-01 | 1.00e+00 | 3NEFH, TOP2A, JUN |
161 |
HALLMARK_MITOTIC_SPINDLE | 4.30e-02 | 4.07 | 0.80 | 5.44e-01 | 1.00e+00 | 3FSCN1, DYNLL2, TOP2A |
199 |
HALLMARK_G2M_CHECKPOINT | 4.35e-02 | 4.05 | 0.80 | 5.44e-01 | 1.00e+00 | 3KPNB1, CDC6, TOP2A |
200 |
HALLMARK_ESTROGEN_RESPONSE_LATE | 4.35e-02 | 4.05 | 0.80 | 5.44e-01 | 1.00e+00 | 3FKBP4, CDC6, TOP2A |
200 |
HALLMARK_PROTEIN_SECRETION | 5.52e-02 | 5.54 | 0.64 | 5.52e-01 | 1.00e+00 | 2ICA1, GNAS |
96 |
HALLMARK_FATTY_ACID_METABOLISM | 1.28e-01 | 3.34 | 0.39 | 8.40e-01 | 1.00e+00 | 2XIST, MAOA |
158 |
HALLMARK_UV_RESPONSE_UP | 1.28e-01 | 3.34 | 0.39 | 8.40e-01 | 1.00e+00 | 2FKBP4, MAOA |
158 |
HALLMARK_APICAL_JUNCTION | 1.85e-01 | 2.63 | 0.31 | 8.40e-01 | 1.00e+00 | 2FSCN1, CNTN1 |
200 |
HALLMARK_E2F_TARGETS | 1.85e-01 | 2.63 | 0.31 | 8.40e-01 | 1.00e+00 | 2TOP2A, KIF18B |
200 |
HALLMARK_XENOBIOTIC_METABOLISM | 1.85e-01 | 2.63 | 0.31 | 8.40e-01 | 1.00e+00 | 2DDC, MAOA |
200 |
HALLMARK_KRAS_SIGNALING_UP | 1.85e-01 | 2.63 | 0.31 | 8.40e-01 | 1.00e+00 | 2PEG3, KIF5C |
200 |
HALLMARK_IL6_JAK_STAT3_SIGNALING | 2.93e-01 | 2.97 | 0.07 | 1.00e+00 | 1.00e+00 | 1JUN |
87 |
HALLMARK_PEROXISOME | 3.39e-01 | 2.48 | 0.06 | 1.00e+00 | 1.00e+00 | 1TOP2A |
104 |
HALLMARK_SPERMATOGENESIS | 4.15e-01 | 1.90 | 0.05 | 1.00e+00 | 1.00e+00 | 1NEFH |
135 |
HALLMARK_UV_RESPONSE_DN | 4.35e-01 | 1.78 | 0.04 | 1.00e+00 | 1.00e+00 | 1ICA1 |
144 |
HALLMARK_IL2_STAT5_SIGNALING | 5.45e-01 | 1.29 | 0.03 | 1.00e+00 | 1.00e+00 | 1CDC6 |
199 |
HALLMARK_TNFA_SIGNALING_VIA_NFKB | 5.47e-01 | 1.28 | 0.03 | 1.00e+00 | 1.00e+00 | 1JUN |
200 |
HALLMARK_HYPOXIA | 5.47e-01 | 1.28 | 0.03 | 1.00e+00 | 1.00e+00 | 1JUN |
200 |
HALLMARK_ESTROGEN_RESPONSE_EARLY | 5.47e-01 | 1.28 | 0.03 | 1.00e+00 | 1.00e+00 | 1FKBP4 |
200 |
HALLMARK_MYC_TARGETS_V1 | 5.47e-01 | 1.28 | 0.03 | 1.00e+00 | 1.00e+00 | 1KPNB1 |
200 |
Dowload full table
KEGG Pathways:
P-value | OR | Lower 95% CI | FDR | FWER | Genes Found | Gene Set Size | |
---|---|---|---|---|---|---|---|
KEGG_TYROSINE_METABOLISM | 6.07e-04 | 20.43 | 3.90 | 6.47e-02 | 1.13e-01 | 3DBH, DDC, MAOA |
42 |
KEGG_VASOPRESSIN_REGULATED_WATER_REABSORPTION | 6.96e-04 | 19.44 | 3.72 | 6.47e-02 | 1.29e-01 | 3GNAS, DYNLL2, DYNLL1 |
44 |
KEGG_PHENYLALANINE_METABOLISM | 2.28e-03 | 32.49 | 3.53 | 1.41e-01 | 4.24e-01 | 2DDC, MAOA |
18 |
KEGG_HISTIDINE_METABOLISM | 5.87e-03 | 19.27 | 2.16 | 2.73e-01 | 1.00e+00 | 2DDC, MAOA |
29 |
KEGG_TRYPTOPHAN_METABOLISM | 1.10e-02 | 13.70 | 1.56 | 4.07e-01 | 1.00e+00 | 2DDC, MAOA |
40 |
KEGG_GNRH_SIGNALING_PATHWAY | 6.04e-02 | 5.26 | 0.61 | 1.00e+00 | 1.00e+00 | 2GNAS, JUN |
101 |
KEGG_PARKINSONS_DISEASE | 9.30e-02 | 4.07 | 0.47 | 1.00e+00 | 1.00e+00 | 2UBB, SLC18A1 |
130 |
KEGG_CELL_ADHESION_MOLECULES_CAMS | 9.66e-02 | 3.98 | 0.46 | 1.00e+00 | 1.00e+00 | 2CNTNAP2, CNTN1 |
133 |
KEGG_GLYCINE_SERINE_AND_THREONINE_METABOLISM | 1.16e-01 | 8.50 | 0.20 | 1.00e+00 | 1.00e+00 | 1MAOA |
31 |
KEGG_TYPE_I_DIABETES_MELLITUS | 1.57e-01 | 6.07 | 0.15 | 1.00e+00 | 1.00e+00 | 1ICA1 |
43 |
KEGG_TASTE_TRANSDUCTION | 1.87e-01 | 5.00 | 0.12 | 1.00e+00 | 1.00e+00 | 1GNAS |
52 |
KEGG_AMYOTROPHIC_LATERAL_SCLEROSIS_ALS | 1.90e-01 | 4.91 | 0.12 | 1.00e+00 | 1.00e+00 | 1NEFH |
53 |
KEGG_ARGININE_AND_PROLINE_METABOLISM | 1.94e-01 | 4.81 | 0.12 | 1.00e+00 | 1.00e+00 | 1MAOA |
54 |
KEGG_VIBRIO_CHOLERAE_INFECTION | 1.94e-01 | 4.81 | 0.12 | 1.00e+00 | 1.00e+00 | 1GNAS |
54 |
KEGG_COLORECTAL_CANCER | 2.19e-01 | 4.18 | 0.10 | 1.00e+00 | 1.00e+00 | 1JUN |
62 |
KEGG_ADIPOCYTOKINE_SIGNALING_PATHWAY | 2.34e-01 | 3.86 | 0.09 | 1.00e+00 | 1.00e+00 | 1NPY |
67 |
KEGG_EPITHELIAL_CELL_SIGNALING_IN_HELICOBACTER_PYLORI_INFECTION | 2.37e-01 | 3.81 | 0.09 | 1.00e+00 | 1.00e+00 | 1JUN |
68 |
KEGG_LONG_TERM_DEPRESSION | 2.43e-01 | 3.70 | 0.09 | 1.00e+00 | 1.00e+00 | 1GNAS |
70 |
KEGG_RENAL_CELL_CARCINOMA | 2.43e-01 | 3.70 | 0.09 | 1.00e+00 | 1.00e+00 | 1JUN |
70 |
KEGG_DRUG_METABOLISM_CYTOCHROME_P450 | 2.49e-01 | 3.59 | 0.09 | 1.00e+00 | 1.00e+00 | 1MAOA |
72 |
Dowload full table
CHR Positional Gene Sets:
P-value | OR | Lower 95% CI | FDR | FWER | Genes Found | Gene Set Size | |
---|---|---|---|---|---|---|---|
chr7p22 | 1.20e-02 | 6.76 | 1.33 | 1.00e+00 | 1.00e+00 | 3FSCN1, ELFN1, ZFAND2A |
121 |
chr17q21 | 3.04e-02 | 3.07 | 0.95 | 1.00e+00 | 1.00e+00 | 5KPNB1, C1QL1, CDC6, TOP2A, KIF18B |
457 |
chr7p21 | 4.26e-02 | 6.43 | 0.74 | 1.00e+00 | 1.00e+00 | 2ICA1, GLCCI1 |
83 |
chr17q23 | 7.22e-02 | 4.73 | 0.55 | 1.00e+00 | 1.00e+00 | 2CYB561, TANC2 |
112 |
chr12q24 | 1.91e-01 | 2.06 | 0.41 | 1.00e+00 | 1.00e+00 | 3HRK, TMEM132C, DYNLL1 |
390 |
chr17p11 | 1.83e-01 | 2.64 | 0.31 | 1.00e+00 | 1.00e+00 | 2UBB, USP22 |
199 |
chr2q23 | 1.84e-01 | 5.10 | 0.12 | 1.00e+00 | 1.00e+00 | 1KIF5C |
51 |
chr12q12 | 2.06e-01 | 4.47 | 0.11 | 1.00e+00 | 1.00e+00 | 1CNTN1 |
58 |
chr7p12 | 2.06e-01 | 4.47 | 0.11 | 1.00e+00 | 1.00e+00 | 1DDC |
58 |
chr7q35 | 2.28e-01 | 3.99 | 0.10 | 1.00e+00 | 1.00e+00 | 1CNTNAP2 |
65 |
chrXq24 | 2.73e-01 | 3.23 | 0.08 | 1.00e+00 | 1.00e+00 | 1KLHL13 |
80 |
chr17q22 | 2.90e-01 | 3.00 | 0.07 | 1.00e+00 | 1.00e+00 | 1DYNLL2 |
86 |
chr16q12 | 3.17e-01 | 2.68 | 0.07 | 1.00e+00 | 1.00e+00 | 1SLC6A2 |
96 |
chr7p15 | 3.17e-01 | 2.68 | 0.07 | 1.00e+00 | 1.00e+00 | 1NPY |
96 |
chr20p12 | 3.39e-01 | 2.48 | 0.06 | 1.00e+00 | 1.00e+00 | 1CHGB |
104 |
chr5q33 | 3.52e-01 | 2.36 | 0.06 | 1.00e+00 | 1.00e+00 | 1HAND1 |
109 |
chr2p25 | 3.72e-01 | 2.20 | 0.05 | 1.00e+00 | 1.00e+00 | 1SOX11 |
117 |
chr19q13 | 4.39e-01 | 0.45 | 0.05 | 1.00e+00 | 1.00e+00 | 2PEG3, TSEN34 |
1165 |
chr3p14 | 3.84e-01 | 2.11 | 0.05 | 1.00e+00 | 1.00e+00 | 1CADPS |
122 |
chr8p21 | 3.99e-01 | 2.01 | 0.05 | 1.00e+00 | 1.00e+00 | 1SLC18A1 |
128 |
Dowload full table
Transcription Factor Targets:
P-value | OR | Lower 95% CI | FDR | FWER | Genes Found | Gene Set Size | |
---|---|---|---|---|---|---|---|
CAGNWMCNNNGAC_UNKNOWN | 2.42e-05 | 16.72 | 5.05 | 2.74e-02 | 2.74e-02 | 5ELAVL3, NEFH, SCN3B, INA, CHGB |
88 |
NRSF_01 | 5.72e-04 | 11.68 | 2.99 | 3.24e-01 | 6.48e-01 | 4ELAVL3, NEFH, SCN3B, INA |
97 |
AHR_01 | 2.15e-03 | 12.86 | 2.49 | 8.13e-01 | 1.00e+00 | 3ELAVL3, KPNB1, DYNLL1 |
65 |
PPARGC1A_TARGET_GENES | 7.18e-03 | 8.22 | 1.61 | 1.00e+00 | 1.00e+00 | 3UBB, FKBP4, ZFAND2A |
100 |
TFIII_Q6 | 8.66e-03 | 5.35 | 1.39 | 1.00e+00 | 1.00e+00 | 4ELAVL3, GNAS, KPNB1, CBX4 |
207 |
E2F1DP1RB_01 | 1.29e-02 | 4.75 | 1.23 | 1.00e+00 | 1.00e+00 | 4PEG3, KPNB1, ATAD5, CDC6 |
233 |
SOX9_B1 | 1.38e-02 | 4.65 | 1.20 | 1.00e+00 | 1.00e+00 | 4TFAP2B, TOP2A, CADPS, KLHL13 |
238 |
SREBP1_Q6 | 1.56e-02 | 4.47 | 1.16 | 1.00e+00 | 1.00e+00 | 4DLK1, GNAS, KPNB1, TFAP2B |
247 |
ATF3_Q6 | 1.69e-02 | 4.37 | 1.13 | 1.00e+00 | 1.00e+00 | 4ICA1, SCN3B, JUN, CHGB |
253 |
CEBP_Q3 | 1.73e-02 | 4.33 | 1.12 | 1.00e+00 | 1.00e+00 | 4ONECUT2, MAOA, CBX4, JUN |
255 |
CEBPA_01 | 1.75e-02 | 4.31 | 1.12 | 1.00e+00 | 1.00e+00 | 4ONECUT2, MAOA, CBX4, SOX11 |
256 |
CREBP1_Q2 | 1.84e-02 | 4.25 | 1.10 | 1.00e+00 | 1.00e+00 | 4ICA1, PEG3, GNAS, CHGB |
260 |
WHN_B | 1.86e-02 | 4.23 | 1.10 | 1.00e+00 | 1.00e+00 | 4ELAVL3, ICA1, JUN, KLHL13 |
261 |
TGAYRTCA_ATF3_Q6 | 1.75e-02 | 3.14 | 1.09 | 1.00e+00 | 1.00e+00 | 6HAND1, PEG3, MAOA, SCN3B, JUN, CHGB |
549 |
CEBPB_02 | 1.98e-02 | 4.15 | 1.08 | 1.00e+00 | 1.00e+00 | 4DBH, ONECUT2, C1QL1, CBX4 |
266 |
YTAAYNGCT_UNKNOWN | 2.26e-02 | 5.28 | 1.04 | 1.00e+00 | 1.00e+00 | 3ONECUT2, HRK, INA |
154 |
YRCCAKNNGNCGC_UNKNOWN | 2.81e-02 | 8.14 | 0.94 | 1.00e+00 | 1.00e+00 | 2GNAS, DYNLL1 |
66 |
NCX_01 | 3.17e-02 | 4.61 | 0.91 | 1.00e+00 | 1.00e+00 | 3PEG3, GNAS, DYNLL1 |
176 |
TATAAA_TATA_01 | 5.05e-02 | 2.10 | 0.89 | 1.00e+00 | 1.00e+00 | 9ELAVL3, PEG3, NEFH, NOS1AP, SCN3B, TFAP2B, TOP2A, KLHL13, CNTN1 |
1317 |
MIF1_01 | 3.64e-02 | 4.36 | 0.86 | 1.00e+00 | 1.00e+00 | 3UBB, CBX4, DYNLL1 |
186 |
Dowload full table
GO Biological Processes:
P-value | OR | Lower 95% CI | FDR | FWER | Genes Found | Gene Set Size | |
---|---|---|---|---|---|---|---|
GOBP_POSTSYNAPTIC_CYTOSKELETON_ORGANIZATION | 1.65e-05 | 79.36 | 13.63 | 6.17e-02 | 1.23e-01 | 3NEFH, NOS1AP, INA |
13 |
GOBP_DOPAMINE_CATABOLIC_PROCESS | 4.28e-04 | 86.37 | 8.33 | 3.07e-01 | 1.00e+00 | 2DBH, MAOA |
8 |
GOBP_NEUROFILAMENT_CYTOSKELETON_ORGANIZATION | 4.28e-04 | 86.37 | 8.33 | 3.07e-01 | 1.00e+00 | 2NEFH, INA |
8 |
GOBP_NEUROTRANSMITTER_LOADING_INTO_SYNAPTIC_VESICLE | 4.28e-04 | 86.37 | 8.33 | 3.07e-01 | 1.00e+00 | 2DDC, SLC18A1 |
8 |
GOBP_CARDIAC_VENTRICLE_FORMATION | 5.49e-04 | 74.10 | 7.33 | 3.43e-01 | 1.00e+00 | 2HAND1, SOX11 |
9 |
GOBP_CATECHOL_CONTAINING_COMPOUND_CATABOLIC_PROCESS | 6.85e-04 | 64.86 | 6.55 | 3.66e-01 | 1.00e+00 | 2DBH, MAOA |
10 |
GOBP_DENSE_CORE_GRANULE_TRANSPORT | 6.85e-04 | 64.86 | 6.55 | 3.66e-01 | 1.00e+00 | 2TANC2, KIF1A |
10 |
GOBP_POSTSYNAPTIC_ACTIN_CYTOSKELETON_ORGANIZATION | 8.35e-04 | 57.69 | 5.91 | 3.74e-01 | 1.00e+00 | 2NOS1AP, INA |
11 |
GOBP_REGULATION_OF_MICROTUBULE_MOTOR_ACTIVITY | 8.35e-04 | 57.69 | 5.91 | 3.74e-01 | 1.00e+00 | 2DYNLL2, DYNLL1 |
11 |
GOBP_CARDIAC_CHAMBER_FORMATION | 9.99e-04 | 51.89 | 5.39 | 3.74e-01 | 1.00e+00 | 2HAND1, SOX11 |
12 |
GOBP_SECRETORY_GRANULE_LOCALIZATION | 9.99e-04 | 51.89 | 5.39 | 3.74e-01 | 1.00e+00 | 2TANC2, KIF1A |
12 |
GOBP_PERIPHERAL_NERVOUS_SYSTEM_NEURON_DIFFERENTIATION | 9.99e-04 | 51.89 | 5.39 | 3.74e-01 | 1.00e+00 | 2ONECUT2, NEFH |
12 |
GOBP_PHENOL_CONTAINING_COMPOUND_CATABOLIC_PROCESS | 1.18e-03 | 47.19 | 4.96 | 3.83e-01 | 1.00e+00 | 2DBH, MAOA |
13 |
GOBP_DOPAMINE_METABOLIC_PROCESS | 4.51e-04 | 22.75 | 4.33 | 3.07e-01 | 1.00e+00 | 3DBH, DDC, MAOA |
38 |
GOBP_PROTEIN_TRANSPORT_ALONG_MICROTUBULE | 1.47e-04 | 16.96 | 4.31 | 1.84e-01 | 1.00e+00 | 4KIF5C, DYNLL2, KIF1A, DYNLL1 |
68 |
GOBP_CYTOSKELETON_DEPENDENT_INTRACELLULAR_TRANSPORT | 1.01e-05 | 10.82 | 4.05 | 6.17e-02 | 7.55e-02 | 7UBB, TANC2, KIF5C, NEFH, DYNLL2, KIF1A, DYNLL1 |
195 |
GOBP_TRANSPORT_ALONG_MICROTUBULE | 3.17e-05 | 11.36 | 3.90 | 7.89e-02 | 2.37e-01 | 6UBB, KIF5C, NEFH, DYNLL2, KIF1A, DYNLL1 |
156 |
GOBP_MICROTUBULE_BASED_TRANSPORT | 8.84e-05 | 9.36 | 3.22 | 1.32e-01 | 6.62e-01 | 6UBB, KIF5C, NEFH, DYNLL2, KIF1A, DYNLL1 |
188 |
GOBP_CATECHOL_CONTAINING_COMPOUND_BIOSYNTHETIC_PROCESS | 2.81e-03 | 28.89 | 3.17 | 6.58e-01 | 1.00e+00 | 2DBH, DDC |
20 |
GOBP_NEGATIVE_REGULATION_OF_TRANSCRIPTION_REGULATORY_REGION_DNA_BINDING | 2.81e-03 | 28.89 | 3.17 | 6.58e-01 | 1.00e+00 | 2HAND1, SOX11 |
20 |
Dowload full table
Immunological Gene Sets:
P-value | OR | Lower 95% CI | FDR | FWER | Genes Found | Gene Set Size | |
---|---|---|---|---|---|---|---|
GSE3920_UNTREATED_VS_IFNG_TREATED_FIBROBLAST_UP | 4.04e-03 | 6.71 | 1.73 | 1.00e+00 | 1.00e+00 | 4ONECUT2, CYB561, KPNB1, NEFH |
166 |
GSE6269_HEALTHY_VS_E_COLI_INF_PBMC_DN | 4.67e-03 | 6.43 | 1.66 | 1.00e+00 | 1.00e+00 | 4DBH, HAND1, DDC, SLC6A2 |
173 |
GSE36476_CTRL_VS_TSST_ACT_72H_MEMORY_CD4_TCELL_OLD_UP | 7.32e-03 | 5.63 | 1.46 | 1.00e+00 | 1.00e+00 | 4DLK1, CYB561, NOS1AP, JUN |
197 |
GSE22886_TH1_VS_TH2_48H_ACT_UP | 7.45e-03 | 5.60 | 1.45 | 1.00e+00 | 1.00e+00 | 4PEG3, MAOA, NPY, JUN |
198 |
GSE32423_CTRL_VS_IL7_MEMORY_CD8_TCELL_DN | 7.45e-03 | 5.60 | 1.45 | 1.00e+00 | 1.00e+00 | 4CYB561, GNAS, DDC, DYNLL2 |
198 |
GSE3982_CENT_MEMORY_CD4_TCELL_VS_NKCELL_UP | 7.45e-03 | 5.60 | 1.45 | 1.00e+00 | 1.00e+00 | 4ICA1, UBB, KIF5C, CAMTA1 |
198 |
GSE41176_UNSTIM_VS_ANTI_IGM_STIM_BCELL_24H_UP | 7.45e-03 | 5.60 | 1.45 | 1.00e+00 | 1.00e+00 | 4DBH, KIF5C, GLCCI1, CNTN1 |
198 |
GSE10325_CD4_TCELL_VS_LUPUS_CD4_TCELL_DN | 7.58e-03 | 5.57 | 1.44 | 1.00e+00 | 1.00e+00 | 4ICA1, UBB, DDC, KIF18B |
199 |
GSE29618_PRE_VS_DAY7_POST_LAIV_FLU_VACCINE_BCELL_DN | 7.58e-03 | 5.57 | 1.44 | 1.00e+00 | 1.00e+00 | 4KIF5C, ATAD5, JUN, CAMTA1 |
199 |
GSE2405_S_AUREUS_VS_UNTREATED_NEUTROPHIL_DN | 7.58e-03 | 5.57 | 1.44 | 1.00e+00 | 1.00e+00 | 4ATAD5, TOP2A, KIF18B, GLCCI1 |
199 |
GSE8621_UNSTIM_VS_LPS_PRIMED_AND_LPS_STIM_MACROPHAGE_UP | 7.58e-03 | 5.57 | 1.44 | 1.00e+00 | 1.00e+00 | 4ICA1, MAOA, KIF18B, JUN |
199 |
GSE26156_DOUBLE_POSITIVE_VS_CD4_SINGLE_POSITIVE_THYMOCYTE_DN | 7.58e-03 | 5.57 | 1.44 | 1.00e+00 | 1.00e+00 | 4NEFH, FSCN1, CDC6, DYNLL1 |
199 |
GSE34179_THPOK_KO_VS_WT_VA14I_NKTCELL_DN | 7.58e-03 | 5.57 | 1.44 | 1.00e+00 | 1.00e+00 | 4DDC, ATAD5, FSCN1, TOP2A |
199 |
GSE15750_DAY6_VS_DAY10_EFF_CD8_TCELL_UP | 7.71e-03 | 5.55 | 1.44 | 1.00e+00 | 1.00e+00 | 4ATAD5, CDC6, TOP2A, KIF18B |
200 |
GSE17721_CTRL_VS_CPG_1H_BMDC_DN | 7.71e-03 | 5.55 | 1.44 | 1.00e+00 | 1.00e+00 | 4DBH, NEFH, CBX4, SLC6A2 |
200 |
GSE24142_EARLY_THYMIC_PROGENITOR_VS_DN2_THYMOCYTE_ADULT_DN | 7.71e-03 | 5.55 | 1.44 | 1.00e+00 | 1.00e+00 | 4ELAVL3, DDC, NEFH, GLCCI1 |
200 |
GSE24634_TEFF_VS_TCONV_DAY3_IN_CULTURE_UP | 7.71e-03 | 5.55 | 1.44 | 1.00e+00 | 1.00e+00 | 4KIF5C, KPNB1, MAOA, TOP2A |
200 |
GSE27786_NKTCELL_VS_ERYTHROBLAST_DN | 7.71e-03 | 5.55 | 1.44 | 1.00e+00 | 1.00e+00 | 4HAND1, FSCN1, NPY, TMEM132C |
200 |
GSE10240_CTRL_VS_IL17_AND_IL22_STIM_PRIMARY_BRONCHIAL_EPITHELIAL_CELLS_UP | 7.71e-03 | 5.55 | 1.44 | 1.00e+00 | 1.00e+00 | 4XIST, DDC, MAOA, JUN |
200 |
GSE10273_HIGH_IL7_VS_HIGH_IL7_AND_IRF4_IN_IRF4_8_NULL_PRE_BCELL_DN | 7.71e-03 | 5.55 | 1.44 | 1.00e+00 | 1.00e+00 | 4HAND1, DDC, SCN3B, JUN |
200 |
Top Ranked Transcription Factors for this Gene Expression Program:
Gene Symbol | TF Rank | DNA Binding Domain | Motif Status | IUPAC PWM | GTEx | DepMap | Decartes |
---|---|---|---|---|---|---|---|
ONECUT2 | 3 | Yes | Known motif | Monomer or homomultimer | High-throughput in vitro | None | None |
HAND1 | 5 | Yes | Known motif | Obligate heteromer | In vivo/Misc source | Only known motifs are from Transfac or HocoMoco - origin is uncertain | Obligate heteromer (PMID: 10611232). |
PEG3 | 8 | Yes | Likely to be sequence specific TF | Monomer or homomultimer | No motif | None | SCAN C2H2 ZF Protein. |
UBB | 10 | No | Unlikely to be sequence specific TF | Not a DNA binding protein | No motif | None | None |
CDC6 | 27 | No | Unlikely to be sequence specific TF | Not a DNA binding protein | No motif | None | None |
TFAP2B | 31 | Yes | Known motif | Monomer or homomultimer | High-throughput in vitro | None | None |
TOP2A | 33 | No | Unlikely to be sequence specific TF | Low specificity DNA-binding protein | No motif | None | DNA topoisomerase. Binds DNA in the crystal structure (PDB: 4FM9). |
SOX11 | 38 | Yes | Known motif | Monomer or homomultimer | 100 perc ID - in vitro | None | None |
JUN | 40 | Yes | Known motif | Monomer or homomultimer | High-throughput in vitro | None | None |
CAMTA1 | 47 | Yes | Likely to be sequence specific TF | Monomer or homomultimer | No motif | None | Binds CGCATTGCG based on EMSA performed in (PMID: 25049392) |
INSM2 | 51 | Yes | Likely to be sequence specific TF | Monomer or homomultimer | No motif | None | None |
HAND2 | 52 | Yes | Known motif | Monomer or homomultimer | High-throughput in vitro | None | None |
GATA2 | 59 | Yes | Known motif | Monomer or homomultimer | High-throughput in vitro | None | None |
PHOX2A | 71 | Yes | Known motif | Monomer or homomultimer | High-throughput in vitro | None | None |
FOXN4 | 88 | Yes | Known motif | Monomer or homomultimer | In vivo/Misc source | Only known motifs are from Transfac or HocoMoco - origin is uncertain | None |
CBX2 | 89 | Yes | Likely to be sequence specific TF | Monomer or homomultimer | No motif | None | None |
GATA3 | 94 | Yes | Known motif | Monomer or homomultimer | High-throughput in vitro | None | None |
TRIM29 | 96 | No | Unlikely to be sequence specific TF | Not a DNA binding protein | No motif | None | Previous evidence for TF activity (PMID: 8188213) is based on sequence analysis and does not provide DNA-binding evidence. Based on EntrezGene information, its likely a transcriptional co-factor |
BRCA1 | 113 | No | Unlikely to be sequence specific TF | Low specificity DNA-binding protein | In vivo/Misc source | None | BRCA1 likely binds to DNA without DNA sequence specificity (PMID: 11353843) |
TRIM28 | 122 | No | Unlikely to be sequence specific TF | Not a DNA binding protein | No motif | Only known motifs are from Transfac or HocoMoco - origin is uncertain | This protein a well-known co-repressor and is recruited to DNA by KRAB-domain containing TFs. Transfac motifs are likely from interacting proteins |
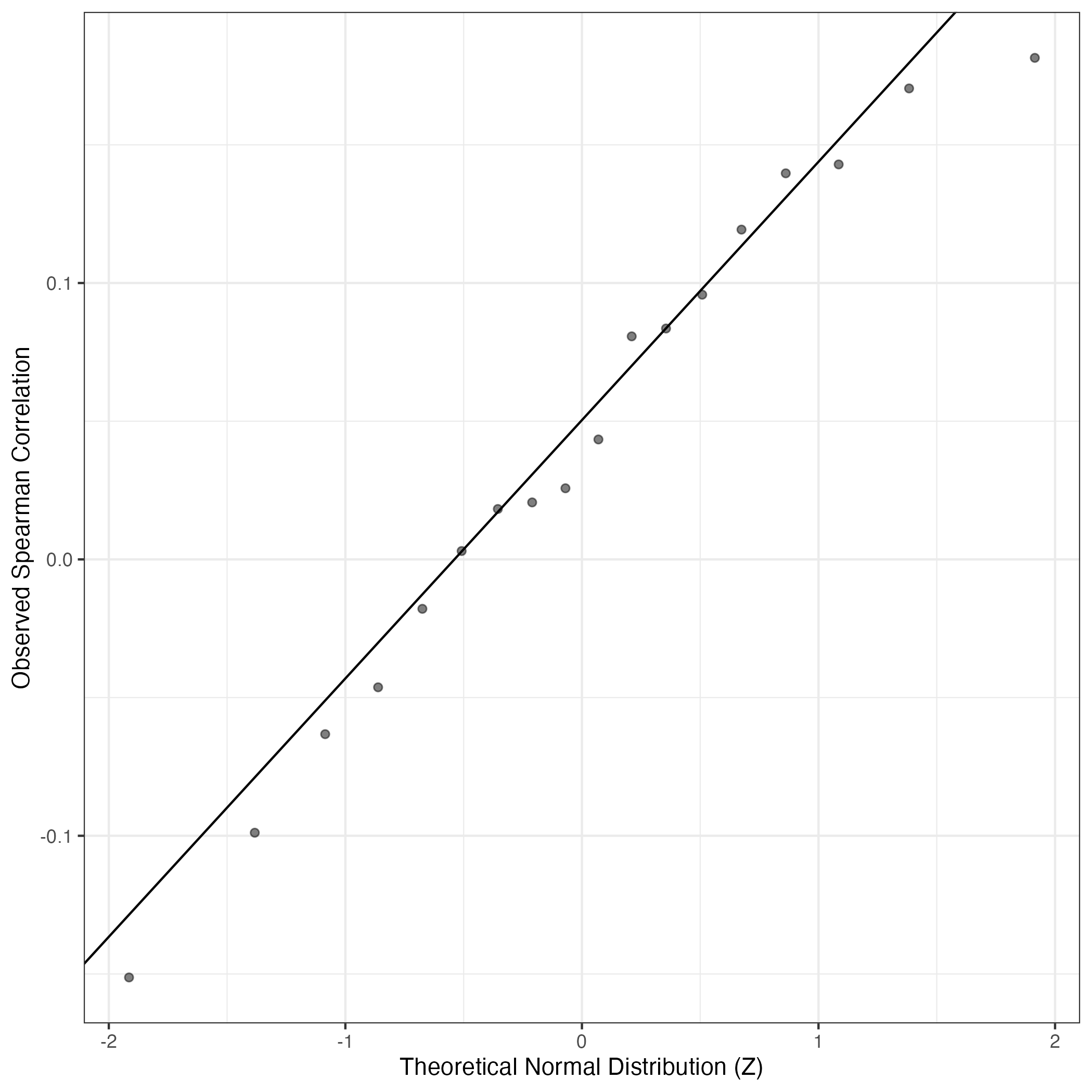
QQ Plot showing correlations with other GEPs in this dataset, calculated by Spearman correlation:
Interactive QQ-plot of gene loadings:
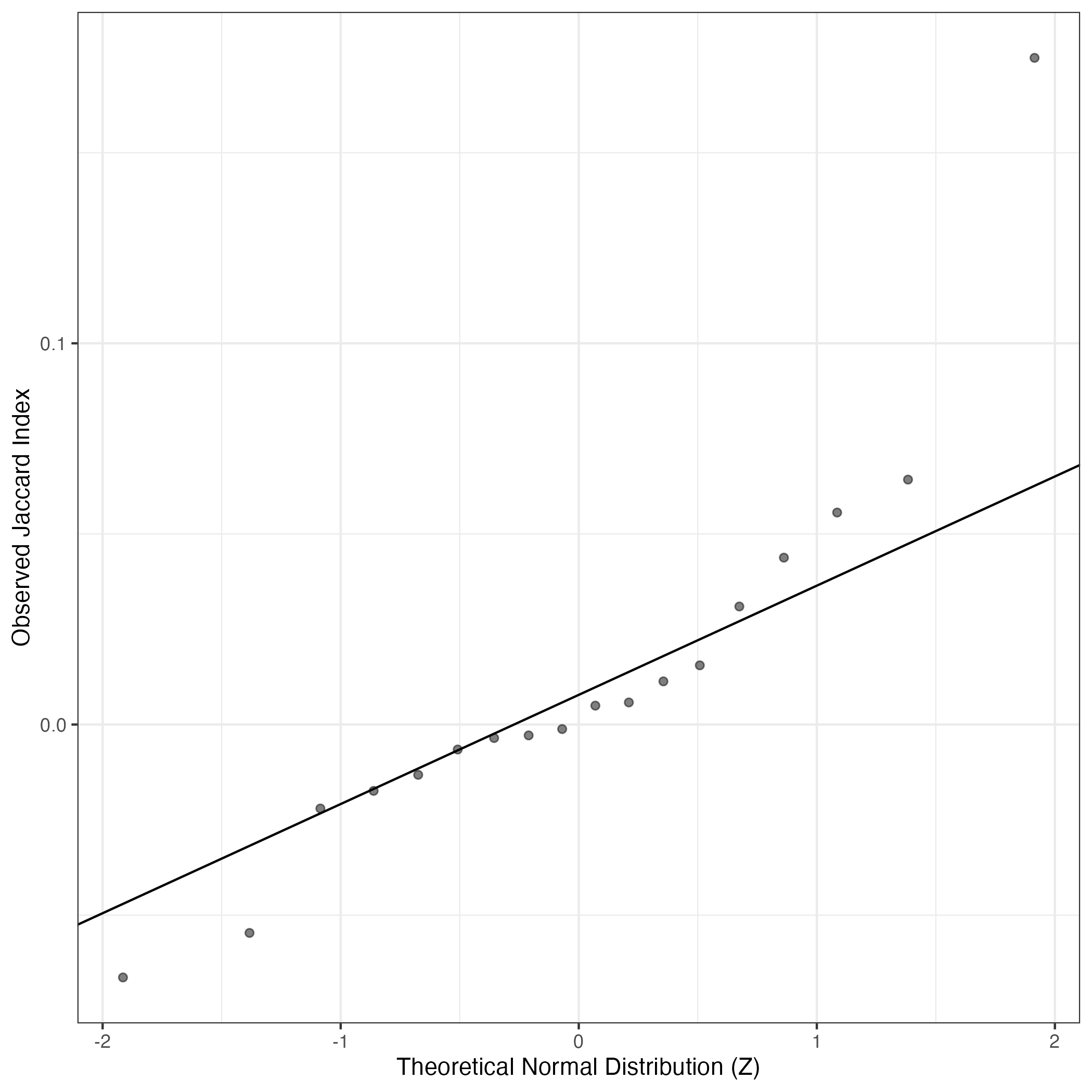
A similar QQ-plot as above, but only for instances where the H value is e.g. > 25, i.e. we are confident that the expression program is active above noise. Agreemenet between these binary vectors is tested using the Jaccard Index, with the P-values calculated by an exact test:
Interactive QQ-plot:
Singler cell type annotations for the top 50 cells on this program.
Cell ID | Singler label | Singler Delta | Activity Score | Top Singler Raw Scores |
---|---|---|---|---|
TM230-L21 | Neurons:adrenal_medulla_cell_line | 0.27 | 1632.46 | Raw ScoresNeurons:adrenal_medulla_cell_line: 0.59, Neuroepithelial_cell:ESC-derived: 0.51, Astrocyte:Embryonic_stem_cell-derived: 0.5, iPS_cells:PDB_1lox-21Puro-20: 0.49, iPS_cells:PDB_1lox-21Puro-26: 0.49, iPS_cells:PDB_1lox-17Puro-5: 0.49, iPS_cells:PDB_1lox-17Puro-10: 0.48, Neurons:ES_cell-derived_neural_precursor: 0.48, iPS_cells:PDB_2lox-22: 0.48, iPS_cells:PDB_2lox-21: 0.48 |
TM230-D9 | Neurons:adrenal_medulla_cell_line | 0.26 | 1424.82 | Raw ScoresNeurons:adrenal_medulla_cell_line: 0.57, Neuroepithelial_cell:ESC-derived: 0.49, Astrocyte:Embryonic_stem_cell-derived: 0.48, Neurons:ES_cell-derived_neural_precursor: 0.46, iPS_cells:PDB_1lox-21Puro-20: 0.46, iPS_cells:PDB_1lox-21Puro-26: 0.46, iPS_cells:CRL2097_foreskin-derived:undiff.: 0.46, iPS_cells:PDB_2lox-5: 0.46, iPS_cells:PDB_1lox-17Puro-10: 0.46, iPS_cells:PDB_2lox-22: 0.46 |
TM230-E4 | Neurons:adrenal_medulla_cell_line | 0.23 | 1359.44 | Raw ScoresNeurons:adrenal_medulla_cell_line: 0.51, Neuroepithelial_cell:ESC-derived: 0.45, Astrocyte:Embryonic_stem_cell-derived: 0.44, iPS_cells:CRL2097_foreskin-derived:undiff.: 0.43, Neurons:ES_cell-derived_neural_precursor: 0.43, iPS_cells:PDB_2lox-5: 0.42, iPS_cells:PDB_1lox-21Puro-20: 0.42, iPS_cells:PDB_1lox-21Puro-26: 0.42, iPS_cells:PDB_1lox-17Puro-5: 0.42, iPS_cells:PDB_2lox-21: 0.42 |
KK001-E11 | Neurons:adrenal_medulla_cell_line | 0.28 | 858.45 | Raw ScoresNeurons:adrenal_medulla_cell_line: 0.59, Neuroepithelial_cell:ESC-derived: 0.54, Neurons:ES_cell-derived_neural_precursor: 0.51, Astrocyte:Embryonic_stem_cell-derived: 0.51, iPS_cells:PDB_1lox-21Puro-20: 0.49, Embryonic_stem_cells: 0.49, iPS_cells:PDB_1lox-17Puro-10: 0.49, iPS_cells:PDB_1lox-21Puro-26: 0.49, iPS_cells:CRL2097_foreskin-derived:undiff.: 0.49, iPS_cells:PDB_2lox-22: 0.49 |
TM230-N13 | Neurons:adrenal_medulla_cell_line | 0.29 | 722.95 | Raw ScoresNeurons:adrenal_medulla_cell_line: 0.59, Neuroepithelial_cell:ESC-derived: 0.52, iPS_cells:PDB_1lox-21Puro-20: 0.49, iPS_cells:PDB_1lox-21Puro-26: 0.49, Neurons:ES_cell-derived_neural_precursor: 0.49, iPS_cells:PDB_1lox-17Puro-10: 0.49, Astrocyte:Embryonic_stem_cell-derived: 0.49, iPS_cells:PDB_1lox-17Puro-5: 0.49, iPS_cells:PDB_2lox-22: 0.48, iPS_cells:PDB_2lox-5: 0.48 |
KK001-B3 | Neurons:adrenal_medulla_cell_line | 0.25 | 667.18 | Raw ScoresNeurons:adrenal_medulla_cell_line: 0.53, Neuroepithelial_cell:ESC-derived: 0.47, Astrocyte:Embryonic_stem_cell-derived: 0.45, Neurons:ES_cell-derived_neural_precursor: 0.44, Embryonic_stem_cells: 0.42, iPS_cells:CRL2097_foreskin-derived:undiff.: 0.42, iPS_cells:PDB_1lox-21Puro-20: 0.42, iPS_cells:PDB_1lox-17Puro-10: 0.42, iPS_cells:PDB_1lox-21Puro-26: 0.42, iPS_cells:PDB_2lox-5: 0.42 |
TM230-E9 | Neurons:adrenal_medulla_cell_line | 0.26 | 651.61 | Raw ScoresNeurons:adrenal_medulla_cell_line: 0.59, Neuroepithelial_cell:ESC-derived: 0.52, iPS_cells:PDB_1lox-21Puro-20: 0.5, iPS_cells:PDB_1lox-21Puro-26: 0.5, iPS_cells:PDB_1lox-17Puro-10: 0.49, iPS_cells:PDB_1lox-17Puro-5: 0.49, iPS_cells:PDB_2lox-22: 0.49, Astrocyte:Embryonic_stem_cell-derived: 0.49, iPS_cells:PDB_2lox-21: 0.49, iPS_cells:PDB_2lox-5: 0.49 |
TM230-I10 | Neurons:adrenal_medulla_cell_line | 0.22 | 646.45 | Raw ScoresNeurons:adrenal_medulla_cell_line: 0.48, Neuroepithelial_cell:ESC-derived: 0.4, Astrocyte:Embryonic_stem_cell-derived: 0.39, iPS_cells:PDB_1lox-21Puro-20: 0.37, iPS_cells:CRL2097_foreskin-derived:undiff.: 0.37, Neurons:ES_cell-derived_neural_precursor: 0.37, iPS_cells:PDB_1lox-21Puro-26: 0.36, iPS_cells:PDB_1lox-17Puro-5: 0.36, iPS_cells:PDB_1lox-17Puro-10: 0.36, iPS_cells:PDB_2lox-21: 0.36 |
TM230-K4 | Neurons:adrenal_medulla_cell_line | 0.29 | 643.12 | Raw ScoresNeurons:adrenal_medulla_cell_line: 0.58, Neuroepithelial_cell:ESC-derived: 0.51, Astrocyte:Embryonic_stem_cell-derived: 0.49, iPS_cells:PDB_1lox-21Puro-20: 0.48, iPS_cells:PDB_1lox-21Puro-26: 0.48, Neurons:ES_cell-derived_neural_precursor: 0.48, iPS_cells:PDB_1lox-17Puro-5: 0.48, iPS_cells:PDB_1lox-17Puro-10: 0.48, iPS_cells:PDB_2lox-22: 0.47, iPS_cells:PDB_2lox-21: 0.47 |
KK001-A9 | Neurons:adrenal_medulla_cell_line | 0.27 | 599.61 | Raw ScoresNeurons:adrenal_medulla_cell_line: 0.56, Neuroepithelial_cell:ESC-derived: 0.5, Astrocyte:Embryonic_stem_cell-derived: 0.48, Neurons:ES_cell-derived_neural_precursor: 0.47, iPS_cells:PDB_1lox-21Puro-20: 0.46, iPS_cells:PDB_1lox-21Puro-26: 0.46, Embryonic_stem_cells: 0.46, iPS_cells:PDB_1lox-17Puro-10: 0.46, iPS_cells:CRL2097_foreskin-derived:undiff.: 0.45, iPS_cells:PDB_1lox-17Puro-5: 0.45 |
KK002-C14 | Neurons:adrenal_medulla_cell_line | 0.27 | 585.53 | Raw ScoresNeurons:adrenal_medulla_cell_line: 0.56, Neuroepithelial_cell:ESC-derived: 0.49, Astrocyte:Embryonic_stem_cell-derived: 0.47, iPS_cells:PDB_1lox-21Puro-20: 0.46, iPS_cells:PDB_1lox-17Puro-10: 0.46, iPS_cells:PDB_1lox-17Puro-5: 0.46, iPS_cells:PDB_1lox-21Puro-26: 0.46, Neurons:ES_cell-derived_neural_precursor: 0.45, Embryonic_stem_cells: 0.45, iPS_cells:CRL2097_foreskin-derived:undiff.: 0.45 |
TM230-N22 | Neurons:adrenal_medulla_cell_line | 0.26 | 545.56 | Raw ScoresNeurons:adrenal_medulla_cell_line: 0.55, Neuroepithelial_cell:ESC-derived: 0.48, Astrocyte:Embryonic_stem_cell-derived: 0.47, Neurons:ES_cell-derived_neural_precursor: 0.45, iPS_cells:PDB_1lox-21Puro-20: 0.45, iPS_cells:PDB_1lox-21Puro-26: 0.45, iPS_cells:PDB_2lox-5: 0.44, iPS_cells:CRL2097_foreskin-derived:undiff.: 0.44, iPS_cells:PDB_1lox-17Puro-10: 0.44, iPS_cells:PDB_2lox-21: 0.44 |
KK001-B22 | Neurons:adrenal_medulla_cell_line | 0.26 | 544.23 | Raw ScoresNeurons:adrenal_medulla_cell_line: 0.54, Neuroepithelial_cell:ESC-derived: 0.47, Astrocyte:Embryonic_stem_cell-derived: 0.45, Neurons:ES_cell-derived_neural_precursor: 0.44, iPS_cells:PDB_1lox-21Puro-20: 0.43, Embryonic_stem_cells: 0.43, iPS_cells:PDB_1lox-21Puro-26: 0.43, iPS_cells:PDB_1lox-17Puro-10: 0.43, iPS_cells:PDB_2lox-21: 0.43, iPS_cells:CRL2097_foreskin-derived:undiff.: 0.43 |
TM230-J17 | Neurons:adrenal_medulla_cell_line | 0.27 | 522.51 | Raw ScoresNeurons:adrenal_medulla_cell_line: 0.57, Neuroepithelial_cell:ESC-derived: 0.5, Astrocyte:Embryonic_stem_cell-derived: 0.48, Neurons:ES_cell-derived_neural_precursor: 0.46, iPS_cells:PDB_1lox-21Puro-20: 0.46, iPS_cells:PDB_1lox-21Puro-26: 0.46, iPS_cells:PDB_1lox-17Puro-10: 0.46, iPS_cells:PDB_1lox-17Puro-5: 0.46, iPS_cells:PDB_2lox-22: 0.45, iPS_cells:CRL2097_foreskin-derived:undiff.: 0.45 |
TM230-I8 | Neurons:adrenal_medulla_cell_line | 0.24 | 508.47 | Raw ScoresNeurons:adrenal_medulla_cell_line: 0.52, Neuroepithelial_cell:ESC-derived: 0.44, Astrocyte:Embryonic_stem_cell-derived: 0.43, iPS_cells:CRL2097_foreskin-derived:undiff.: 0.41, iPS_cells:PDB_2lox-5: 0.41, Neurons:ES_cell-derived_neural_precursor: 0.41, iPS_cells:PDB_1lox-21Puro-20: 0.41, iPS_cells:PDB_1lox-17Puro-10: 0.4, iPS_cells:PDB_1lox-17Puro-5: 0.4, iPS_cells:PDB_2lox-22: 0.4 |
TM230-M8 | Neurons:adrenal_medulla_cell_line | 0.27 | 506.55 | Raw ScoresNeurons:adrenal_medulla_cell_line: 0.56, Neuroepithelial_cell:ESC-derived: 0.48, Astrocyte:Embryonic_stem_cell-derived: 0.45, iPS_cells:PDB_1lox-21Puro-20: 0.45, Neurons:ES_cell-derived_neural_precursor: 0.45, iPS_cells:PDB_1lox-21Puro-26: 0.45, iPS_cells:PDB_1lox-17Puro-10: 0.45, iPS_cells:PDB_1lox-17Puro-5: 0.45, iPS_cells:PDB_2lox-22: 0.44, iPS_cells:PDB_2lox-21: 0.44 |
TM231-A15 | Neurons:adrenal_medulla_cell_line | 0.23 | 506.30 | Raw ScoresNeurons:adrenal_medulla_cell_line: 0.49, Neuroepithelial_cell:ESC-derived: 0.43, Astrocyte:Embryonic_stem_cell-derived: 0.41, iPS_cells:CRL2097_foreskin-derived:undiff.: 0.41, Neurons:ES_cell-derived_neural_precursor: 0.4, iPS_cells:PDB_1lox-21Puro-20: 0.4, iPS_cells:PDB_2lox-5: 0.4, iPS_cells:PDB_1lox-21Puro-26: 0.4, iPS_cells:PDB_1lox-17Puro-5: 0.4, iPS_cells:PDB_1lox-17Puro-10: 0.4 |
TM230-L3 | Neurons:adrenal_medulla_cell_line | 0.25 | 468.41 | Raw ScoresNeuroepithelial_cell:ESC-derived: 0.57, Neurons:adrenal_medulla_cell_line: 0.57, Neurons:Schwann_cell: 0.54, Astrocyte:Embryonic_stem_cell-derived: 0.54, Neurons:ES_cell-derived_neural_precursor: 0.53, Embryonic_stem_cells: 0.53, iPS_cells:CRL2097_foreskin-derived:undiff.: 0.51, MSC: 0.51, iPS_cells:PDB_1lox-17Puro-10: 0.51, iPS_cells:PDB_1lox-21Puro-20: 0.51 |
TM230-I13 | Neurons:adrenal_medulla_cell_line | 0.29 | 455.50 | Raw ScoresNeurons:adrenal_medulla_cell_line: 0.56, Neuroepithelial_cell:ESC-derived: 0.5, Astrocyte:Embryonic_stem_cell-derived: 0.47, Neurons:ES_cell-derived_neural_precursor: 0.46, iPS_cells:PDB_1lox-21Puro-20: 0.45, iPS_cells:PDB_1lox-17Puro-10: 0.45, iPS_cells:PDB_1lox-21Puro-26: 0.45, iPS_cells:PDB_1lox-17Puro-5: 0.45, iPS_cells:PDB_2lox-22: 0.44, iPS_cells:PDB_2lox-21: 0.44 |
TM230-K13 | Neurons:adrenal_medulla_cell_line | 0.28 | 450.56 | Raw ScoresNeurons:adrenal_medulla_cell_line: 0.54, Neuroepithelial_cell:ESC-derived: 0.47, Astrocyte:Embryonic_stem_cell-derived: 0.44, iPS_cells:PDB_1lox-21Puro-20: 0.44, Neurons:ES_cell-derived_neural_precursor: 0.44, iPS_cells:PDB_1lox-21Puro-26: 0.44, iPS_cells:PDB_1lox-17Puro-10: 0.43, iPS_cells:PDB_2lox-22: 0.43, iPS_cells:PDB_1lox-17Puro-5: 0.43, iPS_cells:PDB_2lox-21: 0.43 |
TM231-P1 | Neurons:adrenal_medulla_cell_line | 0.26 | 445.29 | Raw ScoresNeurons:adrenal_medulla_cell_line: 0.56, Neuroepithelial_cell:ESC-derived: 0.49, Neurons:ES_cell-derived_neural_precursor: 0.46, iPS_cells:PDB_1lox-21Puro-20: 0.45, Astrocyte:Embryonic_stem_cell-derived: 0.45, iPS_cells:PDB_1lox-21Puro-26: 0.45, iPS_cells:PDB_1lox-17Puro-10: 0.45, iPS_cells:PDB_1lox-17Puro-5: 0.45, iPS_cells:CRL2097_foreskin-derived:undiff.: 0.45, iPS_cells:PDB_2lox-22: 0.45 |
TM231-H13 | Neurons:adrenal_medulla_cell_line | 0.27 | 444.53 | Raw ScoresNeurons:adrenal_medulla_cell_line: 0.55, Neuroepithelial_cell:ESC-derived: 0.49, Astrocyte:Embryonic_stem_cell-derived: 0.47, Neurons:ES_cell-derived_neural_precursor: 0.46, iPS_cells:PDB_1lox-21Puro-20: 0.45, iPS_cells:PDB_1lox-21Puro-26: 0.45, iPS_cells:PDB_1lox-17Puro-10: 0.45, iPS_cells:PDB_1lox-17Puro-5: 0.44, iPS_cells:PDB_2lox-22: 0.44, Embryonic_stem_cells: 0.44 |
TM230-F19 | Neurons:adrenal_medulla_cell_line | 0.25 | 437.96 | Raw ScoresNeurons:adrenal_medulla_cell_line: 0.49, Neuroepithelial_cell:ESC-derived: 0.4, Astrocyte:Embryonic_stem_cell-derived: 0.39, Neurons:ES_cell-derived_neural_precursor: 0.37, iPS_cells:PDB_1lox-21Puro-20: 0.37, iPS_cells:PDB_1lox-21Puro-26: 0.37, iPS_cells:PDB_2lox-5: 0.37, iPS_cells:PDB_1lox-17Puro-10: 0.37, iPS_cells:PDB_2lox-22: 0.36, iPS_cells:PDB_2lox-21: 0.36 |
TM230-P8 | Neurons:adrenal_medulla_cell_line | 0.28 | 415.14 | Raw ScoresNeurons:adrenal_medulla_cell_line: 0.57, Neuroepithelial_cell:ESC-derived: 0.49, Astrocyte:Embryonic_stem_cell-derived: 0.46, iPS_cells:PDB_1lox-21Puro-20: 0.46, iPS_cells:PDB_1lox-21Puro-26: 0.46, iPS_cells:PDB_1lox-17Puro-10: 0.46, Neurons:ES_cell-derived_neural_precursor: 0.46, iPS_cells:PDB_1lox-17Puro-5: 0.46, iPS_cells:CRL2097_foreskin-derived:undiff.: 0.45, iPS_cells:PDB_2lox-22: 0.45 |
TM231-H14 | Neurons:adrenal_medulla_cell_line | 0.24 | 399.69 | Raw ScoresNeurons:adrenal_medulla_cell_line: 0.5, Neuroepithelial_cell:ESC-derived: 0.43, Astrocyte:Embryonic_stem_cell-derived: 0.42, iPS_cells:PDB_1lox-21Puro-20: 0.41, iPS_cells:PDB_1lox-17Puro-10: 0.4, iPS_cells:PDB_1lox-21Puro-26: 0.4, iPS_cells:PDB_1lox-17Puro-5: 0.4, iPS_cells:CRL2097_foreskin-derived:undiff.: 0.4, Neurons:ES_cell-derived_neural_precursor: 0.4, Embryonic_stem_cells: 0.4 |
TM230-E19 | Neurons:adrenal_medulla_cell_line | 0.23 | 395.83 | Raw ScoresNeurons:adrenal_medulla_cell_line: 0.51, Neuroepithelial_cell:ESC-derived: 0.44, Astrocyte:Embryonic_stem_cell-derived: 0.42, iPS_cells:PDB_1lox-21Puro-20: 0.41, iPS_cells:PDB_1lox-21Puro-26: 0.41, iPS_cells:PDB_1lox-17Puro-5: 0.41, iPS_cells:PDB_1lox-17Puro-10: 0.41, iPS_cells:CRL2097_foreskin-derived:undiff.: 0.41, iPS_cells:PDB_2lox-22: 0.41, iPS_cells:PDB_2lox-21: 0.4 |
TM231-C21 | Neurons:adrenal_medulla_cell_line | 0.21 | 395.49 | Raw ScoresNeurons:adrenal_medulla_cell_line: 0.48, Neuroepithelial_cell:ESC-derived: 0.41, Astrocyte:Embryonic_stem_cell-derived: 0.39, iPS_cells:CRL2097_foreskin-derived:undiff.: 0.38, iPS_cells:PDB_1lox-17Puro-5: 0.38, iPS_cells:PDB_1lox-17Puro-10: 0.38, iPS_cells:PDB_2lox-5: 0.38, iPS_cells:PDB_1lox-21Puro-20: 0.38, iPS_cells:PDB_1lox-21Puro-26: 0.38, iPS_cells:PDB_2lox-22: 0.38 |
TM230-J7 | Neurons:adrenal_medulla_cell_line | 0.24 | 382.07 | Raw ScoresNeurons:adrenal_medulla_cell_line: 0.53, Neuroepithelial_cell:ESC-derived: 0.46, Astrocyte:Embryonic_stem_cell-derived: 0.45, Neurons:ES_cell-derived_neural_precursor: 0.43, Embryonic_stem_cells: 0.43, iPS_cells:PDB_1lox-21Puro-20: 0.43, iPS_cells:CRL2097_foreskin-derived:undiff.: 0.43, iPS_cells:PDB_1lox-17Puro-10: 0.43, iPS_cells:PDB_1lox-17Puro-5: 0.43, iPS_cells:PDB_1lox-21Puro-26: 0.43 |
TM231-P6 | Neurons:adrenal_medulla_cell_line | 0.27 | 376.67 | Raw ScoresNeurons:adrenal_medulla_cell_line: 0.57, Neuroepithelial_cell:ESC-derived: 0.5, iPS_cells:PDB_1lox-21Puro-20: 0.47, iPS_cells:PDB_1lox-21Puro-26: 0.47, Neurons:ES_cell-derived_neural_precursor: 0.47, Astrocyte:Embryonic_stem_cell-derived: 0.47, iPS_cells:PDB_1lox-17Puro-10: 0.47, iPS_cells:PDB_1lox-17Puro-5: 0.47, iPS_cells:PDB_2lox-22: 0.46, iPS_cells:CRL2097_foreskin-derived:undiff.: 0.46 |
TM230-H5 | Neurons:adrenal_medulla_cell_line | 0.18 | 360.85 | Raw ScoresNeurons:adrenal_medulla_cell_line: 0.41, Neuroepithelial_cell:ESC-derived: 0.36, Astrocyte:Embryonic_stem_cell-derived: 0.34, Neurons:ES_cell-derived_neural_precursor: 0.34, iPS_cells:CRL2097_foreskin-derived:undiff.: 0.34, iPS_cells:PDB_2lox-5: 0.33, iPS_cells:PDB_1lox-17Puro-10: 0.33, Embryonic_stem_cells: 0.33, iPS_cells:PDB_1lox-21Puro-20: 0.33, iPS_cells:PDB_2lox-22: 0.33 |
TM230-P10 | Neurons:adrenal_medulla_cell_line | 0.20 | 358.94 | Raw ScoresNeurons:adrenal_medulla_cell_line: 0.44, Neuroepithelial_cell:ESC-derived: 0.38, Astrocyte:Embryonic_stem_cell-derived: 0.36, iPS_cells:CRL2097_foreskin-derived:undiff.: 0.36, Embryonic_stem_cells: 0.35, Neurons:ES_cell-derived_neural_precursor: 0.35, iPS_cells:PDB_2lox-21: 0.35, iPS_cells:PDB_2lox-5: 0.35, iPS_cells:PDB_2lox-22: 0.35, iPS_cells:PDB_1lox-17Puro-5: 0.35 |
TM230-N10 | Neurons:adrenal_medulla_cell_line | 0.25 | 350.26 | Raw ScoresNeurons:adrenal_medulla_cell_line: 0.54, Neuroepithelial_cell:ESC-derived: 0.46, iPS_cells:PDB_1lox-21Puro-20: 0.44, Astrocyte:Embryonic_stem_cell-derived: 0.44, iPS_cells:PDB_1lox-21Puro-26: 0.44, iPS_cells:PDB_1lox-17Puro-10: 0.44, iPS_cells:PDB_1lox-17Puro-5: 0.44, iPS_cells:PDB_2lox-22: 0.43, iPS_cells:PDB_2lox-21: 0.43, iPS_cells:CRL2097_foreskin-derived:undiff.: 0.43 |
TM230-O13 | Neurons:adrenal_medulla_cell_line | 0.23 | 349.00 | Raw ScoresNeurons:adrenal_medulla_cell_line: 0.51, Neuroepithelial_cell:ESC-derived: 0.43, Astrocyte:Embryonic_stem_cell-derived: 0.41, iPS_cells:CRL2097_foreskin-derived:undiff.: 0.41, iPS_cells:PDB_1lox-21Puro-20: 0.4, iPS_cells:PDB_2lox-21: 0.4, iPS_cells:PDB_2lox-22: 0.4, iPS_cells:PDB_2lox-5: 0.4, iPS_cells:PDB_1lox-21Puro-26: 0.4, iPS_cells:PDB_1lox-17Puro-5: 0.4 |
TM231-L5 | Neurons:adrenal_medulla_cell_line | 0.24 | 344.37 | Raw ScoresNeurons:adrenal_medulla_cell_line: 0.51, Neuroepithelial_cell:ESC-derived: 0.43, Astrocyte:Embryonic_stem_cell-derived: 0.41, Neurons:ES_cell-derived_neural_precursor: 0.4, iPS_cells:PDB_1lox-21Puro-20: 0.39, iPS_cells:PDB_2lox-5: 0.39, Embryonic_stem_cells: 0.39, iPS_cells:CRL2097_foreskin-derived:undiff.: 0.39, iPS_cells:PDB_1lox-17Puro-10: 0.39, iPS_cells:PDB_2lox-22: 0.39 |
KK001-B4 | Neurons:adrenal_medulla_cell_line | 0.24 | 343.45 | Raw ScoresNeurons:adrenal_medulla_cell_line: 0.5, Neuroepithelial_cell:ESC-derived: 0.44, Astrocyte:Embryonic_stem_cell-derived: 0.41, iPS_cells:CRL2097_foreskin-derived:undiff.: 0.41, iPS_cells:PDB_2lox-22: 0.41, iPS_cells:PDB_1lox-21Puro-20: 0.41, iPS_cells:PDB_2lox-5: 0.41, Neurons:ES_cell-derived_neural_precursor: 0.41, Embryonic_stem_cells: 0.41, iPS_cells:PDB_1lox-21Puro-26: 0.41 |
KK001-G7 | Neurons:adrenal_medulla_cell_line | 0.22 | 339.53 | Raw ScoresNeurons:adrenal_medulla_cell_line: 0.46, Neuroepithelial_cell:ESC-derived: 0.4, Astrocyte:Embryonic_stem_cell-derived: 0.39, Neurons:ES_cell-derived_neural_precursor: 0.37, iPS_cells:PDB_1lox-21Puro-20: 0.36, iPS_cells:CRL2097_foreskin-derived:undiff.: 0.36, Embryonic_stem_cells: 0.36, iPS_cells:PDB_1lox-21Puro-26: 0.36, iPS_cells:PDB_1lox-17Puro-10: 0.36, iPS_cells:PDB_1lox-17Puro-5: 0.36 |
TM231-E3 | Neurons:adrenal_medulla_cell_line | 0.23 | 333.96 | Raw ScoresNeurons:adrenal_medulla_cell_line: 0.51, Neuroepithelial_cell:ESC-derived: 0.46, iPS_cells:PDB_1lox-21Puro-20: 0.43, iPS_cells:CRL2097_foreskin-derived:undiff.: 0.43, Astrocyte:Embryonic_stem_cell-derived: 0.43, iPS_cells:PDB_2lox-22: 0.43, iPS_cells:PDB_2lox-21: 0.43, iPS_cells:PDB_1lox-17Puro-5: 0.43, iPS_cells:PDB_1lox-21Puro-26: 0.43, iPS_cells:PDB_1lox-17Puro-10: 0.43 |
TM231-D17 | Neurons:adrenal_medulla_cell_line | 0.25 | 328.12 | Raw ScoresNeurons:adrenal_medulla_cell_line: 0.52, Neuroepithelial_cell:ESC-derived: 0.45, Astrocyte:Embryonic_stem_cell-derived: 0.43, Neurons:ES_cell-derived_neural_precursor: 0.42, iPS_cells:PDB_1lox-21Puro-20: 0.41, iPS_cells:PDB_1lox-17Puro-10: 0.41, iPS_cells:PDB_1lox-17Puro-5: 0.41, iPS_cells:PDB_1lox-21Puro-26: 0.41, iPS_cells:PDB_2lox-21: 0.41, iPS_cells:PDB_2lox-22: 0.41 |
TM231-K24 | Neurons:adrenal_medulla_cell_line | 0.26 | 325.28 | Raw ScoresNeurons:adrenal_medulla_cell_line: 0.52, Neuroepithelial_cell:ESC-derived: 0.46, Astrocyte:Embryonic_stem_cell-derived: 0.44, iPS_cells:PDB_1lox-21Puro-20: 0.43, Neurons:ES_cell-derived_neural_precursor: 0.43, iPS_cells:PDB_1lox-17Puro-10: 0.42, iPS_cells:PDB_1lox-17Puro-5: 0.42, iPS_cells:PDB_1lox-21Puro-26: 0.42, iPS_cells:CRL2097_foreskin-derived:undiff.: 0.42, iPS_cells:PDB_2lox-22: 0.42 |
TM230-K8 | Neurons:adrenal_medulla_cell_line | 0.25 | 320.95 | Raw ScoresNeurons:adrenal_medulla_cell_line: 0.51, Neuroepithelial_cell:ESC-derived: 0.46, Astrocyte:Embryonic_stem_cell-derived: 0.43, Neurons:ES_cell-derived_neural_precursor: 0.42, iPS_cells:PDB_1lox-21Puro-20: 0.42, iPS_cells:PDB_1lox-17Puro-5: 0.42, iPS_cells:PDB_1lox-17Puro-10: 0.42, iPS_cells:PDB_1lox-21Puro-26: 0.42, Embryonic_stem_cells: 0.42, iPS_cells:PDB_2lox-22: 0.42 |
TM230-G19 | Neurons:adrenal_medulla_cell_line | 0.20 | 320.16 | Raw ScoresNeurons:adrenal_medulla_cell_line: 0.44, Neuroepithelial_cell:ESC-derived: 0.37, Astrocyte:Embryonic_stem_cell-derived: 0.36, iPS_cells:PDB_1lox-21Puro-20: 0.35, iPS_cells:PDB_1lox-17Puro-10: 0.34, Neurons:ES_cell-derived_neural_precursor: 0.34, iPS_cells:PDB_1lox-17Puro-5: 0.34, iPS_cells:PDB_1lox-21Puro-26: 0.34, iPS_cells:CRL2097_foreskin-derived:undiff.: 0.34, iPS_cells:PDB_2lox-21: 0.34 |
TM230-O15 | Neurons:adrenal_medulla_cell_line | 0.21 | 317.08 | Raw ScoresNeurons:adrenal_medulla_cell_line: 0.46, Neuroepithelial_cell:ESC-derived: 0.41, Astrocyte:Embryonic_stem_cell-derived: 0.38, iPS_cells:CRL2097_foreskin-derived:undiff.: 0.38, Neurons:ES_cell-derived_neural_precursor: 0.38, iPS_cells:PDB_2lox-21: 0.38, iPS_cells:PDB_1lox-21Puro-20: 0.38, iPS_cells:PDB_2lox-22: 0.38, iPS_cells:PDB_1lox-21Puro-26: 0.38, iPS_cells:PDB_2lox-5: 0.37 |
KK001-I21 | Neurons:adrenal_medulla_cell_line | 0.23 | 307.67 | Raw ScoresNeurons:adrenal_medulla_cell_line: 0.5, Neuroepithelial_cell:ESC-derived: 0.43, Astrocyte:Embryonic_stem_cell-derived: 0.42, Neurons:ES_cell-derived_neural_precursor: 0.4, iPS_cells:CRL2097_foreskin-derived:undiff.: 0.4, iPS_cells:PDB_1lox-21Puro-20: 0.4, iPS_cells:PDB_2lox-22: 0.4, Embryonic_stem_cells: 0.4, iPS_cells:PDB_2lox-5: 0.4, iPS_cells:PDB_2lox-21: 0.4 |
TM231-K8 | Neurons:adrenal_medulla_cell_line | 0.22 | 305.30 | Raw ScoresNeurons:adrenal_medulla_cell_line: 0.46, Neuroepithelial_cell:ESC-derived: 0.4, iPS_cells:CRL2097_foreskin-derived:undiff.: 0.38, iPS_cells:PDB_1lox-21Puro-20: 0.38, Neurons:ES_cell-derived_neural_precursor: 0.38, iPS_cells:PDB_2lox-22: 0.38, iPS_cells:PDB_2lox-5: 0.37, iPS_cells:PDB_1lox-17Puro-10: 0.37, iPS_cells:PDB_1lox-21Puro-26: 0.37, Astrocyte:Embryonic_stem_cell-derived: 0.37 |
TM231-P9 | Neurons:adrenal_medulla_cell_line | 0.23 | 303.90 | Raw ScoresNeurons:adrenal_medulla_cell_line: 0.48, Neuroepithelial_cell:ESC-derived: 0.41, Astrocyte:Embryonic_stem_cell-derived: 0.4, iPS_cells:PDB_1lox-21Puro-20: 0.38, iPS_cells:PDB_2lox-22: 0.38, iPS_cells:PDB_2lox-5: 0.38, Neurons:ES_cell-derived_neural_precursor: 0.37, iPS_cells:PDB_1lox-21Puro-26: 0.37, iPS_cells:PDB_1lox-17Puro-10: 0.37, iPS_cells:PDB_2lox-21: 0.37 |
TM231-J2 | Neurons:adrenal_medulla_cell_line | 0.24 | 300.20 | Raw ScoresNeurons:adrenal_medulla_cell_line: 0.48, Neuroepithelial_cell:ESC-derived: 0.4, Astrocyte:Embryonic_stem_cell-derived: 0.38, iPS_cells:PDB_1lox-21Puro-20: 0.36, Neurons:ES_cell-derived_neural_precursor: 0.36, iPS_cells:PDB_1lox-17Puro-10: 0.36, iPS_cells:PDB_1lox-21Puro-26: 0.36, iPS_cells:PDB_1lox-17Puro-5: 0.36, Embryonic_stem_cells: 0.36, iPS_cells:CRL2097_foreskin-derived:undiff.: 0.36 |
TM230-K21 | Neurons:adrenal_medulla_cell_line | 0.24 | 300.12 | Raw ScoresNeurons:adrenal_medulla_cell_line: 0.47, Neuroepithelial_cell:ESC-derived: 0.39, Astrocyte:Embryonic_stem_cell-derived: 0.37, Neurons:ES_cell-derived_neural_precursor: 0.36, iPS_cells:CRL2097_foreskin-derived:undiff.: 0.35, iPS_cells:PDB_1lox-21Puro-20: 0.35, Embryonic_stem_cells: 0.35, iPS_cells:PDB_1lox-21Puro-26: 0.35, iPS_cells:PDB_2lox-5: 0.35, iPS_cells:PDB_1lox-17Puro-10: 0.35 |
TM230-I15 | Neurons:adrenal_medulla_cell_line | 0.25 | 296.85 | Raw ScoresNeurons:adrenal_medulla_cell_line: 0.51, Neuroepithelial_cell:ESC-derived: 0.44, Astrocyte:Embryonic_stem_cell-derived: 0.42, iPS_cells:PDB_1lox-21Puro-20: 0.41, Neurons:ES_cell-derived_neural_precursor: 0.41, iPS_cells:PDB_1lox-21Puro-26: 0.41, iPS_cells:PDB_2lox-22: 0.41, iPS_cells:PDB_2lox-21: 0.41, iPS_cells:PDB_1lox-17Puro-10: 0.41, iPS_cells:CRL2097_foreskin-derived:undiff.: 0.41 |
TM230-P1 | Neurons:adrenal_medulla_cell_line | 0.23 | 294.07 | Raw ScoresNeurons:adrenal_medulla_cell_line: 0.48, Neuroepithelial_cell:ESC-derived: 0.41, Astrocyte:Embryonic_stem_cell-derived: 0.4, iPS_cells:PDB_1lox-21Puro-20: 0.39, iPS_cells:PDB_1lox-21Puro-26: 0.39, iPS_cells:PDB_1lox-17Puro-10: 0.39, iPS_cells:PDB_1lox-17Puro-5: 0.39, Neurons:ES_cell-derived_neural_precursor: 0.39, iPS_cells:PDB_2lox-5: 0.38, iPS_cells:PDB_2lox-22: 0.38 |
TM231-L11 | Neurons:adrenal_medulla_cell_line | 0.26 | 293.84 | Raw ScoresNeurons:adrenal_medulla_cell_line: 0.52, Neuroepithelial_cell:ESC-derived: 0.47, iPS_cells:PDB_1lox-21Puro-26: 0.44, iPS_cells:PDB_1lox-21Puro-20: 0.44, iPS_cells:PDB_1lox-17Puro-10: 0.44, iPS_cells:PDB_1lox-17Puro-5: 0.44, Neurons:ES_cell-derived_neural_precursor: 0.44, iPS_cells:PDB_2lox-22: 0.44, iPS_cells:CRL2097_foreskin-derived:undiff.: 0.43, iPS_cells:PDB_2lox-21: 0.43 |
Below shows the significant enrichments of this GEP for literature curated gene lists
This data was procured from existing single cell RNA-seq maps of neuroblastoma or related relevant data.
High ranks indicate this gene is a driver of this GEP.
These curated gene list are ranked by the P-value (on this GEP) of their constituent genes.
The Mean Count column shows the mean read count in cells scoring highly (H > 50) on this gene expression program.
Genes | Weight | Rank | GTEx | DepMap | Decartes | Mean.Counts | Mean.TPM |
---|---|---|---|---|---|---|---|
DBH | 0.0071452 | 1 | GTEx | DepMap | Descartes | 7.82 | 330.97 |
CYB561 | 0.0056614 | 9 | GTEx | DepMap | Descartes | 6.47 | 237.81 |
DDC | 0.0048330 | 15 | GTEx | DepMap | Descartes | 2.51 | 147.77 |
SLC18A1 | 0.0043768 | 26 | GTEx | DepMap | Descartes | 1.36 | 60.70 |
CHGB | 0.0037538 | 44 | GTEx | DepMap | Descartes | 16.41 | 803.03 |
HAND2 | 0.0035378 | 52 | GTEx | DepMap | Descartes | 7.92 | 361.73 |
EML5 | 0.0033636 | 66 | GTEx | DepMap | Descartes | 3.18 | 38.21 |
PHOX2A | 0.0032477 | 71 | GTEx | DepMap | Descartes | 3.83 | 266.21 |
CHGA | 0.0029533 | 92 | GTEx | DepMap | Descartes | 14.40 | 859.80 |
GATA3 | 0.0029469 | 94 | GTEx | DepMap | Descartes | 12.04 | 449.01 |
TH | 0.0022142 | 182 | GTEx | DepMap | Descartes | 3.38 | 223.82 |
PCSK1N | 0.0019484 | 255 | GTEx | DepMap | Descartes | 4.97 | 583.95 |
MAP1B | 0.0014784 | 469 | GTEx | DepMap | Descartes | 27.31 | 280.70 |
UCHL1 | 0.0013920 | 518 | GTEx | DepMap | Descartes | 12.06 | 885.41 |
DISP2 | 0.0006682 | 1483 | GTEx | DepMap | Descartes | 0.60 | 5.60 |
NNAT | -0.0001759 | 8877 | GTEx | DepMap | Descartes | 3.45 | 327.00 |
Adrenergic Fig 1D (Olsen)
Similar to above, but for selected adrenergic marker genes:
Wilcoxon ranksum test P-value for gene set overrepresentation: 3.15e-07
Mean rank of genes in gene set: 835.82
Rank on gene expression program of genes in gene set:
Genes | Weight | Rank | GTEx | DepMap | Decartes | Mean.Counts | Mean.TPM |
---|---|---|---|---|---|---|---|
DBH | 0.0071452 | 1 | GTEx | DepMap | Descartes | 7.82 | 330.97 |
RGS5 | 0.0032697 | 70 | GTEx | DepMap | Descartes | 46.56 | 990.52 |
TH | 0.0022142 | 182 | GTEx | DepMap | Descartes | 3.38 | 223.82 |
ISL1 | 0.0020194 | 231 | GTEx | DepMap | Descartes | 4.86 | 266.11 |
MAP1B | 0.0014784 | 469 | GTEx | DepMap | Descartes | 27.31 | 280.70 |
ELAVL4 | 0.0013926 | 517 | GTEx | DepMap | Descartes | 6.64 | 193.05 |
UCHL1 | 0.0013920 | 518 | GTEx | DepMap | Descartes | 12.06 | 885.41 |
MLLT11 | 0.0012400 | 626 | GTEx | DepMap | Descartes | 7.13 | 343.55 |
STMN2 | 0.0009771 | 927 | GTEx | DepMap | Descartes | 25.47 | 1489.08 |
RTN1 | 0.0004889 | 2062 | GTEx | DepMap | Descartes | 5.92 | 218.98 |
NRG1 | 0.0002246 | 3591 | GTEx | DepMap | Descartes | 0.49 | 5.67 |
Broad sympathetic marker (Dong)
Obtained from Fig. 3c of Dong et al. (PMID 32946775).:
Wilcoxon ranksum test P-value for gene set overrepresentation: 1.36e-05
Mean rank of genes in gene set: 72
Rank on gene expression program of genes in gene set:
Genes | Weight | Rank | GTEx | DepMap | Decartes | Mean.Counts | Mean.TPM |
---|---|---|---|---|---|---|---|
DBH | 0.0071452 | 1 | GTEx | DepMap | Descartes | 7.82 | 330.97 |
CHGB | 0.0037538 | 44 | GTEx | DepMap | Descartes | 16.41 | 803.03 |
HAND2 | 0.0035378 | 52 | GTEx | DepMap | Descartes | 7.92 | 361.73 |
GATA2 | 0.0034695 | 59 | GTEx | DepMap | Descartes | 5.58 | 203.24 |
GATA3 | 0.0029469 | 94 | GTEx | DepMap | Descartes | 12.04 | 449.01 |
TH | 0.0022142 | 182 | GTEx | DepMap | Descartes | 3.38 | 223.82 |
Below shows ranks on this GEP for literature curated gene lists for large gene sets
These include those reported as mesenchymal/adrenergic by Van Groningen et al.
High ranks indicate this gene is a driver of this GEP (note these results are not ordered).
The Mean Count column shows the mean read count in cells scoring highly (H > 50) on this gene expression program.
VanGroningen Adrenergic Genes
Adrenergic marker genes from Supplementary Table 2 of Van Groningen et al. Nature Genetics 2017. These genes were identified by differential expression analysis of mesenchymal-like and adrenergic-like neuroblastoma cell lines.
Wilcoxon ranksum test P-value for gene set overrepresentation: 1.35e-65
Mean rank of genes in gene set: 2778.36
Median rank of genes in gene set: 1195
Rank on gene expression program of top 30 genes in gene set:
Genes | Weight | Rank | GTEx | DepMap | Descartes | Mean.Counts | Mean.TPM |
---|---|---|---|---|---|---|---|
DBH | 0.0071452 | 1 | GTEx | DepMap | Descartes | 7.82 | 330.97 |
ELAVL3 | 0.0068603 | 2 | GTEx | DepMap | Descartes | 16.51 | 400.31 |
HAND1 | 0.0059995 | 5 | GTEx | DepMap | Descartes | 7.31 | 558.85 |
DLK1 | 0.0059350 | 6 | GTEx | DepMap | Descartes | 12.89 | 368.74 |
ICA1 | 0.0059123 | 7 | GTEx | DepMap | Descartes | 4.54 | 207.02 |
PEG3 | 0.0056845 | 8 | GTEx | DepMap | Descartes | 16.51 | NA |
FKBP4 | 0.0049896 | 14 | GTEx | DepMap | Descartes | 15.64 | 552.94 |
DDC | 0.0048330 | 15 | GTEx | DepMap | Descartes | 2.51 | 147.77 |
KIF5C | 0.0048158 | 16 | GTEx | DepMap | Descartes | 9.84 | 160.46 |
NPY | 0.0044637 | 24 | GTEx | DepMap | Descartes | 26.19 | 4759.74 |
TFAP2B | 0.0041098 | 31 | GTEx | DepMap | Descartes | 1.65 | 34.26 |
KIF1A | 0.0040103 | 35 | GTEx | DepMap | Descartes | 5.62 | 66.46 |
SOX11 | 0.0039093 | 38 | GTEx | DepMap | Descartes | 9.73 | 119.78 |
GLCCI1 | 0.0038882 | 39 | GTEx | DepMap | Descartes | 8.16 | 216.66 |
INA | 0.0037997 | 42 | GTEx | DepMap | Descartes | 8.32 | 308.64 |
CHGB | 0.0037538 | 44 | GTEx | DepMap | Descartes | 16.41 | 803.03 |
KLHL13 | 0.0036198 | 49 | GTEx | DepMap | Descartes | 1.90 | 43.35 |
INSM2 | 0.0035537 | 51 | GTEx | DepMap | Descartes | 2.21 | 100.82 |
GATA2 | 0.0034695 | 59 | GTEx | DepMap | Descartes | 5.58 | 203.24 |
CENPV | 0.0033295 | 67 | GTEx | DepMap | Descartes | 3.74 | 242.00 |
TUBB2B | 0.0033245 | 68 | GTEx | DepMap | Descartes | 10.82 | 642.06 |
SHD | 0.0033027 | 69 | GTEx | DepMap | Descartes | 1.78 | 119.23 |
RGS5 | 0.0032697 | 70 | GTEx | DepMap | Descartes | 46.56 | 990.52 |
PHOX2A | 0.0032477 | 71 | GTEx | DepMap | Descartes | 3.83 | 266.21 |
NCAM1 | 0.0031595 | 78 | GTEx | DepMap | Descartes | 8.08 | 155.75 |
TMEM97 | 0.0031396 | 80 | GTEx | DepMap | Descartes | 3.10 | 147.74 |
GABRB3 | 0.0030486 | 86 | GTEx | DepMap | Descartes | 2.34 | 48.79 |
CKB | 0.0029581 | 91 | GTEx | DepMap | Descartes | 7.78 | 653.09 |
CHGA | 0.0029533 | 92 | GTEx | DepMap | Descartes | 14.40 | 859.80 |
PHF21B | 0.0029531 | 93 | GTEx | DepMap | Descartes | 1.00 | 27.20 |
VanGroningen Mesenchymal Genes
Mesenchymal marker genes from Supplementary Table 2 of Van Groningen et al. Nature Genetics 2017. These genes were identified by differential expression analysis of mesenchymal-like and adrenergic-like neuroblastoma cell lines.
Wilcoxon ranksum test P-value for gene set overrepresentation: 1.00e+00
Mean rank of genes in gene set: 9882.84
Median rank of genes in gene set: 11334
Rank on gene expression program of top 30 genes in gene set:
Genes | Weight | Rank | GTEx | DepMap | Descartes | Mean.Counts | Mean.TPM |
---|---|---|---|---|---|---|---|
SLC38A2 | 0.0021393 | 203 | GTEx | DepMap | Descartes | 23.46 | 663.50 |
SERPINH1 | 0.0016396 | 390 | GTEx | DepMap | Descartes | 6.00 | 222.09 |
STAT3 | 0.0014356 | 494 | GTEx | DepMap | Descartes | 11.27 | 269.58 |
ENAH | 0.0013598 | 541 | GTEx | DepMap | Descartes | 5.72 | 50.44 |
CBFB | 0.0012668 | 605 | GTEx | DepMap | Descartes | 3.13 | 129.89 |
KDM5B | 0.0010804 | 778 | GTEx | DepMap | Descartes | 2.88 | 37.77 |
JAM3 | 0.0010726 | 791 | GTEx | DepMap | Descartes | 1.98 | 63.24 |
PDIA6 | 0.0009213 | 1003 | GTEx | DepMap | Descartes | 3.75 | 165.66 |
ARMCX2 | 0.0009173 | 1010 | GTEx | DepMap | Descartes | 1.01 | 45.17 |
EGR1 | 0.0008782 | 1063 | GTEx | DepMap | Descartes | 29.40 | 1339.47 |
SLC30A1 | 0.0008734 | 1068 | GTEx | DepMap | Descartes | 1.57 | 34.64 |
HOMER1 | 0.0008524 | 1105 | GTEx | DepMap | Descartes | 2.37 | 54.01 |
NBR1 | 0.0007509 | 1295 | GTEx | DepMap | Descartes | 2.04 | 55.13 |
ATP1B1 | 0.0007492 | 1300 | GTEx | DepMap | Descartes | 5.94 | 282.40 |
KLF10 | 0.0007273 | 1344 | GTEx | DepMap | Descartes | 3.62 | 142.03 |
GNAI1 | 0.0007269 | 1345 | GTEx | DepMap | Descartes | 0.82 | 9.95 |
MYADM | 0.0006391 | 1563 | GTEx | DepMap | Descartes | 11.66 | 490.36 |
HIST1H2AC | 0.0006203 | 1619 | GTEx | DepMap | Descartes | 0.68 | NA |
LASP1 | 0.0005981 | 1675 | GTEx | DepMap | Descartes | 3.83 | 118.68 |
SOX9 | 0.0005628 | 1781 | GTEx | DepMap | Descartes | 1.45 | 52.37 |
RBMS1 | 0.0004482 | 2250 | GTEx | DepMap | Descartes | 3.52 | 100.24 |
BAG3 | 0.0004130 | 2413 | GTEx | DepMap | Descartes | 6.85 | 437.62 |
SEC14L1 | 0.0004031 | 2455 | GTEx | DepMap | Descartes | 2.90 | 66.94 |
KDELR2 | 0.0003828 | 2544 | GTEx | DepMap | Descartes | 3.39 | 150.60 |
SHC1 | 0.0003793 | 2567 | GTEx | DepMap | Descartes | 1.91 | 67.71 |
AMMECR1 | 0.0003785 | 2577 | GTEx | DepMap | Descartes | 0.60 | 13.66 |
DUSP14 | 0.0003683 | 2631 | GTEx | DepMap | Descartes | 1.57 | 95.05 |
CRELD2 | 0.0003245 | 2865 | GTEx | DepMap | Descartes | 0.63 | 27.26 |
SCPEP1 | 0.0003235 | 2875 | GTEx | DepMap | Descartes | 0.77 | 58.67 |
PTPRK | 0.0002757 | 3197 | GTEx | DepMap | Descartes | 0.81 | NA |
Descartes adrenocortical markers
Top 50 marker genes of adrenocortical cells in the Decartes fetal adrenal single cell map (https://atlas.brotmanbaty.org/bbi/human-gene-expression-during-development/cell/adrenocortical/in/adrenal)
Wilcoxon ranksum test P-value for gene set overrepresentation: 4.26e-01
Mean rank of genes in gene set: 6162.44
Median rank of genes in gene set: 5693
Rank on gene expression program of top 30 genes in gene set:
Genes | Weight | Rank | GTEx | DepMap | Descartes | Mean.Counts | Mean.TPM |
---|---|---|---|---|---|---|---|
PEG3 | 0.0056845 | 8 | GTEx | DepMap | Descartes | 16.51 | NA |
CLU | 0.0017529 | 346 | GTEx | DepMap | Descartes | 11.35 | 498.92 |
DNER | 0.0010142 | 870 | GTEx | DepMap | Descartes | 0.65 | 25.30 |
JAKMIP2 | 0.0008357 | 1131 | GTEx | DepMap | Descartes | 0.95 | 12.73 |
INHA | 0.0006989 | 1424 | GTEx | DepMap | Descartes | 0.05 | 4.79 |
SLC1A2 | 0.0004836 | 2083 | GTEx | DepMap | Descartes | 0.71 | 7.44 |
SCAP | 0.0003950 | 2494 | GTEx | DepMap | Descartes | 0.76 | 21.01 |
HMGCS1 | 0.0003442 | 2749 | GTEx | DepMap | Descartes | 2.34 | 59.66 |
TM7SF2 | 0.0002971 | 3053 | GTEx | DepMap | Descartes | 0.27 | 16.14 |
FRMD5 | 0.0002581 | 3311 | GTEx | DepMap | Descartes | 0.27 | 7.24 |
SLC16A9 | 0.0002516 | 3370 | GTEx | DepMap | Descartes | 0.19 | 4.82 |
CYB5B | 0.0002446 | 3436 | GTEx | DepMap | Descartes | 1.39 | 40.95 |
SCARB1 | 0.0002381 | 3494 | GTEx | DepMap | Descartes | 0.45 | 10.24 |
FDXR | 0.0002166 | 3653 | GTEx | DepMap | Descartes | 0.12 | 6.30 |
IGF1R | 0.0000964 | 4762 | GTEx | DepMap | Descartes | 1.14 | 11.75 |
DHCR24 | 0.0000740 | 5044 | GTEx | DepMap | Descartes | 0.46 | 10.27 |
HMGCR | 0.0000482 | 5381 | GTEx | DepMap | Descartes | 1.59 | 47.39 |
SGCZ | 0.0000412 | 5458 | GTEx | DepMap | Descartes | 0.01 | 0.04 |
POR | 0.0000079 | 5928 | GTEx | DepMap | Descartes | 0.90 | 46.95 |
SH3PXD2B | -0.0000804 | 7315 | GTEx | DepMap | Descartes | 0.30 | 4.28 |
FDPS | -0.0001001 | 7655 | GTEx | DepMap | Descartes | 1.20 | 63.95 |
MSMO1 | -0.0001136 | 7891 | GTEx | DepMap | Descartes | 1.30 | 72.61 |
STAR | -0.0001195 | 7995 | GTEx | DepMap | Descartes | 0.01 | 0.33 |
BAIAP2L1 | -0.0001349 | 8262 | GTEx | DepMap | Descartes | 0.04 | 1.52 |
GSTA4 | -0.0001855 | 9002 | GTEx | DepMap | Descartes | 0.81 | 46.74 |
DHCR7 | -0.0002168 | 9419 | GTEx | DepMap | Descartes | 0.47 | 20.71 |
ERN1 | -0.0002256 | 9542 | GTEx | DepMap | Descartes | 0.65 | 13.16 |
FREM2 | -0.0002301 | 9596 | GTEx | DepMap | Descartes | 0.01 | 0.13 |
GRAMD1B | -0.0002389 | 9693 | GTEx | DepMap | Descartes | 0.22 | 3.93 |
FDX1 | -0.0002766 | 10126 | GTEx | DepMap | Descartes | 0.30 | 12.92 |
Descartes chromaffin markers
Top 50 marker genes of chromaffin cells in the Decartes fetal adrenal single cell map (https://atlas.brotmanbaty.org/bbi/human-gene-expression-during-development/cell/chromaffin/in/adrenal)
Wilcoxon ranksum test P-value for gene set overrepresentation: 5.29e-10
Mean rank of genes in gene set: 2829.22
Median rank of genes in gene set: 1044
Rank on gene expression program of top 30 genes in gene set:
Genes | Weight | Rank | GTEx | DepMap | Descartes | Mean.Counts | Mean.TPM |
---|---|---|---|---|---|---|---|
NPY | 0.0044637 | 24 | GTEx | DepMap | Descartes | 26.19 | 4759.74 |
SLC6A2 | 0.0037563 | 43 | GTEx | DepMap | Descartes | 1.88 | 58.33 |
TMEM132C | 0.0037443 | 45 | GTEx | DepMap | Descartes | 1.09 | 24.93 |
TUBB2B | 0.0033245 | 68 | GTEx | DepMap | Descartes | 10.82 | 642.06 |
EYA1 | 0.0023147 | 160 | GTEx | DepMap | Descartes | 0.64 | 17.19 |
TUBA1A | 0.0021044 | 208 | GTEx | DepMap | Descartes | 50.90 | 3184.54 |
RBFOX1 | 0.0021009 | 209 | GTEx | DepMap | Descartes | 1.00 | 23.34 |
ISL1 | 0.0020194 | 231 | GTEx | DepMap | Descartes | 4.86 | 266.11 |
RPH3A | 0.0019868 | 243 | GTEx | DepMap | Descartes | 0.79 | 16.58 |
TUBB2A | 0.0019213 | 265 | GTEx | DepMap | Descartes | 8.49 | 620.50 |
CNKSR2 | 0.0017916 | 323 | GTEx | DepMap | Descartes | 1.14 | 17.92 |
CNTFR | 0.0015839 | 411 | GTEx | DepMap | Descartes | 0.71 | 40.76 |
MAP1B | 0.0014784 | 469 | GTEx | DepMap | Descartes | 27.31 | 280.70 |
GREM1 | 0.0014128 | 512 | GTEx | DepMap | Descartes | 2.82 | 21.81 |
MARCH11 | 0.0013709 | 534 | GTEx | DepMap | Descartes | 1.06 | NA |
RGMB | 0.0013037 | 582 | GTEx | DepMap | Descartes | 1.90 | 52.39 |
MLLT11 | 0.0012400 | 626 | GTEx | DepMap | Descartes | 7.13 | 343.55 |
MAB21L1 | 0.0010793 | 781 | GTEx | DepMap | Descartes | 2.33 | 95.70 |
ALK | 0.0009836 | 921 | GTEx | DepMap | Descartes | 0.52 | 9.82 |
STMN2 | 0.0009771 | 927 | GTEx | DepMap | Descartes | 25.47 | 1489.08 |
RYR2 | 0.0008910 | 1044 | GTEx | DepMap | Descartes | 0.73 | 4.70 |
MAB21L2 | 0.0007247 | 1350 | GTEx | DepMap | Descartes | 1.60 | 110.39 |
SLC44A5 | 0.0007001 | 1418 | GTEx | DepMap | Descartes | 0.40 | 10.91 |
IL7 | 0.0006761 | 1472 | GTEx | DepMap | Descartes | 0.47 | 35.45 |
GAP43 | 0.0006671 | 1484 | GTEx | DepMap | Descartes | 10.32 | 606.10 |
FAT3 | 0.0006280 | 1592 | GTEx | DepMap | Descartes | 0.40 | 2.11 |
BASP1 | 0.0005350 | 1878 | GTEx | DepMap | Descartes | 10.21 | 675.27 |
GAL | 0.0004218 | 2376 | GTEx | DepMap | Descartes | 1.80 | 305.02 |
EYA4 | 0.0002225 | 3607 | GTEx | DepMap | Descartes | 0.15 | 3.36 |
KCNB2 | 0.0001302 | 4423 | GTEx | DepMap | Descartes | 0.13 | 4.23 |
Descartes Vascular_endothelial markers
Top 50 marker genes of Vascular_endothelial cells in the Decartes fetal adrenal single cell map (https://atlas.brotmanbaty.org/bbi/human-gene-expression-during-development/cell/vascular_endothelial/in/adrenal)
Wilcoxon ranksum test P-value for gene set overrepresentation: 1.00e+00
Mean rank of genes in gene set: 8785.74
Median rank of genes in gene set: 9933.5
Rank on gene expression program of top 30 genes in gene set:
Genes | Weight | Rank | GTEx | DepMap | Descartes | Mean.Counts | Mean.TPM |
---|---|---|---|---|---|---|---|
CDH13 | 0.0014730 | 474 | GTEx | DepMap | Descartes | 0.91 | 13.37 |
MYRIP | 0.0003727 | 2610 | GTEx | DepMap | Descartes | 0.24 | 5.28 |
ARHGAP29 | 0.0002339 | 3529 | GTEx | DepMap | Descartes | 0.78 | 9.74 |
EFNB2 | 0.0002068 | 3727 | GTEx | DepMap | Descartes | 1.66 | 44.70 |
EHD3 | 0.0001536 | 4203 | GTEx | DepMap | Descartes | 0.26 | 5.53 |
BTNL9 | -0.0000214 | 6366 | GTEx | DepMap | Descartes | 0.15 | 4.90 |
IRX3 | -0.0000459 | 6762 | GTEx | DepMap | Descartes | 0.13 | 6.04 |
CRHBP | -0.0000856 | 7403 | GTEx | DepMap | Descartes | 0.01 | 0.88 |
HYAL2 | -0.0001173 | 7951 | GTEx | DepMap | Descartes | 0.32 | 9.05 |
CHRM3 | -0.0001259 | 8096 | GTEx | DepMap | Descartes | 0.13 | 1.77 |
NR5A2 | -0.0001270 | 8115 | GTEx | DepMap | Descartes | 0.01 | 0.28 |
NPR1 | -0.0001360 | 8277 | GTEx | DepMap | Descartes | 0.04 | 1.02 |
ESM1 | -0.0001965 | 9150 | GTEx | DepMap | Descartes | 0.09 | 5.81 |
FLT4 | -0.0002045 | 9258 | GTEx | DepMap | Descartes | 0.08 | 1.73 |
NOTCH4 | -0.0002125 | 9365 | GTEx | DepMap | Descartes | 0.26 | 4.68 |
CEACAM1 | -0.0002184 | 9439 | GTEx | DepMap | Descartes | 0.07 | 2.62 |
RAMP2 | -0.0002223 | 9502 | GTEx | DepMap | Descartes | 0.46 | 66.53 |
KANK3 | -0.0002455 | 9770 | GTEx | DepMap | Descartes | 0.09 | 3.15 |
PODXL | -0.0002576 | 9923 | GTEx | DepMap | Descartes | 0.33 | 5.88 |
CLDN5 | -0.0002594 | 9944 | GTEx | DepMap | Descartes | 0.14 | 6.15 |
GALNT15 | -0.0002608 | 9957 | GTEx | DepMap | Descartes | 0.03 | NA |
F8 | -0.0002619 | 9969 | GTEx | DepMap | Descartes | 0.08 | 1.48 |
SHANK3 | -0.0002660 | 10008 | GTEx | DepMap | Descartes | 0.51 | 7.62 |
RASIP1 | -0.0002806 | 10169 | GTEx | DepMap | Descartes | 0.11 | 5.16 |
TEK | -0.0002840 | 10197 | GTEx | DepMap | Descartes | 0.09 | 2.32 |
KDR | -0.0002935 | 10295 | GTEx | DepMap | Descartes | 0.26 | 4.11 |
MMRN2 | -0.0002964 | 10322 | GTEx | DepMap | Descartes | 0.15 | 3.42 |
ID1 | -0.0003008 | 10362 | GTEx | DepMap | Descartes | 0.94 | 151.16 |
TIE1 | -0.0003216 | 10541 | GTEx | DepMap | Descartes | 0.40 | 11.66 |
SHE | -0.0003238 | 10555 | GTEx | DepMap | Descartes | 0.09 | 1.47 |
Descartes stromal markers
Top 50 marker genes of stromal cells in the Decartes fetal adrenal single cell map (https://atlas.brotmanbaty.org/bbi/human-gene-expression-during-development/cell/stromal/in/adrenal)
Wilcoxon ranksum test P-value for gene set overrepresentation: 1.00e+00
Mean rank of genes in gene set: 10849.59
Median rank of genes in gene set: 11357.5
Rank on gene expression program of top 30 genes in gene set:
Genes | Weight | Rank | GTEx | DepMap | Descartes | Mean.Counts | Mean.TPM |
---|---|---|---|---|---|---|---|
FREM1 | 0.0003252 | 2858 | GTEx | DepMap | Descartes | 0.28 | 3.43 |
ADAMTS2 | 0.0000828 | 4929 | GTEx | DepMap | Descartes | 1.09 | 19.04 |
LAMC3 | -0.0001086 | 7797 | GTEx | DepMap | Descartes | 0.01 | 0.25 |
GAS2 | -0.0001123 | 7867 | GTEx | DepMap | Descartes | 0.01 | 0.23 |
POSTN | -0.0001563 | 8605 | GTEx | DepMap | Descartes | 1.99 | 73.89 |
CLDN11 | -0.0001790 | 8917 | GTEx | DepMap | Descartes | 0.15 | 9.22 |
DKK2 | -0.0002148 | 9395 | GTEx | DepMap | Descartes | 0.05 | 1.84 |
RSPO3 | -0.0002313 | 9613 | GTEx | DepMap | Descartes | 0.06 | NA |
LRRC17 | -0.0002394 | 9698 | GTEx | DepMap | Descartes | 0.09 | 5.07 |
PCOLCE | -0.0002566 | 9908 | GTEx | DepMap | Descartes | 2.93 | 242.48 |
ABCC9 | -0.0002909 | 10275 | GTEx | DepMap | Descartes | 0.32 | 6.17 |
GLI2 | -0.0003233 | 10551 | GTEx | DepMap | Descartes | 0.09 | 1.53 |
SFRP2 | -0.0003283 | 10596 | GTEx | DepMap | Descartes | 1.64 | 67.38 |
PRICKLE1 | -0.0003456 | 10742 | GTEx | DepMap | Descartes | 0.70 | 13.41 |
ITGA11 | -0.0003475 | 10756 | GTEx | DepMap | Descartes | 0.11 | 1.85 |
PCDH18 | -0.0003617 | 10857 | GTEx | DepMap | Descartes | 0.22 | 5.18 |
IGFBP3 | -0.0003912 | 11073 | GTEx | DepMap | Descartes | 0.29 | 13.06 |
HHIP | -0.0004075 | 11173 | GTEx | DepMap | Descartes | 0.12 | 1.47 |
EDNRA | -0.0004135 | 11209 | GTEx | DepMap | Descartes | 0.28 | 9.74 |
ADAMTSL3 | -0.0004258 | 11279 | GTEx | DepMap | Descartes | 0.09 | 2.19 |
CD248 | -0.0004310 | 11313 | GTEx | DepMap | Descartes | 0.15 | 7.07 |
SCARA5 | -0.0004317 | 11319 | GTEx | DepMap | Descartes | 0.15 | 7.51 |
ELN | -0.0004440 | 11396 | GTEx | DepMap | Descartes | 1.75 | 42.70 |
PAMR1 | -0.0004620 | 11484 | GTEx | DepMap | Descartes | 0.17 | 10.39 |
COL27A1 | -0.0004874 | 11608 | GTEx | DepMap | Descartes | 0.15 | 2.90 |
ABCA6 | -0.0004951 | 11630 | GTEx | DepMap | Descartes | 0.25 | 6.40 |
LOX | -0.0005122 | 11711 | GTEx | DepMap | Descartes | 0.28 | 7.10 |
ACTA2 | -0.0005362 | 11800 | GTEx | DepMap | Descartes | 2.68 | 306.29 |
BICC1 | -0.0005683 | 11899 | GTEx | DepMap | Descartes | 0.23 | 7.08 |
ISLR | -0.0006848 | 12165 | GTEx | DepMap | Descartes | 0.86 | 60.84 |
Descartes sympathoblasts markers
Top 50 marker genes of sympathoblasts cells in the Decartes fetal adrenal single cell map (https://atlas.brotmanbaty.org/bbi/human-gene-expression-during-development/cell/sympathoblasts/in/adrenal)
Wilcoxon ranksum test P-value for gene set overrepresentation: 2.72e-02
Mean rank of genes in gene set: 5146.61
Median rank of genes in gene set: 5872
Rank on gene expression program of top 30 genes in gene set:
Genes | Weight | Rank | GTEx | DepMap | Descartes | Mean.Counts | Mean.TPM |
---|---|---|---|---|---|---|---|
C1QL1 | 0.0045623 | 19 | GTEx | DepMap | Descartes | 3.92 | 330.12 |
SLC18A1 | 0.0043768 | 26 | GTEx | DepMap | Descartes | 1.36 | 60.70 |
CHGB | 0.0037538 | 44 | GTEx | DepMap | Descartes | 16.41 | 803.03 |
DGKK | 0.0033683 | 65 | GTEx | DepMap | Descartes | 1.47 | 21.75 |
CHGA | 0.0029533 | 92 | GTEx | DepMap | Descartes | 14.40 | 859.80 |
PCSK1N | 0.0019484 | 255 | GTEx | DepMap | Descartes | 4.97 | 583.95 |
FAM155A | 0.0018766 | 284 | GTEx | DepMap | Descartes | 1.75 | 23.97 |
HTATSF1 | 0.0017889 | 325 | GTEx | DepMap | Descartes | 2.61 | 101.06 |
ARC | 0.0016974 | 369 | GTEx | DepMap | Descartes | 5.93 | 246.38 |
PCSK2 | 0.0012683 | 602 | GTEx | DepMap | Descartes | 1.23 | 35.74 |
TBX20 | 0.0011317 | 723 | GTEx | DepMap | Descartes | 0.03 | 1.43 |
UNC80 | 0.0010015 | 888 | GTEx | DepMap | Descartes | 1.16 | 10.05 |
EML6 | 0.0005558 | 1812 | GTEx | DepMap | Descartes | 0.30 | 3.37 |
GCH1 | 0.0005223 | 1922 | GTEx | DepMap | Descartes | 2.70 | 118.83 |
AGBL4 | 0.0003905 | 2510 | GTEx | DepMap | Descartes | 0.06 | 1.53 |
FGF14 | 0.0003812 | 2554 | GTEx | DepMap | Descartes | 0.30 | 2.98 |
CCSER1 | 0.0000691 | 5115 | GTEx | DepMap | Descartes | 0.10 | NA |
PENK | 0.0000503 | 5350 | GTEx | DepMap | Descartes | 0.05 | 5.66 |
MGAT4C | 0.0000441 | 5423 | GTEx | DepMap | Descartes | 0.30 | 1.35 |
SPOCK3 | -0.0000186 | 6321 | GTEx | DepMap | Descartes | 0.02 | 0.93 |
GALNTL6 | -0.0000446 | 6738 | GTEx | DepMap | Descartes | 0.02 | 0.55 |
ST18 | -0.0000542 | 6895 | GTEx | DepMap | Descartes | 0.05 | 1.40 |
SLC35F3 | -0.0000673 | 7098 | GTEx | DepMap | Descartes | 0.01 | 0.34 |
SORCS3 | -0.0000769 | 7252 | GTEx | DepMap | Descartes | 0.01 | 0.41 |
ROBO1 | -0.0000775 | 7265 | GTEx | DepMap | Descartes | 0.53 | 8.57 |
CDH12 | -0.0000851 | 7397 | GTEx | DepMap | Descartes | 0.02 | 0.85 |
PACRG | -0.0001011 | 7671 | GTEx | DepMap | Descartes | 0.09 | 6.13 |
SLC24A2 | -0.0001302 | 8168 | GTEx | DepMap | Descartes | 0.02 | 0.14 |
KSR2 | -0.0001746 | 8860 | GTEx | DepMap | Descartes | 0.11 | 0.74 |
CDH18 | -0.0001856 | 9003 | GTEx | DepMap | Descartes | 0.01 | 0.20 |
Descartes erythroblasts markers
Top 50 marker genes of erythroblasts cells in the Decartes fetal adrenal single cell map (https://atlas.brotmanbaty.org/bbi/human-gene-expression-during-development/cell/erythroblasts/in/adrenal)
Wilcoxon ranksum test P-value for gene set overrepresentation: 9.16e-01
Mean rank of genes in gene set: 7201.38
Median rank of genes in gene set: 7643
Rank on gene expression program of top 30 genes in gene set:
Genes | Weight | Rank | GTEx | DepMap | Descartes | Mean.Counts | Mean.TPM |
---|---|---|---|---|---|---|---|
FECH | 0.0008287 | 1147 | GTEx | DepMap | Descartes | 0.56 | 9.06 |
ANK1 | 0.0007402 | 1317 | GTEx | DepMap | Descartes | 0.56 | 7.22 |
SPTB | 0.0005416 | 1851 | GTEx | DepMap | Descartes | 0.18 | 1.92 |
SNCA | 0.0004010 | 2465 | GTEx | DepMap | Descartes | 0.85 | 34.42 |
TFR2 | 0.0003565 | 2688 | GTEx | DepMap | Descartes | 0.20 | 8.32 |
XPO7 | 0.0002096 | 3709 | GTEx | DepMap | Descartes | 0.89 | 22.14 |
TMCC2 | 0.0001596 | 4135 | GTEx | DepMap | Descartes | 0.34 | 8.83 |
TRAK2 | 0.0001586 | 4143 | GTEx | DepMap | Descartes | 0.64 | 12.55 |
CPOX | 0.0000779 | 4990 | GTEx | DepMap | Descartes | 0.34 | 16.70 |
ABCB10 | 0.0000528 | 5321 | GTEx | DepMap | Descartes | 0.22 | 6.74 |
TSPAN5 | 0.0000374 | 5513 | GTEx | DepMap | Descartes | 0.88 | 30.49 |
SLC25A21 | -0.0000138 | 6251 | GTEx | DepMap | Descartes | 0.01 | 0.58 |
EPB41 | -0.0000147 | 6260 | GTEx | DepMap | Descartes | 1.01 | 17.68 |
ALAS2 | -0.0000904 | 7496 | GTEx | DepMap | Descartes | 0.01 | 0.32 |
SLC4A1 | -0.0000991 | 7643 | GTEx | DepMap | Descartes | 0.02 | 0.61 |
RHD | -0.0001051 | 7732 | GTEx | DepMap | Descartes | 0.00 | 0.00 |
RAPGEF2 | -0.0001053 | 7738 | GTEx | DepMap | Descartes | 1.66 | 27.48 |
GCLC | -0.0001190 | 7986 | GTEx | DepMap | Descartes | 0.57 | 20.65 |
MARCH3 | -0.0002027 | 9230 | GTEx | DepMap | Descartes | 0.31 | NA |
DENND4A | -0.0002749 | 10111 | GTEx | DepMap | Descartes | 1.56 | 25.38 |
RGS6 | -0.0003102 | 10443 | GTEx | DepMap | Descartes | 0.01 | 0.51 |
SPECC1 | -0.0003136 | 10477 | GTEx | DepMap | Descartes | 0.21 | 4.00 |
BLVRB | -0.0003729 | 10937 | GTEx | DepMap | Descartes | 0.18 | 15.41 |
SELENBP1 | -0.0003912 | 11071 | GTEx | DepMap | Descartes | 0.08 | 5.67 |
MICAL2 | -0.0004084 | 11183 | GTEx | DepMap | Descartes | 0.67 | 15.16 |
SLC25A37 | -0.0004368 | 11354 | GTEx | DepMap | Descartes | 0.83 | 23.39 |
CAT | -0.0004899 | 11618 | GTEx | DepMap | Descartes | 0.51 | 26.90 |
SOX6 | -0.0005133 | 11716 | GTEx | DepMap | Descartes | 0.28 | 4.81 |
GYPC | -0.0007836 | 12315 | GTEx | DepMap | Descartes | 0.13 | 10.26 |
NA | NA | NA | NA | NA | NA | NA | NA |
Descartes myeloid markers
Top 50 marker genes of myeloid cells in the Decartes fetal adrenal single cell map (https://atlas.brotmanbaty.org/bbi/human-gene-expression-during-development/cell/myeloid/in/adrenal)
Wilcoxon ranksum test P-value for gene set overrepresentation: 1.00e+00
Mean rank of genes in gene set: 10812.45
Median rank of genes in gene set: 11099
Rank on gene expression program of top 30 genes in gene set:
Genes | Weight | Rank | GTEx | DepMap | Descartes | Mean.Counts | Mean.TPM |
---|---|---|---|---|---|---|---|
MERTK | 0.0004302 | 2318 | GTEx | DepMap | Descartes | 0.34 | 10.41 |
SPP1 | -0.0001469 | 8450 | GTEx | DepMap | Descartes | 0.33 | 35.63 |
FMN1 | -0.0001628 | 8701 | GTEx | DepMap | Descartes | 0.68 | 5.34 |
ITPR2 | -0.0001992 | 9182 | GTEx | DepMap | Descartes | 0.70 | 5.89 |
ATP8B4 | -0.0002151 | 9400 | GTEx | DepMap | Descartes | 0.01 | 0.18 |
CD163L1 | -0.0002196 | 9454 | GTEx | DepMap | Descartes | 0.09 | 2.32 |
IFNGR1 | -0.0002535 | 9870 | GTEx | DepMap | Descartes | 0.65 | 32.88 |
ADAP2 | -0.0002634 | 9983 | GTEx | DepMap | Descartes | 0.09 | 5.91 |
CD14 | -0.0002804 | 10165 | GTEx | DepMap | Descartes | 0.49 | 35.55 |
WWP1 | -0.0002928 | 10287 | GTEx | DepMap | Descartes | 0.33 | 7.58 |
SLC9A9 | -0.0003015 | 10370 | GTEx | DepMap | Descartes | 0.07 | 3.38 |
LGMN | -0.0003250 | 10565 | GTEx | DepMap | Descartes | 1.30 | 89.14 |
MS4A4A | -0.0003267 | 10586 | GTEx | DepMap | Descartes | 0.10 | 7.27 |
CSF1R | -0.0003478 | 10760 | GTEx | DepMap | Descartes | 0.18 | 5.76 |
MSR1 | -0.0003546 | 10810 | GTEx | DepMap | Descartes | 0.08 | 3.45 |
SLC1A3 | -0.0003704 | 10918 | GTEx | DepMap | Descartes | 0.11 | 3.78 |
CD163 | -0.0003745 | 10947 | GTEx | DepMap | Descartes | 0.35 | 6.98 |
CPVL | -0.0003804 | 11008 | GTEx | DepMap | Descartes | 0.28 | 14.41 |
FGD2 | -0.0003858 | 11042 | GTEx | DepMap | Descartes | 0.05 | 0.97 |
SLCO2B1 | -0.0004051 | 11156 | GTEx | DepMap | Descartes | 0.27 | 6.17 |
HCK | -0.0004170 | 11231 | GTEx | DepMap | Descartes | 0.11 | 7.57 |
MARCH1 | -0.0004335 | 11332 | GTEx | DepMap | Descartes | 0.07 | NA |
RGL1 | -0.0004384 | 11361 | GTEx | DepMap | Descartes | 0.36 | 11.13 |
CYBB | -0.0004395 | 11370 | GTEx | DepMap | Descartes | 0.14 | 4.06 |
SFMBT2 | -0.0004499 | 11424 | GTEx | DepMap | Descartes | 0.17 | 3.80 |
RBPJ | -0.0005084 | 11697 | GTEx | DepMap | Descartes | 2.66 | 55.59 |
FGL2 | -0.0005673 | 11892 | GTEx | DepMap | Descartes | 0.61 | 17.68 |
HRH1 | -0.0005969 | 11976 | GTEx | DepMap | Descartes | 0.12 | 2.93 |
CTSD | -0.0006315 | 12055 | GTEx | DepMap | Descartes | 1.50 | 103.77 |
AXL | -0.0006832 | 12161 | GTEx | DepMap | Descartes | 0.66 | 24.85 |
Descartes Schwann markers
Top 50 marker genes of Schwann cells in the Decartes fetal adrenal single cell map (https://atlas.brotmanbaty.org/bbi/human-gene-expression-during-development/cell/schwann/in/adrenal)
Wilcoxon ranksum test P-value for gene set overrepresentation: 1.00e+00
Mean rank of genes in gene set: 9221
Median rank of genes in gene set: 10618
Rank on gene expression program of top 30 genes in gene set:
Genes | Weight | Rank | GTEx | DepMap | Descartes | Mean.Counts | Mean.TPM |
---|---|---|---|---|---|---|---|
SFRP1 | 0.0012459 | 620 | GTEx | DepMap | Descartes | 3.63 | 100.79 |
GFRA3 | 0.0008356 | 1132 | GTEx | DepMap | Descartes | 1.37 | 81.17 |
EGFLAM | 0.0005085 | 1984 | GTEx | DepMap | Descartes | 0.79 | 21.58 |
SOX5 | 0.0003453 | 2744 | GTEx | DepMap | Descartes | 0.47 | 8.24 |
FIGN | 0.0003164 | 2917 | GTEx | DepMap | Descartes | 0.66 | 10.27 |
LRRTM4 | 0.0002530 | 3359 | GTEx | DepMap | Descartes | 0.14 | 4.80 |
DST | 0.0000709 | 5085 | GTEx | DepMap | Descartes | 6.21 | 37.87 |
MARCKS | 0.0000668 | 5141 | GTEx | DepMap | Descartes | 12.18 | 377.62 |
PAG1 | 0.0000378 | 5503 | GTEx | DepMap | Descartes | 3.60 | 41.94 |
GRIK3 | -0.0000445 | 6737 | GTEx | DepMap | Descartes | 0.23 | 3.36 |
IL1RAPL2 | -0.0001059 | 7746 | GTEx | DepMap | Descartes | 0.01 | 0.60 |
SORCS1 | -0.0001438 | 8398 | GTEx | DepMap | Descartes | 1.22 | 21.75 |
ERBB4 | -0.0002008 | 9200 | GTEx | DepMap | Descartes | 0.01 | 0.07 |
PTN | -0.0002022 | 9225 | GTEx | DepMap | Descartes | 0.46 | 43.15 |
PMP22 | -0.0002069 | 9295 | GTEx | DepMap | Descartes | 2.29 | 172.48 |
SLC35F1 | -0.0002516 | 9849 | GTEx | DepMap | Descartes | 0.21 | 6.93 |
MPZ | -0.0002692 | 10043 | GTEx | DepMap | Descartes | 0.22 | 22.30 |
PPP2R2B | -0.0002698 | 10052 | GTEx | DepMap | Descartes | 1.19 | 12.93 |
HMGA2 | -0.0002826 | 10183 | GTEx | DepMap | Descartes | 0.03 | 0.77 |
XKR4 | -0.0003041 | 10395 | GTEx | DepMap | Descartes | 0.32 | 2.90 |
PTPRZ1 | -0.0003167 | 10508 | GTEx | DepMap | Descartes | 0.18 | 4.18 |
PLCE1 | -0.0003281 | 10592 | GTEx | DepMap | Descartes | 0.15 | 2.00 |
ADAMTS5 | -0.0003345 | 10644 | GTEx | DepMap | Descartes | 0.13 | 2.07 |
COL25A1 | -0.0003390 | 10679 | GTEx | DepMap | Descartes | 0.06 | 0.55 |
OLFML2A | -0.0003630 | 10867 | GTEx | DepMap | Descartes | 0.51 | 13.93 |
IL1RAPL1 | -0.0003707 | 10923 | GTEx | DepMap | Descartes | 0.03 | 0.99 |
ERBB3 | -0.0003814 | 11013 | GTEx | DepMap | Descartes | 0.26 | 8.32 |
LAMA4 | -0.0003880 | 11053 | GTEx | DepMap | Descartes | 1.70 | 33.65 |
MDGA2 | -0.0003912 | 11072 | GTEx | DepMap | Descartes | 0.12 | 3.27 |
NRXN3 | -0.0004019 | 11136 | GTEx | DepMap | Descartes | 0.25 | 5.57 |
Descartes Megakaryocytes markers
Top 50 marker genes of Megakaryocytes cells in the Decartes fetal adrenal single cell map (https://atlas.brotmanbaty.org/bbi/human-gene-expression-during-development/cell/megakaryocytes/in/adrenal)
Wilcoxon ranksum test P-value for gene set overrepresentation: 1.00e+00
Mean rank of genes in gene set: 9665.96
Median rank of genes in gene set: 11441
Rank on gene expression program of top 30 genes in gene set:
Genes | Weight | Rank | GTEx | DepMap | Descartes | Mean.Counts | Mean.TPM |
---|---|---|---|---|---|---|---|
PRKAR2B | 0.0018576 | 289 | GTEx | DepMap | Descartes | 1.84 | 65.05 |
ITGA2B | 0.0010885 | 773 | GTEx | DepMap | Descartes | 0.32 | 10.08 |
HIPK2 | 0.0005818 | 1717 | GTEx | DepMap | Descartes | 3.21 | 25.50 |
STON2 | 0.0004661 | 2153 | GTEx | DepMap | Descartes | 0.35 | 8.98 |
FERMT3 | 0.0002764 | 3191 | GTEx | DepMap | Descartes | 0.74 | 37.12 |
RAB27B | 0.0002245 | 3592 | GTEx | DepMap | Descartes | 0.15 | 2.83 |
TUBB1 | 0.0001200 | 4516 | GTEx | DepMap | Descartes | 0.04 | 1.27 |
MED12L | -0.0000044 | 6112 | GTEx | DepMap | Descartes | 0.11 | 1.61 |
ACTB | -0.0000294 | 6494 | GTEx | DepMap | Descartes | 38.98 | 2159.28 |
TRPC6 | -0.0001476 | 8464 | GTEx | DepMap | Descartes | 0.01 | 0.44 |
ACTN1 | -0.0001693 | 8786 | GTEx | DepMap | Descartes | 4.17 | 115.54 |
SLC24A3 | -0.0001850 | 8994 | GTEx | DepMap | Descartes | 0.04 | 1.81 |
ITGB3 | -0.0001925 | 9107 | GTEx | DepMap | Descartes | 0.03 | 0.78 |
GP1BA | -0.0002020 | 9220 | GTEx | DepMap | Descartes | 0.01 | 0.38 |
CD9 | -0.0002141 | 9384 | GTEx | DepMap | Descartes | 1.51 | 119.53 |
P2RX1 | -0.0002413 | 9722 | GTEx | DepMap | Descartes | 0.02 | 1.10 |
ARHGAP6 | -0.0002600 | 9951 | GTEx | DepMap | Descartes | 0.07 | 2.47 |
PSTPIP2 | -0.0002678 | 10027 | GTEx | DepMap | Descartes | 0.04 | 1.87 |
MMRN1 | -0.0003073 | 10416 | GTEx | DepMap | Descartes | 0.03 | 0.97 |
ANGPT1 | -0.0004001 | 11124 | GTEx | DepMap | Descartes | 0.12 | 3.83 |
MCTP1 | -0.0004160 | 11227 | GTEx | DepMap | Descartes | 0.17 | 6.01 |
LIMS1 | -0.0004445 | 11399 | GTEx | DepMap | Descartes | 1.89 | 56.29 |
PLEK | -0.0004522 | 11441 | GTEx | DepMap | Descartes | 0.41 | 27.10 |
PDE3A | -0.0004543 | 11452 | GTEx | DepMap | Descartes | 0.35 | 6.56 |
UBASH3B | -0.0004619 | 11483 | GTEx | DepMap | Descartes | 0.23 | 5.17 |
INPP4B | -0.0004671 | 11510 | GTEx | DepMap | Descartes | 0.13 | 1.67 |
LTBP1 | -0.0005031 | 11679 | GTEx | DepMap | Descartes | 0.32 | 9.20 |
DOK6 | -0.0005081 | 11693 | GTEx | DepMap | Descartes | 0.24 | 3.47 |
FLI1 | -0.0005624 | 11881 | GTEx | DepMap | Descartes | 0.08 | 2.07 |
SPN | -0.0005643 | 11884 | GTEx | DepMap | Descartes | 0.03 | 0.63 |
Descartes Lyphoid markers
Top 50 marker genes of Lyphoid cells in the Decartes fetal adrenal single cell map (https://atlas.brotmanbaty.org/bbi/human-gene-expression-during-development/cell/lymphoid/in/adrenal)
Wilcoxon ranksum test P-value for gene set overrepresentation: 1.00e+00
Mean rank of genes in gene set: 10686.64
Median rank of genes in gene set: 12093
Rank on gene expression program of top 30 genes in gene set:
Genes | Weight | Rank | GTEx | DepMap | Descartes | Mean.Counts | Mean.TPM |
---|---|---|---|---|---|---|---|
STK39 | 0.0019431 | 257 | GTEx | DepMap | Descartes | 2.19 | 78.53 |
BCL2 | 0.0007348 | 1328 | GTEx | DepMap | Descartes | 2.74 | 42.03 |
TOX | 0.0006104 | 1645 | GTEx | DepMap | Descartes | 0.91 | 29.10 |
RAP1GAP2 | 0.0000734 | 5053 | GTEx | DepMap | Descartes | 1.19 | 24.16 |
DOCK10 | -0.0000871 | 7430 | GTEx | DepMap | Descartes | 0.90 | 14.67 |
NCALD | -0.0001209 | 8013 | GTEx | DepMap | Descartes | 0.54 | 18.39 |
SCML4 | -0.0001454 | 8422 | GTEx | DepMap | Descartes | 0.25 | 5.58 |
SORL1 | -0.0001750 | 8864 | GTEx | DepMap | Descartes | 1.51 | 17.46 |
SP100 | -0.0003302 | 10615 | GTEx | DepMap | Descartes | 1.74 | 40.40 |
SKAP1 | -0.0003459 | 10747 | GTEx | DepMap | Descartes | 0.02 | 2.78 |
SAMD3 | -0.0003677 | 10901 | GTEx | DepMap | Descartes | 0.04 | 2.04 |
CCND3 | -0.0003992 | 11115 | GTEx | DepMap | Descartes | 0.29 | 13.28 |
BACH2 | -0.0004159 | 11226 | GTEx | DepMap | Descartes | 0.54 | 6.83 |
MCTP2 | -0.0004386 | 11364 | GTEx | DepMap | Descartes | 0.01 | 0.23 |
TMSB10 | -0.0004596 | 11477 | GTEx | DepMap | Descartes | 19.67 | 5265.86 |
RCSD1 | -0.0004829 | 11585 | GTEx | DepMap | Descartes | 0.13 | 3.20 |
EVL | -0.0004897 | 11617 | GTEx | DepMap | Descartes | 2.43 | 78.34 |
PITPNC1 | -0.0004956 | 11634 | GTEx | DepMap | Descartes | 1.00 | 20.47 |
ANKRD44 | -0.0005618 | 11878 | GTEx | DepMap | Descartes | 0.29 | 4.69 |
FYN | -0.0005701 | 11902 | GTEx | DepMap | Descartes | 2.93 | 107.05 |
GNG2 | -0.0006429 | 12081 | GTEx | DepMap | Descartes | 1.53 | 50.73 |
PDE3B | -0.0006607 | 12105 | GTEx | DepMap | Descartes | 0.22 | 4.53 |
LEF1 | -0.0006627 | 12107 | GTEx | DepMap | Descartes | 0.17 | 6.92 |
ARHGAP15 | -0.0006628 | 12108 | GTEx | DepMap | Descartes | 0.18 | 12.68 |
CCL5 | -0.0007088 | 12202 | GTEx | DepMap | Descartes | 0.21 | 37.98 |
ITPKB | -0.0007120 | 12210 | GTEx | DepMap | Descartes | 0.33 | 9.21 |
PRKCH | -0.0007255 | 12235 | GTEx | DepMap | Descartes | 0.13 | 6.28 |
FOXP1 | -0.0007683 | 12287 | GTEx | DepMap | Descartes | 2.65 | 38.36 |
PLEKHA2 | -0.0007710 | 12289 | GTEx | DepMap | Descartes | 0.58 | 15.67 |
ABLIM1 | -0.0007884 | 12318 | GTEx | DepMap | Descartes | 0.79 | 12.66 |
Below shows the ranks on this GEP for immune marker gene lists curated by CellTypist (https://www.celltypist.org/encyclopedia).
High ranks indicate this gene is a driver of this GEP.
These curated gene list are ranked by P-value (on this GEP) of their constituent genes.
The Mean Count column shows the mean read count in cells scoring highly (H > 50) on this gene expression program.
Genes | Weight | Rank | GTEx | DepMap | Decartes | Mean.Counts | Mean.TPM |
---|---|---|---|---|---|---|---|
TOP2A | 0.0040336 | 33 | GTEx | DepMap | Descartes | 6.50 | 120.72 |
MKI67 | 0.0018665 | 285 | GTEx | DepMap | Descartes | 1.71 | 14.77 |
Cycling cells: Cycling gamma-delta T cells (curated markers)
proliferating gamma-delta (γδ) T lymphocytes:
Wilcoxon ranksum test P-value for gene set overrepresentation: 8.48e-03
Mean rank of genes in gene set: 159
Rank on gene expression program of genes in gene set:
Genes | Weight | Rank | GTEx | DepMap | Decartes | Mean.Counts | Mean.TPM |
---|---|---|---|---|---|---|---|
TOP2A | 0.0040336 | 33 | GTEx | DepMap | Descartes | 6.50 | 120.72 |
MKI67 | 0.0018665 | 285 | GTEx | DepMap | Descartes | 1.71 | 14.77 |
Cycling cells: Cycling monocytes (curated markers)
proliferating monocytes:
Wilcoxon ranksum test P-value for gene set overrepresentation: 8.48e-03
Mean rank of genes in gene set: 159
Rank on gene expression program of genes in gene set:
Genes | Weight | Rank | GTEx | DepMap | Decartes | Mean.Counts | Mean.TPM |
---|---|---|---|---|---|---|---|
TOP2A | 0.0040336 | 33 | GTEx | DepMap | Descartes | 6.50 | 120.72 |
MKI67 | 0.0018665 | 285 | GTEx | DepMap | Descartes | 1.71 | 14.77 |