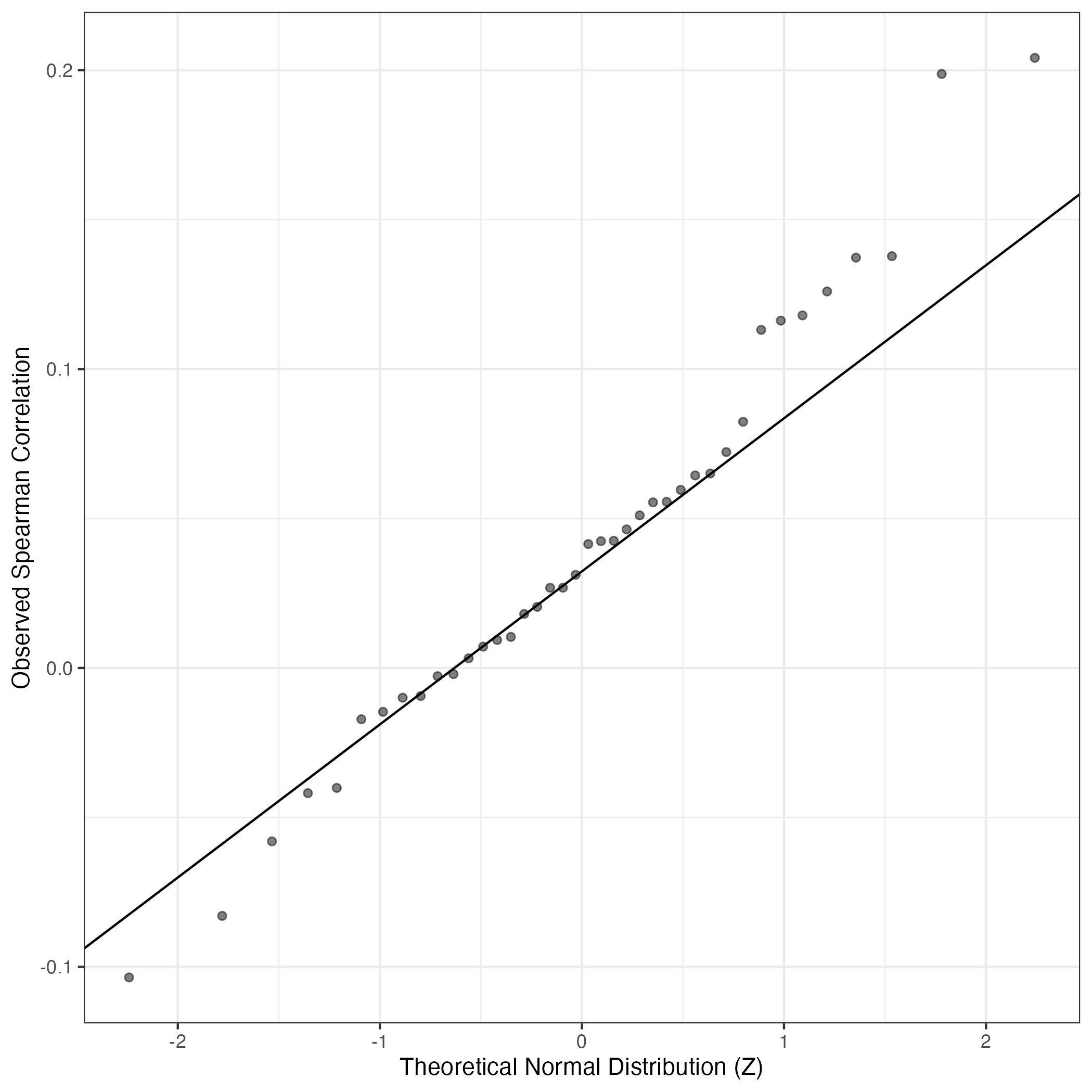
QQ-plot of gene loadings, averaged over both independent splits of the data
This plot highlights the relative contribution of each gene to the GEP
Top genes driving this program.
Note: Decartes website is buggy, try refreshing. Also, Decartes fetal adrenal data have been collected at specific time points (89-122 days), all possible cell types of interest may not be represented, do not overinterpret.
The Mean Count column shows the mean read count in cells scoring highly (H > 50) on this gene expression program.
Gene | Loading | Gene.Name | GTEx | DepMap | Descartes | Mean.Counts | Mean.Tpm | |
---|---|---|---|---|---|---|---|---|
1 | IDO1 | 0.0157024 | indoleamine 2,3-dioxygenase 1 | GTEx | DepMap | Descartes | 1.22 | 137.22 |
2 | CPVL | 0.0150054 | carboxypeptidase vitellogenic like | GTEx | DepMap | Descartes | 4.85 | 360.03 |
3 | LGALS2 | 0.0148709 | galectin 2 | GTEx | DepMap | Descartes | 7.48 | 2501.69 |
4 | WDFY4 | 0.0118121 | WDFY family member 4 | GTEx | DepMap | Descartes | 0.59 | 9.48 |
5 | CST3 | 0.0113083 | cystatin C | GTEx | DepMap | Descartes | 41.71 | 2449.73 |
6 | BATF3 | 0.0081549 | basic leucine zipper ATF-like transcription factor 3 | GTEx | DepMap | Descartes | 0.58 | 48.61 |
7 | NRARP | 0.0067561 | NOTCH regulated ankyrin repeat protein | GTEx | DepMap | Descartes | 0.44 | 26.84 |
8 | GPR157 | 0.0066418 | G protein-coupled receptor 157 | GTEx | DepMap | Descartes | 0.27 | 8.42 |
9 | CD74 | 0.0058178 | CD74 molecule | GTEx | DepMap | Descartes | 95.84 | 6015.95 |
10 | FGL2 | 0.0057253 | fibrinogen like 2 | GTEx | DepMap | Descartes | 3.90 | 158.71 |
11 | TSPAN33 | 0.0056296 | tetraspanin 33 | GTEx | DepMap | Descartes | 0.58 | 35.50 |
12 | SNX3 | 0.0056038 | sorting nexin 3 | GTEx | DepMap | Descartes | 5.02 | 627.36 |
13 | LIPH | 0.0051871 | lipase H | GTEx | DepMap | Descartes | 0.01 | 0.52 |
14 | CLNK | 0.0050121 | cytokine dependent hematopoietic cell linker | GTEx | DepMap | Descartes | 0.14 | 4.24 |
15 | RAB32 | 0.0045096 | RAB32, member RAS oncogene family | GTEx | DepMap | Descartes | 1.62 | 246.75 |
16 | DAPP1 | 0.0041188 | dual adaptor of phosphotyrosine and 3-phosphoinositides 1 | GTEx | DepMap | Descartes | 0.48 | 32.11 |
17 | BCL2L14 | 0.0039793 | BCL2 like 14 | GTEx | DepMap | Descartes | 0.08 | 7.82 |
18 | LSP1 | 0.0037449 | lymphocyte specific protein 1 | GTEx | DepMap | Descartes | 2.93 | 212.09 |
19 | VDR | 0.0036779 | vitamin D receptor | GTEx | DepMap | Descartes | 0.17 | 6.87 |
20 | NAAA | 0.0036670 | N-acylethanolamine acid amidase | GTEx | DepMap | Descartes | 0.70 | 61.00 |
21 | CD40 | 0.0035994 | CD40 molecule | GTEx | DepMap | Descartes | 0.72 | 76.08 |
22 | KCNK6 | 0.0035842 | potassium two pore domain channel subfamily K member 6 | GTEx | DepMap | Descartes | 0.38 | 12.26 |
23 | CD207 | 0.0035157 | CD207 molecule | GTEx | DepMap | Descartes | 0.10 | 9.18 |
24 | CTSH | 0.0035088 | cathepsin H | GTEx | DepMap | Descartes | 4.24 | 351.33 |
25 | CIITA | 0.0035084 | class II major histocompatibility complex transactivator | GTEx | DepMap | Descartes | 0.46 | 5.07 |
26 | ASB2 | 0.0034756 | ankyrin repeat and SOCS box containing 2 | GTEx | DepMap | Descartes | 0.17 | 12.32 |
27 | RGS10 | 0.0034719 | regulator of G protein signaling 10 | GTEx | DepMap | Descartes | 5.29 | 1057.22 |
28 | SLC24A4 | 0.0034213 | solute carrier family 24 member 4 | GTEx | DepMap | Descartes | 0.08 | 1.15 |
29 | EHF | 0.0033210 | ETS homologous factor | GTEx | DepMap | Descartes | 0.02 | 1.19 |
30 | PYCARD | 0.0033034 | PYD and CARD domain containing | GTEx | DepMap | Descartes | 3.26 | 538.38 |
31 | COTL1 | 0.0032743 | coactosin like F-actin binding protein 1 | GTEx | DepMap | Descartes | 8.39 | 290.34 |
32 | CYP2S1 | 0.0032575 | cytochrome P450 family 2 subfamily S member 1 | GTEx | DepMap | Descartes | 0.14 | 12.08 |
33 | PLEK | 0.0032059 | pleckstrin | GTEx | DepMap | Descartes | 2.82 | 171.50 |
34 | GSTP1 | 0.0031578 | glutathione S-transferase pi 1 | GTEx | DepMap | Descartes | 9.73 | 1001.29 |
35 | ENPP1 | 0.0031254 | ectonucleotide pyrophosphatase/phosphodiesterase 1 | GTEx | DepMap | Descartes | 0.06 | 1.43 |
36 | SLAMF7 | 0.0030797 | SLAM family member 7 | GTEx | DepMap | Descartes | 0.49 | 24.22 |
37 | LAMP3 | 0.0030193 | lysosomal associated membrane protein 3 | GTEx | DepMap | Descartes | 0.15 | 9.33 |
38 | P2RY14 | 0.0030039 | purinergic receptor P2Y14 | GTEx | DepMap | Descartes | 0.19 | 16.68 |
39 | SERPINF2 | 0.0029898 | serpin family F member 2 | GTEx | DepMap | Descartes | 0.16 | 14.78 |
40 | SPI1 | 0.0029514 | Spi-1 proto-oncogene | GTEx | DepMap | Descartes | 3.11 | 425.42 |
41 | SLAMF8 | 0.0029068 | SLAM family member 8 | GTEx | DepMap | Descartes | 0.56 | 27.71 |
42 | ACTB | 0.0028976 | actin beta | GTEx | DepMap | Descartes | 49.06 | 3949.36 |
43 | TMSB4X | 0.0028912 | thymosin beta 4 X-linked | GTEx | DepMap | Descartes | 204.20 | 22831.52 |
44 | SGK1 | 0.0028844 | serum/glucocorticoid regulated kinase 1 | GTEx | DepMap | Descartes | 4.15 | 130.67 |
45 | PPT1 | 0.0028786 | palmitoyl-protein thioesterase 1 | GTEx | DepMap | Descartes | 2.01 | 85.56 |
46 | GRASP | 0.0028704 | NA | GTEx | DepMap | Descartes | 1.61 | 147.96 |
47 | SMCO4 | 0.0028193 | single-pass membrane protein with coiled-coil domains 4 | GTEx | DepMap | Descartes | 1.19 | NA |
48 | LCP1 | 0.0027871 | lymphocyte cytosolic protein 1 | GTEx | DepMap | Descartes | 2.50 | 107.33 |
49 | CD83 | 0.0027652 | CD83 molecule | GTEx | DepMap | Descartes | 6.23 | 484.46 |
50 | PSME2 | 0.0027381 | proteasome activator subunit 2 | GTEx | DepMap | Descartes | 4.48 | 279.58 |
UMAP plots showing activity of gene expression program identified in GEP 22. Intermediate Monocyte:
CNV Data procured from inferCNV.
Outer tracks are putative CNV regions (gains = red, losses = blue) for each patient
Inner track is expression data representing:
The top cells expressing this GEP (purple)
Random cells (n =50) from the reference set used in inferCNV (orange)
Gene set Enrichments for this program, caculated from top 50 genes
mSigDB Cell Types Gene Set:
P-value | OR | Lower 95% CI | FDR | FWER | Genes Found | Gene Set Size | |
---|---|---|---|---|---|---|---|
DESCARTES_FETAL_THYMUS_ANTIGEN_PRESENTING_CELLS | 4.48e-25 | 54.76 | 28.80 | 3.01e-22 | 3.01e-22 | 20IDO1, CPVL, WDFY4, BATF3, GPR157, CD74, FGL2, TSPAN33, CLNK, DAPP1, BCL2L14, NAAA, CTSH, SLC24A4, PLEK, SLAMF7, P2RY14, SPI1, SLAMF8, CD83 |
172 |
DESCARTES_FETAL_STOMACH_MYELOID_CELLS | 1.31e-11 | 40.92 | 16.80 | 7.99e-10 | 8.79e-09 | 9IDO1, CPVL, WDFY4, CST3, CD74, CIITA, PLEK, SPI1, CD83 |
76 |
BUSSLINGER_ESOPHAGEAL_DENDRITIC_CELLS | 2.09e-18 | 32.67 | 16.77 | 4.67e-16 | 1.40e-15 | 17CPVL, CST3, CD74, FGL2, LSP1, CD207, CTSH, RGS10, COTL1, PLEK, SPI1, ACTB, TMSB4X, SGK1, PPT1, LCP1, CD83 |
214 |
DESCARTES_FETAL_LUNG_MYELOID_CELLS | 1.05e-16 | 33.26 | 16.53 | 1.76e-14 | 7.04e-14 | 15IDO1, CPVL, WDFY4, BATF3, CD74, FGL2, CLNK, CD207, CIITA, ASB2, SLC24A4, P2RY14, SPI1, SLAMF8, CD83 |
176 |
DURANTE_ADULT_OLFACTORY_NEUROEPITHELIUM_MACROPHAGES | 2.36e-11 | 38.04 | 15.67 | 1.22e-09 | 1.58e-08 | 9CST3, CD74, FGL2, RAB32, RGS10, COTL1, SPI1, SGK1, CD83 |
81 |
DURANTE_ADULT_OLFACTORY_NEUROEPITHELIUM_DENDRITIC_CELLS | 7.15e-13 | 33.23 | 14.93 | 5.31e-11 | 4.80e-10 | 11CPVL, LGALS2, CST3, FGL2, LSP1, PYCARD, COTL1, PLEK, SPI1, ACTB, LCP1 |
117 |
RUBENSTEIN_SKELETAL_MUSCLE_MYELOID_CELLS | 5.20e-19 | 25.49 | 13.57 | 1.74e-16 | 3.49e-16 | 20CPVL, CST3, CD74, FGL2, SNX3, LSP1, NAAA, CTSH, RGS10, PYCARD, COTL1, PLEK, GSTP1, SPI1, ACTB, TMSB4X, PPT1, SMCO4, LCP1, CD83 |
347 |
MENON_FETAL_KIDNEY_10_IMMUNE_CELLS | 1.06e-09 | 31.71 | 12.43 | 4.35e-08 | 7.09e-07 | 8CST3, CD74, FGL2, RGS10, COTL1, ACTB, TMSB4X, LCP1 |
83 |
DURANTE_ADULT_OLFACTORY_NEUROEPITHELIUM_MONOCYTES | 4.19e-07 | 40.76 | 11.90 | 1.16e-05 | 2.81e-04 | 5CD74, FGL2, RGS10, SGK1, CD83 |
39 |
AIZARANI_LIVER_C2_KUPFFER_CELLS_1 | 5.03e-13 | 23.47 | 11.26 | 4.22e-11 | 3.37e-10 | 13CPVL, WDFY4, CST3, FGL2, CTSH, CIITA, RGS10, COTL1, PLEK, TMSB4X, SGK1, PPT1, CD83 |
200 |
DESCARTES_FETAL_INTESTINE_MYELOID_CELLS | 1.11e-13 | 22.83 | 11.20 | 1.25e-11 | 7.48e-11 | 14IDO1, CPVL, WDFY4, CST3, CD74, FGL2, DAPP1, CD207, CIITA, SLC24A4, PLEK, SLAMF7, SPI1, CD83 |
227 |
FAN_OVARY_CL13_MONOCYTE_MACROPHAGE | 1.87e-15 | 17.46 | 9.24 | 2.51e-13 | 1.26e-12 | 19CPVL, LGALS2, CST3, CD74, FGL2, SNX3, LSP1, CTSH, RGS10, PYCARD, COTL1, PLEK, SPI1, ACTB, TMSB4X, PPT1, LCP1, CD83, PSME2 |
458 |
TRAVAGLINI_LUNG_MYELOID_DENDRITIC_TYPE_1_CELL | 5.49e-05 | 49.70 | 8.99 | 1.08e-03 | 3.68e-02 | 3CST3, FGL2, CTSH |
19 |
GAO_LARGE_INTESTINE_24W_C11_PANETH_LIKE_CELL | 7.92e-13 | 17.29 | 8.68 | 5.31e-11 | 5.31e-10 | 15CPVL, WDFY4, CD74, FGL2, TSPAN33, LSP1, CD40, COTL1, PLEK, SLAMF7, SPI1, SLAMF8, SGK1, LCP1, CD83 |
325 |
DESCARTES_FETAL_PLACENTA_MYELOID_CELLS | 4.61e-09 | 20.03 | 8.39 | 1.55e-07 | 3.09e-06 | 9CPVL, LGALS2, CD74, FGL2, CIITA, CYP2S1, LAMP3, SLAMF8, CD83 |
146 |
AIZARANI_LIVER_C25_KUPFFER_CELLS_4 | 1.13e-09 | 19.06 | 8.35 | 4.35e-08 | 7.59e-07 | 10CPVL, CST3, FGL2, CIITA, COTL1, PLEK, ACTB, SGK1, PPT1, CD83 |
174 |
HU_FETAL_RETINA_MICROGLIA | 4.85e-13 | 16.07 | 8.21 | 4.22e-11 | 3.26e-10 | 16CPVL, CST3, CD74, FGL2, LSP1, RGS10, PYCARD, COTL1, PLEK, SPI1, ACTB, TMSB4X, SGK1, PPT1, LCP1, CD83 |
382 |
CUI_DEVELOPING_HEART_C8_MACROPHAGE | 2.67e-11 | 16.77 | 8.08 | 1.28e-09 | 1.79e-08 | 13CPVL, CST3, CD74, FGL2, LSP1, RGS10, PYCARD, COTL1, PLEK, SPI1, SGK1, LCP1, CD83 |
275 |
AIZARANI_LIVER_C6_KUPFFER_CELLS_2 | 9.30e-10 | 16.25 | 7.40 | 4.16e-08 | 6.24e-07 | 11CPVL, CST3, FGL2, PYCARD, COTL1, PLEK, SPI1, ACTB, SGK1, PPT1, CD83 |
228 |
DESCARTES_FETAL_PANCREAS_MYELOID_CELLS | 1.17e-09 | 15.88 | 7.24 | 4.35e-08 | 7.82e-07 | 11IDO1, CPVL, BATF3, FGL2, CLNK, SLC24A4, PLEK, SLAMF7, SPI1, SLAMF8, CD83 |
233 |
Dowload full table
mSigDB Hallmark Gene Sets:
P-value | OR | Lower 95% CI | FDR | FWER | Genes Found | Gene Set Size | |
---|---|---|---|---|---|---|---|
HALLMARK_INTERFERON_GAMMA_RESPONSE | 9.73e-07 | 12.40 | 4.96 | 4.87e-05 | 4.87e-05 | 8IDO1, CD74, FGL2, CD40, CIITA, SLAMF7, P2RY14, PSME2 |
200 |
HALLMARK_INTERFERON_ALPHA_RESPONSE | 6.61e-03 | 8.48 | 1.66 | 1.26e-01 | 3.30e-01 | 3CD74, LAMP3, PSME2 |
97 |
HALLMARK_IL2_STAT5_SIGNALING | 7.58e-03 | 5.57 | 1.44 | 1.26e-01 | 3.79e-01 | 4BATF3, FGL2, ENPP1, CD83 |
199 |
HALLMARK_TNFA_SIGNALING_VIA_NFKB | 4.35e-02 | 4.05 | 0.80 | 4.35e-01 | 1.00e+00 | 3PLEK, SGK1, CD83 |
200 |
HALLMARK_ALLOGRAFT_REJECTION | 4.35e-02 | 4.05 | 0.80 | 4.35e-01 | 1.00e+00 | 3CD74, CD40, SPI1 |
200 |
HALLMARK_COAGULATION | 1.03e-01 | 3.83 | 0.45 | 7.70e-01 | 1.00e+00 | 2CTSH, PLEK |
138 |
HALLMARK_COMPLEMENT | 1.85e-01 | 2.63 | 0.31 | 7.70e-01 | 1.00e+00 | 2CTSH, PLEK |
200 |
HALLMARK_MTORC1_SIGNALING | 1.85e-01 | 2.63 | 0.31 | 7.70e-01 | 1.00e+00 | 2FGL2, DAPP1 |
200 |
HALLMARK_INFLAMMATORY_RESPONSE | 1.85e-01 | 2.63 | 0.31 | 7.70e-01 | 1.00e+00 | 2CD40, LAMP3 |
200 |
HALLMARK_KRAS_SIGNALING_DN | 1.85e-01 | 2.63 | 0.31 | 7.70e-01 | 1.00e+00 | 2CD207, SGK1 |
200 |
HALLMARK_PANCREAS_BETA_CELLS | 1.47e-01 | 6.54 | 0.16 | 7.70e-01 | 1.00e+00 | 1VDR |
40 |
HALLMARK_REACTIVE_OXYGEN_SPECIES_PATHWAY | 1.77e-01 | 5.31 | 0.13 | 7.70e-01 | 1.00e+00 | 1LSP1 |
49 |
HALLMARK_PROTEIN_SECRETION | 3.17e-01 | 2.68 | 0.07 | 1.00e+00 | 1.00e+00 | 1PPT1 |
96 |
HALLMARK_ANDROGEN_RESPONSE | 3.28e-01 | 2.58 | 0.06 | 1.00e+00 | 1.00e+00 | 1SGK1 |
100 |
HALLMARK_PI3K_AKT_MTOR_SIGNALING | 3.41e-01 | 2.45 | 0.06 | 1.00e+00 | 1.00e+00 | 1DAPP1 |
105 |
HALLMARK_UV_RESPONSE_UP | 4.66e-01 | 1.62 | 0.04 | 1.00e+00 | 1.00e+00 | 1PPT1 |
158 |
HALLMARK_APOPTOSIS | 4.72e-01 | 1.59 | 0.04 | 1.00e+00 | 1.00e+00 | 1PPT1 |
161 |
HALLMARK_ESTROGEN_RESPONSE_LATE | 5.47e-01 | 1.28 | 0.03 | 1.00e+00 | 1.00e+00 | 1SGK1 |
200 |
HALLMARK_MYOGENESIS | 5.47e-01 | 1.28 | 0.03 | 1.00e+00 | 1.00e+00 | 1LSP1 |
200 |
HALLMARK_APICAL_JUNCTION | 5.47e-01 | 1.28 | 0.03 | 1.00e+00 | 1.00e+00 | 1ACTB |
200 |
Dowload full table
KEGG Pathways:
P-value | OR | Lower 95% CI | FDR | FWER | Genes Found | Gene Set Size | |
---|---|---|---|---|---|---|---|
KEGG_ANTIGEN_PROCESSING_AND_PRESENTATION | 5.05e-03 | 9.38 | 1.83 | 7.45e-01 | 9.39e-01 | 3CD74, CIITA, PSME2 |
88 |
KEGG_PRIMARY_IMMUNODEFICIENCY | 8.47e-03 | 15.77 | 1.78 | 7.45e-01 | 1.00e+00 | 2CD40, CIITA |
35 |
KEGG_LYSOSOME | 1.20e-02 | 6.76 | 1.33 | 7.45e-01 | 1.00e+00 | 3CTSH, LAMP3, PPT1 |
121 |
KEGG_METABOLISM_OF_XENOBIOTICS_BY_CYTOCHROME_P450 | 3.13e-02 | 7.66 | 0.88 | 1.00e+00 | 1.00e+00 | 2CYP2S1, GSTP1 |
70 |
KEGG_VIRAL_MYOCARDITIS | 3.13e-02 | 7.66 | 0.88 | 1.00e+00 | 1.00e+00 | 2CD40, ACTB |
70 |
KEGG_RIBOFLAVIN_METABOLISM | 6.18e-02 | 16.98 | 0.40 | 1.00e+00 | 1.00e+00 | 1ENPP1 |
16 |
KEGG_PANTOTHENATE_AND_COA_BIOSYNTHESIS | 6.18e-02 | 16.98 | 0.40 | 1.00e+00 | 1.00e+00 | 1ENPP1 |
16 |
KEGG_REGULATION_OF_ACTIN_CYTOSKELETON | 2.03e-01 | 2.47 | 0.29 | 1.00e+00 | 1.00e+00 | 2ACTB, TMSB4X |
213 |
KEGG_NICOTINATE_AND_NICOTINAMIDE_METABOLISM | 9.13e-02 | 11.08 | 0.26 | 1.00e+00 | 1.00e+00 | 1ENPP1 |
24 |
KEGG_ASTHMA | 1.13e-01 | 8.79 | 0.21 | 1.00e+00 | 1.00e+00 | 1CD40 |
30 |
KEGG_PATHWAYS_IN_CANCER | 3.61e-01 | 1.61 | 0.19 | 1.00e+00 | 1.00e+00 | 2GSTP1, SPI1 |
325 |
KEGG_ALLOGRAFT_REJECTION | 1.37e-01 | 7.08 | 0.17 | 1.00e+00 | 1.00e+00 | 1CD40 |
37 |
KEGG_TRYPTOPHAN_METABOLISM | 1.47e-01 | 6.54 | 0.16 | 1.00e+00 | 1.00e+00 | 1IDO1 |
40 |
KEGG_ALDOSTERONE_REGULATED_SODIUM_REABSORPTION | 1.54e-01 | 6.22 | 0.15 | 1.00e+00 | 1.00e+00 | 1SGK1 |
42 |
KEGG_PROTEASOME | 1.67e-01 | 5.67 | 0.14 | 1.00e+00 | 1.00e+00 | 1PSME2 |
46 |
KEGG_INTESTINAL_IMMUNE_NETWORK_FOR_IGA_PRODUCTION | 1.74e-01 | 5.43 | 0.13 | 1.00e+00 | 1.00e+00 | 1CD40 |
48 |
KEGG_GLUTATHIONE_METABOLISM | 1.81e-01 | 5.21 | 0.13 | 1.00e+00 | 1.00e+00 | 1GSTP1 |
50 |
KEGG_STARCH_AND_SUCROSE_METABOLISM | 1.87e-01 | 5.00 | 0.12 | 1.00e+00 | 1.00e+00 | 1ENPP1 |
52 |
KEGG_AUTOIMMUNE_THYROID_DISEASE | 1.87e-01 | 5.00 | 0.12 | 1.00e+00 | 1.00e+00 | 1CD40 |
52 |
KEGG_VIBRIO_CHOLERAE_INFECTION | 1.94e-01 | 4.81 | 0.12 | 1.00e+00 | 1.00e+00 | 1ACTB |
54 |
Dowload full table
CHR Positional Gene Sets:
P-value | OR | Lower 95% CI | FDR | FWER | Genes Found | Gene Set Size | |
---|---|---|---|---|---|---|---|
chr6q23 | 6.57e-02 | 5.01 | 0.58 | 1.00e+00 | 1.00e+00 | 2ENPP1, SGK1 |
106 |
chr3q27 | 7.56e-02 | 4.61 | 0.54 | 1.00e+00 | 1.00e+00 | 2LIPH, LAMP3 |
115 |
chr6p23 | 5.81e-02 | 18.20 | 0.42 | 1.00e+00 | 1.00e+00 | 1CD83 |
15 |
chr1q23 | 2.09e-01 | 2.42 | 0.28 | 1.00e+00 | 1.00e+00 | 2SLAMF7, SLAMF8 |
217 |
chr14q32 | 1.00e+00 | 0.96 | 0.11 | 1.00e+00 | 1.00e+00 | 2ASB2, SLC24A4 |
546 |
chr2p14 | 2.06e-01 | 4.47 | 0.11 | 1.00e+00 | 1.00e+00 | 1PLEK |
58 |
chr6q24 | 2.49e-01 | 3.59 | 0.09 | 1.00e+00 | 1.00e+00 | 1RAB32 |
72 |
chr7q32 | 3.01e-01 | 2.87 | 0.07 | 1.00e+00 | 1.00e+00 | 1TSPAN33 |
90 |
chr8p11 | 3.15e-01 | 2.71 | 0.07 | 1.00e+00 | 1.00e+00 | 1IDO1 |
95 |
chr14q12 | 3.31e-01 | 2.55 | 0.06 | 1.00e+00 | 1.00e+00 | 1PSME2 |
101 |
chr5q33 | 3.52e-01 | 2.36 | 0.06 | 1.00e+00 | 1.00e+00 | 1CD74 |
109 |
chr6q21 | 3.72e-01 | 2.20 | 0.05 | 1.00e+00 | 1.00e+00 | 1SNX3 |
117 |
chr19q13 | 4.39e-01 | 0.45 | 0.05 | 1.00e+00 | 1.00e+00 | 2KCNK6, CYP2S1 |
1165 |
chr7p22 | 3.82e-01 | 2.13 | 0.05 | 1.00e+00 | 1.00e+00 | 1ACTB |
121 |
chr16q24 | 4.03e-01 | 1.98 | 0.05 | 1.00e+00 | 1.00e+00 | 1COTL1 |
130 |
chr2p13 | 4.20e-01 | 1.88 | 0.05 | 1.00e+00 | 1.00e+00 | 1CD207 |
137 |
chr11p11 | 4.38e-01 | 1.77 | 0.04 | 1.00e+00 | 1.00e+00 | 1SPI1 |
145 |
chr20p11 | 4.38e-01 | 1.77 | 0.04 | 1.00e+00 | 1.00e+00 | 1CST3 |
145 |
chr15q25 | 4.53e-01 | 1.69 | 0.04 | 1.00e+00 | 1.00e+00 | 1CTSH |
152 |
chr3q25 | 4.53e-01 | 1.69 | 0.04 | 1.00e+00 | 1.00e+00 | 1P2RY14 |
152 |
Dowload full table
Transcription Factor Targets:
P-value | OR | Lower 95% CI | FDR | FWER | Genes Found | Gene Set Size | |
---|---|---|---|---|---|---|---|
IRF1_Q6 | 3.50e-03 | 5.38 | 1.65 | 8.21e-01 | 1.00e+00 | 5DAPP1, LSP1, CIITA, SGK1, PSME2 |
263 |
SRF_Q5_01 | 1.15e-02 | 4.92 | 1.27 | 8.21e-01 | 1.00e+00 | 4ASB2, ACTB, SGK1, LCP1 |
225 |
RYTTCCTG_ETS2_B | 6.26e-03 | 2.84 | 1.26 | 8.21e-01 | 1.00e+00 | 10WDFY4, DAPP1, LSP1, CD40, ENPP1, SPI1, ACTB, SGK1, LCP1, PSME2 |
1112 |
NFKAPPAB_01 | 1.73e-02 | 4.33 | 1.12 | 8.21e-01 | 1.00e+00 | 4CD40, EHF, SLAMF8, CD83 |
255 |
NFKB_Q6 | 1.80e-02 | 4.28 | 1.11 | 8.21e-01 | 1.00e+00 | 4CD40, EHF, SLAMF8, CD83 |
258 |
PEA3_Q6 | 1.91e-02 | 4.20 | 1.09 | 8.21e-01 | 1.00e+00 | 4WDFY4, BCL2L14, EHF, SPI1 |
263 |
NFKB_C | 2.03e-02 | 4.12 | 1.07 | 8.21e-01 | 1.00e+00 | 4CD74, CD40, EHF, SLAMF8 |
268 |
ZNF768_TARGET_GENES | 5.47e-02 | 2.05 | 0.88 | 1.00e+00 | 1.00e+00 | 9CPVL, SNX3, CIITA, ASB2, SLAMF8, SGK1, SMCO4, LCP1, CD83 |
1346 |
STTTCRNTTT_IRF_Q6 | 3.94e-02 | 4.22 | 0.83 | 1.00e+00 | 1.00e+00 | 3IDO1, CIITA, PSME2 |
192 |
EGFR_TARGET_GENES | 3.14e-02 | 36.29 | 0.79 | 1.00e+00 | 1.00e+00 | 1ACTB |
8 |
SRF_C | 5.18e-02 | 3.76 | 0.74 | 1.00e+00 | 1.00e+00 | 3ASB2, ACTB, LCP1 |
215 |
MAP2K1_TARGET_GENES | 3.53e-02 | 31.82 | 0.70 | 1.00e+00 | 1.00e+00 | 1SGK1 |
9 |
CCAWWNAAGG_SRF_Q4 | 4.73e-02 | 6.05 | 0.70 | 1.00e+00 | 1.00e+00 | 2LSP1, ACTB |
88 |
BACH2_TARGET_GENES | 2.14e-01 | 1.57 | 0.70 | 1.00e+00 | 1.00e+00 | 10WDFY4, FGL2, VDR, KCNK6, CIITA, PLEK, GSTP1, ACTB, TMSB4X, LCP1 |
1998 |
NFKB_Q6_01 | 6.53e-02 | 3.41 | 0.67 | 1.00e+00 | 1.00e+00 | 3CD40, EHF, SLAMF8 |
237 |
TEL2_Q6 | 6.72e-02 | 3.37 | 0.67 | 1.00e+00 | 1.00e+00 | 3WDFY4, DAPP1, LCP1 |
240 |
NFKAPPAB65_01 | 6.79e-02 | 3.35 | 0.66 | 1.00e+00 | 1.00e+00 | 3CD40, EHF, SLAMF8 |
241 |
ADNP_TARGET_GENES | 5.32e-02 | 5.66 | 0.66 | 1.00e+00 | 1.00e+00 | 2CIITA, PSME2 |
94 |
IRF_Q6 | 6.98e-02 | 3.31 | 0.65 | 1.00e+00 | 1.00e+00 | 3DAPP1, LSP1, CIITA |
244 |
USF_Q6_01 | 6.98e-02 | 3.31 | 0.65 | 1.00e+00 | 1.00e+00 | 3BATF3, GPR157, SGK1 |
244 |
Dowload full table
GO Biological Processes:
P-value | OR | Lower 95% CI | FDR | FWER | Genes Found | Gene Set Size | |
---|---|---|---|---|---|---|---|
GOBP_REGULATION_OF_ANTIGEN_PROCESSING_AND_PRESENTATION | 6.44e-05 | 46.77 | 8.51 | 9.63e-02 | 4.82e-01 | 3CD74, FGL2, PYCARD |
20 |
GOBP_POSITIVE_REGULATION_OF_ANTIGEN_PROCESSING_AND_PRESENTATION | 5.49e-04 | 74.10 | 7.33 | 2.48e-01 | 1.00e+00 | 2CD74, PYCARD |
9 |
GOBP_REGULATION_OF_DENDRITIC_CELL_ANTIGEN_PROCESSING_AND_PRESENTATION | 8.35e-04 | 57.69 | 5.91 | 2.71e-01 | 1.00e+00 | 2CD74, FGL2 |
11 |
GOBP_MYELOID_DENDRITIC_CELL_ACTIVATION | 2.01e-04 | 30.63 | 5.74 | 1.37e-01 | 1.00e+00 | 3BATF3, PYCARD, SPI1 |
29 |
GOBP_DENDRITIC_CELL_ANTIGEN_PROCESSING_AND_PRESENTATION | 1.58e-03 | 39.95 | 4.27 | 3.13e-01 | 1.00e+00 | 2CD74, FGL2 |
15 |
GOBP_NEGATIVE_REGULATION_OF_COLLAGEN_METABOLIC_PROCESS | 1.58e-03 | 39.95 | 4.27 | 3.13e-01 | 1.00e+00 | 2CST3, CIITA |
15 |
GOBP_ANTIGEN_PROCESSING_AND_PRESENTATION | 3.10e-06 | 10.54 | 4.22 | 7.72e-03 | 2.32e-02 | 8WDFY4, CD74, FGL2, RAB32, CD207, CTSH, PYCARD, PSME2 |
234 |
GOBP_POSITIVE_REGULATION_OF_TYPE_2_IMMUNE_RESPONSE | 1.80e-03 | 37.11 | 3.99 | 3.45e-01 | 1.00e+00 | 2IDO1, CD74 |
16 |
GOBP_MHC_CLASS_II_BIOSYNTHETIC_PROCESS | 2.03e-03 | 34.68 | 3.75 | 3.71e-01 | 1.00e+00 | 2CIITA, SPI1 |
17 |
GOBP_REGULATION_OF_COLLAGEN_METABOLIC_PROCESS | 8.44e-04 | 18.11 | 3.48 | 2.71e-01 | 1.00e+00 | 3CST3, CIITA, SERPINF2 |
47 |
GOBP_PROSTANOID_METABOLIC_PROCESS | 8.97e-04 | 17.71 | 3.40 | 2.71e-01 | 1.00e+00 | 3CD74, CYP2S1, GSTP1 |
48 |
GOBP_MODULATION_BY_SYMBIONT_OF_ENTRY_INTO_HOST | 8.97e-04 | 17.71 | 3.40 | 2.71e-01 | 1.00e+00 | 3CD74, SNX3, CIITA |
48 |
GOBP_MYELOID_DENDRITIC_CELL_DIFFERENTIATION | 2.81e-03 | 28.89 | 3.17 | 4.21e-01 | 1.00e+00 | 2BATF3, SPI1 |
20 |
GOBP_NEGATIVE_REGULATION_OF_VIRAL_ENTRY_INTO_HOST_CELL | 2.81e-03 | 28.89 | 3.17 | 4.21e-01 | 1.00e+00 | 2SNX3, CIITA |
20 |
GOBP_CELL_ACTIVATION | 4.42e-08 | 5.79 | 3.11 | 3.31e-04 | 3.31e-04 | 20IDO1, WDFY4, CST3, BATF3, NRARP, CD74, FGL2, CLNK, CD40, CTSH, PYCARD, COTL1, PLEK, GSTP1, SLAMF7, SPI1, SLAMF8, ACTB, LCP1, CD83 |
1461 |
GOBP_NEGATIVE_REGULATION_OF_LYMPHOCYTE_DIFFERENTIATION | 1.33e-03 | 15.33 | 2.96 | 3.13e-01 | 1.00e+00 | 3NRARP, CD74, FGL2 |
55 |
GOBP_LYMPHOCYTE_ACTIVATION | 2.49e-06 | 6.00 | 2.92 | 7.72e-03 | 1.87e-02 | 13IDO1, WDFY4, NRARP, CD74, FGL2, CLNK, CD40, PYCARD, SLAMF7, SPI1, SLAMF8, LCP1, CD83 |
745 |
GOBP_PINOCYTOSIS | 3.40e-03 | 26.01 | 2.87 | 4.80e-01 | 1.00e+00 | 2PYCARD, PPT1 |
22 |
GOBP_NEGATIVE_REGULATION_OF_LYMPHOCYTE_ACTIVATION | 3.25e-04 | 9.38 | 2.87 | 1.87e-01 | 1.00e+00 | 5IDO1, NRARP, CD74, FGL2, CLNK |
153 |
GOBP_ZYMOGEN_ACTIVATION | 1.55e-03 | 14.50 | 2.80 | 3.13e-01 | 1.00e+00 | 3CTSH, PYCARD, SERPINF2 |
58 |
Dowload full table
Immunological Gene Sets:
P-value | OR | Lower 95% CI | FDR | FWER | Genes Found | Gene Set Size | |
---|---|---|---|---|---|---|---|
GSE29618_PDC_VS_MDC_DN | 5.03e-13 | 23.47 | 11.26 | 2.45e-09 | 2.45e-09 | 13LGALS2, CST3, FGL2, RAB32, VDR, CTSH, CIITA, RGS10, COTL1, GSTP1, SPI1, SGK1, PPT1 |
200 |
GSE29618_BCELL_VS_MDC_DN | 2.35e-10 | 18.65 | 8.48 | 5.74e-07 | 1.15e-06 | 11CST3, BATF3, RAB32, LSP1, CTSH, RGS10, PYCARD, COTL1, GSTP1, ACTB, LCP1 |
200 |
GSE16266_LPS_VS_HEATSHOCK_AND_LPS_STIM_MEF_UP | 6.62e-08 | 14.44 | 6.08 | 4.81e-05 | 3.22e-04 | 9CD74, BCL2L14, CD40, CD207, CTSH, CIITA, PLEK, PPT1, CD83 |
199 |
GSE19198_6H_VS_24H_IL21_TREATED_TCELL_UP | 6.62e-08 | 14.44 | 6.08 | 4.81e-05 | 3.22e-04 | 9LGALS2, TSPAN33, CD40, EHF, PLEK, SLAMF7, PPT1, CD83, PSME2 |
199 |
GSE1432_CTRL_VS_IFNG_24H_MICROGLIA_DN | 6.91e-08 | 14.37 | 6.05 | 4.81e-05 | 3.36e-04 | 9IDO1, FGL2, CD40, CIITA, PLEK, SLAMF7, P2RY14, SMCO4, PSME2 |
200 |
GSE29618_BCELL_VS_MDC_DAY7_FLU_VACCINE_DN | 6.91e-08 | 14.37 | 6.05 | 4.81e-05 | 3.36e-04 | 9CPVL, LGALS2, CST3, RAB32, RGS10, COTL1, GSTP1, ACTB, PPT1 |
200 |
GSE19198_1H_VS_24H_IL21_TREATED_TCELL_DN | 6.91e-08 | 14.37 | 6.05 | 4.81e-05 | 3.36e-04 | 9LGALS2, TSPAN33, CD40, SLC24A4, EHF, PLEK, SLAMF7, CD83, PSME2 |
200 |
GSE21360_PRIMARY_VS_TERTIARY_MEMORY_CD8_TCELL_DN | 9.38e-07 | 12.47 | 4.99 | 4.31e-04 | 4.57e-03 | 8IDO1, RAB32, CIITA, PLEK, LAMP3, P2RY14, CD83, PSME2 |
199 |
GSE25123_WT_VS_PPARG_KO_MACROPHAGE_DN | 9.38e-07 | 12.47 | 4.99 | 4.31e-04 | 4.57e-03 | 8BATF3, CD74, FGL2, SNX3, P2RY14, SLAMF8, SMCO4, PSME2 |
199 |
GSE1432_CTRL_VS_IFNG_6H_MICROGLIA_DN | 9.73e-07 | 12.40 | 4.96 | 4.31e-04 | 4.74e-03 | 8IDO1, CIITA, PLEK, SLAMF7, P2RY14, SLAMF8, SMCO4, PSME2 |
200 |
GSE29618_PDC_VS_MDC_DAY7_FLU_VACCINE_DN | 9.73e-07 | 12.40 | 4.96 | 4.31e-04 | 4.74e-03 | 8CST3, FGL2, RAB32, CTSH, CIITA, RGS10, COTL1, SGK1 |
200 |
GSE7509_UNSTIM_VS_FCGRIIB_STIM_DC_DN | 4.83e-06 | 12.18 | 4.56 | 1.96e-03 | 2.35e-02 | 7IDO1, CST3, FGL2, CTSH, CIITA, SLAMF7, PSME2 |
174 |
GSE11057_CD4_EFF_MEM_VS_PBMC_DN | 9.76e-06 | 10.88 | 4.08 | 2.63e-03 | 4.76e-02 | 7LGALS2, WDFY4, CD74, DAPP1, PLEK, GSTP1, SPI1 |
194 |
GSE22140_GERMFREE_VS_SPF_ARTHRITIC_MOUSE_CD4_TCELL_DN | 1.15e-05 | 10.60 | 3.97 | 2.63e-03 | 5.60e-02 | 7IDO1, FGL2, CTSH, PLEK, LAMP3, P2RY14, PSME2 |
199 |
GSE46242_TH1_VS_ANERGIC_TH1_CD4_TCELL_WITH_EGR2_DELETED_UP | 1.15e-05 | 10.60 | 3.97 | 2.63e-03 | 5.60e-02 | 7IDO1, GPR157, CD40, ASB2, LAMP3, CD83, PSME2 |
199 |
GSE10325_BCELL_VS_MYELOID_DN | 1.19e-05 | 10.54 | 3.95 | 2.63e-03 | 5.79e-02 | 7CPVL, LGALS2, FGL2, RAB32, NAAA, COTL1, SMCO4 |
200 |
GSE1432_1H_VS_6H_IFNG_MICROGLIA_DN | 1.19e-05 | 10.54 | 3.95 | 2.63e-03 | 5.79e-02 | 7IDO1, CD40, CIITA, SLAMF7, SLAMF8, SMCO4, PSME2 |
200 |
GSE22886_NAIVE_CD8_TCELL_VS_DC_DN | 1.19e-05 | 10.54 | 3.95 | 2.63e-03 | 5.79e-02 | 7CST3, CD74, SNX3, CTSH, PPT1, SMCO4, CD83 |
200 |
GSE22886_NAIVE_CD4_TCELL_VS_DC_DN | 1.19e-05 | 10.54 | 3.95 | 2.63e-03 | 5.79e-02 | 7CST3, CD74, FGL2, CTSH, GSTP1, PPT1, SMCO4 |
200 |
GSE411_WT_VS_SOCS3_KO_MACROPHAGE_IL6_STIM_400MIN_UP | 1.19e-05 | 10.54 | 3.95 | 2.63e-03 | 5.79e-02 | 7FGL2, TSPAN33, KCNK6, ASB2, RGS10, PLEK, ENPP1 |
200 |
Top Ranked Transcription Factors for this Gene Expression Program:
Gene Symbol | TF Rank | DNA Binding Domain | Motif Status | IUPAC PWM | GTEx | DepMap | Decartes |
---|---|---|---|---|---|---|---|
BATF3 | 6 | Yes | Known motif | Monomer or homomultimer | High-throughput in vitro | None | Transfac motif is dubious. |
VDR | 19 | Yes | Known motif | Monomer or homomultimer | High-throughput in vitro | None | None |
CD40 | 21 | No | Unlikely to be sequence specific TF | Not a DNA binding protein | No motif | None | Cell surface receptor of TNF-family |
CIITA | 25 | No | Unlikely to be sequence specific TF | Not a DNA binding protein | No motif | None | Chromatin modifier |
EHF | 29 | Yes | Known motif | Monomer or homomultimer | High-throughput in vitro | None | None |
PYCARD | 30 | No | Unlikely to be sequence specific TF | Not a DNA binding protein | No motif | None | None |
PLEK | 33 | No | Unlikely to be sequence specific TF | Not a DNA binding protein | No motif | None | The DEP-domain is a winged helix-turn-helix protein domain, and thus it is related to ETS, RFX, and FOX domains. However, there is no evidence for DNA-binding activity and it has been shown to operate in G-protein signalling upstream of TFs |
SPI1 | 40 | Yes | Known motif | Monomer or homomultimer | High-throughput in vitro | None | None |
SGK1 | 44 | No | Unlikely to be sequence specific TF | Not a DNA binding protein | No motif | None | None |
ETV6 | 59 | Yes | Known motif | Monomer or homomultimer | High-throughput in vitro | None | None |
ID2 | 66 | No | Unlikely to be sequence specific TF | Not a DNA binding protein | No motif | None | ID bHLH proteins lack the basic region and should not be able to bind DNA. The HT-SELEX motif for ID4 is likely by a co-precipitated protein or it is a contamination |
ADAM8 | 85 | No | Unlikely to be sequence specific TF | Not a DNA binding protein | No motif | None | None |
AIM2 | 88 | No | Unlikely to be sequence specific TF | Low specificity DNA-binding protein | No motif | None | Based on (PDB: 3RN2), the protein binds DNA but contacts only the backbone; AIM2 binds cytrosolic dsDNA in the innate immune response |
ITGB2 | 97 | No | Unlikely to be sequence specific TF | Not a DNA binding protein | No motif | None | None |
HAVCR2 | 101 | No | Unlikely to be sequence specific TF | Not a DNA binding protein | No motif | None | None |
HCK | 108 | No | Unlikely to be sequence specific TF | Not a DNA binding protein | No motif | None | Inhibits TP73-mediated transcription activation (PMID: 17535448) |
KLF4 | 110 | Yes | Known motif | Monomer or homomultimer | High-throughput in vitro | None | None |
NR4A3 | 119 | Yes | Known motif | Monomer or homomultimer | In vivo/Misc source | Only known motifs are from Transfac or HocoMoco - origin is uncertain | None |
LGALS9 | 120 | No | Unlikely to be sequence specific TF | Not a DNA binding protein | No motif | None | None |
NFKBID | 130 | No | Unlikely to be sequence specific TF | Not a DNA binding protein | No motif | None | None |
QQ Plot showing correlations with other GEPs in this dataset, calculated by Spearman correlation:
Interactive QQ-plot of gene loadings:
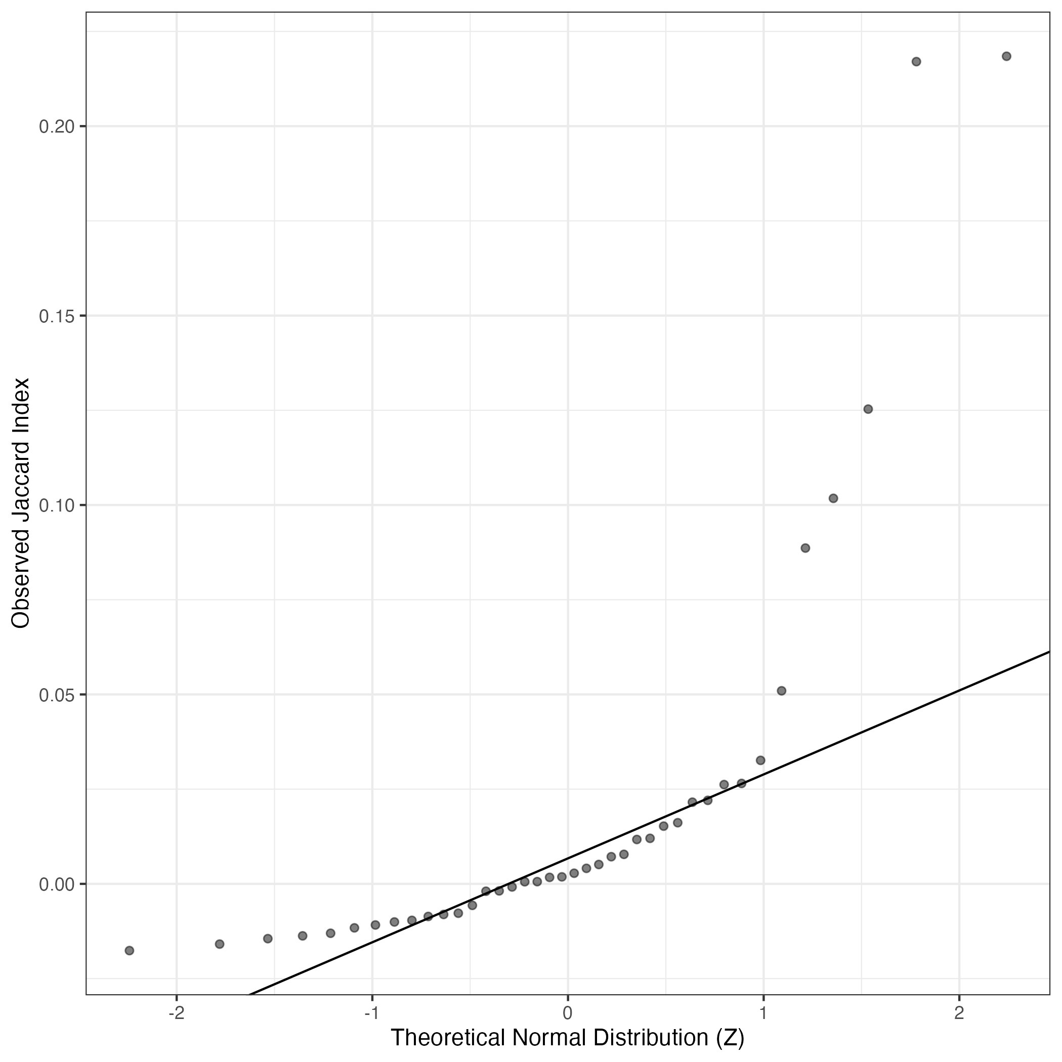
A similar QQ-plot as above, but only for instances where the H value is e.g. > 25, i.e. we are confident that the expression program is active above noise. Agreemenet between these binary vectors is tested using the Jaccard Index, with the P-values calculated by an exact test:
Interactive QQ-plot:
Singler cell type annotations for the top 50 cells on this program.
Cell ID | Singler label | Singler Delta | Activity Score | Top Singler Raw Scores |
---|---|---|---|---|
T188_TTGTTTGAGAGCAACC-1 | Monocyte:CD16+ | 0.17 | 1740.37 | Raw ScoresMonocyte:CD16-: 0.41, Monocyte:leukotriene_D4: 0.4, Monocyte:CD14+: 0.4, Monocyte: 0.4, Macrophage:monocyte-derived:M-CSF/IFNg/Pam3Cys: 0.4, Macrophage:monocyte-derived:M-CSF/IFNg: 0.4, DC:monocyte-derived:anti-DC-SIGN_2h: 0.4, DC:monocyte-derived:A._fumigatus_germ_tubes_6h: 0.4, Monocyte:CD16+: 0.4, DC:monocyte-derived:AEC-conditioned: 0.39 |
T188_TGGTTAGTCCCTGGTT-1 | Macrophage:monocyte-derived:M-CSF/IFNg | 0.10 | 1355.45 | Raw ScoresMonocyte:CD16-: 0.39, Monocyte:CD16+: 0.38, Macrophage:monocyte-derived:M-CSF/IFNg: 0.38, DC:monocyte-derived:anti-DC-SIGN_2h: 0.38, Monocyte:CD14+: 0.38, Monocyte:leukotriene_D4: 0.38, Monocyte: 0.38, DC:monocyte-derived:AEC-conditioned: 0.37, Macrophage:monocyte-derived:M-CSF/IFNg/Pam3Cys: 0.37, DC:monocyte-derived: 0.37 |
T188_ACTACGATCACGGACC-1 | DC:monocyte-derived:immature | 0.08 | 1280.27 | Raw ScoresDC:monocyte-derived:anti-DC-SIGN_2h: 0.37, Monocyte:CD16-: 0.37, Monocyte:leukotriene_D4: 0.37, Monocyte:CD16+: 0.36, Macrophage:monocyte-derived:M-CSF/IFNg: 0.36, DC:monocyte-derived:A._fumigatus_germ_tubes_6h: 0.36, Monocyte: 0.36, DC:monocyte-derived: 0.36, DC:monocyte-derived:AEC-conditioned: 0.36, Monocyte:CD14+: 0.36 |
T188_CCACGTTAGCGCTTCG-1 | DC:monocyte-derived:A._fumigatus_germ_tubes_6h | 0.10 | 1276.39 | Raw ScoresDC:monocyte-derived:A._fumigatus_germ_tubes_6h: 0.36, DC:monocyte-derived:anti-DC-SIGN_2h: 0.35, Macrophage:monocyte-derived:M-CSF/IFNg/Pam3Cys: 0.35, Monocyte:CD16+: 0.35, Monocyte:leukotriene_D4: 0.35, Monocyte:CD16-: 0.35, Macrophage:monocyte-derived:M-CSF/IFNg: 0.35, Monocyte: 0.35, DC:monocyte-derived:Schuler_treatment: 0.35, DC:monocyte-derived:CD40L: 0.35 |
T214_TGTGTGACACTACCCT-1 | T_cell:CD8+ | 0.10 | 1274.76 | Raw ScoresPre-B_cell_CD34-: 0.38, T_cell:gamma-delta: 0.37, HSC_-G-CSF: 0.37, T_cell:CD8+: 0.37, NK_cell: 0.37, T_cell:CD4+: 0.36, T_cell:CD4+_effector_memory: 0.36, Monocyte:leukotriene_D4: 0.36, Monocyte:CD16+: 0.36, Monocyte: 0.36 |
T188_TACGGTACAGAGAAAG-1 | DC:monocyte-derived:A._fumigatus_germ_tubes_6h | 0.06 | 1169.28 | Raw ScoresMonocyte:CD16-: 0.32, Monocyte:CD16+: 0.32, Monocyte:CD14+: 0.31, Monocyte:leukotriene_D4: 0.31, DC:monocyte-derived:anti-DC-SIGN_2h: 0.31, DC:monocyte-derived:AM580: 0.31, DC:monocyte-derived: 0.31, Macrophage:monocyte-derived:M-CSF/IFNg: 0.31, DC:monocyte-derived:AEC-conditioned: 0.31, Monocyte: 0.31 |
T188_TGCGACGGTTAAGAAC-1 | DC:monocyte-derived:mature | 0.14 | 1148.07 | Raw ScoresDC:monocyte-derived:Schuler_treatment: 0.36, DC:monocyte-derived:mature: 0.35, DC:monocyte-derived:CD40L: 0.34, DC:monocyte-derived:Poly(IC): 0.34, DC:monocyte-derived:LPS: 0.34, Macrophage:monocyte-derived:M-CSF/IFNg/Pam3Cys: 0.34, Monocyte:F._tularensis_novicida: 0.33, DC:monocyte-derived:A._fumigatus_germ_tubes_6h: 0.33, DC:monocyte-derived:antiCD40/VAF347: 0.33, Macrophage:monocyte-derived:M-CSF/Pam3Cys: 0.33 |
T230_AGTAGCTCAAGTCCCG-1 | Macrophage:monocyte-derived:M-CSF/IFNg | 0.16 | 1113.22 | Raw ScoresMacrophage:monocyte-derived:M-CSF/IFNg: 0.44, Monocyte:CD14+: 0.44, Macrophage:monocyte-derived:M-CSF/IFNg/Pam3Cys: 0.44, Monocyte:CD16+: 0.43, DC:monocyte-derived:Poly(IC): 0.43, Monocyte:leukotriene_D4: 0.43, Monocyte:CD16-: 0.43, Monocyte:anti-FcgRIIB: 0.43, Monocyte: 0.43, DC:monocyte-derived:AEC-conditioned: 0.43 |
T188_TATATCCCACTCTGCT-1 | Monocyte:CD16+ | 0.10 | 1092.13 | Raw ScoresMonocyte:CD16+: 0.37, Monocyte:CD16-: 0.37, Monocyte:leukotriene_D4: 0.37, Monocyte: 0.36, DC:monocyte-derived:anti-DC-SIGN_2h: 0.36, Macrophage:monocyte-derived:M-CSF/IFNg/Pam3Cys: 0.36, Macrophage:monocyte-derived:M-CSF/IFNg: 0.36, Monocyte:CD14+: 0.36, DC:monocyte-derived:A._fumigatus_germ_tubes_6h: 0.36, DC:monocyte-derived:CD40L: 0.36 |
T188_AATGGAAGTAGCGCTC-1 | Macrophage:monocyte-derived:M-CSF/IFNg | 0.18 | 1065.79 | Raw ScoresMacrophage:monocyte-derived:M-CSF/IFNg/Pam3Cys: 0.43, Monocyte:CD16-: 0.43, Macrophage:monocyte-derived:M-CSF/IFNg: 0.42, Monocyte:leukotriene_D4: 0.42, DC:monocyte-derived:A._fumigatus_germ_tubes_6h: 0.42, Monocyte: 0.42, DC:monocyte-derived:Poly(IC): 0.42, Monocyte:CD16+: 0.42, Monocyte:CD14+: 0.42, Monocyte:anti-FcgRIIB: 0.42 |
T188_ATCGTCCAGAATCGTA-1 | Monocyte:CD16+ | 0.08 | 1060.37 | Raw ScoresMonocyte:CD16-: 0.38, Monocyte:CD16+: 0.38, Macrophage:monocyte-derived:M-CSF/IFNg: 0.38, DC:monocyte-derived:anti-DC-SIGN_2h: 0.37, Macrophage:monocyte-derived:M-CSF/IFNg/Pam3Cys: 0.37, Monocyte:leukotriene_D4: 0.37, Monocyte:CD14+: 0.37, Monocyte:anti-FcgRIIB: 0.37, Monocyte: 0.37, DC:monocyte-derived:A._fumigatus_germ_tubes_6h: 0.37 |
T188_AACTTCTGTGTACGCC-1 | Monocyte:CD16+ | 0.14 | 1055.84 | Raw ScoresMonocyte:CD16-: 0.41, Monocyte:CD14+: 0.4, Monocyte:CD16+: 0.4, Monocyte:leukotriene_D4: 0.4, Monocyte: 0.4, Macrophage:monocyte-derived:M-CSF/IFNg: 0.39, Monocyte:anti-FcgRIIB: 0.39, Macrophage:monocyte-derived:M-CSF/IFNg/Pam3Cys: 0.39, Neutrophil:commensal_E._coli_MG1655: 0.39, DC:monocyte-derived:anti-DC-SIGN_2h: 0.39 |
T188_GCCATTCCACCGTCTT-1 | Monocyte:CD16+ | 0.11 | 1044.06 | Raw ScoresMonocyte:CD16-: 0.4, DC:monocyte-derived:anti-DC-SIGN_2h: 0.39, Monocyte:CD14+: 0.39, Monocyte:CD16+: 0.39, Monocyte:leukotriene_D4: 0.39, DC:monocyte-derived:A._fumigatus_germ_tubes_6h: 0.39, Monocyte: 0.39, Macrophage:monocyte-derived:M-CSF/IFNg: 0.38, DC:monocyte-derived:Schuler_treatment: 0.38, Pre-B_cell_CD34-: 0.38 |
T188_CGAGGCTCATGGTACT-1 | Monocyte:CD16+ | 0.13 | 1020.32 | Raw ScoresMonocyte:leukotriene_D4: 0.4, Monocyte:CD16-: 0.4, Monocyte: 0.4, Monocyte:CD14+: 0.4, Pre-B_cell_CD34-: 0.4, Monocyte:CD16+: 0.39, DC:monocyte-derived:AEC-conditioned: 0.39, Macrophage:monocyte-derived:M-CSF: 0.38, Monocyte:anti-FcgRIIB: 0.38, Macrophage:monocyte-derived:M-CSF/IFNg: 0.38 |
T230_CCGGACAAGGCCACCT-1 | DC:monocyte-derived:mature | 0.12 | 994.81 | Raw ScoresDC:monocyte-derived:mature: 0.38, DC:monocyte-derived:Schuler_treatment: 0.38, DC:monocyte-derived:Poly(IC): 0.38, DC:monocyte-derived:CD40L: 0.37, DC:monocyte-derived:A._fumigatus_germ_tubes_6h: 0.37, Macrophage:monocyte-derived:M-CSF/IFNg/Pam3Cys: 0.37, DC:monocyte-derived:anti-DC-SIGN_2h: 0.37, DC:monocyte-derived:LPS: 0.36, DC:monocyte-derived:immature: 0.36, DC:monocyte-derived:Galectin-1: 0.36 |
T40_GTGCAGCTCAAACCGT.1 | Monocyte:leukotriene_D4 | 0.12 | 988.98 | Raw ScoresPre-B_cell_CD34-: 0.4, Monocyte:CD14+: 0.39, Monocyte:CD16+: 0.39, Monocyte:leukotriene_D4: 0.39, Monocyte:CD16-: 0.39, Monocyte:anti-FcgRIIB: 0.39, Monocyte: 0.39, DC:monocyte-derived:anti-DC-SIGN_2h: 0.38, HSC_-G-CSF: 0.38, Macrophage:monocyte-derived:M-CSF/IFNg: 0.38 |
T214_CCATAAGCAATTGCCA-1 | Monocyte:CD16+ | 0.10 | 960.00 | Raw ScoresMonocyte:leukotriene_D4: 0.4, Monocyte:CD16-: 0.4, Monocyte:CD16+: 0.4, Monocyte:CD14+: 0.39, Macrophage:monocyte-derived:M-CSF/IFNg: 0.39, Monocyte: 0.39, DC:monocyte-derived:anti-DC-SIGN_2h: 0.39, Macrophage:monocyte-derived:M-CSF/IFNg/Pam3Cys: 0.39, Monocyte:anti-FcgRIIB: 0.38, DC:monocyte-derived: 0.38 |
T230_ATCGTAGGTATGCAAA-1 | Monocyte:CD16- | 0.15 | 941.02 | Raw ScoresMonocyte:CD16-: 0.42, Monocyte:leukotriene_D4: 0.42, Monocyte: 0.42, Macrophage:monocyte-derived:M-CSF/IFNg: 0.41, DC:monocyte-derived:anti-DC-SIGN_2h: 0.41, Monocyte:CD14+: 0.41, Monocyte:anti-FcgRIIB: 0.41, DC:monocyte-derived:CD40L: 0.41, DC:monocyte-derived:AEC-conditioned: 0.41, Monocyte:CD16+: 0.4 |
T188_ACATGCAAGCATCAAA-1 | DC:monocyte-derived:A._fumigatus_germ_tubes_6h | 0.16 | 919.38 | Raw ScoresMacrophage:monocyte-derived:M-CSF/IFNg/Pam3Cys: 0.43, Monocyte:CD16-: 0.43, Monocyte:leukotriene_D4: 0.42, DC:monocyte-derived:A._fumigatus_germ_tubes_6h: 0.42, Monocyte: 0.42, Monocyte:anti-FcgRIIB: 0.42, Macrophage:monocyte-derived:M-CSF/IFNg: 0.42, DC:monocyte-derived:Schuler_treatment: 0.42, Macrophage:monocyte-derived:M-CSF: 0.42, Monocyte:CD14+: 0.42 |
T40_GCAGCCAGTTGATTGC.1 | Monocyte:CD16- | 0.17 | 918.18 | Raw ScoresMonocyte:CD16-: 0.42, Monocyte:CD14+: 0.42, Monocyte:CD16+: 0.41, Monocyte:leukotriene_D4: 0.4, Monocyte: 0.4, Monocyte:anti-FcgRIIB: 0.4, Macrophage:monocyte-derived:M-CSF/IFNg: 0.4, Pre-B_cell_CD34-: 0.4, DC:monocyte-derived:AEC-conditioned: 0.39, Macrophage:monocyte-derived:M-CSF: 0.38 |
T40_TGGGAAGCAATAAGCA.1 | Monocyte:CD16- | 0.14 | 905.00 | Raw ScoresMonocyte:CD16-: 0.37, Monocyte:CD16+: 0.37, Monocyte:CD14+: 0.36, Monocyte:leukotriene_D4: 0.36, Monocyte: 0.36, Monocyte:anti-FcgRIIB: 0.36, Pre-B_cell_CD34-: 0.35, Macrophage:monocyte-derived:M-CSF/IFNg: 0.35, Macrophage:monocyte-derived:M-CSF/IFNg/Pam3Cys: 0.35, DC:monocyte-derived:A._fumigatus_germ_tubes_6h: 0.35 |
T188_AAACCCAGTATGCGGA-1 | Monocyte:CD16- | 0.16 | 897.02 | Raw ScoresMonocyte:CD16-: 0.45, Monocyte:CD14+: 0.45, Monocyte:leukotriene_D4: 0.44, Monocyte:CD16+: 0.44, Monocyte: 0.44, Macrophage:monocyte-derived:M-CSF/IFNg: 0.43, Monocyte:anti-FcgRIIB: 0.43, DC:monocyte-derived:AEC-conditioned: 0.43, DC:monocyte-derived:anti-DC-SIGN_2h: 0.43, Macrophage:monocyte-derived:M-CSF/IFNg/Pam3Cys: 0.43 |
T188_CTAGGTACACGACGCT-1 | Monocyte:CD16+ | 0.12 | 868.69 | Raw ScoresMonocyte:CD16-: 0.41, Monocyte:leukotriene_D4: 0.41, Monocyte:CD14+: 0.41, Monocyte:CD16+: 0.41, Monocyte: 0.4, Monocyte:anti-FcgRIIB: 0.4, Macrophage:monocyte-derived:M-CSF/IFNg: 0.39, DC:monocyte-derived:anti-DC-SIGN_2h: 0.39, Pre-B_cell_CD34-: 0.39, Macrophage:monocyte-derived:M-CSF/IFNg/Pam3Cys: 0.39 |
T188_GCAGCCAAGCTCGTGC-1 | Monocyte:CD16- | 0.18 | 863.22 | Raw ScoresMonocyte:CD16-: 0.43, Monocyte:CD14+: 0.42, Monocyte:leukotriene_D4: 0.42, Macrophage:monocyte-derived:M-CSF/IFNg: 0.42, Monocyte: 0.42, Macrophage:monocyte-derived:M-CSF/IFNg/Pam3Cys: 0.42, DC:monocyte-derived:AEC-conditioned: 0.41, Monocyte:CD16+: 0.41, Monocyte:anti-FcgRIIB: 0.41, DC:monocyte-derived:anti-DC-SIGN_2h: 0.41 |
T188_GAGTGTTGTAAGACCG-1 | Monocyte:CD16+ | 0.10 | 861.59 | Raw ScoresMonocyte:CD16+: 0.4, Monocyte:CD16-: 0.4, Monocyte:CD14+: 0.39, Monocyte:leukotriene_D4: 0.39, Macrophage:monocyte-derived:M-CSF/IFNg: 0.39, Monocyte: 0.39, DC:monocyte-derived:anti-DC-SIGN_2h: 0.39, Macrophage:monocyte-derived:M-CSF/IFNg/Pam3Cys: 0.38, DC:monocyte-derived:AEC-conditioned: 0.38, Monocyte:anti-FcgRIIB: 0.38 |
T188_CAGTTCCGTGGGTATG-1 | DC:monocyte-derived:Schuler_treatment | 0.15 | 851.29 | Raw ScoresMonocyte:CD16-: 0.42, Macrophage:monocyte-derived:M-CSF/IFNg/Pam3Cys: 0.42, Monocyte:leukotriene_D4: 0.42, Macrophage:monocyte-derived:M-CSF/IFNg: 0.42, Monocyte:CD14+: 0.41, Monocyte: 0.41, Monocyte:CD16+: 0.41, DC:monocyte-derived:anti-DC-SIGN_2h: 0.41, Monocyte:anti-FcgRIIB: 0.41, DC:monocyte-derived:Poly(IC): 0.41 |
T230_GCCGTGATCATTCGTT-1 | DC:monocyte-derived:A._fumigatus_germ_tubes_6h | 0.09 | 821.94 | Raw ScoresDC:monocyte-derived:CD40L: 0.33, DC:monocyte-derived:anti-DC-SIGN_2h: 0.33, DC:monocyte-derived:AEC-conditioned: 0.33, DC:monocyte-derived:A._fumigatus_germ_tubes_6h: 0.33, Monocyte:CD16-: 0.33, Monocyte:CD14+: 0.33, DC:monocyte-derived:Poly(IC): 0.33, DC:monocyte-derived:Schuler_treatment: 0.32, Monocyte:CD16+: 0.32, DC:monocyte-derived:AM580: 0.32 |
T188_ACATCCCTCGAAACAA-1 | DC:monocyte-derived | 0.14 | 820.99 | Raw ScoresMonocyte:CD16-: 0.44, Monocyte:leukotriene_D4: 0.43, Monocyte:CD14+: 0.43, Macrophage:monocyte-derived:M-CSF/IFNg: 0.43, Monocyte: 0.43, Monocyte:CD16+: 0.43, Macrophage:monocyte-derived:M-CSF: 0.42, DC:monocyte-derived:AEC-conditioned: 0.42, DC:monocyte-derived: 0.42, DC:monocyte-derived:anti-DC-SIGN_2h: 0.42 |
T188_GAGTCTAAGGCACTCC-1 | Macrophage:monocyte-derived:IL-4/Dex/TGFb | 0.18 | 792.62 | Raw ScoresMacrophage:monocyte-derived:M-CSF: 0.41, Macrophage:monocyte-derived:M-CSF/IFNg: 0.41, DC:monocyte-derived:A._fumigatus_germ_tubes_6h: 0.41, Monocyte:leukotriene_D4: 0.41, Macrophage:monocyte-derived:M-CSF/IFNg/Pam3Cys: 0.41, DC:monocyte-derived:anti-DC-SIGN_2h: 0.41, DC:monocyte-derived:AEC-conditioned: 0.4, DC:monocyte-derived:antiCD40/VAF347: 0.4, Monocyte: 0.4, DC:monocyte-derived:LPS: 0.4 |
T188_CAGCACGTCATTGAGC-1 | Monocyte:CD16- | 0.19 | 779.63 | Raw ScoresMonocyte:CD16-: 0.42, Monocyte:leukotriene_D4: 0.41, Monocyte:CD14+: 0.41, Macrophage:monocyte-derived:M-CSF/IFNg: 0.41, Monocyte: 0.41, Macrophage:monocyte-derived:M-CSF/IFNg/Pam3Cys: 0.4, Macrophage:monocyte-derived:M-CSF: 0.4, Monocyte:CD16+: 0.4, Monocyte:anti-FcgRIIB: 0.4, DC:monocyte-derived:AEC-conditioned: 0.4 |
T214_ATTCATCGTCGAGATG-1 | Monocyte:CD14+ | 0.12 | 776.78 | Raw ScoresPre-B_cell_CD34-: 0.4, GMP: 0.39, Monocyte:leukotriene_D4: 0.38, Monocyte:CD16-: 0.38, Monocyte:CD14+: 0.38, DC:monocyte-derived:AEC-conditioned: 0.37, BM: 0.37, Pro-Myelocyte: 0.37, Monocyte: 0.37, Macrophage:monocyte-derived:M-CSF/IFNg: 0.37 |
T188_TTCCTTCCAACACAGG-1 | DC:monocyte-derived:A._fumigatus_germ_tubes_6h | 0.06 | 762.93 | Raw ScoresMonocyte:CD16-: 0.39, Monocyte:CD16+: 0.39, DC:monocyte-derived:anti-DC-SIGN_2h: 0.39, Monocyte:CD14+: 0.38, Pre-B_cell_CD34-: 0.38, Monocyte:leukotriene_D4: 0.38, DC:monocyte-derived:AEC-conditioned: 0.38, Macrophage:monocyte-derived:M-CSF/IFNg: 0.38, DC:monocyte-derived:A._fumigatus_germ_tubes_6h: 0.37, Monocyte: 0.37 |
T200_GGAGAACAGGACACTG-1 | Neurons:adrenal_medulla_cell_line | 0.05 | 724.58 | Raw ScoresGMP: 0.31, Neurons:adrenal_medulla_cell_line: 0.3, CMP: 0.3, Pro-B_cell_CD34+: 0.29, Astrocyte:Embryonic_stem_cell-derived: 0.28, DC:monocyte-derived:AEC-conditioned: 0.28, Monocyte:MCSF: 0.27, Pro-Myelocyte: 0.27, Neurons:Schwann_cell: 0.27, Endothelial_cells:HUVEC:FPV-infected: 0.27 |
T19_GCGCAGTGTTAGATGA.1 | DC:monocyte-derived:anti-DC-SIGN_2h | 0.12 | 682.69 | Raw ScoresDC:monocyte-derived:AEC-conditioned: 0.38, DC:monocyte-derived:anti-DC-SIGN_2h: 0.38, DC:monocyte-derived:AM580: 0.38, DC:monocyte-derived:Poly(IC): 0.38, DC:monocyte-derived:immature: 0.38, DC:monocyte-derived:CD40L: 0.38, DC:monocyte-derived:A._fumigatus_germ_tubes_6h: 0.38, DC:monocyte-derived: 0.38, DC:monocyte-derived:mature: 0.38, DC:monocyte-derived:Schuler_treatment: 0.37 |
T40_TCACGAAAGAGAACAG.1 | Monocyte:CD16+ | 0.14 | 636.89 | Raw ScoresMonocyte:CD16+: 0.43, Monocyte:CD14+: 0.43, Monocyte:CD16-: 0.43, Monocyte:anti-FcgRIIB: 0.42, Monocyte:leukotriene_D4: 0.41, Monocyte: 0.41, Pre-B_cell_CD34-: 0.41, Macrophage:monocyte-derived:M-CSF/IFNg: 0.41, Macrophage:monocyte-derived:M-CSF/IFNg/Pam3Cys: 0.4, DC:monocyte-derived:AEC-conditioned: 0.4 |
T175_CTCATCGCAAACTAAG-1 | Neurons:adrenal_medulla_cell_line | 0.07 | 631.62 | Raw ScoresNeurons:adrenal_medulla_cell_line: 0.3, GMP: 0.3, Pro-B_cell_CD34+: 0.29, Pre-B_cell_CD34-: 0.29, CMP: 0.28, Pro-Myelocyte: 0.27, HSC_CD34+: 0.27, DC:monocyte-derived:AEC-conditioned: 0.27, Monocyte:CD16-: 0.27, B_cell:CXCR4+_centroblast: 0.27 |
T214_AGTACTGTCGGACAAG-1 | Neurons:adrenal_medulla_cell_line | 0.12 | 614.60 | Raw ScoresNeurons:adrenal_medulla_cell_line: 0.36, Neuroepithelial_cell:ESC-derived: 0.33, Astrocyte:Embryonic_stem_cell-derived: 0.31, iPS_cells:CRL2097_foreskin-derived:undiff.: 0.31, iPS_cells:PDB_1lox-17Puro-5: 0.31, iPS_cells:PDB_1lox-17Puro-10: 0.31, iPS_cells:PDB_1lox-21Puro-20: 0.31, iPS_cells:PDB_1lox-21Puro-26: 0.31, Pro-B_cell_CD34+: 0.31, Embryonic_stem_cells: 0.31 |
T214_AATGAAGCAGGACAGT-1 | Monocyte:leukotriene_D4 | 0.14 | 603.13 | Raw ScoresMonocyte:leukotriene_D4: 0.41, Monocyte:CD14+: 0.41, Monocyte:CD16-: 0.41, Monocyte: 0.4, Macrophage:monocyte-derived:M-CSF/IFNg: 0.4, Monocyte:CD16+: 0.4, DC:monocyte-derived: 0.4, Monocyte:anti-FcgRIIB: 0.4, DC:monocyte-derived:AEC-conditioned: 0.4, DC:monocyte-derived:CD40L: 0.39 |
T230_TGCGATAAGCCTCACG-1 | Macrophage:monocyte-derived:M-CSF/IFNg | 0.23 | 603.06 | Raw ScoresMacrophage:monocyte-derived:M-CSF/IFNg: 0.46, Macrophage:monocyte-derived:M-CSF/IFNg/Pam3Cys: 0.45, DC:monocyte-derived:LPS: 0.45, DC:monocyte-derived:Galectin-1: 0.44, Macrophage:monocyte-derived:IFNa: 0.44, Macrophage:monocyte-derived:S._aureus: 0.44, DC:monocyte-derived:Poly(IC): 0.44, DC:monocyte-derived:antiCD40/VAF347: 0.44, DC:monocyte-derived:AEC-conditioned: 0.44, Macrophage:monocyte-derived:M-CSF: 0.44 |
T214_ATGAAAGAGACAACTA-1 | Monocyte:CD16+ | 0.10 | 602.73 | Raw ScoresMonocyte:CD16+: 0.35, Monocyte:leukotriene_D4: 0.35, Monocyte:CD14+: 0.35, Monocyte:CD16-: 0.35, DC:monocyte-derived:anti-DC-SIGN_2h: 0.34, Monocyte: 0.34, Macrophage:monocyte-derived:M-CSF/IFNg: 0.34, DC:monocyte-derived:AM580: 0.34, DC:monocyte-derived: 0.34, DC:monocyte-derived:CD40L: 0.34 |
T175_ATTGTTCAGAAGTGTT-1 | Monocyte:CD16- | 0.14 | 593.99 | Raw ScoresMonocyte:CD16-: 0.4, Monocyte:leukotriene_D4: 0.4, DC:monocyte-derived:anti-DC-SIGN_2h: 0.39, Monocyte:CD14+: 0.39, Monocyte: 0.39, DC:monocyte-derived: 0.38, Monocyte:CD16+: 0.38, Macrophage:monocyte-derived:M-CSF: 0.38, DC:monocyte-derived:mature: 0.38, Monocyte:anti-FcgRIIB: 0.38 |
T188_TGCTCGTCAGTTAGAA-1 | Monocyte:CD16+ | 0.13 | 581.20 | Raw ScoresMonocyte:CD16-: 0.44, Monocyte:CD14+: 0.43, Monocyte:CD16+: 0.43, Monocyte:leukotriene_D4: 0.43, Monocyte: 0.42, Macrophage:monocyte-derived:M-CSF/IFNg/Pam3Cys: 0.42, Monocyte:anti-FcgRIIB: 0.42, Macrophage:monocyte-derived:M-CSF/IFNg: 0.42, Macrophage:monocyte-derived:M-CSF/Pam3Cys: 0.41, Pre-B_cell_CD34-: 0.41 |
T214_AATAGAGGTCCGAAGA-1 | Macrophage:monocyte-derived:M-CSF | 0.19 | 575.93 | Raw ScoresMacrophage:monocyte-derived:M-CSF: 0.42, Macrophage:monocyte-derived:M-CSF/IFNg: 0.42, Macrophage:monocyte-derived:M-CSF/IFNg/Pam3Cys: 0.42, Monocyte:leukotriene_D4: 0.41, DC:monocyte-derived:anti-DC-SIGN_2h: 0.41, Monocyte:anti-FcgRIIB: 0.41, Monocyte: 0.41, DC:monocyte-derived:Galectin-1: 0.41, DC:monocyte-derived:CD40L: 0.41, Macrophage:monocyte-derived:M-CSF/Pam3Cys: 0.41 |
T214_TTCTAACCATTAAGCC-1 | Macrophage:monocyte-derived:M-CSF/IFNg | 0.15 | 563.61 | Raw ScoresMonocyte:leukotriene_D4: 0.44, Macrophage:monocyte-derived:M-CSF: 0.43, Macrophage:monocyte-derived:M-CSF/IFNg: 0.43, Monocyte: 0.43, DC:monocyte-derived: 0.42, Monocyte:CD16-: 0.42, Monocyte:CD14+: 0.42, Monocyte:anti-FcgRIIB: 0.42, DC:monocyte-derived:AEC-conditioned: 0.42, DC:monocyte-derived:anti-DC-SIGN_2h: 0.42 |
T175_GTAGATCGTGAGTAAT-1 | Monocyte:CD16+ | 0.11 | 555.19 | Raw ScoresMonocyte:CD16+: 0.39, GMP: 0.38, Monocyte:CD16-: 0.38, Monocyte:CD14+: 0.38, Pre-B_cell_CD34-: 0.38, Monocyte:leukotriene_D4: 0.38, Macrophage:monocyte-derived:M-CSF/IFNg: 0.38, DC:monocyte-derived: 0.38, Monocyte: 0.37, DC:monocyte-derived:anti-DC-SIGN_2h: 0.37 |
T175_GCCATTCTCCTTATGT-1 | Monocyte:CD16+ | 0.12 | 552.21 | Raw ScoresMonocyte:CD16-: 0.4, Monocyte:CD14+: 0.4, Monocyte:leukotriene_D4: 0.4, Monocyte: 0.39, Monocyte:CD16+: 0.39, DC:monocyte-derived:anti-DC-SIGN_2h: 0.39, DC:monocyte-derived: 0.38, Monocyte:anti-FcgRIIB: 0.38, Pre-B_cell_CD34-: 0.38, Macrophage:monocyte-derived:M-CSF/IFNg: 0.38 |
T188_TCACGCTTCCTACGGG-1 | DC:monocyte-derived:A._fumigatus_germ_tubes_6h | 0.19 | 552.17 | Raw ScoresDC:monocyte-derived:A._fumigatus_germ_tubes_6h: 0.44, Macrophage:monocyte-derived:M-CSF/IFNg/Pam3Cys: 0.43, DC:monocyte-derived:antiCD40/VAF347: 0.42, Macrophage:monocyte-derived:S._aureus: 0.42, Macrophage:monocyte-derived:M-CSF/Pam3Cys: 0.42, DC:monocyte-derived:Poly(IC): 0.42, DC:monocyte-derived:Schuler_treatment: 0.42, DC:monocyte-derived:LPS: 0.42, Macrophage:Alveolar:B._anthacis_spores: 0.41, DC:monocyte-derived:Galectin-1: 0.41 |
T188_GTGCTGGCAATCGTCA-1 | Monocyte:CD16+ | 0.13 | 546.25 | Raw ScoresMonocyte:CD16-: 0.41, Monocyte:CD16+: 0.41, Monocyte:CD14+: 0.4, Monocyte:leukotriene_D4: 0.39, Pre-B_cell_CD34-: 0.39, Monocyte:anti-FcgRIIB: 0.39, Monocyte: 0.39, Macrophage:monocyte-derived:M-CSF/IFNg: 0.39, DC:monocyte-derived:AEC-conditioned: 0.39, DC:monocyte-derived:anti-DC-SIGN_2h: 0.38 |
T188_CCACGTTTCTAACGCA-1 | Monocyte:CD16- | 0.20 | 540.04 | Raw ScoresMonocyte:CD16-: 0.47, Monocyte:CD14+: 0.46, Monocyte:leukotriene_D4: 0.46, Macrophage:monocyte-derived:M-CSF/IFNg: 0.46, Macrophage:monocyte-derived:M-CSF: 0.45, Monocyte:CD16+: 0.45, Monocyte: 0.45, Monocyte:anti-FcgRIIB: 0.45, Macrophage:monocyte-derived:M-CSF/IFNg/Pam3Cys: 0.43, DC:monocyte-derived:anti-DC-SIGN_2h: 0.43 |
T188_GGAAGTGTCTGAACGT-1 | Macrophage:monocyte-derived:M-CSF/IFNg/Pam3Cys | 0.22 | 530.67 | Raw ScoresMacrophage:monocyte-derived:M-CSF/IFNg/Pam3Cys: 0.47, Monocyte:CD16-: 0.47, Macrophage:monocyte-derived:M-CSF/IFNg: 0.46, Monocyte:leukotriene_D4: 0.46, Macrophage:monocyte-derived:M-CSF/Pam3Cys: 0.46, Monocyte: 0.46, Macrophage:monocyte-derived:M-CSF: 0.46, Monocyte:CD14+: 0.46, Monocyte:anti-FcgRIIB: 0.46, DC:monocyte-derived:A._fumigatus_germ_tubes_6h: 0.45 |
Below shows the significant enrichments of this GEP for literature curated gene lists
This data was procured from existing single cell RNA-seq maps of neuroblastoma or related relevant data.
High ranks indicate this gene is a driver of this GEP.
These curated gene list are ranked by the P-value (on this GEP) of their constituent genes.
The Mean Count column shows the mean read count in cells scoring highly (H > 50) on this gene expression program.
Genes | Weight | Rank | GTEx | DepMap | Decartes | Mean.Counts | Mean.TPM |
---|---|---|---|---|---|---|---|
PSME2 | 0.0027381 | 50 | GTEx | DepMap | Descartes | 4.48 | 279.58 |
PSMA3 | 0.0003202 | 836 | GTEx | DepMap | Descartes | 0.97 | 114.32 |
PSMB3 | 0.0001402 | 1475 | GTEx | DepMap | Descartes | 2.00 | 420.74 |
PSMC2 | 0.0001217 | 1597 | GTEx | DepMap | Descartes | 0.54 | 28.38 |
PSMA4 | 0.0000202 | 2641 | GTEx | DepMap | Descartes | 1.47 | 52.93 |
p53 Dependent Senescence (Kinker)
These marker genes were obtained in a pan cancer cell lines NMF analysis of scRNA-eq data in Kinker et al (PMID 33128048) - 10 metaprograms were recovered that manifest across cancers.:
Wilcoxon ranksum test P-value for gene set overrepresentation: 1.23e-02
Mean rank of genes in gene set: 515
Rank on gene expression program of genes in gene set:
Genes | Weight | Rank | GTEx | DepMap | Decartes | Mean.Counts | Mean.TPM |
---|---|---|---|---|---|---|---|
NEAT1 | 0.0009785 | 259 | GTEx | DepMap | Descartes | 11.90 | 93.73 |
CDKN1A | 0.0003555 | 771 | GTEx | DepMap | Descartes | 1.62 | 138.11 |
Endothelium (Kameneva)
Marker gene were obtained from Fig. 1D of Kameneva et al (PMID 33833454). These genes were used by the authors to annotate each cell type in their human fetal adrenal scRNA-seq data obtained 6, 8, 9, 11, 12 and 14 weeks post conception.:
Wilcoxon ranksum test P-value for gene set overrepresentation: 2.02e-02
Mean rank of genes in gene set: 2561.75
Rank on gene expression program of genes in gene set:
Genes | Weight | Rank | GTEx | DepMap | Decartes | Mean.Counts | Mean.TPM |
---|---|---|---|---|---|---|---|
PRCP | 0.0013834 | 146 | GTEx | DepMap | Descartes | 0.89 | 23.09 |
FLT1 | 0.0000657 | 2065 | GTEx | DepMap | Descartes | 0.06 | 1.23 |
KDR | -0.0000093 | 3432 | GTEx | DepMap | Descartes | 0.02 | 0.33 |
EGFL7 | -0.0000352 | 4604 | GTEx | DepMap | Descartes | 0.12 | 6.84 |
Below shows ranks on this GEP for literature curated gene lists for large gene sets
These include those reported as mesenchymal/adrenergic by Van Groningen et al.
High ranks indicate this gene is a driver of this GEP (note these results are not ordered).
The Mean Count column shows the mean read count in cells scoring highly (H > 50) on this gene expression program.
VanGroningen Adrenergic Genes
Adrenergic marker genes from Supplementary Table 2 of Van Groningen et al. Nature Genetics 2017. These genes were identified by differential expression analysis of mesenchymal-like and adrenergic-like neuroblastoma cell lines.
Wilcoxon ranksum test P-value for gene set overrepresentation: 1.00e+00
Mean rank of genes in gene set: 9768.64
Median rank of genes in gene set: 10819
Rank on gene expression program of top 30 genes in gene set:
Genes | Weight | Rank | GTEx | DepMap | Descartes | Mean.Counts | Mean.TPM |
---|---|---|---|---|---|---|---|
DUSP4 | 0.0016180 | 117 | GTEx | DepMap | Descartes | 0.71 | 23.03 |
UCP2 | 0.0013514 | 155 | GTEx | DepMap | Descartes | 2.81 | 227.75 |
LYN | 0.0007410 | 348 | GTEx | DepMap | Descartes | 1.10 | 33.72 |
NET1 | 0.0007278 | 358 | GTEx | DepMap | Descartes | 0.26 | 12.59 |
FKBP1B | 0.0002359 | 1053 | GTEx | DepMap | Descartes | 0.23 | 23.29 |
CDC42EP3 | 0.0002225 | 1107 | GTEx | DepMap | Descartes | 0.39 | 13.62 |
SETD7 | 0.0001488 | 1418 | GTEx | DepMap | Descartes | 0.09 | 2.21 |
CELF2 | 0.0001139 | 1650 | GTEx | DepMap | Descartes | 0.91 | 20.81 |
HMGA1 | 0.0000579 | 2139 | GTEx | DepMap | Descartes | 1.58 | 128.65 |
CADM1 | 0.0000568 | 2150 | GTEx | DepMap | Descartes | 0.62 | 9.74 |
DAPK1 | 0.0000407 | 2305 | GTEx | DepMap | Descartes | 0.31 | 7.86 |
GGCT | 0.0000349 | 2392 | GTEx | DepMap | Descartes | 0.66 | 82.98 |
RUFY3 | 0.0000176 | 2687 | GTEx | DepMap | Descartes | 0.53 | 18.94 |
CCSAP | 0.0000155 | 2728 | GTEx | DepMap | Descartes | 0.15 | NA |
AP1S2 | 0.0000038 | 2995 | GTEx | DepMap | Descartes | 1.64 | 84.30 |
TUBB4B | 0.0000034 | 3003 | GTEx | DepMap | Descartes | 1.99 | 146.36 |
NFIL3 | -0.0000025 | 3167 | GTEx | DepMap | Descartes | 0.33 | 25.38 |
ANP32A | -0.0000102 | 3472 | GTEx | DepMap | Descartes | 1.18 | 51.68 |
HK2 | -0.0000204 | 3913 | GTEx | DepMap | Descartes | 0.10 | 2.89 |
KIF2A | -0.0000334 | 4516 | GTEx | DepMap | Descartes | 0.41 | 7.39 |
GLDC | -0.0000356 | 4622 | GTEx | DepMap | Descartes | 0.01 | 0.10 |
DPYSL2 | -0.0000364 | 4669 | GTEx | DepMap | Descartes | 0.96 | 34.41 |
GNB1 | -0.0000414 | 4892 | GTEx | DepMap | Descartes | 0.91 | 47.99 |
SHC3 | -0.0000451 | 5049 | GTEx | DepMap | Descartes | 0.00 | 0.04 |
STRA6 | -0.0000454 | 5074 | GTEx | DepMap | Descartes | 0.00 | 0.00 |
SLIT1 | -0.0000463 | 5119 | GTEx | DepMap | Descartes | 0.03 | 0.53 |
REC8 | -0.0000484 | 5205 | GTEx | DepMap | Descartes | 0.15 | 9.88 |
BEND4 | -0.0000533 | 5446 | GTEx | DepMap | Descartes | 0.00 | 0.04 |
FAM167A | -0.0000536 | 5458 | GTEx | DepMap | Descartes | 0.02 | 0.71 |
CERK | -0.0000563 | 5569 | GTEx | DepMap | Descartes | 0.31 | 11.36 |
VanGroningen Mesenchymal Genes
Mesenchymal marker genes from Supplementary Table 2 of Van Groningen et al. Nature Genetics 2017. These genes were identified by differential expression analysis of mesenchymal-like and adrenergic-like neuroblastoma cell lines.
Wilcoxon ranksum test P-value for gene set overrepresentation: 4.54e-08
Mean rank of genes in gene set: 5362.97
Median rank of genes in gene set: 5066
Rank on gene expression program of top 30 genes in gene set:
Genes | Weight | Rank | GTEx | DepMap | Descartes | Mean.Counts | Mean.TPM |
---|---|---|---|---|---|---|---|
RGS10 | 0.0034719 | 27 | GTEx | DepMap | Descartes | 5.29 | 1057.22 |
SGK1 | 0.0028844 | 44 | GTEx | DepMap | Descartes | 4.15 | 130.67 |
PPT1 | 0.0028786 | 45 | GTEx | DepMap | Descartes | 2.01 | 85.56 |
LMNA | 0.0024980 | 55 | GTEx | DepMap | Descartes | 3.43 | 190.18 |
INSIG1 | 0.0024600 | 58 | GTEx | DepMap | Descartes | 1.56 | 109.83 |
VIM | 0.0022704 | 71 | GTEx | DepMap | Descartes | 15.72 | 987.73 |
ARPC1B | 0.0021291 | 78 | GTEx | DepMap | Descartes | 6.13 | 632.07 |
CMTM6 | 0.0019421 | 86 | GTEx | DepMap | Descartes | 2.15 | 122.17 |
KLF4 | 0.0016616 | 110 | GTEx | DepMap | Descartes | 2.62 | 176.42 |
RNH1 | 0.0016318 | 114 | GTEx | DepMap | Descartes | 1.91 | 92.78 |
IL13RA1 | 0.0014739 | 128 | GTEx | DepMap | Descartes | 0.66 | 31.42 |
SQSTM1 | 0.0014249 | 138 | GTEx | DepMap | Descartes | 2.99 | 171.65 |
PXDC1 | 0.0014203 | 140 | GTEx | DepMap | Descartes | 0.27 | 19.97 |
PRCP | 0.0013834 | 146 | GTEx | DepMap | Descartes | 0.89 | 23.09 |
ANXA5 | 0.0013542 | 153 | GTEx | DepMap | Descartes | 2.72 | 272.02 |
OGFRL1 | 0.0012011 | 185 | GTEx | DepMap | Descartes | 0.65 | 15.20 |
EDEM1 | 0.0011357 | 203 | GTEx | DepMap | Descartes | 0.37 | 10.24 |
MYL12A | 0.0011288 | 206 | GTEx | DepMap | Descartes | 4.88 | 697.23 |
GSN | 0.0010957 | 216 | GTEx | DepMap | Descartes | 2.96 | 80.12 |
PON2 | 0.0010920 | 217 | GTEx | DepMap | Descartes | 0.22 | 24.36 |
SNAP23 | 0.0010264 | 241 | GTEx | DepMap | Descartes | 0.56 | 42.13 |
SH3BGRL | 0.0010248 | 242 | GTEx | DepMap | Descartes | 2.45 | 245.86 |
RAP1A | 0.0010231 | 243 | GTEx | DepMap | Descartes | 1.47 | 54.88 |
GPR137B | 0.0009955 | 255 | GTEx | DepMap | Descartes | 0.36 | 29.44 |
TUBB6 | 0.0009883 | 256 | GTEx | DepMap | Descartes | 0.20 | 15.61 |
ADAM19 | 0.0009673 | 263 | GTEx | DepMap | Descartes | 0.20 | 5.65 |
DUSP5 | 0.0009668 | 264 | GTEx | DepMap | Descartes | 0.65 | 53.46 |
SSR3 | 0.0009222 | 278 | GTEx | DepMap | Descartes | 1.72 | 77.78 |
MOB1A | 0.0009015 | 284 | GTEx | DepMap | Descartes | 1.48 | 52.34 |
CSRP1 | 0.0009003 | 285 | GTEx | DepMap | Descartes | 0.38 | 7.34 |
Descartes adrenocortical markers
Top 50 marker genes of adrenocortical cells in the Decartes fetal adrenal single cell map (https://atlas.brotmanbaty.org/bbi/human-gene-expression-during-development/cell/adrenocortical/in/adrenal)
Wilcoxon ranksum test P-value for gene set overrepresentation: 9.89e-01
Mean rank of genes in gene set: 7648.53
Median rank of genes in gene set: 8546
Rank on gene expression program of top 30 genes in gene set:
Genes | Weight | Rank | GTEx | DepMap | Descartes | Mean.Counts | Mean.TPM |
---|---|---|---|---|---|---|---|
PAPSS2 | 0.0003335 | 811 | GTEx | DepMap | Descartes | 0.18 | 7.08 |
ERN1 | 0.0002157 | 1131 | GTEx | DepMap | Descartes | 0.44 | 9.68 |
FDX1 | 0.0001148 | 1640 | GTEx | DepMap | Descartes | 0.64 | 34.78 |
SCARB1 | 0.0001122 | 1662 | GTEx | DepMap | Descartes | 0.19 | 4.87 |
SH3BP5 | 0.0000683 | 2043 | GTEx | DepMap | Descartes | 0.43 | 20.56 |
STAR | -0.0000219 | 3981 | GTEx | DepMap | Descartes | 0.00 | 0.24 |
FREM2 | -0.0000423 | 4927 | GTEx | DepMap | Descartes | 0.00 | 0.00 |
SCAP | -0.0000467 | 5140 | GTEx | DepMap | Descartes | 0.13 | 5.24 |
SGCZ | -0.0000483 | 5201 | GTEx | DepMap | Descartes | 0.00 | 0.00 |
DHCR24 | -0.0000600 | 5719 | GTEx | DepMap | Descartes | 0.05 | 1.50 |
BAIAP2L1 | -0.0000605 | 5740 | GTEx | DepMap | Descartes | 0.00 | 0.00 |
INHA | -0.0000753 | 6404 | GTEx | DepMap | Descartes | 0.01 | 0.41 |
FDPS | -0.0000809 | 6663 | GTEx | DepMap | Descartes | 0.63 | 50.45 |
HMGCS1 | -0.0000962 | 7354 | GTEx | DepMap | Descartes | 0.22 | 7.46 |
SLC16A9 | -0.0000990 | 7464 | GTEx | DepMap | Descartes | 0.03 | 0.86 |
FRMD5 | -0.0001097 | 7893 | GTEx | DepMap | Descartes | 0.02 | 0.58 |
HMGCR | -0.0001165 | 8167 | GTEx | DepMap | Descartes | 0.12 | 3.93 |
PDE10A | -0.0001263 | 8522 | GTEx | DepMap | Descartes | 0.03 | 0.36 |
MSMO1 | -0.0001275 | 8570 | GTEx | DepMap | Descartes | 0.11 | 8.12 |
POR | -0.0001290 | 8622 | GTEx | DepMap | Descartes | 0.26 | 18.13 |
SLC1A2 | -0.0001300 | 8654 | GTEx | DepMap | Descartes | 0.05 | 0.40 |
SH3PXD2B | -0.0001363 | 8898 | GTEx | DepMap | Descartes | 0.05 | 0.76 |
CYB5B | -0.0001419 | 9105 | GTEx | DepMap | Descartes | 0.32 | 13.00 |
TM7SF2 | -0.0001464 | 9253 | GTEx | DepMap | Descartes | 0.10 | 6.78 |
FDXR | -0.0001573 | 9600 | GTEx | DepMap | Descartes | 0.06 | 3.35 |
GRAMD1B | -0.0001663 | 9873 | GTEx | DepMap | Descartes | 0.04 | 0.68 |
DNER | -0.0001741 | 10073 | GTEx | DepMap | Descartes | 0.06 | 2.21 |
IGF1R | -0.0001823 | 10262 | GTEx | DepMap | Descartes | 0.09 | 0.90 |
NPC1 | -0.0001893 | 10428 | GTEx | DepMap | Descartes | 0.10 | 2.66 |
DHCR7 | -0.0002065 | 10764 | GTEx | DepMap | Descartes | 0.07 | 3.76 |
Descartes chromaffin markers
Top 50 marker genes of chromaffin cells in the Decartes fetal adrenal single cell map (https://atlas.brotmanbaty.org/bbi/human-gene-expression-during-development/cell/chromaffin/in/adrenal)
Wilcoxon ranksum test P-value for gene set overrepresentation: 1.00e+00
Mean rank of genes in gene set: 10198.27
Median rank of genes in gene set: 10960
Rank on gene expression program of top 30 genes in gene set:
Genes | Weight | Rank | GTEx | DepMap | Descartes | Mean.Counts | Mean.TPM |
---|---|---|---|---|---|---|---|
BASP1 | 0.0001285 | 1541 | GTEx | DepMap | Descartes | 3.52 | 280.08 |
EPHA6 | -0.0000790 | 6567 | GTEx | DepMap | Descartes | 0.00 | 0.00 |
SLC44A5 | -0.0000790 | 6571 | GTEx | DepMap | Descartes | 0.01 | 0.30 |
ANKFN1 | -0.0000837 | 6770 | GTEx | DepMap | Descartes | 0.01 | 0.18 |
HS3ST5 | -0.0000867 | 6952 | GTEx | DepMap | Descartes | 0.02 | 0.79 |
ALK | -0.0000944 | 7280 | GTEx | DepMap | Descartes | 0.02 | 0.87 |
RPH3A | -0.0001101 | 7913 | GTEx | DepMap | Descartes | 0.01 | 0.18 |
FAT3 | -0.0001160 | 8146 | GTEx | DepMap | Descartes | 0.02 | 0.17 |
RYR2 | -0.0001215 | 8343 | GTEx | DepMap | Descartes | 0.01 | 0.12 |
KCNB2 | -0.0001403 | 9052 | GTEx | DepMap | Descartes | 0.03 | 0.82 |
GREM1 | -0.0001591 | 9658 | GTEx | DepMap | Descartes | 0.01 | 0.12 |
CNKSR2 | -0.0001656 | 9848 | GTEx | DepMap | Descartes | 0.02 | 0.31 |
TMEM132C | -0.0001665 | 9880 | GTEx | DepMap | Descartes | 0.04 | 1.15 |
NPY | -0.0001701 | 9972 | GTEx | DepMap | Descartes | 1.68 | 311.26 |
SYNPO2 | -0.0001714 | 10011 | GTEx | DepMap | Descartes | 0.06 | 0.62 |
EYA4 | -0.0001727 | 10036 | GTEx | DepMap | Descartes | 0.03 | 0.65 |
PTCHD1 | -0.0001731 | 10050 | GTEx | DepMap | Descartes | 0.02 | 0.23 |
EYA1 | -0.0001768 | 10144 | GTEx | DepMap | Descartes | 0.02 | 0.74 |
NTRK1 | -0.0001913 | 10464 | GTEx | DepMap | Descartes | 0.26 | 13.14 |
SLC6A2 | -0.0001958 | 10566 | GTEx | DepMap | Descartes | 0.06 | 1.81 |
RBFOX1 | -0.0002179 | 10960 | GTEx | DepMap | Descartes | 0.07 | 2.41 |
REEP1 | -0.0002392 | 11232 | GTEx | DepMap | Descartes | 0.07 | 1.56 |
PLXNA4 | -0.0002397 | 11238 | GTEx | DepMap | Descartes | 0.05 | 0.50 |
TMEFF2 | -0.0002520 | 11380 | GTEx | DepMap | Descartes | 0.11 | 4.88 |
GAL | -0.0002603 | 11463 | GTEx | DepMap | Descartes | 0.22 | 37.74 |
MARCH11 | -0.0002623 | 11487 | GTEx | DepMap | Descartes | 0.23 | NA |
IL7 | -0.0002692 | 11548 | GTEx | DepMap | Descartes | 0.12 | 9.48 |
MAB21L2 | -0.0002697 | 11552 | GTEx | DepMap | Descartes | 0.11 | 4.16 |
ELAVL2 | -0.0002751 | 11604 | GTEx | DepMap | Descartes | 0.16 | 5.94 |
RGMB | -0.0002818 | 11659 | GTEx | DepMap | Descartes | 0.15 | 4.66 |
Descartes Vascular_endothelial markers
Top 50 marker genes of Vascular_endothelial cells in the Decartes fetal adrenal single cell map (https://atlas.brotmanbaty.org/bbi/human-gene-expression-during-development/cell/vascular_endothelial/in/adrenal)
Wilcoxon ranksum test P-value for gene set overrepresentation: 1.42e-01
Mean rank of genes in gene set: 5647.34
Median rank of genes in gene set: 5455.5
Rank on gene expression program of top 30 genes in gene set:
Genes | Weight | Rank | GTEx | DepMap | Descartes | Mean.Counts | Mean.TPM |
---|---|---|---|---|---|---|---|
CALCRL | 0.0006798 | 389 | GTEx | DepMap | Descartes | 0.05 | 1.30 |
SHE | 0.0001557 | 1388 | GTEx | DepMap | Descartes | 0.01 | 0.20 |
TIE1 | 0.0000454 | 2257 | GTEx | DepMap | Descartes | 0.00 | 0.11 |
MMRN2 | 0.0000379 | 2343 | GTEx | DepMap | Descartes | 0.02 | 0.75 |
TEK | 0.0000262 | 2544 | GTEx | DepMap | Descartes | 0.01 | 0.13 |
SLCO2A1 | 0.0000224 | 2601 | GTEx | DepMap | Descartes | 0.00 | 0.05 |
PLVAP | 0.0000220 | 2609 | GTEx | DepMap | Descartes | 0.14 | 9.62 |
CEACAM1 | 0.0000126 | 2789 | GTEx | DepMap | Descartes | 0.02 | 1.33 |
ESM1 | -0.0000067 | 3320 | GTEx | DepMap | Descartes | 0.04 | 2.65 |
PTPRB | -0.0000075 | 3354 | GTEx | DepMap | Descartes | 0.01 | 0.07 |
KDR | -0.0000093 | 3432 | GTEx | DepMap | Descartes | 0.02 | 0.33 |
NPR1 | -0.0000095 | 3433 | GTEx | DepMap | Descartes | 0.00 | 0.08 |
GALNT15 | -0.0000134 | 3616 | GTEx | DepMap | Descartes | 0.00 | NA |
CDH5 | -0.0000153 | 3688 | GTEx | DepMap | Descartes | 0.05 | 1.63 |
ROBO4 | -0.0000198 | 3871 | GTEx | DepMap | Descartes | 0.01 | 0.39 |
SHANK3 | -0.0000327 | 4484 | GTEx | DepMap | Descartes | 0.01 | 0.12 |
CYP26B1 | -0.0000369 | 4693 | GTEx | DepMap | Descartes | 0.03 | 0.88 |
KANK3 | -0.0000467 | 5134 | GTEx | DepMap | Descartes | 0.01 | 0.44 |
RASIP1 | -0.0000486 | 5221 | GTEx | DepMap | Descartes | 0.04 | 2.29 |
PODXL | -0.0000595 | 5690 | GTEx | DepMap | Descartes | 0.04 | 0.90 |
FLT4 | -0.0000622 | 5830 | GTEx | DepMap | Descartes | 0.01 | 0.18 |
MYRIP | -0.0000671 | 6044 | GTEx | DepMap | Descartes | 0.01 | 0.29 |
EHD3 | -0.0000684 | 6104 | GTEx | DepMap | Descartes | 0.02 | 0.54 |
NR5A2 | -0.0000690 | 6126 | GTEx | DepMap | Descartes | 0.00 | 0.07 |
CLDN5 | -0.0000730 | 6290 | GTEx | DepMap | Descartes | 0.04 | 2.04 |
IRX3 | -0.0000742 | 6347 | GTEx | DepMap | Descartes | 0.00 | 0.07 |
TMEM88 | -0.0000874 | 6981 | GTEx | DepMap | Descartes | 0.12 | 22.55 |
CDH13 | -0.0000912 | 7147 | GTEx | DepMap | Descartes | 0.01 | 0.08 |
ARHGAP29 | -0.0001109 | 7949 | GTEx | DepMap | Descartes | 0.04 | 0.49 |
HYAL2 | -0.0001126 | 8016 | GTEx | DepMap | Descartes | 0.26 | 9.80 |
Descartes stromal markers
Top 50 marker genes of stromal cells in the Decartes fetal adrenal single cell map (https://atlas.brotmanbaty.org/bbi/human-gene-expression-during-development/cell/stromal/in/adrenal)
Wilcoxon ranksum test P-value for gene set overrepresentation: 4.02e-02
Mean rank of genes in gene set: 5321.77
Median rank of genes in gene set: 5016
Rank on gene expression program of top 30 genes in gene set:
Genes | Weight | Rank | GTEx | DepMap | Descartes | Mean.Counts | Mean.TPM |
---|---|---|---|---|---|---|---|
LUM | 1.52e-05 | 2736 | GTEx | DepMap | Descartes | 0.24 | 20.09 |
DCN | 1.50e-05 | 2741 | GTEx | DepMap | Descartes | 0.20 | 6.61 |
PAMR1 | 1.28e-05 | 2780 | GTEx | DepMap | Descartes | 0.01 | 0.52 |
CLDN11 | 7.20e-06 | 2907 | GTEx | DepMap | Descartes | 0.01 | 0.15 |
ISLR | 6.30e-06 | 2938 | GTEx | DepMap | Descartes | 0.01 | 0.67 |
SCARA5 | 6.20e-06 | 2940 | GTEx | DepMap | Descartes | 0.00 | 0.00 |
BICC1 | -3.20e-06 | 3193 | GTEx | DepMap | Descartes | 0.01 | 0.38 |
OGN | -4.50e-06 | 3238 | GTEx | DepMap | Descartes | 0.00 | 0.12 |
SFRP2 | -5.20e-06 | 3263 | GTEx | DepMap | Descartes | 0.00 | 0.00 |
IGFBP3 | -6.50e-06 | 3318 | GTEx | DepMap | Descartes | 0.25 | 12.29 |
ITGA11 | -1.99e-05 | 3878 | GTEx | DepMap | Descartes | 0.00 | 0.00 |
GLI2 | -2.05e-05 | 3917 | GTEx | DepMap | Descartes | 0.00 | 0.00 |
C7 | -2.05e-05 | 3921 | GTEx | DepMap | Descartes | 0.01 | 0.14 |
CD248 | -2.07e-05 | 3929 | GTEx | DepMap | Descartes | 0.02 | 0.92 |
ABCC9 | -2.07e-05 | 3932 | GTEx | DepMap | Descartes | 0.00 | 0.02 |
COL1A2 | -2.83e-05 | 4292 | GTEx | DepMap | Descartes | 0.16 | 5.28 |
RSPO3 | -2.93e-05 | 4334 | GTEx | DepMap | Descartes | 0.00 | NA |
COL6A3 | -3.11e-05 | 4419 | GTEx | DepMap | Descartes | 0.03 | 0.68 |
ADAMTSL3 | -3.63e-05 | 4663 | GTEx | DepMap | Descartes | 0.00 | 0.00 |
LAMC3 | -3.65e-05 | 4678 | GTEx | DepMap | Descartes | 0.00 | 0.00 |
COL3A1 | -4.10e-05 | 4876 | GTEx | DepMap | Descartes | 0.12 | 4.64 |
LOX | -4.41e-05 | 4995 | GTEx | DepMap | Descartes | 0.00 | 0.00 |
PCDH18 | -4.49e-05 | 5037 | GTEx | DepMap | Descartes | 0.01 | 0.31 |
MGP | -4.55e-05 | 5087 | GTEx | DepMap | Descartes | 0.10 | 8.67 |
LRRC17 | -5.04e-05 | 5313 | GTEx | DepMap | Descartes | 0.01 | 1.12 |
EDNRA | -5.06e-05 | 5325 | GTEx | DepMap | Descartes | 0.00 | 0.00 |
POSTN | -5.33e-05 | 5444 | GTEx | DepMap | Descartes | 0.00 | 0.00 |
CCDC80 | -5.37e-05 | 5464 | GTEx | DepMap | Descartes | 0.00 | 0.05 |
PRRX1 | -5.50e-05 | 5524 | GTEx | DepMap | Descartes | 0.01 | 0.09 |
ACTA2 | -5.99e-05 | 5710 | GTEx | DepMap | Descartes | 0.08 | 9.78 |
Descartes sympathoblasts markers
Top 50 marker genes of sympathoblasts cells in the Decartes fetal adrenal single cell map (https://atlas.brotmanbaty.org/bbi/human-gene-expression-during-development/cell/sympathoblasts/in/adrenal)
Wilcoxon ranksum test P-value for gene set overrepresentation: 9.76e-01
Mean rank of genes in gene set: 7433.03
Median rank of genes in gene set: 7908.5
Rank on gene expression program of top 30 genes in gene set:
Genes | Weight | Rank | GTEx | DepMap | Descartes | Mean.Counts | Mean.TPM |
---|---|---|---|---|---|---|---|
CCSER1 | 0.0012565 | 170 | GTEx | DepMap | Descartes | 0.09 | NA |
ST18 | 0.0009608 | 268 | GTEx | DepMap | Descartes | 0.04 | 1.36 |
ROBO1 | 0.0000065 | 2926 | GTEx | DepMap | Descartes | 0.08 | 1.67 |
PENK | -0.0000146 | 3664 | GTEx | DepMap | Descartes | 0.01 | 1.26 |
SLC35F3 | -0.0000230 | 4045 | GTEx | DepMap | Descartes | 0.02 | 1.66 |
SORCS3 | -0.0000318 | 4452 | GTEx | DepMap | Descartes | 0.00 | 0.00 |
SLC24A2 | -0.0000403 | 4842 | GTEx | DepMap | Descartes | 0.00 | 0.00 |
DGKK | -0.0000442 | 5000 | GTEx | DepMap | Descartes | 0.01 | 0.17 |
GRM7 | -0.0000451 | 5055 | GTEx | DepMap | Descartes | 0.00 | 0.07 |
TBX20 | -0.0000528 | 5423 | GTEx | DepMap | Descartes | 0.00 | 0.00 |
CDH12 | -0.0000594 | 5679 | GTEx | DepMap | Descartes | 0.01 | 0.11 |
CNTN3 | -0.0000621 | 5824 | GTEx | DepMap | Descartes | 0.00 | 0.00 |
CDH18 | -0.0000650 | 5952 | GTEx | DepMap | Descartes | 0.01 | 0.25 |
SPOCK3 | -0.0000658 | 5984 | GTEx | DepMap | Descartes | 0.01 | 0.24 |
LAMA3 | -0.0000698 | 6165 | GTEx | DepMap | Descartes | 0.01 | 0.12 |
GALNTL6 | -0.0000749 | 6381 | GTEx | DepMap | Descartes | 0.01 | 0.38 |
KSR2 | -0.0000996 | 7490 | GTEx | DepMap | Descartes | 0.02 | 0.27 |
PACRG | -0.0001030 | 7619 | GTEx | DepMap | Descartes | 0.01 | 0.76 |
NTNG1 | -0.0001084 | 7841 | GTEx | DepMap | Descartes | 0.02 | 0.22 |
EML6 | -0.0001117 | 7976 | GTEx | DepMap | Descartes | 0.02 | 0.17 |
TIAM1 | -0.0001153 | 8108 | GTEx | DepMap | Descartes | 0.12 | 2.98 |
GRID2 | -0.0001164 | 8164 | GTEx | DepMap | Descartes | 0.02 | 0.68 |
SLC18A1 | -0.0001176 | 8218 | GTEx | DepMap | Descartes | 0.07 | 4.28 |
TENM1 | -0.0001216 | 8348 | GTEx | DepMap | Descartes | 0.01 | NA |
AGBL4 | -0.0001224 | 8373 | GTEx | DepMap | Descartes | 0.01 | 0.42 |
PCSK2 | -0.0001230 | 8401 | GTEx | DepMap | Descartes | 0.02 | 0.41 |
MGAT4C | -0.0001270 | 8547 | GTEx | DepMap | Descartes | 0.04 | 0.13 |
FGF14 | -0.0001372 | 8922 | GTEx | DepMap | Descartes | 0.02 | 0.18 |
UNC80 | -0.0001730 | 10048 | GTEx | DepMap | Descartes | 0.05 | 0.42 |
KCTD16 | -0.0001783 | 10182 | GTEx | DepMap | Descartes | 0.07 | 0.71 |
Descartes erythroblasts markers
Top 50 marker genes of erythroblasts cells in the Decartes fetal adrenal single cell map (https://atlas.brotmanbaty.org/bbi/human-gene-expression-during-development/cell/erythroblasts/in/adrenal)
Wilcoxon ranksum test P-value for gene set overrepresentation: 5.35e-01
Mean rank of genes in gene set: 6333.55
Median rank of genes in gene set: 6318
Rank on gene expression program of top 30 genes in gene set:
Genes | Weight | Rank | GTEx | DepMap | Descartes | Mean.Counts | Mean.TPM |
---|---|---|---|---|---|---|---|
CAT | 0.0014400 | 134 | GTEx | DepMap | Descartes | 0.73 | 54.08 |
SPECC1 | 0.0006960 | 375 | GTEx | DepMap | Descartes | 0.21 | 5.07 |
GCLC | 0.0001313 | 1521 | GTEx | DepMap | Descartes | 0.16 | 7.07 |
MICAL2 | 0.0000747 | 1971 | GTEx | DepMap | Descartes | 0.03 | 0.87 |
DENND4A | 0.0000155 | 2726 | GTEx | DepMap | Descartes | 0.25 | 5.10 |
RGS6 | -0.0000075 | 3355 | GTEx | DepMap | Descartes | 0.00 | 0.13 |
SLC25A21 | -0.0000143 | 3657 | GTEx | DepMap | Descartes | 0.00 | 0.00 |
ALAS2 | -0.0000207 | 3931 | GTEx | DepMap | Descartes | 0.00 | 0.40 |
ANK1 | -0.0000244 | 4099 | GTEx | DepMap | Descartes | 0.03 | 0.69 |
RHD | -0.0000295 | 4342 | GTEx | DepMap | Descartes | 0.00 | 0.00 |
SLC4A1 | -0.0000429 | 4958 | GTEx | DepMap | Descartes | 0.01 | 0.19 |
SELENBP1 | -0.0000498 | 5286 | GTEx | DepMap | Descartes | 0.01 | 0.53 |
MARCH3 | -0.0000524 | 5399 | GTEx | DepMap | Descartes | 0.09 | NA |
FECH | -0.0000606 | 5748 | GTEx | DepMap | Descartes | 0.12 | 2.20 |
SPTB | -0.0000736 | 6318 | GTEx | DepMap | Descartes | 0.02 | 0.21 |
BLVRB | -0.0000745 | 6365 | GTEx | DepMap | Descartes | 2.04 | 230.66 |
TMCC2 | -0.0000787 | 6551 | GTEx | DepMap | Descartes | 0.02 | 1.36 |
XPO7 | -0.0000973 | 7395 | GTEx | DepMap | Descartes | 0.12 | 3.66 |
TRAK2 | -0.0001132 | 8039 | GTEx | DepMap | Descartes | 0.07 | 2.10 |
SOX6 | -0.0001238 | 8437 | GTEx | DepMap | Descartes | 0.02 | 0.21 |
SLC25A37 | -0.0001241 | 8450 | GTEx | DepMap | Descartes | 0.36 | 13.95 |
TFR2 | -0.0001421 | 9114 | GTEx | DepMap | Descartes | 0.01 | 0.35 |
ABCB10 | -0.0001455 | 9220 | GTEx | DepMap | Descartes | 0.07 | 2.71 |
CPOX | -0.0001597 | 9671 | GTEx | DepMap | Descartes | 0.06 | 3.56 |
SNCA | -0.0001929 | 10500 | GTEx | DepMap | Descartes | 0.20 | 11.11 |
EPB41 | -0.0002350 | 11180 | GTEx | DepMap | Descartes | 0.26 | 6.85 |
RAPGEF2 | -0.0002544 | 11410 | GTEx | DepMap | Descartes | 0.14 | 2.30 |
GYPC | -0.0002589 | 11447 | GTEx | DepMap | Descartes | 0.86 | 87.44 |
TSPAN5 | -0.0003523 | 12074 | GTEx | DepMap | Descartes | 0.14 | 3.76 |
NA | NA | NA | NA | NA | NA | NA | NA |
Descartes myeloid markers
Top 50 marker genes of myeloid cells in the Decartes fetal adrenal single cell map (https://atlas.brotmanbaty.org/bbi/human-gene-expression-during-development/cell/myeloid/in/adrenal)
Wilcoxon ranksum test P-value for gene set overrepresentation: 2.10e-01
Mean rank of genes in gene set: 5801.34
Median rank of genes in gene set: 3203.5
Rank on gene expression program of top 30 genes in gene set:
Genes | Weight | Rank | GTEx | DepMap | Descartes | Mean.Counts | Mean.TPM |
---|---|---|---|---|---|---|---|
CPVL | 0.0150054 | 2 | GTEx | DepMap | Descartes | 4.85 | 360.03 |
CST3 | 0.0113083 | 5 | GTEx | DepMap | Descartes | 41.71 | 2449.73 |
CD74 | 0.0058178 | 9 | GTEx | DepMap | Descartes | 95.84 | 6015.95 |
FGL2 | 0.0057253 | 10 | GTEx | DepMap | Descartes | 3.90 | 158.71 |
PTPRE | 0.0023110 | 67 | GTEx | DepMap | Descartes | 1.36 | 44.57 |
IFNGR1 | 0.0022044 | 72 | GTEx | DepMap | Descartes | 1.81 | 122.09 |
FGD2 | 0.0021426 | 77 | GTEx | DepMap | Descartes | 0.33 | 11.73 |
HCK | 0.0016690 | 108 | GTEx | DepMap | Descartes | 0.90 | 74.67 |
MARCH1 | 0.0008472 | 305 | GTEx | DepMap | Descartes | 0.62 | NA |
CTSS | 0.0008173 | 317 | GTEx | DepMap | Descartes | 6.79 | 271.47 |
AXL | 0.0006850 | 384 | GTEx | DepMap | Descartes | 0.77 | 30.95 |
SLC9A9 | 0.0003867 | 711 | GTEx | DepMap | Descartes | 0.28 | 15.76 |
TGFBI | 0.0003360 | 806 | GTEx | DepMap | Descartes | 1.24 | 47.51 |
RBPJ | 0.0001994 | 1201 | GTEx | DepMap | Descartes | 0.89 | 26.52 |
SPP1 | 0.0001272 | 1548 | GTEx | DepMap | Descartes | 3.68 | 223.33 |
ATP8B4 | 0.0000830 | 1902 | GTEx | DepMap | Descartes | 0.10 | 3.34 |
CSF1R | 0.0000670 | 2054 | GTEx | DepMap | Descartes | 1.35 | 61.26 |
ADAP2 | 0.0000449 | 2263 | GTEx | DepMap | Descartes | 0.63 | 42.16 |
ITPR2 | 0.0000241 | 2578 | GTEx | DepMap | Descartes | 0.51 | 6.97 |
CYBB | -0.0000188 | 3829 | GTEx | DepMap | Descartes | 1.55 | 63.58 |
CTSC | -0.0000200 | 3888 | GTEx | DepMap | Descartes | 6.29 | 134.70 |
SFMBT2 | -0.0000793 | 6590 | GTEx | DepMap | Descartes | 0.15 | 3.04 |
FMN1 | -0.0001414 | 9090 | GTEx | DepMap | Descartes | 0.10 | 1.13 |
HRH1 | -0.0001895 | 10433 | GTEx | DepMap | Descartes | 0.04 | 1.04 |
CTSB | -0.0002363 | 11196 | GTEx | DepMap | Descartes | 6.86 | 256.13 |
WWP1 | -0.0003650 | 12120 | GTEx | DepMap | Descartes | 0.27 | 7.55 |
RGL1 | -0.0003910 | 12185 | GTEx | DepMap | Descartes | 0.22 | 6.66 |
CD163L1 | -0.0004732 | 12352 | GTEx | DepMap | Descartes | 0.26 | 8.54 |
LGMN | -0.0004798 | 12363 | GTEx | DepMap | Descartes | 2.75 | 176.49 |
ABCA1 | -0.0004865 | 12374 | GTEx | DepMap | Descartes | 0.43 | 6.21 |
Descartes Schwann markers
Top 50 marker genes of Schwann cells in the Decartes fetal adrenal single cell map (https://atlas.brotmanbaty.org/bbi/human-gene-expression-during-development/cell/schwann/in/adrenal)
Wilcoxon ranksum test P-value for gene set overrepresentation: 9.68e-01
Mean rank of genes in gene set: 7283.75
Median rank of genes in gene set: 7225
Rank on gene expression program of top 30 genes in gene set:
Genes | Weight | Rank | GTEx | DepMap | Descartes | Mean.Counts | Mean.TPM |
---|---|---|---|---|---|---|---|
VIM | 0.0022704 | 71 | GTEx | DepMap | Descartes | 15.72 | 987.73 |
KCTD12 | 0.0005200 | 523 | GTEx | DepMap | Descartes | 0.64 | 18.27 |
GAS7 | 0.0003669 | 745 | GTEx | DepMap | Descartes | 0.23 | 4.85 |
HMGA2 | -0.0000039 | 3218 | GTEx | DepMap | Descartes | 0.00 | 0.07 |
ADAMTS5 | -0.0000069 | 3329 | GTEx | DepMap | Descartes | 0.00 | 0.04 |
MDGA2 | -0.0000162 | 3725 | GTEx | DepMap | Descartes | 0.00 | 0.00 |
IL1RAPL2 | -0.0000183 | 3808 | GTEx | DepMap | Descartes | 0.00 | 0.00 |
IL1RAPL1 | -0.0000186 | 3824 | GTEx | DepMap | Descartes | 0.00 | 0.17 |
NRXN3 | -0.0000197 | 3865 | GTEx | DepMap | Descartes | 0.02 | 0.37 |
ERBB4 | -0.0000388 | 4782 | GTEx | DepMap | Descartes | 0.00 | 0.00 |
PTPRZ1 | -0.0000414 | 4888 | GTEx | DepMap | Descartes | 0.01 | 0.09 |
PLCE1 | -0.0000448 | 5034 | GTEx | DepMap | Descartes | 0.02 | 0.37 |
LAMC1 | -0.0000454 | 5073 | GTEx | DepMap | Descartes | 0.05 | 1.30 |
TRPM3 | -0.0000508 | 5338 | GTEx | DepMap | Descartes | 0.00 | 0.04 |
OLFML2A | -0.0000557 | 5546 | GTEx | DepMap | Descartes | 0.01 | 0.39 |
XKR4 | -0.0000638 | 5899 | GTEx | DepMap | Descartes | 0.02 | 0.14 |
COL25A1 | -0.0000676 | 6060 | GTEx | DepMap | Descartes | 0.00 | 0.01 |
PLP1 | -0.0000707 | 6205 | GTEx | DepMap | Descartes | 0.09 | 7.21 |
GRIK3 | -0.0000732 | 6306 | GTEx | DepMap | Descartes | 0.01 | 0.32 |
EDNRB | -0.0000823 | 6708 | GTEx | DepMap | Descartes | 0.02 | 0.55 |
COL5A2 | -0.0000881 | 7009 | GTEx | DepMap | Descartes | 0.02 | 0.71 |
MPZ | -0.0000927 | 7208 | GTEx | DepMap | Descartes | 0.07 | 7.38 |
STARD13 | -0.0000933 | 7242 | GTEx | DepMap | Descartes | 0.06 | 1.64 |
SLC35F1 | -0.0000974 | 7396 | GTEx | DepMap | Descartes | 0.02 | 0.38 |
LRRTM4 | -0.0000974 | 7397 | GTEx | DepMap | Descartes | 0.00 | 0.13 |
EGFLAM | -0.0001128 | 8024 | GTEx | DepMap | Descartes | 0.01 | 0.27 |
SOX5 | -0.0001266 | 8534 | GTEx | DepMap | Descartes | 0.02 | 0.47 |
ERBB3 | -0.0001280 | 8585 | GTEx | DepMap | Descartes | 0.02 | 0.93 |
SORCS1 | -0.0001324 | 8739 | GTEx | DepMap | Descartes | 0.03 | 0.70 |
SCN7A | -0.0001347 | 8832 | GTEx | DepMap | Descartes | 0.06 | 1.66 |
Descartes Megakaryocytes markers
Top 50 marker genes of Megakaryocytes cells in the Decartes fetal adrenal single cell map (https://atlas.brotmanbaty.org/bbi/human-gene-expression-during-development/cell/megakaryocytes/in/adrenal)
Wilcoxon ranksum test P-value for gene set overrepresentation: 1.82e-06
Mean rank of genes in gene set: 3778.8
Median rank of genes in gene set: 2362
Rank on gene expression program of top 30 genes in gene set:
Genes | Weight | Rank | GTEx | DepMap | Descartes | Mean.Counts | Mean.TPM |
---|---|---|---|---|---|---|---|
PLEK | 0.0032059 | 33 | GTEx | DepMap | Descartes | 2.82 | 171.50 |
ACTB | 0.0028976 | 42 | GTEx | DepMap | Descartes | 49.06 | 3949.36 |
TMSB4X | 0.0028912 | 43 | GTEx | DepMap | Descartes | 204.20 | 22831.52 |
GSN | 0.0010957 | 216 | GTEx | DepMap | Descartes | 2.96 | 80.12 |
TLN1 | 0.0007631 | 342 | GTEx | DepMap | Descartes | 0.90 | 17.55 |
MCTP1 | 0.0007520 | 344 | GTEx | DepMap | Descartes | 0.19 | 6.26 |
FERMT3 | 0.0007515 | 345 | GTEx | DepMap | Descartes | 0.88 | 56.17 |
FLNA | 0.0007133 | 369 | GTEx | DepMap | Descartes | 0.97 | 19.08 |
TPM4 | 0.0006988 | 372 | GTEx | DepMap | Descartes | 1.81 | 64.39 |
ZYX | 0.0005283 | 519 | GTEx | DepMap | Descartes | 0.72 | 58.13 |
ACTN1 | 0.0004346 | 640 | GTEx | DepMap | Descartes | 0.38 | 12.78 |
SPN | 0.0003730 | 737 | GTEx | DepMap | Descartes | 0.34 | 8.86 |
LIMS1 | 0.0003023 | 879 | GTEx | DepMap | Descartes | 1.59 | 56.62 |
RAP1B | 0.0002317 | 1072 | GTEx | DepMap | Descartes | 1.11 | 13.03 |
CD84 | 0.0002132 | 1144 | GTEx | DepMap | Descartes | 0.66 | 12.19 |
MYH9 | 0.0002083 | 1164 | GTEx | DepMap | Descartes | 0.58 | 12.27 |
PSTPIP2 | 0.0001614 | 1358 | GTEx | DepMap | Descartes | 0.19 | 12.94 |
TGFB1 | 0.0001588 | 1369 | GTEx | DepMap | Descartes | 1.21 | 76.76 |
FLI1 | 0.0001564 | 1385 | GTEx | DepMap | Descartes | 0.19 | 7.07 |
VCL | 0.0001470 | 1431 | GTEx | DepMap | Descartes | 0.14 | 2.95 |
STOM | 0.0001143 | 1645 | GTEx | DepMap | Descartes | 0.49 | 26.48 |
MYLK | 0.0000594 | 2121 | GTEx | DepMap | Descartes | 0.03 | 0.54 |
GP1BA | 0.0000370 | 2362 | GTEx | DepMap | Descartes | 0.01 | 0.99 |
TRPC6 | 0.0000238 | 2585 | GTEx | DepMap | Descartes | 0.00 | 0.15 |
ITGB3 | 0.0000028 | 3018 | GTEx | DepMap | Descartes | 0.00 | 0.00 |
PRKAR2B | 0.0000002 | 3079 | GTEx | DepMap | Descartes | 0.15 | 6.11 |
ITGA2B | -0.0000369 | 4695 | GTEx | DepMap | Descartes | 0.01 | 0.22 |
SLC24A3 | -0.0000410 | 4874 | GTEx | DepMap | Descartes | 0.00 | 0.00 |
ANGPT1 | -0.0000428 | 4952 | GTEx | DepMap | Descartes | 0.00 | 0.00 |
MED12L | -0.0000440 | 4991 | GTEx | DepMap | Descartes | 0.01 | 0.19 |
Descartes Lyphoid markers
Top 50 marker genes of Lyphoid cells in the Decartes fetal adrenal single cell map (https://atlas.brotmanbaty.org/bbi/human-gene-expression-during-development/cell/lymphoid/in/adrenal)
Wilcoxon ranksum test P-value for gene set overrepresentation: 9.98e-01
Mean rank of genes in gene set: 7844.79
Median rank of genes in gene set: 9895.5
Rank on gene expression program of top 30 genes in gene set:
Genes | Weight | Rank | GTEx | DepMap | Descartes | Mean.Counts | Mean.TPM |
---|---|---|---|---|---|---|---|
LCP1 | 0.0027871 | 48 | GTEx | DepMap | Descartes | 2.50 | 107.33 |
TMSB10 | 0.0011434 | 200 | GTEx | DepMap | Descartes | 79.63 | 33050.45 |
DOCK10 | 0.0009717 | 261 | GTEx | DepMap | Descartes | 0.43 | 11.19 |
B2M | 0.0008336 | 311 | GTEx | DepMap | Descartes | 115.28 | 8541.63 |
ARHGDIB | 0.0005176 | 528 | GTEx | DepMap | Descartes | 6.02 | 899.32 |
MBNL1 | 0.0004680 | 593 | GTEx | DepMap | Descartes | 0.80 | 22.83 |
ANKRD44 | 0.0004648 | 596 | GTEx | DepMap | Descartes | 0.40 | 10.67 |
PTPRC | 0.0004059 | 675 | GTEx | DepMap | Descartes | 2.31 | 76.17 |
MSN | 0.0002728 | 954 | GTEx | DepMap | Descartes | 1.17 | 53.22 |
CELF2 | 0.0001139 | 1650 | GTEx | DepMap | Descartes | 0.91 | 20.81 |
NCALD | 0.0000813 | 1919 | GTEx | DepMap | Descartes | 0.06 | 2.40 |
IKZF1 | -0.0000147 | 3667 | GTEx | DepMap | Descartes | 0.47 | 13.65 |
SP100 | -0.0000290 | 4320 | GTEx | DepMap | Descartes | 0.61 | 19.96 |
PLEKHA2 | -0.0000559 | 5554 | GTEx | DepMap | Descartes | 0.22 | 7.83 |
PITPNC1 | -0.0000755 | 6411 | GTEx | DepMap | Descartes | 0.16 | 3.66 |
CD44 | -0.0000875 | 6983 | GTEx | DepMap | Descartes | 2.43 | 87.53 |
RAP1GAP2 | -0.0001283 | 8596 | GTEx | DepMap | Descartes | 0.09 | 2.01 |
STK39 | -0.0001289 | 8621 | GTEx | DepMap | Descartes | 0.10 | 4.74 |
SORL1 | -0.0001319 | 8722 | GTEx | DepMap | Descartes | 0.46 | 8.52 |
WIPF1 | -0.0001582 | 9624 | GTEx | DepMap | Descartes | 0.77 | 31.54 |
TOX | -0.0001665 | 9878 | GTEx | DepMap | Descartes | 0.06 | 1.71 |
RCSD1 | -0.0001680 | 9913 | GTEx | DepMap | Descartes | 0.49 | 16.36 |
ITPKB | -0.0002095 | 10831 | GTEx | DepMap | Descartes | 0.07 | 2.11 |
BACH2 | -0.0002397 | 11239 | GTEx | DepMap | Descartes | 0.07 | 1.19 |
CCND3 | -0.0002398 | 11240 | GTEx | DepMap | Descartes | 0.43 | 33.74 |
MCTP2 | -0.0002448 | 11303 | GTEx | DepMap | Descartes | 0.01 | 0.09 |
ARHGAP15 | -0.0002487 | 11352 | GTEx | DepMap | Descartes | 0.43 | 29.70 |
BCL2 | -0.0002674 | 11532 | GTEx | DepMap | Descartes | 0.26 | 6.37 |
SCML4 | -0.0002717 | 11573 | GTEx | DepMap | Descartes | 0.05 | 1.65 |
ABLIM1 | -0.0003270 | 11970 | GTEx | DepMap | Descartes | 0.07 | 1.39 |
Below shows the ranks on this GEP for immune marker gene lists curated by CellTypist (https://www.celltypist.org/encyclopedia).
High ranks indicate this gene is a driver of this GEP.
These curated gene list are ranked by P-value (on this GEP) of their constituent genes.
The Mean Count column shows the mean read count in cells scoring highly (H > 50) on this gene expression program.
Genes | Weight | Rank | GTEx | DepMap | Decartes | Mean.Counts | Mean.TPM |
---|---|---|---|---|---|---|---|
CD207 | 0.0035157 | 23 | GTEx | DepMap | Descartes | 0.10 | 9.18 |
SLC12A3 | 0.0013609 | 148 | GTEx | DepMap | Descartes | 0.01 | 0.40 |
B cells: Naive B cells (model markers)
mature B lymphocytes which express cell-surface IgM and IgD and have not been exposed to/activated by antigens:
Wilcoxon ranksum test P-value for gene set overrepresentation: 8.58e-03
Mean rank of genes in gene set: 170.5
Rank on gene expression program of genes in gene set:
Genes | Weight | Rank | GTEx | DepMap | Decartes | Mean.Counts | Mean.TPM |
---|---|---|---|---|---|---|---|
CD74 | 0.0058178 | 9 | GTEx | DepMap | Descartes | 95.84 | 6015.95 |
YBX3 | 0.0007773 | 332 | GTEx | DepMap | Descartes | 1.51 | NA |
DC: Transitional DC (curated markers)
immature dendritic cells which follow dendritic cell precursors and are committed to the mature dendritic cells:
Wilcoxon ranksum test P-value for gene set overrepresentation: 9.30e-03
Mean rank of genes in gene set: 247
Rank on gene expression program of genes in gene set:
Genes | Weight | Rank | GTEx | DepMap | Decartes | Mean.Counts | Mean.TPM |
---|---|---|---|---|---|---|---|
KLF4 | 0.0016616 | 110 | GTEx | DepMap | Descartes | 2.62 | 176.42 |
AXL | 0.0006850 | 384 | GTEx | DepMap | Descartes | 0.77 | 30.95 |